заявка
№ US 20050101638
МПК A61K31/4439

Combination of organic compounds

Авторы:
Randy Webb
Номер заявки
11014141
Дата подачи заявки
16.12.2004
Опубликовано
12.05.2005
Страна
US
Как управлять
интеллектуальной собственностью
Реферат

[0000]

The invention relates to a combination, such as a combined preparation or pharmaceutical composition, respectively, comprising the renin inhibitor of formula (I) or a pharmaceutically acceptable salt thereof and at least one antidiabetic agent.

Формула изобретения

1 A pharmaceutical composition comprising the renin inhibitor of formula (I)

or a pharmaceutically acceptable salt thereof and at least one antidiabetic agent.

2 A composition according to claim 1 wherein the antidiabetic agent is selected from the group consisting of an insulin secretion enhancer or a pharmaceutically acceptable salt thereof and an insulin sensitizer, or a pharmaceutically acceptable salt thereof.

3 A composition according to claim 2, wherein the insulin secretion enhancer is selected from the group consisting of a sulfonylurea, nateglinide; repaglinide; mitiglinide; a DPP-IV inhibitor; GLP1; and a GLP1 agonist.

4 A composition of claim 3 wherein the insulin secretion enhancer is nateglinide.

5 A composition according to claim 2 wherein an insulin sensitizer is selected from the group consisting of metformin or a pharmaceutically acceptable salt thereof and an appropriate hypoglycemic thiazolidinedione derivative.

6 A composition according to claim 1 comprising the renin inhibitor of formula (I) and or a pharmaceutically acceptable salt thereof and at least one antidiabetic agent selected from the group consisting of nateglinide, repaglinide, metformin, the compound that is specifically disclosed in Example 3 of WO 98/19998, the compound that is specifically disclosed in Example 1 of WO 00/34241, pioglitazone, and rosiglitazone, in each case in free form or in form of a pharmaceutically acceptable salt thereof.

7. (cancel)

Описание

[0001]

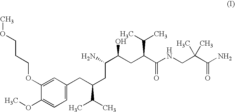
The invention relates to a combination, such as a combined preparation or pharmaceutical composition, respectively, comprising the renin inhibitor of formula (I)
or a pharmaceutically acceptable salt thereof and at least one antidiabetic agent.

[0002]

The renin inhibitor of formula (I), chemically defined as 2(S),4(S),5(S),7(S)-N-(3-amino-2,2-dimethyl-3-oxopropyl)-2,7-di(1-methylethyl)-4-hydroxy-5-amino-8-[4-methoxy-3-(3-methoxy-propoxy)phenyl]-octanamide, is specifically disclosed in EP 678503 A. Especially preferred is the hemi-fumarate salt thereof.

[0003]

The term “at least one therapeutic agent” shall mean that in addition to the compound of formula (I) one or more, for example two, furthermore three, active ingredients as specified according to the present invention can be combined.

[0004]

An antidiabetic agent according to the present invention is (a) an insulin secretion enhancer or a pharmaceutically acceptable salt thereof or (b) an insulin sensitizer, or a pharmaceutically acceptable salt thereof.

[0005]

Insulin secretion enhancers are active ingredients that have the property to promote the secretion of insulin from pancreatic β-cells. Examples of insulin secretion enhancers are sulfonylureas (SU), especially those which promote the secretion of insulin from pancreatic β-cells by transmitting signals of insulin secretion via SU receptors in the cell membrane, including (but are not limited to) tolbutamide; chlorpropamide; tolazamide; acetohexamide; 4-chloro-N-[(1-pyrolidinylamino)carbonyl]-benzensulfonamide (glycopyramide); glibenclamide (glyburide); gliclazide; 1-butyl-3-metanilylurea; carbutamide; glibonuride; glipizide; gliquidone; glisoxepid; glybuthiazole; glibuzole; glyhexamide; glymidine; glypinamide; phenbutamide; and tolylcyclamide, or a pharmaceutically acceptable salt thereof.

[0006]

Insulin secretion enhancers furthermore include short-acting insulin secretion enhancers, such as the new phenylalanine derivative nateglinide [N-(trans-4-isopropylcyclohexyl-carbonyl)-D-phenylalanine] (cf. EP 196222 and EP 526171) of the formula
repaglinide [(S)-2-ethoxy-4-{2-[[3-methyl-1-[2-(1-piperidinyl)phenyl]butyl]amino]-2-oxoethyl}benzoic acid—cf. EP 589874]; calcium (2S)-2-benzyl-3-(cis-hexahydro-2-isoindolinlycarbonyl)-propionate dihydrate (mitiglinide—cf. EP 507534); furthermore representatives of the new generation of SUs such as glimepiride (cf. EP 31058); and in free or pharmaceutically acceptable salt form.

[0007]

Insulin secretion enhancers likewise include the long-acting insulin secretion enhancer DPP-IV inhibitors, GLP1 and GLP1 agonists.

[0008]

DPP-IV is responsible for inactivating GLP-1. More particularly, DPP-IV generates a GLP-1 receptor antagonist and thereby shortens the physiological response to GLP-1. GLP-1 is a major stimulator of pancreatic insulin secretion and has direct beneficial effects on glucose disposal.

[0009]

The DPP-IV inhibitor can be peptidic or, preferably, non-peptidic. DPP-IV inhibitors are in each case generically and specifically disclosed e.g. in WO 98/19998, DE 196 16 486 A1 (especially P32/98), WO 00/34241 and WO 95/15309, in each case in particular in the compound claims and the final products of the working examples, the subject-matter of the final products, the pharmaceutical preparations and the claims are hereby incorporated into the present application by reference to these publications. Preferred are those compounds that are specifically disclosed in Example 3 of WO 98/19998 and Example 1 of WO 00/34241, respectively.

[0010]

GLP-1 is an insulinotropic protein which was described, e.g., by W. E. Schmidt et al. in Diabetologia 28, 1985, 704-707 and in U.S. Pat. No. 5,705,483.

[0011]

The term “GLP-1 agonists” used herein means variants and analogs of GLP-1(7-36)NH2 which are disclosed in particular in U.S. Pat. No. 5,120,712, U.S. Pat. No. 5,118,666, U.S. Pat. No. 5,512,549, WO 91/11457 and by C. Orskov et al in J. Biol. Chem. 264 (1989) 12826. The term “GLP-1 agonists” comprises especially compounds like GLP-1 (7-37), in which compound the carboxy-terminal amide functionality of Arg36 is displaced with Gly at the37th position of the GLP-1(7-36)NH2 molecule and variants and analogs thereof including GLN9-GLP-1(7-37), D-GLN9-GLP-1(7-37), acetyl LYS9-GLP-1(7-37), LYS18-GLP-1(7-37) and, in particular, GLP-1(7-37)OH, VAL8-GLP-1(7-37), GLY8-GLP-1(7-37), THR8-GLP-1(7-37), MET8-GLP-1(7-37) and 4-imidazopropionyl-GLP-1. Special preference is also given to the GLP agonist analog exendin-4, described by Greig et al in Diabetologia 1999, 42, 45-50.

[0012]

A preferred insulin secretion enhancer is repaglinide, most preferred is nateglinide.

[0013]

The term nateglinide likewise comprises crystal modifications such as disclosed in EP 0526171 B1 or U.S. Pat. No. 5,488,510, respectively, the subject matter of which, especially with respect to the identification, manufacture and characterization of crystal modifications, is herewith incorporated by reference to this application, especially the subject matter of claims 8 to 10 (being directed to the H-form crystal modification) as well as the corresponding references to the B-form crystal modification.

[0014]

The structure of the active agents identified by generic or tradenames may be taken from the actual edition of the standard compendium “The Merck Index” or from databases, e.g. Patents International (e.g. IMS World Publications). The corresponding content thereof is hereby incorporated by reference. Any person skilled in the art is fully enabled to identify the active agents and, based on these references, likewise enabled to manufacture and test the pharmaceutical indications and properties in standard test models, both in vitro and in vivo.

[0015]

The term “short-acting insulin secretion enhancer” comprises corresponding agents with a maximum secretion of insulin that is attained within one hour, preferably within 30 minutes, after the administration of the agent, most preferably within 20 minutes having a biological half-life, T ½, of less than two hours, preferably, 1.5 hours. The term long-acting insulin secretion enhancer” comprises corresponding agents with a maximum secretion of insulin that is attained more than one hour after administration of the agent.

[0016]

A preferred insulin sensitizer is metformin or a pharmaceutically acceptable salt thereof such as the mono-hydrochloride.

[0017]

An appropriate insulin sensitivity enhancer is, for example, an peroxisome proliferator-activated receptor gamma activator, e.g. an appropriate hypogly cemic thiazolidinedione derivative (glitazone).

[0018]

An appropriate glitazone is, for example, (S)-((3,4-dihydro-2-(phenyl-methyl)-2H-1-benzopyran-6-yl)methyl-thiazolidine-2,4-dione (englitazone), 5-{[4-(3-(5-methyl-2-phenyl-4-oxazolyl)-1-oxopropyl)-phenyl]-methyl}-thiazolidine-2,4-dione (darglitazone), 5-{[4-(1-methyl-cyclohexyl)methoxy)-phenyl]methyl}-thiazolidine-2,4-dione (ciglitazone), 5-{[4-(2-(1-indolyl)ethoxy)phenyl]methyl}-thiazolidine-2,4-dione (DRF2189), 5-{4-[2-(5-methyl-2-phenyl-4-oxazolyl)-ethoxy)]benzyl}-thiazolidine-2,4-dione (BM-13.1246), 5-(2-naphthylsulfonyl)-thiazolidine-2,4-dione (AY-31637), bis{4-[(2,4-dioxo-5-thiazolidinyl)methyl]phenyl}methane (YM268), 5-{4-[2-(5-methyl-2-phenyl-4-oxazolyl)-2-hydroxyethoxy]benzyl}-thiazolidine-2,4-dione (AD-5075), 5-[4-(1-phenyl-1-cyclopropanecarbonylamino)-benzyl]-thiazolidine-2,4-dione (DN-108) 5-{[4-(2-(2,3-dihydroindol-1-yl)ethoxy)phenyl]methyl}-thiazolidine-2,4-dione, 5-[3-(4-chloro-phenyl])-2-propynyl]-5-phenylsulfonyl)thiazolidine-2,4-dione, 5-[3-(4-chlorophenyl])-2-propynyl]-5-(4-fluorophenyl-sulfonyl)thiazolidine-2,4-dione, 5-{[4-(2-(methyl-2-pyridinyl-amino)-ethoxy)phenyl]methyl}-thiazolidine-2,4-dione (rosiglitazone), 5-{[4-(2-(5-ethyl-2-pyridyl)ethoxy)phenyl]-methyl}thiazolidine-2,4-dione (pioglitazone), 5-{[4-((3,4-dihydro-6-hydroxy-2,5,7,8-tetramethyl-2H-1-benzopyran-2-yl)methoxy)-phenyl]-methyl}-thiazolidine-2,4-dione (troglitazone), 5-[6-(2-fluoro-benzyloxy)naphthalen-2-ylmethyl]-thiazolidine-2,4-dione (MCC555), 5-{[2-(2-naphthyl)-benzoxazol-5-yl]-methyl}thiazolidine-2,4-dione (T-174) and 5-(2,4-dioxothiazolidin-5-ylmethyl)-2-methoxy-N-(4-trifluoromethyl-benzyl)benzamide (KRP297). Preferred are pioglitazone, rosiglitazone and troglitazone.

[0019]

The corresponding active ingredients or a pharmaceutically acceptable salts thereof may also be used in form of a solvate, such as a hydrate or including other solvents, used for crystallization.

[0020]

The compounds to be combined can be present as pharmaceutically acceptable salts. If these compounds have, for example, at least one basic center, they can form acid addition salts. Corresponding acid addition salts can also be formed having, if desired, an additionally present basic center. The compounds having an acid group (for example COOH) can also form salts with bases.

[0021]

The pharmaceutical activities as effected by administration of the renin inhibitor of formula (I) or of the combination of the active agents used according to the present invention can be demonstrated e.g. by using corresponding pharmacological models known in the pertinent art. The person skilled in the pertinent art is fully enabled to select a relevant animal test model to prove the hereinbefore and hereinafter indicated therapeutic indications and beneficial effects.

[0022]

To evaluate the antihypertensive activity of the combination according to the invention, for example, the methodology as described by Lovenberg W: Animal models for hypertension research. Prog. Clin. Biol. Res. 1987, 229, 225-240 may be applied. For the evaluation that the combination according to the present invention may be used for the treatment of congestive heart failure, for example, the methods as disclosed by Smith H J, Nuttall A: Experimental models of heart failure. Cardiovasc Res 1985, 19, 181-186 may be applied. Molecular approaches such as transgenic methods are also described, for example by Luft et al.: Hypertension-induced end-organ damage. “A new transgemic approach for an old problem.” Hypertension 1999, 33, 212-218.

[0023]

The insulin secretion enhancing properties of the combination according to the present invention may be determined by following the methodology as disclosed, for example, in the publication of T. Ikenoue et al. Biol.Pharm.Bull. 29(4), 354-359 (1997).

[0024]

The simultaneous evaluation of the cardiovascular actions and of the glucose utilization effects of the agents given alone or in combination can be performed using models such as the Zucker fatty rat as described in the publication of Nawano et al., Metabolism 48: 1248-1255, 1999. Also, studies using diabetic spontaneously hypertensive rats are described in the publication of Sato et al., Metabolism 45:457-462, 1996.

[0025]

The corresponding subject matter of these four references is herewith incorporated by reference in this specification.

[0026]

The insulin secretion enhancing properties of the combination according to the present invention may be determined by following the methodology as disclosed, for example, in the publication of T. Ikenoue et al. Biol.Pharm.Bull. 29(4), 354-359 (1997).

[0027]

The corresponding subject matter of these four references is herewith incorporated by reference in this specification.

[0028]

Accordingly, the combination according to the present invention may be used, e.g., for the prevention, delay of progression or treatment of diseases and disorders that may be inhibited by the renin inhibitior of formula (I), that may be inhibited by the enhancement of insulin secretion and that may be inhibited by insulin sensitization. Especially, the combination according to the present invention may be used, e.g., for the prevention, delay of progression or treatment of diseases and disorders selected from the group consisting of hypertension, congestive heart failure, diabetes, especially type 2 diabetes mellitus, diabetic retinopathy, macular degeneration, diabetic nephropathy, glomerulosclerosis, chronic renal failure, diabetic neuropathy, syndrome X, premenstrual syndrome, coronary heart disease, angina pectoris, myocardial infarction, stroke, vascular restenosis, hyperglycemia, hyperinsulinaemia, hyperlipidaemia, hypertryglyceridemia, insulin resistance, impaired glucose metabolism, conditions of impaired glucose tolerance (IGT), conditions of impaired fasting plasma glucose, obesity, diabetic retinopathy, macular degeneration, cataracts, diabetic nephropathy, glomerulosclerosis, diabetic neuropathy, erectile dysfunction, premenstrual syndrome, skin and connective tissue disorders, foot ulcerations and ulcerative colitis, endothelial dysfunction and impaired vascular compliance. Preferably, said combination may be used for the treatment of hypertension, especially ISH, congestive heart failure, endothelial dysfunction, impaired vascular compliance, IGT and type II diabetes mellitus.

[0029]

A “disease or condition which may be inhibited by the renin inhibitior of formula (I)” as defined in this application comprises, but is not limited to hypertension, congestive heart failure, diabetes, especially type 2 diabetes mellitus, diabetic retinopathy, macular degeneration, diabetic nephropathy, glomerulosclerosis, renal failure, especially chronic renal failure, diabetic neuropathy, syndrome X, premenstrual syndrome, coronary heart disease, angina pectoris, myocardial infarction, stroke, vascular restenosis, endothelial dysfunction and the like.

[0030]

A “disease or condition which may be inhibited by the enhancement of insulin secretion” as defined in this application comprises, but is not limited to hyperglycemia, hyperinsulinaemia, hyperlipidaemia, hypertryglyceridemia, insulin resistance, impaired glucose metabolism, conditions of impaired glucose tolerance (IGT), impaired glucose metabolism (IGM), conditions of impaired fasting plasma glucose, obesity, diabetic retinopathy, macular degeneration, cataracts, diabetic nephropathy, glomerulosclerosis, diabetic neuropathy, erectile dysfunction, premenstrual syndrome, coronary heart disease, hypertension, angina pectoris, myocardial infarction, stroke, vascular restenosis, skin and connective tissue disorders, foot ulcerations and ulcerative colitis, endothelial dysfunction and impaired vascular compliance.

[0031]

A “disease or condition that may be inhibited by insulin sensitization” as defined in this application comprises, but is not limited to hyperglycemia, hyperinsulinaemia, hyperlipidaemia, hypertryglyceridemia, insulin resistance, impaired glucose metabolism, conditions of impaired glucose tolerance (IGT), conditions of impaired fasting plasma glucose, obesity, diabetic retinopathy, macular degeneration, cataracts, diabetic nephropathy, glomerulosclerosis, diabetic neuropathy, erectile dysfunction, premenstrual syndrome, coronary heart disease, hypertension, angina pectoris, myocardial infarction, stroke, vascular restenosis, skin and connective tissue disorders, foot ulcerations and ulcerative colitis, endothelial dysfunction and impaired vascular compliance.

[0032]

Hypertension, in connection with a “disease or condition which may be inhibited by the renin inhibitior of formula (I)”, a “disease or condition which may be inhibited by the enhancement of insulin secretion”, a “disease or condition that may be inhibited by insulin sensitization” includes and is not limited to mild, moderate and severe hypertension as defined in Journal of Hypertension 1999, 17:151-183, especially on page 162. Especially preferred is “isolated systolic hypertension” (ISH).

[0033]

Preferably, the jointly therapeutically effective amounts of the active agents according to the combination of the present invention can be administered simultaneously or sequentially in any order, e.g. separately or in a fixed combination.

[0034]

Under certain circumstances, drugs with different mechanisms of action may be combined. However, just considering any combination of drugs having different modes of action but acting in the similar field does not necessarily lead to combinations with advantageous effects.

[0035]

All the more surprising is the experimental finding that the combined administration of the renin inhibitor of formula (I) and insulin secretion enhancer and/or an insulin sensitizer, or, in each case, a pharmaceutically acceptable form thereof, results not only in a beneficial, especially a potentiating or a synergistic, therapeutic effect. Independent thereof, additional benefits resulting from combined treatment can be achieved such as a surprising prolongation of efficacy, a broader variety of therapeutic treatment and surprising beneficial effects on diseases and conditions associated with diabetes, e.g. less gain of weight. An additional and preferred aspect of the present invention is the prevention, delay of progression or treatment of the condition of isolated systolic hypertension and impaired vascular compliance which means decreased vascular elasticity.

[0036]

The term “potentiation” shall mean an increase of a corresponding pharmacological activity or therapeutical effect, respectively. Potentiation of one component of the combination according to the present invention by co-administration of another component according to the present invention means that an effect is being achieved that is greater than that achieved with one component alone.

[0037]

The term “synergistic” shall mean that the drugs, when taken together, produce a total joint effect that is greater than the sum of the effects of each drug when taken alone.

[0038]

ISH is the most common form of hypertension in people over 50 years. It is defined as elevated systolic blood pressure (above 140 mm Hg) in conjunction with normal diastolic blood pressure (below 90 mm Hg). Elevated systolic blood pressure is an independent risk factor for cardiovascular diseases and may lead e.g. to myocardial hypertrophy and heart failure. ISH is furthermore characterized by an increased pulse pressure, defined as the difference between systolic and diastolic blood pressures. Elevated pulse pressure is being recognized as the type of hypertension the least likely to be well controlled. A reduction of elevated systolic blood perssure and correspondingly of pulse pressure is associated with a significant risk reduction in cardiovascular death. It has surprisingly been found that the combination of renin inhibitor of formula (I) and an insulin secretion enhancer or an insulin sensitizer leads to a decrease of ISH and pulse rate, both in hypertensive patients having type 2 diabetes mellitus and in hypertensive patients that do not have type 2 diabetes mellitus.

[0039]

Furthermore, it has been found that the chronic co-administration of either an insulin sensitizer or an insulin secretion enhancer imparts the beneficial effect on blood vessel morphology and function and results in a decrease of vascular stiffness and correspondingly in a maintenance and in an improvement of vascular compliance.

[0040]

Accordingly, it has been found that the addition of an insulin sensitizer and/or an insulin secretion enhancer to that of renin inhibitor of formula (I) would potentiate the effect on systolic blood pressure and further improve vascular stiffness/compliance. Conversely, the proven antihypertensive effects of the renin inhibitor of formula (I) on systolic and diastolic blood pressure may be potentiated by the addition of an insulin sensitizer and/or an insulin secretion enhancer. The benefit of these combinations may also extend to an additional or potentiated effect on endothelial function, and improve vascular function and structure in various organs/tissues including the kidney, heart, eye and brain. Through the reduction in glucose levels, an anti-thrombotic and anti-atherosclerotic effect can also be demonstrated. Reduction of glucose would prevent or minimize the glycosylation of any structural or functional protein within the cardio-renal system. This effect proves to be highly beneficial by evoking an additive or synergistic effect on vascular function/structure when administered with the renin inhibitor of formula (I) which alone improves cardiovascular function and structure through a distinct mechanism.

[0041]

Additionally, insulin resistance may contribute, in part, to the development of diabetes, hypertension and atherosclerosis (Fukuda et al., 2001). it is known that angiotensin II impairs insulin signaling (Fukuda et al., 2001) and that interruption of the renin angiotensin system with the use of an ACE inhibitor can partially restore insulin sensitivity (Sato et al., 1996; Nawano et al., 1999). Insulin can produce vasodilatation and lower blood pressure (Baron and Steinberg, 1996). The Zucker fatty rat, an animal model with insulin resistance, has been shown to possess a significantly higher blood pressure (Alonso-Galicia et al., 1996). ACE inhibition lowers blood pressure and improves insulin sensitivity in this model (Nawano et al., 1999). Combined administration of a renin inhibitor with either an insulin sensitizer, an insulin secretion enhancer, a PPAR agonist or with a DPP IV inhibitor will evoke further antihypertensive effects, improve vascular dynamics in hypertensive patients to a greater extent than after administration of either agent given alone. Interestingly, the co-administration of a renin inhibitor and either an insulin sensitizing agent, an insulin secretion enhancer, a DPP IV inhibitor or a PPAR agonist will partially restore insulin sensitivity by preventing renin angiotensin system-induced impairment of insulin signaling pathways while at the same time raise insulin levels and improve glucose utilization. Consequently, combined administration will simultaneously improve both the metabolic and cardiovascular abnormalities, two conditions that often coexist in patients.

[0042]

Further benefits are that lower doses of the individual drugs to be combined according to the present invention can be used to reduce the dosage, for example, that the dosages need not only often be smaller but are also applied less frequently, or can be used in order to diminish the incidence of side effects. This is in accordance with the desires and requirements of the patients to be treated.

[0043]

For example, it has turned out that the combination according to the present invention provides benefit especially in the treatment of modest hypertension or isolated systolic hypertension that is beneficial to all diabetic patients regardless of their hypertensive status, e.g. reducing the risk of negative cardiovascular events by two different modes of action.

[0044]

The renin inhibitor of formula (I) has proven to be also useful in the treatment of type 2 diabetes mellitus beyond the reduction of blood pressure in for example improving microalbuminuria. At sub-therapeutic doses, with respect to the treatment of hypertension, the combination according to the invention may be merely used for the treatment of diabetes, especially type 2 diabetes mellitus. In view of the reduced dose of the renin inhibitor of formula (I), there is a considerable safety profile of the combination making it suitable for first line therapy.

[0045]

The present invention relates to the use of a combination comprising as active ingredients

    • (i) the renin inhibitor of formula (I) or a pharmaceutically acceptable salt thereof;
    • (ii) (a) an insulin secretion enhancer or a pharmaceutically acceptable salt thereof or (b) an insulin sensitizer or a pharmaceutically acceptable salt thereof;
      for the manufacture of a medicament for the prevention, delay of progression or treatment of a disease and disorder which may be inhibited by the renin inhibitor of formula (I) and by the enhancement of insulin secretion, for example, for the prevention, delay of progression or treatment of hypertension, especially modest hypertension, ISH, congestive heart failure, endothelial dysfunction, impaired vascular compliance, IGT and type II diabetes mellitus.

[0048]

The present invention also relates to a method for the prevention, delay of progression or treatment of a disease and disorder which may be inhibited by the renin inhibitor of formula (I) and/or by the enhancement of insulin secretion comprising administering to a warm-blooded animal, including man, in need thereof jointly therapeutically effective amounts of

    • (i) the renin inhibitor of formula (I) or a pharmaceutically acceptable salt thereof;
    • (ii) (a) an insulin secretion enhancer or a pharmaceutically acceptable salt thereof or (b) an insulin sensitizer or a pharmaceutically acceptable salt thereof.

[0051]

The pharmaceutical composition according to the present invention as described hereinbefore and hereinafter may be used for simultaneous use or sequential use in any order, for separate use or as a fixed combination.

[0052]

Preferred are combinations, such as a combined preparations or pharmaceutical compositions, respectively, comprising the renin inhibitor of formula (I) or a pharmaceutically accepted salt thereof and as second active agent an active agent selected from the group consisting of nateglinide, repaglinide, metformin, the compounds that is specifically disclosed in Example 3 of WO 98/19998 or in Example 1 of WO 00/34241, respectively, pioglitazone, and rosiglitazone.

[0053]

The pharmaceutical composition according to the present invention comprises a “kit of parts” in the sense that the components can be dosed independently or by use of different fixed combinations with distinguished amounts of the components at different time points. The parts of the “kit of parts” can then e.g. be administered simultaneously or chronologically staggered, that is at different time points and with equal or different time intervals for any part of the “kit of parts”. Preferably, the time intervals are chosen such that the effect on the treated disease or condition in the combined use of the parts is larger than the effect that would be obtained by use of only any one of the components. Preferably, there is at least one beneficial effect, e.g. a mutual enhancing of the effect of

    • (i) the renin inhibitor of formula (I) or a pharmaceutically acceptable salt thereof;
    • (ii) (a) an insulin secretion enhancer or a pharmaceutically acceptable salt thereof or (b) an insulin sensitizer or a pharmaceutically acceptable salt thereof;
      in particular a potentiation or a synergism, e.g. a more than additive effect, additional advantageous effects, less side effects, a combined therapeutical effect in a non-effective dosage of one or each of the components, especially a potentiation or a strong synergism.

[0056]

The invention furthermore relates to a commercial package comprising the combination according to the present invention together with instructions for simultaneous, separate or sequential use.

[0057]

These pharmaceutical preparations are for enteral, such as oral, and also rectal or parenteral, administration to homeotherms, with the preparations comprising the pharmacological active compound either alone or together with customary pharmaceutical auxiliary substances. For example, the pharmaceutical preparations consist of from about 0.1% to 90%, preferably of from about 1% to about 80%, of the active compound. Pharmaceutical preparations for enteral or parenteral, and also for ocular, administration are, for example, in unit dose forms, such as coated tablets, tablets, capsules or suppositories and also ampoules. These are prepared in a manner that is known per se, for example using conventional mixing, granulation, coating, solubulizing or lyophilizing processes. Thus, pharmaceutical preparations for oral use can be obtained by combining the active compound with solid excipients, if desired granulating a mixture which has been obtained, and, if required or necessary, processing the mixture or granulate into tablets or coated tablet cores after having added suitable auxiliary substances.

[0058]

The dosage of the active compound can depend on a variety of factors, such as mode of administration, homeothermic species, age and/or individual condition.

[0059]

Preferred dosages for the active ingredients of the pharmaceutical combination according to the present invention are therapeutically effective dosages, especially those which are commerically available.

[0060]

Normally, in the case of oral administration, an approximate daily dose of from about 1 mg to about 360 mg is to be estimated e.g. for a patient of approximately 75 kg in weight.

[0061]

The dosage of the active compound can depend on a variety of factors, such as mode of administration, homeothermic species, age and/or individual condition.

[0062]

The renin inhibitor of formula (I) will be supplied in the form of suitable dosage unit form, for example, a capsule or tablet, and comprising a therapeutically effective amount, e.g. from about 10 to about 500 mg, of the renin inhibitor of formula (I) which may be applied to patients. Corresponding doses may be taken, for example, in the morning, at mid-day or in the evening. Preferred is b.i.d. administration.

[0063]

The insulin secretion enhancer nateglinide (I) is preferably administered to the warm-blooded animal in a dosage in the range of about 5 to 1200, more preferably 25 to 800, mg/day, when the warm-blooded animal is a human of about 70 kg body weight. Preferred dosages contain 30 mg, 60 mg, 120 mg or 180 mg of nateglinde to be administered preferably before the main meals. In a low dose combination, the dosage of nateglinide to be administered preferably is 30 mg, 40 mg or furthermore 60 mg. Depending on the number of main meals the dose regimen are two times a day (BID) or three times a day (TID) or four times a day (QID).

[0064]

The insulin secretion enhancer repaglinde is preferably administered in a dosage range of about 0.01 mg to about 8 mg, more preferred from about 0.5 to about 6 mg.

[0065]

The insulin sensitizer metformin is preferably administered in a dosage range of about 100 mg to about 1200 mg per dose unit, especially 500 mg, 850 mg or 1000 mg. In a low dose combination, metformin is preferably administered in a dosage of 125 mg, 250 mg or 500 mg.

GALENIC FORMULATION EXAMPLE 1

[0066]

Film-Coated Tablets

[0067]

The following constituents are processed for the preparation of 10 000 tablets each containing 100 mg of active ingredient:

hemi-fumarate of the compound of formula (I)1000 g
corn starch 680 g
colloidal silicic acid 200 g
magnesium stearate 20 g
stearic acid 50 g
sodium carboxymethyl starch 250 g
waterquantum satis

[0068]

A mixture of one of the compounds of formula I mentioned in the preceding Examples as active ingredient, 50 g of corn starch and the colloidal silicic acid is processed into a moist mass with starch paste prepared from 250 g of corn starch and 2.2 kg of demineralised water. The mass is forced through a sieve having a mesh size of 3 mm and dried at 45° for 30 minutes in a fluidised bed drier. The dried granules are pressed through a sieve having a mesh size of 1 mm, mixed with a previously sieved mixture (1 mm sieve) of 330 g of corn starch, the magnesium stearate, the stearic acid and the sodium carboxymethyl starch, and compressed to form slightly biconvex tablets.

GALENIC FORMULATION EXAMPLE 2

[0069]

108,000 tablets, each which contain 120 mg of nateglinide are prepared as follows:

nateglinide12.960 kg
lactose, NF30.564 kg
microcrystalline cellulose, NF15.336 kg
povidone, USP 2.592 kg
croscarmellose sodium, NF 3.974 kg
colloidal silicon dioxide, NF 1.382 kg
magnesium stearate, NF 1.231 kg
coating: opadry yellow 1.944 kg
purified water, USP*Q.S.

*removed during process

[0070]

Preparation Process: The microcrystalline cellulose, povidone, part of the croscarmellose sodium, nateglinide and lactose are mixed in a high shear mixer and afterwards granulated using purified water. Alternatively, the microcrystalline cellulose, povidone, a portion of the croscarmellose sodium, nateglinide and lactose are granulated in a collette gral granulator with the addition of purified water. The wet granules are dried in a fluid bed dryer and passed through a screen. The colloidal silicon dioxide and the rest of the croscarmellose sodium are mixed, passed through a screen and blended with the dried granules in a V-blender. The magnesium stearate is passed through a screen, blended with the blend from the V-blender and afterwards the total mixture is compressed to tablets. The opadry yellow is suspended in purified water and the tablets are coated with the coating suspension.

Как компенсировать расходы
на инновационную разработку
Похожие патенты