Described herein are methods of inhibiting the growth of or killing a bacterium in an animal subject, preventing or delaying onset of an infection with a bacterium in an animal subject, preventing or delaying onset of a pathogen mediated disease or disorder in an animal subject, or reducing bacterial load in an animal subject, comprising administering an effective amount of a derivatized chitosan to the animal. Also described herein are preparations comprising a chitosan derivative for administration to an animal.
1. A method of inhibiting the growth of or killing a bacterium in an animal subject, preventing or delaying onset of an infection with a bacterium in an animal subject, preventing or delaying onset of a pathogen mediated disease or disorder in an animal subject, or reducing bacterial load in an animal subject, comprising:
administering an effective amount of a derivatized chitosan to said animal, thereby inhibiting the growth of or killing a bacterium in an animal subject, preventing or delaying onset of an infection with a bacterium in an animal subject, preventing or delaying onset of a pathogen mediated disease or disorder in an animal subject, or reducing bacterial load in an animal subject, optimizing weight gain in an animal subject, or in general, optimizing health in an animal subject. 2. The method of wherein: n is an integer between 20 and 6000; and each R1is independently selected for each occurrence from hydrogen, acetyl, and either: a) a group of formula (II): wherein R2is hydrogen or amino; and R3is amino, guanidino, C1-C6alkyl substituted with an amino or guanidino moiety, or a natural or unnatural amino acid side chain; or b) R1, when taken together with the nitrogen to which it is attached, forms a guanidine moiety; wherein at least 25% of R1substituents are H, at least 1% of R1substituents are acetyl, and at least 2% of R1substituents are a group of formula (II) or are taken together with the nitrogen to which they are attached to form a guanidine moiety. 3. The method of 4-5. (canceled) 6. The method of 7. The method of 8. The method of 9. The method of 10-11. (canceled) 12. The method of 13. The method of 14-29. (canceled) 30. The method of 31. The method of 32. The method of 33-35. (canceled) 36. The method of 37. The method of 38. The method of 39. The method of 40-42. (canceled) 43. The method of 44. The method of 45. A preparation comprising a chitosan derivative for administration to an animal. 46. The preparation of 47. The preparation of 48. The preparation of 49. The preparation of 50-54. (canceled) 55. A method of optimizing weight gain in an animal subject, or in general, optimizing health in an animal subject, comprising:
administering an effective amount of a derivatized chitosan to said animal, thereby optimizing weight gain in an animal subject, or in general, optimizing health in an animal subject. 56-59. (canceled) 60. The method of 61. The method of 62. The method of 63. The method of 64. The method of 65-66. (canceled) 67. The method of 68. The method of 69. The method of 70. The method of 71. The method of 72. The method of 73-74. (canceled) 75. The method of 76. The method of 77. The method of 78. (canceled)
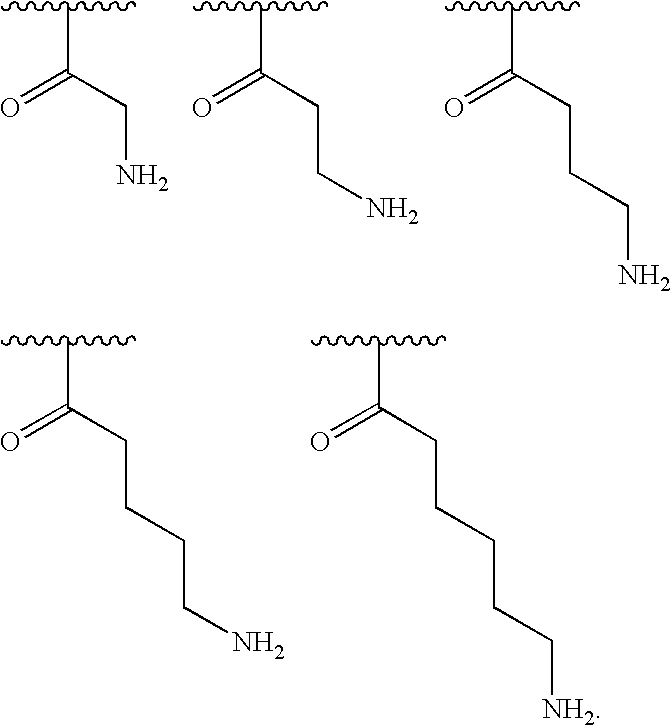
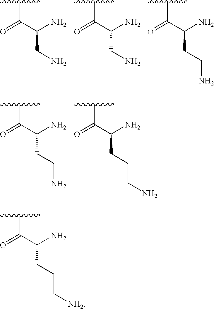
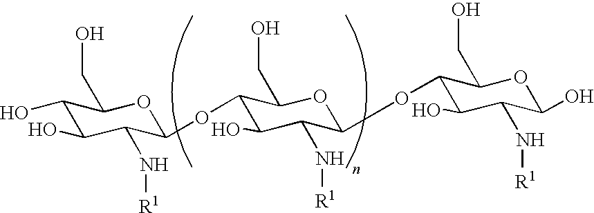
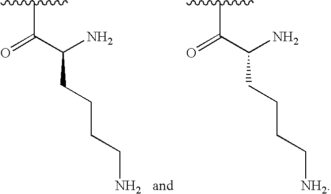
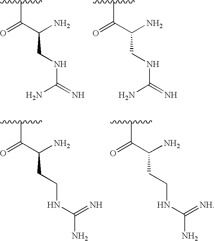
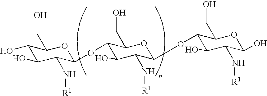
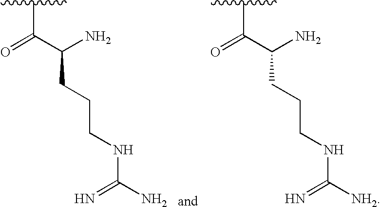
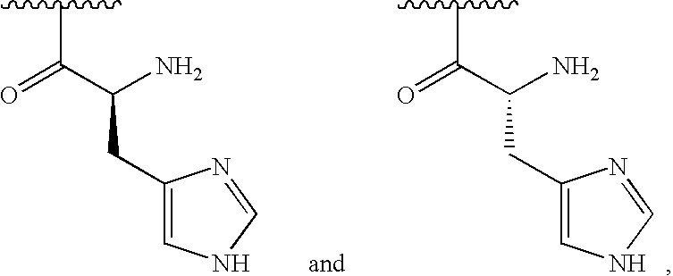
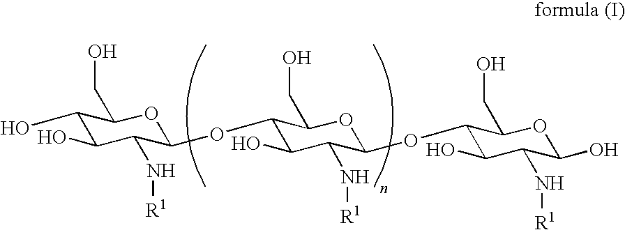
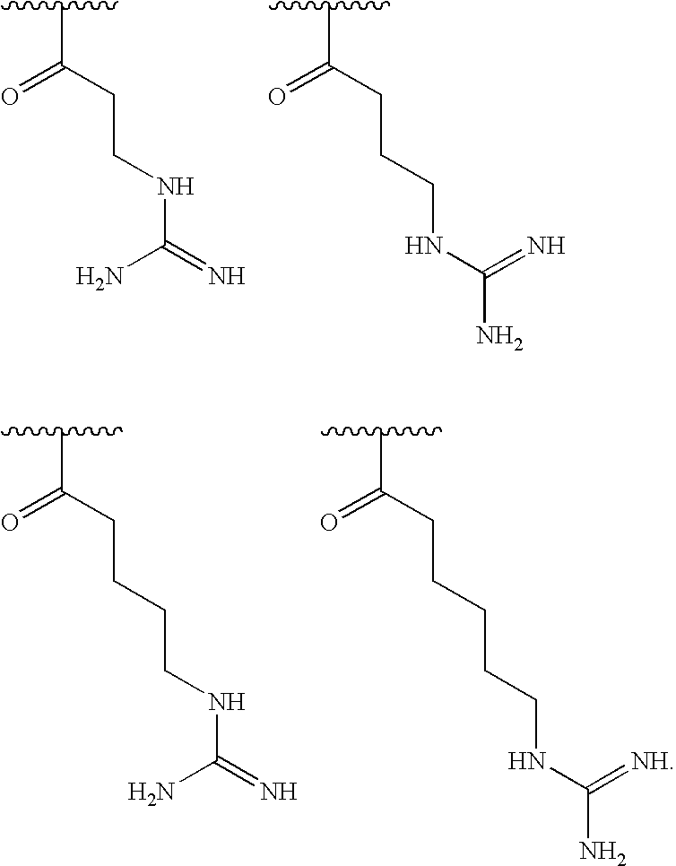
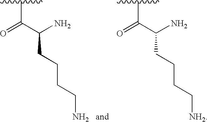
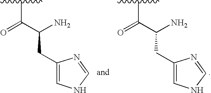
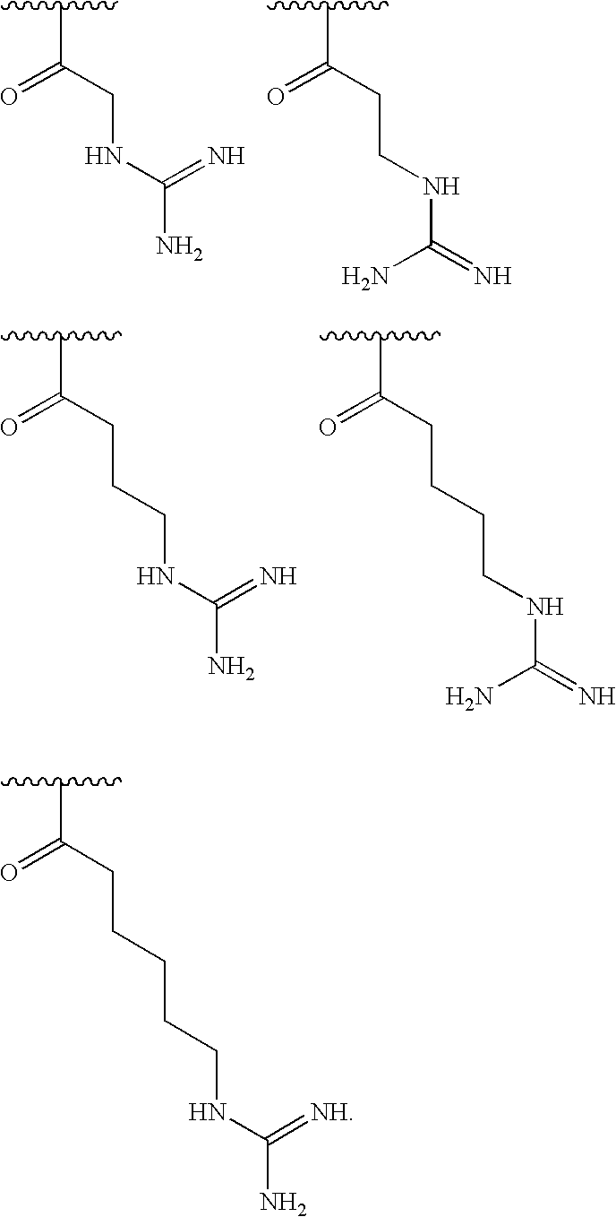
The present application claims the benefit of U.S. provisional application No. 61/113,981, filed Nov. 12, 2008, the contents of which are incorporated herein by reference. The invention relates to the use of chitosan derivatives, e.g., to treat or inhibit infections, or generally optimize animal health, e.g., to optimize weight gain to allow for the use of lower doses of anti-bacterial agents. Animal diseases, especially those that afflict animals used for the production of food or fiber, result in tremendous economic loss and human suffering. Chitosan derivatives are described. The derivatized chitosan can be used to optimize animal health, e.g., to optimize weight gain to allow for the use of lower doses of anti-bacterial agents. In one aspect, the invention features a method of inhibiting the growth of a bacterium and/or killing a bacterium in an animal subject, preventing or delaying onset of an infection with a bacterium in an animal subject, preventing or delaying onset of a pathogen mediated disease or disorder in an animal subject, or reducing bacterial load in an animal subject. The method includes administering an effective amount of a derivatized chitosan to said animal, thereby inhibiting the growth of a bacterium and/or killing a bacterium in an animal subject, preventing or delaying onset of an infection with a bacterium in an animal subject, preventing or delaying onset of a pathogen mediated disease or disorder in an animal subject, or reducing bacterial load in an animal subject, in an animal subject. In some embodiments, the derivatized chitosan is administered orally, e.g., in the subject's feed or water. In some embodiments, the derivatized chitosan is administered by inhalation. In some embodiments, the derivatized chitosan is soluble in aqueous solution from about pH 6.8 to about pH 7.4. In some embodiments, the derivatized chitosan is soluble in aqueous solution from about pH 3 to about pH 9. In some embodiments, the derivatized chitosan comprises a chitosan of the following formula (I): wherein: n is an integer between 20 and 6000; and each R1is independently selected for each occurrence from hydrogen, acetyl, and either: a) a group of formula (II): wherein R2is hydrogen or amino; and R3is amino, guanidino, C1-C6alkyl substituted with an amino or guanidino moiety, or a natural or unnatural amino acid side chain; or b) R1, when taken together with the nitrogen to which it is attached, forms a guanidine moiety; wherein at least 25% of R1substituents are H, at least 1% of R1substituents are acetyl, and at least 2% of R1substituents are a group of formula (II) or are taken together with the nitrogen to which they are attached to form a guanidine moiety. In some embodiments, between 25-95% of R1substituents are hydrogen. In some embodiments, between 55-90% of R1substituents are hydrogen. In some embodiments, between 1-50% of R1substituents are acetyl. In some embodiments, between 4-20% of R1substituents are acetyl. In some embodiments, between 2-50% of R1substituents are a group of formula (II). In some embodiments, between 4-30% of R1substituents are a group of formula (II). In some embodiments, 55-90% of R1substituents are hydrogen, 4-20% of R1substituents are acetyl, 4-30% of R1substituents are a group of formula (II). In some embodiments, R2is amino and R3is an arginine side chain. In some embodiments, R1is selected from one of the following: In some embodiments, R2is amino and R3is a lysine side chain. In some embodiments, R1is selected from one of the following: In some embodiments, R2is amino and R3is a histidine side chain. In some embodiments, R1is selected from one of the following: In some embodiments, at least 1% of R1substituents are selected from one of the following: AND at least 1% of R1substituents are selected from the following: In some embodiments, R2is amino and R3is a substituted C1-C6alkyl. In some embodiments, R3is C1-C6alkyl substituted with an amino group. In some embodiments, R3is C1alkyl substituted with an amino group. In some embodiments, R3is C2alkyl substituted with an amino group. In some embodiments, R3is C3alkyl substituted with an amino group. In some embodiments, R1is selected from one of the following: In some embodiments, R3is C1-C6alkyl substituted with a guanidino group. In some embodiments, R3is C1alkyl substituted with a guanidino group. In some embodiments, R3is C2alkyl substituted with a guanidino group. In some embodiments, R1is selected from one of the following: In some embodiments, R2is amino that is substituted with a nitrogen protecting group prior to substitution on chitosan and removed subsequent to substitution on chitosan. In some embodiments, the nitrogen protecting group is tert-butyloxycarbonyl (Boc). In some embodiments, in the synthetic process a nitrogen protecting group is used, which can provide an intermediate polymer having a nitrogen protecting group such as Boc. In some embodiments, R2is amino. In some embodiments, R2is hydrogen and R3is amino. In some embodiments, R2is hydrogen and R3is guanidino. In some embodiments, R2is hydrogen and R3is a substituted C1-C6alkyl. In some embodiments, R3is C1-C6alkyl substituted with an amino group. In some embodiments, R3is C1alkyl substituted with an amino group. In some embodiments, R3is C2alkyl substituted with an amino group. In some embodiments, R3is C3alkyl substituted with an amino group. In some embodiments, R3is C4alkyl substituted with an amino group. In some embodiments, R3is C5alkyl substituted with an amino group. In some embodiments, R1is selected from one of the following: In some embodiments, R3is C1-C6alkyl substituted with a guanidino group. In some embodiments, R3is C1alkyl substituted with a guanidino group. In some embodiments, R3is C2alkyl substituted with a guanidino group. In some embodiments, R3is C3alkyl substituted with a guanidino group. In some embodiments, R1is selected from one of the following: In some embodiments, at least 25% of R1substituents are H, at least 1% of R1substituents are acetyl, and at least 2% of R1substituents independently selected from any of the formulae specifically shown above. In some embodiments, the chitosan of formula (I) may be further derivatized on the free hydroxyl moieties. In some embodiments, the molecular weight of the derivatized chitosan is between 5,000 and 1,000,000 Da. In some embodiments, the molecular weight of the derivatized chitosan is between 5,000 and 350,000 Da. In some embodiments, the molecular weight of the derivatized chitosan is between 10,000 and 150,000 Da. In some embodiments, the molecular weight of the derivatized chitosan is between 15,000 and 100,000 Da. In some embodiments, the molecular weight of the derivatized chitosan is between 20,000 and 30,000 Da. In some embodiments, the chitosan is functionalized at between 5% and 50%. In a preferred embodiment, the chitosan is functionalized at between 20% and 30%. In some embodiments, the degree of deacetylation (% DDA) of the derivatized chitosan is between 75% and 95%. In some embodiments, the degree of deacetylation (% DDA) of the derivatized chitosan is between 80% and 90%. In some embodiments, the polydispersity index (PDI) of the derivatized chitosan is between 1.0 and 2.5. In some embodiments, the polydispersity index (PDI) of the derivatized chitosan is between 1.5 and 2.0. In some embodiments, the derivatized chitosan is substantially free of other impurities, e.g., salt, e.g., NaCl. In some embodiments, the bacterium is selected from the group consisting of Gram-negative and Gram-positive bacteria. In some embodiments, the method also includes administering to the animal subject an anti-bacterial agent. In some embodiments, the anti-bacterial agent is selected from the group consisting of Gram-positive, Gram-negative, and broad spectrum antibiotic. In some embodiments, the anti-bacterial agent is selected from the group consisting of aminoglycosides, beta-lactam antibiotics, macrolides, antibiotic polypeptides, antibiotic lipopeptides, antibiotic glycopeptides, monobactams, quinolones, sulfonamides and tetracyclines. In some embodiments, the animal subject is a pig, sheep, cow, goat, chicken, turkey, duck or goose. In some embodiments, the infection is a In some embodiments, the animal subject has a respiratory disease, e.g., from air sac infection, a septicemic (blood) disease from generalized infections, an enteritis from intestinal infection, or a combination of any or all of these conditions. In some embodiments, the disease results from a coliform infection alone as in primary infection or in combination with other disease agents as a complicating or secondary infection. In some embodiments, the secondary infection is a In some embodiments, the disease is In some embodiments, the animal subject is also administered an anti-bacterial agent, e.g., in the case of a In some embodiments, the anti-bacterial agent and derivatized chitosan are present at a concentration, or administered at a dose, which results in a synergistic effect, e.g., the inhibition is greater, e.g., at least 2, 4, 10, 20, 50, or 100 times greater, than the sum of the inhibition seen with either used alone. In some embodiments, the anti-bacterial agent is present at a concentration, or administered at a dose, which is less than the lowest concentration, or dose, that would give maximum inhibition in the absence of the derivatized chitosan. In some embodiments, the anti-bacterial agent is present at a concentration, or administered at a dose, which is less than the lowest concentration, or dose, generally used to treat infections of the bacterium. In some embodiments, the anti-bacterial agent is present at a concentration, or administered at a dose, which is less than 90, 80, 70, 60, 50, 40, 30, 20, 10, 5, 1, 0.1, 0.01% of the lowest concentration, or dose, that would give maximum inhibition in the absence of the derivatized chitosan. In some embodiments, the anti-bacterial agent is present at a concentration, or administered at a dose, which is less than 90, 80, 70, 60, 50, 40, 30, 20, 10, 5, 1, 0.1, 0.01% of the lowest concentration, or dose, generally used to treat infections of the bacterium. In some embodiments, the anti-bacterial agent and derivatized chitosan are present at a concentration, or administered at a dose, which are lower than the MIC of at least one of the anti-bacterial agent or derivatized chitosan when administered in the abasence the other. In some embodiments, the anti-bacterial agent and derivatized chitosan are present at a concentration, or administered at a dose, which have an FIC less than about 0.5, 0.4, 0.3, 0.2, 0.1, 0.05, or 0.01. In some embodiments, the anti-bacterial agent is present at a concentration, or administered at a dose, which would not result in substantial inhibition of bacterial growth in the absence of the derivatized chitosan. In some embodiments, the anti-bacterial agent is present at a concentration, or administered at a dose, which would not result in clinical or therapeutic levels of inhibition of bacterial growth in the absence of the derivatized chitosan. In some embodiments, the animal subject is also administered a vitamin treatment. In some embodiments, the disease is acute or chronic ulcerative enteritis. In some embodiments, the animal subject is a bird, e.g., a quail, bird, chicken, turkey or other domestic fowl. In some embodiments, the animal subject has a In some embodiments, the infection or disorder has previously been treated with an anti-bacterial agent without a chitosan derivative and, e.g., said treatment was unsatisfactory. In one aspect, the invention features a preparation of animal feed comprising feed and a chitosan derivative. In some embodiments, the preparation also includes an anti-bacterial agent. In another aspect, the invention features the chitosan-derivative dissolved in the water available to the animal. In some embodiments, the anti-bacterial agent is selected from the group consisting of Gram-positive, Gram-negative, and broad spectrum antibiotic. In some embodiments, the antibiotic is selected from the group consisting of aminoglycosides, beta-lactam antibiotics, macrolides, antibiotic polypeptides, antibiotic lipopeptides, antibiotic glycopeptides, monobactams, quinolones, sulfonamides and tetracyclines. In some embodiments, the derivatized chitosan is soluble in aqueous solution from about pH 6.8 to about pH 7.4. In some embodiments, the derivatized chitosan is soluble in aqueous solution from about pH 3 to about pH 9. In some embodiments, the derivatized chitosan is soluble in aqueous solution from about pH 5.0 to about pH 6.0, e.g., in wounds or duodenum. In some embodiments, the derivatized chitosan is soluble in aqueous solution from about pH 2.0 to about pH 4.0, e.g., in stomach. In some embodiments, the derivatized chitosan is soluble in aqueous solution from about pH 8.0 to about pH 8.5, e.g., in lower part of the gastrointestinal tract. In some embodiments, the derivatized chitosan comprises a chitosan of the following formula (I): wherein: n is an integer between 20 and 6000; and each R1is independently selected for each occurrence from hydrogen, acetyl, and either: a) a group of formula (II): wherein R2is hydrogen or amino; and R3is amino, guanidino, C1-C6alkyl substituted with an amino or guanidino moiety, or a natural or unnatural amino acid side chain; or b) R1, when taken together with the nitrogen to which it is attached, forms a guanidine moiety; wherein at least 25% of R1substituents are H, at least 1% of R1substituents are acetyl, and at least 2% of R1substituents are a group of formula (II) or are taken together with the nitrogen to which they are attached to form a guanidine moiety. In some embodiments, between 25-95% of R1substituents are hydrogen. In some embodiments, between 55-90% of R1substituents are hydrogen. In some embodiments, between 1-50% of R1substituents are acetyl. In some embodiments, between 4-20% of R1substituents are acetyl. In some embodiments, between 2-50% of R1substituents are a group of formula (II). In some embodiments, between 4-30% of R1substituents are a group of formula (II). In some embodiments, 55-90% of R1substituents are hydrogen, 4-20% of R1substituents are acetyl, 4-30% of R1substituents are a group of formula (II). In some embodiments, R2is amino and R3is an arginine side chain. In some embodiments, R1is selected from one of the following: In some embodiments, R2is amino and R3is a lysine side chain. In some embodiments, R1is selected from one of the following: In some embodiments, R2is amino and R3is a histidine side chain. In some embodiments, R1is selected from one of the following: In some embodiments, at least 1% of R1substituents are selected from one of the following: AND at least 1% of R1substituents are selected from the following: In some embodiments, R2is amino and R3is a substituted C1-C6alkyl. In some embodiments, R3is C1-C6alkyl substituted with an amino group. In some embodiments, R3is C1alkyl substituted with an amino group. In some embodiments, R3is C2alkyl substituted with an amino group. In some embodiments, R3is C3alkyl substituted with an amino group. In some embodiments, R1is selected from one of the following: In some embodiments, R3is C1-C6alkyl substituted with a guanidino group. In some embodiments, R3is C1alkyl substituted with a guanidino group. In some embodiments, R3is C2alkyl substituted with a guanidino group. In some embodiments, R1is selected from one of the following: In some embodiments, R2is amino that is substituted with a nitrogen protecting group prior to substitution on chitosan and removed subsequent to substitution on chitosan. In some embodiments, the nitrogen protecting group is tert-butyloxycarbonyl (Boc). In some embodiments, in the synthetic process a nitrogen protecting group is used, which can provide an intermediate polymer having a nitrogen protecting group such as Boc. In some embodiments, R2is amino. In some embodiments, R2is hydrogen and R3is amino. In some embodiments, R2is hydrogen and R3is guanidino. In some embodiments, R2is hydrogen and R3is a substituted C1-C6alkyl. In some embodiments, R3is C1-C6alkyl substituted with an amino group. In some embodiments, R3is C1alkyl substituted with an amino group. In some embodiments, R3is C2alkyl substituted with an amino group. In some embodiments, R3is C3alkyl substituted with an amino group. In some embodiments, R3is C4alkyl substituted with an amino group. In some embodiments, R3is C5alkyl substituted with an amino group. In some embodiments, R1is selected from one of the following: In some embodiments, R3is C1-C6alkyl substituted with a guanidino group. In some embodiments, R3is C1alkyl substituted with a guanidino group. In some embodiments, R3is C2alkyl substituted with a guanidino group. In some embodiments, R3is C3alkyl substituted with a guanidino group. In some embodiments, R3is C4alkyl substituted with a guanidino group. In some embodiments, R3is C5alkyl substituted with a guanidino group. In some embodiments, R1is selected from one of the following: In some embodiments, at least 25% of R1substituents are H, at least 1% of R1substituents are acetyl, and at least 2% of R1substituents independently selected from any of the formulae specifically shown above. In some embodiments, the chitosan of formula (I) may be further derivatized on the free hydroxyl moieties. In some embodiments, the molecular weight of the derivatized chitosan is between 5,000 and 1,000,000 Da. In some embodiments, the molecular weight of the derivatized chitosan is between 5,000 and 350,000 Da. In some embodiments, the molecular weight of the derivatized chitosan is between 10,000 and 150,000 Da. In some embodiments, the molecular weight of the derivatized chitosan is between 15,000 and 100,000 Da. In some embodiments, the molecular weight of the derivatized chitosan is between 20,000 and 30,000 Da. In some embodiments, the chitosan is functionalized at between 5% and 50%. In a preferred embodiment, the chitosan is functionalized at between 20% and 30%. In some embodiments, the degree of deacetylation (% DDA) of the derivatized chitosan is between 75% and 95%. In some embodiments, the degree of deacetylation (% DDA) of the derivatized chitosan is between 80% and 90%. In some embodiments, the polydispersity index (PDI) of the derivatized chitosan is between 1.0 and 2.5. In some embodiments, the polydispersity index (PDI) of the derivatized chitosan is between 1.5 and 2.0. In some embodiments, the derivatized chitosan is substantially free of other impurities, e.g., salt, e.g., NaCl. In one aspect, the invention features a method of optimizing weight gain in an animal subject, or in general, optimizing health in an animal subject, comprising: administering an effective amount of a derivatized chitosan to said animal, thereby optimizing weight gain in an animal subject, or in general, optimizing health in an animal subject. In some embodiments, the method includes improving and/or optimizing feed conversion. In some embodiments, the method includes improving and/or optimizing animal performance. In some embodiments, the method includes improving and/or optimizing weight gain. In some embodiments, the method also includes administering to the animal an anti-bacterial agent. In some embodiments, the anti-bacterial agent is selected from the group consisting of Gram-positive, Gram-negative, and broad spectrum antibiotic. In some embodiments, the anti-bacterial agent is selected from the group consisting of aminoglycosides, beta-lactam antibiotics, macrolides, antibiotic polypeptides, antibiotic lipopeptides, antibiotic glycopeptides, monobactams, quinolones, sulfonamides and tetracyclines. In some embodiments, the anti-bacterial agent and chitosan derivative act synergistically. In some embodiments, the anti-bacterial agent and derivatized chitosan are present at a concentration, or administered at a dose, which results in a synergistic effect, e.g., the inhibition is greater, e.g., at least 2, 4, 10, 20, 50, or 100 times greater, than the sum of the inhibition seen with either used alone. In some embodiments, the anti-bacterial agent is present at a concentration, or administered at a dose, which is less than the lowest concentration, or dose, that would give maximum inhibition in the absence of the derivatized chitosan. In some embodiments, the anti-bacterial agent is present at a concentration, or administered at a dose, which is less than the lowest concentration, or dose, generally used to treat infections of the bacterium. In some embodiments, the anti-bacterial agent is present at a concentration, or administered at a dose, which is less than 90, 80, 70, 60, 50, 40, 30, 20, 10, 5, 1, 0.1, 0.01% of the lowest concentration, or dose, that would give maximum inhibition in the absence of the derivatized chitosan. In some embodiments, the anti-bacterial agent is present at a concentration, or administered at a dose, which is less than 90, 80, 70, 60, 50, 40, 30, 20, 10, 5, 1, 0.1, 0.01% of the lowest concentration, or dose, generally used to treat infections of the bacterium. In some embodiments, the anti-bacterial agent and derivatized chitosan are present at a concentration, or administered at a dose, which are lower than the MIC of at least one of the anti-bacterial agent or derivatized chitosan when administered in the abasence the other. In some embodiments, the anti-bacterial agent and derivatized chitosan are present at a concentration, or administered at a dose, which have an FIC less than about 0.5, 0.4, 0.3, 0.2, 0.1, 0.05, or 0.01. In some embodiments, the anti-bacterial agent is present at a concentration, or administered at a dose, which would not result in substantial inhibition of bacterial growth in the absence of the derivatized chitosan. In some embodiments, the anti-bacterial agent is present at a concentration, or administered at a dose, which would not result in clinical or therapeutic levels of inhibition of bacterial growth in the absence of the derivatized chitosan. In some embodiments, the derivatized chitosan is soluble in aqueous solution from about pH 6.8 to about pH 7.4. In some embodiments, the derivatized chitosan is soluble in aqueous solution from about pH 3 to about pH 9. In some embodiments, the derivatized chitosan is soluble in aqueous solution from about pH 5.0 to about pH 6.0, e.g., in wounds or duodenum. In some embodiments, the derivatized chitosan is soluble in aqueous solution from about pH 2.0 to about pH 4.0, e.g., in stomach. In some embodiments, the derivatized chitosan is soluble in aqueous solution from about pH 8.0 to about pH 8.5, e.g., in lower part of the gastrointestinal tract. In some embodiments, the derivatized chitosan comprises a chitosan of the following formula (I): wherein: n is an integer between 20 and 6000; and each R1is independently selected for each occurrence from hydrogen, acetyl, and either: a) a group of formula (II): wherein R2is hydrogen or amino; and R3is amino, guanidino, C1-C6alkyl substituted with an amino or guanidino moiety, or a natural or unnatural amino acid side chain; or b) R1, when taken together with the nitrogen to which it is attached, forms a guanidine moiety; wherein at least 25% of R1substituents are H, at least 1% of R1substituents are acetyl, and at least 2% of R1substituents are a group of formula (II) or are taken together with the nitrogen to which they are attached to form a guanidine moiety. In some embodiments, between 25-95% of R1substituents are hydrogen. In some embodiments, between 55-90% of R1substituents are hydrogen. In some embodiments, between 1-50% of R1substituents are acetyl. In some embodiments, between 4-20% of R1substituents are acetyl. In some embodiments, between 2-50% of R1substituents are a group of formula (II). In some embodiments, between 4-30% of R1substituents are a group of formula (II). In some embodiments, 55-90% of R1substituents are hydrogen, 4-20% of R1substituents are acetyl, 4-30% of R1substituents are a group of formula (II). In some embodiments, R2is amino and R3is an arginine side chain. In some embodiments, R1is selected from one of the following: In some embodiments, R2is amino and R3is a lysine side chain. In some embodiments, R1is selected from one of the following: In some embodiments, R2is amino and R3is a histidine side chain. In some embodiments, R1is selected from one of the following: In some embodiments, at least 1% of R1substituents are selected from one of the following: AND at least 1% of R1substituents are selected from the following: In some embodiments, R2is amino and R3is a substituted C1-C6alkyl. In some embodiments, R3is C1-C6alkyl substituted with an amino group. In some embodiments, R3is C1alkyl substituted with an amino group. In some embodiments, R3is C2alkyl substituted with an amino group. In some embodiments, R3is C3alkyl substituted with an amino group. In some embodiments, R1is selected from one of the following: In some embodiments, R3is C1-C6alkyl substituted with a guanidino group. In some embodiments, R3is C1alkyl substituted with a guanidino group. In some embodiments, R3is C2alkyl substituted with a guanidino group. In some embodiments, R1is selected from one of the following: In some embodiments, R2is amino that is substituted with a nitrogen protecting group prior to substitution on chitosan and removed subsequent to substitution on chitosan. In some embodiments, the nitrogen protecting group is tert-butyloxycarbonyl (Boc). In some embodiments, in the synthetic process a nitrogen protecting group is used, which can provide an intermediate polymer having a nitrogen protecting group such as Boc. In some embodiments, R2is amino. In some embodiments, R2is hydrogen and R3is amino. In some embodiments, R2is hydrogen and R3is guanidino. In some embodiments, R2is hydrogen and R3is a substituted C1-C6alkyl. In some embodiments, R3is C1-C6alkyl substituted with an amino group. In some embodiments, R3is C1alkyl substituted with an amino group. In some embodiments, R3is C2alkyl substituted with an amino group. In some embodiments, R3is C3alkyl substituted with an amino group. In some embodiments, R3is C4alkyl substituted with an amino group. In some embodiments, R3is C5alkyl substituted with an amino group. In some embodiments, R1is selected from one of the following: In some embodiments, R3is C1-C6alkyl substituted with a guanidino group. In some embodiments, R3is C1alkyl substituted with a guanidino group. In some embodiments, R3is C2alkyl substituted with a guanidino group. In some embodiments, R3is C3alkyl substituted with a guanidino group. In some embodiments, R3is C4alkyl substituted with a guanidino group. In some embodiments, R3is C5alkyl substituted with a guanidino group. In some embodiments, R1is selected from one of the following: In some embodiments, at least 25% of R1substituents are H, at least 1% of R1substituents are acetyl, and at least 2% of R1substituents independently selected from any of the formulae specifically shown above. In some embodiments, the chitosan of formula (I) may be further derivatized on the free hydroxyl moieties. In some embodiments, the molecular weight of the derivatized chitosan is between 5,000 and 1,000,000 Da. In some embodiments, the molecular weight of the derivatized chitosan is between 5,000 and 350,000 Da. In some embodiments, the molecular weight of the derivatized chitosan is between 10,000 and 150,000 Da. In some embodiments, the molecular weight of the derivatized chitosan is between 15,000 and 100,000 Da. In some embodiments, the molecular weight of the derivatized chitosan is between 20,000 and 30,000 Da. In some embodiments, the chitosan is functionalized at between 5% and 50%. In a preferred embodiment, the chitosan is functionalized at between 20% and 30%. In some embodiments, the degree of deacetylation (% DDA) of the derivatized chitosan is between 75% and 95%. In some embodiments, the degree of deacetylation (% DDA) of the derivatized chitosan is between 80% and 90%. In some embodiments, the polydispersity index (PDI) of the derivatized chitosan is between 1.0 and 2.5. In some embodiments, the polydispersity index (PDI) of the derivatized chitosan is between 1.5 and 2.0. In some embodiments, the derivatized chitosan is substantially free of other impurities, e.g., salt, e.g., NaCl. Described herein are compositions and methods useful for inhibiting the growth of a bacterium and/or killing a bacterium in an animal subject, preventing or delaying onset of an infection with a bacterium in an animal subject, methods of preventing or delaying onset of a pathogen mediated disease or disorder in an animal subject, and methods of minimizing or reducing bacterial load in an animal subject, in an animal subject. Also described herein are methods of optimizing weight gain in an animal subject, or in general, optimizing health of an animal by administering to an animal a chitosan derivative described herein (e.g., alone or in combination with another agent such as an anti-bacterial agent). In some embodiments, for example, in embodiments where the chitosan derivative is used in combination with another agent, the agents act synergistically. Methods disclosed herein allow achieving these aims with or without the administration of anti-bacterial agents to animals, or in some cases, greatly reduce the amount of an anti-bacterial agent needed. These methods include administering to a subject a chitosan derivative described herein. In some embodiments, the subject has a bacterial infection, e.g., the chitosan derivative is administered to the subject to treat the bacterial infection or reduce bacterial load. In some embodiments, the subject does not have a bacterial infection, e.g., the chitosan derivative is administered as a prophylactic or to otherwise optimize the weight and/or health of the subject. The chitosan derivatives can be administered as described herein, for example administered in a formulation described herein such as a feed or feed supplement. In some embodiments, the chitosan derivative is administered together with another agent such as an anti-bacterial agent. Weight gain is often measured as a weight to feed conversion. Optimizing weight gain is the process of improving the amount of weight an animal gains for a given amount of feed. Optimized animal health reflects the overall tendency of the flock, herd or collection of animals to succumb to bacterial infections. Statistically, animals in optimal health have few to no bacterial infections that must be treated. The compounds described herein can be administered to a subject, e.g., in vivo, to treat or prevent a variety of disorders, including those described herein below. As used herein, the term “treat” or “treatment” is defined as the application or administration of a compound (e.g., a combination of compounds described herein) to a subject, e.g., an animal, or application or administration of the compound to an isolated tissue or cell, e.g., cell line, from a subject, e.g., an animal, who has a bacterial disorder (e.g., a bacterial infection), a symptom of a bacterial disorder, or a predisposition toward a bacterial disorder, with the purpose to cure, heal, alleviate, relieve, alter, remedy, ameliorate, improve or affect the bacterial disorder, one or more symptoms of the bacterial disorder or the predisposition toward the bacterial disorder (e.g., to prevent at least one symptom of the bacterial disorder or to delay onset of at least one symptom of the bacterial disorder). As used herein, an amount of a compound effective to treat a bacterial disorder, or a “therapeutically effective amount” refers to an amount of the compound which is effective, upon single or multiple dose administration to a subject, in treating a cell, or in curing, alleviating, relieving or improving a subject with a disorder beyond that expected in the absence of such treatment. As used herein, an amount of a compound effective to inhibit a bacterial disorder, or “a prophylactically effective amount” of the compound refers to an amount effective, upon single- or multiple-dose administration to the subject, in inhibiting or delaying the occurrence of the onset or recurrence of a disorder or a symptom of the disorder. As used herein, primary contact means that an individual is in direct physical contact with the subject, e.g., an animal, or that they exchange bodily fluids, e.g., by drinking from the same cup. Secondary contact means that a first individual has primary contact with a second individual and the second individual has direct contact with the subject, e.g., an animal. As used herein, a “minimum inhibitory concentration (MIC)” is the lowest concentration of an antibacterial that inhibits the visible growth of a bacterium after overnight incubation. MIC can be used to confirm resistance of bacteria to an antibacterial agent and also to monitor the activity of new antibacterial agents. MIC can be determined by agar or broth dilution methods usually following the guidelines of a reference body such as the Clinical and Laboratory Standards Institute (CLSI), British Society for Antimicrobial Chemotherapy (BSAC) or The European Committee on Antimicrobial Susceptibility Testing (EUCAST). Methods to determine MIC are described, e.g., in Andrews J M. As used herein, “administered in combination” or a combined administration of two agents means that two or more agents (e.g., compounds described herein) are administered to a subject at the same time or within an interval such that there is overlap of an effect of each agent on the patient. Preferably they are administered within 60, 15, 10, 5, or 1 minute of one another. Preferably the administrations of the agents are spaced sufficiently close together such that a combinatorial (e.g., a synergistic) effect is achieved. The agents can be administered simultaneously, for example in a combined unit dose (providing simultaneous delivery of both agents). Alternatively, the agents can be administered at a specified time interval, for example, an interval of minutes, hours, days or weeks. Generally, the agents are concurrently bioavailable, e.g., detectable, in the subject. In a preferred embodiment, the agents are administered essentially simultaneously, for example two unit dosages administered at the same time, or a combined unit dosage of the two agents. In another preferred embodiment, the agents are delivered in separate unit dosages. The agents can be administered in any order, or as one or more preparations that includes two or more agents. In a preferred embodiment, at least one administration of one of the agents, e.g., the first agent, is made within minutes, one, two, three, or four hours, or even within one or two days of the other agent, e.g., the second agent. In some cases, combinations can achieve synergistic results, e.g., greater than additive results, e.g., at least 20, 50, 70, 100 or 1000% greater than additive. As used herein, a “minimum inhibitory concentration (MIC)” is the lowest concentration of an antibacterial that inhibits the visible growth of a bacterium after overnight incubation. MIC can be used to confirm resistance of bacteria to an antibacterial agent and also to monitor the activity of new antibacterial agents. MIC can be determined by agar or broth dilution methods usually following the guidelines of a reference body such as the Clinical and Laboratory Standards Institute (CLSI), British Society for Antimicrobial Chemotherapy (BSAC) or The European Committee on Antimicrobial Susceptibility Testing (EUCAST). Methods to determine MIC are described, e.g., in Andrews J M. The term “synergy” or “synergistic” as used herein, refers to an outcome when two agents are used in combination, wherein the combination of the agents acts so as to require a smaller amount of each individual agent than that agent would require alone to be efficacious. For example, the fractional inhibitory concentration (FIC) is one type of measure of the interaction of two agents, such as an anti-bacterial agent and a chitosan derivative, used together, and is a powerful indicator of synergy. FIC uses the minimum inhibitory concentrations (MIC's) of each of the independent agents, A and B, for a particular bacterium as the basis, MIC(A) and MIC(B). Then takes the concentration of each component in a mixture where an MIC is observed, so for a two component system of A and B, MIC (A in B) is the concentration of A in the compound mixture and MIC (B in A) is the concentration of B in the mixture. The FIC is defined as follows: If FIC< or =0.5, the mixture is synergistic If FIC=1, the mixture is additive If FIC>4 the mixture is antagonistic For example say A=chitosan-arginine and B=ciprofloxacin Against Alone MIC(A)=8 μg/ml MIC(B)=0.5 μg/ml For Example 1: A combination of 1 μg/ml A with 0.1 μg/ml of B, resulting in the killing of bacteria FIC=⅛+0.1/.5=0.325, and is considered synergistic For Example 2: Note that if half and half are used, it is additive, for example A combination of 4 μg/ml A with 0.25 μg/ml of B, resulting in the killing of bacteria FIC= 4/8+0.25/0.5=0.5+0.5=1. In some embodiments the combination results in a reduction in Minimum Inhibitory Concentration (MIC) of the chitosan derivative of at least about 5% (e.g., at least about 10%, at least about 15%, at least about 20%, at least about 25%, at least about 30%, at least about 35%, at least about 40%, at least about 45%, at least about 50%, at least about 55%, at least about 60%, at least about 65%, at least about 70%, at least about 75%, at least about 80%, at least about 85%, at least about 90%, at least about 95%, at least about 99%, or at least about 99.5%. In some embodiments the combination results in a reduction in MIC of the anti-bacterial agent of at least about 5% (e.g., at least about 10%, at least about 15%, at least about 20%, at least about 25%, at least about 30%, at least about 35%, at least about 40%, at least about 45%, at least about 50%, at least about 55%, at least about 60%, at least about 65%, at least about 70%, at least about 75%, at least about 80%, at least about 85%, at least about 90%, at least about 95%, at least about 99%, at least about 99.5%, at least about 99.9%, at least about 99.99%, or at least about 99.999%. In some embodiments the combination results in a Fractional Inhibitory Concentration (FIC) of the chitosan derivative and the anti-bacterial agent less than about 0.5 (e.g., less than about 0.4, less than about 0.3, less than about 0.2, less than about 0.1, less than about 0.05, less than about 0.02, less than about 0.01, less than about 0.005, less than about 0.001) In some embodiments, the combination results in a bactericidal activity at least about 2, 2.5, 3, 3.5, 4, 4.5, or 5 logs more effective than the most effective individual activity, e.g., the activity of the chitosan derivative or the anti-bacterial agent. For instances where bactericidal activity, rather than inhibitory activity is measured, a time kill assay is used. A minimum bactericida concentration (MBC) can be determined for a given paeriod of time, and with a cut off of 3 or 4 or 5 log reduction in viable bacteria. For the purposes of defining synergy in a time kill assay, acombination of treatments is considered synergistic if the resultant bactericidal activity is 2 logs more effective than the most effective individual activity. [Stratton, C. W. & Cooksey, R. C. (1991). Susceptibility tests: special tests. In The subjects described herein include animal subjects. Suitable animal subjects include, but are not limited to, pet, wild, zoo, laboratory, and farm animals. Suitable animal subjects include primates, rodents, and birds. Examples of said animals include, but are not limited to, guinea pigs, hamsters, gerbils, rat, mice, rabbits, dogs, cats, horses, pigs, sheep, cows, goats, deer, rhesus monkeys, monkeys, tamarinds, apes, baboons, gorillas, chimpanzees, orangutans, gibbons, fowl, e.g., pheasant, quail (or other gamebirds), a waterfowl, ostriches, chickens, turkeys, ducks, and geese or free flying bird. Exemplary disorders in animals include those described above, for example as caused by an infection with a bacteria described above. Compounds and compositions containing a soluble chitosan or a functionalized chitosan derivative for treating or preventing bacterial infections or generally optimize animal health, e.g., to optimize weight gain to allow for the use of lower doses of anti-bacterial agents, are described herein. These compounds and compositions can be administered to a subject using the methods described herein, for example by administering in a composition described herein. Chitosan is an insoluble polymer derived from chitin, which is a polymer of N-acetylglucosamine. It is the main component of the exoskeletons of crustaceans (e.g. shrimp, crab, lobster). Chitosan is formed from chitin by deacetylation, and thus is a random copolymer of glucosamine and N-acetylglucosamine monomers. Chitosan is therefore not a single polymeric molecule, but a class of molecules having various molecular weights and various degrees of deacetylation. The degree of deacetylation determines the relative content of free amino groups to total monomers in the chitosan polymer. The percent deacetylation in commercial chitosans is typically between 50-100%. Chitosans with any degree of deacetylation (DDA) greater than 50% are used in the present invention. Methods that can be used for determination of the degree of deacetylation of chitosan include, e.g., ninhydrin test, linear potentiometric titration, near-infrared spectroscopy, nuclear magnetic resonance spectroscopy, hydrogen bromide titrimetry, infrared spectroscopy, and first derivative UV-spectrophotometry. Preferably, the degree of deacetylation of a soluble chitosan or a derivatized chitosan described herein is determined by quantitative infrared spectroscopy. The chitosan derivatives described herein are generated by functionalizing the resulting free amino groups with positively charged or neutral moieties, as described herein. Chitosans with functionalization between 2% and 50% of the available amines are used in the present invention. Percent functionalization is determined as the % of derivatized amines relative to the total number of available amino moieties prior to reaction on the chitosan polymer. Preferably, the percent functionalization of a derivatized chitosan described herein is determined by H-NMR or quantitative elemental analysis. The degrees of deacetylation and functionalization impart a specific charge density to the functionalized chitosan derivative. The resulting charge density affects solubility, and the strength of interaction with bacterial cell walls and membranes. The molecular weight is also an important factor in the tenacity of bacterial wall interaction and thus bactericidal activity. Thus, in accordance with the present invention, the degree of deacetylation, the functionalization and the molecular weight must be optimized for optimal efficacy. The derivatized chitosans described herein have a number of properties which are advantageous including solubility at physiologic pH and antimicrobial activity when in solution or dry at any pH less than about 9. Exemplary chitosan derivatives are described in Baker et al; Ser. No. 11/657,382 filed on Jan. 24, 2007, which is incorporated herein by reference. A soluble chitosan as described herein, refers to a water soluble chitosan that is not derivatized, specifically on the hydroxyl or amine moieties. Generally a water soluble chitosan has a molecular weight of less than or equal to about 10 kDa and a degree of deacetylation equal or greater than 80%. Water soluble is defined as being fully dissolvable in water at pH 7. The chitosan derivatives described herein have a range of polydispersity index (PDI) between about 1.0 to about 2.5. As used herein, the polydispersity index (PDI), is a measure of the distribution of molecular weights in a given polymer sample. The PDI calculated is the weight averaged molecular weight divided by the number averaged molecular weight. This calculation indicates the distribution of individual molecular weights in a batch of polymers. The PDI has a value always greater than 1, but as the polymer chains approach uniform chain length, the PDI approaches unity (1). The PDI of a polymer derived from a natural source depends on the natural source (e.g. chitin or chitosan from crab vs. shrimp vs. fungi) and can be affected by a variety of reaction, production, processing, handling, storage and purifying conditions. Methods to determine the polydispersity include, e.g., gel permeation chromatography (also known as size exclusion chromatography); light scattering measurements; and direct calculation from MALDI or from electrospray mass spectrometry. Preferably, the PDI of a soluble chitosan or a derivatized chitosan described herein is determined by HPLC and multi angle light scattering methods. The chitosan derivatives described herein have a range of molecular weights that are soluble at neutral and physiological pH, and include for the purposes of this invention molecular weights ranging from 5-1,000 kDa. Embodiments described herein feature moderate molecular weights of derivatized chitosans (25 kDa, e.g., from about 15 to about 300 kDa) which can have clumping, diffusible and biofilm disruption properties. The functionalized chitosan derivatives described herein include the following: (A) Chitosan-arginine compounds; (B) Chitosan-natural amino acid derivative compounds; (C) Chitosan-unnatural amino acid compounds; (D) Chitosan-acid amine compounds; (E) Chitosan-guanidine compounds; and (F) Neutral chitosan derivative compounds. (A) Chitosan-arginine Compounds In some embodiments, the present invention is directed to chitosan-arginine compounds, where the arginine is bound through a peptide (amide) bond via its carbonyl to the primary amine on the glucosamines of chitosan: wherein each R1is independently selected from hydrogen, acetyl, and a group of the following formula: or a racemic mixture thereof, wherein at least 25% of R1substituents are H, at least 1% are acetyl, and at least 2% are a group of the formula shown above. (B) Chitosan-Natural Amino Acid Derivative Compounds In some embodiments, the present invention is directed to chitosan-natural amino acid derivative compounds, wherein the natural amino acid may be histidine or lysine. The amino is bound through a peptide (amide) bond via its carbonyl to the primary amine on the glucosamines of chitosan: wherein each R1is independently selected from hydrogen, acetyl, and a group of the following formula: or a racemic mixture thereof, wherein at least 25% of R1substituents are H, at least 1% are acetyl, and at least 2% are a group of the formula shown above; OR a group of the following formula: or a racemic mixture thereof, wherein at least 25% of R1substituents are H, at least 1% are acetyl, and at least 2% are a group of the formula shown above. (C) Chitosan-Unnatural Amino Acid Compounds In some embodiments, the present invention is directed to chitosan-unnatural amino acid compounds, where the unnatural amino acid is bound through a peptide (amide) bond via its carbonyl to the primary amine on the glucosamines of chitosan: wherein each R1is independently selected from hydrogen, acetyl, and a group of the following formula: wherein R3is an unnatural amino acid side chain, and wherein at least 25% of R1substituents are H, at least 1% are acetyl, and at least 2% are a group of the formula shown above. Unnatural amino acids are those with side chains not normally found in biological systems, such as ornithine (2,5-diaminopentanoic acid). Any unnatural amino acid may be used in accordance with the invention. In some embodiments, the unnatural amino acids coupled to chitosan have the following formulae: (D) Chitosan-Acid Amine and Guanidine Compounds In some embodiments, the present invention is directed to chitosan-acid amine compounds, or their guanidylated counterparts. The acid amine is bound through a peptide (amide) bond via its carbonyl to the primary amine on the glucosamines of chitosan: wherein each R1is independently selected from hydrogen, acetyl, and a group of the following formula: wherein R3is selected from amino, guanidino, and C1-C6alkyl substituted with an amino or a guanidino group, wherein at least 25% of R1substituents are H, at least 1% are acetyl, and at least 2% are a group of the formula shown above In some embodiments, R1is selected from one of the following: (E) Chitosan-Guanidine Compounds In some embodiments, the present invention is directed to chitosan-guanidine compounds. wherein each R1is independently selected from hydrogen, acetyl, and a group in which R1, together with the nitrogen to which it is attached, forms a guanidine moiety; wherein at least 25% of R1substituents are H, at least 1% are acetyl, and at least 2% form a guanidine moiety together with the nitrogen to which it is attached. (F) Neutral Chitosan Derivative Compounds In some embodiments, the present invention is directed to neutral chitosan derivative compounds. Exemplary neutral chitosan derivative compounds include those where one or more amine nitrogens of the chitosan has been covalently attached to a neutral moiety such as a sugar: wherein each R1is independently selected from hydrogen, acetyl, and a sugar (e.g., a naturally occurring or modified sugar) or an a-hydroxy acid. Sugars can be monosaccharides, disaccharides or polysaccharides such as glucose, mannose, lactose, maltose, cellobiose, sucrose, amylose, glycogen, cellulose, gluconate, or pyruvate. Sugars can be covalently attached via a spacer or via the carboxylic acid, ketone or aldehyde group of the terminal sugar. Examples of a-hydroxy acids include glycolic acid, lactic acid, and citric acid. In some preferred embodiments, the neutral chitosan derivative is chitosan-lactobionic acid compound or chitosan-glycolic acid compound. Exemplary salts and coderivatives include those known in the art, for example, those described in US 20070281904, the contents of which is incorporated by reference in its entirety. The compounds described herein can be formulated in a variety of manners, including for oral, topical, or inhaled (e.g., orally, enterally, by inhalation spray, nebulizer, topically, rectally, nasally, buccally). The pharmaceutical compositions of this invention may contain any conventional non-toxic pharmaceutically-acceptable carriers, adjuvants or vehicles. In some cases, the pH of the formulation may be adjusted with pharmaceutically acceptable acids, bases or buffers to enhance the stability of the formulated compound or its delivery form. The compounds and compositions can also be formulated for inclusion in feed or water, or administration by inhalation is particularly desirable for use with animals. For example, in some embodiments, animal feed composition is provided which comprises the chitosan derivatives of the present invention. The derivatized chitosan can be added to animal feed to promote growth and/or prevent infection. The chitosan derivatives of the present invention are also useful as additives for animal/feed. The chitosan derivative can be formulated in an animal feed premix or animal feed supplement containing the anti-bacterial agent and an edible carrier or diluent. These premixes or animal feed supplements may then be mixed with a sufficient quantity of an appropriate animal feed (e.g., livestock, poultry, fish, pet and/or other animal feed) to provide a final animal feed formulation having the desired level of the chitosan derivative in the feed. The chitosan derivatives of the present invention are also useful as additives in water. The chitosan derivative can be dissolved and delivered in ad libitum water and supplemented with the soluble anti-bacterial agent. These soluble formulations can provide ease of use, no premixing with the feed-preparing organization and immediate administration based on need. The compounds of this invention may be administered by aerosol, nebulizer, or inhalation. In some embodiments, the composition is in the form of a dry powder, a suspension, or a solution. Such compositions are prepared according to techniques well-known in the art of pharmaceutical formulation and may be prepared as solutions in saline, employing benzyl alcohol or other suitable preservatives, absorption promoters to enhance bioavailability, fluorocarbons, and/or other solubilizing or dispersing agents known in the art. Exemplary methods and devices for aerosol or inhalation include those described in U.S. Pat. No. 6,962,151, which is incorporated herein by reference in its entirety. Compositions formulated for inhaled delivery generally include particles having a mean diameter of from about 0.1 μm to about 50 μm (e.g., from about 0.1 μm to about 10 μm, or from about 0.2 μm to about 5 μm. In some embodiments, the composition includes a dispersion of suitably-sized dry particles, for example, precipitants or crystals) or a dispersion of a solution (e.g., droplets) of a suitable size. Anti-Bacterial Agents In some embodiments, a chitosan derivative described herein is administered to a subject in combination with an anti-bacterial agent. In some embodiments, the chitosan and anti-bacterial agent act synergistically when administered to the subject (e.g., when fed to the subject). Anti-bacterial agent action generally falls within one of four mechanisms. Three involve the inhibition or regulation of enzymes involved in cell wall biosynthesis, nucleic acid metabolism and repair, or protein synthesis. The fourth mechanism involves the disruption of membrane structure, like a pore-former. A common example of a pore-former is polymixin B. General Classes of Anti-Bacterial Agents and Mechanism (a Star Indicates the Anti-Bacterial Agent has been Tested and Shows Synergy) Aminoglycosides: Inhibit protein synthesis by binding to a portion of the bacterial ribosome. Most of them are bacteriocidal (i.e., cause bacterial cell death). Bacitracin: Inhibits cell wall production by blocking the step in the process (recycling of the membrane lipid carrier) which is needed to add on new cell wall subunits. Beta-lactam antibiotics: Antibiotics in this group contain a specific chemical structure (i.e., a beta-lactam ring). This includes penicillins, cephalosporins, carbapenems and monobactams. They inhibit the synthesis of the peptidoglycan layer of bacterial cell walls of Gram positive organisms, by binding to penicillin binding protein (PBP), which is the last step in cell wall synthesis. Although, some Gram negative bacteria seem to be susceptible. Cephalosporins: These are similar to penicillins in their mode of action but they treat a broader range of bacterial infections. They have structural similarities to penicillins and many people with allergies to penicillins also have allergic reactions to cephalosporins. Chloramphenicol: Inhibits protein synthesis by binding to a subunit of bacterial ribosomes (50S). Glycopeptides (e.g., vancomycin): Interferes with cell wall development by blocking the attachment of new cell wall subunits (muramyl pentapeptides). Macrolides (e.g., erythromycin) and Lincosamides (e.g., clindamycin): Inhibit protein synthesis by binding to a subunit of the bacterial ribosome (50S). Penicillins: Inhibits formation of the bacterial cell wall by blocking cross-linking of the cell wall structure. The cell wall is a needed protective casing for the bacterial cell. Quinolones: Blocks DNA synthesis by inhibiting one of the enzymes (DNA gyrase) needed in this process. (Ciprofloxacin is a fluoroquinolone) Rifampin: Inhibits RNA synthesis by inhibiting one of the enzymes (DNA-dependent RNA polymerase) needed in this process. RNA is needed to make proteins. Glycopeptide: Like vancoymcin, inhibits cell wall synthesis. Tetracyclines: Inhibit protein synthesis by binding to the subunit of the bacterial ribosome (30S subunit). Trimethoprim and Sulfonamides: Blocks cell metabolism by inhibiting enzymes which are needed in the biosynthesis of folic acid which is a necessary cell compound. Exemplary anti-bacterial agents are provided as follows. Exemplary aminoglycosides include Streptomycin, Neomycin, Framycetin, Parpmycin, Ribostamycin, Kanamycin, Amikacin, Dibekacin, Tobramycin, Hygromycin B, Spectinomycin, Gentamicin, Netilmicin, Sisomicin, Isepamicin, Verdamicin, Amikin, Garamycin, Kantrex, Netromycin, Nebcin, and Humatin. Exemplary carbacephems include Loracarbef (Lorabid). Exemplary carbapenems include Ertapenem, Invanz, Doripenem, Finibax, Imipenem/Cilastatin, Primaxin, Meropenem, and Merrem. Exemplary cephalosporins include Cefadroxil, Durisef, Cefazolin, Ancef, Cefalotin, Cefalothin, Keflin, Cefalexin, Keflex, Cefaclor, Ceclor, Cefamandole, Mandole, Cefoxitin, Mefoxin, Cefprozill, Cefzil, Cefuroxime, Ceftin, Zinnat, Cefixime, Suprax, Cefdinir, Omnicef, Cefditoren, Spectracef, Cefoperazone, Cefobid, Cefotaxime, Claforan, Cefpodoxime, Fortaz, Ceftibuten, Cedax, Ceftizoxime, Ceftriaxone, Rocephin, Cefepime, Maxipime, and Ceftrobriprole. Exemplary glycopeptides include Dalbavancin, Oritavancin, Teicoplanin, Vancomycin, and Vancocin. Exemplary macrolides include Azithromycin, Sithromax, Sumamed, Zitrocin, Clarithromycin, Biaxin, Dirithromycin, Erythromycin, Erythocin, Erythroped, Roxithromycin, Troleandomycin, Telithromycin, Ketek, and Spectinomycin. Exemplary monobactams include Aztreonam. Exemplary penicillins include Amoxicillin, Novamox, Aoxil, Ampicillin, Azlocillin, Carbenicillin, Coxacillin, Diloxacillin, Flucloxacillin Floxapen, Mezlocillin, Methicillin, Nafcillin, Oxacillin, Penicillin, and Ticarcillin. Exemplary polypeptides include Bacitracin, Colistin, and Polymyxin B. Exemplary quinolones include Ciprofloxacin, Cipro, Ciproxin, Ciprobay, Enoxacin, Gatifloxacin, Tequin, Levofloxacin, Levaquin, Lomefloxacin, Moxifloxacin, Avelox, Norfloxacin, Noroxin, Ofloxacin, Ocuflox, Trovafloxacin, and Trovan. Exemplary sulfonamides include Mefenide, Prontosil (archaic), Sulfacetamide, Sulfamethizole, Sulfanilamide (archaic), Sulfasalazine, Sulfisoxazole, Trimethoprim, Trimethoprim-Sulfamethoxazole (co-trimoxazole), and Bactrim. Exemplary tetracyclines include Demeclocyline, Doxycycline, Vibramycin, Minocycline, Minocin, Oxytetracycline, Terracin, Tetracycline, and Sumycin. Other exemplary antibiotics include Salvarsan, Chloamphenicol, Chloromycetin, Clindamycin, Cleocin, Linomycin, Ethambutol, Fosfomycin, Fusidic Acid, Fucidin, Furazolidone, Isoniazid, Linezolid, Zyvox, Metronidazole, Flagyl, Mupirocin, Bactroban, Nitrofurantion, Macrodantin, Macrobid, Platensimycin, Pyrazinamide, Quinupristin/Dalfopristin (Syncerid), Rifampin (rifampicin), and Tinidazole. Pathogens As described herein, the compounds and compositions described herein can be administered to a subject to inhibit the growth of bacteria or reduce bacterial load in a subject. Exemplary Gram-negative bacterial pathogens include, e.g., Other exemplary pathogens include: bacteria such as Other exemplary pathogens also include bacteria that cause resistant bacterial infections such as Methicillin resistant The compositions and methods described herein can be used, for example to treat or inhibit the onset of an animal disease. Exemplary animal diseases are provided below. Colibacillosis (Coliform infections) Problems attributed to coliform infections are often caused by strains of the All ages can be affected; however, the acute septicemia in young turkeys and airsacculitis in young chickens is more common in young growing birds. High, early mortality may occur as the result of navel infections. The symptoms of this disease are generally caused by This disease occurs throughout the country wherever poultry is produced and in recent years has become the most hazardous infectious disease of turkeys. Host range is extensive and includes chickens, turkeys, pheasants, pigeons, waterfowl, sparrows and other free-flying birds. The causative organism of fowl cholera is Studies indicate that animals other than birds may serve as reservoirs of infection and actively spread the disease. These animals include raccoons, opossums, dogs, cats, pigs, and vermin. Infectious bronchitis is an extremely contagious respiratory disease of chickens characterized by coughing, sneezing and rales (rattling). It is caused by a virus that affects chickens only. Other fowl or laboratory animals cannot be infected with this virus. Several distinct strains of the virus exist. Infectious bronchitis is considered the most contagious of poultry diseases. When it occurs, all susceptible birds on the premises become infected, regardless of sanitary or quarantine precautions. The disease can spread through the air and can “jump” considerable distances during an active outbreak. It can also be spread by mechanical means such as on clothing, poultry crates and equipment. The disease is not egg transmitted and the virus will survive for probably no more than one week in the house when poultry are not present. It is easily destroyed by heat and ordinary disinfectants. The infection is confined to the respiratory system. Symptoms are difficult breathing, gasping, sneezing and rales. Some birds may have a slight watery nasal discharge. The disease never causes nervous symptoms. It prevails for ten to fourteen days in a flock and symptoms lasting longer than this are from some other cause. In chickens under three weeks of age, mortality may be as high as thirty or forty percent. The disease does not cause a significant mortality in birds over five weeks of age. Feed consumption decreases sharply and growth is retarded. Necrotic Enteritis Necrotic enteritis is an acute disease that produces a marked destruction of the intestinal lining of the digestive tract. Common field names (rot gut, crud and cauliflower gut) accurately describe the condition. The cause of the disease is Little is known about the spread of the disease but transmission is thought to occur by oral contact with the droppings from infected birds. Necrotic enteritis appears suddenly in the affected flock. Apparently healthy birds may become acutely depressed and die within hours. Mortality is usually between two and ten percent, but may be as high as thirty percent in severe outbreaks. Losses due to reduced growth and feed conversion may be more costly than flock mortality. Lesions of the disease usually involve the lower half of the small intestine, but in some instances the entire length of the tract is involved. The intestine is dilated, contains dark offensive fluid and a diphtheritic cauliflower-like membrane that involves the mucosa. The lining of the intestine will have a coarse Turkish-towel appearance and portions of the lining may slough off and pass out with the intestinal contents. Diagnosis in based upon history, symptoms and findings of the characteristic lesions. Bacitracin or Virginiamycin are effective treatments administered in the feed. Bacitracin can also be given in the drinking water. Supportive vitamin treatment may enhance the effectiveness of the treatments. Preventive medication may be of value on premises where prior infections have been observed. Since Ulcerative Enteritis (Quail Disease) Ulcerative enteritis is an acute or chronic infection of game birds, chickens, turkeys and other domestic fowl. Death losses may be high for young quail or pullets being raised for egg production. The cause of the disease is Bovine Mastitis Bovine mastitis is an infection and inflammation of the mammary gland that causes mastitis. Bovine salmonellosis is often associated with a herd outbreak, and is caused by any number of salmonella serotypes, now classified into a single species Various doses of two different functionalized chitosan-arginines were mixed in feed, both originally 84% degree of deacetylation. “10% functionalized” has a MW of 39 kDa, 12% functionalized, % DDA=82 and polydispersity index (PDI) of 1.5. “30% functionalized” has a MW of 27 kDa, 26% functionalized, % DDA=82 and polydispersity index (PDI) of 1.7. Dosing of feed may be irregular due to challenges in mixing extremely small quantities of material uniformly (sprayed on cornmeal from water solution, mixed with feedmeal). Twelve replicate pens of five chicks were used for each treatment. Treated feed was fed for 8 days, and weight gain and feed conversion were examined after 21 days (comparison with day 1). The results of this study are shown in A Nectrotic Enteritis model was used in this study. Briefly, animals were infected with 2 cycles of coccidia then with Bacteria were exposed to chitosan-arginine for the time indicated. The bacteria were spun down, rinsed, resuspended and spread on agar plates in order to count the remaining colony forming units (CFU). The effect of chitosan-arginine on the inhibition of various species of bacteria which infect animals was evaluated using the method as described above. The results are shown in Table 2. Micro-dilutions were performed for chitosan-arginine (C/A; 25% Functionalization, 43 kDa, 2.28 PDI, 88% DDA) and Bacitracin to cover a range of doses in 96-well plates in a checkerboard assay format. Approximately 106cells/mL were added to each well. Incubation occurred at ambient temperature for 20 h, then the bacteria were centrifuged and resuspended in an appropriate growth media. The optical density (OD) was read over the course of 18h at 37° C. The time (in seconds) to an arbitrary threshold OD of 0.15 was used with reference to a growth curve, to calculate the initial bacterial concentration of bacteria (vCFU). Synergy is defined as >2 log decrease in the vCFU with combination treatment at 24 hours compared with that of the more active of each of the two treatments alone. As shown in Table 3, a synergistic effect was observed when chitosan-arginine (C/A) was used with Bacitracin (BAC) to kill The experiment was performed as described in Example 5. Synergy is defined as >2 log decrease in the vCFU with combination treatment at 24 hours compared with that of the more active of each of the two treatments alone. In this experiment, chitosan-arginine (C/A) has a bactericidal concentration at 10 μg/mL, and Bacitracin has a bactericidal concentration at >128 μg/mL. As shown in Table 4, a synergistic effect was observed when chitosan-arginine (C/A) was used with Bacitracin (BAC) to kill The experiment was performed as described in Example 5 except that Tetracycline was used instead of Bacitracin. As shown in Table 5 and Other embodiments are within the following claims.PRIORITY CLAIM
FIELD OF THE INVENTION
BACKGROUND
SUMMARY OF THE INVENTION
BRIEF DESCRIPTION OF DRAWINGS
DETAILED DESCRIPTION
Overview
Treatment
FIC=MIC(Subjects
Soluble Chitosans and Chitosan Derivatives
Compositions
Animal Diseases
Fowl Cholera
Infectious Bronchitis
Salmonellosis
Examples
Example 1
Animal Studies—Poultry Study in Feed
Poultry study in feed Dosage Awt21 Treatment (mg/kg) (kg) P Diff* Negative control — 0.728 Penicillin 55 0.852 0.0001 Chitosan 10% 5 0.764 0.07 Chitosan 10% 25 0.768 0.04 Chitosan 10% 100 0.747 0.35 Chitosan 10% 500 0.769 0.09 Chitosan 30% 5 0.739 0.60 Chitosan 30% 10 0.774 0.03 Chitosan 30% 50 0.751 0.25 Example 2
Animal Study—Poultry Study in Water
Example 3
Small Subset of Bacteria Important to Poultry
Example 4
Synergy in Inhibition of Animal Pathogens
Penicillins, Tetracycline, Fowl cholera Virginiamycin Bacitracin, Necrotic enteridis Virginiamycin Tetracycline Sacculitis, colifom infections, enteritis, septiceimia Bacitracin Necrotic enteritis, enteritis Example 5
Chitosan-Arginine and Bacitracin Synergy against
Chitosan-arginine and Bacitracin synergy against C/A (log Bacitracin (log Log Treatment Total logs reduction reduction Total log reduction Assay (μg/mL) recoverable alone) alone) reduction beyond C/A 1* C/A 16 8.6 4.6 0.08 5.9 1.3 BAC 8 C/A 8 8.6 4.4 0.08 5.6 1.2 BAC 8 C/A 8 8.6 4.4 0.08 5.5 1.0 BAC 4 2* C/A 16 7.1 3.3 0 5.4 2.1 BAC 4 C/A 8 7.1 3.2 0 5.4 2.1 BAC 4 C/A 16 7.1 3.3 0.2 5.1 1.9 BAC 2 C/A 8 7.1 3.2 0.2 5.0 1.7 BAC 2 *C/A 25% Functionalization, 43 kDa, 2.28 PDI, 88% DDA Example 6
Chitosan-Arginine and Bacitracin Synergy Against
Chitosan-arginine and Bacitracin synergy against C/A (log Bacitracin (log Log Treatment Total logs reduction reduction Total log reduction Assay (μg/mL) recoverable alone) alone) reduction beyond C/A 1* C/A 4 6.6 3.3 0 5.2 1.9 BAC 32 2* C/A 8 6.9 4.4 0.2 6.9 2.5 BAC 32 *C/A 25% Functionalization, 43 kDa, 2.28 PDI, 88% DDA Example 7
Chitosan-Arginine and Tetracycline Synergy against
Chitosan-arginine and Tetracycline synergy against C/A (log Tetracycline Log Treatment Total logs reduction (log reduction Total log reduction Assay (μg/mL) recoverable alone) alone) reduction beyond C/A 1*1*1* C/A 2 5.8 1.3 0.1 4.5 3.2 TET 0.05 2* C/A 0.5 6.7 0.3 0.1 2.7 2.4 TET 0.2 C/A 8 6.7 2.3 0.1 3.6 1.3 TET 0.2 *C/A 25% Functionalization, 43 kDa, 2.28 PDI, 88% DDA