заявка
№ US 20070149555
МПК A61K31/522

Prophylatic and/or therapeutic agents for chronic musculoskeletal pain

Авторы:
Hiroshi Kase Isami Takahashi Shunji Kunori
Все (6)
Правообладатель:
Номер заявки
10594684
Дата подачи заявки
30.03.2005
Опубликовано
28.06.2007
Страна
US
Дата приоритета
15.12.2025
Номер приоритета
Страна приоритета
Как управлять
интеллектуальной собственностью
Чертежи 
2
Реферат

[0000]

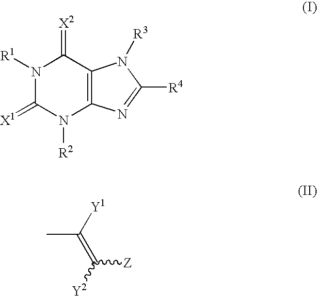
A prophylactic and/or therapeutic agent for diseases accompanied by chronic musculoskeletal pain comprising as an active ingredient a compound having an adenosine A2A receptor antagonistic action, for example, represented by the following formula (I) (wherein R1, R2 and R3 are the same or different, each representing a hydrogen atom, lower alkyl, lower alkenyl or lower alkynyl; R4 represents cycloalkyl, —(CH2)n—R5 or the following formula (II); and X1 and X2 are the same or different, each representing an oxygen atom or a sulfur atom) or a pharmaceutically acceptable salt thereof.

Формула изобретения

1. A prophylactic and/or therapeutic agent for diseases accompanied by chronic musculoskeletal pain which comprises as an active ingredient a compound having an adenosine A2A receptor antagonistic action or a pharmaceutically acceptable salt thereof.

2. The prophylactic and/or therapeutic agent for diseases accompanied by chronic musculoskeletal pain as claimed in claim 1, wherein the compound having an adenosine A2A receptor antagonistic action is a xanthine derivative.

3. The prophylactic and/or therapeutic agent for diseases accompanied by chronic musculoskeletal pain as claimed in claim 1, wherein the compound having an adenosine A2A receptor antagonistic action is a xanthine derivative represented by formula (I):

[wherein R1, R2 and R3 are the same or different, each representing a hydrogen atom, lower alkyl, lower alkenyl or lower alkynyl;

R4 represents cycloalkyl, —(CH2)n—R5 (in which R5 represents substituted or unsubstituted aryl or a substituted or unsubstituted heterocyclic group; and n is an integer of 0 to 4) or formula (II):

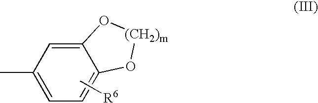
(wherein Y1 and Y2 are the same or different, each representing a hydrogen atom, halogen or lower alkyl; and Z represents substituted or unsubstituted aryl or a substituted or unsubstituted heterocyclic group); and X1 and X2 are the same or different, each representing an oxygen atom or a sulfur atom].

4. The prophylactic and/or therapeutic agent for diseases accompanied by chronic musculoskeletal pain as claimed in claim 3, wherein X1 and X2 each is an oxygen atom.

5. The prophylactic and/or therapeutic agent for diseases accompanied by chronic musculoskeletal pain as claimed in claim 4, wherein R4 is a formula (II):

(wherein Y1, Y2 and Z each has the same meanings as mentioned above).

6. The prophylactic and/or therapeutic agent for diseases accompanied by chronic musculoskeletal pain as claimed in claim 5, wherein Y1 and Y2 each is a hydrogen atom.

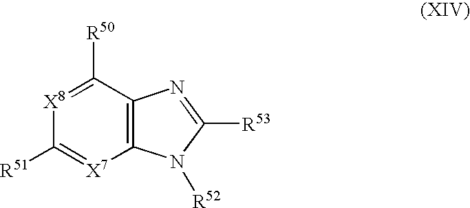
7. The prophylactic and/or therapeutic agent for diseases accompanied by chronic musculoskeletal pain as claimed in claim 5 or 6, wherein Z is substituted or unsubstituted aryl or a group represented by formula (III):

(wherein R6 represents a hydrogen atom, hydroxy, lower alkyl, lower alkoxy, halogen, nitro or amino; and m represents an integer of 1 to 3).

8. The prophylactic and/or therapeutic agent for diseases accompanied by chronic musculoskeletal pain as claimed in claim 5 or 6, wherein Z is a group represented by formula (IV):

(wherein at least one of R7, R8 and R9 represents lower alkyl or lower alkoxy and the remaining groups represent a hydrogen atom; R10 represents a hydrogen atom or lower alkyl)

or formula (III):

(wherein R6 and m each has the same meanings as mentioned above).

9. The prophylactic and/or therapeutic agent for diseases accompanied by chronic musculoskeletal pain as claimed in claim 5 or 6, wherein R1 and R2 each is ethyl.

10. The prophylactic and/or therapeutic agent for diseases accompanied by chronic musculoskeletal pain as claimed in claim 9, wherein R3 is methyl.

11. The prophylactic and/or therapeutic agent for diseases accompanied by chronic musculoskeletal pain as claimed in claim 1, wherein the compound having an adenosine A2A receptor antagonistic action is a compound represented by formula (1):

12. A method of treating fibromyalgia syndrome comprising administering a therapeutic amount of the prophylactic and/or therapeutic agent as claimed in claim 11 to a patient in need thereof.

13. (canceled)

14. The method as claimed in claim 12, wherein the fibromyalgia syndrome is selected from the group consisting of fibrositis, chronic fatigue syndrome, myofascial pain syndrome, diffuse myofascial pain syndrome, generalized fibrisitis, soft tissue rheumatism, non-articular rheumatism, chronic rheumatoid arthritis, primary fibromyalgia syndrome, concomitant fibromyalgia syndrome, idiopathic muscle pain syndrome, chronic widespread musculoskeletal pain, low back pain, Lyme disease accompanied by fibromyalgia syndrome, generalized tendomyopathy, and temporomansibular joint disorder.

15. A method of preventing and/or treating diseases accompanied by chronic musculoskeletal pain which comprises administering to a patient in need thereof an effective amount of a compound having an adenosine A2A receptor antagonistic action or a pharmaceutically acceptable salt thereof.

16. (canceled)

17. The prophylactic and/or therapeutic agent for diseases accompanied by chronic musculoskeletal pain as claimed claim 7, wherein R1 and R2 each is ethyl.

18. The prophylactic and/or therapeutic agent for diseases accompanied by chronic musculoskeletal pain as claimed claim 8, wherein R1 and R2 each is ethyl.

19. The prophylactic and/or therapeutic agent for diseases accompanied by chronic musculoskeletal pain as claimed in claim 17, wherein R3 is methyl.

20. The prophylactic and/or therapeutic agent for diseases accompanied by chronic musculoskeletal pain as claimed in claim 18, wherein R3 is methyl.

Описание

TECHNICAL FIELD

[0001]

The present invention relates to prophylactic and/or therapeutic agents for diseases accompanied by chronic musculoskeletal pain.

BACKGROUND ART

[0002]

Musculoskeletal pain is chronic pain characterized by ache, tenderness, rigidity, and so on, in muscle and skeleton (for example, muscle, tendon, ligament, parts to which the tendon is attached, soft tissues adjacent to them), and as the diseases accompanied by chronic musculoskeletal pain, for example, fibromyalgia syndrome (FMS) and diseases related thereto are known [Merck Index, 17th edition, Chapters 59 and 108; Ann. Pharmacother., 121, p. 953-959 (1994)].

[0003]

Although the cause of onset and pathopysiology of fibromyalgia, which is systemic chronic pain, have not yet been elucidated sufficiently [Expert Opin. Investig. Drugs, 11, p. 1437-1445 (2002)], the lower limit of strength above which sensory stimuli are perceived as pain (pain threshold) is low. Thus, this disease is diagnosed according to the American. College of Rheumatology 1990 Criteria for the Classification of Fibromyalgia, on the basis that the pain spreading a wide range of the body continues over 3 months or longer, and the loci of pain extend to 11 sites or more of the designated 18 sites on the neck and limbs at which the patient will feel pain on pressure [Arthritis Rheum., 33, p.160-172 (1990)]. In addition, this disease is sometimes accompanied by tightening, fatigue, tiredness, exhaustion of physical fitness, sleep disturbance, state of depression, anxiety, autonomic imbalance, headache, irritable bowel syndrome, mild fever, dry eyes, and so on. Objective observation is made based on diagnosis by pushing at the “specific tenderness point” (like a pressure point), but when the whole body is painful, it is sometimes hard to tell which point gives pain on pressure (Merck Index, 17th edition, Chapter 59). In the United States, fibromyalgia is a popular disease of which the number of the patients reaches 2-9% of the population and which occurs mainly in women of 20-50 years of age [Current Opinion in Psychiatry, 13, p. 623-628 (2000); Arthritis Rheum., 39, p. 19-28 (1990)]. In treatment of these conditions, analgesics, non-steroidal anti-inflammatory agents, muscular relaxants, tricyclic anti-depressants such as amitriptyline, and anti-depressants such as SSRIs (selective serotonin reuptake inhibitors) have been employed. These analgesics and non-steroidal anti-inflammatory agents, however, have no effect in many cases; the muscular relaxants sometimes show a limited effect at a high dose with a remarkable side-effect; the tricyclic anti-depressants or SSRIs show a moderate effect in particular patients but their use is limited due to cardiovascular or anti-cholinergic like side-effect; thus, no effective therapy has been found so far [Expert Opin. Investig. Drugs, 11, p. 1437-1445 (2002); Arc. Intern. Med., 156, p. 1047-1052 (1996); Ann. Pharmacother., 36, p. 707-712 (2002); Arth. Rhem., 33, p. 1132 (1990)].

[0004]

It is known that diseases relating to fibromyalgia syndrome include, for example, fibrositis, chronic fatigue syndrome (CFS), myofascial pain syndrome (MFPS), diffuse myofascial pain syndrome, generalized fibrisitis, soft tissue rheumatism, non-articular rheumatism, chronic rheumatoid arthritis, primary fibromyalgia syndrome (PFS), concomitant fibromyalgia syndrome, idiopathic muscle pain syndrome, chronic widespread musculoskeletal pain, lower back pain, Lyme disease accompanied by fibromyalgia syndrome, generalized tendomyopathy, temporomansibular joint disorder (TMJD), and the like. These diseases relating to fibromyalgia syndrome present the same chronic musculoskeletal pain as or similar to that fibromyalgia syndrome, to which the definition and diagnostic criteria have been proposed respectively; these diseases, however, have not yet definitely been distinguished clinically from fibromyalgia syndrome, and in some cases develop together with or relating to fibromyalgia syndrome [Merck Index, 17th edition, Chapters 59 and 108; Ann. Pharmacother., 121, p. 953-959 (1994)].

[0005]

On the other hand, a number of compounds, for example, xanthine derivatives, [1,2,4]triazolo[1,5-c]pyrimidine derivatives, [1,2,4]triazolo[1,5-a]pyrimidine derivatives, and the like have been known to have an adenosine A2A receptor inhibitory action [for example, U.S. Pat. No. 5,484,920; U.S. Pat. No. 5,703,085; WO 92/06976; WO 94/01114; U.S. Pat. No. 5,565,460; WO 98/42711, WO 00/17201; WO 99/43678; WO 99/26627; WO 01/92264; WO 99/35147; WO 00/13682; WO 00/13681; WO 00/69464; WO 01/40230; WO 01/02409; WO 01/02400; EP 1054012; WO 01/62233; WO 01/17999; WO 01/80893; WO 02/14282; WO 01/97786; WO 03/032996; WO 03/048163; WO 03/049164; WO 03/049165, etc.]. It has not yet been known, however, that the compounds having an adenosine A2A receptor inhibitory action are effective in prophylaxis and/or therapy of diseases accompanied by chronic musculoskeletal pain, for example, fibromyalgia syndrome (FMS), its related diseases, and so on.

DISCLOSURE OF INVENTION

[0000]

Problem to be Solved by the Invention

[0006]

The object of the present invention is to provide a prophylactic and/or therapeutic agent for diseases accompanied by chronic musculoskeletal pain which comprises as an active ingredient a compound having an adenosine A2A receptor antagonistic action or a pharmaceutically acceptable salt thereof.

[0000]

Mean for Solving the Problems

[0007]

The present invention relates to the following items (1) to (37).

[0008]

(1) A prophylactic and/or therapeutic agent for diseases accompanied by chronic musculoskeletal pain which comprises as an active ingredient a compound having an adenosine A2A receptor antagonistic action or a pharmaceutically acceptable salt thereof.

[0009]

(2) The prophylactic and/or therapeutic agent for diseases accompanied by chronic musculoskeletal pain as described in the above item (1), wherein the compound having an adenosine A2A receptor antagonistic action is a xanthine derivative.

[0010]

(3) The prophylactic and/or therapeutic agent for diseases accompanied by chronic musculoskeletal pain as described in the above item (1), wherein the compound having an adenosine A2A receptor antagonistic action is a xanthine derivative represented by formula (I):
(wherein R1, R2 and R3 are the same or different, each representing a hydrogen atom, lower alkyl, lower alkenyl or lower alkynyl;

  • R4 represents cycloalkyl, —(CH2)n—R5 (in which R5 represents substituted or unsubstituted aryl or a substituted or unsubstituted heterocyclic group; and n is an integer of 0 to 4) or formula (II):
    (wherein Y1 and Y2 are the same or different, each representing a hydrogen atom, halogen or lower alkyl; and Z represents substituted or unsubstituted aryl or a substituted or unsubstituted heterocyclic group); and X1 and X2 are the same or different, each representing an oxygen atom or a sulfur atom).

[0012]

(4) The prophylactic and/or therapeutic agent for diseases accompanied by chronic musculoskeletal pain as described in the above item (3), wherein X1 and X2 each is an oxygen atom.

[0013]

(5) The prophylactic and/or therapeutic agent for diseases accompanied by chronic musculoskeletal pain as described in the above item (3) or (4), wherein R4 is a formula (II):
(wherein Y1, Y2 and Z each has the same meanings as mentioned above).

[0014]

(6) The prophylactic and/or therapeutic agent for diseases accompanied by chronic musculoskeletal pain as described in the above item (5), wherein Y1 and Y2 each is a hydrogen atom.

[0015]

(7) The prophylactic and/or therapeutic agent for diseases accompanied by chronic musculoskeletal pain as described in the above item (5) or (6), wherein Z is substituted or unsubstituted aryl or a group represented by formula (III):
(wherein R6 represents a hydrogen atom, hydroxy, lower alkyl, lower alkoxy, halogen, nitro or amino; and m represents an integer of 1 to 3).

[0016]

(8) The prophylactic and/or therapeutic agent for diseases accompanied by chronic musculoskeletal pain as described in the above item (5) or (6), wherein Z is a group represented by formula (IV):
(wherein at least one of R7, R8 and R9 represents lower alkyl or lower alkoxy and the remaining groups represent a hydrogen atom; R10 represents a hydrogen atom or lower alkyl) or formula (III):
(wherein R6 and m each has the same meanings as mentioned above)

[0017]

(9) The prophylactic and/or therapeutic agent for diseases accompanied by chronic musculoskeletal pain as described in any of the above items (3) to (8), wherein R1 and R2 each is ethyl.

[0018]

(10) The prophylactic and/or therapeutic agent for diseases accompanied by chronic musculoskeletal pain as described in any of the above items (3) to (9), wherein R3 is methyl.

[0019]

(11) The prophylactic and/or therapeutic agent for diseases accompanied by chronic musculoskeletal pain as described in the above item (1), wherein the compound having an adenosine A2A receptor antagonistic action is a compound represented by formula (1):

[0020]

(12) The prophylactic and/or therapeutic agent for diseases accompanied by chronic musculoskeletal pain as described in the above item (1), wherein the compound having an adenosine A2A receptor antagonistic action is a compound represented by formula (V):
[wherein R11 represents substituted or unsubstituted aryl or a substituted or unsubstituted heterocyclic group;

  • R12 represents a hydrogen atom, halogen, substituted or unsubstituted lower alkyl, substituted or unsubstituted aryl or a substituted or unsubstituted heterocyclic group;
  • R13 represents a hydrogen atom, halogen or —WR14 (wherein W represents —O— or —S—, and R14 represents substituted or unsubstituted lower alkyl, substituted or unsubstituted aryl or a substituted or unsubstituted heterocyclic group);
  • Q1 represents a hydrogen atom or 3,4-dimethoxybenzyl] (for example, 5-amino-7-(4-benzopiperazinyl)-2-(2-furyl)[1,2,4] triazolo[1,5-c]pyrimidine, and the like).

[0024]

(13) The prophylactic and/or therapeutic agent for diseases accompanied by chronic musculoskeletal pain as described in the above item (1), wherein the compound having an adenosine A2A receptor antagonistic action is a compound represented by formula (VI):
[wherein R11A represents substituted or unsubstituted aryl or a substituted or unsubstituted aromatic heterocyclic group; R12A represents a hydrogen atom, halogen, substituted or unsubstituted lower alkyl, substituted or unsubstituted aryl or a substituted or unsubstituted aromatic heterocyclic group; n1 and m1 are the same or different, each representing an integer of 0 to 4;

  • Q1A represents a hydrogen atom or 3,4-dimethoxybenzyl;
  • R15 represents a hydrogen atom, substituted or unsubstituted aryl, a substituted or unsubstituted heterocyclic group or —CR17R18R19 (wherein R17, R18 and R19 are the same or different, each representing a hydrogen atom, hydroxy, substituted or unsubstituted lower alkyl, substituted or unsubstituted lower alkoxy, substituted or unsubstituted aryl or a substituted or unsubstituted heterocyclic group, or R18 and R19, taken together with the adjacent carbon atom, form a substituted or unsubstituted carbocycle);
  • R16 represents a hydrogen atom, halogen, hydroxy or substituted or unsubstituted lower alkyl] (for example, 5-amino-2-(2-furyl)-7-[4-(2-hydroxy-2-methylpropyl)-piperazinyl] [1,2,4]triazolo[1,5-c]pyrimidine, 5-amino-2-(2-furyl)-7-[4-(3-hydroxy-3-methylpropyl)-piperazinyl] [1,2,4]triazolo[1,5-c]pyrimidine, and the like).

[0028]

(14) The prophylactic and/or therapeutic agent for diseases accompanied by chronic musculoskeletal pain as described in the above item (13), wherein R15 represents —CR17AR18AR19A (wherein R17A represents hydroxy, hydroxy lower alkyl, substituted or unsubstituted lower alkoxy or imidazo[1,2-a]pyridyl; R18A and R19A are the same or different, each representing a hydrogen atom, substituted or unsubstituted lower alkyl or substituted or unsubstituted aryl, or R18A and R19A, taken together with the adjacent carbon atom, form a substituted or unsubstituted carbocycle).

[0029]

(15) The prophylactic and/or therapeutic agent for diseases accompanied by chronic musculoskeletal pain as described in the above item (1), wherein the compound having an adenosine A2A receptor antagonistic action is a compound represented by formula (VII):
[wherein R20 represents a hydrogen atom, substituted or unsubstituted lower alkyl or substituted or unsubstituted lower alkanoyl;

  • R21 represents a substituted or unsubstituted heterocyclic group;
  • R22 represents a hydrogen atom, substituted or unsubstituted lower alkyl, substituted or unsubstituted lower alkenyl, substituted or unsubstituted cycloalkyl, substituted or unsubstituted aryl or a substituted or unsubstituted heterocyclic group;
  • W1 represents a single bond, —O—, —S—, —S(═O)—, —S(═O)2— or —NR23— (wherein R23 represents a hydrogen atom or substituted or unsubstituted lower alkyl);
  • X3 represents a nitrogen atom or CR24 (wherein R24 represents a hydrogen atom or substituted or unsubstituted lower alkyl)].

[0034]

(16) The prophylactic and/or therapeutic agent for diseases accompanied by chronic musculoskeletal pain as described in the above item (1), wherein the compound having an adenosine A2A receptor antagonistic action is a compound represented by formula (VIII):
(wherein B represents furyl or thienyl;

  • W2 represents a single bond, —O— or —S—;
  • Z1 represents a hydrogen atom, halogen or substituted or unsubstituted lower alkyl; and
  • n2 represents an integer of 0 to 5).

[0038]

(17) The prophylactic and/or therapeutic agent for diseases accompanied by chronic musculoskeletal pain as described in the above item (1), wherein the compound having an adenosine A2A receptor antagonistic action is a compound represented by formula (IX):
[wherein R25 represents substituted or unsubstituted aryl or a substituted or unsubstituted heterocyclic group;

  • R26 represents a hydrogen atom, substituted or unsubstituted lower alkyl, substituted or unsubstituted lower alkenyl, substituted or unsubstituted alkynyl, substituted or unsubstituted cycloalkyl, substituted or unsubstituted aryl or a substituted or unsubstituted heterocyclic group;
  • X4 represents an oxygen atom, a sulfur atom or NR27 (wherein R27 represents a hydrogen atom, substituted or unsubstituted lower alkyl, substituted or unsubstituted cycloalkyl or substituted or unsubstituted aryl);
  • A, taken together with the adjacent two carbon atoms, form a substituted or unsubstituted carbocycle or a substituted or unsubstituted heterocycle].

[0042]

(18) The prophylactic and/or therapeutic agent for diseases accompanied by chronic musculoskeletal pain as described in the above item (1), wherein the compound having an adenosine A2A receptor antagonistic action is a compound represented by formula (X):
(wherein R28 represents a hydrogen atom, hydroxy, substituted or unsubstituted lower alkyl, substituted or unsubstituted amino or a substituted or unsubstituted heterocyclic group; R29 represents a hydrogen atom, substituted or unsubstituted lower alkenyl, substituted or unsubstituted cycloalkyl, substituted or unsubstituted aryl or a substituted or unsubstituted aromatic heterocyclic group;

  • R30 represents a hydrogen atom, substituted or unsubstituted lower alkyl, substituted or unsubstituted lower alkenyl, substituted or unsubstituted lower alkynyl, substituted or unsubstituted cycloalkyl, substituted or unsubstituted aryl or a substituted or unsubstituted aromatic heterocyclic group;
  • R31 represents substituted or unsubstituted lower alkyl or substituted or unsubstituted aryl; and
  • W3 represents —CH2CH2—, —CH═CH— or —C═C—).

[0046]

(19) The prophylactic and/or therapeutic agent for diseases accompanied by chronic musculoskeletal pain as described in the above item (1), wherein the compound having an adenosine A2A receptor antagonistic action is a compound represented by formula (XI):
(wherein R32 represents a hydrogen atom or substituted or unsubstituted lower alkyl;

  • R33 and R34 are the same or different, each representing a hydrogen atom, substituted or unsubstituted lower alkyl or substituted or unsubstituted aryl;
  • R35, R36, R37, R38, R39 and R40 are the same or different, each representing a hydrogen atom, substituted or unsubstituted lower alkyl, substituted or unsubstituted aryl or a substituted or unsubstituted heterocyclic group).

[0049]

(20) The prophylactic and/or therapeutic agent for diseases accompanied by chronic musculoskeletal pain as described in the above item (1), wherein the compound having an adenosine A2A receptor antagonistic action is a compound represented by formula (XII):
(wherein R41 represents substituted or unsubstituted lower alkyl, substituted or unsubstituted aryl or a substituted or unsubstituted heterocyclic group;

  • R42 represents substituted or unsubstituted lower alkyl or a substituted or unsubstituted heterocyclic group;
  • R43 represents hydroxy, halogen or substituted or unsubstituted lower alkyl;
  • X5 represents a nitrogen atom or CH) (for example, 3-[2-(thiazol-2-ylmethyl)-3-oxo-2,3-dihydropyridazin-6-yl]-2-phenylpyrazolo[1,5-a]pyridine and the like).

[0053]

(21) The prophylactic and/or therapeutic agent for diseases accompanied by chronic musculoskeletal pain as described in the above item (1), wherein the compound having an adenosine A2A receptor antagonistic action is a compound represented by formula (XIII):
(wherein R44 and R45 are the same or different, each representing a hydrogen atom, hydroxy, cyano, nitro, substituted or unsubstituted lower alkyl, substituted or unsubstituted lower alkoxy or substituted or unsubstituted aryl, or R44 and R45, taken together, form oxo, hydroxyimino, imino or hydrazono;

  • R46 represents substituted or unsubstituted lower alkyl or substituted or unsubstituted aryl;
  • R47, R48 and R49 are the same or different, each representing hydroxy, halogen, cyano, nitro, substituted or unsubstituted lower alkyl, substituted or unsubstituted lower alkoxy or substituted or unsubstituted aryl;
  • X6 represents an oxygen atom or a sulfur atom).

[0057]

(22) The prophylactic and/or therapeutic agent for diseases accompanied by chronic musculoskeletal pain as described in the above item (1), wherein the compound having an adenosine A2A receptor antagonistic action is a compound represented by formula (XIV):
(wherein R50 represents a hydrogen atom, hydroxy, halogen, substituted or unsubstituted lower alkyl or substituted or unsubstituted amino;

  • R51 represents a hydrogen atom, halogen, substituted or unsubstituted lower alkyl, substituted or unsubstituted lower alkenyl, substituted or unsubstituted lower alkynyl, substituted or unsubstituted lower alkoxy or substituted or unsubstituted amino;
  • R52 represents substituted or unsubstituted lower alkyl, substituted or unsubstituted aryl or a substituted or unsubstituted aromatic heterocyclic group;
  • R53 represents substituted or unsubstituted aryl or a substituted or unsubstituted aromatic heterocyclic group;
  • X7 and X8 are the same or different, each representing a nitrogen atom or CH) (for example,
  • 5-[6-amino-8-(3-fluorophenyl)-9H-9-purinyl]-1-methyl-1,2-dihydro-2-pyrimidine and the like).

[0063]

(23) The prophylactic and/or therapeutic agent for diseases accompanied by chronic musculoskeletal pain as described in the above item (1), wherein the compound having an adenosine A2A receptor antagonistic action is a compound represented by formula (XV):
(wherein R54 represents a substituted or unsubstituted cycloalkenyl, substituted or unsubstituted aryl or a substituted or unsubstituted aromatic heterocyclic group; R55 represents substituted or unsubstituted lower alkyl;

  • W4 represents a single bond or —C(═O)—).

[0065]

(24) The prophylactic and/or therapeutic agent for diseases accompanied by chronic musculoskeletal pain as described in the above item (1), wherein the compound having an adenosine A2A receptor antagonistic action is a compound. represented by formula (XV-A):

  • (wherein R54 has the same meanings as mentioned above;
  • n3 represents an integer of 1 to 4; and
  • R80 represents substituted or unsubstituted aryl or a substituted or unsubstituted heterocyclic group) (for example, 5-amino-2-(2-furyl)-7-(2-{4-[4-(2-methoxyethoxy)phenyl]-piperazinyl}ethyl)pyrazolo[4,3-e]-1,2,4-triazolo[1,5-c]-pyrimidine and the like).

[0069]

(25) The prophylactic and/or therapeutic agent for diseases accompanied by chronic musculoskeletal pain as described in the above item (1), wherein the compound having an adenosine A2A receptor antagonistic action is a compound represented by formula (XVI):
[wherein R56 represents a hydrogen atom, halogen, cyano, substituted or unsubstituted lower alkyl, substituted or unsubstituted lower alkenyl, substituted or unsubstituted lower alkynyl or substituted or unsubstituted cycloalkyl;

  • R57 represents a hydrogen atom, halogen, cyano, nitro, substituted or unsubstituted lower alkyl, substituted or unsubstituted lower alkenyl, substituted or unsubstituted lower alkynyl or substituted or unsubstituted aryl;
  • R58 represents substituted or unsubstituted lower alkyl, substituted or unsubstituted aryl or a substituted or unsubstituted aromatic heterocyclic group;
  • R59 and R60 are the same or different, each representing a hydrogen atom, substituted or unsubstituted aryl or a substituted or unsubstituted aromatic heterocyclic group;
  • W5 represents a single bond, —S—, —N(R61)— (wherein R61 represents a hydrogen atom or substituted or unsubstituted lower alkyl), —CH2CH2—, —CH═CH—, —C≡C— or —O—; and
  • X9 and X10 are the same or different, each representing a nitrogen atom or CH].

[0075]

(26) The prophylactic and/or therapeutic agent for diseases accompanied by chronic musculoskeletal pain as described in the above item (1), wherein the compound having an adenosine A2A receptor antagonistic action is a compound represented by formula (XVII):
(wherein R62 represents substituted or unsubstituted lower alkoxy, substituted or unsubstituted aryl or a substituted or unsubstituted aromatic heterocyclic group:

  • R63 and R65 are the same or different, each representing a hydrogen atom, cyano or phenylsulfonyl;
  • R64 represents a hydrogen atom, halogen, substituted or unsubstituted aryl, a substituted or unsubstituted aromatic heterocyclic group or substituted or unsubstituted amino;
  • R66 represents substituted or unsubstituted amino) (for example, 2-(4,5-dihydrofuran-2-yl)-7-m-tolyl-[1,2,4]triazolo[1,5-a]pyrimidin-5-ylamine and the like).

[0079]

(27) The prophylactic and/or therapeutic agent for diseases accompanied by chronic musculoskeletal pain as described in the above item (1), wherein the compound having an adenosine A2A receptor antagonistic action is a compound represented by formula (XVIII):
(wherein R67 represents substituted or unsubstituted aryl or a substituted or unsubstituted aromatic heterocyclic group;

  • R68 represents a substituted or unsubstituted aromatic heterocyclic group;
  • R69 and R70 are the same or different, each representing a hydrogen atom or substituted or unsubstituted amino).

[0082]

(28) The prophylactic and/or therapeutic agent for diseases accompanied by chronic musculoskeletal pain as described in the above item (1), wherein the compound having an adenosine A2A receptor antagonistic action is a compound represented by formula (XIX):
(wherein R71 represents cyano, carboxy or substituted or unsubstituted carbamoyl;

  • R72 represents a hydrogen atom, hydroxy, substituted or unsubstituted lower alkoxy, substituted or unsubstituted aryl or a substituted or unsubstituted aromatic heterocyclic group;
  • R73 and R74 are the same or different, each representing substituted or unsubstituted aryl or a substituted or unsubstituted heterocyclic group).

[0085]

(29) The prophylactic and/or therapeutic agent for diseases accompanied by chronic musculoskeletal pain as described in the above item (1), wherein the compound having an adenosine A2A receptor antagonistic action is a compound represented by formula (XX):
[wherein R75 represents a hydrogen atom, hydroxy, halogen, benzyloxy, trifluoromethyloxy, substituted or unsubstituted lower alkyl or substituted or unsubstituted lower alkoxy;

  • R76 and R77 are the same or different, each representing hydroxy, halogen, substituted or unsubstituted lower alkyl or substituted or unsubstituted lower alkoxy;
  • R78 represents a hydrogen atom, halogen, carboxy, substituted or unsubstituted lower alkyl, substituted or unsubstituted lower alkenyl, substituted or unsubstituted lower alkanoyl, substituted or unsubstituted lower alkoxycarbonyl, substituted or unsubstituted aryl or a substituted or unsubstituted heterocyclic group;
  • —C(═X11)— represents —C(═O)—, —C(═S)— or —CH2—]

[0089]

(30) The prophylactic and/or therapeutic agent for diseases accompanied by chronic musculoskeletal pain as described in the above item (1), wherein the compound having an adenosine A2A receptor antagonistic action is (-)-(11S,2′R)-α-2-piperidinyl-2,8-bis(trifluoromethyl)-4-quinoline-methanol.

[0090]

(31) The prophylactic and/or therapeutic agent for diseases accompanied by chronic musculoskeletal pain as described in the above item (1), wherein the compound having an adenosine A2A receptor antagonistic action is a compound represented by formula (XXI):
(wherein R81 represents substituted or unsubstituted aryl, substituted or unsubstituted cycloalkenyl or a substituted or unsubstituted heterocyclic group;

  • W6 represents a single bond or —C(═O)—; and
  • R82 represents substituted or unsubstituted lower alkyl).

[0093]

(32) The prophylactic and/or therapeutic agent for diseases accompanied by chronic musculoskeletal pain as described in the above item (1), wherein the compound having an adenosine A2A receptor antagonistic action is a compound represented by formula (XXI-A):
(wherein R81 has the same meanings as mentioned above; n4 represents an integer of 1 to 4;

  • R83 represents substituted or unsubstituted aryl or a substituted or unsubstituted heterocyclic group) (for example, 5-amino-2-(2-furyl)-7-(2-{4-[4-(2-methoxyethoxy)phenyl]-piperazinyl}ethyl)imidazo[4,3-e]-1,2,4-triazolo[1,5-c]-pyrimidine and the like).

[0095]

(33) The prophylactic and/or therapeutic agent for diseases accompanied by chronic musculoskeletal pain as described in any of the above items (1) to (32), wherein the diseases accompanied by chronic musculoskeletal pain is fibromyalgia syndrome.

[0096]

(34) The prophylactic and/or therapeutic agent for diseases accompanied by chronic musculoskeletal pain as described in any of the above items (1) to (32), wherein the diseases accompanied by chronic musculoskeletal pain is a disease relating to fibromyalgia syndrome.

[0097]

(35) The prophylactic and/or therapeutic agent for diseases accompanied by chronic musculoskeletal pain as described in the above items (34), wherein the disease relating to fibromyalgia syndrome is one selected from fibrositis, chronic fatigue syndrome, myofascial pain syndrome, diffuse myofascial pain syndrome, generalized fibrisitis, soft tissue rheumatism, non-articular rheumatism, chronic rheumatoid arthritis, primary fibromyalgia syndrome, concomitant fibromyalgia syndrome, idiopathic muscle pain syndrome, chronic widespread musculoskeletal pain, lower back pain, Lyme disease accompanied by fibromyalgia syndrome, generalized tendomyopathy, and temporomansibular joint disorder.

[0098]

(36) A method of preventing and/or treating diseases accompanied by chronic musculoskeletal pain which comprises administering an effective amount of a compound having an adenosine A2A receptor antagonistic action or a pharmaceutically acceptable salt thereof.

[0099]

(37) Use of a compound having an adenosine A2A receptor antagonistic action or a pharmaceutically acceptable salt thereof for the manufacture of a prophylactic and/or therapeutic agent for diseases accompanied by chronic musculoskeletal pain.

[0000]

Effect of the Invention

[0100]

According to the present invention, a prophylactic and/or therapeutic agent for diseases accompanied by chronic musculoskeletal pain which comprises as an active ingredient a compound having an adenosine A2A receptor antagonistic action or a pharmaceutically acceptable salt thereof, is provided.

BRIEF DESCRIPTION OF DRAWINGS

[0101]

FIG. 1 shows the effect of Compound 2 for improvement of hyperalgesia in a model of hyperalgesia induced by an acidic physiological saline. The y axis indicates the pain threshold (g) and the x axis indicates the elapsed time (minutes) after administration of Compound 2 or a solvent.

[0102]

FIG. 2 shows the effect of Compound 2 for preventing the development of hyperalgesia in a model of hyperalgesia induced by an acidic physiological saline. The y axis indicates the pain threshold (g); the left bar shows the results in the group treated with Solvent; and the right bar shows the results in the group to which Compound 2 was administered.

[0000]

EXPLANATION OF REFERENCE SIGNS IN DRAWINGS

[0103]

FIG. 1:

[0104]

-♦-: Group to which 10 mg/kg of Compound 2 was given

[0105]

-●-: Group to which 5mg/kg of Compound 2 was given

[0106]

-◯-: Group treated with Solvent

BEST MODE FOR CARRYING OUT THE INVENTION

[0107]

The diseases accompanied by chronic musculoskeletal pain which are prevented or treated in the present invention include, for example, fibromyalgia syndrome (FMS) and diseases related thereto include, for examples, fibrositis, chronic fatigue syndrome (CFS), myofascial pain syndrome (MFPS), diffuse myofascial pain syndrome, generalized fibrisitis, soft tissue rheumatism, non-articular rheumatism, chronic rheumatoid arthritis, primary fibromyalgia syndrome (PFS), concomitant fibromyalgia syndrome, idiopathic muscle pain syndrome, chronic widespread musculoskeletal pain, low back pain, Lyme disease accompanied by fibromyalgia syndrome, generalized tendomyopathy, temporomansibular joint disorder (TMJD), and the like.

[0108]

The adenosine A2A receptor antagonistic action means the inhibition, suppression or stopping of at least one of physiological effects involving adenosine, for example, by binding to an adenosine A2A receptor or by obstructing or preventively inhibiting the binding of adenosine to an adenosine A2A receptor.

[0109]

Compounds having an adenosine A2A receptor antagonistic action are not particularly limited as far as they have an adenosine A2A receptor antagonistic action, and include those as described in U.S. Pat. No. 5,484,920, U.S. Pat. No. 5,703,085, WO 92/06976, WO 94/01114, U.S. Pat. No. 5,565,460, WO 98/42711, WO 00/17201, WO 99/43678, WO 99/26627, WO 01/92264, WO 99/35147, WO 00/13682, WO 00/13681, WO 00/69464, WO 01/40230, WO 01/02409, WO 01/02400, EP 1054012, WO 01/62233, WO 01/17999, WO 01/80893, WO 02/14282, WO 01/97786, WO 03/032996, WO 03/048163, WO 03/049164, WO 03/049165, and so on. Specifically, the following compounds are exemplified: the above-mentioned compounds represented by formulae (I), (V) to (XXI), (XV-A) and (XXI-A)(hereinafter, referred to as Compounds (I), Compounds (V) to (XXI), Compounds (XV-A) and Compounds (XXI-A), respectively), and (-)-(11S,2′R)-α-2-piperidinyl-2,8-bis(trifluoromethyl)-4-quinolinemethanol. In particular, xanthine derivatives such as Compounds (I) or (X), [1,2,4]triazolo[1,5-c]pyrimidine derivatives such as Compounds (V), (VI) or (IX), and [1,2,4]triazolo[1,5-a]pyrimidine derivatives such as Compounds (VII) or (VIII), are preferred. Particularly, the following compounds are preferred.

[0110]

In the definition of the respective groups in formulae (I),to (XXI), formula (XV-A) and formula (XXI-A), the lower alkyl moiety of lower alkyl, hydroxy(lower)alkyl, lower alkoxy, lower alkoxycarbonyl and lower alkanoyl means, for example, straight or branched chain alkyl of 1 to 8 carbon atoms, specifically including methyl, ethyl, propyl, isopropyl, butyl, isobutyl, sec-butyl, tert-butyl, pentyl, neopentyl, hexyl, heptyl, octyl, and the like.

[0111]

The lower alkenyl means, for example, straight or branched chain alkenyl of 2 to 8 carbon atoms, specifically including vinyl, allyl, methacryl, crotyl, 3-butenyl, 2-pentenyl, 4-pentenyl, 2-hexenyl, 5-hexenyl, 2-heptenyl, 2-octenyl, and the like.

[0112]

The lower alkynyl means, for example, straight or branched chain alkyl of 2 to 8 carbon atoms, specifically including ethynyl, propargyl, 2-butynyl, 3-butynyl, 2-pentynyl, 4-pentynyl, 2-hexynyl, 5-hexynyl, 4-methyl-2-pentynyl, 2-heptynyl, 2-octyny, and the like.

[0113]

The cycloalkyl means, for example, those of 3 to 8 carbon atoms, specifically including cyclopropyl, cyclobutyl, cyclopentyl, cyclohexyl, cycloheptyl, cyclooctuyl, and the like.

[0114]

The cycloalkenyl means, for example, those of 4 to 8 carbon atoms, specifically including cyclobutenyl, cyclopentenyl, cyclohexenyl, cycloheptenyl, cyclooctenyl, and the like.

[0115]

The halogen means fluorine, chlorine, bromine and iodine atoms.

[0116]

The aryl means, for example, those of 6 to 14 carbon atoms, specifically including phenyl, naphthyl, anthryl, and the like.

[0117]

The aromatic heterocyclic group means, for example, 5- or 6-membered monocyclic aromatic heterocyclic group containing at lease one atom selected from nitrogen atom, oxygen atom and sulfur atom, bicyclic or tricyclic condensed aromatic heterocyclic groups condensed with a 3- to 8-membered ring and containing at lease one atom selected from nitrogen atom, oxygen atom and sulfur atom, specifically including pyridyl, pyrazinyl, pyrimidinyl, pyridazinyl, oxopyridazinyl, quinolyl, isoquinolyl, phthalazinyl, quinazolinyl, quinoxalinyl, naphthylidinyl, cinnolinyl, pyrrolyl, pyrazolyl, imidazolyl, triazinyl, triazolyl, tetrazolyl, thienyl, furyl, thiazolyl, isothiazolyl, oxazolyl, isoxazolyl, oxadizaolyl, thiadiazolyl, oxooxadiazolyl, indolyl, isoindolyl, indazolyl, 2-oxobenzimidazolyl, benzofuryl, benzothienyl, benzimidazolyl, benzotriazolyl, benzothiazolyl, benzoxazolyl, purinyl, dibennzofuranyl, imidazo[1,2-a]pyridyl, and the like.

[0118]

The heterocyclic group includes, for example, in addition to the above-defined aromatic heterocyclic groups, alicyclic heterocyclic groups. The alicyclic heterocyclic group means, for example, 5- or 6-memberedmonocyclic alicyclic heterocyclic groups containing at least one atom selected from nitrogen atom, oxygen atom and sulfur atom, bicyclic or tricyclic condensed alicyclic heterocyclic groups condensed with a 3- to 8-membered ring and containing at lease one atom selected from nitrogen atom, oxygen atom and sulfur atom, specifically including pyranyl, thiopyranyl, pyrrolidinyl, piperidino, piperazinyl, piperidinyl, imidazolidinyl, thiazolidinyl, morpholino, morpholinyl, thiomorpholino, thiomorpholinyl, homopiperidino, homopiperazinyl, tetrahydropyridinyl, dihydroisoquinolyl, tetrahydroquinolyl, tetrahydroisoquinolyl, oxazolinyl, oxazolidinyl, oxooxazolidinyl, oxadiazolinyl, oxolanyl, tetrahydrofuranyl, tetrahydropyranyl, dihydrobenzofuranyl, oxopiperazinyl, 2-oxopyrrolidinyl, dioxolanyl, 1,3-benzodioxolyl, 1,4-benzodioxanyl, 3,4-dihydro-2H-1,5-benzodioxepinyl, benzopyranyl, benzodihydropyranyl, perhydrodiazepinyl, perhydrodiazocinyl, perhydrodiazoninyl, and the like.

[0119]

The heterocycle formed by “A” together with the adjacent 2 carbon atoms means, for example, 5- or 6-membered monocyclic heterocycles containing at least one atom selected from nitrogen atom, oxygen atom and sulfur atom, bicyclic or tricyclic condensed heterocycles condensed with a 3- to 8-membered ring and containing, for example at lease one atom selected from nitrogen atom, oxygen atom and sulfur atom, specifically including pyrrole, pyran, thiopyran, pyridine, thiazole, imidazole, pyrimidine, triazine, indole, quinoline, benzothiazole, pyrroline, tetrahydropyridine, tetrahydropyrazine, tetrahydroquinoline, tetrahydroisoquinoline, and the like.

[0120]

The carbocycle formed by “A” together with the adjacent 2 carbon atoms means, for example, cycloalkenes of 4 to 8 carbon atoms, specifically including cyclobutene, cyclopentene, cyclohexene, cycloheptene, cyclooctene, and the like.

[0121]

The carbocycle formed together with the adjacent carbon atoms means, for example, cycloalkanes and cyclalkenes of 4 to 8 carbon atoms, specifically including cyclobutane, cyclopentane, cyclohexane, cycloheptane, cyclooctane, cyclobutene, cyclopentene, cyclohexene, cycloheptene, cyclooctene, and the like.

[0122]

The substituents (A) in the substituted lower alkyl, substituted lower alkoxy, substituted lower alkanoyl, substituted lower alkoxycarbonyl, substituted lower alkenyl and substituted lower alkynyl, are the same or different in number of 1 to 3, specifically including hydroxy, cyano, nitro, carboxy, carbamoyl, amino, benzyloxy, phenoxy, halogen, substituted or unsubstituted lower alkoxy, cycloalkyl, lower alkanoyl, lower alkoxycarbonyl, lower alkylamino, di(lower) alkylamino, substituted or unsubstituted aryl, substituted or unsubstituted heterocyclic group, and the like.

[0123]

The halogen, cycloalkyl, aryl and heterocyclic groups exemplified in definition of the substituent (A) each has the same meanings as mentioned above; the lower alkyl moiety of the lower alkoxy, lower alkanoyl, lower alkoxycarbonyl, lower alkylamino and di(lower) alkylamino has the same meanings as the above-mentioned lower alkyl, wherein the two lower alkyl portions of di (lower) alkylamino may be the same or different.

[0124]

The substituents in the substituted aryl and substituted heterocyclic groups exemplified in definition of the substituent (A) may be the same or different in number of 1 to 3, and specifically include those exemplified in the substituent (C) as mentioned below.

[0125]

The substituents (a) in the substituted lower alkoxy exemplified in the substituent (A) maybe the same or different in number of 1 to 3, and specifically include halogen, hydroxy, amino, carbonyl, azido, lower alkoxy, lower alkoxycarbonyl, and the like. The halogen exemplified in the substituent (a) has the same meanings as mentioned above, and the lower alkyl moiety of the lower alkoxy and lower alkoxycarbonyl has the same meanings as lower alkyl mentioned above.

[0126]

The substituents (B) in the substituted amino and substituted carbamoyl may be the same or different in number of 1 to 2, and specifically include substituted or unsubstituted lower alkyl, substituted or unsubstituted lower alkoxy, and the like.

[0127]

The lower alkyl and lower alkoxy exemplified in the substituent (B) each has the same meanings as mentioned above, and the substituents in the substituted lower alkyl and substituted lower alkoxy exemplified in the substituent (B) are the same or different in number of 1 to 3, and specifically include those exemplified in the substituent (a) as mentioned above.

[0128]

The substituents (C) in the substituted cycloalkyl, substituted cycloalkenyl, substituted carbocycle formed together with the adjacent carbon atom, substituted carbocycle formed by “A” together with the adjacent two carbon atoms, substituted aryl, substituted phenyl, substituted naphthyl, substituted heterocyclic group, substituted aromatic heterocyclic group and substituted heterocycle formed by “A” together with the adjacent two carbon atoms, may be the same or different in number of 1 to 3, and include, for example, hydroxy, nitro, amino, carboxy, sulfo, trifluoromethyl, halogen, lower alkyl, lower alkenyl, lower alkynyl, substituted or unsubstituted lower alkoxy, lower alkylamino, di(lower) alkylamino, substituted or unsubstituted aryl, aryloxy, aralkyl, aralkyloxy, lower alkanoyl, lower alkanoyloxy, aroyl, aroyloxy, arylalkanoyloxy, lower alkoxycarbonyl, lower alkylcarbamoyl, di(lower) alkylcarbamoyl, lower alkoxysulfonyl, lower alkylsulfamoyl, di(lower) alkylsulfamoyl, and the like.

[0129]

The lower alkyl moiety in the lower alkyl, lower alkoxy, lower alkylamino, di(lower) alkylamino, lower alkanoyl, lower alkanoyloxy, lower alkoxycarbonyl, lower alkylcarbamoyl, di(lower) alkylcarbamoyl, lower alkoxysulfonyl, lower alkylsulfamoyl, and di(lower) alkylsulfamoyl exemplified in the substituents (C) has the same meanings as the above-mentioned lower alkyl, and the halogen, lower alkenyl and lower alkynyl each has the same meanings as mentioned above. The two lower alkyl portions of the di(lower) alkylamino, di(lower) alkylcarbamoyl and di(lower) alkylsulf amoyl may be the same or different. The aryl moiety of the aryl and aryloxy is the same as that of the above-mentioned aryl. The aralkyl moiety of the aralkyl and aralkyloxy is, for example, benzyl, phenethyl, and the like. The aroyl moiety of the aroyl and aroyloxy is, for example, benzoyl, naphthoyl, and the like. The arylalkyl moiety of the arylalkanoyloxy is, for example, benzyl, phenethyl, and the like.

[0130]

The substituents (c) in the substituted lower alkoxy and substituted aryl exemplified in the substituent (C) may be the same or different in number of 1 to 3, and include, for example, those exemplified in the above-mentioned substituents (a).

[0131]

The pharmaceutically acceptable salt of the compound having an adenosine A2A receptor antagonistic action includes, for example, pharmaceutically acceptable acid addition salts, metal salts, ammonium salts, organic amine addition salts, amino acid addition salts, and the like.

[0132]

The pharmaceutically acceptable acid addition salt of the compound having an adenosine A2A receptor antagonistic action includes, for example, inorganic acid salts such as hydrochloride, sulfate, phosphate; organic acid salts such as acetate, maleate, fumarate, tartrate, citrate, methansulfonate, and the like. The pharmaceutically acceptable metal salt includes, for example, alkali metal salts such as sodium salt, potassium salt; alkaline earth metal salts such as magnesiumsalt, calcium salt; aluminumsalt, zinc salt, and the like. The pharmaceutically acceptable ammonium salt includes, for example, salts with ammonium, tetramethylammonium, and the like. The pharmaceutically acceptable organic amine addition salt include addition salts with morpholine, piperidine, and the like. The pharmaceutically acceptable amino acid addition salt includes addition salts with lysine, glycine, phenylalanine, and the like.

[0133]

Compounds (I), Compounds (V) to (XXI), Compounds (XV-A) and Compounds (XXI-A) may be produced according to the processes as disclosed in the following documents or analogous processes: JP-B 47-26516; J. Med. Chem., 34, p.1431 (1991) ; J. Med. Chem., 36, p. 1333 (1993) ; WO 92/06976; JP-A 6-211856; JP-A 6-239862; WO 95/23165; JP-A 6-16559; WO 94/01114; WO 99/12546; WO 99/35147; U.S. Pat. No. 5,484,920; U.S. Pat. No. 5,703,085; WO 92/06976; WO 94/01114; U.S. Pat. No. 5,565,460; WO 98/42711; WO 00/17201; WO 99/43678; WO 99/26627; WO 01/92264; WO 99/35147; WO 00/13682; WO 00/13681; WO 00/69464; WO 01/40230; WO 01/02409; WO 01/02400; EP 1054012; WO 01/62233; WO 01/17999; WO 01/80893; WO 02/14282; WO 01/97786; WO 03/032996; WO 03/048163; WO 03/049164; and WO 03/049165 and the like. The objective compounds in the respective processes may be isolated and purified according to conventional ways usually employed in organic syntheses, for example, filtration, extraction, washing, drying, concentration, recrystallization, a variety of chromatography.

[0134]

In order to obtain the salts of compounds having an adenosine A2A receptor antagonistic action such as Compounds (I), Compounds (V) to (XXI), Compounds (XV-A) and Compounds (XXI-A), when the compounds having an adenosine A2A receptor antagonistic action such as Compounds (I), Compounds (V) to (XXI), Compounds (XV-A) and Compounds (XXI-A), respectively can be obtained in the forms of salts, they may be purified as such, and when obtained in the free forms, the compounds having an adenosine A2A receptor antagonistic action such as Compounds (I), Compounds (V) to (XXI), Compounds (XV-A) and Compounds (XXI-A), respectively may be dissolved or suspended in a suitable solvent, to which an acid or base is added to form the salts.

[0135]

In addition, the compounds having an adenosine A2A receptor antagonistic action, such as Compounds (I), Compounds (V) to (XXI), Compounds (XV-A) and Compounds (XXI-A), or pharmaceutically acceptable salts thereof may sometimes exist in a form of adduct with water or a variety of solvents; these adducts can be used in the present invention as prophylactic and/or therapeutic agents for diseases accompanied by chronic musculoskeletal pain.

[0136]

Some of the compounds having an adenosine A2A receptor antagonistic action, such as Compounds (I), Compounds (V) to (XXI), Compounds (XV-A) and Compounds (XXI-A) may exist as stereoisomers such as optical isomers; all of possible stereoisomers and their mixtures can be used in the present invention as prophylactic and/or therapeutic agents for diseases accompanied by chronic musculoskeletal pain.

[0137]

Specific examples of Compounds (I) are shown in Table 1.

1
2
3
4

[0138]

Effect of the present invention will be explained specifically by the following Test Examples.

[0000]

Test Example 1: Effect for Pain Relief in a Hyperalgesia Model of Rat

[0139]

An acidic physiological saline-induced hyperalgesia model, which is known as a model of diseases accompanied by chronic musculoskeletal pain was made according to the method described in Muscle & Nerve 24, p. 37-46 (2001) with a slight modification.

[0140]

In this test, male SD rats (Sprague-Dawley rats; 6 weeks of age at the start of the test) were employed. Under ether anesthesia, 100 μl of physiological saline adjusted to pH 4 with acetic acid was injected to the rat's right gastrocnemius muscle twice at an interval of 5 days. At 10th and 11th days from the 2nd injection, the following test was conducted. The pain threshold (g) was calculated by the following method, and rats which showed 50% pain threshold of less than 4 g (hyperalgesia rats induced with an acidic physiological saline) were employed in the test, using 6 rats for each treatment-group. In this connection, the pain threshold of normal rats was approximately 11 g.

[0141]

The above hyperalgesia rats induced with an acidic physiological saline were placed in a stainless steel cage (750width×210depth×170height in mm) and accommodated thereto for at least 20 minutes. Thereafter, the pain threshold (g) was determined prior to administration of the test compound (0 hour) and 0.5 hour, 1 hour, 1.5 hours, 2 hours and 3 hours after the administration.

[0142]

The test compound was used as a suspension in 0.5% methylcellulose (0.5% MC) aqueous solution and orally administered to the hyperalgesia rats induced with an acidic physiological saline at a volume of 5 mL/kg (groups treated with Test Compound). A separate group of rats showing hyperalgesia induced with an acidic physiological saline each received orally 0.5% MC aqueous solution alone at a volume of 5 mL/kg, which was used as a group treated with Solvent.

[0143]

Hyperalgesia was evaluated by the von Frey test, and the results were indicated by the thresholds (g). That is, using a von Frey filament (trade name: touch test sensory evaluator; model no. 58011), the hyperalgesia rat induced with an acidic physiological saline was given a mechanical stimulus at the right leg to which an acidic physiological saline had been injected, and the load to withdraw the leg was measured. The pain threshold (g) was calculated according to the W. J. Dixon's up-down method (Annual Review of Pharmacology and Toxicology, 20, p. 441-462 (1980)). The results are shown in FIG. 1.

[0144]

From the above results, the followings were elucidated.

[0145]

In the group treated with Test Compound to which Compound 2 was orally administered (5 and 10 mg/kg), the pain threshold observed in the hyperalgesic rats induced with an acidic physiological saline was greatly increased in comparison with that of the group treated with Solvent. This indicates that the hyperalgesia was markedly improved by administration of Compound 2.

[0000]

Test Example 2: Preventive Effect on Development of Hyperalgesia in a Rat Model

[0146]

The following experiment was carried out according to the method as described in Test Example 1.

[0147]

In this test, male SD rats (Sprague-Dawley rats; 6 weeks of age at the start of the test) were employed as 10 rats for each treatment-group. Under ether anesthesia, 100 μl of physiological saline adjusted to pH 4 with acetic acid was injected to the rat's right gastrocnemius muscle twice at an interval of 5 days. Thirty minutes after the 2nd injection and once daily thereafter, a test compound or solvent was administered repeatedly at a volume of 5 ml/kg to the above rats for a total of 10 days.

[0148]

The test compound was used as a suspension in 0.5% MC aqueous solution and orally administered (a group treated with Test Compound), and in a group to which a solvent was administered 0.5% MC aqueous solution alone was orally administered (a group treated with Solvent).

[0149]

On the day following the final administration, the pain threshold (g) was measured in the same manner as the von Frey test as described in Test Example 1. The above rats were placed in a stainless steel cage (750width×210depth×170height in mm) and accommodated thereto for at least 20 minutes; after that the measurement was conducted. The results are shown in FIG. 2. From the above results, the followings were elucidated.

[0150]

The pain threshold similarly determined in normal rats was approximately 11 g. In the group treated with Solvent in which group a solvent only was administered repeatedly, the threshold was greatly decreased to the value indicating the development of hyperalgesia. On the other hand, in the group treated with Test Compound in which group Compound 2 (3 mg/kg) was administered repeatedly, no decrease of the pain threshold was observed, indicating that the development of hyperalgesia was prevented.

[0151]

From the above test results, it was found that a compound having an adenosine A2A receptor antagonistic action or a pharmaceutically acceptable salt thereof has effects of improving fully developed hyperalgesia and preventing the development of hyperalgesia. In other words, it was suggested that the compound having an adenosine A2A receptor antagonistic action or a pharmaceutically acceptable salt thereof is useful as a prophylactic and/or therapeutic agent for diseases exhibiting chronic musculoskeletal pain.

[0152]

The compound having an adenosine A2A receptor antagonistic action or a pharmaceutically acceptable salt thereof may be used as such or in a variety of pharmaceutical formulations. The pharmaceutical formulations can be produced by homogeneously mixing a compound having an adenosine A2A receptor antagonistic action or a pharmaceutically acceptable salt thereof with a pharmaceutically acceptable carrier. These pharmaceutical formulations are desirably in a dosage unit form suitable for rectal, oral or parenteral (including subcutaneous, intravenous and intramuscular) administration.

[0153]

In preparing a composition in an orally administrable formulation, certain useful pharmaceutically acceptable carriers may be used. For example, oral liquid preparations such as suspensions and syrups may be prepared using water, saccharides such as sucrose, sorbitol or fructose, glycols such as polyethylene glycol or propylene glycol, oils such as sesame oil, olive oil or soybean oil, preservatives such as p-hydroxybenzoic acid ester, flavors such as strawberry flavor or peppermint, and the like. Powders, pills, capsules and tablets may be prepared with excipients such as lactose, glucose, sucrose or mannitol, disintegrators such as starch or sodium alginate, lubricants such as magnesium stearate or talc, binders such as polyvinyl alcohol, hydroxypropyl cellulose or gelatin, surfactants such as fatty acid ester, plasticizers such as glycerin, and the like. Tablets and capsules are most useful unit oral dosage preparations since they can easily be administered. In preparing tablets or capsules, solid pharmaceutical carriers are employed.

[0154]

In addition, preparations for injection may be prepared with a carrier comprising distilled water, salt solutions, glucose solutions or a mixture of saline and glucose solution. In this operation, the preparation is prepared into a solution, suspension or dispersion using an auxiliary agent according to a conventional manner.

[0155]

The compounds having an adenosine A2A receptor antagonistic action or pharmaceutically acceptable salts thereof can be administered orally in the formulations as mentioned above or parenterally as injections. Though the effective dose and the frequency of administration vary with a mode of administration, the age, body weight, conditions of patient, and so on, they may be administered at a single dose or divided doses of 1-100 mg/60 kg/day, preferably 1-20 mg/60 kg/day.

[0156]

The embodiment of the present invention will be explained according to the following examples.

EXAMPLE 1

Tablets

[0157]

Tablets comprising the following ingredients are prepared.

[0158]

To a mixture of 40 g of Compound 1, 286.8 g of lactose and 60 g of potato starch is added 120 g of 10% aqueous solution of hydroxypropyl cellulose. The mixture is then kneaded in a conventional way, granulated, dried, and sized to give granules for tableting. Magnesium stearate (1.2 g) is added thereto, and the mixture is applied to tableting in a tableting machine (Kikusui Type RT-15) with a punch of 8 mm in diameter to give tablets (containing 20 mg of active ingredient per tablet).

PrescriptionCompound 120mg
Lactose143.4mg
Potato starch30mg
Hydroxypropyl cellulos6mg
Magnesium stearate0.6mg
200mg

EXAMPLE 2

Capsules

[0159]

Capsules comprising the following ingredients are prepared in a conventional way.

[0160]

In a conventional way, 200 g of Compound 2, 995 g of Avicel and 5 g of magnesium stearate were mixed in a conventional way. The mixture is filled in no. 4 hard capsules (120 mg of content per capsule) by a capsule filling machine (Zanasi Co.; Type LZ-64) to give capsules (containing 20 mg of active ingredient per capsule)

PrescriptionCompound 220mg
Avicel99.5mg
Magnesium stearate0.5mg
120mg

EXAMPLE 3

Injections

[0161]

Injections comprising the following ingredients are prepared in a conventional way.

[0162]

In 100 g of purified soybean oil is dissolved 1 g of Compound 3, to which is added 12 g of purified egg yolk lecithin and 25 g of glycerin for injection. The mixture is made 1000 mL with distilled water for injection and then kneaded and emulsified in a conventional way. The resulting dispersed solution is sterilely filtered through a disposable membrane filter of 0.2 μm, and 2 mL each is filled in a glass vial sterilely to give injection preparations (containing 2 mg of active ingredient per vial).

PrescriptionCompound 32mg
Purified soybean oil200mg
purified egg yolk lecithin24mg
Glycerin for injection50mg
Distilled water for injection1.72mL
2.00mL

INDUSTRIAL APPLICABILITY

[0163]

According to the present invention, a prophylactic and/or therapeutic agent for diseases accompanied by chronic musculoskeletal pain which comprises as an active ingredient a compound having an adenosine A2A receptor antagonistic action or a pharmaceutically acceptable salt thereof, is provided.

Как компенсировать расходы
на инновационную разработку
Похожие патенты