заявка
№ US 20110286962
МПК A61K31/7076

COMPOUNDS AND PHARMACEUTICAL COMPOSITIONS FOR THE TREATMENT OF VIRAL INFECTIONS

Авторы:
Jean-Pierre SOMMADOSSI Gilles Gosselin Claire Pierra
Все (15)
Номер заявки
13116890
Дата подачи заявки
26.05.2011
Опубликовано
24.11.2011
Страна
US
Дата приоритета
14.12.2025
Номер приоритета
Страна приоритета
Как управлять
интеллектуальной собственностью
Чертежи 
2
Реферат

Provided herein are compounds, compositions and methods for the treatment of liver disorder, including HCV and/or HBV infections. Specifically, compound and compositions of nucleoside derivatives are disclosed, which can be administered either alone or in combination with other anti-viral agents.

Формула изобретения

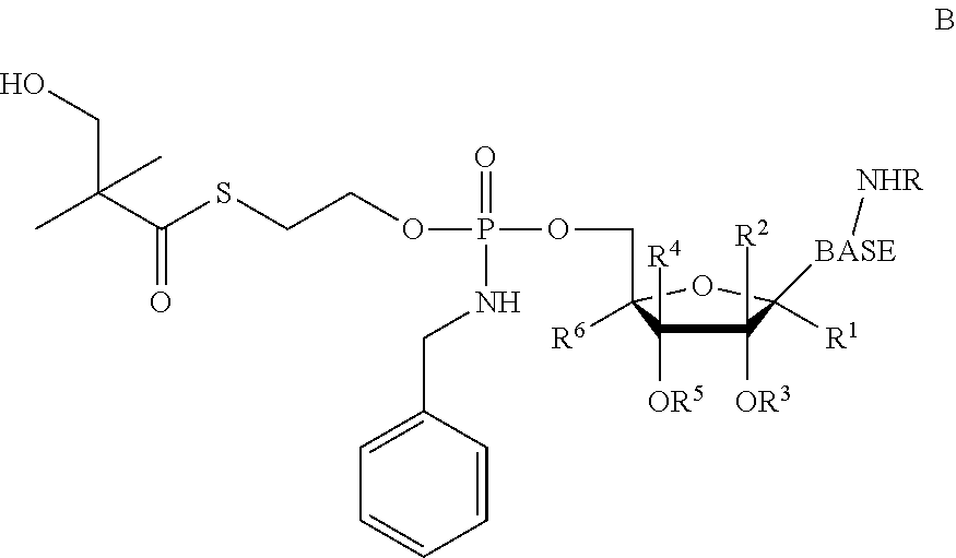
1. A compound of formula

or a pharmaceutically acceptable salt, a stereoisomeric, tautomeric or polymorphic form thereof, wherein;

Ryis optionally substituted alkyl, alkenyl, alkynyl, aryl, arylalkyl, cycloalkyl, cycloalkenyl, hydroxyalkyl, amino, heterocyclyl or heteroaryl;

Raand Rbare selected as follows:

i) Raand Rbare each independently hydrogen or optionally substituted alkyl, carboxyalkyl, hydroxyalkyl, hydroxyarylalkyl, acyloxyalkyl, aminocarbonylalkyl, alkoxycarbonylalkyl, aryl, arylalkyl, cycloalkyl, heteroaryl or heterocyclyl; or

ii) Raand Rbtogether with the nitrogen atom on which they are substituted form a 3-7 membered heterocyclic or heteroaryl ring; and

R1is a moiety derivable by removal of a hydrogen from a hydroxy group of an anti-viral drug,

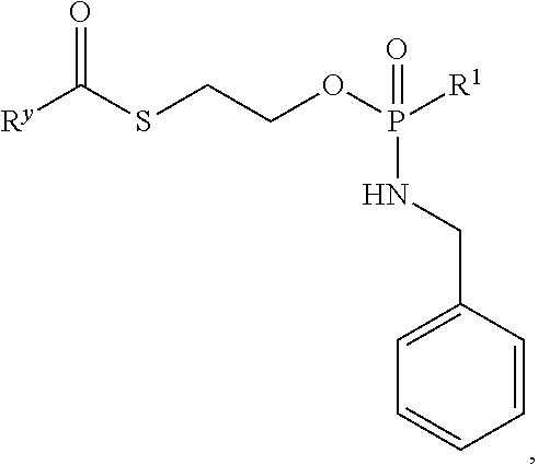
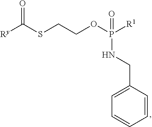
and wherein optionally, when Ryis tert-butyl or hydroxy-tert-butyl, then R1is not 3% azido-2′,3″-dideoxythymidine.

2. The compound of claim 1 having the formula:

or a pharmaceutically acceptable salt, a stereoisomeric, tautomeric or polymorphic form thereof.

3. The compound of claim 1 having the formula:

or a pharmaceutically acceptable salt, a stereoisomeric, tautomeric or polymorphic form thereof.

4. The compound of claim 1 having the formula:

or a pharmaceutically acceptable salt, a stereoisomeric, tautomeric or polymorphic form thereof.

5. The compound of claim 1 having the formula:

wherein R2and R3are each independently H, or R2and R3are linked to form a cyclic group by an alkyl, ester or carbamate linkage;

or a pharmaceutically acceptable salt, a stereoisomeric, tautomeric or polymorphic form thereof.

6. The compound of claim 1 having the formula:

wherein Rdis hydrogen, methyl or methoxy;

each RLis independently H, carbamyl, straight chained, branched or cyclic alkyl; acyl; CO-alkyl, CO-aryl, CO-alkoxyalkyl, CO-aryloxyalkyl, CO-substituted aryl, sulfonate ester, a lipid, an amino acid; an amino acid residue; or a carbohydrate;

or a pharmaceutically acceptable salt, a stereoisomeric, tautomeric or polymorphic form thereof.

7. The compound of claim 1 having the formula:

or a pharmaceutically acceptable salt, a stereoisomeric, tautomeric or polymorphic form thereof.

8. The compound of claim 1 wherein Ryis substituted alkyl and Raand Rbare independently hydrogen, alkyl, substituted alkyl, benzyl or substituted benzyl.

9. The compound of claim 7 wherein Ryis hydroxyalkyl or aminoalkyl.

10. The compound of claim 1 wherein Ryis —ORc, —C(Rc)3or —NHRcwhere each Rcis independently alkyl, substituted alkyl, aryl or substituted aryl; and Raand Rbare independently hydrogen, alkyl, substituted alkyl, benzyl or substituted benzyl.

11. The compound of claim 1 wherein Raand Rbare independently hydrogen, benzyl or substituted alkyl.

12. The compound of claim 1 wherein Ryis selected from the group consisting of alkyl and hydroxyalkyl.

13. The compound of claim 1 wherein Ryis —C(CH3)2CH2OH.

14. The compound of claim 1 wherein R2and R3are each hydrogen, Rais hydrogen, Rbis benzyl and Ryis —C(CH3)2CH2OH.

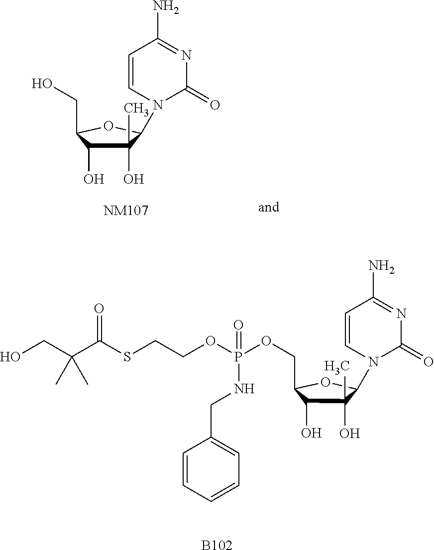
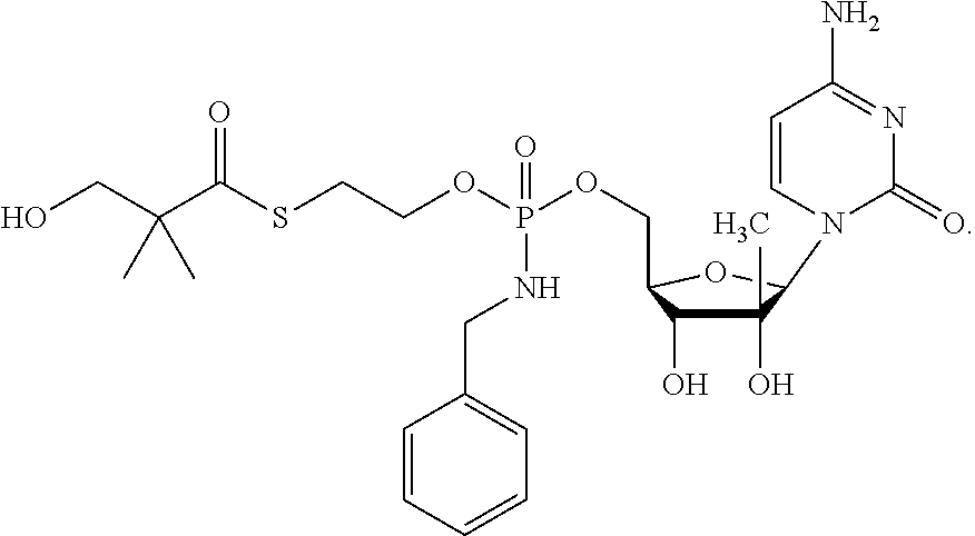
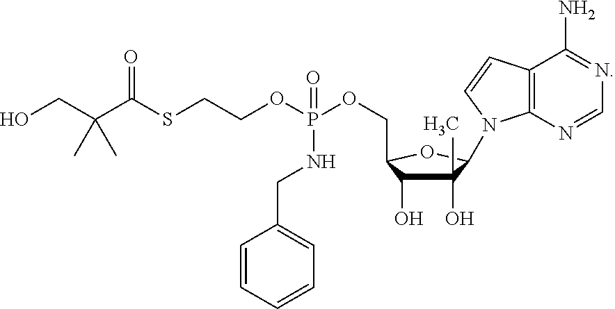
15. The compound of claim 1, wherein R1is selected from ribavirin, viramidine, valopicitabine, PSI-6130 and MK-0608.

16. The compound of claim 1, wherein R1is selected from resiquimod and celgosivir.

17. The compound of claim 1, wherein R1is selected from lamivudine, entecavir, telbivudine, racivir, emtricitabine, clevudine, amdoxovir, valtorcitabine, tenofovir and adefovir.

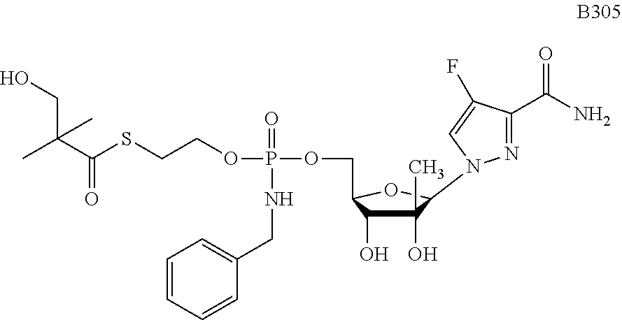
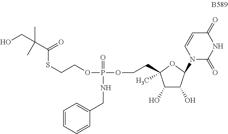
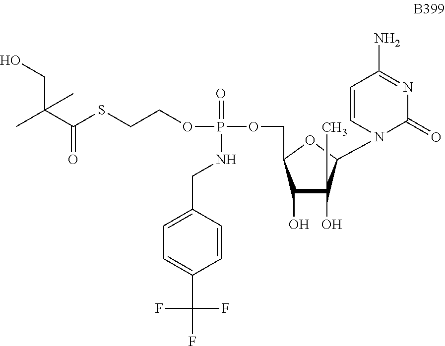
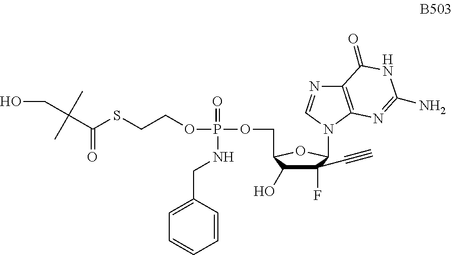
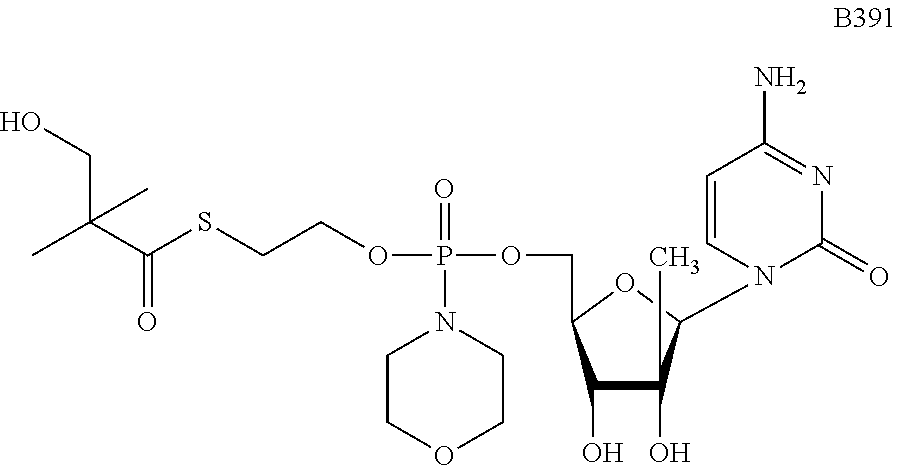
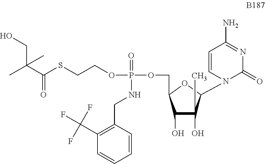
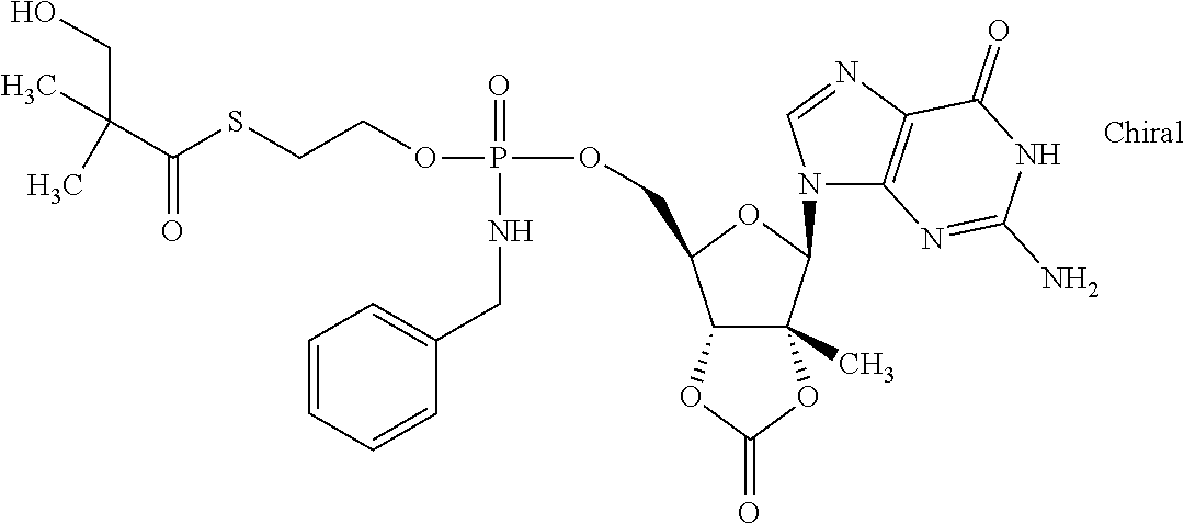
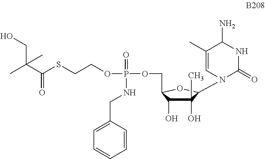
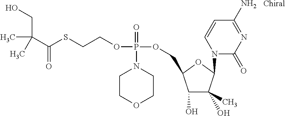
18. The compound of claim 1 selected from:

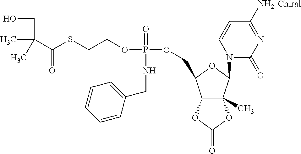
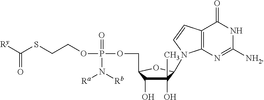
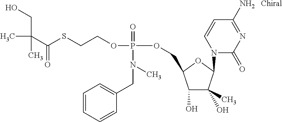
19. The compound of claim 1 having the structure:

20. A method for the treatment of a host infected with a Flaviviridae virus or hepatitis B virus, comprising administering an effective treatment amount of a compound of claim 1.

21. The method of claim 20, wherein the virus is hepatitis C.

22. The method of claim 21, wherein the host is a human.

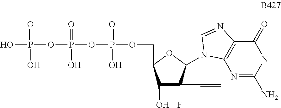
23. The method of claim 21 wherein the compound is

or a pharmaceutically acceptable salt or stereoisomer thereof.

24. The method of claim 21, wherein said administration directs a substantial amount of said compound or pharmaceutically acceptable salt or stereoisomer thereof to the liver of said host.

25. The method of claim 21, wherein said compound or pharmaceutically acceptable salt or stereoisomer thereof is administered in combination or alternation with a second anti-viral agent optionally selected from the group consisting of an interferon, a ribavirin, an interleukin, a NS3 protease inhibitor, a cysteine protease inhibitor, a phenanthrenequinone, a thiazolidine derivative, a thiazolidine, a benzanilide, a helicase inhibitor, a polymerase inhibitor, a nucleotide analogue, a gliotoxin, a cerulenin, an antisense phosphorothioate oligodeoxynucleotide, an inhibitor of IRES-dependent translation, and a ribozyme.

26. The method of claim 24, wherein said compound or pharmaceutically acceptable salt or stereoisomer thereof is administered in combination or alternation with a second anti-viral agent, optionally selected from the group consisting of an interferon, a ribavirin, an interleukin, a NS3 protease inhibitor, a cysteine protease inhibitor, a phenanthrenequinone, a thiazolidine derivative, a thiazolidine, a benzanilide, a helicase inhibitor, a polymerase inhibitor, a nucleotide analogue, a gliotoxin, a cerulenin, an antisense phosphorothioate oligodeoxynucleotide, an inhibitor of IRES-dependent translation, and a ribozyme.

27. The method of claim 26, wherein the second agent is selected from the group consisting of pegylated interferon alpha 2a, interferon alphacon-1, natural interferon, albuferon, interferon beta-1a, omega interferon, interferon alpha, interferon gamma, interferon tau, interferon delta and interferon γ-1b.

28. The method of claim 24, wherein the host is a human.

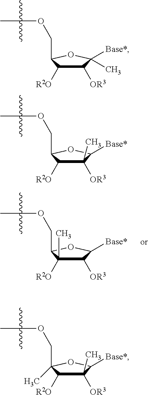
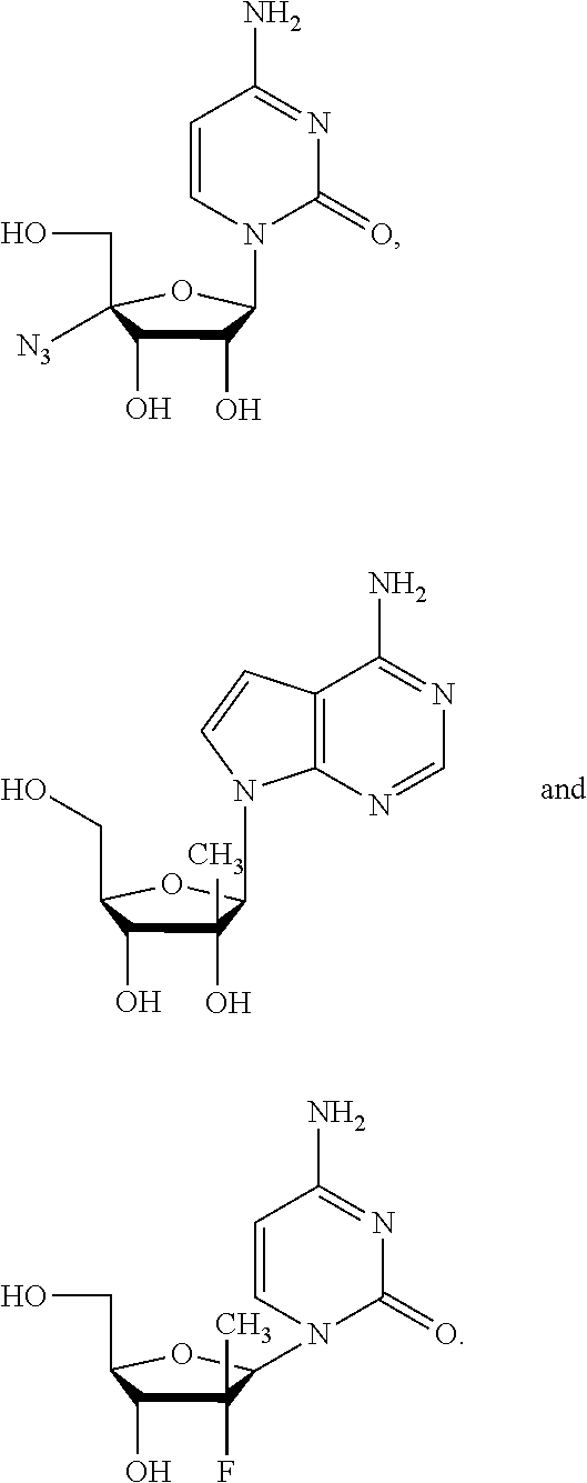
29. The method of claim 28, wherein said administration directs a substantial amount of said compound or pharmaceutically acceptable salt or stereoisomer thereof to the liver of said host.

30. The method of claim 20 comprising treating a human host infected with hepatitis B virus.

31. The method of claim 30, wherein the compound is of the formula

wherein Ryis hydroxyalkyl and optionally is —C(CH3)2CH2OH;

wherein Raand Rbare independently hydrogen, alkyl, substituted alkyl, benzyl or substituted benzyl; and

wherein optionally the compound is

and wherein optionally said compound or pharmaceutically acceptable salt thereof is administered in combination or alternation with a second anti-viral agent optionally selected from interferon alfa-2b, Peginterferon alfa-2a, lamivudine, entecavir, telbivudine, racivir, emtricitabine, clevudine, amdoxovir, valtorcitabine, tenofovir and adefovir.

32. The method of claim 31, wherein said administration directs a substantial amount of said compound or pharmaceutically acceptable salt thereof to the liver of said host.

33. A method of treatment of a hepatitis C or B infection, comprising administering to an individual in need thereof a treatment effective amount of a phosphoramidate or phosphonoamidate derivative of a nucleoside or nucleoside analogue or a pharmaceutically acceptable salt or stereoisomer thereof.

34. A pharmaceutical composition comprising a compound of claim 1 and a pharmaceutically acceptable excipient, carrier or diluent.

35. The composition of claim 34, wherein the compound is

or a pharmaceutically acceptable salt or stereoisomer thereof.

36. The composition of claim 34, wherein the compound is selected from

or a pharmaceutically acceptable salt or stereoisomer thereof.

37. The composition of claim 34, wherein the composition is an oral formulation.

38. The composition of claim 36, wherein the composition is an oral formulation.

39. A method for the treatment of a host infected with a Flaviviridae virus or hepatitis B virus, comprising administering ribavirin in combination or alteration with a compound of formula:

or a pharmaceutically acceptable salt, a stereoisomeric, tautomeric or polymorphic form thereof, wherein;

Ryis optionally substituted alkyl, alkenyl, alkynyl, aryl, arylalkyl, cycloalkyl, cycloalkenyl, hydroxyalkyl, amino, heterocyclyl or heteroaryl;

Raand Rbare selected as follows:

i) Raand Rbare each independently hydrogen or optionally substituted alkyl, carboxyalkyl, hydroxyalkyl, hydroxyarylalkyl, acyloxyalkyl, aminocarbonylalkyl, alkoxycarbonylalkyl, aryl, arylalkyl, cycloalkyl, heteroaryl or heterocyclyl; or

ii) Raand Rbtogether with the nitrogen atom on which they are substituted form a 3-7 membered heterocyclic or heteroaryl ring; and

R1is a moiety derivable by removal of a hydrogen from a hydroxy group of an anti-viral drug,

and wherein optionally, when Ryis tert-butyl or hydroxy-tert-butyl, then R1is not 3′-azido-2′,3-dideoxythymidine.

40. The method of claim 39, wherein the compound has formula:

or a pharmaceutically acceptable salt, a stereoisomeric, tautomeric or polymorphic form thereof.

41. The method of claim 39, wherein the compound has formula:

or a pharmaceutically acceptable salt, a stereoisomeric, tautomeric or polymorphic form thereof.

42. The method of claim 39, wherein the compound has formula:

or a pharmaceutically acceptable salt, a stereoisomeric, tautomeric or polymorphic form thereof.

43. The method of claim 39, wherein the compound has formula:

wherein R2and R3are each independently H, or R2and R3are linked to form a cyclic group by an alkyl, ester or carbamate linkage;

or a pharmaceutically acceptable salt, a stereoisomeric, tautomeric or polymorphic form thereof.

44. The method of claim 39 having the formula:

wherein Rdis hydrogen, methyl or methoxy;

each RLis independently H, carbamyl, straight chained, branched or cyclic alkyl; acyl; CO-alkyl, CO-aryl, CO-alkoxyalkyl, CO-aryloxyalkyl, CO-substituted aryl, sulfonate ester, a lipid, an amino acid; an amino acid residue; or a carbohydrate;

or a pharmaceutically acceptable salt, a stereoisomeric, tautomeric or polymorphic form thereof.

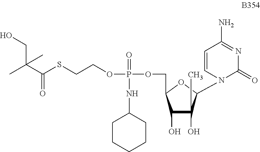
45. The method of claim 1, wherein the compound is selected from:

46. The method of claim 48, wherein the virus is hepatitis C.

47. The method of claim 21, wherein the host is a human.

48. A method for the treatment of a host infected with a Flaviviridae virus or hepatitis B virus, comprising contacting a cell infected with the virus with ribavirin in combination or alteration with a compound of formula:

or a pharmaceutically acceptable salt, a stereoisomeric, tautomeric or polymorphic form thereof, wherein;

Ryis optionally substituted alkyl, alkenyl, alkynyl, aryl, arylalkyl, cycloalkyl, cycloalkenyl, hydroxyalkyl, amino, heterocyclyl or heteroaryl;

Raand Rbare selected as follows:

i) Raand Rbare each independently hydrogen or optionally substituted alkyl, carboxyalkyl, hydroxyalkyl, hydroxyarylalkyl, acyloxyalkyl, aminocarbonylalkyl, alkoxycarbonylalkyl, aryl, arylalkyl, cycloalkyl, heteroaryl or heterocyclyl; or

ii) Raand Rbtogether with the nitrogen atom on which they are substituted form a 3-7 membered heterocyclic or heteroaryl ring; and

R1is a moiety derivable by removal of a hydrogen from a hydroxy group of an anti-viral drug,

and wherein optionally, when Ryis tert-butyl or hydroxy-tert-butyl, then R1is not 3′-azido-2,3′-dideoxythymidine.

49. The method of claim 48, wherein the compound has formula:

or a pharmaceutically acceptable salt, a stereoisomeric, tautomeric or polymorphic form thereof.

50. The method of claim 48, wherein the compound has formula:

or a pharmaceutically acceptable salt, a stereoisomeric, tautomeric or polymorphic form thereof.

51. The method of claim 48, wherein the compound has formula:

or a pharmaceutically acceptable salt, a stereoisomeric, tautomeric or polymorphic form thereof.

52. The method of claim 48, wherein the compound has formula:

wherein R2and R3are each independently H, or R2and R3are linked to form a cyclic group by an alkyl, ester or carbamate linkage;

or a pharmaceutically acceptable salt, a stereoisomeric, tautomeric or polymorphic form thereof.

53. A kit comprising a combination, wherein the combination comprises a compound and ribavirin, wherein the compound has formula:

or a pharmaceutically acceptable salt, a stereoisomeric, tautomeric or polymorphic form thereof, wherein;

Ryis optionally substituted alkyl, alkenyl, alkynyl, aryl, arylalkyl, cycloalkyl, cycloalkenyl, hydroxyalkyl, amino, heterocyclyl or heteroaryl;

Raand Rbare selected as follows:

i) Raand Rbare each independently hydrogen or optionally substituted alkyl, carboxyalkyl, hydroxyalkyl, hydroxyarylalkyl, acyloxyalkyl, aminocarbonylalkyl, alkoxycarbonylalkyl, aryl, arylalkyl, cycloalkyl, heteroaryl or heterocyclyl; or

ii) Raand Rbtogether with the nitrogen atom on which they are substituted form a 3-7 membered heterocyclic or heteroaryl ring; and

R1is a moiety derivable by removal of a hydrogen from a hydroxy group of an anti-viral drug,

and wherein optionally, when Ryis tert-butyl or hydroxy-tert-butyl, then R1is not 3% azido-2′,3″-dideoxythymidine. thereof.

Описание

CROSS REFERENCE TO RELATED APPLICATIONS

[0001]

This patent applications claims the benefit of priority to 1) U.S. Provisional Appl. No. 60/877,944, filed Dec. 28, 2006; 2) U.S. Provisional Appl. No. 60/936,290, filed Jun. 18, 2007; and 3) U.S. Provisional Application No. 60/985,891, filed Nov. 6, 2007. The disclosures of the above referenced applications are incorporated by reference in their entirety herein.

FIELD

[0002]

Provided herein are compounds, methods and pharmaceutical compositions, for use in treatment of viral infections, including hepatitis C virus infection, and hepatitis B virus infection in a host in need thereof. In a particular embodiment, phosphoroamidate or phosphonoamidate nucleoside compounds are provided which allow concentration of the drug in the liver.

BACKGROUND

[0003]

Flaviviridae Viruses

[0004]

The Flaviviridae family of viruses comprises at least three distinct genera: pestiviruses, which cause disease in cattle and pigs; flaviviruses, which are the primary cause of diseases such as dengue fever and yellow fever; and hepaciviruses, whose sole member is HCV. The flavivirus genus includes more than 68 members separated into groups on the basis of serological relatedness (Calisher et al., J. Gen. Virol, 1993, 70, 37-43). Clinical symptoms vary and include fever, encephalitis and hemorrhagic fever (Fields Virology, Editors: Fields, B. N., Knipe, D. M., and Howley, P. M., Lippincott-Raven Publishers, Philadelphia, Pa., 1996, Chapter 31, 931-959). Flaviviruses of global concern that are associated with human disease include the dengue hemorrhagic fever viruses (DHF), yellow fever virus, shock syndrome and Japanese encephalitis virus (Halstead, S. B., Rev. Infect. Dis., 1984, 6, 251-264; Halstead, S. B., Science, 239:476-481, 1988; Monath, T. P., New Eng. J. Med., 1988, 319, 641-643).

[0005]

The pestivirus genus includes bovine viral diarrhea virus (BVDV), classical swine fever virus (CSFV, also called hog cholera virus) and border disease virus (BDV) of sheep (Moennig, V. et al. Adv. Vir. Res. 1992, 41, 53-98). Pestivirus infections of domesticated livestock (cattle, pigs and sheep) cause significant economic losses worldwide. BVDV causes mucosal disease in cattle and is of significant economic importance to the livestock industry (Meyers, G. and Thiel, H.-J., Advances in Virus Research, 1996, 47, 53-118; Moennig V., et al, Adv. Vir. Res. 1992, 41, 53-98). Human pestiviruses have not been as extensively characterized as the animal pestiviruses. However, serological surveys indicate considerable pestivirus exposure in humans.

[0006]

Pestiviruses and hepaciviruses are closely related virus groups within the Flaviviridae family. Other closely related viruses in this family include the GB virus A, GB virus A-like agents, GB virus-B and GB virus-C (also called hepatitis G virus, HGV). The hepacivirus group (hepatitis C virus; HCV) consists of a number of closely related but genotypically distinguishable viruses that infect humans. There are approximately 6 HCV genotypes and more than 50 subtypes. Due to the similarities between pestiviruses and hepaciviruses, combined with the poor ability of hepaciviruses to grow efficiently in cell culture, bovine viral diarrhea virus (BVDV) is often used as a surrogate to study the HCV virus.

[0007]

The genetic organization of pestiviruses and hepaciviruses is very similar. These positive stranded RNA viruses possess a single large open reading frame (ORF) encoding all the viral proteins necessary for virus replication. These proteins are expressed as a polyprotein that is co- and post-translationally processed by both cellular and virus-encoded proteinases to yield the mature viral proteins. The viral proteins responsible for the replication of the viral genome RNA are located within approximately the carboxy-terminal. Two-thirds of the ORF are termed nonstructural (NS) proteins. The genetic organization and polyprotein processing of the nonstructural protein portion of the ORF for pestiviruses and hepaciviruses is very similar. For both the pestiviruses and hepaciviruses, the mature nonstructural (NS) proteins, in sequential order from the amino-terminus of the nonstructural protein coding region to the carboxy-terminus of the ORF, consist of p7, NS2, NS3, NS4A, NS4B, NS5A, and NS5B.

[0008]

The NS proteins of pestiviruses and hepaciviruses share sequence domains that are characteristic of specific protein functions. For example, the NS3 proteins of viruses in both groups possess amino acid sequence motifs characteristic of serine proteinases and of helicases (Gorbalenya et al. (1988) Nature 333:22; Bazan and Fletterick (1989) Virology 171:637-639; Gorbalenya et al. (1989) Nucleic Acid Res. 17.3889-3897). Similarly, the NS5B proteins of pestiviruses and hepaciviruses have the motifs characteristic of RNA-directed RNA polymerases (Koonin, E. V. and Dolja, V. V. (1993) Crit. Rev. Biochem. Molec. Biol. 28:375-430).

[0009]

The actual roles and functions of the NS proteins of pestiviruses and hepaciviruses in the lifecycle of the viruses are directly analogous. In both cases, the NS3 serine proteinase is responsible for all proteolytic processing of polyprotein precursors downstream of its position in the ORF (Wiskerchen and Collett (1991) Virology 184:341-350; Bartenschlager et al. (1993) J. Virol. 67:3835-3844; Eckart et al. (1993) Biochem. Biophys. Res. Comm. 192:399-406; Grakoui et al. (1993) J. Virol. 67:2832-2843; Grakoui et al. (1993) Proc. Natl. Acad. Sci. USA 90:10583-10587; Hijikata et al. (1993) J. Virol. 67:4665-4675; Tome et al. (1993) J. Virol. 67:4017-4026). The NS4A protein, in both cases, acts as a cofactor with the NS3 serine protease (Bartenschlager et al. (1994) J. Virol. 68:5045-5055; Failla et al. (1994) J. Virol. 68: 3753-3760; Lin et al. (1994) 68:8147-8157; Xu et al. (1997) J. Virol. 71:5312-5322). The NS3 protein of both viruses also functions as a helicase (Kim et al. (1995) Biochem. Biophys. Res. Comm. 215: 160-166; Jin and Peterson (1995) Arch. Biochem. Biophys., 323:47-53; Warrener and Collett (1995) J. Virol. 69:1720-1726). Finally, the NS5B proteins of pestiviruses and hepaciviruses have the predicted RNA-directed RNA polymerases activity (Behrens et al. (1996) EMBO J. 15:12-22; Lehmann et al. (1997) J. Virol. 71:8416-8428; Yuan et al. (1997) Biochem. Biophys. Res. Comm. 232:231-235; Hagedorn, PCT WO 97/12033; U.S. Pat. Nos. 5,981,247; 6,248,589 and 6,461,845 Zhong et al. (1998) J. Virol. 72.9365-9369).

[0010]

Hepatitis C Virus

[0011]

The hepatitis C virus (HCV) is the leading cause of chronic liver disease worldwide. (Boyer, N. et al. J. Hepatol. 32:98-112, 2000). HCV causes a slow growing viral infection and is the major cause of cirrhosis and hepatocellular carcinoma (Di Besceglie, A. M. and Bacon, B. R., Scientific American, October: 80-85, (1999); Boyer, N. et al. J. Hepatol. 32:98-112, 2000). An estimated 170 million persons are infected with HCV worldwide. (Boyer, N. et al. J. Hepatol. 32:98-112, 2000). Cirrhosis caused by chronic hepatitis C infection accounts for 8,000-12,000 deaths per year in the United States, and HCV infection is the leading indication for liver transplantation.

[0012]

HCV is known to cause at least 80% of posttransfusion hepatitis and a substantial proportion of sporadic acute hepatitis. Preliminary evidence also implicates HCV in many cases of “idiopathic” chronic hepatitis, “cryptogenic” cirrhosis, and probably hepatocellular carcinoma unrelated to other hepatitis viruses, such as Hepatitis B Virus (HBV). A small proportion of healthy persons appear to be chronic HCV carriers, varying with geography and other epidemiological factors. The numbers may substantially exceed those for HBV, though information is still preliminary; how many of these persons have subclinical chronic liver disease is unclear. (The Merck Manual, ch. 69, p. 901, 16th ed., (1992)).

[0013]

HCV is an enveloped virus containing a positive-sense single-stranded RNA genome of approximately 9.4 kb. The viral genome consists of a 5′ untranslated region (UTR), a long open reading frame encoding a polyprotein precursor of approximately 3011 amino acids, and a short 3′ UTR. The 5′ UTR is the most highly conserved part of the HCV genome and is important for the initiation and control of polyprotein translation. Translation of the HCV genome is initiated by a cap-independent mechanism known as internal ribosome entry. This mechanism involves the binding of ribosomes to an RNA sequence known as the internal ribosome entry site (IRES). An RNA pseudoknot structure has recently been determined to be an essential structural element of the HCV IRES. Viral structural proteins include a nucleocapsid core protein (C) and two envelope glycoproteins, E1 and E2. HCV also encodes two proteinases, a zinc-dependent metalloproteinase encoded by the NS2-NS3 region and a serine proteinase encoded in the NS3 region. These proteinases are required for cleavage of specific regions of the precursor polyprotein into mature peptides. The carboxyl half of nonstructural protein 5, NS5B, contains the RNA-dependent RNA polymerase. The function of the remaining nonstructural proteins, NS4A and NS4B, and that of NS5A (the amino-terminal half of nonstructural protein 5) remain unknown.

[0014]

A significant focus of current antiviral research is directed to the development of improved methods of treatment of chronic HCV infections in humans (Di Besceglie, A. M. and Bacon, B. R., Scientific American, October: 80-85, (1999)).

[0015]

In light of the fact that HCV infection has reached epidemic levels worldwide, and has tragic effects on the infected patient, there remains a strong need to provide new effective pharmaceutical agents to treat hepatitis C that have low toxicity to the host.

[0016]

Further, given the rising threat of other flaviviridae infections, there remains a strong need to provide new effective pharmaceutical agents that have low toxicity to the host.

[0017]

Hepatitis B

[0018]

Hepatitis B virus has reached epidemic levels worldwide. After a two to six month incubation period in which the host is unaware of the infection, HBV infection can lead to acute hepatitis and liver damage, that causes abdominal pain, jaundice, and elevated blood levels of certain enzymes. HBV can cause fulminant hepatitis, a rapidly progressive, often fatal form of the disease in which massive sections of the liver are destroyed. Patients typically recover from acute viral hepatitis. In some patients, however, high levels of viral antigen persist in the blood for an extended, or indefinite, period, causing a chronic infection. Chronic infections can lead to chronic persistent hepatitis. Patients infected with chronic persistent HBV are most common in developing countries. Chronic persistent hepatitis can cause fatigue, cirrhosis of the liver and hepatocellular carcinoma, a primary liver cancer. In western industrialized countries, high risk groups for HBV infection include those in contact with HBV carriers or their blood samples. The epidemiology of HBV is in fact very similar to that of acquired immunodeficiency syndrome, which accounts for why HBV infection is common among patients with AIDS or HIV-associated infections. However, HBV is more contagious than HIV.

[0019]

Daily treatments with α-interferon, a genetically engineered protein, have shown promise. A human serum-derived vaccine has also been developed to immunize patients against HBV. Vaccines have been produced through genetic engineering. While the vaccine has been found effective, production of the vaccine is troublesome because the supply of human serum from chronic carriers is limited, and the purification procedure is long and expensive. Further, each batch of vaccine prepared from different serum must be tested in chimpanzees to ensure safety. In addition, the vaccine does not help the patients already infected with the virus.

[0020]

An essential step in the mode of action of purine and pyrimidine nucleosides against viral diseases, and in particular, HBV and HCV is their metabolic activation by cellular kinases, to yield the mono-, di- and triphosphate derivatives. The biologically active species of many nucleosides is the triphosphate form, which inhibits viral DNA polymerase, RNA polymerase, or reverse transcriptase, or causes chain termination.

[0021]

In light of the fact that hepatitis B and C viruses have reached epidemic levels worldwide, and has severe and often tragic effects on the infected patient, there remains a strong need to provide new effective pharmaceutical agents to treat humans infected with the virus that have low toxicity to the host.

[0022]

Therefore, there is a continuing need for effective treatments of HCV and HBV infections.

SUMMARY

[0023]

Phosphoramidate and phosphonoamidate compounds of a variety of therapeutic agents are provided, as well as methods for their manufacture and use in the treatment of a variety of disorders including liver disorders. Such compounds can be used in some embodiments to permit concentration of the therapeutic agent in the liver. In one embodiment, the compound is a S-pivaloyl-2-thioethyl phosphoramidate, S-pivaloyl-2-thioethyl phosphonoamidate, S-hydroxypivaloyl-2-thioethyl phosphoramidate or S-hydroxypivaloyl-2-thioethyl phosphonoamidate.

[0024]

Phosphoramidate or phosphonoamidate compounds of a variety of therapeutic agents are provided. As used herein, a “phosphoramidate or phosphonoamidate compound of a therapeutic agent” includes a therapeutic agent derivatized to include a phosphoramidate or phosphonoamidate group. The therapeutic agent is, for example, an anti-viral agent that includes, or has been derivatized to include, a reactive group, such as a hydroxyl, for attachment of the phosphoramidate or phosphonoamidate moiety. Such therapeutic agents include, but are not limited to nucleosides and nucleoside analogs including acyclic nucleosides. In some embodiments, phosphoramidates of nucleotides and nucleotide analogs are also provided, such as phosphoramidates of 1′, 2′, 3′-branched and 4′-branched nucleosides. Such compounds can be administered in an effective amount for the treatment of liver disorders, including infectious diseases, such as hepatitis B and hepatitis C infection, including resistant strains thereof.

[0025]

In certain embodiments, while not being limited to any theory, it is possible that the parent drug is obtained from selective metabolism of the phosphoramidate or phosphonoamidate compound in the liver, and thus the parent drug is capable of accumulating in the liver of a host. By selectively targeting and activating compounds in the liver, potentially undesired distribution of active compound in the gastrointestinal tract can be reduced. Moreover, therapeutic amounts of active compound at the site of infection in the liver can be increased.

[0026]

In certain embodiments, a 5′-monophosphate or phosphonate of a parent nucleoside (or nucleoside derivative) drug is formed from metabolism of the phosphoramidate or phosphonoamidate compound in the liver, allowing the monophosphate or phosphonate to form and accumulate in the liver of a host. Thus, in certain embodiments, the phosphoramidate in effect provides a stabilized phosphate on the nucleoside or nucleoside analogue. In certain embodiments, where the compound needs to be triphosphorylated to be active, this advantageously can eliminate the requirement for the initial phosphorylation step, and promote more ready formation of the active triphosphate, which inhibits the target enzyme, and can enhance the overall activity of the nucleoside or nucleoside analog.

[0027]

Without being limited to any theory, in one embodiment, a phosphoramidate of a nucleoside, such as a 2′-C-methyl-ribonucleoside, is provided, that is selectively concentrated in the liver after oral administration, and metabolized in the liver cell to yield a 5′-monophosphate that can be enzymatically converted to the active form of the 5′-triphosphate, which inhibits the HCV polymerase. Thus potentially therapeutic doses can be reduced in comparison to administering the nucleoside parent molecule.

[0028]

Thus, in some embodiments, after oral administration of the phosphoramidate and phosphonamidate compounds described herein, the compounds can advantageously concentrate in the liver cells at the site of infection and convert to the phosphate or phosphonate in the liver cell, which then is optionally further phosphorylated to implement its therapeutic effect.

[0029]

Since these methods allow accumulation of the phosphoramidate or phosphonoamidate compounds disclosed herein in the liver of a host, the methods described herein can be useful, for example, for the treatment and/or prophylaxis of diseases or disorders of the liver, such as hepatitis B or C.

[0030]

In certain embodiments, the compounds provided herein are useful in the prevention and treatment of Flaviviridae infections and other related conditions such as anti-Flaviviridae antibody positive and Flaviviridae-positive conditions, chronic liver inflammation caused by HCV, cirrhosis, fibrosis, acute hepatitis, fulminant hepatitis, chronic persistent hepatitis, and fatigue. These compounds or formulations can also be used prophylactically to prevent or retard the progression of clinical illness in individuals who are anti-Flaviviridae antibody or Flaviviridae-antigen positive or who have been exposed to a Flaviviridae. In one specific embodiment, the Flaviviridae is hepatitis C. In certain embodiments, the compound is used to treat any virus that replicates through an RNA-dependent RNA polymerase.

[0031]

A method for the treatment of a Flaviviridae infection in a host, including a human, is also provided that includes administering an effective amount of a compound provided herein, administered either alone or in combination or alternation with another anti-Flaviviridae agent, optionally in a pharmaceutically acceptable carrier.

[0032]

In certain embodiments, a method for treatment and/or prophylaxis of hepatitis B infections and other related conditions such as anti-HBV antibody positive and HBV-positive conditions, chronic liver inflammation caused by HBV, fibrosis, cirrhosis, acute hepatitis, fulminant hepatitis, chronic persistent hepatitis, and fatigue are provided herein.

[0033]

In certain embodiments, phosphoramidate or phosphonoamidate compounds of a variety of pharmaceutical agents can be made and used therapeutically as described herein, to enhance delivery of the drug to the liver. In one embodiment, the compound is an S-acyl-2-thioethyl phosphoramidate or an S-acyl-2-thioethyl phosphonoamidate derivative, e.g., a S-pivaloyl-2-thioethyl phosphoramidate or a S-hydroxypivaloyl-2-thioethyl phosphonoamidate derivative.

[0034]

The phosphoramidate or phosphonoamidate compounds, as well as salts thereof, and compositions comprising the compounds, provided herein are useful for treatment of disorders of the liver, such as HBV and/or HCV infections. In one embodiment, the compound provided herein is a compound of Formula I:

[0000]

[0000]

or a pharmaceutically acceptable salt, solvate, a stereoisomeric, tautomeric or polymorphic form thereof, wherein

[0035]

Xais

[0000]

[0036]

Z is O or S;

[0037]

each W is independently O or S;

[0038]

Ryand Rueach independently represent alkyl, alkenyl, alkynyl, aryl, aryl alkyl, cycloalkyl, cycloalkenyl, amino, aminoalkyl, hydroxyalkyl, alkoxy, heterocyclyl, or heteroaryl, all optionally substituted;

[0039]

Raand Rbare selected as follows:

[0040]

i) Raand Rbare each independently hydrogen, alkyl, carboxyalkyl, hydroxyalkyl, hydroxyarylalkyl, acyloxyalkyl, aminocarbonylalkyl, alkoxycarbonylalkyl, aryl, aryl alkyl, cycloalkyl, aryl, heteroaryl or heterocyclyl, all optionally substituted; or

[0041]

ii) Raand Rbtogether with the nitrogen atom on which they are substituted form a 3-7 membered heterocyclic or heteroaryl ring;

[0042]

n is 0-3; n2 is 1-4; and

[0043]

R1is a moiety derivable by removal of a hydrogen from a hydroxy group of an anti-viral drug.

[0044]

In another embodiment,

[0045]

Xais

[0000]

[0046]

Z is O, S, NH or NRw, where Rwis, e.g., alkyl, alkyl, alkenyl, alkynyl, aryl, aryl alkyl, cycloalkyl, cycloalkenyl, amino, aminoalkyl, alkoxy, heterocyclyl, or heteroaryl, all optionally substituted;

[0047]

each W is O, S, NH or NRw, where Rwis, e.g., alkyl, alkyl, alkenyl, alkynyl, aryl, aryl alkyl, cycloalkyl, cycloalkenyl, amino, aminoalkyl, alkoxy, heterocyclyl, or heteroaryl, all optionally substituted;

[0048]

Ryand Rueach independently represent alkyl, alkenyl, alkynyl, aryl, aryl alkyl, cycloalkyl, cycloalkenyl, amino, aminoalkyl, alkoxy, heterocyclyl, or heteroaryl, all optionally substituted;

[0049]

Raand Rbare selected as follows:

[0050]

i) Raand Rbare each independently hydrogen, alkyl, carboxyalkyl, hydroxyalkyl, hydroxyarylalkyl, acyloxyalkyl, aminocarbonylalkyl, alkoxycarbonylalkyl, aryl, aryl alkyl, cycloalkyl, heteroaryl or heterocyclyl, all optionally substituted; or

[0051]

ii) Raand Rbtogether with the nitrogen atom on which they are substituted form a 3-7 membered heterocyclic or heteroaryl ring;

[0052]

n is 0-3; n2is 1-4; and

[0053]

R1is as described herein.

[0054]

Those of skill in the art will recognize that compounds of Formula I can be designed or prepared by reaction, e.g., at a hydroxy group of said anti-viral drug, for example, via condensation or dehydration. For convenience, in the description herein when substituents, such as exemplary R1groups are identified as a drug, those of skill in the art will recognize that the compound e.g. of Formula I comprises a derivative, e.g. a radical of the anti-viral drug. Those derivatives can for example be prepared by elimination of a hydrogen radical from a hydroxy group of the drug, for instance in a dehydration reaction. Where appropriate, certain derivatives can be prepared by modification of a phosphate or phosphonate of an anti-viral drug to yield a compound of formula I.

[0055]

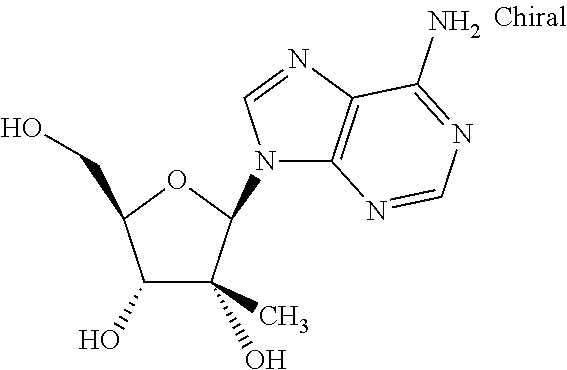
In certain embodiments of Formula I, R1is a nucleoside comprising a cyclic or acyclic sugar or an analog thereof.

[0056]

In certain embodiments, R1is an anti-viral nucleoside analog useful for treatment of HCV virus infection selected from ribavirin, viramidine, 2′-C-methylcytidine, 2′-C-methylguanosine, valopicitabine (NM 283), MK-0608 and PSI-6130.

[0057]

In certain embodiments, R1is an anti-viral nucleoside analog useful for treatment of HBV virus infection selected from lamivudine (Epivir-HBV, Zeffix, or Heptodin), adefovir, entecavir (Baraclude), telbivudine (Tyzeka, Sebivo), emtricitabine (FTC), clevudine (L-FMAU), viread (Tenofovir), torcitabine, valtorcitabine (monoval LdC), amdoxovir (DAPD) and RCV (Racivir).

[0058]

In certain embodiments, R1is a non-nucleoside anti-viral useful for treatment of HBV virus infection selected from resiquimod or celgosivir.

[0059]

In certain embodiments according to Formula I, Ryis substituted alkyl, e.g. hydroxyalkyl or aminoalkyl; and Raand Rbare each independently hydrogen, alkyl, substituted alkyl, benzyl or substituted benzyl, for instance hydroxy- or amino-substituted alkyl or benzyl. In another embodiment, Ryis —ORc, —C(Rc)3or —NHRcwhere each Rcis independently alkyl, substituted alkyl, aryl or substituted aryl, for instance hydroxy- or amino-substituted alkyl or aryl; and Raand Rbare independently hydrogen, alkyl, substituted alkyl, benzyl or substituted benzyl, for instance hydroxy- or amino-substituted alkyl or benzyl. In a further embodiment, Raand Rbare independently benzyl or substituted alkyl. In a further embodiment, Ryis selected from the group consisting of alkyl and hydroxyalkyl. In certain embodiments, Ryis —C(CH3)2CH2OH.

[0060]

In certain embodiments, the compounds provided herein are selected such that R1is not 3′-azido-2′,3′-dideoxythymidine.

[0061]

In another embodiment, the compound provided herein is a compound of Formula IIa or IIb:

[0000]

[0000]

or a pharmaceutically acceptable salt, solvate, a stereoisomeric, tautomeric or polymorphic form thereof, wherein

[0062]

Ryis alkyl, alkenyl, alkynyl, aryl, aryl alkyl, cycloalkyl, cycloalkenyl, amino, aminoalkyl, hydroxyalkyl, heterocyclyl or heteroaryl, all optionally substituted;

[0063]

Raand Rbare selected as follows:

[0064]

i) Raand Rbare each independently hydrogen, alkyl, carboxyalkyl, hydroxyalkyl, hydroxyarylalkyl, acyloxyalkyl, aminocarbonylalkyl, alkoxycarbonylalkyl, aryl, aryl alkyl, cycloalkyl, aryl, heteroaryl or heterocyclyl, all optionally substituted; or

[0065]

ii) Raand Rbtogether with the nitrogen atom on which they are substituted form a 3-7 membered heterocyclic or heteroaryl ring; and

[0066]

R1is an antiviral drug (as used herein where R1is an antiviral drug, that embodiment includes a moiety derivable by removal of a hydrogen from a hydroxy group of an anti-viral drug), such as a nucleoside or nucleoside analog.

[0067]

In certain embodiments according to Formula IIa or IIb, Ryis substituted alkyl, e.g. hydroxyalkyl or aminoalkyl; and Raand Rbare independently hydrogen, alkyl, substituted alkyl, benzyl or substituted benzyl, for instance hydroxy- or amino-substituted alkyl or benzyl. In another embodiment, Ryis —ORc, —C(Rc)3or —NHRcwhere each Rcis independently alkyl, substituted alkyl, aryl or substituted aryl, for instance hydroxy- or amino-substituted alkyl or aryl; and Raand Rbare independently hydrogen, alkyl, substituted alkyl, benzyl or substituted benzyl, for instance hydroxy- or amino-substituted alkyl or benzyl. In a further embodiment, Raand Rbare independently benzyl or substituted alkyl. In a further embodiment, Ryis selected from the group consisting of alkyl and hydroxyalkyl. In certain embodiments, Ryis —C(CH3)2CH2OH.

[0068]

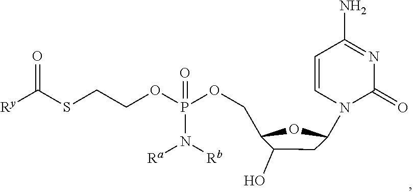
In another embodiment, the compound provided herein is a compound of Formula:

[0000]

[0000]

wherein Ra, Rband Ryare as described in Formula I and

[0069]

wherein R2and R3are each independently H, straight chained, branched or cyclic alkyl; acyl (including lower acyl); CO-alkyl, CO-aryl, CO-alkoxyalkyl, CO-aryloxyalkyl, CO-substituted aryl, sulfonate ester such as alkyl or arylalkyl sulfonyl including methanesulfonyl and benzyl, wherein the phenyl group is optionally substituted; alkylsulfonyl, arylsulfonyl, aryl alkylsulfonyl, a lipid, such as a phospholipid; an amino acid; and amino acid residue, a carbohydrate; a peptide; cholesterol; or other pharmaceutically acceptable leaving group which is capable of providing a compound wherein R2and/or R3is independently H, for example when administered in vivo; or R2and R3are linked to form a cyclic group by an alkyl, ester or carbamate linkage; and wherein each RLis independently H, carbamyl, straight chained, branched or cyclic alkyl; acyl (including lower acyl); CO-alkyl, CO-aryl, CO-alkoxyalkyl, CO-aryloxyalkyl, CO-substituted aryl, sulfonate ester such as alkyl or arylalkyl sulfonyl including methanesulfonyl and benzyl, wherein the phenyl group is optionally substituted; alkylsulfonyl, arylsulfonyl, aryl alkylsulfonyl, a lipid, such as a phospholipid; an amino acid; an amino acid residue; or a carbohydrate. In certain embodiments according to this paragraph, R2and R3are each H; Ryis substituted alkyl, e.g. hydroxyalkyl or aminoalkyl; and Raand Rbare independently hydrogen, alkyl, substituted alkyl, benzyl or substituted benzyl, for instance hydroxy- or amino-substituted alkyl or benzyl. In another embodiment, R2and R3are each H; Ryis —ORc, —C(Rc)3or —NHRcwhere each Rcis independently alkyl, substituted alkyl, aryl or substituted aryl, for instance hydroxy- or amino-substituted alkyl or aryl; and Raand Rbare independently hydrogen, alkyl, substituted alkyl, benzyl or substituted benzyl, for instance hydroxy- or amino-substituted alkyl or benzyl. In a further embodiment, R2and R3are each H; Raand Rbare independently benzyl or substituted alkyl. In a further embodiment, R2and R3are each H; Ryis selected from the group consisting of alkyl and hydroxyalkyl. In certain embodiments, R2and R3are each H; Ryis —C(CH3)2CH2OH. In certain embodiments according to this paragraph, R2and R3are each hydrogen, Rais hydrogen, Rbis —CH2—C6H5and Ryis —C(CH3)2CH2OH.

[0070]

In another embodiment, the compound provided herein is a compound of formula:

[0000]

[0000]

wherein Ra, Rband Ryare as described in Formula I. Rdis selected from the group consisting of hydrogen, alkyl and alkoxy. In certain embodiments, Rdis hydrogen, methyl or methoxy. In certain embodiments according to this paragraph, Ryis substituted alkyl, e.g. hydroxyalkyl or aminoalkyl; and Raand Rbare independently hydrogen, alkyl, substituted alkyl, benzyl or substituted benzyl, for instance hydroxy- or amino-substituted alkyl or benzyl. In another embodiment, Ryis —ORc, —C(Rc)3or —NHRcwhere each Rcis independently alkyl, substituted alkyl, aryl or substituted aryl, for instance hydroxy- or amino-substituted alkyl or aryl; and Raand Rbare independently hydrogen, alkyl, substituted alkyl, benzyl or substituted benzyl, for instance hydroxy- or amino-substituted alkyl or benzyl. In a further embodiment, Raand Rbare independently benzyl or substituted alkyl. In a further embodiment, Ryis selected from the group consisting of alkyl and hydroxyalkyl. In certain embodiments, Ryis —C(CH3)2CH2OH. In certain embodiments according to this paragraph, R2and R3are each hydrogen, Rais hydrogen, Rbis —CH2—C6H5and Ryis —C(CH3)2CH2OH In certain embodiments according to this paragraph, Rais hydrogen, Rbis —CH2—C6H5and Ryis —C(CH3)2CH2OH.

[0071]

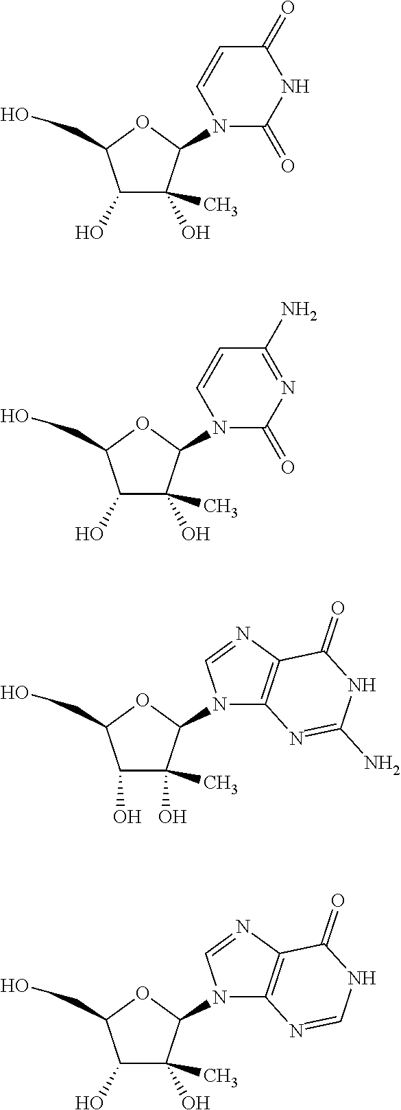
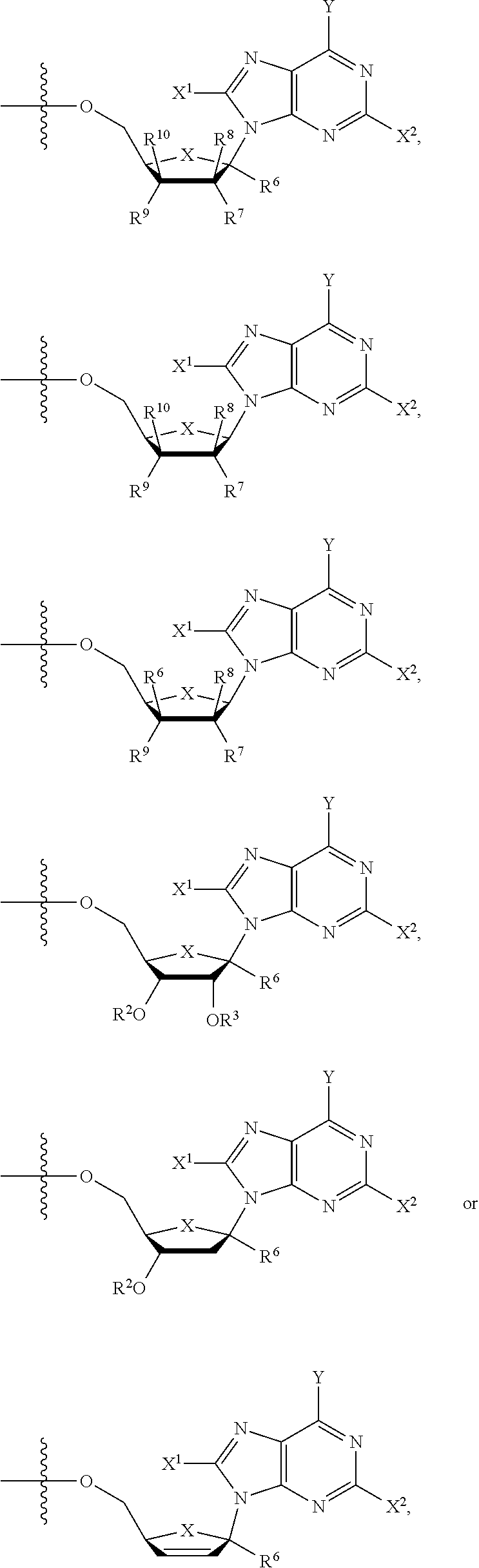
In one embodiment, the nucleosides that can be derivatized to include a phosphoramidate or phosphonoamidate, e.g. at the 5′ position include:

[0000]

[0072]

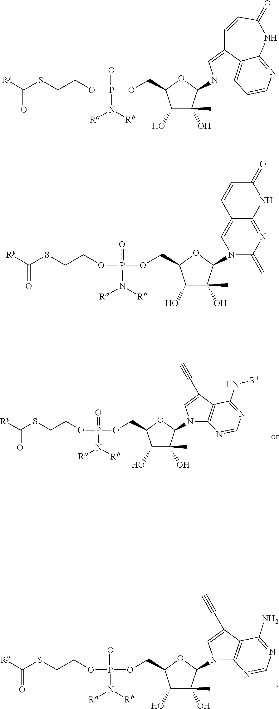
Examples of phosphoramidate or phosphonoamidate nucleoside compounds include:

[0000]

[0073]

In one embodiment, the nucleosides that can be derivatized to include a phosphoramidate or phosphonoamidate, e.g. at the 5′ position include:

[0000]

[0074]

In one embodiment, phosphoramidate or phosphonoamidate nucleoside compounds include:

[0000]

[0075]

In one embodiment, the nucleosides that can be derivatized to include a phosphoramidate or phosphonoamidate, e.g. at the 5′ position include:

[0000]

[0076]

In one embodiment, phosphoramidate or phosphonoamidate nucleoside compounds include:

[0000]

[0077]

In one aspect, the compounds described herein are provided or administered in combination with a second therapeutic agent, such as one useful for the treatment or prevention of HBV and/or HCV infections. Exemplary therapeutic agents are described in detail in the sections below.

[0078]

In another aspect, provided are pharmaceutical compositions, single unit dosage forms, and kits suitable for use in treating or preventing disorders such as HBV and/or HCV infections which comprise a therapeutically or prophylactically effective amount of a compound described herein, e.g. of Formula I, IIa or IIb, and a therapeutically or prophylactically effective amount of a second therapeutic such as one useful for the treatment or prevention of HBV and/or HCV infections.

[0079]

In certain embodiments, a method of treatment of a liver disorder is provided comprising administering to an individual in need thereof a treatment effective amount of a phosphoramidate or phosphonoamidate derivative of a nucleoside or nucleoside analogue, wherein optionally the derivative is a S-pivaloyl-2-thioethyl phosphoramidate or S-pivaloyl-2-thioethyl phosphonoamidate derivative. The derivative is optionally selected from the compounds disclosed herein.

[0080]

In some embodiments, provided herein are:

  • (a) compounds as described herein, e.g. of Formula I, IIa or IIb, and pharmaceutically acceptable salts and compositions thereof;
  • (b) compounds as described herein, e.g. of Formula I, IIa or IIb, and pharmaceutically acceptable salts and compositions thereof for use in the treatment and/or prophylaxis of a liver disorder including Flaviviridae infection, especially in individuals diagnosed as having a Flaviviridae infection or being at risk of becoming infected by hepatitis C;
  • (c) processes for the preparation of compounds as described herein, e.g. of Formula I, II or IIb, as described in more detail below;
  • (d) pharmaceutical formulations comprising a compound as described herein, e.g. of Formula I, IIa or IIb, or a pharmaceutically acceptable salt thereof together with a pharmaceutically acceptable carrier or diluent;
  • (e) pharmaceutical formulations comprising a compound as described herein, e.g. of Formula I, IIa or IIb, or a pharmaceutically acceptable salt thereof together with one or more other effective anti-HCV agents, optionally in a pharmaceutically acceptable carrier or diluent;
  • (f) a method for the treatment and/or prophylaxis of a host infected with Flaviviridae that includes the administration of an effective amount of a compound as described herein, e.g. of Formula I, IIa or IIb, its pharmaceutically acceptable salt or composition;
  • (g) a method for the treatment and/or prophylaxis of a host infected with Flaviviridae that includes the administration of an effective amount of a compounds as described herein, e.g. of Formula I, IIa or IIb, its pharmaceutically acceptable salt or composition in combination and/or alternation with one or more effective anti-HCV agent;
  • (h) compounds as described herein, e.g. of Formula I, IIa or IIb, and pharmaceutically acceptable salts and compositions thereof for use in the treatment and/or prophylaxis of a HBV infection, especially in individuals diagnosed as having an HBV infection or being at risk of becoming infected by hepatitis B;
  • (i) pharmaceutical formulations comprising a compound as described herein, e.g. of Formula I, IIa or IIb, or a pharmaceutically acceptable salt thereof together with one or more other effective anti-HBV agents, optionally in a pharmaceutically acceptable carrier or diluent;
  • (j) a method for the treatment and/or prophylaxis of hepatitis B infections and other related conditions such as anti-HBV antibody positive and HBV-positive conditions, chronic liver inflammation caused by HBV, cirrhosis, acute hepatitis, fulminant hepatitis, chronic persistent hepatitis, and fatigue that includes administering an effective amount of a compound as described herein, e.g. of Formula I, IIa or IIb, or its pharmaceutically acceptable salt or composition.
  • (k) a prophylactic method to prevent or retard the progression of clinical illness in individuals who are anti-HBV antibody or HBV-antigen positive or who have been exposed to HBV.

[0092]

Flaviviridae which can be treated are, e.g., discussed generally in Fields Virology, Editors: Fields, B. N., Knipe, D. M., and Howley, P. M., Lippincott-Raven Publishers, Philadelphia, Pa., Chapter 31, 1996. In a particular embodiment of the invention, the Flaviviridae is HCV. In an alternate embodiment, the Flaviviridae is a flavivirus or pestivirus. Specific flaviviruses include, without limitation: Absettarov, Alfuy, Apoi, Aroa, Bagaza, Banzi, Bouboui, Bussuquara, Cacipacore, Carey Island, Dakar bat, Dengue 1, Dengue 2, Dengue 3, Dengue 4, Edge Hill, Entebbe bat, Gadgets Gully, Hanzalova, Hypr, Ilheus, Israel turkey meningoencephalitis, Japanese encephalitis, Jugra, Jutiapa, Kadam, Karshi, Kedougou, Kokobera, Koutango, Kumlinge, Kunjin, Kyasanur Forest disease, Langat, Louping ill, Meaban, Modoc, Montana myotis leukoencephalitis, Murray valley encephalitis, Naranjal, Negishi, Ntaya, Omsk hemorrhagic fever, Phnom-Penh bat, Powassan, Rio Bravo, Rocio, Royal Farm, Russian spring-summer encephalitis, Saboya, St. Louis encephalitis, Sal Vieja, San Perlita, Saumarez Reef, Sepik, Sokuluk, Spondweni, Stratford, Tembusu, Tyuleniy, Uganda S, Usutu, Wesselsbron, West Nile, Yaounde, Yellow fever, and Zika.

[0093]

Pestiviruses which can be treated are discussed generally in Fields Virology, Editors: Fields, B. N., Knipe, D. M., and Howley, P. M., Lippincott-Raven Publishers, Philadelphia, Pa., Chapter 33, 1996. Specific pestiviruses include, without limitation: bovine viral diarrhea virus (“BVDV”), classical swine fever virus (“CSFV,” also called hog cholera virus), and border disease virus (“BDV”).

BRIEF DESCRIPTION OF DRAWINGS

[0094]

FIG. 1 depicts depletion of NM108 hydroxySATE phosphoramidate (B299) after incubation with and without NADPH in monkey liver S9.

[0095]

FIG. 2 depicts depletion of NM107 hydroxySATE phosphoramidate (B102) after incubation with and without NADPH in monkey liver S9.

DESCRIPTION OF EXEMPLARY EMBODIMENTS

[0096]

Provided herein are compounds, compositions and methods useful for treating liver disorders such as HBV and/or HCV infection in a subject. Further provided are dosage forms useful for such methods.

DEFINITIONS

[0097]

When referring to the compounds provided herein, the following terms have the following meanings unless indicated otherwise.

[0098]

The term “alkyl”, as used herein, unless otherwise specified, includes a saturated straight, branched, or cyclic, primary, secondary, or tertiary hydrocarbon of typically C1to C10, and specifically includes methyl, CF3, CCl3, CFCl2, CF2Cl, ethyl, CH2CF3, CF2CF3, propyl, isopropyl, cyclopropyl, butyl, isobutyl, secbutyl, t-butyl, pentyl, cyclopentyl, isopentyl, neopentyl, hexyl, isohexyl, cyclohexyl, cyclohexylmethyl, 3-methylpentyl, 2,2-dimethylbutyl, and 2,3-dimethylbutyl. The term includes both substituted and unsubstituted alkyl groups, and particularly includes halogenated alkyl groups, and even more particularly fluorinated alkyl groups. Non-limiting examples of moieties with which the alkyl group can be substituted are selected from the group consisting of halogen (fluoro, chloro, bromo or iodo), hydroxyl, amino, alkylamino, arylamino, alkoxy, aryloxy, nitro, cyano, sulfonic acid, sulfate, phosphonic acid, phosphate, or phosphonate, either unprotected, or protected as necessary, as known to those skilled in the art, for example, as taught in Greene, et al., Protective Groups in Organic Synthesis, John Wiley and Sons, Second Edition, 1991, hereby incorporated by reference.

[0099]

The term “lower alkyl”, as used herein, and unless otherwise specified, includes a C1to C4saturated straight, branched, or if appropriate, a cyclic (for example, cyclopropyl) alkyl group, including both substituted and unsubstituted moieties.

[0100]

“Alkylene” includes divalent saturated aliphatic hydrocarbon groups particularly having up to about 11 carbon atoms and more particularly 1 to 6 carbon atoms which can be straight-chained or branched. This term is exemplified by groups such as methylene (—CH2—), ethylene (—CH2CH2—), the propylene isomers (e.g., —CH2CH2CH2— and —CH(CH3)CH2—) and the like.

[0101]

“Alkenyl” includes monovalent olefinically unsaturated hydrocarbon groups, in certain embodiment, having up to about 11 carbon atoms, from 2 to 8 carbon atoms, or from 2 to 6 carbon atoms, which can be straight-chained or branched and having at least 1 or from 1 to 2 sites of olefinic unsaturation. Exemplary alkenyl groups include ethenyl (—CH═CH2), n-propenyl (—CH2CH═CH2), isopropenyl (—C(CH3)═CH2), vinyl and substituted vinyl, and the like.

[0102]

“Alkenylene” includes divalent olefinically unsaturated hydrocarbon groups, in certain embodiments, having up to about 11 carbon atoms or from 2 to 6 carbon atoms which can be straight-chained or branched and having at least 1 or from 1 to 2 sites of olefinic unsaturation. This term is exemplified by groups such as ethenylene (—CH═CH—), the propenylene isomers (e.g., —CH═CHCH2— and —C(CH3)═CH— and —CH═C(CH3)—) and the like.

[0103]

“Alkynyl” includes acetylenically unsaturated hydrocarbon groups, in certain embodiments, having up to about 11 carbon atoms or from 2 to 6 carbon atoms which can be straight-chained or branched and having at least 1 or from 1 to 2 sites of alkynyl unsaturation. Non-limiting examples of alkynyl groups include acetylenic, ethynyl (—C≡CH), propargyl (—CH2C≡CH), and the like.

[0104]

The term “aryl”, as used herein, and unless otherwise specified, includes phenyl, biphenyl, or naphthyl, and preferably phenyl. The term includes both substituted and unsubstituted moieties. The aryl group can be substituted with any described moiety, including, but not limited to, one or more moieties selected from the group consisting of halogen (fluoro, chloro, bromo or iodo), alkyl, haloalkyl, hydroxyl, amino, alkylamino, arylamino, alkoxy, aryloxy, nitro, cyano, sulfonic acid, sulfate, phosphoric acid, phosphate, or phosphonate, either unprotected, or protected as necessary, as known to those skilled in the art, for example, as taught in Greene, et al., Protective Groups in Organic Synthesis, John Wiley and Sons, Second Edition, 1991.

[0105]

“Alkoxy” includes the group —OR where R is alkyl. Particular alkoxy groups include, by way of example, methoxy, ethoxy, n-propoxy, isopropoxy, n-butoxy, tert-butoxy, sec-butoxy, n-pentoxy, n-hexoxy, 1,2-dimethylbutoxy, and the like.

[0106]

“Alkoxycarbonyl” includes a radical —C(O)-alkoxy where alkoxy is as defined herein.

[0107]

“Amino” includes the radical —NH2.

[0108]

“Carboxyl” includes the radical —C(O)OH.

[0109]

The term “alkylamino” or “arylamino” includes an amino group that has one or two alkyl or aryl substituents, respectively. Unless otherwise specifically stated in this application, when alkyl is a suitable moiety, lower alkyl is preferred. Similarly, when alkyl or lower alkyl is a suitable moiety, unsubstituted alkyl or lower alkyl is preferred.

[0110]

“Halogen” or “halo” includes chloro, bromo, fluoro or iodo.

[0111]

“Monoalkylamino” includes the group alkyl-NR′—, wherein R′ is selected from hydrogen and alkyl.

[0112]

“Thioalkoxy” includes the group —SR where R is alkyl.

[0113]

The term “protected” as used herein and unless otherwise defined refers to a group that is added to an oxygen, nitrogen, or phosphorus atom to prevent its further reaction or for other purposes. A wide variety of oxygen and nitrogen protecting groups are known to those skilled in the art of organic synthesis.

[0114]

“Pharmaceutically acceptable salt” includes any salt of a compound provided herein which retains its biological properties and which is not toxic or otherwise undesirable for pharmaceutical use. Such salts may be derived from a variety of organic and inorganic counter-ions well known in the art. Such salts include: (1) acid addition salts formed with organic or inorganic acids such as hydrochloric, hydrobromic, sulfuric, nitric, phosphoric, sulfamic, acetic, trifluoroacetic, trichloroacetic, propionic, hexanoic, cyclopentylpropionic, glycolic, glutaric, pyruvic, lactic, malonic, succinic, sorbic, ascorbic, malic, maleic, fumaric, tartaric, citric, benzoic, 3-(4-hydroxybenzoyl)benzoic, picric, cinnamic, mandelic, phthalic, lauric, methanesulfonic, ethanesulfonic, 1,2-ethane-disulfonic, 2-hydroxyethanesulfonic, benzenesulfonic, 4-chlorobenzenesulfonic, 2-naphthalenesulfonic, 4-toluenesulfonic, camphoric, camphorsulfonic, 4-methylbicyclo[2.2.2]-oct-2-ene-1-carboxylic, glucoheptonic, 3-phenylpropionic, trimethylacetic, tert-butylacetic, lauryl sulfuric, gluconic, benzoic, glutamic, hydroxynaphthoic, salicylic, stearic, cyclohexylsulfamic, quinic, muconic acid and the like acids; or (2) salts formed when an acidic proton present in the parent compound either (a) is replaced by a metal ion, e.g., an alkali metal ion, an alkaline earth ion or an aluminum ion, or alkali metal or alkaline earth metal hydroxides, such as sodium, potassium, calcium, magnesium, aluminum, lithium, zinc, and barium hydroxide, ammonia or (b) coordinates with an organic base, such as aliphatic, alicyclic, or aromatic organic amines, such as ammonia, methylamine, dimethylamine, diethylamine, picoline, ethanolamine, diethanolamine, triethanolamine, ethylenediamine, lysine, arginine, ornithine, choline, N,N′-dibenzylethylene-diamine, chloroprocaine, diethanolamine, procaine, N-benzylphenethylamine, N-methylglucamine piperazine, tris(hydroxymethyl)-aminomethane, tetramethylammonium hydroxide, and the like.

[0115]

Salts further include, by way of example only, sodium, potassium, calcium, magnesium, ammonium, tetraalkylammonium and the like, and when the compound contains a basic functionality, salts of non-toxic organic or inorganic acids, such as hydrohalides, e.g. hydrochloride and hydrobromide, sulfate, phosphate, sulfamate, nitrate, acetate, trifluoroacetate, trichloroacetate, propionate, hexanoate, cyclopentylpropionate, glycolate, glutarate, pyruvate, lactate, malonate, succinate, sorbate, ascorbate, malate, maleate, fumarate, tartarate, citrate, benzoate, 3-(4-hydroxybenzoyl)benzoate, picrate, cinnamate, mandelate, phthalate, laurate, methanesulfonate (mesylate), ethanesulfonate, 1,2-ethane-disulfonate, 2-hydroxyethanesulfonate, benzenesulfonate (besylate), 4-chlorobenzenesulfonate, 2-naphthalenesulfonate, 4-toluenesulfonate, camphorate, camphorsulfonate, 4-methylbicyclo[2.2.2]-oct-2-ene-1-carboxylate, glucoheptonate, 3-phenylpropionate, trimethylacetate, tert-butylacetate, lauryl sulfate, gluconate, benzoate, glutamate, hydroxynaphthoate, salicylate, stearate, cyclohexylsulfamate, quinate, muconate and the like.

[0116]

The term “alkaryl” or “alkylaryl” includes an aryl group with an alkyl substituent. The term aralkyl or arylalkyl includes an alkyl group with an aryl substituent.

[0117]

The term “purine” or “pyrimidine” base includes, but is not limited to, adenine, N6-alkylpurines, N6-acylpurines (wherein acyl is C(O)(alkyl, aryl, alkylaryl, or arylalkyl), N6-benzylpurine, N6-halopurine, N6-vinylpurine, N6-acetylenic purine, N6-acyl purine, N6-hydroxyalkyl purine, N6-alkylaminopurine, N6-thioalkyl purine, N2-alkylpurines, N2-alkyl-6-thiopurines, thymine, cytosine, 5-fluorocytosine, 5-methylcytosine, 6-azapyrimidine, including 6-azacytosine, 2- and/or 4-mercaptopyrmidine, uracil, 5-halouracil, including 5-fluorouracil, C5-alkylpyrimidines, C5-benzylpyrimidines, C5-halopyrimidines, C5-vinylpyrimidine, C5-acetylenic pyrimidine, C5-acyl pyrimidine, C5-hydroxyalkyl purine, C5-amidopyrimidine, C5-cyanopyrimidine, C5-iodopyrimidine, C6-iodo-pyrimidine, C5—Br-vinyl pyrimidine, C6—Br-vinyl pyrimidine, C5-nitropyrimidine, C5-amino-pyrimidine, N2-alkylpurines, N2-alkyl-6-thiopurines, 5-azacytidinyl, 5-azauracilyl, triazolopyridinyl, imidazolopyridinyl, pyrrolopyrimidinyl, and pyrazolopyrimidinyl. Purine bases include, but are not limited to, guanine, adenine, hypoxanthine, 7-deazaguanine, 7-deazaadenine, 2,6-diaminopurine, and 6-chloropurine. Functional oxygen and nitrogen groups on the base can be protected as necessary or desired. Suitable protecting groups are well known to those skilled in the art, and include trimethylsilyl, dimethylhexylsilyl, t-butyldimethylsilyl, and t-butyldiphenylsilyl, trityl, alkyl groups, and acyl groups such as acetyl and propionyl, methanesulfonyl, and p-toluenesulfonyl.

[0118]

The term “acyl” or “O-linked ester” includes a group of the formula C(O)R′, wherein R′ is an straight, branched, or cyclic alkyl (including lower alkyl), carboxylate reside of amino acid, aryl including phenyl, alkaryl, arylalkyl including benzyl, alkoxyalkyl including methoxymethyl, aryloxyalkyl such as phenoxymethyl; or substituted alkyl (including lower alkyl), aryl including phenyl optionally substituted with chloro, bromo, fluoro, iodo, C1to C4alkyl or C1to C4alkoxy, sulfonate esters such as alkyl or arylalkyl sulphonyl including methanesulfonyl, the mono, di or triphosphate ester, trityl or monomethoxy-trityl, substituted benzyl, alkaryl, arylalkyl including benzyl, alkoxyalkyl including methoxymethyl, aryloxyalkyl such as phenoxymethyl. Aryl groups in the esters optimally comprise a phenyl group. In particular, acyl groups include acetyl, trifluoroacetyl, methylacetyl, cyclopropylacetyl, propionyl, butyryl, hexanoyl, heptanoyl, octanoyl, neo-heptanoyl, phenylacetyl, 2-acetoxy-2-phenylacetyl, diphenylacetyl, α-methoxy-α-trifluoromethyl-phenylacetyl, bromoacetyl, 2-nitro-benzeneacetyl, 4-chloro-benzeneacetyl, 2-chloro-2,2-diphenylacetyl, 2-chloro-2-phenylacetyl, trimethylacetyl, chlorodifluoroacetyl, perfluoroacetyl, fluoroacetyl, bromodifluoroacetyl, methoxyacetyl, 2-thiopheneacetyl, chlorosulfonylacetyl, 3-methoxyphenylacetyl, phenoxyacetyl, tert-butylacetyl, trichloroacetyl, monochloro-acetyl, dichloroacetyl, 7H-dodecafluoro-heptanoyl, perfluoro-heptanoyl, 7H-dodeca-fluoroheptanoyl, 7-chlorododecafluoro-heptanoyl, 7-chloro-dodecafluoro-heptanoyl, 7H-dodecafluoroheptanoyl, 7H-dodeca-fluoroheptanoyl, nona-fluoro-3,6-dioxa-heptanoyl, nonafluoro-3,6-dioxaheptanoyl, perfluoroheptanoyl, methoxybenzoyl, methyl 3-amino-5-phenylthiophene-2-carboxyl, 3,6-dichloro-2-methoxy-benzoyl, 4-(1,1,2,2-tetrafluoro-ethoxy)-benzoyl, 2-bromo-propionyl, omega-aminocapryl, decanoyl, n-pentadecanoyl, stearyl, 3-cyclopentyl-propionyl, 1-benzene-carboxyl, O-acetylmandelyl, pivaloyl acetyl, 1-adamantane-carboxyl, cyclohexane-carboxyl, 2,6-pyridinedicarboxyl, cyclopropane-carboxyl, cyclobutane-carboxyl, perfluorocyclohexyl carboxyl, 4-methylbenzoyl, chloromethyl isoxazolyl carbonyl, perfluorocyclohexyl carboxyl, crotonyl, 1-methyl-1H-indazole-3-carbonyl, 2-propenyl, isovaleryl, 1-pyrrolidinecarbonyl, 4-phenylbenzoyl.

[0119]

The term “amino acid” includes naturally occurring and synthetic α, β γ or δ amino acids, and includes but is not limited to, amino acids found in proteins, i.e. glycine, alanine, valine, leucine, isoleucine, methionine, phenylalanine, tryptophan, proline, serine, threonine, cysteine, tyrosine, asparagine, glutamine, aspartate, glutamate, lysine, arginine and histidine. In a preferred embodiment, the amino acid is in the L-configuration. Alternatively, the amino acid can be a derivative of alanyl, valinyl, leucinyl, isoleuccinyl, prolinyl, phenylalaninyl, tryptophanyl, methioninyl, glycinyl, serinyl, threoninyl, cysteinyl, tyrosinyl, asparaginyl, glutaminyl, aspartoyl, glutaroyl, lysinyl, argininyl, histidinyl, β-alanyl, β-valinyl, β-leucinyl, β-isoleuccinyl, β-prolinyl, β-phenylalaninyl, β-tryptophanyl, β-methioninyl, β-glycinyl, β-serinyl, β-threoninyl, β-cysteinyl, β-tyrosinyl, β-asparaginyl, β-glutaminyl, β-aspartoyl, β-glutaroyl, β-lysinyl, β-argininyl or β-histidinyl.

[0120]

As used herein, the term “substantially free of” or “substantially in the absence of” with respect to a nucleoside composition includes a nucleoside composition that includes at least 85 or 90% by weight, preferably 95%, 98%, 99% or 100% by weight, of the designated enantiomer of that nucleoside. In a preferred embodiment, in the methods and compounds of this invention, the compounds are substantially free of enantiomers.

[0121]

Similarly, the term “isolated” with respect to a nucleoside composition includes a nucleoside composition that includes at least 85, 90%, 95%, 98%, 99% to 100% by weight, of the nucleoside, the remainder comprising other chemical species or enantiomers.

[0122]

“Solvate” includes a compound provided herein or a salt thereof, that further includes a stoichiometric or non-stoichiometric amount of solvent bound by non-covalent intermolecular forces. Where the solvent is water, the solvate is a hydrate.

[0123]

The term “host”, as used herein, includes any unicellular or multicellular organism in which the virus can replicate, including cell lines and animals, and preferably a human. Alternatively, the host can be carrying a part of the Flaviviridae viral genome, whose replication or function can be altered by the compounds of the present invention. The term host specifically includes infected cells, cells transfected with all or part of the Flaviviridae genome and animals, in particular, primates (including chimpanzees) and humans. In most animal applications of the present invention, the host is a human patient. Veterinary applications, in certain indications, however, are clearly anticipated by the present invention (such as chimpanzees).

[0124]

As used herein, the terms “subject” and “patient” are used interchangeably herein. The terms “subject” and “subjects” refer to an animal, such as a mammal including a non-primate (e.g., a cow, pig, horse, cat, dog, rat, and mouse) and a primate (e.g., a monkey such as a cynomolgous monkey, a chimpanzee and a human), and for example, a human. In one embodiment, the subject is refractory or non-responsive to current treatments for hepatitis C infection. In another embodiment, the subject is a farm animal (e.g., a horse, a cow, a pig, etc.) or a pet (e.g., a dog or a cat). In one embodiment, the subject is a human.

[0125]

As used herein, the terms “therapeutic agent” and “therapeutic agents” refer to any agent(s) which can be used in the treatment or prevention of a disorder or one or more symptoms thereof. In certain embodiments, the term “therapeutic agent” includes a compound provided herein. In one embodiment, a therapeutic agent is an agent which is known to be useful for, or has been or is currently being used for the treatment or prevention of a disorder or one or more symptoms thereof.

[0126]

“Therapeutically effective amount” includes an amount of a compound or composition that, when administered to a subject for treating a disease, is sufficient to effect such treatment for the disease. A “therapeutically effective amount” can vary depending on, inter alia, the compound, the disease and its severity, and the age, weight, etc., of the subject to be treated.

[0127]

“Treating” or “treatment” of any disease or disorder refers, in one embodiment, to ameliorating a disease or disorder that exists in a subject. In another embodiment, “treating” or “treatment” includes ameliorating at least one physical parameter, which may be indiscernible by the subject. In yet another embodiment, “treating” or “treatment” includes modulating the disease or disorder, either physically (e.g., stabilization of a discernible symptom) or physiologically (e.g., stabilization of a physical parameter) or both. In yet another embodiment, “treating” or “treatment” includes delaying the onset of the disease or disorder.

[0128]

As used herein, the terms “prophylactic agent” and “prophylactic agents” as used refer to any agent(s) which can be used in the prevention of a disorder or one or more symptoms thereof. In certain embodiments, the term “prophylactic agent” includes a compound provided herein. In certain other embodiments, the term “prophylactic agent” does not refer a compound provided herein. For example, a prophylactic agent is an agent which is known to be useful for, or has been or is currently being used to the prevent or impede the onset, development, progression and/or severity of a disorder.

[0129]

As used herein, the phrase “prophylactically effective amount” includes the amount of a therapy (e.g., prophylactic agent) which is sufficient to result in the prevention or reduction of the development, recurrence or onset of one or more symptoms associated with a disorder (, or to enhance or improve the prophylactic effect(s) of another therapy (e.g., another prophylactic agent).

[0130]

Compounds

[0131]

Phosphoramidate and phosphonoamidate compounds of a variety of therapeutic agents can be formed using methods available in the art and those disclosed herein. Such compounds can be used in some embodiments to enhance delivery of the drug to the liver. In one embodiment, the compound is an S-acyl-2-thioethyl phosphoramidate or an S-acyl-2-thioethyl phosphonoamidate derivative, e.g., an S-pivaloyl-2-thioethyl phosphoroamidate, an S-hydroxypivaloyl-2-thioethyl phosphoroamidate, an S-pivaloyl-2-thioethyl phosphonoamidate or an S-hydroxypivaloyl-2-thioethyl phosphonoamidate. Therapeutic agents that can be derivatized to compound form include an anti-viral agent that includes, or has been derivatized to include a reactive group for attachment of the phosphoramidate or phosphonoamidate moiety, including but not limited to nucleosides and nucleoside analogues including acyclic nucleosides. Therapeutic agents that can be derivatized to compound form also include an anti-viral agent that includes, or has been derivatized to include a phosphate or phorphonate group that can be derivatized to form a phosphoramidate or phosphonoamidate moiety, including but not limited to nucleosides and nucleoside analogues including acyclic nucleosides.

[0132]

Nucleosides that can be derivatized include any R1as disclosed herein. Examples of nucleosides that can be derivatized to include a phosphoramidate or phosphonoamidate, e.g. at the 5′, 3′ or 2′ position include:

[0000]

[0000]

Examples of phosphoramidate or phosphonoamidate nucleoside compounds include:

[0000]

[0133]

Phosphoramidate or phosphonoamidate compounds of other nucleosides and nucleoside analogues described herein and known in the art can be formed as described herein and used for the treatment of liver disorders. The phosphoramidate or phosphonoamidate moiety can be e.g., at the 5′ position.

[0134]

In one embodiment, provided herein are compounds, as well as salts thereof, and compositions comprising the compounds, that are useful for treatment of disorders of the liver, including HBV and/or HCV infections. In one embodiment, the phosphoramidate or phosphonoamidate compound provided herein is a compound of Formula IIa or IIb:

[0000]

[0000]

or a pharmaceutically acceptable salt, solvate, a stereoisomeric, tautomeric or polymorphic form thereof, wherein;

[0135]

Ryis alkyl, alkenyl, alkynyl, aryl, arylalkyl, cycloalkyl, cycloalkenyl, amino, heterocyclyl or heteroaryl, all optionally substituted;

[0136]

Raand Rbare selected as follows:

[0137]

i) Raand Rbare each independently hydrogen, alkyl, carboxyalkyl, hydroxyalkyl, hydroxyarylalkyl, acyloxyalkyl, aminocarbonylalkyl, alkoxycarbonylalkyl, aryl, arylalkyl, cycloalkyl, heteroaryl or heterocyclyl, all optionally substituted; or

[0138]

ii) Raand Rbtogether with the nitrogen atom on which they are substituted form a 3-7 membered heterocyclic or heteroaryl ring; and

[0139]

R1is an anti-viral drug (which includes a moiety derivable by removal of a hydrogen from a hydroxy group of an anti-viral drug).

[0140]

In certain embodiments, the compound of Formula IIa or IIb is selected with a proviso that when Ryis tert-butyl or hydroxy-tert-butyl, then R1is not 3′-azido-2′,3′-dideoxythymidine.

[0141]

In certain embodiments, R1, Ra, Rband Ryare optionally substituted with one or more substituents as defined in the definitions.

[0142]

In certain embodiments, the compounds are of Formula IIa or IIb, wherein Ryis alkyl, alkenyl, alkynyl, aryl, arylalkyl, cycloalkyl, cycloalkenyl, amino, heterocyclyl or heteroaryl;

[0143]

Raand Rbare each independently hydrogen, alkyl, carboxyalkyl, hydroxyalkyl, hydroxyarylalkyl, acyloxyalkyl, aminocarbonylalkyl, alkoxycarbonylalkyl, aryl, arylalkyl, cycloalkyl, heteroaryl or heterocyclyl, all optionally substituted; and

[0144]

R1is an anti-viral drug (which is meant to include a moiety derivable by removal of a hydrogen from a hydroxy group of an anti-viral drug).

[0145]

In one embodiment, R1is a nucleoside comprising a cyclic or acyclic sugar or analog thereof, including any nucleoside or analogue thereof described herein or known in the art.

[0146]

Exemplary nucleoside drugs useful in the treatment of hepatitis C infection that can be derivatized as described herein are:

[0000]

Ribavirin
Viramidine
Valopicitabine (NM283)
2′-C-methylcytidine (NM107)
PSI-6130
MK-0608
7-Fluoro-MK-0608
NM108

[0147]

Exemplary non-nucleoside drugs that can be derivatized as described herein are:

[0000]

Resiquimod
Celgosivir
Gliotoxin

[0148]

Exemplary nucleoside drugs useful in the treatment of hepatitis B infection that can be derivatized as described herein are:

[0000]

Lamivudine or 3TC or Epivir ®
Entecavir
Telbivudine or L-dT
Racivir
Emtricitabine or (−)FTC
Clevudine or L-FMAU
Amdoxovir
Valtorcitabine
Torcitabine (L-dC)
Tenofovir or PMPA
Adefovir or PMEA
L-cytidine

[0149]

A phosphoramidate or phosphonoamidate compound of acyclovir, L-ddA or D-ddA can be administered for treatment of Hepatitis B, an example of which is shown below:

[0000]

[0150]

Where the nucleoside analog already includes a phosphonate, that phosphonate group can be incorporated in the phosphonoamidate moiety shown in the formulas herein, as shown by way of example in the phosphonoamidate of adefovir:

[0000]

[0151]

Thus, in certain embodiments of the compounds of Formula II below:

[0000]

    • the moiety:

[0000]

[0153]

is derived from a drug that is an acyclic nucleoside phosphonate, i.e.:

[0000]

[0000]

which is e.g. PMEA (9-[2-(phosphonomethoxy)ethyl]adenine (adefovir).

[0154]

In certain embodiments according to Formula IIa or IIb, Ryis substituted alkyl, e.g. hydroxyalkyl or aminoalkyl; and Raand Rbare independently hydrogen, alkyl, substituted alkyl, benzyl or substituted benzyl, for instance hydroxy- or amino-substituted alkyl or benzyl. In another embodiment, Ryis —ORc, —C(Rc)3or —NHRcwhere each Rcis independently alkyl, substituted alkyl, aryl or substituted aryl, for instance hydroxy- or amino-substituted alkyl or aryl; and Raand Rbare independently hydrogen, alkyl, substituted alkyl, benzyl or substituted benzyl, for instance hydroxy- or amino-substituted alkyl or benzyl.

[0155]

In a further embodiment, Raand Rbare independently benzyl or substituted alkyl. In a further embodiment, Ryis selected from the group consisting of alkyl and hydroxyalkyl. In certain embodiments, Ryis —C(CH3)2CH2OH. In certain embodiments according to this paragraph, R2and R3are each hydrogen, Rais hydrogen, Rbis —CH2—C6H5and Ryis —C(CH3)2CH2OH.

[0156]

In one embodiment, Ryis alkyl or hydroxyalkyl. In one embodiment, Ryis methyl, tert-butyl, hydroxy-tert-butyl or hydroxyethyl. In certain embodiments, Ryis —C(CH3)2CH2OH.

[0157]

In one embodiment, Raand Rbare each independently hydrogen, alkyl, carboxyalkyl, hydroxyalkyl, hydroxyarylalkyl, acyloxyalkyl, aminocarbonylalkyl, alkoxycarbonylalkyl, aryl or arylalkyl, wherein the alkyl groups can be further substituted with one or more substitutents. In one embodiment, at least one of Raor Rbis other than hydrogen. In one embodiment, Raand Rbare each independently hydrogen, methyl or benzyl.

[0158]

In certain embodiments, Ryis —C(CH3)2CH2OH and Raand Rbare each independently hydrogen, methyl or benzyl. In certain embodiments, Ryis —C(CH3)2CH2OH and Rais hydrogen and Rbis benzyl.

[0159]

In another embodiment, the compound provided herein is a compound of formula:

[0000]

[0000]

wherein R1and Ryare as defined in Formula IIa or IIb.

[0160]

In certain embodiments of Formula IIIa, b, c or d:

[0161]

Ryis substituted alkyl, e.g., hydroxyalkyl or aminoalkyl; and

[0162]

In another embodiment, Ryis —ORc, —C(Rc)3or —NHRcwhere each Rcis independently alkyl, substituted alkyl, aryl or substituted aryl, for instance hydroxy- or amino-substituted alkyl or aryl; and Raand Rbare independently hydrogen, alkyl, substituted alkyl, benzyl or substituted benzyl, for instance hydroxy- or amino-substituted alkyl or hydroxy-, amino-, alkyl-, haloalkyl- or trifluoromethyl-substituted benzyl. In certain embodiments, Raand Rbtogether with the nitrogen atom on which they are substituted form a 3-7 membered heterocyclic or heteroaryl ring.

[0163]

In one embodiment, Ryis alkyl or hydroxyalkyl. In one embodiment, Ryis methyl, tert-butyl, hydroxy-tert-butyl or hydroxyethyl. In one embodiment, Ryis —C(CH3)2CH2OH.

[0164]

In certain embodiments according to Formula IIIa or IIIb, Ryis substituted alkyl, e.g. hydroxyalkyl or aminoalkyl. In another embodiment, Ryis —ORc, —C(Rc)3or —NHRcwhere each Rcis independently alkyl, substituted alkyl, aryl or substituted aryl, for instance hydroxy- or amino-substituted alkyl or aryl. In a further embodiment, Ryis selected from the group consisting of alkyl and hydroxyalkyl. In certain embodiments, Ryis —C(CH3)2CH2OH.

[0165]

In another embodiment, the compound provided herein is a compound of formula:

[0000]

[0000]

wherein R1, Raand Rbare e.g. as defined in Formula IIa or IIb).

[0166]

In certain embodiments of Formula IVa or IVb:

[0167]

R1is an antiviral drug, such as a nucleoside or nucleoside derivative; and

[0168]

Raand Rbare each independently hydrogen, alkyl, substituted alkyl, benzyl or substituted benzyl, for instance hydroxy- or amino-substituted alkyl or hydroxy-, amino-, alkyl-, haloalkyl- or trifluoromethyl-substituted benzyl. In a further embodiment, Raand Rbare independently H, benzyl or substituted alkyl. In certain embodiments, Raand Rbtogether with the nitrogen atom on which they are substituted form a 3-7 membered heterocyclic or heteroaryl ring.

[0169]

In certain embodiments of Formula IVa or IVb:

[0170]

R1is an antiviral drug, such as a nucleoside or nucleoside derivative; and

[0171]

Raand Rbare each independently hydrogen, alkyl, carboxyalkyl, hydroxyalkyl, hydroxyarylalkyl, acyloxyalkyl, aminocarbonylalkyl, alkoxycarbonylalkyl, aryl, arylalkyl, cycloalkyl, heteroaryl, or heterocyclyl, all optionally substituted; and

[0172]

wherein, in one embodiment, one of Raand Rbis H and the other is alkyl optionally substituted with aryl, benzyl, or heteroaryl, each optionally substituted.

[0173]

In another embodiment, the compound provided herein is a compound of formula:

[0000]

[0000]

wherein R1is as defined in Formula IIa or

[0174]

In certain embodiments, R1is an anti-viral nucleoside analog useful for treatment of HCV virus infection selected from ribavirin, viramidine, 2′-C-methylcytidine, 2′-C-methylguanosine, valopicitabine (NM 283), MK-0608 and PSI-6130. As used herein, where R1is an analogue of a nucleoside, such as acyclovir, that itself includes a phosphonate group, that phosphonate can be in the form of the phosphonoamidate in the formulas disclosed herein. Thus, e.g., in formula Va or Vb, the R1P(O)O-fragment is derived from the nucleoside analog that includes a phosphonate.

[0175]

In certain embodiments, R1is an anti-viral nucleoside analog useful for treatment of HBV virus infection selected from lamivudine (Epivir-HBV, Zeffix, or Heptodin), adefovir, entecavir (Baraclude), telbivudine (Tyzeka, Sebivo), emtricitabine (FTC), clevudine (L-FMAU), viread (Tenofovir), torcitabine, valtorcitabine (monoval LdC), amdoxovir (DAPD) and RCV (Racivir).

[0176]

Further exemplary anti-viral nucleoside analogs that can be used as R1are disclosed in International Publication Nos. WO2005021568; WO2006094347 and WO2006093987 and US Patent Publication No. US20050215510.

[0177]

In certain embodiments, R1is a non-nucleoside anti-viral useful for treatment of HBV virus infection selected from resiquimod or celgosivir.

[0178]

In one embodiment, R1is an immunosuppressant, such as combretastatin A-4, mycophenolic acid, pentostatin, nelarabine or mitoxantrone.

[0179]

In one embodiment, R1is an interfering RNA (iRNA) based antivirals, including short interfering RNA (siRNA) based antivirals. Such compounds are described in International Patent Publication Nos. WO/03/070750 and WO 2005/012525, U.S. Pat. Nos. 7,176,304; 7,109,165; 7,041,817; 7,034,009; 7,022,828; 6,852,535 and 6,849,726 and US Patent Publication No. US 2004/0209831.

[0180]

In another embodiment, the compound provided herein is a compound of formula:

[0000]

[0000]

wherein Ra, Rband Ryare as defined in Formula IIa or IIb and R2and R3are each independently H; straight chained, branched or cyclic alkyl; acyl (including lower acyl); CO-alkyl, CO-aryl, CO-alkoxyalkyl, CO-aryloxyalkyl, CO-substituted aryl, sulfonate ester such as alkyl or arylalkyl sulfonyl including methanesulfonyl and benzyl, wherein the phenyl group is optionally substituted; alkylsulfonyl, arylsulfonyl, aralkylsulfonyl, a lipid, such as a phospholipid; an amino acid; and amino acid residue, a carbohydrate; a peptide; cholesterol; or other pharmaceutically acceptable leaving group which is capable of providing a compound wherein R2and/or R3is independently H or phosphate (including mono-, di- or triphosphate), for example when administered in vivo; or R2and R3are linked to form a cyclic group by an alkyl, ester or carbamate linkage. Each RLis independently H, carbamyl, straight chained, branched or cyclic alkyl; acyl (including lower acyl); CO-alkyl, CO-aryl, CO-alkoxyalkyl, CO-aryloxyalkyl, CO-substituted aryl, sulfonate ester such as alkyl or arylalkyl sulfonyl including methanesulfonyl and benzyl, wherein the phenyl group is optionally substituted; alkylsulfonyl, arylsulfonyl, arylalkylsulfonyl, a lipid, such as a phospholipid; an amino acid; an amino acid residue; or a carbohydrate. In certain embodiments, R2and R3are each hydrogen, Rais hydrogen, Rbis —CH2—C6H5and Ryis —C(CH3)2CH2OH. In certain embodiments according to this paragraph, R2and R3are each H; Ryis substituted alkyl, e.g. hydroxyalkyl or aminoalkyl; and Raand Rbare independently hydrogen, alkyl, substituted alkyl, benzyl or substituted benzyl, for instance hydroxy- or amino-substituted alkyl or benzyl. In another embodiment, R2and R3are each H; Ryis —ORc, —C(Rc)3or —NHRcwhere each Rcis independently alkyl, substituted alkyl, aryl or substituted aryl, for instance hydroxy- or amino-substituted alkyl or aryl; and Raand Rbare independently hydrogen, alkyl, substituted alkyl, benzyl or substituted benzyl, for instance hydroxy- or amino-substituted alkyl or benzyl. In a further embodiment, R2and R3are each H; Raand Rbare independently benzyl or substituted alkyl. In a further embodiment, R2and R3are each H; Ryis selected from the group consisting of alkyl and hydroxyalkyl. In certain embodiments, R2and R3are each H; Ryis —C(CH3)2CH2OH.

[0181]

In another embodiment, the compound provided herein is a compound of formula:

[0000]

[0000]

wherein Ra, Rband Ryare as defined in Formula IIa or IIb and Reis hydrogen or alkyl. Each RLis independently H, carbamyl, straight chained, branched or cyclic alkyl; acyl (including lower acyl); CO-alkyl, CO-aryl, CO-alkoxyalkyl, CO-aryloxyalkyl, CO-substituted aryl, sulfonate ester such as alkyl or arylalkyl sulfonyl including methanesulfonyl and benzyl, wherein the phenyl group is optionally substituted; alkylsulfonyl, arylsulfonyl, aralkylsulfonyl, a lipid, such as a phospholipid; an amino acid; an amino acid residue; or a carbohydrate. In certain embodiments, Reis methyl, ethyl or propyl, Rais hydrogen, Rbis —CH2—C6H5and Ryis —C(CH3)2CH2OH. In certain embodiments according to this paragraph, R2and R3are each H; Ryis substituted alkyl, e.g. hydroxyalkyl or aminoalkyl; and Raand Rbare independently hydrogen, alkyl, substituted alkyl, benzyl or substituted benzyl, for instance hydroxy- or amino-substituted alkyl or benzyl. In another embodiment, Reis methyl, ethyl or propyl; R2and R3are each H; Ryis —ORc, —C(Rc)3or —NHRcwhere each Rcis independently alkyl, substituted alkyl, aryl or substituted aryl, for instance hydroxy- or amino-substituted alkyl or aryl; and Raand Rbare independently hydrogen, alkyl, substituted alkyl, benzyl or substituted benzyl, for instance hydroxy- or amino-substituted alkyl or benzyl. In a further embodiment, Reis methyl, ethyl or propyl; R2and R3are each H; Raand Rbare independently benzyl or substituted alkyl. In a further embodiment, R2and R3are each H; Ryis selected from the group consisting of alkyl and hydroxyalkyl. In certain embodiments, Reis methyl, ethyl or propyl; R2and R3are each H; Ryis —C(CH3)2CH2OH. In certain embodiments according to this paragraph, R1is chosen from nucleosides described in U.S. Patent Application Publication No. US 2006/0111324 A1, the content of which is hereby incorporated by reference in its entirety.

[0182]

In another embodiment, the compound provided herein is a compound of formula:

[0000]

[0000]

wherein Ra, Rband Ryare as defined in Formula IIa or IIb. Each RLis independently H, carbamyl, straight chained, branched or cyclic alkyl; acyl (including lower acyl); CO-alkyl, CO-aryl, CO-alkoxyalkyl, CO-aryloxyalkyl, CO-substituted aryl, sulfonate ester such as alkyl or arylalkyl sulfonyl including methanesulfonyl and benzyl, wherein the phenyl group is optionally substituted; alkylsulfonyl, arylsulfonyl, arylalkylsulfonyl, a lipid, such as a phospholipid; an amino acid; an amino acid residue; or a carbohydrate. In certain embodiments according to this paragraph, each RLis hydrogen, Ryis substituted alkyl, e.g. hydroxyalkyl or aminoalkyl; and Raand Rbare independently hydrogen, alkyl, substituted alkyl, benzyl or substituted benzyl, for instance hydroxy- or amino-substituted alkyl or benzyl. In another embodiment, each RLis hydrogen, Ryis —ORc, —C(Rc)3or —NHRcwhere each Rcis independently alkyl, substituted alkyl, aryl or substituted aryl, for instance hydroxy- or amino-substituted alkyl or aryl; and Raand Rbare independently hydrogen, alkyl, substituted alkyl, benzyl or substituted benzyl, for instance hydroxy- or amino-substituted alkyl or benzyl. In a further embodiment, each RLis hydrogen, Raand Rbare independently benzyl or substituted alkyl. In a further embodiment, Ryis selected from the group consisting of alkyl and hydroxyalkyl. In certain embodiments, each RLis hydrogen and Ryis —C(CH3)2CH2OH.

[0183]

In another embodiment, the compound provided herein is a compound of formula:

[0000]

[0000]

wherein Ra, Rband Ryare as defined in Formula IIa or IIb. Each RLis independently H, carbamyl, straight chained, branched or cyclic alkyl; acyl (including lower acyl); CO-alkyl, CO-aryl, CO-alkoxyalkyl, CO-aryloxyalkyl, CO-substituted aryl, sulfonate ester such as alkyl or arylalkyl sulfonyl including methanesulfonyl and benzyl, wherein the phenyl group is optionally substituted; alkylsulfonyl, arylsulfonyl, arylalkylsulfonyl, a lipid, such as a phospholipid; an amino acid; an amino acid residue; or a carbohydrate. In certain embodiments according to this paragraph, each RLis hydrogen, Ryis substituted alkyl, e.g. hydroxyalkyl or aminoalkyl; and Raand Rbare independently hydrogen, alkyl, substituted alkyl, benzyl or substituted benzyl, for instance hydroxy- or amino-substituted alkyl or benzyl. In another embodiment, each RLis hydrogen, Ryis —ORc, —C(Rc)3or —NHRcwhere each Rcis independently alkyl, substituted alkyl, aryl or substituted aryl, for instance hydroxy- or amino-substituted alkyl or aryl; and Raand Rbare independently hydrogen, alkyl, substituted alkyl, benzyl or substituted benzyl, for instance hydroxy- or amino-substituted alkyl or benzyl. In a further embodiment, each RLis hydrogen, Raand Rbare independently benzyl or substituted alkyl. In a further embodiment, Ryis selected from the group consisting of alkyl and hydroxyalkyl. In certain embodiments, each RLis hydrogen and Ryis —C(CH3)2CH2OH. In another embodiment, the compound provided herein is a compound of formula:

[0000]

[0000]

wherein Ra, Rband Ryare as defined in Formula IIa or IIb. Each RLis independently H, carbamyl, straight chained, branched or cyclic alkyl; acyl (including lower acyl); CO-alkyl, CO-aryl, CO-alkoxyalkyl, CO-aryloxyalkyl, CO-substituted aryl, sulfonate ester such as alkyl or arylalkyl sulfonyl including methanesulfonyl and benzyl, wherein the phenyl group is optionally substituted; alkylsulfonyl, arylsulfonyl, arylalkylsulfonyl, a lipid, such as a phospholipid; an amino acid; an amino acid residue; or a carbohydrate. In certain embodiments according to this paragraph, each RLis hydrogen, Ryis substituted alkyl, e.g. hydroxyalkyl or aminoalkyl; and Raand Rbare independently hydrogen, alkyl, substituted alkyl, benzyl or substituted benzyl, for instance hydroxy- or amino-substituted alkyl or benzyl. In another embodiment, each RLis hydrogen, Ryis —OCc, —C(Rc)3or —NHRcwhere each Rcis independently alkyl, substituted alkyl, aryl or substituted aryl, for instance hydroxy- or amino-substituted alkyl or aryl; and Raand Rbare independently hydrogen, alkyl, substituted alkyl, benzyl or substituted benzyl, for instance hydroxy- or amino-substituted alkyl or benzyl. In a further embodiment, each RLis hydrogen, Raand Rbare independently benzyl or substituted alkyl. In a further embodiment, Ryis selected from the group consisting of alkyl and hydroxyalkyl. In certain embodiments, each RLis hydrogen and Ryis —C(CH3)2CH2OH.

[0184]

In another embodiment, the compound provided herein is a compound of formula:

[0000]

[0185]

wherein Ra, Rband Ryare as defined in Formula IIa or IIb. Each RLis independently H, carbamyl, straight chained, branched or cyclic alkyl; acyl (including lower acyl); CO-alkyl, CO-aryl, CO-alkoxyalkyl, CO-aryloxyalkyl, CO-substituted aryl, sulfonate ester such as alkyl or arylalkyl sulfonyl including methanesulfonyl and benzyl, wherein the phenyl group is optionally substituted; alkylsulfonyl, arylsulfonyl, arylalkylsulfonyl, a lipid, such as a phospholipid; an amino acid; an amino acid residue; or a carbohydrate. In certain embodiments according to this paragraph, each RLis hydrogen, Ryis substituted alkyl, e.g. hydroxyalkyl or aminoalkyl; and Raand Rbare independently hydrogen, alkyl, substituted alkyl, benzyl or substituted benzyl, for instance hydroxy- or amino-substituted alkyl or benzyl. In another embodiment, each RLis hydrogen, Ryis —ORc, —C(Rc)3or —NHRcwhere each Rcis independently alkyl, substituted alkyl, aryl or substituted aryl, for instance hydroxy- or amino-substituted alkyl or aryl; and Raand Rbare independently hydrogen, alkyl, substituted alkyl, benzyl or substituted benzyl, for instance hydroxy- or amino-substituted alkyl or benzyl. In a further embodiment, each RLis hydrogen, Raand Rbare independently benzyl or substituted alkyl. In a further embodiment, Ryis selected from the group consisting of alkyl and hydroxyalkyl. In certain embodiments, each RLis hydrogen and Ryis —C(CH3)2CH2OH.

[0186]

In another embodiment, the compound provided herein is a compound of formula:

[0000]

[0187]

wherein Ra, Rband Ryare as defined in Formula IIa or IIb. Each RLis independently H, carbamyl, straight chained, branched or cyclic alkyl; acyl (including lower acyl); CO-alkyl, CO-aryl, CO-alkoxyalkyl, CO-aryloxyalkyl, CO-substituted aryl, sulfonate ester such as alkyl or arylalkyl sulfonyl including methanesulfonyl and benzyl, wherein the phenyl group is optionally substituted; alkylsulfonyl, arylsulfonyl, arylalkylsulfonyl, a lipid, such as a phospholipid; an amino acid; an amino acid residue; or a carbohydrate. In certain embodiments according to this paragraph, each RLis hydrogen, Ryis substituted alkyl, e.g. hydroxyalkyl or aminoalkyl; and Raand Rbare independently hydrogen, alkyl, substituted alkyl, benzyl or substituted benzyl, for instance hydroxy- or amino-substituted alkyl or benzyl. In another embodiment, each RLis hydrogen, Ryis —ORc, —C(Rc)3or —NHRcwhere each Rcis independently alkyl, substituted alkyl, aryl or substituted aryl, for instance hydroxy- or amino-substituted alkyl or aryl; and Raand Rbare independently hydrogen, alkyl, substituted alkyl, benzyl or substituted benzyl, for instance hydroxy- or amino-substituted alkyl or benzyl. In a further embodiment, each RLis hydrogen, Raand Rbare independently benzyl or substituted alkyl. In a further embodiment, Ryis selected from the group consisting of alkyl and hydroxyalkyl. In certain embodiments, each RLis hydrogen and Ryis —C(CH3)2CH2OH.

[0188]

In another embodiment, the compound provided herein is a compound of formula:

[0000]

[0189]

wherein Ra, Rband Ryare as defined in Formula IIa or IIIb. Each RLis independently H, carbamyl, straight chained, branched or cyclic alkyl; acyl (including lower acyl); CO-alkyl, CO-aryl, CO-alkoxyalkyl, CO-aryloxyalkyl, CO-substituted aryl, sulfonate ester such as alkyl or arylalkyl sulfonyl including methanesulfonyl and benzyl, wherein the phenyl group is optionally substituted; alkylsulfonyl, arylsulfonyl, arylalkylsulfonyl, a lipid, such as a phospholipid; an amino acid; an amino acid residue; or a carbohydrate. In certain embodiments according to this paragraph, each RLis hydrogen, Ryis substituted alkyl, e.g. hydroxyalkyl or aminoalkyl; and Raand Rbare independently hydrogen, alkyl, substituted alkyl, benzyl or substituted benzyl, for instance hydroxy- or amino-substituted alkyl or benzyl. In another embodiment, each RLis hydrogen, Ryis —ORc, —C(Rc)3or —NHRcwhere each Rcis independently alkyl, substituted alkyl, aryl or substituted aryl, for instance hydroxy- or amino-substituted alkyl or aryl; and Raand Rbare independently hydrogen, alkyl, substituted alkyl, benzyl or substituted benzyl, for instance hydroxy- or amino-substituted alkyl or benzyl. In a further embodiment, each RLis hydrogen, Raand Rbare independently benzyl or substituted alkyl. In a further embodiment, Ryis selected from the group consisting of alkyl and hydroxyalkyl. In certain embodiments, each RLis hydrogen and Ryis —C(CH3)2CH2OH.

[0190]

In another embodiment, the compound provided herein is a compound of formula:

[0000]

[0191]

wherein Ra, Rband Ryare as defined in Formula IIa or IIb. Each RLis independently H, carbamyl, straight chained, branched or cyclic alkyl; acyl (including lower acyl); CO-alkyl, CO-aryl, CO-alkoxyalkyl, CO-aryloxyalkyl, CO-substituted aryl, sulfonate ester such as alkyl or arylalkyl sulfonyl including methanesulfonyl and benzyl, wherein the phenyl group is optionally substituted; alkylsulfonyl, arylsulfonyl, arylalkylsulfonyl, a lipid, such as a phospholipid; an amino acid; an amino acid residue; or a carbohydrate. In certain embodiments according to this paragraph, each RLis hydrogen, Ryis substituted alkyl, e.g. hydroxyalkyl or aminoalkyl; and Raand Rbare independently hydrogen, alkyl, substituted alkyl, benzyl or substituted benzyl, for instance hydroxy- or amino-substituted alkyl or benzyl. In another embodiment, each RLis hydrogen, Ryis —ORc, —C(Ra)3or —NHRcwhere each Rcis independently alkyl, substituted alkyl, aryl or substituted aryl, for instance hydroxy- or amino-substituted alkyl or aryl; and Raand Rbare independently hydrogen, alkyl, substituted alkyl, benzyl or substituted benzyl, for instance hydroxy- or amino-substituted alkyl or benzyl. In a further embodiment, each RLis hydrogen, Raand Rbare independently benzyl or substituted alkyl. In a further embodiment, Ryis selected from the group consisting of alkyl and hydroxyalkyl. In certain embodiments, each RLis hydrogen and Ryis —C(CH3)2CH2OH.

[0192]

In certain embodiments, 2-deoxy-2-fluoro-2-C-ethynyl-β-D-nucleosides can be formed and derived into phosphoramidate compounds to potentiate delivery of an active monophosphate to the liver of an individual inflicted with HCV, such as the compounds described herein by way of example. In certain embodiments, a compound of the following formula is provided:

[0000]

[0193]

wherein:

[0194]

T=O, S, CH2, CH(hal) or CH(hal)2, S(O)n;

[0195]

n=1, 2;

[0196]

hal=halogen;

[0197]

R═H, acyl (with lower linear and non linear alkyl —C1 to 6-, aminoacid), monophosphate, diphosphate, triphosphate, monophosphate prodrug such as (alkyl-O)2PO, (tBuSate-O)2PO, cyclic monophosphate prodrug, phosphoramidate prodrug (aromatic amine, aminoacid);

[0198]

X and Y are independently H, OH, O-alkyl (lower), O-acyl, F, NH2, NH-alkyl, N-dialkyl, NH-acyl, N-diacyl, or azido;

[0199]

Z is H, alkyl, alkenyl, alkynyl, hydroxymethyl, fluoromethyl, or azido;

[0200]

W is H, alkyl, alkenyl, alkynyl, hydroxymethyl, fluoromethyl, azido, carboxylic acid, CO2-alkyl, cyano, or carboxamide;

[0201]

A is H, alkyl, alkenyl, alkynyl, hydroxymethyl, fluoromethyl, azido, carboxylic acid, CO2-alkyl, cyano, or carboxamide; and

[0202]

Base is a natural or modified base.

[0203]

Optionally the compounds include a chlorine atom at the 2′-position.

[0204]

In another embodiment, the compound provided herein is a compound of formula:

[0000]

[0205]

wherein Ra, Rband Ryare as defined in Formula IIa or IIb; A is H, alkyl, alkenyl, alkynyl, hydroxymethyl, fluoromethyl, azido, carboxylic acid, CO2-alkyl, cyano, or carboxamide; and Rblis halo, alkoxy or haloalkyl. Each RLis independently H, carbamyl, straight chained, branched or cyclic alkyl; acyl (including lower acyl); CO-alkyl, CO-aryl, CO-alkoxyalkyl, CO-aryloxyalkyl, CO-substituted aryl, sulfonate ester such as alkyl or arylalkyl sulfonyl including methanesulfonyl and benzyl, wherein the phenyl group is optionally substituted; alkylsulfonyl, arylsulfonyl, arylalkylsulfonyl, a lipid, such as a phospho lipid; an amino acid; an amino acid residue; or a carbohydrate. In certain embodiments according to this paragraph, each RLis hydrogen, Ryis substituted alkyl, e.g. hydroxyalkyl or aminoalkyl; and Raand Rbare independently hydrogen, alkyl, substituted alkyl, benzyl or substituted benzyl, for instance hydroxy- or amino-substituted alkyl or benzyl. In another embodiment, each RLis hydrogen, Ryis —ORc, —C(Rc)3or —NHRcwhere each Rcis independently alkyl, substituted alkyl, aryl or substituted aryl, for instance hydroxy- or amino-substituted alkyl or aryl; and Raand Rbare independently hydrogen, alkyl, substituted alkyl, benzyl or substituted benzyl, for instance hydroxy- or amino-substituted alkyl or benzyl. In a further embodiment, each RLis hydrogen, Raand Rbare independently benzyl or substituted alkyl. In a further embodiment, Ryis selected from the group consisting of alkyl and hydroxyalkyl. In certain embodiments, each RLis hydrogen and Ryis —C(CH3)2CH2OH.

[0206]

In another embodiment, the compound provided herein is a compound of formula:

[0000]

[0000]

wherein Ra, Rband Ryare as defined in Formula IIa or IIb. In certain embodiments, Rais hydrogen, Rbis —CH2—C6H5and Ryis —C(CH3)2CH2OH. In certain embodiments according to this paragraph, Ryis substituted alkyl, e.g. hydroxyalkyl or aminoalkyl; and Raand Rbare independently hydrogen, alkyl, substituted alkyl, benzyl or substituted benzyl, for instance hydroxy- or amino-substituted alkyl or benzyl. In another embodiment, Ryis —ORc, —C(Rc)3or —NHRcwhere each Rcis independently alkyl, substituted alkyl, aryl or substituted aryl, for instance hydroxy- or amino-substituted alkyl or aryl; and Raand Rbare independently hydrogen, alkyl, substituted alkyl, benzyl or substituted benzyl, for instance hydroxy- or amino-substituted alkyl or benzyl. In a further embodiment, Raand Rbare independently benzyl or substituted alkyl. In a further embodiment, Ryis selected from the group consisting of alkyl and hydroxyalkyl. In certain embodiments, Ryis —C(CH3)2CH2OH.

[0207]

In another embodiment, the compound provided herein is a compound of formula:

[0000]

[0000]

wherein X is halogen, Ra, Rband Ryare as defined in Formula IIa or IIb and R2and R3are each independently H, straight chained, branched or cyclic alkyl; acyl (including lower acyl); CO-alkyl, CO-aryl, CO-alkoxyalkyl, CO-aryloxyalkyl, CO-substituted aryl, sulfonate ester such as alkyl or arylalkyl sulfonyl including methanesulfonyl and benzyl, wherein the phenyl group is optionally substituted; alkylsulfonyl, arylsulfonyl, aralkylsulfonyl, a lipid, such as a phospholipid; an amino acid; and amino acid residue, a carbohydrate; a peptide; cholesterol; or other pharmaceutically acceptable leaving group which is capable of providing a compound wherein R2and/or R3is independently H or phosphate (including mono-, di- or triphosphate), for example when administered in vivo; or R2and R3are linked to form a cyclic group by an alkyl, ester or carbamate linkage. RLis hydrogen or any lipophilic group known to those of skill in the art. In certain embodiments, R2and R3are each hydrogen, Rais hydrogen, Rbis —CH2—C6H5and Ryis —C(CH3)2CH2OH. In certain embodiments said lipophilic group is selected from alkyl, alkenyl, cycloalkyl, aryl, heteroaryl, arylalkyl and heteroaryl-alkyl. In certain embodiments according to this paragraph, X is fluoro, RLis hydrogen, R2and R3are each H, Ryis substituted alkyl, e.g. hydroxyalkyl or aminoalkyl; and Raand Rbare independently hydrogen, alkyl, substituted alkyl, benzyl or substituted benzyl, for instance hydroxy- or amino-substituted alkyl or benzyl. In another embodiment, X is fluoro, RLis hydrogen, R2and R3are each H, Ryis —ORc, —C(Rc)3or —NHRcwhere each Rcis independently alkyl, substituted alkyl, aryl or substituted aryl, for instance hydroxy- or amino-substituted alkyl or aryl; and Raand Rbare independently hydrogen, alkyl, substituted alkyl, benzyl or substituted benzyl, for instance hydroxy- or amino-substituted alkyl or benzyl. In a further embodiment, X is fluoro, RLis hydrogen, R2and R3are each H, Raand Rbare independently benzyl or substituted alkyl. In a further embodiment, X is fluoro, RLis hydrogen, R2and R3are each H, Ryis selected from the group consisting of alkyl and hydroxyalkyl. In certain embodiments, X is fluoro, RLis hydrogen, R2and R3are each H, Ryis —C(CH3)2CH2OH.

[0208]

In another embodiment, the compound provided herein is a compound of formula:

[0000]

[0000]

wherein Ra, Rband Ryare as defined in Formula IIa or IIb. In certain embodiments, Ryis substituted alkyl, e.g. hydroxyalkyl or aminoalkyl; and Raand Rbare independently hydrogen, alkyl, substituted alkyl, benzyl or substituted benzyl, for instance hydroxy- or amino-substituted alkyl or benzyl. In another embodiment, Ryis —ORc, —C(Rc)3or —NHRcwhere each Rcis independently alkyl, substituted alkyl, aryl or substituted aryl, for instance hydroxy- or amino-substituted alkyl or aryl; and Raand Rbare independently hydrogen, alkyl, substituted alkyl, benzyl or substituted benzyl, for instance hydroxy- or amino-substituted alkyl or benzyl. In a further embodiment, Raand Rbare independently benzyl or substituted alkyl. In a further embodiment, Ryis selected from the group consisting of alkyl and hydroxyalkyl. In certain embodiments, Rais hydrogen, Rbis —C1-12—C6H5and Ryis —C(CH3)2CH2OH.

[0209]

In another embodiment, the compound provided herein is a compound of formula:

[0000]

[0210]

wherein Ra, Rband Ryare as defined in Formula IIa or IIb. In certain embodiments, Ryis substituted alkyl, e.g. hydroxyalkyl or aminoalkyl; and Raand Rbare independently hydrogen, alkyl, substituted alkyl, benzyl or substituted benzyl, for instance hydroxy- or amino-substituted alkyl or benzyl. In another embodiment, Ryis —ORc, —C(Rc)3or —NHRcwhere each Rcis independently alkyl, substituted alkyl, aryl or substituted aryl, for instance hydroxy- or amino-substituted alkyl or aryl; and Raand Rbare independently hydrogen, alkyl, substituted alkyl, benzyl or substituted benzyl, for instance hydroxy- or amino-substituted alkyl or benzyl. In a further embodiment, Raand Rbare independently benzyl or substituted alkyl. In a further embodiment, Ryis selected from the group consisting of alkyl and hydroxyalkyl. In certain embodiments, Rais hydrogen, Rbis —CH2—C6H5and Ryis —C(CH3)2CH2OH.

[0211]

In another embodiment, the compound provided herein is a compound of formula:

[0000]

[0212]

wherein Ra, Rband Ryare as defined in Formula IIa or IIb. In certain embodiments, Ryis substituted alkyl, e.g. hydroxyalkyl or aminoalkyl; and Raand Rbare independently hydrogen, alkyl, substituted alkyl, benzyl or substituted benzyl, for instance hydroxy- or amino-substituted alkyl or benzyl. In another embodiment, Ryis —ORc, —C(Rc)3or —NHRcwhere each Rcis independently alkyl, substituted alkyl, aryl or substituted aryl, for instance hydroxy- or amino-substituted alkyl or aryl; and Raand Rbare independently hydrogen, alkyl, substituted alkyl, benzyl or substituted benzyl, for instance hydroxy- or amino-substituted alkyl or benzyl. In a further embodiment, Raand Rbare independently benzyl or substituted alkyl. In a further embodiment, Ryis selected from the group consisting of alkyl and hydroxyalkyl. In certain embodiments, Rais hydrogen, Rbis —CH2—C6H5and Ryis —C(CH3)2CH2OH.

[0213]

In another embodiment, the compound provided herein is a compound of formula:

[0000]

[0214]

wherein Ra, Rband Ryare as defined in Formula IIa or IIb. In certain embodiments, Ryis substituted alkyl, e.g. hydroxyalkyl or aminoalkyl; and Raand Rbare independently hydrogen, alkyl, substituted alkyl, benzyl or substituted benzyl, for instance hydroxy- or amino-substituted alkyl or benzyl. In another embodiment, Ryis —ORc, —C(Rc)3or —NHRcwhere each Rcis independently alkyl, substituted alkyl, aryl or substituted aryl, for instance hydroxy- or amino-substituted alkyl or aryl; and Raand Rbare independently hydrogen, alkyl, substituted alkyl, benzyl or substituted benzyl, for instance hydroxy- or amino-substituted alkyl or benzyl. In a further embodiment, Raand Rbare independently benzyl or substituted alkyl. In a further embodiment, Ryis selected from the group consisting of alkyl and hydroxyalkyl. In certain embodiments, Rais hydrogen, Rbis —CH2—C6H5and Ryis —C(CH3)2CH2OH.

[0215]

In another embodiment, the compound provided herein is a compound of formula:

[0000]

[0000]

wherein Ra, Rband Ryare as defined in Formula IIa or IIb. RLis hydrogen or any lipophilic group known to those of skill in the art. In certain embodiments, Rais hydrogen, Rbis —CH2—C6H5and Ryis —C(CH3)2CH2OH. In certain embodiments said lipophilic group is selected from alkyl, alkenyl, cycloalkyl, aryl, heteroaryl, arylalkyl and heteroaryl-alkyl. In certain embodiments according to this paragraph, Ryis substituted alkyl, e.g. hydroxyalkyl or aminoalkyl; and Raand Rbare independently hydrogen, alkyl, substituted alkyl, benzyl or substituted benzyl, for instance hydroxy- or amino-substituted alkyl or benzyl. In another embodiment, Ryis —C(Rc)3or —NHRcwhere each Rcis independently alkyl, substituted alkyl, aryl or substituted aryl, for instance hydroxy- or amino-substituted alkyl or aryl; and Raand Rbare independently hydrogen, alkyl, substituted alkyl, benzyl or substituted benzyl, for instance hydroxy- or amino-substituted alkyl or benzyl. In a further embodiment, Raand Rbare independently benzyl or substituted alkyl. In a further embodiment, Ryis selected from the group consisting of alkyl and hydroxyalkyl. In certain embodiments, Ryis —C(CH3)2CH2OH.

[0216]

In another embodiment, the compound provided herein is a compound of formula:

[0000]

[0000]

wherein the variables are as described above.

[0217]

In another embodiment, the compound provided herein is a compound of formula:

[0000]

[0000]

wherein the variables are as described above.

[0218]

In one embodiment, R1is a natural nucleoside. In one embodiment, R1is a 2′- or 3′-prodrug of biologically active 1′, 2′, 3′ or 4′C-branched β-D or β-L nucleoside. The term 1′, 2′, 3′ or 4′C-branched, as used in this specification, includes a nucleoside that has an additional non-natural substituent in the 1′, 2′, 3′ or 4′-position (i.e., carbon is bound to four nonhydrogen substituents). The term 2′-prodrug, as used herein, includes a 1′, 2′, 3′ or 4′ C-branched-β-D or β-L nucleoside that has a biologically cleavable moiety at the 2′-position, including, but not limited to acyl, and in one embodiment, a natural or synthetic D or L amino acid, in one embodiment, an L-amino acid. The term 3′-prodrug, as used herein, includes a 1′, 2′, 3′ or 4′ C-branched-β-D or β-L nucleoside that has a biologically cleavable moiety at the 3′-position, including, but not limited to acyl, and in one embodiment, a natural or synthetic D or L amino acid, in one embodiment, an L-amino acid. In one embodiment, the amino acid is valine.

[0219]

Examples of prodrugs (that can be further derivatized as described herein to include a phosphoramidate or phosphonoamidate moiety, for example, at the 5′ position) include 2′-L-valine ester of β-D-2′-C-methyl-cytidine; 2′-L-valine ester of β-D-2′-C-methyl-thymidine; 2′-L-valine ester of β-D-2′-C-methyl-adenosine; 2′-L-valine ester of β-D-2′-C-methyl-guanosine; 2′-L-valine ester of β-D-2′-C-methyl-5-fluorocytidine; 2′-L-valine ester of β-D-2′-C-methyl-uridine; 2′-acetyl ester of β-D-2′-C-methyl-cytidine; 2′-acetyl ester of β-D-2′-C-methyl-thymidine; 2′-acetyl ester of β-D-2′-C-methyl-adenosine; 2′-acetyl ester of β-D-2′-C-methyl-guanosine; 2′-acetyl ester of β-D-2′-C-methyl-5-fluoro-cytidine; and 2′-esters of β-D-2′-C-methyl-(cytidine, 5-fluorocytidine, guanosine, uridine, adenosine, or thymidine) wherein (i) the 2′ ester is an amino acid ester; or (ii) the 2′ ester is an alkyl or aryl ester.

[0220]

Further examples of prodrugs are 3′-L-valine ester of β-D-2′-C-methyl-cytidine; 3′-L-valine ester of β-D-2′-C-methyl-thymidine; 3′-L-valine ester of β-D-2′-C-methyl-adenosine; 3′-L-valine ester of β-D-2′-C-methyl-guanosine; 3′-L-valine ester of β-D-2′-C-methyl-5-fluorocytidine; 3′-L-valine ester of β-D-2′-C-methyl-uridine; 3′-acetyl ester of β-D-2′-C-methyl-cytidine; 3′-acetyl ester of β-D-2′-C-methyl-thymidine; 3′-acetyl ester of β-D-2′-C-methyl-adenosine; 3′-acetyl ester of β-D-2′-C-methyl-guanosine; 3′-acetyl ester of 13-D-2′-C-methyl-5-fluoro-cytidine; and 3′-esters of β-D-2′-C-methyl-(cytidine, 5-fluorocytidine, guanosine, uridine, adenosine, or thymidine) wherein (i) the 3′ ester is an amino acid ester; or (ii) the 3′ ester is an alkyl or aryl ester.

[0221]

Additional examples of prodrugs include 2′,3′-L-divaline ester of β-D-2′-C-methyl-cytidine (dival-2′-Me-L-dC); 2′,3′-L-divaline ester of β-D-2′-C-methyl-thymidine; 2′,3′-L-divaline ester of β-D-2′-C-methyl-adenosine; 2′,3′-L-divaline ester of β-D-2′-C-methyl-guanosine; 2′,3′-L-divaline ester of β-D-2′-C-methyl-5-fluoro-cytidine; 2′,3′-L-divaline ester of β-D-2′-C-methyl-uridine; 2′,3′-diacetyl ester of β-D-2′-C-methyl-cytidine; 2′,3′-diacetyl ester of β-D-2′-C-methyl-thymidine; 2′,3′-diacetyl ester of β-D-2′-C-methyl-adenosine; 2′,3′-diacetyl ester of β-D-2′-C-methyl-guanosine; 2′,3′-diacetyl ester of β-D-2′-C-methyl-5-fluoro-cytidine; and 2′,3′-diesters of β-D-2′-C-methyl-(cytidine, 5-fluorocytidine, guanosine, uridine, adenosine, or thymidine) wherein (i) the 2′ ester is an amino acid ester and the 3′-ester is an alkyl or aryl ester; (ii) both esters are amino acid esters; (iii) both esters are independently alkyl or aryl esters; or (iv) the 2′ ester is an alkyl or aryl ester and the 3′-ester is an amino acid ester.

[0222]

In one embodiment, R1is:

[0000]

[0223]

wherein Base is a natural or non-natural purine or pyrimidine base as defined herein;

[0224]

R6is hydrogen, hydroxy, alkyl, alkenyl, alkynyl, azido, cyano, Br-vinyl, alkoxy, acyloxy, alkoxycarbonyl, alkenyloxy, halo, NO2or NR6aR6b;

[0225]

R6aand R6bare each independently hydrogen, alkyl, alkenyl, alkynyl, cycloalkyl, acyl, aryl, heteroaryl or heterocyclyl;

[0226]

R7, R9, R8and R10are selected as follows:

[0227]

i) R7and R9are each independently hydrogen, OR7a, hydroxy, alkyl, alkenyl, alkynyl, azido, cyano, Br-vinyl, alkyloxycarbonyl, acyloxy, halo, NO2or NR6aR6b;

[0228]

ii) R8and R10are each independently H, alkyl or halo; or

[0229]

iii) each R7and R9, R7and R10, R8and R9or R8and R10together form a double bond;

[0230]

R7ais H; straight chained, branched or cyclic alkyl (including lower alkyl); acyl (including lower acyl); CO-alkyl, CO-aryl, CO-alkoxyalkyl, CO-aryloxyalkyl, CO-substituted aryl, sulfonate ester including alkyl or arylalkyl sulfonyl including methanesulfonyl and benzyl, wherein the phenyl group is optionally substituted with one or more substituents as described in the definition of aryl given herein; alkylsulfonyl, arylsulfonyl, arylalkylsulfonyl, a lipid, including a phospholipid; an amino acid; and amino acid residue, a carbohydrate; a peptide; cholesterol; or other pharmaceutically acceptable leaving group which is capable of providing a compound wherein R7ais H or phosphate (including mono-, di- or triphosphate), for example, when administered in vivo; wherein in one embodiment R7ais not phosphate (including mono-, di- or triphosphate or a stabilized phosphate prodrug), or two R7agroups are linked to form a cyclic group by an alkyl, ester or carbamate linkage; and

[0231]

X is O, S, SO2or CH2.

[0232]

In one embodiment, R1has formula:

[0000]

[0233]

wherein and R2and R3are each independently H; straight chained, branched or cyclic alkyl; acyl (including lower acyl); CO-alkyl, CO-aryl, CO-alkoxyalkyl, CO-aryloxyalkyl, CO-substituted aryl, sulfonate ester such as alkyl or arylalkyl sulfonyl including methanesulfonyl and benzyl, wherein the phenyl group is optionally substituted; alkylsulfonyl, arylsulfonyl, arylalkylsulfonyl, a lipid, such as a phospholipid; an amino acid; and amino acid residue, a carbohydrate; a peptide; cholesterol; or other pharmaceutically acceptable leaving group which is capable of providing a compound wherein R2and/or R3is independently H or phosphate (including mono-, di- or triphosphate), for example when administered in vivo; or R2and Ware linked to form a cyclic group by an alkyl, ester or carbamate linkage;

[0234]

wherein Y1is hydrogen, bromo, chloro, fluoro, iodo, CN, OH, OR4, NH2, NHR4, NR4R5, SH or SR4;

[0235]

X1is a straight chained, branched or cyclic optionally substituted alkyl, CH3, CF3, C(Y3)3, 2-Br-ethyl, CH2F, CH2Cl, CH2CF3, CF2CF3, C(Y3)2C(Y3)3, CH2OH, optionally substituted alkenyl, optionally substituted alkynyl, COOH, COOR4, COO-alkyl, COO-aryl, CO-Oalkoxyalkyl, CONH2, CONHR4, CON(R4)2, chloro, bromo, fluoro, iodo, CN, N3, OH, OR4, NH2, NHR4, NR4R5, SH or SR5; and

[0236]

X2is H, straight chained, branched or cyclic optionally substituted alkyl, CH3, CF3, C(Y3)3, 2-Br-ethyl, CH2F, CH2Cl, CH2CF3, CF2CF3, C(Y3)2C(Y3)3, CH2OH, optionally substituted alkenyl, optionally substituted alkynyl, COOH, COOR4, COO-alkyl, COO-aryl, CO-Oalkoxyalkyl, CONH2, CONHR4, CON(R4)2, chloro, bromo, fluoro, iodo, CN, N3, OH, OR4, NH2, NHR4, NR4R5, SH or SR5; and

[0237]

wherein each Y3is independently H, F, Cl, Br or I;

[0238]

each R4and R5is independently hydrogen, acyl (including lower acyl), alkyl (including but not limited to methyl, ethyl, propyl and cyclopropyl), lower alkyl, alkenyl, alkynyl or cycloalkyl.

[0239]

In the embodiments described herein, R2and/or R3may be a pharmaceutically acceptable leaving group which is capable of providing a compound wherein R2and/or R3is independently H or phosphate (including mono-, di- or triphosphate), for example when administered in vivo.

[0240]

In another embodiment, each R2and R3is independently hydrogen or acyl. In another embodiment, R2and R3are linked to form a cyclic group by an alkyl, ester or carbamate linkage.

[0241]

In another embodiment, R1is:

[0000]

[0242]

wherein R2, R3, Y1, Y3, X1and X2are as defined in Formula XIII.

[0243]

In one embodiment, R1is:

[0000]

[0000]

wherein Base is selected from the group consisting of

[0000]

[0244]

wherein each W1, W2, W3and W4is independently N, CH, CF, Cl, CBr, CCl, CCN, CCH3, CCF3, CCH2CH3, CC(O)NH2, CC(O)NHR4, CC(O)N(R4)2, CC(O)OH, CC(O)OR4or CX3;

[0245]

each W* is independently O, S, NH or NR4;

[0246]

X is O, S, SO2, CH2, CH2OH, CHF, CF2, C(Y3)2, CHCN, C(CN)2, CHR4or C(R4)2;

[0247]

X* is CH, CF, CY3or CR4;

[0248]

X2is H, straight chained, branched or cyclic optionally substituted alkyl, CH3, CF3, C(Y3)3, 2-Br-ethyl, CH2F, CH2Cl, CH2CF3, CF2CF3, C(Y3)2C(Y3)3, CH2OH, optionally substituted alkenyl, optionally substituted alkynyl, COOH, COOR4, COO-alkyl, COO-aryl, CO-Oalkoxyalkyl, CONH2, CONHR4, CON(R4)2, chloro, bromo, fluoro, iodo, CN, N3, OH, OR4, NH2, NHR4, NR4R5, SH or SR5;

[0249]

each X3is independently a straight chained, branched or cyclic optionally substituted alkyl (including lower alkyl), CH3, CH2CN, CH2N3, CH2NH2, CH2NHCH3, CH2N(CH3)2, CH2OH, halogenated alkyl (including halogenated lower alkyl), CF3, C(Y3)3, 2-Br-ethyl, CH2F, CH2Cl, CH2CF3, CF2CF3, C(Y3)2C(Y3)3, optionally substituted alkenyl, haloalkenyl, Br-vinyl, optionally substituted alkynyl, haloalkynyl, N3, CN, —C(O)OH, —C(O)OR4, —C(O)O(lower alkyl), —C(O)NH2, —C(O)NHR4, —C(O)NH(lower —C(O)N(R4)2, —C(O)N(lower alkyl)2, OH, OR4, —O(acyl), —O(lower acyl), —O(alkyl), —O(lower alkyl), —O(alkenyl), —O(alkynyl), —O(arylalkyl), —O(cycloalkyl), —S(acyl), —S(lower acyl), —S(R4), —S(lower alkyl), —S(alkenyl), —S(alkynyl), —S(arylalkyl), —S(cycloalkyl), chloro, bromo, fluoro, iodo, NH2, —NH(lower alkyl), —NHR4, —NR4R5, —NH(acyl), —N(lower alkyl)2, —NH(alkenyl), —NH(alkynyl), —NH(arylalkyl), —NH(cycloalkyl), —N(acyl)2;

[0250]

each Y is independently selected from the group consisting of H, optionally substituted lower alkyl, cycloalkyl, alkenyl, alkynyl, CH2OH, CH2NH2, CH2NHCH3, CH2N(CH3)2, CH2F, CH2Cl, CH2N3, CH2CN, CH2CF3, CF3, CF2CF3, CH2CO2R, (CH2)mCO—OH, (CH2)mCOOR, (CH2)mCONH2, (CH2)mCONR2, and (CH2)mCONHR;

[0251]

wherein R is H, alkyl or acyl;

[0252]

Y1is hydrogen, bromo, chloro, fluoro, iodo, CN, OH, OR4, NH2, NHR4, NR4R5, SH or SR4;

[0253]

each Y2is independently O, S, NH or NR4;

[0254]

each Y3is independently H, F, Cl, Br or I;

[0255]

each R4and R5is independently hydrogen, acyl (including lower acyl), alkyl (including but not limited to methyl, ethyl, propyl and cyclopropyl), lower alkyl, alkenyl, alkynyl or cycloalkyl;

[0256]

each R6is independently an optionally substituted alkyl (including lower alkyl), CH3, CH2CN, CH2N3, CH2NH2, CH2NHCH3, CH2N(CH3)2, CH2OH, halogenated alkyl (including halogenated lower alkyl), CF3, C(Y3)3, 2-Br-ethyl, CH2F, CH2Cl, CH2CF3, CF2CF3, C(Y3)2C(Y3)3, optionally substituted alkenyl, haloalkenyl, Br-vinyl, optionally substituted alkynyl, haloalkynyl, —CH2C(O)OH, —CH2C(O)OR4, —CH2C(O)O(lower alkyl), —CH2C(O)NH2, —CH2C(O)NHR4, —CH2C(O)NH(lower alkyl), —CH2C(O)N(R4)2, —CH2C(O)N(lower alkyl)2, —(CH2)mC(O)OH, —(CH2)mC(O)OR4, —(CH2)mC(O)O(lower alkyl), —(CH2)mC(O)NH2, —(CH2)mC(O)NHR4, —(CH2)mC(O)NH(lower alkyl), —(CH2)mC(O)N(R4)2, —(CH2)mC(O)N(lower alkyl)2, —C(O)OH, —C(O)OR4, —C(O)O(lower alkyl), —C(O)NH2, —C(O)NHR4, —C(O)NH(lower alkyl), —C(O)N(R4)2, —C(O)N(lower alkyl)2or cyano;

[0257]

each R7is independently H, OH, OR2, optionally substituted alkyl (including lower alkyl), CH3, CH2CN, CH2N3, CH2NH2, CH2NHCH3, CH2N(CH3)2, CH2OH, halogenated alkyl (including halogenated lower alkyl), CF3, C(Y3)3, 2-Br-ethyl, CH2F, CH2Cl, CH2CF3, CF2CF3, C(Y3)2C(Y3)3, optionally substituted alkenyl, haloalkenyl, Br-vinyl, optionally substituted alkynyl, haloalkynyl, optionally substituted carbocycle (for example, a 3-7 membered carbocyclic ring), optionally substituted heterocycle (for example, a 3-7 membered heterocyclic ring having one or more O, S and/or N), optionally substituted heteroaryl (for example, a 3-7 membered heteroaromatic ring having one or more O, S and/or N), —CH2C(O)OH, —CH2C(O)OR4, —CH2C(O)O(lower alkyl), —CH2C(O)SH, —CH2C(O)SR4, —CH2C(O)S(lower alkyl), —CH2C(O)NH2, —CH2C(O)NHR4, —CH2C(O)NH(lower alkyl), —CH2C(O)N(R4)2, —CH2C(O)N(lower alkyl)2, —(CH2)mC(O)OH, —(CH2)mC(O)OR4, —(CH2)mC(O)O(lower alkyl), —(CH2)mC(O)SH, —(CH2)mC(O)SR4, —(CH2)mC(O)S(lower alkyl), —(CH2)mC(O)NH2, —(CH2)mC(O)NHR4, —(CH2)mC(O)NH(lower alkyl), —(CH2)mC(O)N(R4)2, —(CH2)mC(O)N(lower alkyl)2, —C(O)OH, —C(O)OR4, —C(O)O(lower alkyl), —C(O)SH, —C(O)SR4, —C(O)S(lower alkyl), —C(O)NH2, —C(O)NHR4, —C(O)NH(lower alkyl), —C(O)N(R4)2, —C(O)N(lower alkyl)2, —O(acyl), —O(lower acyl), —O(R4), —O(alkyl), —O(lower alkyl), —O(alkenyl), —O(alkynyl), —O(arylalkyl), —O(cycloalkyl), —S(acyl), —S(lower acyl), —S(R4), —S(lower alkyl), —S(alkenyl), —S(alkynyl), —S(arylalkyl), —S(cycloalkyl), NO2, NH2, —NH(lower alkyl), —NHR4, —NR4R5, —NH(acyl), —N(lower alkyl)2, —NH(alkenyl), —NH(alkynyl), —NH(arylalkyl), —NH(cycloalkyl), —N(acyl)2, azido, cyano, SCN, OCN, NCO or halo (fluoro, chloro, bromo, iodo);

[0258]

alternatively, R6and R7can come together to form a spiro compound selected from the group consisting of optionally substituted carbocycle (for example, a 3-7 membered carbocyclic ring) or optionally substituted heterocycle (for example, a 3-7 membered heterocyclic ring having one or more O, S and/or N);

[0259]

each m is independently 0, 1 or 2.

[0260]

In one embodiment, the base is

[0000]

[0261]

In one embodiment, the base is

[0000]

[0262]

In another embodiment, R1is

[0000]

[0263]

wherein each R6and R7is as defined in Formulae XX, XXI or XXII above;

[0264]

wherein each R8and R11is independently hydrogen, an optionally substituted alkyl (including lower alkyl), CH3, CH2CN, CH2N3, CH2NH2, CH2NHCH3, CH2N(CH3)2, CH2OH, halogenated alkyl (including halogenated lower alkyl), CF3, C(Y3)3, 2-Br-ethyl, CH2F, CH2Cl, CH2CF3, CF2CF3, C(Y3)2C(Y3)3, optionally substituted alkenyl, haloalkenyl, Br-vinyl, optionally substituted alkynyl, haloalkynyl, —CH2C(O)OH, —CH2C(O)OR4, —CH2C(O)O(lower alkyl), —CH2C(O)NH2, —CH2C(O)NHR4, —CH2C(O)NH(lower alkyl), —CH2C(O)N(R4)2, —CH2C(O)N(lower alkyl)2, —(CH2)mC(O)OH, —(CH2)mC(O)OR4, —(CH2)mC(O)O(lower alkyl), —(CH2)mC(O)NH2, —(CH2)mC(O)NHR4, —(CH2)mC(O)NH(lower alkyl), —(CH2)mC(O)NR4)2, —(CH2)mC(O)N(lower alkyl)2, —C(O)OH, —C(O)OR4, —C(O)O(lower alkyl), —C(O)NH2, —C(O)NHR4, —C(O)NH(lower alkyl), —C(O)N(R4)2, —C(O)N(lower alkyl)2, cyano, azido, NH-acyl or N(acyl)2;

[0265]

each R9and R10are independently hydrogen, OH, OR2, optionally substituted alkyl (including lower alkyl), CH3, CH2CN, CH2N3, CH2NH2, CH2NHCH3, CH2N(CH3)2, CH2OH, halogenated alkyl (including halogenated lower alkyl), CF3, C(Y3)3, 2-Br-ethyl, CH2F, CH2Cl, CH2CF3, CF2CF3, C(Y3)2C(Y3)3, optionally substituted alkenyl, haloalkenyl, Br-vinyl, optionally substituted alkynyl, haloalkynyl, optionally substituted carbocycle (for example, a 3-7 membered carbocyclic ring), optionally substituted heterocycle (for example, a 3-7 membered heterocyclic ring having one or more O, S and/or N), optionally substituted heteroaryl (for example, a 3-7 membered heteroaromatic ring having one or more O, S and/or N), —CH2C(O)OH, —CH2C(O)OR4, —CH2C(O)O(lower alkyl), —CH2C(O)SH, —CH2C(O)SR4, —CH2C(O)S(lower alkyl), —CH2C(O)NH2, —CH2C(O)NHR4, —CH2C(O)NH(lower alkyl), —CH2C(O)N(R4)2, —CH2C(O)N(lower alkyl)2, —(CH2)mC(O)OH, —(CH2)mC(O)OR4, —(CH2)mC(O)O(lower alkyl), —(CH2)mC(O)SH, —(CH2)mC(O)SR4, —(CH2)mC(O)S(lower alkyl), —(CH2)mC(O)NH2, —(CH2)mC(O)NHR4, —(CH2)mC(O)NH(lower alkyl), —(CH2)mC(O)N(R4)2, —(CH2)mC(O)N(lower alkyl)2, —C(O)OH, —C(O)OR4, —C(O)O(lower alkyl), —C(O)SH, —C(O)SR4, —C(O)S(lower alkyl), —C(O)NH2, —C(O)NHR4, —C(O)NH(lower alkyl), —C(O)N(R4)2, —C(O)N(lower alkyl)2, —O(acyl), —O(lower acyl), —O(R4), —O(alkyl), —O(lower alkyl), —O(alkenyl), —O(alkynyl), —O(arylalkyl), —O(cycloalkyl), —S(acyl), —S(lower acyl), —S(R4), —S(lower alkyl), —S(alkenyl), —S(alkynyl), —S(arylalkyl), —S(cycloalkyl), NO2, NH2, —NH(lower alkyl), —NHR4, —NR4R5, —NH(acyl), —N(lower alkyl)2, —NH(alkenyl), —NH(alkynyl), —NH(arylalkyl), —NH(cycloalkyl), —N(acyl)2, azido, cyano, SCN, OCN, NCO or halo (fluoro, chloro, bromo, iodo);

[0266]

each m is independently 0, 1 or 2;

[0267]

alternatively, R6and R10, R7and R9, R8and R7or R9and R11can come together to form a bridged compound selected from the group consisting of optionally substituted carbocycle (for example, a 3-7 membered carbocyclic ring) or optionally substituted heterocycle (for example, a 3-7 membered heterocyclic ring having one or more O, S and/or N); or

[0268]

alternatively, R6and R7or R9and R10can come together to form a spiro compound selected from the group consisting of optionally substituted carbocycle (for example, a 3-7 membered carbocyclic ring) or optionally substituted heterocycle (for example, a 3-7 membered heterocyclic ring having one or more O, S and/or N).

[0269]

In another embodiment, R1is:

[0000]

[0270]

wherein Base* is a purine or pyrimidine base as defined herein;

[0271]

each R12is independently a substituted alkyl (including lower alkyl), CH2CN, CH2N3, CH2NH2, CH2NHCH3, CH2N(CH3)2, CH2OH, halogenated alkyl (including halogenated lower alkyl), CF3, C(Y3)3, 2-Br-ethyl, CH2F, CH2Cl, CH2CF3, CF2CF3, C(Y3)2C(Y3)3, substituted alkenyl, haloalkenyl (but not Br-vinyl), substituted alkynyl, haloalkynyl, —CH2C(O)OH, —CH2C(O)OR4, —CH2C(O)O(lower alkyl), —CH2C(O)NH2, —CH2C(O)NHR4, —CH2C(O)NH(lower alkyl), —CH2C(O)N(R4)2, —CH2C(O)N(lower alkyl)2, —(CH2)mC(O)OH, —(CH2)mC(O)OR4, —(CH2)mC(O)O(lower alkyl), —(CH2)mC(O)NH2, —(CH2)mC(O)NHR4, —(CH2)mC(O)NH(lower alkyl), —(CH2)mC(O)N(R4)2, —(CH2)mC(O)N(lower alkyl)2, —C(O)OH, —C(O)OR4, —C(O)NH2, —C(O)NHR4, —C(O)NH(lower alkyl), —C(O)N(R4)2, —C(O)N(lower alkyl)2;

[0272]

each R13is independently substituted alkyl (including lower alkyl), CH2CN, CH2N3, CH2NH2, CH2NHCH3, CH2N(CH3)2, CH2OH, halogenated alkyl (including halogenated lower alkyl), CF3, C(Y3)3, 2-Br-ethyl, CH2F, CH2Cl, CH2CF3, CF2CF3, C(Y3)2C(Y3)3, substituted alkenyl, haloalkenyl (but not Br-vinyl), substituted alkynyl, haloalkynyl, optionally substituted carbocycle (for example, a 3-7 membered carbocyclic ring), optionally substituted heterocycle (for example, a 3-7 membered heterocyclic ring having one or more O, S and/or N), optionally substituted heteroaryl (for example, a 3-7 membered heteroaromatic ring having one or more O, S and/or N), —CH2C(O)OH, —CH2C(O)OR4, —CH2C(O)O(lower alkyl), —CH2C(O)SH, —CH2C(O)SR4, —CH2C(O)S(lower alkyl), —CH2C(O)NH2, —CH2C(O)NHR4, —CH2C(O)NH(lower alkyl), —CH2C(O)N(R4)2, —CH2C(O)N(lower alkyl)2, —(CH2)mC(O)OH, —(CH2)mC(O)OR4, —(CH2)mC(O)O(lower alkyl), —(CH2)mC(O)SH, —(CH2)mC(O)SR4, —(CH2)mC(O)S(lower alkyl), —(CH2)mC(O)NH2, —(CH2)mC(O)NHR4, —(CH2)mC(O)NH(lower alkyl), —(CH2)mC(O)N(R4)2, —(CH2)mC(O)N(lower alkyl)2, —C(O)OH, —C(O)OR4, —C(O)SH, —C(O)SR4, —C(O)S(lower alkyl), —C(O)NH2, —C(O)NHR4, —C(O)NH(lower alkyl), —C(O)N(R4)2, —C(O)N(lower alkyl)2, —O(R4), —O(alkynyl), —O(arylalkyl), —O(cycloalkyl), —S(acyl), —S(lower acyl), —S(R4), —S(lower alkyl), —S(alkenyl), —S(alkynyl), —S(arylalkyl), —S(cycloalkyl), —NHR4, —NR4R5, —NH(alkenyl), —NH(alkynyl), —NH(arylalkyl), —NH(cycloalkyl), SCN, OCN, NCO or fluoro;

[0273]

alternatively, R12and R13can come together to form a spiro compound selected from the group consisting of optionally substituted carbocycle (for example, a 3-7 membered carbocyclic ring) or optionally substituted heterocycle (for example, a 3-7 membered heterocyclic ring having one or more O, S and/or N);

[0274]

R2and R3are according to Formula XII; and

[0275]

each m is independently 0, 1 or 2.

[0276]

In another embodiment, R is:

[0000]

[0000]

wherein Base* is a purine or pyrimidine base as described herein; and

[0277]

each R8and R11is independently hydrogen, an optionally substituted alkyl (including lower alkyl), CH3, CH2CN, CH2N3, CH2NH2, CH2NHCH3, CH2N(CH3)2, CH2OH, halogenated alkyl (including halogenated lower alkyl), CF3, C(Y3)3, 2-Br-ethyl, CH2F, CH2Cl, CH2CF3, CF2CF3, C(Y3)2C(Y3)3, optionally substituted alkenyl, haloalkenyl, Br-vinyl, optionally substituted alkynyl, haloalkynyl, —CH2C(O)OH, —CH2C(O)OR4, —CH2C(O)O(lower alkyl), —CH2C(O)NH2, —CH2C(O)NHR4, —CH2C(O)NH(lower alkyl), —CH2C(O)N(R4)2, —CH2C(O)N(lower alkyl)2, —(CH2)mC(O)OH, —(CH2)mC(O)OR4, —(CH2)mC(O)O(lower alkyl), —(CH2)mC(O)NH2, —(CH2)mC(O)NHR4, —(CH2)mC(O)NH(lower alkyl), —(CH2)mC(O)N(R4)2, —(CH2)mC(O)N(lower alkyl)2, —C(O)OH, —C(O)OR4, —C(O)O(lower alkyl), —C(O)NH2, —C(O)NHR4, —C(O)NH(lower alkyl), —C(O)N(R4)2, —C(O)N(lower alkyl)2, cyano, NH-acyl or N(acyl)2;

[0278]

each R9and R10are independently hydrogen, OH, OR2, optionally substituted alkyl (including lower alkyl), CH3, CH2CN, CH2N3, CH2NH2, CH2NHCH3, CH2N(CH3)2, CH2OH, halogenated alkyl (including halogenated lower alkyl), CF3, C(Y3)3, 2-Br-ethyl, CH2F, CH2Cl, CH2CF3, CF2CF3, C(Y3)2C(Y3)3, optionally substituted alkenyl, haloalkenyl, Br-vinyl, optionally substituted alkynyl, haloalkynyl, optionally substituted carbocycle (for example, a 3-7 membered carbocyclic ring), optionally substituted heterocycle (for example, a 3-7 membered heterocyclic ring having one or more O, S and/or N), optionally substituted heteroaryl (for example, a 3-7 membered heteroaromatic ring having one or more O, S and/or N), —CH2C(O)OH, —CH2C(O)OR4, —CH2C(O)O(lower alkyl), —CH2C(O)SH, —CH2C(O)SR4, —CH2C(O)S(lower alkyl), —CH2C(O)NH2, —CH2C(O)NHR4, —CH2C(O)NH(lower alkyl), —CH2C(O)N(R4)2, —CH2C(O)N(lower alkyl)2, —(CH2)mC(O)OH, —(CH2)mC(O)OR4, —(CH2)mC(O)O(lower alkyl), —(CH2)mC(O)SH, —(CH2)mC(O)SR4, —(CH2)mC(O)S(lower alkyl), —(CH2)mC(O)NH2, —(CH2)mC(O)NHR4, —(CH2)mC(O)NH(lower alkyl), —(CH2)mC(O)N(R4)2, —(CH2)mC(O)N(lower alkyl)2, —C(O)OH, —C(O)OR4, —C(O)O(lower alkyl), —C(O)SH, —C(O)SR4, —C(O)S(lower alkyl), —C(O)NH2, —C(O)NHR4, —C(O)NH(lower alkyl), —C(O)N(R4)2, —C(O)N(lower alkyl)2, —O(acyl), —O(lower acyl), —O(R4), —O(alkyl), —O(lower alkyl), —O(alkenyl), —O(alkynyl), —O(arylalkyl), —O(cycloalkyl), —S(acyl), —S(lower acyl), —S(R4), —S(lower alkyl), —S(alkenyl), —S(alkynyl), —S(arylalkyl), —S(cycloalkyl), NO2, NH2, —NH(lower alkyl), —NHR4, —NR4R5, —NH(acyl), —N(lower alkyl)2, —NH(alkenyl), —NH(alkynyl), —NH(arylalkyl), —NH(cycloalkyl), —N(acyl)2, azido, cyano, SCN, OCN, NCO or halo (fluoro, chloro, bromo, iodo);

[0279]

each R12is independently a substituted alkyl (including lower alkyl), CH2CN, CH2N3, CH2NH2, CH2NHCH3, CH2N(CH3)2, CH2OH, halogenated alkyl (including halogenated lower alkyl), CF3, C(Y3)3, 2-Br-ethyl, CH2F, CH2Cl, CH2CF3, CF2CF3, C(Y3)2C(Y3)3, substituted alkenyl, haloalkenyl (but not Br-vinyl), substituted alkynyl, haloalkynyl, —CH2C(O)OH, —CH2C(O)OR4, —CH2C(O)O(lower alkyl), —CH2C(O)NH2, —CH2C(O)NHR4, —CH2C(O)NH(lower alkyl), —CH2C(O)N(R4)2, —CH2C(O)N(lower alkyl)2, —(CH2)mC(O)OH, —(CH2)mC(O)OR4, —(CH2)mC(O)O(lower alkyl), —(CH2)mC(O)NH2, —(CH2)mC(O)NHR4, —(CH2)mC(O)NH(lower alkyl), —(CH2)mC(O)N(R4)2, —(CH2)mC(O)N(lower alkyl)2, —C(O)OH, —C(O)OR4, —C(O)NH2, —C(O)NHR4, —C(O)NH(lower alkyl), —C(O)N(R4)2, —C(O)N(lower alkyl)2;

[0280]

each m is independently 0, 1 or 2;

[0281]

alternatively, R8and R13, R9and R13, R9and R11or R10and R12can come together to form a bridged compound selected from the group consisting of optionally substituted carbocycle (for example, a 3-7 membered carbocyclic ring) or optionally substituted heterocycle (for example, a 3-7 membered heterocyclic ring having one or more O, S and/or N); or

[0282]

alternatively, R12and R13or R9and R10can come together to form a spiro compound selected from the group consisting of optionally substituted carbocycle (for example, a 3-7 membered carbocyclic ring) or optionally substituted heterocycle (for example, a 3-7 membered heterocyclic ring having one or more O, S and/or N).

[0283]

In one aspect, R1is:

[0000]

[0284]

B indicates a spiro compound selected from the group consisting of optionally substituted carbocycle (for example, a 3-7 membered carbocyclic ring) or optionally substituted heterocycle (for example, a 3-7 membered heterocyclic ring having one or more O, S and/or N);

[0285]

Base is selected from the group consisting of:

[0000]

[0286]

wherein each R′, R″, R′″ and R″″ are independently selected from the group consisting of H, OH, substituted or unsubstituted alkyl, substituted or unsubstituted alkenyl, substituted or unsubstituted alkynyl, cycloalkyl, Br-vinyl, —O-alkyl, O-alkenyl, O-alkynyl, O-aryl, O-arylalkyl, —O-acyl, O-cycloalkyl, NH2, NH-alkyl, N-dialkyl, NH-acyl, N-aryl, N-arylalkyl, NH-cycloalkyl, SH, S-alkyl, S-acyl, S-aryl, S-cycloalkyl, S-arylalkyl, F, Cl, Br, I, CN, COOH, CONH2, CO2-alkyl, CONH-alkyl, CON-dialkyl, OH, CF3, CH2OH, (CH2)mOH, (CH2)mNH2, (CH2)mCOOH, (CH2)mCN, (CH2)mNO2and (CH2)mCONH2;

[0287]

m is 0 or 1;

[0288]

each W is independently C—R″ or N;

[0289]

T and V independently are CH or N;

[0290]

Q is CH, —CCl, —CBr, —CF, —Cl, —CCN, —C—COOH, —C—CONH2, or N;

[0291]

Q1and Q2independently are N or C—R;

[0292]

Q3, Q4, Q5and Q6independently are N or CH; and

[0293]

tautomeric forms thereof.

[0294]

In another aspect, R1is:

[0000]

[0295]

G and E independently are selected from the group consisting of CH3, CH2OH, CH2F, CH2N3, CH2CN, (CH2)mCOOH, (CH2)mCOOR, (CH2)mCONH2, (CH2)mCONR2, (CH2)mCONHR, N3and N-acyl;

[0296]

m is 0 or 1;

[0297]

R is H, alkyl or acyl; and

[0298]

Base is as defined for Formula (XIII).

[0299]

In one embodiment, at most one of G and E can further be hydrogen.

[0300]

In another embodiment, R1is:

[0000]

[0301]

wherein M is selected from the group consisting of O, S, SO, and SO2; and Base is as defined for Formula (XIII).

[0302]

In certain embodiments, R1is:

[0000]

[0303]

wherein A is selected from the group consisting of optionally substituted lower alkyl, cycloalkyl, alkenyl, alkynyl, CH2OH, CH2NH2, CH2NHCH3, CH2N(CH3)2, CH2F, CH2Cl, CH2N3, CH2CN, CH2CF3, CF3, CF2CF3, CH2CO2R, (CH2)mCOOH, (CH2)mCOOR, (CH2)mCONH2, (CH2)mCONR2, and (CH2)mCONHR;

[0304]

Y is selected from the group consisting of H, optionally substituted lower alkyl, cycloalkyl, alkenyl, alkynyl, CH2OH, CH2NH2, CH2NHCH3, CH2N(CH3)2, CH2F, CH2Cl, CH2N3, CH2CN, CH2CF3, CF3, CF2CF3, CH2CO2R, (CH2)mCOOH, (CH2)mCOOR, (CH2)mCONH2, (CH2)mCONR2, and (CH2)mCONHR;

[0305]

X is selected from the group consisting of H, —OH, optionally substituted alkyl, cycloalkyl, alkenyl, alkynyl, —O-alkyl, —O-alkenyl, —O-alkynyl, —O-aryl, —O-arylalkyl, —O-cycloalkyl-, O-acyl, F, Cl, Br, I, CN, NC, SCN, OCN, NCO, NO2, NH2, N3, NH-acyl, NH-alkyl, N-dialkyl, NH-alkenyl, NH-alkynyl, NH-aryl, NH-arylalkyl, NH-cycloalkyl, SH, S-alkyl, S-alkenyl, S-alkynyl, S-aryl, S-arylalkyl, S-acyl, S-cycloalkyl, CO2-alkyl, CONH-alkyl, CON-dialkyl, CONH-alkenyl, CONH-alkynyl, CONH-arylalkyl, CONH-cycloalkyl, CH2OH, CH2NH2, CH2NHCH3, CH2N(CH3)2, CH2F, CH2Cl, CH2N3, CH2CN, CH2CF3, CF3, —CF2CF3, CH2CO2R, (CH2)mCOOH, (CH2)mCOOR, (CH2)mCONH2, (CH2)mCONR2, (CH2)mCONHR, an optionally substituted 3-7 membered carbocyclic, and an optionally substituted 3-7 membered heterocyclic ring having O, S and/or N independently as a heteroatom taken alone or in combination;

[0306]

m is 0 or 1;

[0307]

R is H, alkyl or acyl; and Base is a non-natural base selected from the group of:

[0000]

[0308]

wherein each R′, R″, R′″ and R″″ is independently selected from the group consisting of H, OH, substituted or unsubstituted alkyl, substituted or unsubstituted alkenyl, substituted or unsubstituted alkynyl, cycloalkyl, Br-vinyl, —O-alkyl, O-alkenyl, O-alkynyl, O-aryl, O-arylalkyl, —O-acyl, O-cycloalkyl, NH2, NH-alkyl, N-dialkyl, NH-acyl, N-aryl, N-arylalkyl, NH-cycloalkyl, SH, S-alkyl, S-acyl, S-aryl, S-cycloalkyl, S-arylalkyl, F, Cl, Br, I, CN, COOH, CONH2, CO2-alkyl, CONH-alkyl, CON-dialkyl, OH, CF3, CH2OH, (CH2)mOH, (CH2)mNH2, (CH2)mCOOH, (CH2)mCN, (CH2)mNO2and (CH2)mCONH2;

[0309]

m is 0 or 1;

[0310]

each W is independently C—R″ or N;

[0311]

T and V independently are CH or N;

[0312]

Q is CH, —CCl, —CBr, —CF, —Cl, —CCN, —C—COOH, —C—CONH2, or N;

[0313]

Q1and Q2independently are N or C—R″″; and

[0314]

Q3, Q4, Q5and Q6independently are N or CH;

[0315]

with the proviso that in bases (g) and (i), R′, R″″ are not H, OH, or NH2; and Q, T, V, Q2, Q5and Q6are not N.

[0316]

In one embodiment, R1is a 2′-(alkyl or aryl) ester or 3′-(alkyl or aryl) ester of 1′, 2′, 3′ or 4′C-branched-β-D or β-L nucleoside with any natural or non-natural purine or pyrimidine base. In one embodiment, R1is a 2′ or 3′-(D or L)-amino acid ester of 1′, 2′; 3′ or 4′ C-branched-β-D or nucleoside, wherein the amino acid is a natural or synthetic amino acid. In another embodiment, R1is a 3′-D or L-amino acid ester of 1′, 2′, 3′ or 4′ C-branched-β-D or β-L nucleoside, wherein the amino acid is a natural or synthetic amino acid. In one embodiment, the amino acid is an L-amino acid.

[0317]

In one embodiment, the amino acid residue is of the formula

[0000]


C(O)C(R11)(R12)(NR13R14),

[0318]

wherein R11is the side chain of an amino acid and wherein, R11can optionally be attached to R13to form a ring structure; or alternatively, R11is an alkyl, aryl, heteroaryl or heterocyclic moiety;

[0319]

R12is hydrogen, alkyl (including lower alkyl) or aryl; and

[0320]

R13and R14are independently hydrogen, acyl (including an acyl derivative attached to R15or alkyl (including but not limited to methyl, ethyl, propyl, and cyclopropyl).

[0321]

In another embodiment, at least one of R2and R3is an amino acid residue. In one embodiment, at least one of R2and R3is L-valinyl.

[0322]

In one embodiment, R1is:

[0000]

[0000]

wherein R6, R7, R8, R9, R10and Base* are as defined in Formula XXX, XXXI, XL, XLI or XLII.

[0323]

In one embodiment, R1is:

[0000]

[0000]

wherein R2, R3, R6and Base* are as defined in Formula XXX, XXXI, XL, XLI or XLII.

[0324]

In one embodiment, R1is:

[0000]

[0000]

wherein X1and X2are each independently hydrogen, alkyl, halo or amino; Y is hydrogen, amino, aminoalkyl, aminocycloalkyl, alkyl, cycloalkyl, hydroxy, alkoxy, cycloalkoxy, SH or thioalkyl; X is O or S; and wherein R6, R7, R8, R9are as defined in Formula XXX, XXXI, XL, XLI or XLII.

[0325]

In one embodiment, R1is:

[0000]

[0000]

wherein X1is hydrogen, alkyl, halo or amino; Y is hydrogen, amino, aminoalkyl, aminocycloalkyl, alkyl, cycloalkyl, hydroxy, alkoxy, cycloalkoxy, SH or thioalkyl; X is O or S; and wherein R6, R7, R8, R9are as defined in Formula XXX, XXXI, XL, XLI or XLII.

[0326]

In one embodiment, R1is:

[0000]

[0000]

wherein R2, R3, and Base* are as defined in Formula XIII, XXX, XXXI, XL, XLI or XLII.

[0327]

In one embodiment, R1is:

[0000]

[0000]

wherein R2, R3, Y1, Y3, X1, and X2are as defined in Formula XIII.

[0328]

In one embodiment, R1is:

[0000]

[0000]

wherein R2, R3, Y1, Y3, X1, and X2are as defined in Formula XIII.

[0329]

In one embodiment, R1is:

[0000]

[0000]

wherein R2, R3, R6, Y, and X1are as defined in Formula XIII, XX, XXI or XXII.

[0330]

In one embodiment, R1is:

[0000]

[0000]

wherein R2, R3, R6, R7, X and Base* are as defined in Formula XIII, XX, XXI, XXII, XL, XLI or XLII.

[0331]

In one embodiment, R1is

[0000]

[0000]

wherein R8is alkyl, alkenyl or alkynyl; R7is OR7a;

    • R9is OR7a;
    • R7ais H or

[0000]

    • Rmis a side chain of any natural or non-natural amino acid; and
    • Rpis hydrogen, hydroxy, alkyl or alkoxy; and
    • Base* is as defined in Formula XL, XLI or XLII
      In one embodiment, R8is methyl, ethyl, vinyl or ethynyl; R7is hydroxy or fluoro; R9is hydroxy and other variables are as described herein.

[0337]

In one embodiment, R1is

[0000]

[0338]

In one embodiment, R8is methyl or ethyl. In one embodiment, R7ais H or

[0000]

[0339]

In one embodiment, the phosphoramidate compound provided herein is:

[0000]

[0000]

or a pharmaceutically acceptable salt, solvate or hydrate thereof.

[0340]

In one embodiment, the phosphoramidate compound provided herein is:

[0000]

[0341]

In one embodiment, the phosphoramidate compound provided herein is:

[0000]

[0342]

In one embodiment, the phosphoramidate compound provided herein is:

[0000]

[0343]

In one embodiment, the phosphoramidate compound provided herein is:

[0000]

[0344]

In one embodiment, the phosphoramidate compound provided herein is:

[0000]

[0345]

In one embodiment, the phosphoramidate compound provided herein is:

[0000]

[0346]

In one embodiment, the phosphoramidate compound provided herein is:

[0000]

[0347]

In one embodiment, the phosphoramidate compound provided herein is:

[0000]

[0348]

In one embodiment, the phosphoramidate compound provided herein is:

[0000]

[0349]

In one embodiment, the phosphoramidate compound provided herein is:

[0000]

[0350]

In one embodiment, the phosphoramidate compound provided herein is:

[0000]

[0351]

In one embodiment, the phosphoramidate compound provided herein is:

[0000]

[0352]

In one embodiment, the phosphoramidate compound provided herein is:

[0000]

[0353]

In one embodiment, the phosphoramidate compound provided herein is:

[0000]

[0354]

In one embodiment, the phosphonoamidate compound provided herein is a phosphonoamidate form of PMPA or PMEA such as:

[0000]

Optically Active Compounds

[0355]

It is appreciated that compounds provided herein have several chiral centers and may exist in and be isolated in optically active and racemic forms. Some compounds may exhibit polymorphism. It is to be understood that any racemic, optically-active, diastereomeric, polymorphic, or stereoisomeric form, or mixtures thereof, of a compound provided herein, which possess the useful properties described herein is within the scope of the invention. It being well known in the art how to prepare optically active forms (for example, by resolution of the racemic form by recrystallization techniques, by synthesis from optically-active starting materials, by chiral synthesis, or by chromatographic separation using a chiral stationary phase).

[0356]

In particular, since the 1′ and 4′ carbons of a nucleoside are chiral, their nonhydrogen substituents (the base and the CHOR groups, respectively) can be either cis (on the same side) or trans (on opposite sides) with respect to the sugar ring system. The four optical isomers therefore are represented by the following configurations (when orienting the sugar moiety in a horizontal plane such that the oxygen atom is in the back): cis (with both groups “up”, which corresponds to the configuration of naturally occurring β-D nucleosides), cis (with both groups “down”, which is a nonnaturally occurring β-L configuration), trans (with the C2′ substituent “up” and the C4′ substituent “down”), and trans (with the C2′ substituent “down” and the C4′ substituent “up”). The “D-nucleosides” are cis nucleosides in a natural configuration and the “L-nucleosides” are cis nucleosides in the non-naturally occurring configuration.

[0357]

Likewise, most amino acids are chiral (designated as L or D, wherein the L enantiomer is the naturally occurring configuration) and can exist as separate enantiomers.

[0358]

Examples of methods to obtain optically active materials are known in the art, and include at least the following.

    • i) physical separation of crystals—a technique whereby macroscopic crystals of the individual enantiomers are manually separated. This technique can be used if crystals of the separate enantiomers exist, i.e., the material is a conglomerate, and the crystals are visually distinct;
    • ii) simultaneous crystallization—a technique whereby the individual enantiomers are separately crystallized from a solution of the racemate, possible only if the latter is a conglomerate in the solid state;
    • iii) enzymatic resolutions—a technique whereby partial or complete separation of a racemate by virtue of differing rates of reaction for the enantiomers with an enzyme;
    • iv) enzymatic asymmetric synthesis—a synthetic technique whereby at least one step of the synthesis uses an enzymatic reaction to obtain an enantiomerically pure or enriched synthetic precursor of the desired enantiomer;
    • v) chemical asymmetric synthesis—a synthetic technique whereby the desired enantiomer is synthesized from an achiral precursor under conditions that produce asymmetry (i.e., chirality) in the product, which may be achieved using chiral catalysts or chiral auxiliaries;
    • vi) diastereomer separations—a technique whereby a racemic compound is reacted with an enantiomerically pure reagent (the chiral auxiliary) that converts the individual enantiomers to diastereomers. The resulting diastereomers are then separated by chromatography or crystallization by virtue of their now more distinct structural differences and the chiral auxiliary later removed to obtain the desired enantiomer;
    • vii) first- and second-order asymmetric transformations—a technique whereby diastereomers from the racemate equilibrate to yield a preponderance in solution of the diastereomer from the desired enantiomer or where preferential crystallization of the diastereomer from the desired enantiomer perturbs the equilibrium such that eventually in principle all the material is converted to the crystalline diastereomer from the desired enantiomer. The desired enantiomer is then released from the diastereomer;
    • viii) kinetic resolutions—this technique refers to the achievement of partial or complete resolution of a racemate (or of a further resolution of a partially resolved compound) by virtue of unequal reaction rates of the enantiomers with a chiral, non-racemic reagent or catalyst under kinetic conditions;
    • ix) enantiospecific synthesis from non-racemic precursors—a synthetic technique whereby the desired enantiomer is obtained from non-chiral starting materials and where the stereochemical integrity is not or is only minimally compromised over the course of the synthesis;
    • x) chiral liquid chromatography—a technique whereby the enantiomers of a racemate are separated in a liquid mobile phase by virtue of their differing interactions with a stationary phase. The stationary phase can be made of chiral material or the mobile phase can contain an additional chiral material to provoke the differing interactions;
    • xi) chiral gas chromatography—a technique whereby the racemate is volatilized and enantiomers are separated by virtue of their differing interactions in the gaseous mobile phase with a column containing a fixed non-racemic chiral adsorbent phase;
    • xii) extraction with chiral solvents—a technique whereby the enantiomers are separated by virtue of preferential dissolution of one enantiomer into a particular chiral solvent;
    • xiii) transport across chiral membranes—a technique whereby a racemate is placed in contact with a thin membrane barrier. The barrier typically separates two miscible fluids, one containing the racemate, and a driving force such as concentration or pressure differential causes preferential transport across the membrane barrier. Separation occurs as a result of the non-racemic chiral nature of the membrane which allows only one enantiomer of the racemate to pass through.

[0372]

In some embodiments, compositions of phosphonoamidate or phosphoramidate compounds are provided that are substantially free of a designated enantiomer of that nucleoside. In a preferred embodiment, in the methods and compounds of this invention, the compounds are substantially free of enantiomers. In some embodiments, the composition includes that includes a compound that is at least 85, 90%, 95%, 98%, 99% to 100% by weight, of the compound, the remainder comprising other chemical species or enantiomers.

[0373]

Preparation of Compounds

[0374]

The compounds provided herein can be prepared, isolated or obtained by any method apparent to those of skill in the art. Exemplary methods of preparation are described in detail in the examples below.

[0375]

In certain embodiments, compounds provided herein can be prepared by coupling alcohols and H-phosphonate monoesters as illustrated in the reaction scheme below:

[0000]

[0000]

any reactive function on Ry, R7, R8, R9, R10or on the base may be protected during the coupling reaction. A variety of coupling agents known to one of skill in the art can be used. Exemplary coupling agents for use in the reaction include, but are not limited to HOBt (N-Hydroxybenzotriazole), HBTU (2-(1H-Benzotriazole-1-yl)-1,1,3,3-tetramethylaminium hexafluorophosphate), DCC(N,N′-dicyclohexylcarbodiimide), BOP (Benzotriazole-1-yl-oxy-tris-(dimethylamino)-phosphoniurnhexafluorophosphate), PyBOP (1H-benzotriazol-1-yloxytripyrrolidinophosphonium hexafluorophosphate) and others known to one of skill in the art.

[0376]

A general scheme for the synthesis of hydroxytBuSATE N-benzylphosphoramidate nucleoside derivatives represented by B is provided in Schemes B1-B3 below.

[0000]

[0377]

where R═H, Tr, MMTr or DMTr in case of reactive amine; R1, R2, R4, R6═H, alkyl or halo and R3/R5are both H or isopropylidene.

[0000]

[0000]

[0000]

[0378]

In addition, certain nucleosides and analogs thereof and prodrugs thereof can be prepared according to methods described in U.S. Pat. Nos. 6,812,219; 7,105,493; 7,101,861; 6,914,054; 6,555,676; 7,202,224; 7,105,499; 6,777,395; 6,914,054; 7,192,936; US publication Nos. 2005203243; 2007087960; 2007060541; 2007060505; 2007060504; 2007060503; 2007060498; 2007042991; 2007042990; 2007042940; 2007042939 and 2007037735; International Publication Nos. WO 04/003000; WO 04/022999; WO 04/002422; WO 01/90121 and WO 01/92282. Other patents/patent applications disclosing nucleoside analogs to treat hepatitis C virus that can be derivatized as described herein include: PCT/CA00/01316 (WO 01/32153; filed Nov. 3, 2000) and PCT/CA01/00197 (WO 01/60315; filed Feb. 19, 2001) filed by BioChem Pharma, Inc. (now Shire Biochem, Inc.); PCT/US02/01531 (WO 02/057425; filed Jan. 18, 2002); PCT/US02/03086 (WO 02/057287; filed Jan. 18, 2002); U.S. Pat. No. 7,202,224; U.S. Pat. No. 7,125,855; U.S. Pat. No. 7,105,499 and U.S. Pat. No. 6,777,395 by Merck & Co., Inc.; PCT/EP01/09633 (WO 02/18404; published Aug. 21, 2001); US 2006/0040890; 2005/0038240; 2004/0121980; U.S. Pat. Nos. 6,846,810; 6,784,166 and 6,660,721 by Roche; PCT Publication Nos. WO 01/79246 (filed Apr. 13, 2001), WO 02/32920 (filed Oct. 18, 2001) and WO 02/48165; US 2005/0009737 and US 2005/0009737; U.S. Pat. Nos. 7,094,770 and 6,927,291 by Pharmasset, Ltd. Contents of these references are hereby incorporated by reference in their entireties.

[0379]

Assay Methods

[0380]

Compounds can be assayed for HBV activity according to any assay known to those of skill in the art. Compounds can be assayed for HCV activity according to any assay known to those of skill in the art.

[0381]

Further, compounds can be assayed for accumulation in liver cells of a subject according to any assay known to those of skill in the art. In certain embodiments, a compound can be administered to the subject, and a liver cell of the subject can be assayed for the compound or a derivative thereof, e.g. a nucleoside, nucleoside phosphate or nucleoside triphosphate derivative thereof.

[0382]

In one embodiment, a phosphoramidate or phosphonoamidate nucleoside compound is administered to cells, such as liver cells, in vivo or in vitro, and the nucleoside triphosphate levels delivered intracellularly are measured, to indicate delivery of the compound and triphosphorylation in the cell. The levels of intracellular nucleoside triphosphate can be measured using analytical techniques known in the art. Methods of detecting ddATP are described herein below by way of example, but other nucleoside triphosphates can be readily detected using the appropriate controls, calibration samples and assay techniques.

[0383]

In one embodiment, ddATP concentrations are measured in a sample by comparison to calibration standards made from control samples. The ddATP concentrations in a sample can be measured using an analytical method such as HPLC LC MS. In one embodiment, a test sample is compared to a calibration curve created with known concentrations of ddATP to thereby obtain the concentration of that sample.

[0384]

In one embodiment, the samples are manipulated to remove impurities such as salts (Na+, K+, etc.) before analysis. In one embodiment, the lower limit of quantitation is about ˜0.2 pmol/mL for hepatocyte cellular extracts particularly where reduced salt is present.

[0385]

In one embodiment, the method allows successfully measuring triphosphate nucleotides formed at levels of 1-10,000 pmol per million cells in e.g. cultured hepatocytes and HepG2 cells.

[0386]

Methods of Use

[0387]

The phosphoramidate and phosphonoamidate compounds of a variety of therapeutic agents can be formed using methods available in the art and those disclosed herein. Such compounds can be used in some embodiments to enhance delivery of the drug to the liver.

[0388]

In one embodiment, the compound comprises a S-acyl-2-thioethyl phosphoramidate or S-acyl-2-thioethyl phosphonoamidate, e.g., a S-pivaloyl-2-thioethyl phosphoramidate or S-hydroxypivaloyl-2-thioethyl phosphonoamidate derivative. Therapeutic agents that can be derivatized to phosphoramidate or phosphonoamidate compound form include any anti-viral agent that includes, or has been derivatized to include a reactive group for attachment of the phosphoramidate or phosphonoamidate moiety, including but not limited to nucleosides and nucleoside analogues including acyclic nucleosides.

[0389]

Advantageously, such phosphoramidate and phosphonamidate compounds advantageously can have enhanced delivery to the liver. In some embodiments, the compounds permit delivery of an active 5′-monophosphate of a nucleoside to the liver, which can enhance the formation of active triphosphorylated compound.

[0390]

In one embodiment, provided herein are methods for the treatment and/or prophylaxis of a host infected with Flaviviridae that includes the administration of an effective amount of a compounds provided herein, or a pharmaceutically acceptable salt thereof. In one embodiment, provided herein are methods for treating an HCV infection in a subject. In certain embodiments, the methods encompass the step of administering to the subject in need thereof an amount of a compound effective for the treatment or prevention of an HCV infection in combination with a second agent effective for the treatment or prevention of the infection. The compound can be any compound as described herein, and the second agent can be any second agent described in the art or herein. In certain embodiments, the compound is in the form of a pharmaceutical composition or dosage form, as described in the sections above.

[0391]

Flaviviridae that can be treated are discussed generally in Fields Virology, Editors: Fields, B. N., Knipe, D. M., and Howley, P. M., Lippincott-Raven Publishers, Philadelphia, Pa., Chapter 31, 1996. In a particular embodiment of the invention, the Flaviviridae is HCV. In an alternate embodiment of the invention, the Flaviviridae is a flavivirus or pestivirus. Specific flaviviruses include, without limitation: Absettarov, Alfuy, Apoi, Aroa, Bagaza, Banzi, Bouboui, Bussuquara, Cacipacore, Carey Island, Dakar bat, Dengue 1, Dengue 2, Dengue 3, Dengue 4, Edge Hill, Entebbe bat, Gadgets Gully, Hanzalova, Hypr, Ilheus, Israel turkey meningoencephalitis, Japanese encephalitis, Jugra, Jutiapa, Kadam, Karshi, Kedougou, Kokobera, Koutango, Kumlinge, Kunjin, Kyasanur Forest disease, Langat, Louping ill, Meaban, Modoc, Montana myotis leukoencephalitis, Murray valley encephalitis, Naranjal, Negishi, Ntaya, Omsk hemorrhagic fever, Phnom-Penh bat, Powassan, Rio Bravo, Rocio, Royal Farm, Russian spring-summer encephalitis, Saboya, St. Louis encephalitis, Sal Vieja, San Perlita, Saumarez Reef, Sepik, Sokuluk, Spondweni, Stratford, Tembusu, Tyuleniy, Uganda S, Usutu, Wesselsbron, West Nile, Yaounde, Yellow fever, and Zika.

[0392]

Pestiviruses that can be treated are discussed generally in Fields Virology, Editors: Fields, B. N., Knipe, D. M., and Howley, P. M., Lippincott-Raven Publishers, Philadelphia, Pa., Chapter 33, 1996. Specific pestiviruses include, without limitation: bovine viral diarrhea virus (“BVDV”), classical swine fever virus (“CSFV,” also called hog cholera virus), and border disease virus (“BDV”).

[0393]

In certain embodiments, provided herein are methods for the treatment and/or prophylaxis of hepatitis B infections that includes administering an effective amount of a compound as described herein, e.g. of Formula I, IIa or IIb, its pharmaceutically acceptable salt or composition. In another embodiment, provided herein are methods of treatment and/prophylaxis of conditions related to hepatitis B infections, such as anti-HBV antibody positive and HBV-positive conditions, chronic liver inflammation caused by HBV, cirrhosis, acute hepatitis, fulminant hepatitis, chronic persistent hepatitis, and fatigue. In certain embodiments, provided herein are prophylactic methods to prevent or retard the progression of clinical illness in individuals who are anti-HBV antibody or HBV-antigen positive or who have been exposed to HBV.

[0394]

In certain embodiments, the subject can be any subject infected with, or at risk for infection with, HCV and/or HBV. Infection or risk for infection can be determined according to any technique deemed suitable by the practitioner of skill in the art. In one embodiment, subjects are humans infected with HCV and/or HBV.

[0395]

In certain embodiments, the subject has never received therapy or prophylaxis for an HCV and/or HBV infection. In further embodiments, the subject has previously received therapy or prophylaxis for an HCV and/or HBV infection. For instance, in certain embodiments, the subject has not responded to an HCV and/or HBV therapy. For example, under current interferon therapy, up to 50% or more HCV subjects do not respond to therapy. In certain embodiments, the subject can be a subject that received therapy but continued to suffer from viral infection or one or more symptoms thereof. In certain embodiments, the subject can be a subject that received therapy but failed to achieve a sustained virologic response. In certain embodiments, the subject has received therapy for an HCV and/or HBV infection but has failed to show, for example, a 2 log10decline in HCV RNA levels after 12 weeks of therapy. It is believed that subjects who have not shown more than 2 log10reduction in serum HCV RNA after 12 weeks of therapy have a 97-100% chance of not responding.

[0396]

In certain embodiments, the subject is a subject that discontinued an HCV and/or HBV therapy because of one or more adverse events associated with the therapy. In certain embodiments, the subject is a subject where current therapy is not indicated. For instance, certain therapies for HCV are associated with neuropsychiatric events. Interferon (IFN)-alfa plus ribavirin is associated with a high rate of depression. Depressive symptoms have been linked to a worse outcome in a number of medical disorders. Life-threatening or fatal neuropsychiatric events, including suicide, suicidal and homicidal ideation, depression, relapse of drug addiction/overdose, and aggressive behavior have occurred in subjects with and without a previous psychiatric disorder during HCV therapy. Interferon-induced depression is a limitation for the treatment of chronic hepatitis C, especially for subjects with psychiatric disorders. Psychiatric side effects are common with interferon therapy and responsible for about 10% to 20% of discontinuations of current therapy for HCV infection.

[0397]

Accordingly, provided are methods of treating or preventing an HCV infection in subjects where the risk of neuropsychiatric events, such as depression, contraindicates treatment with current HCV therapy. In one embodiment, provided are methods of treating or preventing HCV infection in subjects where a neuropsychiatric event, such as depression, or risk of such indicates discontinuation of treatment with current HCV therapy. Further provided are methods of treating or preventing HCV infection in subjects where a neuropsychiatric event, such as depression, or risk of such indicates dose reduction of current HCV therapy.

[0398]

Current therapy is also contraindicated in subjects that are hypersensitive to interferon or ribavirin, or both, or any other component of a pharmaceutical product for administration of interferon or ribavirin. Current therapy is not indicated in subjects with hemoglobinopathies (e.g., thalassemia major, sickle-cell anemia) and other subjects at risk from the hematologic side effects of current therapy. Common hematolygic side effects include bone marrow suppression, neutropenia and thrombocytopenia. Furthermore, ribavirin is toxic to red blood cells and is associated with hemolysis. Accordingly, in one embodiment, provided are methods of treating or preventing HCV infection in subjects hypersensitive to interferon or ribavirin, or both, subjects with a hemoglobinopathy, for instance thalassemia major subjects and sickle-cell anemia subjects, and other subjects at risk from the hematologic side effects of current therapy.

[0399]

In certain embodiments, the subject has received an HCV and/or HBV therapy and discontinued that therapy prior to administration of a method provided herein. In further embodiments, the subject has received therapy and continues to receive that therapy along with administration of a method provided herein. The methods can be co-administered with other therapy for HBC and/or HCV according to the judgment of one of skill in the art. In certain embodiments, the methods or compositions provided herein can be co-administered with a reduced dose of the other therapy for HBC and/or HCV.

[0400]

In certain embodiments, provided are methods of treating a subject that is refractory to treatment with interferon. For instance, in some embodiments, the subject can be a subject that has failed to respond to treatment with one or more agents selected from the group consisting of interferon, interferon α, pegylated interferon α, interferon plus ribavirin, interferon α plus ribavirin and pegylated interferon α plus ribavirin. In some embodiments, the subject can be a subject that has responded poorly to treatment with pne or more agents selected from the group consisting of interferon, interferon α, pegylated interferon α, interferon plus ribavirin, interferon α plus ribavirin and pegylated interferon α plus ribavirin. A pro-drug form of ribavirin, such as taribavirin, may also be used.

[0401]

In certain embodiments, the subject has, or is at risk for, co-infection of HCV with HIV. For instance, in the United States, 30% of HIV subjects are co-infected with HCV and evidence indicates that people infected with HIV have a much more rapid course of their hepatitis C infection. Maier and Wu, 2002, World J Gastroenterol 8:577-57. The methods provided herein can be used to treat or prevent HCV infection in such subjects. It is believed that elimination of HCV in these subjects will lower mortality due to end-stage liver disease. Indeed, the risk of progressive liver disease is higher in subjects with severe AIDS-defining immunodeficiency than in those without. See, e.g., Lesens et al., 1999, J Infect Dis 179:1254-1258. In one embodiment, compounds provided herein have been shown to suppress HIV in HIV subjects. Thus, in certain embodiments, provided are methods of treating or preventing HIV infection and HCV infection in subjects in need thereof.

[0402]

In certain embodiments, the compounds or compositions are administered to a subject following liver transplant. Hepatitis C is a leading cause of liver transplantation in the U.S. and many subjects that undergo liver transplantation remain HCV positive following transplantation. In one embodiment, provided are methods of treating such recurrent HCV subjects with a compound or composition provided herein. In certain embodiments, provided are methods of treating a subject before, during or following liver transplant to prevent recurrent HCV infection.

[0403]

In certain embodiments, provided herein are methods for the treatment and/or prophylaxis of hepatitis B infections and other related conditions such as anti-HBV antibody positive and HBV-positive conditions, chronic liver inflammation caused by HBV, cirrhosis, acute hepatitis, fulminant hepatitis, chronic persistent hepatitis, and fatigue that includes administering an effective amount of a compound or composition provided herein.

[0404]

In one embodiment, provided herein are methods for treatment and/or prophylaxis of hepatitis B infections and other related conditions such as anti-HBV antibody positive and HBV-positive conditions, chronic liver inflammation caused by HBV, cirrhosis, acute hepatitis, fulminant hepatitis, chronic persistent hepatitis, and fatigue that includes administering an effective amount of a compound or composition provided herein.

[0405]

Second Therapeutic Agents

[0406]

In certain embodiments, the compounds and compositions provided herein are useful in methods of treatment of a liver disorder, that comprises further administration of a second agent effective for the treatment of the disorder, such as HCV and/or HBV infection in a subject in need thereof. The second agent can be any agent known to those of skill in the art to be effective for the treatment of the disorder, including those currently approved by the FDA.

[0407]

In certain embodiments, a compound provided herein is administered in combination with one second agent. In further embodiments, a second agent is administered in combination with two second agents. In still further embodiments, a second agent is administered in combination with two or more second agents.

[0408]

As used herein, the term “in combination” includes the use of more than one therapy (e.g., one or more prophylactic and/or therapeutic agents). The use of the term “in combination” does not restrict the order in which therapies (e.g., prophylactic and/or therapeutic agents) are administered to a subject with a disorder. A first therapy (e.g., a prophylactic or therapeutic agent such as a compound provided herein) can be administered prior to (e.g., 5 minutes, 15 minutes, 30 minutes, 45 minutes, 1 hour, 2 hours, 4 hours, 6 hours, 12 hours, 24 hours, 48 hours, 72 hours, 96 hours, 1 week, 2 weeks, 3 weeks, 4 weeks, 5 weeks, 6 weeks, 8 weeks, or 12 weeks before), concomitantly with, or subsequent to (e.g., 5 minutes, 15 minutes, 30 minutes, 45 minutes, 1 hour, 2 hours, 4 hours, 6 hours, 12 hours, 24 hours, 48 hours, 72 hours, 96 hours, 1 week, 2 weeks, 3 weeks, 4 weeks, 5 weeks, 6 weeks, 8 weeks, or 12 weeks after) the administration of a second therapy (e.g., a prophylactic or therapeutic agent) to a subject with a disorder.

[0409]

As used herein, the term “synergistic” includes a combination of a compound provided herein and another therapy (e.g., a prophylactic or therapeutic agent) which has been or is currently being used to prevent, manage or treat a disorder, which is more effective than the additive effects of the therapies. A synergistic effect of a combination of therapies (e.g., a combination of prophylactic or therapeutic agents) permits the use of lower dosages of one or more of the therapies and/or less frequent administration of said therapies to a subject with a disorder. The ability to utilize lower dosages of a therapy (e.g., a prophylactic or therapeutic agent) and/or to administer said therapy less frequently reduces the toxicity associated with the administration of said therapy to a subject without reducing the efficacy of said therapy in the prevention or treatment of a disorder). In addition, a synergistic effect can result in improved efficacy of agents in the prevention or treatment of a disorder. Finally, a synergistic effect of a combination of therapies (e.g., a combination of prophylactic or therapeutic agents) may avoid or reduce adverse or unwanted side effects associated with the use of either therapy alone.

[0410]

The active compounds provided herein can be administered in combination or alternation with another therapeutic agent, in particular an anti-HCV or hepatitis B agent. In combination therapy, effective dosages of two or more agents are administered together, whereas in alternation or sequential-step therapy, an effective dosage of each agent is administered serially or sequentially. The dosages given will depend on absorption, inactivation and excretion rates of the drug as well as other factors known to those of skill in the art. It is to be noted that dosage values will also vary with the severity of the condition to be alleviated. It is to be further understood that for any particular subject, specific dosage regimens and schedules should be adjusted over time according to the individual need and the professional judgment of the person administering or supervising the administration of the compositions. In certain embodiments, an anti-HCV (or anti-pestivirus or anti-flavivirus) compound that exhibits an EC50of 10-15 μM, or preferably less than 1-5 μM, is desirable.

[0411]

It has been recognized that drug-resistant variants of flaviviruses, pestiviruses or HCV can emerge after prolonged treatment with an antiviral agent. Drug resistance most typically occurs by mutation of a gene that encodes for an enzyme used in viral replication. The efficacy of a drug against the viral infection can be prolonged, augmented, or restored by administering the compound in combination or alternation with a second, and perhaps third, antiviral compound that induces a different mutation from that caused by the principle drug. Alternatively, the pharmacokinetics, biodistribution or other parameter of the drug can be altered by such combination or alternation therapy. In general, combination therapy is typically preferred over alternation therapy because it induces multiple simultaneous stresses on the virus.

[0412]

Any of the viral treatments described in the Background of the Invention can be used in combination or alternation with the compounds described in this specification. Nonlimiting examples of second agents include:

[0413]

HCV Protease inhibitors: Examples include Medivir HCV Protease Inhibitor (Medivir/Tobotec); ITMN-191 (InterMune), SCH 503034 (Schering) and VX950 (Vertex). Further examples of protease inhibitors include substrate-based NS3 protease inhibitors (Attwood et al., Antiviral peptide derivatives, PCT WO 98/22496, 1998; Attwood et al., Antiviral Chemistry and Chemotherapy 1999, 10, 259-273; Attwood et al., Preparation and use of amino acid derivatives as anti-viral agents, German Patent Pub. DE 19914474; Tung et al. Inhibitors of serine proteases, particularly hepatitis C virus NS3 protease, PCT WO 98/17679), including alphaketoamides and hydrazinoureas, and inhibitors that terminate in an electrophile such as a boronic acid or phosphonate (Llinas-Brunet et al, Hepatitis C inhibitor peptide analogues, PCT WO 99/07734); Non-substrate-based NS3 protease inhibitors such as 2,4,6-trihydroxy-3-nitro-benzamide derivatives (Sudo K. et al., Biochemical and Biophysical Research Communications, 1997, 238, 643-647; Sudo K. et al. Antiviral Chemistry and Chemotherapy, 1998, 9, 186), including RD3-4082 and RD3-4078, the former substituted on the amide with a 14 carbon chain and the latter processing a para-phenoxyphenyl group; and Sch 68631, a phenanthrenequinone, an HCV protease inhibitor (Chu M. et al., Tetrahedron Letters 37:7229-7232, 1996).

[0414]

SCH 351633, isolated from the fungus Penicillium griseofulvum, was identified as a protease inhibitor (Chu M. et al., Bioorganic and Medicinal Chemistry Letters 9:1949-1952). Eglin c, isolated from leech, is a potent inhibitor of several serine proteases such as S. griseus proteases A and B, α-chymotrypsin, chymase and subtilisin. Qasim M. A. et al., Biochemistry 36:1598-1607, 1997.

[0415]

U.S. patents disclosing protease inhibitors for the treatment of HCV include, for example, U.S. Pat. No. 6,004,933 to Spruce et al. which discloses a class of cysteine protease inhibitors for inhibiting HCV endopeptidase 2; U.S. Pat. No. 5,990,276 to Zhang et al. which discloses synthetic inhibitors of hepatitis C virus NS3 protease; U.S. Pat. No. 5,538,865 to Reyes et a; WO 02/008251 to Corvas International, Inc, and U.S. Pat. No. 7,169,760, US2005/176648, WO 02/08187 and WO 02/008256 to Schering Corporation. HCV inhibitor tripeptides are disclosed in U.S. Pat. Nos. 6,534,523, 6,410,531, and 6,420,380 to Boehringer Ingelheim and WO 02/060926 to Bristol Myers Squibb. Diaryl peptides as NS3 serine protease inhibitors of HCV are disclosed in WO 02/48172 and U.S. Pat. No. 6,911,428 to Schering Corporation. Imidazoleidinones as NS3 serine protease inhibitors of HCV are disclosed in WO 02/08198 and U.S. Pat. No. 6,838,475 to Schering Corporation and WO 02/48157 and U.S. Pat. No. 6,727,366 to Bristol Myers Squibb. WO 98/17679 and U.S. Pat. No. 6,265,380 to Vertex Pharmaceuticals and WO 02/48116 and U.S. Pat. No. 6,653,295 to Bristol Myers Squibb also disclose HCV protease inhibitors. Further examples of HCV serine protease inhibitors are provided in U.S. Pat. No. 6,872,805 (Bristol-Myers Squibb); WO 2006000085 (Boehringer Ingelheim); U.S. Pat. No. 7,208,600 (Vertex); US 2006/0046956 (Schering-Plough); WO 2007/001406 (Chiron); US 2005/0153877; WO 2006/119061 (Merck); WO 00/09543 (Boehringer Ingelheim), U.S. Pat. No. 6,323,180 (Boehringer Ingelheim) WO 03/064456 (Boehringer Ingelheim), U.S. Pat. No. 6,642,204 (Boehringer Ingelheim), WO 03/064416 (Boehringer Ingelheim), U.S. Pat. No. 7,091,184 (Boehringer Ingelheim), WO 03/053349 (Bristol-Myers Squibb), U.S. Pat. No. 6,867,185, WO 03/099316 (Bristol-Myers Squibb), U.S. Pat. No. 6,869,964, WO 03/099274 (Bristol-Myers Squibb), U.S. Pat. No. 6,995,174, WO 2004/032827 (Bristol-Myers Squibb), U.S. Pat. No. 7,041,698, WO 2004/043339 and U.S. Pat. No. 6,878,722 (Bristol-Myers Squibb).

[0416]

Thiazolidine derivatives which show relevant inhibition in a reverse-phase HPLC assay with an NS3/4A fusion protein and NS5A/5B substrate (Sudo K. et at, Antiviral Research, 1996, 32, 9-18), especially compound RD-1-6250, possessing a fused cinnamoyl moiety substituted with a long alkyl chain, RD4 6205 and RD4 6193;

[0417]

Thiazolidines and benzanilides identified in Kakiuchi N. et al. J. EBS Letters 421, 217-220; Takeshita N. et al. Analytical Biochemistry, 1997, 247, 242-246;

[0418]

A phenanthrenequinone possessing activity against protease in a SDS-PAGE and autoradiography assay isolated from the fermentation culture broth of Streptomyces sp., SCH 68631 (Chu M. et al., Tetrahedron Letters, 1996, 37, 7229-7232), and SCH 351633, isolated from the fungus Penicillium griseofulvum, which demonstrates activity in a scintillation proximity assay (Chu M. et al., Bioorganic and Medicinal Chemistry Letters 9, 1949-1952);

[0419]

Helicase inhibitors (Diana G. D. et al., Compounds, compositions and methods for treatment of hepatitis C, U.S. Pat. No. 5,633,358; Diana G. D. et al., Piperidine derivatives, pharmaceutical compositions thereof and their use in the treatment of hepatitis C, PCT WO 97/36554);

[0420]

Nucleotide polymerase inhibitors and gliotoxin (Ferrari R. et al. Journal of Virology, 1999, 73, 1649-1654), and the natural product cerulenin (Lohmann V. et al., Virology, 1998, 249, 108-118);

[0421]

Interfering RNA (iRNA) based antivirals, including short interfering RNA (siRNA) based antivirals, such as Sima-034 and others described in International Patent Publication Nos. WO/03/070750 and WO 2005/012525, and US Patent Publication No. US 2004/0209831.

[0422]

Antisense phosphorothioate oligodeoxynucleotides (S-ODN) complementary to sequence stretches in the 5′ non-coding region (NCR) of the virus (Alt M. et al., Hepatology, 1995, 22, 707-717), or nucleotides 326-348 comprising the 3′ end of the NCR and nucleotides 371-388 located in the core coding region of the HCV RNA (Alt M. et al., Archives of Virology, 1997, 142, 589-599; Galderisi U. et al., Journal of Cellular Physiology, 1999, 181, 251-257);

[0423]

Inhibitors of IRES-dependent translation (Ikeda N et al., Agent for the prevention and treatment of hepatitis C, Japanese Patent Pub. JP-08268890; Kai Y. et al. Prevention and treatment of viral diseases, Japanese Patent Pub. JP-10101591);

[0424]

Ribozymes, such as nuclease-resistant ribozymes (Maccjak, D. J. et al., Hepatology 1999, 30, abstract 995) and those disclosed in U.S. Pat. No. 6,043,077 to Barber et al., and U.S. Pat. Nos. 5,869,253 and 5,610,054 to Draper et al.; and

[0425]

Nucleoside analogs have also been developed for the treatment of Flaviviridae infections.

[0426]

In certain embodiments, the compounds provided herein can be administered in combination with any of the compounds described by Idenix Pharmaceuticals in International Publication Nos. WO 01/90121, WO 01/92282, WO 2004/003000, 2004/002422 and WO 2004/002999.

[0427]

Other patent applications disclosing the use of certain nucleoside analogs that can be used as second agents to treat hepatitis C virus include: PCT/CA00/01316 (WO 01/32153; filed Nov. 3, 2000) and PCT/CA01/00197 (WO 01/60315; filed Feb. 19, 2001) filed by BioChem Pharma, Inc. (now Shire Biochem, Inc.); PCT/US02/01531 (WO 02/057425; filed Jan. 18, 2002); PCT/US02/03086 (WO 02/057287; filed Jan. 18, 2002); U.S. Pat. Nos. 7,202,224; 7,125,855; 7,105,499 and 6,777,395 by Merck & Co., Inc.; PCT/EP01/09633 (WO 02/18404; published Aug. 21, 2001); US 2006/0040890; 2005/0038240; 2004/0121980; 6,846,810; 6,784,166 and 6,660,721 by Roche; PCT Publication Nos. WO 01/79246 (filed Apr. 13, 2001), WO 02/32920 (filed Oct. 18, 2001) and WO 02/48165; US 2005/0009737; US 2005/0009737; 7,094,770 and 6,927,291 by Pharmasset, Ltd.

[0428]

Further compounds that can be used as second agents to treat hepatitis C virus are disclosed in PCT Publication No. WO 99/43691 to Emory University, entitled “2′-Fluoronucleosides”. The use of certain 2′-fluoronucleosides to treat HCV is disclosed.

[0429]

Other miscellaneous compounds that can be used as second agents include 1-amino-alkylcyclohexanes (U.S. Pat. No. 6,034,134 to Gold et al.), alkyl lipids (U.S. Pat. No. 5,922,757 to Chojkier et al.), vitamin E and other antioxidants (U.S. Pat. No. 5,922,757 to Chojkier et al.), squalene, amantadine, bile acids (U.S. Pat. No. 5,846,964 to Ozeki et al.), N-(phosphonoacetyl)-L-aspartic acid, (U.S. Pat. No. 5,830,905 to Diana et al.), benzenedicarboxamides (U.S. Pat. No. 5,633,388 to Diana et al.), polyadenylic acid derivatives (U.S. Pat. No. 5,496,546 to Wang et al.), 2′,3′-dideoxyinosine (U.S. Pat. No. 5,026,687 to Yarchoan et al.), benzimidazoles (U.S. Pat. No. 5,891,874 to Colacino et al.), plant extracts (U.S. Pat. No. 5,837,257 to Tsai et al., U.S. Pat. No. 5,725,859 to Omer et al., and U.S. Pat. No. 6,056,961), and piperidenes (U.S. Pat. No. 5,830,905 to Diana et al.).

[0430]

Exemplary Second Agents for Treatment of HCV

[0431]

In one embodiment, one or more compounds provided herein can be administered in combination or alternation with an anti-hepatitis C virus interferon, such as Intron A® (interferon alfa-2b) and Pegasys® (Peginterferon alfa-2a); Roferon A® (Recombinant interferon alfa-2a), Infergen® (consensus interferon; interferon alfacon-1), PEG-Intron® (pegylated interferon alfa-2b) and Pegasys® (pegylated interferon alfa-2a).

[0432]

In one embodiment, the anti-hepatitis C virus interferon is infergen, IL-29 (PEG-Interferon lambda), 87025 (Maxy-alpha), Belerofon, Oral Interferon alpha, BLX-883 (Locteron), omega interferon, multiferon, medusa interferon, Albuferon or REBIF®.

[0433]

In one embodiment, one or more compounds provided herein can be administered in combination or alternation with an anti-hepatitis C virus polymerase inhibitor, such as ribavirin, viramidine, NM 283 (valopicitabine), PSI-6130, R1626, HCV-796 or R7128.

[0434]

In certain embodiments, the one or more compounds provided herein can be administered in combination with ribavarin and an anti-hepatitis C virus interferon, such as Intron A® (interferon alfa-2b) and Pegasys® (Peginterferon alfa-2a); Roferon A® (Recombinant interferon alfa-2a), Infergen® (consensus interferon; interferon alfacon-1), PEG-Intron® (pegylated interferon alfa-2b) and Pegasys® (pegylated interferon alfa-2a).

[0435]

In one embodiment, one or more compounds provided herein can be administered in combination or alternation with an anti-hepatitis C virus protease inhibitor such as ITMN-191, SCH 503034, VX950 (telaprevir) or Medivir HCV Protease Inhibitor.

[0436]

In one embodiment, one or more compounds provided herein can be administered in combination or alternation with an anti-hepatitis C virus vaccine, such as TG4040, PeviPROTM, CGI-5005, HCV/MF59, GV1001, IC41 or INN00101 (E1).

[0437]

In one embodiment, one or more compounds provided herein can be administered in combination or alternation with an anti-hepatitis C virus monoclonal antibody, such as AB68 or XTL-6865 (formerly HepX-C); or an anti-hepatitis C virus polyclonal antibody, such as cicavir.

[0438]

In one embodiment, one or more compounds provided herein can be administered in combination or alternation with an anti-hepatitis C virus immunomodulator, such as Zadaxin® (thymalfasin), NOV-205 or Oglufanide.

[0439]

In one embodiment, one or more compounds provided herein can be administered in combination or alternation with Nexavar, doxorubicin, PI-88, amantadine, JBK-122, VGX-410C, MX-3253 (Ceglosivir), Suvus (BIVN-401 or virostat), PF-03491390 (formerly IDN-6556), G126270, UT-231B, DEBIO-025, EMZ702, ACH-0137171, MitoQ, ANA975, AVI-4065, Bavituxinab (Tarvacin), Alinia (nitrazoxanide) or PYN17.

[0440]

Exemplary Second Agents for Treatment of HBV

[0441]

It has been recognized that drug-resistant variants of HBV can emerge after prolonged treatment with an antiviral agent. Drug resistance most typically occurs by mutation of a gene that encodes for an enzyme used in the viral life cycle, and most typically in the case of HBV, DNA polymerase. The efficacy of a drug against HBV infection can be prolonged, augmented, or restored by administering the compound in combination or alternation with a second, and perhaps third, antiviral compound that induces a different mutation from that caused by the principle drug. Alternatively, the pharmacokinetics, biodistribution, or other parameter of the drug can be altered by such combination or alternation therapy. In general, combination therapy is typically preferred over alternation therapy because it induces multiple simultaneous stresses on the virus.

[0442]

The anti-hepatitis B viral activity of compounds provided herein can be enhanced by administering one or more of these further agents in combination or alternation. Alternatively, for example, one or more compounds provided herein can be administered in combination or alternation with any other known anti-hepatitis B virus agent. Such agents include anti-hepatitis B virus interferons, such as Intron A® (interferon alfa-2b) and Pegasys® (Peginterferon alfa-2a); polymerase inhibitors, such as Epivir-HBV (lamivudine), Hepsera (adefovir dipivoxil), baraclude (entecavir), Tyzeka (telbivudine), Emtricitabine (FTC), Clevudine (L-FMAU), Viread (tenofovir), Valtorcitabine, Amdoxovir, ANA 380, Pradefovir (remofovir) and RCV (racivir); vaccines, such as Hi-8 HBV, HepaVaxx B and HBV Core Antigen vaccine; and other agents, such as HepX, SpecifEx-HepB, Zadaxin, EHT899, Bay 41-4109, UT 231-B, HepeX-B and NOV-205 or any other compound that exhibits an EC50of less than 15 micromolar in 2.2.15 cells; or their prodrugs or pharmaceutically acceptable salts. Several other examples of anti-HBV agents are provided in U.S. Application Publication No. 20050080034 and international publication no. WO 2004/096286, which are incorporated by reference in their entireties.

[0443]

In one embodiment, one or more compounds provided herein can be administered in combination or alternation with anti-hepatitis B virus agent such as interferon α-2b, peginterferon α-2a, lamivudine, hepsera, baraclude, telbivudine, emtricitabine, clevudine, tenofovir, valtorcitabine, amdoxovir, ANA 380, remofovir, racivir, alinia, Hi-8 HBV and HepaVaxx B.

[0444]

In another embodiment, a compound provided herein is administered in combination or alternation with an immune modulator or other pharmaceutically active modifier of viral replication, including a biological material such as a protein, peptide, oligonucleotide, or gamma globulin, including but not limited to interfereon, interleukin, or an antisense oligonucleotides to genes which express or regulate hepatitis B replication.

[0445]

Any method of alternation can be used that provides treatment to the patient. Nonlimiting examples of alternation patterns include 1-6 weeks of administration of an effective amount of one agent followed by 1-6 weeks of administration of an effective amount of a second anti-HBV agent. The alternation schedule can include periods of no treatment. Combination therapy generally includes the simultaneous administration of an effective ratio of dosages of two or more anti-HBV agents.

[0446]

In light of the fact that HBV is often found in patients who are also anti-HIV antibody or HIV-antigen positive or who have been exposed to HIV, the active anti-HBV compounds disclosed herein or their derivatives or prodrugs can be administered in the appropriate circumstance in combination or alternation with anti-HIV medications.

[0447]

The compounds provided herein can also be administered in combination with antibiotics, other antiviral compounds, antifungal agents or other pharmaceutical agents administered for the treatment of secondary infections.

[0448]

Pharmaceutical Compositions and Methods of Administration

[0449]

Phosphoramidate and phosphonoamidate compounds of a variety of therapeutic agents can be formulated into pharmaceutical compositions using methods available in the art and those disclosed herein. Such compounds can be used in some embodiments to enhance delivery of the drug to the liver. In one embodiment, the compound comprises a S-acyl-2-thioethyl phosphoramidate or S-acyl-2-thioethyl phosphonoamidate, e.g., a S-pivaloyl-2-thioethyl phosphoramidate or S-hydroxypivaloyl-2-thioethyl phosphonoamidate derivative. Therapeutic agents that can be derivatized to phosphoramidate or phosphonoamidate compound form include any anti-viral agent that includes, or has been derivatized to include a reactive group for attachment of the phosphoramidate or phosphonoamidate moiety, including but not limited to nucleosides and nucleoside analogues including acyclic nucleosides. Any of the phosphoramidate or phosphonoamidate compounds disclosed herein can be provided in the appropriate pharmaceutical composition and be administered by a suitable route of administration.

[0450]

The methods provided herein encompass administering pharmaceutical compositions containing at least one compound as described herein, including a compound of general Formula I, IIa or IIb, if appropriate in the salt form, either used alone or in the form of a combination with one or more compatible and pharmaceutically acceptable carriers, such as diluents or adjuvants, or with another anti-HCV or anti-HBV agent.

[0451]

In certain embodiments, the second agent can be formulated or packaged with the compound provided herein. Of course, the second agent will only be formulated with the compound provided herein when, according to the judgment of those of skill in the art, such co-formulation should not interfere with the activity of either agent or the method of administration. In certain embodiments, the compound provided herein and the second agent are formulated separately. They can be packaged together, or packaged separately, for the convenience of the practitioner of skill in the art.

[0452]

In clinical practice the active agents provided herein may be administered by any conventional route, in particular orally, parenterally, rectally or by inhalation (e.g. in the form of aerosols). In certain embodiments, the compound provided herein is administered orally.

[0453]

Use may be made, as solid compositions for oral administration, of tablets, pills, hard gelatin capsules, powders or granules. In these compositions, the active product is mixed with one or more inert diluents or adjuvants, such as sucrose, lactose or starch.

[0454]

These compositions can comprise substances other than diluents, for example a lubricant, such as magnesium stearate, or a coating intended for controlled release.

[0455]

Use may be made, as liquid compositions for oral administration, of solutions which are pharmaceutically acceptable, suspensions, emulsions, syrups and elixirs containing inert diluents, such as water or liquid paraffin. These compositions can also comprise substances other than diluents, for example wetting, sweetening or flavoring products.

[0456]

The compositions for parenteral administration can be emulsions or sterile solutions. Use may be made, as solvent or vehicle, of propylene glycol, a polyethylene glycol, vegetable oils, in particular olive oil, or injectable organic esters, for example ethyl oleate. These compositions can also contain adjuvants, in particular wetting, isotonizing, emulsifying, dispersing and stabilizing agents. Sterilization can be carried out in several ways, for example using a bacteriological filter, by radiation or by heating. They can also be prepared in the form of sterile solid compositions which can be dissolved at the time of use in sterile water or any other injectable sterile medium.

[0457]

The compositions for rectal administration are suppositories or rectal capsules which contain, in addition to the active principle, excipients such as cocoa butter, semi-synthetic glycerides or polyethylene glycols.

[0458]

The compositions can also be aerosols. For use in the form of liquid aerosols, the compositions can be stable sterile solutions or solid compositions dissolved at the time of use in apyrogenic sterile water, in saline or any other pharmaceutically acceptable vehicle. For use in the form of dry aerosols intended to be directly inhaled, the active principle is finely divided and combined with a water-soluble solid diluent or vehicle, for example dextran, mannitol or lactose.

[0459]

In one embodiment, a composition provided herein is a pharmaceutical composition or a single unit dosage form. Pharmaceutical compositions and single unit dosage forms provided herein comprise a prophylactically or therapeutically effective amount of one or more prophylactic or therapeutic agents (e.g., a compound provided herein, or other prophylactic or therapeutic agent), and a typically one or more pharmaceutically acceptable carriers or excipients. In a specific embodiment and in this context, the term “pharmaceutically acceptable” means approved by a regulatory agency of the Federal or a state government or listed in the U.S. Pharmacopeia or other generally recognized pharmacopeia for use in animals, and more particularly in humans. The term “carrier” includes a diluent, adjuvant (e.g., Freund's adjuvant (complete and incomplete)), excipient, or vehicle with which the therapeutic is administered. Such pharmaceutical carriers can be sterile liquids, such as water and oils, including those of petroleum, animal, vegetable or synthetic origin, such as peanut oil, soybean oil, mineral oil, sesame oil and the like. Water can be used as a carrier when the pharmaceutical composition is administered intravenously. Saline solutions and aqueous dextrose and glycerol solutions can also be employed as liquid carriers, particularly for injectable solutions. Examples of suitable pharmaceutical carriers are described in “Remington's Pharmaceutical Sciences” by E. W. Martin.

[0460]

Typical pharmaceutical compositions and dosage forms comprise one or more excipients. Suitable excipients are well-known to those skilled in the art of pharmacy, and non limiting examples of suitable excipients include starch, glucose, lactose, sucrose, gelatin, malt, rice, flour, chalk, silica gel, sodium stearate, glycerol monostearate, talc, sodium chloride, dried skim milk, glycerol, propylene, glycol, water, ethanol and the like. Whether a particular excipient is suitable for incorporation into a pharmaceutical composition or dosage form depends on a variety of factors well known in the art including, but not limited to, the way in which the dosage form will be administered to a subject and the specific active ingredients in the dosage form. The composition or single unit dosage form, if desired, can also contain minor amounts of wetting or emulsifying agents, or pH buffering agents.

[0461]

Lactose free compositions provided herein can comprise excipients that are well known in the art and are listed, for example, in the U.S. Pharmocopia (USP)SP (XXI)/NF (XVI). In general, lactose free compositions comprise an active ingredient, a binder/filler, and a lubricant in pharmaceutically compatible and pharmaceutically acceptable amounts. Exemplary lactose free dosage forms comprise an active ingredient, microcrystalline cellulose, pre gelatinized starch, and magnesium stearate.

[0462]

Further encompassed herein are anhydrous pharmaceutical compositions and dosage forms comprising active ingredients, since water can facilitate the degradation of some compounds. For example, the addition of water (e.g., 5%) is widely accepted in the pharmaceutical arts as a means of simulating long term storage in order to determine characteristics such as shelf life or the stability of formulations over time. See, e.g., Jens T. Carstensen, Drug Stability: Principles & Practice, 2d. Ed., Marcel Dekker, NY, N.Y., 1995, pp. 379 80. In effect, water and heat accelerate the decomposition of some compounds. Thus, the effect of water on a formulation can be of great significance since moisture and/or humidity are commonly encountered during manufacture, handling, packaging, storage, shipment, and use of formulations.

[0463]

Anhydrous pharmaceutical compositions and dosage forms provided herein can be prepared using anhydrous or low moisture containing ingredients and low moisture or low humidity conditions. Pharmaceutical compositions and dosage forms that comprise lactose and at least one active ingredient that comprises a primary or secondary amine can be anhydrous if substantial contact with moisture and/or humidity during manufacturing, packaging, and/or storage is expected.

[0464]

An anhydrous pharmaceutical composition should be prepared and stored such that its anhydrous nature is maintained. Accordingly, anhydrous compositions can be packaged using materials known to prevent exposure to water such that they can be included in suitable formulary kits. Examples of suitable packaging include, but are not limited to, hermetically sealed foils, plastics, unit dose containers (e.g., vials), blister packs, and strip packs.

[0465]

Further provided are pharmaceutical compositions and dosage forms that comprise one or more compounds that reduce the rate by which an active ingredient will decompose. Such compounds, which are referred to herein as “stabilizers,” include, but are not limited to, antioxidants such as ascorbic acid, pH buffers, or salt buffers.

[0466]

The pharmaceutical compositions and single unit dosage forms can take the form of solutions, suspensions, emulsion, tablets, pills, capsules, powders, sustained-release formulations and the like. Oral formulation can include standard carriers such as pharmaceutical grades of mannitol, lactose, starch, magnesium stearate, sodium saccharine, cellulose, magnesium carbonate, etc. Such compositions and dosage forms will contain a prophylactically or therapeutically effective amount of a prophylactic or therapeutic agent, in certain embodiments, in purified form, together with a suitable amount of carrier so as to provide the form for proper administration to the subject. The formulation should suit the mode of administration. In a certain embodiment, the pharmaceutical compositions or single unit dosage forms are sterile and in suitable form for administration to a subject, for example, an animal subject, such as a mammalian subject, for example, a human subject.

[0467]

A pharmaceutical composition is formulated to be compatible with its intended route of administration. Examples of routes of administration include, but are not limited to, parenteral, e.g., intravenous, intradermal, subcutaneous, intramuscular, subcutaneous, oral, buccal, sublingual, inhalation, intranasal, transdermal, topical, transmucosal, intra-tumoral, intra-synovial and rectal administration. In a specific embodiment, the composition is formulated in accordance with routine procedures as a pharmaceutical composition adapted for intravenous, subcutaneous, intramuscular, oral, intranasal or topical administration to human beings. In an embodiment, a pharmaceutical composition is formulated in accordance with routine procedures for subcutaneous administration to human beings. Typically, compositions for intravenous administration are solutions in sterile isotonic aqueous buffer. Where necessary, the composition may also include a solubilizing agent and a local anesthetic such as lignocamne to ease pain at the site of the injection.

[0468]

Examples of dosage forms include, but are not limited to: tablets; caplets; capsules, such as soft elastic gelatin capsules; cachets; troches; lozenges; dispersions; suppositories; ointments; cataplasms (poultices); pastes; powders; dressings; creams; plasters; solutions; patches; aerosols (e.g., nasal sprays or inhalers); gels; liquid dosage forms suitable for oral or mucosal administration to a subject, including suspensions (e.g., aqueous or non aqueous liquid suspensions, oil in water emulsions, or a water in oil liquid emulsions), solutions, and elixirs; liquid dosage forms suitable for parenteral administration to a subject; and sterile solids (e.g., crystalline or amorphous solids) that can be reconstituted to provide liquid dosage forms suitable for parenteral administration to a subject.

[0469]

The composition, shape, and type of dosage forms provided herein will typically vary depending on their use. For example, a dosage form used in the initial treatment of viral infection may contain larger amounts of one or more of the active ingredients it comprises than a dosage form used in the maintenance treatment of the same infection. Similarly, a parenteral dosage form may contain smaller amounts of one or more of the active ingredients it comprises than an oral dosage form used to treat the same disease or disorder. These and other ways in which specific dosage forms encompassed herein will vary from one another will be readily apparent to those skilled in the art. See, e.g., Remington's Pharmaceutical Sciences, 20th ed., Mack Publishing, Easton Pa. (2000).

[0470]

Generally, the ingredients of compositions are supplied either separately or mixed together in unit dosage form, for example, as a dry lyophilized powder or water free concentrate in a hermetically sealed container such as an ampoule or sachette indicating the quantity of active agent. Where the composition is to be administered by infusion, it can be dispensed with an infusion bottle containing sterile pharmaceutical grade water or saline. Where the composition is administered by injection, an ampoule of sterile water for injection or saline can be provided so that the ingredients may be mixed prior to administration.

[0471]

Typical dosage forms comprise a compound provided herein, or a pharmaceutically acceptable salt, solvate or hydrate thereof lie within the range of from about 0.1 mg to about 1000 mg per day, given as a single once-a-day dose in the morning or as divided doses throughout the day taken with food. Particular dosage forms can have about 0.1, 0.2, 0.3, 0.4, 0.5, 1.0, 2.0, 2.5, 5.0, 10.0, 15.0, 20.0, 25.0, 50.0, 100, 200, 250, 500 or 1000 mg of the active compound.

[0472]

Oral Dosage Forms

[0473]

Pharmaceutical compositions that are suitable for oral administration can be presented as discrete dosage forms, such as, but are not limited to, tablets (e.g., chewable tablets), caplets, capsules, and liquids (e.g., flavored syrups). Such dosage forms contain predetermined amounts of active ingredients, and may be prepared by methods of pharmacy well known to those skilled in the art. See generally, Remington's Pharmaceutical Sciences, 20th ed., Mack Publishing, Easton Pa. (2000).

[0474]

In certain embodiments, the oral dosage forms are solid and prepared under anhydrous conditions with anhydrous ingredients, as described in detail in the sections above. However, the scope of the compositions provided herein extends beyond anhydrous, solid oral dosage forms. As such, further forms are described herein.

[0475]

Typical oral dosage forms are prepared by combining the active ingredient(s) in an intimate admixture with at least one excipient according to conventional pharmaceutical compounding techniques. Excipients can take a wide variety of forms depending on the form of preparation desired for administration. For example, excipients suitable for use in oral liquid or aerosol dosage forms include, but are not limited to, water, glycols, oils, alcohols, flavoring agents, preservatives, and coloring agents. Examples of excipients suitable for use in solid oral dosage forms (e.g., powders, tablets, capsules, and caplets) include, but are not limited to, starches, sugars, micro crystalline cellulose, diluents, granulating agents, lubricants, binders, and disintegrating agents.

[0476]

Because of their ease of administration, tablets and capsules represent the most advantageous oral dosage unit forms, in which case solid excipients are employed. If desired, tablets can be coated by standard aqueous or nonaqueous techniques. Such dosage forms can be prepared by any of the methods of pharmacy. In general, pharmaceutical compositions and dosage forms are prepared by uniformly and intimately admixing the active ingredients with liquid carriers, finely divided solid carriers, or both, and then shaping the product into the desired presentation if necessary.

[0477]

For example, a tablet can be prepared by compression or molding. Compressed tablets can be prepared by compressing in a suitable machine the active ingredients in a free flowing form such as powder or granules, optionally mixed with an excipient. Molded tablets can be made by molding in a suitable machine a mixture of the powdered compound moistened with an inert liquid diluent.

[0478]

Examples of excipients that can be used in oral dosage forms include, but are not limited to, binders, fillers, disintegrants, and lubricants. Binders suitable for use in pharmaceutical compositions and dosage forms include, but are not limited to, corn starch, potato starch, or other starches, gelatin, natural and synthetic gums such as acacia, sodium alginate, alginic acid, other alginates, powdered tragacanth, guar gum, cellulose and its derivatives (e.g., ethyl cellulose, cellulose acetate, carboxymethyl cellulose calcium, sodium carboxymethyl cellulose), polyvinyl pyrrolidone, methyl cellulose, pre gelatinized starch, hydroxypropyl methyl cellulose, (e.g., Nos. 2208, 2906, 2910), microcrystalline cellulose, and mixtures thereof.

[0479]

Examples of fillers suitable for use in the pharmaceutical compositions and dosage forms disclosed herein include, but are not limited to, talc, calcium carbonate (e.g., granules or powder), microcrystalline cellulose, powdered cellulose, dextrates, kaolin, mannitol, silicic acid, sorbitol, starch, pre gelatinized starch, and mixtures thereof. The binder or filler in pharmaceutical compositions is typically present in from about 50 to about 99 weight percent of the pharmaceutical composition or dosage form.

[0480]

Suitable forms of microcrystalline cellulose include, but are not limited to, the materials sold as AVICEL PH 101, AVICEL PH 103 AVICEL RC 581, AVICEL PH 105 (available from FMC Corporation, American Viscose Division, Avicel Sales, Marcus Hook, Pa.), and mixtures thereof. An specific binder is a mixture of microcrystalline cellulose and sodium carboxymethyl cellulose sold as AVICEL RC 581. Suitable anhydrous or low moisture excipients or additives include AVICEL PH 103™ and Starch 1500 LM.

[0481]

Disintegrants are used in the compositions to provide tablets that disintegrate when exposed to an aqueous environment. Tablets that contain too much disintegrant may disintegrate in storage, while those that contain too little may not disintegrate at a desired rate or under the desired conditions. Thus, a sufficient amount of disintegrant that is neither too much nor too little to detrimentally alter the release of the active ingredients should be used to form solid oral dosage forms. The amount of disintegrant used varies based upon the type of formulation, and is readily discernible to those of ordinary skill in the art. Typical pharmaceutical compositions comprise from about 0.5 to about 15 weight percent of disintegrant, specifically from about 1 to about 5 weight percent of disintegrant.

[0482]

Disintegrants that can be used in pharmaceutical compositions and dosage forms include, but are not limited to, agar agar, alginic acid, calcium carbonate, microcrystalline cellulose, croscarmellose sodium, crospovidone, polacrilin potassium, sodium starch glycolate, potato or tapioca starch, pre gelatinized starch, other starches, clays, other algins, other celluloses, gums, and mixtures thereof.

[0483]

Lubricants that can be used in pharmaceutical compositions and dosage forms include, but are not limited to, calcium stearate, magnesium stearate, mineral oil, light mineral oil, glycerin, sorbitol, mannitol, polyethylene glycol, other glycols, stearic acid, sodium lauryl sulfate, talc, hydrogenated vegetable oil (e.g., peanut oil, cottonseed oil, sunflower oil, sesame oil, olive oil, corn oil, and soybean oil), zinc stearate, ethyl oleate, ethyl laureate, agar, and mixtures thereof. Additional lubricants include, for example, a syloid silica gel (AEROSIL 200, manufactured by W.R. Grace Co. of Baltimore, Md.), a coagulated aerosol of synthetic silica (marketed by Degussa Co. of Plano, Tex.), CAB O SIL (a pyrogenic silicon dioxide product sold by Cabot Co. of Boston, Mass.), and mixtures thereof. If used at all, lubricants are typically used in an amount of less than about 1 weight percent of the pharmaceutical compositions or dosage forms into which they are incorporated.

[0484]

Delayed Release Dosage Forms

[0485]

Active ingredients such as the compounds provided herein can be administered by controlled release means or by delivery devices that are well known to those of ordinary skill in the art. Examples include, but are not limited to, those described in U.S. Pat. Nos. 3,845,770; 3,916,899; 3,536,809; 3,598,123; and 4,008,719; 5,674,533; 5,059,595; 5,591,767; 5,120,548; 5,073,543; 5,639,476; 5,354,556; 5,639,480; 5,733,566; 5,739,108; 5,891,474; 5,922,356; 5,972,891; 5,980,945; 5,993,855; 6,045,830; 6,087,324; 6,113,943; 6,197,350; 6,248,363; 6,264,970; 6,267,981; 6,376,461; 6,419,961; 6,589,548; 6,613,358; 6,699,500 each of which is incorporated herein by reference. Such dosage forms can be used to provide slow or controlled release of one or more active ingredients using, for example, hydropropylmethyl cellulose, other polymer matrices, gels, permeable membranes, osmotic systems, multilayer coatings, microparticles, liposomes, microspheres, or a combination thereof to provide the desired release profile in varying proportions. Suitable controlled release formulations known to those of ordinary skill in the art, including those described herein, can be readily selected for use with the active ingredients provided herein. Thus encompasseed herein are single unit dosage forms suitable for oral administration such as, but not limited to, tablets, capsules, gelcaps, and caplets that are adapted for controlled release.

[0486]

All controlled release pharmaceutical products have a common goal of improving drug therapy over that achieved by their non controlled counterparts. Ideally, the use of an optimally designed controlled release preparation in medical treatment is characterized by a minimum of drug substance being employed to cure or control the condition in a minimum amount of time. Advantages of controlled release formulations include extended activity of the drug, reduced dosage frequency, and increased subject compliance. In addition, controlled release formulations can be used to affect the time of onset of action or other characteristics, such as blood levels of the drug, and can thus affect the occurrence of side (e.g., adverse) effects.

[0487]

Most controlled release formulations are designed to initially release an amount of drug (active ingredient) that promptly produces the desired therapeutic effect, and gradually and continually release of other amounts of drug to maintain this level of therapeutic or prophylactic effect over an extended period of time. In order to maintain this constant level of drug in the body, the drug must be released from the dosage form at a rate that will replace the amount of drug being metabolized and excreted from the body. Controlled release of an active ingredient can be stimulated by various conditions including, but not limited to, pH, temperature, enzymes, water, or other physiological conditions or compounds. In certain embodiments, the drug may be administered using intravenous infusion, an implantable osmotic pump, a transdermal patch, liposomes, or other modes of administration. In one embodiment, a pump may be used (see, Sefton, CRC Crit. Ref. Biomed. Eng. 14:201 (1987); Buchwald et al., Surgery 88:507 (1980); Saudek et al., N. Engl. J. Med. 321:574 (1989)). In another embodiment, polymeric materials can be used. In yet another embodiment, a controlled release system can be placed in a subject at an appropriate site determined by a practitioner of skill, i.e., thus requiring only a fraction of the systemic dose (see, e.g., Goodson, Medical Applications of Controlled Release, vol. 2, pp. 115-138 (1984)). Other controlled release systems are discussed in the review by Langer (Science 249:1527-1533 (1990)). The active ingredient can be dispersed in a solid inner matrix, e.g., polymethylmethacrylate, polybutylmethacrylate, plasticized or unplasticized polyvinylchloride, plasticized nylon, plasticized polyethyleneterephthalate, natural rubber, polyisoprene, polyisobutylene, polybutadiene, polyethylene, ethylene-vinylacetate copolymers, silicone rubbers, polydimethylsiloxanes, silicone carbonate copolymers, hydrophilic polymers such as hydrogels of esters of acrylic and methacrylic acid, collagen, cross-linked polyvinylalcohol and cross-linked partially hydrolyzed polyvinyl acetate, that is surrounded by an outer polymeric membrane, e.g., polyethylene, polypropylene, ethylene/propylene copolymers, ethylene/ethyl acrylate copolymers, ethylene/vinylacetate copolymers, silicone rubbers, polydimethyl siloxanes, neoprene rubber, chlorinated polyethylene, polyvinylchloride, vinylchloride copolymers with vinyl acetate, vinylidene chloride, ethylene and propylene, ionomer polyethylene terephthalate, butyl rubber epichlorohydrin rubbers, ethylene/vinyl alcohol copolymer, ethylene/vinyl acetate/vinyl alcohol terpolymer, and ethylene/vinyloxyethanol copolymer, that is insoluble in body fluids. The active ingredient then diffuses through the outer polymeric membrane in a release rate controlling step. The percentage of active ingredient in such parenteral compositions is highly dependent on the specific nature thereof, as well as the needs of the subject.

[0488]

Parenteral Dosage Forms

[0489]

In one embodiment, provided are parenteral dosage forms. Parenteral dosage forms can be administered to subjects by various routes including, but not limited to, subcutaneous, intravenous (including bolus injection), intramuscular, and intraarterial. Because their administration typically bypasses subjects' natural defenses against contaminants, parenteral dosage forms are typically, sterile or capable of being sterilized prior to administration to a subject. Examples of parenteral dosage forms include, but are not limited to, solutions ready for injection, dry products ready to be dissolved or suspended in a pharmaceutically acceptable vehicle for injection, suspensions ready for injection, and emulsions.

[0490]

Suitable vehicles that can be used to provide parenteral dosage forms are well known to those skilled in the art. Examples include, but are not limited to: Water for Injection USP; aqueous vehicles such as, but not limited to, Sodium Chloride Injection, Ringer's Injection, Dextrose Injection, Dextrose and Sodium Chloride Injection, and Lactated Ringer's Injection; water miscible vehicles such as, but not limited to, ethyl alcohol, polyethylene glycol, and polypropylene glycol; and non aqueous vehicles such as, but not limited to, corn oil, cottonseed oil, peanut oil, sesame oil, ethyl oleate, isopropyl myristate, and benzyl benzoate.

[0491]

Compounds that increase the solubility of one or more of the active ingredients disclosed herein can also be incorporated into the parenteral dosage forms.

[0492]

Transdermal, Topical & Mucosal Dosage Forms

[0493]

Also provided are transdermal, topical, and mucosal dosage forms. Transdermal, topical, and mucosal dosage forms include, but are not limited to, ophthalmic solutions, sprays, aerosols, creams, lotions, ointments, gels, solutions, emulsions, suspensions, or other forms known to one of skill in the art. See, e.g., Remington's Pharmaceutical Sciences, 16th, 18th and 20theds., Mack Publishing, Easton Pa. (1980, 1990 & 2000); and Introduction to Pharmaceutical Dosage Forms, 4th ed., Lea & Febiger, Philadelphia (1985). Dosage forms suitable for treating mucosal tissues within the oral cavity can be formulated as mouthwashes or as oral gels. Further, transdermal dosage forms include “reservoir type” or “matrix type” patches, which can be applied to the skin and worn for a specific period of time to permit the penetration of a desired amount of active ingredients.

[0494]

Suitable excipients (e.g., carriers and diluents) and other materials that can be used to provide transdermal, topical, and mucosal dosage forms encompassed herein are well known to those skilled in the pharmaceutical arts, and depend on the particular tissue to which a given pharmaceutical composition or dosage form will be applied. With that fact in mind, typical excipients include, but are not limited to, water, acetone, ethanol, ethylene glycol, propylene glycol, butane 1,3 diol, isopropyl myristate, isopropyl palmitate, mineral oil, and mixtures thereof to form lotions, tinctures, creams, emulsions, gels or ointments, which are non toxic and pharmaceutically acceptable. Moisturizers or humectants can also be added to pharmaceutical compositions and dosage forms if desired. Examples of such additional ingredients are well known in the art. See, e.g., Remington's Pharmaceutical Sciences, 16th, 18th and 20theds., Mack Publishing, Easton Pa. (1980, 1990 & 2000).

[0495]

Depending on the specific tissue to be treated, additional components may be used prior to, in conjunction with, or subsequent to treatment with active ingredients provided. For example, penetration enhancers can be used to assist in delivering the active ingredients to the tissue. Suitable penetration enhancers include, but are not limited to: acetone; various alcohols such as ethanol, oleyl, and tetrahydrofuryl; alkyl sulfoxides such as dimethyl sulfoxide; dimethyl acetamide; dimethyl formamide; polyethylene glycol; pyrrolidones such as polyvinylpyrrolidone; Kollidon grades (Povidone, Polyvidone); urea; and various water soluble or insoluble sugar esters such as Tween 80 (polysorbate 80) and Span 60 (sorbitan monostearate).

[0496]

The pH of a pharmaceutical composition or dosage form, or of the tissue to which the pharmaceutical composition or dosage form is applied, may also be adjusted to improve delivery of one or more active ingredients. Similarly, the polarity of a solvent carrier, its ionic strength, or tonicity can be adjusted to improve delivery. Compounds such as stearates can also be added to pharmaceutical compositions or dosage forms to advantageously alter the hydrophilicity or lipophilicity of one or more active ingredients so as to improve delivery. In this regard, stearates can serve as a lipid vehicle for the formulation, as an emulsifying agent or surfactant, and as a delivery enhancing or penetration enhancing agent. Different salts, hydrates or solvates of the active ingredients can be used to further adjust the properties of the resulting composition.

[0497]

Dosage and Unit Dosage Forms

[0498]

In human therapeutics, the doctor will determine the posology which he considers most appropriate according to a preventive or curative treatment and according to the age, weight, stage of the infection and other factors specific to the subject to be treated. In certain embodiments, doses are from about 1 to about 1000 mg per day for an adult, or from about 5 to about 250 mg per day or from about 10 to 50 mg per day for an adult. In certain embodiments, doses are from about 5 to about 400 mg per day or 25 to 200 mg per day per adult. In certain embodiments, dose rates of from about 50 to about 500 mg per day are also contemplated.

[0499]

In further aspects, provided are methods of treating or preventing an HCV and/or HBV infection in a subject by administering, to a subject in need thereof, an effective amount of a compound provided herein, or a pharmaceutically acceptable salt thereof. The amount of the compound or composition which will be effective in the prevention or treatment of a disorder or one or more symptoms thereof will vary with the nature and severity of the disease or condition, and the route by which the active ingredient is administered. The frequency and dosage will also vary according to factors specific for each subject depending on the specific therapy (e.g., therapeutic or prophylactic agents) administered, the severity of the disorder, disease, or condition, the route of administration, as well as age, body, weight, response, and the past medical history of the subject. Effective doses may be extrapolated from dose-response curves derived from in vitro or animal model test systems.

[0500]

In certain embodiments, exemplary doses of a composition include milligram or microgram amounts of the active compound per kilogram of subject or sample weight (e.g., about 10 micrograms per kilogram to about 50 milligrams per kilogram, about 100 micrograms per kilogram to about 25 milligrams per kilogram, or about 100 microgram per kilogram to about 10 milligrams per kilogram). For compositions provided herein, in certain embodiments, the dosage administered to a subject is 0.140 mg/kg to 3 mg/kg of the subject's body weight, based on weight of the active compound. In certain embodiments, the dosage administered to a subject is between 0.20 mg/kg and 2.00 mg/kg, or between 0.30 mg/kg and 1.50 mg/kg of the subject's body weight.

[0501]

In certain embodiments, the recommended daily dose range of a composition provided herein for the conditions described herein lie within the range of from about 0.1 mg to about 1000 mg per day, given as a single once-a-day dose or as divided doses throughout a day. In one embodiment, the daily dose is administered twice daily in equally divided doses. In certain embodiments, a daily dose range should be from about 10 mg to about 200 mg per day, in other embodiments, between about 10 mg and about 150 mg per day, in further embodiments, between about 25 and about 100 mg per day. It may be necessary to use dosages of the active ingredient outside the ranges disclosed herein in some cases, as will be apparent to those of ordinary skill in the art. Furthermore, it is noted that the clinician or treating physician will know how and when to interrupt, adjust, or terminate therapy in conjunction with subject response.

[0502]

Different therapeutically effective amounts may be applicable for different diseases and conditions, as will be readily known by those of ordinary skill in the art. Similarly, amounts sufficient to prevent, manage, treat or ameliorate such disorders, but insufficient to cause, or sufficient to reduce, adverse effects associated with the composition provided herein are also encompassed by the above described dosage amounts and dose frequency schedules. Further, when a subject is administered multiple dosages of a composition provided herein, not all of the dosages need be the same. For example, the dosage administered to the subject may be increased to improve the prophylactic or therapeutic effect of the composition or it may be decreased to reduce one or more side effects that a particular subject is experiencing.

[0503]

In certain embodiment, the dosage of the composition provided herein, based on weight of the active compound, administered to prevent, treat, manage, or ameliorate a disorder, or one or more symptoms thereof in a subject is 0.1 mg/kg, 1 mg/kg, 2 mg/kg, 3 mg/kg, 4 mg/kg, 5 mg/kg, 6 mg/kg, 10 mg/kg, or 15 mg/kg or more of a subject's body weight. In another embodiment, the dosage of the composition or a composition provided herein administered to prevent, treat, manage, or ameliorate a disorder, or one or more symptoms thereof in a subject is a unit dose of 0.1 mg to 200 mg, 0.1 mg to 100 mg, 0.1 mg to 50 mg, 0.1 mg to 25 mg, 0.1 mg to 20 mg, 0.1 mg to 15 mg, 0.1 mg to 10 mg, 0.1 mg to 7.5 mg, 0.1 mg to 5 mg, 0.1 to 2.5 mg, 0.25 mg to 20 mg, 0.25 to 15 mg, 0.25 to 12 mg, 0.25 to 10 mg, 0.25 mg to 7.5 mg, 0.25 mg to 5 mg, 0.5 mg to 2.5 mg, 1 mg to 20 mg, 1 mg to 15 mg, 1 mg to 12 mg, 1 mg to 10 mg, 1 mg to 7.5 mg, 1 mg to 5 mg, or 1 mg to 2.5 mg.

[0504]

In certain embodiments, treatment or prevention can be initiated with one or more loading doses of a compound or composition provided herein followed by one or more maintenance doses. In such embodiments, the loading dose can be, for instance, about 60 to about 400 mg per day, or about 100 to about 200 mg per day for one day to five weeks. The loading dose can be followed by one or more maintenance doses. In certain embodiments, each maintenance does is, independently, about from about 10 mg to about 200 mg per day, between about 25 mg and about 150 mg per day, or between about 25 and about 80 mg per day. Maintenance doses can be administered daily and can be administered as single doses, or as divided doses.

[0505]

In certain embodiments, a dose of a compound or composition provided herein can be administered to achieve a steady-state concentration of the active ingredient in blood or serum of the subject. The steady-state concentration can be determined by measurement according to techniques available to those of skill or can be based on the physical characteristics of the subject such as height, weight and age. In certain embodiments, a sufficient amount of a compound or composition provided herein is administered to achieve a steady-state concentration in blood or serum of the subject of from about 300 to about 4000 ng/mL, from about 400 to about 1600 ng/mL, or from about 600 to about 1200 ng/mL. In some embodiments, loading doses can be administered to achieve steady-state blood or serum concentrations of about 1200 to about 8000 ng/mL, or about 2000 to about 4000 ng/mL for one to five days. In certain embodiments, maintenance doses can be administered to achieve a steady-state concentration in blood or serum of the subject of from about 300 to about 4000 ng/mL, from about 400 to about 1600 ng/mL, or from about 600 to about 1200 ng/mL.

[0506]

In certain embodiments, administration of the same composition may be repeated and the administrations may be separated by at least 1 day, 2 days, 3 days, 5 days, 10 days, 15 days, 30 days, 45 days, 2 months, 75 days, 3 months, or 6 months. In other embodiments, administration of the same prophylactic or therapeutic agent may be repeated and the administration may be separated by at least at least 1 day, 2 days, 3 days, 5 days, 10 days, 15 days, 30 days, 45 days, 2 months, 75 days, 3 months, or 6 months.

[0507]

In certain aspects, provided herein are unit dosages comprising a compound, or a pharmaceutically acceptable salt thereof, in a form suitable for administration. Such forms are described in detail above. In certain embodiments, the unit dosage comprises 1 to 1000 mg, 5 to 250 mg or 10 to 50 mg active ingredient. In particular embodiments, the unit dosages comprise about 1, 5, 10, 25, 50, 100, 125, 250, 500 or 1000 mg active ingredient. Such unit dosages can be prepared according to techniques familiar to those of skill in the art.

[0508]

The dosages of the second agents are to be used in the combination therapies provided herein. In certain embodiments, dosages lower than those which have been or are currently being used to prevent or treat HCV and/or HBV infection are used in the combination therapies provided herein. The recommended dosages of second agents can be obtained from the knowledge of those of skill. For those second agents that are approved for clinical use, recommended dosages are described in, for example, Hardman et al., eds., 1996, Goodman & Gilman's The Pharmacological Basis Of Basis Of Therapeutics 9thEd, McGraw-Hill, New York; Physician's Desk Reference (PDR) 57thEd., 2003, Medical Economics Co., Inc., Montvale, N.J., which are incorporated herein by reference in its entirety.

[0509]

In various embodiments, the therapies (e.g., a compound provided herein and the second agent) are administered less than 5 minutes apart, less than 30 minutes apart, 1 hour apart, at about 1 hour apart, at about 1 to about 2 hours apart, at about 2 hours to about 3 hours apart, at about 3 hours to about 4 hours apart, at about 4 hours to about 5 hours apart, at about 5 hours to about 6 hours apart, at about 6 hours to about 7 hours apart, at about 7 hours to about 8 hours apart, at about 8 hours to about 9 hours apart, at about 9 hours to about 10 hours apart, at about 10 hours to about 11 hours apart, at about 11 hours to about 12 hours apart, at about 12 hours to 18 hours apart, 18 hours to 24 hours apart, 24 hours to 36 hours apart, 36 hours to 48 hours apart, 48 hours to 52 hours apart, 52 hours to 60 hours apart, 60 hours to 72 hours apart, 72 hours to 84 hours apart, 84 hours to 96 hours apart, or 96 hours to 120 hours part. In various embodiments, the therapies are administered no more than 24 hours apart or no more than 48 hours apart. In certain embodiments, two or more therapies are administered within the same patient visit. In other embodiments, the compound provided herein and the second agent are administered concurrently.

[0510]

In other embodiments, the compound provided herein and the second agent are administered at about 2 to 4 days apart, at about 4 to 6 days apart, at about 1 week part, at about 1 to 2 weeks apart, or more than 2 weeks apart.

[0511]

In certain embodiments, administration of the same agent may be repeated and the administrations may be separated by at least 1 day, 2 days, 3 days, 5 days, 10 days, 15 days, 30 days, 45 days, 2 months, 75 days, 3 months, or 6 months. In other embodiments, administration of the same agent may be repeated and the administration may be separated by at least at least 1 day, 2 days, 3 days, 5 days, 10 days, 15 days, 30 days, 45 days, 2 months, 75 days, 3 months, or 6 months.

[0512]

In certain embodiments, a compound provided herein and a second agent are administered to a patient, for example, a mammal, such as a human, in a sequence and within a time interval such that the compound provided herein can act together with the other agent to provide an increased benefit than if they were administered otherwise. For example, the second active agent can be administered at the same time or sequentially in any order at different points in time; however, if not administered at the same time, they should be administered sufficiently close in time so as to provide the desired therapeutic or prophylactic effect. In one embodiment, the compound provided herein and the second active agent exert their effect at times which overlap. Each second active agent can be administered separately, in any appropriate form and by any suitable route. In other embodiments, the compound provided herein is administered before, concurrently or after administration of the second active agent.

[0513]

In certain embodiments, the compound provided herein and the second agent are cyclically administered to a patient. Cycling therapy involves the administration of a first agent (e.g., a first prophylactic or therapeutic agents) for a period of time, followed by the administration of a second agent and/or third agent (e.g., a second and/or third prophylactic or therapeutic agents) for a period of time and repeating this sequential administration. Cycling therapy can reduce the development of resistance to one or more of the therapies, avoid or reduce the side effects of one of the therapies, and/or improve the efficacy of the treatment.

[0514]

In certain embodiments, the compound provided herein and the second active agent are administered in a cycle of less than about 3 weeks, about once every two weeks, about once every 10 days or about once every week. One cycle can comprise the administration of a compound provided herein and the second agent by infusion over about 90 minutes every cycle, about 1 hour every cycle, about 45 minutes every cycle. Each cycle can comprise at least 1 week of rest, at least 2 weeks of rest, at least 3 weeks of rest. The number of cycles administered is from about 1 to about 12 cycles, more typically from about 2 to about 10 cycles, and more typically from about 2 to about 8 cycles.

[0515]

In other embodiments, courses of treatment are administered concurrently to a patient, i.e., individual doses of the second agent are administered separately yet within a time interval such that the compound provided herein can work together with the second active agent. For example, one component can be administered once per week in combination with the other components that can be administered once every two weeks or once every three weeks. In other words, the dosing regimens are carried out concurrently even if the therapeutics are not administered simultaneously or during the same day.

[0516]

The second agent can act additively or synergistically with the compound provided herein. In one embodiment, the compound provided herein is administered concurrently with one or more second agents in the same pharmaceutical composition. In another embodiment, a compound provided herein is administered concurrently with one or more second agents in separate pharmaceutical compositions. In still another embodiment, a compound provided herein is administered prior to or subsequent to administration of a second agent. Also contemplated are administration of a compound provided herein and a second agent by the same or different routes of administration, e.g., oral and parenteral. In certain embodiments, when the compound provided herein is administered concurrently with a second agent that potentially produces adverse side effects including, but not limited to, toxicity, the second active agent can advantageously be administered at a dose that falls below the threshold that the adverse side effect is elicited.

[0517]

Kits

[0518]

Also provided are kits for use in methods of treatment of a liver disorder such as HCV and/or HBV infections. The kits can include a compound or composition provided herein, a second agent or composition, and instructions providing information to a health care provider regarding usage for treating the disorder. Instructions may be provided in printed form or in the form of an electronic medium such as a floppy disc, CD, or DVD, or in the form of a website address where such instructions may be obtained. A unit dose of a compound or composition provided herein, or a second agent or composition, can include a dosage such that when administered to a subject, a therapeutically or prophylactically effective plasma level of the compound or composition can be maintained in the subject for at least 1 days. In some embodiments, a compound or composition can be included as a sterile aqueous pharmaceutical composition or dry powder (e.g., lyophilized) composition.

[0519]

In some embodiments, suitable packaging is provided. As used herein, “packaging” includes a solid matrix or material customarily used in a system and capable of holding within fixed limits a compound provided herein and/or a second agent suitable for administration to a subject. Such materials include glass and plastic (e.g., polyethylene, polypropylene, and polycarbonate) bottles, vials, paper, plastic, and plastic-foil laminated envelopes and the like. If e-beam sterilization techniques are employed, the packaging should have sufficiently low density to permit sterilization of the contents.

[0520]

The following Examples illustrate the synthesis of representative compounds provided herein. These examples are not intended, nor are they to be construed, as limiting the scope of the claimed subject matter. It will be clear that the scope of claimed subject matter may be practiced otherwise than as particularly described herein. Numerous modifications and variations of the subject matter are possible in view of the teachings herein and, therefore, are within the scope the claimed subject matter.

EXAMPLES

Example 1

Preparation of A550 (NM204), the Hydroxy-tBuSATE N-benzylphosphoramidate Derivative of L-2′,3′-dideoxyadenosine L-ddA

[0521]

Synthetic Scheme:

[0522]

Synthesis of Carboxylic Acid 2:

[0523]

[0524]

2,2-Dimethyl-3-hydroxypropanoic acid methyl ester (965 μL, 7.57 mmol) was added dropwise to a stirring solution of 4,4′-dimethoxytrityl chloride (2.82 g, 8.33 mmol) in anhydrous pyridine (7.6 mL) at room temperature. The reaction mixture turned to a red solution quickly, then to an orange suspension (ca. 30 min), and this was left stirring overnight. The mixture was poured carefully over saturated aqueous NaHCO3solution (30 mL) and the product was extracted with Et2O (3×20 mL). The combined organic extracts were washed with brine (20 mL), dried (Na2SO4) and the volatiles were removed under reduced pressure. The resulting oil was co-evaporated with toluene and the residue was quickly purified by flash column chromatography (SiO2, Ø=4 cm, H=20 cm) eluting with 5→10→20→30% Et2O in petroleum ether (40-60). Evaporation of the fractions (Rf=0.25, 30% Et2O in petroleum ether (40-60)) afforded ether 1 as a yellow oil (3.11 g, 95%). This compound (3.00 g, 6.91 mmol) was dissolved in THF (35 mL) and an aqueous solution of NaOH (10%, 3.5 g in 35 mL H2O) was then added at room temperature. The solution turned instantly dark orange and this was stirred for 2 days. The medium was then carefully neutralized by dropwise addition of HCl (1M). The product was extracted with Et2O (4×50 mL) and the combined organic extracts were washed with brine (50 mL), dried (Na2SO4) and the volatiles were removed under reduced pressure. The crude yellow oil was quickly purified by flash column chromatography (SiO2, Ø=2 cm, H=10 cm) eluting with 50% Et2O in petroleum ether (40-60). Evaporation of the fractions afforded carboxylic acid 2 as a white foam (2.23 g, 77%). Rf=0.50 (50% Et2O in petroleum ether (40-60));1H-NMR (300 MHz, CDCl3) 1.10 (s, 6H, 2×CH3), 3.06 (s, 2H, CH2O), 3.65 (s, 6H, 2×OCH3), 6.62-6.79 (m, 4H, PhCH), 7.02-7.46 (stack, 8H, PhCH);13C-NMR (75 MHz, CDCl3) 22.6 (2×CH3), 43.5 (C(CH3)2), 55.1 (2×OCH3), 85.9 (CPh3), [125.3, 126.7, 127.7, 128.2, 129.1, 130.0, 136.0, 144.9, 158.4 (Ph), some overlap], 182.2 (C═O).

Synthesis of Thioester 3:

[0525]

[0526]

1,1′-carbonyldiimidazole (830 mg, 5.12 mmol) was added to a stirring solution of carboxylic acid 2 in anhydrous PhMe/DMF (2/1, v/v, 2.7 mL) at room temperature and the reaction mixture turned turbid instantly. After 30 min, the medium was diluted by adding anhydrous PhMe/DMF (93/7, v/v, 17 mL) and cooled to −10° C. 2-Mercaptoethanol (359 μL, 5.12 mmol) was then added dropwise and the solution was stirred for 1 h at this temperature. The reaction mixture was diluted with H2O (60 mL) and the product was extracted with Et2O (3×15 mL). The combined organic extracts were washed with brine (15 mL), dried (Na2SO4) and the volatiles were removed under reduced pressure (bath temperature not exceeding 20° C.). The residue was purified by flash column chromatography (SiO2, Ø=4 cm, H=15 cm, 1% Et3N) eluting with 60→70% Et2O in petroleum ether (40-60). Evaporation of the fractions afforded thioester 3 as a white syrup (1.74 g, 92%) that solidified upon storage at 4° C. Rf=0.35 (70% Et2O in petroleum ether (40-60));1H-NMR (300 MHz, CDCl3) 1.16 (s, 6H, 2×CH3), 3.02 (t, J 6.0, 2H, CH2S), 3.09 (s, 2H, CH2O), 3.66 (t, J 6.0, 2H, CH2OH), 3.72 (s, 6H, 2×OCH3), 6.74-6.78 (m, 4H, PhCH), 7.09-7.36 (stack, 8H, PhCH);13C-NMR (75 MHz, CDCl3) 22.9 (CH3, 2×CH3), 31.7 (CH2, CH2S), 51.0 (quat. C, C(CH3)2), 55.2 (CH3, 2×OCH3), 61.9 (CH2, CH2OH), 70.0 (CH2, CH2O), 85.8 (quat. C., CPh3), [113.0 (CH, Ph), 126.7 (CH, Ph), 127.7 (CH, Ph), 128.2 (CH, Ph), 130.1 (CH, Ph), some overlap], [135.9 (quat. C, Ph), 144.8 (quat. C, Ph), 158.4 (quat. C, Ph), some overlap], 205.0 (quat. C, C═O).

Synthesis of H-phosphonate Monoester 4:

[0527]

[0528]

β-L-ddA (1.00 g, 4.25 mmol) was co-evaporated with anhydrous pyridine (3×10 mL) and then dissolved in anhydrous pyridine/DMF (1/1, v/v, 21 mL). Diphenyl phosphite (5.76 mL, 29.8 mmol) was then added dropwise to this solution at room temperature. The reaction mixture was stirred for 20 min upon which a mixture of Et3N/H2O (1/1, v/v, 8.5 mL) was added dropwise, and stirring was pursued for an additional 20 min. The reaction mixture was concentrated under reduced pressure to approximately 15-20 mL and this residue was directly purified by flash column chromatography (SiO2, Ø=4 cm, H=15 cm, 1% Et3N) eluting slowly with CH2Cl2(150 mL) then 5% (200 mL)→10% (200 mL)→15% (300 mL) MeOH in CH2Cl2. Evaporation of the fractions afforded H-phosphonate monoester 4 as a white foam (1.36 g, 80%) that could be kept for several weeks at 4° C. Rf=0.10 (Et3N/MeOH/CH2Cl2, Jan. 10, 1989);1H-NMR (300 MHz, CDCl3) 1.21 (t, J 7.4, 9H, 3×NCH2CH3), 1.92-2.50 (stack, 4H, 2×2′-H, 2×3′-H), 3.02 (q, J 7.4, 6H, 3×NCH2CH3), [3.96-4.03 and 4.18-4.30 (stacks, 3H, 4′-H, 2×5′-H), 6.28 (m, 1′-H), 6.91 (d, J 623, 1H, P—H), 7.05 (br s, 2H, NH2), 8.21 (s, 1H), 8.54 (br s, 1H, OH), 8.57 (s, 1H).

Synthesis of Phosphoramidate Diester 5

[0529]

[0530]

H-Phosphonate monoester 4 (1.03 g, 2.57 mmol) and alcohol 3 (1.66 g, 3.45 mmol) were co-evaporated with anhydrous pyridine (3×5 mL) and then dissolved in anhydrous pyridine (5 mL). PyBOP (1H-benzotriazol-1-yloxytripyrrolidinophosphonium hexafluorophosphate, 1.60 g, 3.08 mmol) was then added in one portion and the reaction mixture was stirred for 15 min at room temperature. The solution was poured over saturated aqueous NaHCO3solution (30 mL) and the product was extracted with CH2Cl2(4×15 mL). The combined organic extracts were washed with brine (10 mL), dried (Na2SO4) and concentrated under reduced pressure to leave the corresponding H-phosphonate diester as a slightly yellow oil (1.84 g, assuming 2.41 mmol). This was co-evaporated with anhydrous pyridine (3×5 mL; note: do not evaporate to dryness in order to help further solubilization), and the residue was dissolved in anhydrous CCl4(24 mL). Benzylamine (791 μl, 7.23 mmol) was added dropwise and the reaction mixture turned cloudy instantly (slight heat development was observed). The milky solution was stirred for 1 h at room temperature and poured over saturated aqueous NaHCO3solution (30 mL) and the product was extracted with CH2Cl2(4×15 mL). The combined organic extracts were washed with brine (15 mL), dried (Na2SO4) and concentrated under reduced pressure to afford phosphoramidate diester 5 as a yellow oil (2.00 g, assuming 2.31 mmol). This was used in the next step without any further purification. Rf=0.29 (4% MeOH in CH2Cl2);1H-NMR (300 MHz, CDCl3) 1.11 (s, 6H, 2×CH3), 1.91-2.05 (m, 2H), 2.31-2.59 (m, 2H), 3.06 (m, 2H, CH2S), 3.08 (s, 2H, CH2ODMTr), 3.69 (s, 6H, 2×OCH3), 3.83-4.28 (stacks, 7H, CH2O, NCH2Ph, 4′41, 2×5′-H), 5.71 (br s, 1H, NH), 6.18 (m, 1H, 1′-H), 6.69-6.80 (m, 4H, PhCH), 7.02-7.31 (stack, 13H, PhCH), 7.90 (s, 1H), 8.01 (s, 1H), 8.23 (s, 2H, NH2);13P-NMR (61 MHz, CDCl3) 8.82, 8.99.

Synthesis of NM204 (A550), the Hydroxy-tBuSATE N-benzylphosphoramidate Derivative of L-ddA:

[0531]

[0532]

Crude phosphoramidate diester 5 (2.00 g, assuming 2.31 mmol) was dissolved in dioxane/AcOH/H2O (25/17/25, v/v/v, 462 mL) and the solution was stirred for 3 d at room temperature. Evaporation of the volatiles under reduced pressure left a residue that was purified by flash column chromatography (SiO2, Ø=3 cm, H=15 cm) eluting with CH2Cl2(100 mL) then 2% (100 mL)→4% (100 mL)→6% (100 mL)→8% (150 mL) MeOH in CH2Cl2. Evaporation of the fractions left NM 204 as a white foam that was dissolved in MeCN (5 mL). Upon addition of H2O (5 mL), the solution turned turbid and required sonication before lyophilization. The resulting white powder was dried at room temperature (using P2O5as a desiccant) under vacuum for 1 d. The title compound was obtained as a highly hygroscopic white powder (1:1 mixture of diastereoisomers as judged by31P-NMR; 499 mg, 35% over 3 steps). [α]20D=+4.2° (c 1.0, CHCl3); Rf=0.29 (4% MeOH in CH2Cl2);1H-NMR (300 MHz, DMSO-d6) 1.10 (s, 6H, 2×CH3), 2.02-2.14 (m, 2H, 2×3′-H), 2.41-2.55 (m, 2H, 2×2′-H), 3.01 (t, J 6.4, 2H, CH2S), 3.43 (d, J 5.0, 2H, CH2OH), 3.75-4.07 and 4.18-4.29 (stacks, 7H, CH2O, NCH2Ph, 4′-H, 2×5′-H), 5.02 (t, J 5.0, 1H, OH), 5.62 (m, 1H, NH), 6.25 (t, J 5.1, 1H, 1′-H), 7.16-7.36 (stack, 7H, PhH, NH2), 8.14 (s, 1H), 8.26 (s, 1H);13C-NMR (75 MHz, DMSO-d6) 21.8 (2×CH3), 25.9 and 26.0 (CH2, 3′-C), 28.2 and 28.3 (CH2, CH2S), 30.9 and 31.0 (CH2, 2′-C), 44.2 (CH2, NCH2Ph), 51.7 (quat. C, C(CH3)2), 63.7 and 63.8 (CH2, CH2O), 66.8 (CH2, m, 5′-C), 68.3 (CH2, CH2OH), 78.9 (CH, m, 4′-C), 84.2 (CH, 1′-C), 118.9 (quat. C), [126.5 (CH, Ph), 127.2 (CH, Ph), 128.1 (CH, Ph), some overlap], 138.8 and 138.9 (CH), 140.5 and 140.6 (quat. C), 148.9 (quat. C), 152.3 (CH), 155.0 (quat. C), 204.0 (quat. C, C═O);13P-NMR (61 MHz, DMSO-d6) 9.86, 9.95; m/z (FAB) 563 (2), 306 (76), 153 (100); HRMS 565.2034 ([M+H]+. C24H34O6N6PS requires 565.1998); HPLC tR=3.52 min (20% TEAC 20 mM in MeCN); UV (EtOH 95%) λmax=259 (εmax15900), λmin=224 (εmin7200).

Example 2

Preparation of B102, the Hydroxy-tBuSATE N-benzylphosphoramidate Derivative of 2′-C-methylcytidine

[0533]

Procedure A

Synthesis of H-phosphonate Monoester 5

[0534]

[0535]

Synthesis of Carboxylic Acid 3:

[0536]

To a stirred solution of 2,2-dimethyl-3-hydroxypropanoic acid methyl ester (1, 15 ml, 117.6 mmol) in a mixture of anhydrous methylene chloride (590 ml) and triethylamine (23 ml), were added triphenylmethylene chloride (1.2 eq, 39.3 g) and 4-dimethylaminopyridine (0.1 eq, 1.44 g). The reaction mixture was left refluxing overnight. The mixture was poured carefully over a saturated aqueous NaHCO3solution and the product was extracted with methylene chloride and washed with water. The combined organic extracts were evaporated under reduced pressure to give crude compound 2 which will be used for the next step without further purification. The resulting oil was dissolved in a mixture of dioxan (350 ml) and an aqueous solution of NaOH (30%, 350 ml). The heterogene mixture was refluxed for 16 hours. The reaction mixture was allowed to cool down to room temperature, the two phases were separated, and the organic phase carefully neutralized by dropwise addition of HCl (1M). The product was extracted with methylene chloride and the organic phases were evaporated under reduced pressure. The crude orange oil was recrystallized from methylene chloride to afford carboxylic acid 3 as white crystals (92%). Rf=0.50 (70% diethyl ether in petroleum ether);1H-NMR (400 MHz, CDCl3) 1.24 (s, 6H, 2×CH3), 3.19 (s, 2H, CH2O), 7.2-7.5 (m, 15H, C6H5).

Synthesis of H-phosphonate Monoester 5:

[0537]

1,1′-carbonyldiimidazole (1.3 eq, 1.17 g) was added to a stirring solution of carboxylic acid 3 (2 g, 5.56 mmol) in an anhydrous mixture of toluene and dimethylformamide (2/1, v/v, 4.5 ml) at room temperature, and the reaction mixture turned turbid instantly. After 30 min, the reaction mixture was diluted with a mixture of toluene and dimethylformamide (93/7, v/v, 28 ml), cooled to −10° C., and 2-mercaptoethanol (1.3 eq, 500 μL) was added. The solution was stirred for 3 h at this temperature. The volatiles were removed under reduced pressure (bath temperature not exceeding 25° C.). The residue was dissolved in methylene chloride and washed with water. The organic phases were combined, dried over sodium sulphate (Na2SO4), filtered and evaporated to dryness to give compound 4 as a yellow oil. This compound will be coevaporated with anhydrous pyridine and used for the next step without further purification. Rf=0.71 (70% Et2O in petroleum ether);1H-NMR (400 MHz, CDCl3) 1.20 (s, 6H, 2×CH3), 3.05 (t, J=6.4 Hz, 2H, CH2S), 3.15 (s, 2H, CH2OTr), 3.69 (t, J=6.4 Hz, 2H, CH2OH), 7.3-7.9 (m, 15H, C6H5).

[0538]

Phosphorus acid (10 eq, 4.1 g) was coevaporated two times with anhydrous pyridine, dissolved in that solvent (25 ml) and added to crude 4. The reaction mixture was stirred at room temperature and a white precipitate appeared after few minutes. The reaction mixture was cooled down to 0° C. and pivaloyl chloride (5.5 eq, 3.4 ml) was added. The reaction mixture was allowed to warm to room temperature and stirred for 3 h. The reaction was stopped by addition of a solution of triethylammonium bicarbonate (TEAB 1M, 10 ml) and diluted with ethyl acetate (EtOAc). After extraction with EtOAc and TEAB 0.5M, the organic phases were combined, dried over sodium sulphate, filtered and evaporated to dryness (bath temperature not exceeding 30° C.). The residue was purified by flash column chromatography eluting with 10% of methanol in methylene chloride+1% triethylamine. Evaporation of the fractions afforded the H-phosphonate monoester 5 as a white syrup (90%). Rf=0.25 (70% Et2O in petroleum ether);1H-NMR (400 MHz, CDCl3) 1.17 (m, 2×CH3+excess (CH3CH2)3N), 2.9 (m, excess (CH3CH2)3N), 3.12 (t, J=6.8 Hz, 2H, CH2S), 3.37 (s, 2H, CH2OTr), 3.90 (m, 2H, CH2OP), 7.2-7.6 (m, 15H, C6H5), 9.9 (m, excess (CH3CH2)3NH);31P-NMR (161 MHz, CDCl3) 3.85 (s).

Synthesis of B102, the Hydroxy-tBuSATE N-benzylphosphoramidate Derivative of 2′-C-methylcytidine:

[0539]

The following two strategies were used:

Strategy a

Synthesis of the Protected Nucleoside 7

[0540]

[0541]

A mixture of 2′C-methylcytidine (NM107) (10 g, 39.0 mmol), triethyl orthoformate (8.3 eq, 54 ml) and p-toluenesulfonic acid monohydrate (1 eq, 7.4 g) in anhydrous acetone (650 ml), was refluxed overnight under nitrogen atmosphere. The reaction mixture was neutralized with an aqueous ammonia solution (26%) and the precipitate filtered. The filtrate was evaporated under reduced pressure and coevaporated with ethanol. Purification of the crude mixture on silica gel column chromatography (eluant: stepwise gradient [0-10%] of methanol in methylene chloride) led to compound 6 as a pale-yellow solid (86%). Rf=0.30 (20% MeOH in methylene chloride),1H-NMR (400 MHz, DMSO-d6) 1.06 (s, 3H, CH3), 1.33 (s, 3H, CH3), 1.47 (s, 3H, CH3), 3.6 (m, 2H, H-5′, H-5″), 4.1 (m, 1H, H-4′), 4.41 (d, 1H, H-3′, J=3.2 Hz), 5.16 (t, 1H, OH-5′, J=4.0 Hz, D2O exchangeable), 5.69 (d, 1H, H-5, J=8.0 Hz), 6.04 (s, 1H, H-1′), 7.14-7.19 (bd, 2H, NH2, D2O exchangeable), 7.74 (d, 1H, H-6, J=8.0 Hz); LC/MS Scan ES− 296 (M−H), Scan ES+ 298 (M+H)+, λmax=280.7 nm.

[0542]

Compound 6 (4.4 g, 14.8 mmol) was dissolved in anhydrous pyridine (74 ml) and chlorotrimethylsilane (3 eq, 5.4 ml) was added. The reaction mixture was stirred at room temperature under nitrogen atmosphere for 2 h, then 4,4′-dimethoxytrityl chloride (1.5 eq, 7.5 g) and 4-dimethylaminopyridine (0.5 eq, 900 mg) were successively added. The reaction mixture was stirred overnight at room temperature, then quenched with a saturated aqueous NaHCO3solution. The crude product was extracted with methylene chloride, washed with saturated aq NaHCO3solution, and water. The combined organic phases were concentrated under reduced pressure, then dissolved in a mixture of dioxan (160 ml) and aqueous ammonia (28%, 29 ml). The solution was heated at 70° C. for 3 h and evaporated to dryness. The crude mixture was purified on silica gel column chromatography (eluant: stepwise gradient of methanol [1-5%] in methylene chloride) to give protected nucleoside 7 as a yellow solid (81%). R1=0.16 (30% EtOAc in CH2Cl2)1H-NMR (400 MHz, DMSO-d6) 1.03 (s, 3H, CH3), 1.30 (s, 3H, CH3), 1.42 (s, 3H, CH3), 3.5 (m, 2H, H-5′, H-5″), 3.71 (s, 6H, 2×OCH3), 4.0 (d, 1H, H-4′, J=3.2 Hz), 4.36 (d, 1H, H-3′, J=2.8 Hz), 5.1 (m, 1H, OH-5′, D2O exchangeable), 5.90 (s, 1H, H-1′), 6.2 (m, 1H, H-5), 6.8-7.2 (m, 13H, DMTr), 7.6 (m, 1H, H-6), 8.32 (s, 1H, NH, D2O exchangeable); LC/MS Scan ES− 598 (M−H), λmax=231.7 nm, λmax2283.7 nm.

Synthesis B102 (Compound 10)

[0543]

[0544]

Compounds 7 (2.0 g, 3.34 mmol) and 5 (2.2 eq, 4.3 g) were coevaporated together with anhydrous pyridine and dissolved in this solvent (50 ml). Pivaloyl chloride (2.5 eq, 1 ml) was added dropwise and the solution stirred at room temperature for 2 h 30. The reaction mixture was diluted with methylene chloride and neutralized with an aqueous solution of ammonium chloride (NH4Cl 0.5M). After extraction with methylene chloride/aq NH4Cl 0.5M, the organic phases were combined, evaporated under reduced pressure (bath temperature not exceeding 30° C.) and coevaporated with toluene. The crude mixture was purified on silica gel column chromatography (eluant: stepwise gradient [0-5%] of methanol in methylene chloride+2°/∞acetic acid) to afford the desired product 8 which was coevaporated with toluene to give a beige foam (94%). Rf=0.63 (5% MeOH in CH2Cl2);1H-NMR (400 MHz, CDCl3) 1.21 (m, 9H, 3CH3), 1.42 (s, 3H, CH3), 1.60 (s, 3H, CH3), 3.13 (m, 2H, CH2S), 3.17 (m, 2H, CH2OTr), 3.79 (s, 6H, 2×OCH3), 4.1 (m, 2H, CH2OP), 4.2-4.3 (m, 3H, H-5′, H-5″, H-4′), 5.09 (d, 1H, H-3′, J=7.6 Hz), 5.89 (d, 1H, H-5, J=5.6 Hz), 6.0 (m, 1H, H-1′), 6.8-7.7 (m, 29H, Tr, DMTr, H-6);13P-NMR (161 MHz, CDCl3) 7.92, 8.55; LC/MS Scan ES+ 1066 (M+H)+, Scan ES− 1064 (M−H).

[0545]

a solution of compound 8 (3.4 g, 3.15 mmol) in anhydrous carbon tetrachloride (30 ml) was added dropwise benzylamine (10 eq, 3.4 ml). The reaction mixture was stirred at room temperature for 1 h 30. A white precipitate appeared. The solution was diluted with methylene chloride and neutralized with an aqueous solution of hydrogen chloride (HCl 1M). After successive extractions with CH2Cl2/HCl 1M and CH2Cl2/aq NaHCO3, the organic phases were combined, dried over Na2SO4, filtered and evaporated to dryness. The crude mixture was purified on silica gel column chromatography (eluant: stepwise gradient [0-5%] of methanol in methylene chloride) to give 9 as a yellow foam (87%). Rf=0.35 (5% MeOH in methylene chloride);1H-NMR (400 MHz, CDCl3) 1.1-1.2 (m, 9H, 3CH3), 1.40 (s, 3H, CH3), 1.59 (s, 3H, CH3), 2.9-3.2 (m, 4H, CH2OTr, CH2OS), 3.76 (s, 6H, 2×OCH3), 3.9-4.4 (m, 8H, CH2OP, CH2N, H-3′, H-4′, H-5′, H-5″), 5.0 (m, 1H, H-5), 6.0 (2s, 1H, H-1′), 6.7-7.7 (m, 34H, Tr, DMTr, C6H5CH2, H-6);13P-NMR (161 MHz, CDCl3) 8.40, 8.8.68; LC/MS Scan ES+ 1171 (M+H)+.

[0546]

Finally, compound 9 (2.39 g, 2.04 mmol) was dissolved in a mixture of methylene chloride (10 ml) and an aqueous solution of trifluoroacetic acid (90%, 10 ml). The reaction mixture was stirred at 35-40° C. for 2 h, then diluted with ethanol (140 ml). The volatiles were evaporated under reduced pressure and coevaporated with ethanol. The crude mixture was purified by silica gel column chromatography (eluant: stepwise gradient of methanol [0-30%] in methylene chloride), followed by a purification on reverse phase chromatography (eluant: stepwise gradient of acetonitrile [0-50%] in water), to give the desired product 10 (B102) (1:1 mixture of diastereoisomers as judged by31P-NMR, 36%) which was lyophilized from a mixture of dioxan/water. Rf=0.34 (15% MeOH in methylene chloride);1H-NMR (400 MHz, DMSO-d6) 0.92 (s, 3H, CH3), 1.10 (s, 6H, 2×CH3), 3.0 (m, 2H, CH2S), 3.33 (m, 1H, H-3′), 3.56 (s, 2H, CH2OH), 3.8-4.0 and 4.05-4.25 (stacks, 7H, CH2OP, NCH2Ph, H-4′, H-5′ and H-5″), 4.9 (m, 1H, OH-3′, J=5.4 Hz, D2O exchangeable), 5.07 (s, 1H, OH-2′, D2O exchangeable), 5.3 (m, 1H, CH2OH, D2O exchangeable), 5.6-5.7 (m, 2H, H-5 and NH, D2O exchangeable), 5.91 (s, 1H, H-1′), 7.3-7.4 (stack, 7H, PhH, NH2, D2O exchangeable), 7.6 (m, 1H, H-6);13P-NMR (161 MHz, DMSO-d6) 9.71, 9.91; HPLC tR=4.67 min (0-100% acetonitrile over a period of 8 min), λmax=274.9; LC/MS Scan ES+ 587 (M+H)+.

Strategy b

Synthesis of Protected Nucleoside 11

[0547]

[0548]

NM107 (10 g, 38.87 mmol) was dissolved in anhydrous pyridine (194 ml) and chlorotrimethylsilane (4.5 eq, 21.6 ml) was added. The reaction mixture was stirred at room temperature under nitrogen atmosphere for 2 h 30, then 4,4′-dimethoxytrityl chloride (1.5 eq, 19.8 g) and 4-dimethylaminopyridine (0.5 eq, 2.37 g) were successively added. The reaction mixture was stirred overnight at room temperature, then quenched with a saturated aqueous NaHCO3solution. The crude product was extracted with methylene chloride, washed with saturated aq NaHCO3solution, and water. The combined organic phases were concentrated under reduced pressure, then dissolved in tetrahydrofuran (110 ml). To that solution was added tetrabutylammonium fluoride 1M in THF (1 eq, 38.87 ml) and the reaction mixture was stirred for 30 min at room temperature. After extraction with EtOAc and water, the organic phases were collected and evaporated to dryness. The crude mixture was purified on silica gel column chromatography (eluant: stepwise gradient of methanol [0-10%] in methylene chloride) to give protected nucleoside 11 as a yellow solid (93%). Rf=0.32 (10% MeOH in CH2Cl2)1H-NMR (400 MHz, DMSO-d6) 0.79 (s, 3H, CH3), 3.56 (m, 2H, H-5′, H-5″), 3.71 (s, 7H, 2×OCH3, H-4′), 5.0 (m, 4H, H-3′, OH-2′, OH-3′, OH-5′, D2O exchangeable), 5.72 (s, 1H, H-1′), 6.16 (m, 1H, H-5), 6.8-7.2 (m, 13H, DMTr), 7.82 (m, 1H, H-6), 8.24 (m, 1H, NH D2O exchangeable); LC/MS Scan ES− 560 (M+H)+, ES-558 (M−H), λmax=284.7 nm.

Synthesis of Protected Phosphoramidate Pronucleotide 13, Precursor 10

[0549]

[0550]

Compound 11 (7 g, 12.5 mmol) and 5 (1.5 eq, 11.0 g) were coevaporated together with anhydrous pyridine and dissolved in this solvent (187 ml). Pivaloyl chloride (2.0 eq, 3.08 ml) was added dropwise at −15° C. and the solution stirred at this temperature for 1 h 30. The reaction mixture was diluted with methylene chloride and neutralized with an aqueous solution of ammonium chloride (NH4Cl 0.5M). After extraction with methylene chloride/aq NH4Cl 0.5M, the organic phases were combined, evaporated under reduced pressure (bath temperature not exceeding 30° C.) and coevaporated with toluene. The crude mixture was purified on silica gel column chromatography (eluant: stepwise gradient [0-5%] of methanol in methylene chloride+0.2% acetic acid) to afford the desired product 12 which was coevaporated with toluene to give a white foam (3.5 g, 27%). Rf=0.44 (5% MeOH in CH2Cl2);1H-NMR (400 MHz, DMSO) 0.8 (m, 3H, CH3), 1.14 and 1.06 (2s, 6H, 2CH3), 3.06 (m, 2H, CH2S), 3.16 (m, 2H, CH2OTr), 3.5 (m, 1H, H-3′), 3.70 (m, 6H, 2 OCH3), 3.90 (m, 1H-4′), 4.03 (m, 2H, CH2OP), 4.24 (m, 2H, H-5′, H-5″), 5.30 and 5.04 (2 ms, 2H, OH-2′ and OH-3′, D2O exchangeable), 5.78 (m, 1H, H-1′), 5.98 (m, 1H, P—H), 6.22 (m, 1H, H-5), 7.0-7.5 (m, 16H, Tr), 8.32 (m, 114, H-6);13P-NMR (161 MHz, DMSO) 9.17, 9.65; LC/MS Scan ES+ 1026 (M+H)+, λmax=282.7 nm.

[0551]

To a solution of compound 12 (500 mg, 0.49 mmol) in anhydrous carbon tetrachloride (4.9 ml) was added dropwise benzylamine (5 eq, 0.266 ml). The reaction mixture was stirred at room temperature for 3 h and the solvent removed under reduced pressure. The crude mixture was purified on silica gel column chromatography (eluant: stepwise gradient [0-5%] of methanol in methylene chloride) to afford compound 13 as a foam (75%). Rf=0.25 (3% MeOH in methylene chloride);1H-NMR (400 MHz, DMSO) 0.79 (s, 3H, CH3), 1.13 and 1.06 (2s, 6H, 2CH3), 3.05 (m, 4H, CH2OTr, CH2OS), 3.51 (m, 1H, H-3′), 3.69 (s, 6H, 2×OCH3), 3.87 (m, 3H, CH2OP, CH2N, H-3′), 4.08 (m, 2H, H-5′, H-5″), 5.19 and 5.0 (2m, 2H, OH-2′ and OH-3′, D2O exchangeable), 5.67 (m, 1H, NH, D2O exchangeable), 5.75 (2s, 1H, H-1′), 6.21 (m, 1H, H-5), 6.7-7.5 (m, 34H, Tr, DMTr, C6H5CH2, H-6);13P-NMR (161 MHz, DMSO) 9.84, 9.69; LC/MS Scan ES+ 1132 (M+H)+.

[0552]

Compound 13 can be converted into the phosphoramidate prodrug 10 (B102) following experimental conditions described for the last step in Examples 3 (Procedure A) and in Example 4.

Procedure B

[0553]

Synthetic Scheme:

[0554]

B102 is synthesized as a mixture of phosphorous diastereomers in 1:1 ratio. Isolated overall yield from NM107 to B102 was 31%, as not all the coupled material produced was used for deprotection.

Step 1.1:

[0555]

[0000]

FWDensityAmount
MaterialGradegmol−1Quantitygml−1molEq
NM10799%257.2150 g0.5831
PhB(OH)298%122.1 78 g0.6391.10
Pyridine anhydrous98%79.12.5 L0.978

[0556]

NM 107 was dissolved in pyridine under argon and benzeneboronic acid was added. The stirred mixture was heated at reflux for 3 h under argon. Distillation of the azeotrope was then performed, removing 1.2 L (pyridine/water).

[0000]

T head: 103° C.→113° C. T mixture: 112° C.→116° C.
The mixture was cooled to room temperature and the pyridine was evaporated under vacuum to get golden oil. The product was stored under vacuum overnight to be used for the next step. A ratio of 97:3 product:starting material was observed by 1H-NMR (d6-DMSO). Prior to Step 1.2, the crude was dissolved in 250 mL anhydrous pyridine.
Alternatively the following conditions may be used:

    • eq benzeneboronic acid
    • 5 eq pyridine
    • 1.5 eq Na2SO4
    • 5 mL CH3CN for 1 g of NM107
    • Heat at reflux for 1 h-1 h 30. Cool to RT. Used for next reaction.
    • 98-99% of conversion by proton NMR

Step 1.2:

[0563]

[0000]

FWDensityAmount
MaterialGradegmol−1Quantitygml−1molEq
2,3-PhB-343.1Solution~0.5831
NM107
Phosphonate 3585.7615 g1.0491.8
EDCl•HCl98%191.7570 g2.9735.1
Acetonitrile98%3 L
anhydrous
Benzylamine98%107.2445 mL0.984.07*
Carbon98%153.8260 mL1.5912.64*
tetrachloride
*Extra equivalents of these reagents may be added (e.g. 15 eq) if required (if P—OH visible by HPLC)

[0564]

Phosphonate 3 was dissolved in 3 L of acetonitrile under argon. A solution of 2,3-PhB-NM107 from Step 1.1 was added followed by EDCI.HCl. The mixture was stirred under argon at 41-46° C. for 4 h after which time HPLC analysis indicated ˜7:1 ratio of P—H product to NM107. The mixture was cooled to 18° C. and benzylamine was added dropwise followed by carbon tetrachloride. The reaction was slightly exothermic. Analysis by HPLC indicated complete conversion of P—H to phosphoramidate product. Ethyl acetate (1 L) was added to the mixture which was then acidified to pH 4 with 3 L of 20% citric acid. The aqueous phase was extracted with 2.5 L of ethyl acetate. The organic phases were combined and washed with 3 L of 10% citric acid. The organic phase was basified to pH 8 with 5 L of aqueous sodium bicarbonate (saturated) and washed a second time with 2 L of aqueous sodium bicarbonate

[0565]

(saturated). The organic phase was dried over sodium sulfate, filtered under vacuum and evaporated to give a yellow foam, 712 g.

[0566]

The crude residue was dissolved in dichloromethane (1 L) and purified on silica plug (2.3 Kg of silica). Eluted with: 5 L 4% Methanol/DCM, 2*1 L 4%, 3*1 L 5%, 8*250 mL 6%, 4*250 mL 7%, 9*1 L 7%. Evaporation of the relevant fractions gave 254 g (HPLC purity: 98.5%, yield: 52%) and 73 g (HPLC purity: 87.6%, yield: 13%) of phosphoramidate 4.

Step 2:

[0567]

[0000]

FWDensityAmount
MaterialGradeGmol−1Quantitygml−1molEq
Phosphoramidate 4828.9246 g0.2911
AcCl99% 78.562.6 mL1.1051.0493.0*
EtOH anhydrous98%3.5 L*
*Subsequently 2.0 eq AcCl and 1:10 w/v 4:EtOH ratio were used.

[0568]

Phosphoramidate 4 was dissolved in anhydrous ethanol and acetyl chloride was added (exothermic: 18° C. to 27° C.) to the reaction mixture, under argon. The mixture was stirred at 60° C. under argon. After 30 min, HPLC analysis indicated complete conversion of the phosphoramidate 4 to deprotected product 5. The mixture was cooled to 25° C. and solid sodium bicarbonate (1.04 Kg) was added in several portions (foaming, pH ˜5.5-6). The mixture was filtered through Celite and washed with two volumes of ethanol. The filtrate was evaporated under vacuum at 35° C. The residue was triturated with TBME (3 L) for 1 h and then filtered to remove the trityl by-product. The solid obtained was dried under vacuum to give 185 g with 93% purity at 254 nm by HPLC.

[0000]

If required, any residual benzeneboronic acid may be removed from the product by dissolution in water and treatment with Amberlite IRA-743 resin.
The following alternative reaction conditions (to avoid the possibility of acylating 4) are possible:

    • 2.0 eq AcCl in EtOH 1:10 v:v to generate HCl and consume all AcCl (exothermic)
    • Phosphoramidate 4 in EtOH (to make 1:10 w:v total volume EtOH)
    • Add HCl/EtOH solution to reaction mixture at 20° C.
    • 60° C. under argon, 30-45 min
      The crude was purified by reverse-phase chromatography (1.5 Kg of prepared Bakerbond 40 μm C-18 RP-silica—washed with 100% acetonitrile gradient to 100% H2O). The crude was dissolved in acetonitrile (58 mL), H2O (164 mL) and saturated aqueous sodium bicarbonate solution (170 mL).
      Elution under gentle vacuum with a stepwise gradient of 3% MeCN/H2O, 10%, 15%, 25% (pure product eluted) and evaporation of the relevant fractions gave 106 g B102 (62% yield) with 98.6% purity at 254 nm by HPLC.
      Typical analytical data is shown below:

[0573]

B102: C24H35N4O9PS 586.59 gmoF−1

[0574]

HPLC AUC (Method Test 20): 98.9%@254 nm, Rt 3.34 min

[0575]

m/z (ESI+): 587.12 [M+H]+100%; 1173.62 [2M+H]+80%

[0576]

vmax(KBr disc) (cm−1): 3343.1 br (O—H, N—H); 1647.2 br (C═O base, thioester)

[0577]

KF: 2.02% H2O content

[0578]

Specific Rotation: [α]D20+55.011 (c. 10.492 mg cm−3in DMSO)

[0579]

Elemental analysis: Calculated: C, 49.14%; H, 6.01%; N, 9.55%; S, 5.47%; P, 5.28%;

[0580]

Found: C, 48.74%; H, 5.83%; N, 9.41%; S, 5.81%; P, 5.33%.

[0581]

NMR: Analyzed using1H,13C,31P, COSY, DEPT, HSQC and HMBC experiments.114 NMR δH(400 MHz, d6-DMSO): 0.94 (3H, d, J=1.8 Hz, CH3), 1.11 (6H, s, (CH3)2C), 3.04 (2H, m, J=6.4 Hz, CH2S), 3.44 (2H, d, J=5.0 Hz, CH2OH), 3.60 (1H, br-m, H-3′), 3.82-4.01 (5H, m, H-4′, CH2O, CH2Ph), 4.07-4.12 (1H, m, H-5′), 4.13-4.24 (1H, m, H-5″), 4.94 (1H, t, J 5.0 Hz, CH2OH), 5.07 (1H, d, J 1.8 Hz, OH-2′), 5.26 (1H, t, J 6.8 Hz, OH-3′), 5.64-5.76 (1H, m, P—N—H), 5.69, 5.70 (1H, 2×d, 2×J 7.6 Hz, H-5), 5.93 (1H, br-s, H-1′), 7.13-7.20 (2H, 2×br-s, NH2), 7.20-7.25 (1H, m, Ar—H), 7.28-7.35 (4H, m, 4×Ar—H), 7.53, 7.57 (1H, 2×d, J 7.6 Hz, H-6)

[0582]

13C NMR δC(100 MHz, d6-DMSO): 19.81 (CH3), 21.79 (C(CH3)2), 28.17, 28.24 (CH2S), 44.18 (PhCH2), 51.62 (C(CH3)2), 63.74, 63.79 (CH2O), 64.21, 64.51 (C-5′), 68.29 (CH2OH), 72.41, 72.57 (C-3′), 77.80, 77.85 (C-2′), 79.47, (C-4′), 91.66, (C-1′), 93.82 (C-5), 126.68, 127.09, 128.08, 128.09 (5×Ar—C), 140.34, 140.38, 140.40 (Ar—Cipso, C-6), 155.12, 165.21 (C-2, C-4), 203.85 (C═OS)31P NMR δP(162 MHz, d6-DMSO): 9.71, 9.91 (1P, 2×s, ratio 1.00:1.07)

[0583]

Synthetic Procedure A can be used for synthesizing nucleoside prodrugs such as B 102. Protection of the 2′ and 3′ hydroxyl groups as well as the amino group that may be present on the nucleoside base is preferred. In Strategy A, the 2′ and 3′ hydroxyl groups are protected, e.g., as the acetonide derivative and the amino group is protected, e.g., as the di-methoxytrityl derivative. Hydrolysis of the acteonide after the coupling of the nucleoside with the SATE intermediate is carried out using an acid such as TFA. This hydrolysis procedure can potentially produce by-products and give low yields, and the di-methoxytrityl chloride is disadvantageously expensive. Synthetic Procedure B, below, can overcome the such difficulties. An acid, such as a boronic acid, such as phenyl boronic acid is used to protect the 2′ and 3′ hydroxyl groups on the sugar moiety. Coupling the nucleoside phenyl boronate derivative with the SATE intermediate can give good yield, and the phenyl boronate deprotection conveniently takes place during the work-up of the reaction mixture, on washing with an acid such as an aqueous citric acid solution. The final removal of a protecting group such as a trityl group (on the Sate moiety) is mildly carried out using an organic solvent system, such as an acetyl chloride/ethanol mixture. This deprotection reaction can be consistently reproducible, scalable and gave significantly high yield.

Example 3

Preparation of B299, the Hydroxy-tBuSATE N-benzylphosphoramidate Derivative of 2′-C-methylguanosine

[0584]

Procedure A

Synthetic Scheme:

[0585]

[0586]

2′-C-methylguanosine (NM108) (3 g, 10.10 mmol) and compound 5 [for the synthesis of 5 See Example 2] (6.48 g, 11.10 mmol) were coevaporated together with anhydrous pyridine and dissolved in this solvent (152 mL). Pivaloyl chloride (2.48 mL, 20.18 mmol) was added dropwise at −15° C. and the solution was stirred at the same temperature for 2 h. The reaction mixture was diluted with methylene chloride and neutralized with an aqueous solution of ammonium chloride (NH4Cl 0.5M). After extraction with methylene chloride/aq NH4Cl 0.5M, the organic phases were combined, dried over Na2SO4evaporated under reduce pressure (bath temperature not exceeding 30° C.) and coevaporated twice with toluene. The crude mixture was purified on silica gel flash column chromatography (eluant: stepwise gradient [0-10%] of methanol in methylene chloride+0.2% acetic acid) to afford the desired product 6 (2.5 g, 32%). Rf=0.34 (15% MeOH in CH2Cl2);1H-NMR (400 MHz, DMSO-d60.80 (s, 3H, CH3), 1.13 (s, 6H, 2×CH3), 3.04 (m, 2H, CH2OTr), 3.14 (m, 2H, CH2S), 3.97-4.08 (m, 4H, H-3′, H-4′, CH2OP), 4.28-4.38 (m, 2H, H-5′, H-5″), 5.10-5.35 (m, 2H, OH-2′, OH-3′, D2O exchangeable), 5.77 (s, 1H, H-1′), 6.52 (bs, 2H, NH2, D2O exchangeable), 7.11-7.42 (m, 15H, Tr), 7.75 (s, 1H, H-8), 10.67 (bs, 1H, NH, D2O exchangeable);13P-NMR (161 MHz, DMSO-d6) 9.47, 9.20; LC/MS Scan ES+ 764 (M+H)+, Scan ES− 762 (M−H).

[0587]

To a solution of compound 6 (2.5 g, 3.27 mmol) in anhydrous carbon tetrachloride (33 mL) was added dropwise benzylamine (5 eq, 1.79 mL). The reaction mixture was stirred at room temperature for 1 h and evaporated under reduced pressure (bath temperature not exceeding 30° C.). The crude mixture was purified on silica gel flash column chromatography (eluant: stepwise gradient [0-10%] of methanol in methylene chloride) to give compound 7 as a white foam (2.9 g, quantitative yield). Rf=0.27 (10% MeOH in methylene chloride);1H-NMR (400 MHz, DMSO-d6) 0.81 (s, 3H, CH3), 1.10 (s, 6H, 2×CH3), 2.99-3.08 (m, 4H, CH2OTr, CH2S), 3.87-4.30 (m, 8H, H-3′, H-4′, H-5′, H-5″ CH2OP, NCH2Ph), 5.66 (m, 1H, NH, D2O exchangeable), 5.76 (s, 1H, H-1′), 6.60 (bs, 2H, NH2, D2O exchangeable), 7.17-7.39 (m, 20H, Tr, C6H5CH2), 7.77 (s, 1H, H-8);13P-NMR (161 MHz, DMSO-d6) 9.93, 9.78; LC/MS Scan ES+ 869 (M+H)+, Scan ES− 867 (M−H).

[0588]

Compound 7 (2.84 g, 3.27 mmol) was dissolved in a mixture of trifluoroacetic acid (1.1 mL) and methylene chloride (11.4 mL). The reaction mixture was stirred 0.5 h at room temperature. The solution was diluted with ethanol, evaporated under reduce pressure (bath temperature not exceeding 30° C.) and coevaporated twice with toluene. The crude mixture was purified on silica gel flash column chromatography (eluant: stepwise gradient [0-30%] of methanol in methylene chloride) and then, on reverse phase column chromatography (eluant: stepwise gradient [0-100%] of acetonitrile in water) to give the desired product 8 (B299) (1:1 mixture of diastereoisomers according to31P-NMR, 800 mg, 39%) which was lyophilized from a mixture of dioxan/water. Rf=0.57 (20% MeOH in methylene chloride);1H-NMR (400 MHz, DMSO-d6) 0.82 (s, 3H, CH3), 1.09 (s, 6H, 2×CH3), 3.01 (m, 2H, CH2S), 3.42 (d, 2H, CH2OH, J=8.0 Hz), 3.81-4.00 (m, 6H, H-3′, H-4′ CH2OP, NCH2Ph), 4.11-4.27 (m, 2H, H-5′, H-5″), 4.92 (t, 1H, CH2OH, J=8.0 Hz, D2O exchangeable), 5.16 (s, 1H, OH-2′, D2O exchangeable), 5.40 (m, 1H, OH-3′, D2O exchangeable), 5.64 (m, 1H, NH, D2O exchangeable), 5.75 (s, 1H, H-1′), 6.50 (bs, 2H, NH2. D2O exchangeable), 7.19-7.32 (m, 5H, PhH), 7.77 (s, 1H, H-8), 10.61 (bs, 1H, NH, D2O exchangeable);13P-NMR (161 MHz, DMSO-d6) 9.91, 9.78; HPLC tR=3.67 min (0-100% acetonitrile over a period of 8 min), λmax=251.3; LC/MS Scan ES+ 627 (M+H)+, Scan ES− 625 (M−H).

Example 4

Preparation of B208, the Hydroxy-tBuSATE N-benzylphosphoramidate Derivative of 2′-C-methylthymidine

[0589]

Synthetic Scheme:

[0590]

[0591]

2′-C-Methylthymidine (NM105) (700 mg, 2.57 mmol) and 5 [for the synthesis of 5, See Example 2] (1.1 eq, 1.6 g) were coevaporated together with anhydrous pyridine and dissolved in this solvent (40 ml). Pivaloyl chloride (2.0 eq, 0.633 ml) was added dropwise at −15° C. and the solution stirred at this temperature for 1 h 30. The reaction mixture was diluted with methylene chloride and neutralized with an aqueous solution of ammonium chloride (NH4Cl 0.5M). After extraction with methylene chloride/aq NH4Cl 0.5M, the organic phases were combined, evaporated under reduced pressure (bath temperature not exceeding 30° C.) and coevaporated with toluene. The crude mixture was purified on silica gel column chromatography (eluant: stepwise gradient [0-10%] of methanol in methylene chloride+0.2% acetic acid) to afford the desired product 6 which was coevaporated with toluene to give a white foam (942 mg, 50%). Rf=0.56 (15% MeOH in CH2Cl2);1H-NMR (400 MHz, DMSO) 1.00 (s, 3H, CH3), 1.13 (s, 6H, 2CH3), 1.77 (s, 3H, CH3), 3.16 (m, 2H, CH2S), 3.32 (m, 2H, CH2OTr), 3.6 (m, 1H, H-3′), 3.9 (m, 1H, H-4′), 4.0 (m, 2H, CH2OP), 4.2-4.3 (m, 2H, H-5′, H-5″), 5.21 (s, 1H, OH-2′, D2O exchangeable), 5.40 (t, 1H, OH-3′, D2O exchangeable), 5.83 (s, 1H, H-1′), 6.0 (s, 1H, P—H), 7.0-7.5 (m, 16H, Tr, H-6);13P-NMR (161 MHz, DMSO) 9.29, 9.68; LC/MS Scan ES+ 761 (M+Na)+.

[0592]

To a solution of compound 6 (920 mg, 1.25 mmol) in anhydrous carbon tetrachloride (13 ml) was added dropwise benzylamine (10 eq, 1.4 ml). The reaction mixture was stirred at room temperature for 2 h. A white precipitate appeared. The solution was diluted with methylene chloride and neutralized with an aqueous solution of hydrogen chloride (HCl 1M). After successive extractions with CH2Cl2/HCl 1M and CH2Cl2/aq NaHCO3, the organic phases were combined, dried over Na2SO4, filtered and evaporated to dryness. The crude mixture was purified on silica gel column chromatography (eluant: stepwise gradient [0-10%] of methanol in methylene chloride) to give 7 as a white foam (875 mg, 83%). Rf=0.56 (15% MeOH in CH2Cl2);1H-NMR (400 MHz, DMSO) 0.99 (s, 3H, CH3), 1.12 (s, 6H, 2CH3), 1.75 (s, 3H, CH3), 3.04 (m, 4H, CH2OTr, CH2S), 3.69 (m, 1H, H-3′), 3.8-4.0 (m, 5H, CH2OP, CH2N, H-4′), 4.0-4.2 (m, 2H, H-5′, H-5″), 5.17 (s, 1H, OH-2′, D2O exchangeable), 5.3 (m, 1H, OH-3′, D2O exchangeable), 5.7 (m, 1H, NH, D2O exchangeable), 5.82 (s, 1H, H-1′), 7.1-7.5 (m, 21H, Tr, C6H5CH2, H-6);13P-NMR (161 MHz, DMSO) 9.95, 9.86; HPLC tR=7.91 min (0-100% acetonitrile over a period of 8 min), λmax=266.7 nm; LC/MS Scan ES+ 866 (M+Na)+.

[0593]

Finally, compound 7 (860 mg, 1.02 mmol) was dissolved in a mixture of methylene chloride (15 ml) and trifluoroacetic acid (0.51 ml). The reaction mixture was stirred at room temperature for 2 h, then diluted with toluene. The volatiles were evaporated under reduced pressure and coevaporated with ethanol. The crude mixture was purified by silica gel column chromatography (eluant: stepwise gradient of methanol [0-10%] in methylene chloride), followed by a purification on reverse phase chromatography (eluant: stepwise gradient of acetonitrile [0-50%] in water), to give the desired product 8 (B208) (257 mg, 42%). Rf=0.31 (10% MeOH in methylene chloride);1H-NMR (400 MHz, DMSO-d6) 0.99 (s, 3H, CH3), 1.10 (s, 6H, 2×CH3), 1.75 (s, 3H, CH3), 3.0 (m, 2H, CH2S), 3.42 (d, 2H, CH2OH), 3.7 (m, 1H, H-3′), 3.8-4.0 (stack, 5H, CH2OP, NCH2Ph, H-4′), 4.0-4.3 (m, 2H, H-5′ and H-5″), 4.9 (m, 1H, CH2OH, D2O exchangeable), 5.17 (s, 1H, OH-2′, D2O exchangeable), 5.3 (m, 1H, OH-3′, D2O exchangeable), 5.7 (m, 1H, NH, D2O exchangeable), 5.81 (s, 1H, H-1′), 7.2-7.4 (stack, 6H, PhH, H-6);13P-NMR (161 MHz, DMSO-d6) 9.84, 9.90; HPLC tR=4.98 min (0-100% acetonitrile over a period of 8 min), λmax=269.0 nm; LC/MS Scan ES+ 602 (M+H)+.

Example 5

Preparation of B261, the Hydroxy-tBuSATE N-benzylphosphonamidate Derivative of PMEA

[0594]

Procedure A

Synthesis of Intermediate 4:

[0595]

[0596]

A 500 mL triple-neck flask fitted with a condenser was charged with PMEA (2.00 g, 7.25 mmol), CH2Cl2 (121 mL) and DMF (617 μL, 7.98 mmol). The resulting slurry was vigorously stirred and oxalyl chloride (2.21 mL, 25.4 mmol) was added dropwise at 0° C. over 10 min (gas evolution). The slurry turned to a yellow solution (10 min) before turning turbid (10 min). This was further stirred for 3 h under reflux and turned to a white, thick slurry. The products were schlenk-dried 1 h in situ by evaporation of all volatiles under reduced pressure, at room temperature. The resulting yellow solid could then be partially dissolved in CH2Cl2 (121 mL), and pyridine (1.17 mL, 14.5 mmol) was added dropwise at 0° C. over 10 min. The white suspension turned to a blue solution, which was cooled to −78° C. A solution of alcohol 3 [for the synthesis of 3, See Example 1] (3.480 g, 7.25 mmol) and triethylamine (6.37 mL, 45.7 mmol) in CH2Cl2 (72 mL) was then added slowly (ca. 45 min), dropwise along the internal wall, and the reaction was stirred 10 h at −78° C. Benzylamine (2.37 mL, 21.7 mmol) was then added dropwise at −78° C. and the solution was left stirring warming to r.t. over 1 h. NaHCO3(aq. sat., 200 mL) was poured over the reaction and the layers separated. The aqueous phase was extracted with CH2Cl2 (2×100 mL) and the combined organic extracts were dried with brine (50 mL) and Na2SO4. The solution was filtered and concentrated to afford ca. 6.5 g of crude yellow syrup. Purification by flash column chromatography (SiO2, Ø=3.5 cm, H=11 cm) eluting with 4→8→12% MeOH in CH2Cl2 (1% Et3N) afforded 3.70 g of a yellow foam (0.15<Rf<0.30, 10% MeOH in CH2Cl2) that were submitted to a second purification by flash column chromatography (SiO2, Ø=3.5 cm, H=12 cm) eluting with 4→6% MeOH in CH2Cl2 (1% Et3N) to afford 2.67 g of a yellow foam (0.16<Rf<0.25, 10% MeOH in CH2Cl2). This was submitted to a third purification by flash column chromatography (SiO2, Ø=3.5 cm, H=12 cm) eluting with 4→6% MeOH in CH2Cl2 (1% Et3N) to produce 165 mg of phosphonamidate 4 (ca. 2.7%) as a white foam and 1.75 g of mixed compounds. These were submitted to a last purification by flash column chromatography (SiO2, Ø=3.5 cm, H=12 cm) eluting with 4→6% MeOH in CH2Cl2 (1% Et3N) afforded 353 mg of phosphonamidate 4 (ca. 5.9%) as a white foam. Total yield: 8.6%. Rf=0.21 (6% MeOH in CH2Cl2); 1H-NMR (300 MHz, CDCl3) 1.13 (s, 6H, 2CH3), 3.02-3.10 (m, 2H, CH2S), 3.59 (t, J 7.5, 2H, CH2), 3.58 (s, 6H, 2×OCH3), 3.73 (t, J 7.1, 2H, CH2), 3.88-4.09 (stacks, 4H, 2×CH2), 4.21 (t, J 7.0, 2H, CH2O), 5.50 (br s, 2H, NH2), 6.67-6.78 (m, 4H, PhH), 7.04-7.38 (stack, 9H, PhH), 7.72 (s, 1H), 8.22 (s, 1H); 31P-NMR (121 MHz, CDCl3) 25.0; m/z (FAB+) 825 (1), 303 (100); HRMS 825.3171 ([M+H]+. C43H50O7N6PS requires 825.3199).

Synthesis of Compound 5 (B261):

[0597]

[0598]

Dichloroacetic acid (20% solution in CH2Cl2, ca. 140 drops) was added dropwise to a solution of ether 4 (353 mg, 0.43 mmol) in CH2Cl2 (4.3 mL) at 0° C. and this was stirred for 55 min. Solid NaHCO3 (ca. 1.5 g) was then added and the slurry was stirred for 10 min before filtration and evaporation. Purification by flash column chromatography (SiO2, Ø=1.5 cm, H=10 cm) eluting with 4% 10% MeOH in CH2Cl2 afforded pure phosphonamidate 5 (130 mg after lyophilization in THF/H2O and 3 day-stay in P2O5 desiccator, 58%). This reaction was also performed on 165 mg of ether 4 to produce 51 mg of phosphonamidate 5 (B261, 49%). Rf=0.20 (10% MeOH in CH2Cl2); 1H-NMR (300 MHz, DMSO-d6) 1.10 (s, 6H, 2×CH3), 2.80 (t, J 7.0, 2H, CH2S), 3.43 (d, J 5.5, 2H, CH2OH), 3.69 (A of AB, J 4.8, 1H, 1×CH2P), 3.71 (B of AB, J 4.8, 1H, 1×CH2P), 3.75-3.88 (stacks, 4H, CH2O, NCH2), 3.88-4.07 (m, 2H, NCH2Ph), 4.30 (t, J 7.0, 2H, CH2O), 4.97 (t, J 6.1, 1H, OH), 5.31-5.42 (m, 1H, NH), 7.16-7.32 (stack, 7H, PhH, NH2), 8.09 (s, 1H), 8.13 (s, 1H); 13C-NMR (75 MHz, DMSO-d6) 21.8 (2×CH3), 28.4 and 28.5 (CH2, CH2S), 42.4 (CH2, NCH2), 43.3 (CH2, NCH2), 51.7 (quat. C, C(CH3)2), 61.7 and 61.8 (CH2, CH2O), 64.6 (CH2, CH2O), 68.4 (CH2, CH2O), 118.5 (quat. C), [126.5 (CH, Ph), 127.0 (CH, Ph), 128.0 (CH, Ph), some overlap], 140.5 and 140.6 (quat. C), 141.0 (CH), 149.4 (quat. C), 152.3 (CH), 155.9 (quat. C), 203.9 (quat. C═O); 31P-NMR (121 MHz, DMSO-d6) 25.9; m/z (FAB+) 161 (32), 256 (42), 523 (100); HRMS 523.1899 ([M+H]+. C22H32O5N6PS requires 523.1892); HPLC(C18, flow: 0.5 mL/min, solution A=TEAC 20 mM, solution B=20% TEAC 20 mM): tR=5.04 min (60% A in B), tR=27.24 min (t=0→10 min: 100% A; t=10→30 min: 0→50% B in A; t=30→35 min: 50→100% B in A); UV (EtOH 95%) λmax=205 (εmax 23900), λmin=228 (εmin 5400).

Procedure B

Improved Preparation of the Hydroxy-tBuSATE N-benzylphosphoramidate Derivative (B261, Compound 5) of PMEA

Synthetic Scheme:

[0599]

Step 1: Synthesis of Intermediate A

[0600]

To the suspension of PMEA (2 g, 7.3 mmol) in 120 mL of DCM (anhydrous) was added DMF (640 mg, 1.2 eq), followed with oxalyl chloride (2.3 mL, 3.5 eq) at room temperature. The mixture was heated to reflux for 1.5 hrs to give a thick yellow suspension. The mixture was concentrated to dryness through rotarvap to give the crude intermediate 2 as pale yellow solid. LCMS analysis of the aliquot of intermediate 2 in methanolic solution confirmed the structure of the product in good purity.

Step 2: Synthesis of Intermediate B:

[0601]

The crude intermediate A (7.33 mmol) was suspended into 100 mL of anhydrous DCM. The suspension was cooled to 0° C. To this was added pyridine (1.2 mL, 14.6 mmol, 2 eq) at 0° C. After the addition, the pale yellow suspension turned to a golden colored clear solution. This solution was cooled to −32° C. with ACN/dry ice bath. To this was added a solution of a (3.52 g, 7.33 mmol, 1 eq) in 70 mL of anhydrous DCM that contained triethylamine (6.3 mL, 44 mmol, 6 eq) drop-wise. The internal reaction temperature was maintained between −35° C.˜−30° C. during the addition. The bright golden colored solution turned to a green colored solution with some precipitate crashing out from the solution during the addition. The precipitate was presumably the triethylamine HCl salt. It took 20 minutes to complete the addition. After the addition, the mixture was stirred at −30° C.˜−10° C. for 1 hr. The reaction mixture was cooled back to −20° C. To this was added benzylamine (2.4 mL, 22 mmol, 3 eq). The mixture was stirred at −20° C. for 10 minutes. To the reaction mixture was added saturated NaHCO3/H2O and the mixture was stirred for 2 minutes. The DCM layer was separated, dried with Na2SO4and concentrated to dryness to give the crude intermediate a as yellow viscous oil. HPLC analysis of the crude intermediate gave 62% purity at 272 nm.

Step 3: Synthesis of Intermediate 4:

[0602]

The crude intermediate it (7.33 mmol) as viscous pale yellow oil was dissolved into 200 mL of MeOH. The reaction mixture was refluxed overnight. HPLC analysis of the reaction mixture indicated the complete conversion of the amidine to amine. [The retention time of amidine (RT=5.92 min) is very close to the amine (RT=5.98 min) by the current in-house HPLC method!] The mixture was cooled to RT and filtered. The filtrate was concentrated to dryness by rotar-vap. The obtained crude product was purified through silica gel column chromatography (120 g silica gel combiflash column was used, 3-8% of MeOH in DCM as the eluent) to give 3.1 g pure product 4 as white foam in 51% isolated yield from 2 g of PMEA. 1H-NMR of the obtained 4 was consistent with the desired structure. HPLC analysis of the obtained 4 gave 96% purity (AUC).

Step 4: Synthesis of B261 (Compound 5.)

[0603]

Intermediate 4 (300 mg, 0.36 mmol) was dissolved into EtOH (anhydrous, 5 mL). To this was added acetyl chloride (43 mg, 1.5 eq) in one portion at room temperature. The reaction should be operated in a closed reaction flask to avoid the loss of HCl gas. The reaction mixture was stirred at RT for 30 min. To this was added solid NaHCO3and the mixture was stirred for 15 min. pH of the reaction mixture was found to be around 7-8. The mixture was filtered and the filtrate was concentrated to dryness. The crude product was purified through silica gel column chromatography (5-10% MeOH in DCM as the eluent) to give 163 mg of 5 as clear viscous oil in 86% yield. 1H-NMR of the obtained product was consistent with the desired structure. HPLC analysis of the obtained product gave 97.4% purity (AUC).

Example 6

Preparation of B263, the Hydroxy-tBuSATE N-benzylphosphoramidate Derivative of 2′-C-methyladenosine

[0604]

Synthetic Scheme:

[0605]

[0606]

The pronucleotide B263 (94 mg, 6% overall yield) has been synthesized from its parent nucleoside 2′-C-methyl-6-NH-dimethoxytrityl-adenosine (1.59 g, 2.73 mmol) following a similar procedure than the one described for the synthesis of the pronucleotide prepared in the Example 2 (Procedure A, Strategy b), and isolated as a white lyophilized powder.1H NMR (DMSO-d6, 400 MHz) δ (ppm) 0.80 (s, 3H), 0.97-0.98 (d, J=4.26 Hz, 6H), 3.02 (m, 2H), 3.34-3.35 (m, 2H), 3.76-3.96 (m, 4H), 4.03-4.05 (m, 2H), 4.15-4.17 (m, 2H), 4.76-4.79 (m, 1H), 5.32 (s, 1H), 5.34-5.36 (m, 1H), 5.45-5.55 (m, 1H), 5.93 (s, 1H), 7.1-7.4 (m, 7H), 8.14 (s, 1H), 8.21 (1H);31P NMR (DMSO-d6, 162 MHz) δ (ppm) 9.75 and 9.86 (2s); Scan ES+611 (M+H)+, λmax=258 nm; HPLC (0-100% ACN over a period of 8 min) tR=4.79 min λmax=260.8 nm.

Example 7

Preparation of B229, the Hydroxy-tBuSATE N-benzylphosphoramidate Derivative of 2′-C-methyluridine

[0607]

[0000]

Reagents and Conditions: (i) pTsOH.H2O, CH(OEt)3, acetone, r.t.; (ii) PivCl, pyr, r.t; (iii) Benzylamine, CCl4, rt; (iv) aq. 90% TFA, DCM, r.t.

[0608]

The pronucleotide 6 (446 mg, 0.76 mmol, overall yield 9% over 4 steps) has been synthesized from its nucleoside parent 1 following a similar procedure described for the synthesis of the pronucleotide prepared in Example 2, Strategy A.

B229 6.

[0609]

1H NMR (400 MHz, DMSO-d6): δ 0.98 (s, 3H, CH3); 1.10 (s, 6H, 2×CH3); 3.03 (m, 2H, CH2S); 3.41 (m, 2H, CH2OH, J=5.6 Hz); 3.61 (m, 1H, H-3′); 3.8-4.0 and 4.05-4.25 (stacks, 5H, NCH2Ph, H-4′, H-5′ and H-5″); 4.05-4.25 (2×1H, 2×m, CH2OP); 4.91 (t, 1H, 3′-OH, D2O exchangeable, J=5.62 Hz); 5.20 (br-s, 1H, 2′-OH, D2O exchangeable); 5.39 (a-t, 1H, CH2OH, D2O exchangeable, J=7.32 Hz); 5.52 (m, 1H, H-5); 5.65 (m, 1H, PhNH, D2O exchangeable); 5.8 (br-s, 1H, H-1′); 7.2-7.32 (m, 5H, ArH); 7.55 (a-dd, 1H, H-6); 11.37 (br-s, 1H, NH, D2O exchangeable).

[0610]

31P NMR (161.8 MHz, DMSO-d6): δ 9.73 and 9.98 (ratio of signals by integration of 52:48) m/z (ES+) 588.11 (M+H)+.

[0611]

HPLC (Method 20): chemical purity 99.2%, 3.48 mins.

[0612]

CHN analysis:—Found: C, 49.29; H, 5.95; N, 6.88; P, 5.16; C24H34N3O10PS requires C, 49.06; H, 5.83; N, 7.15; P, 5.46.

[0613]

[α]D23+26.3 (c, 0.571 in H2O).

[0614]

vmax(KBr): 3373 (br, NH and OH), 1682 (C═O).

Example 8

Preparation of B186, the Hydroxy-tBuSATE N-benzylphosphoramidate Derivative of 2′-C-methylinosine

[0615]

Synthetic Scheme:

[0616]

[0617]

The pronucleotide B186 (314 mg, 8% overall yield) has been synthesized from its parent nucleoside 2′,3′-O-isopropylidene-2′-C-methyl-inosine (2.0 g, 6.26 mmol) following a similar procedure than the one described for the synthesis of the pronucleotide prepared in the Example 2 (Procedure A, Strategy a), and isolated as a white lyophilized powder.1H NMR (DMSO-d6, 400 MHz) δ (ppm) 0.79 (s, 3H), 1.09 (s, 6H), 3.01-3.04 (t, J=6.53 Hz, 2H), 3.42 (s, 2H), 3.84-3.91 (m, 2H), 3.94-4.03 (m, 3H), 4.05-4.09 (m, 1H), 4.15-4.26 (m, 2H), 4.92 (s, 1H), 5.36 (s, 1H), 5.43 (t, J=6.54 Hz, 1H), 5.62-5.71 (m, 1H), 5.94 (s, 1H), 7.18-7.22 (m, 1H), 7.25-7.30 (m, 4H), 8.08 (s, 1H), 8.10 (s, 1H), 12.15 (brs, 1H);31P NMR (DMSO-d6, 162 MHz) δ (ppm) 9.76-9.90 (2s); Scan ES+612 (M+H)+, λmax=240.7 nm; HPLC (0-100% ACN over a period of 8 min) tR=4.72 min λmax=243.1 nm.

Example 9

Preparation of B396, the Hydroxy-tBuSATE N-benzylphosphoramidate Derivative of 9-[2-C-methyl-β-ribofuranosyl]-6-chloropurine

[0618]

Synthetic Scheme:

[0619]

[0620]

The pronucleotide B396 (75 mg, 10% overall yield) has been synthesized from its parent nucleoside 9-[2-C-methyl-β-ribofuranosyl]-6-chloropurine (571 mg, 1.90 mmol) following a similar procedure than the one described for the synthesis of the pronucleotide prepared in the Example 4 and isolated as a white lyophilized powder.1H NMR (DMSO-d6, 400 MHz) δ (ppm) 0.82 (d, J=2.63 Hz, 3H), 1.07 (s, 6H), 3.02 (m, 2H), 3.40-3.41 (q, J=3.36 Hz and J=1.89 Hz, 2H), 3.85-3.98 (m, 4H), 4.12 (s, 2H), 4.25 (m, 2H), 4.89-4.90 (m, 1H), 5.47 (s, 1H), 5.50 (s, 1H), 5.62-5.70 (m, 1H), 6.10 (d, J=1.23 Hz, 1H), 7.17-7.29 (m, 5H), 8.76 (s, 1H), 8.82 (s, 1H);31P NMR (DMSO-d6, 162 MHz) δ (ppm) 9.91 and 9.79 (2s); Scan ES+630 (M+H)+, λmax=260 nm; HPLC (0-100% ACN over a period of 8 min) tR=4.42 min λmax=265 nm.

Example 10

Preparation of B307, the Hydroxy-tBuSATE N-benzylphosphoramidate Derivative of 2′,3′-O-carbonate-2′-C-methylguanosine

[0621]

Synthetic Scheme:

[0622]

N-Benzylaminyl-2′,3′-O-carbonate-2′-C-methylguanosin-5′-yl-O-(triphenylmethyloxy-tert-butyl-S-acyl-2-thioethyl)phosphate (C1)

[0623]

Compound B2 [See, Compound 7, Example 3, Procedure A] (250 mg, 0.288 mmol) was dissolved in dimethylformamide (3.5 mL) and treated with 1,1-carbonyldiimidazole (186.60 mg, 1.15 mmol). The mixture was stirred at room temperature for 4 h 30 and concentrated under reduced pressure (bath temperature not exceeding 30° C.). The crude residue was subjected to silica gel chromatography, eluting with a gradient 0-10% methanol in dichloromethane, to give C1 as a colorless oil. (68 mg, 26%). Compound C1:1H NMR (400 MHz, DMSO-d6) δ 10.80 (ls, 1H, NH), 7.80 (s, 1H, H-8), 7.33-7.18 (m, 20H, 4C6H5), 6.66 (sl, 2H, NH2), 6.30 (s, 1H, H-1′), 5.78 (m, 1H, PNH), 5.22 (m, 1H, H-3′), 4.47-4.30 (m, 2H, H-4′ and H-5′ a), 4.20-4.05 (m, 1H, H-5′ b), 3.99-3.87 (m, 4H, CH2O and CH2N), 3.10-3.03 (m, 4H, CH2S and CH2OTr), 1.27 (s, 3H, CH3), 1.11 (s, 6H, 2CH3).31P NMR (162 MHz, DMSO-d6) δ 10.42 (s), 10.18 (s). LR LC/MS (M+H+) 895.4 (5.57 min). UV: λmax=253 nm.

N-Benzylaminyl-O-(hydroxy-tert-butyl-S-acyl-2-thioethyl)-2′,3′-O-carbonate-2′-C-methylguanosin-5′-yl phosphate B307 (Compound C2)

[0624]

Compound C1 (65 mg, 0.073 mmol) was dissolved in dichloromethane (260 μL) and treated with TFA (26 μL). The mixture was stirred at room temperature for 15 min, then diluted with ethanol, evaporated to dryness (bath temperature not exceeding 30° C.) and coevaporated with toluene. The resulting residue was purified by reverse phase (C 18) silica gel column chromatography eluting with a gradient 0-100% acetonitrile in water and lyophilised from a mixture of water/dioxane to give B307 (Compound C2) (34 mg, 72%, white lyophilised powder). B307 (Compound C2):1H NMR (400 MHz, DMSO-d6) δ10.84 (ls, 1H, NH), 7.80 (s, 1H, H-8), 7.32-7.20 (m, 5H, C6H5), 6.69 (ls, 2H, NH2), 6.30 (s, 1H, H-1′), 5.77 (m, 1H, PNH), 5.25 (d, 1H, H-3′, J3′4′=20.0 Hz), 4.92 (ls, 1H, OH), 4.50-4.41 (s, 2H, CH2OH), 3.03 (t, 2H, CH2S, JCH2S-CH2O=8.0 Hz), 1.30 (s, 3H, CH3), 1.10 (s, 3H, CH3), 1.08 (s, 3H, CH3).13C NMR (100 MHz, DMSO-d6): δ 204.4 (C═O), 154.5 (C-4), 153.1 (C-2), 150.7 (C-6), 140.9 (C6H5), 135.6 (C-8), 128.7-127.3 (5C, C6H5), 117.0 (C-5), 89.7 (C-1′), 83.7 and 83.6 (2C, C-2′ and C-3′), 81.8 (C-4′), 68.8 (CH2OH), 65.1 (CH2O), 64.5 (C-5′), 52.2 (C(CH3)2CH2OH), 44.7 (CH2N), 28.7 (CH2S), 22.3 (2C, 2CH3), 18.3 (CH3).31P NMR (162 MHz, DMSO-d6) δ 10.39 (s), 10.15 (s). LR LC/MS (2M+H+) 1305.4 (M+H+) 653.2 (2M−H) 1303.8 (M−H) 651.4 (5.57 min). HRFAB-MS C26H34O10N6PS (M+H+) calculated 653.1795. found 653.1819. UV: λmax=251 nm. Rf0.67 (MeOH/CH2Cl, 20/80, v/v).

Example 11

Preparation of B242, the Hydroxy-tBuSATE N-(4-trifluoromethyl)benzylphosphoramidate Derivative of 2′-C-methylguanosine

[0625]

Synthetic Scheme:

[0626]

2′-C-Methylguanosin-5′-yl-N-(4-trifluoromethyl)-benzylaminyl-O-(triphenylmethyloxy-tert-butyl-S-acyl-2-thioethyl)phosphate (D1)

[0627]

To a solution of compound B1 [See, Compound 7, Example 3, Procedure A] (355 mg, 0.465 mmol) in anhydrous carbon tetrachloride (4.65 mL) 4-trifluoromethylbenzylamine (331 μL, 2.324 mmol) was added. The reaction mixture was stirred at room temperature for 1 h 30 and concentrated under reduced pressure (bath temperature not exceeding 30° C.). The resulting residue was subjected to silica gel chromatography, eluting with a gradient 0-10% methanol in dichloromethane, to give D1 as a white solid. (420 mg, 96%). Compound D1:1H NMR (400 MHz, DMSO-d6) δ 7.77-7.20 (m, 20H, 3C6H5, C6H4CF3and H-8), 6.57 (ls, 2H, NH2), 5.84-5.75 (m, 2H, H-1′ and PNH), 5.50 (m, 1H, OH-3′), 4.26-3.86 (m, 8H, H-3′, H-4′, H-5′, CH2O and CH2N), 3.10 (t, 2H, CH2S, JCH2S-CH2O=4.0 Hz), 3.03 (m, 2H, CH2OTr), 1.11 (s, 6H, 2CH3), 0.82 (s, 3H, CH3).13C NMR (100 MHz, DMSO-d6): δ 204.0 (C═O), 157.2 (C-4), 154.2 (C-2), 151.3 (C-6), 145.8-143.9 (4C, 3C6H5and C6H4CF3), 135.6 (C-8), 129.0-120.0 (20C, 3C6H5and C6H4CF3), 117.0 (C-5), 91.0 (C-1′), 86.1 (C(C6H5)), 80.7 (C-3′), 78.7 (C-2′), 73.3 (C-4′), 70.0 (CH2OTr), 65.9 (CH2O), 64.4 (C-5′), 50.8 (C(CH3)2CH2OTr), 44.2 (CH2N), 28.8 (CH2S), 22.7 (2C, 2CH3), 20.4 (CH3).31P NMR (162 MHz, DMSO-d6): δ 9.80 (s), 9.64 (s).19F NMR (376 MHz, DMSO-d6): δ 60.8 (s). LR LC/MS (M+H+) 937.3 (M−H) 935.4 (5.47 min). UV: λmax=254 nm. Rf61 (MeOH/CH2Cl, 15/85, v/v).

O-(Hydroxy-tert-butyl-S-acyl-2-thioethyl)-2′-C-methylguanosin-5′-yl-N-(4-trifluoromethyl)-benzylaminyl phosphate B242 (Compound D2)

[0628]

Compound D1 (400 mg, 0.427 mmol) was dissolved in dichloromethane (1.6 mL) and treated with TFA (160 μL). The mixture was stirred at room temperature for 15 min, then diluted with ethanol, evaporated to dryness (bath temperature not exceeding 30° C.) and coevaporated with toluene. The resulting residue was subjected to silica gel chromatography, eluting with a gradient 0-15% methanol in dichloromethane and then purified by reverse phase (C 18) silica gel column chromatography eluting with a gradient 0-100% acetonitrile in water and lyophilised from a mixture of water/dioxan to give compound B2742 (Compound D2) (90 mg, 30%, white lyophilised powder). B242 (Compound D2):1H NMR (400 MHz, DMSO-d6) δ 10.54 (ls, 1H, NH), 7.75 (s, 1H, H-8), 7.75-7.52 (m, 4H, C6H4CF3), 6.50 (sl, 2H, NH2), 5.82-5.74 (m, 2H, H-1′ and PNH), 5.40 (m, 1H, OH-3′), 5.17 (s, 1H, OH-2′), 4.92 (t, 1H, OH, JOH-CH2=4.0 Hz), 4.26-3.84 (m, 8H, H-3′, H-4′, H-5′, CH2O and CH2N), 3.41 (d, 2H, CH2OH, JCH2-OH=4.0 Hz), 3.03 (t, 2H, CH2S, JCH2S-CH2O=8.0 Hz), 1.07 (s, 6H, 2CH3), 0.82 (s, 3H, CH3).13C NMR (100 MHz, DMSO-d6): δ 204.4 (C═O), 157.2 (C-4), 154.1 (C-2), 151.2 (C-6), 145.9 (C6H4CF3), 135.8 (C-8), 128.3-125.4 (6C, C6H4CF3), 117.0 (C-5), 90.9 (C-1′), 80.5 (C-3′), 78.7 (C-2′), 73.2 (C-4′), 68.8 (CH2OH), 66.0 (CH2O), 64.4 (C-5′), 52.2 (C(CH3)2CH2OH), 44.3 (CH2N), 28.7 (CH2S), 22.3 (2C, 2CH3), 20.4 (CH3).31P NMR (162 MHz, DMSO-d6): δ 9.62 (s), 9.77 (s).19F NMR (376 MHz, DMSO-d6): δ−60.8 (s). LR LC/MS (M+H+) 695.2 (M−H) 693.4 (4.25 min). HRFAB-MS C26H35O9N6F3PS (M+H+) calculated 695.1876. found 695.1874. UV: λmax=253 nm. Rf0.43 (MeOH/CH2Cl, 20/80, v/v).

Example 12

Preparation of B503, the Hydroxy-tBuSATE N-benzylphosphoramidate Derivative of 9-[(2R)-2-deoxy-2-fluoro-2-C-ethynyl-β-D-erythro-furanosyl]-guanine

[0629]

Synthetic Scheme:

[0630]

{9-[(2R)-2-Deoxy-2-fluoro-2-C-ethynyl-β-D-erythro-furanosyl]-guanin}-5′-yl-O-(triphenylmethyloxy-tert-butyl-5-acyl-2-thioethyl) H-phosphonate (G1)

[0631]

Compound B5 [Unpublished results] (100 mg, 0.32 mmol) and compound F3 [See Compound 5 of Example 2] (246 mg, 0.42 mmol) were coevaporated together with anhydrous pyridine and dissolved in this solvent (4.8 mL). Pivaloyl chloride (80 μL, 0.64 mmol) was added dropwise at −15° C. and the solution was stirred at the same temperature for 2 h. The reaction mixture was diluted with dichloromethane and neutralised with an aqueous solution of NH4Cl 0.5M. The mixture was partitioned between dichloromethane and aqueous NH4Cl 0.5M, the organic phases were combined, dried over Na2SO4evaporated under reduced pressure (bath temperature not exceeding 30° C.) and coevaporated twice with toluene. The crude mixture was purified by flash column chromatography eluting with a gradient 0-10% methanol in dichloromethane+0.2% acetic acid) to afford the desired product G1 as a colorless oil (68 mg, 28%). Compound G1:1H NMR (400 MHz, DMSO-d6): δ 10.72 (ls, 1H, NH), 7.83 (s, 1H, H-8), 7.35-7.11 (m 15H, 3C6H5), 6.59 (m, 2H, NH2), 6.36 (d, 1H, OH-3′, JOH-3′=7.6 Hz), 6.14 (d, 1H, H-1′, J1′-F=18.0 Hz), 4.65 (m, 1H, H-3′), 4.40-4.33 (m, 2H, H-5′), 4.10-4.01 (m, 3H, H-4′ and CH2O), 3.93 (d, 1H, CCH,4JH-F=5.6 Hz), 3.15-3.12 (m, 2H, CH2S), 3.04 (s, 2H, CH2OTr).31P NMR (162 MHz, DMSO-d6): δ 9.50 (s), 9.22 (s).19F NMR (376 MHz, DMSO-d6): 8-156.5 (m). LR LC/MS (B) (M+Na+) 798.2 (M−H) 774.2 (4.93 min). UV: λmax=254 nm. Rf0.48 (MeOH/CH2Cl, 15/85, v/v).

N-Benzylaminyl-{9-[(2R)-2-deoxy-2-fluoro-2-C-ethynyl-β-D-erythro-furanosyl]-guanin}-5′-yl-O-(triphenylmethyloxy-tert-butyl-S-acyl-2-thioethyl)phosphate

[0632]

To a solution of compound G1 (68 mg, 0.088 mmol) in anhydrous carbon tetrachloride (880 μL), benzylamine (48 μL, 0.44 mmol) was added dropwise. The reaction mixture was stirred at room temperature for 2 h and evaporated to dryness (bath temperature not exceeding 30° C.). The crude mixture was filtered on a silica gel plug, eluting with a gradient 0-10% methanol in dichloromethane to give compound G2 as a white solid (80 mg, quantitative yield). Compound G2:31P NMR (162 MHz, DMSO-d6): δ 9.95 (s) 9.80 (s).19F NMR (376 MHz, DMSO-d6): δ−157.5 (m). LR LC/MS (B) (M+H+) 881.3 (M−H) 879.4 (5.18 min). UV: λmax=254 nm. Rf0.31 (MeOH/CH2Cl, 15/85, v/v).

N-Benzylaminyl-{9-[(2R)-2-deoxy-2-fluoro-2-C-ethynyl-β-D-erythro-furanosyl]-guanin}-5′-yl-O-(hydroxy-tert-butyl-S-acyl-2-thioethyl)phosphate B503 (Compound G3)

[0633]

Compound G2 (80 mg, 0.09 mmol) was dissolved in dichloromethane (320 μL) and treated with TFA (32 μl). The mixture was stirred at room temperature for 10 min, filtered through a solid phase extraction column eluting with a gradient 0-30% methanol in dichloromethane, then purified by reverse phase (C18) silica gel column chromatography eluting with a gradient 0-100% acetonitrile in water and lyophilised from a mixture of water/dioxan to give compound B503 (Compound (15 mg, 26%, white lyophilised powder). B503 (Compound C3):1H NMR (400 MHz, DMSO-d6): δ 10.61 (ls, 1H, NH), 7.83 (s, 1H, H-8), 7.30-7.18 (m, 5H, C6H5), 6.60 (ls, 2H, NH2), 6.32 (m, 1H, OH-3′), 6.11 and 6.12 (2 d, 2×1H, 2H-1′, J1′-F=18.0 Hz), 5.68 (m, 1H, PNH), 4.93 (t, 1H, OH, JOH-CH2=5.5 Hz), 4.61 (m, 1H, H-3′), 4.26-4.18 (m, 2H, H-5′), 4.08 (m, 1H, H-4′), 3.98-3.82 (m, 5H, CH2O, CH2N and CCH), 3.42 (d, 2H, CH2OH, JCH2-OH=5.0 Hz), 3.01 (m, 2H, CH2S), 1.09 (s, 6H, 2CH3).31P NMR (162 MHz, DMSO-d6): δ 9.92 (s), 9.79 (s).19F NMR (376 MHz, DMSO-d6): δ−156.8 (m). LR LC/MS (B) (M+H+) 639.2 (M−H) 637.3 (3.85 min). HRFAB-MS C26H33O8N6FPS (M+H+) calculated 639.1802. found 639.1816. UV: λmax=253 nm. Rf0.46 (MeOH/CH2Cl, 20/80, v/v).

[0000]

The starting nucleoside was synthesized as follows:

Synthesis of 9-[(2R)-2-deoxy-2-C-ethynyl-2-fluoro-β-D-erythro-furanosyl]-guanine (D961, starting nucleoside of EXAMPLE 12), and synthesis of its triphosphate derivative B427)

[0634]

Synthetic Scheme:

[0635]

[0000]

9-[3,5-O-(1,3-Diyl-1,1,3,3-tetraisopropyldisiloxane)-ribo-furanosyl]-N2-isobutyryl-guanine (B1): Hirao, I.; Ishikawa, M.; Miura, K. Chem. Lett. 1986, 11, 1929-1932.

[0636]

9-[3,5-O-(1,3-diyl-1,1,3,3-tetraisopropyldisiloxane)-2-C-trimethylsilylethynyl-β-D-arabino-furanosyl]-N2-isobutyryl-guanine (B2): To a suspension of CrO3(11.07 g, 110.76 mmol) in dichloromethane (220 mL) at 0° C., acetic anhydride (10.4 mL, 110.76 mmol) and anhydrous pyridine (17.82 mL, 221.52 mmol) were added. Compound B1 (22 g, 36.92 mmol) in solution in dichloromethane (110 mL) was added dropwise. The cooling bath was removed and the resulting solution stirred at room temperature for 5 h. The reactionmixture was poured into cold ethyl acetate, filtered through a silica and celite gel plug, concentrated to dryness and coevaporated twice with toluene. The residue obtained was dissolved in dichloromethane and stirred with an excess of MgSO4overnight, filtered and evaporated to get the ketone. The trimethylsilylacetylene (12.5 mL, 88.60 mmol) was dissolved in anhydrous THF (98 mL) under argon. Butyllithium (55.4 mL, 1.6 M in hexanes) was added dropwise at −78° C. The reaction mixture was stirred for 30 min at −78° C. and then allowed to warm up to −55° C. The ketone in solution in THF (49 mL) was added dropwise at −78° C. The reaction mixture was stirred for 1 h at −78° C. and then allowed to warm up to −30° C. and stirred for 3 h. The reaction was quenched by careful addition of aqueous saturated NH4Cl (72 mL) at −78° C. After warming to room temperature, the mixture was diluted with ethyl acetate, washed twice with saturated brine, dried (Na2SO4) and concentrated to dryness. The crude material was purified using column chromatography eluting with 1.5% MeOH in dichloromethane to give compound B2 (8.59 g, 34%, 2 steps) as a pale yellow foam. Compound B2: NMR1H (250 MHz, DMSO-d6): δ 12.10 (ls, 1H, NH), 11.69 (ls, 1H, NH), 7.91 (s, 1H, H-8), 6.69 (s, 1H, OH), 5.94 (s, 1H, H-1′), 4.29 (d, 1H, H-3′, J3′-4=5.5 Hz), 3.85-3.95 (m, 3H, H-4′, H-5′ and H-5″), 2.46 (m, 1H, CH(CH3)2), 0.90-1.08 (m, 30H, iPr and CH(CH3)3), 0.00 (s, 9H, Si(CH3)2). LC/MS (A): (M+H+) 692.4 (24.96 min). UV: λmax=254 nm, λmax2=281 nm. Rf0.34 (MeOH/CH2Cl, 15/85, v/v).

9-[(2R)-2-Deoxy-2-fluoro-3,5-O(1,3-diyl-1,1,3,3-tetraisopropyldisiloxane)-2-C-trimethyl-silylethynyl-β-D-erythro-furanosyl]-N2-isobutyryl-guanine (B)

[0637]

Compound B2 (2.00 g, 2.89 mmol) was dissolved in dried DCM (60 mL) under argon and pyridine (1.45 mL, 18.06 mmol) was added. The reaction mixture was cooled to −20° C. and DAST (4.11 mL, 31.35 mmol) was added dropwise. The cooling bath was removed after completion of the addition. Stirring was continued for 1 h 15 and the mixture was dissolved with ethyl acetate and poured into saturated NaHCO3and stirred for 5 min. The organic layer was washed with saturated brine, dried (Na2SO4), concentrated, and purified by silica gel chromatography eluting with ethyl acetate in DCM (2%) to give the desired compound B3 (1.41 g, 70%) as a yellow oil. Compound B3: NMR1H (250 MHz, DMSO-d6): δ 12.22 (s, 1H, NH), 8.09 (s, 1H, H-8), 6.21 (d, 1H, H-1′, J1′-F=15.6 Hz), 4.54 (dd, 1H, H-3′, J3′-F=23.6 Hz, J3′-4′=9.8 Hz), 4.33 (m, 1H, H-5′,2J5′-5″=13.1 Hz), 4.16 (m, 1H, H-5″), 2.81 (m, 1H, CH(CH3)2), 1.13-1.03 (m, 34H, iPr and CH(CH3)2), 0.08 (s, 9H, Si(CH3)3,3JH-H=6.9 Hz). NMR19F (235 MHz, DMSO-d6): δ−160.26 (dd, JF-1′=16.1 Hz, JF-3′=23.3 Hz). LC/MS (A): (M+H+) 694.7 (24.02 min). LRFAB-MS (GT): 694 (M+H)+, 692 (M−H). UV: λmax=256 nm. Rf0.46 (MeOH/CH2Cl, 05/95, v/v).

9-[(2R)-2-Deoxy-2-C-ethynyl-2-fluoro-β-D-erythro-furanosyl]-N2-isobutyryl-guanine (B4)

[0638]

Compound B3 (1.31 g, 1.89 mmol) was dissolved in methanol (13.8 mL) and ammonium fluoride (908.9 mg, 24.54 mmol) was added. The resulting solution was stirred at reflux for 1 h and evaporated to dryness. The crude material was purified on silica gel chromatography eluting with a stepwise gradient 6-10% of methanol in dichloromethane to yield compound B4 (344 mg, 48%) as a pale yellow oil. Compound B4: NMR1H (400 MHz, DMSO-d6): δ12.18 (ls, 1H, NH), 11.77 (1s, 1H, NH), 8.34 (s, 1H, H-8), 6.29 (d, 1H, OH-3′, JOH-3′=7.5 Hz), 6.20 (d, 1H, H-1′, J1′-F=16.2 Hz), 5.39 (t, 1H, OH-5′, JOH-5′=5.1 Hz), 4.52 (dt, 1H, H-3′, J3′-F=22.9 Hz), 3.98 (m, 1H, H-4′), 3.90-3.85 (m, 2H, H-5′ and ethynyl), 3.72 (m, 1H, H-5″), 2.52 (m, 1H, CH(CH3)2), 1.14 (d, 6H, CH(CH3)2,3JH-H=6.9 Hz). NMR13C (100 MHz, DMSO-d6: δ 180.7 (C-6), 155.3 (C-2), 148.9 (C-4), 137.3 (C-8), 120.4 (C-5), 95.8 (d, C-2′,1J2′-F=182.1 Hz), 87.7 (d, C-1′,2J1′-F=39.2 Hz), 83.4 (d, CCH,3JC-F=9.1 Hz), 82.6 (C-4′), 75.9 (d, CCH,2JC-F=31.2 Hz), 72.9 (d, C-3′,2J3′-F=19.1 Hz), 59.3 (C-5′). NMR19F (235 MHz, DMSO-d) δ−158.9 (m). LC/MS (A): (M+H)+) 380.3 (8.34 min). UV: λmax1=260 nm, λmax2=277 nm. Rf0.40 (MeOH/CH2Cl, 15/85, v/v).

9-[(2R)-2-Deoxy-2-C-ethynyl-2-fluoro-β-D-erythro-furanosyl]-guanine D961 (Compound B5)

[0639]

Compound B4 (0.78 g, 1.33 mmol) was dissolved in saturated methanolic ammonia (62 mL) and stirred at room temperature for 20 h. The reaction mixture was then evaporated to dryness under reduced pressure. The residue was dissolved in water and washed twice with ethyl acetate. The aqueous layer was evaporated and purified on reverse phase column chromatography (C 18) eluting with a gradient 2-15% of acetonitrile in water. The residue obtained was then dissolved in hot ethyl acetate, filtered and dried to give D961 (Compound B5) (134 mg, 33%) as a yellow solid. NMR1H (400 MHz, DMSO-d6): δ 10.70 (ls, 1H, NH), 7.98 (s, 1H, H-8), 6.60 (ls, 2H, NH2), 6.21 (d, 1H, OH-3′, JOH-3′=7.6 Hz), 5.83 (d, 1H, H-1′, J1′-F=16.9 Hz), 5.29 (t, 1H, OH-5′, JOH-5′=5.2 Hz), 4.50 (td, 1H, H-3′, J3′-F=22.8 Hz, J3′-4=9.2 Hz), 3.93-3.81 (m, 3H, H-4′, H-5′ and ethynyl), 3.70 (m, 1H, H-5″). NMR13C (100 MHz DMSO-d6): δ 157.2 (C-6), 154.3 (C-2), 151.05 (C-4), 135.1 (C-8), 116.7 (C-5), 96.4 (d, C-2′,1JC-F=182.1 Hz), 87.4 (d, C-1′,2JC-F=39.2 Hz), 83.1 (d, CCH, JC-F=9.1 Hz), 82.4 (C-4′), 76.2 (d, CCH,2JC-F=31.2 Hz), 73.2 (d, C-3′,2JC-F=20.1 Hz), 59.5 (C-5′). NMR19F (235 MHz, DMSO-d6): δ −158.5 (m). LC/MS (A): (M+H+) 310.1 (5.55 min). LRFAB-MS (GT): 619 (2M+H)+, 310 (M+H)+, 152 (B+H)+, 617 (2M−H)+, 308 (M−H). UV: λmax=254 nm.

[0000]

Synthetic Scheme:

[0640]

[0000]

Standard procedure for preparation of nucleoside 5′-triphosphate: (Ludwig, J. Acta Biochim. Biophys. Acad. Sci. Hung. 1981, 16, 131-133.)

[0641]

To a solution of nucleoside (0.286 mmol) in triethylphosphate (750 μl), phosphoryle chloride (75 μL, 0.807 mmol) was added at 0° C. This reaction mixture A was stirred overnight at 5° C. Tributylammonium pyrophosphate (PPi/Bu3N 1/1.5, 1 g, 2.19 mmol) was dissolved in anhydrous DMF (2 mL). Tributylamine (420 μL, 1.76 mmol) was added to the PPi and the resulting mixture was stirred for 15 min at 0° C. 2.4 mL of this solution were added to the reaction mixture A. The reaction mixture was stirred at 0° C. for 1 min. The reaction was carefully quenched with TEAB 1M (pH=7.5, 10 mL), stirred 20 min at 0° C., then diluted with water and ethyl acetate. The aqueous phase was concentrated under reduced pressure. The crude material was subjected to DEAE-Sephadex chromatography eluting with a gradient 10−3−1 M of TEAB). The desired fractions were combined, concentrated under reduced pressure and coevaporated with a mixture of water/methanol, and finally coevaporated with water. The resulting residue was purified on semipreparative HPLC. Fractions containing the expected product were concentrated under reduced pressure, coevaporated whit a mixture of water/methanol and lyophilised from water. The triethylammonium salt triphosphate was eluted three times with water on a Dowex Na+ resin column to yield after lyophilisation from water to the sodium salt.

[0642]

9-[(2R)-2-deoxy-2-C-ethynyl-2-fluoro-β-D-erythro-furanosyl]-guanine 5′-triphosphate sodium salt (B427):1H NMR 400 MHz, D2O: δ 7.97 (s, 1H, H-8), 6.19 (d, 1H, H-1′,3J1′-F=16.0 Hz), 4.70 (m, 1H under H2O, H-3′), 4.39 (m, 1H, H-5′), 4.29-4.22 (m, 2H, H-4′ and H-5″), 2.98 (d, 1H, ethynyl,4JH-F=5.0 Hz).31P NMR (162 MHz, D2O): −10.50 (d, 1P, Pγ, JPγ-Pβ=19.4 Hz), −11.03 (d, 1P, Pα, JPα-Pβ=19.4 Hz), −22.38 (t, 1P, Pβ, JPβ-Pγ=JPβ-Pα=19.4 Hz). NMR19F (376 MHz DMSO-d6): δ−159.1 (m). LRFAB-MS (GT): 638 (M+Na)+, 616 (M+H)+, 594 (M−Na+2H)+, 572 (M−2Na+3H)+, 550 (M−3Na+4H)+, 592 (M−Na), 570 (M−2Na+H), 548 (M−3Na+2H).

Example 13

Preparation of B306, the Hydroxy-tBuSATE N-benzylphosphoramidate Derivative of 2′-C-methyl-5-aza-7-deaza-guanosine

[0643]

Synthetic Scheme:

[0644]

[0645]

The pronucleotide B306 (25 mg, 6% overall yield) has been synthesized from its parent nucleoside 2′-C-methyl-5-aza-7-deaza-guanosine (200 mg, 0.67 mmol) following a similar procedure than the one described for the synthesis of the pronucleotide prepared in the Example 4 and isolated as a white lyophilized powder.1H NMR (DMSO-d6, 400 MHz) δ (ppm) 0.90-0.91 (d, J=2.56 Hz, 3H), 1.09 (d, J=4.26 Hz, 6H), 3.07-3.10 (t, J=6.66 Hz, 2H), 3.42 (d, J=5.64 Hz, 2H), 3.86-3.99 (m, 6H), 4.10-4.15 (m, 1H), 4.15-4.20 (m, 1H), 4.90-4.93 (t, J=5.64 Hz, 1H), 5.28 (s, 1H), 5.46-5.50 (m, 1H) 5.62-5.69 (m, 1H), 5.80 (s, 1H), 7.00 (s, 2H), 7.18-7.21 (m, 2H), 7.26-7.33 (m, 5H);31P NMR (DMSO-d6, 162 MHz) δ (ppm) 9.80-9.95 (2s); Scan ES+ 627 (M+H)+, λmax=261.7 nm; HPLC (0-100% ACN over a period of 8 min) tR=3.18 min λmax=258.4 nm.

Example 14

Preparation of B389, the Hydroxy-tBuSATE N-benzylphosphoramidate Derivative of 2′-C-methyl-7-deaza-guanosine

[0646]

Synthetic Scheme:

[0647]

[0648]

The pronucleotide B389 (80 mg, 21% overall yield) has been synthesized from its parent nucleoside 2′-C-methyl-7-deaza-guanosine (200 mg, 0.67 mmol) following a similar procedure than the one described for the synthesis of the pronucleotide prepared in the Example 4 and isolated as a white lyophilized powder.1H NMR (DMSO-d6, 400 MHz) δ (ppm) 0.74 (s, 3H), 1.09 (s, 6H), 3.0 (t, J=6.10 Hz, 2H), 3.42 (d, J=5.49 Hz, 2H), 3.8-4.0 (2m, 6H), 4.04-4.11 (m, 1H), 4.24-4.17 (m, 1H), 4.90-4.93 (t, J=5.36 Hz 1H), 4.96-4.98 (d, J=4.76 Hz, 1H), 5.31-5.36 (m, 1H), 5.57-5.67 (m, 1H), 5.93 (s, 1H), 6.21-6.26 (m, 3H), 6.76 (d, J=22 Hz, 1H), 7.19-7.23 (m, 1H), 7.27-7.32 (m, 4H), 10.34 (brs, 1H);31P NMR (DMSO-d6, 162 MHz) δ (ppm) 9.77 and 9.90 (2s); Scan ES+626 (M+H)+, λmax=258.7 nm; HPLC (0-100% ACN over a period of 8 min) tR=3.84 min λmax=259.6 nm.

Example 15

Preparation of B288, the Hydroxy-tBuSATE N-benzylphosphoramidate Derivative of 3′-C-methyluridine

[0649]

Synthetic Scheme:

[0650]

[0651]

The pronucleotide B288 (34 mg, 3% overall yield) was synthesized from its parent nucleoside 3′-C-methyl-uridine (513 mg, 1.99 mmol) following a similar procedure than the one described for the synthesis of the pronucleotide prepared in the Example 4 and isolated as a white lyophilized powder.1H NMR (DMSO-d6, 400 MHz) δ (ppm) 1.09 (s, 6H), 1.15 (s, 3H), 3.00-3.05 (m, 2H), 3.30 (s, 1H), 3.42 (d, J=6.13 Hz, 2H), 3.76-3.79 (m, 1H), 3.86-3.99 (m, 6H), 4.92-4.94 (t, J=5.40 Hz, 1H), 4.97 (s, 1H), 5.47 (m, 1H), 5.59-5.62 (m, 1H), 5.67-5.78 (m, 1H), 5.83-5.87 (m, 1H), 7.20-7.24 (m, 1H), 7.30 (m, 4H), 7.66-7.71 (m, 1H), 11.32 (brs, 1H);31P NMR (DMSO-d6, 162 MHz) δ (ppm) 9.66 and 9.95 (2s); Scan ES+588 (M+H)+, λmax=261.7 nm.

Example 16

Preparation of B350, the Hydroxy-tBuSATE N-benzylphosphoramidate Derivative of 3′-C-methylguanosine

[0652]

Synthetic Scheme:

[0653]

3′-C-Methylguanosin-5′-yl-O-(triphenylmethyloxy-tert-butyl-S-acyl-2-thioethyl) H-phos-phonate (E1)

[0654]

3′-C-Methylguanosine (NM76) (233.7 mg, 0.79 mmol) and compound A3 [See Compound 5 of Example 2] (504.9 mg, 0.87 mmol) were coevaporated together with anhydrous pyridine and dissolved in this solvent (11.8 mL). Pivaloyl chloride (193.7 μL, 1.57 mmol) was added dropwise at −15° C. and the solution was stirred at the same temperature for 2 h. The reaction mixture was diluted with dichloromethane and neutralized with an aqueous solution of NH4Cl 0.5M. The mixture was partitioned between dichloromethane and aqueous NH4Cl 0.5M, the organic phases were combined, dried over Na2SO4evaporated under reduced pressure (bath temperature not exceeding 30° C.) and coevaporated twice with toluene. The crude mixture was filtered on a silica gel plug eluting with a gradient 0-10% methanol in dichloromethane+0.2% acetic acid) to afford the desired product E1 (250 mg, 42%). Compound E1:31P NMR (162 MHz, DMSO-d6): δ 9.93 (s), 9.13 (s). LR LC/MS (M+H+) 521.1 (5.88 min). UV: λmax=262 nm. Rf0.21 (MeOH/CH2Cl, 15/85, v/v).

N-Benzylaminyl-3′-C-methylguanosin-5′-yl-O-(triphenylmethyloxy-tert-butyl-S-acyl-2-thioethyl)phosphate (E1)

[0655]

To a solution of compound E1 (250 mg, 0.33 mmol) in anhydrous carbon tetrachloride (3.3 mL), benzylamine (178 μL, 1.637 mmol) was added dropwise. The reaction mixture was stirred at room temperature for 1 h 30 and evaporated to dryness (bath temperature not exceeding 30° C.). The crude mixture was filtered on a silica gel plug eluting with a gradient 0-30% methanol in dichloromethane) to give compound E2 as a white solid (290 mg, quantitative yield). Compound E2:31P NMR (162 MHz, DMSO-d6) δ 9.91 (s), 9.74 (s). LR LC/MS (M+H+) 869.3 (M−H) 867.7 (5.20 min). UV: λmax=253 nm. Rf0.13 (MeOH/CH2Cl, 10/90, v/v).

N-Benzylaminyl-O-(hydroxyl-tert-butyl-S-acyl-2-thioethyl)-3′-C-methylguanosin-5′-yl phosphate B350 (Compound E3)

[0656]

Compound E2 (290 mg, 0.33 mmol) was dissolved in dichloromethane (1.16 mL) and treated with TFA (113 μL). The mixture was stirred at room temperature for 10 min, then diluted with ethanol, evaporated to dryness (bath temperature not exceeding 30° C.) and coevaporated with toluene. The resulting residue was subjected to silica gel chromatography, eluting with a gradient 0-30% methanol in dichloromethane, then purified by reverse phase (C 18) silica gel column chromatography eluting with a gradient 0-100% acetonitrile in water and lyophilised from a mixture of water/dioxan to give B350 (Compound E3) (15 mg, 7%, white lyophilised powder). B350 (Compound E3):1H NMR (400 MHz, DMSO-d6) δ 10.60 (m, 1H, NH), 7.90 (s, 1H, H-8), 7.30-7.19 (m, 5H, C6H5), 6.47 (ls, 2H, NH2), 5.72-5.59 (m, 2H, H-1′ and PNH), 5.51 (d, 1H, OH-2′, JOH2′-1′=8.0 Hz), 4.94-4.92 (2H, OH-3′ and OH), 4.28 (m, 1H, H-2′), 4.01-3.83 (m, 7H, H-4′, H-5′, CH2O and CH2N), 3.41 (m, 2H, CH2OH), 3.02 (t, 2H, CH2S, JCH2S-CH2O=6.0 Hz), 1.20 (s, 3H, CH3), 1.09 (s, 6H, 2CH3).31P NMR (162 MHz, DMSO-d6) δ 9.86 (s), 9.72 (s). LR LC/MS (M+H+) 627.2 (M−H) 625.5 (3.87 min). HRFAB-MS C25H36O9N6PS (M+H+) calculated 627.2002. found 627.2014. UV: λmax=251 nm.

Example 17

Preparation of B305, the Hydroxy-tBuSATE N-benzylphosphoramidate Derivative of 1-[2-C-methyl-β-ribofuranosyl]-3-carboxamido-4-fluoro-pyrazole

[0657]

Synthetic Scheme:

[0658]

[0659]

The pronucleotide B305 (28.3 mg, 8% overall yield) has been synthesized from its parent nucleoside 1-[2-C-methyl-β-ribofuranosyl]-pyrazolo-3-carboxamide-4-fluoro (180 mg, 0.65 mmol) following a similar procedure than the one described for the synthesis of the pronucleotide prepared in the Example 4 and isolated as a white lyophilized powder.1H NMR (DMSO-d6, 400 MHz) δ (ppm) 0.75 (s, 3H), 1.08-1.09 (d, J=3.35 Hz, 6H), 2.98-3.02 (m, 2H), 3.40-3.42 (m, 2H), 3.85-4.03 (m, 5H), 4.16-4.19 (m, 2H), 4.89-4.92 (m, 1H), 5.25-5.29 (m, 2H), 5.55 (s, 1H), 5.56-5.64 (m, 1H), 7.19-7.22 (m, 1H), 7.26-7.50 (m, 7H), 8.05 (d, J=4.32 Hz, 1H);31P NMR (DMSO-d6, 162 MHz) δ (ppm) 9.75 and 9.90 (2s);19F NMR (d6-DMSO, 235 MHz) δ (ppm) −170.70 (d, J=61.74 Hz, 1F); Scan ES+605 (M+H)+, λmax=233.7 nm; HPLC (0-100% ACN over a period of 10 min) tR=4.56 min λmax=235.2 nm.

Example 18

Preparation of B436, the Hydroxy-tBuSATE N-benzylphosphoramidate Derivative of 2′-C-methyl-7-deaza-7-fluoro-adenosine

[0660]

Synthetic Scheme:

[0661]

[0662]

The pronucleotide B436 (30 mg, 9% overall yield) has been synthesized from its parent nucleoside 2′-C-methyl-7-deaza-6-NH-dimethoxytrityl-adenosine (320 mg, 0.53 mmol) following a similar procedure than the one described for the synthesis of the pronucleotide prepared in the Example 2 (Procedure A, Strategy b), and isolated as a white lyophilized powder.1H NMR (DMSO-d6, 400 MHz) δ (ppm) 0.66 (s, 3H), 1.02 (s, 6H), 2.95-2.98 (t, J=6.10 Hz, 2H), 3.35 (d, J=5.49 Hz, 2H), 3.77-3.85 (m, 3H), 3.88-3.95 (m, 3H), 4.03-4.18 (m, 2H), 4.83-4.86 (t, J=5.44 Hz, 1H), 5.14 (s, 1H), 5.21-5.25 (t, 7.40 Hz, 1H), 5.55-5.66 (m, 1H), 6.14 (s, 1H), 6.9-7.3 (m, 8H), 8.01 (s, 1H);31P NMR (DMSO-d6, 162 MHz) δ (ppm) 9.77 and 9.89 (2s);19F NMR (d6-DMSO, 235 MHz) δ (ppm) −166.85 (d, J=14.16 Hz, 1F); Scan ES+628 (M+H)+, λmax=280.7 nm; HPLC (0-100% ACN over a period of 10 min) tR=4.78 min λmax=280.8 nm.

Example 19

Preparation of B589, the Hydroxy-tBuSATE N-benzylphosphoramidate Derivative of 4′-C-methyluridine

[0663]

Synthetic Scheme:

[0664]

[0665]

Following the procedures described for Example 4, and starting from 4′-C-methyluridine (A437) (200 mg, 0.77 mmol), intermediate P3 was first produced (62 mg, 11%.31P NMR (DMSO-d6, 162 MHz) δ (ppm) 9.15, 9.56 (2s); Scan ES+747 (M+Na)+, λmax=259.7 nm), then compound P4 during the second step (28 mg, 39%. Scan ES+852 (M+Na)+), and finally the desired prodrug B589 was obtained as a white powder after lyophilization from dioxane (21 mg, 58%).1H NMR (DMSO-d6, 400 MHz) δ (ppm) 1.10 (s, 6H), 1.13 (s, 3H), 3.03 (t, J=6.42 Hz, 2H), 3.15 (d, J=5.29 Hz, 1H), 3.42 (d, J=5.67 Hz, 2H), 3.72-4.16 (m, 7H), 4.06-4.15 (m, 1H), 4.92 (t, J=5.29 Hz, 1H), 5.22 (d, J=5.29 Hz, 1H), 5.36-5.38 (2d, 1H), 5.57-5.60 (2d, 1H), 5.64-5.70 (m, 1H), 5.78-5.80 (2d, 1H), 7.20-7.31 (m, 5H), 7.60-7.64 (2d, 1H);31P NMR (DMSO-d6, 162 MHz) δ (ppm) 9.58, 9.77 (2s); Scan ES+610 (M+Na)+, λmax=260.7 nm.

Example 20

Preparation of B678, the Hydroxy-tBuSATE N-benzylphosphoramidate Derivative of 4′-C-fluoromethylguanosine

[0666]

Synthetic Scheme:

[0667]

[0668]

Following the procedures of the Procedure A described in Example 3, and starting from 4′-C-fluoromethylguanosine (A402) (69.4 mg, 0.22 mmol), compound P1 (67.5 mg, 39%) was obtained as intermediate after the first step. Scan ES780 (M−H). Second step led to the formation of intermediate P2 (57.5 mg; 76%). Compound P2 (26.3 mg, 0.03 mmol) was dissolved in dichloromethane (1 ml) and treated with montmorillonite K10 (150 mg) and stirred at room temperature for 1 h. The reaction mixture was directly deposited on silica SPE tube and extracted with a gradient 0-100% MeOH in dichloromethane to give after lyophilization from dioxane/water B678 as a white powder (7.7 mg, 40%).1H NMR (DMSO-d6, 400 MHz) δ (ppm) 1.09 (2 ls, 6H), 3.03-3.05 (m, 2H), 3.42 (m, 2H), 3.87-4.00 (m, 6H), 4.15-4.24 (m, 2H), 4.43-4.66 (m, 2H), 4.74 (m, 1H), 4.93 (m, 1H), 5.52 (d, J=4.36 Hz, 1H), 5.58 (m, 1H), 5.70-5.73 (m, 1H), 5.75-5.77 (d, J=8.05 Hz, 1H), 6.52 (ls, 2H), 7.24-7.35 (m, 5H), 7.92 (2s, 1H);31P NMR (DMSO-d6, 162 MHz) δ (ppm) 9.70, 9.83 (2s);19F NMR (d6-DMSO, 235 MHz) δ (ppm) −235.92, −236.25 (2s); Scan ES+645 (M+H)+, λmax=250.7 nm HPLC (0-100% ACN over a period of 8 min) tR=3.91 min λmax=251.1 nm.

Example 21

Preparation of B704, the Hydroxy-tBuSATE N-benzylphosphoramidate Derivative of acyclovir

[0669]

Synthetic Scheme:

[0670]

9-(2-Hydroxy-ethoxymethyl)-guanin-5′-yl-O-(triphenylmethyloxy-tert-butyl-S-acyl-2-thioethyl)H-phosphonate (F1)

[0671]

Acyclovir (200 mg, 0.89 mmol) and compound A3 [See Compound 5 of Example 2] (674.2 mg, 1.15 mmol) were coevaporated together with anhydrous pyridine and dissolved in this solvent (13.3 mL). Pivaloyl chloride (162 μL, 1.15 mmol) was added dropwise at −15° C. and the solution was stirred at room temperature for 2 h. The reaction mixture was diluted with dichloromethane and neutralized with an aqueous solution of NH4Cl 0.5M. The mixture was partitioned between dichloromethane and aqueous NH4Cl 0.5M, the organic phases were combined, dried over Na2SO4evaporated under reduced pressure (bath temperature not exceeding 30° C.) and coevaporated twice with toluene. The crude mixture was filtered on a silica gel plug eluting with a gradient 0-15% methanol in dichloromethane+0.2% acetic acid) to afford the desired product F1 (602 mg, 98%). Compound F1: LR LC/MS (M+H+) 691.9 (M−H) 690.0 (4.82 min). UV: λmax=254 nm.

N-Benzylaminyl-9-(2-hydroxy-ethoxymethyl)-guanin-5′-yl-O-(triphenylmethyloxy-tert-butyl-S-acyl-2-thioethyl)phosphate (F2)

[0672]

To a solution of compound F1 (602 mg, 0.87 mmol) in anhydrous carbon tetrachloride (8.7 mL), benzylamine (475 μL, 4.35 mmol) was added dropwise. The reaction mixture was stirred at room temperature for 1 h 30 and evaporated to dryness (bath temperature not exceeding 30° C.). The crude mixture was subjected to to silica gel chromatography, eluting with a gradient 0-10% methanol in dichloromethane to give compound F2 as a white solid (550 mg, 79%). Compound F2:1H NMR (400 MHz, DMSO-d6) Et 7.77 (s, 1H, H-8), 7.58-7.17 (m, 20H, 4C6H5), 6.68 (ls, 2H, NH2), 5.59 (m, 1H, PNH), 5.32 (s, 2H, OCH2N), 3.92-3.78 (m, 6H, CH2SCH2O, CH2N, POCH2CH2O), 3.51 (t, 2H, POCH2CH2O, JCH2-CH2=5.2 Hz), 3.16 (s, 2H, CH2OTr), 3.00 (t, 2H, CH2S, JCH2S-CH2O=5.6 Hz), 1.12 (s, 6H, 2CH3).13C NMR (100 MHz, DMSO-d6): δ 204.0 (C═O), 157.2 (C-4), 154.6 (C-2), 151.8 (C-6), 143.9 (4C, 4C6H5), 136.9 (C-8), 128.9-127.2 (20C, 4C6H5), 117.0 (C-5), 86.3 (1C, C(C6H5)3), 72.3 (OCH2N), 70.0 (CH2OTr), 68.2 (POCH2CH2O), 64.8 (POCH2CH2O), 64.2 (CH2SCH2O), 50.8 (C(CH3)2), 44.7 (CH2N), 28.8 (CH2S), 22.8 (2C, C(CH3)2).31P NMR (162 MHz, DMSO-d6) δ 9.79 (s). LR LC/MS (M+H+) 797.2 (5.15 min). UV: λmax=254 nm. Rf0.57 (MeOH/CH2Cl, 15/85, v/v).

N-Benzylaminyl-9-(2-hydroxy-ethoxymethyl)-guanin-5′-yl-O-(hydroxy-tert-butyl-S-acyl-2-thioethyl)phosphate B704 (Compound F3)

[0673]

Compound F2 (550 mg, 0.69 mmol) was dissolved in dichloromethane (2.2 mL) and treated with TFA (220 μL). The mixture was stirred at room temperature for 15 min, filtered through a solid phase extraction column eluting with a gradient 0-15% methanol in dichloromethane, then purified by reverse phase (C 18) silica gel column chromatography eluting with a gradient 0-100% acetonitrile in water and lyophilised from a mixture of water/dioxan to give B704 (Compound F3), (103 mg, 27%, white lyophilised powder). B704 (Compound F3):1H NMR (400 MHz, DMSO-d6): δ 10.57 (ls, 1H, NH), 7.79 (s, 1H, H-8), 7.29-7.18 (m, 5H, C6H5), 6.49 (ls, 2H, NH2), 5.55 (m, 1H, PNH), 5.33 (s, 2H, OCH2N), 4.92 (t, 1H, OH, JOH-CH2=5.2 Hz), 3.94-3.73 (m, 6H, CH2SCH2O, CH2N, POCH2CH2O), 3.60 (t, 2H, POCH2CH2O, JCH2-CH2=4.2 Hz), 3.42 (d, 2H, CH2OH, JCH2-OH=4.4 Hz), 3.00 (t, 2H, CH2S, JCH2S-CH2O=6.4 Hz), 1.10 (s, 6H, 2CH3).13C NMR (100 MHz, DMSO-d6): δ 204.4 (C═O), 157.2 (C-4), 154.4 (C-2), 151.9 (C-6), 141.0 (1C, C6H5), 138.1 (C-8), 128.6-127.2 (5C, C6H5), 117.0 (C-5), 72.3 (OCH2N), 68.8 (CH2OH), 68.2 (POCH2CH2O), 64.7 (POCH2CH2O), 64.2 (CH2SCH2O), 52.2 (C(CH3)2), 44.7 (CH2N), 28.7 (CH2S), 22.3 (2C, C(CH3)2).31P NMR (162 MHz, DMSO-d4): δ 9.76 (s). LR LC/MS (M+H+) 555.9 (M−H) 553.9 (3.77 min). HRFAB-MS C22H32O7N6PS (M−1-H+) calculated 555.1791. found 555.1795. UV: λmax=250 nm.

Example 22

Preparation of B390, the Hydroxy-tBuSATE N-benzylphosphoramidate Derivative of 2′-C-methyl-2′,3′-di-O-acetyl-cytidine

[0674]

Synthetic Scheme:

[0675]

[0676]

To a solution of pronucleotide 13 (See Example 2, Procedure A, Strategy b) (300 mg, 0.27 mmol) in anhydrous acetonitrile were successively added triethylamine (92 μl), acetic anhydride (2.2 eq, 54 μl) and 4-dimethylaminopyridine (0.1 eq, 4 mg). The reaction mixture was stirred at room temperature for 2 h and triethylamine (92 μl), acetic anhydride (2.2 eq, 54 μl) and 4-dimethylaminopyridine (0.1 eq, 4 mg) were added again. After removal of the solvents under reduced pressure, the crude mixture was purified on silica gel column chromatography (eluant: stepwise gradient of methanol [0-5%] in methylene chloride) to give the fully protected pronucleotide (329 mg, quantitative yield). This compound was finally treated with a mixture of trifluoroacetic acid (132 μl) and methylene chloride (3.9 ml). After 1 h 30 stirring at room temperature trifluoroacetic acid (132 μl) were added again and the mixture stirred 1 h more. The solvents were evaporated under reduced pressure and coevaporated with toluene. The crude mixture was purified on silica gel column chromatography (eluant: stepwise gradient of methanol [0-10%] in methylene chloride) to give B390 (36.4 mg, 21%) lyophilized as a white powder.1H NMR (DMSO-d6, 400 MHz) δ (ppm) 1.10 (s, 6H), 1.33 (d, J=2.60 Hz, 3H), 2.05 (s, 6H), 3.01-3.04 (t, J=6.54 Hz, 2H), 3.31 (d, J=5.45H, 2H), 3.85-3.90 (m, 2H), 3.94-3.99 (m, 2H), 4.09-4.11 (m, 2H), 4.21-4.23 (m, 1H), 4.90-4.93 (t, J=5.71 Hz, 1H), 5.22 (m, 1H), 5.67-5.73 (m, 2H), 6.20 (m, 1H), 7.21-7.27 (m, 7H), 7.54 (m, 1H);31P NMR (DMSO-d6, 162 MHz) δ (ppm) 9.69 and 9.86 (2s); Scan ES+671 (M+H)+, λmax=273.7 nm; HPLC (0-100% ACN over a period of 10 min) tR=5.04 min λmax=233.7 nm and 271.4 nm.

Example 23

Preparation of B302

[0677]

Synthesis of Hydroxy-tBuSATE N-benzylphosphoramidate 2′,3′-cyclic carbonate Derivative of 2′-C-methylcytidine B302

[0678]

The following strategy was used for the synthesis:

[0000]

[0679]

Protected phosphoramidate 13 (1.72 g, 1.52 mmol) was dissolved in anhydrous dichloromethane (17 ml) under argon. 1,1′-Carbonyldiimidazole (251 mg, 1.55 mmol) was added and the reaction mixture was stirred at room temperature under argon for 1 h.

[0680]

Analysis by TLC (8% MeOH in DCM) indicated incomplete conversion of starting material (Rf 0.35) to product (Rf 0.56). HPLC analysis (method Test 20, 272 nm) confirmed the profile: 9% starting material (Rt 7.30 min) and 91% product (Rt 7.97 min).

[0681]

Further portions of CDI (final total 299 mg, 1.84 mmol) were added and the reaction mixture was left to stir for an additional 24 h at room temperature after which time analysis by HPLC indicated 1.5% SM and 97.5% P.

[0682]

The reaction mixture was evaporated in vacuo to give an off-white foam (1.97 g). Purification by silica gel plug column, eluting with ethyl acetate, and evaporation of the appropriate fractions gave the protected cyclic carbonate 14 (C65H65N4O12PS 1157.27 gmol−1) as a white foam (1.62 g, 92% yield). TLC (8% MeOH in DCM): Rf 0.56; HPLC Test 20 AUC: 99.5%@254 nm, Rt 7.97 min; m/z (ESI−): 1155.9 [M−H] 100%; m/z (ESI+): 1157.5 [M+H]+100%, 1179.5 [M+Na]+20%.

[0683]

Protected cyclic carbonate 14 (1.50 g, 1.30 mmol) was dissolved in anhydrous dichloromethane (15 ml) at room temperature under argon. Neat trifluoroacetic acid (1.77 g, 15.5 mmol) was added dropwise to the reaction mixture which was then stirred for 45 min at room temperature. Analysis by HPLC (method Test 20, 272 nm) indicated disappearance of starting material (Rt 7.97 min) and formation of product (Rt 3.80 min).

[0684]

Anhydrous methanol (5 ml) was added to the reaction mixture and solvents (10 ml) were partially removed in vacuo at 25° C. Further methanol (7 ml) was added to the mixture which was then evaporated to give an orange residue. Trituration with hexane/TBME 3:2 (12 ml) for 20 min yielded a sticky residue plus an opaque supernatant which was decanted. Retrituration with hexane/TBME 3:2 (5 ml) for 1 h and removal of the second supernatant gave, after coevaporation with methanol (3 ml), a pale foam (1.18 g).

[0685]

The crude foam was purified by reverse phase chromatography (loaded in 1 ml acetonitrile and eluted with 0%, 10%, 15%, 20%, 25%, 30% acetonitrile in water). Combination of the relevant fractions, evaporation of the solvents at 25° C. and chasing with ethanol (1 ml) gave cyclic carbonate 15, B302, as a white foamy solid (560 mg, 71% yield).

[0000]

B302: C25H33N4O10PS 612.59 gmol−1

HPLC AUC (Method Test 20): 99%@254 nm, Rt 3.83 min

m/z (ESI+): 613.1 [M+H]+100%; 1225.5 [2M+H]+100%; 453.1 [N+H]+95%

m/z (ESI−): 611.4 [M−H]80%; 1223.9 [2M−H]50%; 451.3 [N−H]100%

[0686]

[0687]

vmax(KBr disc) (cm−1): 3346.4, 3206.5 O—H, intermolecular H-bond; 1815.3 C═O cyclic 5-ring carbonate; 1650.9 br C═O base, thioester

[0000]

KF: 1.54% H2O content
Specific Rotation: [α]D20+9.289 (c 10.104 mg cm−3in DMSO)
m.p.: 100-102° C. contracts and softens, 104-106° C. phase transition I, 127-135° C. phase transition II to a sticky glass, 140-150° C. partial melting to sticky residue, 200-210° C. decomposes to a brown sticky material

Elemental Analysis: Calculated: C, 49.02%; H, 5.43%; N, 9.15%.

[0688]

Found: C, 49.30%; H, 5.26%; N, 9.30%—passed with 0.26% F present (from TFA)
NMR: Assigned using1H,13C,31P), COSY, TOCSY, DEPT, HSQC and HMBC

[0689]

H NMR δH(400 MHz, d6-DMSO): 1.11 (6H, s, (CH3)2C), 1.30 (3H, br-s, CH3), 3.04 (2H, m, CH2S), 3.44 (2H, d, J=4 Hz, CH2OH), 3.87-3.92 (2H, m, CH2O), 3.94-4.01 (2H, m, CH2Ph), 4.15-4.25 (2H, m, H-5′, H-5″), 4.37 (1H, br-s, H-4′), 4.95 (2H, br-s, H-3′, CH2OH), 5.75-5.77 (2H, 2×d, J=7 Hz, H-5, P—N—H), 6.07 (1H, br-s, H-1′), 7.22-7.25 (1H, m, Ar—H), 7.29-7.33 (4H, m, 4×Ar—H), 7.39, 7.44 (2H, 2×br-s, NH2), 7.62 (1H, br-d, J=7 Hz, H-6)

[0690]

13C NMR δC(100 MHz, d6-DMSO): 17.72 (CH3), 21.78 (C(CH3)2), 28.13, 28.21 (CH2S), 44.17 (PhCH2), 51.62 (C(CH3)2), 63.84, 63.89 (CH2O), 64.55 (C-5′), 68.29 (CH2OH), 94.23 (C-5), 126.70 (Ar—Cpara), 127.08, 128.11 (2×Ar—Cmeta, 2×Ar—Cortho), 140.35, 140.38 (Ar—Cipso), 152.73, 154.45 (C-2, C-4), 165.69 (C-6), 203.87 (C═OS). C-1′, C-2′, C-3′, C-4′ and C═O broadened into baseline and were not observed.

[0000]

31P NMR δp(162 MHz, d6-DMSO): 9.80, 9.94 (1P, 2×s, ratio 1.15:1.00)

Example 24

Preparation of B234, the Hydroxy-tBuSATE N-benzylphosphoramidate Derivative of 3′-O-L-valinyl-2′-C-methylcytidine

[0691]

[0000]

The following strategy was used for the synthesis:

[0000]

[0692]

Boc protected valine (6.72 g, 30.94 mmol) was dissolved in anhydrous DCM (50 ml) and 1,1′-carbonyldiimidazole (4.87 g, 30.01 mmol) was added at room temperature under argon. Vigorous evolution of gas was observed initially during the activation step and the mixture was stirred at room temperature for 30 min.

[0693]

Protected phosphoramidate 13 (10.0 g, 8.84 mmol) was dissolved in anhydrous dichloromethane (50 ml) in a separate vessel under argon. The activated Boc-Val solution was added dropwise to the phosphoramidate solution and the resulting mixture was heated to 40° C. under argon for 24 h.

[0694]

Analysis by TLC (8% MeOH in DCM) indicated complete conversion of starting material 13 (Rf 0.35) to product (Rf 0.50). HPLC analysis (method Test 20, 272 nm) confirmed the profile: starting material (Rt 7.30 min) and product (Rt 9.46 min).

[0695]

The reaction mixture was evaporated in vacuo to give an off-white foam. Purification by silica gel column chromatography, loaded from DCM, eluting with ethyl acetate/hexane 1:1 then 100% ethyl acetate, and evaporation of the appropriate fractions gave the protected valine ester 16 (C74H84N5O14PS 1330.52 gmol−1) as a white foam (10.3 g, 88% yield). TLC (ethyl acetate): Rf 0.24; HPLC Test 20 AUC: 97%@272 nm, Rt 9.46 min; m/z (ESI−): 1329.29 [M−H]100%; m/z (ESI+): 1331.68 [M+H]+25%, 303.16 [DMTr]+100%.

[0696]

Protected valine ester 16 (3.0 g, 2.25 mmol) was dissolved in anhydrous dichloromethane (22.5 ml) at room temperature under argon. Neat trifluoroacetic acid (4.5 ml, 58.4 mmol) was added dropwise to the reaction mixture over 3 min which was then stirred for 1 h at room temperature. Analysis by HPLC (method Test 20, 272 nm) indicated disappearance of starting material (Rt 9.46 min) and formation of product (Rt 3.33 min) along with significant Boc intermediate (Rt 4.60 min).

[0697]

Additional neat trifluoroacetic acid (1.0 ml, 13.0 mmol) was added dropwise to the reaction mixture which was then stirred for a further 1 h at room temperature. Analysis by HPLC (method Test 20, 272 nm) indicated disappearance of Boc intermediate (Rt 4.60 min) and formation of product (Rt 3.33 min).

[0698]

The reaction mixture was cooled to 5° C. and anhydrous methanol (50 ml) was added, stirring for 30 min. Solvents were removed in vacuo at 25° C. The residue was treated with TBME (50 ml×3) and triturated, decanting the three TBME liquors.

[0699]

The residual material was dissolved in anhydrous methanol (5 ml) and anhydrous DCM (10 ml) and solid sodium bicarbonate (5 g) was added, stirring for 30 min, to give pH 6. The clear liquid was passed through a syringe filter. The residual solid bicarbonate was washed with 25% methanol in DCM (anhydrous, 10 ml) and the solution was again filtered. The combined filtrates were concentrated in vacuo to give crude 17 (2.15 g).

[0700]

The crude material was purified by reverse phase chromatography (loaded in 15 ml water and 3 ml acetonitrile and eluted with 0%, 5%, 20%, 30% acetonitrile in water). Combination of the relevant fractions and evaporation of the solvents at 25° C. gave valine ester 17, B234, as a white foamy solid (737 mg, 48% yield).

[0000]

B234: C29H44N5O10PS 685.73 gmol−1

HPLC AUC (Method Test 20): 99%@254 nm, Rt 3.33 min

m/z (ESI+): 686.3 [M+H]+100%; 1371.6 [2M+H]+20%; 526.1 [N+H]+20%

m/z (ESI−): 744.4 [M+OAc]35%; 1369.8 [2M−H]35%; 1430.2 [2M+OAc]15%; 524.5 [N−H]100%

[0701]

[0000]

vmax(KBr disc) (cm−1): 3350.7, 3211.9 O—H, N—H, 1757.8 C═O ester; 1673.9, 1652.0 C═O thioester, base
KF: 1.94% H2O content
Specific Rotation: [α]D20+44.37° (c 10.033 mg cm−3in DMSO)
NMR: Assigned using1H,13C,31P, COSY, TOCSY, DEPT, HSQC and HMBC

[0702]

H NMR δH(400 MHz, d6-DMSO): 0.96, 0.98 (2×314, 2×s, (CH3)2CH), 1.03 (3H, br-s, CH3), 1.11 (6H, s, (CH3)2C), 2.15 (1H, m, (CH3)2CH), 3.03 (2H, m, CH2S), 3.44 (2H, a-s, CH2OH), 3.85 (1H, a-d, J=4.8 Hz, CHNH2), 3.85-3.92 (2H, m, CH2O), 3.92-4.00 (2H, m, CH2Ph), 4.06-4.11 (1H, br-m, H-5′), 4.17-4.20 (1H, br-m, H-5″), 4.27-4.29 (1H, br-m, H-4′), 5.08 (1H, br-s, H-3′), 5.73 (1H, a-t, J=7.3 Hz, H-5), 5.74-5.82 (1H, m, P—N—H), 5.92 (1H, br-s, H-1′), 7.22-7.25 (1H, m, Ar—H), 7.28-7.32 (4H, m, 4×Ar—H), 7.60, 7.63 (2×0.5H, 2×d, J=7.3 Hz, H-6). 2×O—H and 2×NH2not observed.

[0703]

13C NMR δC(100 MHz, d6-DMSO): 17.84, 17.96 (CH(CH3)2), 20.42, 20.48 (CH3), 21.78, (C(CH3)2), 28.09, 28.16 (CH2S), 29.72 (CH(CH3)2), 44.16 (PhCH2), 51.62 (C(CH3)2), 57.84 (CHNH2), 63.77, 63.81 (CH2O, C-5′), 68.26 (CH2OH), 74.67 (C-3′), 77.28 (C-4′), 78.09 (C-2′), 91.32 (C-1′), 94.22 (C-5), 126.71 (Ar—Cpara), 127.04, 127.08, 128.11 (2×Ar—Cmeta, 2×Ar—Cortho), 140.23, 140.27, 140.32 (Ar—Cipso, C-6), 155.06 (C-2), 165.32 (C-4), 169.65, 169.72 (CO2R), 203.84 (C═OS). C-1′, C-3′, C-4′ broadened into baseline but observable.

[0704]

31P NMR δP(162 MHz, d6-DMSO): 9.63, 9.96 (1P, 2×s, ratio 1.02:1.00)

Example 25

Preparation of B183, the Hydroxy-tBuSATE N-benzylphosphoramidate Derivative of 2′-C-methyl-NH-4-acetyl-cytidine

[0705]

Synthetic Scheme:

[0706]

[0707]

To a solution of B102 (See Example 2) (compound 10, 200 mg, 0.34 mmol) in anhydrous dimethylformamide (3.4 ml) was added dropwise acetic anhydride (1.1 eq, 34 μl). The reaction mixture was stirred at room temperature for 4 h and 10 μl of acetic anhydride were added again. The reaction mixture was stirred overnight and the solvent evaporated under reduced pressure. The crude mixture was purified on silica gel column chromatography (eluant: stepwise gradient of methanol [0-10%] in methylene chloride) to give the desired acetylated pronucleotide B183 (169 mg, 79%) isolated as a white lyophilized powder.1H NMR (DMSO-d6, 400 MHz) δ (ppm) 0.93 (s, 3H), 1.09 (s, 6H), 2.09 (s, 3H), 3.01-3.04 (t, J=6.54 Hz, 2H), 3.40-3.42 (d, J=5.10 Hz, 1H), 3.53-3.62 (m, 2H), 3.83-3.91 (m, 1H), 3.94-4.01 (m, 4H), 4.10-4.15 (m, 1H), 4.20-4.25 (m, 1H), 4.88-4.91 (t, J=5.20 Hz, 1H), 5.23 (s, 1H), 5.33-5.37 (t, J=7.19 Hz, 1H), 5.67-5.78 (m, 1H), 5.93 (s, 1H), 7.18-7.21 (m, 1H), 7.27-7.32 (m, 5H), 7.96 and 8.03 (2d, J=7.59 Hz, 1H), 10.87 (s, 1H);31P NMR (DMSO-d6, 162 MHz) δ (ppm) 9.74 and 9.98 (2s); Scan ES+629 (M+H)+, λmax=300.7 nm; HPLC (0-100% ACN over a period of 8 min) tR=4.89 min λmax=302.1 nm

Example 26

Preparation of B187, the Hydroxy-tBuSATE N-(2-(trifluoromethyl)benzyl)phosphosphoramidate Derivative of 2′-C-methylcytidine

[0708]

Synthetic Scheme:

[0709]

[0710]

To a solution of compound 8 (See Example 2, Procedure A, Strategy a) (1.4 g, 1.3 mmol) in anhydrous carbon tetrachloride (13 ml) was added dropwise N-2-(trifluoromethyl)benzylamine (10 eq, 2.3 g). The reaction mixture was stirred at room temperature for 3 h and the solvent removed under reduced pressure. The crude mixture was purified on silica gel column chromatography (eluant: stepwise gradient [0-3%] of methanol in methylene chloride) to afford the desired protected nucleoside as a foam (60%). This compound was converted into the phosphoramidate prodrug B187 (245 mg, 35%) following experimental conditions described in the Example 2 Strategy A and isolated as a white lyophilized powder.1H NMR (DMSO-d6, 400 MHz) δ (ppm) 0.92 (s, 3H), 1.09 (s, 6H), 3.05 (t, J=6.45 Hz, 2H), 3.29 (s, 1H), 3.41 (d, J=5.60 Hz, 2H), 3.91-3.93 (m, 3H), 4.17-4.21 (m, 4H), 4.91 (t, J=5.59 Hz, 1H), 5.06 (d, J=4.25 Hz, 1H), 5.23 (t, J=7.50 Hz, 1H), 5.65-5.67 (m, 1H), 5.76-5.83 (m, 1H), 5.91 (s, 1H), 7.08 and 7.16 (2s, 2H), 7.45-7.79 (m, 5H);31P NMR (DMSO-d6, 162 MHz) δ (ppm) 9.57-9.78 (2s, 1P);19F NMR (d6-DMSO, 235 MHz) δ (ppm) −60.79 (s, 3F); Scan ES+655 (M+H)+, λmax=280.73 nm; HPLC (0-100% ACN over a period of 10 min) tR=5.08 min λmax=271.4 nm.

Example 27

Preparation of B399, the Hydroxy-tBuSATE N-(4-(trifluoromethyl)benzyl)phosphosphoramidate Derivative of 2′-C-methylcytidine

[0711]

Synthetic Scheme:

[0712]

[0713]

To a solution of compound 8 (See Example 2, Procedure A, Strategy a) (1.0 g, 0.94 mmol) in anhydrous carbon tetrachloride (10 ml) was added dropwise N4-trifluoromethylbenzylamine (5 eq, 670 μl). The reaction mixture was stirred at room temperature for 3 h and the solvent removed under reduced pressure. The crude mixture was purified on silica gel column chromatography (eluant: stepwise gradient [0-5%] of methanol in methylene chloride) to afford the desired protected nucleoside as a foam (84%). This compound was converted into the phosphoramidate prodrug B399 (204 mg, 40%) following experimental conditions described in the Example 2 Strategy A and isolated as a white lyophilized powder.1H NMR (DMSO-d6, 400 MHz) δ (ppm) 0.91-0.92 (d, J=2.09 Hz, 3H), 1.09 (s, 6H), 3.02-3.06 (m, 2H), 3.41 (d, J=6.17 Hz, 2H), 3.53-3.57 (m, 1H), 3.84-3.94 (m, 3H), 4.03-4.13 (m, 3H), 4.18-4.23 (m, 1H), 4.91-4.94 (t, J=5.48 Hz, 1H), 5.06 (s, 1H), 5.23-5.27 (t, J=6.82 Hz, 1H), 5.65-5.67 (m, 1H), 5.79-5.87 (m, 1H), 5.90 (s, 1H), 7.09 and 7.16 (2s, 2H), 7.48-7.55 (m, 3H), 7.64-7.67 (m, 2H);19F NMR (d6-DMSO, 235 MHz) δ (ppm) −60.79 (s, 3F);31P NMR (DMSO-d6, 162 MHz) δ (ppm) 9.55 and 9.76 (2s); Scan ES+655 (M+H)+, λmax=270 nm; HPLC (0-100% ACN over a period of 10 min) tR=5.03 min λmax=271 nm.

Example 28

Preparation of B204, the Hydroxy-tBuSATE N-(n-methyl-n-octyl-amine)phosphosphoramidate Derivative of 2′-C-methylcytidine

[0714]

Synthetic Scheme:

[0715]

[0716]

To a solution of compound 8 (See Example 2, Procedure A, Strategy a) (950 mg, 0.89 mmol) in anhydrous carbon tetrachloride (9 ml) was added dropwise n-methyl-n-octylamine (10 eq, 1.28 g). The reaction mixture was stirred at room temperature for 3 h and the solvent removed under reduced pressure. The crude mixture was purified on silica gel column chromatography (eluant: stepwise gradient [0-3%] of methanol in methylene chloride) to afford the desired protected nucleoside as a foam (88%). This compound was converted into the phosphoramidate prodrug B204 (52 mg, 7%) following experimental conditions described in the Example 2 Strategy A and isolated as a white lyophilized powder.

[0717]

1H NMR (DMSO-d6, 400 MHz) δ (ppm) 0.83 (m, 3H), 0.93-0.94 (d, J=3.75 Hz, 3H), 1.10 (s, 6H), 1.22 (s, 10H), 1.44 (m, 2H), 2.56 (d, J=8.2 Hz, 3H), 2.88-2.93 (m, 2H), 3.31 (m, 2H), 3.43 (d, J=5.60 Hz, 2H), 3.50-3.53 (m, 1H), 3.91-3.93 (m, 3H), 4.04-4.07 (m, 1H), 4.13-4.16 (m, 1H), 4.91 (t, J=5.59 Hz, 1H), 5.06 (s, 1H), 5.23 (m, 1H), 5.65-5.67 (m, 1H), 5.91 (s, 1H), 7.08-7.16 (m, 2H), 7.50-7.57 (m, 1H);31P NMR (DMSO-d6, 162 MHz) δ (ppm) 10.52 and 10.66 (2s); Scan ES+623 (M+H)+, λmax=280.73 nm; HPLC (0-100% ACN over a period of 8 min) tR=6.07 min λmax=274.9 nm.

Example 29

Preparation of B244, the Hydroxy-tBuSATE N,N-(dibutylamine)phosphoramidate Derivative of 2′-C-methylcytidine

[0718]

Synthetic Scheme:

[0719]

[0720]

To a solution of compound 12 (See Example 2, Procedure A, Strategy b) (1.5 g, 1.46 mmol) in anhydrous carbon tetrachloride (15 ml) was added dropwise dibutylamine (10 eq, 2.5 ml). The reaction mixture was stirred at room temperature for 3 h and the solvent removed under reduced pressure. The crude mixture was purified on silica gel column chromatography (eluant: stepwise gradient [0-5%] of methanol in methylene chloride) to afford the desired protected nucleoside as a foam (61%). This compound was converted into the phosphoramidate prodrug B244 (21 mg, 4%) following experimental conditions described in the Example 2 Strategy B and isolated as a white lyophilized powder.1H NMR (DMSO-d6, 400 MHz) δ (ppm) 0.76-0.81 (td, J=2.40 Hz and J=7.43 Hz, 6H), 0.86-0.87 (d, J=5.51 Hz, 3H), 1.05 (s, 6H), 1.11-1.19 (m, 4H), 1.33-1.39 (m, 4H), 2.80-2.87 (q, J=9.50 Hz, J=8.67 Hz, 4H), 3.01-3.04 (t, J=6.23 Hz, 2H), 3.42-3.43 (m, 2H), 3.50-3.60 (m, 1H), 3.81-3.88 (m, 3H), 3.97-4.01 (m, 1H), 4.07-4.10 (m, 1H), 4.84-4.87 (m, 1H), 5.06 (s, 1H), 5.23 and 5.29 (2d, J=8.0 Hz, 1H), 5.70 (s, 1H), 5.91 (brs, 1H), 7.10 and 7.17 (2s, 2H), 7.49 and 7.55 (2d, J=8.0 Hz, 1H);31P NMR (DMSO-d6, 162 MHz) δ (ppm) 10.44 and 10.56 (2s); Scan ES+609 (M+H)+, λmax=279.7 nm; HPLC (0-100% ACN over a period of 8 min) tR=5.59 min λmax=274.9 nm.

Example 30

Preparation of B308, the Hydroxy-tBuSATE N-methylbenzylphosphosphoramidate Derivative of 2′-C-methyl-cytidine

[0721]

Synthetic Scheme:

[0722]

[0723]

To a solution of compound 12 (See Example 2, Procedure A, Strategy b) (2.7 g, 2.6 mmol) in anhydrous carbon tetrachloride (26 ml) was added dropwise N-benzylmethylamine (5 eq, 1.67 ml). The reaction mixture was stirred at room temperature for 3 h and the solvent removed under reduced pressure. The crude mixture was purified on silica gel column chromatography (eluant: stepwise gradient [0-5%] of methanol in methylene chloride) to afford the desired protected nucleoside as a foam (44%). This compound was converted into the phosphoramidate prodrug B308 (43 mg, 2%) following experimental conditions described in the Example 2 Strategy B and isolated as a white lyophilized powder.1H NMR (DMSO-d6, 400 MHz) δ (ppm) 0.93-0.94 (s, 3H), 1.10 (s, 6H), 2.43-2.45 (d, J=4.26 Hz, 3H), 3.13 (t, J=6.23 Hz, 2H), 3.36-3.37 (d, J=5.24 Hz, 2H), 3.56-3.60 (m, 2H), 3.97-4.01 (m, 3H), 4.07-4.21 (m, 3H), 4.92-4.94 (m, 1H), 5.08 (s, 1H), 5.30-5.32 (m, 1H), 5.59-5.67 (2d J=8.0 Hz, 1H), 5.91 (s, 1H), 7.13 (m, 2H), 7.42-7.50 (m, 5H), 7.45-7.54 (2d J=8.0 Hz, 1H);31P NMR (DMSO-d6, 162 MHz) δ (ppm) 10.53 and 10.34 (2s); Scan ES+601 (M+H)+, λmax=268.7; HPLC (0-100% ACN over a period of 8 min) tR=3.37 min λmax=274.9 nm.

Example 31

Preparation of B353, the Hydroxy-tBuSATE N-piperidinephosphosphoramidate Derivative of 2′-C-methyl-cytidine

[0724]

Synthetic Scheme:

[0725]

[0726]

To a solution of compound 12 (See Example 2, Procedure A, Strategy b) (300 mg, 0.29 mmol) in anhydrous carbon tetrachloride (3 ml) was added dropwise piperidine (5 eq, 145 μl). The reaction mixture was stirred at room temperature for 3 h and the solvent removed under reduced pressure. The crude mixture was purified on silica gel column chromatography (eluant: stepwise gradient [0-5%] of methanol in methylene chloride) to afford the desired protected nucleoside as a foam (55%). This compound was converted into the phosphoramidate prodrug B353 (19 mg, 22%) following experimental conditions described in the Example 2 Strategy B and isolated as a white lyophilized powder.1H NMR (DMSO-d6, 400 MHz) δ (ppm) 0.92 (d, J=2.56, 3H), 1.10 (s, 6H), 1.44-1.43 (m, 4H), 1.50-1.53 (m, 2H), 2.97-3.02 (m, 4H), 3.07-3.10 (t, J=6.66 Hz, 2H), 3.42 (d, J=5.64 Hz, 2H), 3.56-3.60 (m, 1H), 3.89-3.94 (m, 3H), 4.04-4.10 (m, 1H), 4.13-4.20 (m, 1H), 4.91-4.93 (t, J=5.64 Hz, 1H), 5.06 (s, 1H), 5.25-5.31 (2d, J=9.31 Hz, 1H), 5.68 (m, 1H), 5.90 (s, 1H), 7.17 and 7.10 (2s, 2H), 7.50-7.55 (2d, f=9.01 Hz, 1H);31P NMR (DMSO-d6, 162 MHz) δ (ppm) 8.75 and 8.59 (2s); Scan ES+565 (M+H)+, λmax=275.7 nm; HPLC (0-100% ACN over a period of 6 min) tR=3.08 min λmax=273.7 nm.

Example 32

Preparation of B354, the Hydroxy-tBuSATE N-cyclohexylaminephosphosphoramidate Derivative of 2′-C-methyl-cytidine

[0727]

Synthetic Scheme:

[0728]

[0729]

To a solution of compound 12 (See Example 2, Procedure A, Strategy b) (300 mg, 0.29 mmol) in anhydrous carbon tetrachloride (3 ml) was added dropwise cyclohexylamine (5 eq, 170 μl). The reaction mixture was stirred at room temperature for 3 h and the solvent removed under reduced pressure. The crude mixture was purified on silica gel column chromatography (eluant: stepwise gradient [0-5%] of methanol in methylene chloride) to afford the desired protected nucleoside as a foam (55%). This compound was converted into the phosphoramidate prodrug B354 (44 mg, 50%) following experimental conditions described in the Example 2 Strategy B and isolated as a white lyophilized powder.1H NMR (DMSO-d6, 400 MHz) δ (ppm) 0.92 (d, J=2.56, 3H), 1.10 (s, 6H), 1.13 (m, 5H), 1.46-1.47 (m, 1H), 1.62 (m, 2H), 1.76-1.78 (m, 2H), 2.80 (m, 1H), 3.07-3.10 (t, J=6.66 Hz, 2H), 3.42 (d, J=5.64 Hz, 2H), 3.56-3.60 (m, 1H), 3.89-3.94 (m, 3H), 4.04-4.10 (m, 1H), 4.13-4.20 (m, 1H), 4.91-4.93 (t, J=5.64 Hz, 1H), 5.06 (m, 2H), 5.25 and 5.31 (2d, J=7.2 Hz, 1H), 5.68-5.71 (m, 1H), 5.90 (s, 1H), 7.19 and 7.09 (2s, 2H), 7.50 and 7.55 (2d, J=7.2 Hz, 1H);31P NMR (DMSO-d6, 162 MHz) δ (ppm) 9.05 and 8.91 (2s) Scan ES+579 (M+H)+, λmax=280.7 nm; HPLC (0-100% ACN over a period of 6 min) tR=3.23 min λmax=274.9 nm.

Example 33

Preparation of B391, the Hydroxy-tBuSATE N-morpholinophosphosphoramidate Derivative of 2′-C-methylcytidine

[0730]

Synthetic Scheme:

[0731]

[0732]

To a solution of compound 12 (See Example 2, Procedure A, Strategy b) (350 mg, 0.34 mmol) in anhydrous carbon tetrachloride (3.4 ml) was added dropwise morpholine (10 eq, 300 μl). The reaction mixture was stirred at room temperature for 3 h and the solvent removed under reduced pressure. The crude mixture was purified on silica gel column chromatography (eluant: stepwise gradient [0-5%] of methanol in methylene chloride) to afford the desired protected nucleoside as a foam (70%). This compound was converted into the phosphoramidate prodrug B391 (53 mg, 49%) following experimental conditions described in the Example 2 Strategy B and isolated as a white lyophilized powder.1H NMR (DMSO-d6, 400 MHz) δ (ppm) 0.92 (d, J=2.56, 3H), 1.10 (s, 6H), 3.0 (m, 4H), 3.07-3.10 (t, J=6.66 Hz, 2H), 3.31 (s, 2H), 3.42 (d, J=5.64 Hz, 2H), 3.56-3.60 (m, 3H), 3.89-3.94 (m, 3H), 4.04-4.10 (m, 1H), 4.13-4.20 (m, 1H), 4.91-4.93 (t, J=5.64 Hz, 1H), 5.08 (s, 1H), 5.25-5.31 (m, 1H), 5.68-5.71 (d, J=7.2 Hz, 1H), 5.90 (s, 1H), 7.18 and 7.12 (2s, 2H), 7.52 and 7.50 (2d, J=7.6 Hz, 1H);31P NMR (DMSO-d6, 162 MHz) δ (ppm) 7.76 and 7.61 (2s); Scan ES+567 (M+H)+, λmax=279.7 nm; HPLC (0-100% ACN over a period of 10 min) tR=3.42 min λmax=273.7 nm.

Example 34

Preparation of B395, the Hydroxy-tBuSATE N-pyrrolidinephosphosphoramidate Derivative of 2′-C-methylcytidine

[0733]

Synthetic Scheme:

[0734]

[0735]

To a solution of compound 12 (See Example 2, Procedure A, Strategy b) (500 mg, 0.49 mmol) in anhydrous carbon tetrachloride (5 ml) was added dropwise pyrrolidine (5 eq, 200 μl). The reaction mixture was stirred at room temperature for 3 h and the solvent removed under reduced pressure. The crude mixture was purified on silica gel column chromatography (eluant: stepwise gradient [0-5%] of methanol in methylene chloride) to afford the desired protected nucleoside as a foam (87%). This compound was converted into the phosphoramidate prodrug B395 (48 mg, 21%) following experimental conditions described in the Example 2 Strategy B and isolated as a white lyophilized powder.1H NMR (DMSO-d6, 400 MHz) δ (ppm) 0.93-0.94 (d, J=3.75 Hz, 3H), 1.10 (s, 6H), 1.78-1.79 (q, J=5.80 Hz, 4H), 3.09-3.09 (m, 6H), 3.42 (s, 2H), 3.57-3.59 (m, 1H), 3.92-3.93 (m, 3H), 4.09-4.11 (m, 1H), 4.16-4.18 (m, 1H), 4.93 (brs, 1H), 5.10 (s, 1H), 5.28-5.32 (t, J=8.00 Hz, 1H), 5.70 (d, J=8.0 Hz, 1H), 5.89 (s, 1H), 7.27 and 7.40 (2s, 2H), 7.55 and 7.61 (2d, J=8.0 Hz, 1H);31P NMR (DMSO-d6, 162 MHz) δ (ppm) 7.56 and 7.69 (2s); Scan ES+551 (M+H)+, λmax=275.7 nm; HPLC (0-100% ACN over a period of 10 min) tR=3.88 min λmax=273.7 nm.

Example 35

Anti-HBV Activity

[0736]

The compound of Example 1 (NM 204) (Hydroxy-tBuSATE N-benzylphosphoramidate derivative of L-ddA) (A550) was contacted with HBV-infected HepG2 cells. EC50values were measured according to standard techniques. As shown in the table below, the compound of Example 1 showed significant activity compared to parent molecule LddA.

[0000]

LddA3>10
Ex 1 (A550)30.062 ± 0.018
LdT3 0.26 ± 0.048
Lamivudine 30.022 ± 0.007

Example 36

Preparation of Calibration Curve for Measurement of ddATP

[0737]

Measurements of the concentration of 2′-3′-dideoxyadenosine-5′-triphosphate (ddATP) (the triphosphate nucleotide of 2′-3′-dideoxyadenosine (ddA) are performed by liquid chromatography tandem mass spectrometry (LC/MS/MS), e.g., of methanolic extracts of hepatocytes.

[0738]

The concentration of ddATP is measured by comparison to a standard curve.

[0739]

Working stock solutions of TP-ddA are prepared from a 100 pmol/μl stock solution in de-ionized water of ddATP (tetrasodium salt of >91% purity) purchased from Sigma Chemical Co as follows:

[0000]

ddATP Working Stock Solutions and Preparation of Standard Curve for ddATP.

[0000]

Stock
TestconcVol DlH2O Total Concmol
com-pmol/takenvolvolpmol/Per
poundμlμLμLμLμl10 μl
1. Working stock#1
TP-ddA10020002000400050.0500
Stock
concVol DlH2O Total Conc
Testpmol/takenvolvolpmol/
articleμLμLμLμLμL
2. Working stock#2
TP-ddA10010003000400025.0250
3. Working stock #4 (prepared from stock#1)
TP-ddA100 5003500400012.5125
4. Working stock #5 (prepared from stock#1)
TP-ddA100 20038004000 5.0 50
5. Working stock #6 (prepared from stock#1)
TP-ddA100 10039004000 2.5 25
6. Working stock #7 (prepared from stock#1)
TP-ddA100 4039604000 1.0 10

[0740]

Internal standard (ISTD) working stock are prepared from a 0.50 mg/mL stock solution of 2-deoxyadenosine 5-triphosphate purchased from Sigma Chemical Co.

[0000]

dATP50020098001000010500

[0741]

In some embodiments, calibration standards are prepared as follows using liver

[0000]

Preparation of cal stds:
work- work-
stdinging
concliver work-stockstock ISTD MeOH
calpmol/wtingconvolvolvoltotal
std#μlGstock#pmol/μlμLμLμLvol μL
Blk  00.1 050940 990
#1 500.1#5 5.010509401000
#2 1250.1#4 12.510509401000
#3 2500.1#3 25.010509401000
#4 5000.1#2 50.010509401000
#510000.1#1100.010509401000
samples:

[0742]

In some embodiments the following HPLC conditions are used for the HPLC MS, e.g. HPLC Tandem MS analysis instrument method:

[0743]

HPLC is conducted on Phenomenex Luna Amino 3 μm 100A, 30×2 mm column, with a mobile phase: A: 70% 10 mM NH4OAc 30% ACN pH 6.0; and B: 70% 1 mM NH4OAc 30% ACN pH 10.5 as follows:

[0000]

Gradient elution program:
TimeFlow
Step(min)(μl/min)A (%)B (%)
0 0  4006040
1 1.1 4006040
2 1.114004060
3 2.114003070
4 2.6 4002080
5 3.1 4000100
6 5.5 4000100
7 5.514006040
810  4006040
Injection volume:50 μl
Flow rate to MS:0.400 mL/min,
no splitting of flow
Multiple Reaction Monitoring
(MRM) conditions: (API3000)
Ionization Mode:Positive Ion
Electrospray (ESI+)
IonSpray Voltage (IS):5000 V
Temperature (TEM):550° C.
Turbo IS gas8 L/min
Nebulizer (NEB):14
CAD Gas Setting (CAD): 6
Declustering potential  68 V
(DP)
Collision energy (CE)27 eV
Entrance/Exit potentials 10V/11V
(EP/CXP)
Precursor Product
Compoundion=>Ion
ddA triphosphate476.2=>135.9
ddA diphosphate396.2=>135.9
dA triphosphate (ISTD)460.2=>135.9
*Luna Amino column is directly connected on the inlet end to a “Security Guard” cartridge holder suitable for 2.1 mm Phenomenex columns, containing a C18 cartridge.

Example 37

In Vitro Phosphorylation in Hepatocytes

[0744]

Primary hepatocytes (Rat, Cynomolgus Monkey or human) were seeded at 0.8×106in a collagen-coated 12-well plate and allowed to attach 4-6 hours after which time the seeding medium was replaced with serum-free culture medium and cells allowed to acclimatize to the new medium overnight. On the next day, cells were exposed for 1, 4, 8 and 24 hours to test article (NM204) (A550) at 10 and 50 μM prepared in fresh culture medium from stock solution in DMSO (final DMSO concentration was 0.1%). At each time point, an aliquot (500 μl) was collected and immediately added to 500 μl of acetonitrile and stored at −20° C. until analysis. The remaining exposure medium was removed and the cell monolayer (stuck to dish) washed 2 times with ice-cold PBS. Any remaining PBS was carefully removed by aspiration and cells were harvested by scraping in 1 mL 70% ice-cold methanol. Cell samples were placed overnight at −20° C. and cellular debris removed by centrifugation on the next day. The supernatants were removed and filtered prior to analysis by LC/MS. A standard curve was prepared by using untreated cells processed similarly except that prior to harvesting in 70% methanol, 10 μl of LddATP standard solutions prepared in methanol were added to the washed monolayers. These control samples were then processed and analyzed as described for test samples.

[0745]

The results are shown below:

[0000]

Ex 1 (A550)
10 μM
LddA TP Levels (pmol/million cells)
Time (hour)RatMonkeyHuman
1159.5 287.5161.5
4388.0 978.0312.5
8468.51230.0352.5
24422.0 344.0366.0
Ex 1 (A550)
50 μM
LddATP Levels (pmol/million cells)
Time (hour)RatMonkeyHuman
1393.02085.0 682.5
41212.05690.0 1480.0
81590.06030.0 1930.0
241505.03030.02062.5

[0746]

As indicated from the data, significant levels of L-ddATP were detected in the hepatocytes. In monkey hepatocytes, the levels appear to reach a maximum level at 8 hours followed by a rapid decline. In contrast, levels in both rat and human hepatocyte appear to level off after 8 hours.

Example 38

In Vivo Studies in Rat

[0747]

Distribution of NM-204 (the compound of Example 1 (Hydroxy-tBuSATE N-benzylphosphoramidate derivative of L-ddA) (A550) in the rat liver was evaluated following a single intravenous (I.V.) or oral administration of A550 (NM-204) at a dose of 20 (oral) or 10 (I.V.) mg/Kg body weight. The dose solutions were prepared on the same day prior to dose administration.

[0748]

At the specified time point (1 and 3 hours for IV animals or 1, 3 and 8 hours for oral animals), each animal was euthanized by CO2gas followed by exsanguination via the abdominal vein. Livers were collected immediately after sacrifice, flash frozen in liquid nitrogen, placed on dry ice, and later stored at −70° C., before being analyzed.

[0000]

Preparation of Calibration Standards from Control Liver Extracts:

[0749]

Control rat liver samples were taken from whole frozen livers (Bioreclamation, Inc. Hicksville, N.Y.) with the aid of a tissue coring utensil (Harris Unicore, 8.0 mm, VWR). Each ˜0.1 g sample was placed in individual 2 mL poly vials with 0.940 mL of 80% MeOH/20% DIH2O and homogenates were prepared using a mechanical tissue disruptor (Tissue Master, Omni-International, Inc, Marietta Ga.). The vials received a 10 μl aliquot of a working stock solution and a 50 μl aliquot of the ISTD before vortexing for ˜30 sec. The mixtures were stored overnight at −20° C. and the next day were removed for 10 min of centrifugation in a benchtop centrifuge. Each supernatant was transferred to individual centrifugation filtration units (0.45 μm) and the resulting filtrates were transferred to HPLC vials for the LC/MS/MS analysis. The final concentrations of ddATP in the calibration standards was 1000, 500, 250, 125, 50, and 0 pmol/ml. Each calibration standard was directly injected in a 50 μL volume onto the ion-exchange column for analysis. Standard curve analysis of calibration standards from control liver extracts was conducted.

[0750]

Analysis of ddATP was done by an ion-exchange chromatography method with on-line positive ionization ESI-MS/MS detection in multiple reaction monitoring (MRM) detection mode. The peak areas obtained for 4 of the 5 calibrants allowed for construction of a standard curve that demonstrated good linearity (R2=0.9996) over a 50-1000 pmol/ml concentration range. This is equivalent to a range of 5-100 pmol per gram liver by the sample preparation employed. The HPLC MS MS conditions described in Example 5 were utilized. The lower limit of quantitation demonstrated by the LC/MS/MS method is e.g., ˜0.2 pmol/mL for hepatocyte cellular extracts which contain much less salt.

[0751]

The results showing intracellular levels of A550 (NM204) (showing the compound entered the liver cells) and LddATP (showing cleaving of the phosphoramidate moiety and triphosphorylation of the ddA to the active triphosphate in the liver) are shown below:

[0000]

A550 (Ex 1) and LddATP measured in livers of
male rats dosed IV or O with A550 (Ex 1)
ConcentrationConcentration.
Compound Time-ddA-TP
(A550) (Ex 1)point(pmol/g (pmol/106
Animal Number(pmol/g liver)(hrs)liver)cells)*
IV dose (10 mg/kg)
1M1 65.81202517.8
1M2 89.11193016.9
1M3 85.11135511.9
Mean 80.0177015.5
IV dose (10 mg/kg)
2M1 28.33134511.8
2M2 26.03194017.0
2M3 29.33299026.2
Mean 27.9209218.3
Oral dose (20 mg/kg)
3M1411  1 210 1.8
3M2272  1 575 5.0
3M3 70.21 400 3.5
Mean251   395 3.5
Oral dose (20 mg/kg)
4M1360  3 200 1.8
4M2 92.13 330 2.9
4M3161  3 405 3.6
Mean204   312 2.7
Oral dose (20 mg/kg)
5M1 16.48 280 2.5
5M2 28  8 805 5.2
5M3 16.28 275 2.4
Mean 20.1 382 3.3
*Hepatocellularity number for rat was 114 × 106 cells per gram liver (Toxicology in Vitro 20(2005) 1582-1586.

[0752]

Thus, these results show that the compound can be used to enhance concentration of the drug in the liver. These results also show the enhanced concentration of the active triphosphate which is formed in the liver cells.

Example 39

HCV Replicon Assay

[0753]

Huh-7 cells containing HCV Con1 subgenomic replicon (GS4.1 cells), (C. Seeger; Fox Chase University, Philadelphia, Pa., USA), are grown in Dulbecco's Modified Eagle Medium (DMEM) supplemented with 10% fetal bovine serum (FBS), 2 mM L-glutamine, 110 mg/L sodium pyruvate, 1× non-essential amino acids, 100 U/mL penicillin-streptomycin and 0.5 mg/mL G418 (Invitrogen). For dose-response testing, the cells are seeded in 96-well plates at 7.5×103cells/well in a volume of 50 μL and incubated at 37° C./5% CO2. Three hours after plating, 50 μL of ten 2-fold serial dilutions of compounds (highest concentration, 75 μM) are added and cell cultures were incubated at 37° C./5% CO2in the presence of 0.5% DMSO. Alternatively, compounds are tested at a single concentration of 15 μM. In all cases, Huh-7 cells lacking the HCV replicon served as negative control. The cells are incubated in the presence of compounds for 72 hours after which they were monitored for expression of the NS4A protein by enzyme-linked immunosorbent assay (ELISA). For this, the plates were then fixed for 1 min with 1:1 acetone:methanol, washed twice with phosphate-buffered saline (PBS), 0.1% Tween 20, blocked for 1 hour at room temperature with TNE buffer containing 10% FBS and then incubated for 2 h at 37° C. with the anti-NS4A mouse monoclonal antibody A-236 (ViroGen) diluted in the same buffer. After washing three times with PBS, 0.1% Tween 20, the cells are incubated 1 hour at 37° C. with anti-mouse immunoglobulin G-peroxidase conjugate in TNE, 10% FBS. After washing as described above, the reaction is developed with O-phenylenediamine (Zymed). The reaction is stopped after 30 minutes with 2 NH2SO4and the absorbance is read at 492 nm using a Sunrise Tecan spectrophotometer. EC50values are determined from the % inhibition versus concentration data using a sigmoidal non-linear regression analysis based on four parameters with Tecan Magellan software. When screening at a single concentration, the results are expressed as % inhibition at 15 μM. For cytotoxicity evaluation, GS4.1 cells are treated with compounds as described above and cellular viability was monitored using a Cell Titer 96 AQueousOne Solution Cell Proliferation Assay (Promega). CC50values are determined from the % cytotoxicity versus concentration data with Tecan Magellan software as described above.

Results

[0754]

Compounds presented in the table below were assayed according to the replicon assay described above.

[0000]

HCV ELISA 2
Compound ReferenceStructureEC50(μM)CC50(μM)
NUCLEOSIDE PARENT: A634 (NM107)+++
EXAMPLE 2: B102+++
EXAMPLE 26: B187+++
EXAMPLE 27: B399+++
EXAMPLE 28: B204+++
EXAMPLE 29: B244++
EXAMPLE 30: B308+++
EXAMPLE 31: B353++
EXAMPLE 32: B354+++
EXAMPLE 33: B391++
EXAMPLE 34: B395+++
EXAMPLE 24: B234+++
EXAMPLE 23: B302+++
EXAMPLE 22: B390++
EXAMPLE 25: B183++
NUCLEOSIDE PARENT: A844 (NM108)+++
EXAMPLE 3: B299++++
EXAMPLE 11: B242++++
EXAMPLE 10: B307++++
NUCLEOSIDE PARENT: A374 (NM80)+++++
EXAMPLE 6: B263+++
NUCLEOSIDE PARENT: C809 (NM106)++
EXAMPLE 7: B229+++
NUCLEOSIDE PARENT: A608++
EXAMPLE 8: B186+++
NUCLEOSIDE PARENT: A849++++
EXAMPLE 9: B396+++++
NUCLEOSIDE PARENT: D961++
EXAMPLE 12: B503+++
NUCLEOSIDE PARENT: E810++++
EXAMPLE 18: B436+++
EC50in ELISA 2 assay is provided as follows:
+++ ≦1 μm, ++ >1-10 μm and + >10 μm
CC50is provided as follows:
++ ≦75 μm, + >75 μm

Example 40

HBV Drug Susceptibility Assay

[0000]

    • a) Collagen-I coated cell culture plates were seeded with cells at a density of 0.25-0.5×106cells per well in 2 ml of growth/selection media.
    • b) Drug stock solutions were made up freshly in 100% DMSO as 200× stocks. Seven 4-fold dilutions of test compound were prepared ranging from 2.5 μM to 0.0006 μM (final). Master drug dilutions were divided into 4 aliquots, and then stored at −20° C., until used.
    • c) One day after cells were seeded, drug treatments were initiated by adding 10 μl of drug dilution along with 2 ml of fresh growth/selection media. Thus, the final DMSO concentration did not exceed 0.5%. The no-drug control wells received 10 of DMSO in fresh media.
    • d) Cells were treated every-other-day with 2 ml of fresh drug combinations/medium for a total of 8 days. Cell lysates were then collected on day 10 as described below and endogenous polymerase assay were performed.

Preparation of Nucleocapsid-Containing Lysates for EPA Analysis

[0000]

    • a) Two days after the final drug treatment, cells were harvested.
    • b) Media was carefully aspirated and the cell monolayers were rinsed once with 1 ml of PBS.
    • c) 1 ml of lysis buffer (50 mM Tris-HCl pH 7.5/150 mM NaCl/5 mM MgCl2/0.2% NP-40) was added to each well. The detergent is required to strip the outer envelope from virions and to allow capture of the inner nucleocapsids. Plates were kept on ice for >30 min.
    • d) Lysed cells were transferred to 1.5 ml-microfuge tubes.
    • e) Lysates were clarified by spinning at room temperature for 5 min at 14,000 rpm.
    • f) Clarified lysates were transferred to fresh tubes and immediately frozen on dry-ice, then stored at −80° C. until endogenous polymerase assays can be performed as described below.

Endogenous Polymerase Assay (EPA) of Cell Lysates

[0000]

    • a) EPAs were performed essentially as described in Seifer, et al (1998). J. Virol. 72: 2765-2776. Clarified lysates were thawed at room temperature.
    • b) Intracellular HBV nucleocapsids were immunoprecipitated from the cytoplasmic lysates overnight at 4° C. with a polyclonal rabbit anti-HBcAg antibody and immobilized on protein A sepharose CL-4B beads.

[0767]

c) After 2 washes of the immobilized capsids with 1 ml of EPA wash buffer (75 mM NR4Cl, 50 mM Tris-HCl pH 7.4, 1 mM EDTA), endogenous polymerase reactions were initiated by adding 50 μl of detergent-containing EPA cocktail (50 mM Tris-HCl pH7.4, 75 mM NH4Cl, 1 mM EDTA, 20 mM MgCl2, 0.1 mM β-ME, 0.5% NP-40, 100 μM cold dGTP, TTP, dCTP, and 50 nM33P-dATP) and incubated overnight at 37° C. The detergent is required to enhance permeability of the nucleocapsids.

    • d) Following digestion with 1 mg/ml of Proteinase K for 1 hour at 37° C., endogenously33P-labeled HBV DNA was liberated via phenol/chloroform extraction.
    • e) The nucleic acids were then precipitated with one volume of 5 M NH4-acetate and 2.5 volumes 100% EtOH, and separated on a 1% native agarose gel in Tris-borate buffer.
    • f) Gels were blotted onto positively charged nylon membrane overnight at room temperature via capillary transfer in 0.4 N NaOH.
    • g) Dried membranes were exposed to a phosphorimager screen (GE Healthcare) overnight at room temperature, then scanned (Storm 860, GE Healthcare) and quantitated with ImageQuant software (GE Healthcare).
    • h) Dose-response curves were generated using XLfit 4.1 software. The mean effective drug concentrations that inhibit endogenous HBV polymerase activity by 50% were calculated from several independent experiments.

Cytotoxicity Determination

[0773]

A standard in vitro cytotoxicity assay was performed in HepG2 cells. Cells were exposed to drug for 9 days. Cell viability was determined via MTS staining using a CellTiter 96 Aqueous One Solution cell proliferation assay according to the manufacturer's instructions.

    • a) HepG2 cells were seeded in 96-well tissue culture plates in 100 μl fresh growth media at 7×103cells per well.
    • b) Drug stock solutions were made up in 100% DMSO as 400× stock solutions and stored at −20° C. until used.

[0776]

c) Four hours after cells were plated the drug dilutions were prepared and then added to the cells. Cells received up to 100 μM of drug in a total of 200 μl of fresh growth media containing 0.25% DMSO. Control wells received growth media with 0.25% DMSO growth media. Plates were incubated at 37° C., 5% CO2.

    • d) Cells were treated every-other-day with fresh growth media and fresh drug dilutions for a total of 8 days as described above.
    • e) On day 9, cell viability of HepG2 cells was determined by adding 20 μl of MTS CellTiter 96 Aqueous One Solution. Following 4 hours of incubation at 37° C., absorbance was measured at A490nm in a Victor V plate reader (Perkin Elmer).
    • f) The CC50concentrations were determined using XLfit 4.1 software.

[0780]

The antiviral in vitro activity of PMEA, B261 (hydroxy-tBuSATE N-benzylphosphoramidate derivative of PMEA as shown in Example 10 Table) along with LdT as control was tested in a total of 4 HBV drug susceptibility assays. The table below provides the results:

[0000]

HBV Cell Assay (EPA Read-out)
CytotoxicityAntiviral Activity *
Drug(CC50in μM)(EC50in μM)SI
PMEA>1000.328 ± 0.082>310
B26119.60.016 ± 0.004 1,225
LdT>1000.366 ± 0.056 >273
Cytoxicity and efficacy was determined on collagen plates.

Example 41

Determination of Total Metabolism in Liver Subcellular Fractions

Depletion of Parent

[0781]

NADPH Incubations. Microsomal or S9 incubations were conducted in a final volume of 0.5 mL. Pooled liver microsomal or S9 protein (1.0 mg/mL), suspended in incubation buffer (100 mM potassium phosphate, pH 7.4, 5 mM MgCl2, and 0.1 mM EDTA) was preincubated for 5 min at 37° C. with 10-50 μM OHSATE phosphoramidate compound from a stock solution in DMSO (final DMSO concentration was 0.1%); the reaction was initiated by the addition of NADPH (3 mM final concentration). Incubations with no NADPH served as controls. At specific times (0-120 min), 0.1 mL samples were taken and the reaction terminated by the addition of 1 volume of stop solution (acetonitrile). The samples were vortex for 30 sec and then centrifuged at 1500 g for 10 min. The supernatant was transferred to HPLC glass vials and analyzed without further processing by HPLC. FIGS. 1 and 2 depict depletion of NM 108 SATE phosphoroamidate (B299) and NM107 SATE phosphoroamidate (B102), respectively, after incubation with NADPH in monkey liver S9.

HPLC System for Medium Samples-Unchanged Prodrug

[0782]

[0000]

HPLC: Agilent 1100
Column:Phenomenex Luna C18(2), 20 × 2 mm,
Mobile phases (MP):MP(A) 10 mM K2HPO4pH5, MP(B) ACN
Gradient elution:20 to 63% MP(B) run from 0 to 30 min
Runtime:20 min
Flow rate: 1 mL/min
Injection volume:10-20 μL
UV:252 nm-NM108SATE deriv (B299)
272 nm-NM107SATE deriv (B102)

[0783]

Thus, without being limited to any theory, since the metabolism is NADPH dependent, it is possible that the phosphoroamidate compound is preferentially activated by Cytochrome P450 in the liver.

Example 42

Determination of Triphosphate Levels in Cells

[0784]

Preparation of Primary Hepatocyte Cultures

[0785]

Freshly isolated cells from animal and human liver were obtained in suspension on ice. Following receipt, cells were pelleted by centrifugation at 500 rpm (rat) or 700 rpm (monkey and human) and resuspended at 0.8 million cells per mL of platting medium (HPM). Multi-well collagen-coated plates (12-well) were then seeded by addition of 1 mL of cell suspension (0.8 million cells/mL). The plates were gently shaken to evenly distribute the cells and placed in an incubator at 37° C. for approximately 4 to 6 hours to allow cells to attach. Once cells have attached, the platting medium was removed and replaced with hepatocyte culture medium (HCM). Cells were left overnight in an incubator at 37° C. to acclimatize to culture and the medium.

[0786]

Incubations with Test Article

[0787]

Hepatocyte incubations were conducted in a final volume of 1.0 mL HCM/well (0.8 million cells/mL). HCM from overnight incubation of cells was removed and replaced with fresh HCM, pre-warmed to 37° C., containing 10 μl M test article from a stock solution in DMSO (final DMSO concentration was 0.1%). At specific times (up to 24 hrs), incubation medium was discarded and the cell monolayers were carefully washed two times with ice-cold PBS. Following the last wash, all PBS was carefully removed and 1 mL of extraction buffer (ice-cold 70% methanol) was added. Each well was sealed with parafilm immediately following addition of methanol. Once the entire plate was processed, additional parafilm was placed on entire plate forming a double seal to prevent evaporation during the extraction process. The cover lid was then placed on the plate and sealed with tape. The plates were then stored at −20° C. for a minimum of 24 hrs to allow for extraction of intracellular contents.

[0788]

Preparation of Huh7 or HepG2 Cultures

[0789]

HepG2s or Huh7 cells were plated at 0.4×106cells/well in collagen-coated 12-well plates. Cells were allowed to attach overnight. Culture medium from overnight incubation of cells was removed and replaced with fresh culture medium, pre-warmed to 37° C., containing 10 μM test article from a stock solution in DMSO (final DMSO concentration was 0.1%). After 24-72 hours, incubation medium was discarded and the cell monolayers were carefully washed two times with ice-cold PBS. Following the last wash, all PBS was carefully removed and 1 mL of extraction buffer (ice-cold 70% methanol) was added. Each well was sealed with parafilm immediately following addition of methanol. Once the entire plate was processed, additional parafilm was placed on entire plate forming a double seal to prevent evaporation during the extraction process. The cover lid was then placed on the plate and sealed with tape. The plates were then stored at −20° C. for a minimum of 24 hrs to allow for extraction of intracellular contents.

[0790]

Sample Preparation for Analysis

[0791]

Cellular extracts were prepared by transferring 0.9 mL of extract into 2 mL microfuge tubes followed by centrifugation for 5 min at 14,000 rpm. Approximately 100 μL of the supernatant was transferred to HPLC vials and triphosphate levels determined by LCMS/MS as described below.

[0792]

HPLC Conditions: NM107-Triphosphate

[0000]

HPLC:
Column:Phenomenex Luna Amino 3 μM 100A,
30 × 2 mm,
(A) 70% 10 mM NH4OAc 30% ACN pH 6.0
Mobile phases (MP):(B) 70% 1 mM NH4OAc 30% ACN pH 10.5
Gradient
elution:
StepTimeFlowAB
00.004008020
10.104008020
20.114004060
30.214004060
42.604001090
52.614000100
65.604000100
75.614008020
89.004008020
Flow rate to MS:0.400 mL/min, no split
Injection volume:10 μL
CompoundPrecursor ionProduct ion
NM107 triphosphate498.0112.0

[0793]

Exemplary HPLC Conditions: NM108-Triphosphate

[0000]

HPLC:
Column:Phenomenex Luna Amino 3 μm 100A,
30 × 2 mm,
Mobile phases (MP): (A) 70% 10 mM NH4OAc 30% ACN pH 6.0
(B) 70% 1 mM NH4OAc 30% ACN pH 10.5
Gradient
elution:
StepTimeFlowAB
00.004006040
10.104006040
20.114004060
30.214004060
42.604001090
52.614000100
65.614000100
75.614006040
89.004006040
Flow rate to MS:0.400 mL/min, no split
Injection volume:10 μL
CompoundPrecursor ionProduct ion
NM108 triphosphate538.0152.0

[0000]

[0794]

NM 107 triphosphate and B102 triphosphate levels in cell extracts were observed as follows:

[0000]

Intracellular Triphosphate (pmol/million cells)
drug in cultureHumanMonkeyHepG2* Huh7*
B10299118381.59.2
NM10719101737
24 hr incubation in 10 μM drug
*72 hr incubation in 10 μM drug

[0795]

As seen from the data levels of intracellular triphosphate for B102 were higher compared to those for NM107.

Example 43

Demonstration of Potent Antiviral Activity of Second Generation Nucleoside Inhibitors, B102, in HCV-Infected Chimpanzees

[0796]

Nucleoside analogs such as NM107 (2′ methyl cytidine, valopicitabine nucleoside component) have shown efficacy against HCV in the clinical setting and their 5′-triphosphates (TP) can be potent inhibitors of HCV NS5B polymerase. However, their wide systemic distribution and inefficient hepatic conversion to TP may lead to reduced safety and antiviral activity. The in vivo preclinical safety and antiviral activity of the nucleotide prodrugs, B102 were assessed.

[0797]

Methods: For pharmacokinetic (PK) and toxicology studies, B102 were orally administered to rats or monkeys at doses from 20 to 300 mg/kg/day up to 14 days. Hepatic nucleoside TP levels were determined by LC-MS/MS. Compounds (10 mg/kg/day) were administered once daily by oral gavage for 4 days in chimpanzees chronically infected with HCV genotype 1. HCV viral loads were monitored before, during and after treatment by quantitative RT-PCR.

[0798]

Results: PK studies in rat and monkey revealed that B102 and has a first-pass hepatic extraction of >95% with low systemic exposure (<1%). Hepatic TP levels were 10-50-fold higher with nucleotide prodrugs versus a nucleoside counterpart. No toxicity was observed after administration of 50 mg/kg/day of A2 to monkeys for 14 days. No initial emesis or G1 toxicity was observed. In HCV-infected chimpanzees, B102 produced a rapid and potent antiviral effect followed by a rebound to baseline after drug discontinuation. Mean viral load reductions ranged from 1.5 log 10 with B102 to over 4 days of drug exposure. An equivalent dose of valopicitabine led to a 0.7 log 10 viral reduction. No lab abnormalities or evidence of toxicities were observed in chimpanzees.

[0799]

Thus, when orally administered, B102 generates high hepatic levels of triphosphates coupled with low systemic exposure, leading to rapid and potent inhibition of HCV replication in chimpanzees, thus demonstrating a promising in vivo preclinical safety profile and antiviral activity.

Example 44

[0800]

Compounds were tested in an anti-HBV assay. Determination of anti-HBV activity in HBV virions and nucleocapsids via endoenous polymerase assays (EPA)

[0801]

Drug susceptibility assay using a wild-type HBV producer cell line

[0000]

1. 12-well collagen-I coated plates were seeded with producer cells expressing wild-type HBV at a density of 0.5−1×106cells per well in 2 ml growth/selection media.
2. Drug stock solutions were made up freshly in 100% DMSO as 200× stocks. Five additional 4-fold dilutions were prepared from these 200× stock in 100% DMSO. For each experiment, 4 aliquots of each drug dilution series were stored at −20° C. until used.
3. Once cells reached confluency (1 day after cells were seeded), drug treatment was initiated by adding 10 μl of drug dilution into 2 ml of fresh growth/selection media. Thus, the final DMSO concentration did not exceed 0.5%. The no-drug control wells received only 10 μl of DMSO in fresh media.
4. Cells were treated every-other-day with 2 ml of fresh drug/medium for a total of 8 days. Cell lysates were then collected on day 10 and subjected to EPA analysis as described below.

Preparation of Nucleocapsid-Containing Lysates for EPA Analysis

[0802]

1. Cells were grown for 3 to 4 days in 12-well collagen-I coated plates until confluent.
2. Media was carefully aspirated and the cell monolayers were rinsed once with 1 ml of PBS.
3. One ml of lysis buffer (50 mM Tris-HCl pH 7.5/150 mM NaCl/5 mM MgCl2/0.2% NP-40) was added to each well. Plates were stored on ice for 30 min to 4 h.
4. Lysed cells were transferred to 1.5 ml-microfuge tubes.
5. Lysates were clarified by spinning at 14,000 rpm for 5 mM at room temperature.
6. Clarified lysates were transferred to fresh tubes and immediately frozen on dry-ice, then stored at −80° C. until endogenous polymerase assays were performed as described below.
Preparation of Secreted Virions from Supernatant for EPA Analysis
1. Cells were grown for 3 to 4 days in 12-well collagen-I coated plates until confluent.
2. Media was carefully aspirated and transferred to 1.5 ml-microfuge tubes.
3. Supernatants were clarified by spinning at 14,000 rpm for 5 min at room temperature.
4. Clarified supernatants were transferred to fresh tubes and immediately frozen on dry-ice, then stored at −80° C. until endogenous polymerase assays were performed essentially as described below.

Endogenous Polymerase Assay (EPA) of Cell Lysates and Supernatants

[0803]

1. EPAs were performed essentially as described by Seifer et al (1998). Intracellular HBV nucleocapsids were immunoprecipitated from the cytoplasmic lysates overnight at 4° C. with a polyclonal rabbit anti-HBcAg antibody and immobilized on protein A sepharose CL-4B beads. Secreted virions were immunoprecipitated from clarified cell supernatants overnight at 4° C. with a monoclonal mouse anti-LS antibody (MA 18/7) in the absence of detergent.
2. Following 3 washes of the immobilized capsids or virions with 1 ml of EPA wash buffer (75 mM NH4Cl, 50 mM Tris-HCl pH 7.4, 1 mM EDTA), endogenous polymerase reactions were initiated by adding 50 μl of detergent-containing EPA cocktail (50 mM Tris-HCl pH7.4, 75 mM NH4Cl, 1 mM EDTA, 20 mM MgCl2, 0.1 mM β-ME, 0.5% NP-40, 100 μM cold dGTP, TTP, dCTP, and 50 nM33P-dATP) and incubated overnight at 37° C. The detergent is required to strip the outer envelope from immunoprecipitated virions as well as to enhance permeability of the nucleocapsids.
3. Following digestion with 1 mg/ml of proteinase K for 1 h at 37° C., endogenously33P-labeled HBV DNA was liberated via phenol/chloroform extraction.
4. The nucleic acids were precipitated with 1 volume of 5M NIL-acetate and 2.5 volumes of 100% EtOH, and then separated on a 1% native agarose gel in Tris-borate-EDTA buffer.
5. Gels were blotted onto positively charged nylon membrane overnight at room temperature via capillary transfer in 0.4 N NaOH.
6. Dried membranes were exposed to a PhosphorImager screen (GE Healthcare) overnight at room temperature, then scanned (Storm 860, GE Healthcare) and quantitated with ImageQuant software (GE Healthcare).
7. The 50% effective concentration (EC50) values were calculated from the resulting best-fit equations determined by Xlfit, version 4.1 (IDBS).

[0804]

The following results were obtained.

[0000]

A348 (NM 48)+++
A362 (NM 77)++++
A616 (NM 128)++
C819 (NM 177)++++
A361 (NM 55)+++
A550 (NM 204)++++++
C791++
B261+++
PMEA+++
L-dT+++
EC50in HBV virion and RI is provided as follows:
+++ ≦1 μm, ++ >1-10 μm and + >10 μm

Example 45

Ethynyl Nucleosides for the Treatment of HCV

[0805]

Exemplary compound syntheses are described below:

[0000]

29: {9-[(2R)-2-Deoxy-2-fluoro-2-C-ethynyl-β-D-erythro-furanosyl]-guanin}-5′-yl-O-(triphenylmethyloxy-tert-butyl-S-acyl-2-thioethyl) H-phosphonate

[0806]

To a stirred solution of 7j (0.32 mmol) and S-(2-Phosphite-ethyl) 2,2-dimethyl-3-triphenylmethyloxy-thiopropionate (0.42 mmol) in pyridine (5 ml) at −15° C. was added dropwise pivaloyl chloride (0.64 mmol) under nitrogen. The reaction mixture was stirred at −15° C. for 2 hours. Dichloromethane and NH4Cl solution were added. Organic phase was separated washed with NH4Cl solution, dried over Na2SO4, filtered and concentrated under reduced pressure. The crude material was purified by flash column chromatography (DCM/MeOH) to yield the title compound Brown powder. Molecular Formula C38H39FN5O8PS NMR (DMSO-d6, 400 MHz) δ (ppm) 1.12 (s, 6H), 1.84 (m, 4H) 3.04 (s, 2H), 3.92 (d, J=5.60 Hz, 1H), 4.01-4.10 (m, 3H), 4.33-4.39 (m, 2H), 4.60-4.66 (m, 1H), 6.13 (d, J=18.00 Hz, 1H), 6.67 (s, 2H), 7.21-7.35 (m, 15H), 7.81 (s, 1H), 10.86 (brs, 1H)

30a: N-(4-fluoro-benzylaminyl)-{9-[(2R)-2-deoxy-2-fluoro-2-C-ethynyl-β-D-erythro-furanosyl]-guanin}-5′-yl-O-(triphenylmethyloxy-tert-butyl-S-acyl-2-thioethyl)phosphate

[0807]

To a stirred solution of 29 (0.088 mmol) in anhydrous carbon tetrachloride (880 μL), 4-fluoro-benzylamine (0.44 mmol) was added dropwise. The reaction mixture was stirred at room temperature for 2 h and evaporated to dryness (bath temperature not exceeding 30° C.). The crude mixture was filtered on a silica gel plug, eluting with a gradient 0-10% methanol in dichloromethane to yield the title compound. White solid. Molecular Formula C45H45F2N6O8PS1H NMR (DMSO-d6, 400 MHz) δ (ppm) 1.09 (s, 6H), 3.03 (s, 2H), 3.39-3.41 (m, 2H), 3.90-3.93 (m, 5H), 4.05-4.08 (m, 1H), 4.20-4.23 (m, 2H), 4.62-4.65 (m, 1H), 5.74 (m, 1H), 6.08-6.14 (dd, J=17.94 Hz and J=4.22 Hz, 1H), 6.32 (m, 1H), 6.67 (s, 2H), 7.21-7.35 (m, 19H), 7.81 (s, 1H), 10.86 (brs, 1H)31P NMR (DMSO-d6, 162 MHz) δ (ppm) 9.83 (s, 1P)19F NMR (DMSO-d6, 235 MHz) δ (ppm) −116.24 (s, 1F), −158-0.2 (s, 1F) Scan ES+899 (M−H)+, UV λmax255 nm

31a: N-(4-fluoro-benzylaminyl)-{9-[(2R)-2-deoxy-2-fluoro-2-C-ethynyl-β-D-erythro-furanosyl]-guanin}-5′-yl-O-(hydroxy-tert-butyl-S-acyl-2-thioethyl)phosphate

[0808]

30a (0.09 mmol) was dissolved in dichloromethane (320 μL) and treated with formic acid (32 μL). The mixture was stirred at room temperature for 10 min, filtered through a solid phase extraction column eluting with a gradient 0-30% methanol in dichloromethane, then purified by reverse phase (C 18) silica gel column chromatography eluting with a gradient 0-100% acetonitrile in water and lyophilised from a mixture of water/dioxan to yield the title compound. White solid. Molecular Formula C26H31F2N6O8PS NMR (d6-DMSO, 400 MHz) δ (ppm) 1.09 (s, 6H), 3.03 (s, 2H), 3.39-3.41 (m, 2H), 3.90-3.93 (m, 5H), 4.05-4.08 (m, 1H), 4.20-4.23 (m, 2H), 4.62-4.65 (m, 1H), 4.92 (m, 1H), 5.74 (m, 1H), 6.08-6.14 (dd, J=17.94 Hz and J=4.22 Hz, 1H), 6.32 (m, 1H), 6.67 (s, 2H), 7.21-7.35 (m, 4H), 7.81 (s, 1H), 10.86 (brs, 1H)31P NMR (DMSO-d6, 162 MHz) δ (ppm) 9.66 (s, 1P)19F NMR (DMSO-d6, 235 MHz) δ (ppm) −116.24 (s, 1F), −158.44 (s, 1F) Scan ES+657 (M−H)+, UV λmax254 nm

30b: N-(4-methoxy-benzylaminyl)-{9-[(2R)-2-deoxy-2-fluoro-2-C-ethynyl-β-D-erythro-furanosyl]-guanin}-5′-yl-O-(triphenylmethyloxy-tert-butyl-S-acyl-2-thioethyl)phosphate

[0809]

30b was synthesized from 29 and 4-methoxy-benzylamine as described for 30a. White solid. Molecular Formula C46H48FN6O9PS1H NMR (DMSO-d6, 400 MHz) (ppm) 1.09 (s, 6H), 3.03 (m, 2H), 3.42 (d, J=5.02 Hz, 2H), 3.71 (d, J=3.60 Hz, 3!:H), 3.85-3.90 (m, 5H), 4.06-4.10 (m, 1H), 4.23-4.29 (m, 2H), 4.60-4.66 (m, 1H), 5.54-5.57 (m, 1H), 6.08-6.14 (dd, J=17.94 Hz and J=4.22 Hz, 1H), 6.28-6.33 (m, 1H), 6.60 (s, 2H), 6.80-6.85 (m, 2H), 7.18-7.20 (m, 2H), 7.23-7.25 (m, 15H), 7.82 (s, 1H), 10.56 (brs, 1H))31P NMR (DMSO-d6, 162 MHz) δ (ppm) 9.83 (s, 1P)19F NMR (DMSO-d6, 235 MHz) δ (ppm) −116.24 (s, 1F), −158.2 (s, 1F) Scan ES+911 (M−H)+, UV λmax255 nm

31b: N-(4-methoxy-benzylaminyl)-{9-[(2R)-2-deoxy-2-fluoro-2-C-ethynyl-β-D-erythro-furanosyl]-guanin}-5′-yl-O-(hydroxy-tert-butyl-S-acyl-2-thioethyl)phosphate

[0810]

31b was synthesized from 30b as described for 31a. White solid. Molecular Formula C27H34FN6O9PS1H NMR (d6-DMSO, 400 MHz) δ (ppm) 1.09 (s, 6H), 3.03 (m, 2H), 3.42 (d, J=5.02 Hz, 2H), 3.71 (d, J=3.60 Hz, 3H), 3.85-3.90 (m, 5H), 4.06-4.10 (m, 1H), 4.23-4.29 (m, 2H), 4.60-4.66 (m, 1H), 4.92 (t, J=5.50 Hz, 1H), 5.54-5.57 (m, 1H), 6.08-6.14 (dd, J=17.94 Hz and J=4.22 Hz, 1H), 6.28-6.33 (m, 1H), 6.60 (s, 2H), 6.80-6.85 (m, 2H), 7.18-7.20 (m, 2H), 7.82 (s, 1H), 10.56 (brs, 1H)31P NMR (DMSO-d6, 162 MHz) δ (ppm) 9.86 (s, 1P)19F NMR (DMSO-d6, 235 MHz) δ (ppm) −158.24 (s, 1F) Scan ES+669 (M−H)+, UV λmax254 nm

30c: N-(4-trifluoro-benzylaminyl)-{9-[(2R)-2-deoxy-2-fluoro-2-C-ethynyl-β-D-erythro-furanosyl]-guanin}-5′-yl-O-(triphenylmethyloxy-tert-butyl-S-acyl-2-thioethyl)phosphate

[0811]

30c was synthesized from 29 and 4-trifluoromethyl-benzylamine as described for 30a. White solid. Molecular Formula C46H45F4N6O8PS1H NMR (d6-DMSO, 400 MHz) (ppm) 1.09 (s, 6H), 3.03 (t, J=6.44 Hz, 2H), 3.42 (s, 2H), 3.87-3.92 (m, 5H), 4.03-4.08 (m, 1H), 4.24-4.29 (m, 2H), 4.60-4.64 (m, 1H), 5.79-5.82 (m, 1H), 6.08-6.14 (dd, J=17.94 Hz and J=4.22 Hz, 1H), 6.28-6.33 (m, 1H), 6.60 (s, 2H), 7.23-7.25 (m, 15H), 7.50-7.70 (m, 4H), 8.25 (brs, 1H), 10.76 (brs, 1H),31P NMR (DMSO-d6, 162 MHz) δ (ppm) 9.86 (s, 1P)19F NMR (DMSO-d6, 235 MHz) δ (ppm) −158.20 (s, 1F) Scan ES+949 (M−H)+, UV λmax254 nm

31c: N-(4-trifluoromethyl-benzylaminyl)-{9-[(2R)-2-deoxy-2-fluoro-2-C-ethynyl-β-D-erythro-furanosyl]-guanin}-5′-yl-O-(hydroxy-tert-butyl-S-acyl-2-thioethyl)phosphate

[0812]

31c was synthesized from 30c as described for 31a. White solid. Molecular Formula C27H31F4N6O8PS1NMR (d6-DMSO, 400 MHz) δ (ppm) 1.09 (s, 6H), 3.03 (t, J=6.44 Hz, 2H), 3.42 (s, 2H), 3.87-3.92 (m, 5H), 4.03-4.08 (m, 1H), 4.24-4.29 (m, 2H), 4.60-4.64 (m, 1H), 4.91 (brs, 1H), 5.79-5.82 (m, 1H), 6.08-6.14 (dd, J=17.94 Hz and J=4.22 Hz, 1H), 6.28-6.33 (m, 1H), 6.60 (s, 2H), 7.50-7.70 (m, 4H), 8.25 (brs, 1H), 10.64 (brs, 1H),31P NMR (DMSO-d6, 162 MHz) δ (ppm) 9.86 (s, 1P)19F NMR (DMSO-d6, 235 MHz) δ (ppm) −158.24 (s, 1F) Scan ES+669 (M−H)+, UV λmax254 nm

[0813]

Further exemplary compounds synthesized using procedures similar to those described herein are listed below. Note the following names for the compounds synthesized in the examples.

  • 6a: 6-Chloro-9-[(2R)-2-deoxy-2-C-ethynyl-2-fluoro-β-D-erythro-pentofuranosyl]purine
  • 6b: N2-Isobutyryl-9-[(2R)-2-deoxy-2-C-ethynyl-2-fluoro-β-D-erythro-pentofuranosyl]guanine
  • 6c: 1-[(2R)-2-Deoxy-2-C-ethynyl-2-fluoro-β-D-erythro-pentofuranosyl]uracile
  • 6d: 1-[(2R)-2-Deoxy-2-C-ethynyl-2-fluoro-β-D-erythro-pentofuranosyl]thymine
  • 6e: N4-Benzoyl-1-[(2R)-2-deoxy-2-C-ethynyl-2-fluoro-β-D-erythro-pentofuranosyl]cytosine
  • 6f: 5-Fluoro-1-[(2R)-2-deoxy-2-C-ethynyl-2-fluoro-β-D-erythro-pentofuranosyl]uracile
  • 6g: 4-Chloro-7-[(2R)-2-deoxy-2-C-ethynyl-2-fluoro-β-D-erythro-pentofuranosyl]pyrrolo[2,3-d]pyrimidine
  • 7i: 9-[(2R)-2-Deoxy-2-C-ethynyl-2-fluoro-β-D-erythro-pentofuranosyl]adenine
  • 7j: 9-[(2R)-2-Deoxy-2-C-ethynyl-2-fluoro-β-D-erythro-pentofuranosyl]guanine
  • 7k: 1-[(2R)-2-Deoxy-2-C-ethynyl-2-fluoro-β-D-erythro-pentofuranosyl]cytosine
  • 7l: 4-Amino-7-[(2R)-2-deoxy-2-C-ethynyl-2-fluoro-β-D-erythro-pentofuranosyl]pyrrolo[2,3-d]pyrimidine
  • 11c: 1-[(2R)-2-Deoxy-2-C-ethynyl-2-fluoro-β-D-erythro-pentofuranosyl]-uracil-5′-yl-bis(S-pivaloyl-2-thioethylphosphate
  • 11f: 1-[(2R)-2-Deoxy-2-C-ethynyl-2-fluoro-β-D-erythro-pentofuranosyl]-5-fluorouracil-5′-yl-bis(S-pivaloyl-2-thioethylphosphate)
  • 11k: 1-[(2R)-2-Deoxy-2-C-ethynyl-2-fluoro-β-D-erythro-pentofuranosyl]-cytosin-5′-yl-bis(S-pivaloyl-2-thioethylphosphate)
  • 11l: 1-[(2R)-2-Deoxy-2-C-ethynyl-2-fluoro-β-D-erythro-pentofuranosyl]-4-aminopyrrolo[2,3-d]pyrimidin-5′-yl-bis(S-pivaloyl-2-thioethylphosphate)
  • 16: 9-[(2R)-2,3-Dideoxy-2-C-ethynyl-2-fluoro-β-D-glycero-pentofuranosyl]guanine
  • 17: 9-[(2R)-2,3-Dideoxy-2-C-ethynyl-2-fluoro-β-D-glycero-pentofuranosyl]guanin-5′-yl-bis(S-pivaloyl-2-thioethylphosphate)
  • 20: 9-[(2R)-2-Deoxy-2-C-ethynyl-2-fluoro-β-D-erythro-pentofuranosyl]guanin-5′-yl-bis(S-pivaloyl-2-thioethylphosphate
  • 23: 9-[(2R)-2-Deoxy-3,5-di-O-isobutyryl-2-C-ethynyl-2-fluoro-β-D-erythro-pentofuranosyl]guanine
  • 24: N2-Isobutyryl-9-[(2R)-2-Deoxy-3,5-di-O-isobutyryl-2-C-ethynyl-2-fluoro-β-D-erythro-pentofuranosyl]guanine
  • 27i: 9-[(2R)-2-Deoxy-2-C-ethynyl-2-fluoro-β-D-erythro-pentofuranosyl]adenine 5′-triphosphate sodium salt
  • 27j: 9-[(2R)-2-Deoxy-2-C-ethynyl-2-fluoro-β-D-erythro-pentofuranosyl]guanine 5′-triphosphate sodium salt
  • 28: 9-[(2R)-2,3-dideoxy-2-C-ethynyl-2-fluoro-β-D-glycero-pentofuranosyl]guanine 5′-triphosphate sodium salt

[0000]

[0000]

[0000]

[0000]

[0000]

[0000]

3a: 6-Chloro-9-[2-oxo-3,5-O-(1,3-diyl-1,1,3,3-tetraisopropyldisiloxane)-β-D-ribo-furanosyl]purine

[0837]

6-Chloro-[3,5-O-(1,3-diyl-1,1,3,3-tetraisopropyldisiloxane)-β-D-ribo-furanosyl]purine (18.84 mmol) was coevaporated twice with THF then dissolved in anhydrous THF (50 mL). Anhydrous DMSO (119.82 mmol) was added and the resulting solution was cooled down to between −40° C. and −30° C. Trifluoroacetic anhydride (36.17 mmol) was added dropwise and the solution was stirred between −40° C. and −30° C. for 2 h after which EtN3(97.52 mmol) was added. The resulting solution was allowed to warm up to room temperature over 30 min while stirring, then diluted with diethyl ether and washed with H2O, dried (Na2SO4) and evaporated to dryness. The crude material was purified by column chromatography eluting with 1% ethyl acetate in dichloromethane. The yellow oil obtained was dissolved in DCM and stirred with an excess of MgSO4at room temperature for 36 h, filtered and concentrated under reduced pressure to give the title compound. Pale yellow foam. Molecular Formula C22H35ClN4O5Si2.1H NMR (DMSO-d6, 250 MHz) δ (ppm) 9.01 (s, 1H, H-8), 8.61 (s, 1H, H-2), 6.35 (s, 1H, H-1′), 5.35 (d, 1H, H-3′, J3′-4′=9.7 Hz), 4.31 (m, 1H, H-4′), 4.12-4.09 (m, 2H, H-5′, H-5″), 1.22-0.94 (m, 28H, iPr). LRFAB-MS (GT): 527 (M+H)+, 525 (M−H). UV λmax263 nm. Rf0.17 (ethyl acetate/CH2Cl, 10/90, v/v).

4a and 4′ a: 6-Chloro-9-[3,5-O-(1,3-diyl-1,1,3,3-tetraisopropyldisdoxane)-2-C-trimethylsilylethynyl-β-D-arabino-furanosyl]purine (4a) and 6-chloro-9-[3,5-O-(1,3-diyl-1,1,3,3-tetraisopropyl-disiloxane)-2-C-trimethylsilylethynyl-β-D-ribo-furanosyl]purine (4′a)

[0838]

Trimethylsilylacetylene (59.20 mmol) was dissolved in anhydrous THF (70 mL). n-Butyllithium (37 mL, 1.6 M in hexanes) was added dropwise at −78° C. The reaction mixture was stirred for 30 min at −78° C. and then allowed to warm up to −55° C. 3a (11.84 mmol) in solution in THF (34 mL) was added dropwise at −78° C. The reaction mixture was stirred for 1 h at −78° C. and then allowed to warm up to −30° C. The reaction was quenched by careful addition of aqueous saturated NH4Cl (45 mL) at −78° C. After warming to room temperature, the mixture was diluted with diethyl ether, washed with saturated brine, dried (Na2SO4) and concentrated to dryness. The crude material was purified by silica gel chromatography eluting with 20% Et2O in petroleum ether to yield two compounds: 4a (4.62 g, 62%). Pale yellow foam. Molecular Formula C27H45ClN4O5Si31H NMR (DMSO-d6, 200 MHz) δ (ppm) 8.81 (s, 1H, 1H), 8.64 (s, 1H, H-2), 6.64 (s, 1H, OH-2′), 6.33 (s, 1H, H-1′), 4.57 (d, 1H, H-3′, J3′4′=6.6 Hz), 4.20-3.97 (m, 3H, H-4′, H-5′ and H-5″), 1.20-1.00 (m, 28H, iPr), 0.14 (s, 9H, Si(CH3)3). LRFAB-MS (GT): 625 (M+H)+. Rf0.72 (ethyl acetate/CH2Cl, 10/90, v/v);

[0000]

and 4′ a (0.75 g, 10%). Yellow oil. Molecular Formula C27H45ClN4O5Si31H NMR (DMSO-d6, 200 MHz) δ (ppm) 8.80 (s, 1H, H-8), 8.73 (s, 1H, H-2), 6.64 (s, 1H, OH-2′), 6.55 (s, 1H, H-1′), 4.62 (d, 1H, H-3′,3J3′-4′=9.1 Hz), 4.39 (m, 1H, H-4′), 4.13 (dd, 1H, H-5′, J5′-4′=3.4 Hz,2J5′-5″=13.2 Hz), 3.90 (dd, 1H, H-5″, J5″-4′=2.6 Hz,2J5″-5″=13.2 Hz), 1.15-1.00 (m, 28H, iPr), 0.10 (s, 9H, Si(CH3)3). LRFAB-MS (GT): 625 (M+H)+. Rf0.64 (ethyl acetate/CH2Cl, 10/90, v/v).

5a: 6-Chloro-9-[(2R)-2-deoxy-2-fluoro-3,5-O-(1,3-diyl-1,1,3,3-tetraisopropyldisiloxane)-2-C-trimethylsilylethynyl-β-D-erythro-pentofuranosyl]purine

[0839]

4a (6.78 mmol) was dissolved in dried toluene (31.8 mL) under argon and cooled to −20° C. DAST (40.68 mmol) was added dropwise and the cooling bath was removed after the addition was complete. Stirring was continued for 1.5 hour and the mixture was dissolved with ethyl acetate and poured into saturated NaHCO3and stirred for 5 min. The organic layer was washed with saturated brine, dried (Na2SO4), concentrated, and purified by silica gel chromatography eluting with 20% Et2O in petroleum ether to give the title compound (1.11 g, 26%). Yellow oil. Molecular Formula C27H44ClN4O4Si3.1H NMR (CDCl3-d6, 200 MHz) δ (ppm) 8.79 (s, 1H, H-8), 8.48 (s, 1H, H-2), 6.48 (d, 1H, H-1′, J1′-F=16.0 Hz), 4.74 (dd, 1H, H-3′, J3′-4′=9.4 Hz, J3′-F=22.4 Hz), 4.36 (d, 1H, H-5′,2J5′-5″32 13.4 Hz), 4.20 (m, 1H, H-4′), 4.10 (dd, 1H, H-5″,2J5″-5′=13.4 Hz, J5″-4′=2.6 Hz), 1.30-1.10 (m, 28H, iPr), 0.00 (s, 9H, Si(CH3)3). LRFAB-MS (GT): 627 (M+H)+. UV λmax263 nm. Rf0.24 (diethyl ether/petroleum ether, 30/70, v/v).

6a: 6-Chloro-9-[(2R)-2-deoxy-2-C-ethynyl-2-fluoro-β-D-erythro-pentofuranosyl]purine

[0840]

A mixture of 5a (3.65 mmol) and ammonium fluoride (47.45 mmol) in methanol (12.5 mL) was heated at reflux for 2 h. After cooling down to room temperature, the mixture was concentrated to dryness and purified on silica gel chromatography eluting with a stepwise gradient 2-4% of methanol in DCM to provide the title compound (0.89 g, 78%). Yellow solid. Molecular Formula C12H10ClFN4O3.1H NMR (DMSO-d6, 200 MHz) δ(ppm) 9.02 (s, 1H, H-8), 8.89 (s, 1H, H-2), 6.55 (d, 1H, H-1′, J1′-F=16.1 Hz), 6.34 (ld, 1H, OH-3′), 5.38 (lt, 1H, OH-5′), 4.64 (dt, 1H, H-3′, J3′-4′=9.3 Hz, J3′-F=22.5 Hz), 4.07 (m, 1H, H-4′), 3.83 (m, 2H, H-5′, H-5″), 3.76 (d, 1H, ethynyl,4JH-F=5.3 Hz).13C NMR (DMSO-d6, 75 MHz) δ(ppm) 152.0 (C-2), 151.2 (C-4), 149.5 (C-6), 144.7 (C-8), 130.9 (C-5), 95.1 (d, C-2′,1J2′-F=182.3 Hz), 88.0 (d, C-1′,2J1′-F=39.8 Hz), 82.9 (d, CCH, JC-F=8.2 Hz), 82.5 (C-4′), 75.3 (d, CCH, JC-F=31.5 Hz), 72.7 (d, C-3′,2J3′-F=19.5 Hz), 59.0 (C-5′).19F NMR (DMSO-d6, 235 MHz) δ(ppm) −159.0 (m). LC/MS: (M+H+) 313.1 (8.29 min). UV λmax262 nm. Rf0.21 (MeOH/CH2Cl, 7/93, v/v).

7i: 9-[(2R)-2-Deoxy-2-C-ethynyl-2-fluoro-β-D-erythro-pentofuranosyl]adenine

[0841]

6a (2.24 mmol) was dissolved in saturated ammoniacal methanol (80 mL) and heated for 4 h in a steel bomb at 90° C. After cooling down to room temperature the mixture was coevaporated to dryness and purified by silica gel chromatography eluting with a gradient 5-8% of methanol in DCM to yield the title compound (305 mg, 46%). Yellow solid. Molecular Formula C12H12FN5O3.1H NMR (DMSO-d6, 200 MHz) δ(ppm) 8.40 (s, 1H, H-8), 8.17 (s, 1H, H-2), 7.38 (ls, 2H, NH2) 6.35 (d, 1H, H-1′,3J1′-F=17.1 Hz), 6.25 (m, 1H, OH-3′), 5.33 (ft, 1H, OH-5′), 4.68 (m, 1H, H-3′), 4.00-3.69 (m, 3H, H-4′, H-5′, H-5″), 3.77 (d, 1H, ethynyl,4JH-F=5.4 Hz).13C NMR (DMSO-d6, 75 MHz) δ(ppm) 155.8 (C-4), 152. (C-2), 149.0 (C-6), 138.7 (C-8), 118.5 (C-5), 95.4 (d, C-2′,1J2′-F=180.8 Hz), 87.6 (d, C-1′,2J1′-F=40.5 Hz), 82.5 (d, CCH,3JC-F=8.0 Hz), 82.0 (C-4′), 74.5 (d, CCH,2JC-F=31.0 Hz), 72.8 (d, C-3′,2J3′-F=19.5 Hz), 59.2 (C-5′).19F NMR (DMSO-d6, 235 MHz) δ(ppm) −158.0 (t). LC/MS: (M+H+) 294.1 (5.74 min). UV λmax258 nm. Rf0.33 (MeOH/CH2Cl, 15/85, v/v).

4b: N2-Isobutyryl-9-[3,5-O-(1,3-diyl-1,1,3,3-tetraisopropyldisiloxane)-2-C-trimethylsilylethynyl-β-D-arabino-furanosyl]guanine

[0842]

To a suspension of CrO3(110.76 mmol) in DCM (220 mL) at 0° C., acetic anhydride (110.76 mmol) and anhydrous pyridine (221.52 mmol) were added. 9-[3,5-O-(1,3-Diyl-1,1,3,3-tetraisopropyldisiloxane)-ribo-furanosyl]-N2-isobutyrylguanine (36.92 mmol) in solution in DCM (110 mL) was added dropwise. The cooling bath was removed and the resulting solution stirred at room temperature for 5 h. The reaction mixture was poured into cold ethyl acetate, filtered through a silica and celite gel plug, concentrated to dryness and coevaporated twice with toluene. The residue obtained was dissolved in DCM and stirred with an excess of MgSO4overnight, filtered and evaporated to get the ketone. The trimethylsilylacetylene (88.60 mmol) was dissolved in anhydrous THF (98 mL) under argon. n-Butyllithium (55.4 mL, 1.6 M in hexanes) was added dropwise at −78° C. The reaction mixture was stirred for 30 min at −78° C. and then allowed to warm up to −55° C. The ketone in solution in THF (49 mL) was added dropwise at −78° C. The reaction mixture was stirred for 1 h at −78° C. and then allowed to warm up to −30° C. and stirred for 3 h. The reaction was quenched by careful addition of aqueous saturated NH4Cl (72 mL) at −78° C. After warming to room temperature, the mixture was diluted with ethyl acetate, washed twice with saturated brine, dried (Na2SO4) and concentrated to dryness. The crude material was purified using column chromatography eluting with 1.5% MeOH in dichloromethane to give the title compound (8.59 g, 34%, 2 steps). Pale yellow foam. Molecular Formula C31H55N5O6Si3.1H NMR (DMSO-d6, 250 MHz) δ(ppm) 12.10 (ls, 1H, NH), 11.69 (ls, 1H, NH), 7.91 (s, 1H, H-8), 6.69 (s, 1H, OH), 5.94 (s, 1H, H-1′), 4.29 (d, 1H, H-3′, J3′-4′=5.5 Hz), 3.85-3.95 (m, 3H, H-4′, H-5′ and H-5″), 2.46 (m, 1H, CH(CH3)2), 0.90-1.08 (m, 30H, iPr and CH(CH3)3), 0.00 (s, 9H, Si(CH3)2). LC/MS: (M+H+) 692.4 (24.96 min). UV λmax1254 nm, λmax2281 nm. Rf0.34 (MeOH/CH2Cl, 15/85, v/v).

5b: N2-Isobutyryl-9-[(2R)-2-deoxy-2-fluoro-3,5-O-(1,3-diyl-1,1,3,3-tetraisopropyldisiloxane)-2-C-trimethyl-silylethynyl-β-D-erythro-pentofuranosyl]guanine

[0843]

4b (2.89 mmol) was dissolved in dried DCM (60 mL) under argon and pyridine (18.06 mmol) was added. The reaction mixture was cooled to −20° C. and DAST (31.35 mmol) was added dropwise. The cooling bath was removed after completion of the addition. Stirring was continued for 1 h 15 and the mixture was dissolved with ethyl acetate and poured into saturated NaHCO3and stirred for 5 min. The organic layer was washed with saturated brine, dried (Na2SO4), concentrated, and purified by silica gel chromatography eluting with ethyl acetate in DCM (2%) to give the title compound (1.41 g, 70%). Yellow oil. Molecular Formula C31H54FN5O5Si3.1H NMR (DMSO-d6, 250 MHz) δ (ppm) 12.22 (s, 1H, NH), 8.09 (s, 1H, H-8), 6.21 (d, 1H, H-1′, J1′-F=15.6 Hz), 4.54 (dd, 1H, H-3′, J3′-F=23.6 Hz, J3′-4′=9.8 Hz), 4.33 (m, 1H, H-5′,2J5′-5″=13.1 Hz), 4.16 (m, 1H, H-5″), 2.81 (m, 1H, CH(CH3)2), 1.13-1.03 (m, 34H, iPr and CH(CH3)2), 0.08 (s, 9H, Si(CH3)3,3JH-H=6.9 Hz).19F NMR (DMSO-d6, 235 MHz) δ(ppm) −160.26 (dd, Jf-1′=16.1 Hz, JF-3′=23.3 Hz). LC/MS: (M+H+) 694.7 (24.02 min). LRFAB-MS (GT): 694 (M−H)+, 692 (M−H). UV λmax256 nm. Rf0.46 (MeOH/CH2Cl, 05/95, v/v).

6b: N2-Isobutyryl-9-[(2R)-2-deoxy-2-C-ethynyl-2-fluoro-β-D-erythro-pentofuranosyl]guanine

[0844]

5b (1.89 mmol) was dissolved in methanol (13.8 mL) and ammonium fluoride (24.54 mmol) was added. The resulting solution was stirred at reflux for 1 h and evaporated to dryness. The crude material was purified on silica gel chromatography eluting with a stepwise gradient 6-10% of methanol in DCM to yield the title compound (344 mg, 48%). Pale yellow oil. Molecular Formula C16H20FN5O4Si3.1H NMR (DMSO-d6, 400 MHz) δ(ppm) 12.18 (ls, 1H, NH), 11.77 (ls, 1H, NH), 8.34 (s, 1H, H-8), 6.29 (d, 1H, OH-3′, JOH-3′=7.5 Hz), 6.20 (d, 1H, H-1′, J1′-F=16.2 Hz), 5.39 (t, 1H, OH-5′, JOH-5′=5.1 Hz), 4.52 (dt, 1H, H-3′, J3′-F=22.9 Hz), 3.98 (m, 1H, H-4′), 3.90-3.85 (m, 2H, H-5′ and ethynyl), 3.72 (m, 1H, H-5″), 2.52 (m, 1H, CH(CH3)2), 1.14 (d, 6H, CH(CH3)2,3JH-H=6.9 Hz).13C NMR (DMSO-d6, 100 MHz) δ(ppm) 180.7 (C-6), 155.3 (C-2), 148.9 (C-4), 137.3 (C-8), 120.4 (C-5), 95.8 (d, C-2′,1J2′-F=182.1 Hz), 87.7 (d, C-1′,2J1′-F=39.2 Hz), 83.4 (d, CCH,3JC-F=9.1 Hz), 82.6 (C-4′), 75.9 (d, CCH,2JC-F=31.2 Hz), 72.9 (d, C-3′,2J3′-F=19.1 Hz), 59.3 (C-5′).19F NMR (DMSO-d6, 235 MHz) δ(ppm) −158.9 (m). LC/MS: (M+H+) 380.3 (8.34 min). UV λmax1256 nm, Rf0.40 (MeOH/CH2Cl, 15/85, v/v).

9-[(2R)-2-Deoxy-2-C-ethynyl-2-fluoro-β-D-erythro-pentofuranosyl]guanine

[0845]

6b (1.33 mmol) was dissolved in saturated methanolic ammonia (62 mL) and stirred at room temperature for 20 h. The reaction mixture was then evaporated to dryness under reduced pressure. The residue was dissolved in water and washed twice with ethyl acetate. The aqueous layer was evaporated and purified on reverse phase column chromatography (C 18) eluting with a gradient 2-15% of acetonitrile in water. The residue obtained was then dissolved in hot ethyl acetate, filtered and dried to give the title compound (134 mg, 33%). Yellow solid. Molecular Formula C12H12FN5O41H NMR (DMSO-d6, 400 MHz) δ(ppm) 10.70 (ls, 1H, NH), 7.98 (s, 1H, H-8), 6.60 (ls, 2H, NH2), 6.21 (d, 1H, OH-3′, JOH-3′=7.6 Hz), 5.83 (d, 1H, H-1′, J1′-F=16.9 Hz), 5.29 (t, 1H, OH-5′, JOH-5′=5.2 Hz), 4.50 (td, 1H, H-3′, J3′-F=22.8 Hz, J3′-4′=9.2 Hz), 3.93-3.81 (m, 3H, H-4′, H-5′ and ethynyl), 3.70 (m, 1H, H-5″).13C NMR (DMSO-d6, 100 MHz) δ(ppm) 157.2 (C-6), 154.3 (C-2), 151.05 (C-4), 135.1 (C-8), 116.7 (C-5), 96.4 (d, C-2′,1JC-F=182.1 Hz), 87.4 (d, C-1′,2JC-F=39.2 Hz), 83.1 (d, CCH, JC-F=9.1 Hz), 82.4 (C-4′), 76.2 (d, CCH,2JC-F=31.2 Hz), 73.2 (d, C-3′,2JC-F=20.1 Hz), 59.5 (C-5′).19F NMR (DMSO-d6, 235 MHz) δ(ppm) −158.5 (m). LC/MS (A): (M+H+) 310.1 (5.55 min). LRFAB-MS (GT): 619 (2M-41)+, 310 (M+H)+, 152 (B+H)+, 617 (2M−H), 308 (M−H). UV λmax253 nm

3c: 1-[2-oxo-3,5-O-(1,3-diyl-1,1,3,3-tetraisopropyldisiloxane)-β-D-ribo-furanosyl]uracile

[0846]

3c was synthesized from 1-[3,5-O-(1,3-diyl-1,1,3,3-tetraisopropyldisiloxane)-ribo-furanosyl]uracile as described for 3a. Pale yellow foam. Molecular Formula C21H36N2O7Si21H NMR (DMSO-d6, 400 MHz) δ(ppm) 11.58 (ls, 1H, NH), 7.74 (d, 1H, H-6, J6-5=8.0 Hz), 5.68 (d, 1H, H-5, J5-6=8.0 Hz), 5.45 (s, 1H, H-1′), 4.97 (d, 1H, H-3′, J3′-4′=9.2 Hz), 4.06-3.90 (m, 3H, H-4′, H-5′), 1.14-0.87 (m, 28H, iPr). LR LC/MS: (M+H+) 485.1 (M−H) 483.1 (5.53 min). UV λmax262 nm. Rf0.40 (MeOH/CH2Cl, 05/95, v/v).

[0000]

4c: 1-[3,5-O-(1,3-diyl-1,1,3,3-tetraisopropyldisiloxane)-2-C-trimethylsilylethynyl-β-D-arabino-furanosyl]uracile Yoshimura, Y.; Iino, T.; Matsuda, A. Tetrahedron Lett. 1991, 32, 6003-6006.

[0847]

Molecular Formula C26H46N2O7Si31H NMR (DMSO-d6, 400 MHz) δ(ppm) 11.35 (ls, 1H, NH), 7.44 (d, 1H, H-6, J6-5=8.0 Hz), 6.54 (s, 1H, OH), 6.02 (s, 1H, H-1′), 5.54 (d, 1H, H-5, J6-5=8.0 Hz), 4.13-3.93 (m, 3H, H-3′, H-5′), 3.75 (m, 1H, H-4′), 1.03-0.96 (m, 28H, iPr), 0.00 (s, 9H, Si(CH3)3).13C NMR (DMSO-d6, 100 MHz) δ(ppm) 163.4 (C-4), 150.8 (C-2), 141.6 (C-6), 103.6 (CCSi), 101.2 (C-5), 92.5 (CCSi), 87.3 (C-1′), 80.9 (C-4′), 77.9 (C-2′), 75.9 (C-3′), 61.8 (C-5′), 17.7-17.1 (8C, 4 SiC(CH3)2), 13.3-12.6 (4C, 4 SiC(CH3)2), 0.2 (3C, Si(CH3)3). LR LC/MS: (M+H+) 583.2 (M−H) 581.2 (6.72 min). UV λmax261 nm. Rf0.27 (Ethyl acetate/CH2Cl, 10/90, v/v).

5c: 1-[(2R)-2-Deoxy-2-fluoro-3,5-O-(1,3-diyl-1,1,3,3-tetraisopropyldisiloxane)-2-C-trimethylsilylethynyl-β-D-erythro-pentofuranosyl]uracile

[0848]

5c was synthesized from 4c as described for 5a. Yellow oil. Molecular Formula C27H49FN2O6Si31H NMR (DMSO-d6, 400 MHz) δ(ppm) 11.62 (sl, 1H, NH), 7.43 (dl, 1H, H-6, J6-5=8.0 Hz), 6.12 (d, 1H, H-1′, J1′-F=16.8 Hz), 5.68 (d, 1H, H-5, J5-6=8.0 Hz), 4.22-3.85 (m, 4H, H-3′, H-4′, H-5′), 1.16-1.00 (m, 28H, iPr), 0.00 (s, 9H, Si(CH3)3).19F NMR (DMSO-d6, 376 MHz) δ(ppm) −159.7. LR LC/MS: (M+H+) 585.2 (M−H) 583.3 (6.47 min). UV λmax261 nm. Rf0.52 (Ethyl acetate/CH2Cl, 15/85, v/v).

6c: 1-[(2R)-2-Deoxy-2-C-ethynyl-2-fluoro-β-D-erythro-pentofuranosyl]uracile

[0849]

A mixture of 5c (0.56 mmol) and ammonium fluoride (7.31 mmol) were dissolved in methanol (10 mL) stirred at reflux for 1 h and evaporated to dryness. The resulting residue was purified on silica gel flash column chromatography eluting with a gradient 0-20% methanol in DCM and then, on reverse phase column chromatography eluting with a gradient 0-100% acetonitrile in water to give the desired product which was lyophilised from water (47 mg, 31%). White lyophilised powder. Molecular Formula C11H11FN2O5.1H NMR (DMSO-d6, 400 MHz) δ(ppm) 11.49 (sl, 1H, NH), 7.87 (d, 1H, H-6, J6-5=8.0 Hz), 6.18 (d, 1H, OH-3′, JOH-3′=7.2 Hz), 6.10 (d, 1H, H-1′, J1′-F=18.0 Hz), 5.69 (d, 1H, H-5, J5-6=8.0 Hz), 5.32 (m, 1H, OH-5′), 4.19-4.10 (m, 2H, H-3′ and ethynyl), 3.85-3.75 (m, 2H, H-4′ H-5′), 3.60 (m, 1H, H-5″).13C NMR (DMSO-d6, 100 MHz) δ(ppm) 163.3 (C-4), 150.6 (C-2), 140.1 (C-6), 102.5 (C-5), 95.5 (d, C-2′, J2′-F=186.1 Hz), 87.1 (d, C-1′,2J1′-F=40.2 Hz), 83.2 (d, CCH,2JC-F=8.0 Hz), 82.1 (C-4′), 76.5 (d, CCH,4JC-F=30.1 Hz), 73.3 (d, C-3′,2JC-F=19.1 Hz), 58.7 (C-5′).19F NMR (DMSO-d6, 376 MHz) δ(ppm) −158.2. LR LC/MS: (M+H+) 271.1 (M−H) 269.2 (1.12 min). HRFAB-MS C11H12O5N2F. (M+H+) calculated 271.0730. found 271.0739. UV λmax261 nm. Rf0.33 (MeOH/CH2Cl, 20/80, v/v).

2d: 1-[3,5-O-(1,3-diyl-1,1,3,3-tetraisopropyldisiloxane)-β-D-ribo-furanosyl]thymine

[0850]

The 1-(β-D-ribo-furanosyl)thymine (40.9 mmol) was dissolved in pyridine (435 ml) and the mixture was cooled down to 0° C. with an ice-bath for 25 minutes. Then, TIPSCl2(16.2 ml) was added and after complete addition, the mixture was allowed to warm up to room temperature. The reaction mixture was stirred at room temperature for 3 hrs, diluted with dichloromethane and water, washed with a saturated aqueous solution of NaHCO3. The organic phases were combined, dried over Na2SO4, filtered and evaporated. The residue was coevaporated with toluene to remove pyridine. The resulting residue was purified by flash column chromatography eluting with a gradient 0-2% of methanol in dichloromethane to give the title compound. Off-white powder. Molecular Formula C22H40N2O7Si2,1H NMR (DMSO-d6, 400 MHz) δ(ppm) 0.94-1.04 (m, 28H), 1.73 (s, 3H), 3.86-3.96 (m, 1H), 4.06-4.13 (m, 2H), 4.14-4.20 (m, 1H), 5.44-5.48 (m, 1H), 5.53 (brs, 1H), 5.77 (brs, 1H) 7.42 (s, 1H), 11.35 (brs, 1H). UV λmax212 nm, 266 nm.

3d: 1-[2-oxo-3,5-O-(1,3-diyl-1,1,3,3-tetraisopropyldisiloxane)-β-D-ribo-furanosyl]thymine

[0851]

To a suspension of CrO3(60 mmol) in dichloromethane (200 mL) at 0° C., acetic anhydride (59 mmol) and anhydrous pyridine (120 mmol) were added. 2d (20 mmol) in solution in DCM was added dropwise. The cooling bath was removed and the resulting solution stirred at room temperature for 3 h. The reaction mixture was poured into cold ethyl acetate, filtered through a silica and celite gel plug, concentrated to dryness and coevaporated twice with toluene to give the title compound. Colorless oil. Molecular Formula C22H38N2O7Si2

4d: 1-[3,5-O-(1,3-diyl-1,1,3,3-tetraisopropyldisiloxane)-2-C-trimethylsilylethynyl-β-D-arabino-furanosyl]thymine

[0852]

4d was synthesized from 3d and trimethylacetylene as described for 4a. Brown solid. Molecular Formula C27H48N2O7Si3. Scan ES+597 (M+H)+, UV λmax265 nm.

5d: 1-[(2R)-2-Deoxy-2-fluoro-3,5-O-(1,3-diyl-1,1,3,3-tetraisopropyldisiloxane)-2-C-trimethyl-silylethynyl-β-D-erythro-pentofuranosyl]thymine

[0853]

5d was synthesized from 4a as described for 5a. Brown solid. Molecular Formula C27H47FN2O6Si31H NMR (CDCl3-d6, 400 MHz) δ(ppm) 0.1 (s, 9H), 1.05-1.14 (m, 28H), 1.92 (s, 3H), 3.99-4.13 (m, 1H), 4.44-4.9 (m, 3H), 6.35 (d, 1H, J=16.44 Hz), 7.2 (s, 1H), 8.86 (s, 1H). Scan ES+599 (M+H)+,

6d: 1-[(2R)-2-Deoxy-2-C-ethynyl-2-fluoro-β-D-erythro-pentofuranosyl]thymine

6d was synthesized from 5d as described for 7i. Molecular Formula C12H3FN2O5.1H NMR (CDCl3-d6, 400 MHz) δ(ppm) 1.75 (s, 3H), 3.6-3.65 (m, 1H), 3.82-3.84 (m, 2H), 4.07 (d, 1H, J=5.27 Hz), 4.19 (m, 1H), 5.4 (brs, 1H), 6.08 (d, 1H, J=17.8 Hz), 6.17 (brs, 1H), 7.8 (s, 1H), 11.46 (brs, 1H). Scan ES+285 (M+H)+, UV λmax266 nm.

4e: N4-Benzoyl-1-[3,5-O-(1,3-diyl-1,1,3,3-tetraisopropyldisiloxane)-2-C-trimethylsilylethynyl-β-D-arabino-furanosyl]cytosine

[0854]

4e was synthesized from 3e and trimethylacetylene as described for 4a. Brown solid. Molecular Formula C33H51N3O7Si3Scan ES+686 (M+H)+, UV λmax260 nm, 310 nm.

5e: N4-benzoyl-1-[(2R)-2-Deoxy-2-fluoro-3,5-O-(1,3-diyl-1,1,3,3-tetraisopropyldisiloxane)-2-C-trimethyl-silylethynyl-β-D-erythro-pentofuranosyl]cytosine

[0855]

5e was synthesized from N4-benzoyl-1-[3,5-O-(1,3-diyl-1,1,3,3-tetraisopropyldisiloxane)-2-C-trimethyl-silylethynyl-D-arabino-furanosyl]cytosine as described for 5a. Yellow solid. Molecular Formula C30H42FN3O6Si2. Scan ES+688 (M+H)+, UV λmax260 nm, 310 nm.

6e: N4-benzoyl-1-[(2R)-2-Deoxy-2-C-ethynyl-2-fluoro-β-D-erythro-pentofuranosyl]cytosine

[0856]

6e was synthesized from 5e as described for 7i. White powder. Molecular Formula C18H16FN3O5.1NMR (DMSO-d6, 400 MHz) δ(ppm) 3.63-3.69 (m, 1H), 3.82-0.393 (m, 2H), 4 (d, 1H, J=5.27 Hz), 4.13-4.24 (m, 1H), 5.38 (brs, 1H), 6.23-6.28 (m, 2H), 7.32-7.36 (m, 1H), 7.49-7.53 (m, 2H), 7.6-7.64 (m, 1H), 7.99-8.01 (m, 2H), 8.34 (d, 1H, J=7.32 Hz), 11.30 (brs, 1H). Scan ES+374 (M+H)+, UV λmax262 nm, 303 nm.

7k: 1-[(2R)-2-Deoxy-2-C-ethynyl-2-fluoro-β-D-erythro-pentofuranosyl]cytosine

[0857]

Molecular Formula C11H12FN3O4.1H NMR (DMSO-d6, 400 MHz) δ(ppm) 3.57-3.62 (m, 1H), 3.77-3.80 (m, 2H), 3.95 (d, 1H, J=5.53 Hz), 4.03-4.16 (m, 1H), 5.2 (brs, 1H), 5.73 (d, 1H, J=7.19 Hz), 6.06 (d, 1H, J=7.19 Hz), 6.14-6.25 (m, 1H), 7.17-7.3 (2brs, 2H), 7.74 (d, 1H, J=7.74 Hz). Scan ES+270 (M+H)+, UV λmax271 nm.

8k: N4-dimethoxytrityl-1-[(2R)-2-Deoxy-2-C-ethynyl-2-fluoro-β-D-erythro-pentofuranosyl]cytosine

[0858]

To a stirred solution of 7k (2.34 mmol) in pyridine (7.2 ml) was added trimethylsilyl chloride (9.36 mmol) at room temperature. The reaction mixture was stirred at room temperature for 2 hours. 4-dimethylamino pyridine (1.17 mmol) and dimethoxytrityl chloride (3.51 mmol) were then added. The mixture was stirred at room temperature for 16 hours. The reaction mixture was diluted with DCM and sat NaHCO3solution. The organic phase was washed twice with sat NaHCO3solution, dried over Na2SO4, filtered and evaporated. The crude material was dissolved in a solution NH4OH/dioxin (2:1) and stirred for 4 hrs. Solvent was evaporated and the residue purified by silica gel chromatography (DCM/EtOH) to yield the title compound. White foam. Molecular Formula C32H30FN3O6. Scan ES570 (M+H), UV λmax277 nm

9k: 1-[(2R)-2-Deoxy-2-C-ethynyl-2-fluoro-β-D-erythro-pentofuranosyl]-4-N-dimethoxytrityl-cytosin-5′-yl-bis(S-pivaloyl-2-thioethylphosphate

[0859]

To a stirred solution of 8k (0.35 mmol) in and THF/tetrazole solution (1.05 mmol) was added bis(S-pivaloyl-2-thioethyl)N,N-diisopropylphosphoramidite (0.42 mmol) at 0° C. The reaction mixture was stirred at room temperature for 3 hrs. The reaction mixture was cooled down to 0° C. and tert-butyl hydroperoxide (0.7 ml/mmol) was added. The reaction mixture was stirred at room temperature for 2 hours. The mixture was diluted with DCM, neutralized with sat Na2S2O3solution. The organic phase was washed twice with H2O, extracted, dried over Na2SO4, filtered and evaporated. The crude material was purified by silica gel chromatography (DCM/EtOH) to yield the title compound. Glassy compound. Molecular Formula C47H59FN3O11PS2. Scan ES+938 (M+H)+, UV λmax277 nm

11k: 1-[(2R)-2-Deoxy-2-C-ethynyl-2-fluoro-β-D-erythro-pentofuranosyl]-cytosin-5′-yl-bis(S-pivaloyl-2-thioethylphosphate

[0860]

9k (34 mmol) was stirred in AcOH/MeOH/H2O (3/6/1) solution for 2 hrs and at 50° C. for 4 hours. The reaction mixture was then evaporated and purified by silica gel chromatography (DCM/EtOH) to yield the title compound. White lyophilized powder. Molecular Formula C25H37FN3O9PS2.1H NMR (DMSO-d6, 400 MHz) δ (ppm) 1.17 (s, 18H), 3.08-3.11 (t, J=6.07 Hz, 4H), 3.99-4.08 (m, 7H), 4.22-4.28 (m, 2H), 5.73-5.75 (d, J=7.30 Hz, 1H), 6.30 (brs, 2H), 7.26-7.31 (d, J=17.30 Hz, 2H), 7.47-7.48 (d, J=7.30 Hz, 1H)19F NMR (DMSO-d6, 376 MHz) δ (ppm) −156.48 (s, 1F)31P NMR (DMSO-d6, 162 MHz) δ (ppm) −1.96 (s, 1P). Scan ES+638 (M+H)+, UV λmax271 nm

12: N2-Methoxytrityl-9-[(2R)-2-deoxy-2-C-ethynyl-2-fluoro-β-D-erythro-pentofuranosyl]guanine

[0861]

To a stirred solution of 7i (5.18 mmol) in pyridine (7 ml/mmol) was added trimethylsilyl chloride at room temperature. The mixture was stirred at room temperature for 6 hours. Methoxytrityl chloride (6.21 mmol) was then added and the reaction mixture was stirred at room temperature for 16 hours and 2 hours with NH4OH (4 ml/mmol). The mixture was diluted with ethyl acetate, washed with H2O, sat NaHCO3solution and sat NaCl solution, dried over Na2SO4, filtered and evaporated. The crude material was purified by silica gel chromatography (DCM/MeOH) to yield the title compound. Yellowish oil. Molecular Formula C32H28FN5O5.

13: N2-Methoxytrityl-9-[(2R)-2-deoxy-2-C-ethynyl-2-fluoro-5-O-tert-butyldimethylsilyl-β-D-erythro-pentofuranosyl]guanine

[0862]

To a stirred solution of 12 (2.29 mmol) in pyridine (5 ml) at 0° C., was added tert-butyldimethylsilyl chloride (2.75 mmol). The reaction mixture was stirred at room temperature for 24 hours. It was then diluted in DCM and washed twice with H2O. The organic phase was extracted, dried over Na2SO4, filtered and evaporated. The crude material was purified by silica gel chromatography (DCM/MeOH) to yield the title compound. Yellowish oil. Molecular Formula C38H44FN5O5Si. Scan ES+696 (M+H)+, λmax260 nm. Scan ES694 (M+H), UV λmax260 nm

14: N2-Methoxytrityl-9-[(2R)-2,3-dideoxy-2-C-ethynyl-2-fluoro-5-O-tert-butyldimethylsilyl-β-D-g/ycero-pentofuranosyl]guanine

[0863]

To a stirred solution of 13 (0.14 mmol) in acetonitrile (47 ml/mmol) was added 4-dimethylamino pyridine (0.56 mmol) and phenyl chlorothionoformate (0.43 mmol) at room temperature. The reaction mixture was stirred at room temperature for 16 hours and was concentrated under reduced pressure. The residue obtained was dissolved in DCM, the organic phase was washed with H2O, HCl (1N), dried over Na2SO4, filtered evaporated and co-evaporated with toluene.

[0864]

The crude material was dissolved in toluene (12 ml/mmol), azo-bis-isobutyronitrile (0.02 mmol) and tributylstannane (0.24 mmol) were added at room temperature. The reaction mixture was stirred at 125° C. for 2 hours and concentrated under reduced pressure. The crude material was purified by silica gel chromatography (DMC/MeOH) to yield the title compound. Yellowish oil. Molecular Formula C38H44FN5O4Si. Scan ES+680 (M+H)+, UV λmax260 nm

15: N2-Methoxytrityl-9-[(2R)-2,3-dideoxy-2-C-ethynyl-2-fluoro-β-D-glycero-pentofuranosyl]guanine

[0865]

14 (0.35 mmol) was dissolved in MeOH (20 ml/mmol). Ammonium fluoride (3.55 mmol) was then added at room temperature and the reaction mixture was stirred at 70° C. for 2 hours. After concentration under reduced pressure, the crude material was purified by silica gel chromatography (DCM/MeOH) to yield the title compound. Beige foam. Molecular Formula C32H30FN5O4.1H NMR (CDCl3-d6, 400 MHz) δ (ppm) 2.38-2.45 (m, 2H), 2.75 (brs, 2H), 3.64-3.67 (d, J=12.20 Hz, 2H), 3.77 (s, 4H), 4.20-4.23 (d, J=11.7 Hz, 1H), 4.41-4.42 (d, J=8.4 Hz, 1H), 5.83-5.87 (d, J=16.24 Hz, 1H), 6.80-6.82 (d, J=8.12 Hz, 4H), 7.26-7.31 (m, 11H), 7.84 (brs, 1H), 9.26 (brs, 1H)

16: 9-[(2R)-2,3-Dideoxy-2-C-ethynyl-2-fluoro-βD-glycero-pentofuranosyl]guanine

[0866]

15 (0.09 mmol) was stirred in AcOH/THF/H2O (3/6/1) solution at 50° C. for 1 day. The reaction mixture was then concentrated under reduced pressure and purified by silica gel chromatography, C18 (H2O/ACN) Beige lyophilisated powder. Molecular Formula C12H12FN5O5.1H NMR (DMSO-d6, 400 MHz) δ (ppm) 2.57-2.74 (m, 2H), 3.56 (s, 1H), 3.61-3.64 (d, J=12.10 Hz, 1H), 3.79-3.82 (d, J=12.10 Hz, 1H), 3.91-3.93 (d, J=5.40 Hz, 1H), 4.32-4.35 (m, 1H), 5.25 (s, 1H), 6.06-6.10 (d, J=18.20 Hz, 1H), 6.64 (s, 1H), 8.01 (s, 1H), 10.82 (s, 1H)19F NMR (DMSO-d6, 376 MHz) δ (ppm) −138.4 (s, 1F). Scan ES 292 (M+H), Scan ES+316 (M+Na)+, UV λmax251 nm

17: 9-[(2R)-2,3-Dideoxy-2-C-ethynyl-2-fluoro-β-D-erythro-pentofuranosyl]-guanin-5′-yl-bis(S-pivaloyl-2-thioethylphosphate)

[0867]

17 was synthesized from 14 (0.35 mmol) as described for 9. The crude material was then stirred in AcOH/THF/H2O (4/2/1) at 50° C., for 3 hours. The reaction mixture was concentrated under reduced pressure and purified by silica gel chromatography (DCM/MeOH) to yield the title compound. Beige solid. Molecular Formula C26H37FN5O8PSi21H NMR (DMSO-d6, 400 MHz) δ (ppm) 2.48 (s, 18H), 2.65-2.68 (m, 2H), 3.06-3.10 (q, J=3.71 Hz, and J=6.02 Hz, 4H), 3.97-4.04 (m, 5H), 4.31-4.35 (m, 2H), 4.50-4.52 (m, 1H), 6.13-6.18 (d, J=17.60 Hz, 1H), 6.63 (s, 2H), 7.82 (s, 1H), 10.85 (s, 1H).19F NMR (DMSO-d6, 376 MHz) δ (ppm) −139.2 (s, 1F). Scan ES+662 (M+H)+, UV λmax254 nm. HPLC (0-100% ACN over a period of 8 min) tR=5.65 min.

18: N2-Methoxytrityl-9-[(2R)-2-deoxy-2-C-ethynyl-2-fluoro-5-O-tert-butyldimethylsilyl-3-O-tetrahydropyranyl-β-D-erythro-pentofuranosyl]guanine

[0868]

To a stirred solution of 13 (0.8 mmol), in and THF (20 ml/mmol), at room temperature, was added p-toluen sulfonic acid (0.12 mmol) and dihydropyran (2 ml/mmol). The reaction mixture was stirred at room temperature for 3 days and neutralized with TEA. The mixture was diluted with DCM, washed twice with H2O. The organic phase was dried over Na2SO4, filtered and evaporated. The crude material was purified by silica gel chromatography (DCM/MeOH) to yield the title compound. Molecular Formula C43H52FN5O6Si. Scan ES+780 (M+H)+

19: N2-Methoxytrityl-9-[(2R)-2-deoxy-2-C-ethynyl-2-fluoro-3-O-tetrahydropyranyl-β-D-erythro-pentofuranosyl]guanine

[0869]

19 was synthesized from 8 described for 15. Molecular Formula C37H38FN5O6. Scan ES+666 (M+H)+.

[0870]

21: N2-Tetrahydropyranyl-9-[(2R)-2-deoxy-2-C-ethynyl-2-fluoro-5-O-tert-butyldimethylsilyl-3-O-tetrahydropyranyl-β-D-erythro-pentofuranosyl]guanine

[0871]

21 was obtained from the purification of 18. Molecular Formula C28H42FN5O6Si. Scan ES+592 (M+H)+, UV λmax273 nm

22: N2-Tetrahydropyranyl-9-[(2R)-2-deoxy-2-C-ethynyl-2-fluoro-3-O-tetrahydropyranyl-β-D-erythro-pentofuranosyl]guanine

[0872]

22 was synthesized from 21 (0.46 mmol), as described for 15. Molecular Formula C22H28FN5O6

20: 9-[(2R)-2-Deoxy-2-C-ethynyl-2-fluoro-β-D-erythro-pentofuranosyl]guanin-5′-yl-bis(S-pivaloyl-2-thioethylphosphate

[0873]

20 was synthesized from 19 (0.09 mmol), as described for 9k. The crude material was then stirred at room temperature in AcOH/THF/H2O (4/2/1) solution overnight. The reaction mixture was concentrated under reduced pressure and purified by silica gel chromatography (DCM/MeOH) to yield the title compound. White lyophilized powder. Molecular Formula C26H37FN5O9PS21H NMR (DMSO-d6, 400 MHz) δ (ppm) 1.16 (s, 20H), 3.06-3.09 (m, 4H), 3.90-3.91 (d, J=5.40 Hz, 1H), 3.99-4.10 (q, J=6.70 Hz and J=7.00 Hz, 4H), 4.32-4.38 (m, 2H), 4.63 (m, 1H), 6.10-6.14 (d, J=16.93 Hz, 1H), 6.69 (s, 2H), 7.79 (s, 1H), 10.96 (s, 1H)31P NMR (DMSO-d6, 162 MHz) δ (ppm) −1.91 (s, 1P)19F NMR (DMSO-d6, 376 MHz) δ (ppm) −156.82 (s, 1F) Scan ES+678 (M+H)+.

25: 1-[(2R)-2-Deoxy-2-fluoro-3,5-O-(1,3-diyl-1,1,3,3-tetraisopropyldisiloxane)-2-C-trimethylsilylethynyl-β-D-erythro-pentofuranosyl]-4-thiouracile

[0874]

5c (820 mg, 1.40 mmol) was dissolved in anhydrous 1,2-dichloroethane (35 mL) and treated with Lawesson's reagent (1.13 g, 2.80 mmol). The reaction mixture was stirred at reflux overnight and evaporated to dryness. The resulting residue was filtered on a silica gel plug eluting with a gradient 0-5% of ethyl acetate in dichloromethane to give the title compound. Yellow oil. Molecular Formula C26H45FN2O5SSi3LR LC/MS: (M+H+) 601.3 (M−H) 599.3 (7.03 min). UV λmax332 nm. Rf0.71 (Ethyl acetate/CH2Cl, 7/93, v/v).

26: 1-[(2R)-2-Deoxy-2-fluoro-3,5-O-(1,3-diyl-1,1,3,3-tetraisopropyldisilosane)-2-C-ethynyl-β-D-erythro-pentofuranosyl]cytosine

[0875]

Crude 25 was dissolved in saturated ammoniacal methanol (9 mL). The resulting solution was heated by micro-waves at 120° C. for 20 min and concentrated under reduced pressure to give the title compound. Oily residue. Molecular Formula C26H46FN3O5Si3LR LC/MS (B): (M+H+) 512.3 (M−H) 510.3 (5.33 min). UV λmax1242 nm, λmax2273 nm.

27i: 9-[(2R)-2-Deoxy-2-C-ethynyl-2-fluoro-β-D-erythro-pentofuranosyl]adenine 5′-triphosphate sodium salt

[0876]

To a solution of 7i (0.286 mmol) in triethylphosphate (750 phosphoryle chloride (75 μL, 0.807 mmol) was added at 0° C. This reaction mixture A was stirred overnight at 5° C. Tributylammonium pyrophosphate (PPi/Bu3N 1/1.5, 1 g, 2.19 mmol) was dissolved in anhydrous DMF (2 mL). Tributylamine (420 μL, 1.76 mmol) was added to the PPi and the resulting mixture was stirred for 15 min at 0° C. 2.4 mL of this solution were added to the reaction mixture A. The reaction mixture was stirred at 0° C. for 1 min. The reaction was carefully quenched with TEAB 1M (pH=7.5, 10 mL), stirred 20 min at 0° C., then diluted with water and ethyl acetate. The aqueous phase was concentrated under reduced pressure. The crude material was subjected to DEAE-Sephadex chromatography eluting with a gradient 10−3-1 M of TEAB). The desired fractions were combined, concentrated under reduced pressure and coevaporated with a mixture of water/methanol, and finally coevaporated with water. The resulting residue was purified on semipreparative HPLC. Fractions containing the expected product were concentrated under reduced pressure, coevaporated with a mixture of water/methanol and lyophilised from water. The triethylammonium salt triphosphate was eluted three times with water on a Dowex Na+ resin column to yield after lyophilisation from water to the sodium salt.

[0877]

Molecular Formula C12H11FN5O12P33Na.1H NMR (D2O, 300 MHz) δ(ppm) 8.31 (s, 1H, H-8), 8.14 (s, 1H, H-2), 6.28 (d, 1H, H-1′,3J1′-F=15.6 Hz), 4.64 (m, 1H, H-3′), 4.42 (m, 1H, H-5′), 4.35-4.25 (m, 2H, H-4′ and H-5″), 2.82 (d, 1H, ethynyl,4JH-F=5.5 Hz).31P NMR (D2O, 121 MHz) δ(ppm) −10.27 (d, 1P, Pγ, JPγ-Pβ=19.4 Hz), −11.03 (d, 1P, Pα, JPα-Pβ=19.4 Hz), −22.38 (t, 1P, Pβ, JPβ-Pγ=JPβ-Pα=19.4 Hz).19F NMR (D2O, 282 MHz) δ(ppm) −160.0 (m). LRFAB-MS (GT): 600 (M+H)+, 578 (M−Na+2H)+, 556 (M−2Na+3H), 598 (M−H), 576 (M−Na), 554 (M−2Na+H), 532 (M−3Na+2H).

27j: 9-[(2R)-2-Deoxy-2-C-ethynyl-2-fluoro-β-D-erythro-pentofuranosyl]guanine 5′-triphosphate sodium salt

[0878]

27j was synthesized from 7j, as described for 27. Molecular Formula C12H11FN5O13P33Na.1H NMR (D2O, 400 MHz) δ(ppm) 7.97 (s, 1H, H-8), 6.19 (d, 1H, H-1′,3J1′-F=16.0 Hz), 4.70 (m, 1H under H2O, H-3′), 4.39 (m, 1H, H-5′), 4.29-4.22 (m, 2H, H-4′ and H-5″), 2.98 (d, 1H, ethynyl,4JH-F=5.0 Hz).31P NMR (D2O, 162 MHz): −10.50 (d, 1P, Pγ, JPγ-Pβ=19.4 Hz), −11.03 (d, 1P, Pα, JPα-Pβ=19.4 Hz), −22.38 (t, 1P, Pβ, JPβ-Pγ=Jpβ-Pα=19.4 Hz).19F NMR (DMSO-d6, 376 MHz) δ(ppm) −159.1 (m). LRFAB-MS (GT): 638 (M+Na)+, 616 (M+H)+, 594 (M−Na+2H)+, 572 (M−2Na+3H)+, 550 (M−3Na+4H)+, 592 (M−Na), 570 (M−2Na+H), 548 (M−3Na+2H).

2g: 4-Chloro-7-[3,5-O-(1,3-diyl-1,1,3,3-tetraisopropyldisiloxane)-β-D-ribo-furanosyl]pyrrolo[2,3-d]pyrimidine

[0879]

2g was synthesized from 9-[β-D-ribo-furanosyl]-7-deaza-6-chloropurine, as described for intermediate 12 Yellow oil. Molecular Formula C23H35ClN3O5Si2.1H NMR (DMSO-d6, 400 MHz) δ (ppm) 0.96-1.04 (m, 28H), 3.92-3.95 (m, 3H), 4.41-4.58 (m, 2H), 5.65 (s, 1H), 6.08 (s, 1H), 6.71 (s, 1H), 7.83 (s, 1H), 8.62 (s, 1H)

3g: 4-Chloro-7-[2-oxo-3,5-O-(1,3-diyl-1,1,3,3-tetraisopropyldisiloxane)-β-D-erythro-pentofuranosyl]pyrrolo[2,3-d]pyrimidine

[0880]

3g was synthesized from ag as described for 3d. Brown solid. Molecular Formula C23H36ClN3O5Si2. Scan ES+ (M+H)+528, UV λmax271 nm

4-Chloro-[3,5-O-(1,3-diyl-1,1,3,3-tetraisopropyldisiloxane)-2-C-trimethylsilylethynyl-β-D-arabino-furanosyl]pyrrolo[2,3-d]pyrimidine

[0881]

4g was synthesized from 3g as described for 4a. Beige solid. Molecular Formula: C28H46ClN3O6Si3.1H NMR (DMSO-d6, 400 MHz) δ(ppm), 0.12 (s, 9H), 0.95-1.09 (m, 28H), 3.90-3.94 (m, 1H), 4.02-4.03 (m, 2H), 4.37-4.39 (d, J=6.74 Hz, 1H), 6.43 (s, 1H), 6.44 (s, 1H), 6.68 (d, J=3.71 Hz, 1H), 7.71-7.72 (d, J=3.84 Hz, 1H), 8.66 (s, 1H)

5g: 4-Chloro-7-[(2R)-2-deoxy-2-fluoro-3,5-O-(1,3-diyl-1,1,3,3-tetraisopropyldisiloxane)-2-C-trimethylsilylethynyl-β-D-erythro-pentofuranosyl]pyrrolo[2,3-d]pyrimidine

[0882]

5g was synthesized from 4g as described for 5a. Yellow oil. Molecular formula C28H46ClFN3O6Si3.1H NMR (DMSO-d6, 400 MHz) δ(ppm) 0.33 (s, 9H), 1.02-1.13 (m, 28H), 4.0-4.03 (d, J=13.42 Hz, 1H), 4.12-4.14 (d, J=9.43 Hz, 1H), 4.27-4.31 (d, J=14.00 Hz, 1H), 4.71 (brs, 1H), 6.58-6.62 (d, J=17.07 Hz, 1H), 6.82-6.83 (d, J=3.80 Hz, 1H), 7.72 (d, J=3.80 Hz, 1H), 8.69 (s, 1H)19F NMR (DMSO-d6, 235 MHz) δ (ppm) −159.6 (s, 1F)

6g: 4-Chloro-7-[(2R)-2-deoxy-2-C-ethynyl-2-fluoro-β-D-erythro-pentofuranosyl]pyrrolo[2,3-d]pyrimidine

[0883]

6g was synthesized from 5g as described for 6a. Yellow oil. Molecular Formula C13H11ClFN3O3.1H NMR (DMSO-d6, 400 MHz) δ (ppm) 3.60-3.65 (d, J=5.44 Hz, 1H), 3.68-3.71 (d, J=12.35 Hz, 1H), 3.85-3.88 (d, J=12.35 Hz, 1H), 3.95-3.97 (d, J=8.90 Hz, 1H), 4.46-4.54 (dd, J=23.23 Hz and J=9.39 Hz, 1H), 5.38 (s, 1H), 6.28 (s, 1H), 6.57-6.61 (d, J=16.47 Hz, 1H), 6.79 (d, J=3.82 Hz, 1H), 8.04 (d, J=3.78 Hz, 1H), 8.70 (s, 1H)19F NMR (DMSO-d6, 235 MHz) δ (ppm) −158.30 (s, 1F). Scan ES+312 (M+H)+. Scan ES356 (M+HCO2).

7l: 4-Amino-7-[(2R)-2-deoxy-2-C-ethynyl-2-fluoro-β-D-erythro-pentofuranosyl]pyrrolo[2,3-d]pyrimidine

[0884]

7l was synthesized from 6g as described for 6a. White lyophilised powder. Molecular Formula C13H13FN4O3.1H NMR (DMSO-d6, 400 MHz) δ (ppm) 3.61 (d, J=5.52 Hz, 1H), 3.63-3.67 (m, 1H), 3.80-3.83 (d, J=12.14 Hz, 1H), 3.86-3.88 (d, J=9.38 Hz, 1H), 4.46-4.54 (dd, J=23.23 Hz and J=9.39 Hz, 1H), 5.30 (brs, 1H), 6.1 (brs, 1H), 6.41-6.47 (d, J=16.47 Hz, 1H), 6.57-6.61 (d, J=16.47 Hz, 1H), 7.04 (s, 2H), 7.37-7.38 (d, J=3.65 Hz, 1H), 8.05 (s, 1H)19F NMR (DMSO-d6, 235 MHz) δ (ppm) −157.15 (s, 1F) Scan ES+293 (M+H)+, UV λmax275 nm

23: 9-[(2R)-2-Deoxy-3,5-di-O-isobutyryl-2-C-ethynyl-2-fluoro-β-D-erythro-pentofuranosyl]guanine

[0885]

A solution of 9-[(2R)-2-Deoxy-2-C-ethynyl-2-fluoro-β-D-erythro-furanosyl]guanine (0.16 mmol), 4-dimethylaminopyridine (0.01 mmol), triethylamine (0.48 mmol) and isobutyric anhydride (0.48 mmol), in acetonitrile (1 ml) was stirred at room temperature for 6 hours. The reaction mixture was hydrolysed with a NaHCO3saturated solution. Ethyl acetate was added. The organic phase was separated, washed with NaCl saturated solution, dried over Na2SO4, filtered and concentrated under reduced pressure. The crude material was purified by flash column chromatography (DCM/EtOH) to yield the title compound White powder. Molecular Formula C20H24FN5O61H NMR (DMSO-d6, 400 MHz) δ (ppm) 1.02-1.22 (m, 12H), 2.53-2.59 (m, 1H), 2.65-2.70 (m, 1H), 4.04 (d, J=4.77 Hz, 1H), 4.35-4.40 (m, 3H), 5.88-5.94 (dd, J=9.39 Hz and J=8.21 Hz, 1H), 6.21-6.25 (d, J=17.28 Hz, 1H), 6.58 (s, 2H), 7.09 (s, 1H), 10.82 (s, 1H). Scan ES+450.0 (M+H)+, UV λmax251 nm

24: N2-Isobutyryl-9-[(2R)-2-deoxy-3,5-di-O-isobutyryl-2-C-ethynyl-2-fluoro-β-D-erythro-pentofuranosyl]guanine

[0886]

24 was obtained from the purification of 23. White powder. Molecular Formula C24H30FN5O71H NMR (DMSO-d6, 400 MHz) δ (ppm) 1.02-1.22 (m, 18H), 2.53-2.59 (m, 1H), 2.65-2.70 (m, 1H), 2.74-2.80 (m, 1H), 4.04 (d, J=4.90 Hz, 1H), 4.35-4.40 (m, 3H), 5.73-5.80 (dd, J=10.14 Hz and J=7.80 Hz, 1H), 6.29-6.34 (d, J=17.36 Hz, 1H), 8.23 (s, 1H), 11.80 (brs, 1H), 12.3 (brs, 1H). Scan ES+520 (M+H)+, UV λmax257 nm

4f: 5-Fluoro-1-[3,5-O-(1,3-diyl-1,1,3,3-tetraisopropyldisiloxane)-2-C-trimethylsilylethynyl-β-D-arabino-furanosyl]uracile

[0887]

4f was synthesized from 3f as described for 4a. Orange solid. Molecular Formula C26H45FN2O7Si31H NMR (DMSO-d6, 400 MHz) δ (ppm) 0.13 (s, 9H), 0.94-1.06 (m, 28H), 3.75 (m, 1H), 3.96-4.09 (m, 3H), 5.99 (d, J=1.53 Hz, 1H), 6.53 (s, 1H), 7.58-7.60 (d, J=6.76 Hz, 1H), 11.8 (brs, 1H) Scan ES599 (M−H), UV λmax271 nm

5f: 5-Fluoro-1-[(2R)-2-deoxy-2-fluoro-3,5-O-(1,3-diyl-1,1,3,3-tetraisopropyldisiloxane)-2-C-trimethyl-silylethynyl-β-D-erythro-pentofuranosyl]uracile

[0888]

5f was synthesized from 4f as described for 5a. White solid. Molecular Formula C26H44F2N2O6Si3.1H NMR (DMSO-d6, 400 MHz) δ (ppm) 0.13 (s, 9H), 0.94-1.06 (m, 28 H), 3.92-3.95 (d, J=12.47 Hz, 1H), 3.96-4.09 (m, 1H), 4.21 (d, J=12.22 Hz, 1H), 5.20 (brs, 1H), 6.10-6.15 (d, J=16.53 Hz, 1H), 7.56 (s, 1H), 12.23 (brs, 1H)19F NMR (DMSO-d6, 235 MHz) δ (ppm) −160.06 (s, 1F), −165.94 (s, 1F) Scan ES+603 (M−H)+, UV λmax272 nm

6f: 5-Fluoro-1-[(2R)-2-deoxy-2-C-ethynyl-2-fluoro-β-D-erythro-pentofuranosyl]uracile

[0889]

6f was synthesized from 5f as described for 6a. White solid. Molecular Formula C11H10F2N2O5.1H NMR (DMSO-d6, 400 MHz) δ (ppm) 3.61-3.64 (d, J=12.55 Hz, 1H), 3.81-3.85 (m, 2H), 4.11 (d, J=4.91 Hz, 1H), 4.14-4.20 (m, 1H), 5.50 (s, 1H), 6.04-6.09 (d, J=16.91 Hz, 1H), 6.20 (d, J=7.64 Hz, 1H), 8.29 (d, J=7.09 Hz, 1H), 12.05 (s, 1H)19F NMR (DMSO-d6, 235 MHz) δ (ppm) −158.74 (s, 1F), −166.27 (s, 1F) Scan ES+289.0 (M−H)+, UV λmax270 nm.

11f: 1-[(2R)-2-deoxy-2-C-ethynyl-2-fluoro-β-D-erythro-pentofuranosyl]-5-fluorouracil-5′-yl-bis(S-pivaloyl-2-thioethylphosphate)

[0890]

11f was synthesized from 6f as described 9k. White solid. Molecular Formula C25H35F2N2O10PS2.1H NMR (DMSO-d6+D2O, 400 MHz) δ (ppm) 1.15-1.17 (m, 18H), 3.10 (t, J=6.40 Hz, 4H), 4-4.08 (m, 5H), 4.19 (d, J=5.39 Hz, 1H), 4.24-4.39 (m, 3H), 6.12 (d, J=16.82 Hz, 1H), 6.39 (d, J=6.07 Hz, 1H), 7.86 (brs, 1H), 12.12 (brs, 1H).

28: 9-[(2R)-2,3-dideoxy-2-C-ethynyl-2-fluoro-β-D-glycero-pentofuranosyl]guanine 5′-triphosphate sodium

[0891]

28 was synthesized from 16 as described for 27i. White powder. Molecular Formula C12H12FN5Na3O12P3.1H NMR (D2O, 400 MHz) δ(ppm) 2.61-2.72 (m, 2H), 2.95-2.96 (m, 1H), 4.16-4.22 (m, 1H), 4.35-4.40 (m, 1H), 4.6-4.7 (m, 1H), 6.17 (d, J=16 Hz, 1H), 8.02 (s, 1H).19F NMR (D2O, 235 MHz) δ (ppm)(−138.95)−(−138.74) (m, 1F),31P NMR (D2O, 162 MHz) δ (ppm) −10.66 (d, J=19.44 Hz, 1P), −11.14 (d, J=19.44 Hz, 1P), −22.82 (t, J=19.44 Hz, 1P). Scan ES+599.6 (M−3Na)3+, UV λmax253 nm.

[0892]

All publications and patent, applications cited in this specification are herein incorporated by reference as if each individual publication or patent application were specifically and individually indicated to be incorporated by reference. While the claimed subject matter has been described in terms of various embodiments, the skilled artisan will appreciate that various modifications, substitutions, omissions, and changes may be made without departing from the spirit thereof. Accordingly, it is intended that the scope of the subject matter limited solely by the scope of the following claims, including equivalents thereof.

Как компенсировать расходы
на инновационную разработку
Похожие патенты