заявка
№ US 20020155270
МПК B32B3/26

Enlarged cell size foams made from blends of alkenyl aromatic polymers and alpha-olefin/vinyl or vinylidene aromatic and/or sterically hindered aliphatic or cycloaliphatic vinyl or vinylidene interpolymers

Авторы:
Bharat Chaudhary Lawrence Hood Russell Barry
Все (4)
Номер заявки
10051695
Дата подачи заявки
18.01.2002
Опубликовано
24.10.2002
Страна
US
Как управлять
интеллектуальной собственностью
Реферат

[196]

This invention pertains to a composition and a process for preparing a closed cell alkenyl aromatic polymer foam having enlarged cell size, comprising one or more alkenyl aromatic polymers, one or more substantially random interpolymers, one or more blowing agents having zero ozone depletion potential and optionally one or more co-blowing agents, and optionally, one or more nucleating agents and optionally, one or more other additives.

[197]

This combination allows the manufacture of closed cell, low density alkenyl aromatic polymer foams of enlarged cell size, when blowing agents of relatively high nucleation potential are employed. When such blowing agents are used with alkenyl aromatic polymers in the absence of the substantially random interpolymers, small cell foams result.

Формула изобретения

1. A process for making a closed cell alkenyl aromatic foam in the form of thermoplastic foam beads having enlarged cell size, which process comprises;

(I) forming a melt polymer material comprising;

(A) from about 80 to about 99.7 percent by weight (based on the combined weight of Components A and B) of one or more alkenyl aromatic polymers, and wherein at least one of said alkenyl aromatic polymers has a molecular weight (Mw) of from about 100,000 to about 500,000; and

(B) from about 0.3 to about 20 percent by weight (based on the combined weight of Components A and B) of one or more substantially random interpolymers having an I2of about 0.01 to about 1000 g/10 min, an Mw/Mnof about 1.5 to about 20; comprising;

(1) from about 8 to about 65 mol % of polymer units derived from;

(a) at least one vinyl or vinylidene aromatic monomer, or

(b) at least one hindered aliphatic or cycloaliphatic vinyl or vinylidene monomer, or

(c) a combination of at least one aromatic vinyl or vinylidene monomer and at least one hindered aliphatic or cycloaliphatic vinyl or vinylidene monomer, and

(2) from about 35 to about 92 mol % of polymer units derived from at least one of ethylene and/or a C3-20α-olefin; and

(3) from 0 to about 20 mol % of polymer units derived from one or more of ethylenically unsaturated polymerizable monomers other than those derived from (1) and (2); and

(C) optionally, one or more nucleating agents; and

(D) optionally, one or more other additives; and

(II) cooling and granulating the product from step I to form discrete resin particles; and

(III) suspending said resin particles in a liquid medium in which they are substantially insoluble; and

(IV) incorporating into the suspension formed in step III at an elevated pressure and temperature in an autoclave or other pressure vessel;

(E) one or more blowing agents having zero ozone depletion potential and optionally one or more co-blowing agents, and present in a total amount of from about 0.2 to about 5.0 g moles per kg (based on the combined weight of Components A and B);

(V) rapidly discharging the product formed in step IV into the atmosphere or a region of reduced pressure to form foam beads; wherein

the cell size of said foam is enlarged about 5 percent or more relative to a corresponding foam without the substantially random interpolymer.

2. A closed cell alkenyl aromatic polymer foam having enlarged cell size, comprising;

(A) from about 80 to about 99.7 percent by weight (based on the combined weight of Components A and B) of one or more alkenyl aromatic polymers, and wherein at least one of said alkenyl aromatic polymers has a molecular weight (Mw) of from about 100,000 to about 500,000; and

(B) from about 0.3 to about 20 percent by weight (based on the combined weight of Components A and B) of one or more substantially random interpolymers having an I2of about 0.01 to about 1000 g/10 min, an Mw/Mnof about 1.5 to about 20; comprising;

(1) from about 8 to about 65 mol % of polymer units derived from;

(a) at least one vinyl or vinylidene aromatic monomer, or

(b) at least one hindered aliphatic or cycloaliphatic vinyl or vinylidene monomer, or

(c) a combination of at least one aromatic vinyl or vinylidene monomer and at least one hindered aliphatic or cycloaliphatic vinyl or vinylidene monomer, and

(2) from about 35 to about 92 mol % of polymer units derived from at least one of ethylene and/or a C3-20α-olefin; and

(3) from 0 to about 20 mol % of polymer units derived from one or more of ethylenically unsaturated polymerizable monomers other than those derived from (1) and (2); and

(C) optionally, one or more nucleating agents and

(D) optionally, one or more other additives; and

(E) one or more blowing agents having zero ozone depletion potential and optionally one or more co-blowing agents, present in a total amount of from about 0.2 to about 5.0 g moles per kg (based on the combined weight of Components A and B); wherein

the cell size of said foam is enlarged about 5 percent or more relative to a corresponding foam without the substantially random interpolymer.

3. The foam of claim 2, wherein said foam has a thickness of about 0.95 cm or more and wherein

A) in Component A, said at least one alkenyl aromatic polymer has greater than 50 percent by weight alkenyl aromatic monomeric units, has a molecular weight (Mw) of from about 120,000 to about 350,000 and is present in an amount of from about 80 to about 99.5 percent by weight (based on the combined weight of Components A and B);

B) said substantially random interpolymer, Component (B), has an I2of about 0.3 to about 30 g/10 min and an Mw/Mnof about 1.8 to about 10; is present in an amount of from about 0.5 to about 20 percent by weight (based on the combined weight of Components A and B); and comprises

(1) from about 10 to about 45 mol % of polymer units derived from;

(a) said vinyl or vinylidene aromatic monomer represented by the following formula;

wherein R1is selected from the group of radicals consisting of hydrogen and alkyl radicals containing three carbons or less, and Ar is a phenyl group or a phenyl group substituted with from 1 to 5 substituents selected from the group consisting of halo, C1-4-alkyl, and C1-4-haloalkyl; or

(b) said sterically hindered aliphatic or cycloaliphatic vinyl or vinylidene monomer is represented by the following general formula;

wherein A1is a sterically bulky, aliphatic or cycloaliphatic substituent of up to 20 carbons, R1is selected from the group of radicals consisting of hydrogen and alkyl radicals containing from 1 to about 4 carbon atoms, preferably hydrogen or methyl; each R2is independently selected from the group of radicals consisting of hydrogen and alkyl radicals containing from 1 to about 4 carbon atoms, preferably hydrogen or methyl; or alternatively R1and A1together form a ring system; or

c) a combination of a and b; and

(2) from about 55 to about 90 mol % of polymer units derived from ethylene and/or said α-olefin which comprises at least one of propylene, 4-methyl-1-pentene, butene-1, hexene-1 or octene-1; and

(3) said ethylenically unsaturated polymerizable monomers other than those derived from (1) and (2) comprises norbornene, or a C1-10alkyl or C6-10aryl substituted norbornene; and

(C) said nucleating agent, if present, Component (C), comprises one or more of calcium carbonate, talc, clay, silica, barium stearate, diatomaceous earth, mixtures of citric acid and sodium bicarbonate; and

(D) said additive, if present, Component (D), comprises one or more of inorganic fillers, pigments, antioxidants, acid scavengers, ultraviolet absorbers, flame retardants, processing aids, other thermoplastic polymers, antistatic agents and extrusion aids,

(E) said blowing agent, Component (E), is present in a total amount of from about 0.5 to about 3.0 moles/Kg (based on the combined weight of Components A and B), and comprises 50% or more of one or more of inorganic blowing agents, carbon dioxide, hydrofluorocarbons, hydrocarbons, or chemical blowing agents; and

wherein the cell size of said foam is enlarged about 10 percent or more relative to a corresponding foam without the substantially random interpolymer.

4. The foam of claim 2, wherein said foam has a thickness of about 2.5 cm or more and wherein;

(A) in Component A, said at least one alkenyl aromatic polymer has greater than 50 percent by weight alkenyl aromatic monomeric units, has a molecular weight (Mw) of from about 130,000 to about 325,000, a molecular weight distribution, (Mw/Mn) of from about 2 to about 7, and is present in an amount of from about 80 to about 99 percent by weight (based on the combined weight of Components A and B);

(B) said substantially random interpolymer, Component (B), has an I2of about 0.5 to about 10 g/10 min and an Mw/Mnfrom about 2 to about 5, is present in an amount from about 1 to 20 wt % (based on the combined weight of Components A and B) and comprises

(1) from about 13 to about 39 mol % of polymer units derived from;

a) said vinyl aromatic monomer which comprises styrene, α-methyl styrene, ortho-, meta-, and para-methylstyrene, and the ring halogenated styrenes, or

b) said aliphatic or cycloaliphatic vinyl or vinylidene monomers which comprises 5-ethylidene-2-norbornene or 1-vinylcyclo-hexene, 3-vinylcyclo-hexene, and 4-vinylcyclohexene; or

c) a combination of a and b; and

(2) from about 61 to about 87 mol % of polymer units derived from ethylene, or ethylene and said α-olefin, which comprises ethylene, or ethylene and at least one of propylene, 4-methyl-1-pentene, butene-1, hexene-1 or octene-1; and

(3) said ethylenically unsaturated polymerizable monomers other than those derived from (1) and (2) is norbornene; and

(C) said nucleating agent, if present, Component (C), comprises one or more of talc, and mixtures of citric acid and sodium bicarbonate;

(D) said additive, if present, Component (D), comprises one or more of carbon black, titanium dioxide, graphite, other thermoplastic polymers, and flame retardants; and

(E) said blowing agent, Component (E), is present in a total amount of from about 1.0 to about 2.5 g moles per kg (based on the combined weight of Components A and B) comprising 70% or more of one or more of, nitrogen, sulfur hexafluoride (SF6), argon, carbon dioxide, 1,1,1,2-tetrafluoroethane (HFC-134a), 1,1,2,2-tetrafluoroethane (HFC-134), 1,1,1,3,3-pentafluoropropane, difluoromethane (HFC-32), 1,1-difluoroethane (HFC-152a), pentafluoroethane (HFC-125), fluoroethane (HFC-161) and 1,1,1-trifluoroethane (HFC-143a), methane, ethane, propane, n-butane, isobutane, n-pentane, isopentane, cyclopentane and neopentane, azodicarbonamide, azodiisobutyro-nitrile, benzenesulfonylhydrazide, 4,4-oxybenzene sulfonyl-semicarbazide, p-toluene sulfonyl semi-carbazide, barium azodicarboxylate, N,N′-dimethyl-N,N′-dinitrosoterephthalamide, trihydrazino triazine and mixtures of citric acid and sodium bicarbonate; and

wherein the cell size of said foam is enlarged about 15 percent or more relative to a corresponding foam without the substantially random interpolymer.

5. The foam of claim 4, wherein in said alkenyl aromatic polymer, Component (A), is polystyrene, Component B is an ethylene/styrene copolymer, and the blowing agent, Component (E), is one or more of propane, n-pentane, isobutane, carbon dioxide, 1,1,1,2-tetrafluoroethane (HFC-134a), or 1,1,2,2-tetrafluoroethane (HFC-134).

6. The foam of claim 4, wherein said alkenyl aromatic polymer, Component (A), is polystyrene, in said substantially random interpolymer Component B1(a) is styrene; and Component B2 is ethylene and at least one of propylene, 4-methyl-1-pentene, butene-1, hexene-1 or octene-1, and the blowing agent, Component (E), is one or more of propane, n-pentane, isobutane, carbon dioxide, 1,1,1,2-tetrafluoroethane (HFC-134a), or 1,1,2,2-tetrafluoroethane (HFC-134).

7. The foam of claim 2, having a density of from about 10 to about 150 kilograms per cubic meter (kg/m3) and a cell size of about 0.05 to about 5.0 millimeters.

8. The foam of claim 2, having a density of from about 10 to about 70 kg/m3and a cell size of about 0.1 to about 1.5 millimeters.

9. The foam of claim 2, wherein the alkenyl aromatic polymer material comprises greater than 70 percent by weight of alkenyl aromatic monomeric units, the substantially random interpolymer is incorporated to increase the cell size about 15 percent or more relatively to a corresponding foam without the substantially random interpolymer, and the foam has a density of from about 10 to about 150 kg/m3 and a cell size of about 0.05 to about 5.0 millimeters.

10. The foam of claim 2, wherein the alkenyl aromatic polymer material comprises greater than 70 percent by weight of alkenyl aromatic monomeric units, the substantially random interpolymer is incorporated to increase the cell size about 15 percent or more relatively to a corresponding foam without the substantially random interpolymer, and the foam has a density of from about 10 to about 70 kg/m3and a cell size of about 0.1 to about 1.5 millimeters.

Описание

CROSS-REFERENCE TO RELATED APPLICATIONS

[1]

[0001] This application is a divisional of prior application Ser. No: 09/206,028 filed Dec. 4, 1998.

FIELD OF THE INVENTION

[2]

[0002] This invention describes a method for enlarging cell sizes of alkenyl aromatic foams by blending polymers which comprise; (A) alkenyl aromatic polymers, and (B) vinyl or vinylidene aromatic and/or sterically hindered aliphatic or cycloaliphatic vinyl or vinylidene substantially random interpolymers. Suitable alkenyl aromatic polymers include alkenyl aromatic homopolymers and copolymers of alkenyl aromatic compounds and copolymerizable ethylenically unsaturated comonomers. The alkenyl aromatic polymer material comprises greater than 50 and preferably greater than 70 weight percent alkenyl aromatic monomeric units. Most preferably, the alkenyl aromatic polymer material is comprised entirely of alkenyl aromatic monomeric units. Suitable alkenyl aromatic polymers include those derived from alkenyl aromatic compounds such as styrene, alpha-methylstyrene, etc. A preferred alkenyl aromatic polymer is polystyrene. Examples of copolymerizable compounds include acrylic acid, methacrylic acid, acrylonitrile, etc. The substantially random interpolymers comprise polymer units derived from ethylene and/or one or more α-olefin monomers with specific amounts of one or more vinyl or vinylidene aromatic monomers and/or sterically hindered aliphatic or cycloaliphatic vinyl or vinylidene monomers. A preferred substantially random interpolymer is an ethylene/styrene interpolymer. Incorporation of the substantially random interpolymer in the blend with the alkenyl aromatic polymer allows the formation of foams having enlarged cell sizes when blowing agents of reduced or zero ozone-depletion potential (which have low solubility and relatively high nucleation potential) are employed.

BACKGROUND OF THE INVENTION

[3]

[0003] Due to present environmental concerns over the use of ozone-depleting blowing agents, it is desirable to make alkenyl aromatic polymer foams with blowing agents having reduced or zero ozone-depletion potential. Such blowing agents include inorganic blowing agents such as nitrogen, sulfur hexafluoride (SF6), and argon; organic blowing agents such as carbon dioxide and hydrofluorocarbons such as 1,1,1,2-tetrafluoroethane (HFC-134a), 1,1,2,2-tetrafluoroethane (HFC-134), 1,1,1,3,3-pentafluoropropane, difluoromethane (HFC-32), 1,1-difluoroethane (HFC-152a), pentafluoroethane (HFC-125), fluoroethane (HFC-161) and 1,1,1-trifluoroethane (HFC-143a) and hydrocarbons such as methane, ethane, propane, n-butane, isobutane, n-pentane, isopentane, cyclopentane and neopentane; and chemical blowing agents which include azodicarbonamide, azodiisobutyro-nitrile, benzenesulfonylhydrazide, 4,4-oxybenzene sulfonyl-semicarbazide, p-toluene sulfonyl semi-carbazide, barium azodicarboxylate, N,N′-dimethyl-N,N′-dinitrosoterephthalamide, trihydrazino triazine and mixtures of citric acid and sodium bicarbonate such as the various products sold under the name Hydrocerol™ (a product and trademark of Boehringer Ingelheim). All of these blowing agents may be used as single components or any mixture in combination thereof, or in mixtures with other co-blowing agents.

[4]

[0004] A problem with using the above non ozone-depleting blowing agents is their tendency to form foams of relatively small cell size and cross-section. Such blowing agents typically result in foams having small cell sizes due to their relatively high nucleation potential. Small cell size is especially a problem when particular infrared attenuating agents are employed such as carbon black, graphite, and titanium dioxide.

[5]

[0005] It would be desirable to be able to employ the non-ozone depleting blowing agents in making alkenyl aromatic polymer foams with or without infrared attenuating agents yet be able to enlarge the cell size of the foam. Enlarging the cell size of the foams would enable greater thicknesses and larger cross-sectional areas to be obtained, as well as afford a reduction in foam density in some cases. Lower foam densities would be desirable for both extruded and expanded alkenyl aromatic polymer foams. Greater foam thicknesses and cross-sections would enable a broader range of products to be manufactured, and reducing density would allow foams to be manufactured more economically. It is also desirable for the foams to exhibit acceptable physical properties.

[6]

[0006] Prior art attempts to make a foam having enlarged cell size include the integration of a wax in a foam forming gel prior to extrusion of the gel through a die to form a foam. Such use of a wax is seen in U.S. Pat. No. 4,229,396, which is incorporated herein by reference. The use of a wax may however, present processing problems and cause thermal stability variations or diminution in physical properties in product foams. The wax may also cause inconsistency in extrusion temperatures. Additional prior art attempts to make a foam having enlarged cell size include the incorporation of a non-waxy compound in a foam forming gel prior to extrusion of the gel through a die to form a foam. Such use of a non-waxy compound is seen in U.S. Pat. No. 5,489,407, which is incorporated herein by reference. Large cell size alkenyl aromatic polymer foams have been prepared using glycerol monoesters of C8-C24fatty acids as cell size enlarging agents as disclosed in U.S. Pat. No. 5,776,389, the entire contents of which are incorporated herein by reference. However the concentration of such agents in a foam that can be used is limited, as high levels depress the glass transition temperature of the polymer and can result in degradation of physical properties such as creep under load (at 80° C.).

[7]

[0007] Thus it would be desirable to identify cell size enlarging compounds which can be used in conjunction with non-ozone depleting blowing agents and do not have an adverse effect on the physical or mechanical properties of the foam.

BRIEF SUMMARY OF THE INVENTION

[8]

[0008] The present invention pertains to improved closed cell alkenyl aromatic polymer foams having enlarged cell size, comprising;

[9]

[0009] (A) from about 80 to about 99.7 percent by weight (based on the combined weight of Components A and B) of one or more alkenyl aromatic polymers, and wherein at least one of said alkenyl aromatic polymers has a molecular weight (Mw) of from about 100,000 to about 500,000; and

[10]

[0010] (B) from about 0.3 to about 20 percent by weight (based on the combined weight of Components A and B) of one or more substantially random interpolymers having an I2of about 0.01 to about 1000 g/10 min, and an Mw/Mnof about 1.5 to about 20; comprising;

[11]

[0011] (1) from about 8 to about 65 mol % of polymer units derived from;

[12]

[0012] (a) at least one vinyl or vinylidene aromatic monomer, or

[13]

[0013] (b) at least one hindered aliphatic or cycloaliphatic vinyl or vinylidene monomer, or

[14]

[0014] (c) a combination of at least one aromatic vinyl or vinylidene monomer and at least one hindered aliphatic or cycloaliphatic vinyl or vinylidene monomer, and

[15]

[0015] (2) from about 35 to about 92 mol % of polymer units derived from at least one of ethylene and/or a C3-20α-olefin; and

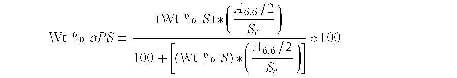
[16]

[0016] (3) from 0 to about 20 mol % of polymer units derived from one or more of ethylenically unsaturated polymerizable monomers other than those derived from (1) and (2); and

[17]

[0017] (C) optionally, one or more nucleating agents and

[18]

[0018] (D) optionally, one or more other additives; and

[19]

[0019] (E) one or more blowing agents having zero ozone depletion potential and, optionally one or more co-blowing agents, present in a total amount of from about 0.2 to about 5.0 g moles per kg (based on the combined weight of Components A and B); wherein

[20]

[0020] the cell size of said foam is enlarged about 5 percent or more relative to a corresponding foam without the substantially random interpolymer.

[21]

[0021] This combination allows the manufacture of low density alkenyl aromatic polymer foams of enlarged cell size and relatively thick cross-section, when blowing agents of relatively high nucleation potential are employed. When these blowing agents are used with alkenyl aromatic polymer in the absence of the substantially random interpolymers, small cell foams result. In addition, we have unexpectedly found that cell size can be enlarged by using substantially random interpolymers without a substantial degradation of foam mechanical properties (as occurs if high concentrations of prior art cell size enlargers such as glycerol monoesters are used). Furthermore foam density can be decreased in some cases, which is desirable for both extruded and expanded foams made from alkenyl aromatic polymers.

Definitions

[22]

[0022] All references herein to elements or metals belonging to a certain Group refer to the Periodic Table of the Elements published and copyrighted by CRC Press, Inc., 1989. Also any reference to the Group or Groups shall be to the Group or Groups as reflected in this Periodic Table of the Elements using the IUPAC system for numbering groups.

[23]

[0023] Any numerical values recited herein include all values from the lower value to the upper value in increments of one unit provided that there is a separation of at least 2 units between any lower value and any higher value. As an example, if it is stated that the amount of a component or a value of a process variable such as, for example, temperature, pressure, time and the like is, for example, from 1 to 90, preferably from 20 to 80, more preferably from 30 to 70, it is intended that values such as 15 to 85, 22 to 68, 43 to 51, 30 to 32 etc. are expressly enumerated in this specification. For values which are less than one, one unit is considered to be 0.0001, 0.001, 0.01 or 0.1 as appropriate. These are only examples of what is specifically intended and all possible combinations of numerical values between the lowest value and the highest value enumerated are to be considered to be expressly stated in this application in a similar manner.

[24]

[0024] The term “hydrocarbyl” as employed herein means any aliphatic, cycloaliphatic, aromatic, aryl substituted aliphatic, aryl substituted cycloaliphatic, aliphatic substituted aromatic, or aliphatic substituted cycloaliphatic groups.

[25]

[0025] The term “hydrocarbyloxy” means a hydrocarbyl group having an oxygen linkage between it and the carbon atom to which it is attached.

[26]

[0026] The term “copolymer” as employed herein means a polymer wherein at least two different monomers are polymerized to form the copolymer.

[27]

[0027] The term “interpolymer” is used herein to indicate a polymer wherein at least two different monomers are polymerized to make the interpolymer. This includes copolymers, terpolymers, etc.

[28]

[0028] The term “enlarged cell size” is used herein to indicate a foam having an increase of cell size of about 5%, preferably about 10%, more preferably about 15% or more relative to an analogous foam made without the substantially random interpolymer.

DETAILED DESCRIPTION OF THE INVENTION

[29]

[0029] The invention especially covers foams comprising blends of one or more alkenyl aromatic homopolymers, or copolymers of alkenyl aromatic monomers, and/or copolymers of alkenyl aromatic monomers with one or more copolymerizeable ethylenically unsaturated comonomers (other than ethylene or linear C3-C12α-olefins) with at least one substantially random interpolymer. The foams of this invention have enlarged cell sizes relative to corresponding foams of similar density made without the substantially random interpolymer.

[30]

[0030] The alkenyl aromatic polymer material may further include minor proportions of non-alkenyl aromatic polymers. The alkenyl aromatic polymer material may be comprised solely of one or more alkenyl aromatic homopolymers, one or more alkenyl aromatic copolymers, a blend of one or more of each of alkenyl aromatic homopolymers and copolymers, or blends of any of the foregoing with a non-alkenyl aromatic polymer. Regardless of composition, the alkenyl aromatic polymer material comprises greater than 50 and preferably greater than 70 weight percent alkenyl aromatic monomeric units. Most preferably, the alkenyl aromatic polymer material is comprised entirely of alkenyl aromatic monomeric units.

[31]

[0031] Suitable alkenyl aromatic polymers include homopolymers and copolymers derived from alkenyl aromatic compounds such as styrene, alphamethylstyrene, ethylstyrene, vinyl benzene, vinyl toluene, chlorostyrene, and bromostyrene. A preferred alkenyl aromatic polymer is polystyrene. Minor amounts of monoethylenically unsaturated compounds such as C2-6alkyl acids and esters, ionomeric derivatives, and C4-6dienes may be copolymerized with alkenyl aromatic compounds. Examples of copolymerizable compounds include acrylic acid, methacrylic acid, ethacrylic acid, maleic acid, itaconic acid, acrylonitrile, maleic anhydride, methyl acrylate, ethyl acrylate, isobutyl acrylate, n-butyl acrylate, methyl methacrylate, vinyl acetate and butadiene.

[32]

[0032] The term “substantially random” (in the substantially random interpolymer comprising polymer units derived from ethylene and one or more α-olefin monomers with one or more vinyl or vinylidene aromatic monomers and/or aliphatic or cycloaliphatic vinyl or vinylidene monomers) as used herein means that the distribution of the monomers of said interpolymer can be described by the Bernoulli statistical model or by a first or second order Markovian statistical model, as described by J. C. Randall in POLYMER SEQUENCE DETERMINATION, Carbon-13 NMR Method, Academic Press New York, 1977, pp. 71-78. Preferably, substantially random interpolymers do not contain more than 15 percent of the total amount of vinyl aromatic monomer in blocks of vinyl aromatic monomer of more than 3 units. More preferably. the interpolymer is not characterized by a high degree of either isotacticity or syndiotacticity. This means that in the carbon-13NMR spectrum of the substantially random interpolymer the peak areas corresponding to the main chain methylene and methine carbons representing either meso diad sequences or racemic diad sequences should not exceed 75 percent of the total peak area of the main chain methylene and methine carbons.

[33]

[0033] The interpolymers used to prepare the foams of the present invention include the substantially random interpolymers prepared by polymerizing i) ethylene and/or one or more α-olefin monomers and ii) one or more vinyl or vinylidene aromatic monomers and/or one or more sterically hindered aliphatic or cycloaliphatic vinyl or vinylidene monomers, and optionally iii) other polymerizable ethylenically unsaturated monomer(s). Suitable α-olefins include for example, α-olefins containing from 3 to about 20, preferably from 3 to about 12, more preferably from 3 to about 8 carbon atoms. Particularly suitable are ethylene, propylene, butene-1, 4-methyl-1-pentene, hexene-1 or octene-1 or ethylene in combination with one or more of propylene, butene-1, 4-methyl-1-pentene, hexene-1 or octene-1. These α-olefins do not contain an aromatic moiety.

[34]

[0034] Other optional polymerizable ethylenically unsaturated monomer(s) include norbornene and C1-10alkyl or C6-10aryl substituted norbornenes, with an exemplary interpolymer being ethylene/styrenelnorbornene.

[35]

[0035] Suitable vinyl or vinylidene aromatic monomers which can be employed to prepare the interpolymers include, for example, those represented by the following formula:

[36]

[0036] wherein R1is selected from the group of radicals consisting of hydrogen and alkyl radicals containing from 1 to about 4 carbon atoms, preferably hydrogen or methyl; each R2is independently selected from the group of radicals consisting of hydrogen and alkyl radicals containing from 1 to about 4 carbon atoms, preferably hydrogen or methyl; Ar is a phenyl group or a phenyl group substituted with from 1 to 5 substituents selected from the group consisting of halo, C1-4-alkyl, and C1-4-haloalkyl; and n has a value from zero to about 4, preferably from zero to 2, most preferably zero. Exemplary vinyl aromatic monomers include styrene, vinyl toluene, α-methylstyrene, t-butyl styrene, chlorostyrene, including all isomers of these compounds, and the like. Particularly suitable such monomers include styrene and lower alkyl- or halogen-substituted derivatives thereof. Preferred monomers include styrene, α-methyl styrene, the lower alkyl-(C1-C4) or phenyl-ring substituted derivatives of styrene, such as for example, ortho-, meta-, and para-methylstyrene, the ring halogenated styrenes, para-vinyl toluene or mixtures thereof, and the like. A more preferred aromatic vinyl monomer is styrene.

[37]

[0037] By the term “sterically hindered aliphatic or cycloaliphatic vinyl or vinylidene compounds”, it is meant addition polymerizable vinyl or vinylidene monomers corresponding to the formula:

[38]

[0038] wherein A1is a sterically bulky, aliphatic or cycloaliphatic substituent of up to 20 carbons, R1is selected from the group of radicals consisting of hydrogen and alkyl radicals containing from 1 to about 4 carbon atoms, preferably hydrogen or methyl; each R2is independently selected from the group of radicals consisting of hydrogen and alkyl radicals containing from 1 to about 4 carbon atoms, preferably hydrogen or methyl; or alternatively R1and A1together form a ring system. Preferred aliphatic or cycloaliphatic vinyl or vinylidene compounds are monomers in which one of the carbon atoms bearing ethylenic unsaturation is tertiary or quaternary substituted. Examples of such substituents include cyclic aliphatic groups such as cyclohexyl, cyclohexenyl, cyclooctenyl, or ring alkyl or aryl substituted derivatives thereof, tert-butyl, norbornyl, and the like. Most preferred aliphatic or cycloaliphatic vinyl or vinylidene compounds are the various isomeric vinyl- ring substituted derivatives of cyclohexene and substituted cyclohexenes, and 5-ethylidene-2-norbornene. Especially suitable are 1-, 3-, and 4-vinylcyclohexene. Simple linear non-branched α-olefins including for example, α-olefins containing from 3 to about 20 carbon atoms such as propylene, butene-1, 4-methyl-1-pentene, hexene-1 or octene-1 are not examples of sterically hindered aliphatic or cycloaliphatic vinyl or vinylidene compounds.

[39]

[0039] One method of preparation of the substantially random interpolymers includes polymerizing a mixture of polymerizable monomers in the presence of one or more metallocene or constrained geometry catalysts in combination with various cocatalysts, as described in EP-A-0,416,815 by James C. Stevens et al. and U.S. Pat. No. 5,703,187 by Francis J. Timmers, both of which are incorporated herein by reference in their entirety. Preferred operating conditions for such polymerization reactions are pressures from atmospheric up to 3000 atmospheres and temperatures from −30° C. to 200° C. Polymerizations and unreacted monomer removal at temperatures above the autopolymerization temperature of the respective monomers may result in formation of some amounts of homopolymer polymerization products resulting from free radical polymerization.

[40]

[0040] Examples of suitable catalysts and methods for preparing the substantially random interpolymers are disclosed in U.S. application Ser. No. 702,475, filed May 20, 1991 (EP-A-514,828); as well as U.S. Pat. Nos.: 5,055,438; 5,057,475; 5,096,867; 5,064,802; 5,132,380; 5,189,192; 5,321,106; 5,347,024; 5,350,723; 5,374,696; 5,399,635; 5,470,993; 5,703,1887; and 5,721,185 all of which patents and applications are incorporated herein by reference.

[41]

[0041] The substantially random α-olefin/vinyl aromatic interpolymers can also be prepared by the methods described in JP 07/278230 employing compounds shown by the general formula

[42]

[0042] where Cp1and Cp2are cyclopentadienyl groups, indenyl groups, fluorenyl groups, or substituents of these, independently of each other; R1and R2are hydrogen atoms, halogen atoms, hydrocarbon groups with carbon numbers of 1-12, alkoxyl groups, or aryloxyl groups, independently of each other; M is a group IV metal, preferably Zr or Hf, most preferably Zr; and R3is an alkylene group or silanediyl group used to cross-link Cp1and Cp2).

[43]

[0043] The substantially random α-olefin/vinyl aromatic interpolymers can also be prepared by the methods described by John G. Bradfute et al. (W. R. Grace & Co.) in WO 95/32095; by R. B. Pannell (Exxon Chemical Patents, Inc.) in WO 94/00500; and in Plastics Technology, p. 25 (September 1992), all of which are incorporated herein by reference in their entirety.

[44]

[0044] Also suitable are the substantially random interpolymers which comprise at least one α-olefin/vinyl aromatic/vinyl aromatic/α-olefin tetrad disclosed in U.S. application Ser. No. 08/708,869 filed Sep. 4, 1996 and WO 98/09999 both by Francis J. Timmers et al. These interpolymers contain additional signals in their carbon-13 NMR spectra with intensities greater than three times the peak to peak noise. These signals appear in the chemical shift range 43.70 - 44.25 ppm and 38.0 - 38.5 ppm. Specifically, major peaks are observed at 44.1, 43.9, and 38.2 ppm. A proton test NMR experiment indicates that the signals in the chemical shift region 43.70 - 44.25 ppm are methine carbons and the signals in the region 38.0 - 38.5 ppm are methylene carbons.

[45]

[0045] It is believed that these new signals are due to sequences involving two head-to-tail vinyl aromatic monomer insertions preceded and followed by at least one α-olefin insertion, e.g. an ethylene/styrene/styrene/ethylene tetrad wherein the styrene monomer insertions of said tetrads occur exclusively in a 1,2 (head to tail) manner. It is understood by one skilled in the art that for such tetrads involving a vinyl aromatic monomer other than styrene and an α-olefin other than ethylene that the ethylene/vinyl aromatic monomer/vinyl aromatic monomer/ethylene tetrad will give rise to similar carbon-13 NMR peaks but with slightly different chemical shifts.

[46]

[0046] These interpolymers can be prepared by conducting the polymerization at temperatures of from about −30° C. to about 250° C. in the presence of such catalysts as those represented by the formula

[47]

[0047] wherein: each Cp is independently, each occurrence, a substituted cyclopentadienyl group π-bound to M; E is C or Si; M is a group IV metal, preferably Zr or Hf, most preferably Zr; each R is independently, each occurrence, H, hydrocarbyl, silahydrocarbyl, or hydrocarbylsilyl, containing up to about 30 preferably from 1 to about 20 more preferably from 1 to about 10 carbon or silicon atoms; each R′ is independently, each occurrence, H, halo, hydrocarbyl, hyrocarbyloxy, silahydrocarbyl, hydrocarbylsilyl containing up to about 30 preferably from 1 to about 20 more preferably from 1 to about 10 carbon or silicon atoms or two R′ groups together can be a C1-10hydrocarbyl substituted 1,3-butadiene; m is 1 or 2; and optionally, but preferably in the presence of an activating cocatalyst. Particularly, suitable substituted cyclopentadienyl groups include those illustrated by the formula: ◯

[48]

[0048] wherein each R is independently, each occurrence, H, hydrocarbyl, silahydrocarbyl, or hydrocarbylsilyl, containing up to about 30 preferably from 1 to about 20 more preferably from 1 to about 10 carbon or silicon atoms or two R groups together form a divalent derivative of such group. Preferably, R independently each occurrence is (including where appropriate all isomers) hydrogen, methyl, ethyl, propyl, butyl, pentyl, hexyl, benzyl, phenyl or silyl or (where appropriate) two such R groups are linked together forming a fused ring system such as indenyl, fluorenyl, tetrahydroindenyl, tetrahydrofiluorenyl, or octahydro fluorenyl.

[49]

[0049] Particularly preferred catalysts include, for example, racemic-(dimethylsilanediyl)-bis-(2-methyl-4-phenylindenyl) zirconium dichloride, racemic-(dimethylsilanediyl)-bis-(2-methyl-4-phenylindenyl) zirconium 1,4-diphenyl-1,3-butadiene, racemic-(dimethylsilanediyl)-bis-(2-methyl-4-phenylindenyl) zirconium di-C1-4 alkyl, racemic-(dimethylsilanediyl)-bis-(2-methyl-4-phenylindenyl) zirconium di-C1-4 alkoxide, or any combination thereof and the like.

[50]

[0050] It is also possible to use the following titanium-based constrained geometry catalysts, [N-(1,1-dimethylethyl)-1,1-dimethyl-1-[(1,2,3,4,5-η)-1,5,6,7-tetrahydro-s-indacen-1-yl]silanaminato(2-)-N]titanium dimethyl; (1-indenyl)(tert-butylamido)-dimethylsilane titanium dimethyl; ((3-tert-butyl)(1,2,3,4,5-η)-1-indenyl)(tert-butylamido) dimethylsilane titanium dimethyl; and ((3-iso-propyl)(1,2,3,4,5-η)-1-indenyl)(tert-butyl amido)dimethylsilane titanium dimethyl, or any combination thereof and the like.

[51]

[0051] Further preparative methods for the interpolymers used in the present invention have been described in the literature. Longo and Grassi (Makromol. Chem., Volume 191, pages 2387 to 2396 [1990]) and D'Anniello et al. (Journal of Applied Polymer Science, Volume 58, pages 1701-1706 [1995]) reported the use of a catalytic system based on methylalumoxane (MAO) and cyclopentadienyltitanium trichloride (CpTiCl3) to prepare an ethylene-styrene copolymer. Xu and Lin (Polymer Preprints, Am. Chem. Soc., Div. Polym. Chem.) Volume 35, pages 686,687 [1994]) have reported copolymerization using a MgCl2/TiCl4/NdCl3/Al(iBu)3catalyst to give random copolymers of styrene and propylene. Lu et al (Journal of Applied Polymer Science, Volume 53, pages 1453 to 1460 [1994]) have described the copolymerization of ethylene and styrene using a TiCl4/NdCl3/ MgCl2/Al(Et)3catalyst. Sernetz and Mulhaupt, (Macromol. Chem. Phys., v. 197, pp. 1071-1083, 1997) have described the influence of polymerization conditions on the copolymerization of styrene with ethylene using Me2Si(Me4Cp)(N-tert-butyl)TiCl2/methylaluminoxane Ziegler-Natta catalysts. Copolymers of ethylene and styrene produced by bridged metallocene catalysts have been described by Arai, Toshiaki and Suzuki (Polymer Preprints, Am. Chem. Soc., Div. Polym. Chem.) Volume 38, pages 349, 350 [1997]) and in U.S. Pat. No. 5,652,315, issued to Mitsui Toatsu Chemicals, Inc. The manufacture of α-olefin/vinyl aromatic monomer interpolymers such as propylene/styrene and butene/styrene are described in U.S. Pat. No. 5,244,996, issued to Mitsui Petrochemical Industries Ltd or U.S. Pat. No. 5,652,315 also issued to Mitsui Petrochemical Industries Ltd or as disclosed in DE 197 11 339 A1 to Denki Kagaku Kogyo KK. All the above methods disclosed for preparing the interpolymer component are incorporated herein by reference. The random copolymers of ethylene and styrene as disclosed in Polymer Preprints Vol 39, No. 1, March 1998 by Toru Aria et al. can also be employed as blend components for the foams of the present invention.

[52]

[0052] While preparing the substantially random interpolymer, an amount of atactic vinyl aromatic homopolymer may be formed due to homopolymerization of the vinyl aromatic monomer at elevated temperatures. The presence of vinyl aromatic homopolymer is in general not detrimental for the purposes of the present invention and can be tolerated. The vinyl aromatic homopolymer may be separated from the interpolymer, if desired, by extraction techniques such as selective precipitation from solution with a non solvent for either the interpolymer or the vinyl aromatic homopolymer. For the purpose of the present invention it is preferred that no more than 30 weight percent, preferably less than 20 weight percent based on the total weight of the interpolymers of atactic vinyl aromatic homopolymer is present.

[53]

[0053] Preparation of the Foams of the Present Invention

[54]

[0054] The compositions of the present invention may be used to form extruded thermoplastic polymer foam, expandable thermoplastic foam beads or expanded thermoplastic foams, and molded articles formed by expansion and/or coalescing and welding of those particles.

[55]

[0055] The foams may take any known physical configuration, such as extruded sheet, rod, plank, films and profiles. The foam structure also may be formed by molding expandable beads into any of the foregoing configurations or any other configuration.

[56]

[0056] Foam structures may be made by a conventional extrusion foaming process. The present foam is generally prepared by melt blending in which the alkenyl aromatic polymer material and one or more substantially random interpolymers are heated together to form a plasticized or melt polymer material, incorporating therein a blowing agent to form a foamable gel, and extruding the gel through a die to form the foam product. Prior to extruding from the die, the gel is cooled to an optimum temperature. To make a foam, the optimum temperature is at or above the blends glass transition temperature or melting point. For the foams of the present invention the optimum foaming temperature is in a range sufficient to produce an open cell content in the foam of 20 vol % or less and to optimize physical characeristics of the foam structure. The blowing agent may be incorporated or mixed into the melt polymer material by any means known in the art such as with an extruder, mixer, blender, or the like. The blowing agent is mixed with the melt polymer material at an elevated pressure sufficient to prevent substantial expansion of the melt polymer material and to generally disperse the blowing agent homogeneously therein. Optionally, a nucleator may be blended in the polymer melt or dry blended with the polymer material prior to plasticizing or melting. The substantially random interpolymers may be dry-blended with the polymer material prior to charging to the extruder, or charged to the extruder in the form of a polymer concentrate or a interpolymer/color pigment carrier material. The foamable gel is typically cooled to a lower temperature to optimize physical characteristics of the foam structure. The gel may be cooled in the extruder or other mixing device or in separate coolers. The gel is then extruded or conveyed through a die of desired shape to a zone of reduced or lower pressure to form the foam structure. The zone of lower pressure is at a pressure lower than that in which the formable gel is maintained prior to extrusion through the die. The lower pressure may be superatmospheric or subatmospheric (vacuum), but is preferably at an atmospheric level.

[57]

[0057] The present foam structures may be formed in a coalesced strand form by extrusion of the compositions of the present invention through a multi-orifice die. The orifices are arranged so that contact between adjacent streams of the molten extrudate occurs during the foaming process and the contacting surfaces adhere to one another with sufficient adhesion to result in a unitary foam structure. The streams of molten extrudate exiting the die take the form of strands or profiles, which desirably foam, coalesce, and adhere to one another to form a unitary structure. Desirably, the coalesced individual strands or profiles should remain adhered in a unitary structure to prevent strand delamination under stresses encountered in preparing, shaping, and using the foam. Apparatuses and method for producing foam structures in coalesced strand form are seen in U.S. Pat. Nos. 3,573,152 and 4,824,720, both of which are incorporated herein by reference.

[58]

[0058] The present foam structures may also be formed by an accumulating extrusion process as seen in U.S. Pat. No. 4,323,528, which is incorporated by reference herein. In this process, low density foam structures having large lateral cross-sectional areas are prepared by: 1) forming under pressure a gel of the compositions of the present invention and a blowing agent at a temperature at which the viscosity of the get is sufficient to retain the blowing agent when the gel is allowed to expand; 2) extruding the gel into a holding zone maintained at a temperature and pressure which does not allow the gel to foam, the holding zone having an outlet die defining an orifice opening into a zone of lower pressure at which the gel foams, and an openable gate closing the die orifice; 3) periodically opening the gate; 4) substantially concurrently applying mechanical pressure by a movable ram on the gel to eject it from the holding zone through the die orifice into the zone of lower pressure, at a rate greater than that at which substantial foaming in the die orifice occurs and less than that at which substantial irregularities in cross-sectional area or shape occurs; and 5) permitting the ejected gel to expand unrestrained in at least one dimension to produce the foam structure.

[59]

[0059] The present foam structures may also be formed into foam beads suitable for molding into articles by expansion of pre-expanded beads containing a blowing agent. The beads may be molded at the time of expansion to form articles of various shapes. Processes for making expanded beads and molded expanded beam foam articles are described in Plastic Foams, Part II, Frisch And Saunders, pp. 544-585, Marcel Dekker, Inc. (1973) and Plastic Materials, Brydson, 5thEd., pp. 426-429, Butterworths (1989).

[60]

[0060] Expandable and expanded beads can be made by a batch or by an extrusion process. The batch process of making expandable beads is essentially the same as for manufacturing expandable polystyrene (EPS). The granules of a polymer blend, made either by melt blending or in-reactor blending, are impregnated with a blowing agent in an aqueous suspension or in an anhydrous state in a pressure vessel at an elevated temperature and pressure. The granules are then either rapidly discharged into a region of reduced pressure to expand to foam beads or cooled and discharged as unexpanded beads. The unexpanded beads are then heated to expand with a proper means, e.g., with steam or with hot air. The extrusion method is essentially the same as the conventional foam extrusion process as described above up to the die orifice. The die has multiple holes. In order to make unfoamed beads, the foamable strands exiting the die orifice are immediately quenched in a cold water bath to prevent foaming and then pelletized. Or, the strands are converted to foam beads by cutting at the die face and then allowed to expand.

[61]

[0061] The foam beads may then be molded by any means known in the art, such as charging the foam beads to the mold, compressing the mold to compress the beads, and heating the beads such as with steam to effect coalescing and welding of the beads to form the article. Optionally, the beads may be impregnated with air or other blowing agent at an elevated pressure and temperature prior to charging to the mold. Further, the beads may be heated prior to charging. The foam beads may then be molded to blocks or shaped articles by a suitable molding method known in the art. (Some of the methods are taught in U.S. Pat. Nos. 3,504,068 and 3,953,558.) Excellent teachings of the above processes and molding methods are seen in C. P. Park, supra, p. 191, pp. 197-198, and pp. 227-229, which are incorporated herein by reference.

[62]

[0062] To make the foam beads, blends of alkenyl aromatic polymers with one or more substantially random interpolymer are formed into discrete resin particles such as granulated resin pellets and are: suspended in a liquid medium in which they are substantially insoluble such as water; impregnated with a blowing agent by introducing the blowing agent into the liquid medium at an elevated pressure and temperature in an autoclave or other pressure vessel; and rapidly discharged into the atmosphere or a region of reduced pressure to expand to form the foam beads. This process is well taught in U.S. Pat. Nos. 4,379,859 and 4,464,484, which are incorporated herein by reference.

[63]

[0063] A process for making expandable thermoplastic beads comprises: providing an alkenyl aromatic monomer and optionally at least one additional monomer, which is different from, and polymerizable with said alkenyl aromatic monomer; and dissolving in at least one of said monomers the substantially random interpolymers; polymerizing the first and second monomers to form thermoplastic particles; incorporating a blowing agent into the thermoplastic particles during or after polymerization; and cooling the thermoplastic particles to form expandable beads. The alkenyl aromatic monomer is present in an amount of at least about 50, preferably at least about 70, more preferably at least about 90 wt % based on the combined weights of the polymerizeable monomer(s).

[64]

[0064] Another process for making expandable thermoplastic beads comprises: heating the blends of alkenyl aromatic polymers with one or more substantially random interpolymers to form a melt polymer; incorporating into the melt polymer material at an elevated temperature a blowing agent to form a foamable gel; cooling the gel to an optimum temperature which is one at which foaming will not occur, extruding through a die containing one or more orifices to form one or more essentially continuous expandable thermoplastic strand(s); and pelletizing the expandable thermoplastic strand(s) to form expandable thermoplastic bead(s). Alternatively expanded thermoplastic foam beads may be made if, prior to extruding from the die, the gel is cooled to an optimum temperature which in this case is at or above the blends glass transition temperature or melting point. For the expanded thermoplastic foam beads of the present invention, the optimum foaming temperature is in a range sufficient to produce an open cell content in the foam of 20 vol % or less.

[65]

[0065] The present foam structures may also be used to make foamed films for bottle labels and other containers using either a blown film or a cast film extrusion process. The films may also be made by a co-extrusion process to obtain foam in the core with one or two surface layers, which may or may not be comprised of the polymer compositions used in the present invention.

[66]

[0066] Due to present environmental concerns over the use of potentially ozone-depleting blowing agents, it is desirable to make alkenyl aromatic polymer foams with blowing agents having reduced or zero ozone-depletion potential. Such blowing agents include inorganic blowing agents such as nitrogen, sulfur hexafluoride (SF6), and argon; organic blowing agents such as carbon dioxide and hydrofluorocarbons such as 1,1,1,2-tetrafluoroethane (HFC-134a), difluoromethane (HFC-32), 1,1-difluoroethane (HFC-152a), 1,1,2,2-tetrafluoroethane (HFC-134), 1,1,1,3,3-pentafluoropropane, pentafluoroethane (HFC-125), fluoroethane (HFC-161) and 1,1,1-trifluoroethane (HFC-143a) and hydrocarbons such as methane, ethane, propane, n-butane, isobutane, n-pentane, isopentane, cyclopentane and neopentane; and chemical blowing agents which include azodicarbonamide, azodiisobutyro-nitrile, benzenesulfonhydrazide, 4,4-oxybenzene sulfonyl-semicarbazide, p-toluene sulfonyl semi-carbazide, barium azodicarboxylate, N,N′-dimethyl-N,N′-dinitroso-terephthalamide, trihydrazino triazine and mixtures of citric acid and sodium bicarbonate such as the various products sold under the name Hydrocerol™ ( a product and trademark of Boehringer Ingelheim). All of these blowing agents may be used as single components or any mixture of combination thereof, or in mixtures with other co-blowing agents.

[67]

[0067] The blowing agent(s), when mixed with a co-blowing agent, are present in an amount of 50 mole % or more, preferably 70 mole % or more (based on the total g-moles of blowing agent and co-blowing agent).

[68]

[0068] Co-blowing agents useful with the blowing agents used in the present invention include inorganic co-blowing agents, organic co-blowing agents and chemical co-blowing agents. Suitable inorganic co-blowing agents include helium, water and air. Organic co-blowing agents include aliphatic alcohols including methanol, ethanol, n-propanol, and isopropanol. Fully and partially halogenated aliphatic hydrocarbons include fluorocarbons, chlorocarbons, and chlorofluorocarbons. Examples of fluorocarbons include methyl fluoride, perfluoromethane, ethyl fluoride, perfluoroethane, 2,2-difluoropropane, 1,1,1-trifluoropropane, perfluoropropane, dichloropropane, difluoropropane, perfluorobutane, perfluorocyclobutane. Partially halogenated chlorocarbons and chlorofluorocarbons for use in this invention include methyl chloride, methylene chloride, ethyl chloride, 1,1,1-trichloro-ethane, 1,1-dichloro-1-fluoroethane (HCFC-141b), 1-chloro-1,1-difluoroethane (HCFC-142b), chlorodifluoromethane (HCFC-22), 1,1-dichloro-2,2,2-trifluoroethane (HCFC-123) and 1-chloro-1,2,2,2-tetrafluoroethane (HCFC-124). Fully halogenated chlorofluorocarbons include trichloromonofluoromethane (CFC-11), dichlorodifluoromethane (CFC-12), trichloro-trifluoroethane (CFC-113), dichlorotetrafluoroethane (CFC-114), chloroheptafluoropropane, and dichlorohexafluoropropane.

[69]

[0069] The total amount of blowing agents and co-blowing agents incorporated into the polymer melt material to make a foam-forming polymer gel is from about 0.2 to about 5.0 gram-moles per kilogram of polymer, preferably from about 0.5 to about 3.0 gram-moles per kilogram of polymer, and most preferably from about 1.0 to 2.5 gram-moles per kilogram of polymer.

[70]

[0070] In addition, a nucleating agent may be added in order to control the size of foam cells. Preferred nucleating agents include inorganic substances such as calcium carbonate, talc, clay, silica, barium stearate, diatomaceous earth, mixtures of citric acid and sodium bicarbonate, and the like. The amount of nucleating agent employed may range from 0 to about 5 parts by weight per hundred parts by weight of a polymer resin. The preferred range is from 0 to about 3 parts by weight.

[71]

[0071] Various additives may be incorporated in the present foam structure such as inorganic fillers, pigments, antioxidants, acid scavengers, ultraviolet absorbers, flame retardants, processing aids, extrusion aids, other thermoplastic polymers, antistatic agents, and the like. Examples of other thermoplastic polymers include alkenyl aromatic homopolymers or copolymers (having molecular weight of about 2,000 to about 50,000) and ethylenic polymers.

[72]

[0072] The foam has a density of from about 10 to about 150 and most preferably from about 10 to about 70 kilograms per cubic meter according to ASTM D-1622-88. The foam has an average cell size of from about 0.05 to about 5.0 and preferably from about 0.1 to about 1.5 millimeters according to ASTM D3576-77.

[73]

[0073] The present foam has an increase of cell size of about 5%, preferably about 10%, more preferably about 15% or more relative to an analogous foam made without the substantially random interpolymer.

[74]

[0074] The present foam is particularly suited to be formed into a plank or sheet, desirably one having a cross-sectional area of 30 square centimeters (cm) or more and a thickness or minor dimension in cross-section of 0.95 cm or more, preferably 2.5 cm or more.

[75]

[0075] The present foam is closed cell. The closed cell content of the present foams is greater than or equal to 80 percent according to ASTM D2856-94.

[76]

[0076] The present foam structures may be used to insulate a surface by applying to the surface an insulating panel fashioned from the present structure, as used in for example, external wall sheathing (home thermal insulation), foundation insulation, and residing underlayment. Such panels are useful in any conventional insulating applications such as roofing, buildings, refrigerators and the like. Other applications include floating docks and rafts (buoyancy applications) as well as various floral and craft applications.

[77]

[0077] Properties of the Interpolymers and Blend Compositions Used to Prepare the Foams of the Present Invention.

[78]

[0078] The polymer compositions used to prepare the foams of the present invention comprise from about 80 to about 99.7, preferably from about 80 to about 99.5, more preferably from about 80 to about 99 wt %, (based on the combined weights of substantially random interpolymer and the alkenyl aromatic homopolymers or copolymer) of one or more alkenyl aromatic homopolymers or copolymers.

[79]

[0079] The molecular weight distribution (Mw/Mn) of the alkenyl aromatic homopolymers or copolymers used to prepare the foams having enlarged cell size of the present invention is from about 2 to about 7.

[80]

[0080] The molecular weight (Mw) of the alkenyl aromatic homopolymers or copolymers used to prepare the foams having enlarged cell size of the present invention is from about 100,000 to about 500,000, preferably from about 120,000 to about 350,000, more preferably 130,000 to 325,000.

[81]

[0081] The alkenyl aromatic polymer material used to prepare the foams of the present invention comprises greater than 50 and preferably greater than 70 weight percent alkenyl aromatic monomeric units. Most preferably, the alkenyl aromatic polymer material is comprised entirely of alkenyl aromatic monomeric units.

[82]

[0082] The polymer compositions used to prepare the foams of the present invention comprise from about 0.3 to about 20, preferably from about 0.5 to about 20, more preferably from about 1 to about 20 wt %, (based on the combined weights of substantially random interpolymer and the alkenyl aromatic homopolymers or copolymers) of one or more substantially random interpolymers.

[83]

[0083] These substantially random interpolymers used to prepare the foams having enlarged cell size of the present invention usually contain from about 8 to about 65, preferably from about 10 to about 45, more preferably from about 13 to about 39 mole percent of at least one vinyl or vinylidene aromatic monomer and/or aliphatic or cycloaliphatic vinyl or vinylidene monomer and from about 35 to about 92, preferably from about 55 to about 90, more preferably from about 61 to about 87 mole percent of ethylene and/or at least one aliphatic α-olefin having from 3 to about 20 carbon atoms.

[84]

[0084] The melt index (I2) of the substantially random interpolymers used to prepare the foams of the present invention is from about 0.01 to about 1000, preferably of from about 0.3 to about 30, more preferably of from about 0.5 to about 10 g/10 min.

[85]

[0085] The molecular weight distribution (Mw/Mn) of the substantially random interpolymer used to prepare the foams having enlarged cell size of the present invention is from about 1.5 to about 20, preferably of from about 1.8 to about 10, more preferably of from about 2 to about 5.

[86]

[0086] In addition, minor amounts of alkenyl aromatic homopolymers or copolymers having a molecular weight of about 2,000 to about 50,000, preferably from about 4,000 to about 25,000 can be added in an amount not exceeding about 20 wt % (based on the combined weights of substantially random interpolymer and the various alkenyl aromatic homopolymers or copolymers).

[87]

[0087] The following examples are illustrative of the invention, but are not to be construed as to limiting the scope thereof in any manner.

EXAMPLES

Test Methods

[88]

[0088] a) Melt Flow and Density Measurements

[89]

[0089] The molecular weight of the substantially random interpolymers used in the present invention is conveniently indicated using a melt index measurement according to ASTM D-1238, Condition 190° C./2.16 kg (formally known as “Condition (E)” and also known as I2) was determined. Melt index is inversely proportional to the molecular weight of the polymer. Thus, the higher the molecular weight, the lower the melt index, although the relationship is not linear.

[90]

[0090] Also useful for indicating the molecular weight of the substantially random interpolymers used in the present invention is the Gottfert melt index (G, cm3/10 min) which is obtained in a similar fashion as for melt index (I2) using the ASTM D1238 procedure for automated plastometers, with the melt density set to 0.7632, the melt density of polyethylene at 190° C.

[91]

[0091] The relationship of melt density to styrene content for ethylene-styrene interpolymers was measured, as a function of total styrene content, at 190° C. for a range of 29.8% to 81.8% by weight styrene. Atactic polystyrene levels in these samples was typically 10% or less. The influence of the atactic polystyrene was assumed to be minimal because of the low levels. Also, the melt density of atactic polystyrene and the melt densities of the samples with high total styrene are very similar. The method used to determine the melt density employed a Gottfert melt index machine with a melt density parameter set to 0.7632, and the collection of melt strands as a function of time while the I2weight was in force. The weight and time for each melt strand was recorded and normalized to yield the mass in grams per 10 minutes. The instrument's calculated I2melt index value was also recorded. The equation used to calculate the actual melt density is

[92]

δ=δ0.7632×I2/I2Gottfert

[93]

[0092] where δ0 7632=0.7632 and I2Gottfert=displayed melt index.

[94]

[0093] A linear least squares fit of calculated melt density versus total styrene content leads to an equation with a correlation coefficient of 0.91 for the following equation:

[95]

[0094] where S=weight percentage of styrene in the polymer. The relationship of total styrene to melt density can be used to determine an actual melt index value, using these equations if the styrene content is known.

[96]

[0095] So for a polymer that is 73% total styrene content with a measured melt flow (the “Gottfert number”), the calculation becomes:

[97]

x=0.00299*73+0.723=0.9412

[98]

[0096] where 0.9412/0.7632=I2/G# (measured)=1.23

[99]

[0097] b) Styrene Analyses

[100]

[0098] Interpolymer styrene content and atactic polystyrene concentration were determined using proton nuclear magnetic resonance (1H N.M.R). All proton NMR samples were prepared in 1, 1, 2, 2-tetrachloroethane-d2(TCE-d2). The resulting solutions were 1.6 - 3.2 percent polymer by weight. Melt index (I2) was used as a guide for determining sample concentration. Thus when the I2was greater than 2 g/10 min, 40 mg of interpolymer was used; with an I2between 1.5 and 2 g/10 min, 30 mg of interpolymer was used; and when the I2was less than 1.5 g/10 min, 20 mg of interpolymer was used. The interpolymers were weighed directly into 5 mm sample tubes. A 0.75 mL aliquot of TCE-d2was added by syringe and the tube was capped with a tight-fitting polyethylene cap. The samples were heated in a water bath at 85° C. to soften the interpolymer. To provide mixing, the capped samples were occasionally brought to reflux using a heat gun.

[101]

[0099] Proton NMR spectra were accumulated on a Varian VXR 300 with the sample probe at 80° C., and referenced to the residual protons of TCE-d2at 5.99 ppm. The delay times were varied between 1 second, and data was collected in triplicate on each sample. The following instrumental conditions were used for analysis of the interpolymer samples:

[102]

[0100] Varian VXR-300, standard1H:

[103]

[0101] Sweep Width, 5000 Hz

[104]

[0102] Acquisition Time, 3.002 sec

[105]

[0103] Pulse Width, 8 μsec

[106]

[0104] Frequency, 300 MHz

[107]

[0105] Delay, 1 sec

[108]

[0106] Transients, 16

[109]

[0107] The total analysis time per sample was about 10 minutes.

[110]

[0108] Initially, a1H NMR spectrum for a sample of polystyrene,, was acquired with a delay time of one second. The protons were “labeled”: b, branch; a, alpha; o, ortho; m, meta; p, para, as shown in FIG. 1.

[111]

[0109] Integrals were measured around the protons labeled in FIG. 1; the ‘A’ designates aPS. Integral A7 1(aromatic, around 7.1 ppm) is believed to be the three ortho/para protons; and integral A6.6(aromatic, around 6.6 ppm) the two meta protons. The two aliphatic protons labeled at resonate at 1.5 ppm; and the single proton labeled b is at 1.9 ppm. The aliphatic region was integrated from about 0.8 to 2.5 ppm and is referred to as Aal. The theoretical ratio for A7.1: A6.6: Aalis 3:2:3, or 1.5:1:1.5, and correlated very well with the observed ratios for the polystyrene sample for several delay times of 1 second. The ratio calculations used to check the integration and verify peak assignments were performed by dividing the appropriate integral by the integral A6 6Ratio Aris A7.1/A6 6.

[112]

[0110] Region A6 6was assigned the value of 1. Ratio Al is integral Aal/A6.6. All spectra collected have the expected 1.5:1:1.5 integration ratio of (o+p): m: (α+b). The ratio of aromatic to aliphatic protons is 5 to 3. An aliphatic ratio of 2 to 1 is predicted based on the protons labeled α and b respectively in FIG. 1. This ratio was also observed when the two aliphatic peaks were integrated separately.

[113]

[0111] For the ethylene/styrene interpolymers, the1H NMR spectra using a delay time of one second, had integrals C7.1, C6 6, and Caldefined, such that the integration of the peak at 7.1 ppm included all the aromatic protons of the copolymer as well as the o & p protons of aPS. Likewise, integration of the aliphatic region Calin the spectrum of the interpolymers included aliphatic protons from both the aPS and the interpolymer with no clear baseline resolved signal from either polymer. The integral of the peak at 6.6 ppm C6.6is resolved from the other aromatic signals and it is believed to be due solely to the aPS homopolymer (probably the meta protons). (The peak assignment for atactic polystyrene at 6.6 ppm (integral A6 6) was made based upon comparison to the authentic polystyrene sample). This is a reasonable assumption since, at very low levels of atactic polystyrene, only a very weak signal is observed here. Therefore, the phenyl protons of the copolymer must not contribute to this signal. With this assumption, integral A6 6becomes the basis for quantitatively determining the aPS content.

[114]

[0112] The following equations were then used to determine the degree of styrene incorporation in the ethylene/styrene interpolymer samples:

[115]

(C Phenyl)=C7.1+A7.1−( 1.5×A6.6)

[116]

(C Aliphatic)=Cal−( 1 5×A6.6)

[117]

sc=(C Phenyl) /5

[118]

ec=(C Aliphatic−(3×sc)) /4

[119]

E=ec/(ec+sc)

[120]

Sc=sc/(ec+sc)

[121]

[0113] and the following equations were used to calculate the mol % ethylene and styrene in the interpolymers. Wt % E=E*28(E*28)+(Sc*104)(100)andWt % S=Sc*104(E*28)+(Sc*104)(100)

[122]

[0114] where: scand ecare styrene and ethylene proton fractions in the interpolymer, respectively, and Scand E are mole fractions of styrene monomer and ethylene monomer in the interpolymer, respectively.

[123]

[0115] The weight percent of aPS in the interpolymers was then determined by the following equation: Wt % aPS=(Wt % S)*(A6.6/2Sc)100+[(Wt % S)*(A6.6/2Sc)]*100

[124]

[0116] The total styrene content was also determined by quantitative Fourier Transform Infrared spectroscopy (FTIR).

[125]

[0117] Preparation of Ethylene/Styrene Interpolymers (ESI's) Used in Examples and Comparative Experiments of Present Invention

[126]

[0118] Preparation of ESI #'s 1-2

[127]

[0119] ESI #'s 1-2 are substantially random ethylene/styrene interpolymers prepared using the following catalyst and polymerization procedures.

Preparation of Catalyst A (dimethyl[N-(1,1-dimethylethyl)-1,1-dimethyl-1-[(1,2,3,4,5-η)-1,5,6,7-tetrahydro-3-phenyl-s-indacen-1-yl]silanaminato(2-)-N]-titanium)

[128]

[0120] 1) Preparation of 3,5,6,7-Tetrahydro-s-Hydrindacen-1(2H)-one

[129]

[0121] Indan (94.00 g, 0.7954 moles) and 3-chloropropionyl chloride (100.99 g, 0.7954 moles) were stirred in CH2Cl2(300 mL) at 0° C. as AlCl3(130.00 g, 0.9750 moles) was added slowly under a nitrogen flow. The mixture was then allowed to stir at room temperature for 2 hours. The volatiles were then removed. The mixture was then cooled to 0° C. and concentrated H2SO4(500 mL) slowly added. The forming solid had to be frequently broken up with a spatula as stirring was lost early in this step. The mixture was then left under nitrogen overnight at room temperature. The mixture was then heated until the temperature readings reached 90° C. These conditions were maintained for a 2 hour period of time during which a spatula was periodically used to stir the mixture. After the reaction period crushed ice was placed in the mixture and moved around. The mixture was then transferred to a beaker and washed intermittently with H2O and diethylether and then the fractions filtered and combined. The mixture was washed with H2O (2×200 mL). The organic layer was then separated and the volatiles removed. The desired product was then isolated via recrystallization from hexane at 0° C. as pale yellow crystals (22.36 g, 16.3% yield).

[130]

[0122]1H NMR (CDCl3): d2.04-2.19 (m, 2 H), 2.65 (t,3JHH=5.7 Hz, 2 H), 2.84-3.0 (m, 4 H), 3.03 (t,3JHH=5.5 Hz, 2 H), 7.26 (s, 1 H), 7.53 (s, 1 H).

[131]

[0123]13C NMR (CDCl3): d25.71, 26.01, 32.19, 33.24, 36.93, 118.90, 122.16, 135.88, 144.06, 152.89, 154.36, 206.50.

[132]

[0124] GC-MS: Calculated for C12H12O 172.09, found 172.05.

[133]

[0125] 2) Preparation of 1,2,3,5-Tetrahydro-7-phenyl-s-indacen.

[134]

[0126] 3,5,6,7-Tetrahydro-s-Hydrindacen-1(2H)-one (12.00 g, 0.06967 moles) was stirred in diethyl ether (200 mL) at 0° C. as PhMgBr (0.105 moles, 35.00 mL of 3.0 M solution in diethyl ether) was added slowly. This mixture was then allowed to stir overnight at room temperature. After the reaction period the mixture was quenched by pouring over ice. The mixture was then acidified (pH=1) with HCl and stirred vigorously for 2 hours. The organic layer was then separated and washed with H2O (2×100 mL) and then dried over MgSO4. Filtration followed by the removal of the volatiles resulted in the isolation of the desired product as a dark oil (14.68 g, 90.3% yield).

[135]

[0127]1H NMR (CDCl3): d2.0-2.2 (m, 2 H), 2.8-3.1 (m, 4 H), 6.54 (s, 1H), 7.2-7.6 (m, 7 H).

[136]

[0128] GC-MS: Calculated for C18H16232.13, found 232.05.

[137]

[0129] 3) Preparation of 1,2,3,5-Tetrahydro-7-phenyl-s-indacene, dilithium salt.

[138]

[0130] 1,2,3,5-Tetrahydro-7-phenyl-s-indacen (14.68 g, 0.06291 moles) was stirred in hexane (150 mL) as nBuLi (0.080 moles, 40.00 mL of 2.0 M solution in cyclohexane) was slowly added. This mixture was then allowed to stir overnight. After the reaction period the solid was collected via suction filtration as a yellow solid which was washed with hexane, dried under vacuum, and used without further purification or analysis (12.2075 g, 81.1% yield).

[139]

[0131] 4) Preparation of Chlorodimethyl(1,5,6,7-tetrahydro-3-phenyl-s-indacen-1-yl)silane.

[140]

[0132] 1,2,3,5-Tetrahydro-7-phenyl-s-indacene, dilithium salt (12.2075 g, 0.05102 moles) in THF (50 mL) was added dropwise to a solution of Me2SiCl2(19.5010 g, 0.1511 moles) in THF (100 mL) at 0° C. This mixture was then allowed to stir at room temperature overnight. After the reaction period the volatiles were removed and the residue extracted and filtered using hexane. The removal of the hexane resulted in the isolation of the desired product as a yellow oil (15.1492 g, 91.1% yield).

[141]

 

[142]

[0133]1H NMR (CDCl3): d0.33 (s, 3 H), 0.38 (s, 3 H), 2.20 (p,3JHH=7.5 Hz, 2 H), 2.9-3.1 (m, 4 H), 3.84 (s, 1 H), 6.69 (d,3JHH=2.8 Hz, 1 H), 7.3-7.6 (m, 7 H), 7.68 (d,3JHH=7.4 Hz, 2 H).

[143]

[0134]13C NMR(CDCl3): d0.24, 0.38, 26.28, 33.05, 33.18, 46.13, 116.42, 119.71, 127.51, 128.33, 128.64, 129.56, 136.51, 141.31, 141.86, 142.17, 142.41, 144.62.

[144]

[0135] GC-MS: Calculated for C20H21ClSi 324.11, found 324.05.

[145]

[0136] 5) Preparation of N-(1,1-Dimethylethyl)-1,1-dimethyl-1-(1,5,6,7-tetrahydro-3-phenyl-s-indacen-1-yl)silanamine.

[146]

[0137] Chlorodimethyl(1,5,6,7-tetrahydro-3-phenyl-s-indacen-1-yl)silane (10.8277 g, 0.03322 moles) was stirred in hexane (150 mL) as NEt3(3.5123 g, 0.03471 moles) and t-butylamine (2.6074 g, 0.03565 moles) were added. This mixture was allowed to stir for 24 hours. After the reaction period the mixture was filtered and the volatiles removed resulting in the isolation of the desired product as a thick red-yellow oil (10.6551 g, 88.7% yield).

[147]

[0138]1H NMR (CDCl3): d0.02 (s, 3 H), 0.04 (s, 3 H), 1.27 (s, 9 H), 2.16 (p,3JHH=7.2 Hz, 2 H), 2.9-3.0 (m, 4 H), 3.68 (s, 1 H), 6.69 (s, 1 H), 7.3-7.5 (m, 4 H), 7.63 (d,3JHH=7.4 Hz, 2 H).

[148]

[0139]13C NMR (CDCl3): d−0.32, −0.09, 26.28, 33.39, 34.11, 46.46, 47.54, 49.81, 115.80, 119.30, 126.92, 127.89, 128.46, 132.99, 137.30, 140.20, 140.81, 141.64, 142.08, 144.83.

[149]

[0140] 6) Preparation of N-(1,1-Dimethylethyl)-1,1-dimethyl-1-(1,5,6,7-tetrahydro-3-phenyl-s-indacen-1-yl) silanamine, dilithium salt.

[150]

[0141] N-(1,1-Dimethylethyl)-1,1-dimethyl-1-(1,5,6,7-tetrahydro-3-phenyl-s-indacen-1-yl)silanamine (10.6551 g, 0.02947 moles) was stirred in hexane (100 mL) as nBuLi (0.070 moles, 35.00 mL of 2.0 M solution in cyclohexane) was added slowly. This mixture was then allowed to stir overnight during which time no salts crashed out of the dark red solution. After the reaction period the volatiles were removed and the residue quickly washed with hexane (2×50 mL). The dark red residue was then pumped dry and used without further purification or analysis (9.6517 g, 87.7% yield).

[151]

[0142] 7) Preparation of Dichloro[N-(1,1-dimethylethyl)-1,1-dimethyl-1-[(1,2,3,4,5-η)-1,5,6,7-tetrahydro-3-phenyl-s-indacen-1-yl]silanaminato(2-)-N]titanium

[152]

[0143] N-(1,1-Dimethylethyl)-1,1-dimethyl-1-(1,5,6,7-tetrahydro-3-phenyl-s-indacen-1-yl)silanamine, dilithium salt (4.5355 g, 0.01214 moles) in THF (50 mL) was added dropwise to a slurry of TiCl3(THF)3(4.5005 g, 0.01214 moles) in THF (100 mL). This mixture was allowed to stir for 2 hours. PbCl2(1.7136 g, 0.006162 moles) was then added and the mixture allowed to stir for an additional hour. After the reaction period the volatiles were removed and the residue extracted and filtered using toluene. Removal of the toluene resulted in the isolation of a dark residue. This residue was then slurried in hexane and cooled to 0° C. The desired product was then isolated via filtration as a red-brown crystalline solid (2.5280 g, 43.5% yield).

[153]

[0144]1H NMR (CDCl3): d0.71 (s, 3 H), 0.97 (s, 3 H), 1.37 (s, 9 H), 2.0-2.2 (m, 2 H), 2.9-3.2 (m, 4 H), 6.62 (s, 1 H), 7.35-7.45 (m, 1 H), 7.50 (t,3JHH=7.8 Hz, 2 H), 7.57 (s, 1 H), 7.70 (d,3JHH=7.1 Hz, 2 H), 7.78 (s, 1 H).

[154]

[0145]1H NMR (C6D6): d0.44 (s, 3 H), 0.68 (s, 3 H), 1.35 (s, 9 H), 1.6-1.9 (m, 2 H), 2.5-3.9 (m, 4 H), 6.65 (s, 1 H), 7.1-7.2 (m, 1 H), 7.24 (t,3JHH=7.1 Hz, 2 H), 7.61 (s, 1 H), 7.69 (s, 1 H), 7.77-7.8 (m, 2 H).

[155]

[0146]13C NMR (CDCl3): d1.29, 3.89, 26.47, 32.62, 32.84, 32.92, 663.16, 98.25, 118.70, 121.75, 125.62, 128.46, 128.55, 128.79, 129.01, 134.11, 134.53, 136.04, 146.15, 148.93.

[156]

[0147]13C NMR (C6D6): d0.90, 3.57, 26.46, 32.56, 32.78, 62.88, 98.14, 119.19, 121.97, 125.84, 127.15, 128.83, 129.03, 129.55, 134.57, 135.04, 136.41, 136.51, 147.24, 148.96.

[157]

[0148] 8) Preparation of Dimethyl[N-(1,1-dimethylethyl)-1,1-dimethyl-1-[(1,2,3,4,5-η)-1,5,6,7-tetrahydro-3-phenyl-s-indacen-1-yl]silanaminato(2-)-N]titanium

[158]

[0149] Dichloro[N-(1,1-dimethylethyl)-1,1-dimethyl-1-[(1,2,3,4,5-η)-1,5,6,7-tetrahydro-3-phenyl-s-indacen-1-yl]silanaminato(2-)-N]titanium (0.4970 g, 0.001039 moles) was stirred in diethylether (50 mL) as MeMgBr (0.0021 moles, 0.70 mL of 3.0 M solution in diethylether) was added slowly. This mixture was then stirred for 1 hour. After the reaction period the volatiles were removed and the residue extracted and filtered using hexane. Removal of the hexane resulted in the isolation of the desired product as a golden yellow solid (0.4546 g, 66.7% yield).

[159]

[0150]1H NMR (C6D6): d0.071 (s, 3 H), 0.49 (s, 3 H), 0.70 (s, 3 H), 0.73 (s, 3 H), 1.49 (s, 9 H), 1.7-1.8 (m, 2 H), 2.5-2.8 (m, 4 H), 6.41 (s, 1 H), 7.29 (t,3JHH=7.4 Hz, 2 H), 7.48 (s, 1 H), 7.72 (d.3JHH=7.4 Hz, 2 H), 7.92 (s, 1 H).

[160]

[0151]13C NMR (C6D6): d2.19, 4.61, 27.12, 32.86, 33.00, 34.73, 58.68, 58.82, 118.62, 121.98, 124.26, 127.32, 128.63, 128.98, 131.23, 134.39, 136.38, 143.19, 144.85.

[161]

[0152] Polymerization for ESI #'s 1-2

[162]

[0153] ESI's 1-2 were prepared in a 6 gallon (22.7 L), oil jacketed, Autoclave continuously stirred tank reactor (CSTR). A magnetically coupled agitator with Lightning A-320 impellers provided the mixing. The reactor ran liquid full at 475 psig (3.275 kPa). Process flow was in at the bottom and out of the top. A heat transfer oil was circulated through the jacket of the reactor to remove some of the heat of reaction. At the exit of the reactor was a micromotion flow meter that measured flow and solution density. All lines on the exit of the reactor were traced with 50 psi (344.7 kPa) steam and insulated.

[163]

[0154] Toluene solvent was supplied to the reactor at 30 psig (207 kPa). The feed to the reactor was measured by a Micro-Motion mass flow meter. A variable speed diaphragm pump controlled the feed rate. At the discharge of the solvent pump, a side stream was taken to provide flush flows for the catalyst injection line (1 lb/hr (0.45 kg/hr)) and the reactor agitator (0.75 lb/hr ( 0.34 kg/hr)). These flows were measured by differential pressure flow meters and controlled by manual adjustment of micro-flow needle valves. Uninhibited styrene monomer was supplied to the reactor at 30 psig (207 kpa). The feed to the reactor was measured by a Micro-Motion mass flow meter. A variable speed diaphragm pump controlled the feed rate. The styrene stream was mixed with the remaining solvent stream.

[164]

[0155] Ethylene was supplied to the reactor at 600 psig (4,137 kPa). The ethylene stream was measured by a Micro-Motion mass flow meter just prior to the Research valve controlling flow. A Brooks flow meter/controller was used to deliver hydrogen into the ethylene stream at the outlet of the ethylene control valve. The ethylene/hydrogen mixture combines with the solvent/styrene stream at ambient temperature. The temperature of the solvent/monomer as it enters the reactor was dropped to ˜5° C. by an exchanger with −5° C. glycol on the jacket. This stream entered the bottom of the reactor.

[165]

[0156] The three component catalyst system and its solvent flush also entered the reactor at the bottom but through a different port than the monomer stream. Preparation of the catalyst components took place in an inert atmosphere glove box. The diluted components were put in nitrogen padded cylinders and charged to the catalyst run tanks in the process area. From these run tanks the catalyst was pressured up with piston pumps and the flow was measured with Micro-Motion mass flow meters. These streams combine with each other and the catalyst flush solvent just prior to entry through a single injection line into the reactor.

[166]

[0157] Polymerization was stopped with the addition of catalyst kill (water mixed with solvent) into the reactor product line after the micromotion flow meter measuring the solution density. Other polymer additives can be added with the catalyst kill. A static mixer in the line provided dispersion of the catalyst kill and additives in the reactor effluent stream. This stream next entered post reactor heaters that provide additional energy for the solvent removal flash. This flash occurred as the effluent exited the post reactor heater and the pressure was dropped from 475 psig (3,275 kPa) down to ˜250 mm of pressure absolute at the reactor pressure control valve. This flashed polymer entered a hot oil jacketed devolatilizer. Approximately 85 percent of the volatiles were removed from the polymer in the devolatilizer. The volatiles exited the top of the devolatilizer. The stream was condensed with a glycol jacketed exchanger and entered the suction of a vacuum pump and was discharged to a glycol jacket solvent and styrene/ethylene separation vessel. Solvent and styrene were removed from the bottom of the vessel and ethylene from the top. The ethylene stream was measured with a Micro-Motion mass flow meter and analyzed for composition. The measurement of vented ethylene plus a calculation of the dissolved gasses in the solvent/styrene stream were used to calculate the ethylene conversion. The polymer separated in the devolatilizer was pumped out with a gear pump to a ZSK-30 devolatilizing vacuum extruder. The dry polymer exits the extruder as a single strand. This strand was cooled as it was pulled through a water bath. The excess water was blown from the strand with air and the strand was chopped into pellets with a strand chopper.

[167]

[0158] Preparation of ESI #3

[168]

[0159] ESI 3 is a substantially random ethylene/styrene interpolymer prepared using the following catalyst and polymerization procedures.

Preparation of Catalyst B:(1H-cyclopenta[l]phenanthrene-2-yl)dimethyl(t-butylamido)-silanetitanium 1,4-diphenylbutadiene)

[169]

[0160] 1) Preparation of lithium 1H-cyclopenta[l]phenanthrene-2-yl

[170]

[0161] To a 250 ml round bottom flask containing 1.42 g (0.00657 mole) of 1H-cyclopenta[l]phenanthrene and 120 ml of benzene was added dropwise, 4.2 ml of a 1.60 M solution of n-BuLi in mixed hexanes. The solution was allowed to stir overnight. The lithium salt was isolated by filtration, washing twice with 25 ml benzene and drying under vacuum. Isolated yield was 1.426 g (97.7 percent). 1H NMR analysis indicated the predominant isomer was substituted at the 2 position.

[171]

[0162] 2) Preparation of (1H-cyclopenta[l]phenanthrene-2-yl)dimethylchlorosilane

[172]

[0163] To a 500 ml round bottom flask containing 4.16 g (0.0322 mole) of dimethyldichlorosilane (Me2SiCl2) and 250 ml of tetrahydrofuran (THF) was added dropwise a solution of 1.45 g (0.0064 mole) of lithium 1H-cyclopenta[l]phenanthrene-2-yl in THF. The solution was stirred for approximately 16 hours, after which the solvent was removed under reduced pressure, leaving an oily solid which was extracted with toluene, filtered through diatomaceous earth filter aid (Celite™), washed twice with toluene and dried under reduced pressure. Isolated yield was 1.98 g (99.5 percent).

[173]

[0164] 3. Preparation of (1H-cyclopenta[l]phenanthrene-2-yl)dimethyl(t-butylamino)silane

[174]

[0165] To a 500 ml round bottom flask containing 1.98 g (0.0064 mole) of (1H-cyclopenta[l]phenanthrene-2-yl)dimethylchlorosilane and 250 ml of hexane was added 2.00 ml (0.0160 mole) of t-butylamine. The reaction mixture was allowed to stir for several days, then filtered using diatomaceous earth filter aid (Celite™), washed twice with hexane. The product was isolated by removing residual solvent under reduced pressure. The isolated yield was 1.98 g (88.9 percent).

[175]

[0166] 4. Preparation of dilithio (1H-cyclopenta[l]phenanthrene-2-yl)dimethyl(t-butylamido)silane

[176]

[0167] To a 250 ml round bottom flask containing 1.03 g (0.0030 mole) of (1H-cyclopenta[l]phenanthrene-2-yl)dimethyl(t-butylamino)silane) and 120 ml of benzene was added dropwise 3.90 ml of a solution of 1.6 M n-BuLi in mixed hexanes. The reaction mixture was stirred for approximately 16 hours. The product was isolated by filtration, washed twice with benzene and dried under reduced pressure. Isolated yield was 1.08 g (100 percent).

[177]

[0168] 5. Preparation of (1H-cyclopenta[l]phenanthrene-2-yl)dimethyl(t-butylamido)silanetitanium dichloride

[178]

[0169] To a 250 ml round bottom flask containing 1.17 g (0.0030 mole) of TiCl3.3THF and about 120 ml of THF was added at a fast drip rate about 50 ml of a THF solution of 1.08 g of dilithio (1H-cyclopenta[l]phenanthrene-2-yl)dimethyl(t-butylamido)silane. The mixture was stirred at about 20° C. for 1.5 h at which time 0.55 gm (0.002 mole) of solid PbCl2was added. After stirring for an additional 1.5 h the THF was removed under vacuum and the reside was extracted with toluene, filtered and dried under reduced pressure to give an orange solid. Yield was 1.31 g (93.5 percent).

[179]

[0170] 6. Preparation of (1H-cyclopenta[l]phenanthrene-2-yl)dimethyl(t-butylamido) silanetitanium 1,4-diphenylbutadiene

[180]

[0171] To a slurry of (1H-cyclopenta[l]phenanthrene-2-yl)dimethyl(t-butylamido)silanetitanium dichloride (3.48 g, 0.0075 mole) and 1.551 gm (0.0075 mole) of 1,4-diphenyllbutadiene in about 80 ml of toluene at 70° C. was add 9.9 ml of a 1.6 M solution of n-BuLi (0.0150 mole). The solution immediately darkened. The temperature was increased to bring the mixture to reflux and the mixture was maintained at that temperature for 2 hrs. The mixture was cooled to about −20° C. and the volatiles were removed under reduced pressure. The residue was slurried in 60 ml of mixed hexanes at about 20° C. for approximately 16 hours. The mixture was cooled to about −25° C. for about 1 h. The solids were collected on a glass frit by vacuum filtration and dried under reduced pressure. The dried solid was placed in a glass fiber thimble and solid extracted continuously with hexanes using a soxhlet extractor. After 6 h a crystalline solid was observed in the boiling pot. The mixture was cooled to about −20° C., isolated by filtration from the cold mixture and dried under reduced pressure to give 1.62 g of a dark crystalline solid. The filtrate was discarded. The solids in the extractor were stirred and the extraction continued with an additional quantity of mixed hexanes to give an additional 0.46 gm of the desired product as a dark crystalline solid.

[181]

[0172] Polymerization for ESI 3

[182]

[0173] ESI 3 was prepared in a continuously operating loop reactor (36.8 gal. 139 L). An Ingersoll-Dresser twin screw pump provided the mixing. The reactor ran liquid full at 475 psig (3,275 kPa) with a residence time of approximately 25 minutes. Raw materials and catalyst/cocatalyst flows were fed into the suction of the twin screw pump through injectors and Kenics static mixers. The twin screw pump discharged into a 2″ diameter line which supplied two Chemineer-Kenics 10-68 Type BEM Multi-Tube heat exchangers in series. The tubes of these exchangers contained twisted tapes to increase heat transfer. Upon exiting the last exchanger, loop flow returned through the injectors and static mixers to the suction of the pump. Heat transfer oil was circulated through the exchangers' jacket to control the loop temperature probe located just prior to the first exchanger. The exit stream of the loop reactor was taken off between the two exchangers. The flow and solution density of the exit stream was measured by a MicroMotion.

[183]

[0174] Solvent feed to the reactor was supplied by two different sources. A fresh stream of toluene from an 8480-S-E Pulsafeeder diaphragm pump with rates measured by a MicroMotion flowmeter was used to provide flush flow for the reactor seals (20 lb/hr (9.1 kg/hr). Recycle solvent was mixed with uninhibited styrene monomer on the suction side of five 8480-5-E Pulsafeeder diaphragm pumps in parallel. These five Pulsafeeder pumps supplied solvent and styrene to the reactor at 650 psig (4,583 kPa). Fresh styrene flow was measured by a MicroMotion flowmeter, and total recycle solvent/styrene flow was measured by a separate MicroMotion flowmeter. Ethylene was supplied to the reactor at 687 psig (4,838 kPa). The ethylene stream was measured by a Micro-Motion mass flowmeter. A Brooks flowmeter/controller was used to deliver hydrogen into the ethylene stream at the outlet of the ethylene control valve.

[184]

[0175] The ethylene/hydrogen mixture combined with the solvent/styrene stream at ambient temperature. The temperature of the entire feed stream as it entered the reactor loop was lowered to 2° C. by an exchanger with −10° C. glycol on the jacket. Preparation of the three catalyst components took place in three separate tanks: fresh solvent and concentrated catalyst/cocatalyst premix were added and mixed into their respective run tanks and fed into the reactor via variable speed 680-S-AEN7 Pulsafeeder diaphragm pumps. As previously explained, the three component catalyst system entered the reactor loop through an injector and static mixer into the suction side of the twin screw pump. The raw material feed stream was also fed into the reactor loop through an injector and static mixer downstream of the catalyst injection point but upstream of the twin screw pump suction.

[185]

[0176] Polymerization was stopped with the addition of catalyst kill (water mixed with solvent) into the reactor product line after the Micro Motion flowmeter measuring the solution density. A static mixer in the line provided dispersion of the catalyst kill and additives in the reactor effluent stream. This stream next entered post reactor heaters that provided additional energy for the solvent removal flash. This flash occurred as the effluent exited the post reactor heater and the pressure was dropped from 475 psig (3,275 kPa) down to 450 mmHg (60 kPa) of absolute pressure at the reactor pressure control valve.

[186]

[0177] This flashed polymer entered the first of two hot oil jacketed devolatilizers. The volatiles flashing from the first devolatizer were condensed with a glycol jacketed exchanger, passed through the suction of a vacuum pump, and were discharged to the solvent and styrene/ethylene separation vessel. Solvent and styrene were removed from the bottom of this vessel as recycle solvent while ethylene exhausted from the top. The ethylene stream was measured with a MicroMotion mass flowmeter. The measurement of vented ethylene plus a calculation of the dissolved gases in the solvent/styrene stream were used to calculate the ethylene conversion. The polymer and remaining solvent separated in the devolatilizer was pumped with a gear pump to a second devolatizer. The pressure in the second devolatizer was operated at 5 mm Hg (0.7 kPa) absolute pressure to flash the remaining solvent. This solvent was condensed in a glycol heat exchanger, pumped through another vacuum pump, and exported to a waste tank for disposal. The dry polymer (<1000 ppm total volatiles) was pumped with a gear pump to an underwater pelletizer with 6-hole die, pelletized, spin-dried, and collected in 1000 lb boxes.

[187]

[0178] The various catalysts, co-catalysts and process conditions used to prepare the various individual ethylene styrene interpolymers (ESI #'s 1 - 3) are summarized in Table 1 and their properties are summarized in Table 2.

Preparation Conditions for ESI #'s 1-3
ReactorSolventEthyleneHydrogenStyreneEthylene
ESITempFlowFlowFlowFlowConversionB/TiMMAOd/TiCo-
#° C.lb/hrlb/hrsccmlb/hr%RatioRatioCatalystCatalyst
ESI 1-93.037.93.113.56.996.22.997.0AaCc
ESI 279.031.31.744.313.595.13.519.0AaCc
ESI-361386200100883.502.5BbCc
*N/A = not available
aCatalyst A is dimethyl[N-(1,1-dimethylethyl)-1,1-dimethyl-1-[(1,2,3,4,5-n)-1,5,6,7-tetrahydro-3-phenyl-s-indacenl-yl]silanaminato(2-)-N-titanium.
bCatalyst B is,(1H-cyclopenta[1]phenanthrene-2-yl)dimethyl(t-butylamido)-silanetitanium 1,4-diphenylbutadiene)
cCocatalyst C is tris(pentafluorophenyl)borane, (CAS# 001109-15-5).
da modified methylaluminoxane commercially available from Akzo Nobel as MMAO-3A (CAS# 146905-79-5)

[188]

[0179]

Properties of ESI #'s 1-3.
wt. %mol. %Gottfert
Co-Co-MeltMelt
polymerpolymeraPSIndex, 12Index
ESI #StyreneStyrenewt %(g/10 min)(cm 3/10 min)
ESI-147.419.50.51.54
ESI-269.037.51.61.36
ESI-369.538.08.90.94

[189]

[0180] Polystyrene Blend Components

[190]

[0181] PS 1 is a granular polystyrene having a weight average molecular weight, Mw, of about 192,000 and a polydispersity, Mw/Mn, of about 2.

[191]

[0182] PS 2 is a granular polystyrene having a weight average molecular weight, Mw, of about 145,000 and a polydispersity, Mw/Mn, of about 6.

[192]

[0183] PS 3 is a granular polystyrene having a weight average molecular weight, Mw, of about 132,000 and a polydispersity, Mw/Mn, of about 2.

Examples 1 and 2

Enlarged Cell Sizes With PS/ESI Blends, Using Isobutane As Blowing Agent

[193]

[0184] A foaming process comprising a single-screw extruder, mixer, coolers and die was used to make foam. Isobutane was used as the blowing agent at a loading of 7.5 part-per-hundred-resin (phr) to foam polystyrene (PS) and PS/ESI blends.

Enlarged Cell Sizes With PS/ESI Blends,
Using Isobutane As Blowing Agent
Blendfoamopencell
Com-foamingdensitycellssize
Ex #positiontemp ° C.(kg/m3)(vol %)mm
Ex 180% PSI/20%12239.410.40.065
ESI 1
Ex 280% PSI/20%11748.11.20.068
ESI 2
Comp Expt 1100 wt % PS I12752.10.80.048

Example 3

Enlarged Cell Sizes With PS/ESI Blends, Using CO2As Blowing Agent

[194]

[0185] A foaming process comprising a single-screw extruder, mixer, coolers and die was used to make foam planks. Carbon dioxide (CO2) was used as the blowing agent at a level of 4.7 phr to foam polystyrene and a blend of polystyrene with ESI. The other additives were hexabromocyclododecane=2.5 phr; barium stearate=0.2 phr; blue pigment=0.15 phr; tetrasodiumpyrophosphate=0.2 phr; linear low density polyethylene=0.4 phr.

Enlarged cell sizes with PS/ESI blends, using CO2, as blowing agent
Blend Compositionfoam tempthicknessfoam density% openav cell size
Ex #(wt %)° C.mmkg/m3cellsmmWD %
Ex 395% PS2/5% ESI 31233740.918.80.341.9
Comp 2100% PS21234837.94.10.281.3
Comp 3100% PS31252541.03.20.231.2
Comp 498% PS3 + 2% GMS1212537.77.20.3013.1

[195]

[0186] The Examples and Comparative Examples of Tables 3 and 4 demonstrate that foams made from blends of polystyrene with substantially random ethylene/styrene interpolymers (using non-ozone depleting blowing agents) have enlarged cell size and closed cell structure (greater than or equal to 80 vol % closed cell). In addition, Table 4 shows that the presence of substantially random ethylene/styrene interpolymers in the foams does not have a deleterious effect on creep under load at 80° C. (WD - DIN 18164), whereas use of the cell size enlarger, glycerol monostearate (GMS), had an adverse effect on WD.

Как компенсировать расходы
на инновационную разработку
Похожие патенты