заявка
№ US 20100029519
МПК C10M139/04

PERFORMANCE ADDITIVES FOR IMPROVING THE WETTING PROPERTIES OF IONIC LIQUIDS ON SOLID SURFACES

Авторы:
Peter Schwab Stefan Kempka Matthias Seiler
Все (4)
Номер заявки
12363960
Дата подачи заявки
02.02.2009
Опубликовано
04.02.2010
Страна
US
Дата приоритета
15.12.2025
Номер приоритета
Страна приоритета
Как управлять
интеллектуальной собственностью
Реферат

[0000]

Composition containing at least one ionic liquid and at least one performance additive and if appropriate a solvent and/or of further auxiliaries or additives and its use as wetting agent for solid surfaces.

Формула изобретения

1. Composition for the lasting wetting of solid surfaces, which comprises at least one ionic liquid and at least one performance additive and, if appropriate, solvents and/or further auxiliaries or additives.

2. Composition according to claim 1, characterized in that a wetting agent or spreading agent is used as performance additive.

3. Composition according to claim 2, characterized in that the composition consists of a single phase.

4. Composition according to claim 3, characterized in that one or more surfactants are used as performance additives.

5. Composition according to claim 4, characterized in that the surfactant or surfactants is/are selected from the group consisting of non-ionic surfactants, cationic surfactants, amphoteric surfactants and perfluorinated surfactants, either alone or as mixtures thereof.

6. Composition according to claim 5, characterized in that organic solvents or water and/or mixtures thereof are used as solvents.

7. Composition according to claim 6, characterized in that the solvent is an organic solvent.

8. Composition according to claim 5, characterized in that an organomodified siloxane is used as non-ionic surfactant.

9. Composition according to claim 8, characterized in that the organomodified siloxane is a polyether siloxane.

10. Composition according to claim 9, characterized in that compounds of the general Formula (XVIII)

where the radical

Rf can be the radical R1, where

R1 is an alkyl radical having from 1 to 16 carbon atoms or an aryl radical,

or

Rf is the radical R2 or R3, with the proviso that at least one radical Rf is the radical R2, where

R2 and R3 are, independently of one another, polyether radicals of the Formula (XIX)


(F)q(O(C2H4-dR′dO)m(CxH2xO)rZ)w  (XIX)

where

d is from 1 to 3,

m is >1,

q is 0 or 1,

x is from 2 to 10,

r is >1,

w is from 1 to 4,

F is a hydrocarbon radical which may also be branched,

R′ is a hydrogen radical, a monovalent hydrocarbon radical having from 1 to 18 carbon atoms,

Z is an H atom or a monovalent organic radical such as alkyl or alkyl ester or aryl ester,

and where, in Formula (XVIII)

b is from 0 to 8,

a is from 1 to 100 when b is from 6 to 8,

a is from 1 to 200 when b is from 3 to 6,

a is from 1 to 300 when b is from 0 to 3,

are used as polyether siloxane.

11. Composition according to claim 10, characterized in that the composition consists of a single phase.

12. A method of wetting a solid surface by ionic liquids by applying composition according to claim 11, characterized in that the wetted area has a contact angle of at least 100 less than the contact angle achieved by a composition without a performance additive.

13. The method of claim 12, characterized in that the wetted area is at least 30% greater than without additive.

14. The method of claim 13, characterized in that the surface is composed of glass, of a metal or a metal alloy, of ceramic, of paper, of semiconductors, of polymers, of stone or of leather.

Описание

INCORPORATION BY REFERENCE

[0001]

This application claims benefit under 35 U.S.C. 119(a) of German patent application DE 102008007745.3, filed on 5 Feb. 2008.

[0002]

Any foregoing applications, including German patent application DE 102008007745.3, and all documents cited therein or during their prosecution (“application cited documents”) and all documents cited or referenced in the application cited documents, and all documents cited or referenced herein (“herein cited documents”), and all documents cited or referenced in herein cited documents, together with any manufacturer's instructions, descriptions, product specifications, and product sheets for any products mentioned herein or in any document incorporated by reference herein, are hereby incorporated herein by reference, and may be employed in the practice of the invention.

FIELD OF THE INVENTION

[0003]

The invention relates to improving the wetting properties of ionic liquids on solid surfaces.

BACKGROUND

[0004]

Ionic liquids are used and have been proposed for numerous applications in which the wetting of solid surfaces plays an important role. Examples of such applications are use as lubricant and in separation processes, in particular distillative separation processes. Ionic liquids often have an unsatisfactory wetting and spreading behavior and therefore prove to be unsuitable despite an excellent property profile because of this deficiency.

[0005]

It is therefore an object of the invention to control the wetting and spreading behavior of ionic liquids effectively and thus make them universally and lastingly useable for applications in which solid surfaces have to be wetted. The correct wetting properties of the liquids can substantially improve performance in the application.

OBJECT OF THE INVENTION

[0006]

It has now surprisingly been found that additives which have formerly been employed exclusively in aqueous systems achieve the object of controlling the wetting and spreading behavior of ionic liquids.

[0007]

One object of the invention is a composition which comprise from 50 to 99.999% by weight, preferably from 80 to 99.999% by weight, in particular at least 95% by weight and particularly preferably from >98 to 99.999% by weight, of one or more ionic liquids,

[0000]

and from 0 to 20% by weight, preferably from 0 to 10% by weight and particularly preferably from 0 to 5% by weight, of solvents,
and from 0 to 20% by weight, preferably from 0 to 10% by weight and particularly preferably from 0 to 5% by weight, of auxiliaries and additives,
and from 0.001 to 10% by weight, preferably from 0.001 to 5% by weight and particularly preferably from 0.05 to 1% by weight, of one or more performance additives according to the invention,
where the sum of all components of the composition is 100% by weight.

[0008]

In another embodiment of the invention, the amount of solvents, auxiliaries and/or additives is present in the composition in an amount of at least 0.01% by weight.

[0009]

However, in the case of the present invention, the ionic liquid itself is present in a very high concentration and should be optimized in terms of its performance in, for example, lubrication by means of a performance additive.

[0010]

In contrast to cleaners which surface-actively promote wetting (temporary wetting prevailing during the cleaning process) of a surface, spreading is not necessarily an advantage with regard to cleaning.

[0011]

In addition, only brief contact with the surface to be cleaned occurs in cleaning applications, while in the case of the applications according to the invention lasting or periodically recurring, regular use on the surface occurs. For example, when used in a gearbox, wetting with ionic liquids takes place for at least 95% of the time for which the gearbox is used; conversely, for example, periodic use is ensured when the heat-exchange surface in a falling film distillation process is repeatedly wetted with a thin layer of the ionic liquid, which leads to the spreading action of the ionic liquid and thus contributes to the advantageous effect according to the invention.

[0012]

This clearly shows that a brief rinse-off application is not relevant to the invention, but instead a very long-lasting leave-on application is desired. Overall, the surface should always or at least mostly be wetted and remain wetted by the ionic liquid and the surface tension should not be reduced only briefly as in cleaning applications.

[0013]

In the cleaning applications which are not subject matter of the invention, the water or solvent concentration is normally also of importance in addition to the ionic liquid.

[0014]

In the case of the performance additives of the invention, it is advantageous if high spreading is associated with good wetting. This may once again be emphasized in contrast to cleaners which are not according to the invention and which require high wetting but do not offer good spreading in addition. In the case of pure ionic liquids which are to be used as lubricants, film formation on the surface to be lubricated is of critical importance. If spreading is also very high, wetting of the surface occurs with formation of a very thin film. This can reduce the concentration of the wetting and spreading agent which is needed and can save costs. In the case of distillative separation processes, too, wetting and spreading of the material being distilled on the evaporator surface is of critical importance. If wetting/spreading is improved, then the liquid film on the evaporator surface becomes thinner and the throughput can be increased.

[0015]

Ionic liquids are in general salts which melt at low temperatures (<100° C.) and represent a new class of liquids made up exclusively of ions. In contrast to classical salt melts, which are high-melting, highly viscous and very corrosive media, ionic liquids are liquid and have a relatively low viscosity even at low temperatures (K. R. Seddon J. Chem. Technol. Biotechnol. 1997, 68, 351-356).

[0016]

It is noted that in this disclosure and particularly in the claims and/or paragraphs, terms such as “comprises”, “comprised”, “comprising” and the like can have the meaning attributed to it in U.S. Patent law; e.g., they can mean “includes”, “included”, “including”, and the like; and that terms such as “consisting essentially of” and “consists essentially of” have the meaning ascribed to them in U.S. Patent law, e.g., they allow for elements not explicitly recited, but exclude elements that are found in the prior art or that affect a basic or novel characteristic of the invention.

[0017]

It is further noted that the invention does not intend to encompass within the scope of the invention any previously disclosed product, process of making the product or method of using the product, which meets the written description and enablement requirements of the USPTO (35 U.S.C. 112, first paragraph) or the EPO (Article 83 of the EPC), such that applicant(s) reserve the right and hereby disclose a disclaimer of any previously described product, method of making the product or process of using the product.

DETAILED DESCRIPTION OF THE INVENTION

[0018]

For the purposes of the present invention, ionic liquids are salts of the general Formulae I, II or III:

[0000]


[A]n+[Y]  (I)

[0000]

where n is 1, 2, 3 or 4, [A]+ is a quaternary ammonium cation, an oxonium cation, a sulphonium cation or a phosphonium cation and [Y]n− is a monovalent, divalent, trivalent or tetravalent anion; or
mixed salts of the general Formulae (II)

[0000]


[A1]+[A2]+[Y]2−  (IIa);

[0000]


[A1]+[A2]+[A3]+[Y]3−  (IIb); or

[0000]


[A1]+[A2]+[A3]+[A4]+[Y]4−  (IIc),

[0000]

where [A1]+, [A2]+ [A3]+ and [A4]+ are selected independently from among the groups mentioned for [A]+ and [Y]n− is as defined for Formula (I); or
mixed salts of the general Formulae (III)

[0000]


[A1]+[A2]+[A3]+[M1]+[Y]4−  (IIIa);

[0000]


[A1]+[A2]+[M1]+[M2]+[Y]4−  (IIIb);

[0000]


[A1]+[M1]+[M2]+[M3]+[Y]4−  (IIIc);

[0000]


[A1]+[A2]+[M1]+[Y]3−  (IIId);

[0000]


[A1]+[M1]+[M2]+[Y]3−  (IIIe);

[0000]


[A1]+[M1]+[Y]2−  (IIIf);

[0000]


[A1]+[A2]+[M4]2+[Y]4−  (IIIg);

[0000]


[A1]+[M1]+[M4]2+[Y]4−  (IIIh);

[0000]


[A1]+[M5]3+[Y]4−  (IIIi); or

[0000]


[A1]+[M4]2+[Y]3−  (IIIj)

[0000]

where [A1]+, [A2]+ and [A3]+ are selected independently from among the groups mentioned for [A]+, [Y]n− is as defined for Formula (I) and [M1]+, [M2]+, [M3]+ are monovalent metal cations, [M4]2+ is a divalent metal cation and [M5]3+ is a trivalent metal cation; or mixtures of all Formulae (I) to (III).

[0019]

Ionic liquids comprise, for example, anions such as halides, carboxylates, phosphates, thiocyanates, isothiocyanates, dicyanamides, sulphates, alkylsulphates, sulphonates, alkylsulphonates, tetrafluoroborate, hexafluorophosphate or bis(trifluoromethylsulphonyl)imide combined with, for example, substituted ammonium, phosphonium, pyridinium or imidazolium cations, with the abovementioned anions and cations representing a small selection from the large number of possible anions and cations and no claim to completeness therefore being made or any restriction being imposed.

[0020]

The ionic liquids used according to the invention are preferably composed of at least one quaternary nitrogen and/or phosphorus compound and/or sulphur compound and at least one anion and their melting points are below about +250° C., preferably below about +150° C., in particular below about +100° C. The ionic liquids used according to the invention or mixtures thereof are particularly preferably liquid at room temperature.

[0021]

The ionic liquids which are preferably used for the purposes of the invention can, for example, be composed of at least one cation of the general formulae:

[0000]


R1R2R3R4N+  (IV)

[0000]


R1R2N+═CR3R4  (V)

[0000]


R1R2R3R4P+  (VI)

[0000]


R1R2P+═CR3R4  (VII)

[0000]


R1R2R3S+  (VIII)

[0000]

where

  • R1, R2, R3, R4 are identical or different and are each hydrogen, a linear or branched aliphatic hydrocarbon radical which has from 1 to 30 carbon atoms and may contain double bonds, a cycloaliphatic hydrocarbon radical which has from 5 to 40 carbon atoms and may contain double bonds, an aromatic hydrocarbon radical having from 6 to 40 carbon atoms, an alkylaryl radical having from 7 to 40 carbon atoms, a linear or branched aliphatic hydrocarbon radical which has from 2 to 30 carbon atoms and is interrupted by one or more heteroatoms (oxygen, NH, NR′ where R′ is a C1-C30-alkyl radical which may contain double bonds, in particular —CH3) and may contain double bonds, a linear or branched aliphatic hydrocarbon radical which has from 2 to 30 carbon atoms and is interrupted by one or more functions selected from the group consisting of —O—C(O)—, —(O)C—O—, —NH—C(O)—, —(O)C—NH, —(CH3)N—C(O)—, —(O)C—N(CH3)—, —S(O2)—O—, —O—S(O2)—, —S(O2)—NH—, —NH—S(O2)—, —S(O2)—N(CH3)—, —N(CH3)—S(O2)— and may contain double bonds, a linear or branched aliphatic or cycloaliphatic hydrocarbon radical which has from 1 to 30 carbon atoms and is functionalized terminally by OH, OR′, NH2, N(H)R′, N(R′)2, where R′ is a C1-C30-alkyl radical which may contain double bonds, and may contain double bonds or a polyether having a block or random structure of the formula —(R5—O)n—R6,
    • where
    • R5 is a linear or branched hydrocarbon radical having from 2 to 4 carbon atoms,
    • n is from 1 to 100, preferably from 2 to 60, and
    • R6 is hydrogen, a linear or branched aliphatic hydrocarbon radical which has from 1 to 30 carbon atoms and may contain double bonds, a cycloaliphatic hydrocarbon radical which has from 5 to 40 carbon atoms and may contain double bonds, an aromatic hydrocarbon radical having from 6 to 40 carbon atoms, an alkylaryl radical having from 7 to 40 carbon atoms or a —C(O)—R7 radical where
    • R7 is a linear or branched aliphatic hydrocarbon radical which has from 1 to 30 carbon atoms and may contain double bonds, a cycloaliphatic hydrocarbon radical which has from 5 to 40 carbon atoms and may contain double bonds, an aromatic hydrocarbon radical having from 6 to 40 carbon atoms, an alkylaryl radical having from 7 to 40 carbon atoms.

[0028]

Preference is given to quaternary ammonium salts of alkylated fatty acids, also referred to as alkanolamine ester quats, characterized by the generic formula of the type R1R2R3R4N+A (IV) where R1 is an alkyl radical having from 1 to 20 carbon atoms, R2 is an alkyl radical having from 1 to 4 carbon atoms, R3 is a (CH2CHRO)n—H radical where n is from 1 to 200 and R is H or CH3, R4 is an alkyl radical having from 1 to 4 carbon atoms or a (CH2CHRO)n—H radical where n is from 1 to 200 and R is H or CH3 and A is a monovalent anion.

[0029]

Among these compounds, preference is given to substances of the formula

[0000]


R64-mN+[((CH2)n-Q-R7]mX  (IX)

[0000]

where: each radical R6 is independently an alkyl group or hydroxyalkyl group having from 1 to 6 carbon atoms, or a benzyl group, preferably a methyl group; the radicals R7 are each, independently of one another, hydrogen, a linear or branched alkyl group having from 11 to 22 carbon atoms, a linear or branched alkenyl group having from 11 to 22 carbon atoms, with the proviso that at least one radical R7 is not hydrogen;
Q is selected independently from among the groups of the formulae —O—CO)—, —C(O)O, —NR8—C(O)—, —C(O)—NR8—, —O—C(O)—O, —CHR9—O—C(O)— or —CH(OCOR7)—CH2—O—C(O)—, where R8 is hydrogen, methyl, ethyl, propyl or butyl and R9 is hydrogen or methyl, and Q is preferably —O—C(O)— or —NH—C(O)—; m is from 1 to 4 and preferably 2 or 3; n is from 1 to 4 and preferably 2; and X is a plasticizer-compatible anion, e.g. chloride, bromide, methylsulphate, ethylsulphate, sulphate or nitrate, preferably chloride or methylsulphate. The quaternary ammonium compounds can contain mixtures of the compounds which have different groups R7 which are not hydrogen whose value extends from 1 to m. Such mixtures preferably have an average of from 1.2 to 2.5 groups R7 which are not hydrogen. The proportion of nonhydrogen groups R7 is preferably from 1.4 to 2.0 and more preferably from 1.6 to 1.9. Preferred quaternary ammonium compounds are the compounds of the type:

[0000]


R6N+[CH2CHR9OH—][CH2CHR9OC(O)R7]2X  (X)

[0000]


R6N+[CH2CHR9OC(O)R7]2X  (XI)

[0000]


R6N+[CH2CHR9OH—][CH2CH2NHC(O)R7]2X,  (XII)

[0000]

where R6, R7 and X are as defined above for Formula (I), with the proviso that R7 is not hydrogen.

[0030]

The moiety —C(O)R7 is preferably a fat-containing acyl group. Fat-containing acyl groups which can be used are derived from natural sources of triglycerides, preferably tallow, vegetable oils, partially hydrogenated tallow and partially hydrogenated vegetable oils. Sources of triglycerides which can be used are soybean oil, tallow, partially hydrogenated tallow, palm oil, palm kernels, rapeseeds, lard, coconut, rape, safflower oil, maize, rice and tall oil and mixtures of these components.

[0031]

A person skilled in the art will know that the compositions of the fatty acid-containing compounds are subject to certain natural fluctuations, depending on harvest to harvest or on the many vegetable oil sources. The R7 groups are usually mixtures of linear and branched carbon chains of the saturated and unsaturated aliphatic fatty acids.

[0032]

The proportion of unsaturated groups R7 in such mixtures is preferably at least 10%, particularly preferably at least 25% and very particularly preferably from 40 to 70%. The proportion of multiply unsaturated groups R7 in such mixtures is less than 10%, preferably less than 5% and particularly preferably less than 3%. If necessary, partial hydrogenation can be carried out in order to increase the saturated character and thus improve the stability (e.g. odour, colour, etc.) of the end product. The content of unsaturated material, expressed by the iodine number, should be in the range from 5 to 150 and preferably in the range from 5 to 50. The ratio of cis and trans isomers of the double bonds in the unsaturated groups R7 is preferably greater than 1:1 and particularly preferably in the range from 4:1 to 50:1.

[0033]

Preferred examples of compounds of the Formula (IX) are:

  • N,N-di(tallowyloxyethyl)-N,N-dimethylammonium chloride;
  • N,N-di(canolyloxyethyl)-N,N-dimethylammonium chloride;
  • N,N-di(tallowyloxyethyl)-N-methyl,N-(2-hydroxyethyl)ammonium methylsulphate;
  • N,N-di(canolyloxyethyl)-N-methyl,N-(2-hydroxyethyl) ammonium methylsulphate;
  • N,N-di(tallowylamidoethyl)-N-methyl,N-(2-hydroxyethyl) ammonium methylsulphate;
  • N,N-di(2-tallowyloxy-2-oxoethyl)-N,N-dimethylammonium chloride;
  • N,N-di(2-canolyloxy-2-oxoethyl)-N,N-dimethylammonium chloride;
  • N,N-di(2-tallowyloxyethylcarbonyloxyethyl)-N,N-dimethylammonium chloride;
  • N,N-di(2-canolyloxyethylcarbonyloxyethyl)-N,N-dimethylammonium chloride;
  • N(2-tallowoyloxy-2-ethyl)-N-(2-tallowyloxy-2-oxoethyl)-N,N-dimethylammonium chloride;
  • N(2-canolyloxy-2-ethyl)-N(2-canolyloxy-2-oxoethyl)-N,N-dimethylammonium chloride;
  • N,N,N-tri(tallowyloxyethyl)-N-methylammonium chloride;
  • N,N,N-tri(canolyloxyethyl)-N-methylammonium chloride;
  • 1,2-ditallowyloxy-3-N,N,N-trimethylammoniopropyl chloride; and
  • 1,2-dicanolyloxy-3-N,N,N-trimethylammoniopropyl chloride.

[0049]

Further preferred quaternary ammonium salts are ditallowedimethylammonium chloride, ditallowedimethylammonium methylsulphate, dimethylammonium chloride of di(hydrogenated tallow) distearyldimethylammonium chloride and dibehenyldimethylammonium chloride.

[0050]

Further possible cations are ions derived from saturated or unsaturated cyclic compounds or from aromatic compounds having in each case a trivalent nitrogen atom in a 4- to 10-membered, preferably 5- or 6-membered, heterocyclic ring which may be substituted. Such cations can be described in simplified form (i.e. without indication of the precise position and number of the double bonds in the molecule) by the general Formulae (XIII), (XIV) and (XV), where the heterocyclic rings may, if appropriate, also contain a plurality of heteroatoms.

[0000]

[0051]

Here, R1 and R2 are as defined above,

  • R1 is a hydrogen atom, a linear or branched aliphatic hydrocarbon radical which has from 1 to 30 carbon atoms and may contain double bonds, a cycloaliphatic hydrocarbon radical which has from 5 to 40 carbon atoms and may contain double bonds, an aromatic hydrocarbon radical having from 6 to 40 carbon atoms or an alkylaryl radical having from 7 to 40 carbon atoms.
  • X is an oxygen atom, a sulphur atom or a substituted nitrogen atom (X═O, S, NR1).

[0054]

Examples of cyclic nitrogen compounds of the abovementioned type are pyrrolidine, dihydropyrrole, pyrrole, imidazoline, oxazoline, oxazole, thiazoline, thiazole, isoxazole, isothiazole, indole, carbazole, piperidine, pyridine, the isomeric picolines and lutidines, quinoline and isoquinoline. The cyclic nitrogen compounds of the general Formulae (XIII), (XIV) and (XV) can be unsubstituted (R=H) or monosubstituted or polysubstituted by the radical R, where in the case of polysubstitution by R, the individual radicals R can be different.

[0055]

Further possible cations are ions derived from saturated acyclic, saturated or unsaturated cyclic compounds or from aromatic compounds having in each case more than one trivalent nitrogen atom in a 4- to 10-membered, preferably 5- or 6-membered, heterocyclic ring. These compounds can be substituted either on the carbon atoms or on the nitrogen atoms. They can also be fused to substituted or unsubstituted benzene rings and/or cyclohexane rings to form polycyclic structures. Examples of such compounds are pyrazole, 3,5-dimethylpyrazole, imidazole, benzimidazole, N-methylimidazole, dihydropyrazole, pyrazolidine, pyridazine, pyrimidine, pyrazine, 2,3-, 2,5- and 2,6-dimethylpyrazine, cinnoline, phthalazine, quinazoline, phenazine and piperazine. Cations derived from imidazole and its alkyl and phenyl derivatives have been found to be particularly useful as constituents of ionic liquids.

[0056]

Possible cations also include ions which contain two nitrogen atoms and are represented by the general Formula (XVI)

[0000]

[0000]

where

  • R8, R9, R10, R11, R12 are identical or different and are each hydrogen, a linear or branched aliphatic hydrocarbon radical which has from 1 to 30 carbon atoms and may contain double bonds, a cycloaliphatic hydrocarbon radical which has from 5 to 40 carbon atoms and may contain double bonds, an aromatic hydrocarbon radical having from 6 to 40 carbon atoms, an alkylaryl radical having from 7 to 40 carbon atoms, a linear or branched aliphatic hydrocarbon radical which has from 1 to 30 carbon atoms and is interrupted by one or more heteroatoms (oxygen, NH, NR′ where R′ is a C1-C30-alkyl radical which may contain double bonds) and may contain double bonds, a linear or branched aliphatic hydrocarbon radical which has from 1 to 30 carbon atoms and is interrupted by one or more functions selected from the group consisting of —O—C(O)—, —(O)C—O—, —NH—C(O)—, —(O)C—NH, —(CH3)N—C(O)—, —(O)C—N(CH3)—, —S(O2)—O—, —O—S(O2)—, —S(O2)—NH—, —NH—S(O2)—, —S(O2)—N(CH3)—, —N(CH3)—S(O2)— and may contain double bonds, a linear or branched aliphatic or cycloaliphatic hydrocarbon radical which has from 1 to 30 carbon atoms and is terminally functionalized by OH, OR′, NH2, N(H)R′, N(R′)2 where R′ is a C1-C30-alkyl radical which may contain double bonds and may contain double bonds or a polyether having a block or random structure corresponding to the formula —(R5—O)n—R6,
    • where
    • R5 is a hydrocarbon radical containing from 2 to 4 carbon atoms,
    • n is from 1 to 100 and
    • R6 is hydrogen, a linear or branched aliphatic hydrocarbon radical which has from 1 to 30 carbon atoms and may contain double bonds, a cycloaliphatic hydrocarbon radical which has from 5 to 40 carbon atoms and may contain double bonds, an aromatic hydrocarbon radical having from 6 to 40 carbon atoms, an alkylaryl radical having from 7 to 40 carbon atoms or a —C(O)—R7 radical where
    • R7 is a linear or branched aliphatic hydrocarbon radical which has from 1 to 30 carbon atoms and may contain double bonds, a cycloaliphatic hydrocarbon radical which has from 5 to 40 carbon atoms and may contain double bonds, an aromatic hydrocarbon radical having from 6 to 40 carbon atoms, an alkylaryl radical having from 7 to 40 carbon atoms.

[0063]

As very particularly preferred imidazolium ions (XII), mention may be made of 1-methylimidazolium, 1-ethylimidazolium, 1-(1-butyl)imidazolium, 1-(1-octyl)imidazolium, 1-(1-dodecyl)imidazolium, 1-(1-tetradecyl)imidazolium, 1-(1-hexadecyl)imidazolium, 1,3-dimethylimidazolium, 1-ethyl-3-methylimidazolium, 1-(1-butyl)-3-methylimidazolium, 1-(1-butyl)-3-ethylimidazolium, 1-(1-hexyl)-3-methylimidazolium, 1-(1-hexyl)-3-ethylimidazolium, 1-(1-hexyl)-3-butylimidazolium, 1-(1-octyl)-3-methylimidazolium, 1-(1-octyl)-3-ethylimidazolium, 1-(1-octyl)-3-butylimidazolium, 1-(1-dodecyl)-3-methylimidazolium, 1-(1-dodecyl)-3-ethylimidazolium, 1-(1-dodecyl)-3-butylimidazolium, 1-(1-dodecyl)-3-octylimidazolium, 1-(1-tetradecyl)-3-methylimidazolium, 1-(1-tetradecyl)-3-ethylimidazolium, 1-(1-tetradecyl)-3-butylimidazolium, 1-(1-tetradecyl)-3-octylimidazolium, 1-(1-hexadecyl)-3-methylimidazolium, 1-(1-hexadecyl)-3-ethylimidazolium, 1-(1-hexadecyl)-3-butylimidazolium, 1-(1-hexadecyl)-3-octylimidazolium, 1,2-dimethylimidazolium, 1,2,3-trimethylimidazolium, 1-ethyl-2,3-dimethylimidazolium, 1-(1-butyl)-2,3-dimethylimidazolium, 1-(1-hexyl)-2,3-dimethylimidazolium, 1-(1-octyl)-2,3-dimethylimidazolium, 1,4-dimethylimidazolium, 1,3,4-trimethylimidazolium, 1,4-dimethyl-3-ethylimidazolium, 3-butylimidazolium, 1,4-dimethyl-3-octylimidazolium, 1,4,5-trimethylimidazolium, 1,3,4,5-tetramethylimidazolium, 1,4,5-trimethyl-3-ethylimidazolium, 1,4,5-trimethyl-3-butylimidazolium and 1,4,5-trimethyl-3-octylimidazolium.

[0064]

Further possible cations are ions which are, in particular, composed of the abovementioned cations in the form of dications, trications or polycations formed by dimerization, trimerization or polymerization. These also include dications, trications and polycations which have a polymeric backbone, for example a backbone based on siloxanes, polyethers, polyesters, polyamides or polyacrylates, in particular branched and hyperbranched polymers.

[0065]

Further possible ionic liquids are those in which the cation [A]+ is a pyridinium ion (XVIIa),

[0000]

[0000]

where

    • one of the radicals R1 to R5 is methyl, ethyl or chlorine and the remaining radicals R1 to R5 are each hydrogen;
    • R3 is dimethylamino and the remaining radicals R1, R2, R4 and R5 are each hydrogen;
    • all radicals R1 to R5 are hydrogen;
    • R2 is carboxy or carboxamide and the remaining radicals R1, R2, R4 and R5 are each hydrogen; or
    • R1 and R2 or R2 and R3 are 1,4-buta-1,3-dienylene and the remaining radicals R1, R2, R4 and R5 are each hydrogen;
      and in particular one in which
    • R1 to R5 are each hydrogen; or
    • one of the radicals R1 to R5 is methyl or ethyl and the remaining radicals R1 to R5 are each hydrogen.

[0073]

As very particularly preferred pyridinium ions (XVIIa), mention may be made of 1-methylpyridinium, 1-ethylpyridinium, 1-(1-butyl)pyridinium, 1-(1-hexyl)pyridinium, 1-(1-octyl)pyridinium, 1-(1-hexyl)pyridinium, 1-(1-octyl)pyridinium, 1-(1-dodecyl)pyridinium, 1-(1-tetradecyl)pyridinium, 1-(1-hexadecyl)pyridinium, 1,2-dimethylpyridinium, 1-ethyl-2-methylpyridinium, 1-(1-butyl)-2-methylpyridinium, 1-(1-hexyl)-2-methylpyridinium, 1-(1-octyl)-2-methylpyridinium, 1-(1-dodecyl)-2-methylpyridinium, 1-(1-tetradecyl)-2-methylpyridinium, 1-(1-hexadecyl)-2-methylpyridinium, 1-methyl-2-ethylpyridinium, 1,2-diethylpyridinium, 1-(1-butyl)-2-ethylpyridinium, 1-(1-hexyl)-2-ethylpyridinium, 1-(1-octyl)-2-ethylpyridinium, 1-(1-dodecyl)-2-ethylpyridinium, 1-(1-tetradecyl)-2-ethylpyridinium, 1-(1-hexadecyl)-2-ethylpyridinium, 1,2-dimethyl-5-ethylpyridinium, 1,5-diethyl-2-methylpyridinium, 1-(1-butyl)-2-methyl-3-ethylpyridinium, 1-(1-hexyl)-2-methyl-3-ethylpyridinium and 1-(1-octyl)-2-methyl-3-ethylpyridinium, 1-(1-dodecyl)-2-methyl-3-ethylpyridinium, 1-(1-tetradecyl)-2-methyl-3-ethylpyridinium and 1-(1-hexadecyl)-2-methyl-3-ethylpyridinium.

[0074]

Additional possible ionic liquids are those in which the cation [A]+ is a pyridazinium ion (XVIIb),

[0000]

[0000]

where

    • R1 to R4 are each hydrogen; or
    • one of the radicals R1 to R4 is methyl or ethyl and the remaining radicals R1 to R4 are each hydrogen.

[0077]

In addition, very particular preference is given to ionic liquids in which the cation [A]+ is a pyrimidinium ion (XVIIc),

[0000]

[0000]

where

    • R1 is hydrogen, methyl or ethyl and R2 to R4 are each, independently of one another, hydrogen or methyl; or
    • R1 is hydrogen, methyl or ethyl, R2 and R4 are each methyl and R3 is hydrogen.

[0080]

Further possible ionic liquids are those in which the cation [A]+ is a pyrazinium ion (XVIId),

[0000]

[0000]

where

    • R1 is hydrogen, methyl or ethyl and R2 to R4 are each, independently of one another, hydrogen or methyl;
    • R1 is hydrogen, methyl or ethyl, R2 and R4 are methyl and R3 is hydrogen;
    • R1 to R4 are each methyl; or
    • R1 to R4 are each methyl or hydrogen.

[0085]

Further possible ionic liquids are those in which the cation [A]+ is a pyrazolium ion (XVIIf), (XVIIg) or (XVIIg′),

[0000]

[0000]

where

    • R1 is hydrogen, methyl or ethyl and R2 to R4 are each, independently of one another, hydrogen or methyl.

[0087]

Possible ionic liquids are additionally those in which the cation [A]+ is a pyrazolium ion (XVIIh),

[0000]

[0000]

where

    • R1 to R4 are each, independently of one another, hydrogen or methyl.

[0089]

Suitable ionic liquids also include those in which the cation [A]+ is a 1-pyrazolinium ion (XVIIi),

[0000]

[0000]

where

    • R1 to R6 are each, independently of one another, hydrogen or methyl.

[0091]

Further possible ionic liquids are those in which the cation [A]+ is a 2-pyrazolinium ion (XVIIj),

[0000]

[0000]

where

    • R1 is hydrogen, methyl, ethyl or phenyl and R2 to R6 are each, independently of one another, hydrogen or methyl.

[0093]

It is also possible to use ionic liquids in which the cation [A]+ is a 3-pyrazolinium ion (XVIIk) or (XVIIk′),

[0000]

[0000]

where

    • R1 and R2 are each, independently of one another, hydrogen, methyl, ethyl or phenyl and R3 to R6 are each, independently of one another, hydrogen or methyl.

[0095]

Further possible ionic liquids are those in which the cation [A]+ is an imidazolinium ion (XVIIl),

[0000]

[0000]

where

    • R is H or methyl, R1 and R2 are each, independently of one another, hydrogen, methyl or ethyl or a linear saturated or unsaturated acyl radical having from 14 to 22, preferably from 16 to 18, carbon atoms and R3 to R6 are each, independently of one another, hydrogen, a linear saturated alkyl radical which has 1-4 carbon atoms and may contain OH groups, preferably methyl, or a fatty acid radical; very particular preference is given to R1 and R2 being fatty acyl radicals and R or R2 and R3 being fatty acyl radicals. These substances corresponding to Formula (XVIIm) are of particular importance. Erroneous formulae (analogous to Formula XVIIm′ or XVIIl) are sometimes also used for these in the literature.

[0097]

Additional possible ionic liquids are those in which the cation [A]+ is an imidazolinium ion (XVIIm) or (XVIIm′),

[0000]

[0000]

where

    • R is H or methyl, R1 and R2 are each, independently of one another, hydrogen, methyl or ethyl or a linear saturated or unsaturated acyl radical having from 14 to 22, preferably from 16 to 18, carbon atoms and R3 to R6 are each, independently of one another, hydrogen, a linear saturated alkyl radical which has 1-4 carbon atoms and may contain OH groups, preferably methyl, or a fatty acid radical; very particular preference is given to R1 and R2 being fatty acyl radicals and R or R2 and R3 being fatty acyl radicals. These substances corresponding to the Formula (XIIIm) are of particular importance. Erroneous formulae (analogous to Formula XIIIm′ or XIIIl) are sometimes also used for these in the literature.

[0099]

Further possible ionic liquids are those in which the cation [A]+ is an imidazolinium ion (XVIIn) or (XVIIn′),

[0000]

[0000]

where

    • R1 to R3 are each, independently of one another, hydrogen, methyl or ethyl and R4 to R6 are each, independently of one another, hydrogen or methyl.

[0101]

Additional possible ionic liquids are those in which the cation [A]+ is a thiazolium ion (XVIIo) or (XVIIo′) or an oxazolium ion (XVIIp),

[0000]

[0000]

where

    • R1 is hydrogen, methyl, ethyl or phenyl and R2 and R3 are each, independently of one another, hydrogen or methyl.

[0103]

Possible ionic liquids also include those in which the cation [A]+ is a 1,2,4-triazolium ion (XVIIq), (XVIIq′) or (XVIIq″),

[0000]

[0000]

where

    • R1 and R2 are each, independently of one another, hydrogen, methyl, ethyl or phenyl and R3 is hydrogen, methyl or phenyl.

[0105]

Further possible ionic liquids are those in which the cation [A]+ is a 1,2,3-triazolium ion (XVIIr), (XVIIr′) or (XVIIr″),

[0000]

[0000]

where

    • R1 is hydrogen, methyl or ethyl and R2 and R3 are each, independently of one another, hydrogen or methyl or R2 and R3 together are 1,4-buta-1-3-dienylene.

[0107]

Additional possible ionic liquids are those in which the cation [A]+ is a pyrrolidinium ion (XVIIs),

[0000]

[0000]

where

    • R1 is hydrogen, methyl, ethyl or phenyl and R2 to R9 are each, independently of one another, hydrogen or methyl.

[0109]

Further possible ionic liquids are those in which the cation [A]+ is an imidazolidinium ion (XVIIt),

[0000]

[0000]

where

    • R1 and R4 are each, independently of one another, hydrogen, methyl, ethyl or phenyl and R2 and R3 and also R5 to R8 are each, independently of one another, hydrogen or methyl.

[0111]

Possible ionic liquids also include those in which the cation [A]+ is an ammonium ion (IV),

[0000]

[0000]

where

    • R1 to R3 are each, independently of one another, C1-C18-alkyl; or
    • R1 to R3 are each, independently of one another, hydrogen or C1-C18-alkyl and R4 is 2-hydroxyethyl; or
    • R1 and R2 together are 1,5-pentylene or 3-oxa-1,5-pentylene and R3 is C1-C18-alkyl, 2-hydroxyethyl or 2-cyanoethyl.

[0115]

As particularly preferred ammonium ions (IV), mention may also be made of methyltri(1-butyl)ammonium, 2-hydroxyethylammonium, bis(2-hydroxyethyl)dimethylammonium, N,N-dimethylpiperidinium and N,N-dimethylmorpholinium.

[0116]

Additional possible ionic liquids are those in which the cation [A]+ is a guanidinium ion (IVv),

[0000]

[0000]

where

    • R1 to R5 are each methyl;
    • R1 to R5 are each, independently of one another, C1-C18-alkyl; or
    • R1 to R5 are each, independently of one another, hydrogen or C1-C18-alkyl or 2-hydroxyethyl.
      As very particularly preferred guanidinium ion (IVv), mention may be made of N,N,N′,N′,N″,N″-hexamethylguanidinium.

[0120]

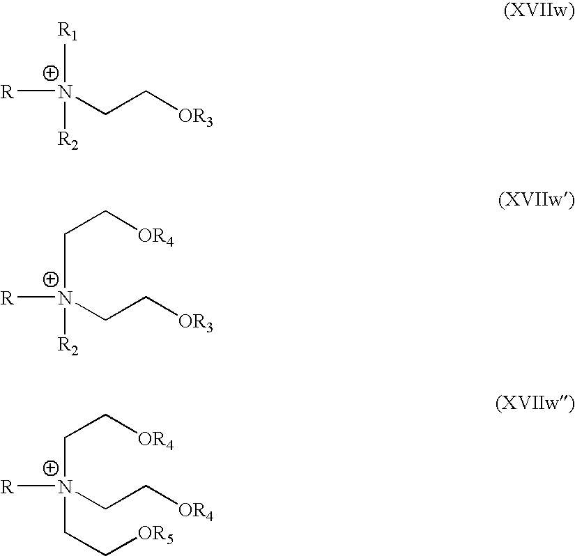
Possible ionic liquids also include those in which the cation [A]+ is a derivative of ethanolamine, e.g. a cholinium ion (XVIIw), or of a diethanolamine (XVIIw′), or of a triethanolamine (XVIIw″),

[0000]

[0000]

where

    • R1 and R2 are each, independently of one another, methyl, ethyl, 1-butyl or 1-octyl and R3 is hydrogen, methyl, ethyl, acetyl, —SO2OH or —PO(OH)2;
    • R1 is methyl, ethyl, 1-butyl or 1-octyl, R2 is a —CH2—CH2—OR4 group and R3 and R4 are each, independently of one another, hydrogen, methyl, ethyl, acetyl, —SO2OH or —PO(OH)2; or
    • R1 is a —CH2—CH2—OR4 group, R2 is a —CH2—CH2—OR5 group and R3 to R5 are each, independently of one another, hydrogen, methyl, ethyl, acetyl, —SO2OH or —PO(OH)2;
    • R1 is methyl, ethyl, 1-butyl, 1-octyl, acetyl, —SO2OH or —PO(OH)2 and R3 to R5 are each, independently of one another, hydrogen, methyl, ethyl, acetyl, —SO2OH, —PO(OH)2 or —(CnH2nO)mR1 where n=1 to 5 and m=1 to 100.

[0125]

Preference is also given to compounds in which R, R1 and R2 are alkyl groups having from 1 to 4 carbon atoms, particularly preferably a methyl group, and R3 and/or R4 are saturated or unsaturated fatty acid or acyl radicals having from 8 to 22 carbon atoms, preferably from 12 to 18 carbon atoms. It is also possible for mixtures of the acyl or fatty acid radicals (in particular, for example, in naturally occurring ratios) to be present.

[0126]

Very particular preference is given in the case of Formula (XVIIw″) to R, R1, R2 each being an alkyl radical having from 1 to 4 carbon atoms, in particular a methyl group, and R3 being a fatty acid radical and R4 and R5 each being a fatty acid radical or hydrogen.

[0127]

Possible ionic liquids include those in which the cation [A]+ is a phosphonium ion (VI), where

    • R1 to R3 are each, independently of one another, C1-C18-alkyl, in particular butyl, isobutyl, 1-hexyl or 1-octyl.

[0129]

Among the abovementioned cations, preference is given to the pyridinium ions (XVIIa), imidazolium ions (XVI) and ammonium ions (IV), in particular 1-methylpyridinium, 1-ethylpyridinium, 1-(1-butyl)pyridinium, 1-(1-hexyl)pyridinium, 1-(1-octyl)pyridinium, 1-(1-hexyl)pyridinium, 1-(1-octyl)pyridinium, 1-(1-dodecyl)pyridinium, 1-(1-tetradecyl)pyridinium, 1-(1-hexadecyl)pyridinium, 1,2-dimethylpyridinium, 1-ethyl-2-methylpyridinium, 1-(1-butyl)-2-methylpyridinium, 1-(1-hexyl)-2-methylpyridinium, 1-(1-octyl)-2-methylpyridinium, 1-(1-dodecyl)-2-methylpyridinium, 1-(1-tetradecyl)-2-methylpyridinium, 1-(1-hexadecyl)-2-methylpyridinium, 1-methyl-2-ethylpyridinium, 1,2-diethylpyridinium, 1-(1-butyl)-2-ethylpyridinium, 1-(1-hexyl)-2-ethylpyridinium, 1-(1-octyl)-2-ethylpyridinium, 1-(1-dodecyl)-2-ethylpyridinium, 1-(1-tetradecyl)-2-ethylpyridinium, 1-(1-hexadecyl)-2-ethylpyridinium, 1,2-dimethyl-5-ethylpyridinium, 1,5-diethyl-2-methylpyridinium, 1-(1-butyl)-2-methyl-3-ethylpyridinium, 1-(1-hexyl)-2-methyl-3-ethylpyridinium, 1-(1-octyl)-2-methyl-3-ethylpyridinium, 1-(1-dodecyl)-2-methyl-3-ethylpyridinium, 1-(1-tetradecyl)-2-methyl-3-ethylpyridinium, 1-(1-hexadecyl)-2-methyl-3-ethylpyridinium, 1-methylimidazolium, 1-ethylimidazolium, 1-(1-butyl)imidazolium, 1-(1-octyl)imidazolium, 1-(1-dodecyl)imidazolium, 1-(1-tetradecyl)imidazolium, 1-(1-hexadecyl)imidazolium, 1,3-dimethylimidazolium, 1-ethyl-3-methylimidazolium, 1-(1-butyl)-3-methylimidazolium, 1-(1-hexyl)-3-methylimidazolium, 1-(1-octyl)-3-methylimidazolium, 1-(1-dodecyl)-3-methylimidazolium, 1-(1-tetradecyl)-3-methylimidazolium, 1-(1-hexadecyl)-3-methylimidazolium, 1,2-dimethylimidazolium, 1,2,3-trimethylimidazolium, 1-ethyl-2,3-dimethylimidazolium, 1-(1-butyl)-2,3-dimethylimidazolium, 1-(1-hexyl)-2,3-dimethylimidazolium and 1-(1-octyl)-2,3-dimethylimidazolium, 1,4-dimethylimidazolium, 1,3,4-trimethylimidazolium, 1,4-dimethyl-3-ethylimidazolium, 3-butylimidazolium, 1,4-dimethyl-3-octylimidazolium, 1,4,5-trimethylimidazolium, 1,3,4,5-tetramethylimidazolium, 1,4,5-trimethyl-3-ethylimidazolium, 1,4,5-trimethyl-3-butylimidazolium, 1,4,5-trimethyl-3-octylimidazolium and 2-hydroxyethylammonium.

[0130]

The metal cations [M1]+, [M2]+, [M3]+, [M4]2+ and [M5]3+ mentioned in the Formulae (IIIa) to (IIIj) are generally metal cations of groups 1, 2, 6, 7, 8, 9, 10, 11, 12 and 13 of the Periodic Table. Suitable metal cations are, for example, Li+, Na+, K+, Cs+, Mg2+, Ca2+, Ba2+, Cr3+, Fe2+, Fe3+, Co2+, Ni2+, Cu2+, Ag+, Zn2+ and Al3+.

[0131]

The ionic liquids used according to the invention comprise at least one of the abovementioned cations combined with at least one anion. Possible anions are in principle all anions which in combination with the cation lead to an ionic liquid.

[0132]

The anion [Y]n− of the ionic liquid is selected, for example, from:

    • the group of halides and halogen-containing compounds of the formulae: F Cl, Br, I, BF4, PF6, AlCl4, Al2Cl7, Al3Cl10, AlBr4, FeCI4, BCl4 SbF6, AsF6, ZnCl3, SnCl3, CuCl2, CF3SO3, (CF3SO3)2N, CF3CO2, CCl3CO2, CN, SCN, OCN, NO2, NO3, N(CN);
    • the group of sulphates, sulphites and sulphonates of the general formulae: SO42−, HSO4, SO32−, HSO3, RaOSO3, RaSO3;
    • the group of phosphates of the general formulae: PO43−, HPO42−, H2PO4−, RaPO42−, HRaPO4, RaRbPO4;
    • the group of phosphonates and phosphinates of the general formulae: RaHPO3, RaRbPO2, RaRbPO3;
    • the group of phosphites of the general formulae: PO33−, HPO32−, H2PO3, RaPO32−, RaHPO3, RaRbPO3;
    • the group of phosphonites and phosphinites of the general formulae: RaRbPO2, RaHPO2, RaRbPO, RaHPO;
    • the group of carboxylates of the general formula: RaCOO;
    • the group of borates of the general formulae: BO33−, HBO32−, H2BO3, RaRbBO3, RaHBO3, RaBO32−, B(ORa)(ORb)(ORc)(ORd), B(HSO4), B(RaSO4);
    • the group of boronates of the general formulae: RaBO22−, RaRbBO;
    • the group of carbonates and carbonic esters of the general formulae: HCO3, CO32−, RaCO3;
    • the group of silicates and silicic esters of the general formulae: SiO44−, HSiO43−, H2SiO42−, H3SiO4, RaSiO43−, RaRbSiO42−, RaRbRcSiO4, HRaSiO42−, H2RaSiO4, HRaRbSiO4;
    • the group of alkylsilane and arylsilane salts of the general formulae: RaSiO33−, RaRbSiO22−, RaRbRcSiO, RaRbRcSiO3, RaRbRcSiO2, RaRbSiO32−;
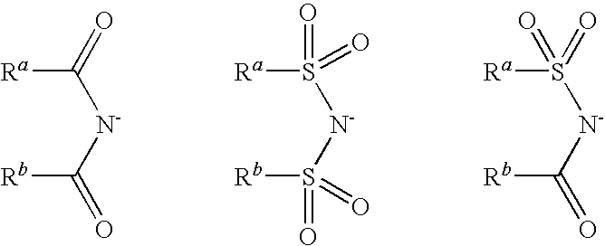
    • the group of carboximides, bis(sulphonyl)imides and sulphonylimides of the general formulae:

[0000]

    • the group of methides of the general formula:

[0000]

    • the group of alkoxides and aryloxides of the general formula: RaO;
    • the group of halometalates of the general formula [MrHalt]s−, where M is a metal and Hal is fluorine, chlorine, bromine or iodine, r and t are positive integers and indicate the stoichiometry of the complex and s is a positive integer and indicates the charge on the complex;
    • the group of sulphides, hydrogensulphides, polysulphides, hydrogenpolysulphides and thiolates of the general formulae:
      • S2−, HS, [Sv]2−, [HSv], [RaS], where v is a positive integer from 2 to 10;
    • the group of complex metal ions such as Fe(CN)63−, Fe(CN)64−, MnO4, Fe(CO)4.

[0152]

In these formulae, Ra, Rb, Rc and Rd are each, independently of one another,

    • hydrogen;
    • C1-C30-alkyl and their aryl-, heteroaryl-, cycloalkyl, halogen-, hydroxy-, amino-, carboxy-, formyl-, —O—, —CO—, —CO—O— or —CO—N<substituted components, for example methyl, ethyl, 1-propyl, 2-propyl, 1-butyl, 2-butyl, 2-methyl-1-propyl (isobutyl), 2-methyl-2-propyl (tert-butyl), 1-pentyl, 2-pentyl, 3-pentyl, 2-methyl-1-butyl, 3-methyl-1-butyl, 2-methyl-2-butyl, 3-methyl-2-butyl, 2,2-dimethyl-1-propyl, 1-hexyl, 2-hexyl, 3-hexyl, 2-methyl-1-pentyl, 3-methyl-1-pentyl, 4-methyl-1-pentyl, 2-methyl-2-pentyl, 3-methyl-2-pentyl, 4-methyl-2-pentyl, 2-methyl-3-pentyl, 3-methyl-3-pentyl, 2,2-dimethyl-1-butyl, 2,3-dimethyl-1-butyl, 3,3-dimethyl-1-butyl, 2-ethyl-1-butyl, 2,3-dimethyl-2-butyl, 3,3-dimethyl-2-butyl, heptyl, octyl, nonyl, decyl, undecyl, dodecyl, tridecyl, tetradecyl, pentadecyl, hexadecyl, heptadecyl, octadecyl, nonadecyl, icosyl, henicosyl, docosyl, tricosyl, tetracosyl, pentacosyl, hexacosyl, heptacosyl, octacosyl, nonacosyl, triacontyl, phenylmethyl (benzyl), diphenylmethyl, triphenylmethyl, 2-phenylethyl, 3-phenylpropyl, cyclopentylmethyl, 2-cyclopentylethyl, 3-cyclopentylpropyl, cyclohexylmethyl, 2-cyclohexylethyl, 3-cyclohexylpropyl, methoxy, ethoxy, formyl, acetyl or CqF2(q-a)+(1-b)H2a+b where q<30, 0≦a≦q and b=0 or 1 (for example CF3, C2F5, CH2CH2—C(q-2)F2(q-2)+1, C6F13, C8F17, C10F21, C12F25);
    • C3-C12-cycloalkyl and their aryl-, heteroaryl-, cycloalkyl-, halogen-, hydroxy-, amino-, carboxy-, formyl-, —O—, —CO— or —CO—O-substituted components, for example cyclopentyl, 2-methyl-1-cyclopentyl, 3-methyl-1-cyclopentyl, cyclohexyl, 2-methyl-1-cyclohexyl, 3-methyl-1-cyclohexyl, 4-methyl-1-cyclohexyl or CqF2(q-a)-(1-b)H2a-b where q≦30, 0≦a≦q and b=0 or 1;
    • C2-C30-alkenyl and their aryl-, heteroaryl-, cycloalkyl-, halogen-, hydroxy-, amino-, carboxy-, formyl-, —O—, —CO— or —CO—O-substituted components, for example 2-propenyl, 3-butenyl, cis-2-butenyl, trans-2-butenyl or CqF2(q-a)-(1-b)H2a-b where q≦30, 0≦a≦q and b=0 or 1;
    • C3-C12-cycloalkenyl and their aryl-, heteroaryl-, cycloalkyl-, halogen-, hydroxy-, amino-, carboxy-, formyl-, —O—, —CO— or —CO—O-substituted components, for example 3-cyclopentenyl, 2-cyclohexenyl, 3-cyclohexenyl, 2,5-cyclohexadienyl or CqF2(q-a)-3(1-b)H2a-3b where q≦30, 0≦a≦q and b=0 or 1;
    • aryl or heteroaryl having from 2 to 30 carbon atoms and their alkyl-, aryl-, heteroaryl-, cycloalkyl-, halogen-, hydroxy-, amino-, carboxy-, formyl-, —O—, —CO— or —CO—O-substituted components, for example phenyl, 2-methylphenyl (2-tolyl), 3-methylphenyl (3-tolyl), 4-methylphenyl, 2-ethylphenyl, 3-ethylphenyl, 4-ethylphenyl, 2,3-dimethylphenyl, 2,4-dimethylphenyl, 2,5-dimethylphenyl, 2,6-dimethylphenyl, 3,4-dimethylphenyl, 3,5-dimethylphenyl, 4-phenylphenyl, 1-naphthyl, 2-naphthyl, 1-pyrrolyl, 2-pyrrolyl, 3-pyrrolyl, 2-pyridinyl, 3-pyridinyl, 4-pyridinyl or C6F(5-a)Ha where 0≦a≦5; or
    • two radicals form an unsaturated, saturated or aromatic ring which may be substituted by functional groups, aryl, alkyl, aryloxy, alkyloxy, halogen, heteroatoms and/or heterocycles and may be interrupted by one or more oxygen and/or sulphur atoms and/or one or more substituted or unsubstituted imino groups.

[0160]

Possible anions are, for example, chloride; bromide; iodide; thiocyanate; hexafluorophosphate; trifluoromethanesulphonate; methanesulphonate; formate; acetate; glycolate; lactate; oxalate; citrate; malate; maleate; tartrate; mandelate; nitrate; nitrite; trifluoroacetate; sulphate; hydrogensulphate; methylsulphate; ethylsulphate; 1-propylsulphate; 1-butylsulphate; 1-hexylsulphate; 1-octylsulphate; phosphate; dihydrogenphosphate; hydrogenphosphate; C1-C4-dialkylphosphates; propionate; tetrachloroaluminate; Al2Cl7; chlorozincate; chloroferrate; bis(trifluoromethylsulphonyl)imide; bis(pentafluoroethylsulphonyl)imide; bis(methylsulphonyl)imide; bis(p-tolylsulphonyl)imide; tris(trifluoromethylsulphonyl)methide; bis(pentafluoroethylsulphonyl)methide; p-tolylsulphonate; tetracarbonylcobaltate; dimethylene glycol monomethyl ether sulphate; oleate; stearate; acrylate; methacrylate; maleate; hydrogencitrate; vinylphosphonate; bis(pentafluoroethyl)phosphinate; borates such as bis[salicylato(2-)]borate, bis[oxalato(2-)]borate, bis[1,2-benzenediolato(2-)-O,O′]borate, tetracyanoborate, tetrafluoroborate; dicyanamide; tris(pentafluoroethyl)trifluorophosphate; tris(heptafluoropropyl)trifluorophosphate, cyclic aryl phosphates such as catecholphosphate (C6H4O2)P(O)O and chlorocobaltate.

[0161]

Preferred anions are selected from the group comprising, without making any claim as to completeness, the halides, bis(perfluoroalkylsulphonyl)amides or -imides such as bis(trifluoromethylylsulphonyl)imide, alkyltosylates and aryltosylates, perfluoroalkyltosylates, nitrate, sulphate, hydrogensulphate, alkylsulphates and arylsulphates, polyether sulphates and sulphonates, perfluoroalkylsulphates, sulphonate, alkylsulphonates and arylsulphonates, perfluorinated alkylsulphonates and arylsulphonates, alkylcarboxylates, and arylcarboxylates, perfluoroalkylcarboxylates, perchlorate, tetrachloroaluminate, saccharinate. Further possibilities are dicyanamide, thiocyanate, isothiocyanate, tetraphenylborate, tetrakis(pentafluorophenyl)borate, tetrafluoroborate, hexafluorophosphate, polyether phosphates and phosphate.

[0162]

Very particularly preferred anions are:

[0000]

chloride, bromide, hydrogensulphate, tetrachloroaluminate, thiocyanate, methylsulphate, ethylsulphate, methanesulphonate, formate, acetate, glycolate, lactate, dimethylphosphate, diethylphosphate, p-tolylsulphonate, tetrafluoroborate and hexafluorophosphate.

[0163]

In a further preferred embodiment of the invention, use is made of ionic liquids or mixtures thereof which contain a combination of a 1,3-dialkylimidazolium, 1,2,3-trialkylimidazolium, 1,3-dialkylimidazolinium and 1,2,3-trialkylimidazolinium cation with an anion selected from the group consisting of the halides, bis(trifluoromethylylsulphonyl)imide, perfluoroalkyltosylates, alkylsulphates and -sulphonates, perfluorinated alkylsulphonates and alkylsulphates, perfluoroalkylcarboxylates, perchlorate, dicyanamide, thiocyanate, isothiocyanate, tetraphenylborate, tetrakis(pentafluorophenyl)borate, tetrafluoroborate, hexafluorophosphate, acetate, glycolate, lactate.

[0164]

In addition, it is also possible to use simple, commercially available, acyclic quaternary ammonium salts such as TEGO® IL T16ES, TEGO® IL K5MS, TEGO® IL DS or TEGO® IL 2MS (products of Evonik Goldschmidt GmbH).

[0165]

Particularly preferred ionic liquids for the purposes of the present disclosure are:

[0000]

1-butyl-3-methylimidazolium 2-(2-methoxyethoxy)ethylsulphate, 1-butyl-3-methylimidazolium acetate, 1-ethyl-3-methylimidazolium acetate, tetrabutylammonium benzoate, trihexyltetradecylphosphonium bis(2,4,4-trimethylpentyl)phosphinate, 1-ethyl-3-methylimidazolium bis(pentafluoroethylsulphonyl)imide, 1-butyl-1-methylpyrrolidinium bis(trifluoromethylsulphonyl)imide, 1-butyl-3-methylimidazolium bis(trifluoromethylsulfonyl)imide, 1-butyl-3-methylpyridinium bis(trifluoromethylsulphonyl)imide, 1,2-dimethyl-3-propylimidazolium bis(trifluoromethylsulphonyl)imide, 1-ethyl-3-methylimidazolium bis(trifluoromethylsulphonyl)imide, 3-methyl-1-propylpyridinium bis(trifluoromethylsulphonyl)imide, methyltrioctylammonium bis(trifluoromethylsulphonyl)imide, tetrabutylammonium bis(trifluoromethylsulphonyl)imide, trihexyltetradecylphosphonium bis(trifluoromethylsulphonyl)imide, 1-butyl-1-methylpyrrolidinium bromide, 1-butylpyridinium bromide, 1-ethyl-3-methylimidazolium bromide, 4-methyl-N-butylpyridinium bromide, tetrabutylammonium bromide, tetrabutylphosphonium bromide, tetraheptylammonium bromide, tetrahexylammonium bromide, tetraoctylammonium bromide, tetraoctylphosphonium bromide, tetrapentylammonium bromide, tributylhexadecylphosphonium bromide, 1-allyl-3-methylimidazolium chloride, 1-benzyl-3-methylimidazolium chloride, 1-butyl-1-methylpyrrolidinium chloride, 1-butyl-2,3-dimethylimidazolium chloride, 1-butyl-3-methylimidazolium chloride, 1-butyl-4-methylpyridinium chloride, 1-ethyl-2,3-dimethylimidazolium chloride, 1-ethyl-3-methylimidazolium chloride, 1-hexyl-3-methylimidazolium chloride, 1-methyl-3-octylimidazolium chloride, methylimidazolium chloride, tetrabutylammonium chloride, tetrabutylphosphonium chloride, tetraheptylammonium chloride, tetraoctylammonium chloride, trihexyltetradecylphosphonium chloride, butylammonium-α-cyano-4-hydrocinnamate, diethylammonium-α-cyano-4-hydrocinnamate, trihexyltetradecylphosphonium decanoate, 1-butyl-1-methylpyrrolidinium dicyanamide, 1-butyl-3-methylimidazolium dicyanamide, 1-ethyl-3-methylimidazolium dicyanamide, trihexyltetradecylphosphonium dicyanamide, 1-ethyl-2,3-dimethylimidazolium ethylsulphate, 1-ethyl-3-methylimidazolium ethylsulphate, 1-benzyl-3-methylimidazoliumhexafluorophosphate, 1-butyl-2,3-dimethylimidazoliumhexafluorophosphate, 1-butyl-3-(3,3, . . . -tridecafluorooctyl)imidazolium hexafluorophosphate, 1-butyl-3-methylimidazolium hexafluorophosphate, 1-ethyl-3-methylimidazolium hexafluorophosphate, 1-hexyl-3-methylimidazolium hexafluorophosphate, 1-methyl-3-(3,3, . . . -tridecafluorooctyl)imidazolium hexafluorophosphate, 1-butyl-4-methylpyridinium hexafluorophosphate, 1-methyl-3-octylimidazolium hexafluorophosphate, trihexyltetradecylphosphonium hexafluorophosphate, 1-butyl-3-methylimidazolium hydrogensulphate, 1-ethyl-3-methylimidazolium hydrogensulphate, methylimidazolium hydrogensulphate, 1-dodecyl-3-methylimidazolium hydrogensulphate, 1-dodecyl-3-methylimidazolium iodide, tetrahexylammonium iodide, 1-butyl-3-methylimidazolium methanesulphonate, 1-ethyl-3-methylimidazolium methanesulphonate, tetrabutylammonium methanesulphonate, tetrabutylphosphonium methanesulphonate, 1-butyl-3-methylimidazolium methylsulphate, 1,3-dimethylimidazolium methylsulphate, methyltributylammonium methylsulphate, 1-ethyl-3-methylimidazolium methylsulphate, 1,2,3-trimethylimidazolium methylsulphate, 1-butyl-3-methylimidazolium nitrate, 1-ethyl-3-methylimidazolium nitrate, tetrabutylammonium nonafluorobutanesulphonate, tetrabutylammonium heptadecafluorooctanesulphonate, 1-butyl-3-methylimidazolium octylsulphate, 4-(3-butyl-1-imidazolio)butane-1-sulphonate, 3-(triphenylphosphonio)propane-1-sulphonate, 1-butyl-3-methylimidazolium tetrachloroaluminate, 1-ethyl-3-methylimidazolium tetrachloroaluminate, 1-benzyl-3-methylimidazolium tetrafluoroborate, 1-butyl-2,3-dimethylimidazolium tetrafluoroborate, 1-butyl-3-methylimidazolium tetrafluoroborate, 1-ethyl-3-methylimidazolium tetrafluoroborate, 1-hexyl-3-methylimidazolium tetrafluoroborate, 1-methyl-3-octylimidazolium tetrafluoroborate, 1-butyl-1-methylpyrrolidinium tetrafluoroborate, 1-butyl-4-methylpyridinium tetrafluoroborate, tetrabutylammonium tetrafluoroborate, tetrahexylammonium tetrafluoroborate, tetrabutylphosphonium tetrafluoroborate, trihexyltetradecylphosphonium tetrafluoroborate, 1-butyl-3-methylimidazolium thiocyanate, 1-ethyl-3-methylimidazolium thiocyanate, tetrapentylammonium thiocyanate, trioctylmethylammonium thiosalicylate, 1-butyl-3-methylimidazolium tosylate, 1-ethyl-3-methylimidazolium tosylate, tetrabutylphosphonium tosylate, triisobutylmethylphosphonium tosylate, 3-(triphenylphosphonio)propane-1-sulphonyl tosylate, tetraethylammonium trifluoroacetate, 4-(3-butyl-1-imidazolio)butane-1-sulphonyl trifluormethanesulphonate, 1-butyl-3-methylimidazolium trifluoromethanesulphonate, 1-ethyl-2,3-dimethylimidazolium trifluoromethanesulphonate, 1-ethyl-3-methylimidazolium trifluoromethanesulphonate, 1-hexyl-3-methylimidazolium trifluoromethanesulphonate, 1-methyl-3-octylimidazolium trifluoromethanesulphonate, tetraethylammonium trifluoromethanesulphonate, 1,2,3-trimethylimidazolium trifluoromethanesulphonate, 1-hydroxyethyl-3-methylimidazolium-2-(2-methoxyethoxy)ethylsulphate, 1-hydroxyethyl-3-methylimidazolium acetate, 1-hydroxyethyl-3-methylimidazolium trifluoroacetate, 1-hydroxyethyl-3-methylimidazolium bis(trifluoromethylsulphonyl)imide, 1-hydroxyethyl-3-methylimidazolium bromide, 1-hydroxyethyl-3-methylimidazolium chloride, 1-hydroxyethyl-3-methylimidazolium decanoate, 1-hydroxyethyl-3-methylimidazolium dicyanamide, 1-hydroxyethyl-3-methylimidazolium hexafluorophosphate, 1-hydroxyethyl-3-methylimidazolium hydrogensulphate, 1-hydroxyethyl-3-methylimidazolium iodide, 1-hydroxyethyl-3-methylimidazolium methanesulphonate, 1-hydroxyethyl-3-methylimidazolium methylsulphate, 1-hydroxyethyl-3-methylimidazolium ethylsulphate, 1-hydroxyethyl-3-methylimidazolium nitrate, 1-hydroxyethyl-3-methylimidazolium phosphate, 1-hydroxyethyl-3-methylimidazolium octylsulphate, 1-hydroxyethyl-3-methylimidazolium tetrachloroaluminate, 1-hydroxyethyl-3-methylimidazolium tetrafluoroborate, 1-hydroxyethyl-3-methylimidazolium thiocyanate, 1-hydroxyethyl-3-methylimidazolium salicylate, 1-hydroxyethyl-3-methylimidazolium thiosalicylate, 1-hydroxyethyl-3-methylimidazolium tosylate, 1-hydroxyethyl-3-methylimidazolium trifluoromethanesulphonate, 1-hydroxyethyl-3-methylimidazolium lactate, 1-hydroxyethyl-3-methylimidazolium glycolate, 1-hydroxyethyl-3-methylimidazolium citrate, 1-hydroxyethyl-3-methylimidazolium oxalate, 1-hydroxyethyl-3-methylimidazolium tartrate, bis-(hydroxyethyl)dimethylammonium acetate, bis-(hydroxyethyl)dimethylammonium trifluoroacetate, bis-(hydroxyethyl)dimethylammonium bis(trifluoromethylsulphonyl)imide, bis-(hydroxyethyl)dimethylammonium bromide, bis-(hydroxyethyl)dimethylammonium chloride, bis(hydroxyethyl)dimethylammonium decanoate, bis(hydroxyethyl)dimethylammonium dicyanamide, bis(hydroxyethyl)dimethylammonium hexafluorophosphate, bis(hydroxyethyl)dimethylammonium hydrogensulphate, bis(hydroxyethyl)dimethylammonium iodide, bis-(hydroxyethyl)dimethylammonium methanesulphonate, bis-(hydroxyethyl)dimethylammonium methylsulphate, bis-(hydroxyethyl)dimethylammonium ethylsulphate, bis-(hydroxyethyl)dimethylammonium nitrate, bis-(hydroxyethyl)dimethylammonium phosphate, bis-(hydroxyethyl)dimethylammonium octylsulphate, bis-(hydroxyethyl)dimethylammonium tetrachloroaluminate, bis(hydroxyethyl)dimethylammonium tetrafluoroborate, bis(hydroxyethyl)dimethylammonium thiocyanate, bis(hydroxyethyl)dimethylammonium salicylate, bis(hydroxyethyl)dimethylammonium thiosalicylate, bis(hydroxyethyl) dimethylammonium tosylate, bis-(hydroxyethyl)dimethylammonium trifluoromethanesulphonate, bis(hydroxyethyl)dimethylammonium lactate, bis-(hydroxyethyl)dimethylammonium glycolate, bis-(hydroxyethyl)dimethylammonium citrate, bis-(hydroxyethyl)dimethylammonium oxalate, bis-(hydroxyethyl)dimethylammonium tartrate.

[0166]

Addition of the following performance additives improves the wetting properties of preferably single-phase compositions containing ionic liquids on solid surfaces. For the present purposes, performance additives are substances which improve the wetting properties and/or the spreading behavior of ionic liquids on solid surfaces. Here, wetting refers to the covering of the surface by the liquid. Improved wetting behavior can be recognized by fewer unwetted places existing and wetting being uniform.

[0167]

Spreading is, for the present purposes, the spontaneous wetting of the solid surface. The liquid spreads spontaneously in the form of a flat disc on the surface. In the ideal case, a monomolecular film is formed and the contact angle is zero. A lowering of the surface tension of the liquid is a necessary but not sufficient condition for spreading.

[0168]

The discovery of the mainly surface-active substances described below as effective wetting and spreading agents when used together with ionic liquids is all the more surprising because the additives were exclusively developed for water and water based formulations.

[0169]

The compositions of the invention serve for the lasting wetting of solid surfaces and contain at least one ionic liquid and at least one performance additive and if appropriate solvents and/or further auxiliaries or additives.

[0170]

The compositions of the invention comprise from 50 to 99.999% by weight, preferably from 80 to 99.999% by weight, in particular at least 95% by weight and particularly preferably from >98 to 99.999% by weight, of one or more ionic liquids,

[0000]

and from 0 to 20% by weight, preferably from 0 to 10% by weight and particularly preferably from 0 to 5% by weight, of solvents,
and from 0 to 20% by weight, preferably from 0 to 10% by weight and particularly preferably from 0 to 5% by weight, of auxiliaries and additives,
and from 0.001 to 10% by weight, preferably from 0.001 to 5% by weight and particularly preferably from 0.05 to 1% by weight, of one or more performance additives according to the invention,
where the sum of all components of the composition is 100% by weight.

[0171]

Preference is given to using a wetting agent or spreading agent as performance additive in the compositions of the invention.

[0172]

Furthermore, the compositions of the invention preferably consist of a single phase.

[0173]

Preference is given to using one or more surfactants as performance additive in the compositions of the invention.

[0174]

The compositions of the invention can contain organic solvents or water and/or mixtures thereof as solvents; preference is given to no solvents or organic solvents being present.

[0175]

Surfactants as such are used in aqueous systems or organic systems which have non-ionic character.

[0176]

Surprisingly and completely unexpectedly, the surfactants mentioned can also positively influence the wetting properties and the spreading behavior of ionic liquids.

[0177]

When used together with ionic liquids, they therefore offer the advantage of being able to influence the dispersion behavior and adhesion behavior of compositions containing these components in a desired way.

[0178]

In the formulae which follow below, the radical P is:

[0000]


—(CH2—)g(OC2H4—)h(OC3H6—)i(OC4H8)j(OCH2CH(C6H5))kOR20

[0000]

where
R20 is a hydrogen, alkyl or carboxyl radical.
R20 is preferably a hydrogen or methyl radical or acetyl radical. The index
g is from 0 to 6, the index
h is from 0 to 20, the index
i is from 0 to 50, where h+i≧1, the index
j is from 0 to 10 and the index
k is from 0 to 10.

[0179]

Preference is given to the index g being from 0 to 3, the index h being from 5 to 80 and the index i being from 0 to 30, with the indices j and k preferably being <5, in particular 0.

[0180]

In the formulae which follow below, the radical R21 is:

[0000]

hydrogen or a linear or branched, saturated or unsaturated alkyl radical having 1-25 carbon atoms, for example methyl, ethyl, 1-propyl, 2-propyl, 1-butyl, 2-butyl, 2-methyl-1-propyl (isobutyl), 2-methyl-2-propyl (tert-butyl), 1-pentyl, 2-pentyl, 3-pentyl, 2-methyl-1-butyl, 3-methyl-1-butyl, 2-methyl-2-butyl, 3-methyl-2-butyl, 2,2-dimethyl-1-propyl, 1-hexyl, 2-hexyl, 3-hexyl, 2-methyl-1-pentyl, 3-methyl-1-pentyl, 4-methyl-1-pentyl, 2-methyl-2-pentyl, 3-methyl-2-pentyl, 4-methyl-2-pentyl, 2-methyl-3-pentyl, 3-methyl-3-pentyl, 2,2-dimethyl-1-butyl, 2,3-dimethyl-1-butyl, 3,3-dimethyl-1-butyl, 2-ethyl-1-butyl, 2,3-dimethyl-2-butyl, 3,3-dimethyl-2-butyl, heptyl, octyl, nonyl, decyl, undecyl, dodecyl, tridecyl, tetradecyl, pentadecyl, hexadecyl, heptadecyl, octadecyl, nonadecyl, icosyl, henicosyl, docosyl, tricosyl, tetracosyl, pentacosyl, hexacosyl, heptacosyl, octacosyl, nonacosyl, triacontyl, phenylmethyl (benzyl), diphenylmethyl, triphenylmethyl, 2-phenylethyl, 3-phenylpropyl, cyclopentylmethyl, 2-cyclopentylethyl, 3-cyclopentylpropyl, cyclohexylmethyl, 2-cyclohexylethyl, 3-cyclohexylpropyl, allyl, undecaenyl, dodecaenyl, octadecaenyl, eicosaenyl, docosaenyl, tetracosaenyl, octadecadienyl, octadecatrienyl, eicosatetraenyl, eicosapentaenyl, docosapentaenyl or docosahexaenyl.

1. Nonionic Organic Surfactants:

[0000]

    • alkylamine alkoxylates, e.g. polyethylene glycol cocosamine (commercialized under the name VARONIC K-202 or K-202 P or K-205) or polyethylene glycol stearylamine (commercialized under the name Varonic S), of the general formula

[0000]

    • amidoamines, e.g. stearylamidopropyldimethylamine (commercialized available under the name ADOGEN S-18 V), of the general formula

[0000]

    • alkanolamides, e.g. diethanolamides (commercialized under the name REWOMID DC212S or REWOMID S280 or VARAMID 70), of the general formula

[0000]

    • ethoxylated monoethanolamides (commercialized under the name REWOCOROS AC 100 or VARAMIDE T-55) of the general formula

[0000]

    • alkylphosphine oxides, e.g. dimethyldecylphosphine oxides (commercialized under the name APO 10)
    • alkyl-N-glucamides, e.g. octyl-N-glucamide (commercialized under the name MEGA-10)
    • alkyl glucosides, e.g. n-nonyl-β-D-glucopyranoside or octyl-β-D-thioglucopyranoside (commercialized under the AGNIQUE PG series)
    • bile acids, e.g. cholanic acid or cholic acid
    • alkyl alkoxylates, e.g. polyethylene glycol p-1,1,3,3-tetramethylbutyl)phenyl ether (commercialized under the name TRITON X-100) or polyethylene glycol isotridecyl ether (commercialized under the name GENAPOL X-080 or TEGO Alkanol TD 6) or polyethylene glycol stearyl ether (commercialized under the name TEGO Alkanol S 2, S 10, S 20P) or polyethylene glycol oleyl ether (commercialized under the name TEGO Alkanol O 20) or polypropylene glycol myristyl ether (commercialized under the name VARONIC APM) or polyethylene glycol nonylphenyl ether (commercialized under the name REWOPAL HV 10) or polyethylene glycol-polypropylene glycol copolymers (commercialized under the name PLURONIC, e.g. F68 or F127), of the general formula

[0000]


R21—P

    • polyether polyols (commercialized, for example, under the names TERGITOL L-62 E and L-62 and L-81)
    • sorbitan esters, e.g. sorbitan monolaurate (commercialized under the name TEGO SML) or sorbitan trioleate (commercialized under the name TEGO STO), of the general formula

[0000]

    • sorbitan ester ethoxylates, e.g. polyoxyethylenesorbitan monolaurate (commercialized under the name TEGO SML 20) or polyethylene glycol monooleate (commercialized under the name TEGO SMO) or polyethylene glycol sorbitan tristearate (commercialized under the name TEGO STS)
    • fatty alcohols, e.g. isostearyl alcohol (commercialized under the name TEGO Alkanol 66) or oleyl alcohol (commercialized under the name TEGO Alkanol 80, 85 and 90), of the general formula

[0000]


R21—OH

    • fatty acid ethoxylates, e.g. polyethylene glycol stearate (commercialized under the name TEGO Acid S) or polyethylene glycol oleate (commercialized under the name AROSURF 8-190 or REWOPAL EO 70), of the general formula

[0000]

    • ester oils, e.g. isopropyl palmitate (commercialized under the name TEGOSOFT P) or ethylhexyl palmitate (TEGOSOFT OP), of the general formula

[0000]

    • ester ethoxylates, e.g. polyethylene glycol glyceryl laurate (commercialized under the name TAGAT L2) or polyethylene glycol glyceryl oleoricinolate (commercialized under the name TAGAT V20) or polyethylene glycol glyceryl cocoate (commercialized under the name Varonic LI)
    • organomodified siloxanes, for example: polyether siloxanes, e.g. commercialized under the TEGOPREN series or the TEGO WET series.

[0198]

Particularly suitable polyether siloxane derivatives are those of the general formula (XVIII):

[0000]

    • where the radical
    • Rf can be the radical R1, where
    • R1 is an alkyl radical having from 1 to 4 carbon atoms or an aryl radical,
    • or
    • Rf is the radical R2 or R3, with the proviso that at least one radical Rf is the radical R2, where
    • R2 and R3 are, independently of one another, polyether radicals of the Formula (XIX)

[0000]


(F)q(O(C2H4-dR′dO)m(CxH2xO)rZ)w  (XIX)

    • where
    • d is from 1 to 3,
    • m is >1,
    • q is 0 or 1,
    • x is from 2 to 10,
    • r is >1,
    • w is from 1 to 4,
    • F is a hydrocarbon radical which may also be branched,
    • R′ is a hydrogen radical, a monovalent hydrocarbon radical having from 1 to 18 carbon atoms,
    • Z is an H atom or a monovalent organic radical such as alkyl or alkyl ester or aryl ester,
    • and where, in Formula (XIII)
    • b is from 0 to 8,
    • a is from 1 to 100 when b is from 6 to 8,
    • a is from 1 to 200 when b is from 3 to 6,
    • a is from 1 to 300 when b is from 0 to 3

[0220]

The values of a and b are average values since the silicone polyether copolymers which are concomitantly used according to the invention are present in the form of generally equilibrated mixtures.

[0221]

The radicals R1 are alkyl radicals having from 1 to 4 carbon atoms, e.g. methyl, ethyl, propyl or butyl radicals, or aryl radicals, with phenyl radicals being preferred. For reasons of production and price, methyl radicals are preferred, so that at least 80% of the radicals R1 are methyl radicals. Particular preference is given to polysiloxanes in which all radicals R1 are methyl radicals.

[0222]

The siloxane mixture can be linear (b=0) or branched (b>0 to 8). The value of a can, on the basis of experience, be combined only in the indicated way with values of b since otherwise the increased viscosity makes handling impossible.

[0223]

Particularly preferred silicone polyether copolymers are those of the general formula (xx)

[0000]

[0000]

where

  • m=0 to 30,
  • k=1 to 5,
  • R1 is an allyl alcohol or an alkyl-initiated polyether which has been reacted with from 1 to 10 ethylene oxide molecules and from 1 to 25 propylene oxide molecules,
    • functionalized polyether siloxanes, e.g. commercialized under the product name TEGOPREN 7100
    • polyether siloxanes having a block structure.

[0229]

Suitable polyether siloxanes are structures of the Formula (XXI)

[0000]

[0000]

where the radical

  • A is a polyoxyalkylene block of the average Formula (XXII),

[0000]


[(C2H4-dR′dO)n(CxH2xO)r(C2H4-dR″dO)t]  (XXII)

[0000]

where

  • d is from 1 to 3,
  • n is ≧0,
  • x is from 2 to 10,
  • r is ≧0,
  • t is ≧0,
  • n+r+t≧1,
  • and
  • R′ is a monovalent aromatic, substituted or unsubstituted hydrocarbon radical,
  • R″ is a hydrogen radical or a monovalent hydrocarbon radical having from 1 to 18 carbon atoms,
  • R1 is an H atom, a monovalent organic linear or branched alkyl radical having a chain length of C1-C40 or a carboxyl radical of a branched or unbranched alkyl ester or aryl ester,
  • B is a polysiloxane block of the average Formula (XXIII),

[0000]

[0000]

where

  • the radicals R2 are identical or different and are each an alkyl radical having from 1 to 4 carbon atoms or a phenyl radical and
  • y is from 5 to 200,
  • m is from 2 to 100,
  • p is 0 or 1 and
  • q is 0 or 1,

or of the Formula (XXVI)

[0247]

[0000]

where the radicals

  • R1, A, B and m, p and q are as defined above and
  • C is a linear or branched alkylene radical having from 2 to 20 carbon atoms.

[0250]

The compounds of the structures indicated are present as statistical mixtures and the indices indicated therefore correspond to the arithmetic means of the mixtures.

2. Cationic Surfactants:

[0000]

    • tetraalkylammonium salts, e.g. cetyltrimethylammonium bromide
    • alkylpyridinium salts, e.g. cetylpyridinium chloride
    • ester quats, e.g. commercially available under the names REWOQUAT WE 15, VARISOFT WE 16 or REWOQUAT WE 38 DPG, of the general formula

[0000]

    • diamidoamine quats, e.g. commercially available under the names VARISOFT 110-75 [N,N-bis(hydrotallowamidoethyl)-N-polyethoxy-N-methylammonium methylsulphate], VARISOFT 222 LT-90 [N,N-bis(oleylamidoethyl)-N-polyethoxy-N-methylammonium methylsulphate], or REWOQUAT WE 38 DPG or VARIQUAT 238-90 [N,N-bis(tallowamidoethyl)-Npolypropoxy-N-methylammonium methylsulphate], of the general formula

[0000]

    • imidazolinium quats, e.g. commercially available under the names REWOQUAT W 90, VARIQUAT 55 or REWOQUAT W3690
    • alkoxyalkyl quats, e.g. commercially available under the name VARIQUAT 638 [N-methyl-N,N-bis(2-hydroxyethyl)-N-cocoammonium chloride
    • benzyl quats, e.g. commercially available under the names VARIQUAT 80 MC [dimethylalkyl(C12-C16)benzylammonium chloride and VARIQUAT SDAC [dimethylstearylbenzylammonium chloride], of the general formula

[0000]

    • silicone quats, e.g. commercially available under the names TEGOPREN 6921 [diquaternary polydimethylsiloxane], TEGOPREN 6924 [diquaternary polydimethylsiloxane] and TEGOPREN 7990 [diquaternary polyether polydimethylsiloxane].

3. Amphoteric Surfactants:

[0000]

    • betaines, e.g. 3-[N,N-dimethyl(3-myristoylaminopropyl)ammonio]propanesulphonate (commercially available under the name amidosulphobetaine-14) or 1-(3-sulphopropyl)pyridinium betaine or 3-dodecyldimethylammoniopropane-1-sulphonate (commercially available under the name ZWITTERGENT 3-12) or 3-[(3-cholamidopropyl)dimethylammonio]-1-propanesulphonates (commercialized under the name CHAPS) or lauryl betaine (commercialized under the name REWOTERIC AM DML-35) or cocamidopropyl betaine (commercialized under the name TEGO Betain F 50 or L 7), alkylglycines, e.g. n-dodecyl-N,N-dimethylglycine (commercialized under the name EMPIGEN BB) or tallowglycine (commercialized under the name Rewoteric AM TEG), of the general formula

[0000]

    • sultaines, e.g. cocamidopropylhydroxysultaine (commercialized under the name REWOTERIC AM CAS), of the general formula

[0000]

    • amphopropionates, e.g. cocoamphopropionate (commercialized under the name REWOTERIC AM KSF 40), of the general formula

[0000]

    • amphoacetates, e.g. sodium cocoamphoacetate (commercialized under the name REWOTERIC AM C), of the general formula

[0000]

    • amine oxides, e.g. cocamidopropyldimethylamine oxide (commercialized under the name VAROX 1770), of the general formula

[0000]

    • silicone betaines, e.g. commercialized under the name TEGOPREN 6950.

4. Perfluorinated Surfactants:

[0000]

    • perfluorinated alkylsulphonates, e.g. perfluorooctanesulphonate (PFOS)
    • perfluorinated carboxylic acids, e.g. perfluorooctanoic acid (PFOA)
    • fluorinated telomere alcohols.

5. Gemini Surfactants:

[0000]

    • acetylene diols, e.g. commercialized under the name SURFYNOL 104
    • acetylene diol alkoxylates, e.g. commercialized under the name SURFYNOL 400 or SURFYNOL 2502
    • acetylene glycols, e.g. commercialized under the name DYNOL 604
    • alkane diols, alkanedicarboxylic acids and esters thereof, e.g. commercialized under the names ENVIROGEM AD01, ENVIRONGEM AE01, ENVIRONGEM AE02 and ENVIRONGEM AE03
    • ENVIRONGEM 360
    • bispyridinioalkanes, e.g. 1,4-bis(α-octylpyridinio)butane dibromide or 1,4-bis(adodecylpyridinium)butane dichloride
    • siloxane-based Gemini surfactants as described in EP A1-1 382 632 (US 2004229964), e.g. commercialized under the name TEGO TWIN 4000. The contents of EP-A1-1 382 632 are fully incorporated by reference into the present disclosure.

[0275]

The compositions of the invention preferably contain one or more nonionic surfactants, particularly preferably one or more organo-modified siloxanes, particularly preferably one or more polyether siloxanes and especially polyether siloxanes of the Formula (XVIII), as performance additive.

[0276]

Registered trademarks are rendered in upper case letters.

[0277]

The trademark proprietors are:

[0000]

TEGO TEGOSURF AROSURF REWOQUAT VARONIC ADOGEN REWOMID VARAMID REWOCOROS REWOPAL are trademarks of Evonik Goldschmidt GmbH
SURFYNOL, DYNOL, ENVIROGEM are trademarks of Air Products, Inc.
AGNIQUE is a trademark of Cognis
TRITON is a trademark of DOW Chemical Company
GENAPOL is a trademark of Clariant
PLURONIC is a trademark of BASF AG
EMPIGEN is a trademark of Albright&Wilson
VAROX is a trademark of R.T. Vanderbilt
ZWITTERGENT is a trademark of Calbiochem-Novachem

[0278]

The abovementioned performance additives can be used either alone or in any mixtures with one another together with the ionic liquids. Further customary solvents, auxiliaries and additives can likewise have been or be mixed in.

[0279]

Examples of solid surfaces are glass, metal, semiconductors, polymers, ceramic, stone and leather and fabrics or membranes comprising these materials.

[0280]

Examples of metal surfaces are surfaces of aluminium, chromium, nickel, magnesium, titanium, vanadium, iron, copper, zinc, cobalt, gallium, germanium, zirconium, molybdenum, palladium, silver, tin, tungsten, platinum, gold, lead and alloys thereof, also with other elements such as carbon, in particular steel. An example of a steel surface is a surface of S235JRG2 steel.

[0281]

Examples of semiconductor surfaces are surfaces of silicon and titanium dioxide.

[0282]

Examples of polymer surfaces are surfaces of natural or synthetic thermoplastics, thermosets and elastomers.

[0283]

Examples of plastic surfaces are polyacrylates such as polymethyl methacrylate, polyacrylonitrile, polyacrylic acid, polyvinyl halides such as polyvinyl chloride, polyvinyl alcohol, polyethylene, polypropylene, polybutadiene, polyacrylonitrile, polyethers, polysulphides, polysulphones, polyether sulphone, polyketones, polyesters, polycarbonates, polystyrene, formaldehyde resins, epoxy resins, polyamides, polyureas, polyurethanes, polyimides, polyphenols, polypyrroles, polyfuran, polythiophene, polybenzimidazoles, polyamines, polyanhydrides, polytetrafluoroethylene, polyvinylidene fluoride, polylactates, polysiloxanes, polysilanes, copolymers and blends thereof and mixtures or copolymers, oligomers and block (co)polymers thereof. Natural polymers are rubber, lignin, polysaccharides, polyhydroxybutyric acid and proteins.

[0284]

Examples of ceramic surfaces are surfaces of clay, kaolin, clay minerals, aluminium oxide, beryllium oxide, zirconium oxide, silicon carbide, silicon nitride, aluminium nitride, boron nitride, boron carbide.

[0285]

Among the solid surfaces, membrane surfaces are particularly preferred.

[0286]

The invention likewise provides for the use of the compositions comprising one or more ionic liquids and one or more performance additives and also further additives and/or auxiliaries, wherein the composition has a contact angle with the treated surface which is at least 100 smaller, preferably 200 smaller, particularly preferably 300 smaller and very particularly preferably 400 smaller, than that without the addition of the performance additive.

[0287]

The invention likewise provides for the use in a method of wetting solid surfaces by ionic liquids, preferably optimized wetting by addition of the performance additive, with particular preference being given here to the wetted surface being at least 30% greater, preferably 50% greater, particularly preferably 80% greater and very particularly preferably 100% greater, than without addition of the performance additive. This is also associated with an increase in the diameter of the wetted area, which is likewise at least 50% greater than the diameter of the wetted surface without addition of the performance additive.

[0288]

The mixing ratios of ionic liquid and performance additive are in the range from 100 000:1 to 1:10 000, preferably from 10 000:1 to 1:1, particularly preferably from 10 000:1 to 10:1, very particularly preferably from 1000:1 to 100:1 (all ratios are ratios of % by weight).

[0289]

The mixtures can contain further solvents, in particular organic solvents and/or water. Preferred organic solvents are aliphatic, cycloaliphatic, aromatic, heterocyclic, heteroaromatic substituted or unsubstituted alcohols, aldehydes, ketones, carboxylic esters, carboxamides, carboxylic anhydrides, carbonates, carbamates, nitrites, ethers, polyethers, alkanes, alkenes, halogenated hydrocarbons, thiols, thioethers, thioesters, amino acids, polyols, sulphones, sulphoxides, ureas and thioureas.

[0290]

The proportion of the solvent in the total mixture is in the range from 99.9% to 0.01%, preferably from 50% to 0.05%, particularly preferably from 25% to 0.1% and very particularly preferably from 10% to 0.5% (all percentages are % by weight).

[0291]

The increase in wettable area for the compositions of the invention relative to composition without at least one performance additive is in a range selected from the group consisting of about 40% to about 1500% and about 50% to about 1200%.

[0292]

The mixtures can also be used advantageously for many other chemical-industrial processes, thus generally in the metal processing industry, for example in cooling lubricants, hardening oils, hydraulic fluid emulsions, polishing pastes, mould release agents, drawing oils, pickling agents or metal cleaners.

[0293]

Furthermore, the mixtures of the invention can be used in the leather, paper, printing, electroplating and photographic industries.

[0294]

Furthermore, the mixtures can be used in water treatment, for example in the treatment of wastewater.

[0295]

Furthermore, the mixtures can be used in crop protection formulations.

[0296]

The surfactants can be used either alone or in mixtures with one another and can contain further additives and auxiliaries which can be specifically selected according to the application.

[0297]

Further subjects of the invention are characterized by the claims, with the disclosure content of the claims being fully incorporated by reference into the disclosure of the description.

[0298]

The performance additives of the invention and their use are illustrated by way of example below, without the invention being restricted to these illustrative embodiments. When ranges, general formulae or classes of compounds are indicated below, these encompass not only the corresponding ranges or groups of compounds which are explicitly mentioned but also all subranges and subgroups of compounds which can be obtained by leaving out individual values (ranges) or compounds.

EXAMPLES

[0299]

The present invention is described by way of example in the following examples, without implying a restriction of the invention, whose scope is indicated by the total description and the claims, to the embodiments mentioned in the examples.

Experimental Procedure:

[0300]

8 g of ionic liquid (IL) were placed in a vessel and 0.04 g of the performance additive was weighed in. The sample was stirred with a spatula until it was homogeneous and 50 μl were subsequently pipetted onto a PP film. The maximum spread after 5 minutes was determined. The diameter (D) of the resulting circle is determined in mm. The higher the measured value, the greater the spreading and wetting and thus the effect of the performance additive according to the invention.

[0000]

Wetting behavior/spreading behavior of ionic liquids
(spreading measured after 5 minutes). The concentration
is given by the experimental procedure above. The
measurements were carried out at room temperature.
EMIMEMIMEMIM
ESIncreaseIL 1IncreaseAcIncreaseDCAIncrease
D inin areaD inin areaD inin areaD inin area
SURFACTANT/ILmmin %mmin %mmin %mmin %
Blank (pure6476
IL)
TEGO WET14440.0556.012190.010180.0
KL 245
TEGO Wet 50510178.08300.010100.0
TEGO Twin201011.011650.022890.018800
4000
TEGOPREN 58788300.0966.0879
TEGO STO10100.0
85 V
EMIM = 1-Ethyl-3-methylimidazolium
ES = Ethylsulphate
Ac = Acetate
DCA = Dicyanamide
IL1 = Bis-(hydroxyethyl)dimethylammonium methane-sulphonate
IL2 = Ethyltributylphosphonium diethylphosphate
TEGO Wet KL 245 = Polyether-modified polysiloxane (CAS No. 134180-76-0)
TEGO WET 505 = Alkyl alkoxylate (CAS No. 303152-49-0)
TEGO Twin 4000 = Polyether-modified polysiloxane (CAS No. 780769-22-4)
TEGOPREN 5878 = Polyether-modified polysiloxane (CAS No. 27306-78-1)
TEGO STO 85 V = Polyoxyethylene(20)sorbitan trioleate (CAS No. 9005-70-3)

[0301]

It can clearly be seen that the addition of the performance additive leads to a significant increase in the wetted surface area. The diameter of the wetted area is, in each case demonstrated by way of example, more than 50% greater than the diameter of the wetted area without the performance additive. The wetted area itself has increased to an even greater extent in relative terms.

[0302]

The contact angle to polypropylene film (PP film) of the ionic liquids measured changes significantly after the addition of the performance additives.

[0303]

The contact angle is a measure of the spreading properties of the performance additives. The spreading capability is greater the lower the contact angle (higher range value in the following table).

[0304]

The formulations used were produced according to the above-described experimental procedure and the contact angles were measured by means of a Pendant prop Tensiometer OCA 35 from Dataphysics.

[0000]

Spreading capability of ionic liquids with
addition of a performance additive. The concentrations
can be obtained from the experimental procedure. The
measurement temperature is room temperature.
SURFACTANT/EMIMEMIMEMIM3 HC 14 P
ILESIL 1ACDCADCAIL 2
Blank213366
TEGO WET 505646
TEGO TWIN999999
4000
TEGOPREN66
5878
TEGO STO 85 V66
TEGO Wet KL84
245

[0305]

3 HC 14 P DCA=Trihexyltetradecylphosphonium dicyanamide To assess the contact angle, the following ranges were set down:

[0000]

Range values
Contact angle in [°]Range
>901
80-892
70-793
60-694
50-595
40-496
30-397
20-298
<209

[0306]

This indicates that a contact angle difference of at least 20° is obtained when there are at least three value ranges between the range values indicated.

[0307]

Furthermore, mixtures of an ionic liquid and the performance additives according to the invention were applied by means of a doctor blade to a glass plate and the wetting properties and the film formation of the products was checked.

[0308]

For this purpose, 8 g of the ionic liquid were placed in a vessel and from 0.04 g to 0.08 g of the performance additive were weighed in. The products were stirred by means of a spatula until they gave a homogeneous mixture. The appearance of the mixtures is assessed and indicated in the table.

[0309]

A glass plate was prepared by precleaning it using water and cleaners, subsequently rinsed under running water and degreased by means of ethanol. This glass plate was placed on a horizontal substrate and the box doctor blade was placed at one end of the glass plate. Part of the liquid was introduced into the box which was drawn in one stroke over the glass plate. The applied layer should be no more than 50 μm. The layer formed was assessed immediately afterwards. Here, the number of craters was counted. The results show that the number of craters was significantly reduced by addition of the performance additive compared to the blank. The addition of a performance additive thus improves the wetting properties of the ionic liquids.

[0310]

Having thus described in detail various embodiments of the present invention, it is to be understood that the invention defined by the above paragraphs is not to be limited to particular details set forth in the above description as many apparent variations thereof are possible without departing from the spirit or scope of the present invention.

Как компенсировать расходы
на инновационную разработку
Похожие патенты