заявка
№ US 20110301182
МПК A61K31/522

Treatment for diabetes in patients with inadequate glycemic control despite metformin therapy comprising a DPP-IV inhibitor

Авторы:
Klaus Dugi
Правообладатель:
Номер заявки
13143370
Дата подачи заявки
07.01.2010
Опубликовано
08.12.2011
Страна
US
Дата приоритета
15.12.2025
Номер приоритета
Страна приоритета
Как управлять
интеллектуальной собственностью
Реферат

The present invention relates to the finding that certain DPP-4 inhibitors are particularly suitable for improving glycemic control in type 2 diabetes patients with inadequate glycemic control despite metformin therapy.

Формула изобретения

1. A method for improving glycemic control in type 2 diabetes patients with inadequate glycemic control despite metformin therapy, said method comprising orally administering 1-[(4-methyl-quinazolin-2-yl)methyl]-3-methyl-7-(2-butyn-1-yl)-8-(3-(R)-amino-piperidin-1-yl)-xanthine to said patients in an amount of from 1 mg to 10 mg per day.

2. The method according to claim 1, wherein said 1-[(4-methyl-quinazolin-2-yl)methyl]-3-methyl-7-(2-butyn-1-yl)-8-(3-(R)-amino-piperidin-1-yl)-xanthine is administered in an amount of 5 mg per patient per day.

3. The method according to claim 1 wherein the amount of metformin administered to said patient is in the amount of ≧1 g metformin per day, wherein said 1-[(4-methyl-quinazolin-2-yl)methyl]-3-methyl-7-(2-butyn-1-yl)-8-(3-(R)-amino-piperidin-1-yl)-xanthine is administered in an amount of 5 mg once daily.

4. The method according to claim 1, wherein said 1-[(4-methyl-quinazolin-2-yl)methyl]-3-methyl-7-(2-butyn-1-yl)-8-(3-(R)-amino-piperidin-1-yl)-xanthine is administered in an amount of 5 mg per patient per day in combination with metformin.

5. The method according to claim 1 wherein said patients have HbA1c at baseline from 7.5 to 10% despite mono-medication with ≧1 g metformin per day, and wherein said 1-[(4-methyl-quinazolin-2-yl)methyl]-3-methyl-7-(2-butyn-1-yl)-8-(3-(R)-amino-piperidin-1-yl)-xanthine is administered over 12 weeks in an amount of 5 mg once daily as add-on to metformin.

6. The method according to claim 1, characterized in that said 1-[(4-methyl-quinazolin-2-yl)methyl]-3-methyl-7-(2-butyn-1-yl)-8-(3-(R)-amino-piperidin-1-yl)-xanthine results in >80% DPP-4 inhibition in >80% of said patients.

7. (canceled)

8. The method according to claim 4 wherein said patients have HbA1c at baseline from 7.5 to 10% despite mono-medication with ≧1 g metformin per day, wherein said 1-[(4-methyl-quinazolin-2-yl)methyl]-3-methyl-7-(2-butyn-1-yl)-8-(3-(R)-amino-piperidin-1-yl)-xanthine is administered over 12 weeks in an amount of 5 mg once daily as add-on to metformin, characterized in that

said administration results in −0.75% placebo corrected mean reduction in HbA1c from mean baseline HbA1c 8.3%, and/or

said administration results in −35 mg/dL placebo corrected mean reduction in FPG from mean baseline FPG 185 mg/dL.

9. A method for improving glycemic control in type 2 diabetes patients with inadequate glycemic control despite metformin therapy, said method comprising administering 1-[(4-methyl-quinazolin-2-yl)methyl]-3-methyl-7-(2-butyn-1-yl)-8-(3-(R)-amino-piperidin-1-yl)-xanthine orally in an amount of 5 mg per patient per day thereby resulting in >80% DPP-4 inhibition in >80% of said patients.

10. A method for treating patients having type 2 diabetes patients with inadequate glycemic control having HbA1c at baseline from 7.5 to 10% despite mono-medication with ≧1 g metformin per day, wherein 1-[(4-methyl-quinazolin-2-yl)methyl]-3-methyl-7-(2-butyn-1-yl)-8-(3-(R)-amino-piperidin-1-yl)-xanthine is administered over 12 weeks in an amount of 5 mg orally once daily as add-on to metformin to said patients, and wherein >80% of said patients exhibit >80% DPP-4 inhibition.

11. A method for treating type 2 diabetes patients with inadequate glycemic control having HbA1c at baseline from 7.5 to 10% despite mono-medication with ≧1 g metformin per day, the method comprising administering 1-[(4-methyl-quinazolin-2-yl)methyl]-3-methyl-7-(2-butyn-1-yl)-8-(3-(R)-amino-piperidin-1-yl)-xanthine over 12 weeks in an amount of 5 mg orally once daily as add-on to metformin to said patients, wherein

administration in said patients results in −0.75% placebo corrected mean reduction in HbA1c from mean baseline HbA1c 8.3%, and/or

administration in said patients results in −35 mg/dL placebo corrected mean reduction in FPG from mean baseline FPG 185 mg/dL.

12. The method according to claim 1, wherein said patients have HbA1c at baseline ≧9%.

13. The method according to claim 1, wherein the method further improves insulin sensitivity and/or pancreatic beta cell function in said patients.

14-18. (canceled)

19. The method according to claim 1, wherein said 1-[(4-methyl-quinazolin-2-yl)methyl]-3-methyl-7-(2-butyn-1-yl)-8-(3-(R)-amino-piperidin-1-yl)-xanthine is to be administered at any time of day.

20. The method according to claim 1, wherein said 1-[(4-methyl-quinazolin-2-yl)methyl]-3-methyl-7-(2-butyn-1-yl)-8-(3-(R)-amino-piperidin-1-yl)-xanthine is to be administered with or without food.

21. The method according to claim 1, wherein said 1-[(4-methyl-quinazolin-2-yl)methyl]-3-methyl-7-(2-butyn-1-yl)-8-(3-(R)-amino-piperidin-1-yl)-xanthine is administered in an amount of 5 mg once daily per patient.

22. The method according to claim 1, wherein said 1-[(4-methyl-quinazolin-2-yl)methyl]-3-methyl-7-(2-butyn-1-yl)-8-(3-(R)-amino-piperidin-1-yl)-xanthine is administered in an amount of 2.5 mg twice daily per patient.

Описание

[0001]

The present invention relates to certain DPP-4 inhibitors for improving glycemic control, such as e.g. improving hemoglobin A1c (HbA1c) and/or fasting plasma glucose (FPG), in type 2 diabetes patients with inadequate glycemic control despite therapy with metformin, as well as to the use of these DPP-4 inhibitors in antidiabetic therapy. Pharmaceutical compositions for treating and/or preventing metabolic diseases (particularly diabetes, especially type 2 diabetes mellitus, and diseases related thereto) in these patients comprising a DPP-4 inhibitor as defined herein optionally together with one or more other active substances are also contemplated.

[0002]

Type 2 diabetes mellitus is a common chronic and progressive disease arising from a complex pathophysiology involving the dual endocrine effects of insulin resistance and impaired insulin secretion. The treatment of type 2 diabetes typically begins with diet and exercise, followed by oral antidiabetic monotherapy, and although conventional monotherapy may initially control blood glucose in some patients, it is however associated with a high secondary failure rate. The limitations of single-agent therapy for maintaining glycemic control may be overcome, at least in some patients, and for a limited period of time by combining multiple oral drugs to achieve reductions in blood glucose that cannot be sustained during long-term therapy with single agents. Available data support the conclusion that in most patients with type 2 diabetes monotherapy will fail and treatment with multiple drugs will be required.

[0003]

But, because type 2 diabetes is a progressive disease, even patients with good initial responses to conventional combination therapy will eventually require an increase of the dosage or further treatment with insulin because the blood glucose level is very difficult to maintain stable for a long period of time. Thus, although existing combination therapy has the potential to enhance glycemic control, it is not without limitations (especially with regard to long term efficacy). Further, many results indicate that the risk for hypoglycemia and/or weight gain may increase with conventional combination therapy, and the requirement for multiple medications may also reduce patient compliance. In addition, taking multiple antihyperglycemic drugs may increase the potential for pharmacokinetic interactions with other medications that the patient may be taking.

[0004]

Thus, for many patients, these existing drug therapies result in progressive deterioriation in glycemic control despite treatment and do not sufficiently control glycemia especially over long-term and thus fail to achieve and to maintain metabolic control e.g. in advanced or late stage type 2 diabetes and/or in diabetes with secondary drug failure.

[0005]

Therefore, although intensive treatment of hyperglycemia can reduce the incidence of chronic damages, many patients with type 2 diabetes remain inadequately treated, partly because of limitations in long term efficacy, tolerability and dosing inconvenience of conventional antihyperglycemic therapies.

[0006]

This high incidence of therapeutic failure is a major contributor to the high rate of long-term hyperglycemia-associated complications or chronic damages (including micro- and makrovascular complications such as e.g. diabetic nephrophathy, retinopathy or neuropathy, or cardiovascular complications) in patients with type 2 diabetes.

[0007]

Oral antidiabetic drugs conventionally used in therapy (such as e.g. first- or second-line, and/or mono- or (initial or add-on) combination therapy) include, without being restricted thereto, metformin, sulphonylureas, thiazolidinediones, glinides and α-glucosidase inhibitors.

[0008]

Metformin is the drug of choice for beginning or first-line antidiabetic therapy (especially for overweight patients), unless there is risk of renal impairment, contraindication or intolerance to metformin.

[0009]

However, as mentioned above, despite being on metformin therapy, some diabetic patients may fail to achieve or maintain glycemic control over time.

[0010]

Thus, according to clinical guidelines, when metformin alone fails to control glucose concentrations to target levels, multiple other medications, e.g. dual or triple combination treatments, become stepwise necessary to improve glycemic control at least for a certain time, such as e.g. as follows: When metformin monotherapy fails to control glucose concentrations to target levels (e.g. HbA1c>6.5%), in the first instance either a sulfonylurea (or a glinide) or a thiazolidinedione may be used as add-on therapy to metformin. Furthermore, with further deterioriation in glycemic control, when also a combination of metformin and a sulfonylurea fails to control glucose concentrations to target levels (e.g. HbA1c>6.5%), a thiazolidinedione may be used additionally to the metformin/sulfonylurea combination. Moreover, with yet further deterioriation in glycemic control, when also the triple combination of metformin, a sulfonylurea and a thiazolidinedione fails to control glucose concentrations to target levels (e.g. HbA1c>7.5%), a metformin/sulfonylurea combination may be used with once daily basal insulin, or, in case of still yet further deterioration, metformin may be used with twice daily premix insulin, or, finally, multiple daily insulin may be used.

[0011]

A recommended standard medication for type 2 diabets patients with suboptiomal glycemic control despite therapy with metformin alone, is a combination therapy taking a sulfonylurea and metformin, particularly as add-on medication of the sulfonylurea to metformin background therapy.

[0012]

Sulphonylureas (SU), as well as glinides, stimulate insulin secretion from pancreatic beta-cells in a non-glucose-dependent manner and are generally and frequentially used as a first- or second-line (mono- or combination) treatment in type 2 diabetes (especially indicated for non-obese patients and/or for patients ineligible for or with failure in metformin therapy). However, as mentioned above, some patients do not always respond well to these conventional oral antidiabetic agents especially in long-term treatment and may show insufficient or deterioration in glycemic control despite treatment with a sulphonylurea drug (secondary SU failure). Also, patients on long-term sulfonylurea therapy experience a decline or an exhaustion in pancreatic beta cell function over time.

[0013]

Continuing loss of efficacy over time is a major concern with the use of insulin secretagogues including glinides and sulfonylureas (secondary SU failure). Furthermore, sulfonylureas increase plasma levels of insulin and may cause hypoglycaemia, which is—besides weight gain—one of their major adverse effects, particularly in association with renal impairment and/or in elderly patients. Thus, within SU medication, on the one side, with regard to efficacy, sometimes an increased sulfonylurea dose may be required, whereas, on the other side, with regard to safety/tolerability, sometimes a decreased sulfonylurea dose may be required, thus requiring often an unsatisfying compromise in SU medication.

[0014]

Thus, the use of conventional antidiabetic combination therapies, e.g. combined metformin/sulfonylurea therapy, for treating type 2 diabetes patients with inadequate glycemic control on metformin alone has their limitations, such as e.g. by their inability to prevent progressive beta-cell dysfunction and/or progressive loss of glycemic control, by the risk of secondary failure and/or by the risk or incidence of adverse effects associated with the medications such as e.g. hypoglycemic episodes and/or weight gain.

[0015]

Therefore, it remains a need in the art to provide efficacious, safe and tolerable antidiabetic therapies for type 2 diabetes mellitus patients with inadequate glycemic control despite therapy with metformin.

[0016]

Further, it remains a need in the art to provide adequate glycemic control (e.g. to provide significant and relevant improvements in HbA1c and/or FPG) for diabetic patients with insufficient glycemic control despite metformin therapy.

[0017]

Moreover, since type 2 diabetes is a progressive chronic condition which frequently requires long-term treatment, physicians treating patients with type 2 diabetes need to have a range of treatment and combination regimens so they can tailor the therapy to the individual needs.

[0018]

Furthermore, it is important that treatments not only prevent the long-term complications often found in advanced stages of the diabetes disease, but also prove to be a therapeutic option in those patients who have developed complications, such as renal impairment.

[0019]

HbA1c and FPG levels are key diagnostic measures of the effective management of type 2 diabetes.

[0020]

In the monitoring of the treatment of diabetes mellitus the HbA1c value, the product of a non-enzymatic glycation of the haemoglobin B chain, is of exceptional importance. As its formation depends essentially on the blood sugar level and the life time of the erythrocytes the HbA1c in the sense of a “blood sugar memory” reflects the average blood sugar level of the preceding 4-12 weeks. Diabetic patients whose HbA1c level has been well controlled over a long time by more intensive diabetes treatment (i.e. <6.5% of the total haemoglobin in the sample) are significantly better protected from diabetic microangiopathy. The available treatments for diabetes can give the diabetic an average improvement in their HbA1c level of the order of 1.0-1.5%. This reduction in the HbA1C level is not sufficient in all diabetics to bring them into the desired target range of <7.0%, preferably <6.5% and more preferably <6% HbA1c.

[0021]

Within glycemic control, in addition to improvement of the HbA1c level, other recommended therapeutic goals for type 2 diabetes mellitus patients are improvement of fasting plasma glucose (FPG) and of postprandial plasma glucose (PPG) levels to normal or as near normal as possible. Recommended desired target ranges of preprandial (fasting) plasma glucose are 70-130 mg/dL (or 90-130 mg/dL) or <110 mg/dL, and of two-hour postprandial plasma glucose are <180 mg/dL or <140 mg/dL.

[0022]

Within the meaning of this invention, patients with inadequate or insufficient glycemic control despite a therapy with metformin include, without being limited to, patients having a HbA1c value from 7.5 to 10% (or, in another embodiment, from 7.5 to 11%) at baseline despite treatment with metformin, particularly despite medication with ≧1 g metformin per day.

[0023]

A special sub-embodiment of inadequately controlled patients within the meaning of this invention refers to patients in advanced or late stage type 2 diabetes patients and/or with poor glycemic control including, without being limited, patients having a HbA1c value ≧9% at baseline.

[0024]

The enzyme DPP-4 (dipeptidyl peptidase IV) also known as CD26 is a serine protease known to lead to the cleavage of a dipeptide from the N-terminal end of a number of proteins having at their N-terminal end a prolin or alanin residue. Due to this property DPP-4 inhibitors interfere with the plasma level of bioactive peptides including the peptide GLP-1 and are considered to be promising drugs for the treatment of diabetes mellitus.

[0025]

For example, DPP-4 inhibitors and their uses, particularly their uses in metabolic (especially diabetic) diseases, are disclosed in WO 2002/068420, WO 2004/018467, WO 2004/018468, WO 2004/018469, WO 2004/041820, WO 2004/046148, WO 2005/051950, WO 2005/082906, WO 2005/063750, WO 2005/085246, WO 2006/027204, WO 2006/029769 or WO2007/014886; or in WO 2004/050658, WO 2004/111051, WO 2005/058901 or WO 2005/097798; or in WO 2006/068163, WO 2007/071738 or WO 2008/017670; or in WO 2007/128721 or WO 2007/128761.

[0026]

As further DPP-4 inhibitors the following compounds can be mentioned:

    • Sitagliptin (MK-0431) having the structural formula A below is (3R)-3-amino-1-[3-(trifluoromethyl)-5,6,7,8-tetrahydro-5H-[1,2,4]triazolo[4,3-a]pyrazin-7-yl]-4-(2,4,5-trifluorophenyl)butan-1-one, also named (2R)-4-oxo-4-[3-(trifluoromethyl)-5,6-dihydro[1,2,4]triazolo[4,3-a]pyrazin-7(8H)-yl]-1-(2,4,5-trifluorophenyl)butan-2-amine,

[0000]

[0028]

In one embodiment, sitagliptin is in the form of its dihydrogenphosphate salt, i.e. sitagliptin phosphate. In a further embodiment, sitagliptin phosphate is in the form of a crystalline anhydrate or monohydrate. A class of this embodiment refers to sitagliptin phosphate monohydrate. Sitagliptin free base and pharmaceutically acceptable salts thereof are disclosed in U.S. Pat. No. 6,699,871 and in Example 7 of WO 03/004498. Crystalline sitagliptin phosphate monohydrate is disclosed in WO 2005/003135 and in WO 2007/050485.

[0029]

For details, e.g. on a process to manufacture, to formulate or to use this compound or a salt thereof, reference is thus made to these documents.

[0030]

A tablet formulation for sitagliptin is commercially available under the trade name Januvia®. A tablet formulation for sitagliptin/metformin combination is commercially available under the trade name Janumet®.

    • Vildagliptin (LAF-237) having the structural formula B below is (2S)-{[(3-hydroxyadamantan-1-yl)amino]acetyl}pyrrolidine-2-carbonitrile, also named (S)-1-[(3-hydroxy-1-adamantyl)amino]acetyl-2-cyano-pyrrolidine,

[0000]

[0032]

Vildagliptin is specifically disclosed in U.S. Pat. No. 6,166,063 and in Example 1 of WO 00/34241. Specific salts of vildagliptin are disclosed in WO 2007/019255. A crystalline form of vildagliptin as well as a vildagliptin tablet formulation are disclosed in WO 2006/078593. Vildagliptin can be formulated as described in WO 00/34241 or in WO 2005/067976. A modified release vildagliptin formulation is described in WO 2006/135723.

[0033]

For details, e.g. on a process to manufacture, to formulate or to use this compound or a salt thereof, reference is thus made to these documents.

[0034]

A tablet formulation for vildagliptin is commercially available under the trade name Galvus®. A tablet formulation for vildagliptin/metformin combination is commercially available under the trade name Eucreas®.

    • Saxagliptin (BMS-477118) having the structural formula C below is (1S,3S,5S)-2-{(2S)-2-amino-2-(3-hydroxyadamantan-1-yl)acetyl}-2-azabicyclo[3.1.0]hexane-3-carbonitrile, also named (S)-3-hydroxyadamantylglycine-L-cis-4,5-methanoprolinenitrile,

[0000]

[0036]

Saxagliptin is specifically disclosed in U.S. Pat. No. 6,395,767 and in Example 60 of WO 01/68603.

[0037]

In one embodiment, saxagliptin is in the form of its HCl salt or its mono-benzoate salt as disclosed in WO 2004/052850. In a further embodiment, saxagliptin is in the form of the free base. In a yet further embodiment, saxagliptin is in the form of the monohydrate of the free base as disclosed in WO 2004/052850. Crystalline forms of the HCl salt and the free base of saxagliptin are disclosed in WO 2008/131149. A process for preparing saxagliptin is also disclosed in WO 2005/106011 and WO 2005/115982. Saxagliptin can be formulated in a tablet as described in WO 2005/117841.

[0038]

For details, e.g. on a process to manufacture, to formulate or to use this compound or a salt thereof, reference is thus made to these documents.

    • Alogliptin (SYR-322) having the structural formula E below is 2-({6-[(3R)-3-aminopiperidin-1-yl]-3-methyl-2,4-dioxo-3,4-dihydro-2H-pyrimidin-1-yl}methyl)benzonitrile

[0000]

[0040]

Alogliptin is specifically disclosed in US 2005/261271, EP 1586571 and in WO 2005/095381. In one embodiment, alogliptin is in the form of its benzoate salt, its hydrochloride salt or its tosylate salt each as disclosed in WO 2007/035629. A class of this embodiment refers to alogliptin benzoate. Polymorphs of alogliptin benzoate are disclosed in WO 2007/035372. A process for preparing alogliptin is disclosed in WO 2007/112368 and, specifically, in WO 2007/035629. Alogliptin (namely its benzoate salt) can be formulated in a tablet and administered as described in WO 2007/033266. Formulations of Aloglipitin with pioglitazone or metformin are described in WO 2008/093882 or WO 2009/011451, respectively. For details, e.g. on a process to manufacture, to formulate or to use this compound or a salt thereof, reference is thus made to these documents.

    • (2S)-1-{[2-(5-Methyl-2-phenyl-oxazol-4-yl)-ethylamino]-acetyl}-pyrrolidine-2-carbonitrile or a pharmaceutically acceptable salt thereof, preferably the mesylate, or (2S)-1-{[1,1,-Dimethyl-3-(4-pyridin-3-yl-imidazol-1-yl)-propylamino]-acetyl}-pyrrolidine-2-carbonitrile or a pharmaceutically acceptable salt thereof:

[0042]

These compounds and methods for their preparation are disclosed in WO 03/037327. The mesylate salt of the former compound as well as crystalline polymorphs thereof are disclosed in WO 2006/100181. The fumarate salt of the latter compound as well as crystalline polymorphs thereof are disclosed in WO 2007/071576. These compounds can be formulated in a pharmaceutical composition as described in WO 2007/017423.

[0043]

For details, e.g. on a process to manufacture, to formulate or to use these compounds or salts thereof, reference is thus made to these documents.

    • (S)-1-((2S,3S,11bS)-2-Amino-9,10-dimethoxy-1,3,4,6,7,11b-hexahydro-2H-pyrido[2,1-a]isoquinolin-3-yl)-4-fluoromethyl-pyrrolidin-2-one or a pharmaceutically acceptable salt thereof:

[0000]

[0045]

This compound and methods for its preparation are disclosed in WO 2005/000848. A process for preparing this compound (specifically its dihydrochloride salt) is also disclosed in WO 2008/031749, WO 2008/031750 and WO 2008/055814. This compound can be formulated in a pharmaceutical composition as described in WO 2007/017423.

[0046]

For details, e.g. on a process to manufacture, to formulate or to use this compound or a salt thereof, reference is thus made to these documents.

    • (3,3-Difluoropyrrolidin-1-yl)-((2S,4S)-4-(4-(pyrimidin-2-yl)piperazin-1-yl)pyrrolidin-2-yl)methanone (also named gosogliptin) or a pharmaceutically acceptable salt thereof:

[0048]

This compound and methods for its preparation are disclosed in WO 2005/116014 and U.S. Pat. No. 7,291,618.

[0049]

For details, e.g. on a process to manufacture, to formulate or to use this compound or a salt thereof, reference is thus made to these documents.

    • (1((3S,4S)-4-amino-1-(4-(3,3-difluoropyrrolidin-1-yl)-1,3,5-triazin-2-yl)pyrrolidin-3-yl)-5,5-difluoropiperidin-2-one or a pharmaceutically acceptable salt thereof:

[0000]

[0051]

This compound and methods for its preparation are disclosed in WO 2007/148185 and

[0052]

US 20070299076. For details, e.g. on a process to manufacture, to formulate or to use this compound or a salt thereof, reference is thus made to these documents.

    • (2S,4S)-1-{2-[(3S,1R)-3-(1H-1,2,4-Triazol-1-ylmethyl)cyclopentylamino]acetyl}-4-fluoropyrrolidine-2-carbonitrile (also named melogliptin) or a pharmaceutically acceptable salt thereof:

[0000]

[0054]

This compound and methods for its preparation are disclosed in WO 2006/040625 and WO 2008/001195. Specifically claimed salts include the methanesulfonate and p-toluenesulfonate. For details, e.g. on a process to manufacture, to formulate or to use this compound or a salt thereof, reference is thus made to these documents.

    • (R)-2-[6-(3-Amino-piperidin-1-yl)-3-methyl-2,4-dioxo-3,4-dihydro-2H-pyrimidin-1-ylmethyl]-4-fluoro-benzonitrile or a pharmaceutically acceptable salt thereof:

[0000]

[0056]

This compound and methods for its preparation and use are disclosed in WO 2005/095381, US 2007060530, WO 2007/033350, WO 2007/035629, WO 2007/074884, WO 2007/112368, WO 2008/033851, WO 2008/114800 and WO 2008/114807. Specifically claimed salts include the succinate (WO 2008/067465), benzoate, benzenesulfonate, p-toluenesulfonate, (R)-mandelate and hydrochloride. For details, e.g. on a process to manufacture, to formulate or to use this compound or a salt thereof, reference is thus made to these documents.

    • 5-{(S)-2-[2-((S)-2-Cyano-pyrrolidin-1-yl)-2-oxo-ethylamino]-propyl}-5-(1H-tetrazol-5-yl)-10,11-dihydro-5H-dibenzo[a,d]cycloheptene-2,8-dicarboxylic acid bis-dimethylamide or a pharmaceutically acceptable salt thereof:

[0000]

[0058]

This compound and methods for its preparation are disclosed in WO 2006/116157 and US 2006/270701. For details, e.g. on a process to manufacture, to formulate or to use this compound or a salt thereof, reference is thus made to these documents.

    • 3-{(2S,4S)-4-[4-(3-Methyl-1-phenyl-1H-pyrazol-5-yl)piperazin-1-yl]pyrrolidin-2-ylcarbonyl}thiazolidine (also named teneligliptin) or a pharmaceutically acceptable salt thereof:

[0060]

This compound and methods for its preparation are disclosed in WO 02/14271. Specific salts are disclosed in WO 2006/088129 and WO 2006/118127 (including hydrochloride, hydrobromide, inter alia). Combination therapy using this compound is described in WO 2006/129785. For details, e.g. on a process to manufacture, to formulate or to use this compound or a salt thereof, reference is thus made to these documents.

    • [(2R)-1-{[(3R)-pyrrolidin-3-ylamino]acetyl}pyrrolidin-2-yl]boronic acid (also named dutogliptin) or a pharmaceutically acceptable salt thereof:

[0062]

This compound and methods for its preparation are disclosed in WO 2005/047297, WO 2008/109681 and WO 2009/009751. Specific salts are disclosed in WO 2008/027273 (including citrate, tartrate). A formulation of this compound is described in WO 2008/144730. For details, e.g. on a process to manufacture, to formulate or to use this compound or a salt thereof, reference is thus made to these documents.

    • (2S,4S)-1-[2-[(4-ethoxycarbonylbicyclo[2.2.2]oct-1-yl)amino]acetyl]-4-fluoropyrrolidine-2-carbonitrile or a pharmaceutically acceptable salt thereof:

[0064]

This compound and methods for its preparation are disclosed in WO 2005/075421, US 2008/146818 and WO 2008/114857. For details, e.g. on a process to manufacture, to formulate or to use this compound or a salt thereof, reference is thus made to these documents.

    • 2-({6-[(3R)-3-amino-3-methylpiperidin-1-yl]-1,3-dimethyl-2,4-dioxo-1,2,3,4-tetrahydro-5H-pyrrolo[3,2-d]pyrimidin-5-yl}methyl)-4-fluorobenzonitrile or a pharmaceutically acceptable salt thereof, or 6-[(3R)-3-amino-piperidin-1-yl]-5-(2-chloro-5-fluoro-benzyl)-1,3-dimethyl-1,5-dihydro-pyrrolo[3,2-d]pyrimidine-2,4-dione or a pharmaceutically acceptable salt thereof:

[0066]

These compounds and methods for their preparation are disclosed in WO 2009/084497 and WO 2006/068163, respectively. For details, e.g. on a process to manufacture, to formulate or to use these compounds or salts thereof, reference is thus made to these documents.

[0067]

For avoidance of any doubt, the disclosure of each of the foregoing documents cited above is specifically incorporated herein by reference in its entirety.

[0068]

Within the scope of the present invention it has now surprisingly been found that certain DPP-4 inhibitors as defined herein have unexpected and particularly advantageous properties, which make them particularly suitable for improving glycemic control in patients with type 2 diabetes mellitus inadequately controlled on metformin alone.

[0069]

Further in this context, it has surprisingly been found that with a certain dose of a DPP-4 inhibitor, such as for example 5 mg BI 1356 administered orally once daily, maximum reduction of HbA1c and/or FPG can be achieved, thus providing a therapeutic dose.

[0070]

From dose-response study with 1, 5 and 10 mg once daily oral dosing of BI 1356 added to ongoing metformin therapy in patients with type 2 diabetes and insufficient glycemic control, 12 weeks treatment with BI 1356 results in clinically relevant reductions in HbA1c and FPG compared with baseline for all BI 1356 doses (1, 5 and 10 mg) and lower HbA1c and FPG compared levels compared to placebo. It appears that maximum glucose-lowering effects are reached after 8 weeks with a plateau thereafter. 5 mg BI 1356 daily provides in the patients the maximum glycemic effect with up to greatest percentage of patients achieving the targets of a HbA1c lowering of at least 0.5% from baseline (≧0.5%:53.2%, ≧1.0%:27.4%) and of a HbA1c value of ≦57.0% (14.5%).

[0071]

Further in this context, it has surprisingly been found that a dose of a DPP-4 inhibitor resulting in >80% DPP-4 inhibition in >80% of the patients at trough, such as for example 5 mg BI 1356 administered orally once daily, is a therapeutic dose.

[0072]

Further, it has been found that a greater portion of patients of this invention demonstrating clinically meaningful changes in HbA1c (≧0.5%) are in those who have higher baseline HbA1c levels (≧9%).

[0073]

Thus, the present invention provides a DPP-4 inhibitor as defined herein for use in improving glycemic control in type 2 diabetes patients with inadequate glycemic control despite metformin therapy, particularly despite monotherapy with metformin, for example despite maximal tolerated dose of oral therapy with metformin.

[0074]

A special embodiment of this invention refers to a DPP-4 inhibitor as defined herein for use in improving glycemic control in type 2 diabetes patients with inadequate glycemic control despite metformin therapy, wherein said DPP-4 inhibitor reduces significantly glycosylated haemoglobin HbA1c and/or fasting plasma glucose.

[0075]

Another special embodiment of this invention refers to a DPP-4 inhibitor as defined herein for use in improving glycemic control in type 2 diabetes patients with inadequate glycemic control despite metformin therapy, wherein said DPP-4 inhibitor may be used as add-on or initial combination therapy with metformin, particularly as add-on combination therapy with metformin.

[0076]

Another special embodiment of this invention refers to a DPP-4 inhibitor as defined herein for use in reducing significantly glycosylated haemoglobin HbA1c and/or fasting plasma glucose in type 2 diabetes patients with inadequate glycemic control on metformin alone, wherein said DPP-4 inhibitor is administered to said patients in an amount from 1 mg to 10 mg once daily, particularly 5 mg once daily, over 12 weeks as add-on to metformin background therapy.

[0077]

The present invention further provides a DPP-4 inhibitor as defined herein for resulting in >80% DPP-4 inhibition at trough in >80% of type 2 diabetes patients with inadequate glycemic control having HbA1c at baseline from 7.5 to 10% despite mono-medication with ≧1 g metformin per day, wherein said DPP-4 inhibitor is administered over 12 weeks in an amount of 5 mg orally once daily as add-on to metformin background therapy.

[0078]

The present invention further provides a DPP-4 inhibitor as defined herein for use in the treatment and/or prevention (including preventing or slowing the progression or delaying the onset) of metabolic diseases, particularly diabetes (especially type 2 diabetes mellitus) and diseases related thereto (e.g. diabetic complications), in patients with inadequate glycemic control despite therapy with metformin, particularly despite monotherapy with metformin.

[0079]

The present invention further provides a pharmaceutical composition for use in the therapies described herein in patients with insufficient glycemic control despite treatment with metformin, said pharmaceutical composition comprising a DPP-4 inhibitor as defined herein and optionally one or more pharmaceutically acceptable carriers and/or diluents.

[0080]

The present invention further provides a fixed or non-fixed combination including a kit-of-parts for use in the therapies described herein in patients with insufficient glycemic control despite therapy with metformin, said combination comprising a DPP-4 inhibitor as defined herein and one or more other active substances, e.g. any of those mentioned herein.

[0081]

The present invention further provides the use of a DPP-4 inhibitor as defined herein optionally in combination with one or more other active substances, such as e.g. any of those mentioned herein, for the manufacture of a pharmaceutical composition for the therapies described herein, in patients with insufficient glycemic control despite therapy with metformin.

[0082]

The present invention further provides a pharmaceutical composition for use in the therapies described herein in patients with insufficient glycemic control despite therapy with metformin, said pharmaceutical composition comprising a DPP-4 inhibitor as defined herein and optionally one or more other active substances, such as e.g. any of those mentioned herein.

[0083]

The present invention further provides a method of treating and/or preventing metabolic diseases, particularly type 2 diabetes mellitus, in patients with insufficient glycemic control despite therapy with metformin, said method comprising administering to a subject in need thereof (particularly a human patient) an effective amount of a DPP-4 inhibitor as defined herein, optionally separately, sequentially, simultaneously, concurrently or chronologically staggered with an effective amount of one or more other active substances, such as e.g. any of those mentioned herein.

[0084]

Further, the DPP-4 inhibitors as defined herein may be useful in one or more of the following methods

    • for preventing, slowing progression of, delaying, or treating a metabolic disorder;
    • for improving glycemic control and/or for reducing of fasting plasma glucose, of postprandial plasma glucose and/or of glycosylated hemoglobin HbA1c;
    • for preventing, slowing progression of, delaying or treating of a condition or disorder selected from the group consisting of complications of diabetes mellitus;
    • for reducing the weight or preventing an increase of the weight or facilitating a reduction of the weight;
    • for preventing or treating the degeneration of pancreatic beta cells and/or for improving and/or restoring the functionality of pancreatic beta cells and/or stimulating and/or restoring the functionality of pancreatic insulin secretion; and/or
    • for maintaining and/or improving the insulin sensitivity and/or for treating or preventing hyperinsulinemia and/or insulin resistance;
      in diabetes patients with inadequate glycemic control despite therapy with metformin.

[0091]

Examples of such metabolic diseases or disorders amenable by the therapy of this invention in patients with insufficient glycemic control despite metformin therapy may include, without being restricted to, Type 1 diabetes, Type 2 diabetes, inadequate glucose tolerance, insulin resistance, hyperglycemia, hyperlipidemia, hypercholesterolemia, dyslipidemia, metabolic syndrome X, obesity, hypertension, chronic systemic inflammation, retinopathy, neuropathy, nephropathy, atherosclerosis, endothelial dysfunction and osteoporosis.

[0092]

The present invention further provides a DPP-4 inhibitor as defined herein, optionally in combination with one or more other active substances, such as e.g. any of those mentioned herein, for use in one or more of the following methods:

    • preventing, slowing the progression of, delaying or treating a metabolic disorder or disease, such as e.g. type 1 diabetes mellitus, type 2 diabetes mellitus, impaired glucose tolerance (IGT), impaired fasting blood glucose (IFG), hyperglycemia, postprandial hyperglycemia, overweight, obesity, dyslipidemia, hyperlipidemia, hypercholesterolemia, hypertension, atherosclerosis, endothelial dysfunction, osteoporosis, chronic systemic inflammation, non alcoholic fatty liver disease (NAFLD), retinopathy, neuropathy, nephropathy and/or metabolic syndrome;
    • improving glycemic control and/or for reducing of fasting plasma glucose, of postprandial plasma glucose and/or of glycosylated hemoglobin HbA1c;
    • preventing, slowing, delaying or reversing progression from impaired glucose tolerance (IGT), impaired fasting blood glucose (IFG), insulin resistance and/or from metabolic syndrome to type 2 diabetes mellitus;
    • preventing, reducing the risk of, slowing the progression of, delaying or treating of complications of diabetes mellitus such as micro- and macrovascular diseases, such as nephropathy, micro- or macroalbuminuria, proteinuria, retinopathy, cataracts, neuropathy, learning or memory impairment, neurodegenerative or cognitive disorders, cardio- or cerebrovascular diseases, tissue ischaemia, diabetic foot or ulcus, atherosclerosis, hypertension, endothelial dysfunction, myocardial infarction, acute coronary syndrome, unstable angina pectoris, stable angina pectoris, peripheral arterial occlusive disease, cardiomyopathy, heart failure, heart rhythm disorders, vascular restenosis, and/or stroke;
    • reducing body weight or preventing an increase in body weight or facilitating a reduction in body weight;
    • preventing, slowing, delaying or treating the degeneration of pancreatic beta cells and/or the decline of the functionality of pancreatic beta cells and/or for improving and/or restoring the functionality of pancreatic beta cells and/or stimulating and/or restoring the functionality of pancreatic insulin secretion;
    • preventing, slowing, delaying or treating non alcoholic fatty liver disease (NAFLD) including hepatic steatosis, non-alcoholic steatohepatitis (NASH) and/or liver fibrosis;
    • preventing, slowing the progression of, delaying or treating type 2 diabetes with failure to conventional antidiabetic mono- or combination therapy;
    • achieving a reduction in the dose of conventional antidiabetic medication required for adequate therapeutic effect;
    • reducing the risk for adverse effects associated with conventional antidiabetic medication; and/or
    • maintaining and/or improving the insulin sensitivity and/or for treating or preventing hyperinsulinemia and/or insulin resistance;
      particularly in a patient with inadequate glycemic control despite therapy with metformin.

[0104]

Other aspects of the present invention become apparent to the skilled person from the foregoing and following remarks.

[0105]

A DPP-4 inhibitor within the meaning of the present invention includes, without being limited to, any of those DPP-4 inhibitors mentioned hereinabove and hereinbelow, preferably orally active DPP-4 inhibitors.

[0106]

For example, a DPP-4 inhibitor according to this invention may be such an oral DPP-4 inhibitor, which and whose active metabolites have preferably a relatively wide (e.g. about >100 fold) therapeutic window and/or, especially, that are primarily eliminated via hepatic metabolism or biliary excretion.

[0107]

In more detailed example, a DPP-4 inhibitor according to this invention may be such an orally administered DPP-4 inhibitor, which has a relatively wide (e.g. >100 fold) therapeutic window and/or which fulfils one or more of the following pharmacokinetic properties (preferably at its therapeutic oral dose levels):

    • The DPP-4 inhibitor is substantially or mainly excreted via the liver (e.g. >80% or even >90% of the administered oral dose), and/or for which renal excretion represents no substantial or only a minor elimination pathway (e.g. <10%, preferably <7%, of the administered oral dose measured, for example, by following elimination of a radiolabelled carbon (14C) substance oral dose);
    • The DPP-4 inhibitor is excreted mainly unchanged as parent drug (e.g. with a mean of >70%, or >80%, or, preferably, 90% of excreted radioactivity in urine and faeces after oral dosing of radiolabelled carbon (14C) substance), and/or which is eliminated to a non-substantial or only to a minor extent via metabolism (e.g. <30%, or <20%, or, preferably, 10%);
    • The (main) metabolite(s) of the DPP-4 inhibitor is/are pharmacologically inactive. Such as e.g. the main metabolite does not bind to the target enzyme DPP-4 and, optionally, it is rapidly eliminated compared to the parent compound (e.g. with a terminal half-life of the metabolite of ≦20 h, or, preferably, ≦about 16 h, such as e.g. 15.9 h).

[0111]

In one embodiment, the (main) metabolite in plasma (which may be pharmacologically inactive) of a DPP-4 inhibitor having a 3-amino-piperidin-1-yl substituent is such a derivative where the amino group of the 3-amino-piperidin-1-yl moiety is replaced by a hydroxyl group to form the 3-hydroxy-piperidin-1-yl moiety (e.g. the 3-(S)-hydroxy-piperidin-1-yl moiety, which is formed by inversion of the configuration of the chiral center).

[0112]

Further properties of a DPP-4 inhibitor according to this invention may be one or more of the following: Rapid attainment of steady state (e.g. reaching steady state plasma levels (>90% of the steady state plasma concentration) between second and fifth day of treatment with therapeutic oral dose levels), little accumulation (e.g. with a mean accumulation ratio RA,AUC≦1.4 with therapeutic oral dose levels), and/or preserving a long-lasting effect on DPP-4 inhibition, preferably when used once-daily (e.g. with almost complete (>90%) DPP-4 inhibition at therapeutic oral dose levels, >80% inhibition over a 24 h interval after once-daily intake of therapeutic oral drug dose), significant decrease in 2 h postprandial blood glucose excursions by ≧80% (already on first day of therapy) at therapeutic dose levels, and cumulative amount of unchanged parent compound excreted in urine on first day being below 1% of the administered dose and increasing to not more than about 3-6% in steady state.

[0113]

Thus, for example, a DPP-4 inhibitor according to this invention may be characterized in that said DPP-4 inhibitor is excreted to a non-substantial or only to a minor extent (e.g. <10%, preferably <7% of administered oral dose) via the kidney (measured, for example, by following elimination of a radiolabelled carbon (14C) substance oral dose).

[0114]

Further, a DPP-4 inhibitor according to this invention may be characterized in that said DPP-4 inhibitor is excreted substantially or mainly via the liver (measured, for example, by following elimination of a radiolabelled carbon (14C) substance oral dose).

[0115]

Further, a DPP-4 inhibitor according to this invention may be characterized in that said DPP-4 inhibitor is excreted mainly unchanged as parent drug (e.g. with a mean of >70%, or >80%, or, preferably, 90% of excreted radioactivity in urine and faeces after oral dosing of radiolabelled carbon (14C) substance),

[0000]

said DPP-4 inhibitor is eliminated to a non-substantial or only to a minor extent via metabolism, and/or
the main metabolite of said DPP-4 inhibitor is pharmacologically inactive or has a relatively wide therapeutic window.

[0116]

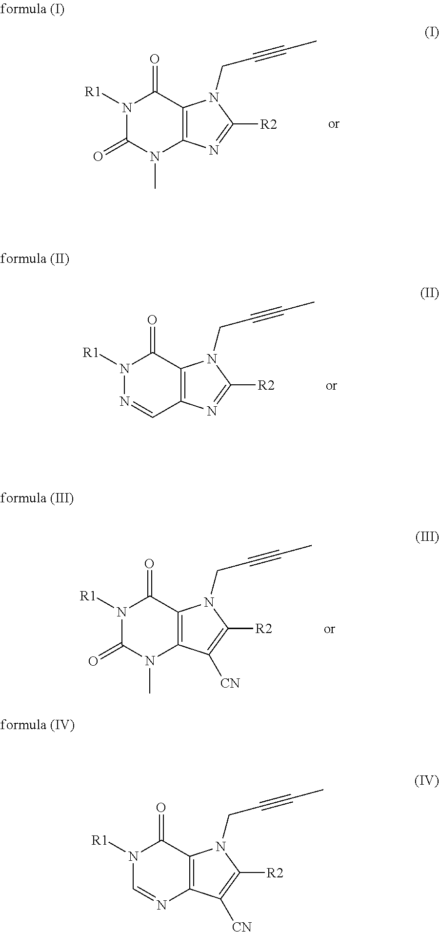
In a first embodiment (embodiment A), a DPP-4 inhibitor in the context of the present invention is any DPP-4 inhibitor of

[0000]

[0000]

wherein R1 denotes ([1,5]naphthyridin-2-yl)methyl, (quinazolin-2-yl)methyl, (quinoxalin-6-yl)methyl, (4-methyl-quinazolin-2-yl)methyl, 2-cyano-benzyl, (3-cyano-quinolin-2-yl)methyl, (3-cyano-pyridin-2-yl)methyl, (4-methyl-pyrimidin-2-yl)methyl, or (4,6-dimethyl-pyrimidin-2-yl)methyl and R2 denotes 3-(R)-amino-piperidin-1-yl, (2-amino-2-methyl-propyl)-methylamino or (2-(S)-amino-propyl)-methylamino,
or its pharmaceutically acceptable salt.

[0117]

In a second embodiment (embodiment B), a DPP-4 inhibitor in the context of the present invention is a DPP-4 inhibitor selected from the group consisting of sitagliptin, vildagliptin, saxagliptin, alogliptin,

  • (2S)-1-{[2-(5-Methyl-2-phenyl-oxazol-4-yl)-ethylamino]-acetyl}-pyrrolidine-2-carbonitrile,
  • (2S)-1-{[1,1,-Dimethyl-3-(4-pyridin-3-yl-imidazol-1-yl)-propylamino]-acetyl}-pyrrolidine-2-carbonitrile,
  • (S)-1-((2S,3S,11bS)-2-Amino-9,10-dimethoxy-1,3,4,6,7,11b-hexahydro-2H-pyrido[2,1-a]isoquinolin-3-yl)-4-fluoromethyl-pyrrolidin-2-one,
  • (3,3-Difluoropyrrolidin-1-yl)-((2S,4S)-4-(4-(pyrimidin-2-yl)piperazin-1-yl)pyrrolidin-2-yl)methanone,
  • (1((3S,4S)-4-amino-1-(4-(3,3-difluoropyrrolidin-1-yl)-1,3,5-triazin-2-yl)pyrrolidin-3-yl)-5,5-difluoropiperidin-2-one,
  • (2S,4S)-1-{2-[(3S,1R)-3-(1H-1,2,4-Triazol-1-ylmethyl)cyclopentylamino]-acetyl}-4-fluoropyrrolidine-2-carbonitrile,
  • (R)-2-[6-(3-Amino-piperidin-1-yl)-3-methyl-2,4-dioxo-3,4-dihydro-2H-pyrimidin-1-ylmethyl]-4-fluoro-benzonitrile,
  • 5-{(S)-2-[2-((S)-2-Cyano-pyrrolidin-1-yl)-2-oxo-ethylamino]-propyl}-5-(1H-tetrazol-5-yl)-10,11-dihydro-5H-dibenzo[a,d]cycloheptene-2,8-dicarboxylic acid bis-dimethylamide,
  • 3-{(2S,4S)-4-[4-(3-Methyl-1-phenyl-1H-pyrazol-5-yl)piperazin-1-yl]pyrrolidin-2-ylcarbonyl}thiazolidine,
  • [(2R)-1-{[(3R)-pyrrolidin-3-ylamino]acetyl}pyrrolidin-2-yl]boronic acid,
  • (2S,4S)-1-[2-[(4-ethoxycarbonylbicyclo[2.2.2]oct-1-yl)amino]acetyl]-4-fluoropyrrolidine-2-carbonitrile,
  • 2-({6-[(3R)-3-amino-3-methylpiperidin-1-yl]-1,3-dimethyl-2,4-dioxo-1,2,3,4-tetrahydro-5H-pyrrolo[3,2-d]pyrimidin-5-yl}methyl)-4-fluorobenzonitrile, and
  • 6-[(3R)-3-amino-piperidin-1-yl]-5-(2-chloro-5-fluoro-benzyl)-1,3-dimethyl-1,5-dihydro-pyrrolo[3,2-d]pyrimidine-2,4-dione,
    or its pharmaceutically acceptable salt.

[0131]

Regarding the first embodiment (embodiment A), preferred DPP-4 inhibitors are any or all of the following compounds and their pharmaceutically acceptable salts:

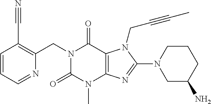
  • 1-[(4-methyl-quinazolin-2-yl)methyl]-3-methyl-7-(2-butyn-1-yl)-8-(3-(R)-amino-piperidin-1-yl)-xanthine (compare WO 2004/018468, example 2(142)):

[0000]

  • 1-[([1,5]naphthyridin-2-yl)methyl]-3-methyl-7-(2-butyn-1-yl)-8-((R)-3-amino-piperidin-1-yl)-xanthine (compare WO 2004/018468, example 2(252)):

[0000]

  • 1-[(Quinazolin-2-yl)methyl]-3-methyl-7-(2-butyn-1-yl)-8-((R)-3-amino-piperidin-1-yl)-xanthine (compare WO 2004/018468, example 2(80)):

[0000]

  • 2-((R)-3-Amino-piperidin-1-yl)-3-(but-2-yinyl)-5-(4-methyl-quinazolin-2-ylmethyl)-3,5-dihydro-imidazo[4,5-d]pyridazin-4-one (compare WO 2004/050658, example 136):

[0000]

  • 1-[(4-Methyl-quinazolin-2-yl)methyl]-3-methyl-7-(2-butyin-1-yl)-8-[(2-amino-2-methyl-propyl)-methylamino]-xanthine (compare WO 2006/029769, example 2(1)):

[0000]

  • 1-[(3-Cyano-quinolin-2-yl)methyl]-3-methyl-7-(2-butyn-1-yl)-8-((R)-3-amino-piperidin-1-yl)-xanthine (compare WO 2005/085246, example 1(30)):

[0000]

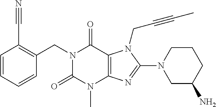
  • 1-(2-Cyano-benzyl)-3-methyl-7-(2-butyn-1-yl)-8-((R)-3-amino-piperidin-1-yl)-xanthine (compare WO 2005/085246, example 1(39)):

[0000]

  • 1-[(4-Methyl-quinazolin-2-yl)methyl]-3-methyl-7-(2-butyn-1-yl)-8-[(S)-(2-amino-propyl)-methylamino]-xanthine (compare WO 2006/029769, example 2(4)):

[0000]

  • 1-[(3-Cyano-pyridin-2-yl)methyl]-3-methyl-7-(2-butyn-1-yl)-8-((R)-3-amino-piperidin-1-yl)-xanthine (compare WO 2005/085246, example 1(52)):

[0000]

  • 1-[(4-Methyl-pyrimidin-2-yl)methyl]-3-methyl-7-(2-butyn-1-yl)-8-((R)-3-amino-piperidin-1-yl)-xanthine (compare WO 2005/085246, example 1(81)):

[0000]

  • 1-[(4,6-Dimethyl-pyrimidin-2-yl)methyl]-3-methyl-7-(2-butyn-1-yl)-8-((R)-3-amino-piperidin-1-yl)-xanthine (compare WO 2005/085246, example 1(82)):

[0000]

  • 1-[(Quinoxalin-6-yl)methyl]-3-methyl-7-(2-butyn-1-yl)-8-((R)-3-amino-piperidin-1-yl)-xanthine (compare WO 2005/085246, example 1(83)):

[0000]

[0144]

These DPP-4 inhibitors are distinguished from structurally comparable DPP-4 inhibitors, as they combine exceptional potency and a long-lasting effect with favourable pharmacological properties, receptor selectivity and a favourable side-effect profile or bring about unexpected therapeutic advantages or improvements when combined with other pharmaceutical active substances. Their preparation is disclosed in the publications mentioned.

[0145]

A more preferred DPP-4 inhibitor among the abovementioned DPP-4 inhibitors of embodiment A of this invention is 1-[(4-methyl-quinazolin-2-yl)methyl]-3-methyl-7-(2-butyn-1-yl)-8-(3-(R)-amino-piperidin-1-yl)-xanthine, particularly the free base thereof (which is also known as BI 1356).

[0146]

Unless otherwise noted, according to this invention it is to be understood that the definitions of the active compounds (including the DPP-4 inhibitors) mentioned hereinabove and hereinbelow also comprise their pharmaceutically acceptable salts as well as hydrates, solvates and polymorphic forms thereof. With respect to salts, hydrates and polymorphic forms thereof, particular reference is made to those which are referred to herein.

[0147]

With respect to embodiment A, the methods of synthesis for the DPP-4 inhibitors according to embodiment A of this invention are known to the skilled person. Advantageously, the DPP-4 inhibitors according to embodiment A of this invention can be prepared using synthetic methods as described in the literature. Thus, for example, purine derivatives of formula (I) can be obtained as described in WO 2002/068420, WO 2004/018468, WO 2005/085246, WO 2006/029769 or WO 2006/048427, the disclosures of which are incorporated herein. Purine derivatives of formula (II) can be obtained as described, for example, in WO 2004/050658 or WO 2005/110999, the disclosures of which are incorporated herein. Purine derivatives of formula (III) and (IV) can be obtained as described, for example, in WO 2006/068163, WO 2007/071738 or WO 2008/017670, the disclosures of which are incorporated herein. The preparation of those DPP-4 inhibitors, which are specifically mentioned hereinabove, is disclosed in the publications mentioned in connection therewith. Polymorphous crystal modifications and formulations of particular DPP-4 inhibitors are disclosed in WO 2007/128721 and WO 2007/128724, respectively, the disclosures of which are incorporated herein in their entireties. Formulations of particular DPP-4 inhibitors with metformin or other combination partners are described in WO 2009/121945, the disclosure of which is incorporated herein in its entirety. Typical dosage strengths of the dual fixed combination of BI 1356/metformin are 2.5/500 mg, 2.5/850 mg and 2.5/1000 mg, which may be administered 1-3 times a day, particularly twice a day.

[0148]

With respect to embodiment B, the methods of synthesis for the DPP-4 inhibitors of embodiment B are described in the scientific literature and/or in published patent documents, particularly in those cited herein.

[0149]

For pharmaceutical application in warm-blooded vertebrates, particularly humans, the compounds of this invention are usually used in dosages from 0.001 to 100 mg/kg body weight, preferably at 0.1-15 mg/kg, in each case 1 to 4 times a day. For this purpose, the compounds, optionally combined with other active substances, may be incorporated together with one or more inert conventional carriers and/or diluents, e.g. with corn starch, lactose, glucose, microcrystalline cellulose, magnesium stearate, polyvinylpyrrolidone, citric acid, tartaric acid, water, water/ethanol, water/glycerol, water/sorbitol, water/polyethylene glycol, propylene glycol, cetylstearyl alcohol, carboxymethylcellulose or fatty substances such as hard fat or suitable mixtures thereof into conventional galenic preparations such as plain or coated tablets, capsules, powders, suspensions or suppositories.

[0150]

The pharmaceutical compositions according to this invention comprising the DPP-4 inhibitors as defined herein are thus prepared by the skilled person using pharmaceutically acceptable formulation excipients as described in the art. Examples of such excipients include, without being restricted to diluents, binders, carriers, fillers, lubricants, flow promoters, crystallisation retardants, disintegrants, solubilizers, colorants, pH regulators, surfactants and emulsifiers.

[0151]

Examples of suitable diluents for compounds according to embodiment A include cellulose powder, calcium hydrogen phosphate, erythritol, low substituted hydroxypropyl cellulose, mannitol, pregelatinized starch or xylitol.

[0152]

Examples of suitable lubricants for compounds according to embodiment A include talc, polyethyleneglycol, calcium behenate, calcium stearate, hydrogenated castor oil or magnesium stearate.

[0153]

Examples of suitable binders for compounds according to embodiment A include copovidone (copolymerisates of vinylpyrrolidon with other vinylderivates), hydroxypropyl methylcellulose (HPMC), hydroxypropylcellulose (HPC), polyvinylpyrrolidon (povidone), pregelatinized starch, or low-substituted hydroxypropylcellulose (L-HPC).

[0154]

Examples of suitable disintegrants for compounds according to embodiment A include corn starch or crospovidone.

[0155]

Suitable methods of preparing pharmaceutical formulations of the DPP-4 inhibitors according to embodiment A of the invention are

    • direct tabletting of the active substance in powder mixtures with suitable tabletting excipients;
    • granulation with suitable excipients and subsequent mixing with suitable excipients and subsequent tabletting as well as film coating; or
    • packing of powder mixtures or granules into capsules.

[0159]

Suitable granulation methods are

    • wet granulation in the intensive mixer followed by fluidised bed drying;
    • one-pot granulation;
    • fluidised bed granulation; or
    • dry granulation (e.g. by roller compaction) with suitable excipients and subsequent tabletting or packing into capsules.

[0164]

An exemplary composition of a DPP-4 inhibitor according to embodiment A of the invention comprises the first diluent mannitol, pregelatinized starch as a second diluent with additional binder properties, the binder copovidone, the disintegrant corn starch, and magnesium stearate as lubricant; wherein copovidone and/or corn starch may be optional.

[0165]

For details on dosage forms, formulations and administration of DPP-4 inhibitors of this invention, reference is made to scientific literature and/or published patent documents, particularly to those cited herein.

[0166]

The pharmaceutical compositions (or formulations) may be packaged in a variety of ways. Generally, an article for distribution includes a container that contains the pharmaceutical composition in an appropriate form. Tablets are typically packed in an appropriate primary package for easy handling, distribution and storage and for assurance of proper stability of the composition at prolonged contact with the environment during storage. Primary containers for tablets may be bottles or blister packs.

[0167]

A suitable bottle, e.g. for a pharmaceutical composition or combination comprising a DPP-4 inhibitor according to embodiment A of the invention, may be made from glass or polymer (preferably polypropylene (PP) or high density polyethylene (HD-PE)) and sealed with a screw cap. The screw cap may be provided with a child resistant safety closure (e.g. press-and-twist closure) for preventing or hampering access to the contents by children. If required (e.g. in regions with high humidity), by the additional use of a desiccant (such as e.g. bentonite clay, molecular sieves, or, preferably, silica gel) the shelf life of the packaged composition can be prolonged.

[0168]

A suitable blister pack, e.g. for a pharmaceutical composition or combination comprising a DPP-4 inhibitor according to embodiment A of the invention, comprises or is formed of a top foil (which is breachable by the tablets) and a bottom part (which contains pockets for the tablets). The top foil may contain a metalic foil, particularly an aluminium or aluminium alloy foil (e.g. having a thickness of 20 μm to 45 μm, preferably 20 μm to 25 μm) that is coated with a heat-sealing polymer layer on its inner side (sealing side). The bottom part may contain a multi-layer polymer foil (such as e.g. poly(vinyl chloride) (PVC) coated with poly(vinylidene chloride) (PVDC); or a PVC foil laminated with poly(chlorotrifluoroethylene) (PCTFE)) or a multi-layer polymer-metal-polymer foil (such as e.g. a cold-formable laminated PVC/aluminium/polyamide composition).

[0169]

The article may further comprise a label or package insert, which refer to instructions customarily included in commercial packages of therapeutic products, that may contain information about the indications, usage, dosage, administration, contraindications and/or warnings concerning the use of such therapeutic products. In one embodiment, the label or package inserts indicates that the composition can be used for any of the purposes described herein.

[0170]

With respect to the first embodiment (embodiment A), the dosage typically required of the DPP-4 inhibitors mentioned herein in embodiment A when administered intravenously is 0.1 mg to 10 mg, preferably 0.25 mg to 5 mg, and when administered orally is 0.5 mg to 100 mg, preferably 2.5 mg to 50 mg or 0.5 mg to 10 mg, more preferably 2.5 mg to 10 mg or 1 mg to 5 mg, in each case 1 to 4 times a day. Thus, e.g. the dosage of 1-[(4-methyl-quinazolin-2-yl)methyl]-3-methyl-7-(2-butyn-1-yl)-8-(3-(R)-amino-piperidin-1-yl)-xanthine when administered orally is 0.5 mg to 10 mg per patient per day, preferably 2.5 mg to 10 mg or 1 mg to 5 mg per patient per day.

[0171]

A dosage form prepared with a pharmaceutical composition comprising a DPP-4 inhibitor mentioned herein in embodiment A contain the active ingredient in a dosage range of 0.1-100 mg. Thus, e.g. particular dosage strengths of 1-[(4-methyl-quinazolin-2-yl)methyl]-3-methyl-7-(2-butyn-1-yl)-8-(3-(R)-amino-piperidin-1-yl)-xanthine are 0.5 mg, 1 mg, 2.5 mg, 5 mg and 10 mg.

[0172]

With respect to the second embodiment (embodiment B), the doses of DPP-4 inhibitors mentioned herein in embodiment B to be administered to mammals, for example human beings, of, for example, approximately 70 kg body weight, may be generally from about 0.5 mg to about 350 mg, for example from about 10 mg to about 250 mg, preferably 20-200 mg, more preferably 20-100 mg, of the active moiety per person per day, or from about 0.5 mg to about 20 mg, preferably 2.5-10 mg, per person per day, divided preferably into 1 to 4 single doses which may, for example, be of the same size. Single dosage strengths comprise, for example, 10, 25, 40, 50, 75, 100, 150 and 200 mg of the DPP-4 inhibitor active moiety.

[0173]

A dosage strength of the DPP-4 inhibitor sitagliptin is usually between 25 and 200 mg of the active moiety. A recommended dose of sitagliptin is 100 mg calculated for the active moiety (free base anhydrate) once daily. Unit dosage strengths of sitagliptin free base anhydrate (active moiety) are 25, 50, 75, 100, 150 and 200 mg. Particular unit dosage strengths of sitagliptin (e.g. per tablet) are 25, 50 and 100 mg. An equivalent amount of sitagliptin phosphate monohydrate to the sitagliptin free base anhydrate is used in the pharmaceutical compositions, namely, 32.13, 64.25, 96.38, 128.5, 192.75, and 257 mg, respectively. Adjusted dosages of 25 and 50 mg sitagliptin are used for patients with renal failure. Typical dosage strengths of the dual combination of sitagliptin/metformin are 50/500 mg and 50/1000 mg.

[0174]

A dosage range of the DPP-4 inhibitor vildagliptin is usually between 10 and 150 mg daily, in particular between 25 and 150 mg, 25 and 100 mg or 25 and 50 mg or 50 and 100 mg daily. Particular examples of daily oral dosage are 25, 30, 35, 45, 50, 55, 60, 80, 100 or 150 mg. In a more particular aspect, the daily administration of vildagliptin may be between 25 and 150 mg or between 50 and 100 mg. In another more particular aspect, the daily administration of vildagliptin may be 50 or 100 mg. The application of the active ingredient may occur up to three times a day, preferably one or two times a day. Particular dosage strengths are 50 mg or 100 mg vildagliptin. Typical dosage strengths of the dual combination of vildagliptin/metformin are 50/850 mg and 50/1000 mg.

[0175]

Alogliptin may be administered to a patient at a daily dose of between 5 mg/day and 250 mg/day, optionally between 10 mg and 200 mg, optionally between 10 mg and 150 mg, and optionally between 10 mg and 100 mg of alogliptin (in each instance based on the molecular weight of the free base form of alogliptin). Thus, specific dosage amounts that may be used include, but are not limited to 10 mg, 12.5 mg, 20 mg, 25 mg, 50 mg, 75 mg and 100 mg of alogliptin per day. Alogliptin may be administered in its free base form or as a pharmaceutically acceptable salt form.

[0176]

Saxagliptin may be administered to a patient at a daily dose of between 2.5 mg/day and 100 mg/day, optionally between 2.5 mg and 50 mg. Specific dosage amounts that may be used include, but are not limited to 2.5 mg, 5 mg, 10 mg, 15 mg, 20 mg, 30 mg, 40 mg, 50 mg and 100 mg of saxagliptin per day. Typical dosage strengths of the dual combination of saxagliptin/metformin are 2.5/500 mg and 2.5/1000 mg.

[0177]

A special embodiment of the DPP-4 inhibitors of this invention refers to those orally administered DPP-4 inhibitors which are therapeutically efficacious at low dose levels, e.g. at oral dose levels <100 mg or <70 mg per patient per day, preferably <50 mg, more preferably <30 mg or <20 mg, even more preferably from 1 mg to 10 mg, particularly from 1 mg to 5 mg (more particularly 5 mg), per patient per day (if required, divided into 1 to 4 single doses, particularly 1 or 2 single doses, which may be of the same size, preferentially, administered orally once- or twice daily (more preferentially once-daily), advantageously, administered at any time of day, with or without food. Thus, for example, the daily oral amount 5 mg BI 1356 can be given in a once daily dosing regimen (i.e. 5 mg BI 1356 once daily) or in a twice daily dosing regimen (i.e. 2.5 mg BI 1356 twice daily), at any time of day, with or without food.

[0178]

A particularly preferred DPP-4 inhibitor to be emphasized within the meaning of this invention is 1-[(4-methyl-quinazolin-2-yl)methyl]-3-methyl-7-(2-butyn-1-yl)-8-(3-(R)-amino-piperidin-1-yl)-xanthine (also known as BI 1356). BI 1356 exhibits high potency, 24 h duration of action, and a wide therapeutic window. In patients with type 2 diabetes receiving multiple oral doses of 1, 2.5, 5 or 10 mg of BI 1356 once daily for 12 days, BI 1356 shows favourable pharmacodynamic and pharmacokinetic profile (see e.g. Table 1 below) with rapid attainment of steady state (e.g. reaching steady state plasma levels (>90% of the pre-dose plasma concentration on Day 13) between second and fifth day of treatment in all dose groups), little accumulation (e.g. with a mean accumulation ratio RA,AUC≦1.4 with doses above 1 mg) and preserving a long-lasting effect on DPP-4 inhibition (e.g. with almost complete (>90%) DPP-4 inhibition at the 5 mg and 10 mg dose levels, i.e. 92.3 and 97.3% inhibition at steady state, respectively, and >80% inhibition over a 24 h interval after drug intake), as well as significant decrease in 2 h postprandial blood glucose excursions by ≧80% (already on Day 1) in doses ≧2.5 mg, and with the cumulative amount of unchanged parent compound excreted in urine on Day 1 being below 1% of the administered dose and increasing to not more than about 3-6% on Day 12 (renal clearance CLR,ssis from about 14 to about 70 mL/min for the administered oral doses, e.g. for the 5 mg dose renal clearance is about 70 ml/min). In people with type 2 diabetes BI 1356 shows a placebo-like safety and tolerability. With low doses of about ≧5 mg, BI 1356 acts as a true once-daily oral drug with a full 24 h duration of DPP-4 inhibition. At therapeutic oral dose levels, BI 1356 is mainly excreted via the liver and only to a minor extent (about <7% of the administered oral dose) via the kidney. BI 1356 is primarily excreted unchanged via the bile. The fraction of BI 1356 eliminated via the kidneys increases only very slightly over time and with increasing dose, so that there will likely be no need to modify the dose of BI 1356 based on the patients' renal function. The non-renal elimination of BI 1356 in combination with its low accumulation potential and broad safety margin may be of significant benefit in a patient population that has a high prevalence of renal insufficiency and diabetic nephropathy.

[0000]

Geometric mean (gMean) and geometric coefficient of variation (gCV) of
pharmacokinetic parameters of BI 1356 at steady state (Day 12)
1 mg2.5 mg5 mg10 mg
ParametergMean (gCV)gMean (gCV)gMean (gCV)gMean (gCV)
AUC0-2440.2(39.7)85.3(22.7)118(16.0)161(15.7)
[nmol · h/L]
AUCT,ss81.7(28.3)117(16.3)158(10.1)190(17.4)
[nmol · h/L]
Cmax[nmol/L]3.13(43.2)5.25(24.5)8.32(42.4)9.69(29.8)
Cmax,ss4.53(29.0)6.58(23.0)11.1(21.7)13.6(29.6)
[nmol/L]
tmax* [h]1.50[1.00-3.00]2.00[1.00-3.00]1.75[0.92-6.02]2.00[1.50-6.00]
tmax,ss* [h]1.48[1.00-3.00]1.42[1.00-3.00]1.53[1.00-3.00]1.34[0.50-3.00]
T1/2,ss[h]121(21.3)113(10.2)131(17.4)130(11.7)
Accumulation23.9(44.0)12.5(18.2)11.4(37.4)8.59(81.2)
t1/2,[h]
RA,Cmax1.44(25.6)1.25(10.6)1.33(30.0)1.40(47.7)
RA,AUC2.03(30.7)1.37(8.2)1.33(15.0)1.18(23.4)
fe0-24[%]NC0.139(51.2)0.453(125)0.919(115)
feT,ss[%]3.34(38.3)3.06(45.1)6.27(42.2)3.22(34.2)
CLR,ss14.0(24.2)23.1(39.3)70(35.0)59.5(22.5)
[mL/min]
*median and range [min-max]
NC not calculated as most values below lower limit of quantification

[0179]

As different metabolic functional disorders often occur simultaneously, it is quite often indicated to combine a number of different active principles with one another. Thus, depending on the functional disorders diagnosed, improved treatment outcomes may be obtained if a DPP-4 inhibitor is combined with active substances customary for the respective disorders, such as e.g. one or more active substances selected from among the other antidiabetic substances, especially active substances that lower the blood sugar level or the lipid level in the blood, raise the HDL level in the blood, lower blood pressure or are indicated in the treatment of atherosclerosis or obesity.

[0180]

The DPP-4 inhibitors mentioned above—besides their use in mono-therapy—may also be used in conjunction with other active substances, by means of which improved treatment results can be obtained. Such a combined treatment may be given as a free combination of the substances or in the form of a fixed combination, for example in a tablet or capsule. Pharmaceutical formulations of the combination partner needed for this may either be obtained commercially as pharmaceutical compositions or may be formulated by the skilled man using conventional methods. The active substances which may be obtained commercially as pharmaceutical compositions are described in numerous places in the prior art, for example in the list of drugs that appears annually, the “Rote Liste®” of the federal association of the pharmaceutical industry, or in the annually updated compilation of manufacturers' information on prescription drugs known as the “Physicians' Desk Reference”.

[0181]

Examples of antidiabetic combination partners are metformin; sulphonylureas such as glibenclamide, tolbutamide, glimepiride, glipizide, gliquidon, glibornuride and gliclazide; nateglinide; repaglinide; thiazolidinediones such as rosiglitazone and pioglitazone; PPAR gamma modulators such as metaglidases; PPAR-gamma agonists such as GI 262570; PPAR-gamma antagonists; PPAR-gamma/alpha modulators such as tesaglitazar, muraglitazar, aleglitazar, indeglitazar and KRP297; PPAR-gamma/alpha/delta modulators; AMPK-activators such as AICAR; acetyl-CoA carboxylase (ACC1 and ACC2) inhibitors; diacylglycerol-acetyltransferase (DGAT) inhibitors; pancreatic beta cell GCRP agonists such as SMT3-receptor-agonists and GPR119; 11β-HSD-inhibitors; FGF19 agonists or analogues; alpha-glucosidase blockers such as acarbose, voglibose and miglitol; alpha2-antagonists; insulin and insulin analogues such as human insulin, insulin lispro, insulin glusilin, r-DNA-insulinaspart, NPH insulin, insulin detemir, insulin zinc suspension and insulin glargin; Gastric inhibitory Peptide (GIP); amylin and amylin analogues (e.g. pramlintide or davalintide); or GLP-1 and GLP-1 analogues such as Exendin-4, e.g. exenatide, exenatide LAR, liraglutide, taspoglutide, lixisenatide (AVE-0010), LY-2428757 (a PEGylated version of GLP-1), LY-2189265 (GLP-1 analogue linked to IgG4-Fc heavy chain), semaglutide or albiglutide; SGLT2-inhibitors such as KGT-1251; inhibitors of protein tyrosine-phosphatase (e.g. trodusquemine); inhibitors of glucose-6-phosphatase; fructose-1,6-bisphosphatase modulators; glycogen phosphorylase modulators; glucagon receptor antagonists; phosphoenolpyruvatecarboxykinase (PEPCK) inhibitors; pyruvate dehydrogenasekinase (PDK) inhibitors; inhibitors of tyrosine-kinases (50 mg to 600 mg) such as PDGF-receptor-kinase (cf. EP-A-564409, WO 98/35958, U.S. Pat. No. 5,093,330, WO 2004/005281, and WO 2006/041976); glucokinase/regulatory protein modulators incl. glucokinase activators; glycogen synthase kinase inhibitors; inhibitors of the SH2-domain-containing inositol 5-phosphatase type 2 (SHIP2); IKK inhibitors such as high-dose salicylate; JNK1 inhibitors; protein kinase C-theta inhibitors; beta 3 agonists such as ritobegron, YM 178, solabegron, talibegron, N-5984, GRC-1087, rafabegron, FMP825; aldosereductase inhibitors such as AS 3201, zenarestat, fidarestat, epalrestat, ranirestat, NZ-314, CP-744809, and CT-112; SGLT-1 or SGLT-2 inhibitors, such as e.g. dapagliflozin, sergliflozin, atigliflozin, canagliflozin or (1S)-1,5-anhydro-1-[3-(1-benzothiophen-2-ylmethyl)-4-fluorophenyl]-D-glucitol; KV 1.3 channel inhibitors; GPR40 modulators; SCD-1 inhibitors; CCR-2 antagonists; dopamine receptor agonists (bromocriptine mesylate [Cycloset]); sirtuin stimulants; and other DPP IV inhibitors.

[0182]

Metformin is usually given in doses varying from about 500 mg to 2000 mg up to 2500 mg per day using various dosing regimens from about 100 mg to 500 mg or 200 mg to 850 mg (1-3 times a day), or about 300 mg to 1000 mg once or twice a day, or delayed-release metformin in doses of about 100 mg to 1000 mg or preferably 500 mg to 1000 mg once or twice a day or about 500 mg to 2000 mg once a day. Particular dosage strengths may be 250, 500, 625, 750, 850 and 1000 mg of metformin hydrochloride.

[0183]

A maximal tolerated dose with regard to metformin is for example 2000 mg per day, 1500 mg per day (for example in asian countries) or 850 mg three times a day or any equivalent thereof.

[0184]

A dosage of pioglitazone is usually of about 1-10 mg, 15 mg, 30 mg, or 45 mg once a day.

[0185]

Rosiglitazone is usually given in doses from 4 to 8 mg once (or divided twice) a day (typical dosage strengths are 2, 4 and 8 mg).

[0186]

Glibenclamide (glyburide) is usually given in doses from 2.5-5 to 20 mg once (or divided twice) a day (typical dosage strengths are 1.25, 2.5 and 5 mg), or micronized glibenclamide in doses from 0.75-3 to 12 mg once (or divided twice) a day (typical dosage strengths are 1.5, 3, 4.5 and 6 mg).

[0187]

Glipizide is usually given in doses from 2.5 to 10-20 mg once (or up to 40 mg divided twice) a day (typical dosage strengths are 5 and 10 mg), or extended-release glipizide in doses from 5 to 10 mg (up to 20 mg) once a day (typical dosage strengths are 2.5, 5 and 10 mg).

[0188]

Glimepiride is usually given in doses from 1-2 to 4 mg (up to 8 mg) once a day (typical dosage strengths are 1, 2 and 4 mg).

[0189]

A dual combination of glibenclamide/metformin is usually given in doses from 1.25/250 once daily to 10/1000 mg twice daily (typical dosage strengths are 1.25/250, 2.5/500 and 5/500 mg).

[0190]

A dual combination of glipizide/metformin is usually given in doses from 2.5/250 to 10/1000 mg twice daily (typical dosage strengths are 2.5/250, 2.5/500 and 5/500 mg).

[0191]

A dual combination of glimepiride/metformin is usually given in doses from 1/250 to 4/1000 mg twice daily.

[0192]

A dual combination of rosiglitazone/glimepiride is usually given in doses from 4/1 once or twice daily to 4/2 mg twice daily (typical dosage strengths are 4/1, 4/2, 4/4, 8/2 and 8/4 mg).

[0193]

A dual combination of pioglitazone/glimepiride is usually given in doses from 30/2 to 30/4 mg once daily (typical dosage strengths are 30/4 and 45/4 mg).

[0194]

A dual combination of rosiglitazone/metformin is usually given in doses from 1/500 to 4/1000 mg twice daily (typical dosage strengths are 1/500, 2/500, 4/500, 2/1000 and 4/1000 mg).

[0195]

A dual combination of pioglitazone/metformin is usually given in doses from 15/500 once or twice daily to 15/850 mg thrice daily (typical dosage strengths are 15/500 and 15/850 mg).

[0196]

The non-sulphonylurea insulin secretagogue nateglinide is usually given in doses from 60 to 120 mg with meals (up to 360 mg/day, typical dosage strengths are 60 and 120 mg); repaglinide is usually given in doses from 0.5 to 4 mg with meals (up to 16 mg/day, typical dosage strengths are 0.5, 1 and 2 mg). A dual combination of repaglinide/metformin is available in dosage strengths of 1/500 and 2/850 mg.

[0197]

Acarbose is usually given in doses from 25 to 100 mg with meals. Miglitol is usually given in doses from 25 to 100 mg with meals.

[0198]

Examples of combination partners that lower the lipid level in the blood are HMG-CoA-reductase inhibitors such as simvastatin, atorvastatin, lovastatin, fluvastatin, pravastatin, pitavastatin and rosuvastatin; fibrates such as bezafibrate, fenofibrate, clofibrate, gemfibrozil, etofibrate and etofyllinclofibrate; nicotinic acid and the derivatives thereof such as acipimox; PPAR-alpha agonists; PPAR-delta agonists; inhibitors of acyl-coenzyme A:cholesterolacyltransferase (ACAT; EC 2.3.1.26) such as avasimibe; cholesterol resorption inhibitors such as ezetimib; substances that bind to bile acid, such as cholestyramine, colestipol and colesevelam; inhibitors of bile acid transport; HDL modulating active substances such as D4F, reverse D4F, LXR modulating active substances and FXR modulating active substances; CETP inhibitors such as torcetrapib, JTT-705 (dalcetrapib) or compound 12 from WO 2007/005572 (anacetrapib); LDL receptor modulators; MTP inhibitors (e.g. lomitapide); and ApoB100 antisense RNA.

[0199]

A dosage of atorvastatin is usually from 1 mg to 40 mg or 10 mg to 80 mg once a day

[0200]

Examples of combination partners that lower blood pressure are beta-blockers such as atenolol, bisoprolol, celiprolol, metoprolol and carvedilol; diuretics such as hydrochlorothiazide, chlortalidon, xipamide, furosemide, piretanide, torasemide, spironolactone, eplerenone, amiloride and triamterene; calcium channel blockers such as amlodipine, nifedipine, nitrendipine, nisoldipine, nicardipine, felodipine, lacidipine, lercanipidine, manidipine, isradipine, nilvadipine, verapamil, gallopamil and diltiazem; ACE inhibitors such as ramipril, lisinopril, cilazapril, quinapril, captopril, enalapril, benazepril, perindopril, fosinopril and trandolapril; as well as angiotensin II receptor blockers (ARBs) such as telmisartan, candesartan, valsartan, losartan, irbesartan, olmesartan and eprosartan.

[0201]

A dosage of telmisartan is usually from 20 mg to 320 mg or 40 mg to 160 mg per day.

[0202]

Examples of combination partners which increase the HDL level in the blood are Cholesteryl Ester Transfer Protein (CETP) inhibitors; inhibitors of endothelial lipase; regulators of ABC1; LXRalpha antagonists; LXRbeta agonists; PPAR-delta agonists; LXRalpha/beta regulators, and substances that increase the expression and/or plasma concentration of apolipoprotein A-I.

[0203]

Examples of combination partners for the treatment of obesity are sibutramine; tetrahydrolipstatin (orlistat); alizyme (cetilistat); dexfenfluramine; axokine; cannabinoid receptor 1 antagonists such as the CB1 antagonist rimonobant; MCH-1 receptor antagonists; MC4 receptor agonists; NPY5 as well as NPY2 antagonists (e.g. velneperit); beta3-AR agonists such as SB-418790 and AD-9677; 5HT2c receptor agonists such as APD 356 (lorcaserin); myostatin inhibitors; Acrp30 and adiponectin; steroyl CoA desaturase (SCD1) inhibitors; fatty acid synthase (FAS) inhibitors; CCK receptor agonists; Ghrelin receptor modulators; Pyy 3-36; orexin receptor antagonists; and tesofensine; as well as the dual combinations bupropion/naltrexone, bupropion/zonisamide, topiramate/phentermine and pramlintide/metreleptin.

[0204]

Examples of combination partners for the treatment of atherosclerosis are phospholipase A2 inhibitors; inhibitors of tyrosine-kinases (50 mg to 600 mg) such as PDGF-receptor-kinase (cf. EP-A-564409, WO 98/35958, U.S. Pat. No. 5,093,330, WO 2004/005281, and WO 2006/041976); oxLDL antibodies and oxLDL vaccines; apoA-1 Milano; ASA; and VCAM-1 inhibitors.

[0205]

The present invention is not to be limited in scope by the specific embodiments described herein. Various modifications of the invention in addition to those described herein may become apparent to those skilled in the art from the present disclosure. Such modifications are intended to fall within the scope of the appended claims.

[0206]

All patent applications cited herein are hereby incorporated by reference in their entireties.

[0207]

Further embodiments, features and advantages of the present invention may become apparent from the following examples. The following examples serve to illustrate, by way of example, the principles of the invention without restricting it.

EXAMPLES

[0208]

BI 1356, a Potent and Selective DPP-4 Inhibitor, is Safe and Efficacious in Patients with Inadequately Controlled Type 2 Diabetes Despite Metformin Therapy

[0209]

Efficacy and safety of BI 1356 (1, 5, or 10 mg qd), a potent and selective dipeptidyl peptidase-4 (DPP-4) inhibitor, was examined in inadequately controlled, metformin-treated (MET, ≧1 g daily) type 2 diabetic patients (T2DM; HbA1c at baseline 7.5-10.0%). Effects were compared to add-on of placebo (PBO) or of open label glimepiride (GLIM; 1 to 3 mg qd) in a 12-week randomized, double-blind study. Antidiabetic medication other than metformin was washed out for 6 weeks (34.7% of the patients).

[0210]

The primary endpoint was change from baseline in HbA1c, adjusted for prior antidiabetic medication. 333 patients (mean baseline HbA1c 8.3%; fasting plasma glucose [FPG] 185 mg/dL) were randomized to BI 1356, PBO or open-label GLIM. After 12 weeks, BI 1356 treatment resulted in significant placebo corrected mean reductions in HbA1c (BI 1356 1 mg, n=65, −0.39%; 5 mg, n=66, −0.75%; 10 mg, n=66, −0.73%). Patients receiving GLIM demonstrated a slightly greater mean PBO corrected reduction in HbA1c at Week 12 (n=64, −0.90%). Reductions in FPG from baseline to Week 12 with BI 1356 were statistically significant (1 mg, −19 mg/dL; 5 mg, −35 mg/dL; 10 mg, −30 mg/dL). Hence, a dose-response relationship was demonstrated for HbA1c and FPG, reaching an effect plateau at 5 mg of BI 1356. For this dose, >80% DPP-4 inhibition at trough in >80% of the patients at week 12 was achieved.

[0211]

In total, 106 patients (43.1%) experienced adverse events (AEs) with similar incidences across all treatments. Most frequently reported episodes were nasopharyngitis (7.5%), diarrhoea (3.3%), and nausea (3.0%). Drug-related hypoglycaemia did not occur with BI 1356 or PBO but in 3 patients receiving GLIM. Ten patients (3.7%) experienced serious AEs but none of these events were considered drug-related.

[0212]

The addition of BI 1356 to MET in patients with T2DM inadequately controlled on MET alone achieved clinically relevant and statistically significant reductions in HbA1c. Combination treatment with BI 1356 1, 5, and 10 mg and MET was well tolerated and no case of hypoglycaemia was reported. The incidence of AEs was comparable with BI 1356 and PBO.

[0000]

BI 1356, a Potent and Selective DPP-4 Inhibitor, does not Prolong the QT interval when Given in Therapeutic and 20-Fold Supratherapeutic Doses

[0213]

A thorough QT study of BI 1356, a potent and selective dipeptidyl peptidase-4 inhibitor, was performed in healthy female and male subjects, using 5 mg (therapeutic dose) and 100 mg. The study was a randomised, single-dose, placebo-controlled, double-blind, four-way crossover study with open-label moxifloxacin (400 mg) as positive control. Triplicate 12-lead electrocardiograms (ECGs) of 10 seconds' duration were recorded for all subjects pre-dose and at various time points over a 24-h period after each treatment. The primary parameter was the subject-specific heart rate corrected QT interval (QTcI).

[0214]

Forty-four subjects were enrolled, 26 (59.1%) of whom were male. The mean age was 36.4 years (range 22 to 48 years). The maximum gMean concentration after single oral administration was 7.05 nM (28.5% gCV) for 5 mg BI 1356, and 267 nM (66.6% gCV) for 100 mg BI 1356.

[0215]

The upper limits of the one-sided 95% confidence intervals of the adjusted mean QTcI change from baseline (1-4 h) of BI 1356 compared with placebo were 0.5 ms (5 mg) and −0.9 ms (100 mg) with mean estimates of −1.1 and −2.5 ms, respectively. Over the 24 h observation period, the maximum upper limits of the one-sided 95% confidence intervals for the adjusted QTcI changes from baseline compared with placebo were below 2.5 ms for both doses and thus well below the non-inferiority margin of 10 ms. Assay sensitivity of the trial was shown by the largest estimated effect size of the QTcI difference between moxifloxacin and placebo being 10.5 ms with a lower limit of the two-sided 90% confidence interval of 8.1 ms.

[0216]

There were no notable changes in heart rate or other ECG parameters, and overall the safety assessment yielded similar results for all treatments.

[0217]

In summary, single dose administration of therapeutic (5 mg) and supratherapeutic (100 mg) doses of BI 1356 did not prolong the QT interval. The supratherapeutic dose resulted in maximum plasma concentrations that were about 38-fold higher than those obtained after the administration of the therapeutic dose of 5 mg, providing further support for the unique safety profile of BI 1356 within the class of DPP-4 inhibitors.

Как компенсировать расходы
на инновационную разработку
Похожие патенты