заявка
№ US 20040214755
МПК A61K38/12

Kahalalide f and related compounds

Авторы:
Fernando Albericio Ernest Giralt Jose Jimenez
Все (7)
Номер заявки
10182881
Дата подачи заявки
03.06.2003
Опубликовано
28.10.2004
Страна
US
Дата приоритета
15.12.2025
Номер приоритета
Страна приоритета
Как управлять
интеллектуальной собственностью
Реферат

[252]

A process is provided for preparing kahalalide F and which leads to other kahalalide mimic compounds having useful biological activity.

Формула изобретения

1. A mimic of a natural kahalaide, being a biologically active compound of a structure based on a natural kahalalide, but differing in one or more of the following respects:

at least one amino acid which is not the same as an amino acid present in the parent compound;

at least one methylene group additional to methylene groups in the side chain acyl group of the parent compound;

at least one methylene group omitted from the side chain acyl group of the parent compound;

at least one substituent added to the side chain acyl group of the parent compound;

at least one substituent omitted from the side chain acyl group of the parent compound.

2. A compound according to claim 1, which is substantially similar in structure to a kahalide selected from kahalalide A, kahalalide B, kahalalide C, kahalalide D, kahalalide E, kahalalide F, kahalalide G, kahalalide H and kahalalide J.

3. A compound according to claim 2, which mimics kahalalide F but differs in the side chain.

4. A compound according to claim 3, which has at least one additional substituent on the side chain.

5. A compound according to claim 4, which includes at least one halogen substituent.

6. A compound according to any of claims 2 to 5, which mimics kahalalide F but differs in a side chain amino acid.

7. A compound according to any of claims 2 to 5, which mimics kahalalide F but differs in a ring amino acid.

8. A process for preparing a mimic of kahalalide F, which comprises a ring closure according to the following scheme:

where R′ is a group R—CO—N— or a precursor therefor, and where one or more of the amino acids may have protecting groups, and where the —COOH of Aa3 and/or the —NH2 of Aa4 may optionally be protected, activated or derivatised.

9. A pharmaceutical composition comprising a kahalalide mimic, together with a pharmaceutically acceptable carrier or diluent.

10. A method of treating ancer which includes the administration of an effective amount of a kahalalide mimic or of kahalalide F made by the process of claim 8.

Описание

[1]

[0001] The present invention relates to kahalalide compounds, and in particular to kahalalide F and related compounds, as well as a synthetic route for such compounds.

BACKGROUND OF THE INVENTION

[2]

[0002] Kahalalide F is a bioactive cyclic depsipeptide isolated from the sarcoglossan mollusc Elysia rufescens and its diet, the green alga Bryopsis sp. Kahalalide F was first isolated by Hamann and Scheuer, see Hamann, M. T.; Scheuer, P. J. J. Am. Chem. Soc. 1993, 115, 5825-5826. In this publication, the absolute stereochemistry of individual valines (3 D-Val and 2 L-Val) and of threonines (L-Thr and D-allo-Thr) was not determined. In a later publication, Scheuer et al. (Goetz, G.; Yoshida, W. Y.; Scheuer, P. J. Tetrahedron 1999, 55, 7739-7746) assigned a position in the molecule for the 5 Val and the 2 Thr.

[3]

[0003] Thus, the structure for Kahalalide F according to Scheuer et al. was:

[4]

[0004] In the meantime, Prof. Reinhart also assigned the individual position of the 5-Val and the 2-Thr (K. L. Rinehart, personal communication) While for the 2 Thr and 3 Val, his assignation concords with that of Prof. Scheuer, for the last 2 Val there is a discrepancy. Thus, in the Rinehart assignment, the two consecutive Val in the side chain are switched and the structure is of the formula (I):

[5]

[0005] It is now accepted, and demonstrated again in this text, that the correct formula for kahalalide F is the formula (I).

[6]

[0006] The structure is complex, comprising six amino acids as a cyclic part, and an exocyclic chain of seven amino acids with a terminal acyl group. Kahalalide F (I) is an exceedingly potent and rare marine-derived antitumour agent, though the absence of adequate quantities has slowed plans for clinical trials.

[7]

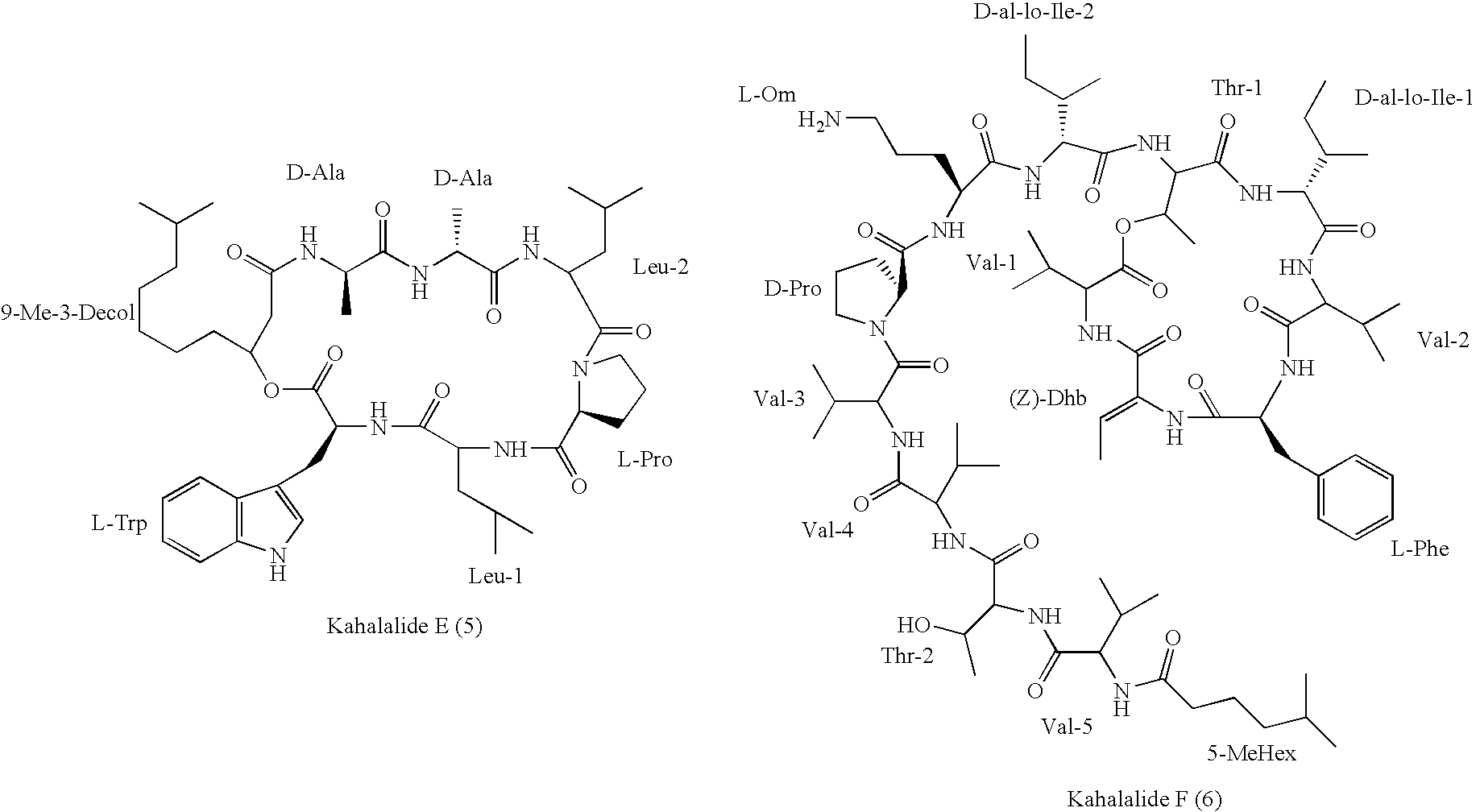
[0007] Other kahalalide compounds are known, and for example we refer to Hamann, M. T., et al., J. Org. Chem., 1996, “Kahalalides: Bioactive Peptides from Marine Mollusk Elysia rufescens and its Algal Diet Bryopsis sp.”, vol. 61, pp. 6594-6660. As well as kahalalide F, this article gives structures for kahalalides A to E. Kahalalide K was reported in J Nat. Prod. 1999, 62, 1169, and kahalalide 0 was reported in J Nat Prod 2000, 63, 152.

[8]

[0008] The structures for these further kahalalide compounds are shown in the following formulae:

[9]

[0009] The cyclic kahalalides have a ring of amino acids, and a side chain which terminates in an acyl group.

[10]

[0010] Kahalalides have a range of biological activities, notably antitumour and antituberculosis activity.

SUMMARY OF THE INVENTION

[11]

[0011] The present invention provides mimics of natural kahalalides. The compounds may differ in one or more amino acids, and one or more components of the acyl side chain.

[12]

[0012] Suitably the mimics of this invention have at least one of the following features to differentiate from a parent naturally occurring kahalalide:

[13]

[0013] 1 to 7, especially 1 to 3, more especially 1 or 2, most especially 1, amino acid which is not the same as an amino acid the parent compound;

[14]

[0014] 1 to 10, especially 1 to 6, more especially 1 to 3, most especially 1 or 2, additional methylene groups in the side chain acyl group of the parent compound;

[15]

[0015] 1 to 10, especially 1 to 6, more especially 1 to 3, most especially 1 or 2, methylene groups omitted from the side chain acyl group of the parent compound;

[16]

[0016] 1 to 6, especially 1 to 3, more especially 1 or 3, substituents added to or omitted from the side chain acyl group of the parent compound.

[17]

[0017] For cyclic kahalalides, the amino acid addition or omission can be in the cyclic ring or in the side chain.

[18]

[0018] Examples of this invention are compounds related to kahalalide F, and having the formula:

[19]

[0019] wherein Aaa1, Aaa2, Aaa3, Aaa4, Aaa6, and Aaa7 are independently α-amino acids of L or D configuration, if applies; wherein R1, R2, R3, R4, R5, R6, R7 are each independently H or an organic group selected from the group consisting of an alkyl group, an aryl group, an aralkyl group, and their substituted derivatives with an hydroxy group, a mercapto group, an amino group, a guanidino group, a halogen group; wherein X1 is independently O, S, or N; wherein R2 is, if applies, independently H or an organic group selected from the group consisting of an alkyl group and an aralkyl group; wherein Aaa5 is independently an amino acid of L or D configuration, if applies; wherein X2 is independently an organic group selected from the group consisting of an alkenyl, an alkyl group, an aryl group, an aralkyl group, and their substituted derivatives with an hydroxy group, a mercapto independently H or an organic group selected from the group consisting of an alkyl group, an aryl group, an aralkyl group, and their substituted derivatives with an hydroxy group, a mercapto group, an amino group, a guanidino group, a halogen group; wherein R8 is independently of the following formulae III, IV, or V:

[20]

[0020] wherein R9, R10, and R11 are each independently H or an organic group selected from the group consisting of an alkyl group, an aryl group, an aralkyl group, and their substituted derivatives with an hydroxy group, a mercapto group, an amino group, a guanidino group, a carboxyl group, a carboxamido group, a halogen group; R9 and R10 can form part of the same cycle; R9 can confer S or R configuration, if applies, to the carbon attached to; and n is 0 to 6. The definitions of the amino acids can also be varied to allow for proline and analogous amino acids including hydroxyproline. The formulae (III), (IV) and (V) can be intermixed to give a side chain made up of repeat units in more than one of these formulae.

[21]

[0021] In a modification, one or more of the ring amino acids Aaa-6 and Aaa-5 of the hexamino acid cycle is omitted or an amino acid Aaa-7 is added between Aaa-6 and Aaa-1, in order to arrive at rings having four, five or seven ring amino acids. Six ring amino acids is preferred.

[22]

[0022] The present invention is further directed to a synthetic process for the formation of Kahalalide F compounds and related structures.

PREFERRED EMBODIMENTS

[23]

[0023] Preferred compounds are related to Kahalalide F (I), wherein in the formula (II), Aaa-1 is D-alloThr (X1═O, R1 ═CH3), Aaa-2 is D-allo-Ile (R3=1-methylpropyl), Aaa-3 is D-Val (R4=isopropyl), Aaa-4 is Phe (R5=benzyl), Aaa-5 is Z-Dhb (X2═C═CHCH3 with Z configuration), Aaa-6 is L-Val (R6=isopropyl), Aaa-7 is D-allo-Ile (R7=1-methylpropyl), and R8 contains a hexapeptide derivative of the following formula (Formula VI):

[24]

[0024] Other preferred compounds are analogously related to the other kahalalides, and have amino acids and side chains in common with such compounds. Reference is made to the known structures of the kahalalides. For preference, a compound of this invention mimics a natural kahalalide, with modification, insertion or suppression at one or more points in the molecule.

[25]

[0025] Especially preferred are compounds which have the same amino acids as in a natural cyclic kahalalide compound, but differ in the side chain, especially in the acyl part. Such differences can include more or fewer methylene groups, typically at most a change of two methylene groups, and more or less substituents, notably the addition of halogen such as fluorine substituents.

[26]

[0026] As used herein, the term “organic group” means a hydrocarbon group that is classified as an aliphatic group, cyclic group, or combination of aliphatic and cyclic groups (e.g., aralkyl groups). In the context of the present invention, the term “aliphatic group” means a saturated or unsaturated linear or branched hydrocarbon. This term is used to encompass alkyl, alkenyl, and alkynyl groups, for example.

[27]

[0027] The term “alkyl group” means a saturated linear or branched hydrocarbon group including, for example, methyl, ethyl, isopropyl, isobutyl, t-butyl, heptyl, dodecyl, octadecyl, amyl, 2-ethylhexyl, 2-methylbutyl, 5-methylhexyl, 9-methyl-3-decyl, and the like, particularly alkyl groups which have a single branched methyl group. Suitably the alkyl group is long and has 1 to 20 carbon atoms, more typically 1 to 15 or 1 to 10 carbon atoms, or can be short and has 1 to 6 or 1 to 3 carbon atoms. The group R11 is suited to the long carbon chains, and in general all the other alkyl groups are preferably short.

[28]

[0028] The term “alkenyl group” means an unsaturated, linear or branched hydrocarbon group with one or more carbon-carbon double bonds, such as a vinyl group. Suitably the alkenyl group has 2 to 8 or 2 to 4 carbon atoms.

[29]

[0029] The term “alkynyl group” means an unsaturated, linear or branched hydrocarbon group with one or more carbon-carbon triple bonds. Suitably the alkynyl group has 2 to 8 or 2 to 4 carbon atoms.

[30]

[0030] The term “cyclic group” means a closed ring hydrocarbon group that is classified as an alicyclic group, aromatic group, or heterocyclic group. The term “alicyclic group” means a cyclic hydrocarbon group having properties resembling those of aliphatic groups, and is suitably a mono- or bi-cycle with 4 to 10 carbon atoms. The term “aromatic group” or “aryl group” means a mono- or polycyclic aromatic hydrocarbon group, suitably a mono- or bi-cycle with 5 to 10 carbon atoms. The term “heterocyclic group” means a closed ring hydrocarbon in which one or more of the atoms in the ring is an element other than carbon (e.g., 1 to 3 of one or more of nitrogen, oxygen, sulfur, etc.), suitably a mono- or bi-cycle with 4 to 10 ring atoms.

[31]

[0031] As is well understood in this technical area, a large degree of substitution is not only tolerated, but is often advisable. Substitution is anticipated on the compounds of the present invention. As a means of simplifying the discussion and recitation of certain terminology used throughout this application, the terms “group” and “moiety” are used to differentiate between chemical species that allow for substitution or that may be substituted and those that do not allow or may not be so substituted. Thus, when the term “group” is used to describe a chemical substituent, the described chemical material includes the unsubstituted group and that group with O, N, or S atoms, for example, in the chain as well as carbonyl group or other conventional substitution. Where the term “moiety” is used to describe a chemical compound or substituent, only a unsubstituted chemical material is intended to be included. For example, the phrase “alkyl group” is intended to include not only pure open chain saturated hydrocarbon alkyl substituents, such as methyl, ethyl, propyl, isobutyl, and the like, but also alkyl substituents bearing further substituents known in the art, such as hydroxy, alkoxy, amino, carboxyl, carboxamido, halogen atoms, cyano, nitro, alkylsulfonyl, etc. Thus, “alkyl group” includes ether groups, haloalkyls, alcohols, thiols, carboxyl, amines, hydroxyalkyls, sulfoalkyls, etc. Haloalkyl groups are currently preferred. On the other hand, the phrase “alkyl moiety” is limited to the inclusion of only pure open chain saturated hydrocarbon alkyl substituents, such as methyl, ethyl, propyl, isobutyl, and the like.

[32]

[0032] In a particularly preferred embodiment of this invention, we provide a compound of the formula (A):

[33]

[0033] where each of Aa1 to Aa6 with the adjacent respective —N— and —CO-represents an α or β amino acid, preferably an a amino acid, X is a linking group of Aa1, preferably selected from amino, hydroxy or thiol, more preferably hydroxy, and R is a group optionally including one or more a or P amino acids, preferably a amino acids. In a variation, —CO-Aa6-N— may be absent, possibly along with —CO-Aa5-N— also being absent, or alternatively a group —CO-Aa7-N— may be interposed between Aa6 and Aa1.

[34]

[0034] The amino acids can be of L or D configuration. Preferably the configuration is the same as the corresponding amino acid in a kahalalide comound especially kahalalide F. One or more of Aa1 to Aa7 preferably corresponds to an amino acid at the same position in a natural kahalalide, or a congener thereof. In a particularly preferred embodiment, each amino acid is the same as in kahalalide F. Thus, for preference, Aa1 is D-allo-Thr, Aa2 is D-allo-Ile, Aa3 is D-Val, Aa4 is Phe, Aa5 is Z-Dhb, Aa6 is L-Val.

[35]

[0035] Where congeners are employed, suitable congeners have substitute amino acids where the substitution is made having regard to the structure of the respective amino acid in the natural kahalalide such as kahalalide F. Substitutes for threonine include serine and other homologues as well as cysteine and homologues. Substitutes for isoleucine include other amino acids with nonpolar groups, including alanine, valine, leucine, and proline, as well as analogues and homologues. In this respect, the showing of the nitrogen atoms —N— in the formula (A) does not exclude the possibility of ring formation such as occurs with proline. Substitutes for valine include isoleucine and the other amino acids with nonpolar groups, including analogues and homologues. Substitutes for phenylalanine include tryptophan and tyrosine. Substitutes for Dhb include other amino acids with such an alkenylidene substituent, including amino acids with C3 or higher sidechains, as well as analogues and homologues.

[36]

[0036] Preferably Aa1 is of the formula:

[37]

[0037] where Raa1 is a sidechain carrying the linking X. Examples of sidechains include alkyl, aryl and aralkyl, especially alkyl, more typically alkyl of 1 to 4, such as 2 carbon atoms. Branched alkyl is preferred. The linking group X is suitably oxygen, with Aa1 being preferably derived from threonine, but sulphur, amino (unsubstituted or substituted with alkyl, aryl or aralkyl), and other linkers can be employed. Suitably the group X is the only polar group in Aa1. Aa1 can be racemic, L or D, but is preferably in the D configuration.

[38]

[0038] Preferably Aa2 is of the formula:

[39]

[0039] where Raa2 is a sidechain such as alkyl, aryl and aralkyl, especially alkyl, more typically alkyl of 1 to 5, such as 3 carbon atoms. Branched alkyl is preferred, as in isoleucine. Suitably there are no polar substituents in Aa2. Aa2 can be racemic, L or D, but is preferably in the D configuration.

[40]

[0040] Preferably Aa3 is of the formula:

[41]

[0041] where Raa3 is a sidechain such as alkyl, aryl and aralkyl, especially alkyl, more typically alkyl of 1 to 5 such as 3 carbon atoms. Branched alkyl is preferred, as in valine. Suitably there are no polar substituents in Aa3. Aa3 can be racemic, L or D, but is preferably in the D configuration.

[42]

[0042] Preferably Aa4 is of the formula:

[43]

[0043] where Raa4 is a sidechain such as alkyl, aryl and aralkyl, especially aralkyl, more typically aralkyl of 7 to 10 such as 7 carbon atoms. Benzyl is preferred, as in phenylalanine. Suitably there are no polar substituents in Aa4. Aa4 can be racemic, L or D, but is preferably in the L configuration.

[44]

[0044] Preferably Aa5 is of the formula:

[45]

[0045] where Raa5a and Raa5b is each chosen from hydrogen, or a sidechain such as alkyl, aryl and aralkyl, especially alkyl, more typically alkyl of 1 to 4 such as 1 carbon atom. Preferably Raa5a is hydrogen, giving a Z configuration as in the preferred a,b-didehydro-a-aminobutyric acid. Suitably there are no polar substituents in Aa5. Aa5 can be racemic, L or D, but is preferably in the L configuration.

[46]

[0046] Preferably Aa6 is of the formula:

[47]

[0047] where Raa6 is a sidechain such as alkyl, aryl and aralkyl, especially alkyl, more typically alkyl of 1 to 5 such as 3 carbon atoms. Branched alkyl is preferred, as in valine. Suitably there are no polar substituents in Aa6. Aa6 can be racemic, L or D, but is preferably in the L configuration.

[48]

[0048] The amino acids Aa1 to Aa7 can be as defined for the groups Aaa-1 to Aaa-7 of formula (II).

[49]

[0049] Preferably the side chain R comprises 5-MeHex-D-Val-L-Thr-L-Val-D-Val-D-Pro-L-Orn-D-allo-Ile, or a congener thereof, including analogues and homologues. Examples of congeners include those of the general formula (Rt)m-(amino acid)n, with m+n non-zero, where Rt represents a terminal group, suitably an alkyl, alkenyl, alkynyl, aryl, aralkyl, heteroaryl, heteroalkyl, alicyclic or other terminator, and -(amino acid)n- repersents an optional chain of amino acids.

[50]

[0050] A terminal alkyl group suitably has 1 to 12 carbon atoms, more typically 4 to 10 carbon atoms, and may be substituted and is preferably branched. Examples include butyl, pentyl, hexyl, heptyl, octyl, and other alkyl groups bearing 1 or more methyl or ethyl or longer side groups preferably of 1 to 6 carbon atoms, especially 5-methylhexyl and other alkyl groups with branching distal to the point of attachment to the rest of the molecule. Suitable substituents include halogen, hydroxy, alkoxy, amino, carboxyl, carboxamido, cyano, nitro, alkylsulfonyl, alkoxy, alkoxyalkyl, arylalkylaxyl, heterocyclic, alicyclic, aryl, aralkyl and other groups mentioned herein. As appropriate, such substituents may bear further substituents, as for example a tolyl group. Halogen substituents are currently most preferred, especially 1 or more, such as 1 to 3, flourine atoms. Other terminal groups can be selected according to the guidance given in this text, and include alicyclic, aralkyl, aryl, heterocyclic or other groups, possibly with 1 or more, especially 1 to 3, susbtituents.

[51]

[0051] The side chain R—CO—N— can have hydrogen or a substituent on the nitrogen, such as alkyl, aryl or aralkyl group.

[52]

[0052] Suitable side chain congeners employ substitute amino acids chosen in accordnace with the principles given before, with alternatives to isoleucine, valine and threonine being selected as for these amino acids in the cyclic part of the molecule, and alternatives to ornithine inclluding lysine, histidine, arginine; alternatives to proline including alanine and other nonpolar amino acids such as glycine, isoleucine and the others previously mentioned. Typically the chain R has 0 to 10, more preferably 4 to 8, such as 5, 6 or 7, especially 7, amino acid residues. Where there are more than seven amino acids, then the extra amino acids are preefrably naturally occuring amino acids, particularly those mentioned herein.

[53]

[0053] Racemic or L or D amino acids can be used. Preferably where amino acids are present in the side chain R, then one or more of them is in the configuration given for the naturally occuring sidechain. Reading from the cylic hexapeptide, the amino acid residues are in the configuration DLDDLLD. The terminal alkyl group suitably has 1 to 12 carbon atoms, more typically 4 to 10 carbon atoms, and may be substituted and is preferably branched. Suitable substituents include halogen, hydroxy, alkoxy, amino, carboxyl, carboxamido, cyano, nitro, alkylsulfonyl and other groups mentioned herein. Halogen substituents are current most preferred.

[54]

[0054] More generally, the side chain R—CO—N— can be as defined for the side chain R8—NH—CHR7—CO—NH— in the compounds of formula (II), including compounds with mixtures of amino acids defined within formulae (III), (IV) and (V).

[55]

[0055] Although the preferrred features have been described by reference to kahalalide F, other preferred compounds of this invention are provided by the application of the same principles to the design of mimics of other kahalalides. Thus, the amino acids and side chains can be changed, preferably while retaining the hydrophobic-hydrophilic balance between polar and nonpolar groupings.

[56]

[0056] Compounds of this invention have useful biological activity, including an antitumour activity.

[57]

[0057] Thus, the present invention provides a method of treating any mammal, notably a human, affected by cancer which comprises administering to the affected individual a therapeutically effective amount of a compound of the invention, or a pharmaceutical composition thereof.

[58]

[0058] The present invention also relates to pharmaceutical preparations, which contain as active ingredient a compound or compounds of the invention, as well as the processes for their preparation.

[59]

[0059] Examples of pharmaceutical compositions include any solid (tablets, pills, capsules, granules, etc.) or liquid (solutions, suspensions or emulsions) with suitable composition or oral, topical or parenteral administration, and they may contain the pure compound or in combination with any carrier or other pharmacologically active compounds. These compositions may need to be sterile when administered parenterally.

[60]

[0060] Administration of the compounds or compositions of the present invention may be by any suitable method, such as intravenous infusion, oral preparations, intraperitoneal and intravenous administration. We prefer that infusion times of up to 24 hours are used, more preferably 2-12 hours, with 2-6 hours most preferred. Short infusion times which allow treatment to be carried out without an overnight stay in hospital are especially desirable. However, infusion may be 12 to 24 hours or even longer if required. Infusion may be carried out at suitable intervals of say 2 to 4 weeks. Pharmaceutical compositions containing compounds of the invention may be delivered by liposome or nanosphere encapsulation, in sustained release formulations or by other standard delivery means.

[61]

[0061] The correct dosage of the compounds will vary according to the particular formulation, the mode of application, and the particular situs, host and tumour being treated. Other factors like age, body weight, sex, diet, time of administration, rate of excretion, condition of the host, drug combinations, reaction sensitivities and severity of the disease shall be taken into account. Administration can be carried out continuously or periodically within the maximum tolerated dose.

[62]

[0062] The compounds and compositions of this invention may be used with other drugs to provide a combination therapy. The other drugs may form part of the same composition, or be provided as a separate composition for administration at the same time or a different time. The identity of the other drug is not particularly limited, and suitable candidates include:

[63]

[0063] a) drugs with antimitotic effects, especially those which target cytoskeletal elements, including microtubule modulators such as taxane drugs (such as taxol, paclitaxel, taxotere, docetaxel), podophylotoxins or vinca alkaloids (vincristine, vinblastine);

[64]

[0064] b) antimetabolite drugs such as 5-fluorouracil, cytarabine, gemcitabine, purine analogues such as pentostatin, methotrexate);

[65]

[0065] c) alkylating agents such as nitrogen mustards (such as cyclophosphamide or ifosphamide);

[66]

[0066] d) drugs which target DNA such as the antracycline drugs adriamycin, doxorubicin, pharmorubicin or epirubicin;

[67]

[0067] e) drugs which target topoisomerases such as etoposide;

[68]

[0068] f) hormones and hormone agonists or antagonists such as estrogens, antiestrogens (tamoxifen and related compounds) and androgens, flutamide, leuprorelin, goserelin, cyprotrone or octreotide;

[69]

[0069] g) drugs which target signal transduction in tumour cells including antibody derivatives such as herceptin;

[70]

[0070] h) alkylating drugs such as platinum drugs (cis-platin, carbonplatin, oxaliplatin, paraplatin) or nitrosoureas;

[71]

[0071] i) drugs potentially affecting metastasis of tumours such as matrix metalloproteinase inhibitors;

[72]

[0072] j) gene therapy and antisense agents;

[73]

[0073] k) antibody therapeutics;

[74]

[0074] l) other bioactive compounds of marine origin, notably the ecteinascidins such as ecteinascidin 743 or the didemnins such as aplidine;

[75]

[0075] m) steroid analogues, in particular dexamethasone;

[76]

[0076] n) anti-inflammatory drugs, in particular dexamethasone; and

[77]

[0077] o) anti-emetic drugs, in particular dexamethasone.

[78]

[0078] The present invention also extends to the compounds of the invention for use in a method of treatment, and to the use of the compounds in the preparation of a composition for treatment of cancer.

[79]

[0079] Compounds of this invention are also expected to have antituberculosis activity.

[80]

[0080] According to this invention there is also provided a process for preparing compounds of this invention including kahalalide F, which comprises ring closing between Aa3 and Aa4. We have found that ring closing at this position gives a superior process. Ring closing can be preceded and/or followed by other modifications to the molecule, including forming or extending the side chain on Aa1, and/or removing protecting groups and/or modifying substituents on the amino acids.

[81]

[0081] Thus, the process can be illustrated by the following scheme:

[82]

[0082] where R′ is a group R—CO—N— or a precursor therefor, and where one or more of the amino acids may have protecting groups, and where the —COOH of Aa3 and/or the —NH2 of Aa4 may optionally be protected, activated or derivatised. Such procedures using precursors or of protection, activation or derivatisation are in themselves entirely conventional, and further details are not needed to practice the process.

[83]

[0083] The process of this invention can be carried out from starting materials in an enantio- and stereocontrolled and fast manner, taking advantages of the solid-phase synthetic methodology, where the molecule in construction is bounded to an insoluble support during all synthetic operations. Thus, excess of reagents and soluble by-products can be removed simply by washing the molecule-resin with suitable solvents. Large excesses of the soluble reagents can, therefore, be used in order to drive the reactions to completion in a short period of time, avoiding racemization (if applies) and other secondary reactions. The method is also amenable for automation.

[84]

[0084] The preferred embodiment of the synthetic process of the present invention is best represented in the Scheme 1, which is directed to the formation of compounds of the formula (II).

[85]

[0085] As shown above in Scheme 1, the preferred process for the synthetic formation of Kahalalide F (I) and derivatives and analogues is based in a solid-phase approach, see for example Lloyd-Williams, P., et al., Chemical Approaches to the Synthesis of Peptides and Proteins, CRC Press, Boca Raton (FL), 1997.

[86]

[0086] The process of Scheme 1 comprises the sequential steps of:

[87]

[0087] (a) incorporating an Fmoc-amino acid (Aaa3) onto a solid support (e.g., polystyrene, polyethylene grafted on polystyrene, and the like) containing a super-acid labile handle or linker (e.g., chlorotrityl, polyalkoxybenzyl, and the like) forming an ester bond;

[88]

[0088] (b) elongating the peptidic chain with three amino acids (Aaa2, Aaa1, Aaa7) using a Fmoc/tBu strategy. For I, X1═OH and introduced without protection. When X1═NH2, this is introduced with Alloc protection;

[89]

[0089] (c) incorporating (Aaa6) using an Alloc/tBu strategy;

[90]

[0090] (d) elongating the peptidic chain with the remaining amino acids and R11—COOH through Aaa7 using a Fmoc/tBu strategy;

[91]

[0091] (e-1) elongating the peptidic chain with two amino acids [Aaa5 (OH,H), Aaa4] through Aaa6 using an Alloc/tBu strategy. The OH attached to Aaa5 is unprotected;

[92]

[0092] (e-2) dehydrating in solid-phase to give the peptide with Aaa5; or

[93]

[0093] (e′-1) incorporating the dipeptide Alloc-Aaa4-Aaa5-OH, which has been combined and dehydrated in solution;

[94]

[0094] (f) removing the Alloc group of Aaa4 while the peptide is still anchored to the solid support;

[95]

[0095] (g) cleaving the side-chain protected, if applies, peptide from the solid support;

[96]

[0096] (h) cyclizing the peptide in solution;

[97]

[0097] (i) removing TFA labile side chain protecting groups.

[98]

[0098] It will be appreciated that the particular choice of protecting groups is not critical, and other choices are widely available. For example, Bzl type groups can replace tBu/Boc; Boc instead of Fmoc; Fmoc instead of Alloc; Wang resin instead of chlorotrityl.

DETAILED DESCRIPTION OF THE PREFERRED EMBODIMENTS OF THE PROCESS

[99]

[0099] The preferred process of the present invention is illustrated in Scheme 1. As shown therein, and as discussed in greater detail in the examples which follow below, this process was conducted as follows:

[100]

[0100] Fmoc-Aaa3-OH was incorporated preferably to a chlorotrityl-polystyrene resin, see Barlos, K.; Gatos, D.; Schafer, W. Angew. Chem. Int. Ed. Engl. 1991, 30, 590-593, in the presence of DIEA keeping the level of substitution of aprox. 0.15-0.5 mmol/g. The use of higher loadings brings the presence of terminated peptides in the final product, see Chiva, C.; Vilaseca, M.; Giralt, E.; Albericio, F. J. Pept. Sci. 1999, 5, 131-140.

[101]

[0101] Removal of the Fmoc group was carried out with piperidine-DMF (2:8, v/v) (1×1 min, 3×5 min, 1×10 min). Couplings of Fmoc-, Alloc-Aaa-OH, and R11—COOH (5 equiv) were carried out with HATU-DIEA, see Carpino, L. A.; El-Faham, A.; Minor, C. A.; Albericio, F. J. Chem. Soc., Chem. Commun. 1994, 201-203, (5:10) in DMF for 90 min. After the coupling ninhydrin test was carried out and if it was positive the coupling was repeated in the same conditions, otherwise the process was continued. Washings between deprotection, coupling, and, again, deprotection steps were carried out with DMF (5×0.5 min) and CH2Cl2 (5×0.5 min) using each time 10 mL solvent/g resin.

[102]

[0102] Incorporation of Alloc-Aaa6-OH (7 equiv) when X1=O was carried with equimolar amount of DIPCDI and 0.7 equiv of DMAP for 2 h. This coupling was repeated twice.

[103]

[0103] Removal of Alloc group was carried out with Pd(PPh3)4 (0.1 equiv) in the presence of PhSiH3 (10 equiv) under atmosphere of Ar, see Gómez-Martinez, P.; Thieriet, N.; Albericio, F.; Guibé, F. J. Chem. Soc. Perkin I 1999, 2871-2874.

[104]

[0104] Dehydration was carried out in solid-phase with EDC (water soluble carbodiimide, 100 equiv) in the presence of CuCl (60 equiv) in CH2Cl2-DMF (10:2) for 6 days. EDC/CuCl has been used by dehydration in solution of a residue of Thr in a fragment of Nisin. Fukase, K.; Kitazawa, M.; Sano, A.; Shimbo, K.; Horimoto, S.; Fujita, H.; Kubo, A.; Wakarniya, T.; Shibe, A. Bull. Chem. Soc. Jpn. 1992, 65, 2227-2240.

[105]

[0105] The dipeptide Alloc-Aaa4-Aaa5-OH (5 equiv), which was prepared in solution from Alloc-Aaa4-OH and H-Aaa5(OH, H)-OtBu with EDC, and posterior dehydratation and treatment with TFA, was coupled with HATU-DIEA (5:10) for 16 h and recoupling for 3 h The use of other coupling reagents based in HOBt, such as HBTU or DIPCDI-HOBt, have led to incomplete incorporations of the dipeptide.

[106]

[0106] Cleavage of the protected peptide from the resin was accomplished by TFA-CH2Cl2 (1:99) (5×30 sec).

[107]

[0107] Cyclization step was carried out with DIPCDI-HOBt (3:3 equiv) in CH2Cl2-DMF for 2 hrs. Other methods, such as PyBOP/DIEA (3:6 equiv) in DMF can be also be used.

[108]

[0108] Final deprotection was carried out with TFA-H2O (95:5) for 1 h.

EXAMPLES OF THE INVENTION

[109]

[0109] Abbreviations

[110]

[0110] Abbreviations used for amino acids and the designations of peptides follow the rules of the IUPAC-IUB Commission of Biochemical Nomenclature in J. Biol. Chem. 1972, 247, 977-983. The following additional abbreviations are used: 4-AcBut-OH, 4-acetoxybutyric acid; AcButBut-OH, 4-(4-acetoxybutanoyloxy)-butyric acid; ACH, a-cyano-4-hydroxycinnamic acid; Alloc, allyloxycarbonyl; Boc, tert-butyloxycarbonyl; t-Bu, tert-Butyl; But-OH, butyric acid; Cl-TrtCl-resin, 2-chlorotrityl chloride-resin; Dap, 2,3-diaminopropionic acid; 4-DiMeABut-OH, N,N-dimethyl-4-aminobutyric acid; 3,3-DiMeBut-OH, 3,3-Dimethylbutyric acid; DHB, 2,5-dihydroxybenzoic acid; ZDhb, a,b-Didehydro-a-aminobutyric acid; DIEA, N,N-diisopropylethylamine; DMF, N,N-dimethylformanide; EDC, 1-ethyl-3-(3′-dimethylaminopropyl)carbodiimide hydrochloride; Etg, ethylglycine; ESMS, electrospray mass spectrometry; FABMS, fast atom bombardment mass spectrometry; Fmoc, 9-fluorenylmethoxycarbonyl; HATU, N-[(dimethylamino)-1H-1,2,3-triazolo-[4,5-b]pyridin-1-yl-methylene]-N-methylmethanaminium hexafluorophosphate N-oxide; HBTU, N-[(1H-benzotriazol-1-yl)(dimethylamino)methylene]-N-methylmethanaminium hexafluorophosphate N-oxide; 2-Hedo-OH, 2,4-hexadienoic acid; Hep-OH, heptanoic acid; HOAc, acetic acid, HOAt, 1-hydroxy-7-azabenzotriazole (3-hydroxy-3H-1,2,3-triazolo-[4,5-b]pyridine); HOBt, 1-hydroxybenzotriazole; IBut-OH, isobutyric acid; 3-MeBut-OH, 3-methylbutyric acid; 5-MeHex-OH, 5-methylhexanoic acid; MeOH, methanol; 4-MePen-OH, 4-methylpentanoic acid; NMM, N-methylmorpholine; 4-HOBut, 4-hydroxybutyric; (b-OH)Phe-OH, b-hydroxyphenylalanine; Lit-OH, Lithocholic acid; Pal, palmitic acid; D-Phe-OH, a,b-Didehydrophenylalanine; PyAOP, 7-azabenzotriazol-1-yl-N-oxy-tris(pyrrolidino)phosphonium hexafluorophosphate; PyBOP, benzotriazol-1-yl-N-oxy-tris(pyrrolidino)phosphonium hexafluorophosphate; SPS, solid-phase synthesis; TFA, trifluoroacetic acid; Tico-OH, tetraicosanoic acid. Amino acid symbols denote the L-configuration unless stated otherwise. All solvent ratios are volume/volume unless stated otherwise.

[111]

[0111] General Procedures. Cl-TrtCl-resin, Protected Fmoc-amino acid derivatives, HOBt, PYBOP, HATU were from PerSeptive Biosystems (Framingham, Mass.), Bachem (Bubendorf, Switzerland), NovaBiochem (Läufelfingen, Switzerland). Alloc-amino acids were preparated essentially as described by Dangles et al., see Dangles, O.; Guibé, F.; Balavoine, G.; Lavielle, S.; Marquet. A. J. Org. Chem. 1987, 52, 4984-4993, and 5-MeHex-OH through a malonic synthesis. DIEA, DIPCDI, EDC, Piperidine, TFA were from Aldrich (Milwaukee, Wis.). DMF and CH2Cl2 were from SDS (Peypin, France). Acetonitrile (HPLC grade) was from Scharlau (Barcelona, Spain). All comercial reagents and solvents were used as received with exception of DMF and CH2Cl2, which were bubbled with nitrogen to remove volatile contaminants (DMF) and stored over activated 4 Å molecular sieves (Merck, Darmstadt, Germany) (DMF) or CaCl2 (CH2Cl2). Solution reactions were performed in round bottom flasks. Organic solvent extracts were dried over anhydrous MgSO4, followed by solvent removal at reduced pressures and <40° C.

[112]

[0112] Solid-phase synthesis were carried out in polypropylene syringes (20, 10 mL) fitted with a polyethylene porous disc. Solvents and soluble reagents were removed by suction. Removal of the Fmoc group was carried out with piperidine-DMF (2:8, v/v) (1×1 min, 3×5 min, 1×10 min). Washings between deprotection, coupling, and, again, deprotection steps were carried out with DMF (5×0.5 min) and CH2Cl2 (5×0.5 min) using each time 10 mL solvent/g resin. Peptide synthesis transformations and washes were performed at 25° C. Syntheses carried out on solid-phase were controlled by HPLC of the intermediates obtained after cleaving with TFA-H2O (9:1) for 60 min an aliquot (aprox. 10 mg) of the peptidyl-resin HPLC columns [Kromasil C18 (Conditions A-F)/C4 (Conditions G,H)] reversed-phase column, 4.6×250 mm, 10 mm) were from Akzo Nobel (Bohum, Sweden). Analytical HPLC was carried out on a Shimadzu instrument comprising two solvent delivery pumps (model LC-6A), automatic injector (model SIL-6B), variable wavelength detector (model SPD-6A), system controller (model SCL-6B) and plotter (model C-R6A). UV detection was at 220 nm, and linear gradients of CH3CN (+0.036% TFA) into H2O (+0.045% TFA) were run at 1.0 mL/min flow rate from: (Condition A) 1:9 to 10:0 over 30 min; (Condition B) 3:7 to 10:0 over 30 min; (Condition C) 1:19 to 19:1 over 30 min; (Condition D) 45:55 to 90:10 over 30 min; (Condition E) 45:55 to 6:4 over 30 min; (Condition F) isocratic 1:1; (Condition G) 3:7 to 1:0 over 30 min; (Condition H) 1:1 to 1:0 over 30 min.

[113]

[0113] MALDI-TOF— and ES-MS analysis of peptide samples were performed in a PerSeptive Biosystems Voyager DE RP, using CHCA or DHB matrices, and in a Micromass VG-quattro spectrometer. Peptide-resin samples were hydrolyzed in 12 N aqueous HCl-propionic acid (1:1), at 155° C. for 1-3 h and peptide-free samples were hydrolyzed in 6 N aqueous HCl at 155° C. for 1 h. Subsequent amino acid analyses were performed on a Beckman System 6300 autoanalyzer.1H-NMR (500 MHz, 200 MHz) and13C-NMR (50 MHz) spectroscopy was performed on a Bruker DMX-500 (11.7 T) and Varian Gemini 200 (4.7 T). Chemical shifts (d) are expressed in parts per million downfield from TMS. Coupling constants are expressed in hertz.

[114]

[0114] Kahalalide F (I)

Example 1

[115]

[0115] H-D-Val-O-TrtCl-resin.

[116]

[0116] Cl-TrtCl-resin (1 g, 1.35 mmol/g) was placed in a 20 mL polypropylene syringe fitted with a polyethylene filter disk. The resin was then washed with CH2Cl2 (5×0.5 min), and a solution of Fmoc-D-Val-OH (92 mg, 0.27 mmol, 0.2 equiv) and DIEA (471 mL, 2.7 mmol, 2 equiv) in CH2Cl2 (2.5 mL) was added, and the mixture was stirred for 1 h. The reaction was terminated by addition of MeOH (800 mL), after a stirring of 15 min. The Fmoc-D-Val-O-TrtCl-resin was subjected to the following washings/treatments with CH2Cl2 (3×0.5 min), DMF (3×0.5 min), piperidine-CH2Cl2-DMF (1:9.5:9.5, 1×10 min), piperidine-DMF (1:4, 1×15 min), DMF (5×0.5 min), isopropanol (2×1 min), DMF (5×0.5 min), MeOH (2×1 min), and dried over vacuum. The loading as calculated by AAA was 0.15 mmol/g.

Example 2

[117]

[0117] Fmoc-D-allo-Ile-D-allo-Thr(Val-Alloc)-D-allo-Ile-D-Val-O-TrtCl-resin.

[118]

[0118] Fmoc-D-allo-Ile-OH (265 mg, 0.75 mmol, 5 equiv), Fmoc-D-allo-Thr-OH (free hydroxy group) (256 mg, 0.75 mmol, 5 equiv), and Fmoc-D-allo-Ile-OH (265 mg, 0.75 mmol, 5 equiv) were added sequentially to the above obtained H-D-Val-O-TrtCl-resin using HATU (285 mg, 0.75 mmol, 5 equiv) and DIEA (261 mL, 1.5 mmol, 10 equiv) in DMF (2.5 mL). In all cases, after 90 min of coupling, the ninhydrin test was negative. Removal of Fmoc group and washings were carried out as described in General Procedures. Alloc-Val-OH (211 mg, 1.05 mmol, 7 equiv) was coupled with DIPCDI (163 mg, 1.05 mmol, 7 equiv) in the presence of DMAP (12.8 mg, 0.105 mmol, 0.7 equiv). This coupling was repeated in the same conditions twice. An aliqout of the peptidyl-resin was treated with TFA-H2O (9:1) for 60 min and the HPLC (Condition A, tR 25.9 min) of the crude obtained after evaporation showed a purity of >98%. ESMS, calcd for C45H63N5O11, 849.5. Found: m/z 850.1 [M+H]+.

Example 3

[119]

[0119] 5-MeHex-D-Val-Thr(tBu)-Val-D-Val-D-Pro-Orn(Boc)-D-allo-Ile-D-allo-Thr(Val-Alloc)-D-allo-Ile-D-Val-O-TrtCl-resin.

[120]

[0120] The Fmoc group was removed and Fmoc-Orn(Boc)-OH (341 mg, 0.75 mmol, 5 equiv), Fmoc-D-Pro-OH (253 mg, 0.75 mmol, 5 equiv), Fmoc-D-Val-OH (255 mg, 0.75 mmol, 5 equiv), Fmoc-Val-OH (255 mg, 0.75 mmol, 5 equiv), Fmoc-Thr(tBu)-OH (298 mg, 0.75 mmol, 5 equiv), Fmoc-D-Val-OH (255 mg, 0.75 mmol, 5 equiv), and 5-MeHex-OH (98 mg, 0.75 mmol, 5 equiv) were sequentially added to the above peptidyl-resin (Example 2) using HATU (285 mg, 0.75 mmol, 5 equiv) and DIEA (261 mL, 1.5 mmol, 10 equiv) in DMF (2.5 mL). In all cases, after 90 min of coupling, the ninhydrin or chloranil (after incorporation of D-Val) tests were negative. Removal of Fmoc group and washings were carried out as described in General Procedures. An aliqout of the peptidyl-resin was treated with TFA-H2O (9:1) for 60 min and the HPLC (Condition B, tR 17.2 min) of the crude obtained after evaporation showed a purity of >82%. ESMS, calcd for C66H116 N12O17, 1,348.9. Found: m/z 1,350.0 [M+H]+.

Example 4

[121]

[0121] 5-MeHex-D-Val-Thr(tBu)-Val-D-Val-D-Pro-Orn(Boc)-D-allo-Ile-D-allo-Thr(Val-Thr-Phe-Alloc)-D-allo-Ile-D-Val-O-TrtCl-resin.

[122]

[0122] Alloc group was removed with Pd(PPh3)4 (17.3 mg, 0.015 mmol, 0.1 equiv) in the presence of PhSiH3 (185 μL, 1.5 mmol, 10 equiv) under atmosphere of Ar. Fmoc-Thr-OH (free hydroxy group) (256 mg, 0,75 mmol, 5 equiv) and Alloc-Phe-OH (187 mg, 0,75 mmol, 5 equiv) were added sequentially to the above peptidyl-resin (Example 3) using HATU (285 mg, 0.75 mmol, 5 equiv) and DIEA (261 mL, 1.5 mmol, 10 equiv) in DMF (2.5 mL). In all cases, after 90 min of coupling, the ninhydrin test was negative. Removal of Fmoc group and washings were carried out as described in General Procedures. An aliqout of the peptidyl-resin was treated with TFA-H2O (9:1) for 60 min and the HPLC of the crude obtained after evaporation showed a purity by HPLC (Condition B, tR 17.8 min) of >70%. ESMS, calcd for C79H132 N14O20, 1,597.0. Found: m/z 1,598.2 [M+H]+.

Example 5

[123]

[0123] 5-MeHex-D-Val-Thr(tBu)-Val-D-Val-D-Pro-Orn(Boc)-D-allo-Ile-D-allo-Thr(Val-Z-Dhb-Phe-H)-D-allo-Ile-D-Val-O-TrtCl-resin (via dehydration in solid-phase).

[124]

[0124] The above peptidyl-resin (Example 4) was treated with EDC (2.88 g, 15 mmol, 100 equiv), CuCl (891 mg, 9 mmol, 60 equiv) in CH2Cl2-DMF (10:2) (12 mL) for 6 days. After extensively washings with DMF, CH2Cl2, and DMF, the Alloc group was removed with Pd(PPh3)4 (17.3 mg, 0.015 mmol, 0.1 equiv) in the presence of PhSiH3 (185 μL, 1.5 mmol, 10 equiv) under atmosphere of Ar. The final loading as calculated by AAA was 0.11 mmol/g (92% overall yield). An aliquot of the peptidyl-resin was treated with TFA-H2O (9:1) for 60 min and the HPLC (Condition B, tR 17.2 min) of the crude obtained after evaporation showed a purity by of >700/. ESMS, calcd for C75H126N14O17, 1495.0 Found: m/z 1,496.0 [M+H]+.

Example 6

[125]

[0125] 5-MeHex-D-Val-Thr(tBu)-Val-D-Val-D-Pro-Orn(Boc)-D-allo-Ile-D-allo-Thr(Val-Z-Dhb-Phe-H)-D-allo-Ile-D-Val-OH.

[126]

[0126] The protected peptide was cleaved from the resin (0.5 g, 55.9 μmol) by TFA-CH2Cl2 (1:99) (5×30 sec). The combined filtrates were evaporated to dryness under reduced pressure and lyophilized, to give 80.2 mg (48.5 μmol, 87% yield) of the title compound with a purity of >70% as checked by HPLC (Condition B, tR 25.7 min). ESMS, calcd for C84H142N14O19, 1,651.1. Found: m/z 1,652.3 [M+H]+.

Example 7

[127]

[0127] Kahalalide F (I).

[128]

[0128] The protected peptide (Example 6) (40.0 mg, 24 μmol) was dissolved in DMF (25 mL), and PyBOP (37.8 mg, 73 μmol, 3 equiv) and DIEA (25 mL, 145 μmol, 6 equiv) were added. The mixture was allowed to stir for 1 h, and then the solvent was removed by evaporation under reduced pressure. The protected cyclic peptide was dissolved in TFA-H2O (19:1, 5 mL) and the mixture was allowed to stir for 1 h. The solvent was removed by evaporation under reduced pressure, and then H2O (5 mL) was added and lyophilized. The crude product was purified by medium pressure chromatography (Vydac C18 15-20 μm, 300 Å, 240×24 mm), linear gradient from 20% to 60% of acetonitrile (+0.05% TFA) in water (+0.05% TFA) in 5 h (300 mL each solvent), 120 mL/h, detection at 220 nm, to give the title product (5.0 mg, 3.4 μmol, 14% yield). MALDI-TOF-MS, calcd for C75H124N14O16, 1,477.9. Found: m/z 1,478.7 [M+H]+, 1,500.6 [M+Na]+, 1,516.5 [M+K]+. The product co-eluted by HPLC [Condition D (tR 12.5 min), E (tR 17.4 min), and F(tR 12.1 min)] with an authentic sample of Kahalalide F. The1H-NMR (500 MHz, d6-DMSO) spectrum of the compound was identical to the natural product (data shown in Table I).

(Z)-Dhb9.69(s)6.34(q, J=7.0Hz)1.26(d, J=7.5Hz,
γ-CH3)
D-al.lo-Ile 18.82(d, J=10.0Hz)4.311.731.31, 1.02, 0.77(γ-
CH2, γ-CH3, δ-
CH3)
L-Phe8.79(d, J=5.5Hz)4.422.93(m)7.20(1H Ar, m)
7.28(4H Ar, m)
D-al.lo-Thr8.56(d, J=8.0Hz)4.534.96(m)1.07(δ, J=6.5Hz,
γ-CH3)
D-Val 38.10(d, J=8.5Hz)4.261.940.86(2 γ-CH3)
L-Orn7.95(d, J=8.5Hz)4.491.48(2H)1.67(γ-CH2),
2.74(bs, δ-CH2),
7.69(ε-NH3+)
D-al.lo-Ile 27.90(d)4.371.691.30, 1.03, 0.77(γ-
CH2, γ-CH3, δ-
CH3)
D-Val 57.88(d)4.231.960.84(2 γ-CH3)
L-Thr7.82(d, J=8.0Hz)4.263.97(m)4.88(d, J=5.0Hz,
OH), 0.98(d, J=6.5Hz,
γ-CH3)
D-Val 27.62(d, J=8.5Hz)4.462.170.77(γ-CH3),
0.62(d, J=7.0Hz, γ-
CH3)
L-Val 47.57(d, J=8.5Hz)4.281.980.80(2 γ-CH3)
L-Val 16.76(d, J=9.0Hz)3.861.390.62(d, J=7.0Hz,
γ-CH3), 0.58(d, J=6.0Hz,
γ-CH3)
D-Pro4.362.03, 1.87, 1.79(β-CH2, γ-CH2),
3.76(1H, m, δ-CH2), 3.53(1H, m, —CH2)
5-MeHex2.131.47(β-CH2, δ-CH), 1.11(γ-CH2),
(2H)0.82(2 ε-CH3)

Example 7bis

[129]

[0129] 5-MeHex-D-Val-Thr-Val-D-Val-D-Pro-Orn-D-alloIle-cyclo(D-alloThr-D-allo-Ile-Val-Phe-ZDhb-Val).

[130]

[0130] Obtained as a side product during the preparation (racemization during the cyclization step) of Example 7. The product was characterized by HPLC (tR 17.4 min, Condition B) and ESMS, calcd for C75H124N14O16, 1,477.9. Found: m/z 1,501.3 [M+Na]+, 1,517.3 [M+K]+. Kahalalide F (I)

Example 8

[131]

[0131] Alloc-Phe-Thr-OtBu.

[132]

[0132] H-Thr-OtBu-HCl (3.1 g, 15 mmol, 1.3 equiv) was dissolved in CH2Cl2 (30 mL) and DIEA (2.9 mL, 17 mmol, 1.5 equiv) was added and the mixture allowed to stir for 30 min. Alloc-Phe-OH (2.8 g, 11 mmol, 1 equiv) and EDC (2.8 g, 15 mmol, 1.3 equiv) in CH2Cl2 (35 mL) was then added and the reaction was stirred for 18 h. The organic reaction mixture was washed with H2O (3×25 mL), dried (MgSO4) and concentrated in vacuo. The resultant oil (4.12 g) was purified by flash chromatography [CHCl3-MeOH—HOAc (9:1:0.2)] to give the title product (3.25 g, 8 mmol, 71% yield), which was characterized by analytical HPLC (tR 20.9 min, >98% purity; Condition C); ESMS, calcd for C21H30N2O6, 406.2. Found: m/z 408.0 [M+H]+;1H-NMR (200 MHz, CDCl3): 7.1-7.3 (5H, m, Ar); 6.89 (1H, d, J=8.8 Hz, NH); 5.7-5.9 (1H, m, CH allyl); 5.56 (1H, d, J=8.0 Hz, OH); 5.2-5.3 (2H, m, CH2 g-allyl); 4.52 (2H, d, J=5.4 Hz, CH2 a-allyl); 4.45 (1H, dd, J=8.4 Hz, 2.8 Hz, a-CH Thr); 4.22 (1H, dq, J=6.2 Hz, J=3.0 Hz, b-CH Thr); 3.0-3.2 (2H, m, b-CH2 Phe); 1.47 (9H, s, tBu); 1.15 (3H, d, J=6.6 Hz, g-CH3 Thr);13C-NMR (50 MHz, CDCl3): 172.2 (CO), 169.5 (CO); 156.0 (CO); 136.1 (Cq, Ar); 132.5 (CH, allyl); 129.3 (CH, Ar); 128.5 (CH, Ar); 126.9 (CH, Ar); 117.7 (CH2, allyl); 82.7 (Cq, tBu); 68.5 (b-CH Thr); 65.9 (CH2, allyl); 58.0 (a-CH Thr); 56.2 (a-CH Phe); 38.3 (b-CH2 Phe); 28.0 (CH3, tBu); 20.8 (g-CH3 Thr).

Example 9

[133]

[0133] Alloc-Phe-ZDhb-OtBu.

[134]

[0134] Alloc-Phe-Thr-OtBu (3.25 g, 8.0 mmol), EDC (9.90 g, 52 mmol, 6.5 equiv), and CuCl (2.14 g, 22 mmol, 2.7 equiv) were dissolved in CH2Cl2-anhydrous DMF (65 ml, 12:1) under N2 and the mixture was allowed to stir for 2 days under N2. The organic solvent was removed in vacuo and the residue was taken in a saturated solution of EDTA (100 mL), which was extracted with EtOAc (3×50 mL). The combined organic solution was washed with brine (3×60 mL) dried (MgSO4) and concentrated in vacuo to give a pale yellow solid (2.8 g), was purified by flash chromatography [CHCl3-MeOH—HOAc (9:1:0.1)] to give the title product (2.6 g, 6.7 mmol, 840/yield), which was characterized by analytical HPLC (tR 23.1 min, >95% purity; Condition C); ESMS, calcd for C21H28N2O5, 388.2. Found: m/z 389.6 [M+H]+;1H-NMR (200 MHz, CDCl3): 7.2-7.4 (5H, m, Ar); 6.69 (1H, q, J=7.4 Hz, CH Dhb); 5.8-6.0 (1H, m, CH allyl); 5.2-5.3 (2H, m, CH2 g-allyl); 4.5-4.6 (2H, m, a-CH2 allyl); 3.1-3.3 (2H, m, b-CH2 Phe); 1.67 (3H, d, J=7.2 Hz, CH3 Dhb); 1.47 (9H, s, tBu);13C-NMR (50 MHz, CDCl3): 168.9 (CO); 163.1 (CO); 156.0 (CO); 136.0 (Cq, Ar); 132.6, 132.3 (CH, allyl; b-CH Dhb); 129.3 (CH, Ar); 128.7 (CH, Ar); 127.0 (CH, Ar); 117.9 (CH2, allyl); 81.7 (Cq, tBu); 66.0 (CH2, allyl); 56.3 (a-CH Phe); 38.2 (b-CH2 Phe); 28.0 (CH3, tBu); 14.7 (CH3 Dhb).

Example 10

[135]

[0135] Alloc-Phe-ZDhb-OH.

[136]

[0136] Alloc-Phe-ZDhb-OtBu (2.6 g, 6.7 mmol) was dissolved in TFA-CH2Cl2—H2O (90:8:2, 5.5 mL) and the mixture was allowed to stir for 3 h. The organic reaction was concentrated in vacuo to give the title product (2.2 g, 6.6 mmol, 99% yield), which was characterized by analytical HPLC (tR 17.0 min, >95% purity; Condition C); ESMS, calcd for C17H2O N2O5, 332.1. Found: m/z 333.7 [M+H]+;1H-NMR (200 MHz, CD3OD): 7.2-7.3 (5H, m, Ar); 6.84 (1H, q, J=7.2 Hz, CH Dhb); 5.8-6.0 (1H, m, CH allyl); 5.1-5.3 (2H, m, CH2 g-allyl); 4.4-4.5 (2H, m, a-CH2 allyl); 3.2-3.3 (1H, m, b CH2 Phe); 2.8-3.0 (1H, m, b-CH2 Phe); 1.66 (3H, d, J=7.4 Hz, CH3 Dhb);13C-NMR (50 MHz, CD3OD): 173.1 (CO); 138.5 (Cq, Ar); 136.7, 134.1 (CH, allyl; b-CH Dhb); 130.3 (CH, Ar); 129.4 (CH, Ar); 127.7 (CH, Ar); 117.4 (CH2, allyl); 66.6 (CH2, allyl); 57.8 (a-CH Phe); 39.1 (b-CH2 Phe); 14.1 (CH3 Dhb).

Example 11

[137]

[0137] 5-MeHex-D-Val-Thr(tBu)-Val-D-Val-D-Pro-Orn(Boc)-D-allo-Ile-D-allo-Thr(Val-Alloc)-D-allo-Ile-D-Val-O-TrtCl-resin.

[138]

[0138] Cl-TrtCl-resin (0.45 g, 1.35 mmol/g) was placed in a 10 mL polypropylene syringe fitted with a polyethylene filter disk. The peptidyl-resin was obtained following the same procedure described in Examples 1-3 except that in the coupling of the first aminoacid (Fmoc-D-Val-OH) to the resin 0.3 equiv instead of 0.2 equiv were used. The initial loading as calculated by AAA was 0.29 mmol/g. Once the aminoacids were coupled, an aliquot of the peptidyl-resin was treated with TFA-H2O (9:1) for 60 min and the HPLC (Condition B, tR 17.3 min) of the crude obtained after evaporation showed a purity of >80%. ESMS, calcd for C66H116 N12O17, 1,348.9. Found: m/z 1,350.1 [M+H]+.

Example 12

[139]

[0139] 5-MeHex-D-Val-Thr(tBu)-Val-D-Val-D-Pro-Orn(Boc)-D-allo-Ile-D-allo-Thr(Val-ZDhb-Phe-Alloc)-D-allo-Ile-D-Val-O-TrtCl-resin (via incorporation of the dipeptide).

[140]

[0140] The peptidyl-resin was treated with Pd(PPh3)4 (15.1 mg, 0.013 mmol, 0.1 equiv) in the presence of PhSiH3 (161 μL, 1.3 mmol, 10 equiv) under atmosphere of Ar, for removing the Alloc group. Alloc-Phe-ZDhb-OH (217 mg, 0.65 mmol, 5 equiv) and HATU (249 mg, 0.65 mmol, 5 equiv) were dissolved in DMF (1.25 mL) and added to peptidyl-resin, then DIEA (228 μL, 1.3 mmol, 10 equiv) was added and the mixture stirred overnight. After washings, the coupling was repeated with the same amount of reagents for 3 h., when the ninhydrin test was negative. After washings with DMF and CH2Cl2, an aliquot of the peptidyl-resin was treated with TFA-H2O (9:1) for 60 min and the HPLC (Condition B, tR 18.3 min) of the crude obtained after evaporation showed a purity by of >80%. MALDI-TOF-MS, calcd for C79H130N14O19, 1,579.0. Found: m/z 1,580.3 [M+H]+, 1,602.2 [M+Na]+, 1,618.2 [M+K]+.

Example 13

[141]

[0141] 5-MeHex-D-Val-Thr(tBu)-Val-D-Val-D-Pro-Orn(Boc)-D-allo-Ile-D-allo-Thr(Val-ZDhb-Phe-H)-D-allo-Ile-D-Val-OH.

[142]

[0142] The Alloc group from peptidyl-resin (Example 12) was removed with Pd(PPh3)4 (15.1 mg, 0.013 mmol, 0.1 equiv) in the presence of PhSiH3 (161 μL, 1.3 mmol, 10 equiv) under atmosphere of Ar. The final loading as calculated by AAA was 0.16 mmol/g (79% overall yield). The protected peptide was cleaved from the resin (235 mg, 37.5 mmol) by TFA-CH2Cl2 (1:99) (5×30 sec). The combined filtrates were evaporated to dryness under reduced pressure and lyophilized, to give 40.5 mg (24.5 mmol, 65%) of the title compound with a purity >80% as checked by HPLC (Condition B, tR 24.3 min). MALDI-TOF-MS, calcd for C84H142N14O19, 1,651.1. Found: m/z 1,674.8 [M+Na]+, 1,690.8 [M+K]+.

Example 14

[143]

[0143] Kahalalide F (I).

[144]

[0144] The protected peptide (Example 13) (38.5 mg, 23 μmol) was dissolved in DMF (25 mL), and PyBOP (36.4 mg, 70 μmol, 3 equiv) and DIEA (24 mL, 140 μmol, 6 equiv) were added. The mixture was allowed to stirr for 1 h, and then the solvent was removed by evaporation under reduced pressure. The protected cyclic peptide was dissolved in TFA-H2O (19:1, 5 mL) and the mixture was allowed to stir for 1 h. The solvent was removed by evaporation under reduced pressure, and then H2O (5 mL) was added and lyophilized. The crude product was purified as described in Example 7 to give the title product (3.6 mg, 2.4 μmol, 10% yield), which was identical to the one obtained in Example 7.

[145]

[0145] 5-MeHex-D-Val-Thr-D-Val-Val-D-Pro-Orn-D-allo-Ile-cyclo(D-allo-Thr-D-allo-Ile-D-Val-Phe-ZDhb-Val) (structure assigned to Kahalalide F by Goetz, G., et al. Tetrahedron, 1999, vol. 55, pp. 7739-7746)

Example 15

[146]

[0146] 5-MeHex-D-Val-Thr-D-Val-Val-D-Pro-Orn-D-allo-Ile-cyclo(D-allo-Thr-D-allo-Ile-D-Val-Phe-ZDhb-Val) (via dehydration in solid-phase).

[147]

[0147] Experimental procedures as decribed in Examples 1-7 were carried out with the only exception that, in Example 3, Fmoc-Val-OH was incorporated to D-Pro-peptidyl-resin and then after removal of the Fmoc group, the Fmoc-D-Val-OH was incorporated. The final loading as calculated by AAA was 0.106 mmo/g (87% overall yield), the cleavage yield was of the 83%, and 4.7 mg of the title compound were obtained, which represented a 13% overall yield in cyclization, deprotection and purification steps. This product eluted in HPLC 0.8-1.9 min later than an authentic sample of Kahalalide F [Condition D (tR 13.3 us 12.5 min), E (tR 18.8 us 17.4 min), and F(tR 14.0 us 12.1 min)]. MALDI-TOF-MS, calcd for C75H124N14O16, 1,477.9. Found: m/z 1,478.7 [M+H]+, 1,500.7 [M+Na]+, 1,516.6 [M+K]+.

[148]

[0148] The1H-NMR (500 MHz, d6-DMSO) spectrum of the compound (Tables II and III) was different from the one obtained for an authentic sample of Kahalalide F. The greatest difference was that the synthetic compound obtained, showed two conformations dued to a cis-trans equilibrium between L-Val-D-Pro residues which was not observed neither in the natural product nor in the isomer obtained in example 7.

(Major, trans isomer)
RESIDUEN—HOTHER
(Z)-Dhb9.67(s)6.33(q)1.27(d, J=7.0Hz,
γ-CH3)
D-al.lo-Ile 18.80(d)4.311.731.32, 0.77(γ-CH2,
γ-CH3, δ-CH3)
L-Phe8.78(d, J=5.5Hz)4.432.93(m)7.20(1H Ar, m)
7.28(4H Ar, m)
D-al.lo-Thr8.58(d, J=9.0Hz)4.534.95(m)1.07(d, J=6.5Hz,
γ-CH3)
L-Val 37.97(d, J=8.0Hz)4.341.940.84(2 γ-CH3)
L-Orn7.77(d, J=8.5Hz)4.471.46(2H)1.66(γ-CH2),
2.72(bs, δ-CH2),
7.66(ε-NH3+)
D-al.lo-Ile 27.87(d, J=8.5Hz)4.371.680.75(δ-CH3 o d-
CH3 and γ-CH3)
D-Val 57.904.221.950.85(2 γ-CH3)
L-Thr7.90(d)4.244.024.98(OH), 1.02(γ-
CH3)
D-Val 27.63(d, J=8.5Hz)4.452.180.77(γ-CH3), 0.62
(γ-CH3)
D-Val 47.56(d, J=9.0Hz)4.342.020.84(γ-CH3), 0.79
(γ-CH3),
L-Val 16.75(d)3.861.390.62(2 γ-CH3)
D-Pro4.302.03, 1.81, 1.73(β-CH2, γ-
CH2), 3.73(1H, m, δ-CH2),
3.52(1H, m, δ-CH2)
5-MeHex2.081.48(b-CH2, δ-CH), 1.11(γ-
(1H)CH2), 0.82(2 ε-CH3)
2.15
(1H)

[149]

[0149]

(Minor, cis isomer)
RESIDUEN—HOTHER
(Z)-Dhb9.63(s)6.33(q)1.28(d, J=6.5Hz,
γ-CH3)
D-al.lo-Ile 18.76(d)4.301.711.33, 0.76(γ-CH2,
γ-CH3, δ-CH3)
L-Phe8.78(d, J=5.5Hz)4.432.93(m)7.20(1 H Ar, m)
7.28(4H Ar, m)
D-al.lo-Thr8.58(d, J=9.0Hz)4.534.95(m)1.00(γ-CH3)
L-Val 38.06(d, J=8.5Hz)4.111.810.71(γ-CH3),
0.60(γ-CH3)
L-Orn8.37(d, J=9.0Hz)4.621.52(2H)1.64(γ-CH2),
2.78(bs, δ-CH2),
7.66(ε-NH3+)
D-al.lo-Ile 28.09(d, J=9.0Hz)4.421.640.77(δ-CH3 or d-
CH3 and γ-CH3)
D-Val 57.904.221.950.85(2 γ-CH3)
L-Thr7.88(d)4.233.994.93(OH), 1.02(γ-
CH3)
D-Val 27.63(d, J=8.5Hz)4.452.180.77(γ-CH3),
0.62(γ-CH3)
D-Val 47.49(d, J=9.0Hz)4.341.940.79(γ-CH3),
0.73(γ-CH3),
L-Val 16.72(d)3.841.380.62(2 γ-CH3)
D-Pro4.932.06, 1.89, 1.75(β-CH2, γ-
CH2), 3.3(m, δ-CH2)
5-MeHex2.081.48(β-CH2, δ-CH), 1.11(γ-
(1H)CH2), 0.82(2 ε-CH3)
2.15
(1H)

Example 15bis

[150]

[0150] 5-MeHex-D-Val-Thr-D-Val-Val-D-Pro-Orn-D-allo-Ile-cyclo(D-allo-Thr-D-allo-Ile-Val-Phe-ZDhb-Val).

[151]

[0151] Obtained as a side product during the preparation (racemization during the cyclization step) of Example 15. The product was characterized by HPLC (tR 17.6 min, Condition B) and MALDI-TOF-MS, calcd for C75H124N14O16, 1,477.9. Found: m/z 1,479.3 [M+H]+, 1,501.2 [M+Na]+, 1,517.2 [M+K]+.

Example 16

[152]

[0152] 5-MeHex-D-Val-Thr-D-Val-Val-D-Pro-Orn-D-allo-Ile-cyclo(D-allo-Thr-D-allo-Ile-D-Val-Phe-ZDhb-Val) (uia incorporation of the dipeptide).

[153]

[0153] Experimental procedures as described in Examples 8-14 were carried out with the only exception that, as in Example 14, Fmoc-Val-OH was incorporated to D-Pro-peptidyl-resin and then after removal of the Fmoc group, the Fmoc-D-Val-OH was incorporated. The final loading as calculated by AAA was 0.16 mmol/g (79% overall yield), the cleavage yield was of the 78%, and 3.4 mg of the title compound were obtained, which represented a 10% overall yield in cyclization, deprotection and purification steps. The product purified was identical to the one obtained in Example 15.

[154]

[0154] Hamann et al. Kahalalide B [5-MeHex-Tyr-cyclo(D-Ser-Phe-D-Leu-Pro-Thr-Gly)]

Example 17

[155]

[0155] H-Thr(tBu)-O-TrtCl-resin.

[156]

[0156] Cl-TrtCl-resin (0.5 g, 1.35 mmol/g) was placed in a 10 mL polypropylene syringe fitted with a polyethylene filter disk. The resin was then washed with CH2Cl2 (5×0.5 min), and a solution of Fmoc-Thr(tBu)-OH (54 mg, 0.135 mmol, 0.2 equiv) and DIEA (235 mL, 1.35 mmol, 2 equiv) in CH2Cl2 (1.25 mL) was added, and the mixture was stirred for 1 h. The reaction was terminated by addition of MeOH (400 mL), after a stirring of 15 min. The Fmoc-Thr(tBu)-O-TrtCl-resin was subjected to the following washings/treatments with CH2Cl2 (3×0.5 min), DMF (3×0.5 min), piperidine-CH2Cl2-DMF (1:9.5:9.5, 1×10 min), piperidine-DMF (1:4, 1×15 min), DMF (5×0.5 min), isopropanol (2×1 min), DMF (5×0.5 min), MeOH (2×1 min), and dried over vacuum. The loading as calculated by AAA was 0.15 mmol/g.

Example 18

[157]

[0157] 5-MeHex-Tyr-D-Ser(Gly-H)-Phe-D-Leu-Pro-Thr-OH.

[158]

[0158] Fmoc-Pro-OH (178 mg, 0.53 mmol, 7 equiv), Fmoc-D-Leu-OH (187 mg, 0.53 mmol, 7 equiv), Fmoc-Phe-OH (204 mg, 0.53 mmol, 7 equiv), Fmoc-D-Ser-OH (free hydroxy group) (173 mg, 0.53 mmol, 7 equiv), Fmoc-Tyr(tBu)—OH (243 mg, 0.53 mmol, 7 equiv), and 5-MeHex-OH (69 mg, 0.53 mmol, 7 equiv) were added sequentially to the above obtained H-Thr(tBu)-O-TrtCl-resin using DIPCDI (82 μL, 0.53 mmol, 7 equiv) and HOBt (81 mg, 0.53 mmol, 7 equiv) in DMF (1.25 mL). In all cases except for D-Ser, after 90 min of coupling, the ninhydrin test was negative. Fmoc-DSer-OH (173 mg, 0.53 mmol, 7 equiv) was recoupled with HATU (201 mg, 0.53 mmol, 7 equiv) in the presence of DIEA (184 μL, 1.06 mmol, 14 equiv) in DMF for 90 min. Removal of Fmoc group and washings were carried out as described in General Procedures. Boc-Gly-OH (119 mg, 0.68 mmol, 9 equiv) was coupled with DIPCDI (105 μL, 0.68 mmol, 9 equiv) in the presence of DMAP (8.3 mg, 68 μmol, 0.9 equiv) for 2.5 h. The coupling was repeated with fresh reagents for 1.5 h. The final loading was 0.10 mmol/g, which represented a 77% synthesis yield. The unprotected peptide was cleaved from the resin (525 mg, 54 μmol) by TFA-H2O (92:8) for 2 h. The combined filtrates were evaporated to dryness under reduced pressure, H2O (5 mL) was added, and the solution lyophilized to give 43.0 mg (48.0 μmol, 89% yield) of the title compound with a purity of >85% as checked by HPLC (Condition A, tR 18.5 min). ESMS, calcd for C45H65N7O12, 895.5. Found: m/z 896.6 [M+H]+.

Example 19

[159]

[0159] Kahalalide B [5-MeHex-Tyr-cyclo(D-Ser-Phe-D-Leu-Pro-Thr-Gly)].

[160]

[0160] The unprotected peptide (Example 18) (40.5 mg, 45 μmol) was dissolved in DMF (48 mL), and PyBOP (70 mg, 0.135 mmol, 3 equiv) and DIEA (47 mL, 0.271 mmol, 6 equiv) were added. The mixture was allowed to stirr for 2 h, and then the solvent was removed by evaporation under reduced pressure, H2O (5 mL) was added, and the solution lyophilized. The crude product was purified by medium pressure chromatography (Vydac C18 15-20 μm, 300 Å, 240×24 mm), linear gradient from 20% to 60% of acetonitrile (+0.05% TFA) in water (+0.05% TFA) in 5 h (300 mL each solvent), 120 mL/h, detection at 220 nm, to give the title product (8.7 mg, 9.9 μmol, 22% yield). The product was characterized by HPLC (Condition A, tR 21.6 min) and MALDI-TOF-MS, calcd for C45H63N7O11, 877.5. Found: m/z878.7 [M+H]+, 900.6 [M+Na]+, 916.5 [M+K]+. AAA: Gly 1.02 (1), Thr 0.95 (1), Phe 0.99 (1), Ser 1.00 (1), Pro 1.20 (1), Leu 1.00 (1), Tyr 0.87 (1).

Example 20

[161]

[0161] 5-MeHex-D-Val-Thr-Val-D-Val-D-Pro-Orn-D-allo-Ile-cyclo(D-allo-Thr-D-allo-Ile-D-Val-Phe-Etg-Val).

[162]

[0162] Experimental procedures as decribed in Examples 1-4 and 6-7, starting with 200 mg of resin, were carried out with the only exception that, in Example 4, Fmoc-Thr-OH was replaced by Fmoc-Etg-OH. The product was characterized by HPLC (tR 16.8 min, Condition B) and MALDI-TOF-MS, calcd for C75H126N14O16, 1,479.0. Found: m/z 1,480.2 [M+H]+, 1,502.2 [M+Na]+, 1,518.0 [M+K]+.

Example 20b

[163]

[0163] 5-MeHex-D-Val-Thr-Val-D-Val-D-Pro-Orn-D-allo-Ile-cyclo(D-allo-Thr-D-allo-Ile-D-Val-Phe-D-Etg-Val).

[164]

[0164] Experimental procedures as decribed in Examples 1-4 and 6-7, starting with 200 mg of resin, were carried out with the only exception that, in Example 4, Fmoc-Thr-OH was replaced by Fmoc-D-Etg-OH. The product was characterized by HPLC (tR 17.0 min, Condition B) and MALDI-TOF-MS, calcd for C75H126N14O16, 1,479.0. Found: m/z 1,501.0 [M+Na]+, 1,517.9 [M+K]+.

Example 20c

[165]

[0165] 5-MeHex-D-Val-Thr-Val-D-Val-D-Pro-Orn-D-alloIle-yclo(D-allo-Thr-D-allo-Ile-D-Val-Phe-D-Thr-Val).

[166]

[0166] Experimental procedures as decribed in Examples 1-4 and 6-7, starting with 200 mg of resin, were carried out with the only exception that, in Example 4, Fmoc-Thr(tBu)-OH was replaced by Fmoc-D-Thr(tBu)-OH. The product was characterized by HPLC (tR 19.9 min, Condition B) and MALDI-TOF-MS, calcd for C75H126N14O17, 1,494.9. Found: m/z 1,517.4 [M+Na]+, 1,533.4 [M+K]+.

Example 20d

[167]

[0167] 5-MeHex-D-Val-Thr-Val-D-Val-D-Pro-Orn-D-allo-Ile-cyclo(D-allo-Thr-D-allo-Ile-D-Val-Phe-D-allo-Thr-Val).

[168]

[0168] Experimental procedures as decribed in Examples 1-4 and 6-7, starting with 200 mg of resin, were carried out with the only exception that, in Example 4, Fmoc-Thr(tBu)-OH was replaced by Fmoc-D-alloThr-OH. The product was characterized by HPLC (tR 18.0 min, Condition B) and MALDI-TOF-MS, calcd for C75H126N14O17, 1,494.9. Found: m/z 1,496.6 [M+H]+, 1,518.6 [M+Na]+, 1,534.6 [M+K]+.

Example 20e

[169]

[0169] 5-MeHex-D-Val-Thr-Val-D-Val-D-Pro-Orn-D-allo-Ile-cyclo(D-allo-Thr-D-allo-Ile-D-Val-Phe-D-Phe-Val).

[170]

[0170] Experimental procedures as decribed in Examples 1—7, starting with 200 mg of resin, were carried out with the only exception that, in Example 4, Fmoc-Thr-OH was replaced by Fmoc-D/L-(b-OH)Phe-OH. The product was characterized by HPLC (tR 22.2 min, Condition B) and MALDI-TOF-MS, calcd for C80H126N14O16, 1,538.95. Found: m/z 1,540.3 [M+H]+, 1,562.4 [M+Na]+, 1,578.3 [M+K]+.

Example 21

[171]

[0171] 5-MeHex-D-Val-Thr-Val-D-Val-D-Pro-Orn-D-allo-Ile-cyclo(D-Dpa-D-allo-Ile-D-Val-Phe-ZDhb-Val).

[172]

[0172] Experimental procedures as decribed in Examples 1-7, starting with 200 mg of resin, were carried out with the only exceptions that, in Example 2, Fmoc-D-allo-Thr-OH was replaced by Fmoc-D-Dpa(Alloc)-OH and that before the incorporation of Alloc-Val-OH, which was incorporated as the rest of protected amino acids, the Alloc group from the Dpa was removed as indicated above. The product was characterized by HPLC and ESMS, calcd for C74H123 N15 O15, 1,461.9. Found: m/z 1,463.3 [M+H]+.

Example 22

[173]

[0173] But-D-Val-Thr-Val-D-Val-D-Pro-Orn-D-allo-Ile-cydo(D-allo-Thr-D-allo-Ile-D-Val-Phe-ZDhb-Val).

[174]

[0174] Experimental procedures as decribed in Examples 1-7, starting with 200 mg of resin, were carried out with the only exceptions that, in Example 3,5-MeHex was replaced by But-OH. The product was characterized by HPLC (tR 14.7 min, Condition B) and MALDI-TOF-MS, calcd for C72H118 N14 O16, 1,435.9. Found: m/z 1,459.6 [M+Na]+, 1,475.6 [M+K]+.

Example 22bis

[175]

[0175] But-D-Val-Thr-Val-D-Val-D-Pro-Orn-D-allo-Ile-cyclo(D-allo-Thr-D-allo-Ile-Val-Phe-ZDhb-Val).

[176]

[0176] Obtained as a side product during the preparation (racemization during the cyclization step) of Example 22. The product was characterized by HPLC (tR 16.0 min, Condition B) and MALDI-TOF-MS, calcd for C72H118 N14 O16, 1,435.9. Found: m/z 1,459.5 [M+Na]+, 1,475.5 [M+K]+.

Example 23

[177]

[0177] 3-MeBut-D-Val-Thr-Val-D-Val-D-Pro-Orn-D-allo-Ile-cyclo(D-allo-Thr-D-allo-Ile-D-Val-Phe-ZDhb-Val).

[178]

[0178] Experimental procedures as decribed in Examples 1-7, starting with 200 mg of resin, were carried out with the only exceptions that, in Example 3,5-MeHex was replaced by 3-MeBut-OH. The product was characterized by HPLC (tR 15.9 min, Condition B) and MALDI-TOF-MS, calcd for C73H120N14O16, 1,449.9. Found: m/z 1,473.2 [M+Na]+, 1,489.2 [M+K]+.

Example 23bis

[179]

[0179] 3-MeBut-D-Val-Thr-Val-D-Val-D-Pro-Orn-D-allo-Ile-cyclo(D-allo-Thr-D-allo-Ile-D-Val-Phe-ZDhb-Val).

[180]

[0180] Obtained as a side product during the preparation (racemization during the cyclization step) of Example 23. The product was characterized by HPLC (tR 17.0 min, Condition B) and ESMS, calcd for C73H120 N14 O16, 1,449.9. Found: m/z 1,473.3 [M+Na]+, 1,489.4 [M+K]+.

Example 24

[181]

[0181] 3,3-DiMeBut-D-Val-Thr-Val-D-Val-D-Pro-Orn-D-allo-Ile-cyclo(D-allo-Thr-D-allo-Ile-D-Val-Phe-ZDhb-Val).

[182]

[0182] Experimental procedures as decribed in Examples 1-7, starting with 200 mg of resin, were carried out with the only exceptions that, in Example 3,5-MeHex was replaced by 3,3-DiMeBut-OH. The product was characterized by HPLC (tR 16.3 min, Condition B) and MALDI-TOF-MS, calcd for C74H122N14O16, 1,463.9. Found: m/z 1,487.4 [M+Na]+, 1,503.6 [M+K]+.

Example 24bis

[183]

[0183] 3,3-DiMeBut-D-Val-Thr-Val-D-Val-D-Pro-Orn-D-allo-Ile-cyclo(D-allo-Thr-D-allo-Ile-Val-Phe-ZDhb-Val).

[184]

[0184] Obtained as a side product during the preparation (racemization during the cyclization step) of Example 24. The product was characterized by HPLC (tR 17.6 min, Condition B) and MALDI-TOF-MS, calcd for C74H122N14O16, 1,463.9. Found: m/z 1,487.3 [M+Na]+, 1,503.3 [M+K]+.

Example 25

[185]

[0185] 4-MePen-D-Val-Thr-Val-D-Val-D-Pro-Orn-D-allo-Ile-cyclo(D-allo-Thr-D-allo-Ile-D-Val-Phe-ZDhb-Val).

[186]

[0186] Experimental procedures as decribed in Examples 1-7, starting with 200 mg of resin, were carried out with the only exceptions that, in Example 3,5-MeHex was replaced by 4-MePen-OH. The product was characterized by HPLC (tR 16.5 min, Condition B) and MALDI-TOF-MS, calcd for C74H122N14O16, 1,463.9. Found: m/z 1,487.7 [M+Na]+, 1,503.6 [M+K]+.

Example 25bis

[187]

[0187] 4-MePen-D-Val-Thr-Val-D-Val-D-Pro-Orn-D-allo-Ile-cyclo(β-allo-Thr-D-allo-Ile-Val-Phe-ZDhb-Val).

[188]

[0188] Obtained as a side product during the preparation (racemization during the cyclization step) of Example 25. The product was characterized by HPLC (tR 17.8 min, Condition B) and MALDI-TOF-MS, calcd for C74H122N14O16, 1,463-9. Found: m/z 1,487.8 [M+Na]+, 1,503.6 [M+K]+.

Example 26

[189]

[0189] Hep-D-Val-Thr-Val-D-Val-D-Pro-Orn-D-allo-Ile-cyclo(D-allo-Thr-D-allo-Ile-D-Val-Phe-ZDhb-Val).

[190]

[0190] Experimental procedures as decribed in Examples 1-7, starting with 200 mg of resin, were carried out with the only exceptions that, in Example 3,5-MeHex was replaced by Hep-OH. The product was characterized by HPLC (tR 17.5 min, Condition B) and MALDI-TOF-MS, calcd for C75H124 N14O16, 1,477.9. Found: m/z 1,501.4 [M+Na]+, 1,517.5 [M+K]+.

Example 26bis

[191]

[0191] Hep-D-Val-Thr-Val-D-Val-D-Pro-Orn-D-allo-Ile-cyclo(D-allo-Thr-D-allo-Ile-Val-Phe-ZDhb-Val).

[192]

[0192] Obtained as a side product during the preparation (racemization during the cyclization step) of Example 26. The product was characterized by HPLC (tR 18.9 min, Condition B) and MALDI-TOF-MS, calcd for C75H124N14O16, 1,477-9. Found: m/z 1,501.6 [M+Na]+, 1,517.7 [M+K]+.

Example 27

[193]

[0193] Pal-D-Val-Thr-Val-D-Val-D-Pro-Orn-D-allo-Ile-cyclo(D-allo-Thr-D-allo-Ile-D-Val-Phe-ZDhb-Val).

[194]

[0194] Experimental procedures as decribed in Examples 1-7, starting with 200 mg of resin, were carried out with the only exceptions that, in Example 3,5-MeHex was replaced by Pal-OH. The product was characterized by HPLC (tR 22.1 min, Condition G) and MALDI-TOF-MS, calcd for C84H142 N14O16, 1,603.1. Found: m/z 1,626.9 [M+Na]+, 1,642.9 [M+K]+.

Example 27bis

[195]

[0195] Pal-D-Val-Thr-Val-D-Val-D-Pro-Orn-D-allo-Ile-cyclo(D-allo-Thr-D-allo-Ile-Val-Phe-ZDhb-Val).

[196]

[0196] Obtained as a side product during the preparation (racemization during the cyclization step) of Example 27. The product was characterized by HPLC (tR 23.2 min, Condition G) and MALDI-TOF-MS, calcd for C84H142N14O16, 1,603.1. Found: m/z 1,626.8 [M+Na]+, 1,642.8 [M+K]+.

Example 27a

[197]

[0197] 4-DiMeABut-D-Val-Thr-Val-D-Val-D-Pro-Orn-D-allo-Ile-cyclo(D-allo-Thr-D-allo-Ile-D-Val-Phe-Z-Dhb-Val).

[198]

[0198] Experimental procedures as decribed in Examples 1-7, starting with 200 mg of resin, were carried out with the only exceptions that, in Example 3,5-MeHex was replaced by 4-DiMeABut-OH. The product was characterized by HPLC (tR 12.0 min, Condition B) and MALDI-TOF-MS, calcd for C74H123 N15 O16, 1,477.9. Found: m/z 1,478.6 [M+H]+, 1,500.6 [M+Na]+, 1,516.6 [M+K]+.

Example 27b

[199]

[0199] 2-Hedo-D-Val-Thr-Val-D-Val-D-Pro-Orn-D-allo-Ile-cyclo(D-allo-Thr-D-allo-Ile-D-Val-Phe-ZDhb-Val).

[200]

[0200] Experimental procedures as decribed in Examples 1-7, starting with 200 mg of resin, were carried out with the only exceptions that, in Example 3,5-MeHex was replaced by 2-Hedo-OH. The product was characterized by HPLC (tR 15.8 min, Condition B) and MALDI-TOF-MS, calcd for C74H118 N14O16, 1,458.9. Found: m/z 1,460.0 [M+H]+, 1,482.0 [M+Na]+, 1,497.9 [M+K]+.

Example 27c

[201]

[0201] 4-AcBut-D-Val-Thr-Val-D-Val-D-Pro-Orn-D-allo-Ile-cyclo(D-allo-Thr-D-allo-Ile-D-Val-Phe-ZDhb-Val).

[202]

[0202] Experimental procedures as decribed in Examples 1-7, starting with 200 mg of resin, were carried out with the only exceptions that, in Example 3,5-MeHex was replaced by 4-AcBut-OH. The product was characterized by HPLC (tR 18.2 min, Condition B) and MALDI-TOF-MS, calcd for C74H120N14O18, 1,492.9. Found: m/z 1,493.7 [M+H]+, 1,515.8 [M+Na]+, 1,531.7 [M+K]+.

Example 27d

[203]

[0203] 4-HOBut-D-Val-Thr-Val-D-Val-D-Pro-Orn-D-allo-Ile-cyclo(D-allo-Thr-D-allo-Ile-D-Val-Phe-ZDhb-Val).

[204]

[0204] Experimental procedures as decribed in Examples 1-7, starting with 200 mg of resin, were carried out with the only exceptions that, in Example 3,5-MeHex was replaced by 4-HOBut-OH. The product was characterized by HPLC (tR 16.6 min, Condition B) and MALDI-TOF-MS, calcd for C72H118N14O17, 1,450.9. Found: m/z 1,451.6 [M+H]+, 1,473.6 [M+Na]+, 1,489.6 [M+K]+.

Example 27e

[205]

[0205] Ac-D-Val-Thr-Val-D-Val-D-Pro-Orn-D-allo-Ile-cyclo(D-allo-Thr-D-allo-Ile-D-Val-Phe-ZDhb-Val).

[206]

[0206] Experimental procedures as decribed in Examples 1-7, starting with 200 mg of resin, were carried out with the only exceptions that, in Example 3,5-MeHex was replaced by HOAc. The product was characterized by HPLC (tR 17.0 min, Condition B) and MALDI-TOF-MS, calcd for C70H114 N14 O16, 1,406.9. Found: m/z 1,407.8 [M+H]+, 1,429.8 [M+Na]+.

Example 27f

[207]

[0207] TFA-D-Val-Thr-Val-D-Val-D-Pro-Orn-D-allo-Ile-cyclo(D-allo-Thr-D-allo-Ile-D-Val-Phe-ZDhb-Val).

[208]

[0208] Obtained as a side product during the preparation (trifluoroacetylion during the cyclization step) of Example 27e. The product was characterized by HPLC (tR 14.7 min, Condition B) and MALDI-TOF-MS, calcd for C70H111F3N14O16, 1,460.8. Found: m/z 1,462.0 [M+H]+, 1,484.1 [M+Na]+, 1,500.0 [M+K]+.

Example 27g

[209]

[0209] AcButBut-D-Val-Thr-Val-D-Val-D-Pro-Orn-D-allo-Ile-cyclo(D-allo-Thr-D-allo-Ile-D-Val-Phe-ZDhb-Val).

[210]

[0210] Experimental procedures as decribed in Examples 1-7, starting with 200 mg of resin, were carried out with the only exceptions that, in Example 3,5-MeHex was replaced by AcButBut-OH. The product was characterized by HPLC (tR 14.1 min, Condition B) and MALDI-TOF-MS, calcd for C78H126N14O20, 1,578.9. Found: m/z 1,581.2 [M+H]+, 1,602.2 [M+Na]+, 1,618.2 [M+K]+.

Example 27h

[211]

[0211] IBut-D-allo-Ile-D-Val-Thr-Val-D-Val-D-Pro-Orn-D-allo-Ile-cyclo(D-allo-Thr-D-allo-Ile-D-Val-Phe-ZDhb-Val).

[212]

[0212] Experimental procedures as decribed in Examples 1-7, starting with 200 mg of resin, were carried out with the only exceptions that, in Example 3,5-MeHex was replaced by Fmoc-D-allo-Ile-OH, removal of the Fmoc group and acylation with IBut-OH. The product was characterized by HPLC (tR 15.3 min, Condition B) and MALDI-TOF-MS, calcd for C78H129 N15O17, 1,548.0. Found: m/z 1,548.8 [M+H]+, 1,570.8 [M+Na]+, 1,586.8 [M+K]+.

Example 27i

[213]

[0213] Lit-D-Val-Thr-Val-D-Val-D-Pro-Orn-D-allo-Ile-cyclo(D-allo-Thr-D-allo-Ile-D-Val-Phe-ZDhb-Val).

[214]

[0214] Experimental procedures as decribed in Examples 1-7, starting with 200 mg of resin, were carried out with the only exceptions that, in Example 3,5-MeHex was replaced by Lit-OH. The product was characterized by HPLC (tR 13.1 min, Condition H) and MALDI-TOF-MS, calcd for C92H150 N14O17, 1,723.1. Found: m/z 1,724.6 [M+H]+, 1,746.6 [M+Na]+, 1,761.5 [M+K]+.

Example, 27j

[215]

[0215] TFA-Lit-D-Val-Thr-Val-D-Val-D-Pro-Orn-D-allo-Ile-cyclo(D-allo-Thr-D-allo-Ile-D-Val-Phe-ZDhb-Val).

[216]

[0216] Obtained as a side product during the preparation (trifluoroacetylion during the cyclization step) of Example 27i. The product was characterized by HPLC (tR 17.1 min, Condition H) and MALDI-TOF-MS, calcd for C94H159F3N14O18, 1,819.1. Found: m/z 1,820.6 [M+H]+, 1,842.6 [M+Na]+, 1,858.6 [M+K]+.

Example 27k

[217]

[0217] Tico-D-Val-Thr-Val-D-Val-D-Pro-Orn-D-allo-Ile-cyclo(D-allo-Thr-D-allo-Ile-D-Val-Phe-ZDhb-Val).

[218]

[0218] Experimental procedures as decribed in Examples 1-7, starting with 200 mg of resin, were carried out with the only exceptions that, in Example 3,5-MeHex was replaced by Tico-OH. The product was characterized by HPLC (tR 16.8 min, Condition H) and ES-MS, calcd for C92H158N14O16, 1,715.2. Found: m/z858.2 [M+H]+/2, 1,171.8 [M+H]+.

Example 28

[219]

[0219] H-D-Val-Thr-Val-D-Val-D-Pro-Orn-D-allo-Ile-cyclo(D-allo-Thr-D-allo-Ile-D-Val-Phe-ZDhb-Val).

[220]

[0220] Experimental procedures as decribed in Examples 1-7, starting with 200 mg of resin, were carried out with the only exceptions that, in Example 3,5-MeHex was not incorporated and Fmoc-D-Val-OH was replaced by Fmoc-D-Val-OH. The product was characterized by HPLC (tR 11.6 min, Condition B) and MALDI-TOF-MS, calcd for C68H112 N14 O15, 1,364.8. Found: m/z 1,388.3 [M+Na]+, 1,404.3 [M+K]+.

Example 28bis

[221]

[0221] H-D-Val-Thr-Val-D-Val-D-Pro-Orn-D-allo-Ile-cyclo(D-allo-Thr-D-allo-Ile-Val-Phe-Z-Dhb-Val).

[222]

[0222] Obtained as a side product during the preparation (racemization during the cyclization step) of Example 28. The product was characterized by HPLC (tR 12.9 min, Condition B) and MALDI-TOF-MS, calcd for C68H112 N14 O15, 1,364.8. Found: m/z 1,388.4 [M+Na]+, 1,404.4 [M+K]+.

Example 29

[223]

[0223] 5-MeHex-D-Val-Thr-Val-D-Val-D-Pro-D-allo-Ile-cyclo(D-allo-Thr-D-allo-Ile-D-Val-Phe-ZDhb-Val).

[224]

[0224] Experimental procedures essentially as decribed in Examples 1-7, but according to the scheme 2.

[225]

[0225] The synthesis starts with 200 mg of resin and Fmoc-Orn(Boc)-OH was not incorporated. The product was characterized by HPLC (tR 23.9 min, Condition A) and MALDI-TOF-MS, calcd for C70H114 N12O15, 1,362.9. Found: m/z 1,386.4 [M+Na]+. 1,402.4 [M+K]+.

Example 29bis

[226]

[0226] 5-MeHex-D-Val-Thr-Val-D-Val-D-Pro-D-allo-Ile-cyclo(D-allo-Thr-D-allo-Ile-D-Val-Phe-ZDhb-Val).

[227]

[0227] Obtained as a side product during the preparation (racemization during the cyclization step) of Example 29. The product was characterized by HPLC and MALDI-TOF-MS.

Example 30

[228]

[0228] 5-MeHex-D-Val-Thr-Val-D-Val-D-allo-Ile-cyclo(D-allo-Thr-D-allo-Ile-D-Val-Phe-Z-Dhb-Val).

[229]

[0229] Experimental procedures essentially as decribed in Examples 1-7, but according the scheme 2. The synthesis starts with 200 mg of resin and Fmoc-Orn(Boc)-OH and Fmoc-D-Pro-OH were not incorporated. The product was characterized by HPLC (tR 20.3 min, Condition B) and MALDI-TOF-MS, calcd for C65H107 N11O14, 1,265.8. Found: m/z 1,288.5 [M+Na]+, 1,304.5 [M+K]+.

Example 31

[230]

[0230] 5-MeHex-D-Val-Thr-Val-D-allo-Ile-cyclo(D-allo-Thr-D-allo-Ile-D-Val-Phe-Z Dhb-Val).

[231]

[0231] Experimental procedures essentially as decribed in Examples 1-7, but according the scheme 2. The synthesis starts with 200 mg of resin and Fmoc-Orn(Boc)-OH, Fmoc-D-Pro-OH, and Fmoc-D-Val-OH were not incorporated. The product was characterized by HPLC (tR 20.0 min, Condition B) and MALDI-TOF-MS, calcd for C60H98N10O13, 1,166.7. Found: m/z 1,190.9 [M+Na]+, 1,206.9 [M+K]+.

Example 32

[232]

[0232] 5-MeHex-D-Val-Thr-D-allo-Ile-cyclo(D-allo-Thr-D-allo-Ile-D-Val-Phe-ZDhb-Val).

[233]

[0233] Experimental procedures essentially as decribed in Examples 1-7, but according the scheme 2. The synthesis starts with 200 mg of resin and Fmoc-Orn(Boc)-OH, Fmoc-D-Pro-OH, Fmoc-D-Val-OH, and Fmoc-Val-OH were not incorporated. The product was characterized by HPLC (tR 24.6 min, Condition A) and MALDI-TOF-MS, calcd for C55H89N9O12, 1,067.7. Found: m/z 1,068.7 [M+H]+, 1,090.6 [M+Na]+, 1,106.5[M+K]+.

Example 33

[234]

[0234] 5-MeHex-D-Val-D-allo-Ile-cyclo(D-allo-Thr-D-allo-Ile-D-Val-Phe-ZDhb-Val).

[235]

[0235] Experimental procedures essentially as decribed in Examples 1-7, but according the scheme 2. The synthesis starts with 200 mg of resin and Fmoc-Orn(Boc)-OH, Fmoc-D-Pro-OH, Fmoc-D-Val-OH, Fmoc-Val-OH, and Fmoc-Thr(tBu)-OH were not incorporated. The product was characterized by HPLC (tR 19.8 min, Condition B) and MALDI-TOF-MS, calcd for C51H82N8O10, 966.6. Found: m/z990.7 [M+Na]+, 1007.2 [M+K]+.

Example 34

[236]

[0236] 5-MeHex-D-allo-Ile-cyclo(D-allo-Thr-D-allo-Ile-D-Val-Phe-ZDhb-Val).

[237]

[0237] Experimental procedures essentially as decribed in Examples 1-7, but according the scheme 2. The synthesis starts with 200 mg of resin and Fmoc-Orn(Boc)-OH, Fmoc-D-Pro-OH, Fmoc-D-Val-OH, Fmoc-Val-OH, Fmoc-Thr(tBu)-OH, and Fmoc-D-Val-OH were not incorporated. The product was characterized by HPLC (tR 22.0 min, Condition B) and MALDI-TOF-MS, calcd for C46H73N7O9, 867.6. Found: m/z 890.6 [M+Na]+, 906.6 [M+K]+.

Example 35

[238]

[0238] 5-MeHex-cyclo(D-alloThr-D-allo-le-D-Val-Phe-ZDhb-Val)

[239]

[0239] Experimental procedures essentially as decribed in Examples 1-7, but according the scheme 2. The synthesis starts with 200 mg of resin and Fmoc-D-allo-Ile-OH, Fmoc-Orn(Boc)-OH, Fmoc-D-Pro-OH, Fmoc-D-Val-OH, Fmoc-Val-OH, Fmoc-Thr(tBu)-OH, and Fmoc-D-Val-OH were not incorporated. The product was characterized by HPLC (tR 17.1 min, Condition B) and ESMS, calcd for C40H62N6O8, 754.5 Found: m/z 755.7 [M+H]+, 777.7 [M+Na]+, 793.7 [M+K]+.

[240]

[0240] Bioactivity

[241]

[0241] The bioactivity of compounds of this invention is demonstrated by the results in the following tables obtained in accordance with the methodology of Berjeron et al., Biochem and Bioph Res. Comm., 1984, 121, 3, 848-854. The cell lines are P388, murine lymphoma; A549, human lung carcinoma; HT-29, human colon carcinoma; MEL-28, human melanoma; DU-145, human prostate carcinoma.

Kahalalide F congeners
CompoundCycleChain**MW
27jcyclo(D-allo-Thr-D-allo-Ile-D-Terminal: TFA-Lit-1820
Val-Phe-Z-Dhb-Val)
27icyclo(D-allo-Thr-D-allo-Ile-D-Terminal: lithocholoyl(Lit).1724
Val-Phe-Z-Dhb-Val)
27cyclo(D-allo-Thr-D-allo-Ile-D-Terminal: palmitoyl Palm1604
Val-Phe-Z-Dhb-Val)
27biscyclo(D-allo-Thr-D-allo-Ile-Val-Terminal: palmitoyl Palm1604
Phe-Z-Dhb-Val)
27gcyclo(D-allo-Thr-D-allo-Ile-D-Terminal: 4-(4-1579
Val-Phe-Z-Dhb-Val)acetoxybutanoyloxy)-butyryl
(AcButBut-)
27hcyclo(D-allo-Thr-D-allo-Ile-D-IBut-D-allo-Ile-D-Val-L-Thr-L-Val-1548
Val-Phe-Z-Dhb-Val)D-Val-D-Pro-L-Orn-D-allo-Ile-
20ecyclo(D-allo-Thr-D-allo-Ile-D-5-MeHex-D-Val-L-Thr-L-Val-D-1539
Val-Phe-D-Phe-Val)-Val-D-Pro-L-Orn-D-allo-Ile-
D-Phe: a,b-didehydro-
phenylalanine
20ccyclo(D-allo-Thr-D-allo-Ile-D-5-MeHex-D-Val-L-Thr-L-Val-D-1495
Val-Phe-Thr-Val)Val-D-Pro-L-Orn-D-allo-Ile-
27ccyclo(D-allo-Thr-D-allo-Ile-D-Terminal: 4-acetoxibutyryl1493
Val-Phe-Z-Dhb-Val)(4-AcBut)
20cyclo(D-allo-Thr-D-allo-Ile-D-5-MeHex-D-Val-L-Thr-L-Val-D-1479
Val-Phe-L-Etg-Val)Val-D-Pro-L-Orn-D-allo-Ile-
20bcyclo(D-allo-Thr-D-allo-Ile-D-5-MeHex-D-Val-L-Thr-L-Val-D-1479
Val-Phe-D-Etg-Val)Val-D-Pro-L-Orn-D-allo-Ile-
27acyclo(D-allo-Thr-D-allo-Ile-D-Terminal: N,N-dimethyl-4-1478
Val-Phe-Z-Dhb-Val)aminobutyryl(4-DiMeABut)
(as Scheuer)cyclo(D-allo-Thr-D-allo-Ile-D-5-MeHex-D-Val-L-Thr-D-Val-L-1477
15Val-Phe-Z-Dhb-Val)Val-D-Pro-L-Orn-D-allo-Ile-
15 biscyclo(D-allo-Thr-D-allo-Ile-Val-5-MeHex-D-Val-L-Thr-D-Val-L-1477
Phe-Z-Dhb-Val)Val-D-Pro-L-Orn-D-allo-Ile-
26cyclo(D-allo-Thr-D-allo-Ile-D-Terminal: Heptanoyl(Hep)1477
Val-Phe-Z-Dhb-Val)
26 biscyclo(D-allo-Thr-D-allo-Ile-Val-Terminal: Heptanoyl(Hep)1477
Phe-Z-Dhb-Val)
(Rinehart)cyclo(D-allo-Thr-D-allo-Ile-D-5-MeHex-D-Val-L-Thr-L-Val-D-1477
 7Val-Phe-Z-Dhb-Val)Val-D-Pro-L-Orn-D-allo-Ile-
 7 biscyclo(D-allo-Thr-D-allo-Ile-Val-5-MeHex-D-Val-L-Thr-L-Val-D-1477
Phe-Z-Dhb-Val)Val-D-Pro-L-Orn-D-allo-Ile-
24cyclo(D-allo-Thr-D-allo-Ile-D-Terminal: 3,3-dimethylbutyryl1463
Val-Phe-Z-Dhb-Val)(3,3-DiMeBut)
24 biscyclo(D-allo-Thr-D-allo-Ile-Val-Terminal: 3,3-dimethylbutyryl1463
Phe-Z-Dhb-Val)(3,3-DiMeBut)
25cyclo(D-allo-Thr-D-allo-Ile-D-Terminal: 3-Methylpentanoyl1463
Val-Phe-Z-Dhb-Val)(4-MePen)
25 biscyclo(D-allo-Thr-D-allo-Ile-Val-Terminal: 3-Methylpentanoyl1463
Phe-Z-Dhb-Val)(4-MePen)
27fcyclo(D-allo-Thr-D-allo-Ile-D-Terminal: trifluoracetyl(TFA)1461
Val-Phe-Z-Dhb-Val)
27bcyclo(D-allo-Thr-D-allo-Ile-D-Terminal: 2,4-hexadienoyl(Hedo)1459
Val-Phe-Z-Dhb-Val)
27dcyclo(D-allo-Thr-D-allo-Ile-D-Terminal: 4-hydroxybutyryl1451
Val-Phe-Z-Dhb-Val)
23cyclo(D-allo-Thr-D-allo-Ile-D-Terminal: 3-Methylbutyryl1451
Val-Phe-Z-Dhb-Val)(3-MetBut)
23bcyclo(D-allo-Thr-D-allo-Ile-Val-Terminal: 3-Methylbutyryl1451
Phe-Z-Dhb-Val)(3-MetBut)
22cyclo(D-allo-Thr-D-allo-Ile-D-Terminal: Butyryl(But)1435
Val-Phe-Z-Dhb-Val)
22bcyclo(D-allo-Thr-D-allo-Ile-Val-Terminal: Butyryl1435
Phe-Z-Dhb-Val)
27ccyclo(D-allo-Thr-D-allo-Ile-D-Terminal: acetyl1407
Val-Phe-Z-Dhb-Val)
28cyclo(D-allo-Thr-D-allo-Ile-D-Terminal: no fatty acid1365
Val-Phe-Z-Dhb-Val)
28 biscyclo(D-allo-Thr-D-allo-Ile-Val-Terminal: no fatty acid1365
Phe-Z-Dhb-Val)
29cyclo(D-allo-Thr-D-allo-Ile-D-5-MeHex-D-Val-L-Thr-L-Val-D-1363
Val-Phe-Z-Dhb-Val)Val-D-Pro-D-allo-Ile-
29 biscyclo(D-allo-Thr-D-allo-Ile-Val-5-MeHex-D-Val-L-Thr-L-Val-D-1363
Phe-Z-Dhb-Val)Val-D-Pro-D-allo-Ile-
31cyclo(D-allo-Thr-D-allo-Ile-D-5-MeHex-D-Val-L-Thr-L-Val-D-1167
Val-Phe-Z-Dhb-Val)allo-Ile-
32cyclo(D-allo-Thr-D-allo-Ile-D-5-MeHex-D-Val-L-Thr-D-allo-Ile-1068
Val-Phe-Z-Dhb-Val)
19L-Phe-D-Leu-L-Pro-_-Thr-Gly-5-MeHex-L-Tyr-878
D-Ser
34cyclo(D-allo-Thr-D-allo-Ile-D-5-MeHex-D-allo-Ile868
Val-Phe-Z-Dhb-Val)
35cyclo(D-allo-Thr-D-allo-Ile-D-5-MeHex-754
Val-Phe-Z-Dhb-Val)
**Compounds where the chain is indicated Terminal have the same chain as in compound 7, but with the indicated substitution for the 5-MeHex.

[242]

[0242]

Cytotoxicity of Kahalalide F congeners
IC50 (micromol) values for derivatives
CompoundA549MDU145MHT29MMEL28Mp388M
27j  5.49E−05  5.49E−05  5.49E−05  5.49E−05  2.75E−03
27i  5.80E−04  5.80E−04  2.90E−05  1.45E−04  1.45E−03
27  1.56E−04  3.12E−05  6.23E−05  6.23E−05  3.12E−03
27bis>3.12E−03  1.56E−03  6.23E−04  6.23E−04>3.12E−03
27g>6.33E−04>6.33E−04  1.58E−03  3.17E−03>3.17E−03
27hNANANANANA
20e  3.25E−03  6.50E−04NANANA
20cNANANANANA
27cNANA  6.70E−04  3.35E−03NA
20>3.38E−03>3.38E−03>3.38E−03>3.38E−03>3.38E−03
20b>3.38E−03  3.38E−03  3.38E−03>3.38E−03>3.38E−03
27aNANANANANA
(as Scheuer)>3.39E−03  3.39E−03  3.39E−03>3.39E−03>3.39E−03
15
15 bis>3.39E−03>3.39E−03>3.39E−03>3.39E−03>3.39E−03
26  3.39E−04  3.39E−05  6.77E−04  1.69E−03  3.39E−03
26 bis>3.39E−03>3.39E−03  3.39E−04  1.69E−03>3.39E−03
(Rinehart) 7  3.39E−04  1.69E−04  3.39E−05  3.39E−04>3.39E−03
 7 bis>3.39E−03>3.39E−03>3.39E−03>3.39E−03>3.39E−03
24  1.71E−03  3.42E−04  3.42E−04  3.42E−03>3.42E−03
24 bis>3.42E−03>3.42E−03  3.42E−04>3.42E−03>3.42E−03
25  3.42E−04  3.42E−04>3.42E−03>3.42E−03>3.42E−03
25 bis>3.42E−03>3.42E−03>3.42E−03>3.42E−03>3.42E−03
27fNA  3.42E−03>3.42E−03  3.42E−03  3.42E−03
27b  3.43E−03  6.85E−04  3.43E−03NANA
27dNANANANANA
23>3.45E−03>3.45E−04>3.45E−05>3.45E−04>3.45E−03
23b>3.45E−03>3.45E−03>3.45E−03>3.45E−03>3.45E−03
22>3.48E−03  1.74E−03NANANA
22b>3.48E−03>3.48E−03  1.74E−03>3.48E−03>3.48E−03
27cNA>3.55E−03>3.55E−03>3.55E−03>3.55E−03
28>3.66E−03>3.66E−03>3.66E−03>3.66E−03>366E−03
28 bis>3.66E−03>3.66E−03NANANA
29>3.67E−03>3.67E−03>3.67E−03>3.67E−03>3.67E−03
29 bis>3.67E−03>3.67E−03>3.67E−03>3.67E−03>3.67E−03
31>4.28E−04>4.28E−05>4.28E−03>4.28E−03>4.28E−03
32NANA  4.68E−05  4.68E−05>4.68E−03
19>5.69E−03>5.69E−03NANANA
34NANA>5.76E−03>5.76E−03>5.76E−03
35>5.76E−03>5.76E−03>5.76E−03>5.76E−03>5.76E−03

REFERENCES

[243]

[0243] Haman=, M. T.; Scheuer, P. J. J. Am. Chem. Soc., 1993. “Kahalalide F: a Bioactive Depsipeptide from the Sacoglossan Mollusk Elysia refescens and the Green Alga Bryopsis sp.”, vol. 115, pp. 5825-5826.

[244]

[0244] Hamann, M. T., et al. J. Org. Chem., 1996. “Kahalalides: Bioactive Peptides from Marine Mollusk Elysia rufescens and its Algal Diet Bryopsis sp.”, vol. 61, pp. 6594-6660.

[245]

[0245] Garcia-Rocha, M., et al. Cancer Lett., 1996. “The Antitumoral Compound Kahalalide F Acts on Cell Lysosomes”, vol. 99, pp. 43-50.

[246]

[0246] Hamann, M. T., et al. J. Org. Chem., 1998. “Kahalalides: Bioactive Peptides from Marine Mollusk Elysia rufescens and its Algal Diet Bryopsis sp.”, vol. 63, p. 485 (Correction of J. Org. Chem., 1996, vol. 61, pp. 6594-6660).

[247]

[0247] Lloyd-Williams, P., et al. Chemical Approaches to the Synthesis of Peptides and Proteins. CRC Press, Boca Raton (FL), 1997.

[248]

[0248] Goetz, G., et al. J. Nat. Prod., 1997. “Two Acyclic Kahalalides from the Sacoglossan Mollusk Elysia rufescens”, vol. 60, pp. 562-567.

[249]

[0249] Goetz, G., et al. Tetrahedron, 1999. The Absolute Stereochemistry of Kahalalide F”, vol. 55, pp. 7739-7746.

[250]

[0250] Kan, Y., et al. J. Nat. Prod., 1999, vol. 62, pp. 1169-1172.

[251]

[0251] Horgen, F. D. et al. J. Nat. Prod., 2000, vol. 63, pp. 152-154.

Как компенсировать расходы
на инновационную разработку
Похожие патенты