патент
№ US 0011329237
МПК H01L51/00

Boron and nitrogen containing heterocyclic compounds

Авторы:
Chuanjun Xia
Правообладатель:
Все (2)
Номер заявки
16239814
Дата подачи заявки
04.01.2019
Опубликовано
10.05.2022
Страна
US
Как управлять
интеллектуальной собственностью
Чертежи 
2
Реферат

[0000]

Boron and nitrogen containing heterocyclic compounds are disclosed, which can be used as emitters, hosts, charge blocking materials, charge transporting materials, etc. in an electroluminescent device. These novel compounds can offer very narrow emissive spectrum, and obtain high saturated deep blue emission. Also disclosed are an organic light-emitting device and a formulation.

Формула изобретения

1. A compound having Formula I or Formula III:

wherein in Formula I, Y1-Y3, Y5-Y9, and Y11-Y18are each independently selected from C, CR or N; and Y4and Y10are each independently selected from C or CR;

in Formula I, at least two of the four groups consisting of Y1and Y18, Y4and Y5, Y9and Y10, and Y13and Y14are carbon and connected by a C—C single bond;

in Formula III, Y1-Y3, Y5-Y9, Y11-Y12, and Y15-Y18are each independently selected from N or CR; and Y4and Y10are each independently selected from CR;

wherein R is each independently selected from the group consisting of hydrogen, deuterium, halogen, a substituted or unsubstituted alkyl group having 1 to 20 carbon atoms, a substituted or unsubstituted cycloalkyl group having 3 to 20 ring carbon atoms, a substituted or unsubstituted heteroalkyl group having 1 to 20 carbon atoms, a substituted or unsubstituted arylalkyl group having 7 to 30 carbon atoms, a substituted or unsubstituted alkoxy group having 1 to 20 carbon atoms, a substituted or unsubstituted aryloxy group having 6 to 30 carbon atoms, a substituted or unsubstituted alkenyl group having 2 to 20 carbon atoms, a substituted or unsubstituted aryl group having 6 to 30 carbon atoms, a substituted or unsubstituted heteroaryl group having 3 to 30 carbon atoms, a substituted or unsubstituted alkylsilyl group having 3 to 20 carbon atoms, a substituted or unsubstituted arylsilyl group having 6 to 20 carbon atoms, a substituted or unsubstituted amino group having 0 to 20 carbon atoms, an acyl group, a carbonyl group, a carboxylic acid group, an ester group, a nitrile group, an isonitrile group, a sulfanyl group, a sulfinyl group, a sulfonyl group, a phosphino group, and combinations thereof;

and wherein the compound is not a fullerene type compound.

2. The compound of claim 1, wherein the compound has a structure of Formula IV or Formula V or Formula VI or Formula VII:

3. The compound of claim 1, wherein the compound has a structure of Formula VIII, Formula IX or Formula X:

4. The compound of claim 1, wherein the compound is selected from the group consisting of:

in the structure of the compounds above, wherein Ph is

Cz is

5. The compound of claim 1, wherein the compound is selected from the group consisting of:

in the structure of the compounds above, wherein Ph is

Cz is

6. The compound of claim 1, wherein the compound is selected from the group consisting of:

in the structure of the compounds above, wherein Ph is

Cz is

is

7. The compound of claim 1, wherein at least one R comprises a substituent selected from the group consisting of phenyl, biphenyl, poly-phenyl, diarylamine, carbazole, azacarbazole, dibenzofuran, azadibenzofuran, dibenzothiophene, azadibenzothiophene, dibenzoselenophene, azadibenzoselenophene, triphenylene, azatriphenylene, tetraphenylene, diarylsilyl, and triarylsilyl.

8. A first organic light-emitting device comprising:

an anode;

a cathode; and

an organic layer, disposed between the anode and the cathode, comprising the compound of claim 1.

9. The first organic light-emitting device of claim 8, wherein the organic layer is an emissive layer and the compound is an emitter.

10. The first organic light-emitting device of claim 9, wherein the organic layer further comprises a host.

11. The first organic light-emitting device of claim 8, wherein the organic layer is an emissive layer and the compound is a host.

12. The first organic light-emitting device of claim 8, wherein the organic layer is a charge carrier blocking layer and the compound is a charge carrier blocking material in the organic layer.

13. The first organic light-emitting device of claim 8, wherein the organic layer is a charge carrier transporting layer and the compound is a charge carrier transporting material in the organic layer.

14. The first organic light-emitting device of claim 8, wherein the first organic light-emitting device is incorporated into a device selected from the group consisting of a consumer product, an electronic component module, an organic light-emitting device, and a lighting panel.

15. A formulation comprising the compound of claim 1.

16. The compound of claim 1, wherein Y1to Y18are each independently selected from C or CR.

17. The compound of claim 1, wherein the compound is of Formula I.

Описание

[0001]

This application claims the benefit of U.S. Provisional Application No. 62/614,353, filed Jan. 5, 2018, the entire content of which is incorporated herein by reference.

1 FIELD OF THE INVENTION

[0002]

The present invention relates to a compound for organic electronic devices, such as organic light emitting devices. More specifically, the present invention relates to heterocyclic compounds containing boron and nitrogen, an organic electroluminescent device and a formulation comprising the compounds.

2 BACKGROUND ART

[0003]

An organic electronic device is preferably selected from the group consisting of organic light-emitting diodes (OLEDs), organic field-effect transistors (O-FETs), organic light-emitting transistors (OLETs), organic photovoltaic devices (OPVs), dye-sensitized solar cells (DSSCs), organic optical detectors, organic photoreceptors, organic field-quench devices (OFQDs), light-emitting electrochemical cells (LECs), organic laser diodes and organic plasmon emitting devices.

[0004]

In 1987, Tang and Van Slyke of Eastman Kodak reported a bilayer organic electroluminescent device, which comprises an arylamine hole transporting layer and a tris-8-hydroxyquinolato-aluminum layer as the electron and emitting layer (Applied Physics Letters, 1987, 51 (12): 913-915). Once a bias is applied to the device, green light was emitted from the device. This invention laid the foundation for the development of modern organic light-emitting diodes (OLEDs). State-of-the-art OLEDs may comprise multiple layers such as charge injection and transporting layers, charge and exciton blocking layers, and one or multiple emissive layers between the cathode and anode. Since OLED is a self-emitting solid state device, it offers tremendous potential for display and lighting applications. In addition, the inherent properties of organic materials, such as their flexibility, may make them well suited for particular applications such as fabrication on flexible substrates.

[0005]

OLED can be categorized as three different types according to its emitting mechanism. The OLED invented by Tang and van Slyke is a fluorescent OLED. It only utilizes singlet emission. The triplets generated in the device are wasted through nonradiative decay channels. Therefore, the internal quantum efficiency (IQE) of a fluorescent OLED is only 25%. This limitation hindered the commercialization of OLED. In 1997, Forrest and Thompson reported phosphorescent OLED, which uses triplet emission from heave metal containing complexes as the emitter. As a result, both singlet and triplets can be harvested, achieving 100% IQE. The discovery and development of phosphorescent OLED contributed directly to the commercialization of active-matrix OLED (AMOLED) due to its high efficiency. Recently, Adachi achieved high efficiency through thermally activated delayed fluorescence (TADF) of organic compounds. These emitters have small singlet-triplet gap that makes the transition from triplet back to singlet possible. In the TADF device, the triplet excitons can go through reverse intersystem crossing to generate singlet excitons, resulting in high IQE.

[0006]

OLEDs can also be classified as small molecule and polymer OLEDs according to the forms of the materials used. Small molecule refers to any organic or organometallic material that is not a polymer. The molecular weight of a small molecule can be large as long as it has well defined structure. Dendrimers with well-defined structures are considered as small molecules. Polymer OLEDs include conjugated polymers and non-conjugated polymers with pendant emitting groups. Small molecule OLED can become a polymer OLED if post polymerization occurred during the fabrication process.

[0007]

There are various methods for OLED fabrication. Small molecule OLEDs are generally fabricated by vacuum thermal evaporation. Polymer OLEDs are fabricated by solution process such as spin-coating, inkjet printing, and slit printing. If the material can be dissolved or dispersed in a solvent, the small molecule OLED can also be produced by solution process.

[0008]

The emitting color of an OLED can be achieved by emitter structural design. An OLED may comprise one emitting layer or a plurality of emitting layers to achieve desired spectrum. In the case of green, yellow, and red OLEDs, phosphorescent emitters have successfully reached commercialization. Blue phosphorescent emitters still suffer from non-saturated blue color, short device lifetime, and high operating voltage. Commercial full-color OLED displays normally adopt a hybrid strategy, using fluorescent blue and phosphorescent yellow, or red and green. At present, efficiency roll-off of phosphorescent OLEDs at high brightness remains a problem. In addition, it is desirable to have more saturated emitting color, higher efficiency, and longer device lifetime.

[0009]

At present phosphorescent blue OLED lifetime is short, and it is difficult to reach deep blue. Fluorescent blue OLED has longer lifetime than phosphorescent blue OLED, but the efficiency is low. There is a great need to improve the lifetime and efficiency of the blue OLED. Blue light emitting materials with thermal activated delayed fluorescence (TADF) have already been used to obtain high external quantum efficiency (EQE). However, most TADF light emitting materials show very broad emissive spectrum, making them undesirable for display applications. Novel TADF materials with very narrow emissive spectrum are therefore strongly needed.

3 SUMMARY OF THE INVENTION

[0010]

The present invention aims to provide a new series of heterocyclic compounds containing boron and nitrogen to solve at least part of the above problems. The compounds can be used as emitters, hosts, charge blocking materials, charge transporting materials etc. in an organic electroluminescent device. Especially as light emitting materials, these novel compounds offer very narrow emissive spectrum, and obtain high saturated deep blue emission.

[0011]

According to an embodiment of the present invention, a compound having Formula I is disclosed:

[0012]

[0013]

wherein Y1—Y18are each independently selected from C, CR or N;

[0014]

wherein R is each independently selected from the group consisting of hydrogen, deuterium, halogen, a substituted or unsubstituted alkyl group having 1 to 20 carbon atoms, a substituted or unsubstituted cycloalkyl group having 3 to 20 ring carbon atoms, a substituted or unsubstituted heteroalkyl group having 1 to 20 carbon atoms, a substituted or unsubstituted arylalkyl group having 7 to 30 carbon atoms, a substituted or unsubstituted alkoxy group having 1 to 20 carbon atoms, a substituted or unsubstituted aryloxy group having 6 to 30 carbon atoms, a substituted or unsubstituted alkenyl group having 2 to 20 carbon atoms, a substituted or unsubstituted aryl group having 6 to 30 carbon atoms, a substituted or unsubstituted heteroaryl group having 3 to 30 carbon atoms, a substituted or unsubstituted alkylsilyl group having 3 to 20 carbon atoms, a substituted or unsubstituted arylsilyl group having 6 to 20 carbon atoms, a substituted or unsubstituted amino group having 0 to 20 carbon atoms, an acyl group, a carbonyl group, a carboxylic acid group, an ester group, a nitrile group, an isonitrile group, a sulfanyl group, a sulfinyl group, a sulfonyl group, a phosphino group, and combinations thereof;

[0015]

wherein at least one of the four groups consisting of Y1and Y18, Y4and Y5, Y9and Y10, and Y13and Y14are carbon and connected by a C—C single bond; and

[0016]

wherein the compound is not a fullerene type compound.

[0017]

According to another embodiment of the present invention, an organic light-emitting device is also disclosed, which comprises:

[0018]

an anode,

[0019]

a cathode,

[0020]

and organic layer between the anode and the cathode, wherein the organic layer comprises a compound having Formula I:

[0021]

[0022]

wherein Y1—Y18are each independently selected from C, CR or N;

[0023]

wherein R is each independently selected from the group consisting of hydrogen, deuterium, halogen, a substituted or unsubstituted alkyl group having 1 to 20 carbon atoms, a substituted or unsubstituted cycloalkyl group having 3 to 20 ring carbon atoms, a substituted or unsubstituted heteroalkyl group having 1 to 20 carbon atoms, a substituted or unsubstituted arylalkyl group having 7 to 30 carbon atoms, a substituted or unsubstituted alkoxy group having 1 to 20 carbon atoms, a substituted or unsubstituted aryloxy group having 6 to 30 carbon atoms, a substituted or unsubstituted alkenyl group having 2 to 20 carbon atoms, a substituted or unsubstituted aryl group having 6 to 30 carbon atoms, a substituted or unsubstituted heteroaryl group having 3 to 30 carbon atoms, a substituted or unsubstituted alkylsilyl group having 3 to 20 carbon atoms, a substituted or unsubstituted arylsilyl group having 6 to 20 carbon atoms, a substituted or unsubstituted amino group having 0 to 20 carbon atoms, an acyl group, a carbonyl group, a carboxylic acid group, an ester group, nitrile, isonitrile, sulfanyl, sulfinyl, sulfonyl, phosphino, and combinations thereof;

[0024]

wherein at least one group of Y1and Y18, Y4and Y5, Y9and Y10, and Y13and Y14are carbon and connected by a C—C single bond; and

[0025]

wherein the compound is not a fullerene type compound.

[0026]

According to yet another embodiment of the present invention, a formulation comprising a compound having a structure of Formula I is also disclosed.

[0027]

The novel heterocycles containing boron and nitrogen disclosed in the present invention can be used as emitters, hosts, charge blocking materials, charge transporting materials, etc. in an electroluminescent device. Especially as light emitting materials, these novel compounds offer very narrow emissive spectrum, and obtain high saturated deep blue emission.

BRIEF DESCRIPTION OF THE DRAWINGS

[0028]

FIG. 1 schematically shows an organic light emitting device that can incorporate the compound or formulation disclosed herein.

[0029]

FIG. 2 schematically shows another organic electroluminescent device that can incorporate the compound material or formulation disclosed herein.

DETAILED DESCRIPTION

[0030]

OLEDs can be fabricated on various types of substrates such as glass, plastic, and metal foil. FIG. 1 schematically shows the organic light emitting device 100 without limitation. The figures are not necessarily drawn to scale. Some of the layer in the figure can also be omitted as needed. Device 100 may include a substrate 101, an anode 110, a hole injection layer 120, a hole transport layer 130, an electron blocking layer 140, an emissive layer 150, a hole blocking layer 160, an electron transport layer 170, an electron injection layer 180 and a cathode 190. Device 100 may be fabricated by depositing the layers described in order. The properties and functions of these various layers, as well as example materials, are described in more detail in U.S. Pat. No. 7,279,704 at cols. 6-10, which are incorporated by reference in its entirety.

[0031]

More examples for each of these layers are available. For example, a flexible and transparent substrate-anode combination is disclosed in U.S. Pat. No. 5,844,363, which is incorporated by reference in its entirety. An example of a p-doped hole transport layer is m-MTDATA doped with F4-TCNQ at a molar ratio of 50:1, as disclosed in U.S. Patent Application Publication No. 2003/0230980, which is incorporated by reference in its entirety. Examples of host materials are disclosed in U.S. Pat. No. 6,303,238 to Thompson et al., which is incorporated by reference in its entirety. An example of an n-doped electron transport layer is BPhen doped with Li at a molar ratio of 1:1, as disclosed in U.S. Patent Application Publication No. 2003/0230980, which is incorporated by reference in its entirety. U.S. Pat. Nos. 5,703,436 and 5,707,745, which are incorporated by reference in their entireties, disclose examples of cathodes including compound cathodes having a thin layer of metal such as Mg:Ag with an overlying transparent, electrically-conductive, sputter-deposited ITO layer. The theory and use of blocking layers is described in more detail in U.S. Pat. No. 6,097,147 and U.S. Patent Application Publication No. 2003/0230980, which are incorporated by reference in their entireties. Examples of injection layers are provided in U.S. Patent Application Publication No. 2004/0174116, which is incorporated by reference in its entirety. A description of protective layers may be found in U.S. Patent Application Publication No. 2004/0174116, which is incorporated by reference in its entirety.

[0032]

The layered structure described above is provided by way of non-limiting example. Functional OLEDs may be achieved by combining the various layers described in different ways, or layers may be omitted entirely. It may also include other layers not specifically described. Within each layer, a single material or a mixture of multiple materials can be used to achieve optimum performance. Any functional layer may include several sublayers. For example, the emissive layer may have a two layers of different emitting materials to achieve desired emission spectrum. Also for example, the hole transporting layer may comprise the first hole transporting layer and the second hole transporting layer.

[0033]

In one embodiment, an OLED may be described as having an “organic layer” disposed between a cathode and an anode. This organic layer may comprise a single layer or multiple layers.

[0034]

An OLED can be encapsulated by a barrier layer to protect it from harmful species from the environment such as moisture and oxygen. FIG. 2 schematically shows the organic light emitting device 200 without limitation. FIG. 2 differs from FIG. 1 in that the organic light emitting device 200 include a barrier layer 102, which is above the cathode 190. Any material that can provide the barrier function can be used as the barrier layer such as glass and organic-inorganic hybrid layers. The barrier layer should be placed directly or indirectly outside of the OLED device. Multilayer thin film encapsulation was described in U.S. Pat. No. 7,968,146, which is herein incorporated by reference in its entirety.

[0035]

Devices fabricated in accordance with embodiments of the invention can be incorporated into a wide variety of consumer products that have one or more of the electronic component modules (or units) incorporated therein. Some examples of such consumer products include flat panel displays, monitors, medical monitors, televisions, billboards, lights for interior or exterior illumination and/or signaling, heads-up displays, fully or partially transparent displays, flexible displays, smart phones, tablets, phablets, wearable devices, smart watches, laptop computers, digital cameras, camcorders, viewfinders, micro-displays, 3-D displays, vehicles displays, and vehicle tail lights.

[0036]

The materials and structures described herein may be used in other organic electronic devices listed above.

[0037]

As used herein, “top” means furthest away from the substrate, while “bottom” means closest to the substrate. Where a first layer is described as “disposed over” a second layer, the first layer is disposed further away from substrate. There may be other layers between the first and second layer, unless it is specified that the first layer is “in contact with” the second layer. For example, a cathode may be described as “disposed over” an anode, even though there are various organic layers in between.

[0038]

As used herein, “solution processible” means capable of being dissolved, dispersed, or transported in and/or deposited from a liquid medium, either in solution or suspension form.

[0039]

A ligand may be referred to as “photoactive” when it is believed that the ligand directly contributes to the photoactive properties of an emissive material. A ligand may be referred to as “ancillary” when it is believed that the ligand does not contribute to the photoactive properties of an emissive material, although an ancillary ligand may alter the properties of a photoactive ligand.

[0040]

It is believed that the internal quantum efficiency (IQE) of fluorescent OLEDs can exceed the 25% spin statistics limit through delayed fluorescence. As used herein, there are two types of delayed fluorescence, i.e. P-type delayed fluorescence and E-type delayed fluorescence. P-type delayed fluorescence is generated from triplet-triplet annihilation (TTA).

[0041]

On the other hand, E-type delayed fluorescence does not rely on the collision of two triplets, but rather on the transition between the triplet states and the singlet excited states. Compounds that are capable of generating E-type delayed fluorescence are required to have very small singlet-triplet gaps to convert between energy states. Thermal energy can activate the transition from the triplet state back to the singlet state. This type of delayed fluorescence is also known as thermally activated delayed fluorescence (TADF). A distinctive feature of TADF is that the delayed component increases as temperature rises. If the reverse intersystem crossing rate is fast enough to minimize the non-radiative decay from the triplet state, the fraction of back populated singlet excited states can potentially reach 75%. The total singlet fraction can be 100%, far exceeding 25% of the spin statistics limit for electrically generated excitons.

[0042]

E-type delayed fluorescence characteristics can be found in an exciplex system or in a single compound. Without being bound by theory, it is believed that E-type delayed fluorescence requires the luminescent material to have a small singlet-triplet energy gap (ΔES-T). Organic, non-metal containing, donor-acceptor luminescent materials may be able to achieve this. The emission in these materials is often characterized as a donor-acceptor charge-transfer (CT) type emission. The spatial separation of the HOMO and LUMO in these donor-acceptor type compounds often results in small ΔES-T. These states may involve CT states. Often, donor-acceptor luminescent materials are constructed by connecting an electron donor moiety such as amino- or carbazole-derivatives and an electron acceptor moiety such as N-containing six-membered aromatic rings.

Definition of Terms of Substituents

[0043]

halogen or halide—as used herein includes fluorine, chlorine, bromine, and iodine.

[0044]

Alkyl—contemplates both straight and branched chain alkyl groups. Examples of the alkyl group include methyl group, ethyl group, propyl group, isopropyl group, n-butyl group, s-butyl group, isobutyl group, t-butyl group, n-pentyl group, n-hexyl group, n-heptyl group, n-octyl group, n-nonyl group, n-decyl group, n-undecyl group, n-dodecyl group, n-tridecyl group, n-tetradecyl group, n-pentadecyl group, n-hexadecyl group, n-heptadecyl group, n-octadecyl group, neopentyl group, 1-methylpentyl group, 2-methylpentyl group, 1-pentylhexyl group, 1-butylpentyl group, 1-heptyloctyl group, 3-methylpentyl group. Additionally, the alkyl group may be optionally substituted. The carbons in the alkyl chain can be replaced by other hetero atoms. Of the above, preferred are methyl group, ethyl group, propyl group, isopropyl group, n-butyl group, s-butyl group, isobutyl group, t-butyl group, n-pentyl group, and neopentyl group.

[0045]

Cycloalkyl—as used herein contemplates cyclic alkyl groups. Preferred cycloalkyl groups are those containing 4 to 10 ring carbon atoms and includes cyclobutyl, cyclopentyl, cyclohexyl, 4-methylcyclohexyl, 4,4-dimethylcylcohexyl, 1-adamantyl, 2-adamantyl, 1-norbornyl, 2-norbornyl and the like. Additionally, the cycloalkyl group may be optionally substituted. The carbons in the ring can be replaced by other hetero atoms.

[0046]

Alkenyl—as used herein contemplates both straight and branched chain alkene groups. Preferred alkenyl groups are those containing two to fifteen carbon atoms. Examples of the alkenyl group include vinyl group, allyl group, 1-butenyl group, 2-butenyl group, 3-butenyl group, 1,3-butandienyl group, 1-methylvinyl group, styryl group, 2,2-diphenylvinyl group, 1,2-diphenylvinyl group, 1-methylallyl group, 1,1-dimethylallyl group, 2-methylallyl group, 1-phenylallyl group, 2-phenylallyl group, 3-phenylallyl group, 3,3-diphenylallyl group, 1,2-dimethylallyl group, 1-phenyll-butenyl group, and 3-phenyl-1-butenyl group. Additionally, the alkenyl group may be optionally substituted.

[0047]

Alkynyl—as used herein contemplates both straight and branched chain alkyne groups. Preferred alkynyl groups are those containing two to fifteen carbon atoms. Additionally, the alkynyl group may be optionally substituted.

[0048]

Aryl or aromatic group—as used herein contemplates noncondensed and condensed systems. Preferred aryl groups are those containing six to sixty carbon atoms, preferably six to twenty carbon atoms, more preferably six to twelve carbon atoms. Examples of the aryl group include phenyl, biphenyl, terphenyl, triphenylene, tetraphenylene, naphthalene, anthracene, phenalene, phenanthrene, fluorene, pyrene, chrysene, perylene, and azulene, preferably phenyl, biphenyl, terphenyl, triphenylene, fluorene, and naphthalene. Additionally, the aryl group may be optionally substituted. Examples of the non-condensed aryl group include phenyl group, biphenyl-2-yl group, biphenyl-3-yl group, biphenyl-4-yl group, p-terphenyl-4-yl group, p-terphenyl-3-yl group, p-terphenyl-2-yl group, m-terphenyl-4-yl group, m-terphenyl-3-yl group, m-terphenyl-2-yl group, o-tolyl group, m-tolyl group, p-tolyl group, p-t-butylphenyl group, p-(2-phenylpropyl)phenyl group, 4′-methylbiphenylyl group, 4″-t-butyl p-terphenyl-4-yl group, o-cumenyl group, m-cumenyl group, p-cumenyl group, 2,3-xylyl group, 3,4-xylyl group, 2,5-xylyl group, mesityl group, and m-quarterphenyl group.

[0049]

Heterocyclic group or heterocycle—as used herein contemplates aromatic and non-aromatic cyclic groups. Hetero-aromatic also means heteroaryl. Preferred non-aromatic heterocyclic groups are those containing 3 to 7 ring atoms which includes at least one hetero atom such as nitrogen, oxygen, and sulfur. The heterocyclic group can also be an aromatic heterocyclic group having at least one heteroatom selected from nitrogen atom, oxygen atom, sulfur atom, and selenium atom.

[0050]

Heteroaryl—as used herein contemplates noncondensed and condensed hetero-aromatic groups that may include from one to five heteroatoms. Preferred heteroaryl groups are those containing three to thirty carbon atoms, preferably three to twenty carbon atoms, more preferably three to twelve carbon atoms. Suitable heteroaryl groups include dibenzothiophene, dibenzofuran, dibenzoselenophene, furan, thiophene, benzofuran, benzothiophene, benzoselenophene, carbazole, indolocarbazole, pyridylindole, pyrrolodipyridine, pyrazole, imidazole, triazole, oxazole, thiazole, oxadiazole, oxatriazole, dioxazole, thiadiazole, pyridine, pyridazine, pyrimidine, pyrazine, triazine, oxazine, oxathiazine, oxadiazine, indole, benzimidazole, indazole, indoxazine, benzoxazole, benzisoxazole, benzothiazole, quinoline, isoquinoline, cinnoline, quinazoline, quinoxaline, naphthyridine, phthalazine, pteridine, xanthene, acridine, phenazine, phenothiazine, phenoxazine, benzofuropyridine, furodipyridine, benzothienopyridine, thienodipyridine, benzoselenophenopyridine, and selenophenodipyridine, preferably dibenzothiophene, dibenzofuran, dibenzoselenophene, carbazole, indolocarbazole, imidazole, pyridine, triazine, benzimidazole, 1,2-azaborine, 1,3-azaborine, 1,4-azaborine, borazine, and aza-analogs thereof. Additionally, the heteroaryl group may be optionally substituted.

[0051]

Alkoxy—it is represented by —O-Alkyl. Examples and preferred examples thereof are the same as those described above. Examples of the alkoxy group having 1 to 20 carbon atoms, preferably 1 to 6 carbon atoms include methoxy group, ethoxy group, propoxy group, butoxy group, pentyloxy group, and hexyloxy group. The alkoxy group having 3 or more carbon atoms may be linear, cyclic or branched.

[0052]

Aryloxy—it is represented by —O-Aryl or —O-heteroaryl. Examples and preferred examples thereof are the same as those described above. Examples of the aryloxy group having 6 to 40 carbon atoms include phenoxy group and biphenyloxy group.

[0053]

Arylalkyl—as used herein contemplates an alkyl group that has an aryl substituent. Additionally, the arylalkyl group may be optionally substituted. Examples of the arylalkyl group include benzyl group, 1-phenylethyl group, 2-phenylethyl group, 1-phenylisopropyl group, 2-phenylisopropyl group, phenyl-t-butyl group, alpha.-naphthylmethyl group, 1-alpha.-naphthylethyl group, 2-alpha-naphthylethyl group, 1-alpha-naphthylisopropyl group, 2-alpha-naphthylisopropyl group, beta-naphthylmethyl group, 1-beta-naphthylethyl group, 2-beta-naphthylethyl group, 1-beta-naphthylisopropyl group, 2-beta-naphthylisopropyl group, p-methylbenzyl group, m-methylbenzyl group, o-methylbenzyl group, p-chlorobenzyl group, m-chlorobenzyl group, o-chlorobenzyl group, p-bromobenzyl group, m-bromobenzyl group, o-bromobenzyl group, p-iodobenzyl group, m-iodobenzyl group, o-iodobenzyl group, p-hydroxybenzyl group, m-hydroxybenzyl group, o-hydroxybenzyl group, p-aminobenzyl group, m-aminobenzyl group, o-aminobenzyl group, p-nitrobenzyl group, m-nitrobenzyl group, o-nitrobenzyl group, p-cyanobenzyl group, m-cyanobenzyl group, o-cyanobenzyl group, 1-hydroxy-2-phenylisopropyl group, and 1-chloro2-phenylisopropyl group. Of the above, preferred are benzyl group, p-cyanobenzyl group, m-cyanobenzyl group, o-cyanobenzyl group, 1-phenylethyl group, 2-phenylethyl group, 1-phenylisopropyl group, and 2-phenylisopropyl group.

[0054]

The term “aza” in azadibenzofuran, aza-dibenzothiophene, etc. means that one or more of the C—H groups in the respective aromatic fragment are replaced by a nitrogen atom. For example, azatriphenylene encompasses dibenzo[f,h]quinoxaline,dibenzo[f,h]quinoline and other analogues with two or more nitrogens in the ring system. One of ordinary skill in the art can readily envision other nitrogen analogs of the aza-derivatives described above, and all such analogs are intended to be encompassed by the terms as set forth herein.

[0055]

The alkyl, cycloalkyl, alkenyl, alkynyl, aralkyl, heterocyclic group, aryl, and heteroaryl may be unsubstituted or may be substituted with one or more substituents selected from the group consisting of deuterium, halogen, alkyl, cycloalkyl, arylalkyl, alkoxy, aryloxy, amino, cyclic amino, silyl, alkenyl, cycloalkenyl, heteroalkenyl, alkynyl, aryl, heteroaryl, an acyl group, a carbonyl group, a carboxylic acid group, an ether group, an ester group, a nitrile group, an isonitrile group, a sulfanyl group, a sulfinyl group, a sulfonyl group, a phosphino group, and combinations thereof.

[0056]

It is to be understood that when a molecular fragment is described as being a substituent or otherwise attached to another moiety, its name may be written as if it were a fragment (e.g. phenyl, phenylene, naphthyl, dibenzofuryl) or as if it were the whole molecule (e.g. benzene, naphthalene, dibenzofuran). As used herein, these different ways of designating a substituent or attached fragment are considered to be equivalent.

[0057]

In the compounds mentioned in this disclosure, the hydrogen atoms can be partially or fully replaced by deuterium. Other atoms such as carbon and nitrogen, can also be replaced by their other stable isotopes. The replacement by other stable isotopes in the compounds may be preferred due to its enhancements of device efficiency and stability.

[0058]

In the compounds mentioned in this disclosure, multiple substitutions refer to a range that includes a double substitution, up to the maximum available substitutions.

[0059]

According to an embodiment of the present invention, a compound having Formula I is disclosed:

[0060]

[0061]

wherein Y1-Y18are each independently selected from C, CR or N;

[0062]

wherein R is each independently selected from the group consisting of hydrogen, deuterium, halogen, a substituted or unsubstituted alkyl group having 1 to 20 carbon atoms, a substituted or unsubstituted cycloalkyl group having 3 to 20 ring carbon atoms, a substituted or unsubstituted heteroalkyl group having 1 to 20 carbon atoms, a substituted or unsubstituted arylalkyl group having 7 to 30 carbon atoms, a substituted or unsubstituted alkoxy group having 1 to 20 carbon atoms, a substituted or unsubstituted aryloxy group having 6 to 30 carbon atoms, a substituted or unsubstituted alkenyl group having 2 to 20 carbon atoms, a substituted or unsubstituted aryl group having 6 to 30 carbon atoms, a substituted or unsubstituted heteroaryl group having 3 to 30 carbon atoms, a substituted or unsubstituted alkylsilyl group having 3 to 20 carbon atoms, a substituted or unsubstituted arylsilyl group having 6 to 20 carbon atoms, a substituted or unsubstituted amino group having 0 to 20 carbon atoms, an acyl group, a carbonyl group, a carboxylic acid group, an ester group, a nitrile group, an isonitrile group, a sulfanyl group, a sulfinyl group, a sulfonyl group, a phosphino group, and combinations thereof;

[0063]

wherein at least one of the four groups consisting of Y1and Y18, Y4and Y5, Y9and Y10, and Y13and Y14are carbon and connected by a C—C single bond;

[0064]

and wherein the compound is not a fullerene type compound.

[0065]

Fullerene is a class of compounds comprising carbon with a cage structure. The cage structure includes spherical cage, ellipsoidal cage, tubular, onion-like, and clusters containing any of the above four cage structures. The typical family members of fullerenes are C20, C24, C26, C28, C32, C50, C60, C70. . . C540and so on. In the present invention, the fullerene type compound refers to a compound having a cage structure and comprising carbon and heteroatoms that partially replace carbon. Its structure is similar to fullerene, including spherical cage, ellipsoidal cage, tubular, onion-like, and clusters containing any of the above four cage structures. None of the compounds of multiple structures disclosed in the present invention are fullerene-type compounds, and the crucial point is that the compound molecules comprising the structure represented by any one of the formulas disclosed in the present invention do not form a spatially closed structure, for example, spherical cage, ellipsoidal cage, tubular, onion-like, and clusters containing any of the above four cage structures.

[0066]

According to an embodiment of the present invention, wherein the compound has a structure of Formula II or Formula III:

[0067]

[0068]

wherein Y1-Y18are each independently selected from C, CR or N;

[0069]

wherein R is each independently selected from the group consisting of hydrogen, deuterium, halogen, a substituted or unsubstituted alkyl group having 1 to 20 carbon atoms, a substituted or unsubstituted cycloalkyl group having 3 to 20 ring carbon atoms, a substituted or unsubstituted heteroalkyl group having 1 to 20 carbon atoms, a substituted or unsubstituted arylalkyl group having 7 to 30 carbon atoms, a substituted or unsubstituted alkoxy group having 1 to 20 carbon atoms, a substituted or unsubstituted aryloxy group having 6 to 30 carbon atoms, a substituted or unsubstituted alkenyl group having 2 to 20 carbon atoms, a substituted or unsubstituted aryl group having 6 to 30 carbon atoms, a substituted or unsubstituted heteroaryl group having 3 to 30 carbon atoms, a substituted or unsubstituted alkylsilyl group having 3 to 20 carbon atoms, a substituted or unsubstituted arylsilyl group having 6 to 20 carbon atoms, a substituted or unsubstituted amino group having 0 to 20 carbon atoms, an acyl group, a carbonyl group, a carboxylic acid group, an ester group, a nitrile group, an isonitrile group, a sulfanyl group, a sulfinyl group, a sulfonyl group, a phosphino group, and combinations thereof;

[0070]

and wherein the compound is not a fullerene type compound.

[0071]

According to an embodiment of the present invention, at least two of the four groups consisting of Y1and Y18, Y4and Y5, Y9and Y10, and Y13and Y14are carbon and connected by a C—C single bond.

[0072]

According to an embodiment of the present invention, wherein the compound has a structure of Formula IV or Formula V or Formula VI or Formula VII:

[0073]

[0074]

wherein Y1-Y18are each independently selected from C, CR or N;

[0075]

wherein R is each independently selected from the group consisting of hydrogen, deuterium, halogen, a substituted or unsubstituted alkyl group having 1 to 20 carbon atoms, a substituted or unsubstituted cycloalkyl group having 3 to 20 ring carbon atoms, a substituted or unsubstituted heteroalkyl group having 1 to 20 carbon atoms, a substituted or unsubstituted arylalkyl group having 7 to 30 carbon atoms, a substituted or unsubstituted alkoxy group having 1 to 20 carbon atoms, a substituted or unsubstituted aryloxy group having 6 to 30 carbon atoms, a substituted or unsubstituted alkenyl group having 2 to 20 carbon atoms, a substituted or unsubstituted aryl group having 6 to 30 carbon atoms, a substituted or unsubstituted heteroaryl group having 3 to 30 carbon atoms, a substituted or unsubstituted alkylsilyl group having 3 to 20 carbon atoms, a substituted or unsubstituted arylsilyl group having 6 to 20 carbon atoms, a substituted or unsubstituted amino group having 0 to 20 carbon atoms, an acyl group, a carbonyl group, a carboxylic acid group, an ester group, a nitrile group, an isonitrile group, a sulfanyl group, a sulfinyl group, a sulfonyl group, a phosphino group, and combinations thereof;

[0076]

and wherein the compound is not a fullerene type compound.

[0077]

According to an embodiment of the present invention, at least three of the four groups consisting of Y1and Y18, Y4and Y5, Y9and Y10, and Y13and Y14are carbon and connected by a C—C single bond.

[0078]

According to an embodiment of the present invention, wherein the compound has a structure of Formula VIII or Formula IX:

[0079]

[0080]

wherein Y1-Y18are each independently selected from C, CR or N;

[0081]

wherein R is each independently selected from the group consisting of hydrogen, deuterium, halogen, a substituted or unsubstituted alkyl group having 1 to 20 carbon atoms, a substituted or unsubstituted cycloalkyl group having 3 to 20 ring carbon atoms, a substituted or unsubstituted heteroalkyl group having 1 to 20 carbon atoms, a substituted or unsubstituted arylalkyl group having 7 to 30 carbon atoms, a substituted or unsubstituted alkoxy group having 1 to 20 carbon atoms, a substituted or unsubstituted aryloxy group having 6 to 30 carbon atoms, a substituted or unsubstituted alkenyl group having 2 to 20 carbon atoms, a substituted or unsubstituted aryl group having 6 to 30 carbon atoms, a substituted or unsubstituted heteroaryl group having 3 to 30 carbon atoms, a substituted or unsubstituted alkylsilyl group having 3 to 20 carbon atoms, a substituted or unsubstituted arylsilyl group having 6 to 20 carbon atoms, a substituted or unsubstituted amino group having 0 to 20 carbon atoms, an acyl group, a carbonyl group, a carboxylic acid group, an ester group, a nitrile group, an isonitrile group, a sulfanyl group, a sulfinyl group, a sulfonyl group, a phosphino group, and combinations thereof;

[0082]

and wherein the compound is not a fullerene type compound.

[0083]

According to an embodiment of the present invention, the four groups consisting of Y1and Y18, Y4and Y5, Y9and Y10, and Y13and Y14are carbon and connected by a C—C single bond.

[0084]

According to an embodiment of the present invention, wherein the compound has a structure of Formula X:

[0085]

[0086]

wherein Y1-Y18are each independently selected from C, CR or N;

[0087]

wherein R is each independently selected from the group consisting of hydrogen, deuterium, halogen, a substituted or unsubstituted alkyl group having 1 to 20 carbon atoms, a substituted or unsubstituted cycloalkyl group having 3 to 20 ring carbon atoms, a substituted or unsubstituted heteroalkyl group having 1 to 20 carbon atoms, a substituted or unsubstituted arylalkyl group having 7 to 30 carbon atoms, a substituted or unsubstituted alkoxy group having 1 to 20 carbon atoms, a substituted or unsubstituted aryloxy group having 6 to 30 carbon atoms, a substituted or unsubstituted alkenyl group having 2 to 20 carbon atoms, a substituted or unsubstituted aryl group having 6 to 30 carbon atoms, a substituted or unsubstituted heteroaryl group having 3 to 30 carbon atoms, a substituted or unsubstituted alkylsilyl group having 3 to 20 carbon atoms, a substituted or unsubstituted arylsilyl group having 6 to 20 carbon atoms, a substituted or unsubstituted amino group having 0 to 20 carbon atoms, an acyl group, a carbonyl group, a carboxylic acid group, an ester group, a nitrile group, an isonitrile group, a sulfanyl group, a sulfinyl group, a sulfonyl group, a phosphino group, and combinations thereof;

[0088]

and wherein the compound is not a fullerene type compound.

[0089]

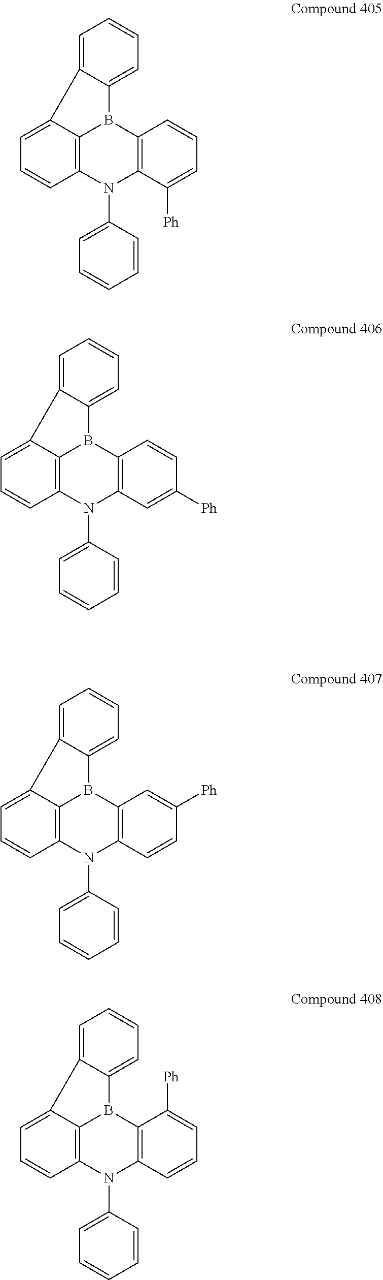
According to one embodiment of the present invention, wherein the compound is selected from the group consisting of:

[0090]

[0091]

In the structure of the compounds above, wherein Ph is

[0092]


Cz is

[0093]

[0094]

According to one embodiment of the present invention, wherein the compound is selected from the group consisting of:

[0095]

[0096]

In the structure of the compounds above, wherein Ph is

[0097]


Cz is

[0098]

[0099]

According to one embodiment of the present invention, wherein the compound is selected from the group consisting of:

[0100]

[0101]

In the structure of the compounds above, wherein Ph is

[0102]


Cz is

[0103]

[0104]

According to one embodiment of the present invention, wherein at least one R comprises a substituent selected from the group consisting of phenyl, biphenyl, poly-phenyl, diarylamine, carbazole, azacarbazole, dibenzofuran, azadibenzofuran, dibenzothiophene, azadibenzothiophene, dibenzoselenophene, azadibenzoselenophene, triphenylene, azatriphenylene, tetraphenylene, diarylsilyl, and triarylsilyl.

[0105]

In the several embodiments above of the present invention, when there is a connection in anyone of the four groups consisting of Y1and Y18, Y4and Y5, Y9and Y10, Y13and Y14, the connection can only be connected directly through a C—C single bond. That is, the connection is not formed via any other atom or group. This can be clearly confirmed by the structures in the embodiments of the present invention.

[0106]

According to one embodiment of the present invention, a first organic light-emitting device is also disclosed, which comprises:

[0107]

an anode,

[0108]

a cathode,

[0109]

and an organic layer disposed between the anode and the cathode, wherein comprising a compound having Formula I:

[0110]

[0111]

wherein

[0112]

Y1-Y18are each independently selected from C, CR or N;

[0113]

wherein R is each independently selected from the group consisting of hydrogen, deuterium, halogen, a substituted or unsubstituted alkyl group having 1 to 20 carbon atoms, a substituted or unsubstituted cycloalkyl group having 3 to 20 ring carbon atoms, a substituted or unsubstituted heteroalkyl group having 1 to 20 carbon atoms, a substituted or unsubstituted arylalkyl group having 7 to 30 carbon atoms, a substituted or unsubstituted alkoxy group having 1 to 20 carbon atoms, a substituted or unsubstituted aryloxy group having 6 to 30 carbon atoms, a substituted or unsubstituted alkenyl group having 2 to 20 carbon atoms, a substituted or unsubstituted aryl group having 6 to 30 carbon atoms, a substituted or unsubstituted heteroaryl group having 3 to 30 carbon atoms, a substituted or unsubstituted alkylsilyl group having 3 to 20 carbon atoms, a substituted or unsubstituted arylsilyl group having 6 to 20 carbon atoms, a substituted or unsubstituted amino group having 0 to 20 carbon atoms, an acyl group, a carbonyl group, a carboxylic acid group, an ester group, nitrile, isonitrile, sulfanyl, sulfinyl, sulfonyl, phosphino, and combinations thereof;

[0114]

wherein at least one of the four groups consisting of Y1and Y18, Y4and Y5, Y9and Y10, and Y13and Y14are carbon and connected by a C—C single bond; and wherein the compound is not a fullerene type compound.

[0115]

According to one embodiment of the present invention, wherein the organic layer is an emissive layer and the compound is an emitter.

[0116]

According to one embodiment of the present invention, wherein the organic layer further comprises a host.

[0117]

According to one embodiment of the present invention, wherein the organic layer is an emissive layer and the compound is a host.

[0118]

According to one embodiment of the present invention, wherein the organic layer is a charge carrier blocking layer and the compound is a charge carrier blocking material in the organic layer.

[0119]

According to one embodiment of the present invention, wherein the organic layer is a charge carrier transporting layer and the compound is a charge carrier transporting material in the organic layer.

[0120]

According to one embodiment of the present invention, wherein the first organic light-emitting device is incorporated into a device selected from the group consisting of a consumer product, an electronic component module, an organic light-emitting device, and a lighting panel.

[0121]

According to yet another embodiment of the present invention, a formulation comprising a compound according to formula I is also disclosed. The specific structure of the compound is described in any of the above embodiments

[0122]

Combination with Other Materials

[0123]

The materials described herein as useful for a particular layer in an organic light emitting device may be used in combination with a wide variety of other materials present in the device. The combinations of these materials are described in more detail in U.S. Pat. App. No. 20160359122 at paragraphs 0132-0161, which are incorporated by reference in its entirety. The materials described or referred to the disclosure are non-limiting examples of materials that may be useful in combination with the compounds disclosed herein, and one of skill in the art can readily consult the literature to identify other materials that may be useful in combination.

[0124]

The materials described herein as useful for a particular layer in an organic light emitting device may be used in combination with a variety of other materials present in the device. For example, emissive dopants disclosed herein may be used in combination with a wide variety of hosts, transport layers, blocking layers, injection layers, electrodes and other layers that may be present. The combination of these materials is described in detail in paragraphs 0080-0101 of U.S. Pat. App. No. 20150349273, which are incorporated by reference in its entirety. The materials described or referred to the disclosure are non-limiting examples of materials that may be useful in combination with the compounds disclosed herein, and one of skill in the art can readily consult the literature to identify other materials that may be useful in combination.

[0125]

In the embodiments of material synthesis, all reactions were performed under nitrogen protection unless otherwise stated. All reaction solvents were anhydrous and used as received from commercial sources. Synthetic products were structurally confirmed and tested for properties using one or more conventional equipment in the art (including, but not limited to, nuclear magnetic resonance instrument produced by BRUKER, liquid chromatograph produced by SHIMADZU, liquid chromatography-mass spectrometer produced by SHIMADZU, gas chromatography-mass spectrometer produced by SHIMADZU, differential Scanning calorimeters produced by SHIMADZU, fluorescence spectrophotometer produced by SHANGHAI LENGGUANG TECH., electrochemical workstation produced by WUHAN CORRTEST, and sublimation apparatus produced by ANHUI BEQ, etc.) by methods well known to the persons skilled in the art. As the persons skilled in the art are aware of the above-mentioned equipment use, test methods and other related contents, the inherent data of the sample can be obtained with certainty and without influence, so the above related contents are not further described in this patent.

SYNTHESIS EXAMPLES

[0126]

The method for preparing the compounds of the present invention is not limited. The following compounds are exemplified as a typical but non-limiting example, and the synthesis route and preparation method are as follows:

Synthesis Example 1: Synthesis of Compound 395

[0127]

Step 1: Synthesis of Intermediate 1

[0128]

[0129]

To a 500 mL three neck flask were added 1-bromo-9H-carbozole (20 g, 81 mmol), 2-fluoronitrobenzene (22 g, 162 mmol), cesium carbonate (80 g, 243 mmol), DMSO (160 mL), and the mixture was stirred for 48 h at room temperature. To the reaction was added saturated brine (50 mL), and the organic matter was extracted with PE/DCM (3/1, 500 mL), separated, combined, washed with saturated brine until that the water phase is colorless. The organic phase was concentrated, purified via column chromatography, eluting with PE/DCM (3/1), to afford intermediate 1 (15.86 g, 54% yield) as a yellow solid.

[0130]

Step 2: Synthesis of Intermediate 2

[0131]

[0132]

To a 2 L three-necked flask were added intermediate 1 (13 g, 35.7 mmol), N2H4.H2O (5 mL, 85.8 mmol), FeCl3(347 mg, 2.14 mmol), activated carbon (1.3 g) and toluene/ethanol (900 mL, 1/1). The reaction was heated to 90° C. under stirring. To the reaction was added N2H4.H2O for additional 10 times, 5 mL (85.8 mmol) each time, until the finish of the reaction monitored with TLC. The reaction mixture was filtered, and the filtrate was concentrated to afford intermediate 2 (12 g, 99% yield) as a yellow solid.

[0133]

Step 3: Synthesis of Intermediate 3

[0134]

[0135]

To a 250 mL single-necked flask was added intermediate 2 (12 g, 35.7 mmol), which was dissolved with MeCN (80 mL). To the solution was added concentrated HCl (excess) under stirring. After 10 min, the reaction was moved to a ice-water bath. To the reaction was added aqueous NaNO2(5 g, 71.4 mmol) dropwise. After 30 min, to the reaction was added aqueous KI (18 g, 107.1 mmol) dropwise, stirring while keeping the ice-water bath. The reaction was monitored with TLC. The reaction was filter through celite as cold. The organic matter was extracted with EA three times, concentrated, and the resulting crude product was purified via column chromatography, eluting with PE/DCM (30/1), to afford intermediate 3 (9 g, 57% yield) as a white solid.

[0136]

Step 4: Synthesis of Compound 395

[0137]

[0138]

To a 50 mL single-necked flask was added intermediate 3 (1 g, 2.2 mmol), and the air inside the flask was displaced with N2for three times. To the flask was added THF (11 mL), and the reaction was cooled with dry ice-ethanol bath and stirred for 30 min. After that nBuLi (5 mL, 8 mmol) was added, and the mixture was stirred for 0.5 h, trimethoxyborane (0.75 mL, 6.6 mmol) was added, and the mixture was continued stirring for 0.5 h. To another single-necked flask were added 1-chloroiodobenzene (2.8 mL, 22 mmol), THF (11 mL), and the mixture was stirred under ice-water bath for 0.5 h, and to this solution was stirred for 0.5 h after the addition of a solution of iPrMgCl.LiCl in THF (17 mL, 22 mmol), and to this mixture was added the solution of boronic ester in THF. After 2 h stirring, distilled water (0.5 mL) was added. The reaction was concentrated, and the organic matter was extracted with DCM three times. The organic phase was combined, concentrated, and purified via column chromatography, eluting with PE, to afford Compound 395 (455 mg, 57% yield). The product was confirmed as the target product, with a molecular weight of 364.

Synthesis Example 2: Synthesis of Compound 247

[0139]

[0140]

To a single-necked flask were added Compound 395 (40 mg, 0.11 mmol), diphenyl amine (22 mg, 0.13 mmol), Pd(OAc)2(1 mg, 3.3 mol %), Xphos (3 mg, 6 mol %), tBuONa (21 mg, 0.22 mmol), and toluene (1 mL). The reaction mixture was bubbled with N2, and heated to 120° C. for 4 h. The reaction was concentrated, purified via column chromatography, eluting with PE, to afford Compound 247 (3 mg, 5% yield). The product was confirmed as the target product, with a molecular weight of 496.

Synthesis Example 3: Synthesis of Compound 396

[0141]

[0142]

To a 50 mL single-necked flask was added intermediate 3 (1 g, 2.2 mmol), and the air inside the flask was displaced with N2for three times. To the flask was added THF (11 mL), and the reaction was cooled with dry ice-ethanol bath and stirred for 0.5 h. After that nBuLi (3.5 mL, 8 mmol) was added, and the mixture was stirred for 0.5 h, trimethoxyborane (0.75 mL, 6.6 mmol) was added, and the mixture was continued stirring for 0.5 h. To another single-necked flask were added 1-bromoiodobenzene (2.5 mL, 22 mmol), THF (11 mL), and the mixture was stirred under ice-water bath for 0.5 h, and to this solution was stirred for 0.5 h after the addition of a solution of iPrMgCl.LiCl in THF (16 mL, 22 mmol), and to this mixture was added the solution of boronic ester in THF. After 2 h stirring, distilled water (0.5 mL) was added. The reaction was concentrated, and the organic matter was extracted with DCM three times. The organic phase was combined, concentrated, and purified via column chromatography, eluting with PE, to afford Compound 396 (400 mg, 45% yield). The product was confirmed as the target product, with a molecular weight of 408.

[0143]

The persons skilled in the art should know that the above preparation method is only an illustrative example, and the persons skilled in the art can obtain the structure of other compounds of the present invention by modifying the above preparation method.

[0144]

In the compounds of the present invention, the nitrogen atom has unbonded electron lone pair, while the boron atom has empty orbitals. Through the design of the molecular structure, the intramolecular electron donor (nitrogen atom) and electron acceptor (boron atom) play a synergistic role in the poly-aromatic system, thus achieving a small energy gap between S1 state and T1 state. For example, the ΔEst of Compound 395 is 0.11 eV and which of Compound 396 is only 0.03 eV. Thus, this kind of compounds meet the requirements of being a TADF candidate compound. Other than that, the specific design of the compound of the present invention having Formula I-X improve the rigidity of the molecular skeleton, while maintaining the poly-aromatic ring system. The emission wavelength of the fluorescence spectrum of Compound 395 and Compound 396 are in the deep blue region, and the full width of the half maximum (FWHM) of the emission spectrum of Compound 395 and Compound 396 is 31.9 nm and 28.9 nm, respectively. That is very narrow FWHM, and is a significant advantages of the compound of the present invention to the TADF materials which have electron donor and electron acceptor at the two ends of the molecules (generally FWHM>100 nm). And it is also narrower than the 35 nm FWHM value of the Comparative Compound 1 (U.S. Pat. No. 9,073,948B2).

[0145]

[0146]

It is understood that the various embodiments described herein are by way of example only, and are not intended to limit the scope of the invention. The present invention as claimed may therefore include variations from the particular examples and preferred embodiments described herein, as will be apparent to one of skill in the art. Many of the materials and structures described herein may be substituted with other materials and structures without deviating from the spirit of the invention. It is understood that various theories as to why the invention works are not intended to be limiting.

Как компенсировать расходы
на инновационную разработку
Похожие патенты