заявка
№ US 20090221031
МПК C12P21/00

NOVEL GROUP OF ESTERASES FOR THE PRODUCTION OF FINE AND SPECIALITY CHEMICALS

Авторы:
Christian Elend Karl-Erich Jaeger Christian Leggewie
Все (5)
Правообладатель:
Номер заявки
12298874
Дата подачи заявки
27.04.2007
Опубликовано
03.09.2009
Страна
US
Дата приоритета
14.12.2025
Номер приоритета
Страна приоритета
Как управлять
интеллектуальной собственностью
Чертежи 
12
Реферат

[0000]

The present invention relates to a polynucleotide encoding an enzyme having carboxyl esterase [E.C. 3.1.1.1] activity, wherein the coding sequence is selected from the group consisting of (a) a polynucleotide encoding an amino acid sequence as depicted in any one of SEQ ID NOs: 2, 4, 6 and 8; (b) a polynucleotide having or comprising a nucleotide sequence encoding an enzyme, wherein the nucleic acid sequence is as shown in any one of SEQ ID NOs: 1, 3, 5 and 7; (c) a polynucleotide having or comprising a nucleotide sequence encoding a fragment or derivative of an enzyme encoded by a polynucleotide of (a) or (b), wherein in said derivative one or more amino acid residues are conservatively substituted compared to the amino acid sequence of (a); (d) a polynucleotide encoding an enzyme having carboxyl esterase activity which polynucleotide is at least 65% identical to a polynucleotide encoding an enzyme as shown in one of SEQ ID NOs: 2, 4, 6 and 8; (e) a polynucleotide having or comprising a nucleotide sequence the complementary strand of which hybridizes to a polynucleotide as defined in any one of (a) to (d); and (f) a polynucleotide having or comprising a nucleotide sequence being degenerate to the nucleotide sequence of the polynucleotide of (d) or (e); or the complementary strand of such a polynucleotide of (a) to (f) or fragments thereof useful as specific probes or primers. The present invention also relates to a host, genetically engineered with the polynucleotide of the present invention or the vector of the present invention. The present invention also relates to a polypeptide comprising the amino acid sequence encoded by a polynucleotide of the present invention or which is obtainable by the process of the present invention. Moreover, the present invention relates to a process for producing said polypeptide and for producing bacteria expressing said polypeptide. Finally, the present invention relates to a composition comprising the polynucleotide of the present invention, the vector of the present invention, the host of the present invention, the polypeptide of the present invention, the antibody of the present invention and/or one or more primers of the present invention.

[00000]

Формула изобретения

1. A polynucleotide encoding an enzyme having carboxyl esterase [E.C. 3.1.1.1] activity, wherein the coding sequence is selected from the group consisting of

(a) a polynucleotide encoding an amino acid sequence as depicted in any one of SEQ ID NOs: 2, 4, 6 and 8;

(b) a polynucleotide having or comprising a nucleotide sequence encoding an enzyme, wherein the nucleic acid sequence is as shown in any one of SEQ ID NOs: 1, 3, 5 and 7;

(c) a polynucleotide having or comprising a nucleotide sequence encoding a fragment or derivative of an enzyme encoded by a polynucleotide of (a) or

(b), wherein in said derivative one or more amino acid residues are conservatively substituted compared to the amino acid sequence of (a);

(d) a polynucleotide encoding an enzyme having carboxyl esterase activity which polynucleotide is at least 65% identical to a polynucleotide encoding an enzyme as shown in one of SEQ ID NOs: 2, 4, 6 and 8;

(e) a polynucleotide having or comprising a nucleotide sequence the complementary strand of which hybridizes to a polynucleotide as defined in any one of (a) to (d); and

(f) a polynucleotide having or comprising a nucleotide sequence being degenerate to the nucleotide sequence of the polynucleotide of (d) or (e);

or the complementary strand of such a polynucleotide of (a) to (f) or fragments thereof useful as specific probes or primers.

2. The polynucleotide according to claim 1, wherein the coding region is fused with a heterologous or homologous polynucleotide.

3. The polynucleotide of claim 2, wherein said heterologous or homologous polynucleotide encodes a polypeptide.

4. A vector containing the polynucleotide of any one of claims 1 to 3.

5. A host genetically engineered with the polynucleotide of any one of claims 1 to 3 or the vector of claim 4.

6. The host according to claim 5 which is a prokaryotic host selected from the group consisting of E. coli, Bacillus sp., Pseudomonas sp., Streptomyces sp., Mycobacterium sp., Caulobacter sp., Rhodobacter sp., Lactococcus sp., Burkholderia sp, Rhizobium sp., Sinorhizobium sp. and Ralstonia sp.

7. The host according to claim 5 or 6 expressing the polypeptide encoded by the polynucleotide of any one of claims 1 to 3 or the vector of claim 4 and one or more additional enzyme(s) wherein said enzymes in toto catalyze a multi-step conversion of a substrate or contribute thereto.

8. A process for producing a polypeptide having carboxyl esterase [E.C. 3.1.1.1] activity, comprising culturing the host of claim 5 or 6 and recovering the polypeptide produced by said host.

9. A process for producing bacteria or eukaryotic cells capable of expressing a polypeptide having carboxyl esterase [E.C. 3.1.1.1] activity, the process comprising genetically engineering bacteria or eukaryotic cells with the vector of claim 4.

10. A polypeptide comprising the amino acid sequence encoded by a polynucleotide of any one of claims 1 to 3 or obtainable by the process of claim 8.

11. An antibody specifically binding to the polypeptide of claim 10.

12. A primer which specifically hybridizes under stringent conditions to a polynucleotide of any one of claims 1 to 3.

13. A composition comprising the polynucleotide of any one of claims 1 to 3 the vector of claim 4, the host of any one of claims 5 to 7, the polypeptide of claim 10, the antibody of claim 11 and/or one or more primers of claim 12.

14. A method for the production of an optically active compound comprising allowing the enantioselective conversion of a racemic starting material by a polypeptide according to claim 10.

15. The method according to claim 14, wherein

(i) the optical active compound is (+) menthol and the racemic starting material is rac-menthyl acetate.

16. The method according to any one of claims 14 or 15, wherein the racemic starting material (educt) is produced by a catalysis of a conversion by one or more different enzymes and/or the optically active compound (product) is the starting material (educt) for a further conversion by one or more different enzyme(s).

Описание

[0001]

The present invention relates to a polynucleotide encoding an enzyme having carboxyl esterase [E.C. 3.1.1.1] activity, wherein the coding sequence is selected from the group consisting of (a) a polynucleotide encoding an amino acid sequence as depicted in any one of SEQ ID NOs: 2, 4, 6 and 8; (b) a polynucleotide having or comprising a nucleotide sequence encoding an enzyme, wherein the nucleic acid sequence is as shown in any one of SEQ ID NOs: 1, 3, 5 and 7; (c) a polynucleotide having or comprising a nucleotide sequence encoding a fragment or derivative of an enzyme encoded by a polynucleotide of (a) or (b), wherein in said derivative one or more amino acid residues are conservatively substituted compared to the amino acid sequence of (a); (d) a polynucleotide encoding an enzyme having carboxyl esterase activity which polynucleotide is at least 65% identical to a polynucleotide encoding an enzyme as shown in one of SEQ ID NOs: 2, 4, 6 and 8; (e) a polynucleotide having or comprising a nucleotide sequence the complementary strand of which hybridizes to a polynucleotide as defined in any one of (a) to (d); and (f) a polynucleotide having or comprising a nucleotide sequence being degenerate to the nucleotide sequence of the polynucleotide of (d) or (e); or the complementary strand of such a polynucleotide of (a) to (f) or fragments thereof useful as specific probes or primers. The present invention also relates to a host, genetically engineered with the polynucleotide of the present invention or the vector of the present invention. The present invention also relates to a polypeptide comprising the amino acid sequence encoded by a polynucleotide of the present invention or which is obtainable by the process of the present invention. Moreover, the present invention relates to a process for producing said polypeptide and for producing bacteria expressing said polypeptide. Finally, the present invention relates to a composition comprising the polynucleotide of the present invention, the vector of the present invention, the host of the present invention, the polypeptide of the present invention, the antibody of the present invention and/or one or more primers of the present invention.

[0002]

Several documents are cited throughout the text of this specification. The disclosure content of the documents cited herein (including any manufacturer's specifications, instructions, etc.) is herewith incorporated by reference.

[0003]

The use of enzymes as biocatalyst in the chemical industry has markedly increased during the last 20 years [1]. Breakthroughs in the key biotechnological areas of a) genetic resource access b) enzyme screening and discovery and c) in vitro evolution of proteins to find and optimize enzymes to become near-ideally suited biocatalysts have been instrumental in pushing industrial biocatalysis to where it stands today [2]. However, the feasibility of new biocatalytic processes will often be determined by the availability of the appropriate biocatalyst [3].

[0004]

Application of modern screening technology to biodiversity—nature's plethora of individual solutions to billion years of stringent selection for superior performance in ecological niches structured by a multitude of biophysical and biochemical pressures, is clearly a rewarding approach to find industrially relevant enzymes. Screening cultivable microorganisms is a powerful and still the most common way for obtaining biocatalysts. However cultivation is limited as most microorganisms cannot be cultivated using current technologies [2].

[0005]

The development of techniques to directly extract, clone and recombinantly express genomic DNA from entire uncultured microbial consortia, the so called “metagenome” approach, allows to access the “unseen” majority of microbial diversity and its enzymatic constituents. Basically microbial cells are lysed either still in the context of natural substrates or after physical separation to yield high molecular weight DNA. This DNA has to be purified from co-extracted inhibitors prior to proceeding with standard cloning procedures. Finally the metagenomic DNA ends up being propagated and possibly expressed in cultivable surrogate hosts like E. coli to be subjected to screening or selection procedures [2].

[0006]

Carboxylesterases [EC 3.1.1.1] and lipases [EC 3.1.1.3] represent a diverse group of hydrolytic enzymes catalysing the cleavage and formation of ester bonds. The discrimination of esterases and lipases is usually based on the acyl chain length of their ester substrates: while esterases hydrolyse preferentially short chain water-soluble ester substrates, lipases are capable of hydrolysing also water insoluble, emulsified long chain ester substrates.

[0007]

Many esterases and lipases share the same characteristic α/β hydrolase fold [4], a three-dimensional structure composed of a central, mostly parallel β-sheet shielded against the solvent by α-helices. However, the primary structures of these proteins are very often rather different showing identity levels sometimes <30%. The catalytic triad is composed of Ser-Asp-His (Glu instead of Asp for some enzymes) and usually also a consensus sequence (Sm-x-Ser-x-Gly) is found around the active site serine where “Sm” is a small amino acid (usually a glycine) and “x” is any amino acid. Besides the catalytic triad the so called oxyanion hole is essential for the enzymatic activity. Its function is to stabilize the oxyanions of the carboxylic acid oxygen of the tetrahedral intermediates formed during the catalytic process.

[0008]

More recently, esterases have been identified containing a “GDSL”-amino acid motif around the active site serine as well as enzymes showing high homology to class C β-lactamases [5]. Based on the analysis of their amino acid sequence, Arpigny and Jaeger [6] suggested a classification for bacterial esterases and lipases which identified 8 families and 6 subfamilies.

[0009]

Esterase family IV is characterised not only by the conserved catalytic triad and the consensus sequence around the active site serine but also by a highly conserved “GGGX”-motif comprising part of the oxyanion hole [6]). This structural motif (GGGX) distinguishes family IV from all other esterases showing an α/β hydrolase fold and led to the classification of esterases in “GGGX”-type and “GX”-type esterases [7]. It was found that the presence of the GGGX-type motif correlates with the capability of these enzymes to hydrolyse the esters of tertiary alcohols (TAE) [8]. Tertiary alcohols (TA) and TAEs represent a very important group of molecules and constitute very useful synthons for the production of fine chemicals [9]. They are found in several natural products, e.g. α-terpineol and linalool, which is an important terpene alcohol of the flavour and fragrance industry. The two different stereoisomers of linalool, licareol (the R-(−) enantiomer) and coriandrol (the S-(+) enantiomer), differ in their fragrance so that it is desirable to separate the optically pure isomers for the production of flavour and fragrance compositions.

[0010]

Esterase family V comprises enzymes which share significant similarity to various bacterial non-lipolytic enzymes, namely epoxide hydrolases, dehalogenases, haloperoxidases and other α/β hydrolases [6]. Furthermore, the members of this family are characterized by the sequence motif “Gly-X-Ser-X-Gly-Gly” around the active site serine and the motif “Pro-Thr-X4-Gly-X2-Asp” preceeding the active site aspartate.

[0011]

Family VIII comprises enzymes which show higher homology to class C β-lactamases than to other esterases. This family is characterised by the active site motif “Ser-x-x-Lys” which is typical for class C β-lactamases. Enzymes belonging to this esterase-family usually do not hydrolyse β-lactams. Furthermore, although these proteins also form α/β structures their β-sheets consist mainly of antiparallel β-strands and the catalytic serine—which is not part of a triad—is at the beginning of an α-helix adjacent to the central β-sheet [10]. Noteworthy, one member of this family, the esterase B from Burkholderia gladioli, has been demonstrated to be capable of hydrolyzing esters of tertiary alcohols (TAE) [11].

[0012]

Other important groups of molecules with relevance to the production of fine and specialty chemicals which might be substrates for enzymes according to the present invention are those containing a thioester, amide, halide or peptide bond. Other applications of high industrial relevance are the degradation or modification or synthesis of polymers by the type of enzymes according to the present invention.

[0013]

In spite of their distribution throughout humans, animals, plants and microorganisms [5], the physiological function of esterases remains to be elucidated [12]. Nevertheless, due to their high stability, the fact that they do not require cofactors, their activity in organic solvents, and their high regio- and enantioselectivity, carboxylesterases appear to be attractive biocatalysts for the production of optically pure compounds in fine chemicals synthesis [5].

[0014]

Products intended for use in biological systems must often by synthesized in a particular enantiomeric form due to preferences that relate to the “handedness” (i.e., optical rotation) of the molecule. For example, only the S-form of the widely prescribed anti-inflammatory Naproxen (2-(6-methoxy-2-naphthyl)-propionic acid) shows the desired pharmacological effect. The R-form is toxic [13]. Therefore, the drug must be supplied such that the S-enantiomer, and not the R-enantiomer, is highly enriched in the final product. A similar situation exists for many other pharmaceutically relevant and agricultural chemicals. However, the synthetic chemist is often faced with a difficult problem because most chemical catalysts do not discriminate by the optical form of their substrates. In fact, it is very difficult to synthesize only a single enantiomer. Moreover, because enantiomers, by definition, have identical physical properties and differ only in the direction that they rotate the plane of polarized light, separation of individual enantiomers from a mixture of S- and R-enantiomers (deracemisation) is difficult.

[0015]

Thus, the technical problem underlying the present invention was to provide means and methods for the improvement of the spectrum of enzymes capable of the conversion of a multiplicity of substrates with high reaction rates or capable of the enantioselective conversion of racemic starting material. The provision of such enzymes may increase the efficiency of the conversion and further reduce the cost for the industrial application of the produced synthons.

[0016]

The solution to this technical problem is achieved by providing the embodiments characterized in the claims.

[0017]

Accordingly, the present invention relates to a polynucleotide encoding an enzyme having carboxyl esterase [E.C. 3.1.1.1] activity, wherein the coding sequence is selected from the group consisting of (a) a polynucleotide encoding an amino acid sequence as depicted in any one of SEQ ID NOs: 2, 4, 6 and 8; (b) a polynucleotide having or comprising a nucleotide sequence encoding an enzyme, wherein the nucleic acid sequence is as shown in any one of SEQ ID NOs: 1, 3, 5 and 7; (c) a polynucleotide having or comprising a nucleotide sequence encoding a fragment or derivative of an enzyme encoded by a polynucleotide of (a) or (b), wherein in said derivative one or more amino acid residues are conservatively substituted compared to the amino acid sequence of (a); (d) a polynucleotide encoding an enzyme having carboxyl esterase activity which polynucleotide is at least 65% identical to a polynucleotide encoding an enzyme as shown in one of SEQ ID NOs: 2, 4, 6 and 8; (e) a polynucleotide having or comprising a nucleotide sequence the complementary strand of which hybridizes to a polynucleotide as defined in any one of (a) to (d); and (f) a polynucleotide having or comprising a nucleotide sequence being degenerate to the nucleotide sequence of the polynucleotide of (d) or (e); or the complementary strand of such a polynucleotide of (a) to (f) or fragments thereof useful as specific probes or primers.

[0018]

The polynucleotides provided by the present invention are listed herein as SEQ ID NO: 1, SEQ ID NO: 3, SEQ ID NO: 5, SEQ ID NO: 7 and the polypeptides provided by the present invention are listed herein as SEQ ID NO: 2, SEQ ID NO: 4, SEQ ID NO: 6, SEQ ID NO: 8. Polynucleotide sequences and polypeptide sequences are depicted in FIGS. 1-8.

[0019]

In accordance with the present invention the term “polynucleotide” defines a nucleic acid molecule consisting of more than 30 nucleotides. The group of molecules designated as “polynucleotides” also comprises complete genes. Also included by said definition are vectors such as cloning and expression vectors.

[0020]

As used herein, the term “oligonucleotides” describes nucleic acid molecules consisting of at least ten and up to 30 nucleotides.

[0021]

Nucleic acid molecules, in accordance with the present invention, include DNA, such as cDNA or genomic DNA, RNA (e.g. mRNA), also in synthetic or semisynthetic form, further synthetic or semisynthetic derivatives of DNA or RNA (e.g. PNA or phosphorothioates) and mixed polymers, both sense and antisense strands. They may contain additional non-natural or derivatized nucleotide bases, as will be readily appreciated by those skilled in the art. In a preferred embodiment the polynucleotide or the nucleic acid molecule(s) is/are DNA.

[0022]

For the purposes of the present invention, a peptide nucleic acid (PNA) is a polyamide type of DNA analog and the monomeric units for the derivatives of adenine, guanine, thymine and cytosine are available commercially (Perceptive Biosystems). Certain components of DNA, such as phosphorus, phosphorus oxides, or deoxyribose derivatives, are not present in PNAs. As disclosed by Nielsen et al., Science 254:1497 (1991); and Egholm et al., Nature 365:666 (1993), PNAs bind specifically and tightly to complementary DNA strands and are not degraded by nucleases. In fact, PNA binds more strongly to DNA than DNA itself does. This is probably because there is no electrostatic repulsion between the two strands, and also the polyamide backbone is more flexible. Because of this, PNA/DNA duplexes bind under a wider range of stringency conditions than DNA/DNA duplexes, making it easier to perform multiplex hybridization. Smaller probes can be used than with DNA due to the strong binding. In addition, it is more likely that single base mismatches can be determined with PNA/DNA hybridization because a single mismatch in a PNA/DNA 15-mer lowers the melting point (T.sub.m) by 80-20° C., vs. 40-16° C. for the DNA/DNA 15-mer duplex. Also, the absence of charge groups in PNA means that hybridization can be done at low ionic strengths and reduce possible interference by salt during the analysis.

[0023]

In those embodiments where the polynucleotide comprises (rather than have) the recited sequence, additional nucleotides extend over the specific sequence either on the 5′ end or the 3′ end or both. Those additional polynucleotides may be of heterologous or homologous nature and may comprise stretches of about 50 to 500 nucleotides although higher or lower values are not excluded. In the case of homologous sequences, those embodiments do not include complete genomes and are generally confined to about 1500 additional nucleotides at the 5′ and/or the 3′ end. Additional heterologous sequences may include heterologous promoters which are operatively linked to the coding sequences of the invention.

[0024]

The term “polypeptide” as used herein describes a group of molecules which consist of more than 30 amino acids. In accordance with the invention, the group of polypeptides comprises “proteins” as long as the proteins consist of a single polypeptide. Also in line with the definition the term “polypeptide” describes fragments of proteins as long as these fragments consist of more than 30 amino acids. Polypeptides may further form multimers such as dimers, trimers and higher oligomers, i.e. consisting of more than one polypeptide molecule. Polypeptide molecules forming such dimers, trimers etc. may be identical or non-identical. The corresponding higher order structures of such multimers are, consequently, termed homo- or heterodimers, homo- or heterotrimers etc. An example of a homomultimer is the enzyme according SEQ ID NO: 2. Homodimers, trimers etc. of fusion proteins, giving rise or corresponding to enzymes such as the carboxylesterases of the present invention also fall under the definition of the term “protein”. Furthermore, peptidomimetics of such proteins/polypeptides wherein amino acid(s) and/or peptide bond(s) have been replaced by functional analogs are also encompassed by the invention. Such functional analogues include all known amino acids other than the 20 gene-encoded amino acids, such as selenocysteine. The terms “polypeptide” and “protein” also refer to naturally modified polypeptides/proteins wherein the modification is effected e.g. by glycosylation, acetylation, phosphorylation and the like. Such modifications are well known in the art.

[0025]

The term “enzyme” defines in the context of the invention a polypeptide, polypeptides and/or protein(s), comprising either the triad of active site residues with the active site serine embedded in the consensus sequence “Sm-x-Ser-x-Gly” typical of families I, III, IV V, VI and VII of bacterial lypolytic enzymes [6] with “Sm” being a small amino acid and “x” being any amino acid or the N-terminally located active site motif “Ser-x-x-Lys” of family VIII of bacterial lypolytic enzymes [6]. Preferably, the said polypeptide, protein or fragment thereof has catalytic activity. An enzyme in accordance with the present invention is preferably defined by its capability of hydrolysing Tributyrin.

[0026]

The terms “carboxylesterase” or “carboxyl-esterase” refers to an enzyme with the systematic name “carboxylic-ester hydrolase”, i.e. an enzyme having an activity which may e.g. be described as hydrolysis of carboxylic esters.

[0000]


Reaction: A carboxylic ester+H2O=an alcohol+a carboxylate.

[0027]

The IUBMB Enzyme Nomenclature refers to carboxylesterases as “EC 3.1.1.1”. Examples of such carboxylesterases are: ali-esterase; B-esterase; monobutyrase; cocaine esterase; procaine esterase; methylbutyrase; vitamin A esterase; butyryl esterase; carboxyesterase; carboxylate esterase; carboxylic esterase; methylbutyrate esterase; triacetin esterase; carboxyl ester hydrolase; butyrate esterase; methylbutyrase; a-carboxylesterase; propionyl esterase; nonspecific carboxylesterase; esterase D; esterase B; esterase A; serine esterase; carboxylic acid esterase; cocaine esterase.

[0028]

Methods and algorithms for exchanging one or more nucleotides in the polynucleotide in item (c), supra, wherein the exchange gives rise to a conservative substitution of one or more amino acid residues in a given polypeptide are known in the art; see e.g. Barettino et al. 1994 [29], Urban et al. 1997 [30] or Seyfang & Jin 2004 [31].

[0029]

In accordance with the present invention, the term “percent identity” describes the number of matches (“hits”) of identical nucleotides/amino acids of two or more aligned nucleic acid or amino acid sequences as compared to the number of nucleotides making up the overall length of the nucleic acid or amino acid sequences (or the overall compared part thereof). In other terms, using an alignment, for two or more sequences or subsequences the percentage of amino acid residues or nucleotides that are the same (e.g., 60% or 65% identity) may be determined, when the (sub)sequences are compared and aligned for maximum correspondence over a window of comparison, or over a designated region as measured using a sequence comparison algorithm as known in the art, or when manually alignment and visually inspected. This definition also applies to the complement of a test sequence. Preferred polynucleotides/polypeptides in accordance with the invention are those where the described identity exists over a region that is at least about 15 to 25 amino acids or nucleotides in length, more preferably, over a region that is about 50 to 100 amino acids or nucleotides in length. Those having skill in the art will know how to determine percent identity between/among sequences using, for example, algorithms such as those based on CLUSTALW computer program (Thompson Nucl. Acids Res. 2 (1994), 4673-4680) or FASTA [21], as known in the art.

[0030]

The present invention refers to polynucleotides encoding an enzyme having carboxylesterase activity. Particularly preferred are polynucleotides which are at least 65% identical to a polynucleotide encoding an enzyme as shown in one of SEQ ID NOs: 2, 4, 6, and 10. More preferred are, with increasing preference, polynucleotides which are at least 65%, at least 70%, at least 80%, at least 85%, at least 90%, at least 95%, at least 97, at least 99% sequence identity. Although the FASTDB algorithm typically does not consider internal non-matching deletions or additions in sequences, i.e., gaps, in its calculation, this can be corrected manually to avoid an overestimation of the % identity. CLUSTALW, however, does take sequence gaps into account in its identity calculations. Also available to those having skill in this art are the BLAST and BLAST 2.0 algorithms (Altschul Nucl. Acids Res. 25 (1977), 3389-3402). The BLASTN program for nucleic acid sequences uses as defaults a word length (W) of 11, an expectation (E) of 10, M=5, N=4, and a comparison of both strands. For amino acid sequences, the BLASTP program uses as defaults a wordlength (W) of 3, and an expectation (E) of 10. The BLOSUM62 scoring matrix (Henikoff Proc. Natl. Acad. Sci., USA, 89, (1989), 10915) uses alignments (B) of 50, expectation (E) of 10, M=5, N=4, and a comparison of both strands. All those programs may be used for the purposes of the present invention. All of the above programs can be used in accordance with the invention.

[0031]

The term “hybridizes/hybridizing” as used herein refers to a pairing of a polynucleotide to a (partially) complementary strand of this polynucleotide which thereby form a hybrid. Said complementary strand polynucleotides are, e.g. the polynucleotides described in item (e), supra, or parts of polynucleotides comprising at least 10, preferably at least 15 such as at least 25 consecutive nucleotides thereof, if used as primers or probes. Said complementary polynucleotides may be useful as probes in Northern or Southern blot analysis of RNA or DNA preparations, PCRs and the like or primer extension protocols respectively. In this connection, the term “fragments thereof useful as specific probes or primers” refers to nucleic acid molecules the sequence of which is uniquely fitting to (hybridizing to/complementary to preferably 100%) the sequences of the nucleic acid molecules described in accordance with the present invention, but not to prior art sequences. The skilled person can identify such fragments by simple sequence alignments. For example, if there is a 100% stretch of identity with a prior art sequence, the addition of a further nucleotide to that sequence of identity will yield a novel sequence which is encompassed by the present invention, since it is to 100% complementary to the polynucleotide of the invention but not to the prior art sequence. Hybridizing polynucleotides of the present invention to be used as a probe in Southern or Northern blot preferably comprises at least 100, more preferably at least 200, and most preferably at least 500 nucleotides in length. As regards those polynucleotides that hybridize to the complementary strand of the specifically disclosed polynucleotide sequences and retain or essentially retain carboxylesterase activity must encode at least the amino acids of the catalytic triade and the oxyanion hole of the enzyme.

[0032]

Preferably, the term “polynucleotide fragment” or “fragment” refers to a fragment of the polynucleotide of the present invention lacking at least 1 nucleotide. The term “at least 1 nucleotide” means e.g. up to 1, up to 10, up to 20, up to 50 or up to 100 nucleotides. Said fragment may correspond to a 5′ and/or 3′ deletion of the full-length polynucleotide of the present invention. In addition or alternatively, the deletion may be located in an internal position. The deletion may affect a contiguous number of residues, however, it is also envisaged that the fragment is the polynucleotide of the present invention having deletions of various, also non-contiguous residues. Preferably, said fragment encodes a protein or polypeptide with carboxylesterase activity. The activity may not necessarily be of the same degree as the full-length or wild-type carboxylesterase as long as some activity is retained.

[0033]

It is well known in the art how to perform hybridization experiments with nucleic acid molecules. Correspondingly, the person skilled in the art knows what hybridization conditions s/he has to use to allow for a successful hybridization in accordance with item (e), above. The establishment of suitable hybridization conditions is referred to in standard text books such as Sambrook, Russell “Molecular Cloning, A Laboratory Manual”, Cold Spring Harbor Laboratory, N.Y. (2001); Ausubel, “Current Protocols in Molecular Biology”, Green Publishing Associates and Wiley Interscience, N.Y. (1989), or Higgins and Hames (Eds.) “Nucleic acid hybridization, a practical approach” IRL Press Oxford, Washington D.C., (1985). In one preferred embodiment, the hybridization is effected is under stringent conditions.

[0034]

“Stringent hybridization conditions” refers to conditions which comprise, e.g. an overnight incubation at 42° C. in a solution comprising 50% formamide, 5×SSC (750 mM NaCl, 75 mM sodium citrate), 50 mM sodium phosphate (pH 7.6), 5×Denhardt's solution, 10% dextran sulphate, and 20 μg/ml denatured, sheared salmon sperm DNA, followed by washing the filters in 0.1×SSC at about 65° C. Said conditions for hybridization are also known by a person skilled in the art as “highly stringent conditions for hybridization”. Also contemplated are nucleic acid molecules that hybridize to the polynucleotides of the invention at lower stringency hybridization conditions (“low stringency conditions for hybridization”). Changes in the stringency of hybridization and signal detection are primarily accomplished through the manipulation of formamide concentration (lower percentages of formamide result in lowered stringency), salt conditions, or temperature. For example, lower stringency conditions include an overnight incubation at 37° C. in a solution comprising 6×SSPE (20×SSPE=3M NaCl; 0.2M NaH2po4; 0.02M EDTA, pH 7.4), 0.5% SDS, 30% formamide, 100 μg/ml salmon sperm blocking DNA; followed by washes at 50° C. with 1×SSPE, 0.1% SDS. In addition, to achieve an even lower stringency, washes performed following stringent hybridization can be done at higher salt concentrations (e.g. 5×SSC). It is of note that variations in the above conditions may be accomplished through the inclusion and/or substitution of alternate blocking reagents used to suppress background in hybridization experiments. Typical blocking reagents include Denhardt's reagent, BLOTTO, heparin, denatured salmon sperm DNA, and commercially available proprietary formulations. The inclusion of specific blocking reagents may require modification of the hybridization conditions described above, due to problems with compatibility. Such modifications can generally be effected by the skilled person without further ado. A hybridization complex may be formed in solution (e.g., Cot or Rot analysis) or between one nucleic acid sequence present in solution and another nucleic acid sequence immobilized on a solid support (e.g., membranes, filters, chips, pins or glass slides to which, e.g., cells have been fixed). The embodiment recited herein above preferably refers to highly stringent conditions and alternatively to conditions of lower stringency.

[0035]

The term “coding sequence” as used herein refers to the coding sequence of the carboxylesterase of the present invention or a fragment or derivative thereof. Said term relates to the genomic coding sequence as well as the coding sequence in a RNA or cDNA molecule.

[0036]

When testing the carboxylesterases disclosed in the present specification, the inventors surprisingly discovered that their enzymatic activities met the requirements outlined above.

[0037]

For the recombinant enzyme according to SEQ ID NO: 4 an enantioselectivity in the kinetic resolution of (rac)-menthyl acetate for the (+)-enantiomer was found with an enantiomeric excess (ee) of 100%. (−)-menthol is a key substance in the fragrancy industry and is currently produced at a scale of several thousand tons per year by fractionated crystallization from racemic menthyl benzoate [5]. Esterases from Bacillus subtilis and B. stearothermophilus hydrolyzed menthyl acetate enantioselectively (E>40 and E>100, respectively,) with a preference for (−)-menthol) but showed only low activity rates <0.2 U/mg [16].

[0038]

The optical purity of chiral compounds is usually expressed as percent enantiomeric excess (% ee). % ee values can be calculated from the molar ratio of each enantiomer, Eq. 1. In practice, the peak areas of chromatographic elution for each enantiomer are obtained by gas chromatography or HPLC analysis using a chiral column and are then used to calculate % ee instead of the molar ratios.

[0039]

Per definition, a racemate has a % ee value of 0, optically pure compounds have a % ee value of 100.

[0000]

%ee=XA-XBXA+XB*100Eq..1

[0000]

XA=Concentration of enantiomer A; XB=Concentration of enantiomer B

[0040]

Enzymatic syntheses of optically active compounds either start from racemic mixtures or from prostereogenic (prochiral) precursors. The latter ideally yields a product with 100% ee at 100% yield. In contrast, a kinetic resolution will only lead to a yield of 50%. Methods to increase the yield include racemization of the non-wanted enantiomer, by using a racemase or chemical racemization or by performing a so-called dynamic kinetic resolution (DKR). The requirements for a DKR are: (1), the substrate must racemize faster than the subsequent enzymatic reaction, (2), the product must not racemize, and (3), as in any asymmetric synthesis, the enzymatic reaction must be highly stereoselective.

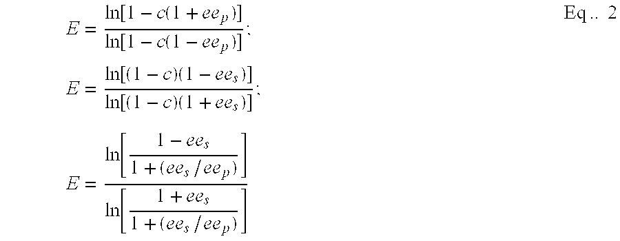
[0041]

The stereo-preference (enantio-preference) of an enzyme is routinely described by the enantiomeric excess (ee) of the product enantiomers after a reaction has taken place. However, there are alternative ways to describe the enantioselectivity of an enzyme. In a kinetic resolution, the enantiomeric purity of the product and starting material varies as the reaction proceeds. To more conveniently compare kinetic resolutions, Charles Sih's group developed equations to calculate their inherent enantioselectivity [14, 15]. This enantioselectivity, called the enantiomeric ratio, E, measures the ability of the enzyme to distinguish between enantiomers. A non-selective reaction has an E of 1, while resolutions with E's above 20 (better E>50) are useful for synthesis. To calculate E, one measures two of the three variables: enantiomeric purity of the starting material (ees), enantiomeric purity of the product (eep), and extent of conversion (c) and uses one of the three equations below (Eq. 2). Often enantiomeric purities are more accurately measured than conversion; in these cases, the third equation is more accurate. Note that these equations are only applicable to irreversible reactions. In other cases, the equilibrium constant must be determined and alternative equations must be used.

[0000]

E=ln[1-c(1+eep)]ln[1-c(1-eep)];E=ln[(1-c)(1-ees)]ln[(1-c)(1+ees)];E=ln[1-ees1+(ees/eep)]ln[1+ees1+(ees/eep)]Eq..2

[0042]

High E values (≧100) are less accurately measured than low or moderate E values because the enantiomeric ratio is a logarithmic function of the enantiomeric purity. When E≧100, small changes in the measured enantiomeric purities give large changes in the enantiomeric ratio. Thus, it is recommended to report high enantioselectivity only as E≧100. However, for many possible applications the adequate enzyme is not yet available due to limitations of the known enzymes with respect to substrate specificity and enantioselectivity.

[0043]

The recombinant enzyme according to SEQ ID NO: 2 and 6 hydrolyzed rac-cis-3,5-diacetoxy-1-cyclopenten with an ee-value of 100% at a conversion of 24% and 100%, respectively, for the preferred enantiomer. The enantiopreference was not determined due to the lack of enantiopure reference compounds. The recombinant enzymes according to SEQ ID NO. 4 and 8 hydrolyzed this substrate with an ee-value of 66% and 76% at 12% and 100% conversion, respectively. Chiral cyclopentanoid building blocks are used for the synthesis of carbacyclic prostaglandin 12 derivatives—potential therapeutic agents for the treatment of thrombotic diseases [17].

[0044]

The enzyme according to SEQ ID NO: 4 hydrolyzed the acetic acid ester of rac-trans-1,2-cyclohexanediol enantioselectively with an ee of 38% at 100% conversion of the preferred enantiomer. The enantiopreference was not determined due to the lack of enantiopure reference compounds.

[0045]

The enzymes according to SEQ ID NO: 2 and 4 were capable of hydrolyzing acetic acid esters of rac-1-octin-3-ol, of R-(+)-3-chlor-1-phenyl-1-propanol, and of trimethylsilylbutinol.

[0046]

The enzyme according to SEQ ID NO: 4 was capable of converting acetic acid esters of cis-1,2-cyclohexanediol and isopropylidene glycerol. Isopropylidene glycerol is widely used as a pharmaceutical synthon, especially for the production of β-blockers.

[0047]

The enzymes according to SEQ ID NOs: 2 and 4 hydrolyzed the p-nitrophenyl (pNP) esters of different substrates with importance for the production of pharmaceutical synthons. Cyclohexanoate was converted with specific activities of 50.0 U/mg and 16.8 U/mg, respectively. The pNP-ester of benzoate was hydrolyzed with specific activities of 9.4 U/mg and 12.1 U/mg, respectively. The pNP-esters of 3-phenylbutanoate and 2-(3-benzoylphenyl)propanoate were hydrolyzed by the recombinant enzyme according to SEQ ID NO: 2 with specific activities of 31.6 U/mg and 26.7 U/mg, respectively. The recombinant enzyme according to SEQ ID NO: 4 showed specific activities for these substrates of 1.0 and 0.8 U/mg, respectively. The recombinant enzyme according to SEQ ID NO: 2 converted the pNP-ester of 2-phenylpropanoate with a specific activity of 21.0 U/mg. Furthermore, this enzyme hydrolyzed the nonsteroidal anti-inflammatory drugs ibuprofen, 2-(4-isobutylphenyl)propanoate and naproxen, 2-(6-methoxynaphtalen-2-yl) propanoate with specific activities of 7.2 U/mg and 26.7 U/mg, respectively.

[0048]

The recombinant enzyme according to SEQ ID NO: 2 showed an exceptionally high specific activity towards pNP-valerate of 425.7 U/mg. The esterases from Xanthomonas vesicatoria [18], Pseudomonas sp. B11-1 [19] and Aeromonas hydrophila MCC-2 [20] were reported to convert this substrate with a specific activity of 10.5 U/mg, 64 U/mg and 86.3 U/mg, respectively.

[0049]

Surprisingly, the enzyme according to SEQ ID NO: 2 was able to convert the secondary ester 7-(3-octylcarboxy-(3-hydroxy-3-methyl-butyloxy))-coumarine as determined by a fingerprint analysis (see example 7). This substrate is very unreactive and almost never converted to any measurable extent by other enzymes.

[0050]

The enzymes according to SEQ ID NO: 6 was denoted to belong to family IV of bacterial lipolytic enzymes. The enzymes according to SEQ ID NO: 8 was denoted to belong to the family V of bacterial lipolytic enzymes, those according to SEQ ID NO: 2 and 4 were denoted to be members of family VIII. The similarity of the polynucleotides according to SEQ ID NOs: 1, 3, 5, and 7 to other polynucleotides is shown in tables 1-4. The analysis was performed using the Fasta algorithm [21] using: GenBank database [23], Release 152.0, (released on 18 Feb. 2005).

[0000]

Sequence identity of the enzyme according to SEQ ID No. 1 (EstA3)
next neighbourgene identifierorganismidentityoverlapreference
epothiloneAF210843Sorangium53.4%990 nt[27]
biosynthesiscellulosum strain (1120-160:1974-2934)
gene cluster,So ce90
ORF2
EstBL esteraseAY965997Burkholderia55.6%360 ntRashamuse
with B-cepacia UWC10(331-679:491-839)& Cowan,
lactamase foldunpublished

[0000]

Sequence identity of the enzyme according to SEQ ID No. 3 (EstCE1)
next neighbourgene identifierorganismidentityoverlapreference
ProtocatechuateU33634Burkholderia60.0%1121 nt[28]
3,4-dioxygenasegladioli(1146-38:1574-2679*)
beta-
lipase lip-1X61673Pseudomonas57.0%1130 ntIhara et al.,
sp. nov 109(43-1145:61-1162)  unpublished

[0000]

Sequence identity of the enzyme according to SEQ ID No. 5 (EstCL1)
next neighbourgene identifierorganismidentityoverlapreference
esterase HDEAB029896Oleomonas57.3%710 nt (175-852:166-864)Mizuguchi et
sagaranensisal,
unpublished
lipase LipPAF034088Pseudomonas57.7%638 nt (241-859:223-850)[19]
sp. B11-1

[0000]

Sequence identity of the enzyme according to SEQ ID No. 7 (EstCL2)
next neighbourgene identifierorganismidentityoverlapreference
PBS(A)AB066349Acidovorax58.2%361 nt (203-561:233-591)[29]
depolymerasedelafieldii
lipaseAL939106.1Streptomyces62.3%220 nt (415-202:166822-167038)[30]
coelicolor A3(2)

[0051]

In a preferred embodiment of the present invention said coding region is fused with a heterologous or homologous polynucleotide.

[0052]

This heterologous or homologous polynucleotide may or may not be or comprise a coding region. The polynucleotide and/or the encoded enzyme having carboxylesterase activity is/are either heterologous with respect to the host or is/are homologous with respect to the host but located in a different genomic environment than the naturally occurring counterpart of said nucleotide sequence. A polynucleotide is “heterologous” when it is derived from a cell or organism belonging to a different strain (preferably to a different species) with regard to the origin of the sequence encoding the carboxylesterase of the present invention. In contrast, a polynucleotide is “homologous” when it is derived from the same cell or organism as the sequence encoding the carboxylesterase of the invention. “Homologous” with respect to the host but located in a different genomic environment than the naturally occurring counterpart of said nucleotide sequence means that, if the nucleotide sequence is homologous with respect to the host (i.e. is naturally present in the same strain or species), it is not located in its natural location in the genome of said host. In particular it may be surrounded by different genes. In this case the nucleotide sequence may be either under the control of its own promoter or under the control of a heterologous promoter. The location of the introduced nucleic acid molecule can be determined by the skilled person by using methods well-known in the art, including Southern blotting. The polynucleotide(s) according to the invention which is/are present in the host may either be integrated into the genome of the host or be maintained extrachromosomally. With respect to the first option, it is also to be understood that the polynucleotide of the invention can be used to restore or create a mutant gene via homologous recombination.

[0053]

It is known to the skilled person that certain bivalent cations have a modulating effect on the activity of the carboxyl esterase of the present invention. In this regard, it is for example noteworthy that the catalytic activity of the enzyme of SEQ ID NO: 2 of the present invention is stimulated in the presence of Co2+ by about 130%. It has been observed that other bivalent cations like Ca2+. Cu2+ Mg2+, Zn2+ Rb2+ and EDTA have a inhibitory effect on enzymes such as the carboxyl esterase of SEQ ID NO: 2. Surprisingly, as far as the enzyme of SEQ ID NO: 4 (EstCE1) is concerned, the present inventors observed a reversed modulatory effect in the presence of bivalent cations such as Ca2+ and Mg2+, which resulted in a stimulation of the catalytic activity. With regard to EstCE1, the present inventors have observed a stimulatory effect amounting to 118% and 108%, respectively.

[0054]

In a more preferred embodiment of the present invention, said heterologous or homologous polynucleotide encodes a polypeptide. Examples of heterologous polypeptides are NusA from E. coli, glutathion S-transferase from Schistosoma japonicum or the maltose binding protein from E. coli all of which might increase the solubility of the carboxylesterase. The present invention also relates to a vector containing the polynucleotide of the present invention. Preferably, the vector is a plasmid, cosmid, virus, bacteriophage or another vector used e.g. conventionally in genetic engineering.

[0055]

The polynucleotide of the present invention may be inserted into several commercially available vectors. Non-limiting examples include prokaryotic plasmid vectors, such as the pUC-series, pBluescript (Stratagene), the pET-series of expression vectors (Novagen) or pCRTOPO (Invitrogen) and vectors compatible with an expression in mammalian cells like pREP (Invitrogen), pcDNA3 (Invitrogen), pCEP4 (Invitrogen), pMC1 neo (Stratagene), pXT1 (Stratagene), pSG5 (Stratagene), EBO-pSV2neo, pBPV-1, pdBPVMMTneo, pRSVgpt, pRSVneo, pSV2-dhfr, pIZD35, pLXIN, pSIR (Clontech), pIRES-EGFP (Clontech), pEAK-10 (Edge Biosystems) pTriEx-Hygro (Novagen) and pCINeo (Promega). Examples for plasmid vectors suitable for Pichia pastoris comprise e.g. the plasmids pAO815, pPIC9K and pPIC3.5K (all Intvitrogen).

[0056]

The polynucleotide of the present invention referred to above may also be inserted into vectors such that a translational fusion with another polynucleotide is generated. The other polynucleotide may encode a protein which may e.g. increase the solubility and/or facilitate the purification of the fusion protein. Non-limiting examples include pET32, pET41, and pET43.

[0057]

For vector modification techniques, see Sambrook and Russel (2001), loc. cit. Generally, vectors can contain one or more origin of replication (ORI) and inheritance systems for cloning or expression, one or more markers for selection in the host, e.g., antibiotic resistance, and one or more expression cassettes. Suitable origins of replication (ori) include, for example, the Col E1, the SV40 viral and the M 13 origins of replication.

[0058]

The coding sequences inserted in the vector can e.g. be synthesized by standard methods, or isolated from natural sources. Ligation of the coding sequences to transcriptional regulatory elements and/or to other amino acid encoding sequences can be carried out using established methods. Transcriptional regulatory elements (parts of an expression cassette) ensuring expression in prokaryotes or eukaryotic cells are well known to those skilled in the art. These elements comprise regulatory sequences ensuring the initiation of the transcription (e.g., translation initiation codon, promoters, enhancers, and/or insulators), internal ribosomal entry sites (IRES) (Owens, Proc. Natl. Acad. Sci. USA 98 (2001), 1471-1476) and optionally poly-A signals ensuring termination of transcription and stabilization of the transcript. Additional regulatory elements may include transcriptional as well as translational enhancers, and/or naturally-associated or heterologous promoter regions. Preferably, the polynucleotide of the invention is operatively linked to such expression control sequences allowing expression in prokaryotes or eukaryotic cells. The vector may further comprise nucleotide sequences encoding secretion signals as further regulatory elements. Such sequences are well known to the person skilled in the art. Furthermore, depending on the expression system used, leader sequences capable of directing the expressed polypeptide to a cellular compartment may be added to the coding sequence of the polynucleotide of the invention. Such leader sequences are well known in the art.

[0059]

Possible examples for regulatory elements ensuring the initiation of transcription comprise the cytomegalovirus (CMV) promoter, SV40-promoter, RSV-promoter (Rous Sarcoma Virus), the lacZ promoter, the gai10 promoter, human elongation factor 1α-promoter, CMV enhancer, CaM-kinase promoter, the Autographa californica multiple nuclear polyhedrosis virus (AcMNPV) polyhedral promoter or the SV40-enhancer. For the expression in prokaryotes, a multitude of promoters including, for example, the tac-lac-promoter, the lacUV5 or the trp promoter, has been described. Examples for further regulatory elements in prokaryotes and eukaryotic cells comprise transcription termination signals, such as SV40-poly-A site or the tk-poly-A site or the SV40, lacZ and AcMNPV polyhedral polyadenylation signals, downstream of the polynucleotide.

[0060]

Furthermore, it is preferred that the vector of the invention comprises a selectable marker. Examples of selectable markers include neomycin, ampicillin, and hygromycin resistance and the like. Specifically-designed vectors allow the shuttling of DNA between different hosts, such as bacteria-fungal cells or bacteria-animal cells.

[0061]

An expression vector according to this invention is capable of directing the replication, and the expression, of the polynucleotide and encoded enzyme of this invention. Suitable expression vectors which comprise the described regulatory elements are known in the art such as Okayama-Berg cDNA expression vector pcDV1 (Pharmacia), pRc/CMV, pcDNA1, pcDNA3 (In-Vitrogene, as used, inter alia in the appended examples), pSPORT1 (GIBCO BRL) or pGEMHE (Promega), or prokaryotic expression vectors, such as lambda gt11, pJOE, the pBBR1-MCS-series, pJB861, pBSMuL, pBC2, pUCPKS, pTACT1 or, preferably, the pET vector (Novagen).

[0062]

The nucleic acid molecules of the invention as described herein above may be designed for direct introduction or for introduction via liposomes, phage vectors or viral vectors (e.g. adenoviral, retroviral) into the cell. Additionally, baculoviral systems or systems based on Vaccinia Virus or Semliki Forest Virus can be used as eukaryotic expression system for the nucleic acid molecules of the invention.

[0063]

The present invention also relates to a host, genetically engineered with the polynucleotide of the present invention or the vector of the present invention. Said host may be produced by introducing said polynucleotide or vector(s) into a host which upon its/their presence mediates the expression of the enzyme having carboxylesterase activity. The host may be any prokaryote or eukaryotic cell. A suitable eukaryotic host may be a mammalian cell, an amphibian cell, a fish cell, an insect cell a fungal cell or a plant cell. A eukaryotic cell may be an insect cell such as a Spodoptera frugiperda cell, a yeast cell such as a Saccharomyces cerevisiae or Pichia pastoris cell, a fungal cell such as an Aspergillus cell or a vertebrate cell. In the latter regard, it is preferred that the cell is a mammalian cell such as a human cell. The cell may be a part of a cell line.

[0064]

Suitable prokaryotes/bacteria are those generally used for cloning/expression like E. coli (e.g., E. coli strains HB101, DH5a, XL1 Blue, Y1090 and JM101), Salmonella typhimurium, Serratia marcescens, Burkholderia glumae, Pseudomonas putida, Pseudomonas fluorescens, Pseudomonas stutzeri, Streptomyces lividans, Lactococcus lactis, Mycobacterium smegmatis or Bacillus subtilis. A suitable eukaryotic host may be a mammalian cell, an amphibian cell, a fish cell, an insect cell, a fungal cell or a plant cell. Preferred examples for hosts to be genetically engineered with the polynucleotide of the invention are E. coli and Bacillus subtilis.

[0065]

In a preferred embodiment of the present invention, the host is a prokaryotic host selected from the group consisting of E. coli, Bacillus sp., Pseudomonas sp., Streptomyces sp., Mycobacterium sp., Caulobacter sp., Rhodobacter sp., Lactococcus sp., Burkholderia sp, Rhizobium sp., Sinorhizobium sp. and Ralstonia sp.

[0066]

In another preferred embodiment of the present invention, the host of the present invention expresses the polypeptide encoded by the polynucleotide of the present invention or the vector of the present invention and one or more additional enzyme(s) wherein said enzymes in toto catalyze a multi-step conversion of a substrate or contribute thereto.

[0067]

The present invention also relates to a process for producing a polypeptide having carboxyl esterase [E.C. 3.1.1.1] activity, comprising culturing the host of the present invention and recovering the polypeptide produced by said host.

[0068]

A large number of suitable methods exist in the art to produce polypeptides (or fusion proteins) in appropriate hosts. If the host is a unicellular organism such as a prokaryote, a mammalian or insect cell, the person skilled in the art can revert to a variety of culture conditions. Conveniently, the produced protein is harvested from the culture medium, lysates of the cultured organisms or from isolated (biological) membranes by established techniques. In the case of a multicellular organism, the host may be a cell which is part of or derived from a part of the organism, for example said host cell may be the harvestable part of a plant. A preferred method involves the recombinant production of protein in hosts as indicated above. For example, nucleic acid sequences comprising the polynucleotide according to the invention can be synthesized by PCR, inserted into an expression vector. Subsequently a suitable host may be transformed with the expression vector. Thereafter, the host is cultured to produce the desired polypeptide(s), which is/are isolated and purified.

[0069]

An alternative method for producing the carboxylesterase of the invention is in vitro translation of mRNA. Suitable cell-free expression systems for use in accordance with the present invention include rabbit reticulocyte lysate, wheat germ extract, canine pancreatic microsomal membranes, E. coli S30 extract, and coupled transcription/translation systems such as the TNT-system (Promega). These systems allow the expression of recombinant polypeptides upon the addition of cloning vectors, DNA fragments, or RNA sequences containing coding regions and appropriate promoter elements.

[0070]

In addition to recombinant production, fragments of the protein, the fusion protein or fragments of the invention may e.g. be produced by direct peptide synthesis using solid-phase techniques (cf Stewart et al. (1969) Solid Phase Peptide Synthesis; Freeman Co, San Francisco; Merrifield, J. Am. Chem. Soc. 85 (1963), 2149-2154). Synthetic protein synthesis may be performed using manual techniques or by automation. Automated synthesis may be achieved, for example, using the Applied Biosystems 431A Peptide Synthesizer (Perkin Elmer, Foster City Calif.) in accordance with the instructions provided by the manufacturer. Various fragments may be chemically synthesized separately and combined using chemical methods to produce the full length molecule. As indicated above, chemical synthesis, such as the solid phase procedure described by Houghton Proc. Natl. Acad. Sci. USA (82) (1985), 5131-5135, can be used.

[0071]

Protein isolation and purification can be achieved by any one of several known techniques; for example and without limitation, ion exchange chromatography, gel filtration chromatography and affinity chromatography, high pressure liquid chromatography (HPLC), reversed phase HPLC, and preparative disc gel electrophoresis. Protein isolation/purification techniques may require modification of the proteins of the present invention using conventional methods. For example, a histidine tag can be added to the protein to allow purification on a nickel column. Other modifications may cause higher or lower activity, permit higher levels of protein production, or simplify purification of the protein.

[0072]

The present invention also relates to a process for producing bacteria or eukaryotic cells capable of expressing a polypeptide having carboxyl esterase [E.C. 3.1.1.1] activity, the process comprising genetically engineering bacteria or eukaryotic cells with the vector of the present invention. Said polypeptide may comprise additional N- or C-terminal amino acid sequences. Such polypeptides are sometimes also referred to as fusion proteins. The term “genetic engineering” refers to the process of bringing into a cell genetic information or modifying the genetic information of a cell. This is generally accomplished by transfecting or transforming a host cell with a nucleic acid molecule. Introduction of a construct into the host cell can be effected by calcium phosphate transfection, DEAE-dextran mediated transfection, cationic lipid-mediated transfection, electroporation, transduction, infection or other methods. Such methods are described in many standard laboratory manuals, such as Sambrook et al., “Molecular Cloning, A Laboratory Manual”; ISBN: 0879695765, CSH Press, Cold Spring Harbor, 2001. Said nucleic acid molecule introduced into the host cell comprises an open reading frame encoding the polypeptide of the present invention. The present invention also relates to a polypeptide comprising the amino acid sequence encoded by a polynucleotide of the present invention or obtainable by the process of the present invention. In addition of residues derived from a carboxylesterase, the polypeptide of the present invention may contain additional, heterologous sequences. Often, but not necessarily, these additional sequences will be located at the N- or C-terminal end of the polypeptide, in other words the polypeptide may be a fusion protein. It may be convenient to initially express the polypeptide as a fusion protein from which the additional amino acid residues can be removed, e.g. by expression of a proteinase capable of specifically trimming the polypeptide of the present invention. The additional heterologous sequences may help in the expression or purification of the present invention. In addition, heterologous sequences may assist in attaching the polypeptide of the present invention to a carrier.

[0073]

The present invention also relates to an antibody specifically binding to the polypeptide of the present invention. It is preferred that the antibody binds to the polypeptides or fusion protein of the invention in the form having carboxylesterase activity. In the embodiment of the antibody which specifically binds to the fusion protein of the invention, the antibody specifically binds either to epitopes formed by carboxylesterase residues within of the fusion protein. The antibody may however also bind to epitopes formed by the stretch of amino acids including the fusion point of the two heterologous polypeptides. This epitopes are characteristic (unique) for the fusion protein of the invention.

[0074]

The antibody of the present invention can be, for example, polyclonal or monoclonal. The term “antibody” also comprises derivatives or fragments thereof which still retain the binding specificity. Techniques for the production of antibodies are well known in the art and described, e.g. in Harlow and Lane “Antibodies, A Laboratory Manual”, Cold Spring Harbor Laboratory Press, 1988 and Harlow and Lane “Using Antibodies: A Laboratory Manual” Cold Spring Harbor Laboratory Press, 1999. These antibodies can be used, for example, for the immunoprecipitation, affinity purification and immunolocalization of the polypeptides or fusion proteins of the invention as well as for the monitoring of the presence and amount of such polypeptides, for example, in cultures of recombinant prokaryotes or eukaryotic cells or organisms.

[0075]

The antibody of the invention also includes embodiments such as chimeric, single chain and humanized antibodies, as well as antibody fragments, like, inter alia, Fab fragments. Antibody fragments or derivatives further comprise F(ab′)2, Fv or scFv fragments; see, for example, Harlow and Lane (1988) and (1999), loc. cit. Various procedures are known in the art and may be used for the production of such antibodies and/or fragments. Thus, the (antibody) derivatives can be produced by peptidomimetics. Further, techniques described for the production of single chain antibodies (see, inter alia, U.S. Pat. No. 4,946,778) can be adapted to produce single chain antibodies specific for polypeptide(s) and fusion proteins of this invention. Also, transgenic animals may be used to express humanized antibodies specific for polypeptides and fusion proteins of this invention. Most preferably, the antibody of this invention is a monoclonal antibody. For the preparation of monoclonal antibodies, any technique which provides antibodies produced by continuous cell line cultures can be used. Examples for such techniques include the hybridoma technique (Köler and Milstein Nature 256 (1975), 495-497), the trioma technique, the human B-cell hybridoma technique (Kozbor, Immunology Today 4 (1983), 72) and the EBV-hybridoma technique to produce human monoclonal antibodies (Cole et al., Monoclonal Antibodies and Cancer Therapy, Alan R. Liss, Inc. (1985), 77-96). Surface plasmon resonance as employed in the BIAcore system can be used to increase the efficiency of phage antibodies which bind to an epitope of an polypeptide of the invention (Schier, Human Antibodies Hybridomas 7 (1996), 97-105; Malmborg, J. Immunol. Methods 183 (1995), 7-13). It is also envisaged in the context of this invention that the term “antibody” comprises antibody constructs which may be expressed in cells, e.g. antibody constructs which may be transfected and/or transduced via, inter alia, viruses or plasmid vectors.

[0076]

The antibody described in the context of the invention is capable to specifically bind/interact with an epitope of the polypeptides or fusion protein of the invention. The term “specifically binding/interacting with” as used in accordance with the present invention means that the antibody does not or essentially does not cross-react with an epitope of similar structure. Thus, the antibody does not bind to prior art carboxylesterase of the present invention. Cross-reactivity of a panel of antibodies under investigation may be tested, for example, by assessing binding of said panel of antibodies under conventional conditions to the epitope of interest as well as to a number of more or less (structurally and/or functionally) closely related epitopes. Only those antibodies that bind to the epitope of interest in its relevant context (e.g. a specific motif in the structure of a protein) but do not or do not essentially bind to any of the other epitope are considered specific for the epitope of interest and thus to be antibodies in accordance with this invention. Corresponding methods are described e.g. in Harlow and Lane, 1988 and 1999, loc cit.

[0077]

The antibody specifically binds to/interacts with conformational or continuous epitopes which are unique for the polypeptides or fusion protein of the invention. A conformational or discontinuous epitope is characterized for polypeptide antigens by the presence of two or more discrete amino acid residues which are separated in the primary sequence, but come together on the surface of the molecule when the polypeptide folds into the native protein/antigen (Sela, (1969) Science 166, 1365 and Layer, (1990) Cell 61, 553-6). The two or more discrete amino acid residues contributing to the epitope are present on separate sections of one or more polypeptide chain(s). These residues come together on the surface of the molecule when the polypeptide chain(s) fold(s) into a three-dimensional structure to constitute the epitope. In contrast, a continuous or linear epitope consists of two or more discrete amino acid residues which are present in a single linear segment of a polypeptide chain.

[0078]

The present invention also relates to a primer which specifically hybridizes under stringent conditions to a polynucleotide of the present invention. Said primer is at least 10, more preferably at least 15, further preferably at least 20, furthermore preferably at least 25 nucleotides in length. Preferably said primer is up to 30, more preferably up to 35, further preferably up to 40 nucleotides in length.

[0079]

The term “primer” when used in the present invention means a single-stranded nucleic acid molecule capable of annealing to the nucleic acid molecule of the present invention and thereby being capable of serving as a starting point for amplification or elongation. For an amplification reaction it is preferred that a pair of primers is elected. According to the present invention the term “pair of primers” means a pair of primers that are with respect to a complementary region of a nucleic acid molecule directed in the opposite direction towards each other to enable, for example, amplification by polymerase chain reaction (PCR).

[0080]

The term “amplifying” refers to repeated copying of a specified sequence of nucleotides resulting in an increase in the amount of said specified sequence of nucleotides and allows the generation of a multitude of identical or essentially identical (i.e. at least 95% more preferred at least 98%, even more preferred at least 99% and most preferred at least 99.5% such as 99.9% identical) nucleic acid molecules or parts thereof. Such methods are well established in the art; see Sambrook et al. “Molecular Cloning, A Laboratory Manual”, 2nd edition 1989, CSH Press, Cold Spring Harbor. They include polymerase chain reaction (PCR) and modifications thereof, ligase chain reaction (LCR) to name some preferred amplification methods.

[0081]

It is also preferred that the nucleic acid molecule of the invention, also including the primer of the present invention, is labelled. The label may, for example, be a radioactive label, such as32P,33P or35S. In a preferred embodiment of the invention, the label is a non-radioactive label, for example, digoxigenin, biotin and fluorescence dye or a dye.

[0082]

The present invention also relates to a composition comprising the polynucleotide of the present invention, the vector of the present invention, the host of the present invention, the polypeptide of the present invention, the antibody of the present invention and/or one or more primers of the present invention. The term “composition”, as used in accordance with the present invention, relates to a composition which comprises at least one of the recited compounds. It may, optionally, comprise further molecules capable of altering the characteristics of the compounds of the invention thereby, for example, suppressing, stabilizing, blocking, modulating and/or activating their function. The composition may be in solid, liquid or gaseous form and may be, inter alia, in the form of (a) powder(s), (a) tablet(s), (a) solution(s) or (an) aerosol(s).

[0083]

The present invention also relates to a method for the production of an optical active compound comprising allowing the enantioselective conversion of a racemic starting material by a polypeptide of the present invention. ee-values of 100% were determined for the conversion of rac-menthylacetate by the enzyme according to SEQ ID NO: 4, for the conversion of rac-isopropylideneglycerol acetate by the enzyme according to SEQ ID NO:6 and for the conversion of rac-cis-3,5-diacetoxy-1-cyclopenten by the enzymes according to SEQ ID NO: 2 and 6 as outlined in example 8. The term “optically active” as used herein describes the capability of a molecule to rotate the plane of polarization of a light wave. This capability is associated with asymmetry in the molecule. It is very often the result of a chiral centre. The term “enantioselective conversion” refers to the selective conversion of a chiral or prochiral substrate into an enantioenriched or enantiopure product.

[0084]

In a preferred embodiment of the present invention, said optical active compound is (+)-menthol and the racemic starting material is rac-menthyl acetate.

[0085]

In another preferred embodiment of the present invention said racemic starting material (educt) is produced by catalysis of a conversion by one or more different enzymes and/or the optical active compound (product) is the starting material (educt) for a further conversion by one or more different enzyme(s).

THE FIGURES SHOW

[0086]

FIG. 1: SEQ ID NO: 1 (EstA3)

[0087]

FIG. 2: SEQ ID NO: 2 (EstA3)

[0088]

FIG. 3: SEQ ID NO: 3 (EstCE1)

[0089]

FIG. 4: SEQ ID NO: 4 (EstCE1)

[0090]

FIG. 5: SEQ ID NO: 5 (EstCL1)

[0091]

FIG. 6: SEQ ID NO: 6 (EstCL1)

[0092]

FIG. 7: SEQ ID NO: 7 (EstCL2)

[0093]

FIG. 8: SEQ ID NO: 8 (EstCL2)

[0094]

FIG. 9: Fingerprint analysis of the conversion of 10 different model substrates by the enzymes according to SEQ ID NO: 2 and 4 (A). The substrate with highest conversion was set as maximum (red), the strength of conversion of the other substrates is indicated according to the color scheme. The colored boxes represent the substrates 1-10 according to the order shown (B), the stereocenter of each molecule is indicated with an asterisk. The total conversion in percent (%) is color-coded in the two squares at lower right.

[0095]

FIG. 10: Enzyme activity of enzymes according to SEQ ID NO: 2, 4 and 6 at various pH values, determined with three different buffer systems as indicated.

[0096]

FIG. 11: Activity of enzymes according to SEQ ID NO: 2 and 4 at various temperatures.

[0097]

FIG. 12: Thermal stability of the enzymes according to SEQ ID NO: 2 and 4 at various temperature as indicated, assayed for 1 hour.

[0098]

The invention is illustrated by the following examples but it should be understood that this invention is not limited thereto or thereby.

EXAMPLE 1

Screening

[0099]

DNA isolation methods were based on the method described previously [24]. Libraries were prepared in the cosmid vector pWE15 which has kanamycin and ampicillin resistance (Stratagene, La Jolla, Calif.) using protocols as provided by the manufacturer. DNA fragments (20-40 kb) obtained after partial Sau3AI digestion were ligated into the BamHI restriction site of the cosmid vector. Phage packaging mixes were obtained from Stratagene (La Jolla, Calif.), and infection of E. coli VCS257 was performed according to the manufacturer's protocol.

EXAMPLE 2

Heterologous Expression

[0100]

The estCE1, estA3, estCL1 and estCL2 genes were amplified from cosmid DNAs using PCR in 35 cycles with primer pairs ESTCE1-for (5′-GGC ATA TGT CGA TAG CGG ATC AGT CA-3′) and ESTCE1-rev (5′-GGA TCC TTA GCG AGT AGG TTC GTT TG-3′), ESTA3-for (5′-GCG GAT CCA TGA GCG CCG AAG AAC TAG GG-3′) and ESTA3-rev (5′-CGA AGC TTG GCG GCG AGC GCG CTG TA-3′), estcl1up (5′-AGA GAC CAT ATG ACC GAT CCC TAT GTG CG-3′) and estcl1dw (5′-CGG TTT GGA TCC TCA TGC TTC TGC CAT AAC-3′), estCL2up (5′-ACT ATC CAT ATG AAA AGA AAA ACA ATC TTC-3′) and estCL2dwchis (5′-TTA GTT AAG CTT CTG CGG CAA ACT TGC AG-3′), respectively. Primers were designed to introduce a 3′-BamHI restriction site and a 5′-NdeI site into the cloned fragment of estCE1, estCL1 and estCL2 and a 3′-HindIII site and a 5′-BamHI site into estA3, respectively. To increase cloning efficiency the PCR fragments were first ligated into pBSK+ (Stratagene, La Jolla, Calif.), then excised with Nde/I and BamHI, and ligated into pET19b (Novagen, Madison, USA) for estCE1 or into pET16a (Novagen, Madison, USA) for estCL1 or into pET22b (Novagen, Madison, USA) for estCL2 and exised with BamHI and HindIII and ligated into pET24c (Novagen, Madison, USA) for estA3, respectively. The plasmids carrying the estCE1, estA3, estCL1 and the estCL2 sequence were designated pET19b-EstCE1, pET24c-EstA3, p16estCL1 and p22estCL22, respectively. Freshly transformed E. coli BL21(DE3) cells carrying the respective plasmid were used to overproduce the corresponding proteins. Cultures were grown at 37° C. to an optical density of 0.5 at 600 nm, and production of the recombinant protein was induced by the addition of 0.5 mM isopropyl-beta-D-thiogalactopyranoside (IPTG). After 4-5 h, cells were harvested, disrupted in a French pressure cell, and the enzymes were purified from the soluble fraction.

EXAMPLE 3

Purification

[0101]

Extracts were loaded on Protino-Ni-2000 prepacked columns, and chromatography was done as specified by the manufacturer (Machery & Nagel, Düren, Germany). Protein extracts were then dialyzed overnight against 50 mM NaH2PO4/300 mM NaCl (pH 7.5). The resulting protein fractions were analyzed by 12% SDS polyacrylamide gel electrophoresis and Western-immunoblotting using 6-His-specific antibodies. EstA3 and EstCE proteins were further purified by size exclusion chromatography (Superdex 200 prep grade, column: HiLoad16/60, 50 mM NaH2PO4/300 mM NaCl 1 ml/min) to homogeneity.

EXAMPLE 4

Determination of Enyzme Activity

[0102]

Enzyme activity tests were performed by incubating the enzyme with 4 mM substrate at 45° C. in 100 mM Tris-HCl buffer at pH 7.2, unless otherwise indicated. The reaction was measured at 410 nm. One unit is defined as the amount of enzyme catalyzing the appearance of 1 μmol of free p-nitrophenol/min. Enzyme activity against pNP-acylesters (butyrate, valerate, caproate, octanoate, decanoate and palmitate) was tested under the above conditions. The recombinant enzymes according to SEQ ID NO.2 and 4 showed highest activity towards short chain fatty acids (C4) while activity towards long chain fatty acids (>C8) was much lower. The enzyme according to SEQ ID NO: 6 converted pNP-caproate with a specific activity of 80.0 U/mg. The results are shown in Table 5.

[0000]

Activity of the enzymes with various pNP-acylesters
of different chain length
specific activity [U/mg]
substrateEstCE1EstA3EstCL1
pNP-butyrate (C4)31.1513.6n.d.
pNP-valerate (C5)22.9425.7n.d.
pNP-caproate (C6)7.4425.780.0
pNP-octanoate (C8)1.03.6n.d.
pNP-decanoate (C10)0.90n.d.
pNP-palmitate (C16)0.00n.d.

[0103]

Enzyme activities on the substrates triacetin, tripropionin, tributyrin, tricaprylene, trilaurin and vinyl-substrates (vinyl-acetate, ˜propionate, ˜butyrate, ˜caproate, caprylate and ˜laurate) were determined using a standard titration assay with minor modifications [25]. Tests were performed with a Methrom 718 STAT potentiometric titrator (Herisau, Switzerland) and by using 10 mM NaOH for titration. The substrates at 10 mM concentration were emulsified in 20 ml reaction buffer containing 2 mM Tris/HCl pH 7.0. After addition of 7.5 μg of the purified enzyme the NaOH consumption was recorded at a reaction temperature of 37° C. One unit was defined as the amount of enzyme that released 1.0 mmol of fatty acid per min.

[0104]

Enzyme assays with these substrates confirmed the observation that only short chain substrates are converted by the enzyme according to SEQ ID NO: 4 (Tables 6+7).

[0000]

Activity of the enzymes with various triglycerides
specific activity [U/mg]
substrateEstCE1EstA3EstCL1
triacetin (C2)26.7147.5120
tripropionin (C3)33.3n.d.200
tributyrin (C4)54.7167.5330
tricaprylin (C8)0n.d.0
trilaurin (C12)0n.d.0
(n.d. = not determined)

[0000]

Activity of the enzymes with various vinyl acid esters
specific activity [U/mg]
substrateEstCE1EstA3EstCL1
vinyl acetate (C2)13.3107.50
vinyl propionate (C3)13.3380.0173
vinyl butyrate (C4)16.0387.5550
vinyl caproate (C6)0237.5n.d.
vinyl caprylate (C8)0155.080
vinyl laurinate (C12)07.50

[0105]

The specific activity of the enzyme according to SEQ ID NO: 2 was significantly higher and this enzyme was capable of hydrolyzing substrates with a chain length of up to C12 with the optimum at a chain length of C4 The enzyme according to SEQ ID NO: 6 showed its chain length optimum also at C4 with the highest activity of all enzymes of the present invention. These biochemical tests indicate that the enzymes belong to the esterase class of enzyme rather than to the lipases.

EXAMPLE 5

Determination of Solvent Stability

[0106]

The stability of the enzymes was determined in the presence of the following solvents: DMSO, isopropanol, methanol, dimethylformamide, acetone and acetonitrile. The enzymes were incubated for 1 hour at 30° C. in the presence of either 15% (v/v) or 30% (v/v) of the solvents and the residual activity was measured at 45° C. The substrate used was pNP-butyrate.

[0107]

The recombinant enzyme according to SEQ ID NO: 4 was quite stable in the presence of 15% (v/v) DMSO, methanol and isopropanol, retaining 103%, 90% and 75% residual activity, respectively. At the same concentration, dimethylformamide, acetone and acetonitrile strongly inhibited activity of the enzyme according to SEQ ID NO: 4 with the enzyme displaying only 34%, 14% and 0% residual activity, respectively. When this enzyme was tested against a higher concentration, 30% (v/v), of the solvents it was completely inhibited and only able to retain 17% and 23% activity in the presence of DMSO and isopropanol, respectively.

[0108]

In contrast, the enzyme according to SEQ ID NO: 2 proved to be very stable, displaying increased activity in the presence of all the tested solvents. With 15% and 30% (v/v) DMSO it retained full activity at 102% and 104%, respectively. The enzyme activity was stimulated to the same level by both concentrations of dimethylformamide and acetone with activity measured at levels up to 128% and 155%, respectively. When the concentration of methanol was increased from 15% (v/v) to 30% (v/v) there was an increase in the activity of the enzyme according to SEQ ID NO: 2 from 111% to 130%. When concentrations were increased from 15% (v/v) to 30% (v/v) there was a decrease in the activity of the enzyme according to SEQ ID NO: 2 from 155% to 117% in the presence of isopropanol and from 110% to 87% in the presence of acetonitrile. The results are shown in Table 8.

[0000]

Residual activity of the enzymes after 1 h incubation in the presence
of 15 or 30% (v/v) solvent
EstCE1EstA3EstCL1
solvent15%30%15%30%15%30%
none100100100100100100
DMSO10317102104n.d.n.d.
Methanol900111130n.d.n.d.
Isopropanol7523155117n.d.n.d.
Dimethylformamid340125128n.d.n.d.
Acetone140152155n.d.n.d.
Acetonitrile0011087n.d.n.d.

EXAMPLE 6

Determination of Substrate Specificity

[0109]

The substrate range of the two enzymes was determined using pNP esters of the following: benzoate, 2-(4-isobutylphenyl)propanoate (Ibuprofen), 2-phenylpropanoate, 3-phenylbutanoate, cyclohexanoate, 2-(3-benzoylphenyl)propanoate, 2-naphthoate, 1-naphthoate, adamantanoate and 2-(6-methoxynaphthalene-2-yl)propanoate (Naproxen). Activity was determined at 410 nm after 30 minute incubation at 40° C. The reaction mixture was 950 μl buffer (100 mM Tris, pH 7.5), 50 μl substrate (5 mg/ml in DMSO) and 1 μg enzyme. The results are shown in Table 9.

[0000]

Activity of the enzymes on pNP-substrates with
importance for pharmaceutical products
Specific activity [U/mg]
pNP-ester of . . .EstCE1EstA3EstCL1
benzoate12.19.4n.d.
2-(4-isobutylphenyl) propanoate07.2n.d.
2-phenylpropanoate021.0n.d.
3-phenylbutanoate1.031.6n.d.
cyclohexanoate16.850.0n.d.
2-(3-benzoylphenyl) propanoate0.826.7n.d.
2-naphthoate00n.d.
1-naphthoate00n.d.
adamantanoate00n.d.
2-(6-methoxy-naphthalen-2-yl) propanoate026.7n.d.

EXAMPLE 7

Enzyme Activity Fingerprinting with Substrate Cocktails

[0110]

The enzyme activity fingerprinting used 10 substrates and was carried out as described previously [26]. The assay conditions were 75% PBS buffer at pH 7.4, 25% DMSO and 0.0025% SDS. Each substrate was present in the cocktail at 15 μM, the total concentration of the substrate cocktail was 150 μM. EstA3 was added at a concentration of 0.75 mg/L and EstCE1 at 0.2075 mg/L. The reaction time was 30 min. The chemical background was measured by recording the products observed under the same assay conditions after a 5 day incubation in the absence of the enzyme. The blank value was taken from the reaction after 30 min incubation in the absence of the enzyme. The results and the structures of the substrates are shown in FIG. 9.

EXAMPLE 8

Determination of Enantioselectivity

[0111]

To assay the activity of the enzymes on a range of acetic acid esters gas chromatography was used. The samples were analyzed for the production of chiral alcohols by the gas chromatograph GC-17A (Shimadzu, Duisburg, Germany) equipped with FID detector and CP-Chirasil-DEX CB (Chrompack (Middelburg, Netherlands), 25 m×0.25 mm ID) at a helium flow of 1.3 ml/min. The temperature programme included: 5 min at 60° C., followed by an increase of 5° C. per min until 190° C. was reached. For the GC analysis, activity-tests were run in 1 M Tris buffered solutions and using 10 mM substrates dissolved in DMSO as 0.1 M stock solutions. 2 μg of the enzyme were added and tests incubated over night before the corresponding alcohols could be extracted by treatment with acetic acid ethyl ester and analyzed by GC. The results are shown in Table 10.

[0000]

activity of the enzymes against racemic or enantiopure compounds as judged by GC
analysis
EstA3EstCEEstCL1EstCl2
conversionconversionconversionconversion
% of% of% of% of
substrate1.e2.eee %1.e2.eee %1.e2.eee %1.e2.eee %
acetic acid ester of (+/−)-1-2418 12 6460 300n.d.n.d.n.d.
octin-3-ol
acetic acid ester of cis-1,2-0010011001 0n.d.n.d.n.d.n.d.n.d.n.d.
cyclohexandiol
acetic acid ester of trans-0010045 38n.d.n.d.n.d.n.d.n.d.n.d.
1,2-cyclohexandiol
Acetic acid ester of00 0000n.d.n.d.n.d.
tetrahydronaphthylamin
acetic acid ester of00 0000n.d.n.d.n.d.
phenylethylamin
acetic acid ester of R-(+)-3- 621002n.d.n.d.n.d.n.d.n.d.n.d.
chlor-1-phenyl-1-propanol
acetic acid ester of4521002n.d.n.d.n.d.n.d.n.d.n.d.
trimethylsilylbutinol
cis-3,5-diacetoxy-1-240100 1259 66100 0100100076.3
cyclopenten
isopropylidenglycerolacetate001001  1001 0035 100n.d.n.d.n.d.
(rac.)
menthylacetate (1.00100010000n.d.n.d.n.d.
enantiomer (+), 2.e. (−))
(e = enantiomer, n.d. = not determined)
1substrate conversion after 12 h,
2only complete conversion could be measured

EXAMPLE 9

Determination of pH-Optimum

[0112]

The pH optimum for the enzymes was determined using tributyrin as substrate. The incubation conditions were 20 ml buffer (2.5 mM phosphate buffer [pH 4-7], 2.5 mM Tris/HCl buffer [pH 7-11] or 2.5 mM glycine buffer [pH 9-11], supplemented with 100 mM NaCl) stirred at a constant temperature of 37° C. The esterase substrate tributyrin (final concentration of 2 mM) was added to 5 ml of the corresponding buffer at 37° C., emulsified and added to the whole preparation. This substrate emulsion was held constant at the correct pH automatically by the titrator (718 STAT Titrino; Metrohm, Herisau, Switzerland) for 2 min and this served as the control. The enzymes were added separately to the emulsion and the consumption of 0.01 M NaOH was measured over 4 min, which allowed the calculation of the specific activity of each enzyme at various pH adjustments.

[0113]

The activity of enzymes according to SEQ ID NOs: 2, 4 and 6 was tested under buffered conditions over the range pH 4 to 11. All enzymes displayed high activities under neutral to alkalophilic conditions with no activity below pH 6 for the enzyme according to SEQ ID NO: 6, below pH 5 for the enzyme according to SEQ ID NO: 4 and below pH 4 for the enzyme according to SEQ ID NO: 2. The highest activity was measured at pH 10 for the enzyme according to SEQ ID NO: 4, pH 9 for the enzyme according to Seq ID NO. 2 and pH 8 for the enzyme according to SEQ ID NO: 6 (FIG. 10). Surprisingly, the enzymes according to SEQ ID NOs: 2 and 4 were extremely stable with little loss of activity after incubation for up to 48 hours under alkaline conditions up to pH 12 (data not shown).

EXAMPLE 10

Determination of Temperature Optimum

[0114]

The temperature range of the enzymes was tested using pNP-caproate as substrate. To determine the temperature optimum, the enzymes were tested at temperatures ranging from 25° C. to 70° C. as described above.

[0115]

The enzymes according to SEQ ID NOs: 2 and 4 were active over a wide temperature range retaining a minimum of 50% relative activity between 37.6° C. and 55.8° C. for the enzyme according to the SEQ ID NO: 2 and between 36.3° C. and 51.2° C. for the enzyme according to the SEQ ID NO: 4 Maximum activity was measured at 47° C. and 50° C. for the enzyme according to the SEQ ID NOs: 2 and 4, respectively (FIG. 11). Both enzymes displayed similar overall activity patterns with a rapid decrease in activity when incubated at temperatures higher than their optimum.

EXAMPLE 11

Determination of Thermal Stability

[0116]

To assay the thermostability of the enzymes they were incubated at different temperatures for one hour and the residual activity assayed at 10 minute intervals. Residual activity was measured using pNP-caproate as substrate as described above.

[0117]

The enzymes according to the SEQ ID NO: 2 and 4 remained relatively stable at temperatures below 40° C. and could be incubated for at least 60 minutes without a major loss of activity at 40° C. (FIG. 12). However, incubation at temperatures above 45° C. for more than 60 minutes resulted in a rapid inactivation of both enzymes (data not shown).

REFERENCES

[0000]

  • [1] Bommarius A. S. & Riebel B. R., 2004, Biocatalysis, Wiley-VCH, Weinheim, Germany
  • [2] Lorenz P. & Eck J., 2004, Screening for novel industrial biocatalysts, Engineering in Life Sciences, 4, 501-503
  • [3] Schmid A., Dordick J. S., Hauer B., Kiener A., Wubbolts M. & Witholt B., 2001, Industrial biocatalysis today and tomorrow, Nature 409, 258-268
  • [4] Ollis D. L., Cheah E., Cygler M., Dijkstra B., Frolow F., Franken S. M., Harel M., Remington S. J., Silman I., Schrag J., 1992, The alpha/beta hydrolase fold, Protein Eng., 1992, 5, 197-211
  • [5] Bornscheuer U., 2002, Microbial carboxyl esterases: classification, properties and application in biocatalysis, FEMS Microbiology Reviews, 26, 73-81
  • [6] Arpigny J. L. & Jaeger K.-E., 1999, Bacterial lipolytic enzymes: classificatiob and properties, Biochem J. 343, 177-183
  • [7] Pleiss J., Fischer M., Peiker M., Thiele, C., & Schmid R. D., 2000, Lipase engineering database: understanding and exploiting sequence-structure-function relationships, J Mol Catal B, 10, 491-508
  • [8] Henke E., Bornscheuer U. T., Schmid R. D. & Plaiss J., 2003, A molecular mechanisms of enantiorecognition of tertiary alcohols by craboxylesterases, ChemBioChem, 4, 485-493
  • [9] Henke E., Pleiss J., Bornscheuer U. T., 2002, Activity of lipases and esterases towards tertiary alcohols: insights into structure-function relationships, Angew Chem Int Ed Engl., 41, 3211-3213
  • [10] Wagner U. G., Petersen E. I., Schwab H., Kratky C., 2002, EstB from Burkholderia gladioli: a novel esterase with a beta-lactamase fold reveals steric factors to discriminate between esterolytic and beta-lactam cleaving activity, Protein Sci, 11, 467-478
  • [11] Schlacher A., Stanzer T., Osprian I., Mischitz M., Klingsbichel E., Faber K., Schwab H., 1998, Detection of a new enzyme for stereoselective hydrolysis of linalyl acetate using simple plate assays for the characterization of cloned esterases from Burkholderia gladioli, J Biotechnol., 62, 47-54
  • [12] Droge M. J., Bos R., & Quax W. J., 2001, Paralogous gene analysis reveals a highly enantioselective 1,2-O-isopropylideneglycerol caprylate esterase of Bacillus subtilis, Eur. J. Biochem. 268, 3332-3338
  • [13] Brogden et al., Drugs, 18, 241-277 (1979)
  • [14] Chen C. S., Fujimoto Y, Girdaukas G., Sih C. J., 1982, Quantitative analyses of the biochemical kinetic resolutions of enantiomers, J. Am. Chem. Soc., 104, 7294-7299
  • [15] Chen C. S., Wu S., Girdaukas G., Sih C. J., 1987, Quantitative analyses of the biochemical kinetic resolutions of enantiomers 2: Enzyme catalysed esterification in water-organic solvents biphasic systems, J. Am. Chem. Soc., 109, 2812-2817
  • [16] Henke, E., and U. T. Bornscheuer. 2002. Esterases from Bacillus subtilis and B. stearothermophilus share high sequence homology but differ substantially in their properties. Appl Microbiol Biotechnol 60:320-6).
  • [17] Faber, K. 2000. Biotransformations in organic chemistry, 2 ed. Springer-Verlag, Berlin, Heidelberg, N.Y.)
  • [18] D. Talker-Huiber, J. Jose, A. Glieder, M. Pressing, G. Stubenrauch, H. Schwab., Esterase estE from Xanthomonas vesicatoria is an outer membrane protein capable of hydrolyzing long-chain polar esters, 2003, Appl Micriobiol Biotechnol, 61, 479-487
  • [19] Choo D W, Kurihara T, Suzuki T, Soda K, Esaki N. A cold-adapted lipase of an Alaskan psychrotroph, Pseudomonas sp. strain B11-1: gene cloning and enzyme purification and characterization, 1998, Appl Environ Microbiol., 64, 486-491.
  • [20] Y C Chuang, S F Chiou, J H Su, M L Wu, M C Chang., Molecular analysis and expression of the extracellular lipase of Aeromonas hydrophila MCC-2, 1997, Microbiology, 143, 803-812.
  • [21] W. R. Pearson and D. J. Lipman, Improved Tools for Biological Sequence Comparison, 1988, Proc. Natl. Acad. Sci., USA 85; 2444-2448 ( )
  • [22] C. Kanz, P. Aldebert, N. Althorpe, W. Baker, A. Baldwin, K. Bates, P. Browne, A I. van den Broek, M. Castro, G. Cochrane, K. Duggan, R. Eberhardt, N. Faruque, J. Gamble, F. G. Diez, N. Harte, T. Kulikova, Q. Lin, V. Lombard, R. Lopez, R. Mancuso, M. McHale, F. Nardone, V. Silventoinen, S. Sobhany, P. Stoehr, M. A. Tuli, K. Tzouvara, R. Vaughan, D. Wu, W. Zhu and R. Apweiler, The EMBL Nucleotide Sequence Database, 2005, Nucleic Acids Res. 33, D29-D33
  • [23] D. A. Benson, I. K. Mizrachi, D. J. Lipman, J. Ostell, D. L. Wheeler, GenBank, 2005, Nucleic Acids Res. 33, D34-D38
  • [24] Entcheva, P., W. Liebl, A. Johann, T. Hartsch, and W. R. Streit, Direct cloning from enrichment cultures, a reliable strategy for isolation of complete operons and genes from microbial consortia. 2001. Appl. Environ. Microbiol. 67, 89-99.
  • [25] Eggert, T., G. Pencreac'h, I. Douchet, R. Verger, and K. E. Jaeger, A novel extracellular esterase from Bacillus subtilis and its conversion to a monoacylglycerol hydrolase., 2000, Eur. J. Biochem. 267, 6459-6469.
  • [26] Goddard, J.-P., and J.-L. Reymond, Enzyme activity fingerprinting with substrate cocktails., 2004, J. Am. Chem. Soc., 126, 11116-11117
  • [27] Molnar, I., Schupp, T., Ono, M., Zirkle, R., Milnamow, M., Nowak-Thompson, B., Engel, N., Toupet, C., Stratmann, A., Cyr, D. D., Gorlach, J., Mayo, J. M., Hu, A., Goff, S., Schmid, J. and Ligon, J. M. The biosynthetic gene cluster for the microtubule-stabilizing agents epothilones A and B from Sorangium cellulosum So ce90, 2000, Chem. Biol., 7, 97-109
  • [28] Petersen, E., Zuegg, J., Ribbons, D. W. and Schwab, H., Molecular cloning and homology modeling of protocatechuate 3,4-dioxygenase from Pseudomonas marginata, 1996, Microbiol. Res. 151, 359-370
  • [29] Uchida H., Shigeno-Akutsu Y., Nomura N., Nakahara T., Nakajima-kambe T., Cloning and sequence analysis of poly(tetramethylene succinate) depolymerase from Acidovorax delafieldii strain BS-3., 2002, J. Biosci. Bioeng. 93, 245-247
  • [30] Bentley, S. D., Chater, K. F., Cerdeno-Tarraga, A. M., Challis, G. L., Thomson, N. R., James, K. D., Harris, D. E., Quail, M. A., Kieser, H., Harper, D., Bateman, A., Brown, S., Chandra, G., Chen, C. W., Collins, M., Cronin, A., Fraser, A., Goble, A., Hidalgo, J., Hornsby, T., Howarth, S., Huang, C. H., Kieser, T., Larke, L., Murphy, L., Oliver, K., O'Neil, S., Rabbinowitsch, E., Rajandream, M. A., Rutherford, K., Rutter, S., Seeger, K., Saunders, D., Sharp, S., Squares, R., Squares, S., Taylor, K., Warren, T., Wietzorrek, A., Woodward, J., Barrell, B. G., Parkhill, J. and Hopwood, D. A., Complete genome sequence of the model actinomycete Streptomyces coelicolor A3(2), 2002, Nature, 417, 141-147

Как компенсировать расходы
на инновационную разработку
Похожие патенты