заявка
№ US 20100304293
МПК G03F7/004

SALT AND PHOTORESIST COMPOSITION CONTAINING THE SAME

Авторы:
Koji ICHIKAWA
Правообладатель:
Номер заявки
12786738
Дата подачи заявки
25.05.2010
Опубликовано
02.12.2010
Страна
US
Дата приоритета
14.12.2025
Номер приоритета
Страна приоритета
Как управлять
интеллектуальной собственностью
Реферат

[0000]

A salt represented by the formula (a):

[0000]

[0000]

wherein Q1 and Q2 each independently represent a fluorine atom etc.,

  • X1 represents a single bond etc.,
  • X2 represents a single bond etc.,
  • Y1 represents a C3-C6 alicyclic hydrocarbon group etc., with the proviso that —X2—Y1 group has one or more fluorine atoms, and
  • Z+ represents an organic counter cation, and a photoresist composition comprising the salt represented by the formula (a) and a resin comprising a structural unit having an acid-labile group and being insoluble or poorly soluble in an aqueous alkali solution but becoming soluble in an aqueous alkali solution by the action of an acid.

Формула изобретения

1. A salt represented by the formula (a):

wherein Q1 and Q2 each independently represent a fluorine atom or a C1-C4 perfluoroalkyl group,

X1 represents a single bond or —(CH2)k—, and one or more —CH2— in —(CH2)k— can be replaced by —O— or —CO— and one or more hydrogen atoms in —(CH2)k— can be replaced by a C1-C12 aliphatic hydrocarbon group, and k represents an integer of 1 to 18,

X2 represents a single bond, a C1-C12 divalent aliphatic hydrocarbon group, a C3-C12 divalent alicyclic hydrocarbon group or a C4-C12 divalent group formed by combining a divalent aliphatic hydrocarbon group with a divalent alicyclic hydrocarbon group, and one or more —CH2— in the aliphatic hydrocarbon group can be replaced by —O— or —CO— and one or more hydrogen atoms in the aliphatic hydrocarbon group and the alicyclic hydrocarbon group can be replaced by a fluorine atom, a hydroxyl group, a C3-C36 alicyclic hydrocarbon group or a C2-C4 acyl group,

Y1 represents a C3-C36 alicyclic hydrocarbon group, and one or more —CH2— in the alicyclic hydrocarbon group can be replaced by —O— or —CO—, and one or more hydrogen atoms in the alicyclic hydrocarbon group can be replaced by a fluorine atom, a C1-C12 aliphatic hydrocarbon group, a C3-C12 alicyclic hydrocarbon group or a C2-C4 acyl group, with the proviso that —X2—Y1 group has one or more fluorine atoms, and

Z+ represents an organic counter cation.

2. The salt according to claim 1, wherein k is an integer of 0 to 5.

3. The salt according to claim 1, wherein Y1 is an adamantyl group which can have one or more fluorine atoms or a cyclohexyl group which can have one or more fluorine atoms.

4. The salt according to claim 1, wherein X1 is a group containing —CO—O—.

5. The salt according to claim 1, wherein the salt represented by the formula (a) is a salt represented by the formula (a-1-1), (a-2-1), (a-3-1) or (a-4-1):

wherein Z+, Q1 and Q2 are the same as defined in claim 1.

6. The salt according to claim 1, wherein Z+ is a cation represented by the formula (IXz):

wherein Pa, Pb and Pc each independently represent a C1-C30 alkyl group or a C3-C30 alicyclic hydrocarbon group, and one or more hydrogen atoms in the alkyl group can be replaced by a hydroxyl group, a C1-C12 alkoxy group or a C3-C12 cyclic hydrocarbon group and one or more hydrogen atoms in the alicyclic hydrocarbon group can be replaced by a hydroxyl group, a C1-C12 alkyl group or a C1-C12 alkoxy group.

7. The salt according to claim 1, wherein Z+ is a cation represented by the formula (IXa)

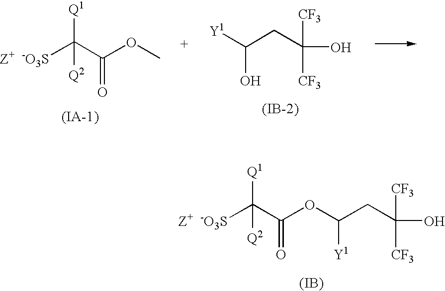
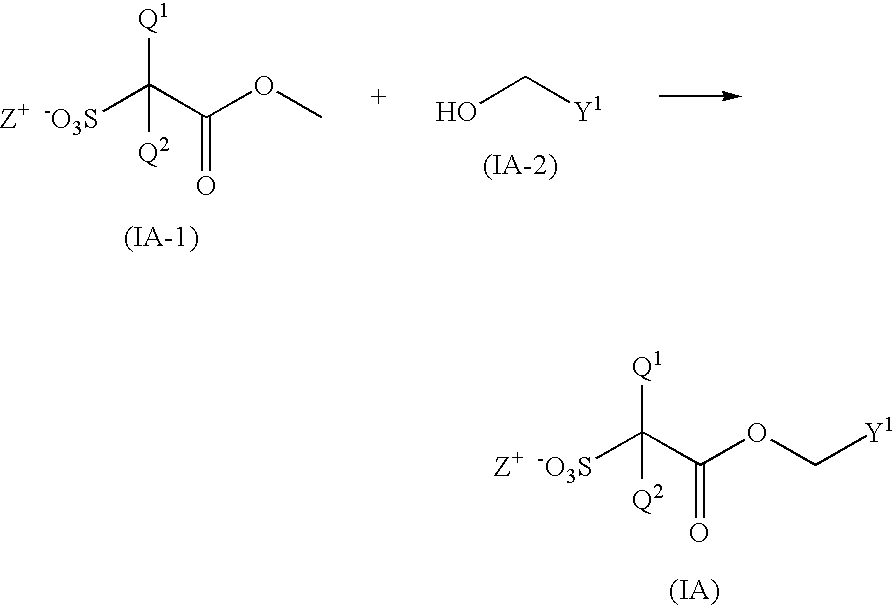
wherein P1, P2 and P3 each independently represent a hydrogen atom, a hydroxyl group, a C1-C12 alkyl group or a C1-C12 alkoxy group.

8. A photoresist composition comprising the salt according to claim 3 and a resin comprising a structural unit having an acid-labile group and being insoluble or poorly soluble in an aqueous alkali solution but becoming soluble in an aqueous alkali solution by the action of an acid.

9. The photoresist composition according to claim 8, wherein the photoresist composition further contains a basic compound.

10. A process for producing a photoresist pattern comprising the following steps (1) to (5):

(1) a step of applying the photoresist composition according to claim 8 or 9 on a substrate,

(2) a step of forming a photoresist film by conducting drying,

(3) a step of exposing the photoresist film to radiation,

(4) a step of baking the exposed photoresist film, and

(5) a step of developing the baked photoresist film with an alkaline developer, thereby forming a photoresist pattern.

Описание

[0001]

This nonprovisionai application claims priority under 35 U.S.C. §119(a) on Patent Application No. 2009-129349 filed in JAPAN on May 28, 2009, the entire contents of which are hereby incorporated by reference.

FIELD OF THE INVENTION

[0002]

The present invention relates to a salt suitable for an acid generator and a photoresist composition containing the same.

BACKGROUND OF THE INVENTION

[0003]

A chemically amplified positive resist composition used for semiconductor microfabrication employing a lithography process contains an acid generator comprising a compound generating an acid by irradiation.

[0004]

US 2006/0194982 A1 discloses a photoresist composition comprising triphenylsulfonium 1-[(3-hydroxyadamantyl)methoxycarbonyl]difluoromethanesulfonate as an acid generator.

SUMMARY OF THE INVENTION

[0005]

An object of the present invention is to provide a novel salt suitable for an acid generator and a photoresist composition containing the game.

[0006]

The present invention relates to the followings:

[0000]

<1> A salt represented by the formula (a):

[0000]

[0000]

wherein Q1 and Q2 each independently represent a fluorine atom or a C1-C4 perfluoroalkyl group,
X1 represents a single bond or —(CH2)k—, and one or more —CH2— in —(CH2)k— can be replaced by —O— or —CO— and one or more hydrogen atoms in —(CH2)k— can be replaced by a C1-C12 aliphatic hydrocarbon group, and k represents an integer of 1 to 18,
X2 represents a single bond, a C1-C12 divalent aliphatic hydrocarbon group, a C3-C12 divalent alicyclic hydrocarbon group or a C4-C12 divalent group formed by combining a divalent aliphatic hydrocarbon group with a divalent alicyclic hydrocarbon group, and one or more —CH2— in the aliphatic hydrocarbon group can be replaced by —O— or —CO— and one or more hydrogen atoms in the aliphatic hydrocarbon group and the alicyclic hydrocarbon group can be replaced by a fluorine atom, a hydroxyl group, a C3-C36 alicyclic hydrocarbon group or a C2-C4 acyl group,
Y1 represents a C3-C36 alicyclic hydrocarbon group, and one or more —CH2— in the alicyclic hydrocarbon group can be replaced by —O— or —CO—, and one or more hydrogen atoms in the alicyclic hydrocarbon group can be replaced by a fluorine atom, a C1-C12 aliphatic hydrocarbon group, a C3-C12 alicyclic hydrocarbon group or a C2-C4 acyl group, with the proviso that —X2—Y1 group has one or more fluorine atoms, and
Z+ represents an organic counter cation;
<2> The salt according to <1>, wherein k is an, integer of 0 to 5;
<3> The salt according to <1> or <2>, wherein Y1 is an adamantyl group which can have one or more fluorine atoms or a cyclohexyl group which can have one or more fluorine atoms;
<4> The salt according to any one of <1> to <3>, wherein X1 is a group containing —CO—O—;
<5> The salt according to any one of <1> to <4>, wherein the salt represented by the formula (a) is a salt represented by the formula (a-1-1), (a-2-1), (a-3-1) or (a-4-1):

[0000]

[0000]

wherein Z+, Q1 and Q2 are the same as defined in <1>;
<6> The salt according to any one of <1> to <5>, wherein Z+ is a cation represented by the formula (IXz):

[0000]

[0000]

wherein Pa, Pb and Pc each independently represent a C1-C30 alkyl group or a C3-C30 alicyclic hydrocarbon group, and one or more hydrogen atoms in the alkyl group can be replaced by a hydroxyl group, a C1-C12 alkoxy group or a C3-C12 cyclic hydrocarbon group and one or more hydrogen atoms in the alicyclic hydrocarbon group can be replaced by a hydroxyl group, a C1-C12 alkyl group or a C1-C12 alkoxy group;
<7> The salt according to any one of <1> to <5>, wherein Z+ is a cation represented by the formula (IXa):

[0000]

[0000]

wherein P1, P2 and P3 each independently represent a hydrogen atom, a hydroxyl group, a C1-C12 alkyl group or a C1-C12 alkoxy group;
<8> A photoresist composition comprising the salt according to any one of <1> to <7> and a resin comprising a structural unit having an acid-labile group and being insoluble or poorly soluble in an aqueous alkali solution but becoming soluble in an aqueous alkali solution by the action of an acid;
<9> The photoresist composition according to <8>, wherein the photoresist composition further contains a basic compound;
<10> A process for producing a photoresist pattern comprising the following steps (1) to (5):

[0007]

(1) a step of applying the photoresist composition according to <8> or <9> on a substrate,

[0008]

(2) a step of forming a photoresist film by conducting drying,

[0009]

(3) a step of exposing the photoresist film to radiation,

[0010]

(4) a step of baking the exposed photoresist film, and

[0011]

(5) a step of developing the baked photoresist film with an alkaline developer, thereby forming a photoresist pattern.

DESCRIPTION OF PREFERRED EMBODIMENTS

[0012]

The salt of the present invention is a salt represented by the formula (a):

[0000]

[0000]

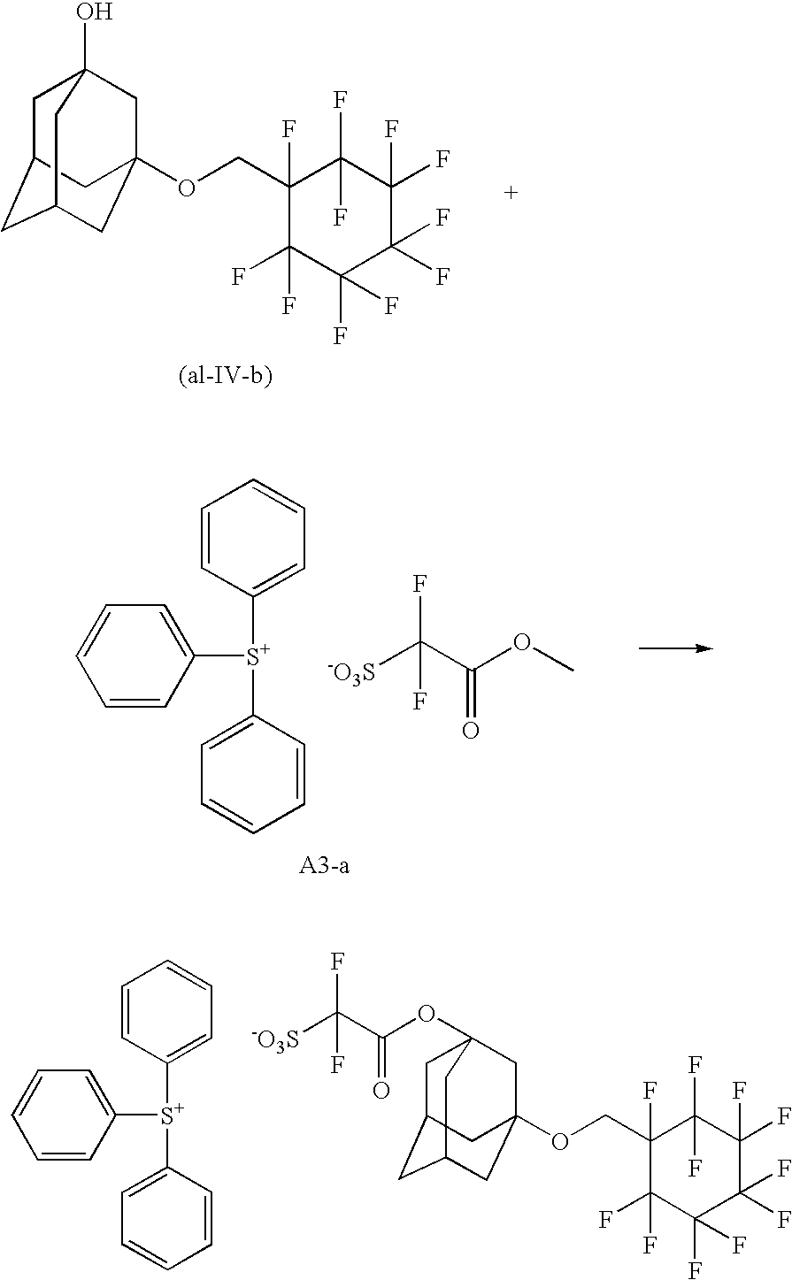
wherein Q1 and Q2 each independently represent a fluorine atom or a C1-C4 perfluoroalkyl group,
X1 represents a single bond or —(CH2)k—, and one or more —CH2— in —(CH2)k— can be replaced by —O— or —CO— and one or more hydrogen atoms in —(CH2)k— can be replaced by a C1-C12 aliphatic hydrocarbon group, and k represents an integer of 1 to 18,
X2 represents a single bond, a C1-C12 divalent aliphatic hydrocarbon group, a C3-C12 divalent alicyclic hydrocarbon group or a C4-C12 divalent group formed by combining a divalent aliphatic hydrocarbon group with a divalent alicyclic hydrocarbon group, and one or more —CH2— in the aliphatic hydrocarbon group can be replaced by —O— or —CO— and one or more hydrogen atoms in the aliphatic hydrocarbon group and the alicyclic hydrocarbon group can be replaced by a fluorine atom, a hydroxyl group, a C3-C36 alicyclic hydrocarbon group or a C2-C4 acyl group,
Y1 represents a C3-C36 alicyclic hydrocarbon group, and one or more —CH2— in the alicyclic hydrocarbon group can be replaced by —O— or —CO—, and one or more hydrogen atoms in the alicyclic hydrocarbon group can be replaced by a fluorine atom, a C1-C12 aliphatic hydrocarbon group, a C3-C12 alicyclic hydrocarbon group or a C2-C4 acyl group, with the proviso that —X2—Y1 group has one or more fluorine atoms, and
Z+ represents an organic counter cation.

[0013]

Examples of the C1-C6 perfluoroalkyl group include a trifluoromethyl group, a pentafluoroethyl group, a heptafluoropropyl group, a nonafluorobutyl group, an undecafluoropentyl group and a tridecafluorohexyl group, and a trifluoromethyl group is preferable. Q1 and Q2 each independently preferably represent a fluorine atom or a trifluoromethyl group, and Q1 and Q2 are more preferably fluorine atoms.

[0014]

Examples of —(CH2)k— in X1 include a C1-C18 alkylene group such as a methylene group, an ethylene group, a trimethylene group, a tetramethylene group, a pentamethylene group, a hexamethylene group, a heptamethylene group, an octamethylene group, a nonamethylene group, a decamethylene group, an undecamethylene group, a dodecamethylene group, a tridecamethylene group, a tetradecamethylene group, a pentadecamethylene group, a hexadecamethylene group, a heptadecamethylene group, an isopropylene group, a sec-bytylene group and a tert-butylene group.

[0015]

Examples of —(CH2)k— in which one or more —CH2— in —(CH2)k— are replaced by —O— or —CO— include *—CO—O—X10—, *—CO—O—X11—CO —O—, *—X10—O—CO—, *—X13—O—X14—, *—X15—O— and *—X14—CO—O— wherein * is a binding position to —CQ1Q2-, X10 is a single bond or a C1-C16 alkylene group, X11 is a single bond or a C1-C14 alkylene group, X13 is a single bond or a C1-C17 alkylene group, X14 is a single bond or a C1-C17 alkylene group, with the proviso that total carbon numbers of X13 and X14 is 1 to 17, X15 is a single bond or a C1-C17 alkylene group. Among them, *—CO—O—X10—, *—CO—O—X11—CO—O—, *—X10O—CO— and *—X13—O—X14— are preferable, and *—CO—O—X10— is more preferable.

[0016]

Examples of the aliphatic hydrocarbon group include an alkyl group such as a methyl group, an ethyl group, a propyl group, an isopropyl group, a butyl group, a sec-butyl group, a tert-butyl group, a pentyl group, a hexyl group, a heptyl group, a 2-ethylhexyl group, an octyl group, a nonyl group, a decyl group, an undecyl group and a dodecyl group.

[0017]

Examples of the divalent aliphatic hydrocarbon group include an alkanediyl group such as a methanediyl group, an ethanediyl group, a propanediyl group, a butanediyl group, a pentanediyl group, a hexanediyl group, a heptanediyl group, a 2-ethylhexanediyl group, an octanediyl group, a nonanediyl group, a decanediyl group, an undecanediyl group and a dodecanediyl group.

[0018]

Examples of the divalent alicyclic hydrocarbon group include a saturated divalent alicyclic hydrocarbon group such as a cyclopropanediyl group, a cyclobutanediyl group, a cyclopentanediyl group, a cyclohexanediyl group, a cycloheptanediyl group, a cyclooctanediyl group, a cyclononanediyl group, a cyclodecanediyl group, a norbornanediyl group, an adamantanediyl group and an isobornanediyl group.

[0019]

Examples of the C4-C12 divalent group formed by combining a divalent aliphatic hydrocarbon group with a divalent alicyclic hydrocarbon group include groups formed by combining the above-mentioned divalent aliphatic hydrocarbon group with the above-mentioned divalent alicyclic hydrocarbon group.

[0020]

Examples of the alicyclic hydrocarbon group include a saturated alicyclic hydrocarbon group such as a cyclopropyl group, a cyclobutyl group, a cyclopentyl group, a cyclohexyl group, a cycloheptyl group, a cyclooctyl group, a cyclononyl group, a cyclodecyl group, a norbornyl group, a 1-adamantyl group, a 2-adamantyl group and an isobornyl group.

[0021]

Examples of the acyl group include an acetyl group, a propionyl group and a butyryl group.

[0022]

In X1, —(CH2)k— wherein k is an integer of 0 to 5 is preferable, and —(CH2)k— of which —CH2— is replaced by —O— or —CO— is preferable. X1 is preferably a group containing —CO—O—.

[0023]

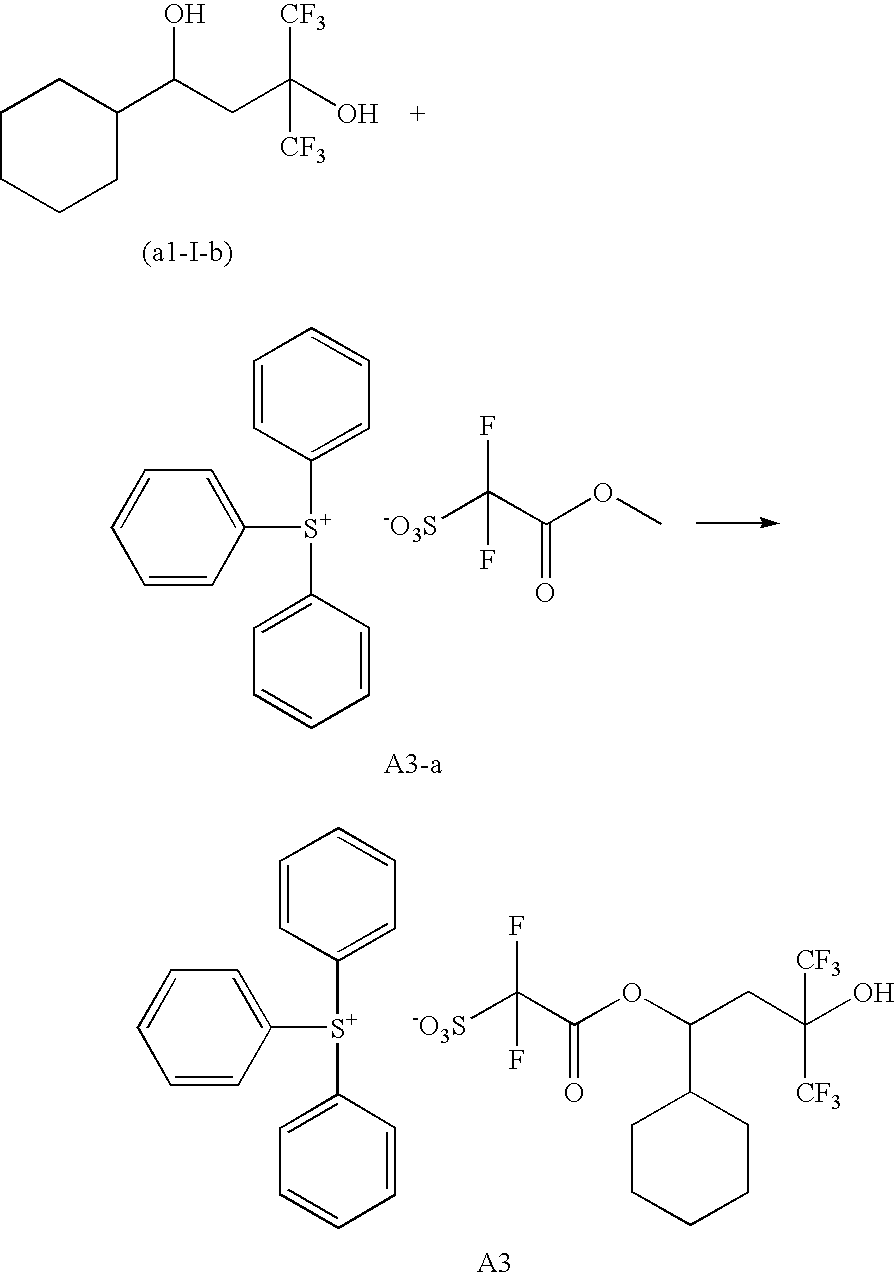
X2 is preferably a fluorine-substituted divalent group.

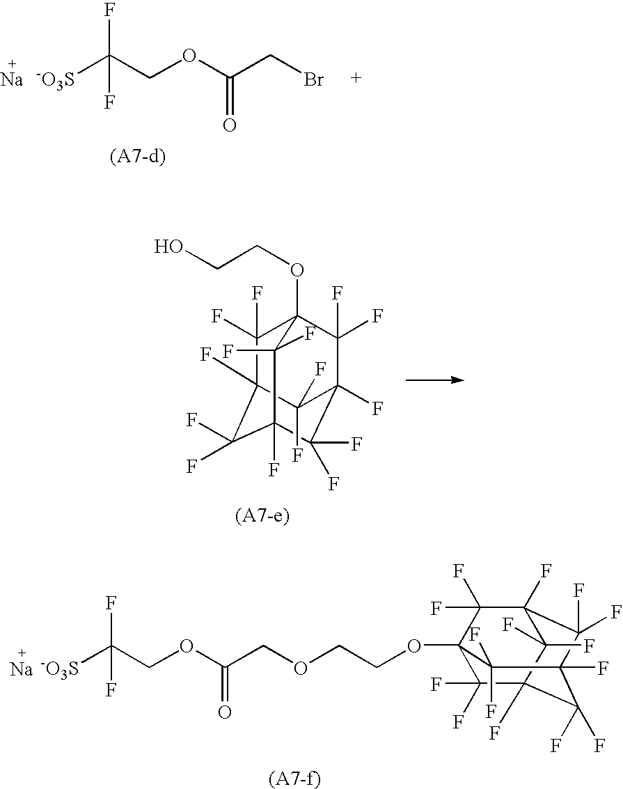
[0024]

In the formula (a), —X2—Y1 group has one or more fluorine atoms, and X2 can contain one or more fluorine atoms, and Y1 can contain one or more fluorine atoms, and both of X2, and Y1 can contain one or more fluorine atoms, and Y1 preferably contain one or more fluorine atoms.

[0025]

Examples of a group represented by —X1—X2—Y1 include the followings.

[0000]

[0026]

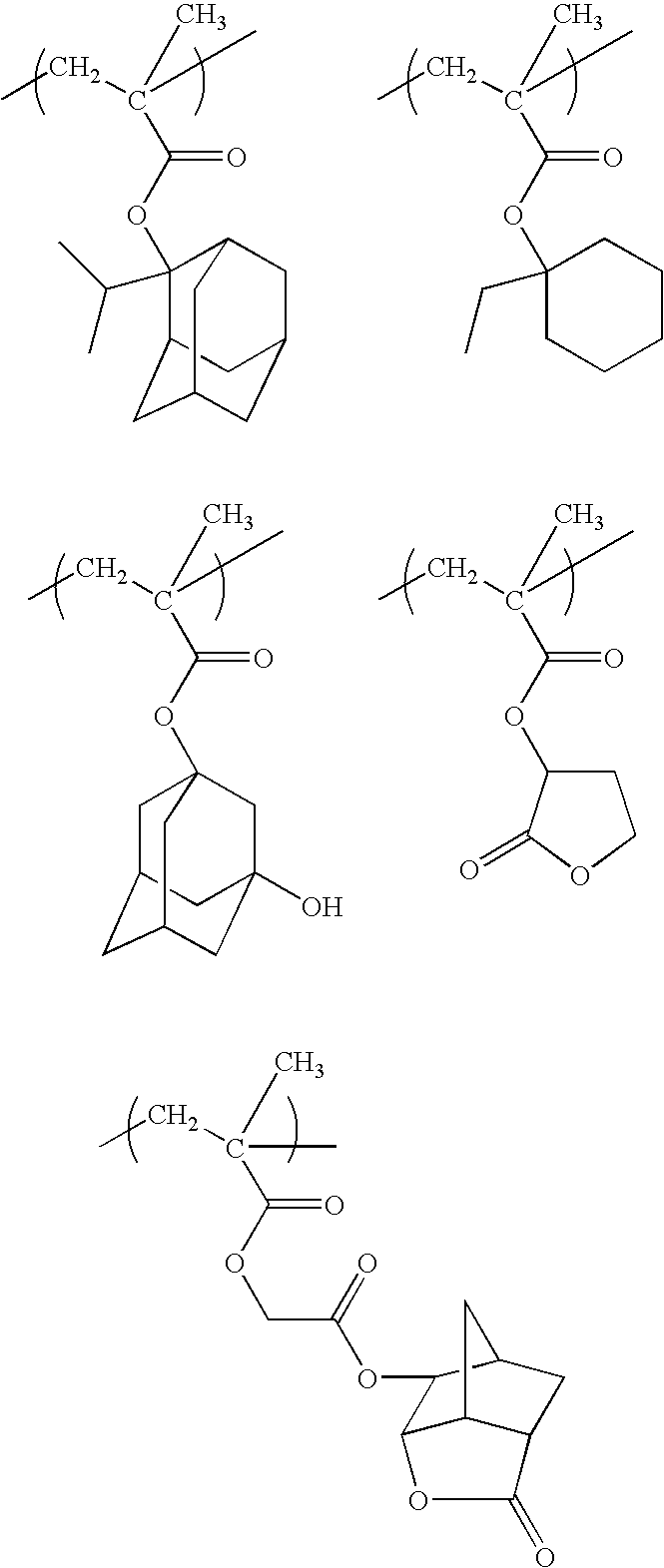
Y1 is preferably a C3-C36 alicyclic hydrocarbon group which can have one or more substituents selected from the group consisting of a hydroxyl group, a C2-C4 acyl group, a C1-C6 alkoxy group and a C1-C12 aliphatic hydrocarbon group. Examples of Y1 include groups represented by the formulae (W1) to (W24):

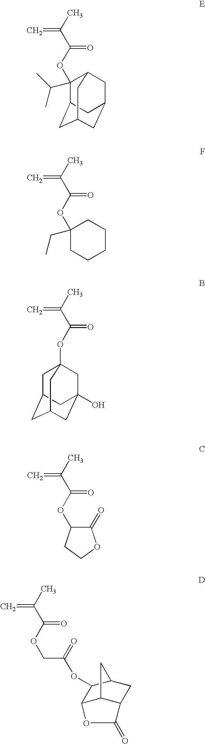
[0000]

[0027]

The above-mentioned groups represented by the formulae (W1) to (W19) can have one or more substituents. Among them, groups represented by the formulae (W1) to (W19) are preferable, and groups represented by the formulae (W4), (W12) and (W20) are more preferable, groups represented by the formulae (W4) and (W12) are much more preferable, and groups containing one or more fluorine atoms is preferable.

[0028]

Examples of Y1 include the following groups represented by the formulae (IIIc) to (IIId):

[0000]

[0000]

wherein Rb is independently in each occurrence a fluorine atom, a C1-C12 aliphatic hydrocarbon group, a C3-C12 alicyclic hydrocarbon group or a C2-C4 acyl group, and x and x′ independently each represents an integer of 0 to 11.

[0029]

Examples of the group represented by —X1—X2—Y1 wherein —X1— is —X4—O— include the groups represented by the following formulae (a1-1-1), (a1-2-1), (a1-3-1) anal (a1-4-1).

[0000]

[0000]

wherein X4 is a single bond or —(CH2)i—, and one or more —CH2— in —(CH2)i— can be replaced by —O— or —CO— and one or more hydrogen atoms in —(CH2)i— can be replaced by a C1-C12 aliphatic hydrocarbon group, and i represents an integer of 1 to 8.

[0030]

Preferable examples of the salt represented by the formula (a) include the salts represented by the formulae (a-1-1), (a-2-1), (a-3-1) and (a-4-1):

[0000]

[0000]

wherein Z+, Q1 and Q2 are the same as defined above.

[0031]

More preferable examples of the salt represented by the formula (a) include the salts represented by the formulae (a-1-2), (a-2-2), (a-3-2) and (a-4-2):

[0000]

[0000]

wherein Z+ is the same as defined above.

[0032]

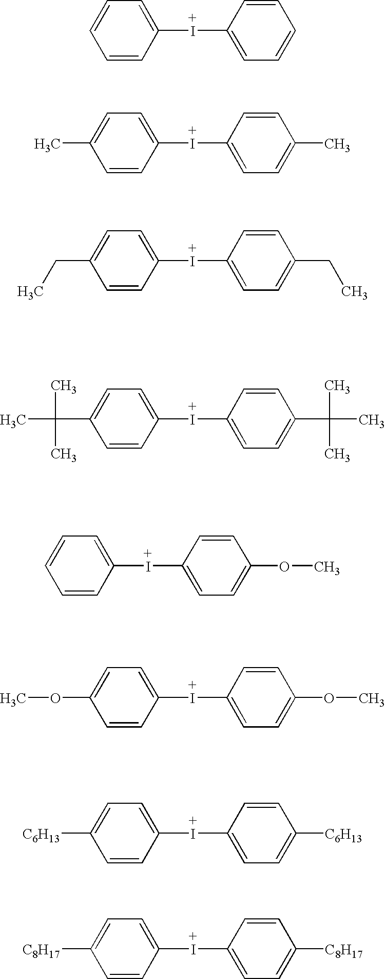
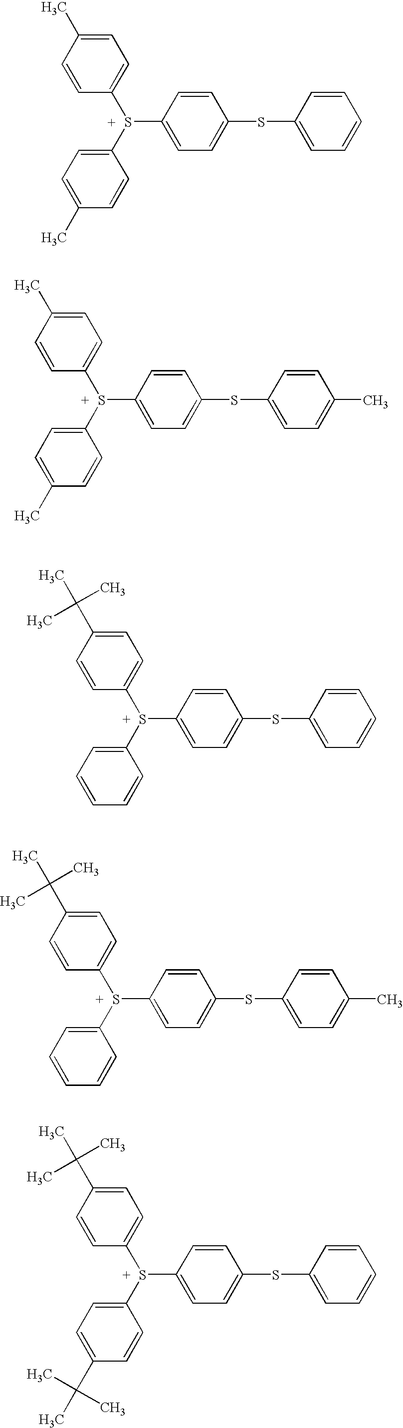
Examples of the organic counter cation include

[0000]

[0000]

wherein Pa, Pb and Pc each independently represent a C1-C30 alkyl group which can have one or more substituents selected from the group consisting of a hydroxyl group, a C3-C12 cyclic hydrocarbon group and a C1-C12 alkoxy group, a C3-C30 alicyclic hydrocarbon group which can have one or more substituents selected from the group consisting of a hydroxyl group, a halogen atom, a C1-C12 alkyl group, a C1-C12 alkoxy group or a C4-C36 alicyclic hydrocarbon group, or a C6-C20 aromatic hydrocarbon group which can have one or more substituents selected from the group consisting of a hydroxyl group, a halogen atom, a C1-C12 alkyl group, a C1-C12 alkoxy group or a C4-C36 alicyclic hydrocarbon group, and
the C4-C36 alicyclic hydrocarbon group can have one or more substituents selected from the group consisting of a halogen atom, a hydroxyl group, a C1-C12 linear or branched chain alkyl group, a C1-C12 alkoxy group, a C6-C12 aryl group, a C7-C12 aralkyl group, a glycidyloxy group and a C2-C4 acyl group,
P4 and P5 each independently represent a hydrogen atom, a hydroxyl group, a C1-C12 alkyl group or a C1-C12 alkoxy group,
P6 and P7 each independently represent a C1-C12 alkyl group or a C3-C12 cycloalkyl group, or P6 and P7 are bonded to form a C3-C12 divalent acyclic hydrocarbon group which forms a ring together with the adjacent S+, and one or more —CH2— in the divalent acyclic hydrocarbon group may be replaced by —CO—, —O— or —S—, P8 represents a hydrogen atom, P9 represents a C6-C20 aromatic group which may be substituted with a C3-C12 cycloalkyl group or a C1-C12 alkyl group, or P8 and P9 are bonded each other to form a divalent acyclic hydrocarbon group which forms a 2-oxocycloalkyl group together with the adjacent —CHCO—, and one or more —CH2— in the divalent acyclic hydrocarbon group may be replaced by —CO—, —O— or —S—, and
P10, P11, P12, P13, P14, P15, P16, P17, P18, P19, P20 and P21 each independently represent a hydrogen atom, a hydroxyl group, a C1-C12 alkyl, group or a C1-C12 alkoxy group, E represents a sulfur atom or an oxygen atom and m represents 0 or 1.

[0033]

Examples of the alkyl group, the alkoxy group, the alicyclic hydrocarbon group, and acyl group include the same as described above.

[0034]

Examples of the C3-C12 divalent acyclic hydrocarbon group formed by bonding P6 and P7 include a trimethylene group, a tetramethylene group and a pentamethylene group. Examples of the ring group formed together with the adjacent S+ and the divalent acyclic hydrocarbon group include a tetramethylenesulfonio group, a pentamethylenesulfonio group and an oxybisethylenesulfonio group.

[0035]

Examples of the C6-C20 aromatic group include a phenyl group, a tolyl group, a xylyl group, a tert-butylphenyl group and a naphthyl group. Examples of the divalent acyclic hydrocarbon group formed by bonding P8 and P9 include a methylene group, an ethylene group, a trimethylene group, a tetramethylene group and a pentamethylene group and examples of the 2-oxocycloalkyl group formed together with the adjacent —CHCO— and the divalent acyclic hydrocarbon group include a 2-oxocyclopentyl group and a 2-oxocyclohexyl group.

[0036]

The cation represented by the formula (IXz) is preferable and a cation represented by the formula (IXa):

[0000]

[0000]

wherein P1, P2 and P3 independently each represent a hydrogen atom, a hydroxyl group, a halogen atom, a C1-C12 alkyl group, a C1-C12 alkoxy group or a C4-C36 cyclic hydrocarbon group, and the C3-C12 cyclic hydrocarbon group can have one or more substituents selected from the group consisting of a halogen atom, a hydroxyl group, a C1-C12 linear or branched chain alkyl group, a C1-C12 alkoxy group, a C6-C12 aryl group, a C7-C12 aralkyl group, a glycidyloxy group and a C2-C4 acyl group, is more preferable.

[0037]

Examples of the halogen atom include a fluorine atom, a chlorine atom, a bromine atom and an iodine atom, and a fluorine atom, a chlorine atom and a bromine atom are preferable, and a fluorine atom is more preferable. Preferable examples of the C3-C12 cyclic hydrocarbon group include a group having an adamantyl skeleton and a group having an isobornyl skeleton, and more preferable examples thereof include a 2-alkyl-2-adamantyl group, a 1-(1-adamantyl)-1-alkyl group and an isobornyl group.

[0038]

Examples of the cation represented by the formula (IXa) include the followings.

[0000]

[0039]

Among them, a cation represented by the formula (IXe):

[0000]

[0000]

wherein P22, P23 and P24 independently each represent a hydrogen atom, a halogen atom, a hydroxyl group, a C1-C12 alkyl group or a C1-C12 alkoxy group, is more preferable from the viewpoint of easy production.

[0040]

Examples of the cation represented by the formula (IXb) include the followings.

[0000]

[0041]

Examples of the cation represented by the formula (IXc) include the followings.

[0000]

[0042]

Examples of the cation represented by the formula (IXd) include the followings.

[0000]

[0043]

The salt of the present invention consists of any one of the above-mentioned anion part and any one of the above-mentioned cation part and the above-mentioned anion part and the above-mentioned cation part can be arbitrarily combined.

[0044]

The salts represented by the formulae (a-1-3), (a-2-3), (a-3-3) and (a-4-3) are preferable.

[0000]

[0000]

wherein P1, P2 and P3 are the same as defined above, and the salts represented by the formulae (a-1-3), (a-2-3), (a-3-3) and (a-4-3) wherein P1 is P22, P2 is P23 and P3 is P24 are more preferable.

[0045]

More preferable examples thereof include the followings.

[0000]

[0046]

A compound comprising the cation part of the salt of the present invention can be produced according to the known method in the art. For example, a salt represented by the formula (IA) can be produced by reacting a salt represented by the formula (IA-1) with a compound represented by the formula (IA-2) in the presence of a catalyst such as lithium amide in a solvent such as chloroform.

[0000]

[0047]

The salt represented by the formula (IA-1) can be produced according to the method described in JP 2008-13551 A.

[0048]

Examples of the compound represented by the formula (IA-2) include perfluorocyclohexylmethanol.

[0049]

For example, a salt represented by the formula (IB) can be produced by reacting a salt represented by the formula (IA-1) with a compound represented by the formula (IB-2) in the presence of a catalyst such as lithium amide in a solvent such as chloroform.

[0000]

[0050]

Examples of the compound represented by the formula (IB-2) include the following compound.

[0000]

[0051]

The reaction of the salt represented by the formula (IA-1) with the compound represented by the formula (IA-2) can be conducted, for example, according to the method described in JP 2008-165216 A.

[0052]

The salt represented by the formula (a) works as an acid generator in a photoresist composition. The acid generator is a substance which is decomposed to generate an acid by applying a radiation such as a light, an electron beam or the like on the substance itself or on a resist composition containing the substance. The acid generated from the salt of the present invention acts on a resin in a photoresist composition resulting in cleavage of the acid-labile group existing in the resin.

[0053]

The photoresist composition of the present invention comprises a salt represented by the formula (a) and a resin comprising a structural unit having an acid-labile group and being insoluble or poorly soluble in an aqueous alkali solution but becoming soluble in an aqueous alkali solution by the action of an acid. The photoresist composition can contain one or more acid generators other than the salt represented by the formula (a).

[0054]

In this specification, “an acid-labile group” means a group capable of being eliminated by the action of an acid.

[0055]

Examples of the acid-labile group include a group represented by the formula (1a):

[0000]

[0000]

wherein Ra1, Ra2 and Ra3 independently each represent a C1-C8 aliphatic hydrocarbon group or a C3-C20 alicyclic hydrocarbon group, or Ra1 and Ra2 are bonded each other to form a C3-C20 ring.

[0056]

Examples of the C1-C8 aliphatic hydrocarbon group include a C1-C8 alkyl group such as a methyl group, an ethyl group, a propyl group, an isopropyl group, a butyl group, a pentyl group, a hexyl group, a heptyl group and an octyl group. The C3-C20 alicyclic hydrocarbon group may be monocyclic or polycyclic, and examples thereof include a monocyclic alicyclic hydrocarbon group such as a C3-C20 cycloalkyl group (e.g. a cyclopentyl group, a cyclohexyl group, a methylcyclohexyl group, a dimethylcyclohexyl group, a cycloheptyl group and a cyclooctyl group) and a polycyclic alicyclic hydrocarbon group such as a decahydronaphthyl group, an adamantyl group, a norbornyl group, amethylnorbornyl group, and the followings:

[0000]

[0057]

The alicyclic hydrocarbon group preferably has 3 to 16 carbon atoms.

[0058]

Examples of the ring formed by bonding Ra1 and Ra2 each other include the following groups and the ring preferably has 3 to 12 carbon atoms.

[0000]

[0000]

wherein Ra1 is the same as defined above.

[0059]

The group represented by the formula (1a) wherein Ra1, Ra2 and Ra3 independently each represent a C1-C8 alkyl group such as a tert-butyl group, the group represented by the formula (1a) wherein Ra1 and Ra2 are bonded each other to form an adamantyl ring and Ra3 is a C1-C8 alkyl group such as a 2-alkyl-2-adamantyl group, and the group represented by the formula (1a) wherein Ra1 and Ra2 are C1-C8 alkyl groups and Ra3 is an adamantyl, group such as a 1-(1-adamantyl)-1-alkylalkoxycarbonyl group are preferable.

[0060]

The structural unit having an acid-labile group is derived from a monomer having an acid-labile group in its side chain and a carbon-carbon double bond, and an acrylate monomer having an acid-labile group in its side chain, or a methacryalte monomer having an acid-labile group in its side chain is preferable.

[0061]

Preferable examples of the monomer include a 2-alkyl-2-adamantyl acrylate, a 2-alkyl-2-adamantyl methacrylate, 1-(1-adamantyl)-1-alkylalkyl acrylate, a 1-(1-adamantyl)-1-alkylalkyl methacrylate, a 2-alkyl-2-adamantyl 5-norbornene-2-carboxylate, a 1-(1-adamantyl)-1-alkylalkyl 5-norbornene-2-carboxylate, a 2-alkyl-2-adamantyl α-chloroacrylate and a 1-(1-adamantyl)-1-alkylalkyl α-chloroacrylate. Particularly when the 2-alkyl-2-adamantyl acrylate or the 2-alkyl-2-adamantyl methacrylate is used as the monomer for the resin component in the photoresist composition, a photoresist composition having excellent resolution tend to be obtained. Typical examples thereof include 2-methyl-2-adamantyl acrylate, 2-methyl-2-adamantylmethacrylate, 2-ethyl-2-adamantyl acrylate, 2-ethyl-2-adamantyl methacrylate, 2-isopropyl-2-adamantyl acrylate, 2-isopropyl-2-adamantyl methacrylate, 2-n-butyl-2-adamantyl acrylate, 2-methyl-2-adamantyl α-chloroacrylate and 2-ethyl-2-adamantyl α-chloroacrylate. When particularly 2-ethyl-2-adamantyl acrylate, 2-ethyl-2-adamantyl methacrylate, 2-isopropyl-2-adamantyl acrylate or 2-isopropyl-2-adamantyl methacrylate is used for the photoresist composition, a photoresist composition having excellent sensitivity and heat resistance tends to be obtained.

[0062]

The 2-alkyl-2-adamantyl acrylate can be usually produced by reacting a 2-alkyl-2-adamantanol or a metal salt thereof with an acrylic halide, and the 2-alkyl-2-adamantyl methacrylate can be usually produced by reacting a 2-alkyl-2-adamantanol or a metal salt thereof with a methacrylic halide.

[0000]

Two or more kinds of monomers having a group or groups dissociated by the action of the acid may be used together, if necessary.

[0063]

The content of the structural unit having an acid-labile group in the resin is usually 10 to 80% by mole based on total molar of all the structural units of the resin.

[0064]

The resin preferably contains one or more structural units having one or more highly polar substituents. Examples of the structural unit having one or more highly polar substituents include a structural unit having a hydrocarbon group having at least one selected from the group consisting of a hydroxyl group, a cyano group, a nitro group and an amino group and a structural unit having a hydrocarbon group having one or more —CO—O—, —CO—, —O—, —SO2— or —S—. A structural unit having a saturated cyclic hydrocarbon group having a cyano group or a hydroxyl group, a structural unit having a saturated cyclic hydrocarbon group in which one or more —CH2— replaced by —O— or —CO—, and a structural unit having a lactone structure in its side chain are preferable, and a structural unit having a bridged hydrocarbon group having one or more hydroxyl groups, and a structural unit having a bridged hydrocarbon group having —CO—O— or —CO— are more preferable. Examples thereof include a structural unit derived from 2-norbornene having one or more hydroxyl groups, a structural unit derived from acrylonitrile or methacrylonitrile, a structural unit derived from hydroxyl-containing adamantyl acrylate or hydroxyl-containing adamantyl methacrylate, a structural unit derived from styrene monomer such as p-hydroxystyrene and m-hydroxystyrene, a structural unit derived from a structural unit derived from 1-adamantyl acrylate or 1-adamantyl methacrylate, and a structural unit derived from acryloyloxy-γ-butyrolactone or methacryloyloxy-γ-butyrolactone having a lactone ring which may have an alkyl group.

[0065]

Specific examples of the structural unit derived from hydroxyl-containing adamantyl acrylate or hydroxyl-containing adamantyl methacrylate include a structural unit derived from 3-hydroxy-1-adamantyl acrylate; a structural unit derived from 3-hydroxy-1-adamantyl methacrylate; a structural unit derived from 3,5-dihydroxy-1-adamantyl acrylate; and a structural unit derived from 3,5-dihydroxy-1-adamantyl methacrylate.

[0066]

3-Hydroxy-1-adamantyl acrylate, 3-hydroxy-1-adamantyl methacrylate, 3,5-dihydroxy-1-adamantyl acrylate and 3,5-dihydroxy-1-adamantyl methacrylate can be produced, for example, by reacting corresponding hydroxyadamantane with acrylic acid, methacrylic acid or its acid halide, and they are also commercially available.

[0067]

When the resin has a structural unit derived from hydroxyl-containing adamantyl acrylate or hydroxyl-containing adamantyl methacrylate, the content thereof is preferably 5 to 50% by mole based on 100% by mole of all the structural units of the resin.

[0068]

Examples of the structural unit derived from a monomer having a lactone ring which may have an alkyl group include a structural unit derived from acryloyloxy-7-butyrolactone, a structural unit derived from methacryloyloxy-γ-butyrolactone and structural units represented by the formulae (a′) and (b):

[0000]

[0000]

wherein R1 and R2 independently each represents a hydrogen atom or a methyl group, R3 and R4 are independently in each occurrence a hydrogen atom, a methyl group, a trifluoromethyl group or a halogen atom, and i and j independently each represents an integer of 1 to 3.

[0069]

Further, the acryloyloxy-7-butyrolactone and the methacryloyloxy-γ-butyrolactone can be produced by reacting corresponding α- or β-bromo-γ-butyrolactone with acrylic acid or methacrylic acid, or reacting corresponding α- or β-hydroxy-γ-butyrolactone with the acrylic halide or the methacrylic halide.

[0070]

Examples of the monomers giving structural units represented by the formulae (a′) and (b) include an acrylate of alicyclic lactones and a methacrylate of alicyclic lactones having the hydroxyl, group described below, and mixtures thereof. These esters can be produced, for example, by reacting the corresponding alicyclic lactone having the hydroxyl group with acrylic acid or methacrylic acid, and the production method thereof is described in, for example, JP 2000-26446 A.

[0000]

[0071]

Examples of the acryloyloxy-γ-butyrolactone and the methacryloyloxy-γ-butyrolactone in which lactone ring may be substituted with the alkyl group include α-acryloyloxy-γ-butyrolactone, α-methacryloyloxy-γ-butyrolactone, α-acryloyloxy-β,β-dimethyl-γ-butyrolactone, α-methacryloyloxy-β,β-dimethyl-γ-butyrolactone, α-acryloyloxy-α-methyl-γ-butyrolactone, α-methacryloyloxy-α-methyl-γ-butyrolactone, β-acryloyloxy-γ-butyrolactone, β-methacryloyloxy-γ-butyrolactone and β-methacryloyloxy-α-methyl-γ-butyrolactone.

[0072]

When the resin has a structural unit derived from a monomer having a lactone ring which may have an alkyl group, the content thereof is preferably 5 to 50% by mole based on 100% by mole of all the structural units of the resin.

[0073]

Among them, the structural unit derived from 3-hydroxy-1-adamantyl acrylate, the structural unit derived from 3-hydroxy-1-adamantyl methacrylate, the structural unit derived from 3,5-dihydroxy-1-adamantyl acrylate, the structural unit derived from 3,5-dihydroxy-1-adamantylmethacrylate, the structural unit derived from α-acryloyloxy-γ-butyrolactone, the structural unit derived from α-methacryloyloxy-γ-butyrolactone, the structural unit derived from β-acryloyloxy-γ-butyrolactone, the structural unit derived from β-methacryloyloxy-γ-butyrolactone, the structural unit represented by the formula (a′) and the structural unit represented by the formula (b) are preferable, because a photoresist composition having good resolution and adhesiveness of photoresist to a substrate tends to be obtained.

[0074]

When the exposing is conducted using KrF excimer laser, the resin preferably has a structural unit derived from a styrene monomer such as p-hydroxystyrene and m-hydroxystyrene, and the content thereof is preferably 5 to 90% by mole based on 100% by mole of all the structural units of the resin.

[0075]

The resin can contain the other structural unit or units. Examples thereof include a structural unit derived from acrylic acid or methacrylic acid, a structural unit derived from an alicyclic compound having an olefinic double bond such as a structural unit represented by the formula (c):

[0000]

[0000]

wherein R5 and R6 each independently represents a hydrogen atom, a C1-C3 alkyl group, a carboxyl group, a cyano group or a —COOU group in which U represents an alcohol residue, or R5 and R6 can be bonded together to form a carboxylic anhydride residue represented by —C(═O)OC(═O)—,
a structural unit derived from an aliphatic unsaturated dicarboxylic anhydride such as a structural unit represented by the formula (d):

[0000]

[0000]

a structural unit represented by the formula (e):

[0000]

[0076]

In R3 and R6, examples of the C1-C3 alkyl group include a methyl group, an ethyl group, a propyl group and an isopropyl group. The —COOU group is an ester formed from the carboxyl group, and examples of the alcohol residue corresponding to U include an optionally substituted C1-C8 alkyl group, 2-oxooxolan-3-yl group and 2-oxooxolan-4-yl group, and examples of the substituent on the C1-C8 alkyl group include a hydroxyl group and an alicyclic hydrocarbon group.

[0077]

Specific examples of the monomer giving the structural unit represented by the above-mentioned formula (c) may include 2-norbornene, 2-hydroxy-5-norbornene, 5-norbornene-2-carboxylic acid, methyl 5-norbornene-2-carboxylate, 2-hydroxyethyl 5-norbornene-2-carboxylate, 5-norbornene-2-methanol and 5-norbornene-2,3-dicarboxylic anhydride.

[0078]

When U in the —COOU group is the acid-labile group, the structural unit represented by the formula (c) is a structural unit having the acid-labile group even if it has the norbornane structure. Examples of monomers giving a structural unit having the acid-labile group include tert-butyl 5-norbornene-2-carboxylate, 1-cyclohexyl-1-methylethyl 5-norbornene-2-carboxylate, 1-methylcyclohexyl 5-norbornene-2-carboxylate, 2-methyl-2-adamantyl 5-norbornene-2-carboxylate, 2-ethyl-2-adamantyl 5-norbornene-2-carboxylate, 1-(4-methylcyclohexyl)-1-methylethyl 5-norbornene-2-carboxylate, 1-(4-hydroxycyclohexyl)-1-methylethyl 5-norbornene-2-carboxylate, 1-methyl-1-(4-oxocyclohexyl)ethyl 5-norbornene-2-carboxylate and 1-(1-adamantyl)-1-methylethyl 5-norbornene-2-carboxylate.

[0079]

The resin can be obtained by conducting polymerization reaction of a monomer or monomers having the acid-labile group and an olefinic double bond. The polymerization reaction is usually carried out in the presence of a radical initiator. This polymerization reaction can be conducted according to known methods.

[0080]

The resin usually has 10,000 or more of the weight-average molecular weight, preferably 10,500 or more of the weight-average molecular weight, more preferably 11,000 or more of the weight-average molecular weight, much more preferably 11,500 or more of the weight-average molecular weight, and especially preferably 12,000 or more of the weight-average molecular weight. When the weight-average molecular weight of the resin is too large, defect of the photoresist film tends to generate, and therefore, the resin preferably has 40,000 or less of the weight-average molecular weight, more preferably 39,000 or less of the weight-average molecular weight, much more preferably 38,000 or less of the weight-average molecular weight, and especially preferably 37,000 or less of the weight-average molecular weight. The weight-average molecular weight can be measured with gel permeation chromatography.

[0081]

The present resist composition can contain the other acid generator or acid generators than the salt represented by the formula (a) of the present invention. Examples of the other acid generator include acid generators described in US 2006/0194982 A1 such as triphenylsulfonium 1-[(3-hydroxyadamantyl)methoxycarbonyl]difluoromethanesulfonate, acid generators described in US 2007/0027336 A1 such as triphenylsulfonium (4-oxo-1-adamantyoxycarbonyl)difluoromethanesulfonate, and triphenylsulfonium (1-adamantylmethoxycarbonyl)difluoromethanesulfonate. When the present resist composition contains the other acid generator or acid generators than the salt represented by the formula (a) of the present invention, the weight ratio of the salt represented by the formula (a) of the present invention to the other acid generator or acid generators is usually 99/1 to 1/99.

[0082]

The present resist composition preferably includes 80 to 99.9% by weight of the resin component and 0.1 to 20% by weight of the acid generator component based on sum of the resin component and the acid generator component. Herein, “acid generator component” means the salt represented by the formula (a) and the other acid generator(s) contained in the photoresist composition.

[0083]

In the present resist composition, performance deterioration caused by inactivation of acid which occurs due to post exposure delay can be diminished by adding an organic base compound, particularly a nitrogen-containing organic base compound as a quencher.

[0084]

Specific examples of the nitrogen-containing organic base compound include an amine compound represented by the following formulae:

[0000]

[0000]

wherein R′1 and R12 independently represent a hydrogen atom, a C1-C6 alkyl group, a C5-C10 cycloalkyl group or a C6-C10 aryl group, and the alkyl, cycloalkyl and aryl groups may be substituted with at least one group selected from the group consisting of a hydroxyl group, an amino group which may be substituted with a C1-C4 alkyl group and a C1-C6 alkoxy group which may be substituted with a C1-C6 alkoxy group,
R13 and R14 independently represent a hydrogen atom, a C1-C6 alkyl group, a C5-C10 cycloalkyl group, a C6-C10 aryl group or a C1-C6 alkoxy group, and the alkyl, cycloalkyl, aryl and alkoxy groups may be substituted with at least one group selected from the group consisting of a hydroxyl group, an amino group which may be substituted with a C1-C4 alkyl group and a C1-C6 alkoxy group, or R13 and R14 bond together with the carbon atoms to which they bond to form an aromatic ring,
R15 represent a hydrogen atom, a C1-C6 alkyl group, a C5-C10 cycloalkyl group, a C6-C10 aryl group, a C1-C6 alkoxy group or a nitro group, and the alkyl, cycloalkyl, aryl and alkoxy groups may be substituted with at least one group selected from the group consisting of a hydroxyl group, an amino group which may be substituted with a C1-C4 alkyl group and a C1-C6 alkoxy group,
R16 represents a C1-C6 alkyl group or a C5-C10 cycloalkyl group, and the alkyl and cycloalkyl groups may be substituted with at least one group selected from the group consisting of a hydroxyl group, an amino group which may be substituted with a C1-C4 alkyl group and a C1-C6 alkoxy group, and
W1 represents —CO—, —NH—, —S—, —S—S—, an C2-C6 alkylene group, and a quaternary ammonium hydroxide represented by the following formula:

[0000]

[0000]

R17, R18, R19 and R20 independently represent a C1-C6 alkyl group, a C5-C10 cycloalkyl group or a C6-C10 aryl group, and the alkyl, cycloalkyl and aryl groups may be substituted with at least one group selected from the group consisting of a hydroxyl group, an amino group which may be substituted with a C1-C4 alkyl group and a C1-C6 alkoxy group.

[0085]

Examples of the amino group which may be substituted with the C1-C4 alkyl group include an amino group, a methylamino group, an ethylamino group, a butylamino group, a dimethylamino group and a diethylamine group. Examples of the C1-C6 alkoxy group which may be substituted with the C1-C6 alkoxy group include a methoxy group, an ethoxy group, a propoxy group, an isopropoxy group, a butoxy group, a tert-butoxy group, a pentyloxy group, a hexyloxy group and a 2-methoxyethoxy group.

[0086]

Specific examples of the C1-C6 alkyl group which may be substituted with at least one group selected from the group consisting of a hydroxyl group, an amino group which may be substituted with a C1-C4 alkyl group, and a C1-C6 alkoxy group which may be substituted with a C1-C6 alkoxy group include a methyl group, an ethyl group, a propyl group, an isopropyl group, a butyl group, a tert-butyl group, a pentyl group, a hexyl group, a 2-(2-methoxyethoxy)ethyl group, a 2-hydroxyethyl group, a 2-hydroxypropyl group, a 2-aminoethyl group, a 4-aminobutyl group and a 6-aminohexyl group.

[0087]

Specific examples of the C5-C10 cycloalkyl group which may be substituted with at least one group selected from the group consisting of a hydroxyl group, an amino group which may be substituted with a C1-C4 alkyl group and a C1-C6 alkoxy group include a cyclopentyl group, a cyclohexyl group, a cycloheptyl group and a cyclooctyl group.

[0088]

Specific examples of the C6-C10 aryl group which may be substituted with at least one group selected from the group consisting of a hydroxyl group, an amino group which may be substituted with a C1-C4 alkyl group or a C1-C6 alkoxy group include a phenyl group and a naphthyl group.

[0089]

Specific examples of the C1-C6 alkoxy group include a methoxy group, an ethoxy group, a propoxy group, an isopropoxy group, a butoxy group, a tert-butoxy group, a pentyloxy group and a hexyloxy group.

[0090]

Specific examples of the C2-C6 alkylene group include an ethylene group, a trimethylene group and a tetramethylene group.

[0091]

Specific examples of the amine compound include hexylamine, heptylamine, octylamine, nonylamine, decylamine, aniline, 2-methylaniline, 3-methylaniline, 4-methylaniline, 4-nitroaniline, 1-naphthylamine, 2-naphthylamine, ethylenediamine, tetramethylenediamine, hexamethylenediamine, 4,4′-diamino-1,2-diphenylethane, 4,4′-diamino-3,3′-dimethyldiphenylmethane, 4,4′-diamino-3,3′-diethyldiphenylmethane, dibutylamine, dipentylamine, dihexylamine, diheptylamine, dioctylamine, dinonylamine, didecylamine, N-methylaniline, piperidine, diphenylamine, triethylamine, trimethylamine, tripropylamine, tributylamine, trimethylamine, trihexylamine, triheptylamine, trioctylamine, trinonylamine, tridecylamine, methyldibutylamine, methyldipentylamine, methyldihexylamine, methyldicyclohexylamine, methyldiheptylamine, methyldioctylamine, methyldinonylamine, methyldidecylamine, ethyldibutylamine, ethyldipentylamine, ethyldihexylamine, ethyldiheptylamine, ethyldibutylamine, ethyldinonylamine, ethyldidecylamine, dicyclohexylmethylamine, tris[2-(2-methoxyethoxy)ethyl]amine, triisopropanolamine, N,N-dimethylaniline, 2,6-diisopropylaniline, imidazole, benzimidazole, pyridine, 4-methylpyridine, 4-methylimidazole, bipyridine, 2,2′-dipyridylamine, di-2-pyridyl ketone, 1,2-di(2-pyridyl)ethane, 1,2-di(4-pyridyl)ethane, 1,3-di(4-pyridyl)propane, 1,2-bis(2-pyridyl)ethylene, 1,2-bis(4-pyridyl)ethylene, 1,2-bis(4-pyridyloxy)ethane, 4,4′-dipyridyl sulfide, 4,4′-dipyridyl disulfide, 1,2-bis(4-pyridyl)ethylene, 2,2′-dipicolylamine and 3,3′-dipicolylamine.

[0092]

Examples of the quaternary ammonium hydroxide include tetramethylammonium hydroxide, tetrabutylammonium hydroxide, tetrahexylammonium hydroxide, tetraoctylammonium hydroxide, phenyltrimethylammonium hydroxide, (3-trifluoromethylphenyl)trimethylammonium hydroxide and (2-hydroxyethyl)trimethylammonium hydroxide (so-called “choline”).

[0093]

A hindered amine compound having a piperidine skeleton as disclosed in JP 11-52575 A1 can be also used as the quencher.

[0094]

In the point of forming patterns having higher resolution, the quaternary ammonium hydroxide is preferably used as the quencher.

[0095]

When the basic compound is used as the quencher, the present resist composition preferably includes 0.01 to 1% by weight of the basic compound based on the total amount of the resin component and the acid generator component.

[0096]

The present resist composition can contain, if necessary, a small amount of various additives such as a sensitizer, a dissolution inhibitor, other polymers, a surfactant, a stabilizer and a dye as long as the effect of the present invention is not prevented.

[0097]

The present resist composition is usually in the form of a resist liquid composition in which the above-mentioned ingredients are dissolved in a solvent and the resist liquid composition is applied onto a substrate such as a silicon wafer by a conventional process such as spin coating. The solvent used is sufficient to dissolve the above-mentioned ingredients, have an adequate drying rate, and give a uniform and smooth coat after evaporation of the solvent. Solvents generally used in the art can be used.

[0098]

Examples of the solvent include a glycol ether ester such as ethyl cellosolve acetate, methyl cellosolve acetate and propylene glycol monomethyl ether acetate; an acyclic ester such as ethyl lactate, butyl acetate, amyl acetate and ethyl pyruvate; a ketone such as acetone, methyl isobutyl ketone, 2-heptanone and cyclohexanone; and a cyclic ester such as γ-butyrolactone. These solvents may be used alone and two or more thereof may be mixed to use.

[0099]

A photoresist pattern can be produced by the following steps (1) to (5):

[0100]

(1) a step of applying the photoresist composition of the present invention on a substrate,

[0101]

(2) a step of forming a photoresist film by conducting drying,

[0102]

(3) a step of exposing the photoresist film to radiation,

[0103]

(4) a step of baking the exposed photoresist film, and

[0104]

(5) a step of developing the baked photoresist film with an alkaline developer, thereby forming a photoresist pattern. The alkaline developer used may be any one of various alkaline aqueous solution used in the art. Generally, an aqueous solution of tetramethylammonium hydroxide or (2-hydroxyethyl)trimethylammonium hydroxide (commonly known as “choline”) is often used.

EXAMPLES

[0105]

The present invention will be described more specifically by Examples, which are not construed to limit the scope of the present invention.

[0106]

The “%” and “part(s)” used to represent the content of any component and the amount of any material used in the following examples and comparative examples are on a weight basis unless otherwise specifically noted. The weight-average molecular weight of any material used in the following examples is a value found by gel permeation chromatography [HLC-8120GPC Type, Column (Three Columns with guard column): TSKgel Multipore HXL-M, manufactured by TOSOH CORPORATION, Solvent: Tetrahydrofuran, Flow rate: 1.0 mL/min., Detector: RI detector, Column temperature: 40° C., Injection volume: 100 μL) using polystyrene as a standard reference material. Structures of compounds were determined by NMR (EX-270 Type, manufactured by JEOL LTD.) and mass spectrometry (Liquid Chromatography: 1100 Type, manufactured by AGILENT TECHNOLOGIES LTD., Mass Spectrometry: LC/MSD Type or LC/MSD TOF Type, manufactured by AGILENT TECHNOLOGIES LTD.).

Salt Synthesis Reference Example 1

[0107]

Into a mixture of 100 parts of methyl difluoro(fluorosulfonyl)acetate and 150 parts of ion-exchanged water, 230 parts of 30% aqueous sodium hydroxide solution was added dropwise in an ice bath. The resultant mixture was heated and refluxed at 100° C. for 3 hours. After cooling down to 23° C., the mixture was neutralized with 88 parts of concentrated hydrochloric acid and the solution obtained was concentrated to obtain 164.4 parts of sodium salt of difluorosulfoacetic acid (containing inorganic salt, purity: 62.7%).

[0108]

To a mixture of 1.9 parts of sodium salt of difluorosulfoacetic acid (purity: 62.7%) and 9.5 parts of N,N-dimethylformamide, 1.0 part of 1,1′-carbonyldiimidazole was added and the resultant solution was stirred for 2 hours. The solution was added to a solution prepared by mixing 1.1 parts of 3-hydroxyadamantanemethanol, 5.5 parts of N,N-dimethylformamide and 0.2 part of sodium hydride and stirring for 2 hours. The resultant solution was stirred for 15 hours to obtain the solution containing sodium salt of (3-hydroxy-1-adamantyl)methyl difluorosulfoacetate.

[0109]

To the solution containing sodium salt of (3-hydroxy-1-adamantyl)methyl difluorosulfoacetate, 17.2 parts of chloroform and 2.9 parts of 14.8% aqueous solution of triphenylsulfonium chloride were added. The resultant mixture was stirred for 15 hours, and then separated to an organic layer and an aqueous layer. The obtained aqueous layer was extracted with 6.5 parts of chloroform and the extraction was repeated. The obtained chloroform layers were mixed with the previously obtained organic layer and the obtained organic solution was washed with ion-exchanged water. The obtained organic solution was concentrated and the obtained residue was mixed with 5.0 parts of text-butyl methyl ether. The resultant mixture was stirred and filtrated to obtain 0.2 part of the salt represented by the following formula (A1) in the form of a white solid, which is called as Salt A1.

[0000]

Salt Synthesis Reference Example 2

[0110]

Into a mixture of 100 parts of methyl difluoro(fluorosulfonyl)acetate and 250 parts of ion-exchanged water, 230 parts of 30% aqueous sodium hydroxide solution was added dropwise in an ice bath. The resultant mixture was heated and refluxed at 100° C. for 3 hours. After cooling, the mixture was neutralized with 88 parts of concentrated hydrochloric acid and the solution obtained was concentrated to obtain 164.8 parts of sodium salt of difluorosulfoacetic acid (containing inorganic salt, purity: 62.6%).

[0111]

To a mixture of 5.0 parts of sodium salt of difluorosulfoacetic acid (purity: 62.6%), 2.6 parts of 4-oxo-1-adamantanol and 100 parts of ethylbenzene, 0.6 part of concentrated sulfuric acid was added and the resultant solution was refluxed for 30 hours. The mixture was cooled and filtrated. The obtained solid was washed with tert-butyl methyl ether to obtain 5.5 parts of sodium salt of 4-oxo-1-adamantyl difluorosulfoacetate. The purity thereof was 35.6% according to1H-NMR analysis.

[0112]

To 5.4 parts of sodium salt of 4-oxo-1-adamantyl difluorosulfoacetate, 16 parts of acetonitrile and 16 parts of ion-exchanged water were added. To the resultant mixture, 1.7 parts of triphenylsulfonium chloride, 5 parts of acetonitrile and 5 parts of ion-exchanged water were added, and the obtained mixture was stirred for 15 hours. The mixture was concentrated and the obtained residue was extracted with 142 parts of chloroform and the obtained organic layer was washed with ion-exchanged water and then, concentrated. The obtained residue was washed with 24 parts of tent-butyl methyl ether to obtain 1.7 parts of the salt represented by the following formula (A2) in the form of a white solid, which is called as Salt A2.

[0000]

Example 1

[0113]

[0114]

Into a mixture of 15.00 parts of the compound represented by the formula (a1-I-a) and 45.00 parts of 1,4-dioxane, an aqueous solution prepared by dissolving 1.82 parts of sodium hydroxide in 30.00 parts of ion-exchanged water was added dropwise over 30 minutes at 23° C. with stirring. The resultant mixture was stirred at 100° C. for 5 hours. The obtained mixture was concentrated and the obtained residue was mixed with 50.00 parts of 1N hydrochloric acid and 200.0 parts of ethyl acetate. The obtained mixture was stirred and then, separated to an organic layer and an aqueous layer. The organic layer was concentrated and purified with silica gel column (silica gel: Merck & Co., Inc., silica gel 60-200 mesh, Developing solvent heptane/ethyl acetate=3/1) to obtain 9.70 parts of the compound represented by the above-mentioned formula (a-1-I-b)

[0115]

Purity: 100%, Yield: 79.6%.

[0000]

[0116]

To a mixture of 10.00 parts of the salt represented by the above-mentioned formula (A3-a) and 80.00 parts of chloroform, 9.71 parts of the compound represented by the above-mentioned formula (a1-I-b) and 0.15 part of lithium amide were added. The resultant mixture was stirred at 23° C. for 30 minutes. To the mixture, 13.00 parts of molecular sieves 5A available from Wako Pure Chemical Industries, Ltd. was added, and the resultant mixture was stirred at 60° C. for 8 hours. After cooling, the mixture was filtrated and then, the obtained filtrate was mixed with 24.53 parts of ion-exchanged water. The obtained mixture was stirred and then, separated to an organic layer and an aqueous layer. The organic layer was washed twice with ion-exchanged water. To the obtained organic layer, 1.33 parts of active carbon was added to stir. The resultant mixture was filtrated and the obtained filtrate was concentrated to obtain 21.81 parts of a pale yellow oil.

[0117]

To 21.81 parts of a pale yellow oil, 65.43 parts of acetonitrile was added and the resultant solution was concentrated. To the obtained residue, 87.24 parts of ethyl acetate was added and the resultant mixture was concentrated. To the obtained residue, 80.00 parts of tert-butyl methyl ether was added, and then, the upper layer was removed. The lower layer was concentrated. The obtained residue was mixed with 60.00 parts of ethyl acetate and the upper layer was removed. The obtained lower layer was concentrated to obtain 10.85 parts of the salt represented by the above-mentioned formula (A3) in the form of a pale yellow oil, which is called as Salt A3.

[0118]

MS (ESI(+) Spectrum): M+ 263.1

[0119]

MS (ESI(−) Spectrum): M 451.1

[0120]

1H-NMR (dimethylsulfoxide-d6, Internal Standard: tetramethylsilane): δ (ppm) 0.95-1.20 (m, 5H), 1.51-1.71 (m, 6H), 2.20 (m, 2H), 5.18 (m, 1H), 7.90 (s, 1H), 7.70-7.90 (m, 15H)

Example 2

[0121]

[0122]

To a mixture of 10.00 parts of the salt represented by the above-mentioned formula (A3-a) and 80.00 parts of chloroform, 15.84 parts of the compound represented by the above-mentioned formula (a1-II-b) and 0.15 part of lithium amide were added. The resultant mixture was stirred at 23° C. for 30 minutes. To the mixture, 13.00 parts of molecular sieves 5A available from Wako Pure Chemical Industries, Ltd. was added, and the resultant mixture was stirred at 60° C. for 8 hours. After cooling, the mixture was filtrated and then, the obtained filtrate was mixed with 28.24 parts of ion-exchanged water. The obtained mixture was stirred and then, separated to an organic layer and an aqueous layer. The organic layer was washed twice with ion-exchanged water. To the obtained organic layer, 1.38 parts of active carbon was added to stir. The resultant mixture was filtrated and the obtained filtrate was concentrated to obtain 22.26 parts of a pale yellow oil.

[0123]

To 22-26 parts of a pale yellow oil, 66.78 parts of acetonitrile was added and the resultant solution was concentrated. To the obtained residue, 89.04 parts of ethyl acetate was added and the resultant mixture was concentrated. To the obtained residue, 80.00 parts of tert-butyl methyl ether was added, and then, the upper layer was removed. The lower layer was concentrated. The obtained residue was mixed with 60.00 parts of ethyl acetate and, the upper layer was removed. The obtained lower layer was concentrated to obtain 8.82 parts of the salt represented by the above-mentioned formula (A4) in the form of a pale yellow oil, which is called as Salt A4.

[0124]

MS (ESI(+) Spectrum): M+ 263.1

[0125]

MS (ESI(−) Spectrum): M 623.0

[0126]

1H-NMR (dimethylsulfoxide-d6, Internal Standard: tetramethylsilane): δ (ppm) 4.52 (s, 4H), 7.70-7.90 (m, 15H)

Example 3

[0127]

[0128]

To a mixture of 10.00 parts of the salt represented by the above-mentioned formula (A3-a) and 80.00 parts of chloroform, 10.61 parts of the compound represented by the above-mentioned formula (a1-III-b) and 0.15 part of lithium amide were added. The resultant mixture was stirred at 23° C. for 30 minutes. To the mixture, 13.00 parts of molecular sieves 5A available from Wako Pure Chemical Industries, Ltd. was added, and the resultant mixture was stirred at 60° C. for 8 hours. After cooling, the mixture was filtrated and then, the obtained filtrate was mixed with 26.38 parts of ion-exchanged water. The obtained mixture was stirred and then, separated to an organic layer and an aqueous layer. The organic layer was washed twice with ion-exchanged water. To the obtained organic layer, 1.34 parts of active carbon was added to stir. The resultant mixture was filtrated and the obtained filtrate was concentrated to obtain 21.02 parts of a pale yellow oil.

[0129]

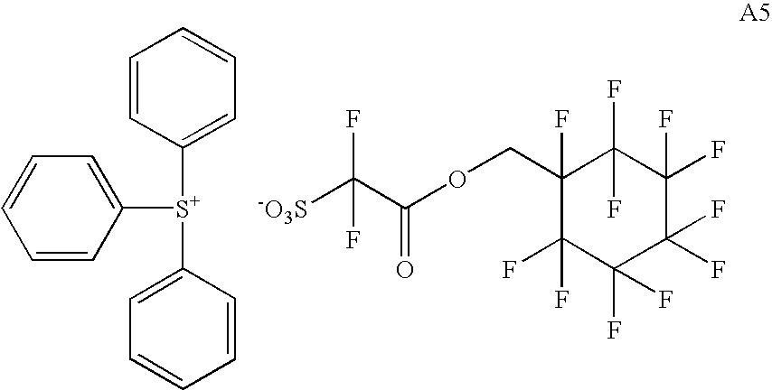
To 21.02 parts of a pale yellow oil, 63.06 parts of acetonitrile was added and the resultant solution was concentrated. To the obtained residue, 84.08 parts of ethyl acetate was added and the resultant mixture was concentrated. To the obtained residue, 80.00 parts of tert-butyl methyl ether was added, and then, the upper layer was removed. The lower layer was concentrated. The obtained residue was mixed with 60.00 parts of ethyl acetate and the upper layer was removed. The obtained lower layer was concentrated to obtain 9.12 parts of the salt represented by the following formula (A5) in the form of a pale yellow oil, which is called as Salt A5.

[0000]

[0130]

MS (ESI(+) Spectrum): M+ 263.1

[0131]

MS (ESI(−) Spectrum): M 468.9

[0132]

1H-NMR (dimethylsulfoxide-d6, Internal Standard: tetramethylsilane): δ (ppm) 4.88 (m, 2H), 7.70-7.90 (m, 15H)

Example 4

[0133]

[0134]

To a mixture of 10.00 parts of the salt represented by the above-mentioned formula (A3-a) and 80.00 parts of chloroform, 15.72 parts of the compound represented by the above-mentioned formula (a1-IV-b) and 0.15 part of lithium amide were added. The resultant mixture was stirred at 23° C. for 30 minutes. To the mixture, 13.00 parts of molecular sieves 5A available from Wake Pure Chemical Industries, Ltd. was added, and the resultant mixture was stirred at 60+ C. for 8 hours. After cooling, the mixture was filtrated and then, the obtained filtrate was mixed with 29.12 parts of ion-exchanged water. The obtained mixture was stirred and then, separated to an organic layer and an aqueous layer. The organic layer was washed twice with ion-exchanged water. To the obtained organic layer, 1.39 parts of active carbon was added to stir. The resultant mixture was filtrated and the obtained filtrate was concentrated to obtain 22.11 parts of a pale yellow oil.

[0135]

To 22.11 parts of a pale yellow oil, 66.33 parts of acetonitrile was added and the resultant solution was concentrated. To the obtained residue, 88.44 parts of ethyl acetate was added and the resultant mixture was concentrated. To the obtained residue, 80.00 parts of tert-butyl methyl ether was added, and then, the upper layer was removed. The lower layer was concentrated. The obtained residue was mixed with 60.00 parts of ethyl acetate and the upper layer was removed. The obtained lower layer was concentrated to obtain 11.83 parts of the salt represented by the following formula (A6) in the form of a pale yellow oil, which is called as Salt A6.

[0000]

[0136]

MS (ESI (+) Spectrum): M+ 263.1

[0137]

MS (ESI(−) Spectrum): M 619.1

[0138]

1H-NMR (dimethylsulfoxide-d6, Internal Standard: tetramethylsilane): δ (ppm) 1.25-1.70 (m, 12H), 2.09 (bs, 2H), 4.38 (m, 2H), 7.70-7.90 (m, 15H)

Example 5

[0139]

[0140]

A mixture of 10.4 parts of lithium aluminum hydride and 120 parts of anhydrous tetrahydrofuran was stirred at 23° C. for 30 minutes. To the mixture, a solution prepared by dissolving 62.2 parts of the salt represented by the above-mentioned formula (A7-a) in 900 parts of anhydrous tetrahydrofuran was added dropwise in an ice bath, and the resultant mixture was stirred at 23° C. for 5 hours. To the obtained mixture, 50.0 parts of ethyl acetate and 50.00 parts of 6N hydrochloric acid were added and then the resultant mixture was stirred and separated to an organic layer and an aqueous layer. The obtained organic layer was concentrated and the obtained residue was purified with silica gel column (silica gel: Merck & Co., Inc., silica gel 60-200 mesh, Developing solvent: chloroform/methanol=5/1) to obtain 84.7 parts of the salt represented by the above-mentioned formula (A7-b). Purity: 60%.

[0141]

A mixture of 3.51 parts of the salt represented by the above-mentioned formula (A7-b), 40 parts of monochlorobenzene and 10.00 parts of a compound represented by the formula (A7-c) (purity; 60%) was stirred at 23° C. for 30 minutes. To the mixture, 0.21 part of sulfuric acid was added at 23° C. and then, the resultant mixture was stirred at 140° C. for 2 hours with removing water. To the obtained mixture, 1.50 parts of molecular sieves 4A available from Wako Pure Chemical Industries, Ltd, was added, and the resultant mixture was stirred at 130° C. for 3 hours. The obtained mixture was cooled down to 23° C., and then, filtrated. The obtained filtrate was concentrated. To the obtained residue, 60 parts of chloroform and 30 parts of ion-exchanged water were added, and the resultant mixture was separated to an organic layer and an aqueous layer. The organic layer was washed six times with ion-exchanged water. The organic layer was mixed with 60 parts of acetonitrile, and then the resultant solution was concentrated. To the obtained residue, 60 parts of ethyl acetate was added, and the resultant mixture was concentrated. To the obtained residue, 60.00 parts of tert-butyl methyl ether was added, and then, the upper layer was removed. The lower layer was concentrated. The obtained residue was mixed with 60.00 parts of ethyl acetate and the upper layer was removed. The obtained lower layer was concentrated. The obtained residue was purified with silica gel column (silica gel: Merck & Co., Inc., silica gel 60-200 mesh, Developing solvent:chloroform/methanol=5/1) to obtain 5.98 parts of the salt represented by the above-mentioned formula (A7-d).

[0000]

[0142]

A mixture of 3.00 parts of the salt represented by the above-mentioned formula (A7-e), 21 parts of methyl isobutyl ketone and 1.64 parts of N-methylpyrrolidine was stirred at 23° C. for 30 minutes. To the mixture, 4.91 parts of a compound represented by the formula (A7-e) was added dropwise at 23° C. and then, the resultant mixture was stirred at 50° C. for 12 hours. The obtained mixture was cooled down to 23° C., and then, 10 parts of ion-exchanged water was added thereto. The resultant mixture was stirred and separated to an organic layer and an aqueous layer. The organic layer was washed three times with ion-exchanged water and mixed with 10 parts of acetonitrile. The resultant solution was concentrated. To the obtained residue, 10 parts of ethyl acetate was added, and the resultant mixture was concentrated. To the obtained residue, 10 parts of tert-butyl methyl ether was added, and then, the upper layer was removed. The lower layer was concentrated. The obtained residue was mixed with 10 parts of ethyl acetate and the upper layer was removed. The obtained lower layer was concentrated. The obtained residue was purified with silica gel column (silica gel: Merck & Co., Inc., silica gel 60-200 mesh, Developing solvent: chloroform/methanol=5/1) to obtain 2.30 parts of the salt represented by the above-mentioned formula (A7-f).

[0000]

[0143]

A mixture of 1.91 parts of the salt represented by the above-mentioned formula (A7-f) and 30 parts of chloroform was stirred at 23° C. for 30 minutes. To the mixture, 6.30 parts of an aqueous solution of the salt represented by the formula (A7-g) (concentration: 13.10 was added, and the resultant mixture was stirred at 23° C. for 12 hours. The obtained mixture was separated to an organic layer and an aqueous layer. The organic layer was four times washed with ion-exchanged water. To the organic layer, 1 parts of magnesium sulfate was added and the resultant mixture was stirred at 23° C. for 30 minutes. The mixture was filtrated and the obtained filtrate was concentrated. The obtained residue was mixed with 10 parts of acetonitrile and the resultant solution was concentrated. To the obtained residue, 10 parts of ethyl acetate was added, and the resultant mixture was concentrated. To the obtained residue, 10.00 parts of tert-butyl methyl ether was added, and then, the upper layer was removed. The lower layer was concentrated. The obtained residue was mixed with 10.00 parts of ethyl acetate and the upper layer was removed. The obtained lower layer was concentrated to obtain 0.61 part of the salt represented by the above-mentioned formula (A7).

[0144]

MS (ESI(+) Spectrum): M+ 263.1

[0145]

MS (ESI(−) Spectrum): M 667.0

[0146]

1H-NMR (dimethylsulfoxide-d6, Internal Standard: tetramethylsilane): δ (ppm) 4.25 (m, 4H), 4.32 (m, 2H), 4.73 (t, 2H), 7.70-7.90 (m, 15H)

Resin Synthesis Example 1

[0147]

Monomers used in this Example are following monomers B, C, D, E and F.

[0000]

[0148]

The monomers E, F, B, C and D were mixed in a molar ratio of 30/14/6/20/30 (monomer E/monomer F/monomer B/monomer C/monomer D), and 1,4-dioxane in 1.5 times part based on total parts of all monomers was added to prepare a mixture. To the mixture, azobisisobutyronitrile as an initiator in a ratio of 1 mol % based on all monomer molar amount and azobis(2,4-dimethylvaleronitrile) as an initiator in a ratio of 3 mol % based on all monomer molar amount were added, and the obtained mixture was heated at 73° C. for about 5 hours. The reaction mixture obtained was poured into a mixture of a large amount of methanol and water (methanol/water=4/1) to cause precipitation, and this operation was repeated three times for purification. As a result, a resin having a weight-average molecular weight of about 8,100 was obtained in a yield of 65%. The resin had the following structural units. This is called as resin B1.

[0000]

Resin Synthesis Example 2

[0149]

Monomers used in this Example are following monomers A, B and C.

[0000]

[0150]

The monomers A, B and C were mixed in a molar ratio of 50/25/25 (monomer A/monomer B/monomer C), and 1,4-dioxane in 1.5 times part based on total parts of all monomers was added to prepare a mixture. To the mixture, azobisisobutyronitrile as an initiator in a ratio of 1 mol % based on all monomer molar amount and azobis(2,4-dimethylvaleronitrile) as an initiator in a ratio of 3 mol % based on all monomer molar amount were added, and the obtained mixture was heated at 77° C. for about 5 hours. The reaction mixture obtained was poured into a mixture of a large amount of methanol and water to cause precipitation, and this operation was repeated three times for purification. As a result, a resin having a weight-average molecular weight of about 8,000 was obtained in a yield of 60%. The resin had the following structural units. This is called as resin 82.

[0000]

Examples 6 to 18 and Comparative Example 1

<Acid Generator>

Salt A1, A2, A3, A4, A5, A6, A7

<Resin>

Resin B1, B2

<Quencher>

[0151]

Q1: 2,6-diisopropylaniline

<Solvent>

[0152]

[0000]

Y1:propylene glycol monomethyl ether acetate265 parts 
2-heptanone20 parts
propylene glycol monomethyl ether20 parts
γ-butyrolactone3.5 parts 

[0153]

The following components were mixed and dissolved, further, filtrated through a fluorine resin filter having pore diameter of 0.2 μm, to prepare photoresist compositions.

[0154]

Resin (kind and amount are described in Table 1)

[0155]

Acid generator (kind and amount are described in Table 1)

[0156]

Quencher (kind and amount are described in Table 1)

[0157]

Solvent (kind is described in Table 1)

[0000]

Ex. 6B1/10A2/0.4Q1/0.065Y1
A3/0.3
Ex. 7B1/10A3/0.7Q1/0.065Y1
Ex. 8B1/10A1/0.4Q1/0.065Y1
A3/0.3
Ex. 9B1/10A4/0.7Q1/0.065Y1
Ex. 10B1/10A5/0.7Q1/0.065Y1
Ex. 11B1/10A6/0.7Q1/0.065Y1
Ex. 12B1/10A7/0.7Q1/0.065Y1
Ex. 13B1/10A1/0.5Q1/0.065Y1
A7/0.2
Ex. 14B1/10A4/0.5Q1/0.065Y1
A7/0.2
Ex. 15B1/10A1/0.5Q1/0.065Y1
A4/0.2
Ex. 16B1/10A1/0.5Q1/0.065Y1
A5/0.2
Ex. 17B1/10A1/0.5Q1/0.065Y1
A6/0.2
Ex. 18B2/10A1/0.4Q1/0.065Y1
A4/0.3
Comp. Ex. 1B2/10A1/0.7Q1/0.065Y1

[0158]

[Defect Evaluation]

[0159]

Each of the photoresist compositions prepared as above was spin-coated on the silicon wafer (12 inch) so that the thickness of the resulting film became 0.15 μm after drying. The silicon wafers thus coated with the respective photoresist compositions were each prebaked on a proximity hotplate at 100° C. for 60 seconds. Using a developer (“ACT-12” manufactured by Tokyo Electron Limited) the silicon wafers were washed with water for 60 seconds.

[0160]

Using a defect inspection system (“KLA-2360” manufactured by KLA-Tencor Corporation), the number of the defects on the wafer was measured. When the number of the defects is 500 or less, the pattern having very small number of the defects and its evaluation is marked by “⊚”, when the number of the defects is 501 to less than 1,000, the pattern having small number of the defects and its evaluation is marked by “◯”, and when the number of the defects is 1,000 or more, the pattern having large number of the defects and its evaluation is marked by “X”.

[Pattern Profile Evaluation]

[0161]

Silicon wafers were each coated with “ARC-29”, which is an organic anti-reflective coating composition available from Nissan Chemical Industries, Ltd., and then baked at 205° C. for 60 seconds, to form a 78 nm-thick organic anti-reflective coating. Each of the photoresist compositions prepared as above was spin-coated over the anti-reflective coating so that the thickness of the resulting film became 85 nm after drying. The silicon wafers thus coated with the respective photoresist compositions were each prebaked on a proximity hotplate at 100° C. for 60 seconds. Using an ArF immersion excimer stepper (“XT:1900Gi” manufactured by ASML NA=1.35) and mask having 1:1 line and space pattern of the line width of 70 nm, each wafer thus formed with the respective resist film was subjected to line and space pattern exposure, with the amount of exposure that the line width of the line pattern and the space pattern become 70 nm after exposure and post-exposure baking (30 to 40 mK/cm2). After the exposure, each wafer was subjected to post-exposure baking on a hotplate at 100° C. for 60 seconds and then to paddle development for 15 seconds with an aqueous solution of 2.38 wt % tetramethylammonium hydroxide.

[0162]

Each of a pattern developed on the organic anti-reflective coating substrate after the development was observed with a scanning electron microscope (“S-4100” manufactured by Hitachi, Limited), the results of which are shown in Table 2.

[0163]

Pattern Profile: The photoresist pattern at the exposure amount of the effective sensitivity was observed with a scanning electron microscope. When cross-section shape of 70 nm line and space pattern is rectangle, the pattern profile is good and its evaluation is marked by “◯”, and when the cross-section shape of the pattern is taper shape, upper side of the cross-section shape of 70 nm line and space pattern is round, or many patterns are toppled, the pattern profile is bad and its evaluation is marked by “X”.

[0000]

Ex. 6
Ex. 7
Ex. 8
Ex. 9
Ex. 10
Ex. 11
Ex. 12
Ex. 13
Ex. 14
EX. 15
Ex. 16
Ex. 17
Ex. 18
Comp. Ex. 1XX

[0164]

The salt of the present invention is novel and is useful as an acid generator, and the photoresist composition containing the salt of the present invention provides a photoresist pattern having good pattern profile and less defects, and is especially suitable for ArF excimer laser lithography, KrF excimer laser lithography and ArF immersion lithography.

Как компенсировать расходы
на инновационную разработку
Похожие патенты