Thiazolyl oxime ethers and hydrazones of the formula (I), in which the symbols A, L1, L2, Y, W, X, R1, R2, R3, R4, R5, R6 and R7 have the meanings given in the description, and also agrochemically active salts thereof, and their use for controlling phytopathogenic harmful fungi, and also methods for controlling phytopathogenic harmful fungi and processes for preparing compounds of the formula (I).
1. Compounds of the formula (I), in which the symbols have the following meanings: A represents methyl, or A represents unsubstituted or substituted phenyl, where the substituents independently of one another are selected from the list below: cyano, nitro, halogen, C1-C6-alkyl, C1-C3-haloalkyl, C3-C6-cycloalkyl, C3-C6-halocycloalkyl, C4-C10-cycloalkylalkyl, C4-C10-alkylcycloalkyl, C5-C10-alkylcycloalkylalkyl, C2-C6-alkenyl, C2-C6-haloalkenyl, C2-C6-alkynyl, C2-C6-haloalkynyl, tri(C1-C2-alkyl)silyl, benzyl, phenyl, hydroxyl, C1-C4-alkoxy, C1-C4-haloalkoxy, OCH2OCH3, SH, C1-C4-alkylthio, C1-C6-haloalkylthio, CHO, COOH, (C1-C4-alkoxy)carbonyl, CONR4R5, CR4═NOR5, (C1-C4-alkyl)carbonyl, (C1-C4-haloalkyl)carbonyl, (C1-C4-alkyl)carbonyloxy, (C1-C4-alkyl)carbonylthio, C1-C4-alkylsulphinyl, C1-C4-haloalkylsulphinyl, C1-C4-alkylsulphonyl, C1-C4-haloalkylsulphonyl, NR4R5, NR4COR5, SF5, SO2NR4R5, C2-C4-alkoxyalkyl or 1-methoxycyclopropyl, or A represents an optionally benzo-fused unsubstituted or substituted 5-or 6-membered heteroaryl, where the substituents independently of one another are selected from the list below substituents at carbon: cyano, nitro, halogen, C1-C6-alkyl, C1-C3-haloalkyl, C3-C6-cycloalkyl, C3-C6-halocycloalkyl C4-C10-cycloalkylalkyl, C4-C10-alkylcycloalkyl, C5-C10-alkylcycloalkylalkyl, C2-C6-alkenyl, C2-C6-haloalkenyl, C2-C6-alkynyl, C2-C6-haloalkynyl, tri(C1-C2-alkyl)silyl, benzyl, phenyl, hydroxyl, C1-C4-alkoxy, haloalkoxy, OCH2OCH3, SH, C1-C4-alkylthio, C1-C6-haloalkylthio, CHO, COOH, (C1-C4-alkoxy)carbonyl, CONR4R5, CR4=NOR5, (C1-C4-alkyl)carbonyl, (C1-C4-haloalkyl)carbonyl, (C1-C4-alkyl)carbonyloxy, (C1-C4-alkyl)carbonylthio, C1-C4-alkylsulphinyl, C1-C4-haloalkylsulphinyl, C1-C4-alkylsulphonyl, C1-C4-haloalkylsulphonyl, NR4R5, NR4COR5, SF5, SO2NR4R5, C2-C4-alkoxyalkyl or 1-methoxycyclopropyl, substituents at nitrogen: hydroxyl, NR4R5, C1-C6-alkyl, C1-C3-haloalkyl, C3-C6-cycloalkyl, C3-C6-halocycloalkyl, C4-C10-alkylcycloalkyl, C2-C6-alkenyl, C2-C6-haloalkenyl, C2-C6-alkynyl, or C2-C6-haloalkynyl, L1represents (C(R1)2)n where n=0 to 3 R1are identical or different and independently of one another represent hydrogen, halogen, C1-C2-alkyl, C1-C2-haloalkyl or cyano, with the provision that L1may contain at most four R1different from hydrogen, Y represents sulphur or oxygen, W represents an unsubstituted or monosubstituted C1- to C3-carbon chain, where the substituent is selected from the group consisting of oxo, hydroxyl, cyano and C1-C4-alkyl, X represents an unsubstituted or monosubstituted C1- to C2-carbon chain, where the substituent is selected from the group consisting of oxo, hydroxyl, cyano and C1-C4-alkyl, R2represents hydrogen, C1-C2-alkyl, C1-C2-haloalkyl or halogen, L2represents —CH═N—O—, —C(R6)═N—O—, —CH═N—N(R7)— or —C(R6)═N—N(R7)—, L3represents a direct bond or L3represents a C1- to C4-carbon chain which may contain up to four substituents, where the substituents independently of one another are selected from the list below: halogen, C1-C2-alkyl, C1-C2-alkoxy, C1-C2-haloalkyl or C3-C6-cycloalkyl R3represents methyl, C1-C2-haloalkyl, —CH═CH2, —CCH, or unsubstituted or monosubstituted C3-C10-cycloalkyl, where the substituent is selected from the list below: cyano, halogen, C1-C6-alkyl, C1-C3-haloalkyl, C3-C6-cycloalkyl, C2-C6-alkenyl, C2-C6-haloalkenyl, C2-C6-alkynyl, C2-C6-haloalkynyl, tri(C1-C2-alkyl)silyl, phenyl, hydroxyl, oxo, C1-C6-alkoxy, C1-C6-haloalkoxy, C2-C6-alkenyloxy, C2-C6-alkynyloxy, C1-C6-alkylthio or C1-C6-haloalkylthio, or R3represents unsubstituted or substituted phenyl, where the substituents independently of one another are selected from the list below: cyano, nitro, halogen, C1-C6-alkyl, C1-C3-haloalkyl, C3-C6-cycloalkyl, C3-C6-halocycloalkyl, C4-C10-cycloalkylalkyl, C4-C10-halocycloalkylalkyl, C4-C10-alkylcycloalkyl, C5-C10-alkylcycloalkylalkyl, C4-C10-cycloalkoxyalkyl, C2-C6-alkenyl, C2-C6-haloalkenyl, C3-C8-cycloalkenyl, C3-C8-halocycloalkenyl, C2-C6-alkynyl, C2-C6-haloalkynyl, C2-C6-alkoxyalkyl, C2-C6-haloalkoxyalkyl, C3-C8-alkoxyalkoxyalkyl, tri(C1-C2-alkyl)silyl, benzyl, phenyl, hydroxyl, C1-C6-alkoxy, C2-C6-alkoxyalkoxy, C1-C6-haloalkoxy, C2-C6-alkenyloxy, C2-C6-haloalkenyloxy, C2-C6-alkynyloxy, C2-C6-haloalkynyloxy, C3-C6-cycloalkoxy, C3-C6-cycloalkyloxy, C3-C6-halocycloalkoxy, C4-C10-cycloalkylalkyloxy, NR4R5, SH, SF5, C1-C6-alkylthio, C1-C6-haloalkylthio, C2-C6-alkylalkylthio, C3-C6-cyclo CHO, COON, (C1-C6-alkoxy)carbonyl, CONR4R5, CR4═NOR5, (C1-C6-alkyl)carbonyl, (C1-C6-haloalkyl)carbonyl, (C1-C6-alkyl)carbonyloxy, (C1-C6-haloalkyl)carbonyloxy, (C1-C6-alkyl)carbonylthio, C1-C6-alkylsulphonyl, C1-C6-haloalkylsulphinyl, C1-C6-alkylsulphonyl, C1-C6-haloalkylsulphonyl, NR4COR5or SO2NR4R5 or R3represents saturated or partially or fully unsaturated naphthyl or indenyl which may contain up to two substituents, where the substituents independently of one another are selected from the list below: cyano, halogen, C1-C6-alkyl, C1-C3haloalkyl, C3-C6-cycloalkyl, C2-C6-alkenyl, C2-C6-haloalkenyl, C2-C6-alkynyl, C2-C6-haloalkynyl, tri(C1-C2-alkyl)silyl, phenyl, hydroxyl, C1-C6-alkoxy, C1-C6-haloalkoxy, C2-C6-alkenyloxy, C2-C6-alkynyloxy, C1-C6-alkylthio or C1-C6-haloalkylthio, or R3represents an unsubstituted or substituted 5-or 6-membered heteroaryl radical, where the substituents independently of one another are selected from the list below: substituents at carbon: cyano, nitro, halogen, C1-C6-alkyl, C1-C3-haloalkyl, C3-C6-cycloalkyl, C3-C6-halocycloalkyl C4-C10-cycloalkylalkyl, C4-C10-alkylcycloalkyl, C5-C10-alkylcycloalkylalkyl, C2-C6-alkenyl, C2-C6-haloalkenyl, C2-C6-alkynyl, C2-C6-haloalkynyl, tri(C1-C2-alkyl)silyl, benzyl, phenyl, hydroxyl, C1-C4-alkoxy, C1-C4-haloalkoxy, OCH2OCH3, SH, C1-C4-alkylthio, C1-C6-haloalkylthio, COOH, (C1-C4-alkoxy)carbonyl, CONR6R7, (C1-C4-alkyl)carbonyl, (C1-C4-haloalkyl)carbonyl, (C1-C4-alkyl)carbonyloxy, (C1-C4-alkyl)carbonylthio, C1-C4-alkylsulphinyl, C1-C4-haloalkylsulphinyl, C1-C4-alkylsulphonyl, C1-C4-haloalkylsulphonyl, NR4R5, NR4COR5, SF5, SO2NR4R5, C2-C4-alkoxyalkyl or 1-methoxycyclopropyl, substituents at nitrogen: hydroxyl, C1-C6-alkyl, C1-C3-haloalkyl, C3-C6-cycloalkyl, C3-C6-halocycloalkyl, C4-C10-alkylcycloalkyl, C2-C6-alkenyl, C2-C6-haloalkenyl, C2-C6-alkynyl, C2-C6-haloalkynyl or phenyl, or R3represents benzo-fused unsubstituted or substituted 5- or 6-membered heteroaryl which may contain up to two substituents, where the substituents independently of one another are selected from the list below: substituents at carbon: cyano, nitro, halogen, C1-C6-alkyl, C1-C3-haloalkyl, C3-C6-cycloalkyl, C3-C6-halocycloalkyl C4-C10-cycloalkylalkyl, C4-C10-alkylcycloalkyl, C5-C10-alkylcycloalkylalkyl, C2-C6-alkenyl, C2-C6-haloalkenyl, C2-C6-alkynyl, C2-C6-haloalkynyl, tri(C1-C2-alkyl)silyl, benzyl, phenyl, hydroxyl, C1-C4-alkoxy, C1-C4-haloalkoxy, OCH2OCH3, SH, C1-C4-alkylthio, C1-C6-haloalkylthio, COOH, (C1-C4-alkoxy)carbonyl, CONR4R5, (C1-C4-alkyl)carbonyl, (C1-C4-haloalkyl)carbonyl, (C1-C4-alkyl)carbonyloxy, (C1-C4-alkyl)carbonylthio, C1-C4-alkylsulphinyl, C1-C4-haloalkylsulphinyl, C1-C4-alkylsulphonyl, C1-C4-haloalkylsulphonyl, NR4R5, NR4COR5, SF5, SO2NR4R5, C2-C4-alkoxyalkyl or 1-methoxycyclopropyl, substituents at nitrogen: C1-C6-alkyl, C1-C3-haloalkyl, C3-C6-cycloalkyl, C3-C6-halocycloalkyl, C4-C10-alkylcycloalkyl, C2-C6-alkenyl, C2-C6-haloalkenyl, C2-C6-alkynyl, C2-C6-haloalkynyl or phenyl, or R3represents an unsubstituted or monosubstituted 5- to 15-membered heterocyclyl radical which is attached via a carbon atom and which may contain up to two further heteroatoms selected from the group consisting of nitrogen, oxygen and sulphur, where the substituent is selected from the list below: substituents at carbon: cyano, halogen, C1-C6-alkyl, C1-C3-haloalkyl, C3-C6-cycloalkyl, C2-C6-alkenyl, C2-C6-haloalkenyl, C2-C6-alkynyl, C2-C6-haloalkynyl, tri(C1-C2-alkyl)silyl, phenyl, hydroxyl, C1-C6-alkoxy, C1-C6-haloalkoxy, C2-C6-alkenyloxy, C2-C6-alkynyloxy, C1-C6-alkylthio or C1-C6-haloalkylthio, substituents at nitrogen: C1-C6-alkyl, C1-C3-haloalkyl, C3-C6-cycloalkyl, C2-C6-alkenyl, C2-C6-haloalkenyl, C2-C6-alkynyl, C2-C6-haloalkynyl, tri(C1-C2-alkyl)silyl or phenyl, R4, R5independently of one another represent hydrogen, C1-C4-alkyl, C1-C3-haloalkyl, C3-C6-cycloalkyl or phenyl, represents C1-C4-alkyl, C1-C3-haloalkyl, C3-C6-cycloalkyl or phenyl, R7represents hydrogen, C1-C4-alkyl, C1-C3-haloalkyl, C3-C6-cycloalkyl or phenyl, or if L2represents a group —CH═N—N(R7)— or —C(R6)═N—N(R7)—, the two radicals R7and R3together with the nitrogen atom to which they are attached via L3form a 5- to 8-membered unsubstituted or substituted saturated or partially saturated or unsaturated heterocycle which may contain up to two further heteroatoms selected from the group consisting of N, O and S, where two oxygen atoms are not adjacent, where possible substituents independently of one another are selected from the group consisting of C1-C4-alkyl, C1-C4-alkoxy, hydroxyl and halogen, and also agrochemically active salts thereof. 2. Compounds of the formula (I) according to in which the symbols have the meanings below, A represents methyl or A represents phenyl which may contain up to two substituents, where the substituents independently of one another are selected from the list below: cyano, nitro, halogen, C1-C4-alkyl, C1-C3-haloalkyl, C3-C6-cycloalkyl, C2-C4-alkenyl, C2-C4-alkynyl, hydroxyl, C1-C4-alkoxy, C1-C4-haloalkoxy, C1-C4-alkylthio, C1-C4-haloalkylthio, (C1-C4-alkoxy)carbonyl, (C1-C4-alkyl)carbonyl, (C1-C4-haloalkyecarbonyl, C1-C4-alkylsulphinyl, C1-C4-haloalkylsulphinyl, C1-C4-alkylsulphonyl or C1-C4-haloalkylsulphonyl, or A represents a heteroaromatic radical selected from the group below: furan-2-yl, furan-3-yl, thiophen-2-yl, thiophen-3-yl, isoxazol-3-yl, isoxazol-4-yl, isoxazol-5-yl, 1H-pyrrol-1-yl, 1H-pyrrol-2-yl, 1H-pyrrol-3-yl, oxazol-2-yl, oxazol-4-yl, oxazol-5-yl, thiazol-2-yl, thiazol-4-yl, isothiazol-3-yl, isothiazol-4-yl, isothiazol-5-yl, pyrazol-1-yl, pyrazol-3-yl, pyrazol-4-yl, imidazol-1-yl, imidazol-2-yl, imidazol-4-yl, 1,2,4-oxadiazol-3-yl, 1,2,4-oxadiazol-5-yl, 1,3,4-oxadiazol-2-yl, 1,2,4-thiadiazol-3-yl, 1,2,4-thiadiazol-5-yl, 1,3,4-thiadiazol-2-yl, 1,2,3-triazol-1-yl, 1,2,3-triazol-2-yl, 1,2,3-triazol-4-yl, 1,2,4-triazol-1-yl, 1,2,4-triazol-3-yl, pyridin-2-yl, pyridin-3-yl, pyridin-4-yl, pyridazin-3-yl, pyridazin-4-yl, pyrimidin-2-yl, pyrimidin-4-yl, pyrimidin-5-yl, pyrazin-2-yl, 1,3,5-triazin-2-yl, 1,2,4-triazin-3-yl, 1H-indol-1-yl, 1H-indol-2-yl, 1H-indol-3-yl, 1H-indol-4-yl, 1H-indol-5-yl, 1H-indol-6-yl, 1H-indol-7-yl, 1H-benzimidazol-1-yl, 1H-benzimidazol-2-yl, 1H-benzimidazol-4-yl,benzimidazol-5-yl, 1H-indazol-1-yl, 1H-indazol-3-yl, 1H-indazol-4-yl, 1H-indazol-5-yl, 1H-indazol-6-yl, 1H-indazol-7-yl, 2H-indazol-2-yl, 1-benzofuran-2-yl, 1-benzofuran-3-yl, 1-benzofuran-4-yl, 1-benzofuran-5-yl, 1-benzofuran-6-yl, 1-benzofuran-7-yl, 1-benzothiophen-2-yl, 1-benzothiophen-3-yl, 1-benzothiophen-4-yl, 1-benzothiophen-5-yl, 1-benzothiophen-6-yl, 1-benzothiophen-7-yl, 1,3-benzothiazol-2-yl, 1,3-benzoxazol-2-yl, quinolin-2-yl, quinolin-3-yl, quinolin-4-yl, quinolin-5-yl, quinolin-6-yl, quinolin-7-yl, quinolin-8-yl, isoquinolin-1-yl, isoquinolin-3-yl, isoquinolin-4-yl, isoquinolin-5-yl, isoquinolin-6-yl, isoquinolin-7-yl or isoquinolin-8-yl, which may contain up to two substituents, where the substituents independently of one another are selected from the list below: substituents at carbon: cyano, nitro, halogen, C1-C4-alkyl, C1-C3-haloalkyl, hydroxyl, C1-C4-alkoxy, C1-C4-haloalkoxy, C1-C4-alkylthio or C1-C4-haloalkylthio, substituents at nitrogen: C1-C4-alkyl, C1-C3-haloalkyl, cyclopropyl, C2-C4-alkenyl or C2-C4-alkynyl, L1represents (C(R1)2)n where n=0 to 2 R1are identical or different and independently of one another represent hydrogen, chlorine, fluorine, methyl, CF3or cyano, with the provision that L1may contain at most two R1different from hydrogen, Y represents sulphur or oxygen, W represents an unsubstituted or monosubstituted C1- to C2-carbon chain, where the substituent is selected from the group consisting of cyano and C1-C2-alkyl, X represents an unsubstituted or monosubstituted C1- to C2-carbon chain, where the substituent is selected from the group consisting of cyano and C1-C2-alkyl, R2represents hydrogen, C1-C2-alkyl or halogen, L2represents —CH═N—O—, —C(R6)═N—O—, —CH═N—N(R7)— or —C(R6)═N—N(R7)—, L3represents a direct bond, or L3represents a C1- to C4-carbon chain which may contain up to two substituents, where the substituents independently of one another are selected from the list below: C1-C2-alkyl, C1-C2-alkoxy, C1-C2-haloalkyl or cyclopropyl, R3represents unsubstituted or monosubstituted C3-C10-cycloalkyl, where the substituent is selected from the list below:
halogen, C1-C6-alkyl, C3-C6-cycloalkyl, C2-C6-alkenyl, C2-C6-alkynyl, tri(C1-C2-alkyl)silyl, phenyl or oxo, or R3represents phenyl which may contain up to three substituents, where the substituents independently of one another are selected from the list below: cyano, nitro, halogen, C1-C6-alkyl, C1-C3-haloalkyl, C3-C6-cycloalkyl, C3-C6-halocycloalkyl, C2-C6-alkenyl, C2-C6-haloalkenyl, C2-C6-alkynyl, C2-C6-haloalkynyl, tri(C1-C2-alkyl)silyl, phenyl, hydroxyl, C1-C6-alkoxy, C1-C6-haloalkoxy, C1-C6-alkylthio or C1-C6-haloalkylthio, or R3represents naphthalen-1-yl, naphthalen-2-yl, 1,2,3,4-tetrahydronaphthalen-1-yl, 1,2,3,4-tetrahydronaphthalen-2-yl, 5,6,7,8-tetrahydronaphthalen-1-yl, 5,6,7,8-tetrahydronaphthalen-2-yl, decalin-1-yl, decalin-2-yl, 1H-inden-1-yl, 1H-inden-2-yl, 1H-inden-3-yl, 1H-inden-4-yl, 1H-inden-5-yl, 1H-inden-6-yl, 1H-inden-7-yl, 2,3-dihydro-1H-inden-1-yl, 2,3-dihydro-1H-inden-2-yl, 2,3-dihydro-1H-inden-4-yl or 2,3-dihydro-1H-inden-5-yl, which may contain up to two substituents, where the substituents independently of one another are selected from the list below: cyano, halogen, C1-C6-alkyl, C1-C3-haloalkyl, C3-C6-cycloalkyl, phenyl, hydroxyl, C1-C6-alkoxy, C1-C3-haloalkoxy, C1-C6-alkylthio or C1-C3-haloalkylthio, or R3represents furan-2-yl, furan-3-yl, thiophen-2-yl, thiophen-3-yl, isoxazol-3-yl, isoxazol-4-yl, isoxazol-5-yl, 1H-pyrrol-1-yl, 1H-pyrrol-2-yl, 1H-pyrrol-3-yl, oxazol-2-yl, oxazol-4-yl, oxazol-5-yl, thiazol-2-yl, thiazol-4-yl, thiazol-5-yl, isothiazol-3-yl, isothiazol-4-yl, isothiazol-5-yl, pyrazol-1-yl, pyrazol-3-yl, pyrazol-4-yl, imidazol-1-yl, imidazol-2-yl, imidazol-4-yl, 1,2,4-oxadiazol-3-yl, 1,2,4-oxadiazol-5-yl, 1,3,4-oxadiazol-2-yl, 1,2,4-thiadiazol-3-yl, 1,2,4-thiadiazol-5-yl, 1,3,4-thiadiazol-2-yl, 1,2,3-triazol-1-yl, 1,2,3-triazol-2-yl, 1,2,3-triazol-4-yl, 1,2,4-triazol-1-yl, 1,2,4-triazol-3-yl, pyridin-2-yl, pyridin-3-yl, pyridin-4-yl, pyridazin-3-yl, pyridazin-4-yl, pyrimidin-2-yl, pyrimidin-4-yl, pyrimidin-5-yl, pyrazin-2-yl, 1,3,5-triazin-2-yl or 1,2,4-triazin-3-yl, which may contain up to two substituents, where the substituents independently of one another are selected from the list below: substituents at carbon: cyano, halogen, C1-C6-alkyl, C1-C3-haloalkyl, C3-C6-cycloalkyl, phenyl, hydroxyl, C1-C4-alkoxy, C1-C4-haloalkoxy, C1-C4-alkylthio or C1-C4-haloalkylthio, substituents at nitrogen: C1-C6-alkyl, C1-C3-haloalkyl, C3-C6-cycloalkyl, C2-C6-alkenyl, C2-C6-alkynyl or phenyl, or R3represents 1H-indol-1-yl, 1H-indol-2-yl, 1H-indol-3-yl, 1H-indol-4-yl, 1H-indol-5-yl, 1H-indol-6-yl, 1H-indol-7-yl, 1H-benzimidazol-1-yl, 1H-benzimidazol-2-yl, 1H-benzimidazol-4-yl, benzimidazol-5-yl, 1H-indazol-1-yl, 1H-indazol-3-yl, 1H-indazol-4-yl, 1H-indazol-5-yl, 1H-indazol-6-yl, 1H-indazol-7-yl, 2H-indazol-2-yl, 1-benzofuran-2-yl, 1-benzofuran-3-yl, 1-benzofuran-4-yl, 1-benzofuran-5-yl, 1-benzofuran-6-yl, 1-benzofuran-7-yl, 1-benzothiophen-2-yl, 1-benzothiophen-3-yl, 1-benzothiophen-4-yl, 1-benzothiophen-5-yl, 1-benzothiophen-6-yl, 1-benzothiophen-7-yl, quinolin-2-yl, quinolin-3-yl, quinolin-4-yl, quinolin-5-yl, quinolin-6-yl, quinolin-7-yl, quinolin-8-yl, isoquinolin-1-yl, isoquinolin-3-yl, isoquinolin-4-yl, isoquinolin-5-yl, isoquinolin-6-yl, isoquinolin-7-yl or isoquinolin-8-yl, which may contain up to two substituents, where the substituents independently of one another are selected from the list below: substituents at carbon: cyano, halogen, C1-C6-alkyl, C1-C3-haloalkyl, C3-C6-cycloalkyl, phenyl, hydroxyl, C1-C4-alkoxy, C -C4-haloalkoxy, C1-C4-alkylthio or C1-C4-haloalkylthio, substituents at nitrogen: C1-C6-alkyl, C1-C3-haloalkyl, C3-C6-cycloalkyl, C2-C6-alkenyl, C2-C6-alkynyl or phenyl, or R3represents an unsubstituted or monosubstituted 5- to 6-membered heterocyclyl radical which is attached via a carbon atom and which may contain up to two further heteroatoms selected from the group consisting of nitrogen, oxygen and sulphur, where the substituent is selected from the list below:
substituents at carbon: C1-C6-alkyl, C1-C3-haloalkyl, C3-C6-cycloalkyl, C2-C6-alkenyl, C2-C6-alkynyl, tri(C1-C2-alkyl)silyl or phenyl, substituents at nitrogen: C1-C6-alkyl, C3-C6-cycloalkyl, C2-C6-alkenyl, C2-C6-alkynyl, tri(C1-C2-alkyl)silyl or phenyl, R6represents C1-C4-alkyl, C1-C2-haloalkyl, C3-C6-cycloalkyl or phenyl, R7represents hydrogen, C1-C4-alkyl, C1-C2-haloalkyl, C3-C6-cycloalkyl or phenyl, or if L2represents a group —CH═N—N(R7)— or —C(R6)═N—N(R7)—, the two radicals R7and R3together with the nitrogen atom to which they are attached via L3form a 5- to 8-membered unsubstituted or substituted saturated or partially saturated or unsaturated heterocycle which may contain up to two further heteroatoms selected from the group consisting of N, O and S, where two oxygen atoms are not adjacent, where possible substituents independently of one another are selected from the group consisting of C1-C4-alkyl, C1-C4-alkoxy, hydroxyl and halogen, and also agrochemically active salts thereof. 3. Compounds of the formula (I) according to in which the symbols have the meanings below, A represents methyl, or A represents phenyl which may contain up to two substituents, where the substituents independently of one another are selected from the list below: cyano, nitro, halogen, C1-C2-alkyl, C1-C2-haloalkyl, hydroxyl, C1-C2-alkoxy or C1-C2-haloalkoxy, or A represents a heteroaromatic radical selected from the group below: furan-2-yl, furan-3-yl, thiophen-2-yl, thiophen-3-yl, oxazol-2-yl, oxazol-4-yl, oxazol-5-yl, thiazol-2-yl, thiazol-4-yl, thiazol-5-yl; pyrazol-1-yl, pyrazol-3-yl, pyrazol-4-yl, imidazol-1-yl, imidazol-2-yl, imidazol-4-yl, 1,2,4-triazol-1-yl, pyridin-2-yl, pyridin-3-yl or pyridin-4-yl, which may contain up to two substituents, where the substituents independently of one another are selected from the list below: substituents at carbon: cyano, halogen, C1-C2-alkyl, C1-C2-haloalkyl, hydroxyl, C1-C2-alkoxy or C1-C2-haloalkoxy, substituents at nitrogen: C1-C2-alkyl or C1-C2-haloalkyl, L1represents (C(R1)2)n where n=1 or 2, R1are identical or different and independently of one another represent hydrogen or methyl, with the provision that L1may contain at most two methyl substituents, Y represents sulphur or oxygen, W represents —CH2CH2—, X represents —CH2CH2—, R2represents hydrogen, methyl, chlorine or bromine, L2represents —CH═N—O—, —C(R6)═N—O—, —CH═N—N(R7)— or —C(R6)═N—N(R7)—, L3represents a direct bond, or L3represents a C1- to C4-carbon chain which may contain up to two substituents, where the substituents independently of one another are selected from the list below: methyl, methoxy or CF3, R3represents unsubstituted or monosubstituted C3-C10-cycloalkyl, where the substituent is selected from the list below: fluorine, chlorine, methyl, ethyl, cyclopropyl, cyclopentyl or cyclohexyl, or R3represents phenyl which may contain up to three substituents, where the substituents independently of one another are selected from the list below: cyano, nitro, halogen, C1-C6-alkyl, C1-C3-haloalkyl, phenyl, hydroxyl, C1-C6-alkoxy, C1-C6-haloalkoxy, C1-C6-alkylthio or C1-C6-haloalkylthio, or R3represents naphthalen-1-yl, naphthalen-2-yl, 1,2,3,4-tetrahydronaphthalen-1-yl, 1,2,3,4-tetrahydronaphthalen-2-yl, 5,6,7,8-tetrahydronaphthalen-1-yl, 5,6,7,8-tetrahydronaphthalen-2-yl, decalin-1-yl, decalin-2-yl, 1H-inden-1-yl, 1H-inden-2-yl, 1H-inden-3-yl, 1H-inden-4-yl, 1H-inden-5-yl, 1H-inden-6-yl, 1H-inden-7-yl, 2,3-dihydro-1H-inden-1-yl, 2,3-dihydro-1H-inden-2-yl, 2,3-dihydro-1H-inden-4-yl or 2,3-dihydro-1H-inden-5-yl, which may contain up to two substituents, where the substituents independently of one another are selected from the list below: fluorine, chlorine, bromine, iodine, methyl, ethyl, CF3, CHF2, cyclopropyl, phenyl, hydroxyl, OMe, OEt, OCF3, OCHF2, OC2F5, SMe or SCF3, or represents furan-2-yl, furan-3-yl, thiophen-2-yl, thiophen-3-yl, isoxazol-3-yl, isoxazol-4-yl, isoxazol-5-yl, 1H-pyrrol-1-yl, 1H-pyrrol-2-yl, 1H-pyrrol-3-yl, oxazol-2-yl, oxazol-4-yl, oxazol-5-yl, thiazol-2-yl, thiazol-4-yl, thiazol-5-yl, isothiazol-3-yl, isothiazol-4-yl, isothiazol-5-yl, pyrazol-1-yl, pyrazol-3-yl, pyrazol-4-yl, imidazol-1-yl, imidazol-2-yl, imidazol-4-yl, 1,2,4-oxadiazol-3-yl, 1,2,4-oxadiazol-5-yl, 1,3,4-oxadiazol-2-yl, 1,2,4-thiadiazol-3-yl, 1,2,4-thiadiazol-5-yl, 1,3,4-thiadiazol-2-yl, 1,2,3-triazol-1-yl, 1,2,3-triazol-2-yl, 1,2,3-triazol-4-yl, 1,2,4-triazol-1-yl, 1,2,4-triazol-3-yl, pyridin-2-yl, pyridin-3-yl, pyridin-4-yl, pyridazin-3-yl, pyridazin-4-yl, pyrimidin-2-yl, pyrimidin-4-yl, pyrimidin-5-yl, pyrazin-2-yl, 1,3,5-triazin-2-yl or 1,2,4-triazin-3-yl, which may contain up to two substituents, where the substituents independently of one another are selected from the list below: substituents at carbon: cyano, fluorine, chlorine, bromine, iodine, methyl, ethyl, 1-methylethyl, 1,1-dimethylethyl, CF3, CHF2, C2F5, CCl3, cyclopropyl, phenyl, hydroxyl, OMe, OEt, OisoPr, OCF3, OCHF2, OC2F5, SMe or SCF3, substituents at nitrogen: methyl, ethyl, 1-methylethyl, 1,1-dimethylethyl, cyclopropyl or phenyl, or R3represents 1H-indol-1-yl, 1H-indol-2-yl, 1H-indol-3-yl, 1H-indol-4-yl, 1H-indol-5-yl, 1H-indol-6-yl, 1H-indol-7-yl, 1H-benzimidazol-1-yl, 1H-benzimidazol-2-yl, 1H-benzimidazol-4-yl, benzimidazol-5-yl, 1H-indazol-1-yl, 1H-indazol-3-yl, 1H-indazol-4-yl, 1H-indazol-5-yl, 1H-indazol-6-yl, 1H-indazol-7-yl, 2H-indazol-2-yl, 1-benzofuran-2-yl, 1-benzofuran-3-yl, 1-benzofuran-4-yl, 1-benzofuran-5-yl, 1-benzofuran-6-yl, 1-benzofuran-7-yl, 1-benzothiophen-2-yl, 1-benzothiophen-3-yl, 1-benzothiophen-4-yl, 1-benzothiophen-5-yl, 1-benzothiophen-6-yl, 1-benzothiophen-7-yl, quinolin-2-yl, quinolin-3-yl, quinolin-4-yl, quinolin-5-yl, quinolin-6-yl, quinolin-7-yl, quinolin-8-yl, isoquinolin-1-yl, isoquinolin-3-yl, isoquinolin-4-yl, isoquinolin-5-yl, isoquinolin-6-yl, isoquinolin-7-yl or isoquinolin-8-yl, which may contain up to two substituents, where the substituents independently of one another are selected from the list below: substituents at carbon: cyano, fluorine, chlorine, bromine, iodine, methyl, ethyl, 1-methylethyl, 1,1-dimethylethyl, CF3, CHF2, C2F5, CCl3, cyclopropyl, phenyl, hydroxyl, OMe, OEt, OisoPr, OCF3, OCHF2, OC2F5, SMe or SCF3, substituents at nitrogen: methyl, ethyl, 1-methylethyl, 1,1-dimethylethyl, cyclopropyl or phenyl, or R3represents unsubstituted or monosubstituted pyrrolidin-2-yl, pyrrolidin-3-yl, morpholin-3-yl, morpholin-2-yl, piperidin-2-yl, piperidin-3-yl or piperazin-2-yl, where the substituent is selected from the list below: substituents at carbon: methyl, ethyl, CF3, cyclopropyl or phenyl, substituents at nitrogen: methyl, ethyl, cyclopropyl or phenyl, R6represents methyl, ethyl, cyclopropyl, cyclopentyl, cyclohexyl or phenyl, R7represents hydrogen, methyl, ethyl, cyclopropyl, cyclopentyl, cyclohexyl or phenyl, or if L2represents a group —CH═N—N(R7)— or —C(R6)═N—N(R7)—, the two radicals R7and R3together with the nitrogen atom to which they are attached via L3form a 5- or 6-membered unsubstituted or substituted saturated or partially saturated or unsaturated heterocycle, where possible substituents independently of one another are selected from the group consisting of methyl, ethyl, CF3, chlorine and fluorine, and also agrochemically active salts thereof. 4. Compounds of the formula (I) according to in which the symbols have the meanings below, A represents methyl, or A represents phenyl which may contain up to two substituents, where the substituents independently of one another are selected from the list below: cyano, fluorine, chlorine, bromine, iodine, methyl, ethyl, CF3, CHF2, C2F5, CCl3, hydroxyl, OMe, OCF3, OCHF2, OCH2CF3or OC2F5, or A represents a heteroaromatic radical selected from the group below:
pyrazol-1-yl, pyrazol-3-yl, pyrazol-4-yl, pyridin-2-yl, pyridin-3-yl or pyridin-4-yl, which may contain up to two substituents, where the substituents independently of one another are selected from the list below: substituents at carbon: cyano, fluorine, chlorine, bromine, iodine, methyl, ethyl, CF3, CHF2, C2F5, CCl3, hydroxyl, OMe, OCF3, OCHF2, OCH2CF3or OC2F5, substituents at nitrogen: methyl, ethyl or CF3, L1represents (C(R1)2)n where n=1 or 2, R1are identical or different and independently of one another represent hydrogen or methyl, with the provision that L1may contain at most one methyl substituent, Y represents sulphur or oxygen, W represents —CH2CH2—, X represents —CH2CH2—, R2represents hydrogen or methyl, L2represents —CH═N—O—, —C(R6)═N—O—, —CH═N—N(R7)— or —C(R6)═N—N(R7)—, L3represents a direct bond, or L3represents a C1- to C2-carbon chain which may contain up to two methyl substituents, R3represents cyclopropyl, cyclobutyl, cyclopentyl, cyclohexyl, cycloheptyl or cyclooctyl, or R3represents phenyl which may contain up to two substituents, where the substituents independently of one another are selected from the list below: cyano, fluorine, chlorine, bromine, iodine, methyl, ethyl, 1-methylethyl, 1,1-dimethylethyl, CF3, CHF2, C2F5, CCl3, phenyl, hydroxyl, OMe, OEt, OisoPr, OCF3, OCHF2, OC2F5, SMe or SCF3, or R3represents naphthalen-1-yl, naphthalen-2-yl, 1,2,3,4-tetrahydronaphthalen-1-yl, 1,2,3,4-tetrahydronaphthalen-2-yl, 5,6,7,8-tetrahydronaphthalen-1-yl, 5,6,7,8-tetrahydronaphthalen-2-yl, decalin-1-yl, decalin-2-yl, 1H-inden-1-yl, 1H-inden-2-yl, 1H-inden-3-yl, 1H-inden-4-yl, 1H-inden-5-yl, 1H-inden-6-yl, 1H-inden-7-yl, 2,3-dihydro-1H-inden-1-yl, 2,3-dihydro-1H-inden-2-yl, 2,3-dihydro-1H-inden-4-yl or 2,3-dihydro-1H-inden-5-yl, or R3represents furan-2-yl, furan-3-yl, thiophen-2-yl, thiophen-3-yl, isoxazol-3-yl, isoxazol-4-yl, isoxazol-5-yl, 1H-pyrrol-1-yl, 1H-pyrrol-2-yl, 1H-pyrrol-3-yl, oxazol-2-yl, oxazol-4-yl, oxazol-5-yl, thiazol-2-yl, thiazol-4-yl, thiazol-5-yl, isothiazol-3-yl, isothiazol-4-yl, isothiazol-5-yl, pyrazol-1-yl, pyrazol-3-yl, pyrazol-4-yl, imidazol-1-yl, imidazol-2-yl, imidazol-4-yl, 1,2,4-oxadiazol-3-yl, 1,2,4-oxadiazol-5-yl, 1,3,4-oxadiazol-2-yl, 1,2,4-thiadiazol-3-yl, 1,2,4-thiadiazol-5-yl, 1,3,4-thiadiazol-2-yl, 1,2,3-triazol-1-yl, 1,2,3-triazol-2-yl, 1,2,3-triazol-4-yl, 1,2,4-triazol-1-yl, 1,2,4-triazol-3-yl, pyridin-2-yl, 5-(trifluoromethyl)pyridin-2-yl, pyridin-3-yl, pyridin-4-yl, pyridazin-3-yl, pyridazin-4-yl, pyrimidin-2-yl, pyrimidin-4-yl, pyrimidin-5-yl, pyrazin-2-yl, 1,3,5-triazin-2-yl or 1,2,4-triazin-3-yl, or R3represents 1H-indol-1-yl, 1H-indol-2-yl, 1H-indol-3-yl, 1H-indol-4-yl, 1H-indol-5-yl, 1H-indol-6-yl, 1H-indol-7-yl, 1H-benzimidazol-1-yl, 1H-benzimidazol-2-yl, 1H-benzimidazol-4-yl, benzimidazol-5-yl, 1H-indazol-1-yl, 1H-indazol-3-yl, 1H-indazol-4-yl, 1H-indazol-5-yl, 1H-indazol-6-yl, 1H-indazol-7-yl, 2H-indazol-2-yl, 1-benzofuran-2-yl, 1-benzofuran-3-yl, 1-benzofuran-4-yl, 1-benzofuran-5-yl, 1-benzofuran-6-yl, 1-benzofuran-7-yl, 1-benzothiophen-2-yl, 1-benzothiophen-3-yl, 1-benzothiophen-4-yl, 1-benzothiophen-5-yl, 1-benzothiophen-6-yl, 1-benzothiophen-7-yl, quinolin-2-yl, quinolin-3-yl, quinolin-4-yl, quinolin-5-yl, quinolin-6-yl, quinolin-7-yl, quinolin-8-yl, isoquinolin-1-yl, isoquinolin-3-yl, isoquinolin-4-yl, isoquinolin-5-yl, isoquinolin-6-yl, isoquinolin-7-yl or isoquinolin-8-yl, or R3represents pyrrolidin-2-yl, pyrrolidin-3-yl, morpholin-3-yl, morpholin-2-yl, piperidin-2-yl, piperidin-3-yl or piperazin-2-yl, R6represents methyl, ethyl or phenyl, R7represents hydrogen, methyl, ethyl or phenyl, or if L2represents a group —CH═N—N(R7)— or —C(R6)═N—N(R7)—, the two radicals R7and R3together with the nitrogen atom to which they are attached via L3form a 5- or 6-membered unsubstituted saturated heterocycle, and also agrochemically active salts thereof. 5. A method for controlling phytopathogenic harmful fungi, comprising applying compounds of the formula (I) according to 6. A composition for controlling phytopathogenic harmful fungi, said composition comprises at least one compound of the formula (I) according to 7. (canceled) 8. A process for preparing compositions for controlling phytopathogenic harmful fungi, comprising mixing thiazolyl oxime ethers and hydrazones of the formula (I) according to 9. A process for preparing the compounds of the formula (I), comprising at least one of the steps (a) to (g) below:
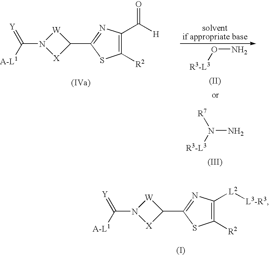
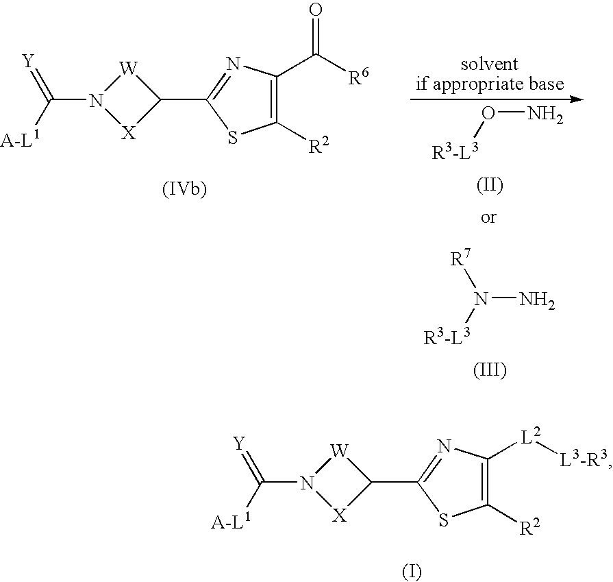
(a) converting compounds of the formula (VIIa) into compounds of the formula (VIa), if appropriate in the presence of a solvent and if appropriate in the presence of an acid or if appropriate in the presence of a base or if appropriate in the presence of a source of hydrogen, according to the reaction scheme below: where PG=acetyl, C1-C4-alkoxycarbonyl, benzyl or benzyloxycarbonyl, W, X, and R2are as defined for formula (I) according to (b) converting compounds of the formula (VIIb) into compounds of the formula (VIb), if appropriate in the presence of a solvent and if appropriate in the presence of an acid or if appropriate in the presence of a base or if appropriate in the presence of a source of hydrogen, according to the reaction scheme below: where PG=acetyl, C1-C4-alkoxycarbonyl, benzyl or benzyloxycarbonyl, W, X, R6and R2are as defined for formula (I) according to (c) converting compounds of the formula (V) with compounds of the formula (VIa) to give compounds of the formula (IVa), if appropriate in the presence of a coupling agent, a base and a solvent, according to the reaction scheme below: where B═OH, chlorine, bromine or iodine, Y=oxygen A, W, X, L1and R2are as defined for formula (I) according to (d) converting compounds of the formula (V) with compounds of the formula (VIb) to give compounds of the formula (IVb), if appropriate in the presence of a coupling agent, a base and a solvent, according to the reaction scheme below: where B═OH, chlorine, bromine or iodine, Y=oxygen A, W, X, L1, R6and R2are as defined for formula (I) according to (e) reacting compounds of the formula (II) or (III) with compounds of the formula (IVa) to give compounds of the formula (I), if appropriate in the presence of a base and a solvent, according to the reaction scheme below: where L2represents —CH═N—O— or —CH═N—N(R7)—, Y=oxygen A, W, X, L1, L3, R2, R3and R7are as defined for formula (I) according to (f) reacting compounds of the formula (II) or (III) with compounds of the formula (IVb) to give compounds of the formula (I), if appropriate in presence of a base and a solvent, according to the reaction scheme below: where L2represents —C(R6)═N—O— or —C(R6)═N—N(R7)—, Y=oxygen A, W, X, L1, L3, R2, R3, R6and R7are as defined for formula (I) according to (g) converting compounds of the formula (I) into compounds of the formula (I) in the presence of a sulphurizing agent and if appropriate in the presence of a solvent, according to the reaction scheme below: where A, W, X, L1, L2, L3, R2, and R3are as defined for formula (I) according to
The invention relates to thiazolyl oxime ethers and hydrazones and their agrochemically active salts, to their use and to methods and compositions for controlling phytopathogenic harmful fungi in and/or on plants or in and/or on seed of plants, to processes for preparing such compositions and treated seed and also to their use for controlling phytopathogenic harmful fungi in agriculture, horticulture and forestry, in animal health, in the protection of materials and in the domestic and hygiene field. The present invention furthermore relates to a process for preparing thiazolyl oxime ethers and hydrazones. It is already known that certain heterocyclyl-substituted thiazoles can be employed as fungicidal crop protection agents. WO 07/014290 and WO 08/091594 describe amide-substituted thiazoles. WO 08/091580 describes amine-substituted thiazoles. WO 08/013925 and WO 08/013622 describe dihydroisoxazole-substituted thiazoles. However, the fungicidal activity of these compounds is, in particular at low application rates, not always sufficient. Since the ecological and economic demands made on modern crop protection agents are increasing constantly, for example with respect to activity spectrum, toxicity, selectivity, application rate, formation of residues and favourable manufacture, and there can furthermore be problems, for example, with resistance, there is a constant need to develop novel crop protection agents, in particular fungicides which, at least in some areas, have advantages over the known fungicides. Surprisingly, it has now been found that the present thiazolyl oxime ethers and hydrazones solve at least some aspects of the objects mentioned and are suitable for use as crop protection agents, in particular as fungicides. The invention provides compounds of the formula (I) substituents at carbon: cyano, nitro, halogen, C1-C6-alkyl, C1-C3-haloalkyl, C3-C6-cycloalkyl, C3-C6-halocycloalkyl C4-C10-cycloalkylalkyl, C4-C10-alkylcycloalkyl, C5-C10-alkylcycloalkylalkyl, C2-C6-alkenyl, C2-C6-haloalkenyl, C2-C6-alkynyl, C2-C6-haloalkynyl, benzyl, phenyl, hydroxyl, C1-C4-alkoxy, C1-C4-haloalkoxy, OCH2OCH3, SH, C1-C4-alkylthio, C1-C6-haloalkylthio, CHO, COOH, (C1-C4-alkoxy)carbonyl, CONR4R5, CR4═NOR5, (C1-C4-alkyl)carbonyl, (C1-C4-haloalkyl)carbonyl, (C1-C4-alkyl)carbonyloxy, (C1-C4-alkyl)carbonylthio, C1-C4-alkylsulphinyl, C1-C4-haloalkylsulphinyl, C1-C4-alkylsulphonyl, C1-C4-haloalkylsulphonyl, NR4R5, NR4COR5, SF5, SO2NR4R5, C2-C4-alkoxyalkyl or 1-methoxycyclopropyl substituents at nitrogen: hydroxyl, NR4R5, C1-C6-alkyl, C1-C3-haloalkyl, C3-C6-cycloalkyl, C3-C6-halocycloalkyl, C4-C10-alkylcycloalkyl, C2-C6-alkenyl, C2-C6-haloalkenyl, C2-C6-alkynyl, or C2-C6-haloalkynyl
which may contain up to two substituents, where the substituents independently of one another are selected from the list below:
substituents at carbon: cyano, nitro, halogen, C1-C6-alkyl, C1-C3-haloalkyl, C3-C6-cycloalkyl, C3-C6-halocycloalkyl C4-C10-cycloalkylalkyl, C4-C10-alkylcycloalkyl, C5-C10-alkylcycloalkyl, C2-C6-alkenyl, C2-C6-haloalkenyl, C2-C6-alkynyl, C2-C6-haloalkynyl, benzyl, phenyl, hydroxyl, C1-C4-alkoxy, C1-C4-haloalkoxy, OCH2OCH3, SH, C1-C4-alkylthio, C1-C6-haloalkylthio, COOH, (C1-C4-alkoxy)carbonyl, CONR6R7, (C1-C4-alkyl)carbonyl, (C1-C4-haloalkyl)carbonyl, (C1-C4-alkyl)carbonyloxy, (C1-C4-alkyl)carbonylthio, C1-C4-alkylsulphinyl, C1-C4-haloalkylsulphinyl, C1-C4-alkylsulphonyl, C1-C4-haloalkylsulphonyl, NR4R5, NR4COR5, SF5, SO2NR4R5, C2-C4-alkoxyalkyl or 1-methoxycyclopropyl, substituents at nitrogen: hydroxyl, C1-C6-alkyl, C1-C3-haloalkyl, C3-C6-cycloalkyl, C3-C6-halocycloalkyl, C4-C10-alkylcycloalkyl, C2-C6-alkenyl, C2-C6-haloalkenyl, C2-C6-alkyny haloalkynyl or phenyl
substituents at carbon: cyano, nitro, halogen, C1-C6-alkyl, C1-C3-haloalkyl, C3-C6-cycloalkyl, C3-C6-halocycloalkyl C4-C10-cycloalkylalkyl, C4-C10-alkylcycloalkyl, C5-C10-alkylcycloalkyl, C2-C6-alkenyl, C2-C6-haloalkenyl, C2-C6-alkynyl, C2-C6-haloalkynyl, benzyl, phenyl, hydroxyl, C1-C4-alkoxy, C1-C4-haloalkoxy, OCH2OCH3, SH, C1-C4-alkylthio, C1-C6-haloalkylthio, COOH, (C1-C4-alkoxy)carbonyl, CONR4R5, (C1-C4-alkyl)carbonyl, (C1-C4-haloalkyl)carbonyl, (C1-C4-alkyl)carbonyloxy, (C1-C4-alkyl)carbonylthio, C1-C4-alkylsulphinyl, C1-C4-haloalkylsulphinyl, C1-C4-alkylsulphonyl, C1-C4-haloalkylsulphonyl, NR4R5, NR4COR5, SF5, SO2NR4R5, C2-C4-alkoxyalkyl or 1-methoxycyclopropyl, substituents at nitrogen: C1-C6-alkyl, C1-C3-haloalkyl, C3-C6-cycloalkyl, C3-C6-halocycloalkyl, C4-C10-alkylcycloalkyl, C2-C6-alkenyl, C2-C6-haloalkenyl, C2-C6-alkynyl, C2-C6-haloalkynyl or phenyl
substituents at carbon: cyano, halogen, C1-C6-alkyl, C1-C3-haloalkyl, C3-C6-cycloalkyl, C2-C6-alkenyl, C2-C6-haloalkenyl, C2-C6-alkynyl, C2-C6-haloalkynyl, tri(C1-C2-alkyl)silyl, phenyl, hydroxyl, C1-C6-alkoxy, C1-C6-haloalkoxy, C2-C6-alkenyloxy, C2-C6-alkynyloxy, C1-C6-alkylthio or C1-C6-haloalkylthio, substituents at nitrogen: C1-C6-alkyl, C1-C3-haloalkyl, C3-C6-cycloalkyl, C2-C6-alkenyl, C2-C6-haloalkenyl, C2-C6-alkynyl, C2-C6-haloalkynyl, tri(C1-C2-alkyl)silyl or phenyl,
the two radicals R7and R3together with the nitrogen atom to which they are attached via L3form a 5- to 8-membered unsubstituted or substituted saturated or partially saturated or unsaturated heterocycle which may contain up to two further heteroatoms selected from the group consisting of N, O and S, where two oxygen atoms are not adjacent, where possible substituents independently of one another are selected from the group consisting of C1-C1-alkyl, C1-C4alkoxy, hydroxyl and halogen, and also agrochemically active salts thereof. The invention also provides the use of the compounds of the formula (I) as fungicides. Thiazolyl oxime ethers and hydrazones of the formula (I) according to the invention and also their agrochemically active salts are highly suitable for controlling phytopathogenic harmful fungi. The compounds according to the invention mentioned above have in particular strong fungicidal activity and can be used both in crop protection, in the domestic and hygiene field and in the protection of materials. The compounds of the formula (I) can be present both in pure form and as mixtures of various possible isomeric forms, in particular of stereoisomers, such as E and Z, threo and erythro, and also optical isomers, such as R and S isomers or atropisomers, and, if appropriate, also of tautomers. What is claimed are both the E and the Z isomers, and the threo and erythro, and also the optical isomers, any mixtures of these isomers, and also the possible tautomeric forms. In particular, depending on the double bond geometry, there may be different isomers at the substituent L2, namely cis or trans or E or Z isomers, so that compounds of the formula (I) may occur both in the form of the pure isomers and in the form of any isomer mixtures. Here, the isomer ratio of the cis and trans isomers of the compound (I) may vary from 1:99 to 99:1. The structural unit of the oxime or the hydrazone unit present in the compounds of the formula (I) includes (E) and/or (Z) isomers, and these stereoisomers form part of the subject matter of the invention. Preference is given to compounds of the formula (I) in which one or more of the symbols have one of the meanings below:
which may contain up to two substituents, where the substituents independently of one another are selected from the list below: substituents at carbon: cyano, nitro, halogen, C1-C4-alkyl, C1-C3-haloalkyl, hydroxyl, C1-C4-alkoxy, C1-C4-haloalkoxy, C1-C4-alkylthio or C1-C4-haloalkylthio,
which may contain up to two substituents, where the substituents independently of one another are selected from the list below: cyano, halogen, C1-C6-alkyl, C1-C3-haloalkyl, C3-C6-cycloalkyl, phenyl, hydroxyl, C1-C6-alkoxy, C1-C3-haloalkoxy, C1-C6-alkylthio or C1-C3-haloalkylthio,
which may contain up to two substituents, where the substituents independently of one another are selected from the list below: substituents at carbon: cyano, halogen, C1-C6-alkyl, C1-C3-haloalkyl, C3-C6-cycloalkyl, phenyl, hydroxyl, C1-C4-alkoxy, C1-C4-haloalkoxy, C1-C4-alkylthio or C1-C4-haloalkylthio, substituents at nitrogen: C1-C6-alkyl, C1-C3-haloalkyl, C3-C6-cycloalkyl, C2-C6-alkenyl, C2-C6-alkynyl or phenyl,
which may contain up to two substituents, where the substituents independently of one another are selected from the list below: substituents at carbon: cyano, halogen, C1-C6-alkyl, C1-C3-haloalkyl, C3-C6-cycloalkyl, phenyl, hydroxyl, C1-C4-alkoxy, C1-C4-haloalkoxy, C1-C4-alkylthio or C1-C4-haloalkylthio, substituents at nitrogen: C1-C6-alkyl, C1-C3-haloalkyl, C3-C6-cycloalkyl, C2-C6-alkenyl, C2-C6-alkynyl or phenyl,
substituents at carbon: C1-C6-alkyl, C1-C3-haloalkyl, C3-C6-cycloalkyl, C2-C6-alkenyl, C2-C6-alkynyl, tri(C1-C2-alkyl)silyl or phenyl, substituents at nitrogen: C1-C6-alkyl, C3-C6-cycloalkyl, C2-C6-alkenyl, C2-C6-alkynyl, tri(C1-C2-alkyl)silyl or phenyl,
the two radicals R7and R3together with the nitrogen atom to which they are attached via L3form a 5- to 8-membered unsubstituted or substituted saturated or partially saturated or unsaturated heterocycle which may contain up to two further heteroatoms selected from the group consisting of N, O and S, where two oxygen atoms are not adjacent, where possible substituents independently of one another are selected from the group consisting of C1-C4-alkyl, C1-C4-alkoxy, hydroxyl and halogen, and also to the agrochemically active salts thereof. Particular preference is given to compounds of the formula (I) in which one or more of the symbols have one of the meanings below:
which may contain up to two substituents, where the substituents independently of one another are selected from the list below: substituents at carbon: cyano, halogen, C1-C2-alkyl, C1-C2-haloalkyl, hydroxyl, C1-C2-alkoxy or C1-C2-haloalkoxy, substituents at nitrogen: C1-C2-alkyl or C1-C2-haloalkyl,
which may contain up to two substituents, where the substituents independently of one another are selected from the list below: fluorine, chlorine, bromine, iodine, methyl, ethyl, CF3, CHF2, cyclopropyl, phenyl, hydroxyl, OMe, OEt, OCF3, OCHF2, OC2F5, SMe or SCF3,
which may contain up to two substituents, where the substituents independently of one another are selected from the list below:
which may contain up to two substituents, where the substituents independently of one another are selected from the list below:
the two radicals R7and R3together with the nitrogen atom to which they are attached via L3form a 5- or 6-membered unsubstituted or substituted saturated or partially saturated or unsaturated heterocycle, where possible substituents independently of one another are selected from the group consisting of methyl, ethyl, CF3, chlorine and fluorine, and also to the agrochemically active salts thereof. Very particular preference is given to compounds of the formula (I) in which one or more of the symbols have one of the meanings below:
which may contain up to two substituents, where the substituents independently of one another are selected from the list below:
the two radicals R7and R3together with the nitrogen atom to which they are attached via L3form a 5- or 6-membered unsubstituted saturated heterocycle, and also to the agrochemically active salts thereof. Extraordinary preference is given to compounds of the formula (1) in which one or more of the symbols have one of the meanings below:
the two radicals R7and R3together with the nitrogen atom to which they are attached via L3form a piperidin-1-yl radical, and also to the agrochemically active salts thereof. Extraordinary preference is furthermore given to compounds of the formula (I) in which
which may contain up to two substituents, where the substituents independently of one another are selected from the list below:
Extraordinary preference is furthermore given to compounds of the formula (I) in which
cyano, fluorine, chlorine, bromine, iodine, methyl, ethyl, CF3, CHF2, C2F5, CCl3, hydroxyl, OMe, OCF3, OCHF2, OCH2CF3or OC2F5,
Extraordinary preference is furthermore given to compounds of the formula (I) in which one or more of the symbols have one of the meanings below:
Extraordinary preference is furthermore given to compounds of the formula (I) in which one or more of the symbols have one of the meanings below:
Extraordinary preference is furthermore given to compounds of the formula (I) in which one or more of the symbols have one of the meanings below:
Extraordinary preference is furthermore given to compounds of the formula (I) in which one or more of the symbols have one of the meanings below:
Extraordinary preference is furthermore given to compounds of the formula (I) in which one or more of the symbols have one of the meanings below:
Extraordinary preference is furthermore given to compounds of the formula (I) in which
Extraordinary preference is furthermore given to compounds of the formula (I) in which
Extraordinary preference is furthermore given to compounds of the formula (I) in which
Extraordinary preference is furthermore given to compounds of the formula (I) in which
Extraordinary preference is furthermore given to compounds of the formula (I) in which
Extraordinary preference is furthermore given to compounds of the formula (I) in which
Extraordinary preference is furthermore given to compounds of the formula (I) in which
Extraordinary preference is furthermore given to compounds of the formula (I) in which
Extraordinary preference is furthermore given to compounds of the formula (I) in which
Extraordinary preference is furthermore given to compounds of the formula (I) in which
The radical definitions given above can be combined with one another as desired. Moreover, individual definitions may not apply. Depending on the nature of the substituents defined above, the compounds of the formula (I) have acidic or basic properties and can form salts, if appropriate also inner salts, or adducts with inorganic or organic acids or with bases or with metal ions. If the compounds of the formula (I) carry amino, alkylamino or other groups which induce basic properties, these compounds can be reacted with acids to give salts, or they are directly obtained as salts in the synthesis. If the compounds of the formula (I) carry hydroxyl, carboxyl or other groups which induce acidic properties, these compounds can be reacted with bases to give salts. Suitable bases are, for example, hydroxides, carbonates, bicarbonates of the alkali metals and alkaline earth metals, in particular those of sodium, potassium, magnesium and calcium, furthermore ammonia, primary, secondary and tertiary amines having (C1-C4)-alkyl groups, mono-, di- and trialkanolamines of (C1-C4)-alkanols, choline and also chlorocholine. The salts obtainable in this manner also have fungicidal, herbicidal and insecticidal properties. Examples of inorganic acids are hydrohalic acids, such as hydrogen fluoride, hydrogen chloride, hydrogen bromide and hydrogen iodide, sulphuric acid, phosphoric acid and nitric acid, and acidic salts, such as NaHSO4and KHSO4. Suitable organic acids are, for example, formic acid, carbonic acid and alkanoic acids, such as acetic acid, trifluoroacetic acid, trichloroacetic acid and propionic acid, and also glycolic acid, thiocyanic acid, lactic acid, succinic acid, citric acid, benzoic acid, cinnamic acid, oxalic acid, alkylsulphonic acids (sulphonic acids having straight-chain or branched alkyl radicals of 1 to 20 carbon atoms), arylsulphonic acids or aryldisulphonic acids (aromatic radicals, such as phenyl and naphthyl, which carry one or two sulphonic acid groups), alkylphosphonic acids (phosphonic acids having straight-chain or branched alkyl radicals of 1 to 20 carbon atoms), arylphosphonic acids or aryldiphosphonic acids (aromatic radicals, such as phenyl and naphthyl, which carry one or two phosphonic acid radicals), where the alkyl and aryl radicals may carry further substituents, for example p-toluenesulphonic acid, salicylic acid, p-aminosalicylic acid, 2-phenoxybenzoic acid, 2-acetoxybenzoic acid, etc. Suitable metal ions are in particular the ions of the elements of the second main group, in particular calcium and magnesium, of the third and fourth main group, in particular aluminium, tin and lead, and also of the first to eighth transition group, in particular chromium, manganese, iron, cobalt, nickel, copper, zinc and others. Particular preference is given to the metal ions of the elements of the fourth period. Here, the metals can be present in various valencies that they can assume. Optionally substituted groups may be mono- or polysubstituted, where in the case of polysubstitution the substituents may be identical or different. In the definitions of the symbols given in the formulae above, collective terms were used which are generally representative for the following substituents: halogen: fluorine, chlorine, bromine and iodine; alkyl: saturated, straight-chain or branched hydrocarbon radicals having 1 to 8 carbon atoms, for example (but not limited thereto) C1-C6-alkyl, such as methyl, ethyl, propyl, 1-methylethyl, butyl, 1-methylpropyl, 2-methylpropyl, 1,1-dimethylethyl, pentyl, 1-methylbutyl, 2-methylbutyl, 3-methylbutyl, 2,2-dimethylpropyl, 1-ethylpropyl, hexyl, 1,1-dimethylpropyl, 1,2-dimethylpropyl, 1-methylpentyl, 2-methylpentyl, 3-methylpentyl, 4-methylpentyl, 1,1-dimethylbutyl, 1,2-dimethylbutyl, 1,3-dimethylbutyl, 2,2-dimethylbutyl, 2,3-dimethylbutyl, 3,3-dimethylbutyl, 1-ethylbutyl, 2-ethylbutyl, 1,1,2-trimethylpropyl, 1,2,2-trimethylpropyl, 1-ethyl-1-methylpropyl and 1-ethyl-2-methylpropyl; alkenyl: unsaturated, straight-chain or branched hydrocarbon radicals having 2 to 8 carbon atoms and a double bond in any position, for example (but not limited thereto) C2-C6-alkenyl, such as ethenyl, 1-propenyl, 2-propenyl, 1-methylethenyl, 1-butenyl, 2-butenyl, 3-butenyl, 1-methyl-1-propenyl, 2-methyl-1-propenyl, 1-methyl-2-propenyl, 2-methyl-2-propenyl, 1-pentenyl, 2-pentenyl, 3-pentenyl, 4-pentenyl, 1-methyl-1-butenyl, 2-methyl-1-butenyl, 3-methyl-1-butenyl, 1-methyl-2-butenyl, 2-methyl-2-butenyl, 3-methyl-2-butenyl, 1-methyl-3-butenyl, 2-methyl-3-butenyl, 3-methyl-3-butenyl, 1,1-dimethyl-2-propenyl, 1,2-dimethyl-1-propenyl, 1,2-dimethyl-2-propenyl, 1-ethyl-1-propenyl, 1-ethyl-2-propenyl, 1-hexenyl, 2-hexenyl, 3-hexenyl, 4-hexenyl, 5-hexenyl, 1-methyl-1-pentenyl, 2-methyl-1-pentenyl, 3-methyl-1-pentenyl, 4-methyl-1-pentenyl, 1-methyl-2-pentenyl, 2-methyl-2-pentenyl, 3-methyl-2-pentenyl, 4-methyl-2-pentenyl, 1-methyl-3-pentenyl, 2-methyl-3-pentenyl, 3-methyl-3-pentenyl, 4-methyl-3-pentenyl, 1-methyl-4-pentenyl, 2-methyl-4-pentenyl, 3-methyl-4-pentenyl, 4-methyl-4-pentenyl, 1,1-dimethyl-2-butenyl, 1,1-dimethyl-3-butenyl, 1,2-dimethyl-1-butenyl, 1,2-dimethyl-2-butenyl, 1,2-dimethyl-3-butenyl, 1,3-dimethyl-1-butenyl, 1,3-dimethyl-2-butenyl, 1,3-dimethyl-3-butenyl, 2,2-dimethyl-3-butenyl, 2,3-dimethyl-1-butenyl, 2,3-dimethyl-2-butenyl, 2,3-dimethyl-3-butenyl, 3,3-dimethyl-1-butenyl, 3,3-dimethyl-2-butenyl, 1-ethyl-1-butenyl, 1-ethyl-2-butenyl, 1-ethyl-3-butenyl, 2-ethyl-1-butenyl, 2-ethyl-2-butenyl, 2-ethyl-3-butenyl, 1,1,2-trimethyl-2-propenyl, 1-ethyl-1-methyl-2-propenyl, 1-ethyl-methyl-1-propenyl and 1-ethyl-2-methyl-2-propenyl; alkynyl: straight-chain or branched hydrocarbon groups having 2 to 8 carbon atoms and a triple bond in any position, for example (but not limited thereto) C2-C6-alkynyl, such as ethynyl, 1-propynyl, 2-propynyl, 1-butynyl, 2-butynyl, 3-butynyl, 1-methyl-2-propynyl, 1-pentynyl, 2-pentynyl, 3-pentynyl, 4-pentynyl, 1-methyl-2-butynyl, 1-methyl-3-butynyl, 2-methyl-3-butynyl, 3-methyl-1-butynyl, 1,1-dimethyl-2-propynyl, 1-ethyl-2-propynyl, 1-hexynyl, 2-hexynyl, 3-hexynyl, 4-hexynyl, 5-hexynyl, 1-methyl-2-pentynyl, 1-methyl-3-pentynyl, 1-methyl-4-pentynyl, 2-methyl-3-pentynyl, 2-methyl-4-pentynyl, 3-methyl-1-pentynyl, 3-methyl-4-pentynyl, 4-methyl-1-pentynyl, 4-methyl-2-pentynyl, 1,1-dimethyl-2-butynyl, 1,1-dimethyl-3-butynyl, 1,2-dimethyl-3-butynyl, 2,2-dimethyl-3-butynyl, 3,3-dimethyl-1-butynyl, 1-ethyl-2-butynyl, 1-ethyl-3-butynyl, 2-ethyl-3-butynyl and 1-ethyl-1-methyl-2-propynyl; alkoxy: saturated, straight-chain or branched alkoxy radicals having 1 to 8 carbon atoms, for example (but not limited thereto) C1-C6-alkoxy, such as methoxy, ethoxy, propoxy, 1-methylethoxy, butoxy, 1-methylpropoxy, 2-methylpropoxy, 1,1-dimethylethoxy, pentoxy, 1-methylbutoxy, 2-methylbutoxy, 3-methylbutoxy, 2,2-dimethylpropoxy, 1-ethylpropoxy, hexoxy, 1,1-dimethylpropoxy, 1,2-dimethylpropoxy,l-methylpentoxy, 2-methylpentoxy, 3-methylpentoxy, 4-methylpentoxy, 1,1-dimethylbutoxy, 1,2-dimethylbutoxy, 1,3-dimethylbutoxy, 2,2-dimethylbutoxy, 2,3-dimethylbutoxy, 3,3-dimethylbutoxy, 1-ethylbutoxy, 2-ethylbutoxy, 1,1,2-trimethylpropoxy, 1,2,2-trimethylpropoxy, 1-ethyl-1-methylpropoxy and 1-ethyl-2-methylpropoxy; alkylthio: saturated, straight-chain or branched alkylthio radicals having 1 to 8 carbon atoms, for example (but not limited thereto) C1-C6-alkylthio, such as methylthio, ethylthio, propylthio, 1-methylethylthio, butylthio, 1-methylpropylthio, 2-methylpropylthio, 1,1-dimethylethylthio, pentylthio, 1-methylbutylthio, 2-methylbutylthio, 3-methylbutylthio, 2,2-dimethylpropylthio, 1-ethylpropylthio, hexylthio, 1,1-dimethylpropylthio, 1,2-dimethylpropylthio, 1-methylpentylthio, 2-methylpentylthio, 3-methylpentylthio, 4-methylpentylthio, 1,1-dimethylbutylthio, 1,2-dimethylbutylthio, 1,3-dimethylbutylthio, 2,2-dimethylbutylthio, 2,3-dimethylbutylthio, 3,3-dimethylbutylthio, 1-ethylbutylthio, 2-ethylbutylthio, 1,1,2-trimethylpropylthio, 1,2,2-trimethyl-propylthio, 1-ethyl-1-methylpropylthio and 1-ethyl-2-methylpropylthio; alkoxycarbonyl: an alkoxy group having 1 to 6 carbon atoms (as mentioned above) which is attached to the skeleton via a carbonyl group (—CO—); alkylsulphinyl: saturated, straight-chain or branched alkylsulphinyl radicals having 1 to 8 carbon atoms, for example (but not limited thereto) C1-C6-alkylsulphinyl, such as methylsulphinyl, ethylsulphinyl, propylsulphinyl, 1-methylethylsulphinyl, butylsulphinyl, 1-methylpropylsulphinyl, 2-methylpropylsulphinyl, 1,1-dimethylethylsulphinyl, pentylsulphinyl, 1-methylbutylsulphinyl, 2-methylbutylsulphinyl, 3-methylbutylsulphinyl, 2,2-dimethylpropylsulphinyl, 1-ethylpropylsulphinyl, hexylsulphinyl, 1,1-dimethylpropylsulphinyl, 1,2-dimethylpropylsulphinyl, 1-methylpentylsulphinyl, 2-methylpentylsulphinyl, 3-methylpentylsulphinyl, 4-methylpentylsulphinyl, 1,1-dimethylbutylsulphinyl, 1,2-dimethylbutylsulphinyl, 1,3-dimethylbutylsulphinyl, 2,2-dimethylbutylsulphinyl, 2,3-dimethylbutylsulphinyl, 3,3-dimethylbutylsulphinyl, 1-ethylbutylsulphinyl, 2-ethylbutylsulphinyl, 1,1,2-trimethylpropylsulphinyl, 1,2,2-trimethylpropylsulphinyl, 1-ethyl-1-methylpropylsulphinyl and 1-ethyl-2-methylpropylsulphinyl; alkylsulphonyl: saturated, straight-chain or branched alkylsulphonyl radicals having 1 to 8 carbon atoms, for example (but not limited thereto) C1-C6-alkylsulphonyl, such as methylsulphonyl, ethylsulphonyl, propylsulphonyl, 1-methylethylsulphonyl, butylsulphonyl, 1-methylpropylsulphonyl, 2-methylpropylsulphonyl, 1,1-dimethylethylsulphonyl, pentylsulphonyl, 1-methylbutylsulphonyl, 2-methylbutylsulphonyl, 3-methylbutylsulphonyl, 2,2-dimethylpropylsulphonyl, 1-ethylpropylsulphonyl, hexylsulphonyl, 1,1-dimethylpropylsulphonyl, 1,2-dimethylpropylsulphonyl, 1-methylpentylsulphonyl, 2-methylpentylsulphonyl, 3-methylpentylsulphonyl, 4-methylpentylsulphonyl, 1,1-dimethylbutylsulphonyl, 1,2-dimethylbutylsulphonyl, 1,3-dimethylbutylsulphonyl, 2,2-dimethylbutylsulphonyl, 2,3-dimethyl-butylsulphonyl, 3,3-dimethylbutylsulphonyl, 1-ethylbutylsulphonyl, 2-ethylbutylsulphonyl, 1,1,2-trimethylpropylsulphonyl, 1,2,2-trimethylpropylsulphonyl, 1-ethyl-1-methylpropylsulphonyl and 1-ethyl-2-methylpropylsulphonyl; cycloalkyl: monocyclic, saturated hydrocarbon groups having 3 to 10 carbon ring members, for example (but not limited thereto) cyclopropyl, cyclopentyl and cyclohexyl; haloalkyl: straight-chain or branched alkyl groups having 1 to 8 carbon atoms (as mentioned above), where in these groups some or all of the hydrogen atoms may be replaced by halogen atoms as mentioned above, for example (but not limited thereto) C1-C3-haloalkyl, such as chloro-methyl, bromomethyl, dichloromethyl, trichloromethyl, fluoromethyl, difluoromethyl, trifluoromethyl, chlorofluoromethyl, dichlorofluoromethyl, chlorodifluoromethyl, 1-chloroethyl, 1-bromoethyl, 1-fluoroethyl, 2-fluoroethyl, 2,2-difluoroethyl, 2,2,2-trifluoroethyl, 2-chloro-2-fluoroethyl, 2-chloro-2,2-difluoroethyl, 2,2-dichloro-2-fluoroethyl, 2,2,2-trichloroethyl, pentafluoroethyl and 1,1,1-trifluoroprop-2-yl; haloalkoxy: straight-chain or branched alkoxy groups having 1 to 8 carbon atoms (as mentioned above), where in these groups some or all of the hydrogen atoms may be replaced by halogen atoms as mentioned above, for example (but not limited thereto) C1-C3-haloalkoxy, such as chloromethoxy, bromomethoxy, dichloromethoxy, trichloromethoxy, fluoromethoxy, difluoromethoxy, trifluoromethoxy, chlorofluoromethoxy, dichlorofluoromethoxy, chlorodifluoromethoxy, 1-chloroethoxy, 1-bromoethoxy, 1-fluoroethoxy, 2-fluoroethoxy, 2,2-difluoroethoxy, 2,2,2-trifluoroethoxy, 2-chloro-2-fluoroethoxy, 2-chloro-2,2-difluoroethoxy, 2,2-dichloro-2-fluoroethoxy, 2,2,2-trichloroethoxy, pentafluoroethoxy and 1,1,1-trifluoroprop-2-oxy; haloalkylthio: straight-chain or branched alkylthio groups having 1 to 8 carbon atoms (as mentioned above), where in these groups some or all of the hydrogen atoms may be replaced by halogen atoms as mentioned above, for example (but not limited thereto) C1-C3-haloalkylthio, such as chloromethylthio, bromomethylthio, dichloromethylthio, trichloromethylthio, fluoromethylthio, difluoromethylthio, trifluoromethylthio, chlorofluoromethylthio, dichlorofluoromethylthio, chlorodifluoromethylthio, 1-chloroethylthio, 1-bromoethylthio, 1-fluoroethylthio, 2-fluoroethylthio, 2,2-difluoroethylthio, 2,2,2-trifluoroethylthio, 2-chloro-2-fluoroethylthio, 2-chloro-2,2-difluoroethylthio, 2,2-dichloro-2-fluoroethylthio, 2,2,2-trichloroethylthio, pentafluoroethylthio and 1,1,1-trifluoroprop-2-ylthio; heteroaryl: a 5 or 6-membered completely unsaturated monocyclic ring system which contains one to four heteroatoms from the group consisting of oxygen, nitrogen and sulphur; if the ring contains a plurality of oxygen atoms, these are not directly adjacent; 5-membered heteroaryl which contains one to four nitrogen atoms or one to three nitrogen atoms and one sulphur or oxygen atom: 5-membered heteroaryl groups which, in addition to carbon atoms, may contain one to four nitrogen atoms or one to three nitrogen atoms and one sulphur or oxygen atom as ring members, for example (but not limited thereto) 2-furyl, 3-furyl, 2-thienyl, 3-thienyl, 2-pyrrolyl, 3-pyrrolyl, 3-isoxazolyl, 4-isoxazolyl, 5-isoxazolyl, 3-isothiazolyl, isothiazolyl, 5-isothiazolyl, 3-pyrazolyl, 4-pyrazolyl, 5-pyrazolyl, 2-oxazolyl, 4-oxazolyl, 5-oxazolyl, 2-thiazolyl, 4-thiazolyl, 5-thiazolyl, 2-imidazolyl, 4-imidazolyl, 1,2,4-oxadiazol-3-yl, 1,2,4-oxadiazol-5-yl, 1,2,4-thiadiazol-3-yl, 1,2,4-thiadiazol-5-yl, 1,2,4-triazol-3-yl, 1,3,4-oxadiazol-2-yl, 1,3,4-thiadiazol-2-yl and 1,3,4-triazol-2-yl; 5-membered heteroaryl which is attached via nitrogen and contains one to four nitrogen atoms, or benzo-fused 5-membered heteroaryl which is attached via nitrogen and contains one to three nitrogen atoms: 5-membered heteroaryl groups which, in addition to carbon atoms, may contain one to four nitrogen atoms and one to three nitrogen atoms, respectively, as ring members and in which two adjacent carbon ring members or a nitrogen and an adjacent carbon ring member may be bridged by a buta-1,3-dien-1,4-diyl group in which one or two carbon atoms may be replaced by nitrogen atoms, where these rings are attached to the skeleton via one of the nitrogen ring members, for example (but not limited thereto) 1-pyrrolyl, 1-pyrazolyl, 1-yl, 1-imidazolyl, 1,2,3-triazol-1-yl, 1,3,4-triazol-1-yl; 6-membered heteroaryl which contains one to four nitrogen atoms: 6-membered heteroaryl groups which, in addition to carbon atoms, may contain one to three or one to four nitrogen atoms as ring members, for example (but not limited thereto) 2-pyridinyl, 3-pyridinyl, 4-pyridinyl, 3-pyridazinyl, 4-pyridazinyl, 2-pyrimidinyl, 4-pyrimidinyl, 5-pyrimidinyl, 2-pyrazinyl, 1,3,5-triazin-2-yl, 1,2,4-triazin-3-yl and 1,2,4,5-tetrazin-3-yl; benzo-fused 5-membered heteroaryl which contains one to three nitrogen atoms or one nitrogen atom and one oxygen or sulphur atom: for example (but not limited thereto) 1H-indol-1-yl, 1H-indol-2-yl, 1H-indol-3-yl, 1H-indol-4-yl, 1H-indol-5-yl, 1H-indol-6-yl, 1H-indol-7-yl, 1H-benzimidazol-1-yl, 1H-benzimidazol-2-yl, 1H-benzimidazol-4-yl, benzimidazol-5-yl, 1H-indazol-1-yl, 1H-indazol-3-yl, 1H-indazol-4-yl, 1H-indazol-5-yl, 1H-indazol-7-yl, 2H-indazol-2-yl, 1-benzofuran-2-yl, 1-benzofuran-3-yl, 1-benzofuran-4-yl, 1-benzofuran-5-yl, 1-benzofuran-6-yl, 1-benzofuran-7-yl, 1-benzothiophen-2-yl, 1-benzothiophen-3-yl, 1-benzothiophen-4-yl, 1-benzothiophen-5-yl, 1-benzothiophen-6-yl, 1-benzothiophen-7-yl, 1,3-benzothiazol-2-yl and 1,3-benzoxazol-2-yl, benzo-fused 6-membered heteroaryl which contains one to three nitrogen atoms: for example (but not limited thereto) quinolin-2-yl, quinolin-3-yl, quinolin-4-yl, quinolin-5-yl, quinolin-6-yl, quinolin-7-yl, quinolin-8-yl, isoquinolin-1-yl, isoquinolin-3-yl, isoquinolin-4-yl, isoquinolin-5-yl, isoquinolin-6-yl, isoquinolin-7-yl, and isoquinolin-8-yl; heterocyclyl: a three- to fifteen-membered saturated or partially unsaturated heterocycle which contains one to four heteroatoms from the group consisting of oxygen, nitrogen and sulphur: mono-, bi- or tricyclic heterocycles which contain, in addition to carbon ring members, one to three nitrogen atoms and/or one oxygen or sulphur atom or one or two oxygen and/or sulphur atoms; if the ring contains a plurality of oxygen atoms, these are not directly adjacent; such as, for example (but not limited thereto), oxiranyl, aziridinyl, 2-tetrahydrofuranyl, 3-tetrahydrofuranyl, 2-tetrahydrothienyl, 3-tetrahydrothienyl, 2-pyrrolidinyl, 3-pyrrolidinyl, 3-isoxazolidinyl, 4-isoxazolidinyl, 5-isoxazolidinyl, 3-isothiazolidinyl, 4-isothiazolidinyl, 5-isothiazolidinyl, 3-pyrazolidinyl, 4-pyrazolidinyl, 5-pyrazolidinyl, 2-oxazolidinyl, 4-oxazolidinyl, 5-oxazolidinyl, 2-thiazolidinyl, 4-thiazolidinyl, 5-thiazolidinyl, 2-imidazolidinyl, 4-imidazolidinyl, 1,2,4-oxadiazolidin-3-yl, 1,2,4-oxadiazolidin-5-yl, 1,2,4-thiadiazolidin-3-yl, 1,2,4-thiadiazolidin-5-yl, 1,2,4-triazolidin-3-yl, 1,3,4-oxadiazolidin-2-yl, 1,3,4-thiadiazolidin-2-yl, 1,3,4-triazolidin-2-yl, 2,3-dihydrofur-2-yl, 2,3-dihydrofur-3-yl, 2,4-dihydrofur-2-yl, 2,4-dihydrofur-3-yl, 2,3-dihydrothien-2-yl, 2,3-dihydrothien-3-yl, 2,4-dihydrothien-2-yl, 2,4-dihydrothien-3-yl, 2-pyrrolin-2-yl, 2-pyrrolin-3-yl, 3-pyrrolin-2-yl, 3-pyrrolin-3-yl, 2-isoxazolin-3-yl, 3-isoxazolin-3-yl, 4-isoxazolin-3-yl, 2-isoxazolin-4-yl, 3-isoxazolin-4-yl, 4-isoxazolin-4-yl, 2-isoxazolin-5-yl, 3-isoxazolin-5-yl, 4-isoxazolin-5-yl, 2-isothiazolin-3-yl, 3-isothiazolin-3-yl, 4-isothiazolin-3-yl, 2-isothiazolin-4-yl, 3-isothiazolin-4-yl, 4-isothiazolin-4-yl, 2-isothiazolin-5-yl, 3-isothiazolin-5-yl, 4-isothiazolin-5-yl, 2,3-dihydropyrazol-1-yl, 2,3-dihydropyrazol-2-yl, 2,3-dihydropyrazol-3-yl, 2,3-dihydropyrazol-4-yl, 2,3-dihydropyrazol-5-yl, 3,4-dihydropyrazol-1-yl, 3 ,4-dihydropyrazol-3-yl, 3,4-dihydropyrazol-4-yl, 3 ,4-dihydropyrazol-5-yl, 4,5-dihydroopyrazol-1-yl, 4,5-dihydropyrazol-3-yl, 4,5-dihydropyrazol-3-yl, 4,5-dihydropyrazol-4-yl, 4,5-dihydropyrazol-5-yl, 2,3-dihydrooxazol-2-yl, 2,3-dihydrooxazol-3-yl, 2,3-dihydrooxazol-4-yl, 2,3-dihydrooxazol-5-yl, 3,4-dihydrooxazol-2-yl, 3,4-dihydrooxazol-3-yl, 3,4-dihydrooxazol-4-yl, 3,4-dihydrooxazol-5-yl, 3,4-dihydrooxazol-2-yl, 3,4-dihydrooxazol-3-yl, 3,4-dihydrooxazol-4-yl, 2-piperidinyl, 3-piperidinyl, 4-piperidinyl, 1,3-dioxan-5-yl, 2-tetra-hydropyranyl, 4-tetrahydropyranyl, 2-tetrahydrothienyl, 3-hexahydropyridazinyl, 4-hexahydropyridazinyl, 2-hexahydropyrimidinyl, 4-hexahydropyrimidinyl, 5-hexahydropyrimidinyl, 2-piperazinyl, 1,3,5-hexahydrotriazin-2-yl and 1,2,4-hexahydrotriazin-3-yl; leaving group: SN1 or SN2 leaving group, for example halogen (chlorine, bromine, iodine), alkylsulphonates (—OSO2-alkyl, for example —OSO2CH3, —OSO2CF3) or arylsulphonates (—OSO2-aryl, for example —OSO2Ph, —OSO2PhMe). Not included are combinations which contradict natural laws and which the person skilled in the art would therefore have excluded based on his expert knowledge. Excluded are, for example, ring structures having three or more adjacent oxygen atoms. The present invention furthermore relates to a process for preparing the substituted thiazoles of the formula (I) according to the invention, comprising at least one of steps (a) to (g) below:
A general summary of the synthesis paths is shown in Scheme 8. The protective group of a compound of the formula (VIIa) or (VIIb) labelled PG is removed, thus forming a compound of the formula (VIa) or (VIb), or the corresponding salt (Schemes 1 and 2). A compound of the formula (VIa) or (VIb) or a corresponding salt is coupled with a substrate of the formula (V), which allows a compound of the formula (IVa) or (IVb) to be prepared (Schemes 3 and 4). A compound of the general formula (IVa) or (IVb) is then reacted with a hydroxylamine of the formula (II) or a hydrazine of the formula (III) to give a compound of the formula (I) (Schemes 5 and 6). A sulphurizing agent is added to a compound of the formula (I) to generate a compound of the formula (I) (Scheme 7). One way of preparing the intermediate (VIa) from corresponding compounds (VIIa) is shown in Scheme 1. A compound of the general formula (VIIa) is converted into a corresponding compound of the general formula (VIa) by suitable methods, described in the literature, for removing protective groups (“ t-Butoxycarbonyl and benzyloxycarbonyl protective groups can be removed in an acidic medium (for example using hydrochloric acid or trifluoroacetic acid). Acetyl protective groups can be removed under basic conditions (using, for example, potassium carbonate or caesium carbonate). Benzylic protective groups can be removed hydrogenolytically using hydrogen in the presence of a catalyst (for example palladium on activated carbon). Suitable for use as solvents are all customary solvents which are inert under the reaction conditions, such as, for example, alcohols (for example methanol, ethanol, propanol), cyclic and acyclic ethers (for example diethyl ether, tetrahydrofuran, dioxane), aromatic hydrocarbons (for example benzene, toluene, xylene), halogenated hydrocarbons (for example dichloromethane, chloroform, carbon tetrachloride), halogenated aromatic hydrocarbons (for example chlorobenzene, dichlorobenzene), nitriles (for example acetonitrile), carboxylic esters (for example ethyl acetate), amides (for example N,N-dimethylformamide, N,N-dimethylacetamide), dimethyl sulphoxide, 1,3-dimethyl-2-imidazolinone, water and acetic acid, or the reaction can be carried out in mixtures of two or more of these solvents. Acids which can be used for this reaction of deprotecting t-butoxycarbonyl and benzyloxycarbonyl groups are, for example, trifluoroacetic acid, hydrochloric acid or other acids, as described in the literature (for example “ The reaction is usually carried out at temperatures of 0° C.-150° C. and preferably at room temperature, but it can also be carried out at the reflux temperature of the reaction mixture. The reaction time varies depending on the scale of the reaction and the reaction temperature, but is generally between half an hour and 72 hours. After the reaction has ended, the compounds (VIa) are removed from the reaction mixture using one of the customary separation techniques. If required, the compounds are purified by recrystallisation, distillation or chromatography, or they can, if appropriate, also be used for the next step without prior purification. Moreover, it is possible to isolate the compound of the general formula (VIa) as a salt, for example as a salt of hydrochloric acid or trifluoroacetic acid. The intermediates (VIb) can be synthesized from corresponding compounds (VIIb) analogously to the method described above, as shown in Scheme 2. Aldehydes of the formula (VIIa) are commercially available (for example Maybridge) or can be prepared from commercially available precursors by processes described in the literature, for example by the Hantz synthesis. The aldehyde (VIIa) is prepared, for example, from the corresponding methyl or ethyl ester (VIII) by reduction with lithium aluminium hydride in tetrahydrofuran at 0° C., followed by an oxidation of the corresponding alcohol with Dess Martin reagent at room temperature in dichloromethane (see, for example, WO 07/147336 and WO 07/039177 for the reduction with lithium aluminium hydride and Methyl or ethyl esters (VIII) are known and can be prepared from commercially available precursors by procedures described in the literature, for example from nitriles of the formula (IX), carboxylic acids of the formula (X), carbonyl chlorides of the formula (XI), amides of the formula (XII) or thioamides of the formula (XIII) (FIG. 1). A preferred method is the Hantz thiazole synthesis. Starting with (XIII) and commercially available ethyl or methyl halpyruvate in ethanol or in N,N-dimethylformamide in the presence of, for example, triethylamine at room temperature (for examples see WO 07/014290 and the references cited therein). The ketones (VIIb) can be prepared from commercially available precursors by procedures described in the literature. The ketones (VIIb) are prepared, for example, from the corresponding aldehyde (VIIa) by addition of an organometallic reagent R6-M (for example M=Mg, Li), followed by an oxidation of the corresponding alcohol. The ketones (VIIb) are preferably prepared by addition of a Grignard reagent R6—MgX (X═Cl, Br, or I) in tetrahydrofuran at −78° C., under an atmosphere of inert gas (see, for example, WO 07/039177), followed by an oxidation of the corresponding alcohol with Dess Martin reagent at room temperature in dichloromethane (see, for example, WO 07/147336 and WO 07/039177 for the reduction with lithium aluminium hydride and One way of preparing compounds of the formula (IVa) from corresponding compounds (VIa) is shown in Scheme 3. A compound of the general formula (IVa) can be synthesized by a coupling reaction of a compound of the corresponding general formula (VIa) with a substrate of the genral formula (V) where B═Cl, if appropriate in the presence of an acid scavenger/a base. Suitable for use as solvents are all customary solvents which are inert under the reaction conditions, such as, for example, alcohols (for example methanol, ethanol, propanol), cyclic and acyclic ethers (for example diethyl ether, tetrahydrofuran, dioxane), aromatic hydrocarbons (for example benzene, toluene, xylene), halogenated hydrocarbons (for example dichloromethane, chloroform, carbon tetrachloride), halogenated aromatic hydrocarbons (for example chlorobenzene, dichlorobenzene) and nitriles (for example acetonitrile), or the reaction can be carried out in mixtures of two or more of these solvents. The preferred solvents are tetrahydrofuran and dichlormethane. At least one equivalent of an acid scavenger/a base (for example Hünig base, triethylamine or commercial polymeric acid scavengers) is employed, based on the starting material of the genral formula (VIa). If the starting material is a salt, at least two equivalents of the acid scavenger are required. The reaction is usually carried out at temperatures of 0° C.-100° C. and preferably at 20° C.-30° C., but it can also be carried out at the reflux temperature of the reaction mixture. The reaction time varies depending on the scale of the reaction and the reaction temperature, but is generally between a few minutes and 48 hours. After the reaction has ended, the compounds (IVa) are removed from the reaction mixture using one of the customary separation techniques. If required, the compounds are purified by recrystallisation, distillation or chromatography, or they can, if appropriate, also be used for the next step without prior purification. Alternatively, a compound of the formula (IVa) can also be synthesized from the corresponding compound of the general formula (VIa) using a substrate of the general formula (V) where B═OH in the presence of a coupling agent, analogously to the procedures described in the literature (for example Suitable coupling agents are, for example, peptide coupling agents (for example N-(3-dimethylaminopropyl)-N′-ethylcarbodiimide mixed with 4-dimethylaminopyridine, N-(3-dimethylaminopropyl)-N′-ethylcarbodiimide mixed with 1-hydroxybenzotriazole, bromotripyrrolidinophosphonium hexafluorophosphate, O-(7-azabenzotriazol-1-yl)-N,N,N′,N′-tetramethyluronium hexafluorophosphate, etc.) If appropriate, a base, such as, for example, triethylamine or Hiinig base can be employed in the reaction. Suitable for use as solvents are all customary solvents which are inert under the reaction conditions, such as, for example, alcohols (for example methanol, ethanol, propanol), cyclic and acyclic ethers (for example diethyl ether, tetrahydrofuran, dioxane), aromatic hydrocarbons (for example benzene, toluene, xylene), halogenated hydrocarbons (for example dichloromethane, chloroform, carbon tetrachloride), halogenated aromatic hydrocarbons (for example chlorobenzene, dichlorobenzene), nitriles (for example acetonitrile) and amides (for example N,N-dimethylformamide, N,N-dimethylacetamide), or the reaction can be carried out in mixtures of two or more of these solvents. The preferred solvents are N,N-dimethylformamide and dichlormethane. The reaction is usually carried out at temperatures of 0° C.-100° C. and preferably at 0° C.-30° C., but it can also be carried out at the reflux temperature of the reaction mixture. The reaction time varies depending on the scale of the reaction and the reaction temperature, but is generally between a few minutes and 48 hours. After the reaction has ended, the compounds (IVa) are removed from the reaction mixture using one of the customary separation techniques. If required, the compounds are purified by recrystallisation, distillation or chromatography, or they can, if appropriate, also be used for the next step without prior purification. Acid halides (V) (B═halogen) or the corresponding carboxylic acids (V) (B═OH) are commercially available or can be prepared by processes described in the literature. Moreover, a substrate of the general formula (V) where B═Cl can be prepared from the corresponding acid (B═OH) by chlorination using processes known from the literature (for example The intermediates (IVb) can be synthesized from corresponding compounds (VIb) analogously to the method described above, as shown in Scheme 4. One way of preparing compounds of the formula (I) in which Y represents oxygen from corresponding compounds (IVa) is shown in Scheme 5. A compound of the general formula (I) can be synthesized by a condensation reaction of a compound of the corresponding general formula (IVa) with a substrate of the general formula (II) or (III), if appropriate in the presence of an acid, an acid scavenger/a base or a basic ion exchanger. If appropriate, an acid such as, for example, hydrochloric acid or a base such as, for example, triethylamine, Hünig base or a basic ion exchanger such as, for example, Amberlyst A21 can be employed in the reaction. Suitable for use as solvents are all customary solvents which are inert under the reaction conditions, such as, for example, alcohols (for example methanol, ethanol, propanol), cyclic and acyclic ethers (for example diethyl ether, tetrahydrofuran, dioxane), aromatic hydrocarbons (for example benzene, toluene, xylene), halogenated hydrocarbons (for example dichloromethane, chloroform, carbon tetrachloride), halogenated aromatic hydrocarbons (for example chlorobenzene, dichlorobenzene), nitriles (for example acetonitrile) and amides (for example N,N-dimethylformamide, N,N-dimethylacetamide), or the reaction can be carried out in mixtures of two or more of these solvents. The preferred solvent is ethanol. The reaction is usually carried out at temperatures of 0° C.-100° C. and preferably at 0° C.-30° C., but it can also be carried out at the reflux temperature of the reaction mixture. The reaction time varies depending on the scale of the reaction and the reaction temperature, but is generally between a few minutes and 48 hours. After the reaction has ended, the compounds (1) are removed from the reaction mixture using one of the customary separation techniques. If required, the compounds are purified by recrystallisation, distillation or chromatography, or they can, if appropriate, also be used for the next step without prior purification. Oximes (II) and hydrazines (Ill) or the corresponding salts of hydrochloric acids are commercially available or can be prepared by processes described in the literature (see, for example, The compounds (I) in which Y represents oxygen can be synthesized from corresponding compounds (IVb) analogously to the method described above, as shown in Scheme 6. One way of preparing compounds of the formula (I) in which Y=sulphur from the corresponding compounds (I) in which Y represents oxygen is shown in Scheme 7. Suitable for use as solvents are all customary solvents which are inert under the reaction conditions, such as, for example, alcohols (for example methanol, ethanol, propanol), cyclic and acyclic ethers (for example diethyl ether, tetrahydrofuran, dioxane), aromatic hydrocarbons (for example benzene, toluene, xylene), halogenated hydrocarbons (for example dichloromethane, chloroform, carbon tetrachloride), halogenated aromatic hydrocarbons (for example chlorobenzene, dichlorobenzene), nitriles (for example acetonitrile), carboxylic esters (for example ethyl acetate) and amides (for example N,N-dimethylformamide, N,N-dimethylacetamide), and the reaction can be carried out in mixtures of two or more of these solvents. The preferred solvents are chloroform and 1,2-dimethoxyethane. Suitable sulphurizing agents are, for example, Lawesson's reagent (see The reaction is usually carried out at temperatures of 0° C.-150° C. and preferably at 0° C.-100° C., but it can also be carried out at the reflux temperature of the reaction mixture. The reaction time varies depending on the scale of the reaction and the reaction temperature, but is generally between a few minutes and 48 hours. After the reaction has ended, the compounds (I) are removed from the reaction mixture using one of the customary separation techniques. If required, the compounds are purified by recrystallisation, distillation or chromatography. The compound (IVa-1) is novel. Compounds of the formula (VIb) in which Compounds of the formula (IVb) in which The processes according to the invention for preparing the compounds of the formula (I) are preferably carried out using one or more reaction auxiliaries. Suitable reaction auxiliaries are, if appropriate, the customary inorganic or organic bases or acid acceptors. These preferably include alkali metal or alkaline earth metal acetates, amides, carbonates, bicarbonates, hydrides, hydroxides or alkoxides, such as for example, sodium acetate, potassium acetate or calcium acetate, lithium amide, sodium amide, potassium amide or calcium amide, sodium carbonate, potassium carbonate or calcium carbonate, sodium bicarbonate, potassium bicarbonate or calcium bicarbonate, lithium hydride, sodium hydride, potassium hydride or calcium hydride, lithium hydroxide, sodium hydroxide, potassium hydroxide or calcium hydroxide, sodium methoxide, ethoxide, n- or isopropoxide, n-, iso-, s- or t-butoxide, or potassium methoxide, ethoxide, n- or isopropoxide, n-, iso-, s- or t-butoxide, furthermore also basic organic nitrogen compounds, such as, for example, trimethylamine, triethylamine, tripropylamine, tributyl-amine, ethyldiisopropylamine, N,N-dimethylcyclohexylamine, dicyclohexylamine, ethyldicyclohexylamine, N,N-dimethylaniline, N,N-dimethylbenzylamine, pyridine, 2-methyl-, 3-methyl-, 4-methyl-, 2,4-dimethyl-, 2,6-dimethyl-, 3,4-dimethyl- and 3,5-dimethylpyridine, 5-ethyl-2-methylpyridine, 4-dimethylaminopyridine, N-methylpiperidine, 1,4-diazabicyclo[2.2.2]-octane (DABCO), 1,5-diazabicyclo[4.3.0]-non-5-ene (DBN), or 1,8-diazabicyclo[5.4.0]-undec-7-ene (DBU). The processes according to the invention are preferably carried out using one or more diluents. Suitable diluents are virtually all inert organic solvents. These preferably include aliphatic and aromatic, optionally halogenated hydrocarbons, such as pentane, hexane, heptane, cyclohexane, petroleum ether, benzine, ligroine, benzene, toluene, xylene, methylene chloride, ethylene chloride, chloroform, carbon tetrachloride, chlorobenzene and o-dichlorbenzene, ethers, such as diethyl ether and dibutyl ether, glycol dimethyl ether and diglycol dimethyl ether, tetrahydrofuran and dioxane, ketones, such as acetone, methyl ethyl ketone, methyl isopropyl ketone or methyl isobutyl ketone, esters, such as methyl acetate or ethyl acetate, nitriles, such as, for example acetonitrile or propionitrile, amides, such as, for example, dimethylformamide, dimethylacetamide and N-methyl-pyrrolidone, and also dimethyl sulphoxide, tetramethylene sulphone and hexamethylphosphoric triamide and DMPU. In the processes according to the invention, the reaction temperatures can be varied within a relatively wide range. In general, the processes are carried out at temperatures between 0° C. and 250° C., preferably at temperatures between 10° C. and 185° C. The processes according to the invention are generally carried out under atmospheric pressure. However, it is also possible to operate under elevated or reduced pressure. To carry out the processes according to the invention, the starting materials required in each case are generally employed in approximately equimolar amounts. However, it is also possible to use a relatively large excess of in each case one of the components used. Work-up in the processes according to the invention is in each case carried out by customary methods (cf. the Preparation Examples). The invention furthermore provides the non-medicinal use of the thiazolyl oxime ethers and hydrazones according to the invention for controlling unwanted microorganisms. The invention furthermore relates to a composition for controlling unwanted microorganisms which comprises at least one heterocyclyl-substituted thiazole according to the present invention. Moreover, the invention relates to a method for controlling unwanted microorganisms, characterized in that the thiazolyl oxime ethers and hydrazones according to the invention are applied to the microorganisms and/or in their habitat. The invention furthermore relates to a seed treated with at least one heterocyclyl-substituted thiazole according to the invention. A last subject-matter of the invention relates to a method for protecting seed against unwanted microorganisms by using seed treated with at least one heterocyclyl-substituted thiazole according to the present invention. The compounds according to the invention have strong microbicidal action and can be used for controlling unwanted microorganisms, such as fungi and bacteria, in crop protection and in the protection of materials. The thiazolyl oxime ethers and hydrazones of the formula (I) according to the invention have very good fungicidal properties and can be used in crop protection, for example, for controlling Plasmodiophoromycetes, Oomycetes, Chytridiomycetes, Zygomycetes, Ascomycetes, Basidiomycetes and Deuteromycetes. In crop protection, bactericides can be used for controlling, for example, Pseudomonadaceae, Rhizobiaceae, Enterobacteriaceae, Corynebacteriaceae and Streptomycetaceae. The fungicidal compositions according to the invention can be used for the curative or protective control of phytopathogenic fungi. Accordingly, the invention also relates to curative and protective methods for controlling phytopathogenic fungi using the active compounds or compositions according to the invention, which are applied to the seed, the plant or plant parts, the fruit or the soil in which the plants grow. The compositions according to the invention for controlling phytopathogenic fungi in crop protection comprise an effective, but non-phytotoxic amount of the active compounds according to the invention. “Effective, but non-phytotoxic amount” means an amount of the composition according to the invention which is sufficient to control the fungal disease of the plant in a satisfactory manner or to eradicate the fungal disease completely, and which, at the same time, does not cause any significant symptoms of phytotoxicity. In general, this application rate may vary within a relatively wide range. It depends on a plurality of factors, for example on the fungus to be controlled, the plant, the climatic conditions and the ingredients of the compositions according to the invention. According to the invention, it is possible to treat all plants and parts of plants. Plants are to be understood here as meaning all plants and plant populations, such as wanted and unwanted wild plants or crop plants (including naturally occurring crop plants). Crop plants can be plants which can be obtained by conventional breeding and optimization methods or by biotechnological and genetic engineering methods or combinations of these methods, including the transgenic plants and including plant cultivars which can or cannot be protected by varietal property rights. Parts of plants are to be understood as meaning all above-ground and below-ground parts and organs of the plants, such as shoot, leaf, flower and root, examples which may be mentioned being leaves, needles, stems, trunks, flowers, fruit bodies, fruits and seeds and also roots, tubers and rhizomes. Plant parts also include harvested material and vegetative and generative propagation material, for example seedlings, tubers, rhizomes, cuttings and seeds. The following plants may be mentioned as plants which can be treated according to the invention: cotton, flax, grapevines, fruit, vegetables, such as Rosaceae sp. (for example pomaceous fruit, such as apples and pears, but also stone fruit, such as apricots, cherries, almonds and peaches and soft fruit such as strawberries), Ribesioidae sp., Juglandaceae sp., Betulaceae sp., Anacardiaceae sp., Fagaceae sp., Moraceae sp., Oleaceae sp., Actinidaceae sp., Lauraceae sp., Musaceae sp. (for example banana trees and plantations), Rubiaceae sp. (for example coffee), Theaceae sp., Sterculiceae sp., Rutaceae sp. (for example lemons, oranges and grapefruit), Solanaceae sp. (for example tomatoes), Liliaceae sp., Asteraceae sp. (for example lettuce), Umbelliferae sp., Cruciferae sp., Chenopodiaceae sp., Cucurbitaceae sp. (for example cucumbers), Alliaceae sp. (for example leek, onions), Papilionaceae sp. (for example peas); major crop plants, such Gramineae sp. (for example maize, lawn, cereals such as wheat, rye, rice, barley, oats, millet and triticale), Asteraceae sp. (for example sunflowers), Brassicaceae sp. (for example white cabbage, red cabbage, broccoli, cauliflowers, brussels sprouts, pak Choi, kohlrabi, garden radish, and also oilseed rape, mustard, horseradish and cress), Fabacae sp. (for example beans, peanuts), Papilionaceae sp. (for example soya beans), Solanaceae sp. (for example potatoes), Chenopodiaceae sp. (for example sugarbeet, fodderbeet, swiss chard, beetroot); crop plants and ornamental plants in garden and forest; and also in each case genetically modified varieties of these plants. Some pathogens of fungal diseases which can be treated according to the invention may be mentioned by way of example, but not by way of limitation: Diseases caused by powdery mildew pathogens, such as, for example, Diseases caused by rust disease pathogens, such as, for example, Diseases caused by pathogens from the group of the Oomycetes, such as, for example, Leaf blotch diseases and leaf wilt diseases caused, for example, by Root and stem diseases caused, for example, by Ear and panicle diseases (including maize cobs) caused, for example, by Diseases caused by smut fungi, such as, for example, Fruit rot caused, for example, by Seed- and soil-borne rot and wilt diseases, and also diseases of seedlings, caused, for example, by Cancerous diseases, galls and witches' broom caused, for example, by Wilt diseases caused, for example, by Deformations of leaves, flowers and fruits caused, for example, by Degenerative diseases of woody plants caused, for example, by Diseases of flowers and seeds caused, for example, by Diseases of plant tubers caused, for example, by Diseases caused by bacterial pathogens, such as, for example, Preference is given to controlling the following diseases of soya beans: Fungal diseases on leaves, stems, pods and seeds caused, for example, by alternaria leaf spot ( Fungal diseases on roots and the stem base caused, for example, by black root rot ( The active compounds according to the invention also show a strong invigorating action in plants. Accordingly, they are suitable for mobilizing the internal defences of the plant against attack by unwanted microorganisms. In the present context, plant-invigorating (resistance-inducing) substances are to be understood as meaning substances which are capable of stimulating the defence system of plants such that, when the treated plants are subsequently inoculated with unwanted microorganisms, they display substantial resistance to these microorganisms. In the present case, undesired microorganisms are understood as meaning phytopathogenic fungi and bacteria. Thus, the substances according to the invention can be employed for protecting plants against attack by the abovementioned pathogens within a certain period of time after the treatment. The period of time within which their protection is effected is generally extended from 1 to 10 days, preferably 1 to 7 days, after the plants have been treated with the active compounds. The fact that the active compounds, at the concentrations required for the controlling of plant diseases, are well tolerated by plants permits the treatment of above-ground plant parts, of vegetative propagation material and seed, and of the soil. In this context, the active compounds according to the invention can be employed particularly successfully for controlling diseases in viticulture and in the cultivation of fruit, potatoes and vegetables, such as, for example, in particular against downy mildew fungi, Oomycetes, such as, for example, The active compounds according to the invention are also suitable for increasing the yield. Moreover, they display a low degree of toxicity and are well tolerated by plants. If appropriate, the compounds according to the invention can, at certain concentrations or application rates, also be used as herbicides, safeners, growth regulators or agents to improve plant properties, or as microbicides, for example as fungicides, antimycotics, bactericides, viricides (including agents against viroids) or as agents against MLO (Mycoplasma-like organisms) and RLO (Rickettsia-like organisms). If appropriate, they can also be employed as insecticides. If appropriate, they can also be employed as intermediates or precursors for the synthesis of other active compounds. The active compounds according to the invention, in combination with good plant tolerance and favourable toxicity to warm-blooded animals and being tolerated well by the environment, are suitable for protecting plants and plant organs, for increasing harvest yields and for improving the quality of harvested material in agriculture, in horticulture, in animal husbandry, in forests, in gardens and leisure facilities, in the protection of stored products and of materials, and in the hygiene sector. They are preferably employed as crop protection agents. They are active against normally sensitive and resistant species and against all or some stages of development. The treatment according to the invention of the plants and plant parts with the active compounds or compositions is carried out directly or by action on their surroundings, habitat or storage space using customary treatment methods, for example by dipping, spraying, atomizing, irrigating, evaporating, dusting, fogging, broadcasting, foaming, painting, spreading-on, watering (drenching), drip irrigating and, in the case of propagation material, in particular in the case of seeds, furthermore as a powder for dry seed treatment, a solution for wet seed treatment, a water-soluble powder for slurry treatment, by encrusting, by coating with one or more coats, etc. It is furthermore possible to apply the active compounds by the ultra-low-volume method or to inject the active compound preparation or the active compound itself into the soil. In the protection of materials, the compositions or active compounds according to the invention can furthermore be employed for protecting industrial materials against attack and destruction by unwanted microorganisms, such as, for example, fungi. In the present context, industrial materials are understood as meaning nonliving materials which have been made for use in technology. For example, industrial materials which are to be protected by active compounds according to the invention from microbial modification or destruction can be glues, sizes, paper and board, textiles, leather, timber, paints and plastic articles, cooling lubricants and other materials which are capable of being attacked or destroyed by microorganisms. Parts of production plants, for example cooling-water circuits, which can be adversely affected by the multiplication of microorganisms may also be mentioned within the materials to be protected. Industrial materials which may be mentioned with preference for the purposes of the present invention are glues, sizes, paper and board, leather, timber, paints, cooling lubricants and heat-transfer fluids, especially preferably timber. The compositions or active compounds according to the invention can prevent disadvantageous effects such as rotting, decay, discoloration, decoloration or the formation of mould. The method according to the invention for controlling unwanted fungi can also be employed for protecting storage goods. Here, storage goods are to be understood as meaning natural substances of vegetable or animal origin or process products thereof of natural origin, for which long-term protection is desired. Storage goods of vegetable origin, such as, for example, plants or plant parts, such as stems, leaves, tubers, seeds, fruits, grains, can be protected freshly harvested or after processing by (pre)drying, moistening, comminuting, grinding, pressing or roasting. Storage goods also include timber, both unprocessed, such as construction timber, electricity poles and barriers, or in the form of finished products, such as furniture. Storage goods of animal origin are, for example, hides, leather, furs and hairs. The active compounds according to the invention can prevent disadvantageous effects, such as rotting, decay, discoloration, decoloration or the formation of mould. Microorganisms capable of degrading or changing the industrial materials which may be mentioned are, for example, bacteria, fungi, yeasts, algae and slime organisms. The active compounds according to the invention preferably act against fungi, in particular moulds, wood-discoloring and wood-destroying fungi ( The present invention furthermore relates to a composition for controlling unwanted microorganisms comprising at least one of the thiazolyl oxime ethers and hydrazones according to the invention. These are preferably fungicidal compositions comprising auxiliaries, solvents, carriers, surfactants or extenders suitable for use in agriculture. According to the invention, a carrier is a natural or synthetic, organic or inorganic substance with which the active compounds are mixed or bonded for better applicability, in particular for application to plants or parts of plants or seed. The carrier, which may be solid or liquid, is generally inert and should be suitable for use in agriculture. Suitable solid carriers are: for example ammonium salts and ground natural minerals, such as kaolins, clays, talc, chalk, quartz, attapulgite, montmorillonite or diatomaceous earth, and ground synthetic minerals, such as finely divided silica, alumina and silicates; suitable solid carriers for granules are: for example crushed and fractionated natural rocks, such as calcite, marble, pumice, sepiolite and dolomite, and also synthetic granules of inorganic and organic meals, and granules of organic material, such as paper, sawdust, coconut shells, maize cobs and tobacco stalks; suitable emulsifiers and/or foam-formers are: for example nonionic and anionic emulsifiers, such as polyoxyethylene fatty acid esters, polyoxyethylene fatty alcohol ethers, for example alkylaryl polyglycol ethers, alkylsulphonates, alkyl sulphates, arylsulphonates and also protein hydrolysates; suitable dispersants are nonionic and/or ionic substances, for example from the classes of the alcohol/POE and/or POP ethers, acid and/or POP/POE esters, alkylaryl and/or POP/POE ethers, fat and/or POP/POE adducts, POE and/or POP polyol derivatives, POE and/or POP/sorbitan or sugar adducts, alkyl or aryl sulphates, sulphonates and phosphates, or the corresponding PO ether adducts. Furthermore suitable oligo- or polymers, for example those derived from vinylic monomers, from acrylic acid, from EO and/or PO alone or in combination with, for example, (poly)alcohols or (poly)amines. It is also possible to employ lignin and its sulphonic acid derivatives, unmodified and modified celluloses, aromatic and/or aliphatic sulphonic acids and their adducts with formaldehyde. The active compounds can be converted to the customary formulations, such as solutions, emulsions; wettable powders, water- and oil-based suspensions, powders, dusts, pastes, soluble powders, soluble granules, granules for broadcasting, suspension-emulsion concentrates, natural materials impregnated with active compound, synthetic materials impregnated with active compound, fertilizers and also microencapsulations in polymeric substances. The active compounds can be used as such, in the form of their formulations or the use forms prepared therefrom, such as ready-to-use solutions, emulsions, water- or oil-based suspensions, powders, wettable powders, pastes, soluble powders, dusts, soluble granules, granules for broadcasting, suspension-emulsion concentrates, natural materials impregnated with active compound, synthetic materials impregnated with active compound, fertilizers and also microencapsulations in polymeric substances. Application is carried out in a customary manner, for example by pouring, spraying, atomizing, broadcasting, dusting, foaming, painting-on, etc. It is furthermore possible to apply the active compounds by the ultra-low-volume method or to inject the preparation of active compound or the active compound itself into the soil. It is also possible to treat the seed of the plants. The formulations mentioned can be prepared in a manner known per se, for example by mixing the active compounds with at least one customary extender, solvent or diluent, emulsifier, dispersant and/or binder or fixative, wetting agent, water repellant, if appropriate siccatives and UV stabilizers and if appropriate colorants and pigments, antifoams, preservatives, secondary thickeners, glues, gibberellins and other processing auxiliaries. The compositions according to the invention include not only formulations which are already ready to use and can be applied to the plant or the seed using a suitable apparatus, but also commercial concentrates which have to be diluted with water prior to use. The active compounds according to the invention can be present as such or in their (commercial) formulations and also in the use forms prepared from these formulations as a mixture with other (known) active compounds, such as insecticides, attractants, sterilants, bactericides, acaricides, nematicides, fungicides, growth regulators, herbicides, fertilizers, safeners and/or semiochemicals. Suitable for use as auxiliaries are substances which are suitable for imparting to the composition itself and/or to preparations derived therefrom (for example spray liquors, seed dressings) particular properties such as certain technical properties and/or also particular biological properties. Typical suitable auxiliaries are: extenders, solvents and carriers. Suitable extenders are, for example, water, polar and nonpolar organic chemical liquids, for example from the classes of the aromatic and non-aromatic hydrocarbons (such as paraffins, alkylbenzenes, alkylnaphthalenes, chlorobenzenes), the alcohols and polyols (which, if appropriate, may also be substituted, etherified and/or esterified), the ketones (such as acetone, cyclohexanone), esters (including fats and oils) and (poly)ethers, the unsubstituted and substituted amines, amides, lactams (such as N-alkylpyrrolidones) and lactones, the sulphones and sulphoxides (such as dimethyl sulphoxide). Liquefied gaseous extenders or carriers are liquids which are gaseous at ambient temperature and under atmospheric pressure, for example aerosol propellants, such as halogenated hydrocarbons, and also butane, propane, nitrogen and carbon dioxide. Tackifiers, such as carboxymethylcellulose and natural and synthetic polymers in the form of powders, granules and latices, such as gum arabic, polyvinyl alcohol, polyvinyl acetate, or else natural phospholipids, such as cephalins and lecithins and synthetic phospholipids can be used in the formulations. Other possible additives are mineral and vegetable oils. If the extender used is water, it is also possible to use, for example, organic solvents as auxiliary solvents. Suitable liquid solvents are essentially: aromatic compounds, such as xylene, toluene or alkylnaphthalenes, chlorinated aromatic compounds or chlorinated aliphatic hydrocarbons, such as chlorobenzenes, chloroethylenes or methylene chloride, aliphatic hydrocarbons, such as cyclohexane or paraffins, for example mineral oil fractions, alcohols, such as butanol or glycol, and also ethers and esters thereof, ketones, such as acetone, methyl ethyl ketone, methyl isobutyl ketone or cyclohexanone, strongly polar solvents, such as dimethylformamide and dimethyl sulphoxide, and also water. The compositions according to the invention may additionally comprise further components, such as, for example, surfactants. Suitable surfactants are emulsifiers and/or foam-formers, dispersants or wetting agents having ionic or nonionic properties, or mixtures of these surfactants. Examples of these are salts of polyacrylic acid, salts of lignosulphonic acid, salts of phenolsulphonic acid or naphthalenesulphonic acid, polycondensates of ethylene oxide with fatty alcohols or with fatty acids or with fatty amines, substituted phenols (preferably alkylphenols or arylphenols), salts of sulphosuccinic esters, taurine derivatives (preferably alkyl taurates), phosphoric esters of polyethoxylated alcohols or phenols, fatty esters of polyols, and derivatives of the compounds containing sulphates, sulphonates and phosphates, for example alkylaryl polyglycol ethers, alkylsulphonates, alkyl sulphates, arylsulphonates, protein hydrolysates, lignosulphite waste liquors and methylcellulose. The presence of a surfactant is required if one of the active compounds and/or one of the inert carriers is insoluble in water and the application is carried out in water. The proportion of surfactants is between 5 and 40 per cent by weight of the composition according to the invention. It is possible to use colorants such as inorganic pigments, for example iron oxide, titanium oxide, Prussian blue, and organic dyes, such as alizarin dyes, azo dyes and metal phthalocyanine dyes, and trace nutrients, such as salts of iron, manganese, boron, copper, cobalt, molybdenum and zinc. Other possible additives are perfumes, mineral or vegetable oils, if appropriate modified, waxes and nutrients (including trace nutrients), such as salts of iron, manganese, boron, copper, cobalt, molybdenum and zinc. Stabilizers, such as low-temperature stabilizers, preservatives, antioxidants, light stabilizers or other agents which improve chemical and/or physical stability may also be present. If appropriate, it is also possible for other additional components to be present, for example protective colloids, binders, glues, thickeners, thixotropic agents, penetrants, stabilizers, sequestrants, complex fomers. In general, the active compounds can be combined with any solid or liquid additive customarily used for formulation purposes. The formulations generally comprise between 0.05 and 99% by weight, 0.01 and 98% by weight, preferably between 0.1 and 95% by weight, particularly preferably between 0.5 and 90% by weight, of active compound, very particularly preferably between 10 and 70 per cent by weight. The formulations described above can be employed in a method according to the invention for controlling unwanted microorganisms where the thiazolyl oxime ethers and hydrazones according to the invention are applied to the microorganisms and/or their habitat. The active compounds according to the invention, as such or in their formulations, can also be used in a mixture with known fungicides, bactericides, acaricides, nematicides or insecticides, for example to broaden the activity spectrum or to prevent the development of resistance. Suitable mixing partners are, for example, known fungicides, insecticides, acaricides, nematicides or else bactericides (see also Pesticide Manual, 13th ed.). A mixture with other known active compounds, such as herbicides, or with fertilizers and growth regulators, safeners and/or semiochemicals is also possible. Application is carried out in a manner adapted to the use forms. The invention furthermore comprises a method for treating seed. A further aspect of the present invention relates in particular to seed treated with at least one of the thiazolyl oxime ethers and hydrazones according to the invention. The seed according to the invention is used in methods for protecting seed against phytopathogenic harmful fungi. In these methods, seed treated with at least one active compound according to the invention is used. The compositions and active compounds according to the invention are also suitable for treating seed. A large part of the damage to crop plants which is caused by harmful organisms occurs when the seed is attacked during storage or after the seed is introduced into the soil, and also during and after germination of the plant. This phase is particularly critical since the roots and shoots of the growing plant are particularly sensitive and even minor damage can lead to the death of the plant. Protecting the seed and the germinating plant by the use of suitable compositions is therefore of great interest. The control of phytopathogenic harmful fungi by treating the seed of plants has been known for a long time and is subject-matter of continuous improvements. However, in the treatment of seed, a number of problems are encountered which can not always by resolved in a satisfactory manner. Thus, it is desirable to develop methods for protecting the seed and the germinating plant which dispense with the additional application of crop protection agents after sowing or after the emergence of the plants or where additional applications are at least significantly reduced. It is furthermore desirable to optimize the amount of active compound employed in such a way as to provide maximum protection for the seed and the germinating plant from attack by phytopathogenic fungi, but without damaging the plant itself by the active compound employed. In particular, methods for the treatment of seed should also take into consideration the intrinsic fungicidal properties of transgenic plants in order to achieve optimum protection of the seed and the germinating plant with a minimum of crop protection agents being employed. The present invention therefore also relates to a method for the protection of seed and germinating plants from attack by animal pests and/or phytopathogenic harmful fungi, by treating the seed with a composition according to the invention. The invention likewise relates to the use of the compositions according to the invention for the treatment of seed for protecting the seed and the germinating plant from phytopathogenic fungi. Furthermore, the invention relates to seed which has been treated with a composition according to the invention so as to afford protection from phytopathogenic fungi. Animal pests and/or phytopathogenic harmful fungi which damage the plant after emergence are primarily controlled by treating the soil and the above-ground parts of the plants with crop protection agents. Owing to concerns with regard to a possible impact of the crop protection agents on the environment and human and animal health, there are efforts to reduce the amount of active compounds applied. One of the advantages of the present invention is that the particular systemic properties of the compositions according to the invention mean that treatment of the seed with these compositions not only protects the seed itself, but also the resulting plants after emergence, from animal pests and/or phytopathogenic harmful fungi. In this manner, the immediate treatment of the crop at the time of sowing or shortly thereafter can be dispensed with. It is also to be considered advantageous that the compositions and active compounds according to the invention can be used in particular also for transgenic seed, where the plant growing from this seed is capable of expressing a protein which acts against pests. By treating such a seed with the compositions and active compounds according to the invention, is is possible to control certain pests even by the expression of the, for example, insecticidal protein. Surprisingly, a further synergistic effect may be observed here, which further improves the effectiveness of the protection against attack by pests. The compositions according to the invention are suitable for protecting seed of any plant variety which is employed in agriculture, in the greenhouse, in forests or in horticulture. In particular, this takes the form of seed of cereals (such as wheat, barley, rye, millet and oats), maize, cotton, soya beans, rice, potatoes, sunflowers, beans, coffee, beet (for example sugar beet and fodder beet), peanuts, vegetables (such as tomatoes, cucumbers, onions and lettuce), lawns and ornamental plants. The treatment of seed of cereals (such as wheat, barley, rye and oats), maize and rice is of particular importance. As also described below, the treatment of transgenic seed with the compositions or active compounds according to the invention is of particular importance. This takes the form of seed of plants which comprise at least one heterologous gene which enables the expression of a polypeptide or protein with insecticidal properties. The heterologous gene in transgenic seed may be derived, for example, from microorganisms of the species In the context of the present invention, the composition according to the invention is applied to the seed either alone or in a suitable formulation. Preferably, the seed is treated in a state which is stable enough to avoid damage during treatment. In general, the seed may be treated at any point in time between harvest and sowing. The seed usually used has been separated from the plant and freed from cobs, shells, stalks, coats, hairs or the flesh of the fruits. Thus, for example, it is possible to use seed which has been harvested, cleaned and dried to a moisture content of below 15% by weight. Alternatively, it is also possible to use seed which, after drying, has, for example, been treated with water and then dried again. When treating the seed, care must generally be taken that the amount of the composition according to the invention applied to the seed and/or the amount of further additives is chosen in such a way that the germination of the seed is not adversely affected, or that the resulting plant is not damaged. This must be borne in mind in particular in the case of active compounds which may have phytotoxic effects at certain application rates. The compositions according to the invention can be applied directly, that is to say without comprising further components and without having been diluted. In general, it is preferable to apply the composition to the seed in the form of a suitable formulation. Suitable formulations and methods for the treatment of seed are known to the skilled worker and are described, for example, in the following documents: U.S. Pat. No. 4,272,417 A, U.S. Pat. No. 4,245,432 A, U.S. Pat. No. 4,808,430 A, U.S. Pat. No. 5,876,739 A, US 2003/0176428 A1, WO 2002/080675 A1, WO 2002/028186 A2. The active compound which can be used according to the invention can be converted into customary seed dressing formulations, such as solutions, emulsions, suspensions, powders, foams, slurries or other coating materials for seed, and also ULV formulations. These formulations are prepared in a known manner by mixing the active compounds or active compound combinations with customary additives, such as, for example, customary extenders and also solvents or diluents, colorants, wetting agents, dispersants, emulsifiers, defoamers, preservatives, secondary thickeners, adhesives, gibberellins and also water. Suitable colorants that may be present in the seed dressing formulations which can be used according to the invention include all colorants customary for such purposes. Use may be made both of pigments, of sparing solubility in water, and of dyes, which are soluble in water. Examples that may be mentioned include the colorants known under the designations rhodamine B, C.I. Pigment Red 112, and C.I. Solvent Red 1. Suitable wetting agents that may be present in the seed dressing formulations which can be used according to the invention include all substances which promote wetting and are customary in the formulation of active agrochemical compounds. With preference it is possible to use alkylnaphthalene-sulphonates, such as diisopropyl- or diisobutylnaphthalenesulphonates. Suitable dispersants and/or emulsifiers that may be present in the seed dressing formulations which can be used according to the invention include all nonionic, anionic, and cationic dispersants which are customary in the formulation of active agrochemical compounds. With preference, it is possible to use nonionic or anionic dispersants or mixtures of nonionic or anionic dispersants. Particularly suitable nonionic dispersants are ethylene oxide-propylene oxide block polymers, alkylphenol polyglycol ethers, and tristyrylphenol polyglycol ethers, and their phosphated or sulphated derivatives. Particularly suitable anionic dispersants are lignosulphonates, polyacrylic salts, and arylsulphonate-formaldehyde condensates. Suitable defoamers that may be present in the seed dressing formulations which can be used according to the invention include all foam-inhibiting substances which are customary in the formulation of active agrochemical compounds. With preference it is possible to use silicone defoamers and magnesium stearate. Suitable preservatives that may be present in the seed dressing formulations which can be used according to the invention include all substances which can be used for such purposes in agrochemical compositions. By way of example, mention may be made of dichlorophen and benzyl alcohol hemiformal. Suitable secondary thickeners that may be present in the seed dressing formulations which can be used according to the invention include all substances which can be used for such purposes in agrochemical compositions. Preferred suitability is possessed by cellulose derivatives, acrylic acid derivatives, xanthan, modified clays, and finely divided silica. Suitable adhesives that may be present in the seed dressing formulations which can be used according to the invention include all customary binders which can be used in seed dressing. With preference, mention may be made of polyvinylpyrrolidone, polyvinyl acetate, polyvinyl alcohol and tylose. Suitable gibberellins that may be present in the seed dressing formulations which can be used according to the invention are preferably the gibberellins A1, A3 (=gibberellinic acid), A4 and A7; particularly preferably, gibberellinic acid is used. The gibberellins are known (cf. R. Wegler “Chemie der Pflanzenschutz- and Schädlingsbekämpfungsmittel”, Vol. 2, Springer Verlag, 1970, pp. 401-412). The seed dressing formulations which can be used according to the invention may be used either directly or after dilution with water beforehand to treat seed of any of a very wide variety of types. For instance, the concentrates or the preparations obtainable therefrom by dilution with water may be used to dress the seed of cereals, such as wheat, barley, rye, oats, and triticale, and also the seed of maize, rice, oilseed rape, peas, field beans, cotton, sunflowers, and beets, or else vegetable seed of any of a very wide variety of kinds. The seed dressing formulations which can be used according to the invention or their dilute preparations may also be used to dress seed of transgenic plants. In this context, additional synergistic effects may also arise in interaction with the substances formed by expression. Suitable mixing equipment for treating seed with the seed dressing formulations which can be used according to the invention or the preparations prepared from them by adding water includes all mixing equipment which can commonly be used for dressing. The specific procedure adopted when dressing comprises introducing the seed into a mixer, adding the particular desired amount of seed dressing formulation, either as it is or following dilution with water beforehand, and carrying out mixing until the formulation is uniformly distributed on the seed. Optionally, a drying operation follows. The application rate of the seed dressing formulations which can be used according to the invention may be varied within a relatively wide range. It depends on the respective content of the active compounds in the formulations and on the seed. In general, the application rates of active compound combination are between 0.001 and 50 g per kilogram of seed, preferably between 0.01 and 15 g per kilogram of seed. In addition, the compounds of the formula (1) according to the invention also have very good antimycotic activity. They have a very broad antimycotic activity spectrum in particular against dermatophytes and yeasts, moulds and diphasic fungi (for example against Accordingly, the active compounds of the formula (1) according to the invention can be used both in medical and in non-medical applications. The active compounds can be applied as such, in the form of their formulations or the use forms prepared therefrom, such as ready-to-use solutions, suspensions, wettable powders, pastes, soluble powders, dusts and granules. Application is carried out in a customary manner, for example by watering, spraying, atomizing, broadcasting, dusting, foaming, painting-on, etc. It is also possible to apply the active compounds by the ultra-low-volume method or to inject the preparation of active compound or the active compound itself into the soil. It is also possible to treat the seed of the plants. When using the active compounds according to the invention as fungicides, the application rates can be varied within a relatively wide range, depending on the type of application. The application rate of the active compounds according to the invention is
These application rates are mentioned only in an exemplary manner and are not limiting for the purpose of the invention. In the veterinary sector and in animal keeping, the active compounds according to the invention are applied in the known manner by enteral administration in the form of, for example, tablets, capsules, drinks, drenches, granules, pastes, boluses, the feed-through method, suppositories, by parenteral administration, such as, for example, by injections (intramuscular, subcutaneous, intravenous, intraperitoneal and the like), implants, by nasal application, by dermal application in the form of, for example, bathing or dipping, spraying, pouring-on and spotting-on, washing, dusting, and with the aid of active-compound-comprising shaped articles such as collars, ear tags, tail tags, limb bands, halters, marking devices and the like. When used for livestock, poultry, domestic animals and the like, the active compounds of the formula (I) can be applied as formulations (for example powders, emulsions, flowables) which comprise the active compounds in an amount of from 1 to 80% by weight, either directly or after 100- to 10 000-fold dilution, or else as a chemical bath. If appropriate, the ready-to-use compositions may comprise further insecticides and, if appropriate, one or more further fungicides. With respect to possible additional mixing partners, reference is made to the insecticides and fungicides mentioned above. The compounds according to the invention can also be used for protecting objects which come into contact with salt water or brackish water, such as hulls, screens, nets, buildings, moorings and signalling systems, against colonization. The compounds according to the invention, alone or in combination with other active compounds, can furthermore be employed as antifouling agents. The treatment method according to the invention can be used for treating genetically modified organisms (GMOs), for example plants or seeds. Genetically modified plants (or transgenic plants) are plants in which a heterologous gene has been stably integrated into the genome. The expression “heterologous gene” essentially means a gene which is provided or assembled outside the plant and when introduced in the nuclear, chloroplastic or mitochondrial genome gives the transformed plant new or improved agronomic or other properties by expressing a protein or polypeptide of interest or by downregulating or silencing other gene(s) which is/are present in the plant (using for example, antisense technology, cosuppression technology or RNA interference (RNAi) technology. A heterologous gene that is located in the genome is also called a transgene. A transgene that is defined by its particular location in the plant genome is called a transformation or transgenic event. Depending on the plant species or plant cultivars, their location and growth conditions (soils, climate, vegetation period, diet), the treatment according to the invention may also result in superadditive (“synergistic”) effects. Thus, for example, the following effects, which exceed the effects which were actually to be expected, are possible: reduced application rates and/or a widening of the activity spectrum and/or an increase in the activity of the active compounds and compositions which can be used according to the invention, better plant growth, increased tolerance to high or low temperatures, increased tolerance to drought or to water or soil salt content, increased flowering performance, easier harvesting, accelerated maturation, higher harvest yields, bigger fruits, larger plant height, greener leaf colour, earlier flowering, higher quality and/or a higher nutritional value of the harvested products, higher sugar concentration within the fruits, better storage stability and/or processability of the harvested products. At certain application rates, the active compound combinations according to the invention may also have a strengthening effect in plants. Accordingly, they are also suitable for mobilizing the defence system of the plant against attack by unwanted phytopathogenic fungi and/or microorganisms and/or viruses. This may, if appropriate, be one of the reasons for the enhanced activity of the combinations according to the invention, for example against fungi. Plant-strengthening (resistance-inducing) substances are to be understood as meaning, in the present context, those substances or combinations of substances which are capable of stimulating the defence system of plants in such a way that, when subsequently inoculated with unwanted phytopathogenic fungi and/or microorganisms and/or viruses, the treated plants display a substantial degree of resistance to these unwanted phytopathogenic fungi and/or microorganisms and/or viruses. In the present case, unwanted phytopathogenic fungi and/or microorganisms and/or viruses are to be understood as meaning phytopathogenic fungi, bacteria and viruses. Thus, the substances according to the invention can be employed for protecting plants against attack by the abovementioned pathogens within a certain period of time after the treatment. The period of time within which protection is effected generally extends from 1 to 10 days, preferably 1 to 7 days, after the treatment of the plants with the active compounds. Plants and plant cultivars which are preferably treated according to the invention include all plants with genetic material which bestows upon these plants particularly advantageous useful properties (whether this was achieved by breeding and/or biotechnology is immaterial). Plants and plant cultivars which are also preferably treated according to the invention are resistant against one or more biotic stress factors, i.e. said plants have a better defence against animal and microbial pests, such as nematodes, insects, mites, phytopathogenic fungi, bacteria, viruses and/or viroids. Plants and plant cultivars which may also be treated according to the invention are those plants which are resistant to one or more abiotic stress factors. Abiotic stress conditions may include, for example, drought, cold temperature exposure, heat exposure, osmotic stress, flooding, increased soil salinity, increased mineral exposure, ozone exposure, high light exposure, limited availability of nitrogen nutrients, limited availability of phosphorus nutrients or shade avoidance. Plants and plant cultivars which may also be treated according to the invention are those plants characterized by enhanced yield characteristics. Increased yield in said plants can be the result of, for example, improved plant physiology, growth and development, such as water use efficiency, water retention efficiency, improved nitrogen use, enhanced carbon assimilation, improved photosynthesis, increased germination efficiency and accelerated maturation. Yield can furthermore by affected by improved plant architecture (under stress and non-stress conditions), including early flowering, flowering control for hybrid seed production, seedling vigour, plant size, internode number and distance, root growth, seed size, fruit size, pod size, pod or ear number, seed number per pod or ear, seed mass, enhanced seed filling, reduced seed dispersal, reduced pod dehiscence and lodging resistance. Further yield traits include seed composition, such as carbohydrate content, protein content, oil content and composition, nutritional value, reduction in anti-nutritional compounds, improved processability and better storage stability. Plants that may be treated according to the invention are hybrid plants that already express the characteristic of heterosis or the hybrid effect which results in generally higher yield, vigour, health and resistance towards biotic and abiotic stress factors. Such plants are typically made by crossing an inbred male sterile parent line (the female parent) with another inbred male fertile parent line (the male parent). Hybrid seed is typically harvested from the male sterile plants and sold to growers. Male sterile plants can sometimes (e.g. in corn) be produced by detasseling, (i.e. the mechanical removal of the male reproductive organs or male flowers) but, more typically, male sterility is the result of genetic determinants in the plant genome. In that case, and especially when seed is the desired product to be harvested from the hybrid plants, it is typically useful to ensure that male fertility in the hybrid plants, which contain the genetic determinants responsible for male sterility, is fully restored. This can be accomplished by ensuring that the male parents have appropriate fertility restorer genes which are capable of restoring the male fertility in hybrid plants that contain the genetic determinants responsible for male sterility. Genetic determinants for male sterility may be located in the cytoplasm. Examples of cytoplasmic male sterility (CMS) were for instance described for Brassica species. However, genetic determinants for male sterility can also be located in the nuclear genome. Male sterile plants can also be obtained by plant biotechnology methods such as genetic engineering. A particularly useful means of obtaining male sterile plants is described in WO 89/10396 in which, for example, a ribonuclease such as a barnase is selectively expressed in the tapetum cells in the stamens. Fertility can then be restored by expression in the tapetum cells of a ribonuclease inhibitor such as barstar. Plants or plant cultivars (obtained by plant biotechnology methods such as genetic engineering) which may be treated according to the invention are herbicide-tolerant plants, i.e. plants made tolerant to one or more given herbicides. Such plants can be obtained either by genetic transformation, or by selection of plants containing a mutation imparting such herbicide tolerance. Herbicide-tolerant plants are for example glyphosate-tolerant plants, i.e. plants made tolerant to the herbicide glyphosate or salts thereof. For example, glyphosate-tolerant plants can be obtained by transforming the plant with a gene encoding the enzyme 5-enolpyruvylshikimate-3-phosphate synthase (EPSPS). Examples of such EPSPS genes are the AroA gene (mutant CT7) of the bacterium Other herbicide-resistant plants are for example plants that are made tolerant to herbicides inhibiting the enzyme glutamine synthase, such as bialaphos, phosphinothricin or glufosinate. Such plants can be obtained by expressing an enzyme detoxifying the herbicide or a mutant glutamine synthase enzyme that is resistant to inhibition. One such efficient detoxifying enzyme is, for example, an enzyme encoding a phosphinothricin acetyltransferase (such as the bar or pat protein from Streptomyces species). Plants expressing an exogenous phosphinothricin acetyltransferase have been described. Further herbicide-tolerant plants are also plants that are made tolerant to the herbicides inhibiting the enzyme hydroxyphenylpyruvatedioxygenase (HPPD). Hydroxyphenylpyruvatedioxygenases are enzymes that catalyse the reaction in which para-hydroxyphenylpyruvate (HPP) is transformed into homogentisate. Plants tolerant to HPPD-inhibitors can be transformed with a gene encoding a naturally-occurring resistant HPPD enzyme, or a gene encoding a mutated HPPD enzyme. Tolerance to HPPD-inhibitors can also be obtained by transforming plants with genes encoding certain enzymes enabling the formation of homogentisate despite the inhibition of the native HPPD enzyme by the HPPD-inhibitor. Tolerance of plants to HPPD inhibitors can also be improved by transforming plants with a gene encoding an enzyme prephenate dehydrogenase in addition to a gene encoding an HPPD-tolerant enzyme. Still further herbicide-resistant plants are plants that are made tolerant to acetolactate synthase (ALS) inhibitors. Known ALS-inhibitors include, for example, sulphonylurea, imidazolinone, triazolopyrimidines, pyrimidinyloxy(thio)benzoates, and/or sulphonylaminocarbonyltriazolinone herbicides. Different mutations in the ALS enzyme (also known as acetohydroxy acid synthase, AHAS) are known to confer tolerance to different herbicides and groups of herbicides. The production of sulphonylurea-tolerant plants and imidazolinone-tolerant plants has been described in the international publication WO 1996/033270. Further sulphonylurea- and imidazolinone-tolerant plants have also been described, for example in WO 2007/024782. Other plants tolerant to imidazolinone and/or sulphonylurea can be obtained by induced mutagenesis, by selection in cell cultures in the presence of the herbicide or by mutation breeding. Plants or plant cultivars (obtained by plant biotechnology methods such as genetic engineering) which may also be treated according to the invention are insect-resistant transgenic plants, i.e. plants made resistant to attack by certain target insects. Such plants can be obtained by genetic transformation, or by selection of plants containing a mutation imparting such insect resistance. In the present context, the term “insect-resistant transgenic plant” includes any plant containing at least one transgene comprising a coding sequence encoding:
Of course, insect-resistant transgenic plants, as used herein, also include any plant comprising a combination of genes encoding the proteins of any one of the above classes 1 to 8. In one embodiment, an insect-resistant plant contains more than one transgene encoding a protein of any one of the above classes 1 to 8, to expand the range of target insect species affected or to delay insect resistance development to the plants, by using different proteins insecticidal to the same target insect species but having a different mode of action, such as binding to different receptor binding sites in the insect. Plants or plant cultivars (obtained by plant biotechnology methods such as genetic engineering) which may also be treated according to the invention are tolerant to abiotic stresses. Such plants can be obtained by genetic transformation, or by selection of plants containing a mutation imparting such stress resistance. Particularly useful stress tolerance plants include:
Plants or plant cultivars (obtained by plant biotechnology methods such as genetic engineering) which may also be treated according to the invention show altered quantity, quality and/or storage-stability of the harvested product and/or altered properties of specific ingredients of the harvested product such as, for example:
Plants or plant cultivars (that can be obtained by plant biotechnology methods such as genetic engineering) which may also be treated according to the invention are plants, such as cotton plants, with altered fibre characteristics. Such plants can be obtained by genetic transformation, or by selection of plants containing a mutation imparting such altered fibre characteristics and include:
Plants or plant cultivars (that can be obtained by plant biotechnology methods such as genetic engineering) which may also be treated according to the invention are plants, such as oilseed rape or related Particularly useful transgenic plants which may be treated according to the invention are plants which comprise one or more genes which encode one or more toxins, are the following which are sold under the trade names: YIELD GARD® (for example maize, cotton, soya beans), KnockOut® (for example maize), BiteGard® (for example maize), Bt-Xtra® (for example maize), StarLink® (for example maize), Bollgard® (cotton), Nucotn® (cotton), Nucotn 33B® (cotton), NatureGard® (for example maize), Protecta® and NewLeaf® (potato). Examples of herbicide-tolerant plants which may be mentioned are maize varieties, cotton varieties and soya bean varieties which are sold under the trade names: Roundup Ready® (tolerance to glyphosate, for example maize, cotton, soya beans), Liberty Link® (tolerance to phosphinothricin, for example oilseed rape), IMI® (tolerance to imidazolinone) and SCS® (tolerance to sulphonylurea, for example maize). Herbicide-resistant plants (plants bred in a conventional manner for herbicide tolerance) which may be mentioned include the varieties sold under the name Clearfield® (for example maize). Particularly useful transgenic plants which may be treated according to the invention are plants containing transformation events, or a combination of transformation events, that are listed for example in the databases for various national or regional regulatory agencies (see for example http://gmoinfo.jrc.it/gmp_browse.aspx and http://www.agbios.com/dbase.php). According to the invention, the plants listed can be treated particularly advantageously with the compounds of the general formula (I) or the active compound mixtures according to the invention. The preferred ranges indicated above for the active compounds and mixtures also apply to the treatment of these plants. Particular emphasis is given to treating the plants with the compounds and mixtures specifically indicated in the present text. The compositions or active compounds according to the invention can also be used to protect plants for a certain period after treatment against attack by the pathogens mentioned. The period for which protection is provided generally extends over 1 to 28 days, preferably over 1 to 14 days, particularly preferably over 1 to 10 days, very particularly preferably over 1 to 7 days, after the treatment of the plants with the active compounds, or over up to 200 days after seed treatment. Preparation and use of the active compounds of the formula (I) according to the invention is shown in the examples below. However, the invention is not limited to these examples. General remarks: Unless indicated otherwise, all chromatographic purification and separation steps were carried out on silica gel using a solvent gradient from 0:100 ethyl acetate/cyclohexane to 100:0 ethyl acetate/cyclohexane Preparation of Starting Materials of the Formula (IVa): Oxalyl chloride (3.29 g) and a drop of N,N-dimethylformamide are added to a solution of [3,5-bis(difluoromethyl)-1H-pyrazol-1-yl]acetic acid (2.93 g) in dichloromethane (30 ml). The reaction mixture is then stirred for 3 hours. Excess oxalyl chloride is then removed under reduced pressure, and the residue is once more dissolved in dichloromethane (10 ml). With ice-bath cooling, the solution is then added to a suspension of 2-(piperidin-4-yl)-1,3-thiazole-4-carbaldehyde hydrochloride (3.02 g) in dichloromethane (20 ml) and N,N-diisopropylethylamine (5.03 g). The reaction mixture is then allowed to warm to room temperature and stirred for a further 15 hours. Saturated aqueous ammonium chloride solution (5 ml) is then added to the reaction mixture. The aqueous phase is separated off and extracted with dichloromethane. All the organic phases are combined and dried using anhydrous sodium sulphate. The solid is then filtered off, and the solvent is removed under reduced pressure. Purification by column chromatography (silica gel, ethyl acetate:hexane 0%-100% elution gradient) gives 2-(1-{[3,5-bis(difluoromethyl)-1H-pyrazol-1-yl]acetyl}piperidin-4-yl)-1,3-thiazole-4-carbaldehyde (1.4 g, 27%). 1H NMR (DMSO-d6, 400 MHz): δppm: 1.57-1.63 (m, 1H), 1.80-1.86 (m, 1H), 2.09-2.15 (m, 2H), 2.82-2.88 (m, 1H), 3.24-3.31 (m, 1H), 3.38-3.45 (m, 111), 3.95-3.99 (m, 1H), 4.33-4.36 (m, 1H), 5.35 (d, 1H), 5.43 (d, 1H), 6.90 (s, 1H), 7.02 (t, 1H), 7.17 (t, 111), 8.64 (s, 1H), 9.90 (s, 1H) MS (ESI): 405 ([M+H]+) Preparation of Starting Materials of the Formula (VIb): Under an atmosphere of argon, hydrochloric acid (2 M in diethyl ether, 23 ml) is added dropwise at 0° C. to a solution of tert-butyl 4-(4-acetyl-1,3-thiazol-2-yl)piperidine-1-carboxylate (920 mg) in diethyl ether (2 ml). The reaction mixture is stirred for 24 hours. Solvent and excess acid are removed under reduced pressure. This gives 1-[2-(piperidin-4-yl)-1,3-thiazol-4-yl]ethanone hydrochloride (1.05 g) as a white, highly hygroscopic solid which is immediately processed further. 1H NMR (DMSO-d6, 400 MHz): δppm: 2.01 (qd, 2H), 2.28-2.20 (m, 2H), 2.55 (s, 3H), 3.02 (q, 2H), 3.38-3.27 (m, 2H), 3.42 (m, 1H), 8.39 (s, 1H), 9.06 (bs, 1H), 9.25 (bs, 1H) MS (ESI): 211 ([M+H—Cl]+) Preparation of Starting Materials of the Formula (IVb): 1-[4-(4-Acetyl-1,3-thiazol-2-yl)piperidin-1-yl]-2-[5-methyl-3-(trifluoromethyl)-1H-pyrazol-1-yl]ethanone (IV-1) Oxalyl chloride (1.74 g) and a drop of N,N-dimethylformamide are added to a solution of [5-methyl-3-(trifluoromethyl)-1H-pyrazol-1-yl]acetic acid (1.00 g) in dichloromethane (10 ml). The reaction mixture is then stirred for 24 hours. Excess oxalyl chloride is then removed under reduced pressure, and the residue is once more dissolved in dichloromethane (10 ml). With ice-bath cooling, the solution is then added to a suspension of 1-[2-(piperidin-4-yl)-1,3-thiazol-4-yl]ethanone hydrochloride (1.13 g) in dichloromethane (10 ml) and N,N-diisopropylethylamine (1.77 g). The reaction mixture is then allowed to warm to room temperature and stirred for a further 2 hours. Saturated aqueous ammonium chloride solution (5 ml) is then added to the reaction mixture. The aqueous phase is separated off and extracted with dichloromethane. All the organic phases are combined and dried using anhydrous sodium sulphate. The solid is then filtered off, and the solvent is removed under reduced pressure. Purification by column chromatography (silica gel, ethyl acetate:hexane 0%-100% elution gradient) gives 1-[4-(4-acetyl-1,3-thiazol-2-yl)piperidin-1-yl]-2-[5-methyl-3-(trifluoromethyl)-1H-pyrazol-1-yl]ethanone (1.00 g, 52%) (log P(pH2.7)=2.25). 1H NMR (DMSO-d6, 400 MHz): δppm: 1.65 (bs, 1H), 1.80 (bs, 1H), 2.18-2.11 (m, 2H), 2.23 (s, 3H), 2.55 (s, 3H), 2.90 (bs, 1H), 3.28 (bs, 1H), 3.39 (m, 1H), 4.00 (bs, 1H), 4.33 (bs, 1H), 5.22 (bs, 2H), 6.45 (s, 1H), 8.36 (s, 1H) MS (ESI): 401 ([M+H]+) Preparation of Compounds of the Formula (I): At room temperature, O-phenylhydroxylamine (41 mg) and Amberlyst A21 (200 mg) are added to a solution of 2-(1-{[5-methyl-3-(trifluoromethyl)-1H-pyrazol-1-yl]acetyl}piperidin-4-yl)-1,3-thiazole-4-carbaldehyde (100 mg) in ethanol. The reaction mixture is stirred at room temperature for 24 hours. The solvent is then removed under reduced pressure. The residue is purified by column chromatography (silica gel, ethyl acetate:hexane 0%-100% elution gradient). This gives 2-(1-{[5-methyl-3-(trifluoromethyl)-1H-pyrazol-1-yl]acetyl}piperidin-4-yl)-1,3-thiazole-4-carbaldehyde O-phenyl oxime (50 mg, 40%) which consists of an about 9:1 mixture of cis and trans isomers (log P(pH2.7)=3.74 (93%), 3.94 (7%)). 1H NMR (DMSO-d6, 400 MHz): δppm: 1.68 (bs, 1H) 1.80 (bs, 1H), 2.18-2.11 (m, 2H), 2.23 (s, 3H), 2.89 (bs, 1H), 3.30 (bs, 1H), 3.40 (m, 1H), 4.02 (bs, 1H), 4.38 (bs, 1H), 5.22 (bs, 2H), 6.45 (s, 1H), 7.07 (t, 1H), 7.24-7.17 (m, 2H), 7.38-7.31 (m, 2H), 8.66 (s, 1H) MS (ESI): 478 ([M+H]+) At room temperature, (1-phenylethoxy)ammonium chloride (91 mg) and Amberlyst A21 (300 mg) are added to a solution of 1-[4-(4-acetyl-1,3-thiazol-2-yl)piperidin-1-yl]-2-[5-methyl-3-(trifluoromethyl)-1H-pyrazol-1-yl]ethanone (200 mg) in ethanol. The reaction mixture is stirred for 24 hours, and the solvent is then removed under reduced pressure. The residue is separated by column chromatography (silica gel, ethyl acetate:hexane 0%-100% elution gradient). This gives 2-[5-methyl-3-(trifluoromethyl)-1H-pyrazol-1-yl]-1-(4-{4-[N-(1-phenylethoxy)ethanimidoyl]-1,3-thiazol-2-yl}piperidin-1-yl)ethanone (230 mg, 89%) which consists of an about 9:1 mixture of trans and cis isomers (log P(pH2.7)=4.38 (89%), 4.54 (11%). 1H NMR (DMSO-d6, 400 MHz): δppm: 1.53 (d, 3H) 1.62 (bs, 1H), 1.77 (bs, 1H), 2.15-2.05 (m, 2H), 2.22 (s, 3H), 2.28 (s, 3H), 2.89 (bs, 111), 3.28 (bs, 1H), 3.34 (m, 1H), 3.98 (bs, 1H), 4.33 (bs, 1H), 5.21 (bs, 2H), 5.31 (q, 1H), 6.44 (s, 1H), 7.25 (m, 1H), 7.48-7.30 (m, 4H), MS (ESI): 520 ([M+H]+) At room temperature, 2-(1-methylhydrazinyl)-5-(trifluoromethyl)pyridine (58 mg) is added to a solution of 2-(1-{[5-methyl-3-(trifluoromethyl)-1H-pyrazol-1-yl]acetyl}piperidin-4-yl)-1,3-thiazole-4-carbaldehyde (100 mg) in ethanol. The reaction mixture is stirred for 24 hours, and the solvent is then removed under reduced pressure. The residue is purified by column chromatography (silica gel, ethyl acetate:hexane 0%-100% elution gradient). This gives 2-(1-{[5-methyl-3-(trifluoromethyl)-1H-pyrazol-1-yl]acetyl}piperidin-4-yl)-1,3-thiazole-4-carbaldehyde methyl[5-(trifluoromethyl)pyridin-2-yl]hydrazone (79 mg, 56%), (log P(pH2.7)=4.23). 1H NMR (CD3CN, 400 MHz): δppm: 1.90-1.70 (3, 2H) 2.24-2.15 (m, 2H), 2.25 (s, 3H), 2.94 (bs, 1H), 3.40-3.25 (m, 2H), 3.66 (s, 3H), 3.98 (bs, 1H), 4.48 (bs, 1H), 5.05 (bs, 2H), 6.37 (s, 1H), 7.69 (s, 1H), 7.77 (d, 1H), 7.85 (dd, 1H), 7.95 (s, 1H), 8.50 (s, 1H) MS (ESI): 560 ([M+H]+) At 80° C., piperidine-1-amine (104 mg) is added to a solution of 1-[4-(4-acetyl-1,3-thiazol-2-yl)piperidin-1-yl]-2-[5-methyl-3-(trifluoromethyl)-1H-pyrazol-1-yl]ethanone (46 mg). The reaction mixture is stirred at this temperature for a further 2 hours. Aqueous ammonium chloride solution (10 ml) is then added to the reaction mixture. After phase separation, the aqueous phase is extracted three times with methyl tert-butyl ether (20 ml). All the organic phases are dried over Na2SO4. The mixture is then filtered and concentrated under reduced pressure. This gives 2-[5-methyl-3-(trifluoromethyl)-1H-pyrazol-1-yl]-1-(4-{4-[N-(piperidin-1-yl)ethanimidoyl]-1,3-thiazol-2-yl}piperidin-1-yl)ethanone (55 mg, 99%), (log P(pH2.7)=3.69). 1H NMR (DMSO-d6, 400 MHz): δppm: 1.50-1.43 (m, 2H), 1.85-1.60 (m, 6H), 2.15-2.06 (m, 2H), 2.22 (s, 3H), 2.32 (s, 3H), 2.71 (m, 4H), 2.90 (m, 1H), 3.30 (bs, 1H), 3.33 (m, 1H), 4.00 (bs, 1H), 4.35 (bs, 1H), 5.25-5.15 (m, 2H), 6.45 (s, 1H), 7.74 (s, 1H) MS (ESI): 483 ([M+H]+) The compounds of the formula (I) listed in Table 1 below can be obtained analogously to the methods given above. To produce a suitable preparation of active compound, 1 part by weight of active compound is mixed with the stated amounts of solvent and emulsifier, and the concentrate is diluted with water to the desired concentration. To test for protective activity, young tomato plants are sprayed with the preparation of active compound at the stated application rate. 1 day after the treatment, the plants are inoculated with a spore suspension of Evaluation is carried out 7 days after the inoculation. 0% means an efficacy which corresponds to that of the control, whereas an efficacy of 100% means that no infection is observed. In this test, the compounds according to the invention Nos. I-1, I-2, I-3, I-4, I-5, I-6, I-7, I-9, I-12, I-13, I-14, I-15, I-16, I-18, I-19, I-20, I-21, I-22, I-23, I-24, I-25, I-26, I-27 and I-32 from Table i show, at an active compound concentration of 500 ppm, an efficacy of 70% or more. To produce a suitable preparation of active compound, 1 part by weight of active compound is mixed with the stated amounts of solvents and emulsifier, and the concentrate is diluted with water to the desired concentration. To test for protective activity, young plants are sprayed with the preparation of active compound at the stated application rate. After the spray coating has dried on, the plants are inoculated with an aqueous spore suspension of Evaluation is carried out 6 days after the inoculation. 0% means an efficacy which corresponds to that of the control, whereas an efficacy of 100% means that no infection is observed. In this test, the compounds according to the invention Nos. I-1, I-2, I-3, I-4, I-5, I-6, I-7, I-9, I-18, I-19, I-22, I-24, I-25, I-26, I-27 and 1-32 from Table I show, at an active compound concentration of 100 ppm, an efficacy of 70% or more.
are novel.
are novel.
2-(1-{[3,5-Bis(difluoromethyl)-1H-pyrazol-1-yl]acetyl}piperidin-4-yl)-1,3-thiazole-4-carbaldehyde (IVa-1)
1-[2-(Piperidin-4-yl)-1,3-thiazol-4-yl]ethanone hydrochloride (VI-1)
2-(1-{[5-Methyl-3-(trifluoromethyl)-1H-pyrazol-1-yl]acetyl}piperidin-4-yl)-1,3-thiazole-4-carbaldehyde O-phenyl oxime (I-1)
2-[5-Methyl-3-(trifluoromethyl)-1H-pyrazol-1-yl]-1-(4-{4-[N-(1-phenylethoxy)ethanimidoyl]-1,3-thiazol-2-yl}piperidin-1-yl)ethanone (I-5)
2-(1-{[5-Methyl-3-(trifluoromethyl)-1H-pyrazol-1-yl]acetyl}piperidin-4-yl)-1,3-thiazole-4-carbaldehyde methyl[5-(trifluoromethyl)pyridin-2-yl]hydrazone (I-14)
2-[5-Methyl-3-(trifluoromethyl)-1H-pyrazol-1-yl]-1-(4-{4-[N-(piperidin-1-yl)ethanimidoyl]-1,3-thiazol-2-yl}piperidin-1-yl)ethanone (I-17)
EXAMPLES
where Ex A L1 Y W X R2 L2 R6 L3 R7 R3 logP I-1 5-methyl-3- (trifluoromethyl)- 1H-pyrazol-1-yl CH2 O CH2CH2 CH2CH2 H H bond phenyl 93%(3.74)/ 7%(3.94) I-2 5-methyl-3- (trifluoromethyl)- 1H-pyrazol-1-yl CH2 O CH2CH2 CH2CH2 H H CH2 phenyl 93%(3.63)/ 7%(3.80) I-3 5-methyl-3- (trifluoromethyl)- 1H-pyrazol-1-yl CH2 O CH2CH2 CH2CH2 H H CHCH3 phenyl 95%(3.92)/ 5%(4.07) I-4 5-methyl-3- (trifluoromethyl)- 1H-pyrazol-1-yl CH2 O CH2CH2 CH2CH2 H H bond phenyl 89%(4.23)/ 11%(4.46) I-5 5-methyl-3- (trifluoromethyl)- 1H-pyrazol-1-yl CH2 O CH2CH2 CH2CH2 H H CHCH3 phenyl 89%(4.38)/ 11%(4.54) I-6 5-methyl-3- (trifluoromethyl)- 1H-pyrazol-1-yl CH2 O CH2CH2 CH2CH2 H H CH2 2-methyl- phenyl 93%(3.96)/ 7%(4.12) I-7 5-methyl-3- (trifluoromethyl)- 1H-pyrazol-1-yl CH2 O CH2CH2 CH2CH2 H H CH2 4-chloro- phenyl 91%(4.04)/ 9%(4.23) I-8 5-methyl-3- (trifluoromethyl)- 1H-pyrazol-1-yl CH2 O CH2CH2 CH2CH2 H H CHCH3 4-chloro- phenyl 55%(4.34)/ 45%(4.50) I-9 5-methyl-3- (trifluoromethyl)- 1H-pyrazol-1-yl CH2 O CH2CH2 CH2CH2 H H CH2 2-fluoro- phenyl 82%(3.68)/ 18%(3.84) I-10 5-methyl-3- (trifluoromethyl)- 1H-pyrazol-1-yl CH2 O CH2CH2 CH2CH2 H CH3 CH2 phenyl 84%(4.07)/ 16%(4.28) I-11 5-methyl-3- (trifluoromethyl)- 1H-pyrazol-1-yl CH2 O CH2CH2 CH2CH2 H H CH2 CH3 pyridin-2- yl 1.82 I-12 5-methyl-3- (trifluoromethyl)- 1H-pyrazol-1-yl CH2 O CH2CH2 CH2CH2 H H CH2 phenyl phenyl 4.70 I-13 5-methyl-3- (trifluoromethyl)- 1H-pyrazol-1-yl CH2 O CH2CH2 CH2CH2 H H bond phenyl phenyl 4.77 I-14 5-methyl-3- (trifluoromethyl)- 1H-pyrazol-1-yl CH2 O CH2CH2 CH2CH2 H H bond CH3 5-(trifluoro- methyl) pyridin-2-yl 4.23 I-15 5-methyl-3- (trifluoromethyl)- 1H-pyrazol-1-yl CH2 O CH2CH2 CH2CH2 H H bond CH3 phenyl 3.83 I-16 5-methyl-3- (trifluoromethyl)- 1H-pyrazol-1-yl CH2 O CH2CH2 CH2CH2 H H bond NR7R3= pentane-1.5-diyl 3.00 I-17 5-methyl-3- (trifluoromethyl)- 1H-pyrazol-1-yl CH2 O CH2CH2 CH2CH2 H CH3 bond NR7R3= pentane-1.5-diyl 3.69 I-18 5-methyl-3- (trifluoromethyl)- 1H-pyrazol-1-yl CH2 O CH2CH2 CH2CH2 H H CH2 2-chloro- phenyl 4.04 I-19 5-methyl-3- (trifluoromethyl)- 1H-pyrazol-1-yl CH2 O CH2CH2 CH2CH2 H CH3 CH2CH2 CH2CH2 ethyl 5.13 I-20 5-methyl-3- (trifluoromethyl)- 1H-pyrazol-1-yl CH2 O CH2CH2 CH2CH2 H CH3 CH2CH2 CH2CH2 CH3 4.71 I-21 5-methyl-3- (trifluoromethyl)- 1H-pyrazol-1-yl CH2 O CH2CH2 CH2CH2 H CH3 CH2CH2 CH2 phenyl 4.66 I-22 5-methyl-3- (trifluoromethyl)- 1H-pyrazol-1-yl CH2 O CH2CH2 CH2CH2 H CH3 CH2CH2 CH2CH2 phenyl 4.97 I-23 5-methyl-3- (trifluoromethyl)- 1H-pyrazol-1-yl CH2 O CH2CH2 CH2CH2 H CH3 CHCH3 CH2CH2 CH2 propyl 6.06 I-24 3,5-bis(trifluoro- methyl)-1H- pyrazol-1-yl CH2 O CH2CH2 CH2CH2 H H CH2 4-chloro- phenyl 4.56 I-25 3,5-diethyl-1H- pyrazol-1-yl CH2 O CH2CH2 CH2CH2 H H CH2 4-chloro- phenyl 3.70 I-26 5-ethyl-3- (trifluoromethyl)- 1H-pyrazol-1-yl CH2 O CH2CH2 CH2CH2 H H CH2 4-chloro- phenyl 4.30 I-27 3,5-bis(difluoro- methyl)-1H- pyrazol-1-yl CH2 O CH2CH2 CH2CH2 H H CH2 4-chloro- phenyl 3.90 I-28 3-tert-butyl-5- (trifluoromethyl)- 1H-pyrazol-1-yl CH2 O CH2CH2 CH2CH2 H H CH2 4-chloro- phenyl 4.99 I-29 5-tert-butyl-3- (trifluoromethyl)- 1H-pyrazol-1-yl CH2 O CH2CH2 CH2CH2 H H CH2 4-chloro- phenyl 4.75 I-30 3-tert-butyl-5- (pentafluoroethyl)- 1H-pyrazol-1-yl CH2 O CH2CH2 CH2CH2 H H CH2 4-chloro- phenyl 5.31 I-31 5-tert-butyl-3- (pentafluoroethyl)- 1H-pyrazol-1-yl CH2 O CH2CH2 CH2CH2 H H CH2 4-chloro- phenyl 5.31 I-32 3-(propan-2-yl)- 5-(trifluoro- methyl)-1H- pyrazol-1-yl CH2 O CH2CH2 CH2CH2 H H CH2 4-chloro- phenyl 4.56 I-33 5-methyl-3- (trifluoromethyl)- 1H-pyrazol-1-yl CH2 O CH2CH2 CH2CH2 H H bond cyclohexyl 93%(4.26)/ 7%(4.48) I-34 3,5-bis(difluoro- methyl)-1H- pyrazol-1-yl CH2 O CH2CH2 CH2CH2 H H bond cyclohexyl 93%(4.12)/ 7%(4.33) I-35 2,5-dichloro- phenyl CH2 O CH2CH2 CH2CH2 H H bond cyclohexyl 92%(5.10)/ 7%(5.45) I-36 5-methyl-3- (trifluoromethyl)- 1H-pyrazol-1-yl CH2 O CH2CH2 CH2CH2 H H CH2 2,6- difluoro- phenyl 86%(3.70)/ 14%(3.86) I-37 3,5-bis(difluoro- methyl)-1H- pyrazol-1-yl CH2 O CH2CH2 CH2CH2 H H CH2 2,6- difluoro- phenyl 83%(3.58)/ 17%(3.74) I-38 2,5-dichloro- phenyl CH2 O CH2CH2 CH2CH2 H H CH2 2,6- difluoro- phenyl 90%(4.36)/ 10%(4.60) I-39 5-methyl-3- (trifluoromethyl)- 1H-pyrazol-1-yl CH2 O CH2CH2 CH2CH2 H H bond 2-bromo- phenyl 4.14 I-40 2,5-dichloro- phenyl CH2 O CH2CH2 CH2CH2 H H bond 2-bromo- phenyl 4.90 I-41 5-methyl-3- (trifluoromethyl)- 1H-pyrazol-1-yl CH2 O CH2CH2 CH2CH2 H CH3 CH2 2,6- difluoro- phenyl 76%(4.11)/ 24%(4.32) I-42 3,5-bis(difluoro- methyl)-1H- pyrazol-1-yl CH2 O CH2CH2 CH2CH2 H CH3 CH2 2,6- difluoro- phenyl 92%(4.00)/ 8%(4.19) I-43 2,5-dichloro- phenyl CH2 O CH2CH2 CH2CH2 H CH3 CH2 2,6- difluoro- phenyl 92%(4.91)/ 8%(5.16) I-44 5-methyl-3- (trifluoromethyl)- 1H-pyrazol-1-yl CH2 O CH2CH2 CH2CH2 H CH3 bond cyclohexyl 90%(4.02)/ 10%(4.12) I-45 3,5-bis(difluoro- methyl)-1H- pyrazol-1-yl CH2 O CH2CH2 CH2CH2 H CH3 bond cyclohexyl 91%(4.69)/ 9%(4.88) I-46 2,5-dichloro- phenyl CH2 O CH2CH2 CH2CH2 H CH3 bond cyclohexyl 91%(5.87)/ 9%(6.17) The logP values were determined in accordance with EEC Directive 79/831 Annex V.A8 by HPLC (High Performance Liquid Chromatography) on reversed-phase columns (C 18), using the method below: The LC-MS determination in the acidic range was carried out at pH 2.7 using the mobile phases 0.1% aqueous formic acid and acetonitrile (contains 0.1% formic acid); linear gradient from 10% acetonitrile to 95% acetonitrile Calibration was carried out using unbranched alkan-2-ones (having 3 to 16 carbon atoms), with known logP values (determination of the logP values by the retention times using linear interpolation between two successive alkanones). The lambda-max values were determined in the maxima of the chromatographic signals using the UV spectra from 200 nm to 400 nm. NMR Data of Selected Examples
I-1 1H NMR (DMSO-d6): δppm: 1.68 (bs, 1H) 1.80 (bs, 1H), 2.18-2.11 (m, 2H), 2.23 (s, 3H), 2.89 (bs, 1H), 3.30 (bs, 1H), 3.40 (m, 1H), 4.02 (bs, 1H), 4.38 (bs, 1H), 5.22 (bs, 2H), 6.45 (s, 1H), 7.07 (t, 1H), 7.24-7.17 (m, 2H), 7.38-7.31 (m, 2H), 8.66 (s, 1H) I-4 1H NMR (DMSO-d6): δppm: 1.65 (bs, 1H), 1.82 (bs, 1H), 2.16-2.10 (m, 2H), 2.23 (s, 3H), 2.46 (s, 3H), 2.92 (bs, 1H), 3.30 (bs, 1H), 3.39 (m, 1H), 3.99 (m, 1H), 4.35 (bs, 1H), 5.22 (bs, 2H), 6.45 (s, 1H), 7.05 (m, 1H), 7.26-7.23 (m, 2H), 7.38-7.33 (m, 2H), 8.03 (s, 1H) I-5 1H NMR (DMSO-d6): δppm: 1.53 (d, 3H) 1.62 (bs, 1H), 1.77 (bs, 1H), 2.15-2.05 (m, 2H), 2.22 (s, 3H), 2.28 (s, 3H), 2.89 (bs, 1H), 3.28 (bs, 1H), 3.34 (m, 1H), 3.98 (bs, 1H), 4.33 (bs, 1H), 5.21 (bs, 2H), 5.31 (q, 1H), 6.44 (s, 1H), 7.25 (m, 1H), 7.48-7.30 (m, 4H) I-8 1H NMR (CD3CN): δppm: 1.54 and 1.61 (d, 3H), 1.88-1.63 (m, 2H), 2.20-2.08 (m, 2H), 2.23 (s, 3H), 2.88 (bs, 1H), 3.37-3.20 (m, 2H), 3.94 (bs, 1H), 4.44 (bs, 1H), 5.03 (bs, 2H), 5.30 and 5.38 (q, 1H), 6.36 (s, 1H), 7.36 (s, 4H), 7.53 and 7.60 (s, 1H), 8.21 and 8.36 (s, 1H) I-10 1H NMR (CD3CN): δppm: 1.88-1.63 (m, 2H), 2.18-2.20 (m, 2H), 2.23 (s, 3H), 2.88 (bs, 1H), 2.97 (s, 3H), 3.32-3.24 (m, 2H), 3.94 (bs, 1H), 4.43 (bs, 1H), 4.59 (s, 2H), 5.04 (bs, 2H), 6.36 (s, 1H), 7.19 and 7.20 (dd, 1H), 7.25 (s, 1H), 7.28 (d, 1H), 7.34 (s, 1H), 7.68 and 7.70 (dd, 1H), 8.51 and 8.52 (s, 1H) I-11 1H NMR (DMSO-d6): δppm: 1.62 (bs, 1H), 1.78 (bs, 1H), 2.14-2.05 (m, 2H), 2.22 (s, 3H), 2.26 (s, 3H), 2.89 (bs, 1H), 3.28 (bs, 1H), 3.34 (m, 1H), 3.98 (bs, 1H), 4.33 (bs, 1H), 5.18 (s, 2H), 5.20 (bs, 2H), 6.44 (s, 1H), 7.40-7.28 (m, 5H), 7.74 (s, 1H) I-12 1H NMR (CD3CN): δppm: 1.86-1.58 (m, 2H), 2.15-2.04 (m, 2H), 2.23 (s, 3H), 2.88 (bs, 1H), 3.30-3.21 (m, 2H), 3.92 (bs, 1H), 4.43 (bs, 1H), 5.03 (bs, 2H), 5.22 (s, 2H), 6.36 (s, 1H), 6.95 (dd, 1H), 7.43-7.21 (m, 9H), 7.50 (s, 1H), 7.55 (s, 1H) I-13 1H NMR (CD3CN): δppm: 1.68 (m, 1H), 1.85 (m, 1H), 2.18-2.08 (m, 2H), 2.22 (s, 3H), 2.83 (m, 1H), 3.32-3.23 (m, 2H), 3.91 (m, 1H), 4.43 (m, 1H), 5.02 (d, 1H), 5.09 (d, 1H), 6.39 (s, 1H), 7.28-7.18 (m, 6H), 7.49-7.43 (m, 5H), 7.55 (s, 1H) I-14 1H NMR (CD3CN): δppm: 1.90-1.70 (3, 2H) 2.24-2.15 (m, 2H), 2.25 (s, 3H), 2.94 (bs, 1H), 3.40-3.25 (m, 2H), 3.66 (s, 3H), 3.98 (bs, 1H), 4.48 (bs, 1H), 5.05 (bs, 2H), 6.37 (s, 1H), 7.69 (s, 1H), 7.77 (d, 1H), 7.85 (dd, 1H), 7.95 (s, 1H), 8.50 (s, 1H) I-15 1H NMR (CD3CN): δppm: 1.95-1.65 (m, 2H), 2.22-2.12 (m, 2H), 2.24 (s, 3H), 2.90 (bs, 1H), 3.38-3.23 (m, 2H), 3.52 (s, 3H), 3.97 (bs, 1H), 4.48 (bs, 1H), 5.07 (bs, 2H), 6.37 (s, 1H), 6.93 (dd, 1H), 7.35-7.27 (m, 2H), 7.40-7.36 (m, 2H), 7.51 (s, 1H), 7.68 (s, 1H) I-16 1H NMR (CD3CN): δppm: 1.17 (dd, 1H), 1.52 (m, 1H), 1.72-1.60 (m, 5H), 1.83 (m, 1H), 2.20-2.05 (m, 2H), 2.23 (s, 3H), 2.83 (m, 1H), 3.10 (dd, 3H), 3.33-3.24 (m, 2H), 3.58 (m, 1H), 3.94 (m, 1H), 4.48 (m, 1H), 5.03 (d, 1H), 5.10 (d, 1H), 6.39 (s, 1H), 7.32 (s, 1H), 7.60 (s, 1H) I-17 1H NMR (DMSO-d6): δppm: 1.50-1.43 (m, 2H), 1.85-1.60 (m, 6H), 2.15-2.06 (m, 2H), 2.22 (s, 3H), 2.32 (s, 3H), 2.71 (m, 4H), 2.90 (m, 1H), 3.30 (bs, 1H), 3.33 (m, 1H), 4.00 (bs, 1H), 4.35 (bs, 1H), 5.25-5.15 (m, 2H), 6.45 (s, 1H), 7.74 (s, 1H) I-18 1H NMR (DMSO-d6): δppm: 1.61 (bs, 1H), 1.78 (bs, 1H), 2.14-2.05 (m, 2H), 2.22 (s, 3H), 2.86 (bs, 1H), 3.28 (bs, 1H), 3.35 (m, 1H), 3.97 (bs, 1H), 4.34 (bs, 1H), 5.21 (bs, 2H), 5.36 (s, 2H), 6.44 (s, 1H), 7.40-7.33 (m, 2H), 7.54-7.44 (m, 2H), 7.85 (s, 1H), 8.34 (s, 1H) I-19 1H NMR (DMSO-d6): δppm: 0.88 (t, 3H), 1.42-1.25 (m, 6H), 1.65 (td, 2H), 1.90-1.55 (m, 2H), 2.15-2.07 (m, 2H), 2.21 (s, 3H), 2.22 (s, 3H), 2.89 (bs, 1H), 3.30 (bs, 1H), 3.34 (m, 1H), 3.98 (bs, 1H), 4.11 (t, 2H), 4.33 (bs, 1H), 5.21 (bs, 2H), 6.44 (s, 1H), 7.72 (s, 1H) I-20 1H NMR (DMSO-d6): δppm: 0.89 and 1.05 (t, 3H), 1.38-1.30 and 1.52-1.46 (m, 4H), 1.67 and 1.79 (m, 2H), 1.86-1.60 (m, 2H), 2.15-2.06 (m, 2H), 2.21 and 2.35 (s, 3H), 2.22 and 2.36 (s, 3H), 2.89 (bs, 1H), 3.30 (bs, 1H), 3.34 and 3.49 (m, 1H), 3.98 (bs, 1H), 4.11 and 4.25 (t, 2H), 4.33 and 4.48 (bs, 1H), 5.21 and 5.37 (bs, 2H), 6.45 and 6.59 (s, 1H), 7.72 and 7.86 (s, 1H) I-21 1H NMR (DMSO-d6): δppm: 1.63 (bs, 1H), 1.78 (bs, 1H), 1.97 (td, 2H), 2.15-2.04 (m, 2H), 2.20 (s, 6H), 2.69 (t, 2H), 2.88 (bs, 1H), 3.28 (bs, 1H), 3.34 (m, 1H), 3.99 (bs, 1H), 4.13 (t, 2H), 4.34 (bs, 1H), 5.21 (bs, 2H), 6.44 (s, 1H), 7.30-7.11 (5H), 7.73 (s, 1H) I-22 1H NMR (DMSO-d6): δppm: 1.88-1.50 (m, 6H), 2.15-2.07 (2H), 2.21 (s, 3H), 2.22 (s, 3H), 2.67-2.60 (m, 2H), 2.89 (bs, 1H), 3.30 (bs, 1H), 3.34 (m, 1H), 3.98 (bs, 1H), 4.14 (t, 2H), 4.33 (bs, 1H), 5.21 (bs, 2H), 6.45 (s, 1H), 7.30-7.11 (m, 5H), 7.71 (s, 1H) I-23 1H NMR (DMSO-d6): δppm: 0.87 (t, 3H), 1.42-1.21 (m, 11H), 1.85-1.45 (m, 4H), 2.15- 2.06 (m, 2H), 2.20 (s, 3H), 2.22 (s, 3H), 2.88 (bs, 1H), 3.29 (bs, 1H), 3.34 (m, 1H), 3.99 (bs, 1H), 4.23 (m, 1H), 4.32 (bs, 1H), 5.21 (bs, 2H), 6.45 (s, 1H), 7.70 (s, 1H) The chemical NMR shifts were measured in ppm at 400 MHz, unless indicated otherwise in the solvent DMSO-d6using tetramethylsilane as internal standard. The following abbreviations describe signal splitting: b = broad, s = singlet, d = doublet, t = triplet, q = quadruplet, m = multiplet USE EXAMPLES
EXAMPLE A
Solvent: 49 parts by weight of N,N-dimethylformamide Emulsifier: 1 part by weight of alkylaryl polyglycol ether EXAMPLE B
Solvents: 24.5 parts by weight of acetone 24.5 parts by weight of dimethylacetamide Emulsifier: 1 part by weight of alkylaryl polyglycol ether