заявка
№ US 20040077655
МПК A61K31/496

Piperazine derivatives for treatment of bacterial infections

Авторы:
Catherine Genevieve Dartois Roger Edward Markwell Marcel Moran
Все (5)
Номер заявки
10450884
Дата подачи заявки
13.11.2003
Опубликовано
22.04.2004
Страна
US
Дата приоритета
17.12.2025
Номер приоритета
Страна приоритета
Как управлять
интеллектуальной собственностью
Реферат

[375]

Piperazine derivatives and pharmaceutically acceptable derivatives thereof useful in methods of treatment of bacterial infections in mammals, particularly in man.

Формула изобретения

1. A compound of formula (1) or a pharmaceutically acceptable derivative thereof:

wherein:

one of Z1, Z2, Z3, Z4 and Z5 is N, one is CR1a and the remainder are CH, or one of Z1, Z2, Z3, Z4 and Z5 is CR1a and the remainder are CH;

R1 and R1a are independently selected form hydrogen; hydroxy; (C1-6 alkoxy optionally substituted by (C1-6)alkoxy, amino, piperidyl, guanidino or amidino any of which is optionally N-substituted by one or two (C1-6)alkyl, acyl or (C1-6)alkylsulphonyl groups, (C1-6)alkylthio, heterocylylthio, heterocyclyloxy, arylthio, aryloxy, acylthio, acyloxy or (C1-6)alkylsulphonyl; (C1-6alkoxy-substituted (C1-6)alkyl; halogen, (C1-6)alkyl; (C1-6)alkythio; trifluromethyl; nitro; azido; acyl; acyloxy; acylthio; (C1-6)alkylsulphonyl; (C1-6)alkylsulphoxide; arylsulphonyl; arylsulphoxide or an amino, piperidyl, guanidino or amidino group optionally N-substituted by one or two (C1-6)alkyl, acyl or (C1-6)alkylsulphonyl groups,

or when Z5 is CR1a, R10 may instead be cyano, hydroxymethyl or carboxy, provided that when none of Z1 Z Z3, Z4 and Z5 is N, then R1 is not hydrogen;

R3 hydrogen; or

R3 is in the 2-or 3-position and is:

carboxy; (C1-6)alkoxycarbonyl; aminocarbonyl wherein the amino group is optionally substituted by hydroxy, (C1-6)alkyl, hydroxy(C1-6)alkyl, aminocarbonyl(C1-6)alkyl, (C2-6)alkenyl, (C1-6)alkylsulphonyl, trifluoromethylsulphonyl, (C2-6)alkenylsulphonyl, (C1-6)alkoxycarbonyl, (C1-6)alkylcarbonyl, (C2-6)alkenyloxycarbonyl or (C2-6)alkenylcarbonyl and optionally further substituted by (C1-6)alkyl, hydroxy(C1-6)alkyl, aminocarbonyl(C1-6)alkyl or (C2-6)alkenyl; cyano; tetrazolyl; 2-oxo-oxazolidinyl optionally substituted by R10; 3-hydroxy-3-cyclobutene-1,2-dione-4-yl; 2,4-thiazolidinedione-5-yl; tetrazol-5-ylaminocarbonyl; 1,2,4-triazol-5-yl optionally substituted by R10; or 5-oxo-1,2,4-oxadiazol-3-yl; or

(C1-4)alkyl or ethenyl optionally substituted with any of the groups listed above for R3 and/or 0 to 2 groups R12 independently selected from:

halogen; (C1-6)alkylthio; trifluoromethyl; (C1-6)alkoxycarbonyl; (C1-6)alkylcarbonyl; (C2-6)alkenyloxycarbonyl; (C2-6)alkenylcarbonyl; hydroxy optionally substituted by (C1-6)alkyl, (C2-6)alkenyl, (C1-6)alkoxycarbonyl, (C1-6)alkylcarbonyl (C2-6)alkenyloxycarbonyl, (C2-6)alkenylcarbonyl or aminocarbonyl wherein the amino group is optionally substituted by (C1-6)alkyl, (C2-6)alkenyl, (C1-6)alkylcarbonyl or (C2-6)alkenylcarbonyl; amino optionally mono- or disubsituted by ((C1-6)alkoxycarbonyl, ((C1-6)alkylcarbonyl, (C2-6)alkenyloxycarbonyl (C2-6)alkyenylcarbonyl, (C1-6)alkyl, (C2-6)alkenyl, (C1-6)alkylsulphonyl, (C2-6)alkenylsulphonyl or aminocarbonyl wherein the amino group is optionally substituted by (C1-6)alkyl or (C2-6)alkenyl; aminocarbonyl wherein the amino group is optionally substituted by (C1-6alkyl hydroxy(C1-6)alkyl, aminocarbonyl(C1-6)alkyl, (C2-6)alkenyl, (C1-6)alkoxycarbonyl, (C1-6)alkylcarbonyl, (C2-6)alkenyloxycarbonyl or (C2-6)alkenylcarbonyl and optionally further substituted by (C1-6)alkyl, hydroxy(C1-6)alkyl, aminocarbonyl(C1-6)alkyl or (C2-6)alkenyl; oxo; (C1-6)alkylsulphonyl; (C2-6)alkenylsulphonyl; or (C1-6)aminosulphonyl wherein the amino group is optionally substituted by (C1-6)alkyl or (C2)alkenyl;

in addition when R3 is disubstituted with a hydroxy or amino containing substituent and a carboxy containing substituent these may optionally together form a cyclic ester or amide linkage, respectively;

R10 is selected from (C1-4)alkyl; (C2-4)alkenyl and aryl any of which may be optionally substituted by a group R12 as defined above; carboxy, aminocarbonyl wherein the amino group is optionally substituted by hydroxy, (C1-6)alkyl, (C2-6)alkenyl, ((C1-6)alkylsulphonyl, trifluoromethylsulphonyl, (C2-6)alkenylsulphonyl, (C1-6)alkoxycarbonyl, (C1-6)alkylcarbonyl, (C2-6)alkenyloxycarbonyl or (C2-6)alkenylcarbonyl;

R4 is a group —U—V—R5 where R5 is an optionally substituted bicyclic carbocyclic or heterocyclic ring system (A):

containing up to four heteroatoms in each ring in which

at least one of rings (a) and (b) is aromatic;

X1 is C or N when part of an aromatic ring or CR14 or N when part of a non-aromatic ring;

X2 is N, NR13O, S(O)x, CO or CR14 when part of a non aromatic ring or may in addition be CR14R15 when part of a non aromatic ring;

X3 and X5 are independently N or C;

Y1 is a 0 to 4 atom linker group each atom of which is independently selected from N, NR13, O, S(O)x, CO and CR14 when part of an aromatic or non-aromatic ring or may additionally be CR14R15 when pant of anon aromatic ring,

Y2 is a 2 to 6 atom linker group, each atom of Y2 being independently selected from N, NR13, O, S(O)x, CO and CR14 when part of an aromatic or non-aromatic ring or may additionally be CR14R15 when part of a non aromatic ring; each of R14 and R15 is independently selected from H; (C1-4)alkenylthio; halo; carboxy(C1-4)alkyl; halo(C1-4)alkoxy, halo(C1-4)alkyl; (C1-4)alkyl; (C2-4)alkenyl; (C1-4)alkoxycarbonyl; formyl; (C1-4)alkylcarbonyl; (C2-4)alkenyloxycarbonyl; (C2-4)alkenylcarbonyl; (C1-4)alkylcarbonyloxy; (C1-4)alkoxycarbonyl(C1-4)alkyl; hydroxy; hydroxy(C1-4)alkyl; mercapto(C1-4)alkyl; (C1-4)alkoxy; nitro; cyano; carboxy, amino or aminocarbonyl optionally substituted as for corresponding substituents in R3; (C1-4)alkylsulphonyl; (C2-4)alkenylsulphonyl; or aminosulphonyl wherein the amino group is optionally substituted by (C1-4)alkyl or (C2-4)alkenyl; aryl; aryl(C1-4)alkyl; aryl(C1-4)alkoxy;

each R13 is independently H; trifluoromethyl; (C1-4)alkyl optionally substituted by hydroxy, (C1-6)alkoxy, (C1-6)alkoxy, (C1-6)alkylthio, halo or trifluoromethyl; (C2-4)alkenyl; aryl; aryl (C1-4)alkyl; (C1-4)alkoxycarbonyl; (C1-4)alkylcarbonyl; formyl; (C1-6)alkylsulphonyl; or aminocarbonyl wherein the amino group is optionally substituted by (C2-4alkoxycarbonyl, (C1-4)alkylcarbonyl (C2-4)alkenyloxycarbonyl. (C2-4)alkenylcarbonyl, (C1-4)alkyl or (C2-4)alkenyl and optionally further substituted by (C1-4)alkyl or (C2-4)alkenyl;

U is selected from CO, SO2 and CH2 and V is CR17R18 or U is CH2 and V is CO or SO2;

R17 and R18 are independently selected from hydrogen, hydroxy optionally substituted by (C1-6)alkyl, (C2-6)alkenyl, (C1-6)alkoxycarbonyl, (C1-6)alkylcarbonyl, (C2-6)alkenyloxycarbonyl, (C2-6)alkenylcarbonyl or aminocarbonyl wherein the amino group is optionally substituted by (C1-6)alkyl, (C2-6)alkenyl, (C1-6)alkylcarbonyl or (C2-6)alkenylcarbonyl; and amino optionally mono- or disubsituted by (C1-6)alkoxycarbonyl, (C1-6)alkylcarbonyl, (C2-6)alkenyloxycarbonyl, (C2-6)alkenylcarbonyl, (C1-6)alkyl, (C2-6)alkenyl, (C1-6)alkylsulphonyl, (C2-6)alkenylsulphonyl or aminocarbonyl wherein the amino group is optionally substituted by (C1-6)alkyl or (C2-6)alkenyl;

n is 0 and AB is NR11CO, CO-R8R9. CR6R7-CC, NR11SO2, CR6R7-SO2 or CR6R7-CR8R9, provided that R8 and R9 are not optionally substituted hydroxy or amino and R6 and R8 do not represent a bond:

or n is 1 and AB is NR11CO, CO C8R9, CR6R7—CO, NR11SO2, CONR11, CR6R7-CR8R9, O-CR8R9 or NR11-CR8R9;

and wherein:

each of R6, R7, R8 and R9 is independently selected from H; (C1-6)alkoxy; (C1-6)alkylthio; halo; trifluoromethyl; azido; (C1-6)alkyl; (C2-6)alkenyl; (C1-6)alkoxycarbonyl; (C1-6)alkylcarbonyl; (C2-6)alkenyloxycarbonyl; (C2-6)alkenylcarbonyl; hydroxy, amino or aminocarbonyl optionally substituted as for corresponding substituents in R3; (C1-6)alkylsulphonyl; (C2-6)alkenylsulphonyl; or (C1-6)aminosulphonyl wherein the amino group is optionally substituted by (C1-6)alkyl or (C2-6)alkenyl;

or R6 and R8 together represent a bond and R7 and R9 are as above defined;

and each R11 independently H trifluromethyl; (C1-6)alkenyl; (C2-6)alkenyl; ((C1-6)alkoxycarbonyl; (C1-6)alkylcarbonyl; or aminocarbonyl wherein the amino group is optionally substituted by (C1-6)oxycarbonyl, (C1-6)alkylcarbonyl, (C2-6)alkenyloxycarbonyl (C2-6)alkenylcarbonyl (C1-6)alkyl or (C2-6)alkenyl and optionally further substituted by (C1-6)alkyl or (C2-6)alkenyl;

or where one of R3 and R6, R7, R8 or R9 contains carboxy group and the other contains a hydroxy or amino group they may together form a cyclic ester or amide linkage.

2. A compound according to claim 1 wherein Z5 is CH or N, Z3 is CH or CF and Z1 Z2 and Z4 are each CH, or Z1 is N, Z3 is CH or CF and Z2, Z4 and Z5 are each CH.

3. A compound according to any preceding claim wherein R1 is methoxy and R1a is H or when Z3 is CR1a it maybe C—F.

4. A compound according to any preceding claim where R3 is hydrogen; CONH2; 1-hydroxyalkyl; CH2CO2H; CH2CONH2; —CONHCH2CONH2; 1,2-dihydroxyalkyl; CH2CN; 2-oxo-oxazolidin-5-yl and 2-oxo-oxazolidin-5-yl(C1-4alkyl).

5. A compound according to any preceding claim wherein n is 0 and either A is CHOH and B is CH2 or A is NH and B is CO.

6. A compound according to any preceding claim wherein 4—V— is (CH2)2.

7. A compound according to any preceding claim wherein R5 is au aromatic hetarocyclic ring (A) having 8-11 ring atom including 24 heteroatoms of which at least one is N or NR13 or the heterocyclic ring (A) bas rig (a) aromatic and ring (b) non-aromatic and Y2 has 3-5 atoms including NR13, O or S bonded to X5 and NHCO bonded via N to X3, or O or NH bonded to X3.

8. A compound according to claim 1 selected from: 2-(2-{4-[(R)-2-Hydroxy-2-(6-methoxy-quinolin-4-yl)-ethyl]-piperazin-1-yl}ethyl)-isoindole-1,3-dione

(R)-2-{4-[2-(4-Fluoro-1H-benzoimidazol-2-yl)-ethyl]-piperazin-1-yl}-1-(6-methoxy-quinolin-4-yl)-ethanol

4-[2-(4-Fluoro-1H-benzoimidazol-2-yl)-ethyl]-piperazine-1-carboxylic acid (6-methoxy-[1,5]naphthyridin-4-yl)-amide

(R)-2-{4-[2-(5-Fluoro-1H-benzoimidazol-2-yl)-ethyl]piperazin-1-yl}-1(6-methoxy-quinolin -4-yl)-ethanol 4-[2-2,3-Dihydro-benzo[1,4]dioxin-6-y)ethyl]-piperazine-1-carboxylic acid (6-methoxy-[1,5]naphthyridin-4-yl)-amide

4-(2-Benzo[1,3]dioxol-5-yl-ethyl)-piperazin-1-carboxylic acid (6-methoxy-[1,5]naphthyridin-4-yl)-amide

4-[2-(3-Oxo-3,4-dihydro-2H-benzo[1,4]thiazin-6-yl)-ethyl]-piperazin-1-carboxylic acid (6-methoxy-[1,5]naphthyridin-4-yl)-amide

4-(2-Quinoxalin-2-yl-ethyl)-piperazine-1-carboxylic acid (6-meroxy-[1,5]naphthyridin-4-yl)-amide

4-(2-Benzo[1,2,5]thiadiazol-5-yl-ethyl)-piperazine-1-carboxylic acid (6-methoxy-[1,5]naphthyridin-4-yl)-amide

4-(2-Oxo-2-quinoxalin-2-yl-ethyl)-piperazin-1-carboxylic acid (6-methoxy-[1,5]naphthyridin-4-yl)-amide

4-(2-Hydroxy-2-quinoxalin-2-yl-ethyl)-piperazine-1-carboxylic acid (6-methoxy-[1,5]naphthyridin-4-yl)-amide

4-[2-Oxo-2-(3-oxo-3,4-dihydro-2H-benzo[1,4]oxazin-6-yl)ethyl]-piperazin-1-carboxylic acid (6-methoxy-[1,5]naphthyridin-4-yl)amide and

4-[2-Hydroxy-2-(3-oxo-3,4-dihydro-2H-benzo[1,4]oxazin-6-yl)-ethyl]-piperazine-1-carboxylic acid (6-methoxy-[1,5]naphthyridin-4-yl)-amide or a pharmaceutically acceptable derivative thereof.

9. A method of treatment of bacterial infections in mammals, particularly in man, which method comprises the administration to a mammal in need of such treatment an effective amount of a compound according to claim 1.

10. The use of a compound according to claim 1, in the manufacture of a medicament for use in the treatment of bacterial infections in mammals.

11. A pharmaceutical composition comprising a compound according to claim 1, and a pharmaceutically acceptable carrier.

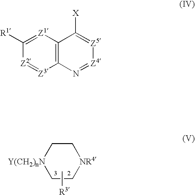
12. A process for preparing a compound according to claim 1, which process comprises reacting a compound of formula (IV) with a compound of formula (V):

wherein n is as defined in formula (I); Z1′, Z2′, Z3′, Z4′, Z5′, R1′, R2′, R3′ and R4′ are Z1, Z2, Z3, Z4, Z5, R1, R3 and R4 as defined in formula (I) or groups convertible thereto; and X and Y may be the following combinations:

(i) X is A′-COW, Y is H and n is 0;

(ii) X is CR6=CR8R9, Y is H and n is 0;

(iii) X is oxirane, Y is H and n is 0;

(iv) X is N═C═O and Y is H and n is 0;

(v) one of X and Y is CO2Ry and the other is CH2CO2Rx;

(vi) X is CHR6R7 and Y is C(═O)R8;

(vii) X is CR7=PRZ and Y is C(═O)R9 and n=1;

(viii) X is C(═O)R7 and Y is CR9=PRz3 and n=1;

(ix) Y is COW and X is NHR11 or NR11′COW and n=0 or 1 or when n=1 X is COW and Y is NHR11′ or NR11′COW;

(x) X is NHR11′ and Y is C(═O)R8 and n=1;

(xi) X is NR11′ and Y is CR8R9W and n−1;

(xii) X is NR11′COCH2W or NR11′SO2CH2W and Y is H and n=0;

(xiii) X is CR6R7SO2W and Y is H and n=1;

(xiv) X is W or OH and Y is CH2OH and n is 1;

(xv) X is NHR11′ and Y is SO2W or X is NR11′SO2W ad Y is H, and n is 0;

in which W is a leaving group, e.g. halo or imidazolyl; Rx and Ry are (C1-6alkyl; Rz is aryl or (C1-6)alkyl; A′ and NR11′ are A and NR11 as defined in formula (I), or groups convertible thereto; and oxirane is:

wherein R6, R8 and R9 are as defined in formula (I);

and thereafter optionally or as necessary converting A′, Z1′, Z2′, Z3′, Z4 Z5′, R1′, R3′, R4′ and NR11′; to A, Z1, Z2, Z3, Z4, Z5, R1, R3, R4 and NR11′; converting A-B to other A-B, interconverting R1, R3 and/or R4, and/or forming a pharmaceutically acceptable derivative thereof.

Описание

[1]

[0001] This invention relates to novel compounds, compositions containing them and their use as antibacterials.

[2]

[0002] WO99/37635, WO00/21948 and WO00/21952 disclose piperidine derivatives having antibacterial activity.

[3]

[0003] EP0579263, EP0742207, JP2169569 and EP0296560, generically disclose piperazine compounds as acetylcholinesterase inhibitors and sigma receptor antagonists

[4]

[0004] WO92/17475, WO98/02438, WO97/03069 and WO96/39145 disclose certain bicyclic heteroaromatic compounds having cholinesterase inhibitor, protein tyrosine kinase inhibitor, cell proliferation inhibitor and human epidermal growth factor receptor type 2 inhibitor activity.

[5]

[0005] JP7179407 discloses bicyclic heteroaromatic compounds having GPIIb/IIIa inhibitory activity

[6]

[0006] WO97/17973 discloses piperazine derivatives having hemoregulatory activities.

[7]

[0007] WO99/05096 discloses naphthamidine compounds having urokinase inhibitory activity.

[8]

[0008] This invention provides a compound of formula (1) or a pharmaceutically acceptable derivative thereof:

[9]

[0009] wherein:

[10]

[0010] one of Z1, Z2, Z3, Z4 and Z5 is N, one is CR1a a and the remainder are CH, or one of Z1, Z2, Z3, Z4 and Z5 is CR1a and the remainder are CH;

[11]

[0011] R1 and R1a are independently selected from hydrogen; hydroxy; (C1-6) alkoxy optionally substituted by (C1-6)alkoxy, amino, piperidyl, guanidino or amidino any of which is optionally N-substituted by one or two (C1-6)alkyl, acyl or (C1-6)alkylsulphonyl groups, ((C1-6)alkylthio, heterocyclylthio, heterocyclyloxy, arylthio, aryloxy, acylthio, acyloxy or (C1-6)alkylsulphonyloxy; (C1-6)alkoxy-substituted (C1-6)alkyl; halogen; (C1-6)alkyl; (C1-6)alkylthio; trifluromethyl; nitro; azido; acyl; acyloxy; acylthio; (C1-6alkylsulphonyl; (C1-6alkylsulphoxide; arylsulphonyl; arylsulphoxide or an amino, piperidyl, guanidino or amidino group optionally N-substituted by one or two (C1-6)alkyl, acyl or (C1-6)alkylsulphonyl groups,

[12]

[0012] provided that when none of Z1, Z2, Z3, Z4 and Z5 is N, then R1 is not hydrogen;

[13]

[0013] R3 is hydrogen; or

[14]

[0014] R3 is in the 2- or 3-position and is:

[15]

[0015] carboxy; (C1-6)alkoxycarbonyl; aminocarbonyl wherein the amino group is optionally substituted by hydroxy, (C1-6)alkyl, hydroxy(C1-6)alkyl, aminocarbonyl(C1-6)alkyl, (C2-6)alkenyl, (C1-6)alkylsulphonyl, trifluoromethylsulphonyl, (C2-6)alkenylsulphonyl, (C1-6)alkoxycarbonyl, (C1-6)alkylcarbonyl, (C2-6)alkenyloxycarbonyl or (C2-6)alkenylcarbonyl and optionally further substituted by (C1-6)alkyl, hydroxy(C1-6)alkyl, aminocarbonyl(C1-6)alkyl or (C2-6)alkenyl; cyano; tetrazolyl; 2-oxo-oxazolidinyl optionally substituted by R10; 3-hydroxy-3-cyclobutene-1,2-dione-4-yl; 2,4-thiazolidinedione-5-yl; tetrazol-5-ylaminocarbonyl; 1,2,4-triazol-5-yl optionally substituted by R10; or 5-oxo-1,2,4-oxadiazol-3-yl; or

[16]

[0016] (C1-4)alkyl or ethenyl optionally substituted with any of the groups listed above for R3 and/or 0 to 2 groups R12 independently selected from:

[17]

[0017] halogen; (C1-6)alkylthio; trifluoromethyl; (C1-6)alkoxycarbonyl; (C1-6)alkylcarbonyl; (C2-6)alkenyloxycarbonyl; (C2-6)alkenylcarbonyl; hydroxy optionally substituted by (C1-6)alkyl, (C2-6)alkenyl, (C1-6)alkoxycarbonyl, (C1-6)alkylcarbonyl, (C2-6)alkenyloxycarbonyl, (C2-6)alkenylcarbonyl or aminocarbonyl wherein the amino group is optionally substituted by (C1-6)alkyl, (C2-6)alkenyl, (C1-6)alkylcarbonyl or (C2-6)alkenylcarbonyl; amino optionally mono- or disubstituted by ((C1-6)alkoxycarbonyl, (C1-6)alkylcarbonyl, (C2-6)alkenyloxycarbonyl, (C2-6)alkenylcarbonyl, (C1-6)alkyl, (C2-6)alkenyl, (C1-6)alkylsulphonyl, (C2-6)alkenylsulphonyl or aminocarbonyl wherein the amino group is optionally substituted by (C1-6)alkyl or (C2-6)alkenyl; aminocarbonyl wherein the amino group is optionally substituted by (C1-6)alkyl, hydroxy(C1-6)alkyl, aminocarbonyl(C1-6)alkyl, (C2-6)alkenyl, (C1-6)alkoxycarbonyl, (C1-6)alkylcarbonyl, (C2-6)alkenyloxycarbonyl or (C2-6)alkenylcarbonyl and optionally further substituted by (C1-6)alkyl, hydroxy(C1-6)alkyl, aminocarbonyl(C1-6)alkyl or (C2-6)alkenyl; oxo; (C1-6)alkylsulphonyl; (C2-6)alkenylsulphonyl; or (C1-6)aminosulphonyl wherein the amino group is optionally substituted by (C1-6)alkyl or (C2-6)alkenyl;

[18]

[0018] in addition when R3 is disubstituted with a hydroxy or amino containing substituent and a carboxy containing substituent these may optionally together form a cyclic ester or amide linkage, respectively;

[19]

[0019] R10 is selected from (C1-4)alkyl; (C2-4)alkenyl and aryl any of which may be optionally substituted by a group R12 as defined above; carboxy; aminocarbonyl wherein the amino group is optionally substituted by hydroxy, (C1-6)alkyl, (C2-6)alkenyl, (C2-6)alkylsulphonyl, trifluoromethylsulphonyl, (C2-6)alkenylsulphonyl, (C1-6)alkoxycarbonyl, (C1-6)alkylcarbonyl, (C2-6)alkenyloxycarbonyl or (C2-6)alkenylcarbonyl;

[20]

[0020] R4 is a group —U—V—R5 where R5 is an optionally substituted bicyclic carbocyclic or heterocyclic ring system (A):

[21]

[0021] containing up to four heteroatoms in each ring in which

[22]

[0022] at least one of rings (a) and (b) is aromatic;

[23]

[0023] X1 is C or N when part of an aromatic ring or CR14 or N when part of a non aromatic ring;

[24]

[0024] X2 is N, NR13, O, S(O)x, CO or CR14 when part of an aromatic or non-aromatic ring or may in addition be CR14R15 when part of a non aromatic ring;

[25]

[0025] X3 and X5 are independently N or C;

[26]

[0026] Y1 is a 0 to 4 atom linker group each atom of which is independently selected from N, NR13, O, S(O)x, CO and CR14 when part of an aromatic or non-aromatic ring or may additionally be CR14R15 when part of a non aromatic ring,

[27]

[0027] Y2 is a 2 to 6 atom linker group, each atom of Y2 being independently selected from N, NR13, 0, S(O)x, CO and CR14 when part of an aromatic or non-aromatic ring or may additionally be CR14R1 5 when part of a non aromatic ring;

[28]

[0028] each of R14 and R15 is independently selected from: H; (C1-4)alkylthio; halo; carboxy(C1-4)alkyl; halo(C1-4)alkoxy; halo(C1-4)alkyl; (C1-4)alkyl; (C2-4)alkenyl; (C1-4)alkoxycarbonyl; formyl; (C1-4)alkylcarbonyl; (C2-4)alkenyloxycarbonyl; (C2-4)alkenylcarbonyl; (C1-4)alkylcarbonyloxy; (C1-4)alkoxycarbonyl(C1-4)alkyl; hydroxy; hydroxy(C1-4)alkyl; mercapto(C1-4)alkyl; (C1-4)alkoxy; nitro; cyano; carboxy; amino or aminocarbonyl optionally substituted as for corresponding substituents in R3; (C1-4)alkylsulphonyl; (C2-4)alkenylsulphonyl; or aminosulphonyl wherein the amino group is optionally substituted by (C1-4)alkyl or (C2-4)alkenyl; aryl; aryl(C1-4)alkyl; aryl(C1-4)alkoxy;

[29]

[0029] each R13 is independently H; trifluoromethyl; (C1-4)alkyl optionally substituted by hydroxy, (C1-6)alkoxy, (C1-6)alkylthio, halo or trifluoromethyl; (C2-4)alkenyl; aryl; aryl (C1-4)alkyl; (C1-4)alkoxycarbonyl; (C1-4)alkylcarbonyl; formyl; (C1-6)alkylsulphonyl; or aminocarbonyl wherein the amino group is optionally substituted by (C1-4)alkoxycarbonyl, (C1-4)alkylcarbonyl, (C2-4)alkenyloxycarbonyl, (C2-4)alkenylcarbonyl, (C1-4)alkyl or (C2-4)alkenyl and optionally further substituted by (C1-4)alkyl or (C2-4)alkenyl;

[30]

[0030] U is selected from CO, SO2 and CH2 and V is CR17R18 or U is CH2 and V is CO or SO2;

[31]

[0031] R17 and R18 are independently selected from hydrogen, hydroxy optionally substituted by (C1-6)alkyl, (C2-6)alkenyl, (C1-6)alkoxycarbonyl, (C1-6)alkylcarbonyl, (C2-6)alkenyloxycarbonyl, (C2-6)alkenylcarbonyl or aminocarbonyl wherein the amino group is optionally substituted by (C1-6)alkyl, (C2-6)alkenyl, (C1-6)alkylcarbonyl or (C2-6)alkenylcarbonyl; and amino optionally mono- or disubstituted by (C1-6)alkoxycarbonyl, (C1-6)alkylcarbonyl, (C2-6)alkenyloxycarbonyl, (C2-6)alkenylcarbonyl, (C1-6)alkyl, (C2-6)alkenyl, (C1-6alkylsulphonyl, (C2-6)alkenylsulphonyl or aminocarbonyl wherein the amino group is optionally substituted by (C1-6)alkyl or (C2-6)alkenyl;

[32]

[0032] n is 0 and AB is NR11Co, CO-CR8R9, CR6R7-Co, NHR11SO2, CR6R7-SO2 or CR6R7-CR8R9, provided that R8 and R9 are not optionally substituted hydroxy or amino and R6 and R8 do not represent a bond: or n is 1 and AB is NR11Co, CO-CR8R9, CR6R7-Co, NR11SO2, CONR11, CR6R7CR8R9, O-CR8R9 or NR11-CR8R9;

[33]

[0033] and wherein:

[34]

[0034] each of R6, R7, R8 and R9 is independently selected from: H; (C1-6)alkoxy; (C1-6)alkylthio; halo; trifluoromethyl; azido; (C1-6)alkyl; (C2-6)alkenyl; (C1-6)alkoxycarbonyl; (C1-6)alkylcarbonyl; (C2-6)alkenyloxycarbonyl; (C2-6)alkenylcarbonyl; hydroxy, amino or aminocarbonyl optionally substituted as for corresponding substituents in R3; (C1-6)alkylsulphonyl; (C2-6)alkenylsulphonyl; or (C1-6)aminosulphonyl wherein the amino group is optionally substituted by (C1-6)alkyl or (C2-6)alkenyl;

[35]

[0035] or R6 and R8 together represent a bond and R7 and R9 are as above defined;

[36]

[0036] and each R1 is independently H; trifluoromethyl; (C1-6)alkyl; (C2-6)alkenyl; (C1-6)alkoxycarbonyl; (C1-6)alkylcarbonyl; or aminocarbonyl wherein the amino group is optionally substituted by (C1-6)alkoxycarbonyl, (C1-6)alkylcarbonyl, (C2-6)alkenyloxycarbonyl, (C2-6)alkenylcarbonyl, (C1-6)alkyl or (C2-6)alkenyl and optionally further substituted by (C1-6)alkyl or (C2-6)alkenyl;

[37]

[0037] or where one of R3 and R6, R7, R8 or R9 contains a carboxy group and the other contains a hydroxy or amino group they may together form a cyclic ester or amide linkage.

[38]

[0038] The invention also provides the use of a compound of formula (I) or a pharmaceutically acceptable derivative thereof in manufacture of a medicament for use in the treatment of bacterial infections in mammals.

[39]

[0039] The invention also provides a pharmaceutical composition for use in the treatment of bacterial infections in mammals comprising a compound of formula (I), or a pharmaceutically acceptable derivative thereof, and a pharmaceutically acceptable carrier.

[40]

[0040] The invention further provides a method of treatment of bacterial infections in mammals, particularly in man, which method comprises the administration to a mammal in need of such treatment of an effective amount of a a compound of formula (I), or a pharmaceutically acceptable derivative thereof.

[41]

[0041] In one aspect, when (a) and (b) are both aromatic, —U—V— is not —CH2—CO— or (CH2)2—.

[42]

[0042] In another aspect when —U—V— is —CH2—CO— or CH2)2—, R5 is not indolyl, quinolinyl, 1,3-dihydro-2-oxo-benzimidazolyl or benzothienyl.

[43]

[0043] In another aspect one of U and V are selected from CO, SO2 and CH2 and the other is CH2.

[44]

[0044] Preferably Z5 is CH or N, Z3 is CH or CF and Z1, Z2 and Z4 are each CH, or Z1 is N, Z3 is CH or CF and Z2, Z4 and Z5 are each CH

[45]

[0045] When R1 or R1 a is substituted alkoxy it is preferably (C2-6)alkoxy substituted by optionally N-substituted amino, guanidino or amidino, or (C1-6)alkoxy substituted by piperidyl. Suitable examples of R1 alkoxy include methoxy, n-propyloxy, i-butyloxy, aminoethyloxy, aminopropyloxy, aminobutyloxy, aminopentyloxy, guanidinopropyloxy, piperidin-4-ylmethyloxy, phthalimido pentyloxy or 2-aminocarbonylprop-2-oxy.

[46]

[0046] Preferably R1 is methoxy, amino(C3-5)alkyloxy, guanidino(C3-5)alkyloxy, piperidyl(C3-5)alkyloxy, nitro or fluoro; more preferably methoxy, amino(C3-5)alkyloxy or guanidino(C3-5)alkyloxy. Preferably R1a is H or F. Most preferably R1 is methoxy and R1a is H or when Z3 is CR1a it may be C-F.

[47]

[0047] When Z5 is CR1a, Rla is preferably hydrogen, cyano, hydroxymethyl or carboxy, most preferably hydrogen.

[48]

[0048] Preferably n is 0.

[49]

[0049] Preferred examples of R3 include hydrogen; (C1-4) alkyl; ethenyl; optionally substituted 1-hydroxy-(C1-4) alkyl; optionally substituted aminocarbonyl; carboxy(C1-4)alkyl; optionally substituted aminocarbonyl(C1-4)alkyl; cyano(C1-4)alkyl; optionally substituted 2-oxo-oxazolidinyl and optionally substituted 2-oxo-oxazolidinyl(C1-4alkyl). More preferred R3 groups are hydrogen; CONH2; 1-hydroxyalkyl e.g. CH2OH, CH(OH)CH2CN; CH2CO2H; CH2CONH2; —CONHCH2CONH2; 1,2-dihydroxyalkyl e.g. CH(OH)CH2OH; CH2CN; 2-oxo-oxazolidin-5-yl and 2-oxo-oxazolidin-5-yl(C1-4alkyl). Most preferably R3 is hydrogen.

[50]

[0050] When R3 and R6, R7, R8 or R9 together form a cyclic ester or amide linkage, it is preferred that the resulting ring is 5-7 membered. It is further preferred that the group A or B which does not form the ester or amide linkage is CH2.

[51]

[0051] When A is CH(OH) the R-stereochemistry is preferred.

[52]

[0052] Preferably A is NH, NCH3, CH2, CHOH, CH(NH2), C(Me)(OH) or CH(Me).

[53]

[0053] Preferably B is CH2 or CO.

[54]

[0054] Preferably n=0.

[55]

[0055] Most preferably:

[56]

[0056] n is 0 and either A is CHOH and B is CH2 or A is NH and B is CO.

[57]

[0057] Preferably R11 is hydrogen or (C1-4)alkyl e.g. methyl, more preferably hydrogen.

[58]

[0058] Examples of —U—V— include CH2)2—, —CH2CH(OH) and —CH2CO—. The group —U—V— is preferably {CH2)2—.

[59]

[0059] Preferably R5 is an aromatic heterocyclic ring (A) having 8-11 ring atoms including 2-4 heteroatoms of which at least one is N or NR13.

[60]

[0060] Alternatively and preferably the heterocyclic ring (A) has ring (a) aromatic and ring (b) non-aromatic and Y2 has 3-5 atoms including NR13, O or S bonded to X5 and NHCO bonded via N to X3, or 0 or NH bonded to X3. Examples of rings (A) include optionally substituted:

[61]

[0061] (a) and (b) aromatic

[62]

[0062] 1H-pyrrolo[2,3-b]-pyridin-2-yl, 1H-pyrrolo[3,2-b]-pyridin-2-yl, 3H-imidazo[4,5-b]pyrid-2-yl, 3H-quinazolin-4-one-2-yl, benzimidazol-2-yl, benzo[1,2,3]-thiadiazol-5-yl, benzo[1,2,5]-oxadiazol-5-yl, benzofur-2-yl, benzothiazol-2-yl, benzo[b]thiophen-2-yl, benzoxazol-2-yl, chromen-4-one-3-yl, imidazo[1,2-a]pyridin-2-yl, imidazo-[1,2-a]pyrimidin-2-yl, indol-2-yl, indol-6-yl, isoquinolin-3-yl, [1,8]-naphthyridine-3-yl, oxazolo[4,5-b]-pyridin-2-yl, quinolin-2-yl, quinolin-3-yl, quinoxalin-2-yl, indan-2-yl and naphthalen-2-yl, 1,3-dioxo-isoindol-2-yl, benzimidazol-2-yl, benzothiophen-2-yl, 1H-benzotriazol-5-yl, 1H-indol-5-yl, 3H-benzooxazol-2-one-6-yl, 3H-benzothiazol-2-one-5-yl, 3H-quinazolin-4-one-2-yl, 3H-quinazolin-4-one-6-yl, 4-oxo-4H-pyrido[1,2a]pyrimidin-3-yl, benzo[1,2,3]thiadiazol-6-yl, benzo[1,2,5]thiadiazol-5-yl, benzo[1,4]oxazin-2-one-3-yl, benzothiazol-5-yl, benzothiazol-6-yl, cinnolin-3-yl, imidazo[1,2-a]pyridazin-2-yl, imidazo[1,2-b]pyridazin-2-yl, pyrazolo[1,5-a]pyrazin-2-yl, pyrazolo[1,5-a]pyridin-2-yl, pyrazolo[1,5-a]pyrimidin-6-yl, pyrazolo[5, 1-c][1,2,4]triazin-3-yl, pyrido[1,2-a]pyrimdin-4-one-2-yl, pyrido[1,2-a]pyrimidin-4-one-3-yl, quinazolin-2-yl, quinoxalin-6-yl, thiazolo[3,2-a]pyrimidin-5-one-7-yl, thiazolo[5,4-b]pyridin-2-yl, thieno[3,2-b]pyridin-6-yl, [1,2,3]thiadiazolo[5,4-b]pyridin-6-yl, isoindole-1,3-dione-2-yl,

[63]

[0063] (a) is non aromatic

[64]

[0064] (2S)-2,3-dihydro-1H-indol-2-yl, (2S)-2,3-dihydro-benzo[1,4]dioxine-2-yl, 3-(R,S)-3,4-dihydro-2H-benzo[1,4]thiazin-3-yl, 3-(R)-(2,3-dihydro-[1,4]dioxino[2,3-b]pyridin-3-yl, 3-(S)-(2,3-dihydro-[1,4]dioxino[2,3-b]pyridin-3-yl, 2,3-dihydro-benzo[1,4]dioxan-2-yl,

[65]

[0065] (b) is non aromatic

[66]

[0066] 1,1,3-trioxo-1,2,3,4-tetrahydro-1 l6-benzo[1,4] thiazin-6-yl, benzo[1,3]dioxol-5-yl, 4H-benzo[1,4]oxazin-3-one-6-yl, 2,3-dihydro-benzo[1,4]dioxin-6-yl, 2-oxo-2,3-dihydro-benzooxazol-6-yl, 3H-benzooxazol-2-one-6-yl, 3H-benzooxazole-2-thione-6-yl, 3-H-benzothiazol-2-one-6-yl, 4H-benzo[1,4]oxazin-3-one-6-yl (3-oxo-3,4-dihydro-2-H-benzo[1,4]oxazin-6-yl), 4H-benzo[1,4]thiazin-3-one-6-yl (3-oxo-3,4-dihydro-2-H-benzo[1,4]thiazin-6-yl), 4H-benzo[1,4]oxazin-3-one-7-yl, 4-Oxo-2,3,4,5-tetrahydrobenzo[b][1,4]thiazepine-7-yl, 5-oxo-2,3-dihydro-5H-thiazolo[3,2-a]pyrimidin-6-yl, benzo[1,3]dioxol-5-yl, 2-oxo-2,3-dihydro-1H-pyrido[2,3-b]thiazin-7-yl, 2,3-dihydro[1,4]dioxino[2,3-b]pyridin-6-yl, 2,3-dihydro-[1,4]dioxino[2,3-c]pyridin-7-yl, 2,3-dihydro-[1,4]dioxino[2,3-b]pyridin-7-yl, 3,4-dihydro-2H-benzo[1,4]oxazin-6-yl, 3,4-dihydro-2H-benzo[1,4]thiazin-6-yl, 3-oxo-3,4-dihydro-2H-pyrido[3,2-b][1,4]oxazin-6-yl, 2-oxo-2,3-dihydro-1H-pyrido[3,4-b]thiazin-7-yl, 3-oxo-3,4-dihydro-2H-pyrido[3,2-b][1,4]thiazin-6-yl, 2,3-dihydro-1H-pyrido[2,3-b]([1,4]thiazin-7-yl, 3,4-dihydro-2-H-pyrido[3,2-b][1,4]thiazin-6-yl, 5,6,7,8-tetrahydro-[1,8]naphthyridin-2-yl.

[67]

[0067] R13 is preferably H if in ring (a) or in addition (C1-4)alkyl such as methyl or isopropyl when in ring (b). More preferably, in ring (b) R13 is H when NR13 is bonded to X3 and (C1-4)alkyl when NR13 is bonded to X5.

[68]

[0068] R14 and R15 are preferably independently selected from hydrogen, halo, hydroxy, (C1-4)alkoxy, trifluoromethoxy, nitro, cyano, aryl(C1-4)alkoxy and (C1-4)alkylsulphonyl.

[69]

[0069] More preferably R15 is hydrogen and each R14 is selected from hydrogen, chloro, fluoro, hydroxy, methoxy, trifluoromethoxy, benzyloxy, nitro, cyano and methylsulphonyl. Most preferably R14 is selected from hydrogen, hydroxy, fluorine or nitro. Preferably 0-3 groups R14 are substituents other than hydrogen.

[70]

[0070] More preferred groups R5 include:

[71]

[0071] 4,6-difluoro-indol-2-yl,

[72]

[0072] 1H-pyrrolo[2,3-b]-pyridin-2-yl,

[73]

[0073] 1H-pyrrolo[3,2-b]-pyridin-2-yl,

[74]

[0074] 8-hydroxy-quinolin-2-yl,

[75]

[0075] quinoxalin-2-yl,

[76]

[0076] benzimidazol-2-yl,

[77]

[0077] benzo[1,2,3]-thiadiazol-5-yl,

[78]

[0078] 4- or 5-fluorobenzimidazol-2-yl,

[79]

[0079] benzothiophen-2-yl,

[80]

[0080] 4,6-difluoro-1H-benzimidazol-2-yl,

[81]

[0081] 2,2-difluoro-benzo[1,3]dioxol-5-yl,

[82]

[0082] 2,3-Dihydro-benzo[1,4]dioxin-6-yl,

[83]

[0083] 4H-benzo[1,4] oxazin-3-one-6-yl,

[84]

[0084] 4H-benzo[1,4] thiazin-3-one-6-yl,

[85]

[0085] 6-chloro-benzo[1,3]dioxol-5-yl,

[86]

[0086] 7-fluoro-4H-benzo[1,4] oxazin-3-one-6-yl, and

[87]

[0087] benzo[1,3]dioxol-5-yl.

[88]

[0088] Most preferred groups R5 are:

[89]

[0089] 4-fluorobenzimidazol-2-yl,

[90]

[0090] 2,3-Dihydro-benzo[1,4]dioxin-6-yl,

[91]

[0091] 4H-benzo[1,4] thiazin-3-one-6-yl.

[92]

[0092] When used herein, the term “alkyl” includes groups having straight and branched chains, for instance, methyl, ethyl, n-propyl, iso-propyl, n-butyl, iso-butyl, sec-butyl, tbutyl, pentyl and hexyl. The term ‘alkenyl’ should be interpreted accordingly.

[93]

[0093] Halo or halogen includes fluoro, chloro, bromo and iodo.

[94]

[0094] Haloalkyl moieties include 1-3 halogen atoms.

[95]

[0095] Unless otherwise defined, the term ‘heterocyclic’ as used herein includes aromatic and non-aromatic, single and fused, rings suitably containing up to four hetero-atoms in each ring selected from oxygen, nitrogen and sulphur, which rings may be unsubstituted or C-substituted by, for example, up to three groups selected from (C1-4)alkylthio; halo; carboxy(C1-4)alkyl; halo(C1-4)alkoxy; halo(C1-4)alkyl; (C1-4)alkyl; (C2-4)alkenyl; (C1-4)alkoxycarbonyl; formyl; (C1-4)alkylcarbonyl; (C2-4)alkenyloxycarbonyl; (C2-4)alkenylcarbonyl; (C1-4)alkylcarbonyloxy; (C1-4)alkoxycarbonyl; (C1-4)alkyl; hydroxy; hydroxy(C1-4)alkyl; mercapto(C1-4)alkyl; (C1-4)alkoxy; nitro; cyano; carboxy; amino or aminocarbonyl optionally substituted as for corresponding substituents in R3; (C1-4)alkylsulphonyl; (C2-4)alkenylsulphonyl; or aminosulphonyl wherein the amino group is optionally substituted by (C1-4)alkyl or (C2-4)alkenyl; optionally substituted aryl, aryl(C1-4)alkyl or aryl(C1-4)alkoxy and oxo groups. Each heterocyclic ring suitably has from 4 to 7, preferably 5 or 6, ring atoms. A fused heterocyclic ring system may include carbocyclic rings and need include only one heterocyclic ring. Compounds within the invention containing a heterocyclyl group may occur in two or more tautometric forms depending on the nature of the heterocyclyl group; all such tautomeric forms are included within the scope of the invention.

[96]

[0096] Where an amino group forms part of a single or fused non-aromatic heterocyclic ring as defined above suitable optional substituents in such substituted amino groups include H; trifluoromethyl; (C1-4)alkyl optionally substituted by hydroxy, (C1-6)alkoxy, (C1-6alkylthio, halo or trifluoromethyl; (C2-4)alkenyl; aryl; aryl (C1-4)alkyl; (C1-4)alkoxycarbonyl; (C1-4)alkylcarbonyl; formyl; (C1-6)alkylsulphonyl; or aminocarbonyl wherein the amino group is optionally substituted by (C1-4)alkoxycarbonyl, (C1-4)alkylcarbonyl, (C2-4)alkenyloxycarbonyl, (C2-4)alkenylcarbonyl, (C1-4)alkyl or (C2-4)alkenyl and optionally further substituted by (C1-4)alkyl or (C2-4)alkenyl.

[97]

[0097] When used herein the term ‘aryl’, includes phenyl and naphthyl, each optionally substituted with up to five, preferably up to three, groups selected from (C1-4)alkylthio; halo; carboxy(C1-4)alkyl; halo(C1-4)alkoxy; halo(C1-4)alkyl; (C1-4)alkyl; (C2-4)alkenyl; (C1-4)alkoxycarbonyl; formyl; (C1-4)alkylcarbonyl; (C2-4)alkenyloxycarbonyl; (C2-4)alkenylcarbonyl; (C1-4)alkylcarbonyloxy; (C1-4)alkoxycarbonyl, (C1-4)alkyl; hydroxy; hydroxy(C1-4)alkyl; mercapto(C1-4)alkyl; (C4)alkoxy; nitro; cyano, carboxy; amino or aminocarbonyl optionally substituted as for corresponding substituents in R3; (C1-4)alkylsulphonyl; (C2-4)alkenylsulphonyl; or aminosulphonyl wherein the amino group is optionally substituted by (C1-4)alkyl or (C2-4)alkenyl; phenyl, phenyl(C1-4)alkyl or phenyl(C1-4)alkoxy.

[98]

[0098] The term ‘acyl’ includes (C1-6)alkoxycarbonyl, formyl or (C1-6) alkylcarbonyl groups.

[99]

[0099] Some of the compounds of this invention may be crystallised or recrystallised from solvents such as organic solvents. In such cases solvates may be formed. This invention includes within its scope stoichiometric solvates including hydrates as well as compounds containing variable amounts of water that may be produced by processes such as lyophilisation.

[100]

[0100] Since the compounds of formula (I) are intended for use in pharmaceutical compositions it will readily be understood that they are each provided in substantially pure form, for example at least 60% pure, more suitably at least 75% pure and preferably at least 85%, especially at least 98% pure (% are on a weight for weight basis). Impure preparations of the compounds may be used for preparing the more pure forms used in the pharmaceutical compositions; these less pure preparations of the compounds should contain at least 1%, more suitably at least 5% and preferably from 10 to 59% of a compound of the formula (I) or pharmaceutically acceptable derivative thereof.

[101]

[0101] Pharmaceutically acceptable derivatives of the above-mentioned compounds of formula (I) include the free base form or their acid addition or quaternary ammonium salts, for example their salts with mineral acids e.g. hydrochloric, hydrobromic, sulphuric nitric or phosphoric acids, or organic acids, e.g. acetic, fumaric, succinic, maleic, citric, benzoic, p-toluenesulphonic, methanesulphonic, naphthalenesulphonic acid or tartaric acids. Compounds of formula (I) may also be prepared as the N-oxide. Compounds of formula (I) having a free carboxy group may also be prepared as an in vivo hydrolysable ester. The invention extends to all such derivatives.

[102]

[0102] Examples of suitable pharmaceutically acceptable in vivo hydrolysable ester-forming groups include those forming esters which break down readily in the human body to leave the parent acid or its salt. Suitable groups of this type include those of part formulae (i), (ii), (iii), (iv) and (v):

[103]

[0103] wherein Ra is hydrogen, (C1-6) alkyl, (C3-7) cycloalkyl, methyl, or phenyl, Rb is (C1-6) alkyl, (C1-6) alkoxy, phenyl, benzyl, (C3-7) cycloalkyl, (C3-7) cycloalkyloxy, (C1-6) alkyl (C3-7) cycloalkyl, 1-amino (C1-6) alkyl, or 1-(C1-6)alkyl)amino (C1-6) alkyl; or Ra and Rb together form a 1,2-phenylene group optionally substituted by one or two methoxy groups; RC represents (C1-6) alkylene optionally substituted with a methyl or ethyl group and Rd and Re independently represent (C1-6) alkyl; Rf represents (C1-6) alkyl; Rg represents hydrogen or phenyl optionally substituted by up to three groups selected from halogen, (C1-6) alkyl, or (C1-6) alkoxy; Q is oxygen or NH; Rh is hydrogen or (C1-6) alkyl; Ri is hydrogen, (C1-6) alkyl optionally substituted by halogen, (C2-6) alkenyl, (C1-6) alkoxycarbonyl, aryl or heteroaryl; or Rh and Ri together form (C1-6) alkylene; Ri represents hydrogen, (C1-6) alkyl or (C1-6) alkoxycarbonyl; and Rk represents (C1-8) alkyl, (C1-8) alkoxy, (C1-6) alkoxy(C1-6)alkoxy or aryl.

[104]

[0104] Examples of suitable in vivo hydrolysable ester groups include, for example, acyloxy(C1-6)alkyl groups such as acetoxymethyl, pivaloyloxymethyl, a-acetoxyethyl, α-pivaloyloxyethyl, 1-(cyclohexylcarbonyloxy)prop-1-yl, and

[105]

[0105] (1-aminoethyl)carbonyloxymethyl; (C1-6)alkoxycarbonyloxy(C1-6)alkyl groups, such as ethoxycarbonyloxymethyl, α-ethoxycarbonyloxyethyl and propoxycarbonyloxyethyl;

[106]

[0106] di(C1-6)alkylamino(C1-6)alkyl especially di(C1-4)alkylamino(C1-4)alkyl groups such as dimethylaminomethyl, dimethylaminoethyl, diethylaminomethyl or diethylaminoethyl;

[107]

[0107] 2-((C1-6)alkoxycarbonyl)-2-(C2-6)alkenyl groups such as

[108]

[0108] 2-(isobutoxycarbonyl)pent-2-enyl and 2-(ethoxycarbonyl)but-2-enyl; lactone groups such as phthalidyl and dimethoxyphthalidyl.

[109]

[0109] A further suitable pharmaceutically acceptable in vivo hydrolysable ester-forming group is that of the formula:

[110]

[0110] wherein Rk is hydrogen, C1-6 alkyl or phenyl.

[111]

[0111] R is preferably hydrogen.

[112]

[0112] Certain of the above-mentioned compounds of formula (I) may exist in the form of optical isomers, e.g. diastereoisomers and mixtures of isomers in all ratios, e.g. racemic mixtures. The invention includes all such forms, in particular the pure isomeric forms. For examples the invention includes compound in which an A-B group CH(OH)CH2 is in either isomeric configuration the R-isomer is preferred. The different isomeric forms may be separated or resolved one from the other by conventional methods, or any given isomer may be obtained by conventional synthetic methods or by stereospecific or asymmetric syntheses.

[113]

[0113] In a further aspect of the invention there is provided a process for preparing compounds of formula (I), or a pharmaceutically acceptable derivative thereof, which process comprises reacting a compound of formula (IV) with a compound of formula (V):

[114]

[0114] wherein n is as defined in formula (I); Z1′, Z2′, Z3′, Z4′, Z5 R1′, R3′ and R4′ are Z1, Z2, Z3, Z4, Z5, R1, R3 and R4 as defined in formula (I) or groups convertible thereto; and X and Y may be the following combinations:

[115]

[0115] (i) X is A′—COW, Y is H and n is 0;

[116]

[0116] (ii) X is CR6=CR8R9, Y is H and n is 0;

[117]

[0117] (iii) X is oxirane, Y is H and n is 0;

[118]

[0118] (iv) X is N═C═O and Y is H and n is 0;

[119]

[0119] (v) one of X and Y is CO2Ry and the other is CH2CO2Rx;

[120]

[0120] (vi) X is CHR6R7 and Y is C(═O)R8;

[121]

[0121] (vii) X is CR7═PRz3 and Y is C(═O)R9 and n=1;

[122]

[0122] (viii) X is C(═O)R7 and Y is CR9═PRz3 and n−1;

[123]

[0123] (ix) Y is COW and X is NHR11 ′, NCO or NR11′COW and n=0 or 1 or when n=1X is COW and Y is NHR11′, NCO or NR11′COW;

[124]

[0124] (x) X is NHR11′ and Y is C(═O)R8 and n=1;

[125]

[0125] (xi) X is NHR11′ and Y is CR8R9W and n=1;

[126]

[0126] (xii) X is NR11′COCH2W or NR1 11SO2CH2W and Y is H and n═O;

[127]

[0127] (xiii) X is CR6R7SO2W and Y is H and n═O;

[128]

[0128] (xiv) X is W or OH and Y is CH2OH and n is 1;

[129]

[0129] (xv) X is NHR11′ and Y is SO2W or X is NR11′SO2W and Y is H, and n is 0;

[130]

[0130] in which W is a leaving group, e.g. halo or imidazolyl; Rx and Ry are (C1-6)alkyl; Rz is aryl or (C1-6)alkyl; A′ and NR11′ are A and NR11 as defined in formula (I), or groups convertible thereto; and oxirane is:

[131]

[0131] wherein R6, R8 and R9 are as defined in formula (I); and thereafter optionally or as necessary converting A′, Z1′, Z2′, Z3, Z4′, Z5, R1′, R3′, R4 and NR11′; to A, Z1, Z2, Z3, Z4, Z5, R1, R3, R4 and NR11′; converting A-B to other A-B, interconverting R1, R3 and/or R4, and/or forming a pharmaceutically acceptable derivative thereof.

[132]

[0132] Process variant (i) initially produces compounds of formula (I) wherein A-B is A′-Co.

[133]

[0133] Process variant (ii) initially produces compounds of formula (I) wherein A-B is CHR6-CR8R9.

[134]

[0134] Process variant (iii) initially produces compounds of formula (I) wherein A-B is CR6(OH)-CR8R9.

[135]

[0135] Process variant (iv) initially produces compounds of formula (I) where A-B is NH—CO.

[136]

[0136] Process variant (v) initially produces compounds of formula (I) wherein A-B is CO—CH2 or CH2—CO.

[137]

[0137] Process variant (vi) initially produces compounds of formula (1) wherein A-B is CR6R7-CR8OH.

[138]

[0138] Process variant (vii) and (viii) initially produce compounds of formula (I) wherein A-B is CR7=CR9.

[139]

[0139] Process variant (ix) initially produces compounds of formula (I) where A-B is CO—NR11 or NR11—CO.

[140]

[0140] Process variant (x) initially produces compounds of formula (I) wherein A-B is NR11—CHR8.

[141]

[0141] Process variant (xi) initially produces compounds of formula (I) wherein A-B is NR11—CR8R9.

[142]

[0142] Process variant (xii) initially produces compounds of formula (I) where A-B is NR11—CO or NR11—SO2 and n=1.

[143]

[0143] Process variant (xiii) initially produces compounds of formula (I) where A-B is CR6R7—SO2.

[144]

[0144] Process variant (xiv) initially produces compounds of formula (1) wherein A-B is O—CH2.

[145]

[0145] Process variant (xv) initially produces compounds where AB is NR11SO2.

[146]

[0146] In process variants (i) and (ix) the reaction is a standard amide or urea formation reaction involving e.g.:

[147]

[0147] 1. Activation of a carboxylic acid (e.g. to an acid chloride, mixed anhydride, active ester, O-acyl-isourea or other species), and treatment with an amine (Ogliaruso, M. A.; Wolfe, J. F. in The Chemistry of Functional Groups (Ed. Patai, S.) Suppl. B: The Chemistry of Acid Derivatives, Pt. 1 (John Wiley and Sons, 1979), pp 442-8; Beckwith, A. L. J. in The Chemistry of Functional Groups (Ed. Patai, S.) Suppl. B: The Chemistry of Amides (Ed. Zabricky, J.) (John Wiley and Sons, 1970), p 73 ff. The acid and amine are preferably reacted in the presence of an activating agent such as 1-(dimethylaminopropyl)-3-ethylcarbodiimide hydrochloride (EDC) or 1-hydroxybenzotriazole (HOBT); or

[148]

[0148] 2. The specific methods of:

[149]

[0149] a. in situ conversion of an acid into the amine component by a modified Curtius reaction procedure (Shioiri, T., Murata, M., Hamada, Y., Chem. Pharm. Bull. 1987, 35, 2698)

[150]

[0150] b. in situ conversion of the acid component into the acid chloride under neutral conditions (Villeneuve, G. B.; Chan, T. H., Tetrahedron. Lett. 1997, 38, 6489).

[151]

[0151] A′ may be, for example, protected hydroxymethylene.

[152]

[0152] The process variant (ii) is a standard addition reaction using methods well known to those skilled in the art. The process is preferably carried out in a polar organic solvent e.g. acetonitrile in the presence of an organic base e.g. triethylamine.

[153]

[0153] In process variant (iii) the coupling may be effected in acetonitrile at room temperature in the presence of one equivalent of lithium perchlorate as catalyst (general method of J. E. Chateauneuf et al, J. Org. Chem., 56, 5939-5942, 1991) or more preferably with ytterbium triflate in dichloromethane. In some cases an elevated temperature such as 40-70° C. may be beneficial. Alternatively, the piperazine may be treated with a base, such as one equivalent of butyl lithium, and the resulting salt reacted with the oxirane in an inert solvent such as tetrahydrofuran, preferably at an elevated temperature such as 80° C. Use of a chiral epoxide will afford single diastereomers. Alternatively, mixtures of diastereomers may be separated by preparative HPLC or by conventional resolution through crystallisation of salts formed from chiral acids.

[154]

[0154] The process variant (iv) is a standard urea formation reaction from the reaction of an isocyanate with an amine and is conducted by methods well known to those skilled in the art (for example see March, J; Advanced Organic Chemistry, Edition 3 (John Wiley and Sons, 1985), p802-3). The process is preferably carried out in a polar solvent such as N,N-dimethylformamide.

[155]

[0155] In process variant (v) the process is two step: firstly a condensation using a base, preferably sodium hydride or alkoxide, sodamide, alkyl lithium or lithium dialkylamide, preferably in an aprotic solvent e.g. ether, THF or benzene; secondly, hydrolysis using an inorganic acid, preferably HCl in aqueous organic solvent at 0-100° C. Analogous routes are described in DE330945, EP31753, EP53964 and H. Sargent, J. Am. Chem. Soc. 68, 2688-2692 (1946). Similar Claisen methodology is described in Soszko et. al., Pr. Kom. Mat. Przyr. Poznan. Tow. Przyj. Nauk., (1962), 10, 15.

[156]

[0156] In process variant (vi) the reaction is carried out in the presence of a base, preferably organometallic or metal hydride e.g. NaH, lithium diisopropylamide or NaOEt, preferably in an aprotic solvent, preferably THF, ether or benzene at −78 to 25° C. (analogous process in Gutswiller et al. (1978) J. Am. Chem. Soc. 100, 576).

[157]

[0157] In process variants (vii) and (viii) if a base is used it is preferably NaH, KH, an alkyl lithium e.g. BuLi, a metal alkoxide e.g. NaOEt, sodamide or lithium dialkylamide e.g. di-isopropylamide. An analogous method is described in U.S. Pat. No. 3,989,691 and M. Gates et. al. (1970) J. Amer. Chem. Soc., 92, 205, as well as Taylor et al. (1972) JACS 94, 6218.

[158]

[0158] In process variant (x) where X or Y is CHO the reaction is a standard reductive alkylation using, e.g., sodium borohydride or sodium triacetoxyborohydride (Gribble, G. W. in Encyclopedia of Reagents for Organic Synthesis (Ed. Paquette, L. A) (John Wiley and Sons, 1995), p 4649).

[159]

[0159] The process variant (xi) is a standard alkylation reaction well known to those skilled in the art, for example where an alcohol or amine is treated with an alkyl halide in the presence of a base (for example see March, J; Advanced Organic Chemistry, Edition 3 (John Wiley and Sons, 1985), p364-366 and p342-343). The process is preferably carried out in a polar solvent such as N,N-dimethylformamide

[160]

[0160] In process variant (xii) the reaction is an alkylation, examples of which are described in J. Med. chem. (1979) 22(10) 1171-6. The compound of formula (IV) may be prepared from the corresponding compound where X is NHR11′ by acylation with an appropriate derivative of the acid WCH2COOH such as the acid chloride or sulphonation with an appropriate derivative of the sulphonic acid WCH2SO3H such as the sulphonyl chloride.

[161]

[0161] In process variant (xiii) the reaction is a standard sulphonamide formation reaction well known to those skilled in the art. This may be e.g. the reaction of a sulphonyl halide with an amine.

[162]

[0162] In process variant (xiv) where X is W such as halogen, methanesulphonyloxy or trifluoromethanesulphonyloxy, the hydroxy group in Y is preferably converted to an OM group where M is an alkali metal by treatment of an alcohol with a base. The base is preferably inorganic such as NaH, lithium diisopropylamide or sodium. Where X is OH, the hydroxy group in Y is activated under Mitsunobu conditions (Fletcher et. al. J. Chem Soc. (1995), 623). Alternatively the X═O and Y═CH2OH groups can be reacted directly by activation with dichlorocarbodiimide (DCC) (Chem. Berichte 1962, 95, 2997 or Angewante Chemie 1963 75, 377).

[163]

[0163] In process variant (xv) the reaction is conducted in the presence of an organic base such as triethylamine or pyridine such as described by Fuhrman et. al., J. Amer. Chem. Soc.; 67, 1245, 1945. The X=NR11′SO2W or Y═SO2W intermediates can be formed from the requisite amine e.g. by reaction with SO2Cl2 analogously to the procedure described by the same authors Fuhrman et. al., J. Amer. Chem. Soc.; 67, 1245, 1945.

[164]

[0164] Reduction of a carbonyl group A or B to CHOH can be readily accomplished using reducing agents well known to those skilled in the art, e.g. sodium borohydride in aqueous ethanol or lithium aluminium hydride in ethereal solution. This is analogous to methods described in EP53964, U.S. Pat. No. 3,845,56 and J. Gutzwiller et al, J. Amer. Chem. Soc., 1978, 100, 576.

[165]

[0165] The carbonyl group A or B may be reduced to CH2 by treatment with a reducing agent such as hydrazine in ethylene glycol, at e.g. 130-160° C., in the presence of potassium hydroxide.

[166]

[0166] Reaction of a carbonyl group A or B with an organometallic reagent yields a group where R6 or R8 is OH and R7 or R9 is alkyl.

[167]

[0167] A hydroxy group on A or B may be oxidised to a carbonyl group by oxidants well known to those skilled in the art, for example, manganese dioxide, pyridinium chlorochromate or pyridinium dichromate.

[168]

[0168] A hydroxyalkyl A-B group CHR6CR8OH or CR6(OH)CHR8 may be dehydrated to give the group CR6=CR8 by treatment with an acid anhydride such as acetic anhydride.

[169]

[0169] Methods for conversion of CR6=CR8 by reduction to CHR6CHR8 are well known to those skilled in the art, for example using hydrogenation over palladium on carbon as catalyst. Methods for conversion of CR6=CR8 to give the A-B group CR6(OH)CHR8 or CHR6CR80H are well known to those skilled in the art for example by epoxidation and subsequent reduction by metal hydrides, hydration, hydroboration or oxymercuration.

[170]

[0170] An amide carbonyl group may be reduced to the corresponding amine using a reducing agent such as lithium aluminium hydride.

[171]

[0171] A hydroxy group in A or B may be converted to azido by activation and displacement e.g. under Mitsunobu conditions using hydrazoic acid or by treatment with diphenylphosphorylazide and base, and the azido group in turn may be reduced to amino by hydrogenation.

[172]

[0172] Examples of groups Z1′, Z2, Z3′, Z4′, Z5′, are CR1a where Rla is a group convertible to Rla. Z1′, Z2′, Z3′, Z4′ and Z5′ are preferably Z1, Z2, Z3, Z4 and Z5.

[173]

[0173] Rla′ and R1 are preferably Rla and R1. R1 is preferably methoxy. R3 is R3 or more preferably hydrogen, vinyl, alkoxycarbonyl or carboxy. R4′ is R4 or more preferably H or an N-protecting group such as t-butoxycarbonyl, benzyloxycarbonyl or 9-fluorenylmethyloxycarbonyl.

[174]

[0174] Conversions of Rla′, R1′, R3 and R4′ and interconversions of Rla, R1, R3 and R4 are conventional. In compounds which contain an optionally substituted hydroxy group, suitable conventional hydroxy protecting groups which may be removed without disrupting the remainder of the molecule include acyl and alkylsilyl groups.

[175]

[0175] For example R1 methoxy is convertible to R1′ hydroxy by treatment with lithium and diphenylphosphine (general method described in Ireland et. al. (1973) J. Amer. Chem. Soc., 7829) or HBr. Alkylation of the hydroxy group with a suitable alkyl derivative bearing a leaving group such as halide and a protected amino, piperidyl, amidino or guanidino group or group convertible thereto, yields, after conversion/deprotection, R1 alkoxy substituted by optionally N-substituted amino, piperidyl, guanidino or amidino.

[176]

[0176] R3 alkenyl is convertible to hydroxyalkyl by hydroboration using a suitable reagent such as 9-borabicyclo[3.3.1]nonane, epoxidation and reduction or oxymercuration.

[177]

[0177] R3 1,2-dihydroxyalkyl can be prepared from R3 alkenyl using osmium tetroxide or other reagents well known to those skilled in the art (see Advanced Organic Chemistry (Ed. March, J.) (John Wiley and Sons, 1985), p 732-737 and refs. cited therein) or epoxidation followed by hydrolysis (see Advanced Organic Chemistry (Ed. March, J) (John Wiley and Sons, 1985), p 332,333 and refs. cited therein).

[178]

[0178] R3 vinyl can be chain extended by standard homologation e.g by conversion to hydroxyethyl followed by oxidation to the aldehyde which is then subjected to a Wittig reaction.

[179]

[0179] Opening an epoxide R3 group with cyanide anion yields a CH(OH)—CH2CN group.

[180]

[0180] Opening an epoxide-containing R3′ group with azide anion yields an azide derivative which can be reduced to the amine. Conversion of the amine to a carbamate is followed by ring closure with base to give the 2-oxo-oxazolidinyl containing R3 group.

[181]

[0181] Substituents on R3 alkyl or alkenyl may be interconverted by conventional methods, for example hydroxy may be derivatised by esterification, acylation or etherification. Hydroxy groups may be converted to halogen, thiol, alkylthio, azido, alkylcarbonyl, amino, aminocarbonyl, oxo, alkylsulphonyl, alkenylsulphonyl or aminosulphonyl by conversion to a leaving group and substitution by the required group, hydrolysis or oxidation as appropriate or reaction with an activated acid, isocyanate or alkoxyisocyanate. Primary and secondary hydroxy groups can be oxidised to an aldehyde or ketone respectively and alkyated with a suitable agent such as an organometallic reagent to give a secondary or tertiary alcohol as appropriate. A carboxylate group may be converted to an hydroxymethyl group by reduction of an ester of this acid with a suitable reducing agent such as lithium aluminium hydride.

[182]

[0182] Substituted 2-oxo-oxazolidinyl containing R3 groups may be prepared from the corresponding aldehyde by conventional reaction with a glycine anion equivalent, followed by cyclisation of the resulting amino alcohol (M Grauert et al, Ann Chem (1985) 1817, Rozenberg et al, Angew Chem Int Ed Engl (1994) 33(1) 91). The resulting 2-oxo-oxazolidinyl group contains a carboxy group which can be converted to other R10 groups by standard procedures.

[183]

[0183] Carboxy groups within R3 may be prepared by Jones' oxidation of the corresponding alcohols CH2OH using chromium acid and sulphuric acid in water/methanol (E. R. H. Jones et al, J. C. S. 1946,39). Other oxidising agents may be used for this transformation such as sodium periodate catalysed by ruthenium trichloride (G. F. Tutwiler et al, J. Med. Chem., 1987, 30(6), 1094), chromium trioxide-pyridine (G. Just et al, Synth. Commun. 1979, 9(7), 613), potassium permanganate (D. E. Reedich et al, J. Org. Chem., 1985,50(19), 3535, and pyridinium chlorochromate (D. Askin et al, Tetrahedron Letters, 1988, 29(3), 277.

[184]

[0184] The carboxy group may alternatively be formed in a two stage process, with an initial oxidation of the alcohol to the corresponding aldehyde using for instance dimethyl sulphoxide activated with oxalyl chloride (N. Cohen et al, J. Am. Chem. Soc., 1983, 105, 3661) or dicyclohexylcarbodiimide (R. M. Wengler, Angew. Chim. Int. Ed. Eng., 1985, 24(2), 77), or oxidation with tetrapropylammonium perruthenate (Ley et al, J. Chem. Soc. Chem Commun., 1987, 1625). The aldehyde may then be separately oxidised to the corresponding acid using oxidising agents such as silver (II) oxide (R. Grigg et al, J. Chem. Soc. Perkin1, 1983, 1929), potassium permanganate (A. Zurcher, Helv. Chim. Acta., 1987, 70 (7), 1937), sodium periodate catalysed by ruthenium trichloride (T. Sakata et al, Bull. Chem. Soc. Jpn., 1988, 61(6), 2025), pyridinium chlorochromate (R. S. Reddy et al, Synth. Commun., 1988, 18(51), 545) or chromium trioxide (R. M. Coates et al, J. Am. Chem. Soc., 1982, 104, 2198).

[185]

[0185] An R3 CO2H group may also be prepared from oxidative cleavage of the corresponding diol, CH(OH)CH2OH, using sodium periodate catalysed by ruthenium trichloride with an acetontrile-carbontetrachloride-water solvent system (V. S. Martin et al, Tetrahedron Letters, 1988, 29(22), 2701).

[186]

[0186] R3 groups containing a cyano or carboxy group may also be prepared by conversion of an alcohol to a suitable leaving group such as the corresponding tosylate by reaction with para-toluenesulphonyl chloride (M. R. Bell, J. Med. Chem., 1970, 13, 389), or the iodide using triphenylphosphine, iodine, and imidazole (G. Lange, Synth. Commun., 1990, 20, 1473). The second stage is the displacement of the leaving group with cyanide anion (L A. Paquette et al, J. Org. Chem., 1979, 44 (25), 4603; P. A. Grieco et al, J. Org. Chem., 1988, 53 (16), 3658). Finally acidic hydrolysis of the nitrile group gives the desired acids (H. Rosemeyer et al, Heterocycles, 1985, 23 (10), 2669). The hydrolysis may also be carried out with base e.g. potassium hydroxide (H. Rapoport, J. Org. Chem., 1958, 23, 248) or enzymatically (T. Beard et al, Tetrahedron Asymmetry, 1993, 4 (6), 1085).

[187]

[0187] Other functional groups in R3 may be obtained by conventional conversions of carboxy or cyano groups.

[188]

[0188] Tetrazoles are conveniently prepared by reaction of sodium azide with the cyano group (e.g. F. Thomas et al, Bioorg. Med. Chem. Lett., 1996, 6 (6), 631; K. Kubo et al, J. Med. Chem., 1993, 36,2182) or by reaction of azidotri-n-butyl stannane with the cyano group followed by acidic hydrolysis (P. L. Ornstein, J. Org. Chem., 1994, 59, 7682 and J. Med. Chem, 1996, 39 (11), 2219).

[189]

[0189] The 3-hydroxy-3-cyclobutene-1,2-dion-4-yl group (e.g. R. M. Soll, Bioorg. Med. Chem. Lett., 1993, 3 (4), 757 and W. A. Kinney, J. Med. Chem., 1992, 35 (25), 4720) can be prepared by the following sequence:—(1) a compound where R3 is (CH2)nCHO(n=0,1,2) is treated with triethylamine, carbon tetrabromide triphenylphosphine to give initially (CH2)nCH═CBr2; (2) dehydrobromination of this intermediate to give the corresponding bromoethyne derivative (CH2)nC═CBr (for this 2 stage sequence see D. Grandjean et al, Tetrahedron Letters, 1994, 35 (21), 3529); (3) palladium-catalysed coupling of the bromoethyne with 4-(1-methylethoxy)-3-(tri-n-butylstannyl)cyclobut-3-ene-1,2-dione (Liebeskind et al, J. Org. Chem., 1990, 55, 5359); (4) reduction of the ethyne moity to —CH2CH2— under standard conditions of hydrogen and palladium on charcol catalysis (see Howard et al, Tetrahedron, 1980, 36, 171); and finally (4) acidic hydrolysis of the methylethoxyester to generate the corresponding 3-hydroxy-3-cyclobutene-1,2-dione group R. M. Soll, Bioorg. Med. Chem. Lett., 1993, 3 (4), 757).

[190]

[0190] The tetrazol-5-ylaminocarbonyl group may be prepared from the corresponding carboxylic acid and 2-aminotetrazole by dehydration with standard peptide coupling agents such as 1,1′-carbonyldiimidazole (P. L. Ornstein et al, J. Med Chem, 1996, 39 (11), 2232).

[191]

[0191] The alkyl- and alkenyl-sulphonylcarboxamides are similarly prepared from the corresponding carboxylic acid and the alkyl- or alkenyl-sulphonamide by dehydration with standard peptide coupling agents such as 1,1′-carbonyldiimidazole (P. L. Ornstein et al, J. Med. Chem., 1996, 39 (11), 2232).

[192]

[0192] The hydroxamic acid groups are prepared from the corresponding acids by standard amide coupling reactions eg N. R. Patel et al, Tetrahedron, 1987, 43 (22), 5375

[193]

[0193] 2,4-thiazolidinedione groups may prepared from the aldehydes by condensation with 2,4-thiazolidinedione and subsequent removal of the olefinic double bond by hydrogenation.

[194]

[0194] The preparation of 5-oxo-1,2,4-oxadiazoles from nitrites is decribed by Y. Kohara et al, Bioorg. Med. Chem. Lett., 1995, 5(17), 1903.

[195]

[0195] 1,2,4-triazol-5-yl groups may be prepared from the corresponding nitrile by reaction with an alcohol under acid conditions followed by reaction with hydrazine and then an R10-substituted activated carboxylic acid (see J B Polya in ‘Comprehensive Heterocyclic Chemistry’ Edition 1 p762, Ed A R Katritzky and CW Rees, Pergamon Press, Oxford 1984 and J. J. Ares et al, J. Heterocyclic Chem., 1991, 28(5), 1197).

[196]

[0196] NH is converted to NR4 by conventional means such as amide or sulphonamide formation with an acyl derivative R5V′COW or R5V′SO2W, for compounds where U is CO or SO2 or, where U is CH2, by reaction with a vinyl derivative R5—CH═CH2, for example by heating in an alcohol such as ethanol containing an acid such as acetic acid, alkylation with an alkyl halide R5—V′—CH2-halide or alkyl derivative R5—V′—CH2-W in the presence of base, acylation/reduction or reductive alkylation with an aldehyde R5—V′CHO where V′ is V or a group convertible thereto such as a dimethyl acetal or 1,3-dithiane. Such groups are deprotected by conventional means eg dimethyl acetal by hydrolysis using dilute acid in tetrahydrofuran, and 1,3-dithiane using HgCl2 in aqueous acetonitrile (Marshall J. A. et al., J. Org. Chem. 34, 4188 (1969) or AgNO2 and 12 in tetrahydrofuran (Nishide K. et al., Heterocycles 44(1) 393 (1997).

[197]

[0197] Where V is a group CR17R18 this may be obtained by reduction of a V═CO group followed by derivatisation of the resulting R17═OH group as necessary.

[198]

[0198] Where one of R3 and R6, R7, R8 or R9 contains a carboxy group and the other contains a hydroxy or amino group they may together form a cyclic ester or amide linkage. This linkage may form spontaneously during coupling of the compound of formula (IV) and the piperazine moiety or in the presence of standard peptide coupling agents.

[199]

[0199] It will be appreciated that under certain circumstances interconvertions may interfere, for example, hydroxy groups in A or B and the piperazine NH will require protection e.g. as a carboxy- or silyl-ester group for hydroxy and as an acyl derivative for piperidine nitrogen, during conversion of Rla′, R1′, R3′ or R4′, or during the coupling of the compounds of formulae (IV) and (V).

[200]

[0200] Compounds of formulae (IV) and (V) are known compounds, (see for example Smith et al, J. Amer. Chem. Soc., 1946, 68, 1301) or prepared analogously, see for example the references cited above for reaction variant (a).

[201]

[0201] Compounds of formula (IV) where X is CR6R7SO2W may be prepared by a route analogous to that of Ahmed El Hadri et al, J. Heterocyclic Chem., 1993, 30(3), 631. Thus compounds of formula (IV) where X is CH2SO2OH may be prepared by reacting the corresponding 4-methyl compound with N-bromosuccinimide, followed by treatment with sodium sulfite. The leaving group W may be converted to another leaving group W, e.g. a halogen group, by conventional methods.

[202]

[0202] The isocyanate of formula (IV) may be prepared conventionally from a 4-amino derivative such as 4-amino-quinoline, and phosgene, or phosgene equivalent (eg triphosgene) or it may be prepared more conveniently from a 4-carboxylic acid by a “onepot” Curtius Reaction with diphenyl phosphoryl azide (DPPA) [see T. Shiori et al. Chem. Pharm. Bull. 35, 2698-2704 (1987)].

[203]

[0203] The 4-amino derivatives are commercially available or may be prepared by conventional procedures from a corresponding 4-chloro derivative by treatment with ammonia (O. G. Backeberg et. al., J. Chem Soc., 381, 1942) or propylamine hydrochloride (R. Radinov et. al., Synthesis, 886, 1986).

[204]

[0204] 4-Alkenyl compounds of formula (IV) may be prepared by conventional procedures from a corresponding 4-halogeno-derivative by e.g. a Heck synthesis as described in e.g. Organic Reactions, 1982, 27, 345.

[205]

[0205] 4-Halogeno derivatives of compounds of formula (IV) are commercially available, or may be prepared by methods known to those skilled in the art. A 4-chloroquinoline is prepared from the corresponding quinolin-4-one by reaction with phosphorus oxychloride (POCl3) or phosphorus pentachloride, PCl5. A 4-chloroquinazoline is prepared from the corresponding quinazolin-4-one by reaction with phosphorus oxychloride (POCl3) or phosphorus pentachloride, PCl5. A quinazolinone and quinazolines may be prepared by standard routes as described by T. A. Williamson in Heterocyclic Compounds, 6, 324 (1957) Ed. R. C. Elderfield.

[206]

[0206] 4-Carboxy derivatives of compounds of formula (IV) are commercially available or may be prepared by conventional procedures for preparation of carboxy heteroaromatics well known to those skilled in the art. For example, quinazolines may be prepared by standard routes as described by T. A. Williamson in Heterocyclic Compounds, 6, 324 (1957) Ed. R. C. Elderfield. These 4-carboxy derivatives may be activated by conventional means, e.g. by conversion to an acyl halide or anhydride.

[207]

[0207] Pyridazines may be prepared by routes analogous to those described in Comprehensive Heterocyclic Chemistry, Volume 3, Ed A. J. Boulton and A. McKillop and napthyridines may be prepared by routes analogous to those described in Comprehensive Heterocyclic Chemistry, Volume 2, Ed A. J. Boulton and A. McKillop.

[208]

[0208] A 4-oxirane derivative of compounds of formula (IV) is conveniently prepared from the 4-carboxylic acid by first conversion to the acid chloride with oxalyl chloride and then reaction with trimethylsilyldiazomethane to give the diazoketone derivative. Subsequent reaction with SM hydrochloric acid gives the chloromethylketone. Reduction with sodium borohydride in aqueous methanol gives the chlorohydrin which undergoes ring closure to afford the epoxide on treatment with base, e.g. potassium hydroxide in ethanol-tetrahydrofuran.

[209]

[0209] Alternatively and preferably, 4-oxirane derivatives can be prepared from bromomethyl ketones which can be obtained from 4-hydroxy compounds by other routes well known to those skilled in he art. For example, hydroxy compounds can be converted to the corresponding 4-trifluoromethanesulphonates by reaction with trifluoromethanesulphonic anhydride under standard conditions (see K. Ritter, Synthesis, 1993, 735). Conversion into the corresponding butyloxyvinyl ethers can be achieved by a Heck reaction with butyl vinyl ether under palladium catalysis according to the procedure of W. Cabri et al, J. Org. Chem, 1992, 57 (5), 1481. (Alternatively, the same intermediates can be attained by Stille coupling of the trifluoromethanesulphonates or the analaogous chloro derivatives with (I-ethoxyvinyl)tributyl tin, T. R. Kelly, J. Org. Chem., 1996, 61, 4623.) The alkyloxyvinyl ethers are then converted into the corresponding bromomethylketones by treatment with N-bromosuccinimide in aqueous tetrahydrofuran in a similar manner to the procedures of J. F. W. Keana, J. Org. Chem., 1983, 48, 3621 and T. R. Kelly, J. Org. Chem., 1996, 61, 4623.

[210]

[0210] The 4-hydroxyderivatives can be prepared from an aminoaromatic by reaction with methylpropiolate and subsequent cyclisation, analogous to the method described in N. E. Heindel et al, J. Het. Chem., 1969, 6, 77. For example, 5-amino-2-methoxy pyridine can be converted to 4-hydroxy-6-methoxy-[1,5]naphthyridine using this method.

[211]

[0211] If a chiral reducing agent such as (+) or (−)-B-chlorodiisopinocamphenylborane [‘DIP-chloride’ ] is substituted for sodium borohydride, the prochiral chloromethylketone is converted into the chiral chlorohydrin with ee values generally 85-95% [see C. Bolm et al, Chem. Ber. 125, 1169-1190, (1992)]. Recrystallisation of the chiral epoxide gives material in the mother liquor with enhanced optical purity (typically ee 95%).

[212]

[0212] The (R)-epoxide, when reacted with a piperazine derivative gives ethanolamine compounds as single diastereomers with (R)-stereochemistry at the benzylic position.

[213]

[0213] Alternatively, the epoxide may be prepared from the 4-carboxaldehyde by a Wittig approach using trimethylsulfonium iodide [see G. A. Epling and K-Y Lin, J. Het. Chem., 1987, 24, 853-857], or by epoxidation of a 4-vinyl derivative.

[214]

[0214] 4-Hydroxy-1,5-naphthyridines can be prepared from 3-aminopyridine derivatives by reaction with diethyl ethoxymethylene malonate to produce the 4-hydroxy-3-carboxylic acid ester derivative with subsequent hydrolysis to the acid, followed by thermal decarboxylation in quinoline (as for example described for 4-Hydroxy[1,5]naphthyridine-3-carboxylic acid, J. T. Adams et al., J. Amer. Chem. Soc., 1946, 68, 1317). A 4-hydroxy-[1,5]naphthyridine can be converted to the 4-chloro derivative by heating in phosphorus oxychloride, or to the 4-methanesulphonyloxy or 4-trifluoromethanesulphonyloxy derivative by reaction with methanesulphonyl chloride or trifluoromethanesulphonic anhydride, respectively, in the presence of an organic base. A 4-amino 1,5-naphthyridine can be obtained from the 4-chloro, 4-methanesulphonyloxy or 4-trifluoromethanesulphonyloxy derivative by reaction with n-propylamine in pyridine.

[215]

[0215] Similarly, 6-methoxy-1,5-naphthyridine derivatives can be prepared from 3-amino-6-methoxypyridine.

[216]

[0216] 1,5-Naphthyridines may be prepared by other methods well known to those skilled in the art (for examples see P. A. Lowe in “Comprehensive Heterocyclic Chemistry” Volume 2, p581-627, Ed A. R. Katritzky and C. W. Rees, Pergamon Press, Oxford, 1984).

[217]

[0217] The 4-hydroxy and 4-amino-cinnolines may be prepared following methods well known to those skilled in the art [see A. R. Osborn and K. Schofield, J. Chem. Soc. 2100 (1955)]. For example, a 2-aminoacetopheneone is diazotised with sodium nitrite and acid to produce the 4-hydroxycinnoline with conversion to chloro and amino derivatives as described for 1,5-naphthyridines.

[218]

[0218] The substituted piperazines of formula (V) are either commercially available or may be synthesised by hydrogenation of the corresponding pyrazines (eg von E. Felder et al. Helv. Chim. Acta 33, 888-896 (1960)], or by diborane reduction of a suitable lactam [eg H. L. Larkins et al. Tet. Lett. 27, 2721-2724 (1986)]. Chiral piperazines may be prepared from chiral 2-(S)- and 2-(R)-piperazindcarboxylic acid. Racemic piperazine-2-carboxylic acid (commercially available) may be resolved by crystallisation of the (S)- and (R)-dicamphor-10-sulfonic acid salts [following the general method of K. Stingl et al. Tet. Asymmetry 8, 979-982 (1997)-described for preparation of 2-(S)-piperazinecarboxylic acid].

[219]

[0219] Piperazine-2-carboxylic acid may be differentially protected [following the procedure of C. F. Bigge et al. Tet. Lett. 30, 5193-5196 (1989)] by first reacting with 2-(t-butoxycarbonyloxyimino)-2-phenylacetonitrile which selectively reacts on N-4, and then by reacting with benzylchloroformate which reacts on N−1. The 2-carboxylic acid is then methylated (conveniently with TMS-diazomethane). Hydrogenation (over Pd/C) then removes the carbobenzyloxy group, which may be alkylated or acylated with the required R4 group as described above for the conversion of R4′═H to R4. Reaction with trifluoroacetic acid (optionally in dichloromethane) removes the N-4-butoxycarbonyloxy group to afford the required 4—H piperazine.

[220]

[0220] The chiral piperazine-2-carboxylic acids may be elaborated to various derivatives, for example, an Arndt-Eistert procedure (involving silver salt mediated rearrangement of a diazoketone) will give chiral 2-acetic acid derivatives (initially via the methyl ester). Reduction of the intermediate ester with standard reducing agents such as lithium aluminium hydride will produce a hydroxymethyl derivative.

[221]

[0221] Compounds of formula (V) where n=1 may be prepared from the compound where n=0 by homologation eg starting from a compound of formula (V) where Y═CO2H.

[222]

[0222] R5—V′—CH2-halides, acyl derivatives R5V′COW and R5V′SO2W or aldehydes R5V′—CHO, vinyl derivatives R5—CH═CH2 and alkyl derivatives R5—V′—CH2—W are commercially available or are prepared conventionally. The aldehydes may be prepared by partial reduction of the R5—V′-ester with lithium aluminium hydride or diisobutylaluminium hydride or more preferably by reduction to the alcohol, with lithium aluminium hydride or sodium borohydride, followed by oxidation to the aldehyde with manganese (II) dioxide (see Reductions by the Alumino- and Borohydrides in Organic Synthesis, 2nd ed., Wiley, N.Y., 1997; JOC, 3197, 1984; Org. Synth. Coll., 102, 1990; 136, 1998; JOC, 4260, 1990; TL, 995, 1988; JOC, 1721, 1999; Liebigs Ann./Recl., 2385, 1997; JOC, 5486, 1987). The aldehydes may also be prepared from carboxylic acids in two stages by conversion to a mixed anhydride for example by reaction with isobutyl chloroformate followed by reduction with sodium borohydride (R. J. Alabaster et al., Synthesis, 598, 1989) to give the alcohols and then oxidation with a standard oxidising agent such as pyridinium dichromate or by homologation of the R5CHO intermediate. Acyl derivatives R5CH2COW may be prepared by activation of the R5—CH2-ester. R5—VCH2-halides such as bromides may be prepared from the alcohol R5—V′—CH2OH by reaction with phosphorus tribromide in DCM/triethylamine. R5—V′—CH2—W derivatives such as methanesulphonyl derivatives may be prepared from the alcohol R5—V′—CH2OH by reaction with methane sulphonyl chloride. R5V′SO2W derivatives may be prepared by a route analogous to that of Ahmed El Hadri et al, J. Heterocyclic Chem., 1993, 30(3), 631. Thus compounds of formula R5CH2SO20H may be prepared by reacting the corresponding R5CH3 compound with N-bromosuccinimide, followed by treatment with sodium sulfite. The leaving group W may be converted to another leaving group W, e.g. a halogen group, by conventional methods. The R5—V′—U— derivatives may be prepared by various conventional strategies. For example the homologous aldehyde R5—CHO may be treated with trimethylsulfonium methylsulfate in basic conditions, to give an epoxide intermediate (see Synth. Commun., 749, 1985) which is then treated with lewis acid, such as trifluoroboron etherate or diethyl etherate, to provide the desired aldehyde (see JOC, 1720, 1999). The aldehyde R5—CHO could also be treated with an appropriate phosphonium salt, such as (methoxymethyl)triphenylphosphonium chloride, in a Wittig fashion reaction. The resulting enol ether can readily be hydrolysed to homologous aldehydes (Chem. Ber., 2514, 1962). R5—COW derivatives can be converted to the aldehyde R5—V′—CHO in several steps (see JACS, 1325, 1986). The R5COCH2-halide derivatives may be prepared by standard methods from the R5CO2H derivative, for example, by acid chloride formation, conversion to the alpha-diazoketone with diazomethane and reaction with a halogen acid to provide the halomethylketone. Vinyl derivatives R5—CH═CH2 may be prepared from the corresponding diethylaminoethyl derivative by quatemisation with dimethyl sulphate and heating, resulting in elimination of the charged amino group. The diethylaminoethyl derivative may be prepared from another ethyl derivative eg the hydroxyethyl by conventional amine formation. Alternatively, it may be prepared from a methyl derivative by condensation with diethylamine and formaldehyde.

[223]

[0223] Where R5 is an optionally substituted benzoimidazol-2-yl group, the compound of formula (V) where R4′ is R4 may be obtained by reacting N−1 protected piperazine with acrylnitrile, converting the resulting R4 2-cyanoethyl group with partial hydrolysis to give the 2-ethoxycarbonimidoylethyl group which can then be condensed with an appropriately substituted 1,2-diaminobenzene to give the required benzoimidazol-2-yl group.

[224]

[0224] R5—H heterocycles are commercially available or may be prepared by conventional methods.

[225]

[0225] Conversions of Rla′, R1, R3′ and R4′ may be carried out on the intermediates of formulae (IV), (V) and (Vb) prior to their reaction to produce compounds of formula (1) in the same way as described above for conversions after their reaction.

[226]

[0226] The pharmaceutical compositions of the invention include those in a form adapted for oral, topical or parenteral use and may be used for the treatment of bacterial infection in mammals including humans.

[227]

[0227] The antibiotic compounds according to the invention may be formulated for administration in any convenient way for use in human or veterinary medicine, by analogy with other antibiotics.

[228]

[0228] The composition may be formulated for administration by any route, such as oral, topical or parenteral. The compositions may be in the form of tablets, capsules, powders, granules, lozenges, creams or liquid preparations, such as oral or sterile parenteral solutions or suspensions.

[229]

[0229] The topical formulations of the present invention may be presented as, for instance, ointments, creams or lotions, eye ointments and eye or ear drops, impregnated dressings and aerosols, and may contain appropriate conventional additives such as preservatives, solvents to assist drug penetration and emollients in ointments and creams.

[230]

[0230] The formulations may also contain compatible conventional carriers, such as cream or ointment bases and ethanol or oleyl alcohol for lotions. Such carriers may be present as from about 1% up to about 98% of the formulation. More usually they will form up to about 80% of the formulation.

[231]

[0231] Tablets and capsules for oral administration may be in unit dose presentation form, and may contain conventional excipients such as binding agents, for example syrup, acacia, gelatin, sorbitol, tragacanth, or polyvinylpyrollidone; fillers, for example lactose, sugar, maize-starch, calcium phosphate, sorbitol or glycine; tabletting lubricants, for example magnesium stearate, talc, polyethylene glycol or silica; disintegrants, for example potato starch; or acceptable wetting agents such as sodium lauryl sulphate. The tablets may be coated according to methods well known in normal pharmaceutical practice. Oral liquid preparations may be in the form of, for example, aqueous or oily suspensions, solutions, emulsions, syrups or elixirs, or may be presented as a dry product for reconstitution with water or other suitable vehicle before use. Such liquid preparations may contain conventional additives, such as suspending agents, for example sorbitol, methyl cellulose, glucose syrup, gelatin, hydroxyethyl cellulose, carboxymethyl cellulose, aluminium stearate gel or hydrogenated edible fats, emulsifying agents, for example lecithin, sorbitan monooleate, or acacia; non-aqueous vehicles (which may include edible oils), for example almond oil, oily esters such as glycerine, propylene glycol, or ethyl alcohol; preservatives, for example methyl or propyl p-hydroxybenzoate or sorbic acid, and, if desired, conventional flavouring or colouring agents.

[232]

[0232] Suppositories will contain conventional suppository bases, e.g. cocoa-butter or other glyceride.

[233]

[0233] For parenteral administration, fluid unit dosage forms are prepared utilizing the compound and a sterile vehicle, water being preferred. The compound, depending on the vehicle and concentration used, can be either suspended or dissolved in the vehicle. In preparing solutions the compound can be dissolved in water for injection and filter sterilised before filling into a suitable vial or ampoule and sealing.

[234]

[0234] Advantageously, agents such as a local anaesthetic, preservative and buffering agents can be dissolved in the vehicle. To enhance the stability, the composition can be frozen after filling into the vial and the water removed under vacuum. The dry lyophilized powder is then sealed in the vial and an accompanying vial of water for injection may be supplied to reconstitute the liquid prior to use. Parenteral suspensions are prepared in substantially the same manner except that the compound is suspended in the vehicle instead of being dissolved and sterilization cannot be accomplished by filtration. The compound can be sterilised by exposure to ethylene oxide before suspending in the sterile vehicle. Advantageously, a surfactant or wetting agent is included in the composition to facilitate uniform distribution of the compound.

[235]

[0235] The compositions may contain from 0.1% by weight, preferably from 10-60% by weight, of the active material, depending on the method of administration. Where the compositions comprise dosage units, each unit will preferably contain from 50-500 mg of the active ingredient. The dosage as employed for adult human treatment will preferably range from 100 to 3000 mg per day, for instance 1500 mg per day depending on the route and frequency of administration. Such a dosage corresponds to 1.5 to 50 mg/kg per day. Suitably the dosage is from 5 to 20 mg/kg per day.

[236]

[0236] No toxicological effects are indicated when a compound of formula (I) or a pharmaceutically acceptable salt or in vivo hydrolysable ester thereof is administered in the above-mentioned dosage range.

[237]

[0237] The compound of formula (I) may be the sole therapeutic agent in the compositions of the invention or a combination with other antibiotics or with a β-lactamase inhibitor may be employed.

[238]

[0238] Compounds of formula (I) are active against a wide range of organisms including both Gram-negative and Gram-positive organisms.

[239]

[0239] The following examples illustrate the preparation of certain compounds of formula (I) and the activity of certain compounds of formula (I) against various bacterial organisms.

Examples

Example 1

2-(2-{4-[(R)-2-Hydroxy-2-(6-methoxy-quinolin-4-yl)-ethyl]-piperazin-1-yl}-ethyl)-isoindole-1,3-dione dioxalate

[240]

[0240]

[241]

[0241] (a) 6-Methoxyquinoline4-Carboxylic Acid

[242]

[0242] The title compound was prepared by modification of the procedure described by W. E. Daering and J. D. Chanley, J. Amer. Chem. Soc., 1946, 68, 586. A mixture of Quinine (225 g, 0.70 mol), tert-butanol (1 litre) and water (10 ml) was treated with potassium tert-butoxide (170 g, 1.5 mol). The mixture was stirred at 30° C., while air was bubbled through for 3 days. The mixture was diluted with diethyl ether and water and the layers separated. The aqueous phase was extracted with ethyl acetate. The combined diethyl ether and ethyl acetate extracts were dried over magnesium sulfate and evaporated to give recovered starting material (approximately 100 g). The aqueous phase was acidified to pH 5 with 5M hydrochloric acid. The precipitate was collected by filtration, washed with water and methanol, then dried to give 6-methoxyquinoline-4-carboxylic acid as a yellow solid (64.6 g, 46%).

[243]

[0243] δH (d-6 DMSO), 6.23-5.95 (1H, m), 5.34-5.06 (2H, m), 3.37-2.92 (5H, m), 2.70 (1H, m), 2.38-2.15 (3H, m), 1.94-1.52 (2H, m).

[244]

[0244] (b) (R)-2-(6-Methoxyquinolin-4-yl)oxirane

[245]

[0245] A solution of 6-methoxyquinoline-4-carboxylic acid (Example 1(a)) (10 g) in dichloromethane was heated under reflux with oxalyl chloride (5 ml) and N,N′-dimethylformamide (2 drops) for 1 hour and evaporated to dryness. The residue, in dichloromethane (100 ml) was treated with a 2M solution of trimethylsilyldiazomethane in hexane (50 ml) and stirred at room temperature for 18 hours. 5M Hydrochloric acid (150 ml) was added and the solution was stirred at room temperature for 3 hours. It was basified with sodium carbonate solution, extracted with ethyl acetate and chromatographed on silica gel eluting with ethyl acetate-hexane to give the chloromethyl ketone (4.2 g). A batch of the chloromethyl ketone (20 g) was reduced with (+)-B-chlorodiisopinocamphenylborane (40 g) in dichloromethane (400 ml) at room temperature for 18 hours followed by treatment with diethanolamine (30 g) for 3 hours. The product was chromatographed on silica gel eluting with ethyl acetate-hexane to give the chloroalcohol (16.8 g), which was dissolved in tetrahydrofuran (100 ml) and reacted with sodium hydroxide (2.6 g) in water (13 ml) for 1.5 hours. The reaction mixture was evaporated to dryness and chromatographed on silica gel eluting with ethyl acetate/hexane to give the title compound as a solid (10.4 g) (84% ee by chiral HPLC). Recrystallisation from ether-pentane gave mother-liquor (7.0 g) (90% ee).

[246]

[0246] MS (+ve ion electrospray) m/z 202 (MH+)

[247]

[0247] The absolute stereochemistry was defined to be (R) by an NMR study on the Mosher's esters derived from the product obtained by reaction with 1-tert-butylpiperazine.

[248]

[0248] (c) 4-[(R)-2-Hydroxy-2-(6-methoxy-quinolin-4-yl)-ethyl]-piperazine-1-carboxylic acid tert-butyl ester

[249]

[0249] (R)-2-(6-Methoxyquinolin-4-yl)oxirane (Example 1(b)) (4.30 g, 21.37 mmol) was dissolved in acetonitrile (30 mL). To the solution was added piperazine-1-carboxylic acid tert-butyl ester (7.17 g, 38.47 mmol) and lithium perchlorate (2.27 g, 106.4 mmol). The resulting slurry was stirred at room temperature for 10 hours and then concentrated in vacuo. The residue was partitioned between ethyl acetate and water and the organic phase dried over magnesium sulfate. Concentration in vacuo afforded a colourless oil which was subjected to purification by column chromatography on silica gel using a dichloromethane/methanol gradient. This provided the desired compound as a colourless oil (7.65 g, 92%).

[250]

[0250] MS (APCI+) m/z 388 (MH+).

[251]

[0251] (d) (R)-1-(6-Methoxy-quinolin-4-yl)-2-piperazin-1-yl-ethanol

[252]

[0252] 4-[(R)-2-Hydroxy-2-(6-methoxy-quinolin-4-yl)-ethyl]-piperazine-1-carboxylic acid tert-butyl ester (Example 1(c)) (3.50 g) was dissolved in dichloromethane (10 mL) and trifluoroacetic acid (10 mL) was added. The resulting solution was stirred at room temperature for 5 hours and then concentrated in vacuo. The residue was purified on silica gel, eluting with methanol and dichloromethane. This provided the desired compound which was used without further purification.

[253]

[0253] MS (APCI+) m/z 288 (MH+).

[254]

[0254] (e) Title Compound

[255]

[0255] (R)-1-(6-Methoxy-quinolin-4-yl)-2-piperazin-1-yl-ethanol (Example 1(d), crude from above) was dissolved in N,N′-dimethylformamide (3 mL). To the solution was added potassium carbonate (111 mg, 0.807 mmol) and 2-(2-bromo-ethyl)-isoindole-1,3-dione (205 mg, 0.807 mmol). Stirring at room temperature was continued for 3 hours and then the mixture was concentrated in vacuo. The residue was purified by column chromatography on silica gel to provide the desired product as a colourless oil (35 mg, 11%).

[256]

[0256] δH (CD3OD, 250 MHz), 8.45-8.43 (1H, d), 7.73-7.67 (2H, m), 7.56-7.09 (6H, m), 5.425.38 (1H, dd), 4.25-4.18 (2H, m), 3.74 (3H, s), 3.81-3.58, 2.62-2.41 (12H, m).

[257]

[0257] MS (APCI+) m/z 461 (MH+).

[258]

[0258] A solution of the oil (20 mg) in dichloromethane (1 mL) was added to oxalic acid (8 mg) in diethyl ether (10 mL) to generate the dioxalate salt. The title compound was isolated by centrifugation, washing with diethyl ether and subsequent drying in vacuo.

Example 2

(R)-2-14-[2-(4-Fluoro-1H-benzoimidazol-2-yl)-ethyl]-piperazin-1-yl}-1-(6-methoxy-quinolin-4-yl)-ethanol

[259]

[0259]

[260]

[0260] (a) 4-(2-Cyano-ethyl)-piperazine-1-carboxylic acid 9H-fluoren-9-ylmethyl ester A mixture of 5.17 g (15 mmol) of 9-fluorenylmethyloxylcarbonyl piperazine hydrochloride (RN 215190-22-0), 0.987 ml (15 mmol) of acrylonitrile, 2.081 ml (15 mmol) of triethylamine and 15 ml of isopropylalcohol was stirred 5 min at 40° C. followed by 3 h at room temperature. The white precipitate was filtered, washed with diethylether, then dissolved in ethyl acetate. The organic phase was washed with water, dried over magnesium sulphate and concentrated to dryness. The residue was suspended in a small amount of diethyl ether, filtered and dried to afford 3.1 g (yield: 57%) of the title compounds as white crystals.

[261]

[0261] δH (CDCl3, 200 MHz): 7.77(2H, d), 7.57(2H, d), 7.50-7.21(4H, m), 4.45(2H, d), 4.24(1H, t), 3.49(4H, m), 2.74(2H, t), 2.51(2H, t), 2.43(4H, m).

[262]

[0262] (b) 4-(2-Ethoxycarbonimidoyl-ethyl)-piperazine-I-carboxylic acid 9H-fluoren-9-ylmethyl ester, dihydrochloride

[263]

[0263] A solution of 1.48 g (4.09 mmol) of 4-(2-cyano-ethyl)-piperazine-1-carboxylic acid 9-H-fluoren-9-ylmethyl ester (Example 2(a)) and 239 microliters of ethanol (4.09 mmol) in 5 ml of CHCl3 was saturated, at 0° C., by a stream of gaseous hydrochloric acid. The mixture was left overnight in a fridge. The solution was concentrated in vacuo and the white residue (1.97 g) used without further purification in the next step.

[264]

[0264] (c) 4-[2-(4-Fluoro-1H-benzoimidazol-2-yl)-ethyl]-piperazine-1-carboxylic acid 9-H-fluoren-9-ylmethyl ester

[265]

[0265] A mixture of 1.97 g (approx. 4 mmol) of crude 4-(2-ethoxycarbonimidoyl-ethyl)-piperazine-1-carboxylic acid 9H-fluoren-9-ylmethyl ester dihydrochloride (Example 2(b)), 0.52 g (4.09 mmol) of 3-fluoro-1,2-diaminobenzene (RN 18645-88-0) and 8 ml of CHCl3 was heated to reflux for 1 h. The mixture was diluted with MDC and neutralised with an aqueous solution of potassium carbonate. The organic phase was washed with water, dried over magnesium sulphate and concentrated. The residue was purified by flash chromatography on silica gel (eluent: first AcOEt, then AcOEt/MeOH: 98/2) to afford 1.15 g (yield 60% over two steps) of the title compound as off-white crystals.

[266]

[0266] δH (CDCl3, 200 MHz): 10.98(1H,br), 7.78(2H, d), 7.59(2H,d), 7.50-7.22(5H, m), 7.16(1H, m), 6.94(1H, dd), 4.50(2H, d), 4.26(1H, t), 3.58(4H, m), 3.17(2H, t), 2.85(2H, t), 2.55(4H, m).

[267]

[0267] (d) 4-Fluoro-2-(2-piperazin-1-yl-ethyl)-1H-benzoimidazole

[268]

[0268] A mixture of 0.49 g (1.04 mmol) of 4-[2-(4-fluoro-1H-benzoimidazol-2-yl)-ethyl]piperazine-1-carboxylic acid 9H-fluoren-9-ylmethyl ester (Example 2(c)), 156 ul (1.6 mmol) of piperidine and 27 ml of acetonitrile was stirred at room temperature for 21 h. After concentration of the solvent, the residue was purified by flash chromatography over 25 g silica gel (eluent: first CH2Cl2/MeOH: 90/10, then 80/20). The most polar fractions were pooled and concentrated affording 0.167 g (yield 65%) of the title compound as a white solid.

[269]

[0269] δH (CDCl3, 200 MHz): 7.30(1H, d), 7.12(1H, m), 6.92(1H, dd), 3.14(2H, t), 3.02(4H, m), 2.82(2H, t), 2.62(4H, m), 1.90(2H, br).

[270]

[0270] (e) Title Compound

[271]

[0271] A mixture of 160 mg (0.644 mmol) of 4-fluoro-2-(2-piperazin-1-yl-ethyl)-1H-benzoimidazole (Example 2(d)), 118 mg (0.586 mmol) of (R)-2-(6-methoxyquinoloin-4-yl)oxirane (Example 1(b)), 62 mg (0.586 mmol) of anhydrous lithium perchlorate and 1.6 ml of anhydrous acetonitrile were stirred for 24 h at room temperature. The solvent was concentrated and the residue dissolved in 15 ml AcOEt. The organic phase was washed with brine, dried over magnesium sulphate and concentrated. The residue was purified by flash chromatography over 25 g silica gel (eluent: CH2Cl2/MeOH: 95/5) affording 171 mg (yield 59%) of the title compound as the free base.

[272]

[0272] A solution of 36 mg (0.396 mmol) of oxalic acid in 2 ml of acetone was added to a solution of 89 mg (0.198 mmol) of the base described above in 2 ml of acetone. The precipitate was filtered, washed with a small amount of diethyl ether and dried to afford 76 mg of the title compound as the oxalate salt as off-white crystals. m.p.=291-293° C.

[273]

[0273] δH (d-6 DMSO, 200 MHz): 8.77(1H, d), 7.75(1H, d), 7.62(1H, d), 7.51-7.37(2H, m), 7.32(1H, d), 7.15(1H, m), 6.95(1H, m), 5.71(1H, m), 4.32(5H, br), 3.95(3H, s), 3.352.80(14H, m).

Example 3

4-[2-(4-Fluoro-1H-benzoimidazol-2-yl)-ethyl]-piperazine-1-carboxylic acid (6-methoxy-[1,5]naphthyridin-4-yl)-amide

[274]

[0274]

[275]

[0275] A mixture of 150 mg (0.856 mmol) of 4-amino-6-methoxy-[1,5]naphthyridine (WO00/21948, Example 3(e)), 115 mg (0.942 mmol) of 4-dimethylaminopyridine (DMAP), 194 mg (1.2 mmol) of carbonyl diimidazole and 4 ml of chloroform were stirred for 6 hours. The solvent was concentrated and the residue dissolved in 2 ml of dry DMF. Then, 213 mg (0.856 mmol of 4-fluoro-2-(2-piperazin-1-yl-ethyl)-1H-benzoimidazole (Example 2(d)) were added and the mixture was heated at 70° C. for 18 h. The solvent was concentrated in vacuo and the residue was dissolved in ethyl acetate and the aqueous phase was washed with water. On standing at room temperature 270 mg of the title compound free base precipitated slowly (yield 70%).

[276]

[0276] δH (d-6 DMSO, 200 MHz): 9.09(1H, s), 8.61(1H, d), 8.21(2H, m), 7.29(2H, d), 7.10(1H, m), 6.93(1H, dd), 4.08(3H, s), 3.58(4H, m), 3.20(1H, br), 3.04(2H, t), 2.85(2H, t), 2.58(4H, m).

[277]

[0277] The free base described above (100 mg) was salified following the process of example 2(e) to afford 129 mg (yield 92%) of the title compound as the oxalate salt as off-white crystals. m.p.=263-265° C.

[278]

[0278] δH (d-6 DMSO, 200 MHz): 9.16(1H, s), 8.63(1H, d), 8.32-8.16(2H, m), 7.40-7.24(2H, m), 7.13(1H, m), 6.98(1H, dd), 4.57(5H, br), 4.10(3H, s), 3.73(4H, m), 3.41-3.14(4H, m), 3.03(4H, m).

Example 4

(R)-2-14-[2-(5-Fluoro-1H-benzoimidazol-2-yl)-ethyl]-piperazin-1-yl)1-(6-methoxy-quinolin-4-yl)-ethanol

[279]

[0279]

[280]

[0280] (a) 4-[2-(5-Fluoro-1H-benzoimidazol-2-yl)-ethyl]-piperazine-1-carboxylic acid 9H-fluoren-9-ylmethyl ester

[281]

[0281] A mixture of 1.15 g (approx. 2.4 mmol) of crude 4-(2-ethoxycarbonimidoyl-ethyl)piperazine-1-carboxylic acid 9H-fluoren-9-ylmethyl ester dihydrochloride (Example 2(b)), 0.30 g (2.4 mmol) of 4-fluoro-1,2-diaminobenzene (RN 367-31-7) and 4.8 ml of CHCl3 was heated to reflux for 5 h. The mixture was diluted with dichloromethane (MDC) and neutralised with an aqueous solution of potassium carbonate. The organic phase was washed with water, dried over magnesium sulphate and concentrated. The residue was purified by flash chromatography on silica gel (eluent: AcOEt/MeOH: 95/5) to afford 0.49 g (yield 43%) of the title compound as light brown crystals.

[282]

[0282] δH (CDCl3, 200 MHz): 7.77(2H, d), 7.58(2H, d), 7.51-7.18(6H, m), 6.98(1H, td), 5.42(1H, br), 4.51(2H, d), 4.25(1H, t), 3.59(4H, m), 3.17(2H, d), 2.89(2H, t), 2.56(4H, m).

[283]

[0283] (b) 5-Fluoro-2-(2-piperazin-1-yl-ethyl)-1H-benzoimidazole

[284]

[0284] Starting with Example 4(a) and following the procedure of Example 2d afforded the desired compound as white crystals.

[285]

[0285] δH (CDCl3, 200 MHz): 7.45(1H, dd), 7.23(1H, dd), 6.96(1H, td), 3.30(2H, br), 3.10(2H, t), 3.02(4H, m), 2.81(2H, t), 2.60(4H, m).

[286]

[0286] (c) Title Compound.

[287]

[0287] Starting from 100 mg (0.403 mmol) of 5-fluoro-2-(2-piperazin-1-yl-ethyl)-1H-benzoimidazole (Example 4(b)) and following the procedure of example 2(e) afforded 120 mg (yield 0%) of the title compound free base.

[288]

[0288] δH (CDCl3, 200 MHz): 8.78(1H, d), 8.06(1H, d), 7.65(1H, d), 7.53-7.35(2H, m), 7.307.17(2H, m), 6.96(1H, td), 5.52(1H, dd), 3.94(3H, s), 3.62(2H, br), 3.17(2H, t), 3.122.58(12H, m).

[289]

[0289] The base described above (120 mg) was salified following the process of example 2(e) to afford 120 mg (yield 71%) of the title compound as the oxalate salt as yellowish crystals. m.p. 291-293.

[290]

[0290] δH (d-6 DMSO, 200 MHz): 8.76(1H, d), 7.97(1H, d), 7.62(1H, d), 7.58-7.26(4H, m), 7.00(1H, td), 5.70(1H, m), 3.93(3H, s), 3.80(6H, br), 3.33-2.80(14H, m).

Example 5

4-[12-(2,3-Dihydro-benzo[1,4]dioxin-6-yl)-ethyl]-piperazine-1-carboxylic acid (6-methoxy-[1,5]naphthyridin-4-yl)-amide, dioxalate.

[291]

[0291]

[292]

[0292] (a) 6-Oxiranyl-2,3-dihydro-benzo[1,4]dioxine

[293]

[0293] A mixture of 1,4-benzodioxanecarboxaldehyde [RN 29668-44-8] (1.5 g, 9.14 mmol), trimethylsulfonium methyl sulphate (2.24 g, 11.9 mmol), 35 ml of methylene chloride and 4.6 ml of 50% aqueous sodium hydrochloride were vigorously stirred for 70 hours. The mixture was diluted with 20 ml of water and 40 ml of diethyl ether and the layers separated. The aqueous phase was extracted with diethyl ether. The combined organic phases were washed with 20 ml of water, 20 ml of brine then dried over magnesium sulphate and evaporated to give crude 6-oxiranyl-2,3-dihydro-benzo[1,4]dioxine (1.66 g, quantitative).

[294]

[0294] δH (CDCl3, 200 MHz): 6.88-6.72(3H, m), 4.25(4H, s), 3.76(1H, dd), 3.10(1H, dd), 2.77(1H, dd).

[295]

[0295] (b) (2,3-Dihydro-benzo[1,4]dioxin-6-yl)-acetaldehyde.

[296]

[0296] A solution of crude 6-oxiranyl-2,3-dihydro-benzo[1,4]dioxine (Example 5(a), 200 mg, 1.12 mmol) in 20 ml anhydrous diethyl ether was cooled at −101° C. A 10% solution of boron trifluoride diethyl etherate in diethyl ether (160 ul) was then added and the mixture was stirred for 10 minutes at −10° C. The reaction was quenched at this temperature by addition of 10 ml of a saturated aqueous solution of sodium bicarbonate. The mixture was extracted twice with diethyl ether. The combined organic phases were washed with 10 ml of water, 10 ml of brine then dried over magnesium sulphate and evaporated to give crude (2,3-dihydro-benzo[1,4]dioxin-6-yl)-acetaldehyde (191 mg, 95%) used without further purification in the next step.

[297]

[0297] δH (CDCl3, 200 MHz): 9.70(1H, t), 6.95-6.62(3H, m), 4.26(4H, s), 3.56(2H, d).

[298]

[0298] (c) 4-(6-Methoxy-[1,5]naphthyridin-4-ylcarbamoyl)-piperazine-1-carboxylic acid tert-butyl ester

[299]

[0299] A mixture of 4-amino-6-methoxy-[1,5]naphthyridine (1.5 g), 4-dimethylaminopyridine (DMAP) (1.2 g) and carbonyl diimidazole (1.95 g) in chloroform (45 ml) was stirred for 5 hours. The solvent was evaporated and the residue dissolved in dry DMF (20 ml) and piperazine-l-carboxylic acid tert-butyl ester (1.6 g) was added and the solution was heated at 700° C. overnight. Water was added and the mixture was extracted with ethyl acetate, dried (magnesium sulfate,) and concentrated to give a solid (1.04 g).

[300]

[0300] (d) Piperazine-l-carboxylic acid (6-methoxy-[1,5]naphthyridin-4-yl)-amide

[301]

[0301] The ester (5c) (1.0 g) in dichloromethane (15 ml) and trifluoroacetic acid (8 ml) was stirred at room temperature for 4 hours and evaporated to dryness. Water was added and excess 15% sodium hydroxide solution and the mixture was extracted with dichloromethane, dried (magnesium sulfate), and evaporated to give a solid (0.4 g)

[302]

[0302] (e) Title Compound.

[303]

[0303] A mixture of (2,3-dihydro-benzo[1,4]dioxin-6-yl)-acetaldehyde (Example 5(b), 138 mg, 0.78 mmol), piperazine-1-carboxylic acid (6-methoxy-[1,5]naphthyridin-4-yl)-amide (Example 5(d) 200 mg, 0.7 mmol), acetic acid (3 drops) and methanol (20 ml) was stirred at room temperature for 0.5 hour, then sodium cyanoborohydride (35 mg, 0.56 mmol) was added and the mixture was stirred at room temperature for 48 hours. The solvent was concentrated and the residue was treated with 0.1 N NaOH (20 ml) then extracted with methylene chloride. The solution was dried over magnesium sulphate and concentrated to dryness. The residue was chromatographed on silica gel eluting with methylene chloridemethanol-ammonia (99-1-0.6) to give the title compound as the free base (184 mg, 41%).

[304]

[0304] δH(d-6 DMSO, 200 MHz): 9.10(1H, br), 8.61(1H, d), 8.24(1H, d), 8.21(1H, d), 7.30(1H, d), 6.80-6.60(3H, m), 4.20(4H, s,br), 4.08(3H, s), 3.56(4H, m), 2.63(2H, m), 2.602.44(6H,m).

[305]

[0305] A suspension of the solid obtained above (134 mg, 0.29 mmol) in acetone (15 ml) was treated wit a solution of oxalic acid (74 mg, 0.59 mmol) in acetone (2 ml) to give, after concentration the title compound (208 mg). mp: 158-159° C.

[306]

[0306] δH(d-6 DMSO, 200 MHz): 9.19(1H, br), 8.63(1H,d), 8.26(1H, d), 8.21(1H, d), 7.31(1H,d), 6.87-6.64(3H, m), 5.60(4H, br), 4.21(4H,s,br), 4.10(3H, s), 3.77(4H, m), 3.26-3.00(6H, m), 2.87(2H, m).

Example 6

4-(2-Benzo[1,3]dioxol-5-yl-ethyl)-piperazine-1-carboxylic acid (6-methoxy-[1,5]naphthyridin-4-yl)-amide, dioxalate.

[307]

[0307]

[308]

[0308] A mixture of benzo[1,3]dioxol-5-yl-acetaldehyde [RN 6543-34-6] (114 mg, 0.7 mmol), piperazine-1-carboxylic acid (6-methoxy-[1,5]naphthyridin-4-yl)-amide (Example 5(d) 200 mg, 0.7 mmol), acetic acid (3 drops) and methanol (20 ml) was stirred at room temperature for a few minutes, then sodium cyanoborohydride (35 mg, 0.6 mmol) was added and the mixture was stirred at room temperature for 2 hours. The solvent was concentrated and the residue was treated with 0.1 N NaOH (20 ml) then extracted twice with methylene chloride (2×20 ml). The organic phase was dried over magnesium sulphate and concentrated to dryness. The residue was chromatographed on silica gel eluting with methylene chloride-methanol-ammonia (99-1-0.6) to give the title compound as the free base (169 mg, 55%).

[309]

[0309] δH(d-6 DMSO, 200 MHz): 9.10(1H, br), 8.61(1H, d), 8.30-8.16(2H, m), 7.7.30(1H, d), 6.88-6.76(2H, m), 6.69(1H, dd), 5.96(2H, s), 4.08(3H, s), 3.56(4H, m), 2.69(2H, m), 2.622.45(6H, m).

[310]

[0310] A suspension of the solid obtained above (120 mg, 0.277 mmol) in acetone (15 ml) was treated with a solution of oxalic acid (70 mg, 0.555 mmol) in acetone (2 ml) to give, after concentration, the title compound. mp: 208-210° C.

[311]

[0311] δH(d-6 DMSO, 200 MHz):9.18(1H, br), 8.63(1H, d), 8.26(1H, d), 8.21(1H, d), 7.31(1H, d), 6.92-6.82(2H, m), 6.73(1H, dd), 5.98(2H, s), 4.15(4H, br), 4.10(3H, s), 3.76(4H, m), 3.21-2.97(6H, m), 2.87(2H, m).

Example 7

4-[2-(3-Oxo-3,4-dihydro-2H-benzo[1,4]thiazin-6-yl)-ethyl]-piperazine-1-carboxylic acid (6-methoxy-[1,5]naphthyridin-4-yl)-amide.

[312]

[0312]

[313]

[0313] (a) 2-(4-Fluoro-3-nitro-phenyl)-ethanol.

[314]

[0314] A solution of (4-fluoro-3-nitro-phenyl)-acetic acid (3 g, 15 mmol) in dimethoxyethane (15 ml) was cooled at-15° C. 4-Methylmorpholine (1.53 g, 15 mmol) was then added dropwise followed by isobutylchloroformate (2.15 g, 15.7 mmol) also added dropwise. After a few minutes the precipitate of N-methylmorpholine hydrochloride was filtered off and washed three times with dimethoxyethane (3×5 ml). The solution was transferred to a 11 vial and cooled with an ice-salt bath and treated with a solution of sodium borohydride (0.855 g, 23 mmol) in water (7 ml). A discharge of hydrogen was observed and the solution becoming orange was then diluted with water (375 ml). The solution was extracted three time with ethyl acetate. The organic phase was washed with water, dried over magnesium sulphate and concentrated to dryness. The residue was chromatographed on silica gel eluting with heptane-ethyl acetate (1-1) to give 2-(4-fluoro-3-nitro-phenyl)ethanol (1.1 g, 39.6%).

[315]

[0315] δH(CDCl3, 200 MHz): 7.95(1H, dd), 7.64-7.46(1H, m), 7.23(1H, dd), 3.92(2H, t), 2.92(2H, t), 1.58(1H, br).

[316]

[0316] (b) [4-(2-Hydroxy-ethyl)-2-nitro-phenylsulfanyl]-acetic acid.

[317]

[0317] A mixture of 2-(4-fluoro-3-nitro-phenyl)-ethanol (Example 7(a), 1.1 g, 6 mmol), mercaptoacetic acid (0.61 g, 6.6 mmol), potassium carbonate (2.8 g, 20 mmol) and 12 ml DMF was heated at 70° C. for 4 hours. The mixture was poured onto 200 ml of water and the aqueous phase was washed with ethyl acetate. The aqueous phase was then acidified with 1N HCl and extracted three times with 100 ml of methylene chloride. The extracts were dried over magnesium sulphate and evaporated to give [4-(2-hydroxy-ethyl)-2-nitrophenylsulfanyl]-acetic acid (0.92 g, 60%).

[318]

[0318] δH (d-6 DMSO, 200 MHz): 8.07(1H, d), 7.60(1H, dd), 7.50(1H, d), 3.92(2H, s), 3.63(2H, t), 3.50(2H, br), 2.79(2H, t).

[319]

[0319] (c) 6-(2-Hydroxy-ethyl)-4H-benzo[1,4]thiazin-3-one.

[320]

[0320] A mixture of iron powder (1.24 g, 22 mmol), sodium chloride (1.24 g, 21 mmol) and 25 ml of 50% aqueous ethanol was heated under reflux for 15 minutes. A solution of crude [4-(2-hydroxy-ethyl)-2-nitro-phenylsulfanyl]-acetic acid (Example 7(b), 0.92 g, 3.6 mmol) in 5 ml of ethanol was then added quickly and the reaction mixture was heated under reflux for 2 hours. The mixture was filtered on Clarcelo and the filtration cake was rinsed with a small amount of methanol. The alcoholic solution was evaporated to dryness. The residue was dissolved in water and acidified to pH 5 with 1N hydrochloric acid. The precipitate was collected by filtration, washed with water, then dried to give 6(2-hydroxy-ethyl)-4H-benzo[1,4]thiazin-3-one (0.35 g, 46%).

[321]

[0321] δH (d-6 DMSO, 200 MHz): 10.48(1H, br), 7.20(1H, d), 6.92-6.87(2H, m), 4.65(1H, t), 3.56(2H, q), 3.42(2H, s), 2.64(2H,t).

[322]

[0322] (d) Methanesulfonic acid 2-(3-oxo-3,4-dihydro-2H-benzo[1,4]thiazin-6-yl)-ethyl ester

[323]

[0323] A solution of 6-(2-hydroxy-ethyl)-4H-benzo[1,4]thiazin-3-one (Example 7(c), 0.34 g, 1.67 mmol) and 250 ul of triethylamine (0.19 g, 1.8 mmol) in 5 ml of methylene chloride stabilised with amylene was cooled to −15° C. by mean of an acetone/ice bath and treated dropwise by 135 ul of methanesulfonyl chloride (1.75 mmol). The ice bath was removed and the mixture stirred 15 hours at room temperature. The organic phase was separated, washed with water, dried over magnesium sulphate and evaporated. The crude product was chromatographed on silica gel eluting with ethyl acetate-heptane (2-1) to give the desired methanesulfonic acid 2-(3-oxo-3,4-dihydro-2H-benzo[1,4]thiazin-6-yl)-ethyl ester (0.36 g, 75%).

[324]

[0324] δH (d-6 DMSO, 200 MHz): 10.55(1H, br), 7.27(1H, d), 6.92(1H, dd), 6.87(1H, d), 4.37(2H, t), 3.45(2H, s), 3.13(3H, s), 2.93(2H, t).

[325]

[0325] (e) Title Compound.

[326]

[0326] A solution of piperazine-1-carboxylic acid (6-methoxy-[1,5]naphthyridin-4-yl)-amide (Example 5(d) 250 mg, 0.87 mmol), methanesulfonic acid 2-(3-oxo-3,4-dihydro-2H-benzo[1,4]thiazin-6-yl)-ethyl ester (Example 7(d), 250 mg, 0.87 mmol), triethylamine (135 ul, 0.97 mmol) and acetonitrile (15 ml) was heated under reflux for 18 hours. The mixture was diluted with water. The precipitate was collected by filtration, washed with water then with a small amount of acetonitrile and dried. The crude compound was chromatographed on silica gel eluting with methylene chloride-methanol (964) to give the title compound as a white solid (85 mg, 20%). mp: 248-250° C.

[327]

[0327] δH(d-6 DMSO, 200 MHz): 10.51(1H, br), 9.11(1H, br), 8.61(1H, d), 8.30-8.18(2H, m), 7.30-1H, d), 7.21(1H, d), 6.92-6.82(2H, m), 4.08(3H, s), 3.57(4H, m), 3.43(2H,s), 2.69(2H, m), 2.64-2.46(6H, m).

Example 8

4-(2-Quinoxalin-2-yl-ethyl)-piperazine-1-carboxylic acid (6-methoxy[1,5]naphthyridin-4-yl)-amide.

[328]

[0328]

[329]

[0329] (a) Diethyl-(2-quinoxalin-2-yl-ethyl)-amine

[330]

[0330] A solution of diethylamine hydrochloride (3.82 g, 35 mmol) and triethylamine (0.23 ml) in ethanol (1.75 ml) and water (1.75 ml) was added dropwise, at 60° C., to a mixture of 2-methyl-quinoxaline (5 g, 35 mmol), formaldehyde (2.81 g of 37% solution, 35 mmol), triethylamine (0.17 ml) and ethanol (4.6 ml). If necessary the pH was adjusted to 7-7.5 by mean of diluted HCl. Stirring was maintained 16 hours at 60° C. The solvent was concentrated, the residue was diluted with water and extracted with diethyl ether to remove the un-reacted quinoxaline. The aqueous phase was made alkaline with 20% aqueous sodium hydroxide (10 ml) and extracted with ethyl acetate. The organic phase was dried over magnesium sulphate and concentrated. The solid was then chromatographed on silica gel eluting with methylene chloride-methanol (first 95-5 then 90-10 and finally 90-10 plus 0.1% of ammonia) to give diethyl-(2-quinoxalin-2-yl-ethyl)amine (2.67 g, 37%).

[331]

[0331] δH(CDCl3, 200 MHz): 8.78(1H, s), 8.05(2H, m), 7.72(2H, m), 3.17(2H, m), 3.00(2H, m), 2.64(4H, q), 1.05(6H, t).

[332]

[0332] (b) 2-Vinyl-quinoxaline.

[333]

[0333] Dimethyl sulphate (1.07 ml, 11.3 mmol) was added dropwise, while maintaining the mixture temperature below 40° C., to a solution of diethyl-(2-quinoxalin-2-yl-ethyl)-amine (Example 8(a), 2.6 g 11.3 mmol) in ethanol (3 ml). The thick mixture was diluted with water (15 ml), triethylamine (1.13 ml) and heated 2 hours on a water bath. After cooling the mixture was extracted with diethyl ether. The organic phase was dried over magnesium sulphate, concentrated to dryness and the residue was chromatographed on silica gel eluting with heptane-ethyl acetate (3-1) to give) 2-vinyl-quinoxaline (1.16 g, 65.5%).

[334]

[0334] δH(CDCl3, 200 MHz): 9.00(1H, s), 8.07(2H, m), 7.75(2H, m), 7.05(1H, dd), 6.48(1H, dd), 5.80(1H, dd).

[335]

[0335] (c) Title Compound.

[336]

[0336] A mixture of piperazine-1-carboxylic acid (6-methoxy-[1,5]naphthyridin-4-yl)-amide (Example 5(d) 0.403 g, 1.4 mmol), 2-vinyl-quinoxaline (Example 8(b), 0.22 g, 1.4 mmol), acetic acid (0.104 ml) and ethanol (5 ml) was heated under reflux for 6 hours. The mixture was then diluted with ethyl acetate and made basic with aqueous sodium hydroxide. The precipitate was collected by filtration and washed with water and a small amount of ethyl acetate. The solid was then dissolved in hot methanol and the insoluble residue, corresponding to an impurity, was discarded. The solution was concentrated to dryness and the residue crystallized in acetonitrile to give the title compound (220 mg, 35%). mp: 138-140° C.

[337]

[0337] δH(d6-DMSO, 200 MHz): 9.08(1H, br), 8.94(1H, s), 8.60(1H, d), 8.32-8.14(2H, m), 8.13-7.97(2H, m), 7.91-7.72(2H, m), 7.29(1H, d), 4.07(3H, s), 3.54(4H, m), 3.21(2H, t), 2.88(2H, t), 2.59(4H, m).

Example 9

4-(2-Benzol[1,2,5]thiadiazol-5-yl-ethyl)-piperazine-1-carboxylic acid (6-methoxy-[1,5]naphthyridin-4-yl)-amide.

[338]

[0338]

[339]

[0339] (a) Benzo[1,2,5]thiadiazol-5-yl-acetonitrile [RN 89899-11-6].

[340]

[0340] A mixture of 5-bromomethyl-benzo[1,2,5]thiadiazole [RN 65858-50-6] (7 g, 30 mmol), 50 ml of ethanol and a solution of potassium cyanide (2.3 g, 36 mmol) in 25 ml of water was stirred at 50° C. for 15 hours. The alcoholic solution was concentrated and the residue suspended in water. The solid was collected by filtration, washed with water and dried in vacuo to give benzo[1,2,5]thiadiazol-5-yl-acetonitrile (2.8 g, 47%)

[341]

[0341] δH(CDCl3, 200 MHz): 8.12-7.97(2H, m), 7.53(1H, dd), 3.96(2H, s).

[342]

[0342] (b) Benzo[1,2,5]thiadiazol-5-yl-acetic acid [RN 55937-37-6]

[343]

[0343] A suspension of benzo[1,2,5]thiadiazol-5-yl-acetonitrile (Example 9(a), 2.8 g, 14 mmol) in 6N aqueous hydrochloric acid (70 ml) was heated under reflux for 4 hours. The mixture was cooled at room temperature and diluted with more water. The precipitate was collected by filtration, washed with water and dried in vacuo to give crude benzo[1,2,5]thiadiazol-5-yl-acetic acid (2.8 g, 100%).

[344]

[0344] δH(DMSO-d6, 200 MHz): 12.58(1H, br), 8.03(1H, d), 7.97(1H, d), 7.65(1H, dd), 3.86(2H, s).

[345]

[0345] (c) 2-Benzo[1,2,5]thiadiazol-5-yl-ethanol.

[346]

[0346] Borane methylsulfide (1.6 ml) was added dropwise to a cold solution (8-10° C.) of crude benzo[1,2,5]thiadiazol-5-yl-acetic acid (Example 9(b), 2.8 g, 14 mmol) in 20 ml of anhydrous THF. Stirring was continued for 1.25 hours while maintaining the temperature below 30° C. The mixture was cooled to 10° C. then methanol was added (1.4 ml) and the mixture was left 15 hours in a fridge. The mixture was diluted with ethyl acetate, washed with water then with a saturated aqueous solution of sodium hydrogen carbonate and again with water. The organic phase was separated, dried over magnesium sulphate and evaporated. The residue was triturated in pentane, collected by filtration and dried to give crude) 2-benzo[1,2,5]thiadiazol-5-yl-ethanol (1.8 g, 71%).

[347]

[0347] δH(CDCl3, 200 MHz): 7.94(1H, d), 7.84(1H, d), 7.50(1H, dd), 3.99(2H, t), 3.06(2H, t), 1.58(1H, br).

[348]

[0348] (d) Methanesulfonic acid 2-benzo[1,2,5]thiadiazol-5-yl-ethyl ester.

[349]

[0349] Methanesulfonyl chloride (450 ul, 5.8 mmol) was added dropwise to an ice cooled solution of 2-benzo[1,2,5]thiadiazol-5-yl-ethanol (Example 9(c), 1 g, 5.5 mmol) and triethylamine (840 ul, 6 mmol) in 20 ml of methylene chloride stabilised over amylene. The reaction mixture was allowed to warm to room temperature and stirred for 16 hours. The organic solution was washed with water, dried over magnesium sulphate and evaporated to dryness. The oily residue was triturated 15 hours with diisopropyl ether. The solid was collected by filtration and dried to give methanesulfonic acid 2-benzo-[1,2,5]thiadiazol-5-yl-ethyl ester (1.2 g, 78%) which was used without further purification in the next step.

[350]

[0350] δH(CDCl3, 200 MHz): 7.98(1H, d), 7.87(1H, d), 7.50(1H, dd), 4.54(2H, t), 3.26(2H, t), 2.95(3H, s).

[351]

[0351] (e) Title Compound.

[352]

[0352] A mixture of piperazine-1-carboxylic acid (6-methoxy-[1,5]naphthyridin-4-yl)-amide (Example 5(d) 0.2 g, 0.7 mmol), methanesulfonic acid 2-benzo[1,2,5]thiadiazol-5-ylethyl ester (Example 9(d), 0.2 g, 0.77 mmol), triethylamine (110 ul, 0.77 mmol) and acetonitrile (12 ml) was heated under reflux for 16 hours. The mixture was diluted with water and extracted 4 times with methylene chloride. The organic phases was dried over magnesium sulphate and concentrated to dryness. The residue was chromatographed on silica gel eluting with methylene chloride-methanol (97-3). The, desired fractions were pooled and concentrated. The residue was crystallised by trituration in diethyl ether. The solid was collected by filtration and dried to give the title compound (0.072 g, 23%) as yellow crystals. mp: 188-190° C.

[353]

[0353] δH(d6-DMSO, 200 MHz): 9.10(1H, br), 8.61(1H, d), 8.31-8.16(2H, m), 8.07-7.89(2H, m), 7.68(1H, dd), 7.29(1H,d), 4.08(3H, s), 3.56(4H, m), 3.01(2H, t), 2.71(2H, t), 2.58(4H, m).

Example 10

4-(2-Oxo-2-quinoxalin-2-yl-ethyl)-piperazine-1-carboxylic acid (6-methoxy-[1,5] naphthyridin-4-yl)-amide.

[354]

[0354]

[355]

[0355] A mixture of piperazine-1-carboxylic acid (6-methoxy-[1,5]naphthyridin-4-yl)-amide (Example 5(d) 400 mg, 1.39 mmol), 2-bromo-1-quinoxalin-2-yl-ethanone [RN 35970-571] (385 mg, 1.53 mmol), diisopropyl-ethylamine (359 mg, 2.78 mmol) and THF (30 ml) was stirred at room temperature for 4 hours. The solvent was concentrated, the residue was dissolved in methylene chloride and the organic phase was washed with water, dried over magnesium sulphate and concentrated to dryness. The residue was chromatographed on silica gel eluting with ethyl acetate-methylene chloride (1-1). The compound was then crystallised by trituration in diethyl ether-ethyl acetate (9-1). The solid was collected by filtration and dried to give the title compound (250 mg, 39%) as yellow crystals. mp: 167-169° C.

[356]

[0356] δH(d-6 DMSO, 200 MHz): 9.38(1H, s), 9.12(1H, br), 8.62(1H, d), 8.32-8.14(4H, m), 8.11-7.91(2H, m), 7.30(1H, d), 4.34(2H, s), 4.01(3H, s), 3.65(4H, m), 2.74(4H, m).

Example 11

4-(2-Hydroxy-2-quinoxalin-2-yl-ethyl)-piperazine-1-carboxylic acid (6-methoxy-[1,5]naphthyridin-4-yl)-amide.

[357]

[0357]

[358]

[0358] Sodium borohydride (20 mg, 0.526 mmol) was added to a solution of 4-(2-oxo-2-quinoxalin-2-yl-ethyl)-piperazine-1-carboxylic acid (6-methoxy-[1,5]naphthyridin-4-yl)amide (Example 10, 200 mg, 0.437 mmol) in methanol (5 ml) and the mixture was stirred at room temperature for 2 hours. The mixture was carefully diluted with water and extracted twice with ethyl acetate (2×50 ml). The organic phase was washed with water, dried over magnesium sulphate and concentrated to dryness to give the title compound (100 mg, 49%). mp: 133-135° C.

[359]

[0359] δH(CDCl3, 200 MHz): 9.12(1H, s), 9.06(1H, br), 8.66(1H, d), 8.31(1H, d), 8.22(1H, d), 8.00-8.20(2H, m), 7.72-7.89(2H, m), 7.15(1H, d), 5.14(1H, dd), 4.34(1H, br), 4.07(3H, s), 3.88-3.58(4H,m), 3.08-2.62(6H, m).

Example 12

4-[2-Oxo-2-(3-oxo-3,4-dihydro-2H-benzo[1,4]oxazin-6-yl)-ethyl]piperazine-1-carboxylic acid (6-methoxy-[1,5]naphthyridin-4-yl)-amide.

[360]

[0360]

[361]

[0361] A mixture of piperazine-1-carboxylic acid (6-methoxy-[1,5]naphthyridin-4-yl)-amide (Example 5(d) 450 mg, 1.56 mmol), 6-(2-chloro-ethanoyl)-4H-benzo[1,4]oxazin-3-one [26518-76-3] (345 mg, 1.53 mmol), diisopropyl-ethylamine (DIEA) (359 mg, 2.78 mmol) and THF (25 ml) was stirred at room temperature for 16 hours. The reaction being not finished, the solvent was concentrated, the residue was dissolved in acetonitrile, 200 mg of DIEA were added and the mixture was heated under reflux for 5 hours. After cooling the solid formed was collected by filtration, washed 3 times with a small amount of acetonitrile then 2 times with water and dried to give the title compound as off-white crystals (650 mg, 87%). mp: 274-276.

[362]

[0362] δH(d6-DMSO, 200 MHz):10.88(1H, br), 9.08(1H, s), 8.60(1H, d), 8.31-8.12(2H, m), 7.67(1H, dd), 7.57(1H, d), 7.28(1H, d), 7.04(1H, d), 4.69(2H,s), 4.07(3H,s), 3.82(2H, s), 3.58(4H, m), 2.61(4H, m).

Example 13

4-[2-Hydroxy-2-(3-oxo-3,4-dihydro-2H-benzo[1,4]oxazin-6-yl)-ethyl]piperazine-1-carboxylic acid (6-methoxy-[1,5]naphthyridin-4-yl)-amide.

[363]

[0363]

[364]

[0364] Sodium borohydride (24 mg, 0.63 mmol) was added to a suspension of 4-[2-oxo-2-(3-oxo-3,4-dihydro-2H-benzo[1,4]oxazin-6-yl)-ethyl]-piperazine-1-carboxylic acid (6-methoxy-[1,5]naphthyridin-4-yl)-amide (Example 12, 250 mg, 0.52 mmol) in methanol (10 ml) and the mixture was heated to reflux for 3 hours. This process, addition of 25 mg of sodium borohydride followed by 3 hours of reflux was repeated four times. The solid (unreacted starting material) was filtered off and the solution was concentrated to dryness. The residue was chromatographed on silica gel eluting with ethyl acetate-methanol (first 99-1, then 98-2 finally 97-3) to give the title compound (55 mg, 22%) as white crystals. mp: 231-233° C.

[365]

[0365] δH(CDCl3, 200 MHz): 9.06(1H, s), 8.66(1H, d), 8.32(1H, d), 8.23(1H, d), 7.90(1H, s), 7.15(1H, d), 7.00-6.82(3H, m), 4.76(1H, dd), 4.61(2H, s), 4.08(3H, s), 3.73(4H, m), 3.002.80(2H, m), 2.72-2.48(4H, m), 1.67(1H, br).

[366]

[0366] The following compounds were prepared by procedures analogous to those described herein:

ExampleSalt—U—V—R5
14B—CH2—CH2
15R—CH2—CH(OH)—
16R—CH2—CH(OH)—
17S—CO—CH2

[367]

[0367] Salts:

[368]

[0368] B=dihydrochloride

[369]

[0369] R=trihydrochloride

[370]

[0370] S=mesylate

[371]

[0371] Biological Activity

[372]

[0372] The MIC (μg/ml) of test compounds against various organisms was determined: S. aureus Oxford, S. aureus WCUH29, S. pneumoniae 1629, S. pneumoniae N1387, S. pneumoniae ERY 2, H. influenzae Q1, E. faecalis 7.

[373]

[0373] Examples 1-9, 12 and 16 have an MIC of less than or equal to 0.25 μg/ml against one or more of the above range of gram positive and gram negative bacteria.

[374]

[0374] Examples 10, 14 and 15 have an MIC of less than or equal to 2 μg/ml against one or more of the above range of gram positive and gram negative bacteria.

Как компенсировать расходы
на инновационную разработку
Похожие патенты