заявка
№ US 20050169957
МПК A61F2/00

Biocompatible polyacrylate compositions for medical applications

Авторы:
Syed Hossainy
Номер заявки
10815421
Дата подачи заявки
31.03.2004
Опубликовано
04.08.2005
Страна
US
Как управлять
интеллектуальной собственностью
Реферат

[0000]

A composition is disclosed comprising a structural component comprising linear acrylic homopolymers or linear acrylic copolymers and a biobeneficial component comprising copolymers having an acrylate moiety and a biobeneficial moiety.

Формула изобретения

1. A composition comprising:

(a) a biologically compatible structural component; and

(b) a biobeneficial component comprising a copolymer having a biobeneficial or bioactive moiety.

2. The composition of claim 1 wherein the biologically compatible structural component comprises a linear acrylic homopolymer or a linear acrylic copolymer.

3. The composition of claim 1 wherein the copolymer of the biobeneficial component additional has an acrylate moiety.

4. The composition of claim 1 coated onto an implantable medical device.

5. The composition of claim 1 wherein the mass ratio between the structural component and the biobeneficial component is between about 99:1 and about 1:1.

6. The composition of claim 1 wherein the mass ratio between the structural component and the biobeneficial component is between about 19:1 and about 9:1.

7. The composition of claim 1 wherein the mass ratio between the structural component and the biobeneficial component is about 3:1.

8. The composition of claim 2 wherein the acrylic homopolymer or linear acrylic copolymer has the structure:

wherein

(a) X is hydrogen or methyl group;

(b) each of R and R1 is independently methyl, ethyl, n-propyl, iso-propyl, n-butyl, sec-butyl, iso-butyl, tert-butyl, lauryl, or 2-hydroxyethyl;

(c) m is a positive integer; and

(d) n is 0 or a positive integer.

9. The composition of claim 2 wherein the acrylic homopolymer or linear acrylic copolymer is poly(methylmethacrylate), poly(ethylmethacrylate), poly(n-propyl methacrylate), poly(iso-propylmethacrylate), poly(n-butylmethacrylate), poly(n-laurylmethacrylate), poly(2-hydroxyethylmethacrylate), poly(methylmethacrylate-co-2-hydroxyethyl methacrylate), poly(n-butylmethacrylate-co-2-hydroxyethyl methacrylate), or mixtures thereof.

10. The composition of claim 1 wherein the biobeneficial component includes random, block, graft or brush copolymers.

11. The composition of claim 10 wherein the block copolymers include AB-, ABA-, BAB-, ABC-, or ABCBA-block copolymers.

12. The composition of claim 1 wherein the biobeneficial moiety includes fragments derived from poly(alkylene glycols), superoxide dismutate-mimetics (SODm), diazenium diolate type nitric oxide donors, polycationic peptides, polysaccharides, pyrrolidone, vitamin E, sulfonated dextrane, β-phenoxyethanol, N,N-dimethylamino-2-ethanol, mannose-6-phosphate, sulfonic acid, derivatives of sulfonic acid, or mixtures thereof.

13. The composition of claim 12 wherein the poly(alkylene glycols) are poly(ethylene glycol), poly(propylene glycol), poly(tetramethylene glycol), poly(ethylene glycol-co-propylene glycol), poly(ethylene oxide-co-propylene oxide), or mixtures thereof.

14. The composition of claim 12 wherein the polycationic peptides are poly(L-arginine), poly(D-arginine), poly(D,L-arginine), poly(L-lysine), poly(D-lysine), poly(δ-guanidino-α-aminobutyric acid), a racemic mixture of poly(L-arginine) or poly(D-arginine), or mixtures thereof.

15. The composition of claim 12 wherein the polysaccharides are heparin or derivatives thereof, glycosaminoglycans, keratan sulfate, chondroitin sulfate, dermatan sulfate, hyaluronic acid, hyaluronates, or mixtures thereof.

16. The composition of claim 15 wherein the derivatives of heparin are heparinoids, heparin having a hydrophobic counterion, heparan sulfate, heparin salts, or mixtures thereof.

17. The composition of claim 16 wherein the heparin salts are sodium heparin, potassium heparin, lithium heparin, calcium heparin, magnesium heparin, adrenalin sodium, or mixtures thereof.

18. The composition of claim 12 wherein the derivatives of sulfonic acid are propanesulfonic acid, 2-methyl-1-propanesulfonic acid, benzenesulfonic acid, 3-methoxy-2-hydroxypropanesulfonic acid, or mixtures thereof.

19. The composition of claim 3 wherein the mass ratio between the acrylate moiety and the biobeneficial moiety is between about 99:1 and about 1:1.

20. The composition of claim 3 wherein the mass ratio between the acrylate moiety and the biobeneficial moiety is between about 19:1 and about 9:1

21. The composition of claim 3 wherein the mass ratio between the acrylate moiety and the biobeneficial moiety is about 3:1.

22. The composition of claim 1 wherein the copolymer composing the biobeneficial component has the formula:

wherein

(a) m1, n1, p1, r1, m2, n2, p2, and r2 are all integers;

(b) m10, n1>0, p10, r1>0; m20, n2>0, p20, r2>0; and

(c)

(i) if m1=0, then p1>0;

(ii) if p1=0, then m1>0; and

(iii) if m2=0, then p2>0; and

(iv) if p2=0, then m2>0; and

(v) r1 and r2 are the same or different;

(vi) m1 and m2 are the same or different;

(vii) n1 and n2 are the same or different; and

(viii) p1 and p2 are the same or different;

(d) X is hydrogen or methyl group;

(e) each of R and R1, independently, is methyl, ethyl, n-propyl, iso-propyl, n-butyl, sec-butyl, iso-butyl, tert-butyl, lauryl, or 2-hydroxyethyl; and

(f) Q is a fragment providing the copolymer with biobeneficial or bioactive properties.

23. The composition of claim 1 wherein the copolymer composing the biobeneficial component is poly(ethylene glycol)-block-poly(n-butylmethacrylate)-block-poly(ethylene glycol), poly(n-butylmethacrylate)-block-poly(ethylene glycol)-block-poly(n-butylmethacrylate), or mixtures thereof.

24. The composition of claim 1 wherein the biobeneficial component includes a random, block, graft or brush copolymer comprising:

(a) at least one of

(b) at least one of

wherein

(c) X is hydrogen or methyl group;

(d) R is methyl, ethyl, n-propyl, iso-propyl, n-butyl, sec-butyl, iso-butyl, tert-butyl, lauryl, or 2-hydroxyethyl; and

(e) Q is a fragment providing the copolymer with biobeneficial properties.

25. The composition of claim 24 wherein the biobeneficial component copolymer further comprises at least one of

wherein Q2 is a fragment providing the copolymer with biobeneficial or bioactive properties provided that Q2 is different from Q.

26. The composition of claim 24 wherein Q is derived from poly(alkylene glycols), superoxide dismutate-mimetics (SODm), diazenium diolate type nitric oxide donors, polycationic peptides, polysaccharides, pyrrolidone, vitamin E, sulfonated dextrane, β-phenoxyethanol, N,N-dimethylamino-2-ethanol, mannose-6-phosphate, sulfonic acid, derivatives of sulfonic acid, or mixtures thereof.

27. The composition of claim 26 wherein the polycationic peptides are poly(L-arginine), poly(D-arginine), poly(D,L-arginine), poly(L-lysine), poly(D-lysine), poly(δ-guanidino-α-aminobutyric acid), a racemic mixture of poly(L-arginine) or poly(D-arginine), or mixtures of these.

28. The composition of claim 26 wherein the polysaccharides are heparin or derivatives thereof, glycosaminoglycans, keratan sulfate, chondroitin sulfate, dermatan sulfate, hyaluronic acid, hyaluronates, or blends thereof.

29. The composition of claim 26 wherein the derivatives of heparin are heparinoids, heparin having a hydrophobic counterion, heparan sulfate, heparin salts, or mixtures thereof.

30. The composition of claim 26 wherein the derivatives of sulfonic acid are propanesulfonic acid, 2-methyl-1-propanesulfonic acid, benzenesulfonic acid, 3-methoxy-2-hydroxypropanesulfonic acid, or mixtures thereof.

31. A medical article comprising an implantable medical device and a coating deposited on at least a part of the device, the coating including:

(a) a structural component comprising a linear acrylic homopolymer or linear acrylic copolymer; and

(b) a biobeneficial component comprising a copolymer having an acrylate moiety and a biobeneficial moiety.

32. The medical article of claim 31 wherein the implantable medical device is a stent.

33. The medical article of claim 31 wherein the mass ratio between the structural component and the biobeneficial component is between about 99:1 and about 1:1.

34. The medical article of claim 31 wherein the mass ratio between the structural component and the biobeneficial component is between about 19:1 and about 9:1.

35. The medical article of claim 31 wherein the mass ratio between the structural component and the biobeneficial component is about 3:1.

36. The medical article of claim 31 wherein the acrylic homopolymer and linear acrylic copolymer have the structure:

wherein

(a) X is hydrogen or methyl group;

(b) each of R and R1 is independently methyl, ethyl, n-propyl, iso-propyl, n-butyl, sec-butyl, iso-butyl, tert-butyl, lauryl, or 2-hydroxyethyl;

(c) m is a positive integer; and

(d) n is 0 or a positive integer.

37. The medical article of claim 31 wherein the acrylic homopolymer or linear acrylic co-polymer are poly(methylmethacrylate), poly(ethylmethacrylate), poly(n-propyl methacrylate), poly(iso-propylmethacrylate), poly(n-butylmethacrylate), poly(n-laurylmethacrylate), poly(2-hydroxyethylmethacrylate), poly(methylmethacrylate-co-2-hydroxyethyl methacrylate), poly(n-butylmethacrylate-co-2-hydroxyethyl methacrylate), or mixtures thereof.

38. The medical article of claim 31 wherein the biobeneficial component includes random, block, graft or brush copolymers.

39. The medical article of claim 38 wherein the block copolymers include AB-, ABA-, BAB-, ABC-, or ABCBA-block copolymers.

40. The medical article of claim 31 wherein the biobeneficial moiety includes fragments derived from poly(alkylene glycols), superoxide dismutate-mimetics (SODm), diazenium diolate type nitric oxide donors, polycationic peptides, polysaccharides, pyrrolidone, vitamin E, sulfonated dextrane, β-phenoxyethanol, N,N-dimethylamino-2-ethanol, mannose-6-phosphate, sulfonic acid, derivatives of sulfonic acid, or mixtures thereof.

41. The medical article of claim 40 wherein the poly(alkylene glycols) are poly(ethylene glycol), poly(propylene glycol), poly(tetramethylene glycol), poly(ethylene glycol-co-propylene glycol), poly(ethylene oxide-co-propylene oxide), or mixtures thereof.

42. The medical article of claim 40 wherein the polycationic peptides are poly(L-arginine), poly(D-arginine), poly(D,L-arginine), poly(L-lysine), poly(D-lysine), poly(δ-guanidino-α-aminobutyric acid), a racemic mixture of poly(L-arginine) or poly(D-arginine), or mixtures thereof.

43. The medical article of claim 40 wherein the polysaccharides are heparin or derivatives thereof, glycosaminoglycans, keratan sulfate, chondroitin sulfate, dermatan sulfate, hyaluronic acid, hyaluronates, or mixtures thereof.

44. The medical article of claim 43 wherein the derivatives of heparin are heparinoids, heparin having a hydrophobic counterion, heparan sulfate, heparin salts, or mixtures thereof.

45. The medical article of claim 44 wherein the heparin salts are sodium heparin, potassium heparin, lithium heparin, calcium heparin, magnesium heparin, ardeparin sodium, or mixtures thereof.

46. The medical article of claim 40 wherein the derivatives of sulfonic acid are propanesulfonic acid, 2-methyl-1-propanesulfonic acid, benzenesulfonic acid, 3-methoxy-2-hydroxypropanesulfonic acid, or mixtures thereof.

47. The medical article of claim 31 wherein the mass ratio between the acrylate moiety and the biobeneficial moiety is between about 99:1 and about 1:1.

48. The medical article of claim 31 wherein the mass ratio between the acrylate moiety and the biobeneficial moiety is between about 19:1 and about 9:1

49. The medical article of claim 31 wherein the mass ratio between the acrylate moiety and the biobeneficial moiety is about 3:1.

50. The medical article of claim 31 wherein the copolymer composing the biobeneficial component has the formula:

wherein

(a) m1, n1, p1, r1, m2, n2, p2, and r2 are all integers;

(b) m10, n1>0, p10, r1>0; m20, n2>0, p20, r2>0; and

(c)

(i) if m1=0, then p1>0;

(ii) if p1=0, then m1>0; and

(iii) if m2=0, then p2>0; and

(iv) if p2=0, then m2>0; and

(v) r1 and r2 are the same or different;

(vi) m1 and m2 are the same or different;

(vii) n1 and n2 are the same or different; and

(viii) p1 and p2 are the same or different;

(d) X is hydrogen or methyl group;

(e) each of R and R1, independently, is methyl, ethyl, n-propyl, iso-propyl, n-butyl, sec-butyl, iso-butyl, tert-butyl, lauryl, or 2-hydroxyethyl; and

(f) Q is a fragment providing the copolymer with biobeneficial properties.

51. The medical article of claim 31 wherein the copolymer composing the biobeneficial component is poly(ethylene glycol)-block-poly(n-butylmethacrylate)-block-poly(ethylene glycol), or poly(n-butylmethacrylate)-block-poly(ethylene glycol)-block-poly(n-butylmethacrylate).

52. The medical article of claim 31 wherein the biobeneficial component includes a random, block, graft or brush copolymer composed of:

(a) at least one of

(b) at least one of

wherein

(c) X is hydrogen or methyl group;

(d) R is methyl, ethyl, n-propyl, iso-propyl, n-butyl, sec-butyl, iso-butyl, tert-butyl, lauryl, or 2-hydroxyethyl; and

(e) Q is a fragment providing the copolymer with biobeneficial properties.

53. The composition of claim 52 wherein Q is derived from poly(alkylene glycols), superoxide dismutate-mimetics (SODm), diazenium diolate type nitric oxide donors, polycationic peptides, polysaccharides, pyrrolidone, vitamin E, sulfonated dextrane, β-phenoxyethanol, N,N-dimethylamino-2-ethanol, mannose-6-phosphate, sulfonic acid, derivatives of sulfonic acid, or mixtures thereof.

54. The composition of claim 53 wherein the polycationic peptides are poly(L-arginine), poly(D-arginine), poly(D,L-arginine), poly(L-lysine), poly(D-lysine), poly(δ-guanidino-α-aminobutyric acid), a racemic mixture of poly(L-arginine) or poly(D-arginine), or mixtures thereof.

55. The composition of claim 53 wherein the polysaccharides are heparin or derivatives thereof, glycosaminoglycans, keratan sulfate, chondroitin sulfate, dermatan sulfate, hyaluronic acid, hyaluronates, or mixtures thereof.

56. The composition of claim 53 wherein the derivatives of heparin are heparinoids, heparin having a hydrophobic counterion, heparan sulfate, heparin salts, or mixtures thereof.

57. The composition of claim 53 wherein the derivatives of sulfonic acid are propanesulfonic acid, 2-methyl-1-propanesulfonic acid, benzenesulfonic acid, 3-methoxy-2-hydroxypropanesulfonic acid, or mixtures thereof.

58. A method for fabricating a medical article comprising depositing a polymeric blend comprising:

(a) a biologically compatible structural component; and

(b) a biobeneficial component comprising a copolymer having a biobeneficial or bioactive moiety.

on at least a portion of the implantable medical device to form a coating.

59. The method of claim 58 wherein the implantable medical device is a stent.

60. The method of claim 58 wherein the mass ratio between the structural component and the biobeneficial component is between about 99:1 and about 1:1.

61. The method of claim 58 wherein the mass ratio between the structural component and the biobeneficial component is between about 19:1 and about 9:1.

62. The method of claim 58 wherein the mass ratio between the structural component and the biobeneficial component is about 3:1.

63. The method of claim 58 wherein the acrylic homopolymer or linear acrylic copolymer have the structure:

wherein

(a) X is hydrogen or methyl group;

(b) each of R and R1 is independently methyl, ethyl, n-propyl, iso-propyl, n-butyl, sec-butyl, iso-butyl, tert-butyl, lauryl, or 2-hydroxyethyl;

(c) m is a positive integer; and

(d) n is 0 or a positive integer.

64. The method of claim 58 wherein the acrylic homopolymer and linear acrylic copolymer are synthesized by polymerizing monomers selected from a group consisting of methylmethacrylate, ethylmethacrylate, n-propyl methacrylate, iso-propylmethacrylate, n-butylmethacrylate, n-laurylmethacrylate, 2-hydroxyethylmethacrylate, and mixtures thereof.

65. The method of claim 58 wherein the step of preparing the polymeric blend includes synthesizing the biobeneficial random, block, graft or brush copolymers.

66. The method of claim 65 wherein the block copolymers include AB-, ABA-, BAB-, ABC-, or ABCBA-block copolymers.

67. The method of claim 65 wherein the step of synthesizing the block copolymers includes copolymerizing an acrylate and a biobeneficial monomer by a method of living, free-radical copolymerization with initiation-transfer agent termination of the living macro chains.

68. The method of claim 67 wherein the acrylate is methylmethacrylate, ethylmethacrylate, n-propyl methacrylate, iso-propylmethacrylate, n-butylmethacrylate, n-laurylmethacrylate, 2-hydroxyethylmethacrylate, or mixtures thereof.

69. The method of claim 67 wherein the biobeneficial monomer includes acryloyl-, methacryloyl-, vinyl, or allyl-modified adducts of superoxide dismutate-mimetics; acryloyl-, methacryloyl-, vinyl, or allyl-modified diazenium diolate type nitric oxide donors; or acryloyl-, methacryloyl-, vinyl, or allyl-modified polycationic peptides.

70. The method of claim 67 wherein the biobeneficial monomer is 2-acrylamido-2-methyl-1-propanesulfonic acid, poly(ethylene glycol)methacrylate, 3-sulfopropyl acrylate, 3-sulfopropyl acrylate methacrylate, N-vinylpyrrolidone, vinyl sulfonic acid, 4-styrene sulfonic acid, or 3-allyloxy-2-hydroxypropanesulfonic acid.

71. The method of claim 58 wherein the biobeneficial moiety includes fragments derived from poly(alkylene glycols), superoxide dismutate-mimetics (SODm), diazenium diolate type nitric oxide donors, polycationic peptides, polysaccharides, pyrrolidone, vitamin E, sulfonated dextrane, β-phenoxyethanol, N,N-dimethylamino-2-ethanol, mannose-6-phosphate, sulfonic acid, derivatives of sulfonic acid, or mixtures thereof.

72. The method of claim 71 wherein the poly(alkylene glycols) are poly(ethylene glycol), poly(propylene glycol), poly(tetramethylene glycol), poly(ethylene glycol-co-propylene glycol), poly(ethylene oxide-co-propylene oxide), or mixtures thereof.

73. The method of claim 71 wherein the polycationic peptides are poly(L-arginine), poly(D-arginine), poly(D,L-arginine), poly(L-lysine), poly(D-lysine), poly(δ-guanidino-α-aminobutyric acid), a racemic mixture of poly(L-arginine) or poly(D-arginine), or mixtures thereof.

74. The method of claim 71 wherein the polysaccharides are heparin, heparin derivatives, glycosaminoglycans, keratan sulfate, chondroitin sulfate, dermatan sulfate, hyaluronic acid, hyaluronates, or mixtures thereof.

75. The method of claim 74 wherein the derivatives of heparin are heparinoids, heparin having a hydrophobic counterion, heparan sulfate, heparin salts, or mixtures thereof.

76. The method of claim 75 wherein the heparin salts are sodium heparin, potassium heparin, lithium heparin, calcium heparin, magnesium heparin, ardeparin sodium, or mixtures thereof.

77. The method of claim 71 wherein the derivatives of sulfonic acid are propanesulfonic acid, 2-methyl-1-propanesulfonic acid, benzenesulfonic acid, 3-methoxy-2-hydroxypropane sulfonic acid, or mixtures thereof.

78. The method of claim 58 wherein the mass ratio between the acrylate moiety and the biobeneficial moiety is between about 99:1 and about 1:1.

79. The method of claim 58 wherein the mass ratio between the acrylate moiety and the biobeneficial moiety is between about 19:1 and about 9:1

80. The method of claim 58 wherein the mass ratio between the acrylate moiety and the biobeneficial moiety is about 3:1.

81. The method of claim 58 wherein the copolymer comprising the biobeneficial component has the formula:

wherein

(a) m1, n1, p1, r1, m2, n2, p2, and r2 are all integers;

(b) m10, n1>0, p10, r1>0; m20, n2>0, p20, r2>0; and

(c)

(i) if m1=0, then p1>0;

(ii) if p1=0, then m1>0; and

(iii) if m2=0, then p2>0; and

(iv) if p2=0, then m2>0; and

(v) r1 and r2 are the same or different;

(vi) m1 and m2 are the same or different;

(vii) n1 and n2 are the same or different; and

(viii) p1 and p2 are the same or different;

(d) X is hydrogen or methyl group;

(e) each of R and R1, independently, is methyl, ethyl, n-propyl, iso-propyl, n-butyl, sec-butyl, iso-butyl, tert-butyl, lauryl, or 2-hydroxyethyl; and

(f) Q is a fragment providing the copolymer with biobeneficial properties.

82. The method of claim 58 wherein the copolymer comprising the biobeneficial component is poly(ethylene glycol)-block-poly(n-butylmethacrylate)-block-poly(ethylene glycol), poly(n-butylmethacrylate)-block-poly(ethylene glycol)-block-poly(n-butylmethacrylate), or mixtures thereof.

Описание

RELATED APPLICATIONS

[0001]

This application is a Continuation-in-Part of U.S. patent application Ser. No. 10/317,435, filed on Dec. 11, 2002, which is incorporated herein by reference in its entirety.

BACKGROUND

[0002]

1. Field of the Invention

[0003]

This invention is directed to polymers used in medical applications, such as coatings for medical devices or implantable prostheses.

[0004]

2. Description of the State of the Art

[0005]

Among the many advances in medical practice in recent years is the development of medical devices that supplement the surgeon's skills. Examples of these are a variety of vascular catheters and guide wires that can be used to treat remote areas of the circulatory system otherwise available only by major surgery. Another is a stent, a device that retards restenosis after angioplasty. Another is the intra-ocular lens that restores youthful eyesight to the elderly afflicted with cataracts. Heart valves, artificial pacemakers, and orthopedic implants are among a lengthening list.

[0006]

Nearly all of the above-described devices are constructed of plastics and metals that were never intended to invade, and sometimes reside for prolonged periods, in the human body. These devices present surfaces that bear little or no semblance to those of the human organs, which are generally hydrophilic, slippery, and obviously biocompatible. The penalty imposed on invasive devices that are not biocompatible is that they tend to be treated as foreign objects by the body's immune system. Inflammation and thrombosis often result.

[0007]

The surface of devices already designed and manufactured from such materials can be made biocompatible, as well as hydrophilic and slippery, by properly designed coatings. Thus, the way has been opened to construct medical devices from conventional plastics and metals having the particular physical properties required, and then to apply suitable coatings to impart the desired properties to their surfaces.

[0008]

In addition to improving the biocompatibility of the surface, polymers can be used to deliver biologically or pharmaceutically active agents to a treatment site. For example, stents have been modified with polymers for local application of a therapeutic substance. In order to provide an effective concentration at the treatment site, systemic administration of medication often produces adverse or toxic side effects for the patient. Local delivery is a preferred method of treatment, because smaller total levels of medication are administered in comparison to systemic dosages, and this medication is concentrated at a specific site. Local delivery thus produces fewer side effects and achieves better results. Briefly, a solution that includes a solvent, a polymer dissolved in the solvent, and a therapeutic substance dispersed in the blend is applied to the stent. The solvent is then allowed to evaporate, leaving on the stent surface a coating of the polymer and the therapeutic substance impregnated in the polymer. Once the stent has been implanted at the treatment site, the therapeutic substance is released from the polymer coating over time.

[0009]

Although using coated stents improves pharmacological treatment of the patient and improves biocompatibility of the medical device in the patient, coatings can still be improved. In particular, it is desirable to have biologically beneficial (biobeneficial) stent coatings that are creep compliant and are capable of providing modulated drug release rate by increased water absorption in the overall coating. The embodiments of the present invention provide stent coatings that have these and other advantages.

SUMMARY

[0010]

A composition is provided including a biologically compatible structural component such as a linear acrylic homopolymers, linear acrylic copolymers, or styrene and a biobeneficial component comprising copolymers having a bioactive or biobeneficial moiety. The biobeneficial component can also comprise an acrylate moiety. The composition can be used as a coating in medical applications such as for a stent. The composition can also be used for delivery of a drug or therapeutic substance. The mass ratio between the structural component and the biobeneficial component can be between about 99:1 and about 1:1, more narrowly, between about 19:1 and about 9:1, such as about 3:1. Examples of acrylic homopolymers and linear acrylic copolymers that can be used for making the structural component include poly(methylmethacrylate), poly(ethylmethacrylate), poly(n-propyl methacrylate), poly(isopropylmethacrylate), poly(n-butylmethacrylate), poly(n-laurylmethacrylate), poly(2-hydroxyethylmethacrylate), poly(methylmethacrylate-co-2-hydroxyethyl methacrylate), poly(n-butylmethacrylate-co-2-hydroxyethyl methacrylate), and mixtures thereof. One example of a copolymer comprising the biobeneficial component can be a block copolymer having the formula

    • wherein m1, n1, p1, r1, m2, n2, p2, and r2 are all integers, wherein each of m1, m2, p1, and p2 can be 0 or greater; each of n1, n2, r1, and r2 can be greater than 0, and r1 and r2 can be the same or different; m1 and m2 can be the same or different; n, and n2 can be the same or different; and p1 and p2 can be the same or different; X can be hydrogen or methyl group; each of R and R1, independently, can be methyl, ethyl, n-propyl, iso-propyl, n-butyl, sec-butyl, iso-butyl, tert-butyl, lauryl, or 2-hydroxyethyl; and Q can be a fragment that provides the biobeneficial properties. Q fragments can be derived from poly(alkylene glycols), superoxide dismutate-mimetics (SODm), diazenium diolate-type nitric oxide donors, polycationic peptides, polysaccharides, pyrrolidone, vitamin E, sulfonated dextrane, β-phenoxyethanol, N,N-dimethylamino-2-ethanol, mannose-6-phosphate, sulfonic acid and derivatives of sulfonic acid, among others.

[0012]

This invention also relates to a medical article fabrication method. The method comprises preparing a polymeric combination comprising a structural component including linear acrylic homopolymers or linear acrylic copolymers and a biobeneficial component comprising copolymers having an acrylate moiety and a biobeneficial moiety and forming a medical article from the combination or depositing the combination on a medical article. The biobeneficial component can include random, block, graft, or brush copolymers. One method of making block copolymers includes copolymerizing an acrylate and a biobeneficial monomer using of living, free-radical copolymerization with initiation-transfer-agent termination of the living chains.

DETAILED DESCRIPTION

Terms and Definitions

[0013]

The following definitions apply:

[0014]

The terms “block copolymer” and “graft copolymer” follow the terminology used by the International Union of Pure and Applied Chemistry (IUPAC). “Block copolymer” refers to a copolymer containing a linear arrangement of blocks. A block is defined as a portion of a polymer molecule in which the monomeric units have at least one constitutional or configurational feature absent from adjacent portions. “Graft copolymer” refers to a polymer composed of macromolecules with one or more species of blocks connected to the main chain as side chains, having constitutional or configurational features different than those in the main chain.

[0015]

The term “AB-block copolymer” is defined as a block copolymer having moieties A and B arranged according to the general formula −{[A−]m−[B]n}x−, where each of m, n, and x is a positive integer, and m can be 2, and n can be 2.

[0016]

The term “ABA-block copolymer” is defined as a block copolymer having moieties A and B arranged according to the general formula −{[A−]m−[B−]n−[A]p}x−, where each of m, n, p, and x is a positive integer, and m can be 2, and n can be 2, and p can be 2.

[0017]

The term “ABC-block copolymer” is defined as a block copolymer having moieties A, B, and C arranged according to the general formula −{[A−]m−[B−]n−[C]p}x− where each of m, n, p, and x is a positive integer, and m can be 2, and n can be 2, and p can 2.

[0018]

These blocks need not be linked at the ends, since the values of the integers determining block length ensure that the individual blocks are polymers in their own right. Accordingly, the ABA-block copolymer can be named poly A-block-co-poly B-block-co-poly A-block copolymer, the ABC-block copolymer can be named poly A-block-co-poly B-block-co-poly C-block co-polymer and the AB-block co-polymer can be named poly A-block-co-poly B-block copolymer. Blocks A, B, and C can be longer than three blocks and can be alternating or random.

[0019]

Note that the term “copolymer” encompasses for purposes of this disclosure a polymer with two or more constituent monomers and does not imply a polymer of only two monomers.

[0020]

The term “brush copolymer” includes two copolymer types. The first type includes co-polymers with some branch points with, in some embodiments, functionality greater than three. The second type includes the following structure:

[0021]

In Structure I, the horizontal chain symbolizes the polymer backbone chain, for example, a poly(n-butyl methacrylate) chain, and vertical chains symbolize side chains connected to the backbone chain. One example of a polymer that can form side chains is poly(ethylene glycol).

[0022]

A “linear polymer” is a polymer that does not contain branches with a chain length greater than 3.

[0023]

In some embodiments, a thermoplastic polymer is a polymer that may not be capable of forming cross-links, and consequently does not form crosslinks when heated, whether with or without a crosslinking catalyst. A thermoplastic polymer that includes cross linking fragments can be crosslinked. Examples of such fragments include π-bonds and functional groups, such as amino, epoxy, urethane, etc. Non crosslinking thermoplastic polymers soften and fuse when heated and solidify when cooled. This melt-freeze cycle can be repeated many times without substantially chemically altering the polymer. Also, a solvent-soluble thermoplastic polymer remains soluble after any number of melt-freeze cycles.

[0024]

Polymers that are linear and thermoplastic are “linear thermoplastic polymers.” For the purposes of the present application, whenever the terms “linear polymer,” or “thermoplastic polymer,” or “linear thermoplastic polymer” are used, in some embodiments these terms specifically exclude polymers that contain crosslinks. In some embodiments, “linear polymers” and “thermoplastic polymers” are substantially free of crosslinked fragments; in some embodiments, completely free of crosslinked fragments.

Embodiments

[0025]

According to embodiments of the present invention, the composition can include a structural component comprising linear acrylic homopolymers or copolymers or styrene, which, in some embodiments can be thermoplastic; and a biobeneficial component comprising copolymers having an acrylate moiety and a biobeneficial or bioactive moiety. The structural component and the biobeneficial component can be blended. In some embodiments, the two components can be bonded, linked such as by a linking agent, conjugated or cross-linked. The mass ratio between the structural component and the biobeneficial component can be between about 99:1 and about 1:1, more narrowly, between about 19:1 and about 9:1, for example, about 3:1. In the biobeneficial component, the mass ratio between the acrylate moiety and the biobeneficial moiety can be between about 99:1 and about 1:1, more narrowly, between about 19:1 and about 9:1, for example, about 3:1.

Structural Component

[0026]

The biologically compatible structural component can comprise linear acrylic homopolymers or copolymers, for example. In some embodiment, the homo- and co-polymers can be thermoplastic. The structure of linear acrylic homopolymers and copolymers can be illustrated by general Formula I.

    • wherein X can be hydrogen or methyl group; each of R and R1 can independently be methyl, ethyl, n-propyl, iso-propyl, n-butyl, sec-butyl, iso-butyl, tert-butyl, lauryl, or 2-hydroxyethyl; m is a positive integer, and n can be 0 or a positive integer. If n=0, the polymer represented by Formula I is an acrylic homopolymer, and if n≠0, the polymer represented by Formula I is an acrylic copolymer.

[0028]

A linear acrylic homopolymer corresponding to Formula I can be obtained by polymerizing one acrylic monomer, CH2═CX-M, using common techniques. To obtain a linear acrylic copolymer corresponding to Formula I, two or more acrylic monomers, CH2═CX-M, can be co-polymerized. Any combination of acrylic monomers can be used to prepare a linear acrylic co-polymer according to Formula I. Examples of CH2═CX-M monomers that can be used are shown in Table 1.

1MethylmethacrylateMMACH3
2EthylmethacrylateEMACH3
3n-Propyl methacrylatePMACH3
4iso- Propylmethacrylatei-PMACH3
5n-ButylmethacrylateBMACH3
6n-LaurylmethacrylateLMACH3
72-Hydroxyethyl- methacrylateHEMACH3

[0029]

One example of a linear acrylic homopolymer suitable for the structural component is poly(n-butyl methacrylate) (PBMA). The structure of PBMA corresponds to Formula I, where X=CH3, R=n-C4H9, and n=0. PBMA is a thermoplastic homopolymer. Examples of linear acrylic copolymers suitable for the structural component include poly(methylmethacrylate-co-2-hydroxyethyl methacrylate) (PMMA-HEMA) and poly(n-butylmethacrylate-co-2-hydroxyethyl methacrylate) (PBMA-HEMA). Other homopolymers or copolymers described by Formula I, or mixtures thereof can be also used.

Biobeneficial Component

[0030]

The biobeneficial component can comprise a copolymer having at least one acrylate moiety and at least one biobeneficial moiety. In some embodiments, random, block, graft or brush copolymers can be used. For random copolymers, some constituent units of the copolymers can include an acrylate moiety while other constituent units can include a biobeneficial moiety.

[0031]

Examples of useful block copolymers include AB-, ABA-, BAB-, ABC-, or ABCBA block copolymers. For AB-, ABA- or BAB-block copolymers, either moiety A or B can be an acrylate moiety, and the other moiety can be a biobeneficial moiety. Similarly, for an ABC block copolymer, either moiety A, B, or C, or any two of A, B, and C can be an acrylate moiety or moieties, while the remaining moiety or moieties can be biobeneficial.

[0032]

One example of a block copolymer that can be used is illustrated by Formula II:

    • wherein:
    • (a) m1, n1, p1, r1, m2, n2, p2, and r2 are all integers, wherein m10, n1>0, p10, r1>0; m20, n2>0, p20, r2>0; and if m1=0, then p1>0, and if p1=0, then m1>0; and if m2=0, then p2>0, and if p2=0, then m2>0; and r1 and r2 can be the same or different; m1 and m2 can be the same or different; n1 and n2 can be the same or different; and p1 and p2 can be the same or different;
    • (b) X can be hydrogen or methyl group;
    • (c) each of R and R1 can be methyl, ethyl, n-propyl, iso-propyl, n-butyl, sec-butyl, iso-butyl, tert-butyl, lauryl, 2-hydroxyethyl; and
    • (d) B-units are biobeneficial moieties, which can be attached to the backbone of the block copolymer in a variety of ways, for example by an acyl group or by a methylene bridge. Q makes the B-units biobeneficial,

[0038]

If a random copolymer is used as the biobeneficial component, the structure of the random copolymer is generally similar to the structure shown in Formula II, except the A-, B-, and C-units in the random copolymer are randomly distributed.

[0039]

Examples of Q providing biobeneficial properties to the B-units include those derived from poly(alkylene glycols) such as poly(ethylene glycol), poly(propylene glycol), poly(tetramethylene glycol), poly(ethylene glycol-co-propylene glycol), or poly(ethylene oxide-co-propylene oxide), superoxide dismutate-mimetics (SODm), diazenium diolate type nitric oxide donors, polycationic peptides, polysaccharides, for example, heparin or heparin derivatives, pyrrolidone, vitamin E, sulfonated dextrane, β-phenoxyethanol, N,N-dimethylamino-2-ethanol, mannose-6-phosphate, sulfonic acid and derivatives of sulfonic acid such as propanesulfonic acid, 2-methyl-1-propanesulfonic acid, benzenesulfonic acid, and 3-methoxy-2-hydroxypropanesulfonic acid.

[0040]

Superoxide dismutate-mimetics (SODm) are oxidoreductase-based complexes that contain of copper, iron, or manganese cations. SODm are major intracellular enzymes that protect the cell from oxygen toxicity by dismutating the superoxide, radical O2—, to oxygen and hydrogen peroxide. A hepta coordinated, manganese-based SODm, manganese(II) dichloroaminoethylthiolated pentaazatetracyclohexacosatriene (SOD-40470) (manufactured by Metaphore Pharmaceuticals, Inc., St. Louis, Mo.) is one example of SODm that can be used in B-units. Other types of SODm can also be used, if desired.

[0041]

Diazeniumdiolate-type nitric-oxide donors are adducts of nitric oxide (NO) with nucleophilic amines. Diazenium diolates, also known as NONOates, are highly biologically compatible and possess valuable medicinal properties. In slightly acidic medium, they spontaneously release NO, which has excellent therapeutic properties. One example of diazenium diolate that can be used for making B-units is an aliphatic NONOate, 1,3-propanediamine, N-{4-[1-(3-aminopropyl)-2-hydroxy-2-nitrosohydrazino]butyl}-diazen-1-ium-1,2-diolate, also known as speramine diazenium diolate (SDD) and having the formula NH2-(CH2)3—N[N+(O)N—OH)]—(CH2)4—NH—(CH2)3—NH2. SDD is manufactured by Molecular Probes, Inc., Eugene, Oreg. Alternatively, other diazenium diolate-type NO donors can be used. One example of a suitable diazenium diolatetype NO donor is 1-{N-methyl-N-[6-(N-methylammonio)hexyl]amino}diazen-1-ium-1,2-diolate having the formula CH3—N+H2—(CH2)6—N(CH3—N+(O—)═N—O— (MAHMA-NO). Another example of a suitable alternative NONOate is and Z-1-[N-(2-aminoethyl)-N-(2-ammonioethyl)amino]diazen-1-ium-1,2-diolate having the formula O—N+[N(CH2—CH2—NH2)CH2—CH2—N+H3]═N—O— (DETA-NO). MAHMA-NO and DETA-NO can be obtained from Cayman Chemical Co., Ann Arbor, Mich.

[0042]

Examples of polycationic peptides that can be used to make B-units include poly(L-arginine), poly(D-arginine), poly(D,L-arginine), poly(L-lysine), poly(D-lysine), poly(δ-guanidino-α-aminobutyric acid), and a racemic mixture of poly(L-arginine) or poly(D-arginine). The terms “poly(L-arginine)”, “poly(D-arginine)”, “poly(D,L-arginine)” includes L-, D-, and/or D,L-arginine in both its polymeric and oligomeric form.

[0043]

Heparin derivates can be used for the B-units, as well. Heparin is derived from a mixture of sulfated polysaccharide chains based on D-glucosamine and D-glucoronic or L-iduronic acid. In some embodiments, “heparin derivative” include any functional or structural variation of heparin. Representative variations include heparinoids, heparin having a hydrophobic counterion, heparan sulfate, alkali metal or alkaline-earth metal salts of heparin, for example, sodium heparin (also known as hepsal or pularin), potassium heparin (formerly known as clarin), lithium heparin, calcium heparin (also known as calciparine), magnesium heparin (also known as cutheparine), low molecular weight heparin (also known as ardeparin sodium), and blends thereof. Alternatively, some embodiments define “heparin derivatives” to specifically exclude any one or any combination of heparinoids, heparin having a hydrophobic counterion, heparan sulfate, alkali metal or alkaline-eartlh metal salts of heparin, sodium heparin (also known as hepsal or pularin), potassium heparin (formerly known as clarin), lithium heparin, calcium heparin (also known as calciparine), magnesium heparin (also known as cutheparine), or low molecular weight heparin (also known as ardeparin sodium).

[0044]

Examples of other B-unit-suitable polysaccharides include glycosaminoglycans (or mu-copolysaccharides) such as keratan sulfate, chondroitin sulfate, dermatan sulfate (also known as chondroitin sulfate B), hyaluronic acid, hyaluronates and blends thereof.

[0045]

The acrylate moiety forming a part of the random or block copolymer (A- and/or C-units shown in Formula II) can be derived from CH2═CX-M acrylates. For example, any monomer shown in Table 1 can be used.

[0046]

The biobeneficial moiety forming the random or block copolymer (B-units in Formula II) from unsaturated monomers or oligomers. The choice of the monomer or oligomer depends on the desired biological response. For example, the biobeneficial moiety can be anti-restenotic or can ensure better blood compatibility, or can promote cell adhesion.

[0047]

Examples of the monomers or oligomers yielding antirestenotic moieties can be derived include acryloyl-, methacryloyl-, vinyl or allyl-modified adducts of SODm, acryloyl-, methacryloyl-, vinyl or allyl-modified NO donors examples of NO donors include DETA or speramine), acryloyl-, methacryloyl-, vinyl or allyl-modified adducts of phosphoryl choline, and acryloyl-, methacryloyl-, vinyl or allyl-modified polycationic peptides such as poly-L-arginine.

[0048]

Examples of monomers that can form the biobeneficial moiety include 2-acrylamido-2-methyl-1-propanesulfonic acid, poly(ethylene glycol)methacrylate, 3-sulfopropyl acrylate, 3-sulfopropyl methacrylate, N-vinylpyrrolidone, vinylsulfonic acid, 4-styrenesulfonic acid and 3-allyloxy-2-hydroxypropanesulfonic acid. All monomers based on sulfonic acid can be either alkali metal salts (e.g., K+ or Na+) or acids.

[0049]

Turning again to the polymeric structure represented by Formula II, some examples of particular copolymers having that structure that can be used include poly(ethylene glycol)-block-poly(n-butylmethacrylate)-block-poly(ethylene glycol) (PEG-PBMA-PEG, an ABA block co-polymer), or poly(n-butylmethacrylate)-block-poly(ethylene glycol)-block-poly(n-butylmethacrylate) (PBMA-PEG-PBMA, a BAB-block copolymer). In both PEG-PBMA-PEG and PBMA-PEG-PBMA, the molecular weight of the PEG units can be between about 500 and 30,000 Daltons, and the molecular weight of the PBMA units can be between about 500 and 30,000 Daltons.

[0050]

The random or block copolymers represented by Formula II can be obtained by common synthetic methods, for example, by radical copolymerization of monomers forming A-, B-, and/or C-units in bulk, solution, suspension, or emulsion with of suitable initiators.

[0051]

For preparing random copolymers, standard radical-polymerization initiators can be used. Examples of suitable initiators include azobis(isobutyronitrile) and 2,2-dimethoxy-2-phenol acetophenone. Optionally, the photosensitizer, benzophenone, can be added to 2,2-dimethoxy-2-phenol acetophenone.

[0052]

Living, free-radical copolymerization followed by initiation-transfer-agent termination of the living polymer chains (the inferter process) can yield inventive block copolymers. The inferter process uses an initiator that exhibits thermal photolytic free-radical decomposition. Examples of these initiators are benzyl-N,N-diethyldithiocarbamate (BDC) or p-xylylene-N,N-diethyldithiocarbamate (XDC). BDC is a toluene derivative and has the formula shown in Formula III:

[0053]

XDC is a p-xylene derivative and has the formula shown in Formula IV:

[0054]

BDC or XDC initiators can be synthesized by combining sodium N,N-diethyldithiocarbamate with benzyl bromide in an anhydrous methanol solution. Some embodiments use an equimolar or substantially equimolar ratio. The mixture can be stirred for about 24 hours at about room temperature to yield BDC solution. The solution can be removed by evaporating methanol at a reduced pressure or by vacuum distillation. The synthesis of XDC is similar, except, α,α-dibromo-p-xylene replaces benzyl bromide, and the molar ratio between sodium N,N-diethyldithiocarbamate and α,α-dibromo-p-xylene can rise to about 1:2.3. This yields XDC, which can be purified by recrystallization in methanol.

Optional Component

[0055]

In some embodiments, other polymers can be added to composition. This can be in a form of a simple blend or a linking, conjugation or bonding process. Representative examples include poly(ethylene-co-vinyl alcohol), poly(hydroxyvalerate), poly(L-lactic acid), polycaprolactone, poly(lactide-co-glycolide), poly(hydroxybutyrate), poly(hydroxybutyrate-co-valerate), polydioxanone, polyorthoester, polyanhydride, poly(glycolic acid), poly(D,L-lactic acid), poly(glycolic acid-co-trimethylene carbonate), poly(glycerol-sebacate), polyphosphoester, polyphosphoester urethane; poly(amino acids), cyanoacrylates, poly(trimethylene carbonate), poly(iminocarbonate), copoly(ether-esters) (e.g. PEO/PLA), polyalkylene oxalates, polyphosphazenes, biomolecules (such as fibrin, fibrinogen, cellulose, starch, collagen and hyaluronic acid), polyurethanes, silicones, polyesters, polyolefins, polyisobutylene and ethylene-alphaolefin copolymers, vinyl halide polymers and copolymers (such as polyvinyl chloride), polyvinyl ethers (such as polyvinyl methyl ether), polyvinylidene halides (such as polyvinylidene fluoride and polyvinylidene chloride), polyacrylonitrile, polyvinyl ketones, polyvinyl aromatics (such as polystyrene), polyvinyl esters (such as polyvinyl acetate), copolymers of vinyl monomers with each other and olefins (such as ethylene-methyl methacrylate copolymers, acrylonitrile-styrene copolymers, ABS resins, and ethylene-vinyl acetate copolymers), polyamides (such as Nylon 66 and polycaprolactam), alkyd resins, other polycarbonates, polyoxymethylenes, polyimides, polyethers, epoxy resins, other polyurethanes, rayon, rayon-triacetate, cellulose, cellulose acetate, cellulose butyrate, cellulose acetate butyrate, cellophane, cellulose nitrate, cellulose propionate, cellulose ethers, soluble fluorinated polymers and carboxymethyl cellulose.

[0056]

In addition to or in lieu of another polymer, a drug or therapeutic agent can serve as the optional component. The therapeutic agent can include any substance capable of exerting a therapeutic, diagnostic or prophylactic effect for a patient. The therapeutic agent may include small molecules, peptides, proteins, oligonucleotides, and the like. The therapeutic agent could be designed, for example, to inhibit the vascular-smooth-muscle-cell activity. It can inhibit abnormal or inappropriate migration or proliferation of smooth muscle cells. Examples of therapeutic substances that can be used include antiproliferative substances such as actinomycin D, or derivatives and analogs thereof (manufactured by Sigma-Aldrich of Milwaukee, Wis., or COSMEGEN available from Merck). Synonyms of actinomycin D include actinomycin, actinomycin IV, actinomycin I1, actinomycin X1, and actinomycin C1. The active agent can also fall under the genus of antineoplastic, antiinflammatory, antiplatelet, anticoagulant, antifibrin, antithrombin, antimitotic, antibiotic, antiallergic and antioxidant substances. Examples of such antineoplastics and/or antimitotics include paclitaxel (e.g. TAXOL® by Bristol-Myers Squibb Co., Stamford, Conn.), docetaxel (e.g. Taxotere®, from Aventis S.A., Frankfurt, Germany), methotrexate, azathioprine, vincristine, vinblastine, fluorouracil, doxorubicin hydrochloride (e.g. Adriamycin® from Pharmacia & Upjohn, Peapack N.J.), and mitomycin (e.g. Mutamycing from Bristol-Myers Squibb Co., Stamford, Conn.). Examples of antiplatelets, anticoagulants, antifibrin, and antithrombins include sodium heparin, low molecular weight heparins, heparinoids, hirudin, argatroban, forskolin, vapiprost, prostacyclin and prostacyclin analogues, dextran, D-phe-pro-arg-chloromethylketone (synthetic antithrombin), dipyridamole, glycoprotein IIb/IIIa platelet membrane receptor antagonist antibody, recombinant hirudin, and thrombin inhibitors such as ANGIOMAX (Biogen, Inc., Cambridge, Mass.). Examples of cytostatic or antiproliferative agents include angiopeptin, angiotensin converting enzyme inhibitors such as captopril (e.g. Capoten® and Capozide® from Bristol-Myers Squibb Co., Stamford, Conn.), cilazapril or lisinopril (e.g. Prinivil® and Prinzide® from Merck & Co., Inc., Whitehouse Station, N.J.), calcium channel blockers (such as nifedipine), colchicine, fibroblast growth factor (FGF) antagonists, fish oil (omega 3-fatty acid), histamine antagonists, lovastatin (an inhibitor of HMG-CoA reductase, a cholesterol lowering drug, brand name Mevacor® from Merck & Co., Inc., Whitehouse Station, N.J.), monoclonal antibodies (such as those specific for Platelet-Derived Growth Factor (PDGF) receptors), nitroprusside, phosphodiesterase inhibitors, prostaglandin inhibitors, suramin, serotonin blockers, steroids, thioprotease inhibitors, triazolopyrimidine (a PDGF antagonist), and nitric oxide. An example of an antiallergic agent is permirolast potassium. Other therapeutic substances or agents which may be appropriate include alpha-interferon, genetically engineered epithelial cells, tacrolimus, dexamethasone, and rapamycin and structural derivatives or functional analogs thereof, such as 40-O-(2-hydroxy)ethyl-rapamycin (known by the trade name of EVEROLIMUS available from Novartis), 40-O-(3-hydroxy)propyl-rapamycin, 40-O-[2-(2-hydroxy)ethoxy]ethyl-rapamycin, and 40-O-tetrazole-rapamycin.

Medial Device Application

[0057]

A medical device can be made from the composition or coated with the composition. The device can include any medical device, preferably implantable medical devices such as catheters, balloons, guidewires, stents, grafts, stent-grafts, intra-ocular lenses, artificial heart valves, cerebrospinal fluid shunts, pacemaker electrodes, and endocardial leads. The underlying structure of the device can be of virtually any design. The device can be made of a metallic material or an alloy such as, but not limited to, cobalt chromium alloy (ELGILOY), stainless steel (316L), “MP35N,” “MP20N,” ELASTINITE (Nitinol), tantalum, nickel-titanium alloy, platinum-iridium alloy, gold, magnesium, or mixtures thereof. “MP35N” and “MP20N” are trade names for alloys of cobalt, nickel, chromium and molybdenum available from Standard Press Steel Co. of Jenkintown, Pa. “MP35N” consists of 35% cobalt, 35% nickel, 20% chromium, and 10% molybdenum. “MP20N” consists of 50% cobalt, 20% nickel, 20% chromium, and 10% molybdenum. Devices made from bioabsorbable or biostable polymers could also be used with the embodiments of the present invention. In one example, the device is a bioabsorbable or erodable stent.

Stents

[0058]

The embodiments of the present invention can be used as a coating for a stent. The stent can include a primer layer; a drug-polymer layer (also referred to as “reservoir” or “reservoir layer”) or alternatively a polymer-free drug layer; a topcoat layer; and a finishing coat layer. The top coat layer or the primer layer can be free from any drugs. Some drugs may migrate into these layers during or subsequent to the manufacturing process. Any one or combination of the coating layers can be formed on the stent by dissolving the composition of the present invention in a solvent, or a solvent mixture, and applying the solution to the stent by spraying or immersion. The removal of the solvent can produce a dry coating. Elevating the temperature can accelerate drying. The complete coating can be annealed between about 40 and about 150° C. for about 5 to about 60 minutes, if desired, to improve the coating's thermal stability. To incorporate a drug into the reservoir layer, the drug can be combined with the polymer solution.

[0059]

A stent having the above-described coating is useful for a variety of medical procedures, including, by way of example, treatment of obstructions caused by tumors in bile ducts, esophagus, trachea/bronchi and other biological passageways. A stent having the above-described coating is particularly useful for treating occluded regions of blood vessels caused by abnormal or inappropriate migration and proliferation of smooth muscle cells, thrombosis, and restenosis. Stents may be placed in a wide array of blood vessels, both arteries and veins. Representative examples of sites include the iliac, renal, and coronary arteries.

[0060]

The compositions of the invention can be used for the treatment of a variety of disorder in mammals including atherosclerosis, thrombosis, restenosis, hemorrhage, vascular dissection or perforation, vascular aneurysm, vulnerable plaque, chronic total occlusion, claudication, anastomotic proliferation for vein and artificial grafts, bile duct obstruction, ureter obstruction, tumor obstruction, cancer as well as other disorders.

[0061]

Embodiments of the present invention are further illustrated by the following examples. Throughout the examples section and throughout the specification and claims, for economy of language “solvent” means pure solvents and systems of mixtures of solvents.

EXAMPLE 1

Synthesis of a Random Copolymer

[0062]

A solution comprising a blend of monomers, a thermal initiator, and a solvent can be prepared by thoroughly mixing the following components:

    • (a) about 25 mass % of a first monomer, methylmethacrylate (MMA);
    • (b) about 19 mass % of a second monomer, n-butylmethacrylate (BMA);
    • (c) about 8 mass % of a third monomer, poly(ethylene glycol)-methacrylate (PEGMA), where PEG can have weight-average molecular weight of about 6,000;
    • (d) between about 0.5 mass % and about 3.0 mass %, for example, about 1.5 mass % of a thermal initiator, azobis-iso-butyronitrile (AIBN); and
    • (e) the balance of a solvent such as benzene.

[0068]

AIBN is an example of a useful thermal initiator. Those having ordinary skill in the art know of others, for example, peroxide-type initiators, as well.

[0069]

Thermal radical copolymerization can be carried between about 50 and about 60° C. for an amount of time, for example, for about 2 hours. The process can be carried out in an inert atmosphere, such as that created by bubbling an inert gas such as nitrogen or argon through the solution for about 30 minutes. At 50-60° C., AIBN decomposes, releasing nitrogen and generating free radicals.

[0070]

These free radicals then react with MMA, BMA, and PEGMA that are present in the blend, initiating and propagating radical copolymerization, yielding a random copolymer, poly(methyl methacrylate-co-n-butyl methacrylate-co-poly(ethylene glycol)-methacrylate) or P(MMA-BMA-PEGMA). One possible structure of P(MMA-BMA-PEGMA) is shown by Formula V:

[0071]

Optionally, P(MMA-BMA-PEGMA) can be obtained with a UV-initiated process. To conduct this process, a solution comprising a blend of BMA, MMA and PEGMA in benzene can be prepared, as described above. A photoinitiator, e.g., 2,2-dimethoxy-2-phenol acetophenone, can be dissolved in the solution instead of AIBN. The amount of 2,2-dimethoxy-2-phenol acetophenone can be the same as described above. The solution can then be exposed to UV radiation at a wavelength of 360 nm while being stirred yielding P(MMA-BMA-PEGMA), Formula V.

EXAMPLE 2

Synthesis of an ABA-Block Copolymer

[0072]

As a first step, n-butylmethacrylate (BMA) can be dissolved in 2-butanone and an initiator, XDC, can be added. Component amounts are summarized in Table 2.

Amount
No.Componentmmolg
1BMA140.70019.98
22-butanone59.41
3XDC 0.2870.1151

[0073]

The solution of BMA and XDC in 2-butanone can be placed into a borosilicate vial, purged with dry nitrogen for about 30 minutes, and the vial can be sealed. The contents can be UV irradiated at a wavelength of about 310 and about 400 nm, for about 12 hours. The vial can then be opened, and the contents can be added dropwise to ethanol −76° C. As a result, poly(butylmethacrylate)-XDC adduct (PBMA-XDC) can be precipitated, collected, and vacuum dried using a vacuum funnel.

[0074]

Next, PBMA-XDC can be combined with acryloyl poly(ethylene glycol) (acryloyl-PEG) and 2-butanone in the amounts shown in Table 3.

Amount
No.Componentmmolg
1PBMA-XDC0.00641.00
22-butanone12.40
3Acryloyl-PEG0.625 0.25

[0075]

Acryloyl-PEG is a PEG esterification product of acrylic acid and has a Formula VI:

[0076]

A low molecular weight acryloyl-PEG oligomer, with a number-average molecular weight (Mn) or about 375, can be used. This corresponds to a value of x in Formula VI of about 7. The blend of PBMA-XDC, acryloyl-PEG and 2-butanone can be UV irradiated at a wavelength of about 310 to about 400 nm, for about 12 hours. The vial can then be opened, and the contents can be added dropwise to water and vigorously stirred at about 70° C. for about 2 hours, evaporating the 2-butanone and suspending the poly(acryloyl-PEG)-block-n-butylmethacrylate-block-acryloyl-PEG)-XDC. The suspension can be cooled to room temperature, and the precipitate can be collected and vacuum dried using a vacuum funnel. The adduct is then hydrolyzed in the presence of a strong base to remove XDC. As a result, poly(acryloyl-PEG-block-n-butylmethacrylate-block-acryloyl-PEG) (PEG-PBMA-PEG), which is a ABA-block copolymer having Formula VII, can be precipitated.

EXAMPLE 3

Synthesis of an AB Block Copolymer

[0077]

First, a PBMA-XDC adduct can be obtained from Example 2. Second, PBMA-XDC can be combined with acryloyl poly(ethylene glycol) (acryloyl-PEG) and 2-butanone in the amounts shown in Table 4.

Amount
No.Componentmmolg
1PBMA-XDC0.00320.50
22-butanone12.40
3Acryloyl-PEG0.625 0.25

[0078]

A low-molecular-weight acryloyl-PEG oligomer, with a number-average molecular weight (Mn) of about 375, can be used. This corresponds to a value of x in Formula VII of about 7. The blend of PBMA-XDC, acryloyl-PEG and 2-butanone can be UV radiated at a wavelength of about 310 to about 400 nm, for about 12 hours. The vial can then be opened, and the contents can be added dropwise to water and vigorously stirred at a about 70° C. for about 2 hours, evaporating the 2-butanone and suspending the poly(n-butylmethacrylate-block-acryloyl-PEG)-XDC. The suspension can be cooled to room temperature and the precipitate can be collected and vacuum-dried. The adduct is then hydrolyzed in the presence of a strong base to remove XDC, yielding poly(n-butylmethacrylate-block-acryloyl-PEG) (PBMA-PEG), which is an AB-block copolymer having Formula VIII.

EXAMPLE 4

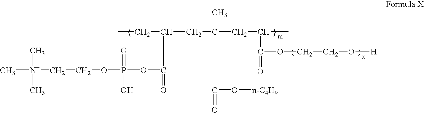
Synthesis of a Copolymer Containing Phosphoryl Choline Moiety

[0079]

Equimolar amounts of n-butyl methacrylate (BMA), acryloyl-PEG, and acryloyl-phosphoryl choline can be mixed and dissolved in 2-butanone. Phosphoryl choline is also known as N,N,N-trimethyl-2-aminoethyl phosphonate. Acryloyl-phosphoryl cho-line is an acrylic derivative of phosphoryl choline having the Formula IX:

[0080]

A low molecular weight acryloyl-PEG oligomer, with a number-average molecular weight (Mn) of about 375, can be used. This corresponds to a value of x in Formula X of about 7. The blend of BMA, acryloyl-PEG, acryloyl-phosphoryl choline and 2-butanone can be UV radiated at a wavelength of about 310 to about 400 nm, for about 12 hours. The vial can then be opened, and the contents can be added dropwise to water and vigorously stirred at a about 70° C. for about 2 hours, evaporating the 2-butanone and suspending the poly(n-butylmethacrylate-co-acryloyl-PEG-co-acryloyl-phosphoryl choline). The suspension can be cooled to the room temperature, and the precipitate can be collected and vacuum dried. As a result, poly(n-butylmethacrylate-co-acryloyl-PEG-co-acryloyl-phosphoryl choline) (PBMA-PEG-PC), can be obtained. One possible structure for PBMA-PEG-PC is shown by Formula X:

EXAMPLE 5

[0081]

A first composition can be prepared by mixing the following components:

    • (a) about 2.0 mass % PBMA; and
    • (b) the balance, a solvent blend of acetone and cyclohexanone in a mass ratio of about 7:3.

[0084]

The first composition can be sprayed onto the surface of a bare 13 mm TETRA stent (available from Guidant Corporation), and dried to form a primer layer. A spray coater can be used having a 0.014 fan nozzle maintained at about 60° C. with a feed pressure of about 0.2 atm (about 3 psi) and an atomization pressure of about 1.3 atm (about 20 psi). The primer layer can be baked at about 80° C. for about 30 minutes, yielding a dry primer layer. The dry primer layer can contain about 60 μg of PBMA.

[0085]

A second composition can be prepared by mixing the following components:

    • (a) about 1.5 mass % PBMA;
    • (b) about 0.5 mass % PBMA-PEG block copolymer obtained as described in Example 3;
    • (c) about 1.0 mass % EVEROLIMUS; and
    • (d) the balance, DMAC as the solvent (alternatively, cyclohexanone can be used as the solvent).

[0090]

Overall, the second composition can contain about 600 μg of the mixture. It composition can be applied onto the dried primer layer to form a reservoir layer, using the primer layer's spraying techniques and equipment. This is followed by drying, e.g., by baking at about 50° C. for about 2 hours, yielding a dry reservoir layer.

[0091]

A third composition can be prepared by mixing the following components:

    • (a) about 2.0 mass % the PBMA-PEG block-polymer described in Example 3; and
    • (b) the balance, DMAC as the solvent (alternatively, cyclohexanone can be used as the solvent).

[0094]

The third composition can be applied onto the dried reservoir layer to form a topcoat layer using the same spraying technique and equipment used for applying the primer layer and the reservoir layer. The wet topcoat layer can be dried and baked at about 50° C. for about 2 hours. The dry topcoat layer can contain about 200 μg of the PBMA-PEG block-polymer.

EXAMPLE 6

[0095]

A primer layer can be fabricated as described in Example 5.

[0096]

A first composition can be prepared by mixing the following components:

    • (a) about 1.5 mass % PBMA;
    • (b) about 0.5 mass % PBMA-PEG block copolymer obtained as described in Example 3;
    • (c) about 0.05 mass % PEG having molecular weight between about 4,000 and about 100,000 Daltons; (up to 0.06 mass % of this PEG can be used in this example)
    • (d) about 1.0 mass % EVEROLIMUS; and
    • (e) the balance, DMAC as the solvent (alternatively, cyclohexanone can be used as the solvent).

[0102]

Overall, the second composition can contain about 600 μg of the mixture. It can be applied onto the dried primer layer to form the reservoir layer as described in Example 5.

[0103]

A third composition can be prepared by mixing the following components:

    • (a) about 2.0 mass % the PBMA-PEG block-polymer described in Example 3; and
    • (b) the balance, DMAC as the solvent (alternatively, cyclohexanone can be used as the solvent).

[0106]

The third composition can be applied onto the dried reservoir layer to form a topcoat layer as described in Example 5.

EXAMPLE 7

[0107]

A primer layer can be fabricated as described in Example 5.

[0108]

A first composition can be prepared by mixing the following components:

    • (a) about 1.5 mass % PBMA;
    • (b) about 0.5 mass % PBMA-PEG block copolymer obtained as described in Example 3;
    • (c) about 0.05 mass % PEG having molecular weight between about 4,000 and about 100,000 Daltons; (up to 0.06 mass % of this PEG can be used in this example)
    • (d) about 0.06 mass % Na heparin; (up to 2.5 mass % Na heparin)
    • (e) about 1.0 mass % EVEROLIMUS; and
    • (f) the balance, DMAC as the solvent (alternatively, cyclohexanone can be used as the solvent).

[0115]

Overall, the second composition can contain a about 600 μg of the mixture. When Na heparin is used, the composition is not necessarily a solution because Na heparin is not completely soluble in the solvent. It can be applied onto the dried primer layer to form the reservoir layer as described in Example 5.

[0116]

A third composition can be prepared by mixing the following components:

    • (a) about 2.0 mass % the PBMA-PEG block-polymer described in Example 3; and
    • (b) the balance, DMAC as the solvent (alternatively, cyclohexanone can be used as the solvent).

[0119]

The third composition can be applied onto the dried reservoir layer to form a topcoat layer as described in Example 5.

EXAMPLE 8

[0120]

A primer layer can be fabricated as described in Example 5.

[0121]

A first composition can be prepared by mixing the following components:

    • (a) about 1.5 mass % PBMA;
    • (b) about 0.5 mass % PBMA-PEG block copolymer obtained as described in Example 3;
    • (c) about 0.05 mass % PEG having molecular weight between about 4,000 and about 100,000 Daltons; (up to 0.06 mass % of this PEG can be used in this example)
    • (d) about 0.06 mass % hydrophobic quaternized heparin; (up to 2.5 mass % hydrophobic quaternized heparin)
    • (e) about 1.0 mass % EVEROLIMUS; and
    • (f) the balance, DMAC as the solvent (alternatively, cyclohexanone can be used as the solvent).

[0128]

Overall, the second composition can contain a about 600 μg of the mixture. It can be applied onto the dried primer layer to form the reservoir layer as described in Example 5.

[0129]

A third composition can be prepared by mixing the following components:

    • (a) about 2.0 mass % the PBMA-PEG block-polymer described in Example 3; and
    • (b) the balance, DMAC as the solvent (alternatively, cyclohexanone can be used as the solvent).

[0132]

The third composition can be applied onto the dried reservoir layer to form a topcoat layer as described in Example 5.

EXAMPLE 9

[0133]

A primer layer and a reservoir layer can be fabricated as described in Example 5.

[0134]

A composition can be prepared by mixing the following components:

    • (a) about 2.0 mass % POLYACTIVE copolymer; and
    • (b) the balance, a solvent blend of 1,1,2-tricloroethane and chloroform in a mass ratio between 1,1,2-tricloroethane and chloroform of about 4:1.

[0137]

POLYACTIVE is a trade name of a family of poly(ethylene glycol)-block-poly(butyleneterephthalate)-block poly(ethylene glycol) copolymers (PEG-PBT-PEG) and is available from IsoTis Corp. of Holland. The grade of POLYACTIVE that can be used can have about 45 molar % units derived from PBT and about 55 molar % units derived from PEG. The molecular weight of the PEG units can be about 300 Daltons. The overall weight-average molecular weight (Mw) of POLYACTIVE can be between about 75,000 Daltons and about 125,000 Daltons.

[0138]

The composition can be applied onto the dried reservoir layer to form a topcoat layer as described in Example 5.

[0139]

While particular embodiments of the present invention have been shown and described, it will be obvious to those skilled in the art that changes and modifications can be made without departing from this invention in its broader aspects. Therefore, the appended claims are to encompass within their scope all such changes and modifications as fall within the true spirit and scope of this invention.

Как компенсировать расходы
на инновационную разработку
Похожие патенты