патент
№ US 0010960058
МПК A61K38/00

Long-acting coagulation factors and methods of producing same

Авторы:
Udi Eyal Fima Gili Hart FIMA UDI EYAL
Все (6)
Правообладатель:
Все (3)
Номер заявки
15737979
Дата подачи заявки
19.06.2016
Опубликовано
30.03.2021
Страна
US
Дата приоритета
14.12.2025
Номер приоритета
Страна приоритета
Как управлять
интеллектуальной собственностью
Реферат

Polypeptides comprising at least one carboxy-terminal peptide (CTP) of chorionic gonadotropin attached to the carboxy terminus but not to the amino terminus of a coagulation factor and polynucleotides encoding the same are disclosed. Pharmaceutical compositions and pharmaceutical formulations comprising the polypeptides and polynucleotides of the disclosure and methods of using and producing same are also disclosed.

Формула изобретения

1. A pharmaceutical formulation comprising a buffer, a tonicity agent, and a chorionic gonadotropin carboxy terminal peptide (CTP)-modified polypeptide consisting of a Factor VII coagulation factor or activated Factor VII coagulation factor and three chorionic gonadotropin carboxy terminal peptides (CTPs) attached to the carboxy terminus of said coagulation factor, wherein said polypeptide does not include a signal peptide, and wherein said tonicity agent is 150 mM sodium chloride and said formulation is at a pH of 6.4 to 6.5.

2. The pharmaceutical formulation of claim 1, wherein said buffer comprises 20 mM citrate.

3. The pharmaceutical formulation of claim 2, wherein said formulation further comprises 13.3 mM glycine.

4. The pharmaceutical formulation of claim 1, wherein said formulation is a liquid formulation.

5. The pharmaceutical formulation of claim 1, wherein the amino acid sequence of at least one CTP is set forth in SEQ ID NO: 1 or SEQ ID NO: 2.

6. The pharmaceutical formulation of claim 1, wherein at least one of said CTPs is truncated or glycosylated.

7. The pharmaceutical formulation of claim 1, wherein at least one CTP is attached to said coagulation factor via a linker, wherein the linker is a peptide bond.

8. The pharmaceutical formulation of claim 1, wherein the sequence of said CTP-modified polypeptide is set forth in SEQ ID NO: 46.

9. The pharmaceutical formulation of claim 1, wherein said CTP-modified polypeptide comprises a light chain and a heavy chain linked by a disulfide bond.

10. The pharmaceutical formulation of claim 9, wherein separation of said light chain and said heavy chain on an SDS-PAGE gel occurs under denaturing conditions, and wherein said light chain migrates at 25 kDa molecular weight and said heavy chain migrates at 60 kDa molecular weight.

11. The pharmaceutical formulation of claim 9, wherein the disulfide bond occurs between cysteine residue 135 and cysteine residue 262 of SEQ ID NO: 46.

12. The pharmaceutical formulation of claim 9, wherein the light chain comprises amino acids 1-152 of SEQ ID: 46 and the heavy chain comprises amino acids 153-490 of SEQ ID NO: 46.

13. The pharmaceutical formulation of claim 1, wherein said pharmaceutical formulation is at a dose of 50 μg/Kg to 400 μg/Kg of said CTP-modified polypeptide.

14. The pharmaceutical formulation of claim 1, further comprising a pharmaceutically acceptable carrier.

15. The pharmaceutical formulation of claim 1, for use in treating acquired hemophilia.

16. The pharmaceutical formulation of claim 1 for use in treating hemophilia, congenital FVII deficiency, Glanzmann's Thrombasthenia, hemophilia A, hemophilia B, hemophilia A with inhibitors to Factor VIII, or hemophilia B with inhibitors to Factor IX.

17. The pharmaceutical formulation of claim 16, wherein said formulation is for use in a subcutaneous or intravenous formulation.

18. The pharmaceutical formulation of claim 16, wherein said pharmaceutical formulation is at a dose of 50 μg/Kg to 400 μg/Kg of said CTP-modified polypeptide.

Описание

CROSS-REFERENCE TO RELATED APPLICATIONS

[0001]

This application is a National Phase Application of PCT International Application No. PCT/IL2016/050645, International Filing Date Jun. 19, 2016, claiming priority to United States Provisional Patent Application No. 62/182,370, filed Jun. 19, 2015, all of which are incorporated by reference herein in their entirety.

FIELD OF DISCLOSURE

[0002]

Polypeptides comprising at least one carboxy-terminal peptide (CTP) of chorionic gonadotropin attached to the carboxy terminus of a coagulation factor and polynucleotides encoding the same are disclosed. Pharmaceutical compositions and pharmaceutical formulations comprising the polypeptides and polynucleotides of the disclosure and methods of using and producing same are also disclosed.

BACKGROUND

[0003]

The development of coagulation factor replacement therapy has transformed the lives of many individuals with hemophilia. Hemophilia is a group of hereditary genetic disorders that impair the body's ability to control blood clotting or coagulation. Patients with hemophilia do not produce adequate amounts of Factor VIII or Factor IX proteins, which are necessary for effective blood clotting. In severe hemophiliacs even a minor injury can result in blood loss that continues for days or weeks, and complete healing may not occur, leading to the potential for debilitating permanent damage to joints and other organs, and premature death.

[0004]

Hemophilia is an inherited, X-chromosome-linked hemorrhagic disorder caused by defects in, or the absence of, critical factors in the coagulation cascade. In hemophilia patients, thrombin generation and fibrin clot formation are severely compromised, leading to spontaneous bleeding episodes most commonly in joints and internal organs, and excessive bleeding during and following surgery or trauma. Frequent bleeding can also cause joint swelling, joint damage, severe deformity, frequent infections, and reduced mobility in hemophilia patients (Mayo Clinic). Hemophilia A is caused by defects in or lack of Factor VIII expression, while hemophilia B is caused by defects in or lack of Factor IX expression.

[0005]

Hemophilia B results in a deficiency of the procoagulant activity of FIX. Hemophilia B patients have spontaneous soft tissue hemorrhages and recurrent hemarthroses that often lead to a crippling arthopathy. Current treatment for these patients includes an intravenous administration of recombinant FIX. However issues of cost and relatively rapid clearance of FIX from the circulation make developing a long-acting FIX a challenging task. Commercial availability of FVIII and FIX has led to improved control of life-threatening bleedings episodes. Many patients receive prophylactic therapy, which reduces the risk of bleeding and its associated complications. However, a significant proportion of patients (10-30%) develop inhibitory antibodies to exogenously administered FVIII and FIX. Administration of FVIIa, which is a bypassing product, can induce homeostasis and provide an effective treatment for patients with inhibitory Abs.

[0006]

Recombinant FVIIa (NovoSeven®) is commercially available and was approved in 1996 for treatment of bleeding episodes in hemophilia patients with inhibitors. However, rFVIIa is rapidly cleared with a terminal half-life of 2.5 hours. As a result, patients generally require multiple, frequent infusions (2-3 doses given in 2-3 hour intervals) to achieve adequate homeostasis following a mild to moderate bleed. Consequently, there is much interest in developing a long-acting form of FVIIa that would prolong the duration of haemostatic activity following a single dose and allow much less frequent dosing. A long-acting FVIIa would also increase the feasibility of long-term prophylactic therapy.

[0007]

Various technologies are being developed for prolonging the half-life of FVIIa. However, there remains a need to achieve a prolonged half-life of this protein while preserving its biological activity and ensuring that the modifications do not induce significant immunogenicity. The present invention addresses this need by attaching gonadotropin carboxy terminal peptides (CTPs) to FVIIa, thereby modifying it to prolong its half-life and biological activity.

SUMMARY OF THE DISCLOSURE

[0008]

In one aspect, the present invention provides a CTP-modified polypeptide consisting of a Factor VII coagulation factor and three chorionic gonadotropin carboxy terminal peptides (CTPs) attached to the carboxy terminus of said coagulation factor, wherein said polypeptide does not include a signal peptide. In another aspect, the present invention provides the CTP-modified polypeptide, wherein the coagulation factor is activated FVII (FVIIa). In another aspect, the sequence of the CTP-modified coagulation factor is as set forth in SEQ ID NO: 46.

[0009]

In another aspect, the CTP-modified polypeptide comprising an activated FVIIa-CTP3comprises a light chain and a heavy chain linked by a disulfide bond. In another aspect, separation of the light chain and the heavy chain on an SDS-PAGE gel occurs under denaturing conditions, wherein the light chain migrates at about 25 kDa molecular weight and the heavy chain migrates at about 60 kDa molecular weight.

[0010]

In one aspect, this invention provides a pharmaceutical formulation comprising a buffer, an amino acid, wherein in another embodiment is glycine, a tonicity agent, and a CTP-modified polypeptide consisting of a Factor VII coagulation factor and three chorionic gonadotropin carboxy terminal peptides (CTPs) attached to the carboxy terminus of said coagulation factor, wherein the polypeptide does not include a signal peptide. In another aspect, the buffer comprises 20 mM citrate. In another aspect, the tonicity agent is 150 mM sodium chloride. In another aspect, the formulation is a liquid formulation. In another aspect, the formulation is at a pH of about 6.4.

[0011]

In another aspect, this invention provides a formulation comprising 20 mM citrate, 13.3 mM Glycine, 150 mM sodium chloride, at a pH of about 6.4.

[0012]

In another aspect, this invention provides a pharmaceutical formulation wherein the coagulation factor is activated FVII (FVIIa). In another aspect, the sequence of said CTP-modified coagulation factor is as set forth in SEQ ID NO: 46. In another aspect, the pharmaceutical formulation comprising the polypeptide is administered daily, every other day, every three days, once weekly, twice weekly, or once every other week, or any combination thereof. In another aspect, administration of the pharmaceutical formulation is intravenous or subcutaneous administration.

[0013]

In another aspect, this invention provides a pharmaceutical composition comprising the CTP-modified polypeptide as described herein, and a pharmaceutically acceptable carrier.

[0014]

In another aspect, this invention provides a pharmaceutical composition comprising a pharmaceutical formulation as described herein..

[0015]

In one aspect, this invention provides a method of extending the biological half-life of a Factor VII (FVII) coagulation factor, comprising the step of attaching three chorionic gonadotropin carboxy terminal peptides (CTP) to the carboxy terminus of said FVII coagulation factor, thereby extending the biological half-life of said coagulation factor, wherein an activated form of the coagulation factor does not include a signal peptide. In another aspect, the coagulation factor is activated FVII (FVIIa). In another aspect, the sequence of said activated CTP-modified coagulation factor is as set forth in SEQ ID NO: 46.

[0016]

In one aspect, this invention provides a method of improving the area under the curve (AUC) of a Factor VII (FVII) coagulation factor, comprising the step of attaching three chorionic gonadotropin carboxy terminal peptides (CTP) to the carboxy terminus of said FVII coagulation factor, thereby improving the AUC of said coagulation factor, wherein an activated form of the coagulation factor does not include a signal peptide. In another aspect, the coagulation factor is activated FVII (FVIIa). In another aspect, the sequence of said activated CTP-modified coagulation factor is as set forth in SEQ ID NO: 46.

[0017]

In one aspect, this invention provides a method of reducing the dosing frequency of a Factor VIIa (FVII) coagulation factor, comprising the step of attaching three chorionic gonadotropin carboxy terminal peptides (CTP) to the carboxy terminus of said FVII coagulation factor, thereby reducing the dosing frequency of said coagulation factor, wherein said activated form of the FVII coagulation factor does not include a signal peptide. In another aspect, the sequence of said activated CTP-modified coagulation factor is as set forth in SEQ ID NO: 46.

[0018]

In one aspect, this invention provides a method of preventing or treating a blood clotting or coagulation disorder in a subject, the method comprising the step of administering an activated CTP-modified coagulation factor polypeptide to the subject, wherein said coagulation factor is FVIIa-CTP3, thereby preventing or treating a blood clotting or coagulation disorder in said subject. In another aspect the disorder is hemophilia. In another aspect, the hemophilia comprises hemophilia A or hemophilia B with inhibitors. In another aspect, administering is via a subcutaneous route. In another aspect, administering is via the intravenous route.

[0019]

In another aspect, this invention provides a method of reducing bleeding episodes.

[0020]

Other features and advantages of the present invention will become apparent from the following detailed description, examples and figures. It should be understood, however, that the detailed description and the specific examples while indicating preferred embodiments of the disclosure are given by way of illustration only, since various changes and modification within the spirit and scope of the disclosure will become apparent to those skilled in the art from this detailed description.

BRIEF DESCRIPTION OF THE DRAWINGS

[0021]

The patent or application file contains at least one drawing executed in color. Copies of this patent or patent application publication with color drawing(s) will be provided by the Office upon request and payment of the necessary fee.

[0022]

FIG. 1A. Shows a bar graph showing harvests limited, diluted, transfected, and selected cells with FIX-CTP and FIX-CTP-CTP variants in the presence of 5 μg/ml of Vitamin K3. The level of FIX was quantified using Human FIX ELISA kit (Affinity Biologicals; Cat. No. FIX-AG RUO), and the calculated protein concentration ( μg/ml) is the average of two independent runs.

[0023]

FIG. 1B. Shows SDS-PAGE gel micrographs of FIX Ab recognition and depicts recognition of anti-FIX antibody in Western-blot; Lane 1 in FIG. 1B was loaded with a sample containing recombinant FIX; Lane 2 in FIG. 1B was loaded with a sample containing FIX-CTP harvests. Lane 3 in FIG. 1B was loaded with a sample containing FIX-(CTP)2harvest.

[0024]

FIG. 1C. Shows SDS-PAGE gel micrographs of FIX Ab recognition. FIG. 1C depicts recognition of anti-γ carboxylation antibody in Western-blot. Lane 1 in FIG. 1C was loaded with a sample containing recombinant FIX. Lane 2 in FIG. 1C was loaded with a sample containing FIX-CTP harvests. Lane 3 in FIG. 1C was loaded with a sample containing FIX-(CTP)2harvest.

[0025]

FIG. 2. Shows a graph showing FIX-CTP and FIX-(CTP)2harvests comparative chromogenic activity (measured by a the EC50. concentration) compared to rhFIX (American Diagnostics).

[0026]

FIG. 3. Shows a graph showing PK profile of rhFIX, harvest of FIX-CTP-CTP, and harvest of FIX-CTP.

[0027]

FIG. 4. Shows a bar graph showing harvests of FIX-CTP and FIX-CTP-CTP harvests and FIX-CTP-CTP purified protein FIX antigen level as determined using Human FIX ELISA kit (Affinity Biologicals; cat. No. FIX-AG RUO). The calculated protein concentration (μg/ml) is the average of two independent runs.

[0028]

FIG. 5A. Shows SDS-PAGE gel micrographs of FIX Ab recognition and depicts a coomassie blue staining. Lane 1 was loaded with a sample containing FIX-(CTP)2. Lane 2 was loaded with a sample containing unbound FIX-(CTP)2. Lane 3 was loaded with a sample containing a concentrated elution of FIX-(CTP)2.

[0029]

FIG. 5B. Shows SDS-PAGE gel micrographs of FIX Ab recognition and depicts recognition of anti-FIX antibody in Western-blot. Lane 1 was loaded with a sample containing FIX-(CTP)2. Lane 2 was loaded with a sample containing unbound FIX-(CTP)2. Lane 3 was loaded with a sample containing a concentrated elution of FIX-(CTP)2.

[0030]

FIG. 5C. Shows SDS-PAGE gel micrographs of FIX Ab recognition and depicts recognition of anti-γ carboxylation antibody in Western-blot. Lane 1 was loaded with a sample containing FIX-(CTP)2. Lane 2 was loaded with a sample containing unbound FIX-(CTP)2. Lane 3 was loaded with a sample containing a concentrated elution of FIX-(CTP)2.

[0031]

FIG. 6. Shows a graph showing FIX-(CTP)2chromogenic activity (sample concentration/O.D.) compared to human normal pool plasma and rhFIX (American Diagnostics).

[0032]

FIG. 7. Shows a graph showing the PK profile of purified FIX-CTP-CTP, rhFIX, harvest of FIX-CTP-CTP, and harvest of FIX-CTP.

[0033]

FIG. 8A. Shows an anti-CTP and anti-gamma carboxylation antibodies Western blots of FIX fused to three, four or five CTPs. FIX-CTP3, FIX-CTP4, and FIX-CTP5harvests were loaded on 12% Tris-Glycine gel using Precision plus dual color protein marker (Bio-Rad). The SDS-PAGE analysis was performed by Western immuno-blot using anti-CTP polyclonal Ab (Adar Biotech Production).

[0034]

FIG. 8B. Shows an anti-CTP and anti-gamma carboxylation antibodies Western blots of FIX fused to three, four or five CTPs. FIX-CTP3, FIX-CTP4, and FIX-CTP5harvests were loaded on 12% Tris-Glycine gel using Precision plus dual color protein marker (Bio-Rad). The SDS-PAGE analysis was performed by Western immuno-blot using anti-Gla Ab (American Diagnostica).

[0035]

FIG. 9. Shows a Coomassie blue detection of FIX-CTP3, FIX-CTP4, and FIX-CTP5. After a purification process utilizing Jacalin column (immunoaffinity purification of glycosylated proteins), FIX-CTP3, FIX-CTP4, and FIX-CTP5were loaded on 12% Tris-Glycine gel using Precision Plus Dual Color Protein Marker (Bio-Rad). The SDS-PAGE was stained by Coomassie blue dye for sample detection.

[0036]

FIG. 10. Shows FIX Chromogenic activity. A comparative assessment of the in vitro potency of fully purified (HA column) FIX-CTP3FIX-CTP4and FIX-CTP5versus human pool normal plasma was performed using a commercially available chromogenic activity test kit, BIOPHEN (Hyphen BioMed 221802). All samples were serially diluted and the potency was assessed by comparing a dose response curve to a reference preparation consisting of normal human plasma.

[0037]

FIG. 11. Shows the comparative pharmacokinetic (PK) profile of FIX-CTP3FIX-CTP4and FIX-CTP5. FIX concentration in plasma samples were quantified using human FIX Elisa kits (Affinity Biologicals). Pharmacokinetic profile was calculated and is the mean of 3 animals at each time point. Terminal half-lives were calculated using PK Solutions 2.0 software.

[0038]

FIG. 12A. Shows the FIX-CTP3SDS-PAGE analysis—Coomassie SDS-PAGE. FIX-CTP3γ-carboxylated enriched protein, rhFIX and rFIXa (activated FIX) were loaded on 12% Tris-Glycine gel using Precision Plus Dual Color Protein Marker (Bio-Rad). The SDS-PAGE Coomassie analysis was performed by staining the gel with Coomassie blue reagent (800 ng of protein).

[0039]

FIG. 12B. Shows the FIX-CTP3SDS-PAGE analysis—Coomassie SDS-PAGE. FIX-CTP3γ-carboxylated enriched protein, rhFIX and rFIXa (activated FIX) were loaded on 12% Tris-Glycine gel using Precision Plus Dual Color Protein Marker (Bio-Rad). A Western immunoblot was performed using 100 ng of protein with anti-human FIX polyclonal Ab.

[0040]

FIG. 12C. Shows the FIX-CTP3SDS-PAGE analysis—Coomassie SDS-PAGE. FIX-CTP3γ-carboxylated enriched protein, rhFIX and rFIXa (activated FIX) were loaded on 12% Tris-Glycine gel using Precision Plus Dual Color Protein Marker (Bio-Rad). A Western immunoblot was performed using 100 ng of protein with anti-human gamma carboxylation monoclonal antibody (American Diagnostics Cat #499, 3570).

[0041]

FIG. 12D. Shows the FIX-CTP3SDS-PAGE analysis—Coomassie SDS-PAGE. FIX-CTP3γ-carboxylated enriched protein, rhFIX and rFIXa (activated FIX) were loaded on 12% Tris-Glycine gel using Precision Plus Dual Color Protein Marker (Bio-Rad). A Western immunoblot was performed using 100 ng of protein with anti-FIX pro-peptide polyclonal Ab (FIG. 12D).

[0042]

FIG. 12E. Shows the FIX-CTP3SDS-PAGE analysis—Coomassie SDS-PAGE. FIX-CTP3γ-carboxylated enriched protein, rhFIX and rFIXa (activated FIX) were loaded on 12% Tris-Glycine gel using Precision Plus Dual Color Protein Marker (Bio-Rad). A Western immunoblot was performed using 100 ng of protein with anti-CTP polyclonal Ab.

[0043]

FIG. 13. Shows the FIX-CTP3chromogenic activity. A comparative assessment of the in vitro potency of FIX-CTP3harvest and FIX-CTP3γ-carboxylated enriched protein, versus human pool normal plasma was performed using a commercially available chromogenic activity test kit, BIOPHEN (Hyphen BioMed 221802). FIX-CTP3harvest and protein were serially diluted, and the potency was assessed by comparing a dose-response curve to a reference preparation consisting of normal human plasma.

[0044]

FIG. 14. Shows the comparative clotting time. An in vitro aPTT (activated Partial Thrombin Time Assay) was performed comparing the clotting activity of FIX-CTP3to BeneFIX. The proteins were serially diluted and spiked into human FIX-depleted plasma, and the clotting time was evaluated.

[0045]

FIG. 15. Shows FIX-CTP3comparative PK profile. FIX concentration was quantitated using human FIX ELISA kits (Affinity Biologicals; Cat. # FIX-AG RUO). The pharmacokinetic profile was calculated for each protein and is the mean of 3 animals at each time point.

[0046]

FIG. 16A. In parallel to PK sampling, FIX-deficient animals administered with FIX-CTP3, citrated plasma samples, were evaluated for their clotting activity by aPTT assay, which was translated to % activity. The % activity at each collection point was calculated as the current clotting time/clotting time of normal pool mice plasma*100.

[0047]

FIG. 16B. In parallel to PK sampling, FIX-deficient animals administered with either BeneFIX®, citrated plasma samples, were evaluated for their clotting activity by aPTT assay, which was translated to % activity. The % activity at each collection point was calculated as the current clotting time/clotting time of normal pool mice plasma*100.

[0048]

FIG. 17A. Shows a first challenge bleeding parameters. FIX-deficient mice were administered a single intravenous injection of 100 IU/Kg of BeneFIX® or rFIX-CTP3. The tail vein was slightly clipped 48 hours post-dosing and tail vein bleeding time (TVBT) was evaluated. A second bleeding challenge was performed 15 minutes after reaching homeostasis, and the same parameters were measured.

[0049]

FIG. 17B. Shows a first challenge bleeding parameters. FIX-deficient mice were administered a single intravenous injection of 100 IU/Kg of BeneFIX® or rFIX-CTP3. The tail vein was slightly clipped 48 hours post-dosing and tail vein bleeding time (TVBT) was evaluated. A second bleeding challenge was performed 15 minutes after reaching homeostasis, and the same parameters were measured.

[0050]

FIG. 17C. Shows a first challenge bleeding parameters. FIX-deficient mice were administered a single intravenous injection of 100 IU/Kg of BeneFIX® or rFIX-CTP3. The tail vein was slightly clipped 48 hours post-dosing and bleeding intensity (hemoglobin OD) was evaluated. A second bleeding challenge was performed 15 minutes after reaching homeostasis, and the same parameters were measured.

[0051]

FIG. 17D. Shows a first challenge bleeding parameters. FIX-deficient mice were administered a single intravenous injection of 100 IU/Kg of BeneFIX® or rFIX-CTP3. The tail vein was slightly clipped 48 hours post-dosing and bleeding intensity (hemoglobin OD) was evaluated. A second bleeding challenge was performed 15 minutes after reaching homeostasis, and the same parameters were measured.

[0052]

FIG. 18A. Shows a second challenge bleeding parameters. Once the first bleeding described in the legend to FIG. 19 was spontaneously or manually stopped, a second bleeding challenge was performed 15 minutes following the first one, and the time was re-measured.

[0053]

FIG. 18B. Shows a second challenge bleeding parameters. Once the first bleeding described in the legend to FIG. 19 was spontaneously or manually stopped, a second bleeding challenge was performed 15 minutes following the first one, and the time was re-measured.

[0054]

FIG. 18C. Shows a second challenge bleeding parameters. Once the first bleeding described in the legend to FIG. 19 was spontaneously or manually stopped, a second bleeding challenge was performed 15 minutes following the first one, and the bleeding intensity was re-measured.

[0055]

FIG. 18D. Shows a second challenge bleeding parameters. Once the first bleeding described in the legend to FIG. 19 was spontaneously or manually stopped, a second bleeding challenge was performed 15 minutes following the first one, and the bleeding intensity was re-measured.

[0056]

FIG. 19A. Shows a diagram illustrating the rFVII-CTP construct.

[0057]

FIG. 19B. Shows a diagram illustrating the rFVII-CTP-CTP construct.

[0058]

FIG. 19C. Shows a diagram illustrating the rFIX-CTP construct.

[0059]

FIG. 19D. Shows a diagram illustrating the rFIX-CTP-CTP construct.

[0060]

FIG. 20A. Shows a bar graph showing harvests limited diluted clone transfected and selected cells with FVII-CTP variants in the presence of 5 μg/ml of Vitamin K3. The level of FVII was quantified using FVII ELISA (AssayPro).

[0061]

FIG. 20B. Shows a bar graph showing harvests of limited diluted transfected and selected cells with FVII-CTP variants in the presence of 5 μg/ml of Vitamin K3.activity. FVII activity was quantified using FVII chromogenic activity assay (AssayPro).

[0062]

FIG. 20C. Shows a bar graph showing harvests of limited diluted transfected and selected cells with FVII-CTP variants in the presence of 5 μg/ml of Vitamin K3. The specific activity of FVII was calculated for each version by dividing the activity value by the harvest FVII concentration.

[0063]

FIG. 20D. Shows a graph showing PK profile of FVII, FVII-CTP-CTP, and FVII-CTP harvests.

[0064]

FIG. 21A. Shows western blots of FVII fused to three, four and five CTPs, detected using anti-FVII, anti-CTP, and anti-gamma carboxylation antibodies. FVII-CTP3, FVII-CTP4, and FVII-CTP5harvests were loaded on 12% Tris-Glycine gel (expedeon) using Precision plus dual color protein marker (Bio-Rad). The SDS-PAGE analysis was performed by Western immunoblot using anti-FVII.

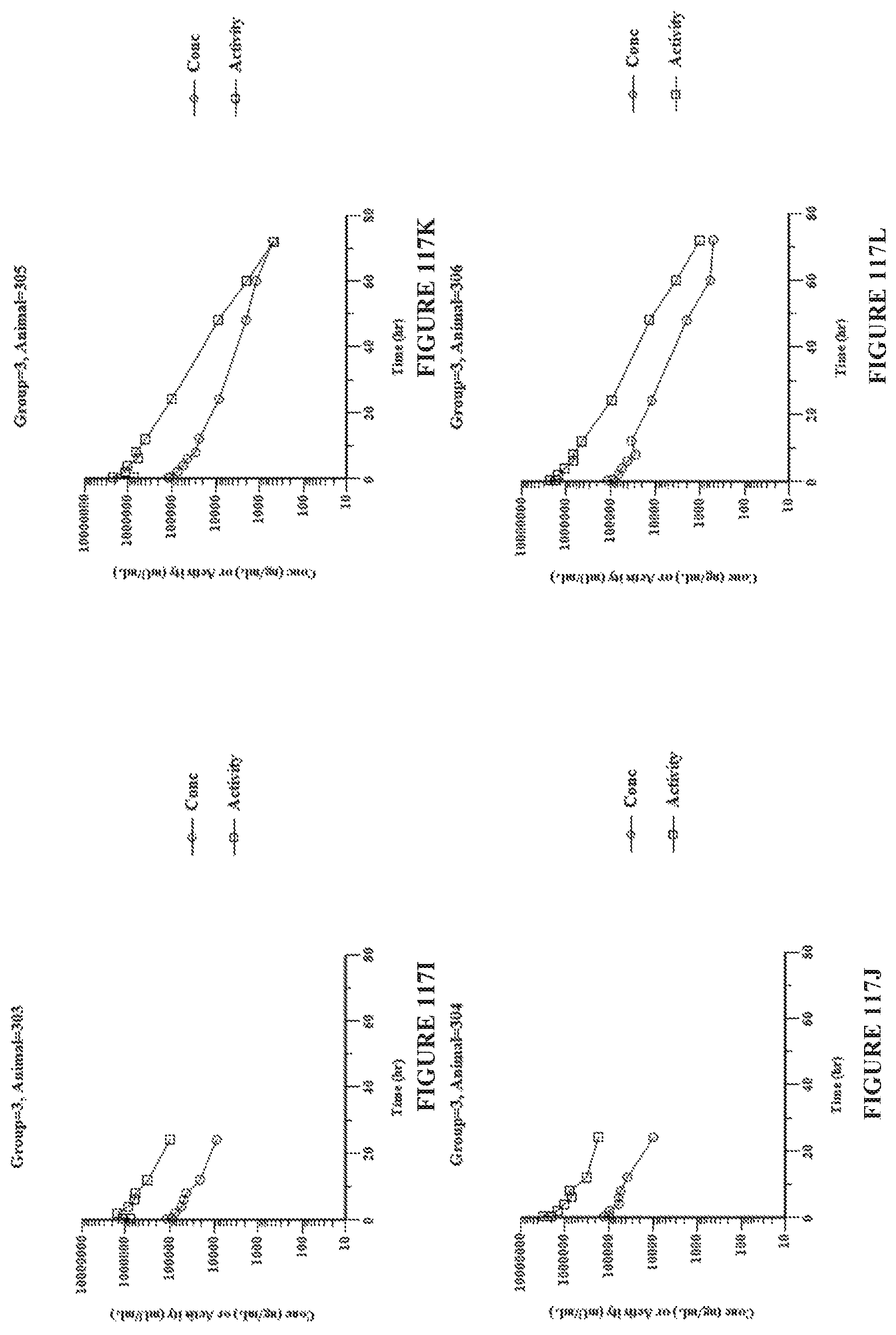
[0065]

FIG. 21B. Shows western blots of FVII fused to three, four and five CTPs, detected using anti-FVII, anti-CTP, and anti-gamma carboxylation antibodies. FVII-CTP3, FVII-CTP4, and FVII-CTP5harvests were loaded on 12% Tris-Glycine gel (expedeon) using Precision plus dual color protein marker (Bio-Rad). The SDS-PAGE analysis was performed by Western immunoblot using anti-CTP polyclonal Ab (Adar Biotech Production).

[0066]

FIG. 21C. Shows western blots of FVII fused to three, four and five CTPs, detected using anti-FVII, anti-CTP, and anti-gamma carboxylation antibodies. FVII-CTP3, FVII-CTP4, and FVII-CTP5harvests were loaded on 12% Tris-Glycine gel (expedeon) using Precision plus dual color protein marker (Bio-Rad). The SDS-PAGE analysis was performed by Western immunoblot using anti-Gla Ab (American Diagnostica).

[0067]

FIG. 22. Shows the FVII Activity—Chromogenic activity. A comparative assessment of the in vitro potency of HA purified (highly gamma carboxylated fraction) FVII-CTP3, FVII-CTP4, and FVII-CTP5versus normal human pool plasma was performed using a commercially available chromogenic activity test kit, BIOPHEN (Hyphen BioMed 221304). All samples were serially diluted and the potency was assessed by comparing a dose response curve to a reference preparation consisting of normal human plasma.

[0068]

FIG. 23. Shows a first comparative pharmacokinetic (PK) profile-FVII 3, 4 and 5 CTPs. FVII-CTP3, FVII-CTP4, and FVII-CTP5(Group A, B and C, respectively) were administered in a single intravenous injection to Sprague Dawley rats (six rats per treatment) in a dose of 250 μg/kg body weight. Blood samples were drawn retro-orbitally from 3 rats alternately at 0.083, 0.5 2, 5, 8, 24, 48, 72 and 96 hours post dosing. Citrated plasma (0.38%) was prepared immediately after sampling and stored at −20° C. until analysis. FVII-CTP5demonstrated a superior profile as compared to the two other versions.

[0069]

FIG. 24. Shows a second comparative PK profile-FVII 3, 4 and 5 CTPs. FVII-CTP3, FVII-CTP4, and FVII-CTP5following FVII selection and the HA purification process (Group A, B and C, respectively) were administered in a single intravenous injection to Sprague Dawley rats (three rats per substance) in a dose of 29.45 μg/kg body weight. Blood samples were drawn retro-orbital at 0.083, 0.5 2, 8, 24, 48, and 72 hours post-dosing. Citrated plasma (0.38%) was prepared immediately after sampling and stored at −20° C. until analysis.

[0070]

FIG. 25A. Shows a schematic diagram of FVII-CTP3purification process. Batch 31 was produced for the PK/PD study.

[0071]

FIG. 25B. Shows a schematic diagram of FVII-CTP3purification process. Batch 38 was produced for the survival study.

[0072]

FIG. 26A. Shows an SDS-PAGE and Western blot of Final FVII and FVIIa. 10 μg (Batch 31) or 5 μg (Batch 38) were loaded in each lane of Coomassie stained SDS-PAGE. 1. FVII-CTP3polypeptide; 2. Heavy chain, including 3× CTP; 3. Light Chain. All three antibodies detect FVII.

[0073]

FIG. 26B. Shows an SDS-PAGE and Western blot of Final FVII and FVIIa. 10 μg (Batch 31) or 5 μg (Batch 38) were loaded in each lane of Coomassie stained SDS-PAGE 1. FVII-CTP3polypeptide; 2. Heavy chain, including 3× CTP; 3. Light Chain.

[0074]

FIG. 26C. Shows an SDS-PAGE and Western blot of Final FVII and FVIIa. 10 μg (Batch 31) or 5 μg (Batch 38) were loaded in each lane of Coomassie stained SDS-PAGE 1. FVII-CTP3polypeptide; 2. Heavy chain, including 3× CTP; 3. Light Chain.

[0075]

FIG. 26D. Shows an SDS-PAGE and Western blot of Final FVII and FVIIa. 10 μg (Batch 31) or 5 μg (Batch 38) were loaded in each lane of Coomassie stained SDS-PAGE 1. FVII-CTP3polypeptide; 2. Heavy chain, including 3× CTP; 3. Light Chain.

[0076]

FIG. 26E. Shows an SDS-PAGE and Western blot of Final FVII and FVIIa. 10 μg (Batch 31) or 5 μg (Batch 38) were loaded in each lane of Coomassie stained SDS-PAGE 1. FVII-CTP3polypeptide; 2. Heavy chain, including 3× CTP; 3. Light Chain.

[0077]

FIG. 26F. Shows an SDS-PAGE and Western blot of Final FVII and FVIIa. 1 μg protein was loaded in each lane of Western blot. 1. FVII-CTP3polypeptide; 2. Heavy chain, including 3× CTP; 3. Light Chain. All three antibodies detect FVII. FVIIa light chain is detected with both α-FVII.

[0078]

FIG. 26G. Shows an SDS-PAGE and Western blot of Final FVII and FVIIa. 1 μg protein was loaded in each lane of Western blot. 1. FVII-CTP3polypeptide; 2. Heavy chain, including 3× CTP; 3. Light Chain. All three antibodies detect FVII. FVIIa heavy chain was detected by α-CTP.

[0079]

FIG. 26H. Shows an SDS-PAGE and Western blot of Final FVII and FVIIa. 1 μg protein was loaded in each lane of Western blot. 1. FVII-CTP3polypeptide; 2. Heavy chain, including 3× CTP; 3. Light Chain. All three antibodies detect FVII. FVIIa heavy chain was detected by α-Gla.

[0080]

FIG. 27. Shows that FVII-CTP3chromogenic activity is enhanced as a result of purification on ceramic hydroxyapatite (HA) column. A comparative assessment of the in vitro potency of FVII-CTP3harvest, in-process fractions, and purified FVII-CTP3versus human pool normal plasma was performed using a commercially available chromogenic activity test kit, BIOPHEN (Hyphen BioMed 221304). FVII-CTP3harvest and protein were serially diluted and the potency was assessed by comparing a dose-response curve to a reference preparation of normal human plasma.

[0081]

FIG. 28. Shows the PK profile of FVIIa-CTP3vs. NovoSeven® in FVIII-deficient mice. FVIIa-CTP3was produced following FVII selection, HA purification process and activation. FVIIa-CTP3or NovoSeven® was administered in a single intravenous injection to FVIII−/− hemophilic mice. Blood samples were drawn retro-orbitally at 0.083, 0.5 2, 8, 24, 48, and 72 hours post-dosing. Citrated plasma (0.38%) was prepared immediately after sampling and stored at −20° C. until analysis, and a PK profile was established based on FVIIa clotting activity using a STACLOT commercial kit.

[0082]

FIG. 29A. Shows that FVIIa-CTP3was produced following FVII selection, HA purification process and activation. FVIIa-CTP3or NovoSeven® was administered in a single intravenous injection to FVIII−/− hemophilic mice. Blood samples were drawn retro-orbitally at 0.083, 0.5 2, 8, 24, 48, and 72 hours post-dosing. Citrated plasma (0.38%) was prepared immediately after sampling and stored at −20° C. until analysis. Thrombin generation parameters were evaluated during the PK experiment, and parameters including maximal amount to peak was evaluated.

[0083]

FIG. 29B. Shows that FVIIa-CTP3was produced following FVII selection, HA purification process and activation. FVIIa-CTP3or NovoSeven® was administered in a single intravenous injection to FVIII−/− hemophilic mice. Blood samples were drawn retro-orbitally at 0.083, 0.5 2, 8, 24, 48, and 72 hours post-dosing. Citrated plasma (0.38%) was prepared immediately after sampling and stored at −20° C. until analysis. Thrombin generation parameters were evaluated during the PK experiment, and parameters including amount of thrombin to time point was evaluated.

[0084]

FIG. 29C. Shows that FVIIa-CTP3was produced following FVII selection, HA purification process and activation. FVIIa-CTP3or NovoSeven® was administered in a single intravenous injection to FVIII−/− hemophilic mice. Blood samples were drawn retro-orbitally at 0.083, 0.5 2, 8, 24, 48, and 72 hours post-dosing. Citrated plasma (0.38%) was prepared immediately after sampling and stored at −20° C. until analysis. Thrombin generation parameters were evaluated during the PK experiment, and parameters including rate of thrombin generation was evaluated.

[0085]

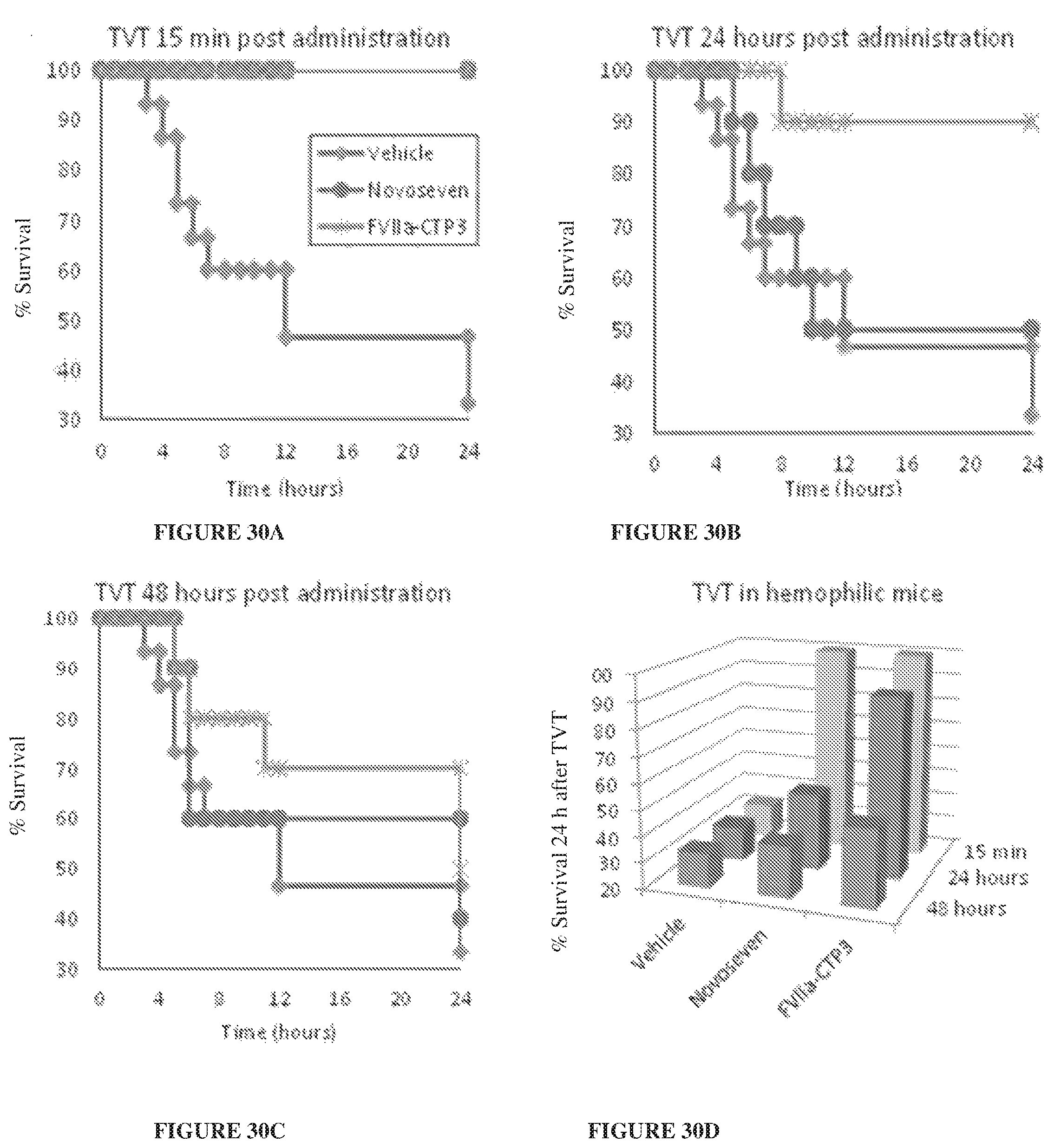
FIG. 30A. Shows hemophilic mice survival curves post tail vain transection (TVT). TVT was performed 15 min post administration. Mice Survival was observed for 24 hours after TVT and recorded every single hour for the first 12 hours, and after 24 hours. Control group data (vehicle) is the sum of the 3 experiments with 5 mice/experiment.

[0086]

FIG. 30B. Shows hemophilic mice survival curves post tail vain transection (TVT). TVT was performed 24 hours post administration. Mice Survival was observed for 24 hours after TVT and recorded every single hour for the first 12 hours, and after 24 hours. Control group data (vehicle) is the sum of the 3 experiments with 5 mice/experiment.

[0087]

FIG. 30C. Shows hemophilic mice survival curves post tail vain transection (TVT). TVT was performed 48 hours post administration. Mice Survival was observed for 24 hours after TVT and recorded every single hour for the first 12 hours, and after 24 hours. Control group data (vehicle) is the sum of the 3 experiments with 5 mice/experiment.

[0088]

FIG. 30D. Summarizes mouse survival as recorded 24 hours post TVT.

[0089]

FIG. 31A. Shows FVII—3- CTP and FVII-5 CTP immune-blots, blotted for GLA.

[0090]

FIG. 31B. Shows FVII—3- CTP and FVII-5 CTP immune-blots, blotted for FVII.

[0091]

FIG. 31C. Shows FVII—3- CTP and FVII-5 CTP immune-blots, blotted for CTP.

[0092]

FIG. 32. Shows a comparative PK profile-FVII 3 & 5 CTP- from select and HA column purification (FVIIS vs. FVII HA).

[0093]

FIG. 33. Shows a comparative PK profile-FVII 3 & 5 CTP-The second study (IV vs. SC).

[0094]

FIG. 34. Shows hemophilic mice survival curves post tail vain transection (TVT) following SC administration. TVT was performed 12 hours post administration. Mice Survival was observed for 24 hours after TVT and recorded every single hour for the first 12 hours, and after 24 hours.

[0095]

FIG. 35A. Shows the PK profile of MOD-5014 vs. NovoSeven® following IV administration.

[0096]

FIG. 35B. Shows the PK profile of MOD-5014 vs. NovoSeven® following SC administration.

[0097]

FIG. 36. Shows the PK profile of MOD-5014 (Clone 61 #75, #81) vs. NovoSeven® following single SC administration.

[0098]

FIG. 37. Shows that warfarin increases PT and aPTT values. SD-rats received 10 mg/Kg warfarin per-os, and blood samples were taken at the designated time point. Plasma was prepared and PT and aPTT values were determined.

[0099]

FIG. 38. Acute effect of IV injection of MOD-5014 and NovoSeven® on Warfarin treated rats.

[0100]

FIGS. 39A-39C. Show the response of Warfarin treated rats to a wide range of MOD-5014 and NovoSeven® doses, 24 hours post injection.

[0101]

FIG. 40. Shows that MOD-5014 restored PT values to normal up to 48 hours post dosing, while the effect of NovoSeven® no longer exists after 24 hours.

[0102]

FIG. 41. Shows IV injection of MOD-5014 reduce bleeding time in warfarin treated rats as compared to NovoSeven® 24 and 48 hours post injection.

[0103]

FIG. 42. Shows that MOD-5014 is able to restore PT values to normal up to 48 hours post dosing, while the effect of NovoSeven® no longer exists after 24 hours

[0104]

FIG. 43. Shows superiority over NovoSeven® by keeping the blood loss at low level for 48 hours after administration.

[0105]

FIG. 44. Shows that Tissue Factor Pathway Inhibitor (TFPI) inhibits MOD-5014 and NovoSeven® in a similar dose-dependent manner

[0106]

FIG. 45. Shows that anti-thrombin III inhibited MOD-5014 and NovoSeven® in a similar manner

[0107]

FIG. 46. Shows the results of Factor X activation by MOD-5014 and NovoSeven®, which were almost identical.

[0108]

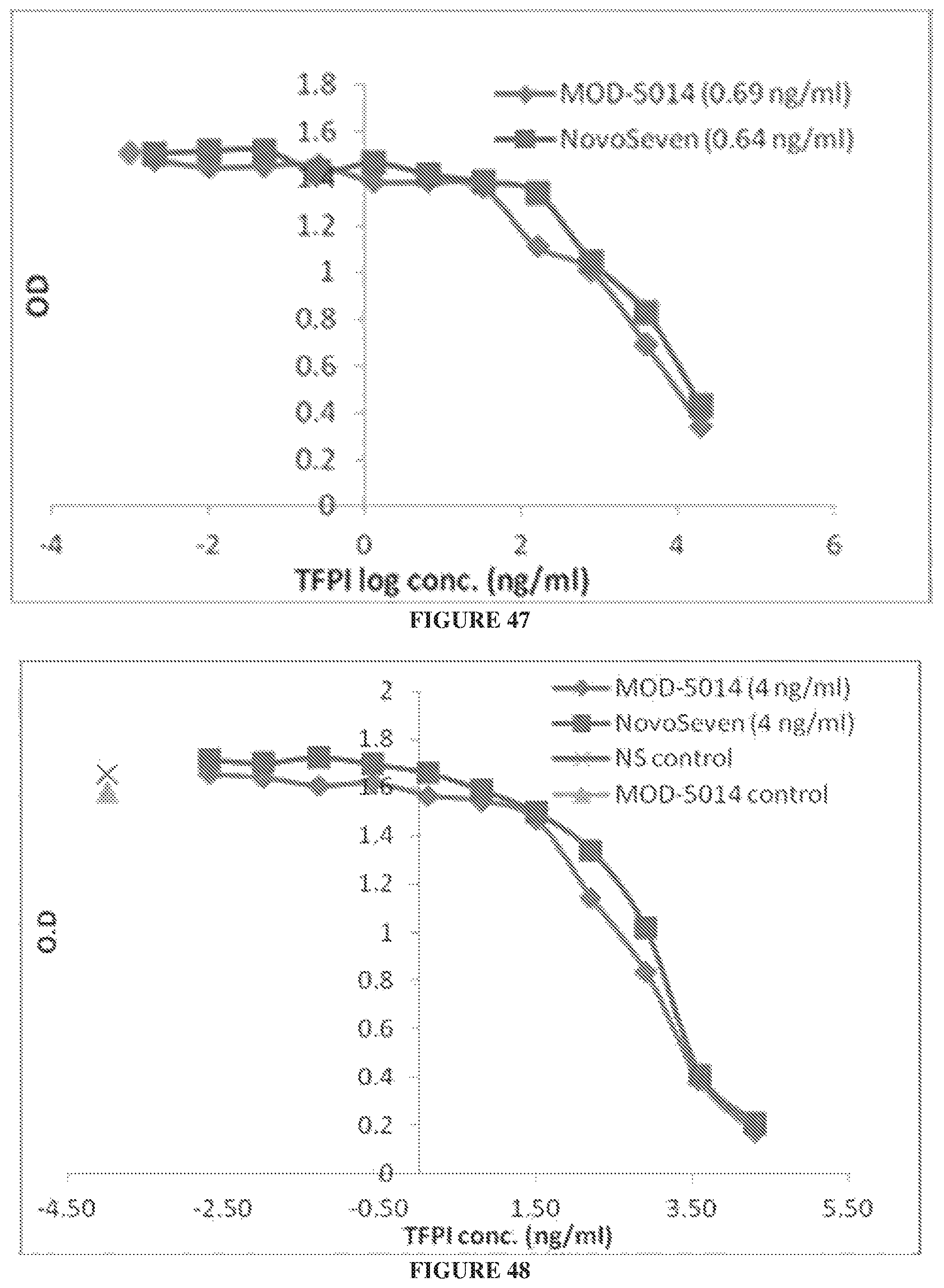
FIG. 47. Shows the Factor X activation in the presence of TFPI (20 μg/ml to 0.002 ng/ml) by MOD-5014 and NovoSeven®, present at 0.6 ng/ml.

[0109]

FIG. 48. Shows the Factor X activation in the presence of TFPI (20 μg/ml to 0.002 ng/ml) by MOD-5014 and NovoSeven®, present at 4.0 ng/ml.

[0110]

FIG. 49. Shows Factor X activation in the presence of TFPI and Heparin, wherein MOD-5014 and NovoSeven® exhibited similar activation.

[0111]

FIG. 50. Shows Factor X activation in the presence of anti-thrombin III, wherein MOD-5014 and NovoSeven® exhibited similar activation.

[0112]

FIG. 51. Shows the Factor X activation by MOD-5014 and NovoSeven® in the presence of Heparin, wherein similar moderate inhibition was observed.

[0113]

FIG. 52. Shows similar Factor X activation by MOD-5014 and NovoSeven® in the presence of anti-thrombin and heparin.

[0114]

FIG. 53. Shows a MOD-5014 thrombin generation profile as compared to commercially available NovoSeven® at high phospholipid (PL) concentration.

[0115]

FIG. 54. Shows a MOD-5014 peak thrombin generation profile as compared to commercially available NovoSeven® at low phospholipid (PL) concentration.

[0116]

FIGS. 55A and B. Show the thromboelastography results for MOD-5014 and NovoSeven®, wherein both decreased clotting time and increased the rate of clot formation.

[0117]

FIG. 56. Shows the results of NovoSeven® thrombin generation (TG) following re-calcification. (Run #1)

[0118]

FIG. 57. Shows the results of MOD-5014 thrombin generation (TG) following re-calcification. (Run #1)

[0119]

FIG. 58 A-E. Provide an overlay analysis of NovoSeven® (NS) results versus MOD-5014 (PRO) TG results at similar concentrations. (A) provides results at 1.25 μg/ml. (B) provides results at 5 μg/ml. (C) provides results at 15 μg/ml. (D) provides results at 2.5 μg/ml. (E) provides results at 10 μg/ml. (Run #1)

[0120]

FIG. 59 A-D. Provide an overlay analysis of NovoSeven® (NS) results versus MOD-5014 (PRO) TG results at different concentrations. (A) shows results of NS at 1.25 μg/ml and PRO at 2.5 μg/ml. (B) shows results of NS at 5 μg/ml and PRO at 10 μg/ml (C) shows results of NS at 2.5 μg/ml and PRO at 5 μg/ml. (D) shows results of NS at 10 μg/ml and PRO at 15 μg/ml. (Run #1)

[0121]

FIG. 60. Shows the results of NovoSeven® (NS) thrombin generation (TG) following re-calcification for NS at different concentrations. (Run #2)

[0122]

FIG. 61. Shows the results of MOD-5014 (PRO) thrombin generation (TG) following re-calcification for PRO at different concentrations. (Run #2)

[0123]

FIG. 62 A-E. Provide an overlay analysis of NovoSeven® (NS) results versus MOD-5014 (PRO) TG results at similar concentrations. (A) provides results at 1.25 μg/ml. (B) provides results at 5 μg/ml. (C) provides results at 15 μg/ml. (D) provides results at 2.5 μg/ml. (E) provides results at 10 μg/ml. (Run #2)

[0124]

FIG. 63 A-D. Provide an overlay analysis of NovoSeven® (NS) results versus MOD-5014 (PRO) TG results at different concentrations. (A) shows results of NS at 1.25 μg/ml and PRO at 2.5 μg/ml. (B) shows results of NS at 5 μg/ml and PRO at 10 μg/ml. (C) shows results of NS at 2.5 μg/ml and PRO at 5 μg/ml. (D) shows results of NS at 10 μg/ml and PRO at 15 μg/ml. (Run #2)

[0125]

FIG. 64. Shows data for TG by NovoSeven® following re-calcification at low TF concentration. (Run #1)

[0126]

FIG. 65. Shows data for TG by MOD-5014 following re-calcification at low TF concentration. (Run #1)

[0127]

FIG. 66 A-E. Provide an overlay analysis of NovoSeven® (NS) results versus MOD-5014 (PRO) results at similar concentrations, following re-calcification at low TF. (A) provides results at 1.25 μg/ml. (B) provides results at 5 μg/ml. (C) provides results at 15 μg/ml. (D) provides results at 2.5 μg/ml. (E) provides results at 10 μg/ml. (Run #1)

[0128]

FIG. 67. Shows data for TG by NovoSeven® following re-calcification at low TF concentration. (Run #2)

[0129]

FIG. 68. Shows data for TG by MOD-5014 following re-calcification at low TF concentration. (Run #2)

[0130]

FIG. 69 A-E. Provide an overlay analysis of NovoSeven® (NS) results versus MOD-5014 (PRO) results at similar concentrations, following re-calcification at low TF. (A) provides results at 1.25 μg/ml. (B) provides results at 5 μg/ml. (C) provides results at 15 μg/ml. (D) provides results at 2.5 μg/ml. (E) provides results at 10 μg/ml. (Run #2)

[0131]

FIG. 70 A-C. Provide an overlay analysis of NovoSeven® (NS) results versus MOD-5014 (PRO) results at different concentrations, following re-calcification at low TF. (A) shows results of NS at 1.25 μg/ml and PRO at 5 μg/ml. (B) shows results of NS at 5 μg/ml and PRO at 15 μg/ml. (C) shows results of NS at 2.5 μg/ml and PRO at 10 μg/ml. (Run #2)

[0132]

FIG. 71. Shows complete thrombin generation by FVIII, as a comparison for the results with NovoSeven® and MOD-5014 in the presence and absence of low TF.

[0133]

FIG. 72. Provides an overlay analysis of thrombin generation by FVIII in the presence and absence of low TF.

[0134]

FIG. 73. Provides an overlay analysis of NovoSeven® (NS; 1.25 μg/kg) TG results versus MOD-5014 (PRO; 1.25 μg/kg) TG results at escalating concentrations of TF. (Run #1)

[0135]

FIG. 74 A-E. Provide an overlay analysis of NovoSeven® (NS; 1.25 μg/kg) TG results versus MOD-5014 (PRO; 1.25 μg/kg) TG results at escalating concentrations of TF. (A) provides results at 0 pM TF. (B) provides results at 1 pM TF. (C) provides results at 5 pM TF. (D) provides results at 0.5 pM TF. (E) provides results at 2.5 pM TF. (Run #1)

[0136]

FIG. 75. Provides an overlay analysis of NovoSeven® (NS; 2.5 μg/kg) TG results versus MOD-5014 (PRO; 2.5 μg/kg) TG results at escalating concentrations of TF. (Run #1)

[0137]

FIG. 76 A-E. Provide an overlay analysis of NovoSeven® (NS; 2.5 μg/kg) TG results versus MOD-5014 (PRO; 2.5 μg/kg) results at escalating concentrations of TF. (A) provides results at 0 pM TF. (B) provides results at 1 pM TF. (C) provides results at 5 pM TF. (D) provides results 0.5 pM TF. (E) provides results at 2.5 pM TF. (Run #1)

[0138]

FIG. 77. Provides an overlay analysis of NovoSeven® (NS; 5 μg/kg) TG results versus MOD-5014 (PRO; 5 μg/kg) results at escalating concentrations of TF. (Run #1)

[0139]

FIG. 78 A-E. Provide an overlay analysis of NovoSeven® (NS; 5 μg/kg) TG results versus MOD-5014 (PRO; 5 μg/kg) TG results at escalating concentrations of TF. (A) provides results at 0 pM TF. (B) provides results at 1 pM TF. (C) provides results at 5 pM TF. (D) provides results 0.5 pM TF. (E) provides results at 2.5 pM TF. (Run #1)

[0140]

FIG. 79 A-C. Show a dose dependent TG response in the presence of NovoSeven® (NS) at escalating concentrations of TF. (A) provides results at 1.25 μg/kg NS. (B) provides results at 5 μg/kg NS. (C) provides results at 2.5 μg/kg NS. (Run #1)

[0141]

FIG. 80 A-C. Show a dose dependent TG response in the presence of MOD-5014 (PRO) at escalating concentrations of TF. (A) provides results at 1.25 μg/kg PRO. (B) provides results at 5 μg/kg PRO. (C) provides results at 2.5 μg/kg PRO. (Run #1)

[0142]

FIG. 81. Provides an overlay analysis of NovoSeven® (NS; 10 μg/kg) TG results versus MOD-5014 (PRO; 10 μg/kg) TG results at escalating concentrations of TF. (Run #2)

[0143]

FIG. 82. Provides an overlay analysis of NovoSeven® (NS; 2.5 μg/kg) TG results versus MOD-5014 (PRO; 2.5 μg/kg) TG results at escalating concentrations of TF. (Run #2)

[0144]

FIG. 83. Provides an overlay analysis of NovoSeven® (NS; 5 μg/kg) TG results versus MOD-5014 (PRO; 5 μg/kg) results at escalating concentrations of TF. (Run #2)

[0145]

FIG. 84 A-C. Show a dose dependent TG response in the presence of NovoSeven® (NS) at escalating concentrations of TF. (A) provides results at 2.5 μg/ml NS. (B) provides results at 10 μg/ml NS. (C) provides results at 5 μg/ml NS. (Run #2)

[0146]

FIG. 85 A-C. Show a dose dependent TG response in the presence of MOD-5014 (PRO) at escalating concentrations of TF. (A) provides results at 2.5 μg/ml PRO. (B) provides results at 10 μg/ml PRO. (C) provides results at 5 μg/ml PRO. (Run #2)

[0147]

FIG. 86 A-E. Provide an overlay analysis of NovoSeven® (NS; 10 μg/kg) TG results versus MOD-5014 (PRO; 10 μg/kg) TG results at escalating concentrations of TF. (A) provides results at 0 pM TF. (B) provides results at 1 pM TF. (C) provides results at 5 pM TF. (D) provides results 0.5 pM TF. (E) provides results at 2.5 pM TF. (Run #2)

[0148]

FIG. 87. Provides an overlay analysis of NovoSeven® (NS; 2.5 μg/kg) TG results versus MOD-5014 (PRO; 2.5 μg/kg) TG results at escalating concentrations of TF (A) provides results at 0 pM TF. (B) provides results at 1 pM TF. (C) provides results at 5 pM TF. (D) provides results 0.5 pM TF. (E) provides results at 2.5 pM TF. (Run #2)

[0149]

FIG. 88. Provides an overlay analysis of NovoSeven® (NS; 5 μg/kg) TG results versus MOD-5014 (PRO; 5 μg/kg) TG results at escalating concentrations of TF. (A) provides results at 0 pM TF. (B) provides results at 1 pM TF. (C) provides results at 5 pM TF. (D) provides results 0.5 pM TF. (E) provides results at 2.5 pM TF. (Run #2)

[0150]

FIG. 89. Shows graphs of WBCT Following MOD-5014 Spiking Canine Blood.

[0151]

FIG. 90. Shows a schematic Drawing of Two-compartment Pharmacokinetic Model.

[0152]

FIG. 91. Provides a graph of mean Plasma MOD-5014 Concentrations vs Time Following IV Infusion in Dogs.

[0153]

FIG. 92. Provides a graph of mean Plasma MOD-5014 Activity vs Time Following IV Infusion in Dogs.

[0154]

FIGS. 93A-B. Show comparison data of MOD-5014 Plasma Concentration and Activity Following IV Infusion of 50 μg/kg in Dogs. FIG. 93(A) shows the results for dog P14 and FIG. 93(B) shows the results for dog N06.

[0155]

FIGS. 94A-D. Show comparison data of MOD-5014 Plasma Concentration and Activity Following IV Infusion of 200 μg/kg in Dogs. FIG. 94(A) shows the results for dog Blondie; FIG. 94(B) for dog Josie; FIG. 94(C) for dog N06; and FIG. 94(D) for dog P14.

[0156]

FIGS. 95A-B. Show comparison data of MOD-5014 Plasma Concentration and Activity Following IV Infusion of 400 μg/kg in Dogs. FIG. 95(A) shows the results for dog Blondie and FIG. 95(B) shows the results for dog Josie.

[0157]

FIGS. 96A-B. Show comparison data of MOD-5014 Plasma Concentration and Activity Following IV Infusion of 600 μg/kg in Dogs. FIG. 96(A) shows the results for dog N05 and FIG. 96(B) shows the results for dog Joanie.

[0158]

FIGS. 97A-J. Show plots of Plasma MOD-5014 Concentrations versus Time. Points represent observed plasma concentrations and the line represents the terminal slope used to calculate T1/2. FIG. 97(A) shows the results for dog N06 after more than 30 hours; FIG. 97(B) for dog P14 after more than 30 hours; FIG. 97(C) for dog Blondie after about 50 hours; FIG. 97(D) for dog Josie after about 50 hours; FIG. 97(E) for dog N06 after almost 100 hours; FIG. 97(F) for dog P14 after almost 100 hours; FIG. 97(G) for dog Blondie after almost 100 hours; FIG. 97(H) for dog Josie after almost 100 hours; FIG. 97(I) for dog Joanie after almost 100 hours and FIG. 97(J) for dog N05 after almost 100 hours.

[0159]

FIGS. 98A-J. Show plots of plasma MOD-5014 Activity versus Time. Points represent observed plasma concentrations and the line represents the terminal slope used to calculate T1/2. FIG. 98(A) shows the results for dog N06 after more than 30 hours; FIG. 98(B) for dog P14 after more than 30 hours; FIG. 98(C) for dog Blondie after almost 50 hours; FIG. 98(D) for dog Josie after almost 50 hours; FIG. 98(E) for dog N06 after almost 50 hours; FIG. 98(F) for dog P14 after almost 50 hours; FIG. 98(G) for dog Blondie after almost 50 hours; FIG. 98(H) for dog Josie after almost 50 hours; FIG. 98(I) for dog Joanie after almost 50 hours and FIG. 98(J) for dog N05 after almost 50 hours.

[0160]

FIGS. 99A-J. Show the results of modeling—Plasma Concentrations. Points represent observed plasma concentrations and the solid line represents concentrations predicted by model. FIG. 99(A) shows the observed and predicted results for dog N06; FIG. 99(B) for dog P14; FIG. 99(C) for dog Blondie; FIG. 99(D) for dog Josie; FIG. 99(E) for dog N06 after almost 100 hours; FIG. 99(F) for dog P14 after almost 100 hours; FIG. 99(G) for dog Blondie after almost 100 hours; FIG. 99(H) for dog Josie after almost 100 hours; FIG. 99(I) for dog Joanie after almost 100 hours and FIG. 99(J) for dog N05 after almost 100 hours.

[0161]

FIGS. 100A-J.Show the results of modeling—Activity. Points represent observed plasma activity and the solid line represents activity predicted by model. FIG. 100(A) shows the observed and predicted results for dog N06 after at least 32 hours; FIG. 100(B) for dog P14 after at least 32 hours; FIG. 100(C) for dog Blondie after at least 48 hours; FIG. 100(D) for dog Josie after at least 48 hours; FIG. 100(E) for dog N06 after at least 48 hours; FIG. 100(F) for dog P14 after at least 48 hours; FIG. 100(G) for dog Blondie after at least 48 hours; FIG. 100(H) for dog Josie after at least 48 hours; FIG. 100(I) for dog Joanie after at least 48 hours and FIG. 100(J) for dog N05 after at least 48 hours.

[0162]

FIG. 101A-D. Show the dose-dependent change in kaolin-initiated TEG kinetics following administration of 50, 200 or 400 μg/kg MOD-5014 in dog N06. (A) shows the R-time (Reaction Time); (B) shows the K-time (time from the end of R until the clot reaches 20 mm, the speed of clot formation); (C) shows the Angle (the tangent of the curve made as the K is reached); and (D) shows the MA (Maximum Amplitude).

[0163]

FIG. 102A-D. Show the dose-dependent change in kaolin-initiated TEG kinetics following administration of 50 and 200 μg/kg MOD-5014 in dog P-14. (A) shows the R-time (Reaction Time; (B) shows the K-time (time from the end of R until the clot reaches 20 mm, the speed of clot formation); (C) shows the Angle (the tangent of the curve made as the K is reached); and (D) shows the MA (Maximum Amplitude).

[0164]

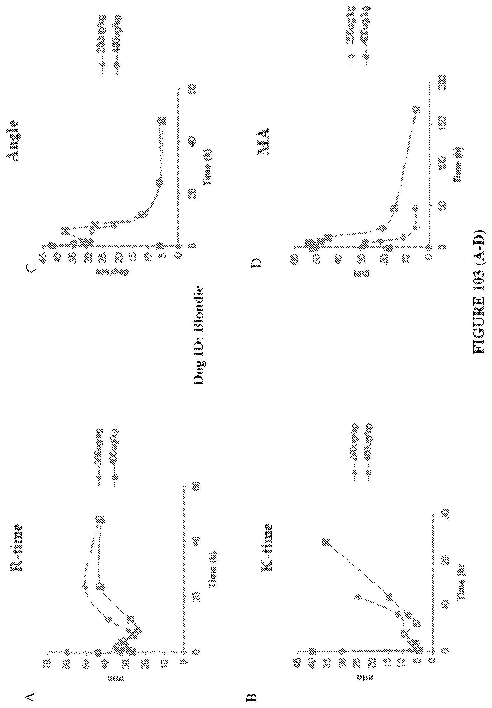
FIG. 103A-D. Show the dose-dependent change in kaolin-initiated TEG kinetics following administration of 200 and 400 μg/kg MOD-5014 in dog Blondie. (A) shows the R-time (Reaction Time); (B) shows the K-time (time from the end of R until the clot reaches 20 mm, the speed of clot formation); (C) shows the Angle (the tangent of the curve made as the K is reached); and (D) shows the MA (Maximum Amplitude).

[0165]

FIG. 104A-D. Show the dose-dependent change in kaolin-initiated TEG kinetics following administration of 200 and 400 μg/kg MOD-5014 in dog Josie. (A) shows the R-time (Reaction Time); (B) shows the K-time (time from the end of R until the clot reaches 20 mm, the speed of clot formation); (C) shows the Angle (the tangent of the curve made as the K is reached); and (D) shows the MA (Maximum Amplitude).

[0166]

FIG. 105A-D. Show the dose-dependent change in kaolin-initiated TEG kinetics following administration of 50, 200 or 400 μg/kg MOD-5014 in dog Joanie. (A) shows the R-time (Reaction Time); (B) shows the K-time (time from the end of R until the clot reaches 20 mm, the speed of clot formation); (C) shows the Angle (the tangent of the curve made as the K is reached); and (D) shows the MA (Maximum Amplitude).

[0167]

FIG. 106A-D. Show the kinetics of TEG over time following MOD-5014 administration in dog NO5. (A) shows the R-time (Reaction Time); (B) shows the K-time (time from the end of RT until the clot reaches 20 mm, the speed of clot formation); (C) shows the Angle (the tangent of the curve made as the K is reached); and (D) shows the MA (Maximum Amplitude).

[0168]

FIG. 107 A-D. Show the change in TEG performance following administration of 270 μg/kg of rhFVIIa (A) shows R-Time (Reaction Time). (B) shows Angle (the tangent of the curve made as the K is reached). (C) shows K-Time (time from the end of RT until the clot reaches 20 mm, the speed of clot formation). (D) shows the MA (Maximum Amplitude).

[0169]

FIG. 108A-D. Show MOD-5014 extended TEG effect, representative data from an individual animal (Blondie). (A) shows R-Time (Reaction Time). (B) shows K-Time (time from the end of RT until the clot reaches 20 mm, the speed of clot formation). (C) shows the Angle (the tangent of the curve made as the K is reached). (D) shows the MA (Maximum Amplitude). Arrows in (B), (C) and (D) are pointing to MOD-5014 TEG values 4 hours post dosing.

[0170]

FIG. 109. Shows map of pCI-dhfr-MOD-5014 plasmid.

[0171]

FIG. 110. Shows combined representative PK-PD Profile of rat toxicology studies, wherein rate of change of plasma concentration (ng/ml) over time is designated by the open squares and rate of change of activity (mU/ml) over time is designated by the open circles.

[0172]

FIG. 111. Shows combined representative PK-PD Profile of monkey toxicology studies, wherein rate of change of plasma concentration (ng/ml) over time is designated by the open circles and rate of change of activity (mU/ml) over time is designated by the open squares.

[0173]

FIG. 112. Mean Plasma MOD-5014 Concentration vs Time Following IV Bolus Administration in Male Cynomolgus Monkeys.

[0174]

FIG. 113. Mean MOD-5014 Clotting Activity vs Time Following IV Bolus Administration in Male Cynomolgus Monkeys.

[0175]

FIG. 114. Comparison of MOD-5014 Plasma Concentration and Clotting Activity Following IV Bolus Injection of 1 mg/kg in Male Cynomolgus Monkeys.

[0176]

FIG. 115. Comparison of MOD-5014 Plasma Concentration and Clotting Activity Following IV Bolus Injection of 7.5 mg/kg in Male Cynomolgus Monkeys.

[0177]

FIG. 116. Comparison of MOD-5014 Plasma Concentration and Clotting Activity Following IV Bolus Injection of 15 mg/kg in Male Cynomolgus Monkeys.

[0178]

FIGS. 117A-117R. Individual Plasma MOD-5014 Concentrations and Clotting Activity versus Time.

[0179]

FIG. 118. Mean Fluorescence Intensity of MOD-5014 or FVIIa-treated Platelets.

[0180]

FIG. 119. Thrombin Generation in MOD-5014 or FVIIa-treated Platelets.

[0181]

FIG. 120. Shows a comparison of substrate (Pefachrome FVIIa) cleavage activity between FVIIa (NovoSeven) and CTP-modified factor VIIa (MOD-5014).

[0182]

FIG. 121. Shows a comparison of substrate (Pefachrome FVIIa) activity between FVIIa (NovoSeven) and CTP-modified factor VIIa (MOD-5014) when bound to tissue factor.

[0183]

FIGS. 122. Shows a comparison of the generation of activated Factor X by FVIIa (NovoSeven) or CTP-modified FVIIa (MOD-5014), in view of Factor VIIa concentration.

[0184]

FIG. 123. Shows a comparison of the generation of activated Factor X by FVIIa (NovoSeven) or CTP-modified FVIIa (MOD-5014), in view of Factor X concentration.

[0185]

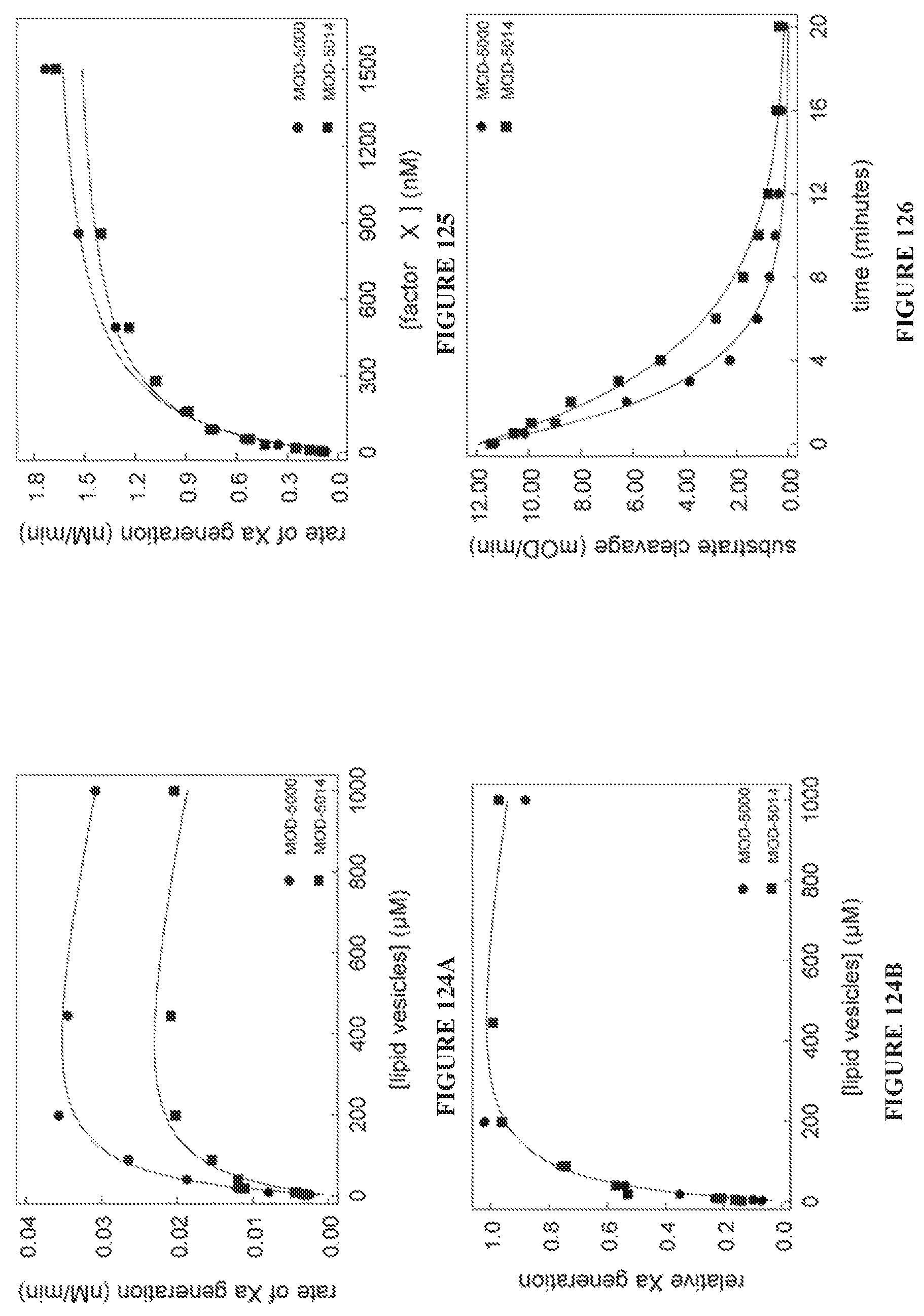
FIGS. 124A and 124B. Shows a comparison of the rate of generation of activated Factor X by FVIIa (NovoSeven) or CTP-modified FVIIa (MOD-5014), in the absence of tissue factor and in view of lipid concentration (124A). Show a comparison of the generation of activated Factor X by FVIIa (NovoSeven) or CTP-modified FVIIa (MOD-5014), in the absence of tissue factor and in view of lipid concentration (124B).

[0186]

FIG. 125. Show the a comparison of the generation of activated Factor X between FVIIa (NovoSeven) and MOD-5014, in the absence of tissue factor and in view of Factor X concentration.

[0187]

FIG. 126. Show a comparison of the inhibition of substrate (Pefachrome FVIIa) cleavage by FVIIa (NovoSeven) and CTP-modified FVIIa (MOD-5014) in view of polybrene.

[0188]

FIGS. 127A-127C. Show a comparison of the inhibition of substrate (Pefachrome FXa) cleavage by FVIIa (NovoSeven) and CTP-modified FVIIa (MOD-5014) in view of TFPI concentration (FIG. 127A) and duration of TFPI exposure for FVIIa (FIG. 127B) and MOD-5014 (127C).

DETAILED DESCRIPTION OF THE PRESENT INVENTION

[0189]

In one embodiment, the present invention provides long-acting coagulation factors and methods of producing and using same. In another embodiment, long-acting coagulation factors comprise a carboxy terminal peptide (CTP, also referred to as CTP unit). In another embodiment, long-acting polypeptides which comprise a coagulation factor further comprise a carboxy terminal peptide (CTP) of human Chorionic Gonadotropin (hCG). In another embodiment, CTP acts as a protectant against the degradation of a coagulation factor. In another embodiment, CTP extends the Cmaxof a coagulation factor. In another embodiment, CTP extends the Tmaxof a coagulation factor. In another embodiment, CTP extends the circulatory half-life of a coagulation factor. In some embodiments, CTP enhances the potency of a coagulation factor.

[0190]

In another embodiment, provided herein is a method of extending the biological half-life of a coagulation factor, comprising the step of attaching one to ten CTPs to the carboxy terminus of the coagulation factor, thereby extending the biological half-life of the coagulation factor. In another embodiment, provided herein is a method of extending the biological half-life of a coagulation factor, comprising the step of attaching one to five CTPs to the carboxy terminus of the coagulation factor, thereby extending the biological half-life of the coagulation factor. In another embodiment, the present invention provides a method for extending the circulatory half-life of a coagulation factor. In another embodiment, the present invention provides a method for increasing the half-life of a coagulation factor. In another embodiment, the present invention provides a method for extending the half-life of a coagulation factor.

[0191]

In one embodiment, the disclosure relates to a pharmaceutical composition comprising a CTP-modified coagulation factor.

[0192]

In one embodiment, the disclosure relates to a pharmaceutical formulation comprising a buffer, a tonicity agent, and a CTP-modified polypeptide consisting of a coagulation factor and three chorionic gonadotropin CTPs attached to the carboxy terminus of said coagulation factor.

[0193]

In one embodiment, the disclosure relates to a formulation for a once a week administration to a subject having hemophilia A or B. In another embodiment, the subject has a coagulation factor deficiency. In another embodiment, the subject has acquired hemophilia. In another embodiment, the disclosure relates to a process for making a pharmaceutical formulation for a once a week administration to a subject having a coagulation factor deficiency, or having a hemophilia, the process comprising the steps of:

    • a) modifying a coagulation factor by attaching three chorionic gonadotropin CTPs to the carboxy terminus of said coagulation factor;
    • b) mixing the modified coagulation factor in step a. with said buffer, and said tonicity agent at a pH of about 6.4; and,
    • c) pre-filling a syringe with said formulation.

[0197]

In one embodiment, the disclosure relates to a process for filling a syringe with a formulation provided herein comprising the steps of:

    • a) formulating a once a week dosage form of said CTP-modified coagulation factor having a pre-determined amount of CTP-modified coagulation factor; and
    • b) filling the syringe with said formulation.

[0200]

In one embodiment, a “pharmaceutical composition” or a “pharmaceutical formulation” refers to a preparation of one or more of the active ingredients described herein with other chemical components such as physiologically suitable carriers and excipients. The purpose of a pharmaceutical composition or a “pharmaceutical formulation” is to facilitate administration of a compound to an organism. In certain embodiments, a “pharmaceutical composition” or a “pharmaceutical formulation” provides the pharmaceutical dosage form of a drug. “Pharmaceutical compositions” or “pharmaceutical formulations” in certain embodiments include slow release technologies, transdermal patches, or any known dosage form in the art.

[0201]

Coagulation Factor VII (FVII) is a 444 amino acid glycoprotein (50 KDa) secreted by hepatocytes into the bloodstream as an inactive pro-enzyme. Upon tissue injury and exposure to circulating blood, FVII forms a complex with Tissue Factor (TF) which is a true receptor protein to FVII and is expressed by various cells localized in the deeper layers of the vessel wall. The formation of this FVII-TF complex leads to activation of FVII. Activated FVII (FVIIa) initiates the extrinsic coagulation pathway by activating Factor IX and Factor X.

[0202]

FVII belong to a group of Vitamin K-dependent glycoproteins associated with the coagulation system. Besides FVII, this group consists of Factor IX, Factor X, Protein C and prothrombin. These proteins have similar domain organizations and are synthesized as precursors with an N-terminal propeptide followed by a mature amino acid sequence. The propeptide contains a docking site for gammacarboxylase which converts glutamic acids (Glu) into gamma carboxy glutamic acids (Gla). This domain is followed by two epidermal growth factor-like (EGF) domains, a connecting region (CR) and a C-terminal serine protease domain. Prior to secretion, FVII propeptide is cleaved forming a 406 amino acid single chain zymogen FVII glycoprotein. After secretion, the protein can be activated into a disulfide-linked two chain heterodimer, FVIIa, by cleavage in the CR. The plasma concentration of FVII is 10 nM and approximately 1% circulates in the active form in healthy individuals. In other embodiments, a CTP-modified FVII comprises occupancy of at least one O-linked glycosylation site. In other embodiments, a CTP-modified FVIIa comprises occupancy of at least one O-linked glycosylation site.

[0203]

Factor IX (FIX) is a 415 Amino acid (55 KDa) glycoprotein; it belongs to a group of vitamin K dependent glycoproteins associated with the coagulation system. FIX has a similar domain organization as factor FVII, Factor X, Protein C and prothrombin that are synthesized as precursors with an N-terminal propeptide followed by a mature amino acid sequence.

[0204]

FIX is secreted as a single chain molecule that undergoes complex post-transcriptional modifications, many of which are critical to its biochemical and pharmacokinetic properties. Among all the post-transcriptional modifications, 12 glutamic acid residues near the amino terminus of FIX that are gamma carboxylated by the vitamin K-dependent gamma carboxylase are the most crucial ones. Carboxylation is required for the interaction of FIX with the phospholipid surfaces and for optimal FIX activity. The amino terminus propeptide serves as a recognition site for the gamma carboxylase and thus, following gamma carboxylation, it is cleaved off by the Golgi apparatus serine protease known as Paired basic Amino acid Cleave Enzyme (PACE/Furin). Four additional post-transcriptional modifications might occur at the Golgi apparatus: sulfation of tyrosine 155, phosphorylation of serine 158, O- glycosylation on Ser 63 and on 61 and finally, N-glycosylation on Asn 157 and 16, but were shown not to be necessary for proper activity of FIX.

[0205]

FIX circulates in the plasma (average concentration of 5 μg/ml) as a single chain inactive zymogen. Upon proteolytic cleavage at two peptide bonds: Arg 145 and Arg 180 by either one or two physiological activators, FVIIa-TF complex or FIXa, the activation peptide is removed, converting FIX to a fully active enzyme consisting of a light and heavy chain held together by a single disulfide bond. The N-terminal light chain contains the non-catalytic gamma carboxyglutamic acid (Gla) and two epidermal growth factor-like domains, while the C-terminal heavy chain contains the trypsin-like catalytic domain of the molecule. FIXa alone is characterized by poor catalytic activity. However when complexed with FVIII, its proteolytic activity increase by 4-5 orders of magnitude towards its natural substrate FX.

[0206]

In another embodiment, provided herein is a method of extending the biological half-life or a method of improving the area under the curve (AUC) of a coagulation factor, comprising the step of attaching one to ten CTPs to the carboxy terminus of the coagulation factor, thereby extending the biological half-life or improving the AUC of the coagulation factor. In another embodiment, provided herein is a method of extending the biological half-life or a method of improving the area under the curve (AUC) of a coagulation factor, comprising the step of attaching one to five CTPs to the carboxy terminus of the coagulation factor, thereby extending the biological half-life or improving the AUC of the coagulation factor. In another embodiment, provided herein is a method of extending the biological half-life or a method of improving the area under the curve (AUC) of FIX, comprising the step of attaching one to five CTPs to the carboxy terminus of the FIX, thereby extending the biological half-life or improving the AUC of the FIX. In another embodiment, provided herein is a method of extending the biological half-life or a method of improving the area under the curve (AUC) of FVII or FVIIa, comprising the step of attaching one to five CTPs to the carboxy terminus of FVII or FVIIa, thereby extending the biological half-life or improving the AUC of FVII or FVIIa.

[0207]

In another embodiment, the present invention provides a method of extending the biological half-life of a Factor IX (FIX) polypeptide, comprising the step of attaching three chorionic gonadotropin carboxy terminal peptides (CTPs) to the carboxy terminus of said FIX polypeptide, thereby extending the biological half-life of said FIX polypeptide. In another embodiment, the present invention further provides a method of extending the biological half-life of a Factor VIIa (FVIIa) polypeptide, comprising the step of attaching from one and up to five chorionic gonadotropin carboxy terminal peptides (CTPs) to the carboxy terminus of said FVIIa polypeptide, thereby extending the biological half-life of said FVIIa polypeptide. In one embodiment, three chorionic gonadotropin carboxy terminal peptides (CTPs) are attached to the carboxy terminus of said FVIIa polypeptide. In another embodiment, four chorionic gonadotropin carboxy terminal peptides (CTPs) are attached to the carboxy terminus of said FVIIa polypeptide. In another embodiment, five chorionic gonadotropin carboxy terminal peptides (CTPs) are attached to the carboxy terminus of said FVIIa polypeptide.

[0208]

In another embodiment, the present invention provides a method of improving the area under the curve (AUC) of a Factor IX (FIX) polypeptide, comprising the step of attaching three chorionic gonadotropin carboxy terminal peptides (CTPs) to the carboxy terminus of said FIX polypeptide, thereby improving the AUC of said FIX polypeptide. In another embodiment, the present invention provides a method of improving the area under the curve (AUC) of a Factor VIIa (FVIIa) polypeptide, comprising the step of attaching up to five chorionic gonadotropin carboxy terminal peptides (CTPs) to the carboxy terminus of said FVIIa polypeptide, thereby improving the AUC of said FVIIa polypeptide. In one embodiment, three chorionic gonadotropin carboxy terminal peptides (CTPs) are attached to the carboxy terminus of said FVIIa polypeptide. In another embodiment, four chorionic gonadotropin carboxy terminal peptides (CTPs) are attached to the carboxy terminus of said FVIIa polypeptide. In another embodiment, five chorionic gonadotropin carboxy terminal peptides (CTPs) are attached to the carboxy terminus of said FVIIa polypeptide.

[0209]

In another embodiment, a coagulation factor of the disclosure is a protein. In another embodiment, a coagulation factor of the disclosure is a peptide. In another embodiment, a coagulation factor of the disclosure is a polypeptide. In another embodiment, the coagulation factor is an enzyme. In another embodiment, the coagulation factor is a serine protease. In another embodiment, the coagulation factor is a glycoprotein. In another embodiment, the coagulation factor is a transglutaminase. In another embodiment, the coagulation factor is an inactive zymogen. In another embodiment, the coagulation factor is any coagulation factor known to one of skill in the art.

[0210]

In another embodiment, the coagulation factor is Factor VIII (FVIII). In another embodiment, the coagulation factor is Factor V (FV). In another embodiment, the coagulation factor is Factor XIII (FXIII). In another embodiment, the coagulation factor is Factor X (FX). In another embodiment, the coagulation factor is fibrin.

[0211]

In another embodiment, the coagulation factor is Factor VIIa (FVIIa). In another embodiment, the coagulation factor is Factor VII (FVII). In another embodiment, the coagulation factor is Factor IX (FIX). In another embodiment, the coagulation factor is Factor X (FX). In another embodiment, the coagulation factor is Factor XIa (FXIa). In another embodiment, the coagulation factor is Factor XII (FXII). In another embodiment, the coagulation factor is Factor Xa (FXa). In another embodiment, the coagulation factor is Factor Va (FVa). In another embodiment, the coagulation factor is prothrombin. In another embodiment, the coagulation factor is thrombin. In another embodiment, the coagulation factor is Factor XI (FXI). In another embodiment, the coagulation factor is Von Willebrand factor (vWF). In another embodiment, the coagulation factor is Factor VIIIa (FVIIIa). In another embodiment, the coagulation factor is B-deleted Domain FVIII (FVIIIBDD). In another embodiment, the coagulation factor is B domain-deleted FVIII (FVIIIBDD). In another embodiment, the coagulation factor is Beta domain-deleted FVIII (FVIIIBDD). In another embodiment, the coagulation factor is Factor IXa (FIXa). In another embodiment, the coagulation factor is prekallikrein. In another embodiment, the coagulation factor is kallikrein. In another embodiment, the coagulation factor is Factor XIIa (FXIIa). In another embodiment, the coagulation factor is Fibrinogen. In another embodiment, the coagulation factor is thrombomodulin. In another embodiment, the coagulation factor is Factor II (FII).

[0212]

In another embodiment, the coagulation factor is a glycoprotein. In another embodiment, the coagulation factor is a vitamin K-dependent glycoprotein. In another embodiment, the coagulation factor is a vitamin K-independent glycoprotein.

[0213]

In another embodiment, the coagulation factor is a recombinant protein. In another embodiment, the coagulation factor is a recombinant glycoprotein. In another embodiment, the coagulation factor is a recombinant glycoprotein FV. In another embodiment, the coagulation factor is a recombinant FVI. In another embodiment, the coagulation factor is a recombinant FVII. In another embodiment, the coagulation factor is a recombinant FVIII. In another embodiment, the coagulation factor is a recombinant FIX. In another embodiment, the coagulation factor is a recombinant FX. In another embodiment, the coagulation factor is a recombinant FXI. In another embodiment, the coagulation factor is a recombinant FXII. In another embodiment, the coagulation factor is a recombinant FvW. In another embodiment, the coagulation factor is a recombinant FII. In another embodiment, the coagulation factor is a recombinant FIXa. In another embodiment, the coagulation factor is a recombinant FXIa. In another embodiment, the coagulation factor is a recombinant fibrin. In another embodiment, the coagulation factor is a recombinant FVIIa. In another embodiment, the coagulation factor is a recombinant FXa. In another embodiment, the coagulation factor is a recombinant FVa. In another embodiment, the coagulation factor is a recombinant prothrombin. In another embodiment, the coagulation factor is a recombinant thrombin. In another embodiment, the coagulation factor is a recombinant FVIIIa. In another embodiment, the coagulation factor is a recombinant prekallikrein. In another embodiment, the coagulation factor is a recombinant kallikrein. In another embodiment, the coagulation factor is a recombinant FXIIa. In another embodiment, the coagulation factor is any known recombinant coagulation factor. In another embodiment, the coagulation factor comprising a signal peptide is any known recombinant coagulation factor. In another embodiment, a recombinant coagulation factor does not comprise a signal peptide. In another embodiment, an activated coagulation factor does not comprise a signal peptide.

[0214]

In another embodiment, a coagulation factor comprises 1-10 CTP repeats attached to the C-terminus and no CTPs attached to the N-terminus. In another embodiment, a coagulation factor comprises at least one CTP attached to the C-terminus and no CTPs attached to the N-terminus. In another embodiment, a coagulation factor comprising 1-10 CTP repeats attached to the C-terminus and no CTPs attached to the N-terminus is an engineered coagulation factor. In another embodiment, a coagulation factor comprising at least one CTP attached to the C-terminus and no CTPs attached to the N-terminus is an engineered coagulation factor. In another embodiment, a coagulation factor comprising 1-10 CTP repeats attached to the C-terminus and no CTPs attached to the N-terminus is a conjugated coagulation factor. In another embodiment, a coagulation factor comprising at least one CTP attached to the C-terminus and no CTPs attached to the N-terminus is a conjugated coagulation factor.

[0215]

In one embodiment, the present invention provides a CTP-modified Factor IX (FIX) polypeptide consisting of a FIX polypeptide and three gonadotropin carboxy terminal peptides (CTPs) attached to the carboxy terminus of said CTP-modified FIX polypeptide.

[0216]

In another embodiment, the present invention further provides a CTP-modified Factor VIIa (FVIIa) polypeptide consisting of a FVIIa polypeptide and five gonadotropin carboxy terminal peptides (CTPs) attached to the carboxy terminus of said FVIIa. In another embodiment, the present invention further provides a CTP-modified Factor VIIa (FVIIa) polypeptide consisting of a FVIIa polypeptide and three gonadotropin carboxy terminal peptides (CTPs) attached to the carboxy terminus of said FVIIa.

[0217]

In another embodiment, the coagulation factor is a coagulation factor comprising a domain organization similar or identical to the domain organization of FIX, FVII, Factor X, Protein C, or prothrombin. In another embodiment, the coagulation factor is synthesized as a precursor with an N-terminal propeptide. In another embodiment, the coagulation factor as used herein is in an inactive pro-enzyme form. In another embodiment, the coagulation factor is produced in hepatocytes. In another embodiment, the coagulation factor comprises a docking site for gammacarboxylase which converts glutamic acids (Glu) into gamma carboxy glutamic acids (Gla). In another embodiment, the coagulation factor as used herein is a commercially available coagulation factor.

[0218]

In one embodiment, the nucleic acid sequence encoding Factor VII comprises the following nucleic acid sequence:

[0219]

(SEQ ID NO: 11)
ctcgaggacatggtctcccaggccctcaggctcctctgccttctgcttgg
gcttcagggctgcctggctgcagtcttcgtaacccaggaggaagcccacg
gcgtcctgcaccggcgccggcgcgccaacgcgttcctggaggagctgcgg
ccgggctccctggagagggagtgcaaggaggagcagtgctccttcgagga
ggcccgggagatcttcaaggacgcggagaggacgaagctgttctggattt
cttacagtgatggggaccagtgtgcctcaagtccatgccagaatgggggc
tcctgcaaggaccagctccagtcctatatctgcttctgcctccctgcctt
cgagggccggaactgtgagacgcacaaggatgaccagctgatctgtgtga
acgagaacggcggctgtgagcagtactgcagtgaccacacgggcaccaag
cgctcctgtcggtgccacgaggggtactctctgctggcagacggggtgtc
ctgcacacccacagttgaatatccatgtggaaaaatacctattctagaaa
aaagaaatgccagcaaaccccaaggccgaattgtggggggcaaggtgtgc
cccaaaggggagtgtccatggcaggtcctgttgttggtgaatggagctca
gttgtgtggggggaccctgatcaacaccatctgggtggtctccgcggccc
actgtttcgacaaaatcaagaactggaggaacctgatcgcggtgctgggc
gagcacgacctcagcgagcacgacggggatgagcagagccggcgggtggc
gcaggtcatcatccccagcacgtacgtcccgggcaccaccaaccacgaca
tcgcgctgctccgcctgcaccagcccgtggtcctcactgaccatgtggtg
cccctctgcctgcccgaacggacgttctctgagaggacgctggccttcgt
gcgcttctcattggtcagcggctggggccagctgctggaccgtggcgcca
cggccctggagctcatggtcctcaacgtgccccggctgatgacccaggac
tgcctgcagcagtcacggaaggtgggagactccccaaatatcacggagta
catgttctgtgccggctactcggatggcagcaaggactcctgcaaggggg
acagtggaggcccacatgccacccactaccggggcacgtggtacctgacg
ggcatcgtcagctggggccagggctgcgcaaccgtgggccactttggggt
gtacaccagggtctcccagtacatcgagtggctgcaaaagctcatgcgct
cagagccacgcccaggagtcctcctgcgagccccatttccctgaggatgc
ggccgc.

[0220]

In another embodiment, the amino acid sequence of Factor VII comprises the following amino acid sequence:

[0221]

(SEQ ID NO: 9)
MVSQALRLLCLLLGLQGCLAAVFVTQEEAHGVLHRRRRANAFLEELRPGS
LERECKEEQCSFEEAREIFKDAERTKLFWISYSDGDQCASSPCQNGGSCK
DQLQSYICFCLPAFEGRNCETHKDDQLICVNENGGCEQYCSDHTGTKRSC
RCHEGYSLLADGVSCTPTVEYPCGKIPILEKRNASKPQGRIVGGKVCPKG
ECPWQVLLLVNGAQLCGGTLINTIWVVSAAHCFDKIKNWRNLIAVLGEHD
LSEHDGDEQSRRVAQVIIPSTYVPGTTNHDIALLRLHQPVVLTDHVVPLC
LPERTFSERTLAFVRFSLVSGWGQLLDRGATALELMVLNVPRLMTQDCLQ
QSRKVGDSPNITEYMFCAGYSDGSKDSCKGDSGGPHATHYRGTWYLTGIV
SWGQGCATVGHFGVYTRVSQYIEWLQKLMRSEPRPGVLLRAPFP.

[0222]

In another embodiment, the amino acid sequence of Factor VII comprises the following amino acid sequence:

[0223]

(SEQ ID NO: 10)
MVSQALRLLCLLLGLQGCLAAVFVTQEEAHGVLHRRRRANAFLEELRPGS
LERECKEEQCSFEEAREIFKDAERTKLFWISYSDGDQCASSPCQNGGSCK
DQLQSYICFCLPAFEGRNCETHKDDQLICVNENGGCEQYCSDHTGTKRSC
RCHEGYSLLADGVSCTPTVEYPCGKIPILEKRNASKPQGRIVGGKVCPKG
ECPWQVLLLVNGAQLCGGTLINTIWVVSAAHCFDKIKNWRNLIAVLGEHD
LSEHDGDEQSRRVAQVIIPSTYVPGTTNHDIALLRLHQPVVLTDHVVPLC
LPERTFSERTLAFVRFSLVSGWGQLLDRGATALELMVLNVPRLMTQDCLQ
QSRKVGDSPNITEYMFCAGYSDGSKDSCKGDSGGPHATHYRGTWYLTGIV
SWGQGCATVGHFGVYTRVSQYIEWLQKLMRSEPRPGVLLRAPFP*GCGR.

[0224]

In another embodiment, the nucleic acid sequence encoding Factor VII-CTP (attached to the carboxy terminus) comprises the following nucleic acid sequence:

[0225]

(SEQ ID NO: 12)
ctcgaggacatggtctcccaggccctcaggctcctctgccttctgcttgg
gcttcagggctgcctggctgcagtcttcgtaacccaggaggaagcccacg
gcgtcctgcaccggcgccggcgcgccaacgcgttcctggaggagctgcgg
ccgggctccctggagagggagtgcaaggaggagcagtgctccttcgagga
ggcccgggagatcttcaaggacgcggagaggacgaagctgttctggattt
cttacagtgatggggaccagtgtgcctcaagtccatgccagaatgggggc
tcctgcaaggaccagctccagtcctatatctgcttctgcctccctgcctt
cgagggccggaactgtgagacgcacaaggatgaccagctgatctgtgtga
acgagaacggcggctgtgagcagtactgcagtgaccacacgggcaccaag
cgctcctgtcggtgccacgaggggtactctctgctggcagacggggtgtc
ctgcacacccacagttgaatatccatgtggaaaaatacctattctagaaa
aaagaaatgccagcaaaccccaaggccgaattgtggggggcaaggtgtgc
cccaaaggggagtgtccatggcaggtcctgttgttggtgaatggagctca
gttgtgtggggggaccctgatcaacaccatctgggtggtctccgcggccc
actgtttcgacaaaatcaagaactggaggaacctgatcgcggtgctgggc
gagcacgacctcagcgagcacgacggggatgagcagagccggcgggtggc
gcaggtcatcatccccagcacgtacgtcccgggcaccaccaaccacgaca
tcgcgctgctccgcctgcaccagcccgtggtcctcactgaccatgtggtg
cccctctgcctgcccgaacggacgttctctgagaggacgctggccttcgt
gcgcttctcattggtcagcggctggggccagctgctggaccgtggcgcca
cggccctggagctcatggtcctcaacgtgccccggctgatgacccaggac
tgcctgcagcagtcacggaaggtgggagactccccaaatatcacggagta
catgttctgtgccggctactcggatggcagcaaggactcctgcaaggggg
acagtggaggcccacatgccacccactaccggggcacgtggtacctgacc
ggcatcgtgagctggggccagggctgcgccaccgtgggccacttcggcgt
gtacaccagggtgtcccagtacatcgagtggctgcagaaactgatgagaa
gcgagcccagacccggcgtgctgctgagagcccccttccccagcagcagc
tccaaggcccctccccctagcctgcccagccctagcagactgcctgggcc
cagcgacacccccatcctgccccagtgaggatccgcggccgc.

[0226]

In another embodiment, the amino acid sequence of Factor VII-CTP (attached to the carboxy terminus) comprises the following amino acid sequence:

[0227]

(SEQ ID NO: 13)
MVSQALRLLCLLLGLQGCLAAVFVTQEEAHGVLHRRRRANAFLEELRPGS
LERECKEEQCSFEEAREIFKDAERTKLFWISYSDGDQCASSPCQNGGSCK
DQLQSYICFCLPAFEGRNCETHKDDQLICVNENGGCEQYCSDHTGTKRSC
RCHEGYSLLADGVSCTPTVEYPCGKIPILEKRNASKPQGRIVGGKVCPKG
ECPWQVLLLVNGAQLCGGTLINTIWVVSAAHCFDKIKNWRNLIAVLGEHD
LSEHDGDEQSRRVAQVIIPSTYVPGTTNHDIALLRLHQPVVLTDHVVPLC
LPERTFSERTLAFVRFSLVSGWGQLLDRGATALELMVLNVPRLMTQDCLQ
QSRKVGDSPNITEYMFCAGYSDGSKDSCKGDSGGPHATHYRGTWYLTGIV
SWGQGCATVGHFGVYTRVSQYIEWLQKLMRSEPRPGVLLRAPFPSSSSKA
PPPSLPSPSRLPGPSDTPILPQ*.

[0228]

In another embodiment, the nucleic acid sequence encoding Factor VII-CTP-CTP (attached to the carboxy terminus) comprises the following nucleic acid sequence:

[0229]

(SEQ ID NO: 14)
ctcgaggacatggtctcccaggccctcaggctcctctgccttctgcttgg
gcttcagggctgcctggctgcagtcttcgtaacccaggaggaagcccacg
gcgtcctgcaccggcgccggcgcgccaacgcgttcctggaggagctgcgg
ccgggctccctggagagggagtgcaaggaggagcagtgctccttcgagga
ggcccgggagatcttcaaggacgcggagaggacgaagctgttctggattt
cttacagtgatggggaccagtgtgcctcaagtccatgccagaatgggggc
tcctgcaaggaccagctccagtcctatatctgcttctgcctccctgcctt
cgagggccggaactgtgagacgcacaaggatgaccagctgatctgtgtga
acgagaacggcggctgtgagcagtactgcagtgaccacacgggcaccaag
cgctcctgtcggtgccacgaggggtactctctgctggcagacggggtgtc
ctgcacacccacagttgaatatccatgtggaaaaatacctattctagaaa
aaagaaatgccagcaaaccccaaggccgaattgtggggggcaaggtgtgc
cccaaaggggagtgtccatggcaggtcctgttgttggtgaatggagctca
gttgtgtggggggaccctgatcaacaccatctgggtggtctccgcggccc
actgtttcgacaaaatcaagaactggaggaacctgatcgcggtgctgggc
gagcacgacctcagcgagcacgacggggatgagcagagccggcgggtggc
gcaggtcatcatccccagcacgtacgtcccgggcaccaccaaccacgaca
tcgcgctgctccgcctgcaccagcccgtggtcctcactgaccatgtggtg
cccctctgcctgcccgaacggacgttctctgagaggacgctggccttcgt
gcgcttctcattggtcagcggctggggccagctgctggaccgtggcgcca
cggccctggagctcatggtcctcaacgtgccccggctgatgacccaggac
tgcctgcagcagtcacggaaggtgggagactccccaaatatcacggagta
catgttctgtgccggctactcggatggcagcaaggactcctgcaaggggg
acagtggaggcccacatgccacccactaccggggcacgtggtacctgacc
ggcatcgtgagctggggccagggctgcgccaccgtgggccacttcggcgt
gtacaccagggtgtcccagtacatcgagtggctgcagaaactgatgagaa
gcgagcccagacccggcgtgctgctgagagcccccttccccagcagcagc
tccaaggcccctccccctagcctgcccagccctagcagactgcctgggcc
ctccgacacaccaatcctgccacagagcagctcctctaaggcccctcctc
catccctgccatccccctcccggctgccaggcccctctgacacccctatc
ctgcctcagtgatgaaggtctggatccgcggccgc.

[0230]

In another embodiment, the amino acid sequence of Factor VII-CTP-CTP (attached to the carboxy terminus) comprises the following amino acid sequence:

[0231]

(SEQ ID NO: 15)
MVSQALRLLCLLLGLQGCLAAVFVTQEEAHGVLHRRRRANAFLEELRPGS
LERECKEEQCSFEEAREIFKDAERTKLFWISYSDGDQCASSPCQNGGSCK
DQLQSYICFCLPAFEGRNCETHKDDQLICVNENGGCEQYCSDHTGTKRSC
RCHEGYSLLADGVSCTPTVEYPCGKIPILEKRNASKPQGRIVGGKVCPKG
ECPWQVLLLVNGAQLCGGTLINTIWVVSAAHCFDKIKNWRNLIAVLGEHD
LSEHDGDEQSRRVAQVIIPSTYVPGTTNHDIALLRLHQPVVLTDHVVPLC
LPERTFSERTLAFVRFSLVSGWGQLLDRGATALELMVLNVPRLMTQDCLQ
QSRKVGDSPNITEYMFCAGYSDGSKDSCKGDSGGPHATHYRGTWYLTGIV
SWGQGCATVGHFGVYTRVSQYIEWLQKLMRSEPRPGVLLRAPFPSSSSKA
PPPSLPSPSRLPGPSDTPILPQSSSSKAPPPSLPSPSRLPGPSDTPILPQ
**.

[0232]

In another embodiment, the nucleic acid sequence encoding Factor VII-CTP-CTP-CTP (attached to the carboxy terminus) comprises the following nucleic acid sequence:

[0233]

(SEQ ID NO: 24)
ctcgaggacatggtctcccaggccctcaggctcctctgccttctgcttgg
gcttcagggctgcctggctgcagtcttcgtaacccaggaggaagcccacg
gcgtcctgcaccggcgccggcgcgccaacgcgttcctggaggagctgcgg
ccgggctccctggagagggagtgcaaggaggagcagtgctccttcgagga
ggcccgggagatcttcaaggacgcggagaggacgaagctgttctggattt
cttacagtgatggggaccagtgtgcctcaagtccatgccagaatgggggc
tcctgcaaggaccagctccagtcctatatctgcttctgcctccctgcctt
cgagggccggaactgtgagacgcacaaggatgaccagctgatctgtgtga
acgagaacggcggctgtgagcagtactgcagtgaccacacgggcaccaag
cgctcctgtcggtgccacgaggggtactctctgctggcagacggggtgtc
ctgcacacccacagttgaatatccatgtggaaaaatacctattctagaaa
aaagaaatgccagcaaaccccaaggccgaattgtggggggcaaggtgtgc
cccaaaggggagtgtccatggcaggtcctgttgttggtgaatggagctca
gttgtgtggggggaccctgatcaacaccatctgggtggtctccgcggccc
actgtttcgacaaaatcaagaactggaggaacctgatcgcggtgctgggc
gagcacgacctcagcgagcacgacggggatgagcagagccggcgggtggc
gcaggtcatcatccccagcacgtacgtcccgggcaccaccaaccacgaca
tcgcgctgctccgcctgcaccagcccgtggtcctcactgaccatgtggtg
cccctctgcctgcccgaacggacgttctctgagaggacgctggccttcgt
gcgcttctcattggtcagcggctggggccagctgctggaccgtggcgcca
cggccctggagctcatggtcctcaacgtgccccggctgatgacccaggac
tgcctgcagcagtcacggaaggtgggagactccccaaatatcacggagta
catgttctgtgccggctactcggatggcagcaaggactcctgcaaggggg
acagtggaggcccacatgccacccactaccggggcacgtggtacctgacc
ggcatcgtgagctggggccagggctgcgccaccgtgggccacttcggcgt
gtacaccagggtgtcccagtacatcgagtggctgcagaaactgatgagaa
gcgagcccagacccggcgtgctgctgagagcccccttccccagcagcagc
tccaaggcccctccccctagcctgcccagccctagcagactgcctgggcc
cagtgacacccctatcctgcctcagtccagctccagcaaggccccacccc
ctagcctgccttctccttctcggctgcctggccccagcgatactccaatt
ctgccccagtcctccagcagtaaggctccccctccatctctgccatcccc
cagcagactgccaggcccttctgatacacccatcctcccacagtgatgag
gatccgcggccgcttaattaa.

[0234]

In another embodiment, the amino acid sequence of Factor VII-CTP-CTP-CTP (attached to the carboxy terminus) comprises the following amino acid sequence: MVSQALRLLCLLLGLQGCLAAVFVTQEEAHGVLHRRRRANAFLEELRPGSLERECK EEQCSFEEAREIFKDAERTKLFWISYSDGDQCASSPCQNGGSCKDQLQSYICFCLPAFE GRNCETHKDDQLICVNENGGCEQYCSDHTGTKRSCRCHEGYSLLADGVSCTPTVEY PCGKIPILEKRNASKPQGRIVGGKVCPKGECPWQVLLLVNGAQLCGGTLINTIWVVS AAHCFDKIKNWRNLIAVLGEHDLSEHDGDEQSRRVAQVIIPSTYVPGTTNHDIALLRL HQPVVLTDHVVPLCLPERTFSERTLAFVRFSLVSGWGQLLDRGATALELMVLNVPRL MTQDCLQQSRKVGDSPNITEYMFCAGYSDGSKDSCKGDSGGPHATHYRGTWYLTGI VSWGQGCATVGHFGVYTRVSQYIEWLQKLMRSEPRPGVLLRAPFPSSSSKAPPPSLPS PSRLPGPSDTPILPQSSSSKAPPPSLPSPSRLPGPSDTPILPQSSSSKAPPPSLPSPSRLPGP SDTPILPQ (SEQ ID NO: 25). In another embodiment, amino acids 1-38 of SEQ ID NO: 25 comprise a signal sequence.

[0235]

In another embodiment, the amino acid sequence of Factor VII-CTP-CTP-CTP (attached to the carboxy terminus) lacking a signal peptide comprises the following amino acid sequence: ANAFLEELRP GSLERECKEE QCSFEEAREI FKDAERTKLF WISYSDGDQC ASSPCQNGGS CKDQLQSYIC FCLPAFEGRN CETHKDDQLI CVNENGGCEQ YCSDHTGTKR SCRCHEGYSL LADGVSCTPT VEYPCGKIPI LEKRNASKPQ GRIVGGKVCP KGECPWQVLL LVNGAQLCGG TLINTIWVVS AAHCFDKIKN WRNLIAVLGE HDLSEHDGDE QSRRVAQVII PSTYVPGTTN HDIALLRLHQ PVVLTDHVVP LCLPERTFSE RTLAFVRFSL VSGWGQLLDR GATALELMVL NVPRLMTQDC LQQSRKVGDS PNITEYMFCA GYSDGSKDSC KGDSGGPHAT HYRGTWYLTG IVSWGQGCAT VGHFGVYTRV SQYIEWLQKL MRSEPRPGVL LRAPFPSSSS KAPPPSLPSP SRLPGPSDTP ILPQSSSSKA PPPSLPSPSR LPGPSDTPIL PQSSSSKAPP PSLPSPSRLP GPSDTPILPQ (SEQ ID NO: 46).

[0236]

In another embodiment, the amino acid sequence of activated Factor VII-CTP-CTP-CTP (attached to the carboxy terminus) (FVIIa-CTP3) lacks a signal peptide and comprises the amino acid sequence as put forth in SEQ ID NO: 46. In another embodiment, FVIIa-CTP3lacks a signal peptide and comprises a homolog of SEQ ID NO: 46. In another embodiment, FVIIa-CTP3lacks a signal peptide and comprises a variant of SEQ ID NO: 46. In another embodiment, the amino acid sequence of FVIIa-CTP3is cleaved between arginine (R) at residue 152 and isoleucine (I) at residue 153. In another embodiment, the amino acid sequence of FVIIa-CTP3is structurally present as a disulfide-linked two chain heterodimer comprising a disulfide S—S bridge between cysteine residues present on each of the chains. In another embodiment, the amino acid sequence of FVIIa-CTP3is structurally present as a heterodimer comprising a light-chain and a heavy-chain linked by a disulfide —S—S— bond between a cysteine residue present in the light-chain and a cysteine residue present in the heavy chain. In another embodiment, the light chain comprises an N-terminal fragment of the FVIIa-CTP3 amino acid sequence and the heavy chain comprises a C-terminal fragment of the FVIIa-CTP3 amino acid sequence. In another embodiment, the cysteine residues may be any cysteine residue in either chain. In another embodiment, the amino acid sequence of FVIIa-CTP3is structurally present as a disulfide-linked two chain heterodimer comprising an S—S bridge between cysteine residue 135 and cysteine residue 262 of SEQ ID NO: 46, wherein said two chains comprise a light chain comprising amino acids 1-152 and a heavy chain comprising amino acids 153-490.

[0237]

In another embodiment, a light chain migrates at about 25 kDA in an SDS-PAGE under denaturing conditions. In another embodiment, a heavy chain migrates at about 50 kDA in an SDS-PAGE under denaturing conditions. In another embodiment, a heavy chain migrates at about 60 kDA in an SDS-PAGE under denaturing conditions.

[0238]

In another embodiment, the nucleic acid sequence encoding Factor VII-(CTP)4(attached to the carboxy terminus) comprises the following nucleic acid sequence:

[0239]

(SEQ ID NO: 26)
ctcgaggacatggtctcccaggccctcaggctcctctgccttctgcttgg
gcttcagggctgcctggctgcagtcttcgtaacccaggaggaagcccacg
gcgtcctgcaccggcgccggcgcgccaacgcgttcctggaggagctgcgg
ccgggctccctggagagggagtgcaaggaggagcagtgctccttcgagga
ggcccgggagatcttcaaggacgcggagaggacgaagctgttctggattt
cttacagtgatggggaccagtgtgcctcaagtccatgccagaatgggggc
tcctgcaaggaccagctccagtcctatatctgcttctgcctccctgcctt
cgagggccggaactgtgagacgcacaaggatgaccagctgatctgtgtga
acgagaacggcggctgtgagcagtactgcagtgaccacacgggcaccaag
cgctcctgtcggtgccacgaggggtactctctgctggcagacggggtgtc
ctgcacacccacagttgaatatccatgtggaaaaatacctattctagaaa
aaagaaatgccagcaaaccccaaggccgaattgtggggggcaaggtgtgc
cccaaaggggagtgtccatggcaggtcctgttgttggtgaatggagctca
gttgtgtggggggaccctgatcaacaccatctgggtggtctccgcggccc
actgtttcgacaaaatcaagaactggaggaacctgatcgcggtgctgggc
gagcacgacctcagcgagcacgacggggatgagcagagccggcgggtggc
gcaggtcatcatccccagcacgtacgtcccgggcaccaccaaccacgaca
tcgcgctgctccgcctgcaccagcccgtggtcctcactgaccatgtggtg
cccctctgcctgcccgaacggacgttctctgagaggacgctggccttcgt
gcgcttctcattggtcagcggctggggccagctgctggaccgtggcgcca
cggccctggagctcatggtcctcaacgtgccccggctgatgacccaggac
tgcctgcagcagtcacggaaggtgggagactccccaaatatcacggagta
catgttctgtgccggctactcggatggcagcaaggactcctgcaaggggg
acagtggaggcccacatgccacccactaccggggcacgtggtacctgacc
ggcatcgtgagctggggccagggctgcgccaccgtgggccacttcggcgt
gtacaccagggtgtcccagtacatcgagtggctgcagaaactgatgagaa
gcgagcccagacccggcgtgctgctgagagcccccttccccagcagcagc
tccaaggcccctccccctagcctgcccagccctagcagactgcctgggcc
cagtgacacccctatcctgcctcagtccagctccagcaaggccccacccc
ctagcctgccttctccttctcggctgcctggccccagcgatactccaatt
ctgccccagtcctccagcagtaaggctccccctccatctctgccatcccc
cagcagactgccaggcccttctgatacacccatcctcccacagtgatgag
gatccgc.

[0240]

In another embodiment, the amino acid sequence of Factor VII-(CTP))4(attached to the carboxy terminus) comprises the following amino acid sequence:

[0241]

(SEQ ID NO: 27)
LEDMVSQALRLLCLLLGLQGCLAAVFVTQEEAHGVLHRRRRANAFLEELR
PGSLERECKEEQCSFEEAREIFKDAERTKLFWISYSDGDQCASSPCQNGG
SCKDQLQSYICFCLPAFEGRNCETHKDDQLICVNENGGCEQYCSDHTGTK
RSCRCHEGYSLLADGVSCTPTVEYPCGKIPILEKRNASKPQGRIVGGKVC
PKGECPWQVLLLVNGAQLCGGTLINTIWVVSAAHCFDKIKNWRNLIAVLG
EHDLSEHDGDEQSRRVAQVIIPSTYVPGTTNHDIALLRLHQPVVLTDHVV
PLCLPERTFSERTLAFVRFSLVSGWGQLLDRGATALELMVLNVPRLMTQD
CLQQSRKVGDSPNITEYMFCAGYSDGSKDSCKGDSGGPHATHYRGTWYLT
GIVSWGQGCATVGHFGVYTRVSQYIEWLQKLMRSEPRPGVLLRAPFPSSS
SKAPPPSLPSPSRLPGPSDTPILPQSSSSKAPPPSLPSPSRLPGPSDTPI
LPQSSSSKAPPPSLPSPSRLPGPSDTPILPQ.

[0242]

In another embodiment, the nucleic acid sequence encoding Factor VII-(CTP)5(attached to the carboxy terminus) comprises the following nucleic acid sequence:

[0243]

(SEQ ID NO: 28)
ctcgaggacatggtctcccaggccctcaggctcctctgccttctgcttgg
gcttcagggctgcctggctgcagtcttcgtaacccaggaggaagcccacg
gcgtcctgcaccggcgccggcgcgccaacgcgttcctggaggagctgcgg
ccgggctccctggagagggagtgcaaggaggagcagtgctccttcgagga
ggcccgggagatcttcaaggacgcggagaggacgaagctgttctggattt
cttacagtgatggggaccagtgtgcctcaagtccatgccagaatgggggc
tcctgcaaggaccagctccagtcctatatctgcttctgcctccctgcctt
cgagggccggaactgtgagacgcacaaggatgaccagctgatctgtgtga
acgagaacggcggctgtgagcagtactgcagtgaccacacgggcaccaag
cgctcctgtcggtgccacgaggggtactctctgctggcagacggggtgtc
ctgcacacccacagttgaatatccatgtggaaaaatacctattctagaaa
aaagaaatgccagcaaaccccaaggccgaattgtggggggcaaggtgtgc
cccaaaggggagtgtccatggcaggtcctgttgttggtgaatggagctca
gttgtgtggggggaccctgatcaacaccatctgggtggtctccgcggccc
actgtttcgacaaaatcaagaactggaggaacctgatcgcggtgctgggc
gagcacgacctcagcgagcacgacggggatgagcagagccggcgggtggc
gcaggtcatcatccccagcacgtacgtcccgggcaccaccaaccacgaca
tcgcgctgctccgcctgcaccagcccgtggtcctcactgaccatgtggtg
cccctctgcctgcccgaacggacgttctctgagaggacgctggccttcgt
gcgcttctcattggtcagcggctggggccagctgctggaccgtggcgcca
cggccctggagctcatggtcctcaacgtgccccggctgatgacccaggac
tgcctgcagcagtcacggaaggtgggagactccccaaatatcacggagta
catgttctgtgccggctactcggatggcagcaaggactcctgcaaggggg
acagtggaggcccacatgccacccactaccggggcacgtggtacctgacc
ggcatcgtgagctggggccagggctgcgccaccgtgggccacttcggcgt
gtacaccagggtgtcccagtacatcgagtggctgcagaaactgatgagaa
gcgagcccagacccggcgtgctgctgagagcccccttccccagcagcagc
tccaaggcccctccccctagcctgcccagccctagcagactgcctgggcc
ctctgacacccctatcctgcctcagtccagctcctctaaggctccaccac
cttccctgcctagcccttcaagactgccaggccctagcgatacaccaatt
ctgccccagtcctccagcagcaaggctcccccacctagcctgccttctcc
atcaaggctgcctggcccatccgataccccaattttgcctcagagcagct
ctagcaaggcacctccccccagtctgccctctccaagcagactccctggc
ccttcagacactccaatcctcccacagtcctctagctctaaagctccacc
tcccagcctgcccagccctagtagactccccggaccttctgataccccca
tcttgccccagtgatgaggatccgc.

[0244]

In another embodiment, the amino acid sequence of Factor VII-(CTP)5(attached to the carboxy terminus) comprises the following amino acid sequence:

[0245]

(SEQ ID NO: 29)
LEDMVSQALRLLCLLLGLQGCLAAVFVTQEEAHGVLHRRRRANAFLEELR
PGSLERECKEEQCSFEEAREIFKDAERTKLFWISYSDGDQCASSPCQNGG
SCKDQLQSYICFCLPAFEGRNCETHKDDQLICVNENGGCEQYCSDHTGTK
RSCRCHEGYSLLADGVSCTPTVEYPCGKIPILEKRNASKPQGRIVGGKVC
PKGECPWQVLLLVNGAQLCGGTLINTIWVVSAAHCFDKIKNWRNLIAVLG
EHDLSEHDGDEQSRRVAQVIIPSTYVPGTTNHDIALLRLHQPVVLTDHVV
PLCLPERTFSERTLAFVRFSLVSGWGQLLDRGATALELMVLNVPRLMTQD
CLQQSRKVGDSPNITEYMFCAGYSDGSKDSCKGDSGGPHATHYRGTWYLT
GIVSWGQGCATVGHFGVYTRVSQYIEWLQKLMRSEPRPGVLLRAPFPSSS
SKAPPPSLPSPSRLPGPSDTPILPQSSSSKAPPPSLPSPSRLPGPSDTPI
LPQSSSSKAPPPSLPSPSRLPGPSDTPILPQSSSSKAPPPSLPSPSRLPG
PSDTPILPQSSSSKAPPPSLPSPSRLPGPSDTPILPQGS.

[0246]

In another embodiment, the nucleic acid sequence encoding Factor IX comprises the following nucleic acid sequence:

[0247]

(SEQ ID NO: 16)
gcgatcgccatgcagcgcgtgaacatgatcatggcagaatcaccaggcct
catcaccattgccttttaggatatctactcagtgctgaatgtacagtttt
tcttgatcatgaaaacgccaacaaaattctgaatcggccaaagaggtata
attcaggtaaattggaagagtttgttcaagggaaccttgagagagaatgt
atggaagaaaagtgtagttttgaagaagcacgagaagtttttgaaaacac
tgaaagaacaactgaattttggaagcagtatgttgatggagatcagtgtg
agtccaatccatgtttaaatggcggcagttgcaaggatgacattaattcc
tatgaatgttggtgtccctttggatttgaaggaaagaactgtgaattaga
tgtaacatgtaacattaagaatggcagatgcgagcagttttgtaaaaata
gtgctgataacaaggtggtttgctcctgtactgagggatatcgacttgca
gaaaaccagaagtcctgtgaaccagcagtgccatttccatgtggaagagt
ttctgtttcacaaacttctaagctcacccgtgctgagactgtttttcctg
atgtggactatgtaaattctactgaagctgaaaccattttggataacatc
actcaaagcacccaatcatttaatgacttcactcgagttgttggtggaga
agatgccaaaccaggtcaattcccttggcaggttgttttgaatggtaaag
ttgatgcattctgtggaggctctatcgttaatgaaaaatggattgtaact
gctgcccactgtgttgaaactggtgttaaaattacagttgtcgcaggtga
acataatattgaggagacagaacatacagagcaaaagcgaaatgtgattc
gaattattcctcaccacaactacaatgcagctattaataagtacaaccat
gacattgcccttctggaactggacgaacccttagtgctaaacagctacgt
tacacctatttgcattgctgacaaggaatacacgaacatcttcctcaaat
ttggatctggctatgtaagtggctggggaagagtcttccacaaagggaga
tcagctttagttctccagtaccttagagttccacttgttgaccgagccac
atgtcttcgatctacaaagttcaccatctataacaacatgttctgtgctg
gcttccatgaaggaggtagagattcatgtcaaggagatagtgggggaccc
catgttactgaagtggaagggaccagtttcttaactggaattattagctg
gggtgaagagtgtgcaatgaaaggcaaatatggaatatataccaaggtat
cccggtatgtcaactggattaaggaaaaaacaaagctcacttgaacgcgg
ccgc.

[0248]

In another embodiment, the amino acid sequence of Factor IX comprises the following amino acid sequence:

[0249]

(SEQ ID NO: 17)
MQRVNMIMAESPGLITICLLGYLLSAECTVFLDHENANKILNRPKRYNSG
KLEEFVQGNLERECMEEKCSFEEAREVFENTERTTEFWKQYVDGDQCESN
PCLNGGSCKDDINSYECWCPFGFEGKNCELDVTCNIKNGRCEQFCKNSAD
NKVVCSCTEGYRLAENQKSCEPAVPFPCGRVSVSQTSKLTRAETVFPDVD
YVNSTEAETILDNITQSTQSFNDFTRVVGGEDAKPGQFPWQVVLNGKVDA
FCGGSIVNEKWIVTAAHCVETGVKITVVAGEHNIEETEHTEQKRNVIRII
PHHNYNAAINKYNHDIALLELDEPLVLNSYVTPICIADKEYTNIFLKFGS
GYVSGWGRVFHKGRSALVLQYLRVPLVDRATCLRSTKFTIYNNMFCAGFH
EGGRDSCQGDSGGPHVTEVEGTSFLTGIISWGEECAMKGKYGIYTKVSRY
VNWIKEKTKLT*.

[0250]

In another embodiment, the nucleic acid sequence encoding Factor IX-CTP (attached to the carboxy terminus) comprises the following nucleic acid sequence:

[0251]

(SEQ ID NO: 18)
gcgatcgccatgcagcgcgtgaacatgatcatggcagaatcaccaggcct
catcaccatctgccttttaggatatctactcagtgctgaatgtacagttt
ttcttgatcatgaaaacgccaacaaaattctgaatcggccaaagaggtat
aattcaggtaaattggaagagtttgttcaagggaaccttgagagagaatg
tatggaagaaaagtgtagttttgaagaagcacgagaagtttttgaaaaca
ctgaaagaacaactgaattttggaagcagtatgttgatggagatcagtgt
gagtccaatccatgtttaaatggcggcagttgcaaggatgacattaattc
ctatgaatgttggtgtccctttggatttgaaggaaagaactgtgaattag
atgtaacatgtaacattaagaatggcagatgcgagcagttttgtaaaaat
agtgctgataacaaggtggtttgctcctgtactgagggatatcgacttgc
agaaaaccagaagtcctgtgaaccagcagtgccatttccatgtggaagag
tttctgtttcacaaacttctaagctcacccgtgctgagactgtttttcct
gatgtggactatgtaaattctactgaagctgaaaccattttggataacat
cactcaaagcacccaatcatttaatgacttcactcgagttgttggtggag
aagatgccaaaccaggtcaattcccttggcaggttgttttgaatggtaaa
gttgatgcattctgtggaggctctatcgttaatgaaaaatggattgtaac
tgctgcccactgtgttgaaactggtgttaaaattacagttgtcgcaggtg
aacataatattgaggagacagaacatacagagcaaaagcgaaatgtgatt
cgaattattcctcaccacaactacaatgcagctattaataagtacaacca
tgacattgcccttctggaactggacgaacccttagtgctaaacagctacg
ttacacctatttgcattgctgacaaggaatacacgaacatcttcctcaaa
tttggatctggctatgtaagtggctggggaagagtcttccacaaagggag
atcagctttagttcttcagtaccttagagttccacttgttgaccgagcca
catgtcttcgatctacaaagttcaccatctataacaacatgttctgtgct
ggcttccatgaaggaggtagagattcatgtcaaggagatagtgggggacc
ccatgttactgaagtggaagggaccagtttcttaactggaattattagct
ggggtgaagagtgtgcaatgaaaggcaaatatggaatatataccaaggta
tcccggtatgtcaactggattaaggaaaaaacaaagctcactagctccag
cagcaaggcccctcccccgagcctgccctccccaagcaggctgcctgggc
cctccgacacaccaatcctgccacagtgatgaaggtctggatccgcggcc
gc.

[0252]

In another embodiment, the amino acid sequence of Factor IX-CTP (attached to the carboxy terminus) comprises the following amino acid sequence:

[0253]

(SEQ ID NO: 19)
MQRVNMIMAESPGLITICLLGYLLSAECTVFLDHENANKILNRPKRYNSG
KLEEFVQGNLERECMEEKCSFEEAREVFENTERTTEFWKQYVDGDQCESN
PCLNGGSCKDDINSYECWCPFGFEGKNCELDVTCNIKNGRCEQFCKNSAD
NKVVCSCTEGYRLAENQKSCEPAVPFPCGRVSVSQTSKLTRAETVFPDVD
YVNSTEAETILDNITQSTQSFNDFTRVVGGEDAKPGQFPWQVVLNGKVDA
FCGGSIVNEKWIVTAAHCVETGVKITVVAGEHNIEETEHTEQKRNVIRII
PHHNYNAAINKYNHDIALLELDEPLVLNSYVTPICIADKEYTNIFLKFGS
GYVSGWGRVFHKGRSALVLQYLRVPLVDRATCLRSTKFTIYNNMFCAGFH
EGGRDSCQGDSGGPHVTEVEGTSFLTGIISWGEECAMKGKYGIYTKVSRY
VNWIKEKTKLTSSSSKAPPPSLPSPSRLPGPSDTPILPQ.

[0254]

In another embodiment, the nucleic acid sequence encoding Factor IX-CTP-CTP (attached to the carboxy terminus) comprises the following nucleic acid sequence:

[0255]

(SEQ ID NO: 20)
gcgatcgccatgcagcgcgtgaacatgatcatggcagaatcaccaggcct
catcaccatctgccttttaggatatctactcagtgctgaatgtacagttt
ttcttgatcatgaaaacgccaacaaaattctgaatcggccaaagaggtat
aattcaggtaaattggaagagtttgttcaagggaaccttgagagagaatg
tatggaagaaaagtgtagttttgaagaagcacgagaagtttttgaaaaca
ctgaaagaacaactgaattttggaagcagtatgttgatggagatcagtgt
gagtccaatccatgtttaaatggcggcagttgcaaggatgacattaattc
ctatgaatgttggtgtccctttggatttgaaggaaagaactgtgaattag
atgtaacatgtaacattaagaatggcagatgcgagcagttttgtaaaaat
agtgctgataacaaggtggtttgctcctgtactgagggatatcgacttgc
agaaaaccagaagtcctgtgaaccagcagtgccatttccatgtggaagag
tttctgtttcacaaacttctaagctcacccgtgctgagactgtttttcct
gatgtggactatgtaaattctactgaagctgaaaccattttggataacat
cactcaaagcacccaatcatttaatgacttcactcgagttgttggtggag
aagatgccaaaccaggtcaattcccttggcaggttgttttgaatggtaaa
gttgatgcattctgtggaggctctatcgttaatgaaaaatggattgtaac
tgctgcccactgtgttgaaactggtgttaaaattacagttgtcgcaggtg
aacataatattgaggagacagaacatacagagcaaaagcgaaatgtgatt
cgaattattcctcaccacaactacaatgcagctattaataagtacaacca
tgacattgcccttctggaactggacgaacccttagtgctaaacagctacg
ttacacctatttgcattgctacaaggaatacacgaacatcttcctcaaat
ttggatctggctatgtaagtggctggggaagagtcttccacaaagggaga
tcagctttagttcttcagtaccttagagttccacttgttgaccgagccac
atgtcttcgatctacaaagttcaccatctataacaacatgttctgtgctg
gcttccatgaaggaggtagagattcatgtcaaggagatagtgggggaccc
catgttactgaagtggaagggaccagtttcttaactggaattattagctg
gggtgaagagtgtgcaatgaaaggcaaatatggaatatataccaaggtat
cccggtatgtcaactggattaaggaaaaaacaaagctcactagctccagc
agcaaggcccctcccccgagcctgccctccccaagcaggctgcctgggcc
ctccgacacaccaatcctgccacagagcagctcctctaaggcccctcctc
catccctgccatccccctcccggctgcctggcccctctgacacccctatc
ctgcctcagtgatgaaggtctggatccgcggccgc.

[0256]

In another embodiment, the amino acid sequence of Factor IX-CTP-CTP (attached to the carboxy terminus) comprises the following amino acid sequence:

[0257]

(SEQ ID NO: 21)
MQRVNMIMAESPGLITICLLGYLLSAECTVFLDHENANKILNRPKRYNSG
KLEEFVQGNLERECMEEKCSFEEAREVFENTERTTEFWKQYVDGDQCESN
PCLNGGSCKDDINSYECWCPFGFEGKNCELDVTCNIKNGRCEQFCKNSAD
NKVVCSCTEGYRLAENQKSCEPAVPFPCGRVSVSQTSKLTRAETVFPDVD
YVNSTEAETILDNITQSTQSFNDFTRVVGGEDAKPGQFPWQVVLNGKVDA
FCGGSIVNEKWIVTAAHCVETGVKITVVAGEHNIEETEHTEQKRNVIRII
PHHNYNAAINKYNHDIALLELDEPLVLNSYVTPICIADKEYTNIFLKFGS
GYVSGWGRVFHKGRSALVLQYLRVPLVDRATCLRSTKFTIYNNMFCAGFH
EGGRDSCQGDSGGPHVTEVEGTSFLTGIISWGEECAMKGKYGIYTKVSRY
VNWIKEKTKLTSSSSKAPPPSLPSPSRLPGPSDTPILPQSSSSKAPPPSL
PSPSRLPGPSDTPILPQ.

[0258]

In another embodiment, the nucleic acid sequence encoding Factor IX-(CTP)3(attached to the carboxy terminus) comprises the following nucleic acid sequence:

[0259]

(SEQ ID NO: 30)
tctagagtcgaccccgccatgcagcgcgtgaacatgatcatggcagaatc
accaggcctcatcaccatctgccttttaggatatctactcagtgctgaat
gtacagtttttcttgatcatgaaaacgccaacaaaattctgaatcggcca
aagaggtataattcaggtaaattggaagagtttgttcaagggaaccttga
gagagaatgtatggaagaaaagtgtagttttgaagaagcacgagaagttt
ttgaaaacactgaaagaacaactgaattttggaagcagtatgttgatgga
gatcagtgtgagtccaatccatgtttaaatggcggcagttgcaaggatga
cattaattcctatgaatgttggtgtccctttggatttgaaggaaagaact
gtgaattagatgtaacatgtaacattaagaatggcagatgcgagcagttt
tgtaaaaatagtgctgataacaaggtggtttgctcctgtactgagggata
tcgacttgcagaaaaccagaagtcctgtgaaccagcagtgccatttccat
gtggaagagtttctgtttcacaaacttctaagctcacccgtgctgaggca
gtttttcctgatgtggactatgtaaattctactgaagctgaaaccatttt
ggataacatcactcaaagcacccaatcatttaatgacttcactcgagttg
ttggtggagaagatgccaaaccaggtcaattcccttggcaggttgttttg
aatggtaaagttgatgcattctgtggaggctctatcgttaatgaaaaatg
gattgtaactgctgcccactgtgttgaaactggtgttaaaattacagttg
tcgcaggtgaacataatattgaggagacagaacatacagagcaaaagcga
aatgtgattcgaattattcctcaccacaactacaatgcagctattaataa
gtacaaccatgacattgcccttctggaactggacgaacccttagtgctaa
acagctacgttacacctatttgcattgctgacaaggaatacacgaacatc
ttcctcaaatttggatctggctatgtaagtggctggggaagagtcttcca
caaagggagatcagctttagttcttcagtaccttagagttccacttgttg
accgagccacatgtcttcgatctacaaagttcaccatctataacaacatg
ttctgtgctggcttccatgaaggaggtagagattcatgtcaaggagatag
tgggggaccccatgttactgaagtggaagggaccagtttcttaactggaa
ttattagctggggtgaagagtgtgcaatgaaaggcaaatatggaatatat
accaaggtatcccggtatgtcaactggattaaggaaaaaacaaagctcac
tagctccagcagcaaggcccctcccccgagcctgccctccccaagcaggc
tgcctgggcccagtgacacccctatcctgcctcagtccagctccagcaag
gccccaccccctagcctgccttctccttctcggctgcctggccccagcga
tactccaattctgccccagtcctccagcagtaaggctccccctccatctc
tgccatcccccagcagactgccaggcccttctgatacacccatcctccca
cagtgatgaggatccgcggccgc.

[0260]

In another embodiment, the amino acid sequence of Factor IX-(CTP)3(attached to the carboxy terminus) comprises the following amino acid sequence:

[0261]

(SEQ ID NO: 31)
MQRVNMIMAESPGLITICLLGYLLSAECTVFLDHENANKILNRPKRYNSG
KLEEFVQGNLERECMEEKCSFEEAREVFENTERTTEFWKQYVDGDQCESN
PCLNGGSCKDDINSYECWCPFGFEGKNCELDVTCNIKNGRCEQFCKNSAD
NKVVCSCTEGYRLAENQKSCEPAVPFPCGRVSVSQTSKLTRAEAVFPDVD
YVNSTEAETILDNITQSTQSFNDFTRVVGGEDAKPGQFPWQVVLNGKVDA
FCGGSIVNEKWIVTAAHCVETGVKITVVAGEHNIEETEHTEQKRNVIRII
PHHNYNAAINKYNHDIALLELDEPLVLNSYVTPICIADKEYTNIFLKFGS
GYVSGWGRVFHKGRSALVLQYLRVPLVDRATCLRSTKFTIYNNMFCAGFH
EGGRDSCQGDSGGPHVTEVEGTSFLTGIISWGEECAMKGKYGIYTKVSRY
VNWIKEKTKLTSSSSKAPPPSLPSPSRLPGPSDTPILPQSSSSKAPPPSL
PSPSRLPGPSDTPILPQSSSSKAPPPSLPSPSRLPGPSDTPILPQ.

[0262]

In another embodiment, the nucleic acid sequence encoding Factor IX-(CTP)4(attached to the carboxy terminus) comprises the following nucleic acid sequence:

[0263]

(SEQ ID NO: 32)
tctagagtcgaccccgccatgcagcgcgtgaacatgatcatggcagaatc
accaggcctcatcaccatctgccttttaggatatctactcagtgctgaat
gtacagtttttcttgatcatgaaaacgccaacaaaattctgaatcggcca
aagaggtataattcaggtaaattggaagagtttgttcaagggaaccttga
gagagaatgtatggaagaaaagtgtagttttgaagaagcacgagaagttt
ttgaaaacactgaaagaacaactgaattttggaagcagtatgttgatgga
gatcagtgtgagtccaatccatgtttaaatggcggcagttgcaaggatga
cattaattcctatgaatgttggtgtccctttggatttgaaggaaagaact
gtgaattagatgtaacatgtaacattaagaatggcagatgcgagcagttt
tgtaaaaatagtgctgataacaaggtggtttgctcctgtactgagggata
tcgacttgcagaaaaccagaagtcctgtgaaccagcagtgccatttccat
gtggaagagtttctgtttcacaaacttctaagctcacccgtgctgaggca
gtttttcctgatgtggactatgtaaattctactgaagctgaaaccatttt
ggataacatcactcaaagcacccaatcatttaatgacttcactcgagttg
ttggtggagaagatgccaaaccaggtcaattcccttggcaggttgttttg
aatggtaaagttgatgcattctgtggaggctctatcgttaatgaaaaatg
gattgtaactgctgcccactgtgttgaaactggtgttaaaattacagttg
tcgcaggtgaacataatattgaggagacagaacatacagagcaaaagcga
aatgtgattcgaattattcctcaccacaactacaatgcagctattaataa
gtacaaccatgacattgcccttctggaactggacgaacccttagtgctaa
acagctacgttacacctatttgcattgctgacaaggaatacacgaacatc
ttcctcaaatttggatctggctatgtaagtggctggggaagagtcttcca
caaagggagatcagctttagttcttcagtaccttagagttccacttgttg
accgagccacatgtcttcgatctacaaagttcaccatctataacaacatg
ttctgtgctggcttccatgaaggaggtagagattcatgtcaaggagatag
tgggggaccccatgttactgaagtggaagggaccagtttcttaactggaa
ttattagctggggtgaagagtgtgcaatgaaaggcaaatatggaatatat
accaaggtatcccggtatgtcaactggattaaggaaaaaacaaagctcac
tagctccagcagcaaggcccctcccccgagcctgccctccccaagcaggc
tgcctgggccctctgacacccctatcctgcctcagtccagctcctctaag
gccccaccaccttccctgcctagcccttcaagactgccaggccctagcga
tacaccaattctgccccagtcctccagcagcaaggctcccccacctagcc
tgccttctccatcaaggctgcctggcccatccgataccccaattttgcct
cagagcagctctagcaaggcacctccccccagtctgccctctccaagcag
actccctggcccttcagacactcccattctgccacagtgatgaggatccg
cggccgc.

[0264]

In another embodiment, the amino acid sequence of Factor IX-(CTP)4(attached to the carboxy terminus) comprises the following amino acid sequence:

[0265]

(SEQ ID NO: 33)
SRVDPAMQRVNMIMAESPGLITICLLGYLLSAECTVFLDHENANKILNRP
KRYNSGKLEEFVQGNLERECMEEKCSFEEAREVFENTERTTEFWKQYVDG
DQCESNPCLNGGSCKDDINSYECWCPFGFEGKNCELDVTCNIKNGRCEQF
CKNSADNKVVCSCTEGYRLAENQKSCEPAVPFPCGRVSVSQTSKLTRAEA
VFPDVDYVNSTEAETILDNITQSTQSFNDFTRVVGGEDAKPGQFPWQVVL
NGKVDAFCGGSIVNEKWIVTAAHCVETGVKITVVAGEHNIEETEHTEQKR
NVIRIIPHHNYNAAINKYNHDIALLELDEPLVLNSYVTPICIADKEYTNI
FLKFGSGYVSGWGRVFHKGRSALVLQYLRVPLVDRATCLRSTKFTIYNNM
FCAGFHEGGRDSCQGDSGGPHVTEVEGTSFLTGIISWGEECAMKGKYGIY
TKVSRYVNWIKEKTKLTSSSSKAPPPSLPSPSRLPGPSDTPILPQSSSSK
APPPSLPSPSRLPGPSDTPILPQSSSSKAPPPSLPSPSRLPGPSDTPILP
QSSSSKAPPPSLPSPSRLPGPSDTPILPQGSAA.

[0266]

In another embodiment, the nucleic acid sequence encoding Factor IX-(CTP)5(attached to the carboxy terminus) comprises the following nucleic acid sequence:

[0267]

(SEQ ID NO: 34)
ctagagtcgaccccgccatgcagcgcgtgaacatgatcatggcagaatca
ccaggcctcatcaccatctgccttttaggatatctactcagtgctgaatg
tacagtttttcttgatcatgaaaacgccaacaaaattctgaatcggccaa
agaggtataattcaggtaaattggaagagtttgttcaagggaaccttgag
agagaatgtatggaagaaaagtgtagttttgaagaagcacgagaagtttt
tgaaaacactgaaagaacaactgaattttggaagcagtatgttgatggag
atcagtgtgagtccaatccatgtttaaatggcggcagttgcaaggatgac
attaattcctatgaatgttggtgtccctttggatttgaaggaaagaactg
tgaattagatgtaacatgtaacattaagaatggcagatgcgagcagtttt
gtaaaaatagtgctgataacaaggtggtttgctcctgtactgagggatat
cgacttgcagaaaaccagaagtcctgtgaaccagcagtgccatttccatg
tggaagagtttctgtttcacaaacttctaagctcacccgtgctgaggcag
tttttcctgatgtggactatgtaaattctactgaagctgaaaccattttg
gataacatcactcaaagcacccaatcatttaatgacttcactcgagttgt
tggtggagaagatgccaaaccaggtcaattcccttggcaggttgttttga
atggtaaagttgatgcattctgtggaggctctatcgttaatgaaaaatgg
attgtaactgctgcccactgtgttgaaactggtgttaaaattacagttgt
cgcaggtgaacataatattgaggagacagaacatacagagcaaaagcgaa
atgtgattcgaattattcctcaccacaactacaatgcagctattaataag
tacaaccatgacattgcccttctggaactggacgaacccttagtgctaaa
cagctacgttacacctatttgcattgctgacaaggaatacacgaacatct
tcctcaaatttggatctggctatgtaagtggctggggaagagtcttccac
aaagggagatcagctttagttcttcagtaccttagagttccacttgttga
ccgagccacatgtcttcgatctacaaagttcaccatctataacaacatgt
tctgtgctggcttccatgaaggaggtagagattcatgtcaaggagatagt
gggggaccccatgttactgaagtggaagggaccagtttcttaactggaat
tattagctggggtgaagagtgtgcaatgaaaggcaaatatggaatatata
ccaaggtatcccggtatgtcaactggattaaggaaaaaacaaagctcact
agctccagcagcaaggcccctcccccgagcctgccctccccaagcaggct
gcctgggccctctgacacccctatcctgcctcagtccagctcctctaagg
ctccaccaccttccctgcctagcccttcaagactgccaggccctagcgat
acaccaattctgccccagtcctccagcagcaaggctcccccacctagcct
gccttctccatcaaggctgcctggcccatccgataccccaattttgcctc
agagcagctctagcaaggcacctccccccagtctgccctctccaagcaga
ctccctggcccttcagacactccaatcctcccacagtcctctagctctaa
agctccacctcccagcctgcccagccctagtagactccccggaccttctg
atacccccatcttgccccagtgatgaggatccgcggccgc.

[0268]

In another embodiment, the amino acid sequence of Factor IX-(CTP)5(attached to the carboxy terminus) comprises the following amino acid sequence:

[0269]

(SEQ ID NO: 35)
RVDPAMQRVNMIMAESPGLITICLLGYLLSAECTVFLDHENANKILNRPK
RYNSGKLEEFVQGNLERECMEEKCSFEEAREVFENTERTTEFWKQYVDGD
QCESNPCLNGGSCKDDINSYECWCPFGFEGKNCELDVTCNIKNGRCEQFC
KNSADNKVVCSCTEGYRLAENQKSCEPAVPFPCGRVSVSQTSKLTRAEAV
FPDVDYVNSTEAETILDNITQSTQSFNDFTRVVGGEDAKPGQFPWQVVLN
GKVDAFCGGSIVNEKWIVTAAHCVETGVKITVVAGEHNIEETEHTEQKRN
VIRIIPHHNYNAAINKYNHDIALLELDEPLVLNSYVTPICIADKEYTNIF
LKFGSGYVSGWGRVFHKGRSALVLQYLRVPLVDRATCLRSTKFTIYNNMF
CAGFHEGGRDSCQGDSGGPHVTEVEGTSFLTGIISWGEECAMKGKYGIYT
KVSRYVNWIKEKTKLTSSSSKAPPPSLPSPSRLPGPSDTPILPQSSSSKA
PPPSLPSPSRLPGPSDTPILPQSSSSKAPPPSLPSPSRLPGPSDTPILPQ
SSSSKAPPPSLPSPSRLPGPSDTPILPQSSSSKAPPPSLPSPSRLPGPSD
TPILPQGSAA.

[0270]

In another embodiment, furin is added to a cell expressing the coagulation factor-CTP of the disclosure. In another embodiment, furin increases the production efficiency of a coagulation factor-CTP of the disclosure in a cell. In another embodiment, furin is co-transfected with the vector comprising the coding sequence of the coagulation factor-CTP of the disclosure. In another embodiment, furin is encoded by a separate vector. In another embodiment, furin and a coagulation factor-CTP are encoded by one vector. In another embodiment, the coding sequence of furin is inserted into pCI-DHFR. In another embodiment, the coding sequence of furin is engineered in pCI-dhfr/smal+NotI, Furin/AsisI F.I.+NotI.

[0271]

In another embodiment, the nucleic acid sequence encoding furin comprises the following nucleic acid sequence:

[0272]

(SEQ ID NO: 22)
tctagagtcgaccccgccatggagctgaggccctggttgctatgggtggt
agcagcaacaggaaccttggtcctgctagcagctgatgctcagggccaga
aggtcttcaccaacacgtgggctgtgcgcatccctggaggcccagcggtg
gccaacagtgtggcacggaagcatgggttcctcaacctgggccagatctt
cggggactattaccacttctggcatcgaggagtgacgaagcggtccctgt
cgcctcaccgcccgcggcacagccggctgcagagggagcctcaagtacag
tggctggaacagcaggtggcaaagcgacggactaaacgggacgtgtacca
ggagcccacagaccccaagtttcctcagcagtggtacctgtctggtgtca
ctcagcgggacctgaatgtgaaggcggcctgggcgcagggctacacaggg
cacggcattgtggtctccattctggacgatggcatcgagaagaaccaccc
ggacttggcaggcaattatgatcctggggccagttttgatgtcaatgacc
aggaccctgacccccagcctcggtacacacagatgaatgacaacaggcac
ggcacacggtgtgcgggggaagtggctgcggtggccaacaacggtgtctg
tggtgtaggtgtggcctacaacgcccgcattggaggggtgcgcatgctgg
atggcgaggtgacagatgcagtggaggcacgctcgctgggcctgaacccc
aaccacatccacatctacagtgccagctggggccccgaggatgacggcaa
gacagtggatgggccagcccgcctcgccgaggaggccttcttccgtgggg
ttagccagggccgaggggggctgggctccatctttgtctgggcctcgggg
aacgggggccgggaacatgacagctgcaactgcgacggctacaccaacag
tatctacacgctgtccatcagcagcgccacgcagtttggcaacgtgccgt
ggtacagcgaggcctgctcgtccacactggccacgacctacagcagtggc
aaccagaatgagaagcagatcgtgacgactgacttgcggcagaagtgcac
ggagtctcacacgggcacctcagcctctgcccccttagcagccggcatca
ttgctctcaccctggaggccaataagaacctcacatggcgggacatgcaa
cacctggtggtacagacctcgaagccagcccacctcaatgccaacgactg
ggccaccaatggtgtgggccggaaagtgagccactcatatggctacgggc
ttttggacgcaggcgccatggtggccctggcccagaattggaccacagtg
gccccccagcggaagtgcatcatcgacatcctcaccgagcccaaagacat
cgggaaacggctcgaggtgcggaagaccgtgaccgcgtgcctgggcgagc
ccaaccacatcactcggctggagcacgctcaggcgcggctcaccctgtcc
tataatcgccgtggcgacctggccatccacctggtcagccccatgggcac
ccgctccaccctgctggcagccaggccacatgactactccgcagatgggt
ttaatgactgggccttcatgacaactcattcctgggatgaggatccctct
ggcgagtgggtcctagagattgaaaacaccagcgaagccaacaactatgg
gacgctgaccaagttcaccctcgtactctatggcaccgcccctgaggggc
tgcccgtacctccagaaagcagtggctgcaagaccctcacgtccagtcag
gcctgtgtggtgtgcgaggaaggcttctccctgcaccagaagagctgtgt
ccagcactgccctccaggcttcgccccccaagtcctcgatacgcactata
gcaccgagaatgacgtggagaccatccgggccagcgtctgcgccccctgc
cacgcctcatgtgccacatgccaggggccggccctgacagactgcctcag
ctgccccagccacgcctccttggaccctgtggagcagacttgctcccggc
aaagccagagcagccgagagtccccgccacagcagcagccacctcggctg
cccccggaggtggaggcggggcaacggctgcgggcagggctgctgccctc
acacctgcctgaggtggtggccggcctcagctgcgccttcatcgtgctgg
tcttcgtcactgtcttcctggtcctgcagctgcgctctggctttagtttt
cggggggtgaaggtgtacaccatggaccgtggcctcatctcctacaaggg
gctgccccctgaagcctggcaggaggagtgcccgtctgactcagaagagg
acgagggccggggcgagaggaccgcctttatcaaagaccagagcgccctc
tgaacgcggccgc.

[0273]

In another embodiment, the amino acid sequence of furin comprises the following amino acid sequence:

[0274]

(SEQ ID NO: 23)
MELRPWLLWVVAATGTLVLLAADAQGQKVFTNTWAVRIPGGPAVANSVAR
KHGFLNLGQIFGDYYHFWHRGVTKRSLSPHRPRHSRLQREPQVQWLEQQV
AKRRTKRDVYQEPTDPKFPQQWYLSGVTQRDLNVKAAWAQGYTGHGIVVS
ILDDGIEKNHPDLAGNYDPGASFDVNDQDPDPQPRYTQMNDNRHGTRCAG
EVAAVANNGVCGVGVAYNARIGGVRMLDGEVTDAVEARSLGLNPNHIHIY
SASWGPEDDGKTVDGPARLAEEAFFRGVSQGRGGLGSIFVWASGNGGREH
DSCNCDGYTNSIYTLSISSATQFGNVPWYSEACSSTLATTYSSGNQNEKQ
IVTTDLRQKCTESHTGTSASAPLAAGIIALTLEANKNLTWRDMQHLVVQT
SKPAHLNANDWATNGVGRKVSHSYGYGLLDAGAMVALAQNWTTVAPQRKC
IIDILTEPKDIGKRLEVRKTVTACLGEPNHITRLEHAQARLTLSYNRRGD
LAIHLVSPMGTRSTLLAARPHDYSADGFNDWAFMTTHSWDEDPSGEWVLE
IENTSEANNYGTLTKFTLVLYGTAPEGLPVPPESSGCKTLTSSQACVVCE
EGFSLHQKSCVQHCPPGFAPQVLDTHYSTENDVETIRASVCAPCHASCAT
CQGPALTDCLSCPSHASLDPVEQTCSRQSQSSRESPPQQQPPRLPPEVEA
GQRLRAGLLPSHLPEVVAGLSCAFIVLVFVTVFLVLQLRSGFSFRGVKVY
TMDRGLISYKGLPPEAWQEECPSDSEEDEGRGERTAFIKDQSAL.

[0275]

In one embodiment, the term coagulation factor further includes a homologue of a known coagulation factor. In one embodiment, the homologue has a coagulating activity. In some embodiments, homology according to the present invention also encompasses deletion, insertion, or substitution variants, including an amino acid substitution, thereof and biologically active polypeptide fragments thereof. In one embodiment, the variant comprises conservative substitutions, or deletions, insertions, or substitutions that do not significantly alter the three dimensional structure of the coagulation factor. In another embodiment, the deletion, insertion, or substitution does not alter the function of interest of the coagulation factor, which in one embodiment, is binding to a particular binding partner.

[0276]

In another embodiment, the disclosure includes a homologue of a coagulation factor. In another embodiment, the disclosure includes a homologue of a coagulation factor having a coagulation activity. In another embodiment, the disclosure includes a homologue of a coagulation factor having functional binding. In another embodiment, the disclosure includes homologues of a coagulation factor as described herein having a coagulation activity. In another embodiment, the disclosure includes homologues of a coagulation factor as described herein having functional binding. In another embodiment, homologues e.g., polypeptides which are at least 50%, at least 55%, at least 60%, at least 65%, at least 70%, at least 75%, at least 80%, at least 85%, at least 87%, at least 89%, at least 91%, at least 93%, at least 95%, at least 96%, at least 97%, at least 98%, or at least 99% homologous to a coagulation factor as determined using BlastP software of the National Center of Biotechnology Information (NCBI) using default parameters.

[0277]

In another embodiment, the disclosure includes homologues of furin. In another embodiment, the disclosure includes homologues of furin maintaining a function of interest, which in one embodiment is cleaving of a precursor protein. In another embodiment, homologues e.g., polypeptides which are at least 50%, at least 55%, at least 60%, at least 65%, at least 70%, at least 75%, at least 80%, at least 85%, at least 87%, at least 89%, at least 91%, at least 93%, at least 95%, at least 96%, at least 97%, at least 98%, or at least 99% homologous to a furin as determined using BlastP software of the National Center of Biotechnology Information (NCBI) using default parameters.

[0278]

In another embodiment, provided herein is a polypeptide comprising a coagulation factor and one to ten gonadotropin carboxy terminal peptides (CTPs) attached to the carboxy terminus of the coagulation factor. In another embodiment, provided herein is a polypeptide comprising a coagulation factor and one to three gonadotropin carboxy terminal peptides (CTPs) attached to the carboxy terminus of the coagulation factor. In another embodiment, provided herein is a polypeptide comprising a coagulation factor and one to five gonadotropin carboxy terminal peptides (CTPs) attached to the carboxy terminus of the coagulation factor. In another embodiment, provided herein is a polypeptide comprising a coagulation factor having at least one CTP on its carboxy terminus.

[0279]

In another embodiment, provided herein is a polypeptide consisting of a coagulation factor and one to five gonadotropin carboxy terminal peptides (CTPs) attached to the carboxy terminus of the coagulation factor.

[0280]

In another embodiment, provided herein is a polypeptide consisting essentially of a coagulation factor and one to five CTPs attached to the carboxy terminus of the coagulation factor.

[0281]

It is to be understood that the compositions, formulations and methods of the present invention comprising the elements or steps as described herein may, in another embodiment, consist of those elements or steps, or in another embodiment, consist essentially of those elements or steps. In some embodiments, the term “comprise” refers to the inclusion of the indicated active agent, such as the CTP-modified coagulation factor, as well as inclusion of other active agents, and pharmaceutically acceptable carriers, excipients, emollients, stabilizers, etc., as are known in the pharmaceutical industry. In some embodiments, the term “consisting essentially of” refers to a composition, whose only active ingredient is the indicated active ingredient, however, other compounds may be included which are for stabilizing, preserving, etc. the formulation, but are not involved directly in the therapeutic effect of the indicated active ingredient. In some embodiments, the term “consisting essentially of” may refer to components which facilitate the release of the active ingredient. In some embodiments, the term “consisting” refers to a composition, which contains the active ingredient and a pharmaceutically acceptable carrier or excipient.

[0282]

In one embodiment, the present invention provides a polypeptide comprising a coagulation factor and two gonadotropin carboxy terminal peptides (CTPs) attached to the carboxy terminus of the coagulation factor. In another embodiment, provided herein is a polypeptide comprising a coagulation factor and two to three CTPs attached to the carboxy terminus of the coagulation factor. In another embodiment, provided herein is a polypeptide comprising a coagulation factor and two to four CTPs attached to the carboxy terminus of the coagulation factor. In another embodiment, provided herein is a polypeptide comprising a coagulation factor and two to five CTPs attached to the carboxy terminus of the coagulation factor. In another embodiment, provided herein is a polypeptide comprising a coagulation factor and two to six CTPs attached to the carboxy terminus of the coagulation factor. In another embodiment, provided herein is a polypeptide comprising a coagulation factor and two to seven CTPs attached to the carboxy terminus of the coagulation factor. In another embodiment, provided herein is a polypeptide comprising a coagulation factor and two to eight CTPs attached to the carboxy terminus of the coagulation factor. In another embodiment, provided herein is a polypeptide comprising a coagulation factor and two to nine CTPs attached to the carboxy terminus of the coagulation factor. In another embodiment, provided herein is a polypeptide comprising a coagulation factor and two to ten CTPs attached to the carboxy terminus of the coagulation factor.

[0283]

In one embodiment, the present invention provides a polypeptide comprising a coagulation factor and three gonadotropin carboxy terminal peptides (CTPs) attached to the carboxy terminus of the coagulation factor. In another embodiment, provided herein is a polypeptide comprising a coagulation factor and three to four CTPs attached to the carboxy terminus of the coagulation factor. In another embodiment, provided herein is a polypeptide comprising a coagulation factor and three to five CTPs attached to the carboxy terminus of the coagulation factor. In another embodiment, provided herein is a polypeptide comprising a coagulation factor and three to six CTPs attached to the carboxy terminus of the coagulation factor. In another embodiment, provided herein is a polypeptide comprising a coagulation factor and three to seven CTPs attached to the carboxy terminus of the coagulation factor. In another embodiment, provided herein is a polypeptide comprising a coagulation factor and three to eight CTPs attached to the carboxy terminus of the coagulation factor. In another embodiment, provided herein is a polypeptide comprising a coagulation factor and three to nine CTPs attached to the carboxy terminus of the coagulation factor. In another embodiment, provided herein is a polypeptide comprising a coagulation factor and three to ten CTPs attached to the carboxy terminus of the coagulation factor.

[0284]

In one embodiment, the present invention provides a polypeptide comprising a coagulation factor and four gonadotropin carboxy terminal peptides (CTPs) attached to the carboxy terminus of the coagulation factor. In another embodiment, provided herein is a polypeptide comprising a coagulation factor and four to five CTPs attached to the carboxy terminus of the coagulation factor. In another embodiment, provided herein is a polypeptide comprising a coagulation factor and four to six CTPs attached to the carboxy terminus of the coagulation factor. In another embodiment, provided herein is a polypeptide comprising a coagulation factor and four to seven CTPs attached to the carboxy terminus of the coagulation factor. In another embodiment, provided herein is a polypeptide comprising a coagulation factor and four to eight CTPs attached to the carboxy terminus of the coagulation factor. In another embodiment, provided herein is a polypeptide comprising a coagulation factor and four to nine CTPs attached to the carboxy terminus of the coagulation factor. In another embodiment, provided herein is a polypeptide comprising a coagulation factor and four to ten CTPs attached to the carboxy terminus of the coagulation factor.

[0285]

In one embodiment, the present invention provides a polypeptide comprising a coagulation factor and five gonadotropin carboxy terminal peptides (CTPs) attached to the carboxy terminus of the coagulation factor. In another embodiment, provided herein is a polypeptide comprising a coagulation factor and five to six CTPs attached to the carboxy terminus of the coagulation factor. In another embodiment, provided herein is a polypeptide comprising a coagulation factor and five to seven CTPs attached to the carboxy terminus of the coagulation factor. In another embodiment, provided herein is a polypeptide comprising a coagulation factor and five to eight CTPs attached to the carboxy terminus of the coagulation factor. In another embodiment, provided herein is a polypeptide comprising a coagulation factor and five to nine CTPs attached to the carboxy terminus of the coagulation factor. In another embodiment, provided herein is a polypeptide comprising a coagulation factor and five to ten CTPs attached to the carboxy terminus of the coagulation factor.

[0286]

In one embodiment, the present invention provides a polypeptide consisting of a coagulation factor and two gonadotropin carboxy terminal peptides (CTPs) attached to the carboxy terminus of the coagulation factor. In another embodiment, provided herein is a polypeptide consisting of a coagulation factor and two to three CTPs attached to the carboxy terminus of the coagulation factor. In another embodiment, provided herein is a polypeptide consisting of a coagulation factor and two to four CTPs attached to the carboxy terminus of the coagulation factor. In another embodiment, provided herein is a polypeptide consisting of a coagulation factor and two to five CTPs attached to the carboxy terminus of the coagulation factor. In another embodiment, provided herein is a polypeptide consisting of a coagulation factor and two to six CTPs attached to the carboxy terminus of the coagulation factor. In another embodiment, provided herein is a polypeptide consisting of a coagulation factor and two to seven CTPs attached to the carboxy terminus of the coagulation factor. In another embodiment, provided herein is a polypeptide consisting of a coagulation factor and two to eight CTPs attached to the carboxy terminus of the coagulation factor. In another embodiment, provided herein is a polypeptide consisting of a coagulation factor and two to nine CTPs attached to the carboxy terminus of the coagulation factor. In another embodiment, provided herein is a polypeptide consisting of a coagulation factor and two to ten CTPs attached to the carboxy terminus of the coagulation factor.

[0287]

In one embodiment, the present invention provides a polypeptide consisting of a coagulation factor and three gonadotropin carboxy terminal peptides (CTPs) attached to the carboxy terminus of the coagulation factor. In another embodiment, provided herein is a polypeptide consisting of a coagulation factor and three to four CTPs attached to the carboxy terminus of the coagulation factor. In another embodiment, provided herein is a polypeptide consisting of a coagulation factor and three to five CTPs attached to the carboxy terminus of the coagulation factor. In another embodiment, provided herein is a polypeptide consisting of a coagulation factor and three to six CTPs attached to the carboxy terminus of the coagulation factor. In another embodiment, provided herein is a polypeptide consisting of a coagulation factor and three to seven CTPs attached to the carboxy terminus of the coagulation factor. In another embodiment, provided herein is a polypeptide consisting of a coagulation factor and three to eight CTPs attached to the carboxy terminus of the coagulation factor. In another embodiment, provided herein is a polypeptide consisting of a coagulation factor and three to nine CTPs attached to the carboxy terminus of the coagulation factor. In another embodiment, provided herein is a polypeptide consisting of a coagulation factor and three to ten CTPs attached to the carboxy terminus of the coagulation factor.

[0288]

In one embodiment, the present invention provides a polypeptide consisting of a coagulation factor and four gonadotropin carboxy terminal peptides (CTPs) attached to the carboxy terminus of the coagulation factor. In another embodiment, provided herein is a polypeptide consisting of a coagulation factor and four to five CTPs attached to the carboxy terminus of the coagulation factor. In another embodiment, provided herein is a polypeptide consisting of a coagulation factor and four to six CTPs attached to the carboxy terminus of the coagulation factor. In another embodiment, provided herein is a polypeptide consisting of a coagulation factor and four to seven CTPs attached to the carboxy terminus of the coagulation factor. In another embodiment, provided herein is a polypeptide consisting of a coagulation factor and four to eight CTPs attached to the carboxy terminus of the coagulation factor. In another embodiment, provided herein is a polypeptide consisting of a coagulation factor and four to nine CTPs attached to the carboxy terminus of the coagulation factor. In another embodiment, provided herein is a polypeptide consisting of a coagulation factor and four to ten CTPs attached to the carboxy terminus of the coagulation factor.

[0289]

In one embodiment, the present invention provides a polypeptide consisting of a coagulation factor and five gonadotropin carboxy terminal peptides (CTPs) attached to the carboxy terminus of the coagulation factor. In another embodiment, provided herein is a polypeptide consisting of a coagulation factor and five to six CTPs attached to the carboxy terminus of the coagulation factor. In another embodiment, provided herein is a polypeptide consisting of a coagulation factor and five to seven CTPs attached to the carboxy terminus of the coagulation factor. In another embodiment, provided herein is a polypeptide consisting of a coagulation factor and five to eight CTPs attached to the carboxy terminus of the coagulation factor. In another embodiment, provided herein is a polypeptide consisting of a coagulation factor and five to nine CTPs attached to the carboxy terminus of the coagulation factor. In another embodiment, provided herein is a polypeptide consisting of a coagulation factor and five to ten CTPs attached to the carboxy terminus of the coagulation factor.

[0290]

In one embodiment, the present invention provides a polypeptide consisting essentially of a coagulation factor and two gonadotropin carboxy terminal peptides (CTPs) attached to the carboxy terminus of the coagulation factor. In another embodiment, provided herein is a polypeptide consisting essentially of a coagulation factor and two to three CTPs attached to the carboxy terminus of the coagulation factor. In another embodiment, provided herein is a polypeptide consisting essentially of a coagulation factor and two to four CTPs attached to the carboxy terminus of the coagulation factor. In another embodiment, provided herein is a polypeptide consisting essentially of a coagulation factor and two to five CTPs attached to the carboxy terminus of the coagulation factor. In another embodiment, provided herein is a polypeptide consisting essentially of a coagulation factor and two to six CTPs attached to the carboxy terminus of the coagulation factor. In another embodiment, provided herein is a polypeptide consisting essentially of a coagulation factor and two to seven CTPs attached to the carboxy terminus of the coagulation factor. In another embodiment, provided herein is a polypeptide consisting essentially of a coagulation factor and two to eight CTPs attached to the carboxy terminus of the coagulation factor. In another embodiment, provided herein is a polypeptide consisting essentially of a coagulation factor and two to nine CTPs attached to the carboxy terminus of the coagulation factor. In another embodiment, provided herein is a polypeptide consisting essentially of a coagulation factor and two to ten CTPs attached to the carboxy terminus of the coagulation factor.

[0291]

In one embodiment, the present invention provides a polypeptide consisting essentially of a coagulation factor and three gonadotropin carboxy terminal peptides (CTPs) attached to the carboxy terminus of the coagulation factor. In another embodiment, provided herein is a polypeptide consisting essentially of a coagulation factor and three to four CTPs attached to the carboxy terminus of the coagulation factor. In another embodiment, provided herein is a polypeptide consisting essentially of a coagulation factor and three to five CTPs attached to the carboxy terminus of the coagulation factor. In another embodiment, provided herein is a polypeptide consisting essentially of a coagulation factor and three to six CTPs attached to the carboxy terminus of the coagulation factor. In another embodiment, provided herein is a polypeptide consisting essentially of a coagulation factor and three to seven CTPs attached to the carboxy terminus of the coagulation factor. In another embodiment, provided herein is a polypeptide consisting essentially of a coagulation factor and three to eight CTPs attached to the carboxy terminus of the coagulation factor. In another embodiment, provided herein is a polypeptide consisting essentially of a coagulation factor and three to nine CTPs attached to the carboxy terminus of the coagulation factor. In another embodiment, provided herein is a polypeptide consisting essentially of a coagulation factor and three to ten CTPs attached to the carboxy terminus of the coagulation factor.

[0292]

In one embodiment, the present invention provides a polypeptide consisting essentially of a coagulation factor and four gonadotropin carboxy terminal peptides (CTPs) attached to the carboxy terminus of the coagulation factor. In another embodiment, provided herein is a polypeptide consisting essentially of a coagulation factor and four to five CTPs attached to the carboxy terminus of the coagulation factor. In another embodiment, provided herein is a polypeptide consisting essentially of a coagulation factor and four to six CTPs attached to the carboxy terminus of the coagulation factor. In another embodiment, provided herein is a polypeptide consisting essentially of a coagulation factor and four to seven CTPs attached to the carboxy terminus of the coagulation factor. In another embodiment, provided herein is a polypeptide consisting essentially of a coagulation factor and four to eight CTPs attached to the carboxy terminus of the coagulation factor. In another embodiment, provided herein is a polypeptide consisting essentially of a coagulation factor and four to nine CTPs attached to the carboxy terminus of the coagulation factor. In another embodiment, provided herein is a polypeptide consisting essentially of a coagulation factor and four to ten CTPs attached to the carboxy terminus of the coagulation factor.

[0293]

In one embodiment, the present invention provides a polypeptide consisting essentially of a coagulation factor and five gonadotropin carboxy terminal peptides (CTPs) attached to the carboxy terminus of the coagulation factor. In another embodiment, provided herein is a polypeptide consisting essentially of a coagulation factor and five to six CTPs attached to the carboxy terminus of the coagulation factor. In another embodiment, provided herein is a polypeptide consisting essentially of a coagulation factor and five to seven CTPs attached to the carboxy terminus of the coagulation factor. In another embodiment, provided herein is a polypeptide consisting essentially of a coagulation factor and five to eight CTPs attached to the carboxy terminus of the coagulation factor. In another embodiment, provided herein is a polypeptide consisting essentially of a coagulation factor and five to nine CTPs attached to the carboxy terminus of the coagulation factor. In another embodiment, provided herein is a polypeptide consisting essentially of a coagulation factor and five to ten CTPs attached to the carboxy terminus of the coagulation factor.

[0294]

In another embodiment, provided herein is a polypeptide comprising, consisting essentially of, or consisting of a coagulation factor having no CTPs on its amino terminus. In another embodiment, provided herein is a polypeptide comprising, consisting essentially of, or consisting of a coagulation factor lacking a CTP on its amino terminus. In another embodiment, provided herein is a polypeptide comprising, consisting essentially of, or consisting of a coagulation factor having at least one CTP on its carboxy terminus and no CTPs on its amino terminus. In another embodiment, provided herein is a polypeptide comprising, consisting essentially of, or consisting of a coagulation factor having the number of CTPs on its carboxy terminus as described herein and no CTPs on its amino terminus.

[0295]

In another embodiment, the present invention provides a polynucleotide encoding a polypeptide as described hereinabove.

[0296]

In another embodiment, the present invention further provides a composition comprising an expression vector comprising a polynucleotide encoding a CTP-modified polypeptide consisting of a Factor IX (FIX) polypeptide and three gonadotropin carboxy terminal peptides (CTPs) attached to the carboxy terminus of said FIX polypeptide.

[0297]

In another embodiment, the present invention further provides a polynucleotide encoding a CTP-modified polypeptide consisting of a Factor VIIa (FVIIa) polypeptide and three gonadotropin carboxy terminal peptides (CTPs) attached to the carboxy terminus of said FVIIa polypeptide. In another embodiment, the present invention further provides a composition comprising an expression vector comprising a polynucleotide encoding a Factor VIIa (FVIIa) polypeptide and three gonadotropin carboxy terminal peptides (CTPs) attached to the carboxy terminus of said FVIIa polypeptide. In one embodiment, the CTP-modified FVIIa includes a signal peptide. In another embodiment, the CTP-modified FVIIa does not include a signal peptide.

[0298]

In one embodiment, the present invention provides a recombinant coagulation factor as described hereinabove. In one embodiment, the present invention provides an engineered coagulation factor as described hereinabove. In one embodiment, the engineered coagulation factor as described hereinabove is referred to as a CTP-modified coagulation factor.

[0299]

In one embodiment, the CTPs that are attached to the carboxy terminus of the coagulation factor are attached in tandem to the carboxy terminus.

[0300]

In one embodiment, an engineered coagulation factor as described herein has equivalent or improved biological activity compared to the non-CTP-modified coagulation factor. In another embodiment, an engineered coagulation factor as described herein has equivalent or improved pharmacological measurements compared to the non-CTP-modified coagulation factor. In another embodiment, an engineered coagulation factor as described herein has equivalent or improved pharmacokinetics compared to the non-CTP-modified coagulation factor. In another embodiment, an engineered coagulation factor as described herein has equivalent or improved pharmacodynamics compared to the non-CTP-modified coagulation factor.

[0301]

In one embodiment, the present invention provides a method of preventing or treating a clotting or coagulation disorder. In another embodiment, the present invention provides a method of preventing or treating hemophilia in a subject comprising administering a CTP-modified coagulation factor of the present invention. In another embodiment, the present invention provides a method of preventing and treating hemophilia in a subject comprising administering a CTP-modified coagulation factor of the present invention. In another embodiment, the present invention provides a method of treating hemophilia in a subject comprising administering a CTP-modified Factor VII of the present invention.

[0302]

In one embodiment, hemophilia is hemophilia A. In another embodiment, hemophilia is hemophilia B. In another embodiment, methods of this invention for prevention or treating a clotting or coagulation disorder prevent or treat hemophilia in patients having hemophilia A or B with inhibitors to FVIII or FIX, respectively. In another embodiment, methods of this invention are for preventing or treating patients with acquired hemophilia (hemophilia without inhibitors). In another embodiment, methods of this invention for prevention or treating a clotting or coagulation disorder prevent or treat hemophilia A or B without inhibitors. In another embodiment, hemophilia is severe hemophilia. In another embodiment, hemophilia is moderate hemophilia. In another embodiment, hemophilia is moderate to severe hemophilia with or without inhibitors. It will be appreciated by a skilled artisan that the term “moderate to severe hemophilia” refers to a subject having less than or equal to 3% FVIII or FIX.

[0303]

In another embodiment, the present invention provides a method of treating hemophilia in a subject comprising administering a CTP-modified Factor IX of the present invention. In one embodiment, hemophilia is hemophilia B. In one embodiment, hemophilia B is known as factor IX deficiency or Christmas disease. In one embodiment, the hemophilia is severe hemophilia, which in one embodiment, describes hemophilia in which the coagulation factor levels are 0-1%. In another embodiment, the hemophilia is moderate hemophilia, which in one embodiment, describes hemophilia in which the coagulation factor levels are 1-5%. In another embodiment, the hemophilia is mild hemophilia, which in one embodiment, describes hemophilia in which the coagulation factor levels are 5-50%.

[0304]

In another embodiment, the present invention provides a method of preventing or treating a clotting or coagulation disorder in a subject comprising administering a CTP-modified Factor IX (FIX) polypeptide comprising a FIX polypeptide and three chorionic gonadotropin carboxy terminal peptides (CTPs) attached to the carboxy terminus of said FIX polypeptide to said subject, thereby preventing or treating a clotting or coagulation disorder in said subject. In another embodiment, the present invention provides a method of preventing or treating a clotting or coagulation disorder in a subject comprising administering a CTP-modified Factor VII (FVII) polypeptide comprising a FVII polypeptide and three chorionic gonadotropin carboxy terminal peptides (CTPs) attached to the carboxy terminus of said FVII polypeptide to said subject, thereby preventing or treating a clotting or coagulation disorder in said subject.

[0305]

In another embodiment, the present invention provides a method of preventing or treating hemophilia in a subject comprising administering a CTP-modified Factor IX (FIX) polypeptide comprising a FIX polypeptide and three chorionic gonadotropin carboxy terminal peptides (CTPs) attached to the carboxy terminus of said FIX polypeptide to said subject, thereby preventing or treating hemophilia in said subject. In another embodiment, the present invention provides a method of preventing or treating hemophilia in a subject comprising administering a CTP-modified Factor VIIa (FVIIa) polypeptide comprising a FVIIa polypeptide and three chorionic gonadotropin carboxy terminal peptides (CTPs) attached to the carboxy terminus of said FVIIa polypeptide to said subject, thereby preventing or treating hemophilia in said subject.

[0306]

In another embodiment, the present invention provides a method of treating hemophilia in a subject comprising administering one or more CTP-modified coagulation factors as described herein to said subject. Thus, in one embodiment, the present invention provides a method of treating hemophilia in a subject comprising administering a CTP-modified Factor IX (FIX) polypeptide comprising a FIX polypeptide and three chorionic gonadotropin carboxy terminal peptides (CTPs) attached to the carboxy terminus of said FIX polypeptide and a CTP-modified Factor VIIa (FVIIa) polypeptide comprising a FVIIa polypeptide and three chorionic gonadotropin carboxy terminal peptides (CTPs) attached to the carboxy terminus of said FVIIa polypeptide to said subject, thereby treating hemophilia in said subject. In one embodiment, the CTP-modified FIX and the CTP-modified FVIIa are administered in the same composition at the same time. In another embodiment, the CTP-modified FIX and the CTP-modified FVIIa are administered in separate compositions at the same time. In another embodiment, the CTP-modified FIX and the CTP-modified FVIIa are administered in separate compositions at separate times.

[0307]

In another embodiment, the present invention provides a method of preventing or treating hemophilia in a subject comprising administering a CTP-modified Factor IX (FIX) or a CTP-modified Factor VII polypeptide comprising a FIX or a FVII polypeptide and three chorionic gonadotropin carboxy terminal peptides (CTPs) attached to the carboxy terminus of said FIX or said FVII polypeptide to said subject, thereby preventing or treating hemophilia in said subject. In another embodiment, the present invention provides a method of preventing or treating hemophilia in a subject comprising administering a CTP-modified Factor IX (FIX) or a CTP-modified Factor VII polypeptide comprising a FIX or a FVII polypeptide and four chorionic gonadotropin carboxy terminal peptides (CTPs) attached to the carboxy terminus of said FIX or said FVII polypeptide to said subject, thereby preventing or treating hemophilia in said subject. In another embodiment, the present invention provides a method of preventing or treating hemophilia in a subject comprising administering a CTP-modified Factor IX (FIX) or a CTP-modified Factor VII polypeptide comprising a FIX or a FVII polypeptide and five chorionic gonadotropin carboxy terminal peptides (CTPs) attached to the carboxy terminus of said FIX or said FVII polypeptide to said subject, thereby preventing or treating hemophilia in said subject. In another embodiment, the present invention provides a method of preventing or treating hemophilia in a subject comprising administering a CTP-modified Factor IX (FIX) or a CTP-modified Factor VII polypeptide comprising a FIX or a FVII polypeptide and three to five chorionic gonadotropin carboxy terminal peptides (CTPs) attached to the carboxy terminus of said FIX or said FVII polypeptide to said subject, thereby preventing or treating hemophilia in said subject. In another embodiment, the present invention provides a method of preventing or treating hemophilia in a subject comprising administering a CTP-modified Factor IX (FIX) and a CTP-modified Factor VII polypeptide comprising a FIX and a FVII polypeptide and three chorionic gonadotropin carboxy terminal peptides (CTPs) attached to the carboxy terminus of said FIX and said FVII polypeptide to said subject, thereby preventing or treating hemophilia in said subject. In another embodiment, the present invention provides a method of preventing or treating hemophilia in a subject comprising administering a CTP-modified Factor IX (FIX) and a CTP-modified Factor VII polypeptide comprising a FIX and a FVII polypeptide and three to five chorionic gonadotropin carboxy terminal peptides (CTPs) attached to the carboxy terminus of said FIX and said FVII polypeptide to said subject, thereby preventing or treating hemophilia in said subject.

[0308]

In another embodiment, the present invention provides a method of preventing or treating hemophilia in a subject comprising subcutaneously or intravenously administering a CTP-modified Factor IX (FIX) or a CTP-modified Factor VII polypeptide comprising a FIX or a FVII polypeptide and three chorionic gonadotropin carboxy terminal peptides (CTPs) attached to the carboxy terminus of said FIX or said FVII polypeptide to said subject, thereby preventing or treating hemophilia in said subject. In another embodiment, the present invention provides a method of preventing or treating hemophilia in a subject comprising subcutaneously or intravenously administering a CTP-modified Factor IX (FIX) or a CTP-modified Factor VII polypeptide comprising a FIX or a FVII polypeptide and four chorionic gonadotropin carboxy terminal peptides (CTPs) attached to the carboxy terminus of said FIX or said FVII polypeptide to said subject, thereby preventing or treating hemophilia in said subject. In another embodiment, the present invention provides a method of preventing or treating hemophilia in a subject comprising subcutaneously or intravenously administering a CTP-modified Factor IX (FIX) or a CTP-modified Factor VII polypeptide comprising a FIX or a FVII polypeptide and five chorionic gonadotropin carboxy terminal peptides (CTPs) attached to the carboxy terminus of said FIX or said FVII polypeptide to said subject, thereby preventing or treating hemophilia in said subject. In another embodiment, the present invention provides a method of preventing or treating hemophilia in a subject comprising subcutaneously or intravenously administering a CTP-modified Factor IX (FIX) or a CTP-modified Factor VII polypeptide comprising a FIX or a FVII polypeptide and three to five chorionic gonadotropin carboxy terminal peptides (CTPs) attached to the carboxy terminus of said FIX or said FVII polypeptide to said subject, thereby preventing or treating hemophilia in said subject. In another embodiment, the present invention provides a method of preventing or treating hemophilia in a subject comprising subcutaneously or intravenously administering a CTP-modified Factor IX (FIX) and a CTP-modified Factor VII polypeptide comprising a FIX and a FVII polypeptide and three chorionic gonadotropin carboxy terminal peptides (CTPs) attached to the carboxy terminus of said FIX and said FVII polypeptide to said subject, thereby preventing or treating hemophilia in said subject. In another embodiment, the present invention provides a method of preventing or treating hemophilia in a subject comprising subcutaneously or intravenously administering a CTP-modified Factor IX (FIX) and a CTP-modified Factor VII polypeptide comprising a FIX and a FVII polypeptide and three to five chorionic gonadotropin carboxy terminal peptides (CTPs) attached to the carboxy terminus of said FIX and said FVII polypeptide to said subject, thereby preventing or treating hemophilia in said subject.

[0309]

In some embodiments, provided herein is a method of preventing or treating a hemophilia in a subject, the method comprising the step of administering to the subject a CTP-modified coagulation factor, comprising three to five chorionic gonadotropin carboxy terminal peptides (CTPs) attached to the carboxy terminus of said coagulation factor polypeptide, wherein the sequence of said CTP-modified coagulation factor is selected from the group consisting of SEQ ID NO: 25, 27, or 29, thereby preventing hemophilia in said subject. In another embodiment, said CTP-modified coagulation factor is selected from the group consisting of SEQ ID NOP 25, 27, 29 or 46. In another embodiment, said CTP-modified coagulation factor consists of SEQ ID NO: 46.

[0310]

In one embodiment, the present invention provides a cell comprising an expression vector comprising a polynucleotide encoding a CTP-modified polypeptide consisting of a Factor VII (FVII) polypeptide and three to five gonadotropin carboxy terminal peptides (CTPs) attached to the carboxy terminus of said FVII polypeptide. In another embodiment, the present invention provides a cell comprising an expression vector comprising a polynucleotide encoding a CTP-modified polypeptide consisting of a Factor VII (FVII) polypeptide and three gonadotropin carboxy terminal peptides (CTPs) attached to the carboxy terminus of said FVII polypeptide. In another embodiment, the present invention provides a cell comprising an expression vector comprising a polynucleotide encoding a CTP-modified polypeptide consisting of a Factor VII (FVII) polypeptide and five gonadotropin carboxy terminal peptides (CTPs) attached to the carboxy terminus of said FVII polypeptide.

[0311]

In one embodiment, the term “three to five” when referring to gonadotropin carboxy terminal peptides (CTPs), refers to attaching three, four, or five CTPs to the carboxy terminal of a coagulation factor polypeptide provided herein

[0312]

In one embodiment, the present invention provides a composition comprising an expression vector comprising a polynucleotide encoding a CTP-modified polypeptide consisting of a Factor VII (FVII) polypeptide and three to five gonadotropin carboxy terminal peptides (CTPs) attached to the carboxy terminus of said FVII polypeptide. In another embodiment, the present invention provides a composition comprising an expression vector comprising a polynucleotide encoding a CTP-modified polypeptide consisting of a Factor VII (FVII) polypeptide and three gonadotropin carboxy terminal peptides (CTPs) attached to the carboxy terminus of said FVII polypeptide. In another embodiment, the present invention provides a composition comprising an expression vector comprising a polynucleotide encoding a CTP-modified polypeptide consisting of a Factor VII (FVII) polypeptide and five gonadotropin carboxy terminal peptides (CTPs) attached to the carboxy terminus of said FVII polypeptide.

[0313]

In one embodiment, the present invention provides a method of extending the biological half-life of a Factor VII (FVII) polypeptide, comprising the step of attaching three to five chorionic gonadotropin carboxy terminal peptides (CTPs) to the carboxy terminus of said FVII polypeptide, thereby extending the biological half-life of said FVII polypeptide. In another embodiment, the present invention provides a method of extending the biological half-life of a Factor VII (FVII) polypeptide, comprising the step of attaching three chorionic gonadotropin carboxy terminal peptides (CTPs) to the carboxy terminus of said FVII polypeptide, thereby extending the biological half-life of said FVII polypeptide. In another embodiment, the present invention provides a method of extending the biological half-life of a Factor VII (FVII) polypeptide, comprising the step of attaching five chorionic gonadotropin carboxy terminal peptides (CTPs) to the carboxy terminus of said FVII polypeptide, thereby extending the biological half-life of said FVII polypeptide.

[0314]

In another embodiment, the present invention provides a method of improving the area under the curve (AUC) of a Factor VII (FVII) polypeptide, comprising the step of attaching three to five chorionic gonadotropin carboxy terminal peptides (CTPs) to the carboxy terminus of said FVII polypeptide, thereby improving the AUC of said FVII polypeptide. In another embodiment, the present invention provides a method of improving the area under the curve (AUC) of a Factor VII (FVII) polypeptide, comprising the step of attaching three chorionic gonadotropin carboxy terminal peptides (CTPs) to the carboxy terminus of said FVII polypeptide, thereby improving the AUC of said FVII polypeptide. In another embodiment, the present invention provides a method of improving the area under the curve (AUC) of a Factor VII (FVII) polypeptide, comprising the step of attaching five chorionic gonadotropin carboxy terminal peptides (CTPs) to the carboxy terminus of said FVII polypeptide, thereby improving the AUC of said FVII polypeptide.

[0315]

In one embodiment, the present invention provides a method of reducing the dosing frequency of a Factor VII (FVII) polypeptide, comprising the step of attaching three to five chorionic gonadotropin carboxy terminal peptides (CTPs) to the carboxy terminus of said FVII polypeptide, thereby reducing the dosing frequency of said FVII polypeptide. In another embodiment, the present invention provides a method of reducing the dosing frequency of a Factor VII (FVII) polypeptide, comprising the step of attaching three chorionic gonadotropin carboxy terminal peptides (CTPs) to the carboxy terminus of said FVII polypeptide, thereby reducing the dosing frequency of said FVII polypeptide. In another embodiment, the present invention provides a method of reducing the dosing frequency of a Factor VII (FVII) polypeptide, comprising the step of attaching five chorionic gonadotropin carboxy terminal peptides (CTPs) to the carboxy terminus of said FVII polypeptide, thereby reducing the dosing frequency of said FVII polypeptide.

[0316]

In one embodiment, the present invention provides a method of reducing the clearance rate of a Factor VII (FVII) polypeptide, comprising the step of attaching three to five chorionic gonadotropin carboxy terminal peptides (CTPs) to the carboxy terminus of said FVII polypeptide, thereby reducing the clearance rate of said FVII polypeptide. In another embodiment, the present invention provides a method of reducing the clearance rate of a Factor VII (FVII) polypeptide, comprising the step of attaching three chorionic gonadotropin carboxy terminal peptides (CTPs) to the carboxy terminus of said FVII polypeptide, thereby reducing the clearance rate of said FVII polypeptide. In another embodiment, the present invention provides a method of reducing the clearance rate of a Factor VII (FVII) polypeptide, comprising the step of attaching five chorionic gonadotropin carboxy terminal peptides (CTPs) to the carboxy terminus of said FVII polypeptide, thereby reducing the clearance rate of said FVII polypeptide.

[0317]

In one embodiment, the present invention provides a method of producing a CTP-modified Factor VII (FVII) polypeptide, comprising the step of attaching three to five chorionic gonadotropin carboxy terminal peptides (CTPs) to the carboxy terminus of said FVII polypeptide, thereby producing a CTP-modified FVII polypeptide. In another embodiment, the present invention provides a method of producing a CTP-modified Factor VII (FVII) polypeptide, comprising the step of attaching three chorionic gonadotropin carboxy terminal peptides (CTPs) to the carboxy terminus of said FVII polypeptide, thereby producing a CTP-modified FVII polypeptide. In another embodiment, the present invention provides a method of producing a CTP-modified Factor VII (FVII) polypeptide, comprising the step of attaching five chorionic gonadotropin carboxy terminal peptides (CTPs) to the carboxy terminus of said FVII polypeptide, thereby producing a CTP-modified FVII polypeptide.

[0318]

In another embodiment, the present invention provides a method of treating hemophilia in a subject comprising administering a CTP-modified Factor VII (FVII) polypeptide comprising a FVII polypeptide and three to five chorionic gonadotropin carboxy terminal peptides (CTPs) attached to the carboxy terminus of said FVII polypeptide to said subject, thereby treating hemophilia in said subject. In another embodiment, the present invention provides a method of treating hemophilia in a subject comprising administering a CTP-modified Factor VII (FVII) polypeptide comprising a FVII polypeptide and three chorionic gonadotropin carboxy terminal peptides (CTPs) attached to the carboxy terminus of said FVII polypeptide to said subject, thereby treating hemophilia in said subject. In another embodiment, the present invention provides a method of treating hemophilia in a subject comprising administering a CTP-modified Factor VII (FVII) polypeptide comprising a FVII polypeptide and five chorionic gonadotropin carboxy terminal peptides (CTPs) attached to the carboxy terminus of said FVII polypeptide to said subject, thereby treating hemophilia in said subject.

[0319]

In another embodiment, the methods provided herein further comprise the step of attaching four chorionic gonadotropin carboxy terminal peptides (CTPs) to the carboxy terminus of said FVII polypeptide.

[0320]

In other embodiments, the engineered coagulation factor is for the treatment of hemophilia B patients. In one embodiment, coagulation Factor IX comprising 3 CTPs in tandem in its carboxy terminus is for the treatment of hemophilia B patients. In one embodiment, coagulation Factor IX comprising 4 CTPs in tandem in its carboxy terminus is for the treatment of hemophilia B patients. In one embodiment, coagulation Factor IX comprising 5 CTPs in tandem in its carboxy terminus is for the treatment of hemophilia B patients. In another embodiment, coagulation Factor IX comprising 2 CTPs in tandem in its carboxy terminus is for the treatment of hemophilia B patients. In another embodiment, coagulation Factor IX comprising 1 CTP repeat in its carboxy terminus is for the treatment of hemophilia B patients. In other embodiments, the engineered coagulation factor can reduce the number of infusions required for a patient, reduce the required doses for a patient, or a combination thereof.

[0321]

In one embodiment, coagulation Factor IX comprising 3 CTPs in tandem in its carboxy terminus exhibits an improved PK profile while maintaining its coagulation activity vs. FIX-CTP-CTP harvest, FIX-CTP harvest or rhFIX. In one embodiment, the elimination half-life of rFIX-CTP3is 2.5- to 4-fold longer than rFIX in rats and in FIX-deficient mice. In one embodiment, the administration of rFIX-CTP3significantly prolonged the procoagulatory effect in FIX-deficient mice for at least 76 hr after dosing. In one embodiment, the administration of rFIX-CTP3produced a higher activity peak than rFIX in FIX-deficient mice. In another embodiment, coagulation Factor IX comprising 2 CTPs in tandem in its carboxy terminus exhibits an improved PK profile while maintaining its coagulation activity vs. FIX-CTP harvest or rhFIX. In another embodiment, coagulation Factor IX comprising 2 CTPs in tandem in its carboxy terminus exhibits 3-fold increase in half-life and 4.5-fold higher AUC compared to rhFIX.

[0322]

In another embodiment, SC administration results in higher bioavailability of CTP-modified FVII as compared to recombinant FVII. In another embodiment, half-life is longer and bioavailability (AUC SC/AUC IV) is higher following FVIIa-CTP3 and CTP5 SC administration when compared to SC administration of NovoSeven®. In another embodiment, subcutaneously injected MOD-5014 and MOD-5019 shows improved mice survival in comparison to recombinant FVII (NovoSeven®) (see Example 8 below).

[0323]

In one embodiment, MOD-5014 is FVIIa-CTP3 (having three CTP peptides attached at the C-terminus end). In one embodiment, MOD-5014 provides a long-acting coagulation factor. In one embodiment, MOD-5014 provides a more sustained and prolonged blood clotting response compared with recombinant human FVIIa. (See for example, Example 14). It will be appreciated by a skilled artisan that the terms MOD-5014 or FVIIa-CTP3may be used interchangeably having all the same qualities and meanings, and refer in one embodiment, to a disulfide-linked two chain heterodimer structure comprising the amino acid SEQ ID NO: 46. Further, a skilled artisan would appreciate that in describing CTP-modified coagulation factors, for example FVII-CTP3, the term FVII-CTP3may in certain instances refer to the inactive form of FVII-CTP3.The skilled artisan would certainly recognize which form is being referred to based on associated details such as activity. Similarly, while the term MOD-5014 is interchangeable with the term FVIIa-CTP3, i.e., represents the active form of the CTP-modified coagulation factor, in certain instances the term MOD-5014 may be used to denote an active form of FVII or a nucleotide sequence encoding a FVII-CTP3, which will then be expressed and secreted from a cell, and purified and activated in vitro, resulting in the active form of FVIIa being present in a MOD-5014 molecule.

[0324]

In one embodiment, deactivation of MOD-5014 by tissue factor pathway inhibitor (TFPI) is dose-dependent. In one embodiment, deactivation of MOD-5014 by TFPI shows a similar dose-dependent deactivation pattern to that of recombinant FVIIa (NovoSeven®) by TFPI. In one embodiment, MOD-5014 is inhibited by anti-thrombin III. In one embodiment, inhibition of MOD-5014 by anti-thrombin III is augmented in the presence of heparin. In one embodiment, inhibition of MOD-5014 by anti-thrombin III shows similar inhibition pattern to that of recombinant FVIIa (NovoSeven®), in the presence or absence of heparin. (see Example 11 below)

[0325]

In one embodiment, MOD-5014 generates thrombin in a dose-dependent manner In one embodiment, MOD-5014 decreases lag phase of thrombin generation. In one embodiment, MOD-5014 decreases blood clotting time. In one embodiment, MOD-5014 increases efficiency of blood clot formation. In one embodiment, administration of MOD-5014 decreases blood clotting time in a subject. In one embodiment, administration of MOD-5014 increases efficiency of blood clot formation in a subject. In one embodiment, the generation of thrombin by MOD-5014 is similar to that produced by recombinant FVIIa (NovoSeven®). In one embodiment, decrease of lag-phase of thrombin generation by MOD-5014 is similar to that produced by recombinant FVIIa (NovoSeven®). In one embodiment, decrease blood clotting time by MOD-5014 is similar to that produced by recombinant FVIIa (NovoSeven®). In one embodiment, increased efficiency of blood clot formation by MOD-5014 is similar to that produced by recombinant FVIIa (NovoSeven®) (see Example 12 below).

[0326]

As provided herein, CTP attachments to blood clotting factors, for example factors FVII, FVIIA and FX, increase the half-life of the blood clotting factor. Examples 11, 12 and 13 show that CTP attachments, for example three CTPs attached to FVIIA, do not appear to affect blood clotting activities. In one embodiment, CTP attachments to FVII do not interfere with blood clot formation. In one embodiment, CTP attachments to FVII do not interfere with increased efficiency of blood clot formation. In one embodiment, CTP attachments to FVII do not interfere with decreased in blood clotting time. In one embodiment, binding of phospholipid to FVII is maintained following attachment of CTPs to the blood clotting factor. In one embodiment, CTP attachments to FVIIA do not interfere with blood clot formation. In one embodiment, CTP attachments to FVIIA do not interfere with increased efficiency of blood clot formation. In one embodiment, CTP attachments to FVIIA do not interfere with decreased blood clot formation. In one embodiment, binding of phospholipid to FVIIA is maintained following attachment of CTPs to the blood clotting factor.

[0327]

In another embodiment, the present invention provides a method of treating hemophilia in a subject comprising administering a CTP-modified Factor IX (FIX) polypeptide comprising a FIX polypeptide and three to five chorionic gonadotropin carboxy terminal peptides (CTPs) attached to the carboxy terminus of said FIX polypeptide to said subject, thereby treating hemophilia in said subject. In another embodiment, the present invention provides a method of treating hemophilia in a subject comprising administering a CTP-modified Factor IX (FIX) polypeptide comprising a FIX polypeptide and three chorionic gonadotropin carboxy terminal peptides (CTPs) attached to the carboxy terminus of said FIX polypeptide to said subject, thereby treating hemophilia in said subject. In another embodiment, the present invention provides a method of treating hemophilia in a subject comprising administering a CTP-modified Factor IX (FIX) polypeptide comprising a FIX polypeptide and five chorionic gonadotropin carboxy terminal peptides (CTPs) attached to the carboxy terminus of said FIX polypeptide to said subject, thereby treating hemophilia in said subject. In another embodiment, the present invention provides a method of treating hemophilia in a subject comprising administering a CTP-modified Factor VIIa (FVIIa) polypeptide comprising a FVIIa polypeptide and three to five chorionic gonadotropin carboxy terminal peptides (CTPs) attached to the carboxy terminus of said FVIIa polypeptide to said subject, thereby treating hemophilia in said subject.

[0328]

In another embodiment, the present invention provides a method of treating hemophilia in a subject comprising administering one or more CTP-modified coagulation factors as described herein to said subject. Thus, in one embodiment, the present invention provides a method of treating hemophilia in a subject comprising administering a CTP-modified Factor IX (FIX) polypeptide comprising a FIX polypeptide and three chorionic gonadotropin carboxy terminal peptides (CTPs) attached to the carboxy terminus of said FIX polypeptide and a CTP-modified Factor VIIa (FVIIa) polypeptide comprising a FVIIa polypeptide and three to five chorionic gonadotropin carboxy terminal peptides (CTPs) attached to the carboxy terminus of said FVIIa polypeptide to said subject, thereby treating hemophilia in said subject. In one embodiment, the CTP-modified FIX and the CTP-modified FVIIa are administered in the same composition at the same time. In another embodiment, the CTP-modified FIX and the CTP-modified FVIIa are administered in separate compositions at the same time. In another embodiment, the CTP-modified FIX and the CTP-modified FVIIa are administered in separate compositions at separate times.

[0329]

In other embodiments, the engineered coagulation factor is for the treatment of hemophilia B patients. In one embodiment, coagulation Factor IX comprising 3 CTPs in tandem in its carboxy terminus is for the treatment of hemophilia B patients. In one embodiment, coagulation Factor IX comprising 4 CTPs in tandem in its carboxy terminus is for the treatment of hemophilia B patients. In one embodiment, coagulation Factor IX comprising 5 CTPs in tandem in its carboxy terminus is for the treatment of hemophilia B patients. In another embodiment, coagulation Factor IX comprising 2 CTPs in tandem in its carboxy terminus is for the treatment of hemophilia B patients. In another embodiment, coagulation Factor IX comprising 1 CTP repeat in its carboxy terminus is for the treatment of hemophilia B patients. In other embodiments, the engineered coagulation factor can reduce the number of infusions required for a patient, reduce the required doses for a patient, or a combination thereof.

[0330]

Example 14 shows the results of administering MOD-5014 to a large mammal (dogs). MOD-5014 administration provided an effective and safe long-acting FVIIa for blood coagulation. Treatment using MOD-5014 may be prophylactic or on-demand In one embodiment, the present invention provides a method of treating hemophilia in a subject comprising administering MOD-5014 to said subject, thereby treating hemophilia in said subject. In one embodiment, the present invention provides a method of preventing excess bleeding in a subject comprising administering MOD-5014 to said subject, thereby preventing excess bleeding in said subject. In one embodiment, the present invention provides a method of prophylactically treating hemophilia in a subject comprising administering MOD-5014 to said subject, thereby prophylactically treating hemophilia in said subject.

[0331]

In one embodiment, treating hemophilia in a subject with MOD-5014 comprises a reduced frequency of administration of MOD-5014, as compared with recombinant FVIIa (NovoSeven®). In one embodiment, prophylactically treating hemophilia in a subject with MOD-5014 comprises a reduced frequency of administration of MOD-5014, as compared with recombinant FVIIa (NovoSeven®). In one embodiment, preventing excess bleeding in a subject with MOD-5014 comprises a reduced frequency of administration of MOD-5014, as compared with recombinant FVIIa (NovoSeven®).

[0332]

In one embodiment, coagulation Factor IX comprising 3 CTPs in tandem in its carboxy terminus exhibits an improved PK profile while maintaining its coagulation activity vs. FIX-CTP-CTP harvest, FIX-CTP harvest or rhFIX. In one embodiment, the elimination half-life of rFIX-CTP3 is 2.5- to 4-fold longer than rFIX in rats and in FIX-deficient mice. In one embodiment, the administration of rFIX-CTP3significantly prolonged the procoagulatory effect in FIX-deficient mice for at least 76 hr after dosing. In one embodiment, the administration of rFIX-CTP3produced a higher activity peak than rFIX in FIX-deficient mice. In another embodiment, coagulation Factor IX comprising 2 CTPs in tandem in its carboxy terminus exhibits an improved PK profile while maintaining its coagulation activity vs. FIX-CTP harvest or rhFIX. In another embodiment, coagulation Factor IX comprising 2 CTPs in tandem in its carboxy terminus exhibits 3-fold increase in half-life and 4.5-fold higher AUC compared to rhFIX.

[0333]

In one embodiment, coagulation Factor VII comprising 3 CTPs in tandem in its carboxy terminus exhibits an improved PK profile while maintaining its coagulation activity vs. NovoSeven® (see Table 59 and FIG. 36).

[0334]

In another embodiment, the terms “CTP peptide,” “carboxy terminal peptide” and “CTP sequence” are used interchangeably herein. In another embodiment, the carboxy terminal peptide is a full-length CTP. Each possibility represents a separate embodiment of the disclosure.

[0335]

In another embodiment, a signal peptide is attached to the amino terminus of the CTP, as described in U.S. Pat. No. 7,553,940, which is incorporated by reference herein in its entirety. In another embodiment, no signal peptide is attached to the amino terminus of the CTP.

[0336]

In other embodiments, the term engineered coagulation factor refers to the amino acid sequence of a matured coagulation factor. In other embodiments, the term engineered coagulation factor refers to the amino acid sequence of the coagulation factor including its signal sequence or signal peptide.

[0337]

In another embodiment, “signal sequence” and “signal peptide” are used interchangeably herein having all the same qualities and meanings. In another embodiment, “sequence” when in reference to a polynucleotide molecule can refer to a coding portion. In another embodiment, an engineered coagulation factor comprising at least one CTP as described herein has enhanced in vivo biological activity compared the same coagulation factor without at least one CTP. In one embodiment, the enhanced biological activity stems from the longer half-life of the engineered coagulation factor while maintaining at least some biological activity. In another embodiment, the enhanced biological activity stems from enhanced biological activity resulting from the CTP modification. In another embodiment, the enhanced biological activity stems from both a longer half-life and from enhanced functionality of the CTP-modified coagulation factor.

[0338]

In some embodiments, at least one CTP sequence at the carboxy terminal end of the coagulation factor provides enhanced protection against degradation of a coagulation factor. In some embodiments, at least one CTP sequence at the carboxy terminal end of the coagulation factor provides enhanced protection against clearance. In some embodiments, at least one CTP sequence at the carboxy terminal end of the coagulation factor provides prolonged clearance time. In some embodiments, at least one CTP sequence at the carboxy terminal end of the coagulation factor enhances its Cmax. In some embodiments, at least one CTP sequence at the carboxy terminal end of the coagulation factor enhances its Tmax. In some embodiments, at least one CTP sequence at the carboxy terminal end of the coagulation factor prolongs its T½.

[0339]

In another embodiment, a conjugated coagulation factor of this invention is used in the same manner as an unmodified conjugated coagulation factor. In another embodiment, a conjugated coagulation factor of this invention has an increased circulating half-life and plasma residence time, decreased clearance, and increased clinical activity in vivo. In another embodiment, due to the improved properties of the conjugated coagulation factor as described herein, this conjugate is administered less frequently than the unmodified form of the same coagulation factor.

[0340]

In another embodiment, decreased frequency of administration will result in improved treatment strategy, which in one embodiment, will lead to improved patient compliance leading to improved treatment outcomes, as well as improved patient quality of life. In another embodiment, compared to conventional conjugates of coagulation factors, it has been found that conjugates having the molecular weight and linker structure of the conjugates of this invention have an improved potency, improved stability, elevated AUC levels, and enhanced circulating half-life.

[0341]

In another embodiment, the present invention further provides a pharmaceutical composition or a pharmaceutical formulation comprising a CTP-modified Factor IX (FIX) polypeptide consisting of a FIX polypeptide and three gonadotropin carboxy terminal peptides (CTPs) attached to the carboxy terminus of said CTP-modified FIX polypeptide.

[0342]

In another embodiment, the present invention further provides a pharmaceutical composition or a pharmaceutical formulation comprising a CTP-modified Factor VIIa (FVIIa) polypeptide consisting of a FVIIa polypeptide and three gonadotropin carboxy terminal peptides (CTPs) attached to the carboxy terminus of said FVIIa.

[0343]

In another embodiment, the present invention further provides a pharmaceutical composition or a pharmaceutical formulation comprising a CTP-modified Factor VIIa (FVIIa) polypeptide consisting of a FVIIa polypeptide and four gonadotropin carboxy terminal peptides (CTPs) attached to the carboxy terminus of said FVIIa.

[0344]

In another embodiment, the present invention further provides a pharmaceutical composition or a pharmaceutical formulation comprising a CTP-modified Factor VIIa (FVIIa) polypeptide consisting of a FVIIa polypeptide and five gonadotropin carboxy terminal peptides (CTPs) attached to the carboxy terminus of said FVIIa.

[0345]

In another embodiment, provided herein is a composition comprising a conjugated coagulation factor as described herein. In another embodiment, provided herein is a pharmaceutical composition comprising the conjugated coagulation factor as described herein. In another embodiment, provided herein is a pharmaceutical composition comprising a therapeutically effective amount of the conjugated coagulation factor as described herein. In one embodiment, a therapeutically effective amount of a conjugated coagulation factor is determined according to factors such as the specific condition being treated, the condition of the patient being treated, as well as the other ingredients in the composition.

[0346]

In one embodiment, the disclosure provides a pharmaceutical formulation for use in compositions, formulations, and methods of the disclosure. In another embodiment, the disclosure provides a pharmaceutical formulation comprising a polypeptide consisting of a coagulation factor and three chorionic gonadotropin carboxy terminal peptides attached to the carboxy terminus of the coagulation factor. In another embodiment, the pharmaceutical formulation further comprises a buffer and a tonicity agent. In another embodiment, the buffer is 20 mM citrate and 13.3 mM Glycine, and the tonicity agent is 150 mM NaCl. In another embodiment, the formulation is at about a pH of 6.4. In another embodiment, the buffer is 20 mM citrate and 13.3 mM Glycine, and the tonicity agent is 150 mM NaCl, and the pH is 6.4. In another embodiment, the formulation is a liquid formulation. In another embodiment, the formulation is a lyophilized formulation. In another embodiment, the liquid formulation may be formed using a lyophilized CTP-modified coagulation factor. In another embodiment, the CTP-modified coagulation factor is FVII-CTP-CTP-CTP. In another embodiment, the CTP-modified coagulation factor is FVIIa-CTP-CTP-CTP.

[0347]

In another embodiment, provided herein is a once weekly dosage form comprising the pharmaceutical formulation provided herein. In another embodiment, provided herein is a once daily dosage form comprising the pharmaceutical formulation provided herein. In another embodiment, provided herein is an every other day dosage form comprising the pharmaceutical formulation provided herein. In another embodiment, provided herein is an every third day dosage form comprising the pharmaceutical formulation provided herein. In another embodiment, provided herein is a twice weekly dosage form comprising the pharmaceutical formulation provided herein. In another embodiment, provided herein is twice weekly dosage form comprising the pharmaceutical formulation provided herein. In another embodiment, provided herein is a weekly dosage form comprising the pharmaceutical formulation provided herein. In another embodiment, provided herein is a bi-weekly (every two weeks) dosage form comprising the pharmaceutical formulation provided herein.

[0348]

In another embodiment, the present invention provides a formulation comprising a polypeptide consisting of a coagulation factor and three-five chorionic gonadotropin CTPs attached to the carboxy terminus of said coagulation factor, and wherein said polypeptide optionally consists of a signal peptide, wherein said formulation has increased stability. In one embodiment, the formulation is stable for at least one year. In another embodiment, the formulation is stable for at least two years.

[0349]

In one embodiment, a coagulation factor modified by CTPs is formulated in a liquid formulation. In another embodiment, a Factor VII modified by CTPs is formulated in a liquid formulation. In another embodiment, a Factor VIIa modified by CTPs is formulated in a liquid formulation. In another embodiment, a Factor IX modified by CTPs is formulated in a liquid formulation. In another embodiment, coagulation factor modified by CTPs is formulated in an intranasal dosage form. In another embodiment, coagulation factor modified by CTPs is formulated in an injectable dosage form.

[0350]

In another embodiment, the methods of the disclosure include increasing the compliance in the use of coagulation factor therapy, comprising providing to a subject in need thereof, a coagulation factor modified by CTPs, thereby increasing compliance in the use of coagulation factor therapy.

[0351]

In another embodiment, a coagulation factor modified by CTPs is administered to a subject once a day. In another embodiment, a polypeptide comprising a coagulation factor modified by CTPs is administered to a subject once every two days. In another embodiment, a coagulation factor modified by CTPs is administered to a subject once every three days. In another embodiment, a coagulation factor modified by CTPs is administered to a subject once every four days. In another embodiment, a coagulation factor modified by CTPs is administered to a subject once every five days. In another embodiment, a coagulation factor modified by CTPs is administered to a subject once every six days. In another embodiment, a coagulation factor modified by CTPs is administered to a subject once every week. In another embodiment, a coagulation factor modified by CTPs is administered to a subject once every 7-14 days. In another embodiment, a coagulation factor modified by CTPs is administered to a subject once every 10-20 days. In another embodiment, a coagulation factor modified by CTPs is administered to a subject once every 5-15 days. In another embodiment, a coagulation factor modified by CTPs is administered to a subject once every 15-30 days.

[0352]

In one embodiment, the preparation of the present invention is formulated in liquid formulations for injection via a syringe or Pen device.

[0353]

In one embodiment, the formulations provided herein also comprise preservatives, such as benzalkonium chloride and thimerosal and the like; chelating agents, such as edetate sodium and others; buffers such as phosphate, citrate and acetate; tonicity agents such as sodium chloride, potassium chloride, glycerin, mannitol and others; antioxidants such as ascorbic acid, acetylcystine, sodium metabisulfote and others; aromatic agents; viscosity adjustors, such as polymers, including cellulose and derivatives thereof; and polyvinyl alcohol and acid and bases to adjust the pH of these aqueous compositions as needed. The compositions also comprise local anesthetics or other actives. The compositions can be used as sprays, mists, drops, and the like.

[0354]

In one embodiment, a coagulation factor as described herein is a human coagulation factor.

[0355]

In another embodiment, a conjugated coagulation factor as described herein is useful in the treatment of subjects afflicted with a coagulation or clotting disorder. In another embodiment, the coagulation or clotting disorder is Hemophilia. In another embodiment, a conjugated coagulation factor as described herein is useful in the prophylactic therapy of Hemophilia thus reducing the risk of bleeding and associated complications. In another embodiment, reducing the risk of bleeding and associated complications reduces the risk of spontaneous bleeding. In another embodiment, reducing the risk of bleeding and associated complications reduces the risk of excessive bleeding. In another embodiment, a conjugated coagulation factor as described herein is useful in the treatment of subjects afflicted with Hemophilia while reducing the risk of developing inhibitory antibodies to exogenously administered coagulation factors. In another embodiment, a conjugated coagulation factor as described herein is useful in the treatment of subjects afflicted with Hemophilia thus inducing homeostasis.

[0356]

In one embodiment, a CTP-modified coagulation factor of the present invention has therapeutic uses. In another embodiment, a CTP-modified coagulation factor of the present invention has prophylactic uses.

[0357]

In another embodiment, a conjugated coagulation factor as described herein is useful in the treatment of subjects experiencing excessive bleeding or bruising or having a prolonged Prothrombin Time (PT) or Partial Thromboplastin Time (PTT). In another embodiment, a conjugated coagulation factor as described herein is useful in the treatment of subjects having an acquired condition that is causing bleeding, such as vitamin K deficiency or liver disease. In another embodiment, a conjugated coagulation factor as described herein is useful in the treatment of subjects having deficiencies in coagulation factors that are acquired (due to other diseases) or inherited, mild or severe, permanent or temporary. In another embodiment, a conjugated coagulation factor as described herein is useful in the treatment of subjects afflicted with hemophilia A. In another embodiment, a conjugated coagulation factor as described herein is useful in the treatment of subjects afflicted with hemophilia B. In another embodiment, a conjugated coagulation factor as described herein is useful in the treatment of subjects having acquired deficiencies due to chronic diseases, such as liver disease or cancer; to an acute condition such as disseminated intravascular coagulation (DIC), which uses up clotting factors at a rapid rate; or to a deficiency in vitamin K or treatment with a vitamin K antagonist like warfarin (the production of factors II, VII, IX, and X require vitamin K). In another embodiment, a conjugated coagulation factor as described herein is useful in the treatment of subjects afflicted with a disease in which causes clotting imbalances such as but not limited to: a liver disease, uremia, a cancer, a bone marrow disorder, an exposure to snake venom, a vitamin K deficiency, an anticoagulation therapy, an accidental ingestion of the anticoagulant warfarin, multiple blood transfusions (stored units of blood lose some of their clotting factors), or a combination thereof. In another embodiment, the present invention provides a method of treating deep vein thrombosis in a subject comprising administering a CTP-modified coagulation factor of the present invention. In another embodiment, the present invention provides a method of preventing uncontrolled bleeding in a subject with hemophilia comprising administering a CTP-modified coagulation factor of the present invention. In another embodiment, the present invention provides a method of preventing bleeding episodes in a subject with hemophilia comprising administering a CTP-modified coagulation factor of the present invention. In another embodiment, the present invention provides a method of controlling bleeding episodes in a subject with hemophilia B (congenital factor IX deficiency).

[0358]

In one embodiment, a composition of this invention comprises a formulation as described herein. In another embodiment, a method of this invention comprises administering a formulation as described herein. In another embodiment, a method of this invention comprises administering a composition comprising a formulation as described herein.

[0359]

In another embodiment, the compositions, formulations and methods of the present invention are for the treatment of bleeding episodes in hemophilia A or B patients with inhibitors to FVIII or FIX and in patients with acquired hemophilia; prevention of bleeding in surgical interventions or invasive procedures in hemophilia A or B patients with inhibitors to FVIII or FIX and in patients with acquired hemophilia; treatment of bleeding episodes in patients with congenital FVII deficiency and prevention of bleeding in surgical interventions or invasive procedures in patients with congenital FVII deficiency. Acquired hemophilia is a spontaneous autoimmune disorder in which patients with previously normal hemostasis develop autoantibodies against clotting factors, most frequently FVIII. The development of autoantibodies against FVIII leads to FVIII deficiency, which results in insufficient generation of thrombin by factor IXa and the factor VIIIa complex through the intrinsic pathway of the coagulation cascade. The following conditions may be associated with acquired hemophilia A: idiopathic, pregnancy, autoimmune disorders, inflammatory bowel disease, ulcerative colitis, dermatologic disorders (eg, psoriasis, pemphigus), respiratory diseases (eg, asthma, chronic obstructive pulmonary disease), allergic drug reactions, diabetes, acute hepatitis B infection, acute hepatitis C infection, malignancies-solid tumors (prostate, lung, colon, pancreas, stomach, bile duct, head and neck, cervix, breast, melanoma, kidney), hematologic malignancies. It will be appreciated by the skilled artisan that autoimmune disorders may include rheumatoid arthritis, systemic lupus erythematosus, multiple sclerosis, temporal arteritis, sjogren syndrome, autoimmune hemolytic anemia, goodpasture syndrome, myasthenia gravis, graves' disease, autoimmune hypothyroidism. It will be appreciated by the skilled artisan that allergic reactions may occur from a subject being administered penicillin and its derivatives, sulfamides, phenytoin, chloramphenicol, methyldopa, depot thioxanthene, interferon alfa, fludarabine, bacille calmette-guérin (BCG) vaccination, desvenlafaxine. It will be appreciated by the skilled artisan that hematologic malignancies may include chronic lymphocytic leukemia, non-Hodgkin lymphoma, multiple myeloma, waldenstrom macroglobulinemia, myelodysplastic syndrome, myelofibrosis, and erythroleukemia. Hence, and in one embodiment, provided herein is a method for treating acquired hemophilia in a subject, comprising administering to the subject any of the compositions provided herein.

[0360]

In another embodiment, the compositions, formulations, and methods of the present invention are for the treatment or prevention of muscle bleeds. In another embodiment, the compositions, formulations, and methods of the present invention are for the treatment or prevention of joint bleeds. In another embodiment, the compositions, formulations, and methods of the present invention provide therapeutic or prophylactic treatment of epistaxis and gum bleeding, mucous membrane bleeding, bleeding into the central nervous system. In another embodiment, the compositions, formulations, and methods of the present invention provide therapeutic or prophylactic treatment of gastrointestinal or cerebral bleeding. In another embodiment, the compositions, formulations, and methods of the present invention provide therapeutic or prophylactic treatment of low frequency mild bleeds. In another embodiment, the compositions, formulations, and methods of the present invention provide therapeutic or prophylactic treatment of low frequency moderate bleeds. In another embodiment, the compositions, formulations, and methods of the present invention provide therapeutic or prophylactic treatment of high frequency mild bleeds. In another embodiment, the compositions, formulations, and methods of the present invention provide therapeutic or prophylactic treatment of high frequency moderate bleeds.

[0361]

In one embodiment, the compositions, formulations, and methods of the present invention provide therapeutic or prophylactic treatment of asymptomatic hemophilia. In another embodiment, the compositions, formulations, and methods of the present invention provide therapeutic or prophylactic treatment of mild to moderate hemophilia. In another embodiment, the compositions, formulations, and methods of the present invention provide therapeutic or prophylactic treatment of severe hemophilia.

[0362]

In one embodiment, the compositions, formulations, and methods of the present invention provide therapeutic or prophylactic treatment of hemorrhage, which in one embodiment, is uncontrollable hemorrhage, and, in another embodiment, intracerebral hemorrhage. In another embodiment, the compositions, formulations, and methods of the present invention provide therapeutic or prophylactic treatment of neonatal coagulopathies; severe hepatic disease; high-risk surgical procedures; traumatic blood loss; bone marrow transplantation; thrombocytopenias and platelet function disorders; urgent reversal of oral anticoagulation; congenital deficiencies of factors V, VII, X, and XI; or von Willebrand disease, in one embodiment, von Willebrand disease with inhibitors to von Willebrand factor.

[0363]

In one embodiment, a CTP-modified coagulation factor of the present invention is for the treatment of hemophilia or a related disease as described herein in a subject. In one embodiment, the subject is human. In another embodiment, the subject is a human child. In another embodiment, the subject is a domesticated animal. In another embodiment, the subject is a mammal. In another embodiment, the subject is a farm animal In another embodiment, the subject is a monkey. In another embodiment, the subject is a horse. In another embodiment, the subject is a cow. In another embodiment, the subject is a mouse. In another embodiment, the subject is a rat. In another embodiment, the subject is canine. In another embodiment, the subject is feline. In another embodiment, the subject is bovine, ovine, porcine, equine, murine, or cervine. In one embodiment, the subject is male. In another embodiment, the subject is female. In one embodiment, the subject is a child, in another embodiment, an adolescent, in another embodiment, an adult or, in another embodiment, an elderly subject. In another embodiment, the subject is a pediatric subject, in another embodiment, a geriatric subject.

[0364]

In another embodiment, a [(CTP)n>1-coagulation factor] as described herein comprises a full length coagulation factor or an active fragment thereof connected via a peptide bond on its carboxy terminus to at least one CTP unit with no CTPs on its amino terminus. In another embodiment, a [(CTP)n>1-coagulation factor] as described herein comprises a coagulation factor or an active fragment thereof connected via a peptide bond to at least one CTP unit which is connected to an additional CTP unit via a peptide bond with no CTPs on its amino terminus. In another embodiment, one nucleic acid molecule encodes an engineered coagulation factor comprising at least one CTP attached to its C-terminus and no CTPs on its amino terminus.

[0365]

In another embodiment, the CTP is attached to the coagulation factor via a linker. In another embodiment, the linker which connects the CTP sequence to the coagulation factor is a covalent bond. In another embodiment, the linker which connects the CTP sequence to the coagulation factor is a peptide bond. In another embodiment, the linker which connects the CTP sequence to the coagulation factor is a substituted peptide bond. In another embodiment, the CTP sequence comprises: DPRFQDSSSSKAPPPSLPSPSRLPGPSDTPIL (SEQ ID NO: 1). In another embodiment, the CTP sequence comprises: SSSSKAPPPSLPSPSRLPGPSDTPILPQ (SEQ ID NO: 2). In another embodiment, the CTP sequence comprises an amino acid sequence selected from the sequences set forth in SEQ ID NO: 1 and SEQ ID NO: 2.

[0366]

In another embodiment, the carboxy terminal peptide (CTP) peptide of the present invention comprises the amino acid sequence from amino acid 112 to position 145 of human chorionic gonadotropin, as set forth in SEQ ID NO: 1. In another embodiment, the CTP sequence of the present invention comprises the amino acid sequence from amino acid 118 to position 145 of human chorionic gonadotropin, as set forth in SEQ ID NO: 2. In another embodiment, the CTP sequence also commences from any position between positions 112-118 and terminates at position 145 of human chorionic gonadotropin. In some embodiments, the CTP sequence peptide is 28, 29, 30, 31, 32, 33 or 34 amino acids long and commences at position 112, 113, 114, 115, 116, 117 or 118 of the CTP amino acid sequence.

[0367]

In another embodiment, the CTP peptide is a variant of chorionic gonadotropin CTP which differs from the native CTP by 1-5 conservative amino acid substitutions as described in U.S. Pat. No. 5,712,122, which is incorporated herein by reference. In another embodiment, the CTP peptide is a variant of chorionic gonadotropin CTP which differs from the native CTP by 1 conservative amino acid substitution. In another embodiment, the CTP peptide is a variant of chorionic gonadotropin CTP which differs from the native CTP by 2 conservative amino acid substitutions. In another embodiment, the CTP peptide is a variant of chorionic gonadotropin CTP which differs from the native CTP by 3 conservative amino acid substitutions. In another embodiment, the CTP peptide is a variant of chorionic gonadotropin CTP which differs from the native CTP by 4 conservative amino acid substitutions. In another embodiment, the CTP peptide is a variant of chorionic gonadotropin CTP which differs from the native CTP by 5 conservative amino acid substitutions.

[0368]

In another embodiment, the CTP peptide amino acid sequence of the present invention is at least 70% homologous to the native CTP amino acid sequence or a peptide thereof. In another embodiment, the CTP peptide amino acid sequence of the present invention is at least 80% homologous to the native CTP amino acid sequence or a peptide thereof. In another embodiment, the CTP peptide amino acid sequence of the present invention is at least 90% homologous to the native CTP amino acid sequence or a peptide thereof. In another embodiment, the CTP peptide amino acid sequence of the present invention is at least 95% homologous to the native CTP amino acid sequence or a peptide thereof. In another embodiment, the CTP peptide amino acid sequence of the present invention is at least 98% homologous to the native CTP amino acid sequence or a peptide thereof.

[0369]

In another embodiment, the polynucleotide encoding the CTP peptide of the present invention is at least 70% homologous to the native human CTP DNA sequence or a peptide thereof. In another embodiment, the polynucleotide encoding the CTP peptide of the present invention is at least 80% homologous to the native human CTP DNA sequence or a peptide thereof. In another embodiment, the polynucleotide encoding the CTP peptide of the present invention is at least 90% homologous to the native CTP DNA sequence or a peptide thereof. In another embodiment, the polynucleotide encoding the CTP peptide of the present invention is at least 95% homologous to the native CTP DNA sequence or a peptide thereof. In another embodiment, the polynucleotide encoding the CTP peptide of the present invention is at least 98% homologous to the native CTP DNA sequence or a peptide thereof.

[0370]

In one embodiment, at least one of the chorionic gonadotropin CTP amino acid sequences is truncated. In another embodiment, both of the chorionic gonadotropin CTP amino acid sequences are truncated. In another embodiment, 2 of the chorionic gonadotropin CTP amino acid sequences are truncated. In another embodiment, 3 of the chorionic gonadotropin CTP amino acid sequences are truncated. In another embodiment, 4 of the chorionic gonadotropin CTP amino acid sequences are truncated. In another embodiment, 5 of the chorionic gonadotropin CTP amino acid sequences are truncated. In another embodiment, 2 or more of the chorionic gonadotropin CTP amino acid sequences are truncated. In another embodiment, all of the chorionic gonadotropin CTP amino acid sequences are truncated. In one embodiment, the truncated CTP comprises the first 10 amino acids of SEQ ID NO: 3. In another embodiment, SEQ ID NO: 3 comprises the following amino acid (AA) sequence: SSSSKAPPPSLP.

[0371]

In one embodiment, the truncated CTP comprises the first 10 amino acids of SEQ ID NO: 2. In another embodiment, SEQ ID NO: 2 comprises the following amino acid (AA) sequence: SSSSKAPPPSLPSPSRLPGPSDTPILPQ.

[0372]

In one embodiment, the truncated CTP comprises the first 11 amino acids of SEQ ID NO: 2. In one embodiment, the truncated CTP comprises the first 12 amino acids of SEQ ID NO: 2. In one embodiment, the truncated CTP comprises the first 8 amino acids of SEQ ID NO: 2 or SEQ ID NO: 3. In one embodiment, the truncated CTP comprises the first 13 amino acids of SEQ ID NO: 2. In one embodiment, the truncated CTP comprises the first 14 amino acids of SEQ ID NO: 2. In one embodiment, the truncated CTP comprises the first 6 amino acids of SEQ ID NO: 2 or SEQ ID NO: 3. In one embodiment, the truncated CTP comprises the first 5 amino acids of SEQ ID NO: 2 or SEQ ID NO: 3.

[0373]

In one embodiment, at least one of the chorionic gonadotropin CTP amino acid sequences is glycosylated. In another embodiment, both of the chorionic gonadotropin CTP amino acid sequences are glycosylated. In another embodiment, 2 of the chorionic gonadotropin CTP amino acid sequences are glycosylated. In another embodiment, 3 of the chorionic gonadotropin CTP amino acid sequences are glycosylated. In another embodiment, 4 of the chorionic gonadotropin CTP amino acid sequences are glycosylated. In another embodiment, 5 of the chorionic gonadotropin CTP amino acid sequences are glycosylated. In another embodiment, 2 or more of the chorionic gonadotropin CTP amino acid sequences are glycosylated. In another embodiment, all of the chorionic gonadotropin CTP amino acid sequences are glycosylated.

[0374]

In one embodiment, the CTP sequence of the present invention comprises at least one glycosylation site. In one embodiment, the CTP sequence of the present invention comprises 2 glycosylation sites. In one embodiment, the CTP sequence of the present invention comprises 3 glycosylation sites. In one embodiment, the CTP sequence of the present invention comprises 4 glycosylation sites. In one embodiment, one or more of the chorionic gonadotropin CTP amino acid sequences is fully glycosylated. In another embodiment, one or more of the chorionic gonadotropin CTP amino acid sequences is partially glycosylated. In one embodiment, partially glycosylated indicates that one of the CTP glycosylation sites is glycosylated. In another embodiment, two of the CTP glycosylation sites are glycosylated. In another embodiment, three of the CTP glycosylation sites are glycosylated.

[0375]

In some embodiments, the CTP sequence modification is advantageous in permitting the usage of lower dosages. In some embodiments, the CTP sequences modification is advantageous in permitting fewer dosages. In some embodiments, the CTP sequences modification is advantageous in permitting a safe, long-acting effect.

[0376]

In some embodiments, “polypeptide”, “engineered coagulation factor”, or “protein” as used herein encompasses native polypeptides (either degradation products, synthetically synthesized polypeptides or recombinant polypeptides) and peptidomimetics (typically, synthetically synthesized polypeptides), as well as peptoids and semipeptoids which are polypeptide analogs, which have, in some embodiments, modifications rendering the polypeptides comprising a coagulation factor even more stable while in a body or more capable of penetrating into cells.

[0377]

In some embodiments, modifications include, but are limited to C terminus modification, polypeptide bond modification, including, but not limited to, CH2—NH, CH2—S, CH2—S═O, O═C—NH, CH2—O, CH2—CH2, S═C—NH, CH═CH or CF═CH, backbone modifications, and residue modification. Methods for preparing peptidomimetic compounds are well known in the art and are specified, for example, in Quantitative Drug Design, C.A. Ramsden Gd., Chapter 17.2, F. Choplin Pergamon Press (1992), which is incorporated by reference as if fully set forth herein. Further details in this respect are provided hereinunder.

[0378]

In some embodiments, polypeptide bonds (—CO—NH—) within the polypeptide are substituted. In some embodiments, the polypeptide bonds are substituted by N-methylated bonds (—N(CH3)—CO—). In some embodiments, the polypeptide bonds are substituted by ester bonds (—C(R)H—C—O—O—C(R)—N—). In some embodiments, the polypeptide bonds are substituted by ketomethylen bonds (—CO—CH2—). In some embodiments, the polypeptide bonds are substituted by α-aza bonds (—NH—N(R)—CO—), wherein R is any alkyl, e.g., methyl, carba bonds (—CH2—NH—). In some embodiments, the polypeptide bonds are substituted by hydroxyethylene bonds (—CH(OH)—CH2—). In some embodiments, the polypeptide bonds are substituted by thioamide bonds (—CS—NH—). In some embodiments, the polypeptide bonds are substituted by olefinic double bonds (—CH═CH—). In some embodiments, the polypeptide bonds are substituted by retro amide bonds (—NH—CO—). In some embodiments, the polypeptide bonds are substituted by polypeptide derivatives (—N(R)—CH2—CO—), wherein R is the “normal” side chain, naturally presented on the carbon atom. In some embodiments, these modifications occur at any of the bonds along the polypeptide chain and in one embodiment at several (2-3 bonds) at the same time.

[0379]

In some embodiments, natural aromatic amino acids of the polypeptide such as Trp, Tyr and Phe, are substituted for synthetic non-natural acid such as Phenylglycine, TIC, naphthylelanine (Nol), ring-methylated derivatives of Phe, halogenated derivatives of Phe or o-methyl-Tyr. In some embodiments, the polypeptides of the present invention include one or more modified amino acid or one or more non-amino acid monomers (e.g. fatty acid, complex carbohydrates etc).

[0380]

In one embodiment, “amino acid” or “amino acid sequence” is understood to include the 20 naturally occurring amino acid; those amino acid often modified post-translationally in vivo, including, for example, hydroxyproline, phosphoserine and phosphothreonine; and other unusual amino acid including, but not limited to, 2-aminoadipic acid, hydroxylysine, isodesmosine, nor-valine, nor-leucine and ornithine. In one embodiment, “amino acid” includes both D- and L-amino acids.

[0381]

In some embodiments, the polypeptides of the present invention are utilized in therapeutics which requires the polypeptides comprising a coagulation factor to be in a soluble form. In some embodiments, the polypeptides of the present invention include one or more non-natural or natural polar amino acid, including but not limited to serine and threonine which are capable of increasing polypeptide solubility due to their hydroxyl-containing side chain.

[0382]

In some embodiments, the engineered coagulation factor of the present invention is utilized in a linear form, although it will be appreciated by one skilled in the art that in cases where cyclicization does not severely interfere with engineered coagulation factors characteristics, cyclic forms of the engineered coagulation factors can also be utilized.

[0383]

In some embodiments, the engineered coagulation factors of the present invention are biochemically synthesized such as by using standard solid phase techniques. In some embodiments, these biochemical methods include exclusive solid phase synthesis, partial solid phase synthesis, fragment condensation, or classical solution synthesis.

[0384]

In some embodiments, recombinant protein techniques are used to generate the engineered coagulation factors of the present invention. In some embodiments, recombinant protein techniques are used for the generation of relatively long polypeptides (e.g., longer than 18-25 amino acids). In some embodiments, recombinant protein techniques are used for the generation of large amounts of the engineered coagulation factors of the present invention. In some embodiments, recombinant techniques are described by Bitter et al., (1987) Methods in Enzymol. 153:516-544, Studier et al. (1990) Methods in Enzymol. 185:60-89, Brisson et al. (1984) Nature 310:511-514, Takamatsu et al. (1987) EMBO J. 6:307-311, Coruzzi et al. (1984) EMBO J. 3:1671-1680 and Brogli et al., (1984) Science 224:838-843, Gurley et al. (1986) Mol. Cell. Biol. 6:559-565 and Weissbach & Weissbach, 1988, Methods for Plant Molecular Biology, Academic Press, NY, Section VIII, pp 421-463, which are incorporated herein by reference in their entirety.

[0385]

In another embodiment, the disclosure provides a polynucleotide molecule comprising the coding portion of a gene encoding a polypeptide comprising a coagulation factor and gonadotropin carboxy terminal peptides attached to the carboxy terminus of the coagulation factor, as described hereinabove. In another embodiment, the disclosure provides a polynucleotide molecule consisting of the coding portion of a gene encoding a polypeptide comprising a coagulation factor and gonadotropin carboxy terminal peptides attached to the carboxy terminus of the coagulation factor, as described hereinabove. In another embodiment, the disclosure provides a polynucleotide molecule consisting essentially of the coding portion of a gene encoding a polypeptide comprising a coagulation factor and gonadotropin carboxy terminal peptides attached to the carboxy terminus of the coagulation factor, as described hereinabove.

[0386]

In another embodiment, the disclosure provides a polynucleotide encoding a polypeptide comprising a coagulation factor and three gonadotropin carboxy terminal peptides attached to the carboxy terminus of the coagulation factor, as described hereinabove. In another embodiment, the disclosure provides a polynucleotide encoding a polypeptide consisting of a coagulation factor and three gonadotropin carboxy terminal peptides attached to the carboxy terminus of the coagulation factor, as described hereinabove. In another embodiment, the disclosure provides a polynucleotide encoding a polypeptide consisting essentially of a coagulation factor and three gonadotropin carboxy terminal peptides attached to the carboxy terminus of the coagulation factor, as described hereinabove. In one embodiment, the polynucleotide is a polynucleotide sequence. In one embodiment, the polynucleotide is a polynucleotide molecule.

[0387]

In another embodiment, the disclosure provides an expression vector comprising a polynucleotide molecule as described herein. In another embodiment, the present invention provides an expression vector comprising a polynucleotide encoding a CTP-modified polypeptide consisting of a Factor IX (FIX) polypeptide and three gonadotropin carboxy terminal peptides (CTPs) attached to the carboxy terminus of said FIX polypeptide. In another embodiment, the present invention provides an expression vector comprising a polynucleotide encoding a CTP-modified polypeptide consisting of a Factor VIIa (FVIIa) polypeptide and three to five gonadotropin carboxy terminal peptides (CTPs) attached to the carboxy terminus of said FVIIa polypeptide.

[0388]

In another embodiment, the disclosure provides a cell comprising the expression vector as described herein. In another embodiment, the present invention provides a cell comprising an expression vector comprising a polynucleotide encoding a CTP-modified polypeptide consisting of a Factor IX (FIX) polypeptide and three gonadotropin carboxy terminal peptides (CTPs) attached to the carboxy terminus of said FIX polypeptide. In another embodiment, the present invention provides a cell comprising an expression vector comprising a polynucleotide encoding a CTP-modified polypeptide consisting of a Factor VIIa (FVIIa) polypeptide and three gonadotropin carboxy terminal peptides (CTPs) attached to the carboxy terminus of said FVIIa polypeptide.

[0389]

In another embodiment, the disclosure provides a composition comprising the expression vector as described herein. In another embodiment, the present invention provides a composition comprising an expression vector comprising a polynucleotide encoding a CTP- modified polypeptide consisting of a Factor IX (FIX) polypeptide and three gonadotropin carboxy terminal peptides (CTPs) attached to the carboxy terminus of said FIX polypeptide. In another embodiment, the present invention provides a composition comprising an expression vector comprising a polynucleotide encoding a CTP-modified polypeptide consisting of a Factor VIIa (FVIIa) polypeptide and three gonadotropin carboxy terminal peptides (CTPs) attached to the carboxy terminus of said FVIIa polypeptide.

[0390]

In another embodiment, the disclosure provides a composition comprising the cell as described herein. In another embodiment, the cell is a eukaryotic cell. In another embodiment, the cell is a prokaryotic cell.

[0391]

In another embodiment, the present invention provides a method of producing a CTP-modified coagulation factor, comprising the step of attaching one to ten chorionic gonadotropin carboxy terminal peptides (CTPs) to the carboxy terminus of said coagulation factor, thereby producing a CTP-modified coagulation factor. In another embodiment, the present invention provides a method of producing a CTP-modified coagulation factor, comprising the step of attaching one to ten polynucleotide sequences encoding a chorionic gonadotropin carboxy terminal peptide (CTP) to the carboxy terminus of a polynucleotide sequence encoding said coagulation factor, thereby producing a CTP-modified coagulation factor. In another embodiment, the present invention provides a method of producing a CTP-modified Factor IX (FIX) polypeptide, comprising the step of attaching three chorionic gonadotropin carboxy terminal peptides (CTPs) to the carboxy terminus of said FIX polypeptide, thereby producing a CTP-modified FIX polypeptide. In another embodiment, the present invention provides a method of producing a CTP-modified Factor VIIa (FVIIa) polypeptide, comprising the step of attaching three chorionic gonadotropin carboxy terminal peptides (CTPs) to the carboxy terminus of said FVIIa polypeptide, thereby producing a CTP-modified FVIIa polypeptide.

[0392]

In another embodiment, the engineered coagulation factors of the present invention are synthesized using a polynucleotide molecule encoding a polypeptide of the present invention. In some embodiments, the polynucleotide molecule encoding the engineered coagulation factors of the present invention is ligated into an expression vector, comprising a transcriptional control of a cis-regulatory sequence (e.g., promoter sequence). In some embodiments, the cis-regulatory sequence is suitable for directing constitutive expression of an engineered coagulation factor of the present invention. In some embodiments, the cis-regulatory sequence is suitable for directing tissue-specific expression of the engineered coagulation factors of the present invention. In some embodiments, the cis-regulatory sequence is suitable for directing inducible expression of the engineered coagulation factors of the present invention.

[0393]

In some embodiment, tissue-specific promoters suitable for use with the present invention include sequences which are functional in one or more specific cell populations. Examples include, but are not limited to, promoters such as albumin that is liver-specific [Pinkert et al., (1987) Genes Dev. 1:268-277], lymphoid-specific promoters [Calame et al., (1988) Adv. Immunol. 43:235-275]; in particular promoters of T-cell receptors [Winoto et al., (1989) EMBO J. 8:729-733] and immunoglobulins; [Banerji et al. (1983) Cell 33729-740], neuron-specific promoters such as the neurofilament promoter [Byrne et al. (1989) Proc. Natl. Acad. Sci. USA 86:5473-5477], pancreas-specific promoters [Edlunch et al. (1985) Science 230:912-916] or mammary gland-specific promoters such as the milk whey promoter (U.S. Pat. No. 4,873,316 and European Application Publication No. 264,166). Inducible promoters suitable for use with the present invention include, for example, the tetracycline-inducible promoter (Srour, M.A., et al., 2003. Thromb. Haemost. 90: 398-405).

[0394]

In one embodiment, the phrase “a polynucleotide molecule” refers to a single or double stranded nucleic acid sequence which is isolated and provided in the form of an RNA sequence, a complementary polynucleotide sequence (cDNA), a genomic polynucleotide sequence and/or a composite polynucleotide sequences (e.g., a combination of the above).

[0395]

In one embodiment, a “complementary polynucleotide sequence” refers to a sequence, which results from reverse transcription of messenger RNA using a reverse transcriptase or any other RNA-dependent DNA polymerase. In one embodiment, the sequence can be subsequently amplified in vivo or in vitro using a DNA polymerase.

[0396]

In one embodiment, a “genomic polynucleotide sequence” refers to a sequence derived (isolated) from a chromosome and thus it represents a contiguous portion of a chromosome.

[0397]

In one embodiment, a “composite polynucleotide sequence” refers to a sequence, which is at least partially complementary and at least partially genomic. In one embodiment, a composite sequence can include some exonal sequences required to encode the polypeptide of the present invention, as well as some intronic sequences interposing therebetween. In one embodiment, the intronic sequences can be of any source, including of other genes, and typically will include conserved splicing signal sequences. In one embodiment, intronic sequences include cis-acting expression regulatory elements.

[0398]

In one embodiment, following expression and secretion, the signal peptides are cleaved from the precursor engineered coagulation factors resulting in the mature engineered coagulation factors lacking a signal peptide.

[0399]

In some embodiments, polynucleotides of the present invention are prepared using PCR techniques, or any other method or procedure known to one skilled in the art. In some embodiments, the procedure involves the ligation of two different DNA sequences (See, for example, “Current Protocols in Molecular Biology”, eds. Ausubel et al., John Wiley & Sons, 1992).

[0400]

In one embodiment, polynucleotides of the present invention which encode the engineered coagulation factors are inserted into expression vectors (i.e., a nucleic acid construct) to enable expression of the recombinant polypeptide. In one embodiment, the expression vector of the present invention includes additional sequences which render this vector suitable for replication and integration in prokaryotes. In one embodiment, the expression vector of the present invention includes additional sequences which render this vector suitable for replication and integration in eukaryotes. In one embodiment, the expression vector of the present invention includes a shuttle vector which renders this vector suitable for replication and integration in both prokaryotes and eukaryotes. In some embodiments, cloning vectors comprise transcription and translation initiation sequences (e.g., promoters, enhances) and transcription and translation terminators (e.g., polyadenylation signals).

[0401]

In one embodiment, a variety of prokaryotic or eukaryotic cells can be used as host-expression systems to express the coagulation factors of the present invention. In some embodiments, these include, but are not limited to, microorganisms, such as bacteria transformed with a recombinant bacteriophage DNA, plasmid DNA or cosmid DNA expression vector containing the polypeptide coding sequence; yeast transformed with recombinant yeast expression vectors containing the polypeptide coding sequence; plant cell systems infected with recombinant virus expression vectors (e.g., cauliflower mosaic virus, CaMV; tobacco mosaic virus, TMV) or transformed with recombinant plasmid expression vectors, such as Ti plasmid, containing the polypeptide coding sequence.

[0402]

In some embodiments, non-bacterial expression systems are used (e.g. mammalian expression systems such as CHO cells) to express the coagulation factors of the present invention. In one embodiment, the expression vector used to express polynucleotides of the present invention in mammalian cells is pCI-DHFR vector comprising a CMV promoter and a neomycin resistance gene. Construction of the pCI-dhfr vector is described, according to one embodiment, in Example 1.

[0403]

In some embodiments, in bacterial systems of the present invention, a number of expression vectors can be advantageously selected depending upon the use intended for the polypeptide expressed. In one embodiment, large quantities of polypeptide are desired. In one embodiment, vectors that direct the expression of high levels of the protein product, possibly as a fusion with a hydrophobic signal sequence, which directs the expressed product into the periplasm of the bacteria or the culture medium where the protein product is readily purified are desired. In one embodiment, certain fusion proteins are engineered with a specific cleavage site to aid in recovery of the polypeptide. In one embodiment, vectors adaptable to such manipulation include, but are not limited to, the pET series of E. coli expression vectors [Studier et al., Methods in Enzymol. 185:60-89 (1990)].

[0404]

In one embodiment, yeast expression systems are used. In one embodiment, a number of vectors containing constitutive or inducible promoters can be used in yeast as disclosed in U.S. Pat. Application. No: 5,932,447, which is incorporated by reference herein in its entirety. In another embodiment, vectors which promote integration of foreign DNA sequences into the yeast chromosome are used.

[0405]

In one embodiment, the expression vector of the present invention can further include additional polynucleotide sequences that allow, for example, the translation of several proteins from a single mRNA such as an internal ribosome entry site (IRES) and sequences for genomic integration of the promoter-chimeric polypeptide.

[0406]

In some embodiments, mammalian expression vectors include, but are not limited to, pcDNA3, pcDNA3.1(+/−), pGL3, pZeoSV2(+/−), pSecTag2, pDisplay, pEF/myc/cyto, pCMV/myc/cyto, pCR3.1, pSinRepS, DH26S, DHBB, pNMT1, pNMT41, pNMT81, which are available from Invitrogen, pCI which is available from Promega, pMbac, pPbac, pBK-RSV and pBK-CMV which are available from Strategene, pTRES which is available from Clontech, and their derivatives.

[0407]

In some embodiments, expression vectors containing regulatory elements from eukaryotic viruses such as retroviruses are used in the present invention. SV40 vectors include pSVT7 and pMT2. In some embodiments, vectors derived from bovine papilloma virus include pBV-1MTHA, and vectors derived from Epstein Bar virus include pHEBO, and p2O5. Other exemplary vectors include pMSG, pAV009/A+, pMTO10/A+, pMAMneo-5, baculovirus pDSVE, and any other vector allowing expression of proteins under the direction of the SV-40 early promoter, SV-40 later promoter, metallothionein promoter, murine mammary tumor virus promoter, Rous sarcoma virus promoter, polyhedrin promoter, or other promoters shown effective for expression in eukaryotic cells.

[0408]

In some embodiments, recombinant viral vectors are useful for in vivo expression of the coagulation factors of the present invention since they offer advantages such as lateral infection and targeting specificity. In one embodiment, lateral infection is inherent in the life cycle of, for example, a retrovirus and is the process by which a single infected cell produces many progeny virions that bud off and infect neighboring cells. In one embodiment, the result is that a large area becomes rapidly infected, most of which was not initially infected by the original viral particles. In one embodiment, viral vectors are produced that are unable to spread laterally. In one embodiment, this characteristic can be useful if the desired purpose is to introduce a specified gene into only a localized number of targeted cells.

[0409]

In one embodiment, various methods can be used to introduce the expression vector of the present invention into cells. Such methods are generally described in Sambrook et al., Molecular Cloning: A Laboratory Manual, Cold Springs Harbor Laboratory, New York (1989, 1992), in Ausubel et al., Current Protocols in Molecular Biology, John Wiley and Sons, Baltimore, Md. (1989), Chang et al., Somatic Gene Therapy, CRC Press, Ann Arbor, Mich. (1995), Vega et al., Gene Targeting, CRC Press, Ann Arbor Mich. (1995), Vectors: A Survey of Molecular Cloning Vectors and Their Uses, Butterworths, Boston Mass. (1988) and Gilboa et at. [Biotechniques 4 (6): 504-512, 1986] and include, for example, stable or transient transfection, lipofection, electroporation and infection with recombinant viral vectors. In addition, see U.S. Pat. Nos. 5,464,764 and 5,487,992, incorporated herein by reference, for positive-negative selection methods.

[0410]

In some embodiments, introduction of nucleic acid by viral infection offers several advantages over other methods such as lipofection and electroporation, since higher transfection efficiency can be obtained due to the infectious nature of viruses.

[0411]

In one embodiment, it will be appreciated that the engineered coagulation factors of the present invention can also be expressed from a nucleic acid construct administered to the individual employing any suitable mode of administration, described hereinabove (i.e., in vivo gene therapy). In one embodiment, the nucleic acid construct is introduced into a suitable cell via an appropriate gene delivery vehicle/method (transfection, transduction, homologous recombination, etc.) and an expression system as needed and then the modified cells are expanded in culture and returned to the individual (i.e., ex vivo gene therapy).

[0412]

In one embodiment, plant expression vectors are used. In one embodiment, the expression of a polypeptide coding sequence is driven by a number of promoters. In some embodiments, viral promoters such as the 35S RNA and 19S RNA promoters of CaMV [Brisson et al., Nature 310:511-514 (1984)], or the coat protein promoter to TMV [Takamatsu et al., EMBO J. 6:307-311 (1987)] are used. In another embodiment, plant promoters are used such as, for example, the small subunit of RUBISCO [Coruzzi et al., EMBO J. 3:1671-1680 (1984); and Brogli et al., Science 224:838-843 (1984)] or heat shock promoters, e.g., soybean hsp17.5-E or hsp17.3-B [Gurley et al., Mol. Cell. Biol. 6:559-565 (1986)]. In one embodiment, constructs are introduced into plant cells using Ti plasmid, Ri plasmid, plant viral vectors, direct DNA transformation, microinjection, electroporation and other techniques well known to the skilled artisan. See, for example, Weissbach & Weissbach [Methods for Plant Molecular Biology, Academic Press, NY, Section VIII, pp 421-463 (1988)]. Other expression systems such as insects and mammalian host cell systems, which are well known in the art, can also be used by the present invention.

[0413]

It will be appreciated that other than containing the necessary elements for the transcription and translation of the inserted coding sequence (encoding the polypeptide), the expression construct of the present invention can also include sequences engineered to optimize stability, production, purification, yield or activity of the expressed polypeptide.

[0414]

In some embodiments, transformed cells are cultured under effective conditions, which allow for the expression of high amounts of recombinant engineered coagulation factors. In some embodiments, effective culture conditions include, but are not limited to, effective media, bioreactor, temperature, pH and oxygen conditions that permit protein production. In one embodiment, an effective medium refers to any medium in which a cell is cultured to produce the recombinant polypeptide of the present invention. In some embodiments, a medium typically includes an aqueous solution having assimilable carbon, nitrogen and phosphate sources, and appropriate salts, minerals, metals and other nutrients, such as vitamins In some embodiments, cells of the present invention can be cultured in conventional fermentation bioreactors, shake flasks, test tubes, microtiter dishes and petri plates. In some embodiments, culturing is carried out at a temperature, pH and oxygen content appropriate for a recombinant cell. In some embodiments, the determination of culturing conditions are within the expertise of one of ordinary skill in the art.

[0415]

In some embodiments, depending on the vector and host system used for production, resultant engineered coagulation factors of the present invention either remain within the recombinant cell, are secreted into the fermentation medium, are secreted into a space between two cellular membranes, such as the periplasmic space in E. coli; or are retained on the outer surface of a cell or viral membrane.

[0416]

In one embodiment, following a predetermined time in culture, recovery of the recombinant engineered coagulation factor is effected.

[0417]

In one embodiment, the phrase “recovering the recombinant engineered coagulation factor” used herein refers to collecting the whole fermentation medium containing the polypeptide and need not imply additional steps of separation or purification.

[0418]

In one embodiment, engineered coagulation factors of the present invention are purified using a variety of standard protein purification techniques, such as, but not limited to, affinity chromatography, ion exchange chromatography, filtration, electrophoresis, hydrophobic interaction chromatography, gel filtration chromatography, reverse phase chromatography, concanavalin A chromatography, chromatofocusing and differential solubilization.

[0419]

In one embodiment, to facilitate recovery, the expressed coding sequence can be engineered to encode the engineered coagulation factor of the present invention and fused cleavable moiety. In one embodiment, a fusion protein can be designed so that the polypeptide can be readily isolated by affinity chromatography; e.g., by immobilization on a column specific for the cleavable moiety. In one embodiment, a cleavage site is engineered between the engineered coagulation factor and the cleavable moiety and the polypeptide can be released from the chromatographic column by treatment with an appropriate enzyme or agent that specifically cleaves the fusion protein at this site [e.g., see Booth et al., Immunol. Lett. 19:65-70 (1988); and Gardella et al., J. Biol. Chem. 265:15854-15859 (1990)].

[0420]

In one embodiment, the engineered coagulation factor of the present invention is retrieved in “substantially pure” form.

[0421]

In one embodiment, the phrase “substantially pure” refers to a purity that allows for the effective use of the protein in the applications described herein.

[0422]

In one embodiment, the engineered coagulation factor of the present invention can also be synthesized using in vitro expression systems. In one embodiment, in vitro synthesis methods are well known in the art and the components of the system are commercially available.

[0423]

In some embodiments, the recombinant engineered coagulation factors are synthesized and purified; their therapeutic efficacy can be assayed either in vivo or in vitro. In one embodiment, the binding activities of the recombinant engineered coagulation factors of the present invention can be ascertained using various assays as known to one of skill in the art.

[0424]

In another embodiment, the engineered coagulation factor of the present invention can be provided to the individual per se. In one embodiment, the engineered coagulation factor of the present invention can be provided to the individual as part of a pharmaceutical composition where it is mixed with a pharmaceutically acceptable carrier.

[0425]

In another embodiment, a “pharmaceutical composition” refers to a preparation of one or more of the active ingredients described herein with other chemical components such as physiologically suitable carriers and excipients. The purpose of a pharmaceutical composition is to facilitate administration of a compound to an organism.

[0426]

In another embodiment, “active ingredient” refers to the polypeptide sequence of interest, which is accountable for the biological effect.

[0427]

In another embodiment, any of the compositions of the present invention will comprise at least one CTP sequence bound only to the carboxy terminus of an engineered coagulation factor of interest, in any form. In one embodiment, the present invention provides combined preparations. In one embodiment, “a combined preparation” defines especially a “kit of parts” in the sense that the combination partners as defined above can be dosed independently or by use of different fixed combinations with distinguished amounts of the combination partners i.e., simultaneously, concurrently, separately or sequentially. In some embodiments, the parts of the kit of parts can then, e.g., be administered simultaneously or chronologically staggered, that is at different time points and with equal or different time intervals for any part of the kit of parts. The ratio of the total amounts of the combination partners, in some embodiments, can be administered in the combined preparation. In one embodiment, the combined preparation can be varied, e.g., in order to cope with the needs of a patient subpopulation to be treated or the needs of the single patient which different needs can be due to a particular disease, severity of a disease, age, sex, or body weight as can be readily made by a person skilled in the art.

[0428]

In another embodiment, the phrases “physiologically acceptable carrier” and “pharmaceutically acceptable carrier” which are interchangeably used refer to a carrier or a diluent that does not cause significant irritation to an organism and does not abrogate the biological activity and properties of the administered compound. An adjuvant is included under these phrases. In one embodiment, one of the ingredients included in the pharmaceutically acceptable carrier can be for example polyethylene glycol (PEG), a biocompatible polymer with a wide range of solubility in both organic and aqueous media (Mutter et al. (1979)).

[0429]

In another embodiment, “excipient” refers to an inert substance added to a pharmaceutical composition to further facilitate administration of an active ingredient. In one embodiment, excipients include calcium carbonate, calcium phosphate, various sugars and types of starch, cellulose derivatives, gelatin, vegetable oils and polyethylene glycols.

[0430]

Techniques for formulation and administration of drugs are found in “Remington's Pharmaceutical Sciences,” Mack Publishing Co., Easton, Pa., latest edition, which is incorporated herein by reference.

[0431]

Various embodiments of dosage ranges are contemplated by this invention. The dosage of the engineered coagulation factor of the present invention, in one embodiment, is in the range of 0.005-100 mg/day. In another embodiment, the dosage is in the range of 0.005-5 mg/day. In another embodiment, the dosage is in the range of 0.01-50 mg/day. In another embodiment, the dosage is in the range of 0.1-20 mg/day. In another embodiment, the dosage is in the range of 0.1-10 mg/day. In another embodiment, the dosage is in the range of 0.01-5 mg/day. In another embodiment, the dosage is in the range of 0.001-0.01 mg/day. In another embodiment, the dosage is in the range of 0.001-0.1 mg/day. In another embodiment, the dosage is in the range of 0.1-5 mg/day. In another embodiment, the dosage is in the range of 0.5-50 mg/day. In another embodiment, the dosage is in the range of 0.2 -15mg/day. In another embodiment, the dosage is in the range of 0.8-65 mg/day. In another embodiment, the dosage is in the range of 1-50 mg/day. In another embodiment, the dosage is in the range of 5-10 mg/day. In another embodiment, the dosage is in the range of 8-15 mg/day. In another embodiment, the dosage is in a range of 10-20 mg/day. In another embodiment, the dosage is in the range of 20-40 mg/day. In another embodiment, the dosage is in a range of 60-120 mg/day. In another embodiment, the dosage is in the range of 12-40 mg/day. In another embodiment, the dosage is in the range of 40-60 mg/day. In another embodiment, the dosage is in a range of 50-100mg/day. In another embodiment, the dosage is in a range of 1-60 mg/day. In another embodiment, the dosage is in the range of 15-25 mg/day. In another embodiment, the dosage is in the range of 5-10 mg/day. In another embodiment, the dosage is in the range of 55-65 mg/day.

[0432]

In another embodiment, the dosage is in a range of 50-500 mg/day. In another embodiment, the dosage is in a range of 50-150 mg/day. In another embodiment, the dosage is in a range of 100-200 mg/day. In another embodiment, the dosage is in a range of 150-250 mg/day. In another embodiment, the dosage is in a range of 200-300 mg/day. In another embodiment, the dosage is in a range of 250-400 mg/day. In another embodiment, the dosage is in a range of 300-500 mg/day. In another embodiment, the dosage is in a range of 350-500 mg/day.

[0433]

In one embodiment, the dosage is 20 mg/day. In one embodiment, the dosage is 30 mg/day. In one embodiment, the dosage is 40 mg/day. In one embodiment, the dosage is 50 mg/day. In one embodiment, the dosage is 0.01 mg/day. In another embodiment, the dosage is 0.1 mg/day. In another embodiment, the dosage is 1 mg/day. In another embodiment, the dosage is 0.530 mg/day. In another embodiment, the dosage is 0.05 mg/day. In another embodiment, the dosage is 50 mg/day. In another embodiment, the dosage is 10 mg/day. In another embodiment, the dosage is 20-70 mg/day. In another embodiment, the dosage is 5 mg/day.

[0434]

In one embodiment, the dosage of the CTP-modified coagulation factor is 1-5 mg/day. In one embodiment, the dosage of the CTP-modified coagulation factor is 1-3 mg/day. In another embodiment, the dosage of the CTP-modified coagulation factor is 2 mg/day.

[0435]

In another embodiment, the dosage is 1-90 mg/day. In another embodiment, the dosage is 1-90 mg/2 days. In another embodiment, the dosage is 1-90 mg/3 days. In another embodiment, the dosage is 1-90 mg/4 days. In another embodiment, the dosage is 1-90 mg/5 days. In another embodiment, the dosage is 1-90 mg/6 days. In another embodiment, the dosage is 1-90 mg/week. In another embodiment, the dosage is 1-90 mg/9 days. In another embodiment, the dosage is 1-90 mg/11 days. In another embodiment, the dosage is 1-90 mg/14 days.

[0436]

In another embodiment, the coagulation factor dosage is 10-50 mg/day. In another embodiment, the dosage is 10-50 mg/2 days. In another embodiment, the dosage is 10-50 mg/3 days. In another embodiment, the dosage is 10-50 mg/4 days. In another embodiment, the dosage is 10-50 micrograms mg/5 days. In another embodiment, the dosage is 10-50 mg/6 days. In another embodiment, the dosage is 10-50 mg/week. In another embodiment, the dosage is 10-50 mg/9 days. In another embodiment, the dosage is 10-50 mg/11 days. In another embodiment, the dosage is 10-50 mg/14 days.

[0437]

In another embodiment, a polypeptide comprising a coagulation factor and at least one CTP unit is formulated in an intranasal dosage form. In another embodiment, a polypeptide comprising a coagulation factor and at least one CTP unit is formulated in an injectable dosage form. In another embodiment, a polypeptide comprising a coagulation factor and at least one CTP unit is administered to a subject in a dose ranging from 0.0001 mg to 0.6 mg. In another embodiment, a polypeptide comprising a coagulation factor and at least one CTP unit is administered to a subject in a dose ranging from 0.001 mg to 0.005 mg. In another embodiment, a polypeptide comprising a coagulation factor and at least one CTP unit is administered to a subject in a dose ranging from 0.005 mg to 0.01 mg. In another embodiment, a polypeptide comprising a coagulation factor and at least one CTP unit is administered to a subject in a dose ranging from 0.01 mg to 0.3 mg. In another embodiment, a polypeptide comprising a coagulation factor and at least one CTP unit is administered to a subject in a dose in a dose ranging from 0.2 mg to 0.6 mg. In another embodiment, the coagulation factor is free of CTPs on its amino terminus.

[0438]

In another embodiment, a polypeptide comprising a coagulation factor and at least one CTP unit is administered to a subject in a dose ranging from 1-100 micrograms. In another embodiment, a polypeptide comprising a coagulation factor and at least one CTP unit is administered to a subject in a dose ranging from 10-80 micrograms. In another embodiment, a polypeptide comprising a coagulation factor and at least one CTP unit is administered to a subject in a dose ranging from 20-60 micrograms. In another embodiment, a polypeptide comprising a coagulation factor and at least one CTP unit is administered to a subject in a dose ranging from 10-50 micrograms. In another embodiment, a polypeptide comprising a coagulation factor and at least one CTP unit is administered to a subject in a dose ranging from 40-80 micrograms. In another embodiment, a polypeptide comprising a coagulation factor and at least one CTP unit is administered to a subject in a dose ranging from 10-30 micrograms. In another embodiment, a polypeptide comprising a coagulation factor and at least one CTP unit is administered to a subject in a dose ranging from 30-60 micrograms.

[0439]

In another embodiment, a polypeptide comprising a coagulation factor and at least one CTP unit is administered to a subject in a dose ranging from 0.2 mg to 2 mg. In another embodiment, a polypeptide comprising a coagulation factor and at least one CTP unit is administered to a subject in a dose ranging from 2 mg to 6 mg. In another embodiment, a polypeptide comprising a coagulation factor and at least one CTP unit is administered to a subject in a dose ranging from 4 mg to 10 mg. In another embodiment, a polypeptide comprising a coagulation factor and at least one CTP unit is administered to a subject in a dose ranging from 5 mg and 15 mg.

[0440]

In one embodiment, coagulation factor modified by CTPs is administered to a subject in a dose ranging from 10 μg/kg-1000 μg/kg. In another embodiment, coagulation factor modified by CTPs is administered to a subject in a dose ranging from 25 μg/kg-600 μg/kg. In another embodiment, coagulation factor modified by CTPs is administered to a subject in a dose ranging from 50 μg/kg-400 μg/kg. In another embodiment, coagulation factor modified by CTPs is administered to a subject in a dose of about 25 μg/kg. In another embodiment, coagulation factor modified by CTPs is administered to a subject in a dose of about 50 μg/kg. In another embodiment, coagulation factor modified by CTPs is administered to a subject in a dose of about 100 μg/kg. In another embodiment, coagulation factor modified by CTPs is administered to a subject in a dose of about 200 μg/kg. In another embodiment, coagulation factor modified by CTPs is administered to a subject in a dose of about 300 μg/kg. In another embodiment, coagulation factor modified by CTPs is administered to a subject in a dose of about 400 μg/kg. In another embodiment, coagulation factor modified by CTPs is administered to a subject in a dose of about 500 μg/kg. In another embodiment, coagulation factor modified by CTPs is administered to a subject in a dose of about 600 μg/kg.

[0441]

In one embodiment, the dosage of the CTP-modified FIX comprises 50% of the amount of FIX administered in the recommended dosage of recombinant FIX (e.g., Benefix®, Wyeth or Mononine®, CSL Behring) to patients over the same period of time. In one embodiment, the dosage of the CTP-modified FVIIa comprises 50% of the amount of FVIIa administered in the recommended dosage of recombinant FVIIa (e.g., NovoSeven®) to patients over the same period of time. In one embodiment, the dosage of the CTP-modified FVII comprises 50% of the amount of FVII administered in the recommended dosage of recombinant FVII to patients over the same period of time. For example, if NovoSeven® is given at a dose of 90 mcg/kg every two hours to a patient pre- or post-operatively (i.e., 7.65 mg every two hours or 45.9 mg in six doses over a 12 hour period, for an 85 kg patient), a CTP-modified coagulation factor of the present invention may be given at a dose that is 50% of the patient's 12-hour dose of recombinant FVIIa (i.e., at a dose of 23 mg given once over a 12-hour period).

[0442]

In another embodiment, the dosage of CTP-modified coagulation factor is such that it contains 45% of the amount of the coagulation factor than that administered using the non-CTP-modified coagulation factor. In another embodiment, the dosage of CTP-modified coagulation factor is such that it contains 10% of the amount of the coagulation factor than that administered using the non-CTP-modified coagulation factor. In another embodiment, the dosage of CTP-modified coagulation factor is such that it contains 25% of the amount of the coagulation factor than that administered using the non-CTP-modified coagulation factor. In another embodiment, the dosage of CTP-modified coagulation factor is such that it contains 35% of the amount of the coagulation factor than that administered using the non-CTP-modified coagulation factor. In another embodiment, the dosage of CTP-modified coagulation factor is such that it contains 75% of the amount of the coagulation factor than that administered using the non-CTP-modified coagulation factor. In another embodiment, the dosage of CTP-modified coagulation factor is such that it contains 100% of the amount of the coagulation factor than that administered using the non-CTP-modified coagulation factor. However, even if the dosage contains the same amount of coagulation factor (e.g. FIX) as non-CTP-modified coagulation factor, it is still advantageous to subjects in that it will be administered less frequently because of its increased half-life compared to recombinant coagulation factors.

[0443]

In another embodiment, a therapeutically effective amount of a conjugated coagulation factor is between 50-500 IU per kg body weight administered once a day to once a week for FIX or 10 μg/Kg-500 μg/Kg for FVIIa. In another embodiment, a therapeutically effective amount of a conjugated coagulation factor is 150-250 IU per kg body weight, administered once a day. In another embodiment, a pharmaceutical composition comprising a conjugated coagulation factor is formulated at a strength effective for administration by various means to a human patient.

[0444]

In one embodiment, FIX is administered in an amount effective to bring circulating Factor IX activity to 20-30 IU/dL in a subject. In another embodiment, FIX is administered in an amount effective to bring circulating Factor IX activity to 25-50 IU/dL in a subject. In another embodiment, FIX is administered in an amount effective to bring circulating Factor IX activity to 50-100 IU/dL in a subject. In another embodiment, FIX is administered in an amount effective to bring circulating Factor IX activity to 100-200 IU/dL in a subject. In another embodiment, FIX is administered in an amount effective to bring circulating Factor IX activity to 10-50 IU/dL in a subject. In another embodiment, FIX is administered in an amount effective to bring circulating Factor IX activity to 20-100 IU/dL in a subject.

[0445]

In one embodiment, the CTP-modified coagulation factor is administered to a subject on a weekly basis. In another embodiment, the CTP-modified coagulation factor is administered to a subject twice a week. In another embodiment, the CTP-modified coagulation factor is administered to a subject on a fortnightly (once every two weeks) basis. In another embodiment, the CTP-modified coagulation factor is administered to a subject twice a month. In another embodiment, the CTP-modified coagulation factor is administered to a subject once a month. In another embodiment, the CTP-modified coagulation factor is administered to a subject on a daily basis. In another embodiment, the CTP-modified coagulation factor is administered to a subject every two days.

[0446]

In another embodiment, a polypeptide comprising a coagulation factor and at least one CTP unit is administered to a subject once every three days. In another embodiment, a polypeptide comprising a coagulation factor and at least one CTP unit is administered to a subject once every four days. In another embodiment, a polypeptide comprising a coagulation factor and at least one CTP unit is administered to a subject once every five days. In another embodiment, a polypeptide comprising a coagulation factor and at least one CTP unit is administered to a subject once every six days. In another embodiment, a polypeptide comprising a coagulation factor and at least one CTP unit is administered to a subject once every 7-14 days. In another embodiment, a polypeptide comprising a coagulation factor and at least one CTP unit is administered to a subject once every 10-20 days. In another embodiment, a polypeptide comprising a coagulation factor and at least one CTP unit is administered to a subject once every 5-15 days. In another embodiment, a polypeptide comprising a coagulation factor and at least one CTP unit is administered to a subject once every 15-30 days.

[0447]

In another embodiment, the methods of the disclosure include increasing the compliance in the use of coagulation factor therapy, comprising providing to a subject in need thereof, a polypeptide comprising a coagulation factor and at least one chorionic gonadotropin carboxy terminal peptide (CTP) attached to the carboxy terminus of the coagulation factor, thereby increasing compliance in the use of coagulation factor therapy.

[0448]

In another embodiment, the methods of the disclosure include increasing the compliance of patients afflicted with chronic illnesses that are in need of a coagulation factor therapy. In another embodiment, the methods of the disclosure enable reduction in the dosing frequency of a coagulation factor by modifying the coagulation factor with CTPs as described hereinabove.

[0449]

In another embodiment, the present invention provides a method of reducing the dosing frequency of a Factor IX (FIX) polypeptide, comprising the step of attaching three chorionic gonadotropin carboxy terminal peptides (CTPs) to the carboxy terminus of said FIX polypeptide, thereby reducing the dosing frequency of said FIX polypeptide. In another embodiment, the present invention provides a method of reducing the dosing frequency of a Factor VIIa (FVIIa) polypeptide, comprising the step of attaching three chorionic gonadotropin carboxy terminal peptides (CTPs) to the carboxy terminus of said FVIIa polypeptide, thereby reducing the dosing frequency of said FVIIa polypeptide.

[0450]

In another embodiment, the term compliance comprises adherence. In another embodiment, the methods of the disclosure include increasing the compliance of patients in need of a coagulation factor therapy by reducing the frequency of administration of the coagulation factor. In another embodiment, reduction in the frequency of administration of the coagulation factor is achieved due to the CTP modifications which render the CTP-modified coagulation factor more stable. In another embodiment, reduction in the frequency of administration of the coagulation factor is achieved as a result of increasing T½ of the coagulation factor. In another embodiment, reduction in the frequency of administration of the coagulation factor is achieved as a result of increasing the clearance time or reducing the clearance rate of the coagulation factor.

[0451]

In another embodiment, the present invention provides a method of reducing the clearance rate of a Factor IX (FIX) polypeptide, comprising the step of attaching three chorionic gonadotropin carboxy terminal peptides (CTPs) to the carboxy terminus of said FIX polypeptide, thereby reducing the clearance rate of said FIX polypeptide. In another embodiment, the present invention provides a method of reducing the clearance rate of a Factor VIIa (FVIIa) polypeptide, comprising the step of attaching three chorionic gonadotropin carboxy terminal peptides (CTPs) to the carboxy terminus of said FVIIa polypeptide, thereby reducing the clearance rate of said FVIIa polypeptide.

[0452]

In another embodiment, reduction in the frequency of administration of the coagulation factor is achieved as a result of increasing the AUC measure of the coagulation factor.

[0453]

In another embodiment, provided herein is a method of reducing the dosing frequency of a coagulation factor, comprising the step of attaching one to ten CTPs to the carboxy terminus of the coagulation factor, thereby reducing a dosing frequency of the coagulation factor. In another embodiment, provided herein is a method of reducing the dosing frequency of a coagulation factor, comprising the step of attaching one to five CTPs to the carboxy terminus of the coagulation factor, thereby reducing a dosing frequency of the coagulation factor. In another embodiment, provided herein is a method of reducing the dosing frequency of a coagulation factor, comprising the step of attaching three CTPs to the carboxy terminus of the coagulation factor, thereby reducing a dosing frequency of the coagulation factor. In another embodiment, provided herein is a method of reducing the dosing frequency of a coagulation factor, comprising the step of attaching three to five CTPs to the carboxy terminus of the coagulation factor, thereby reducing a dosing frequency of the coagulation factor.

[0454]

In another embodiment, provided herein is a method of increasing compliance in the use of coagulation factor therapy, comprising providing to a subject in need thereof, a polypeptide comprising a coagulation factor and one to ten chorionic gonadotropin carboxy terminal peptides attached to the carboxy terminus of a coagulation factor, thereby increasing compliance in the use of coagulation factor therapy. In another embodiment, provided herein is a method of increasing compliance in the use of coagulation factor therapy, comprising providing to a subject in need thereof, a polypeptide comprising a coagulation factor and one to five chorionic gonadotropin carboxy terminal peptides attached to the carboxy terminus of a coagulation factor, thereby increasing compliance in the use of coagulation factor therapy. In another embodiment, provided herein is a method of increasing compliance in the use of coagulation factor therapy, comprising providing to a subject in need thereof, a polypeptide comprising a coagulation factor and three chorionic gonadotropin carboxy terminal peptides attached to the carboxy terminus of a coagulation factor, thereby increasing compliance in the use of coagulation factor therapy. In another embodiment, provided herein is a method of increasing compliance in the use of coagulation factor therapy, comprising providing to a subject in need thereof, a polypeptide comprising a coagulation factor and three to five chorionic gonadotropin carboxy terminal peptides attached to the carboxy terminus of a coagulation factor, thereby increasing compliance in the use of coagulation factor therapy.

[0455]

In another embodiment, provided herein is a method of preventing or treating a blood clotting or coagulation disorder in a subject, comprising providing to said subject a polypeptide comprising a coagulation factor and one to ten chorionic gonadotropin carboxy terminal peptides attached to the carboxy terminus of a coagulation factor, thereby treating a blood clotting or coagulation disorder in said subject. In another embodiment, provided herein is a method of preventing or treating a blood clotting or coagulation disorder in a subject, comprising providing to a subject in need thereof, a polypeptide comprising a coagulation factor and one to five chorionic gonadotropin carboxy terminal peptides attached to the carboxy terminus of a coagulation factor, thereby preventing or treating a blood clotting or coagulation disorder in said subject. In another embodiment, provided herein is a method of preventing or treating a blood clotting or coagulation disorder in a subject, comprising providing to a subject in need thereof, a polypeptide comprising a coagulation factor and three chorionic gonadotropin carboxy terminal peptides attached to the carboxy terminus of a coagulation factor, thereby preventing or treating a blood clotting or coagulation disorder in said subject. In another embodiment, provided herein is a method of preventing or treating a blood clotting or coagulation disorder in a subject, comprising providing to a subject in need thereof, a polypeptide comprising a coagulation factor and three to five chorionic gonadotropin carboxy terminal peptides attached to the carboxy terminus of a coagulation factor, thereby preventing or treating a blood clotting or coagulation disorder in said subject.

[0456]

In another embodiment, provided herein is a method of preventing hemophilia in a subject, comprising providing to said subject a polypeptide comprising a coagulation factor and one to ten chorionic gonadotropin carboxy terminal peptides attached to the carboxy terminus of a coagulation factor, thereby preventing hemophilia in said subject. In another embodiment, provided herein is a method of preventing hemophilia in a subject, comprising providing to a subject in need thereof, a polypeptide comprising a coagulation factor and one to five chorionic gonadotropin carboxy terminal peptides attached to the carboxy terminus of a coagulation factor, thereby preventing hemophilia in said subject. In another embodiment, provided herein is a method of preventing hemophilia in a subject, comprising providing to a subject in need thereof, a polypeptide comprising a coagulation factor and three chorionic gonadotropin carboxy terminal peptides attached to the carboxy terminus of a coagulation factor, thereby preventing hemophilia in said subject. In another embodiment, provided herein is a method of preventing hemophilia in a subject, comprising providing to a subject in need thereof, a polypeptide comprising a coagulation factor and three to five chorionic gonadotropin carboxy terminal peptides attached to the carboxy terminus of a coagulation factor, thereby preventing hemophilia in said subject.

[0457]

In another embodiment, the present invention shows that the compositions provided herein are surprisingly more effectively absorbed into the bloodstream after SC administration (see Examples 7-9 herein). To be able to administer FVIIa subcutaneously serves as an advantage as it can be used for prophylactic applications. Subcutaneous injections are also much easier for patients to self-inject, and are advantage when the patients are very young and their veins are small and difficult to find.

[0458]

In another embodiment, provided herein is a method of treating hemophilia in a subject, comprising providing to said subject a polypeptide comprising a coagulation factor and one to ten chorionic gonadotropin carboxy terminal peptides attached to the carboxy terminus of a coagulation factor, thereby treating hemophilia in said subject. In another embodiment, provided herein is a method of treating hemophilia in a subject, comprising providing to a subject in need thereof, a polypeptide comprising a coagulation factor and one to five chorionic gonadotropin carboxy terminal peptides attached to the carboxy terminus of a coagulation factor, thereby treating hemophilia in said subject. In another embodiment, provided herein is a method of treating hemophilia in a subject, comprising providing to a subject in need thereof, a polypeptide comprising a coagulation factor and three chorionic gonadotropin carboxy terminal peptides attached to the carboxy terminus of a coagulation factor, thereby treating hemophilia in said subject. In another embodiment, provided herein is a method of treating hemophilia in a subject, comprising providing to a subject in need thereof, a polypeptide comprising a coagulation factor and three to five chorionic gonadotropin carboxy terminal peptides attached to the carboxy terminus of a coagulation factor, thereby treating hemophilia in said subject.

[0459]

Oral administration, in one embodiment, comprises a unit dosage form comprising tablets, capsules, lozenges, chewable tablets, suspensions, emulsions and the like. Such unit dosage forms comprise a safe and effective amount of the desired coagulation factor of the disclosure, each of which is in one embodiment, from about 0.7 or 3.5 mg to about 280 mg/70 kg, or in another embodiment, about 0.5 or 10 mg to about 210 mg/70 kg. The pharmaceutically-acceptable carriers suitable for the preparation of unit dosage forms for peroral administration are well-known in the art. In some embodiments, tablets typically comprise conventional pharmaceutically-compatible adjuvants as inert diluents, such as calcium carbonate, sodium carbonate, mannitol, lactose and cellulose; binders such as starch, gelatin and sucrose; disintegrants such as starch, alginic acid and croscarmelose; lubricants such as magnesium stearate, stearic acid and talc. In one embodiment, glidants such as silicon dioxide can be used to improve flow characteristics of the powder-mixture. In one embodiment, coloring agents, such as the FD&C dyes, can be added for appearance. Sweeteners and flavoring agents, such as aspartame, saccharin, menthol, peppermint, and fruit flavors, are useful adjuvants for chewable tablets. Capsules typically comprise one or more solid diluents disclosed above. In some embodiments, the selection of carrier components depends on secondary considerations like taste, cost, and shelf stability, which are not critical for the purposes of this invention, and can be readily made by a person skilled in the art.

[0460]

In one embodiment, the oral dosage form comprises predefined release profile. In one embodiment, the oral dosage form of the present invention comprises an extended release tablets, capsules, lozenges or chewable tablets. In one embodiment, the oral dosage form of the present invention comprises a slow release tablets, capsules, lozenges or chewable tablets. In one embodiment, the oral dosage form of the present invention comprises an immediate release tablets, capsules, lozenges or chewable tablets. In one embodiment, the oral dosage form is formulated according to the desired release profile of the pharmaceutical active ingredient as known to one skilled in the art.

[0461]

Peroral compositions, in some embodiments, comprise liquid solutions, emulsions, suspensions, and the like. In some embodiments, pharmaceutically-acceptable carriers suitable for preparation of such compositions are well known in the art. In some embodiments, liquid oral compositions comprise from about 0.001% to about 0.933% of the desired compound or compounds, or in another embodiment, from about 0.01% to about 10%.

[0462]

In some embodiments, compositions for use in the methods of this invention comprise solutions or emulsions, which in some embodiments are aqueous solutions or emulsions comprising a safe and effective amount of the compounds of the present invention and optionally, other compounds, intended for topical intranasal administration. In some embodiments, h compositions comprise from about 0.001% to about 10.0% w/v of a subject compound, more preferably from about 00.1% to about 2.0, which is used for systemic delivery of the compounds by the intranasal route.

[0463]

In another embodiment, a polypeptide comprising a coagulation factor and at least one CTP unit is injected into the muscle (intramuscular injection). In another embodiment, a polypeptide comprising a coagulation factor and at least one CTP unit is injected below the skin (subcutaneous injection). In another embodiment, a polypeptide comprising a coagulation factor and at least one CTP unit is injected into the muscle. In another embodiment, a polypeptide comprising a coagulation factor and at least one CTP unit is injected into the skin. In another embodiment, a coagulation factor as described herein is administered via systemic administration. In another embodiment, a coagulation factor as described herein is administered by intravenous injection. In another embodiment, administration can be parenteral, pulmonary, oral, topical, intradermal, intramuscular, intraperitoneal, intravenous, subcutaneous, intranasal, transnasal, intraocular, ophthalmic, epidural, buccal, rectal, transmucosal, intestinal or parenteral delivery, including intramedullary injections as well as intrathecal or direct intraventricular administration.

[0464]

In another embodiment, the preparation is administered in a local rather than systemic manner, for example, via injection of the preparation directly into a specific region of a patient's body.

[0465]

In one embodiment, the route of administration may be enteral. In another embodiment, the route may be conjunctival, transdermal, intradermal, intra-arterial, vaginal, rectal, intratumoral, parcanceral, transmucosal, intramuscular, intravascular, intraventricular, intracranial, intra-nasal, sublingual, or a combination thereof.

[0466]

In another embodiment, the pharmaceutical compositions and pharmaceutical formulations are administered by intravenous, intra-arterial, or intramuscular injection of a liquid preparation. In some embodiments, liquid formulations include solutions, suspensions, dispersions, emulsions, oils and the like. In one embodiment, the pharmaceutical compositions and pharmaceutical formulations are administered intravenously, and are thus formulated in a form suitable for intravenous administration. In another embodiment, the pharmaceutical compositions and pharmaceutical formulations are administered intra-arterially, and are thus formulated in a form suitable for intra-arterial administration. In another embodiment, the pharmaceutical compositions and pharmaceutical formulations are administered intramuscularly, and are thus formulated in a form suitable for intramuscular administration.

[0467]

Further, in another embodiment, the pharmaceutical compositions and pharmaceutical formulations are administered topically to body surfaces, and are thus formulated in a form suitable for topical administration. Suitable topical formulations include gels, ointments, creams, lotions, drops and the like. For topical administration, the compounds of the present invention are combined with an additional appropriate therapeutic agent or agents, prepared and applied as solutions, suspensions, or emulsions in a physiologically acceptable diluent with or without a pharmaceutical carrier.

[0468]

In one embodiment, pharmaceutical compositions and pharmaceutical formulations of the present invention are manufactured by processes well known in the art, e.g., by means of conventional mixing, dissolving, granulating, dragee-making, levigating, emulsifying, encapsulating, entrapping or lyophilizing processes.

[0469]

In one embodiment, pharmaceutical compositions and pharmaceutical formulations for use in accordance with the present invention are formulated in a conventional manner using one or more physiologically acceptable carriers comprising excipients and auxiliaries, which facilitate processing of the active ingredients into preparations which, can be used pharmaceutically. In one embodiment, formulation is dependent upon the route of administration chosen.

[0470]

In one embodiment, injectables of the disclosure are formulated in aqueous solutions. In one embodiment, injectables of the disclosure are formulated in physiologically compatible buffers such as Hank's solution, Ringer's solution, or physiological salt buffer. In some embodiments, for transmucosal administration, penetrants appropriate to the barrier to be permeated are used in the formulation. Such penetrants are generally known in the art.

[0471]

In one embodiment, the preparations described herein are formulated for parenteral administration, e.g., by bolus injection or continuous infusion. In some embodiments, formulations for injection are presented in unit dosage form, e.g., in ampoules or in multidose containers with optionally, an added preservative. In some embodiments, compositions are suspensions, solutions or emulsions in oily or aqueous vehicles, and contain formulatory agents such as suspending, stabilizing and/or dispersing agents.

[0472]

The compositions also comprise, in some embodiments, preservatives, such as benzalkonium chloride and thimerosal and the like; chelating agents, such as edetate sodium and others; buffers such as phosphate, citrate and acetate; tonicity agents such as sodium chloride, potassium chloride, glycerin, mannitol and others; antioxidants such as ascorbic acid, acetylcystine, sodium metabisulfote and others; aromatic agents; viscosity adjustors, such as polymers, including cellulose and derivatives thereof; and polyvinyl alcohol and acid and bases to adjust the pH of these aqueous compositions as needed. The compositions also comprise, in some embodiments, local anesthetics or other actives. The compositions can be used as sprays, mists, drops, and the like.

[0473]

In some embodiments, pharmaceutical compositions and pharmaceutical formulations for parenteral administration include aqueous solutions of the active preparation in water-soluble form. Additionally, suspensions of the active ingredients, in some embodiments, are prepared as appropriate oil or water based injection suspensions. Suitable lipophilic solvents or vehicles include, in some embodiments, fatty oils such as sesame oil, or synthetic fatty acid esters such as ethyl oleate, triglycerides or liposomes. Aqueous injection suspensions contain, in some embodiments, substances, which increase the viscosity of the suspension, such as sodium carboxymethyl cellulose, sorbitol or dextran. In another embodiment, the suspension also contains suitable stabilizers or agents which increase the solubility of the active ingredients to allow for the preparation of highly concentrated solutions.

[0474]

In another embodiment, the active compound can be delivered in a vesicle, in particular a liposome (see Langer, Science 249:1527-1533 (1990); Treat et al., in Liposomes in the Therapy of Infectious Disease and Cancer, Lopez- Berestein and Fidler (eds.), Liss, New York, pp. 353-365 (1989); Lopez-Berestein, ibid., pp. 317-327; J. E. Diederichs and al., Pharm./nd. 56 (1994) 267- 275).

[0475]

In another embodiment, the pharmaceutical composition delivered in a controlled release system is formulated for intravenous infusion, implantable osmotic pump, transdermal patch, liposomes, or other modes of administration. In one embodiment, a pump is used (see Langer, supra; Sefton, CRC Crit. Ref. Biomed. Eng. 14:201 (1987); Buchwald et al., Surgery 88:507 (1980); Saudek et al., N. Engl. J. Med. 321:574 (1989). In another embodiment, polymeric materials can be used. In yet another embodiment, a controlled release system can be placed in proximity to the therapeutic target, i.e., the brain, thus requiring only a fraction of the systemic dose (see, e.g., Goodson, in Medical Applications of Controlled Release, supra, vol. 2, pp. 115-138 (1984). Other controlled release systems are discussed in the review by Langer (Science 249:1527-1533 (1990).

[0476]

In some embodiments, the active ingredient is in powder form for constitution with a suitable vehicle, e.g., sterile, pyrogen-free water based solution, before use. Compositions are formulated, in some embodiments, for atomization and inhalation administration. In another embodiment, compositions are contained in a container with attached atomizing means.

[0477]

In one embodiment, the preparation of the present invention is formulated in rectal compositions such as suppositories or retention enemas, using, e.g., conventional suppository bases such as cocoa butter or other glycerides.

[0478]

In some embodiments, pharmaceutical compositions and pharmaceutical formulations suitable for use in context of the present invention include compositions wherein the active ingredients are contained in an amount effective to achieve the intended purpose. In some embodiments, a therapeutically effective amount means an amount of active ingredients effective to prevent, alleviate or ameliorate symptoms of disease or prolong the survival of the subject being treated.

[0479]

In one embodiment, determination of a therapeutically effective amount is well within the capability of those skilled in the art.

[0480]

Some examples of substances which can serve as pharmaceutically-acceptable carriers or components thereof are sugars, such as lactose, glucose and sucrose; starches, such as corn starch and potato starch; cellulose and its derivatives, such as sodium carboxymethyl cellulose, ethyl cellulose, and methyl cellulose; powdered tragacanth; malt; gelatin; talc; solid lubricants, such as stearic acid and magnesium stearate; calcium sulfate; vegetable oils, such as peanut oil, cottonseed oil, sesame oil, olive oil, corn oil and oil of theobroma; polyols such as propylene glycol, glycerine, sorbitol, mannitol, and polyethylene glycol; alginic acid; emulsifiers, such as the Tween™ brand emulsifiers; wetting agents, such sodium lauryl sulfate; coloring agents; flavoring agents; tableting agents, stabilizers; antioxidants; preservatives; pyrogen-free water; isotonic saline; and phosphate buffer solutions. The choice of a pharmaceutically-acceptable carrier to be used in conjunction with the compound is basically determined by the way the compound is to be administered. If the subject compound is to be injected, in one embodiment, the pharmaceutically-acceptable carrier is sterile, physiological saline, with a blood-compatible suspending agent, the pH of which has been adjusted to about 7.4.

[0481]

In addition, the compositions further comprise binders (e.g. acacia, cornstarch, gelatin, carbomer, ethyl cellulose, guar gum, hydroxypropyl cellulose, hydroxypropyl methyl cellulose, povidone), disintegrating agents (e.g. cornstarch, potato starch, alginic acid, silicon dioxide, croscarmelose sodium, crospovidone, guar gum, sodium starch glycolate), buffers (e.g., Tris-HCI., acetate, phosphate) of various pH and ionic strength, additives such as albumin or gelatin to prevent absorption to surfaces, detergents (e.g., Tween 20, Tween 80, Pluronic F68, bile acid salts), protease inhibitors, surfactants (e.g. sodium lauryl sulfate), permeation enhancers, solubilizing agents (e.g., glycerol, polyethylene glycerol), anti-oxidants (e.g., ascorbic acid, sodium metabisulfite, butylated hydroxyanisole), stabilizers (e.g. hydroxypropyl cellulose, hyroxypropylmethyl cellulose), viscosity increasing agents(e.g. carbomer, colloidal silicon dioxide, ethyl cellulose, guar gum), sweeteners (e.g. aspartame, citric acid), preservatives (e.g., Thimerosal, benzyl alcohol, parabens), lubricants (e.g. stearic acid, magnesium stearate, polyethylene glycol, sodium lauryl sulfate), flow-aids (e.g. colloidal silicon dioxide), plasticizers (e.g. diethyl phthalate, triethyl citrate), emulsifiers (e.g. carbomer, hydroxypropyl cellulose, sodium lauryl sulfate), polymer coatings (e.g., poloxamers or poloxamines), coating and film forming agents (e.g. ethyl cellulose, acrylates, polymethacrylates) and/or adjuvants.

[0482]

Typical components of carriers for syrups, elixirs, emulsions and suspensions include ethanol, glycerol, propylene glycol, polyethylene glycol, liquid sucrose, sorbitol and water. For a suspension, typical suspending agents include methyl cellulose, sodium carboxymethyl cellulose, cellulose (e.g. Avicel™, RC-591), tragacanth and sodium alginate; typical wetting agents include lecithin and polyethylene oxide sorbitan (e.g. polysorbate 80). Typical preservatives include methyl paraben and sodium benzoate. In another embodiment, peroral liquid compositions also contain one or more components such as sweeteners, flavoring agents and colorants disclosed above.

[0483]

The compositions also include incorporation of the active material into or onto particulate preparations of polymeric compounds such as polylactic acid, polglycolic acid, hydrogels, etc, or onto liposomes, microemulsions, micelles, unilamellar or multilamellar vesicles, erythrocyte ghosts, or spheroplasts.) Such compositions will influence the physical state, solubility, stability, rate of in vivo release, and rate of in vivo clearance.

[0484]

Also comprehended by the disclosure are particulate compositions coated with polymers (e.g. poloxamers or poloxamines) and the compound coupled to antibodies directed against tissue-specific receptors, ligands or antigens or coupled to ligands of tissue-specific receptors.

[0485]

In some embodiments, compounds modified by the covalent attachment of water-soluble polymers such as polyethylene glycol, copolymers of polyethylene glycol and polypropylene glycol, carboxymethyl cellulose, dextran, polyvinyl alcohol, polyvinylpyrrolidone or polyproline. In another embodiment, the modified compounds exhibit substantially longer half-lives in blood following intravenous injection than do the corresponding unmodified compounds. In one embodiment, modifications also increase the compound's solubility in aqueous solution, eliminate aggregation, enhance the physical and chemical stability of the compound, and greatly reduce the immunogenicity and reactivity of the compound. In another embodiment, the desired in vivo biological activity is achieved by the administration of such polymer-compound abducts less frequently or in lower doses than with the unmodified compound.

[0486]

In some embodiments, preparation of effective amount or dose can be estimated initially from in vitro assays. In one embodiment, a dose can be formulated in animal models and such information can be used to more accurately determine useful doses in humans.

[0487]

In one embodiment, toxicity and therapeutic efficacy of the active ingredients described herein can be determined by standard pharmaceutical procedures in vitro, in cell cultures or experimental animals. In one embodiment, the data obtained from these in vitro and cell culture assays and animal studies can be used in formulating a range of dosage for use in human. In one embodiment, the dosages vary depending upon the dosage form employed and the route of administration utilized. In one embodiment, the exact formulation, route of administration and dosage can be chosen by the individual physician in view of the patient's condition. [See e.g., Fingl, et al., (1975) “The Pharmacological Basis of Therapeutics”, Ch. 1 p.1].

[0488]

In one embodiment, depending on the severity and responsiveness of the condition to be treated, dosing can be of a single or a plurality of administrations, with course of treatment lasting from several days to several weeks or until cure is effected or diminution of the disease state is achieved.

[0489]

In one embodiment, the amount of a composition to be administered will, of course, be dependent on the subject being treated, the severity of the affliction, the manner of administration, the judgment of the prescribing physician, etc.

[0490]

In one embodiment, compositions including the preparation of the present invention formulated in a compatible pharmaceutical carrier are also prepared, placed in an appropriate container, and labeled for treatment of an indicated condition.

[0491]

In another embodiment, a coagulation factor as described herein is lyophilized (i.e., freeze-dried) preparation in combination with complex organic excipients and stabilizers such as nonionic surface active agents (i.e., surfactants), various sugars, organic polyols and/or human serum albumin. In another embodiment, a pharmaceutical composition comprises a lyophilized coagulation factor as described in sterile water for injection. In another embodiment, a pharmaceutical composition comprises a lyophilized coagulation factor as described in sterile PBS for injection. In another embodiment, a pharmaceutical composition comprises a lyophilized coagulation factor as described in sterile 0.9% NaCl for injection.

[0492]

In another embodiment, the pharmaceutical composition comprises a coagulation factor as described herein and complex carriers such as human serum albumin, polyols, sugars, and anionic surface active stabilizing agents. In another embodiment, the pharmaceutical composition comprises a coagulation factor as described herein and lactobionic acid and an acetate/glycine buffer. In another embodiment, the pharmaceutical composition comprises a coagulation factor as described herein and amino acids, such as arginine or glutamate that increase the solubility of interferon compositions in water. In another embodiment, the pharmaceutical composition comprises a lyophilized coagulation factor as described herein and glycine or human serum albumin (HSA), a buffer (e g. acetate) and an isotonic agent (e.g NaCl). In another embodiment, the pharmaceutical composition comprises a lyophilized coagulation factor as described herein and phosphate buffer, glycine and HSA.

[0493]

In another embodiment, the pharmaceutical composition comprising a coagulation factor as described herein is stabilized when placed in buffered solutions having a pH between about 4 and 7.2. In another embodiment, the pharmaceutical composition comprising a coagulation factor is in a buffered solution having a pH between about 4 and 8.5. In another embodiment, the pharmaceutical composition comprising a coagulation factor is in a buffered solution having a pH between about 6 and 7. In another embodiment, the pharmaceutical composition comprising a coagulation factor is in a buffered solution having a pH of about 6.5. In another embodiment, the pharmaceutical composition comprising a coagulation factor is in a buffered solution having a pH of about 6.4. In another embodiment, the pharmaceutical composition comprising a coagulation factor as described herein is stabilized with an amino acid as a stabilizing agent and in some cases a salt (if the amino acid does not contain a charged side chain).

[0494]

In another embodiment, the pharmaceutical composition comprising a coagulation factor as described herein is a liquid composition comprising a stabilizing agent at between about 0.3% and 5% by weight which is an amino acid.

[0495]

In another embodiment, the pharmaceutical composition comprising a coagulation factor as described herein provides dosing accuracy and product safety. In another embodiment, the pharmaceutical composition comprising a coagulation factor as described herein provides a biologically active, stable liquid formulation for use in injectable applications. In another embodiment, the pharmaceutical composition comprises a non-lyophilized coagulation factor as described herein.

[0496]

In another embodiment, the pharmaceutical composition comprising a coagulation factor as described herein provides a liquid formulation permitting storage for a long period of time in a liquid state facilitating storage and shipping prior to administration.

[0497]

In another embodiment, the pharmaceutical composition comprising a coagulation factor as described herein comprises solid lipids as matrix material. In another embodiment, the injectable pharmaceutical composition comprising a coagulation factor as described herein comprises solid lipids as matrix material. In another embodiment, the production of lipid microparticles by spray congealing was described by Speiser (Speiser and al., Pharm. Res. 8 (1991) 47-54) followed by lipid nanopellets for peroral administration (Speiser EP 0167825 (1990)). In another embodiment, lipids, which are used, are well tolerated by the body (e. g. glycerides composed of fatty acids which are present in the emulsions for parenteral nutrition).

[0498]

In another embodiment, the pharmaceutical composition comprising a coagulation factor as described herein comprises polymeric microparticles. In another embodiment, the pharmaceutical composition comprising a coagulation factor as described herein comprises nanoparticles. In another embodiment, the pharmaceutical composition comprising a coagulation factor as described herein comprises liposomes. In another embodiment, the pharmaceutical composition comprising a coagulation factor as described herein comprises lipid emulsion. In another embodiment, the pharmaceutical composition comprising a coagulation factor as described herein comprises microspheres. In another embodiment, the pharmaceutical composition comprising a coagulation factor as described herein comprises lipid nanoparticles. In another embodiment, the pharmaceutical composition comprising a coagulation factor as described herein comprises lipid nanoparticles comprising amphiphilic lipids. In another embodiment, the pharmaceutical composition comprising a coagulation factor as described herein comprises lipid nanoparticles comprising a drug, a lipid matrix and a surfactant. In another embodiment, the lipid matrix has a monoglyceride content which is at least 50% w/w.

[0499]

In one embodiment, compositions of the present invention are presented in a pack or dispenser device, such as an FDA approved kit, which contain one or more unit dosage forms containing the active ingredient. In one embodiment, the pack, for example, comprise metal or plastic foil, such as a blister pack. In one embodiment, the pack or dispenser device is accompanied by instructions for administration. In one embodiment, the pack or dispenser is accommodated by a notice associated with the container in a form prescribed by a governmental agency regulating the manufacture, use or sale of pharmaceuticals, which notice is reflective of approval by the agency of the form of the compositions or human or veterinary administration. Such notice, in one embodiment, is labeling approved by the U.S. Food and Drug Administration for prescription drugs or of an approved product insert.

[0500]

In one embodiment, it will be appreciated that the coagulation factors of the present invention can be provided to the individual with additional active agents to achieve an improved therapeutic effect as compared to treatment with each agent by itself. In another embodiment, measures (e.g., dosing and selection of the complementary agent) are taken to avoid adverse side effects which are associated with combination therapies.

[0501]

In another embodiment, the present invention provides a CTP-modified Factor VIIa (FVIIa) polypeptide consisting of a FVIIa polypeptide and five gonadotropin carboxy terminal peptides (CTPs) attached to the carboxy terminus of said FVIIa.

[0502]

In another embodiment, the present invention provides a pharmaceutical composition comprising a CTP-modified Factor VIIa (FVIIa) polypeptide consisting of a FVIIa polypeptide and five gonadotropin carboxy terminal peptides (CTPs) attached to the carboxy terminus of said FVIIa.

[0503]

In another embodiment, the present invention provides a polynucleotide encoding a CTP-modified polypeptide consisting of a Factor VIIa (FVIIa) polypeptide and three gonadotropin carboxy terminal peptides (CTPs) attached to the carboxy terminus of said FVIIa polypeptide.

[0504]

In another embodiment, the present invention provides an expression vector comprising a polynucleotide encoding a CTP-modified polypeptide consisting of a Factor VIIa (FVIIa) polypeptide and three gonadotropin carboxy terminal peptides (CTPs) attached to the carboxy terminus of said FVIIa polypeptide.

[0505]

In another embodiment, the present invention provides a cell comprising an expression vector comprising a polynucleotide encoding a CTP-modified polypeptide consisting of a Factor VIIa (FVIIa) polypeptide and three gonadotropin carboxy terminal peptides (CTPs) attached to the carboxy terminus of said FVIIa polypeptide.

[0506]

In another embodiment, the present invention provides a composition comprising an expression vector comprising a polynucleotide encoding a CTP-modified polypeptide consisting of a Factor VIIa (FVIIa) polypeptide and three gonadotropin carboxy terminal peptides (CTPs) attached to the carboxy terminus of said FVIIa polypeptide.

[0507]

In another embodiment, the present invention provides a method of extending the biological half-life of a Factor VIIa (FVIIa) polypeptide, comprising the step of attaching three chorionic gonadotropin carboxy terminal peptides (CTPs) to the carboxy terminus of said FVIIa polypeptide, thereby extending the biological half-life of said FVIIa polypeptide.

[0508]

In another embodiment, the present invention provides a method of improving the area under the curve (AUC) of a Factor VIIa (FVIIa) polypeptide, comprising the step of attaching three chorionic gonadotropin carboxy terminal peptides (CTPs) to the carboxy terminus of said FVIIa polypeptide, thereby improving the AUC of said FVIIa polypeptide.

[0509]

In another embodiment, the present invention provides a method of reducing the dosing frequency of a Factor VIIa (FVIIa) polypeptide, comprising the step of attaching three chorionic gonadotropin carboxy terminal peptides (CTPs) to the carboxy terminus of said FVIIa polypeptide, thereby reducing the dosing frequency of said FVIIa polypeptide.

[0510]

In another embodiment, the present invention provides a method of reducing the clearance rate of a Factor VIIa (FVIIa) polypeptide, comprising the step of attaching three chorionic gonadotropin carboxy terminal peptides (CTPs) to the carboxy terminus of said FVIIa polypeptide, thereby reducing the clearance rate of said FVIIa polypeptide.

[0511]

In another embodiment, the present invention provides a method of producing a CTP-modified Factor VIIa (FVIIa) polypeptide, comprising the step of attaching three chorionic gonadotropin carboxy terminal peptides (CTPs) to the carboxy terminus of said FVIIa polypeptide, thereby producing a CTP-modified FVIIa polypeptide.

[0512]

In another embodiment, the present invention provides a method of treating hemophilia in a subject comprising administering a CTP-modified Factor VIIa (FVIIa) polypeptide comprising a FVIIa polypeptide and three chorionic gonadotropin carboxy terminal peptides (CTPs) attached to the carboxy terminus of said FVIIa polypeptide to said subject, thereby treating hemophilia in said subject.

[0513]

In one embodiment, the present invention provides a CTP-modified Factor IX (FIX) polypeptide consisting of a FIX polypeptide and three gonadotropin carboxy terminal peptides (CTPs) attached to the carboxy terminus of said CTP-modified FIX polypeptide. In another embodiment, the present invention provides a CTP-modified FIX polypeptide, wherein the sequence of said CTP-modified FIX polypeptide is the sequence set forth in SEQ ID NO: 31. In another embodiment, the present invention provides a CTP-modified FIX polypeptide, wherein at least one CTP is encoded by an amino acid sequence selected from the group consisting of: SEQ ID NO: 1 and SEQ ID NO: 2. In another embodiment, the present invention provides a CTP-modified FIX polypeptide, wherein at least one CTP is glycosylated. In another embodiment, the present invention provides a CTP-modified FIX polypeptide, wherein at least one CTP is truncated. In another embodiment, the present invention provides a CTP-modified FIX polypeptide, wherein at least one CTP is attached to said FIX polypeptide via a linker. In another embodiment, the present invention provides a CTP-modified FIX polypeptide, wherein said linker is a peptide bond.

[0514]

In one embodiment, the present invention provides a pharmaceutical composition comprising the CTP-modified FIX polypeptide.

[0515]

In one embodiment, the present invention provides a polynucleotide encoding a CTP-modified polypeptide consisting of a Factor IX (FIX) polypeptide and three gonadotropin carboxy terminal peptides (CTPs) attached to the carboxy terminus of said FIX polypeptide. In another embodiment, the present invention provides a polynucleotide, wherein the sequence of said polynucleotide is as set forth in SEQ ID NO: 30. In another embodiment, the present invention provides a polynucleotide, wherein at least one CTP is encoded by an amino acid sequence selected from the group consisting of: SEQ ID NO: 1 and SEQ ID NO: 2. In another embodiment, the present invention provides a polynucleotide, wherein at least one CTP is glycosylated. In another embodiment, the present invention provides a polynucleotide, wherein at least one CTP is truncated. In another embodiment, the present invention provides a polynucleotide, wherein at least one CTP is attached to said FIX polypeptide via a linker. In another embodiment, the present invention provides a polynucleotide, wherein said linker is a peptide bond. An expression vector comprising the polynucleotide.

[0516]

In one embodiment, the present invention provides a cell comprising the expression vector.

[0517]

In one embodiment, the present invention provides a composition comprising the expression vector.

[0518]

In one embodiment, the present invention provides a method of extending the biological half-life of a Factor IX (FIX) polypeptide, comprising the step of attaching three chorionic gonadotropin carboxy terminal peptides (CTPs) to the carboxy terminus of said FIX polypeptide, thereby extending the biological half-life of said FIX polypeptide. In another embodiment, the present invention provides a method, wherein at least one CTP is encoded by an amino acid sequence selected from the group consisting of: SEQ ID NO: 1 and SEQ ID NO: 2. In another embodiment, the present invention provides a method, wherein at least one CTP is glycosylated. In another embodiment, the present invention provides a method, wherein at least one CTP is truncated. In another embodiment, the present invention provides a method, wherein at least one CTP is attached to said FIX polypeptide via a linker. In another embodiment, the present invention provides a method, wherein said linker is a peptide bond.

[0519]

In one embodiment, the present invention provides a method of improving the area under the curve (AUC) of a Factor IX (FIX) polypeptide, comprising the step of attaching three chorionic gonadotropin carboxy terminal peptides (CTPs) to the carboxy terminus of said FIX polypeptide, thereby improving the AUC of said FIX polypeptide. In another embodiment, the present invention provides a method, wherein at least one CTP is encoded by an amino acid sequence selected from the group consisting of: SEQ ID NO: 1 and SEQ ID NO: 2. In another embodiment, the present invention provides a method, wherein at least one CTP is glycosylated. In another embodiment, the present invention provides a method, wherein at least one CTP is truncated. In another embodiment, the present invention provides a method, wherein at least one CTP is attached to said FIX polypeptide via a linker. In another embodiment, the present invention provides a method, wherein said linker is a peptide bond.

[0520]

In one embodiment, the present invention provides a method of reducing the dosing frequency of a Factor IX (FIX) polypeptide, comprising the step of attaching three chorionic gonadotropin carboxy terminal peptides (CTPs) to the carboxy terminus of said FIX polypeptide, thereby reducing the dosing frequency of said FIX polypeptide. In another embodiment, the present invention provides a method, wherein at least one CTP is encoded by an amino acid sequence selected from the group consisting of: SEQ ID NO: 1 and SEQ ID NO: 2. In another embodiment, the present invention provides a method, wherein at least one CTP is glycosylated. In another embodiment, the present invention provides a method, wherein at least one CTP is truncated. In another embodiment, the present invention provides a method, wherein at least one CTP is attached to said FIX polypeptide via a linker. In another embodiment, the present invention provides a method, wherein said linker is a peptide bond.

[0521]

In one embodiment, the present invention provides a method of reducing the clearance rate of a Factor IX (FIX) polypeptide, comprising the step of attaching three chorionic gonadotropin carboxy terminal peptides (CTPs) to the carboxy terminus of said FIX polypeptide, thereby reducing the clearance rate of said FIX polypeptide. In another embodiment, the present invention provides a method, wherein at least one CTP is encoded by an amino acid sequence selected from the group consisting of: SEQ ID NO: 1 and SEQ ID NO: 2. In another embodiment, the present invention provides a method, wherein at least one CTP is glycosylated. In another embodiment, the present invention provides a method, wherein at least one CTP is truncated. In another embodiment, the present invention provides a method, wherein at least one CTP is attached to said FIX polypeptide via a linker. In another embodiment, the present invention provides a method, wherein at least one CTP is attached to said FVII polypeptide via a linker. In another embodiment, the present invention provides a method, wherein said linker is a peptide bond.

[0522]

In one embodiment, the present invention provides a method of producing a CTP-modified Factor IX (FIX) polypeptide, comprising the step of attaching three chorionic gonadotropin carboxy terminal peptides (CTPs) to the carboxy terminus of said FIX polypeptide, thereby producing a CTP-modified FIX polypeptide. In another embodiment, the present invention provides a method, wherein the sequence of said CTP-modified FIX polypeptide is the sequence set forth in SEQ ID NO: 31. In another embodiment, the present invention provides a method, wherein at least one CTP is encoded by an amino acid sequence selected from the group consisting of: SEQ ID NO: 1 and SEQ ID NO: 2. In another embodiment, the present invention provides a method, wherein at least one CTP is glycosylated. In another embodiment, the present invention provides a method, wherein at least one CTP is truncated. In another embodiment, the present invention provides a method, wherein at least one CTP is attached to said FIX polypeptide via a linker. In another embodiment, the present invention provides a method, wherein said linker is a peptide bond.

[0523]

In one embodiment, the present invention provides a method of treating hemophilia in a subject comprising administering a CTP-modified Factor IX (FIX) polypeptide comprising a FIX polypeptide and three chorionic gonadotropin carboxy terminal peptides (CTPs) attached to the carboxy terminus of said FIX polypeptide to said subject, thereby treating hemophilia in said subject. In another embodiment, the present invention provides a method, wherein the sequence of said CTP-modified FIX polypeptide is the sequence set forth in SEQ ID NO: 31. In another embodiment, the present invention provides a method, wherein at least one CTP is encoded by an amino acid sequence selected from the group consisting of: SEQ ID NO: 1 and SEQ ID NO: 2. In another embodiment, the present invention provides a method, wherein at least one CTP is glycosylated. In another embodiment, the present invention provides a method, wherein at least one CTP is truncated. In another embodiment, the present invention provides a method, wherein at least one CTP is attached to said FIX polypeptide via a linker. In another embodiment, the present invention provides a method, wherein said linker is a peptide bond.

[0524]

As is generally known in the art, the modified peptides and proteins of the disclosure may be coupled to labels, drugs, targeting agents, carriers, solid supports, and the like, depending on the desired application. The labeled forms of the modified biologicals may be used to track their metabolic fate; suitable labels for this purpose include, especially, radioisotope labels such as iodine 131, technetium 99, indium 111, and the like. The labels may also be used to mediate detection of the modified proteins or peptides in assay systems; in this instance, radioisotopes may also be used as well as enzyme labels, fluorescent labels, chromogenic labels, and the like. The use of such labels is particularly helpful if the peptide or protein is itself a targeting agent such as an antibody or a receptor ligand.

[0525]

Similar linking techniques, along with others, may be employed to couple the modified peptides and proteins of the disclosure to solid supports. When coupled, these modified peptides and proteins can then be used as affinity reagents for the separation of desired components with which specific reaction is exhibited.

[0526]

Finally, the modified peptides and proteins of the disclosure may be used to generate antibodies specifically immunoreactive with these new compounds. These antibodies are useful in a variety of diagnostic and therapeutic applications, depending on the nature of the biological activity of the unmodified peptide or protein. It is to be understood that the disclosure provides antibodies that are immunoreactive with CTP-modified FIX, FVII, or FVIIa as described herein. In one embodiment, such antibodies may be used to distinguish or identify CTP-modified coagulation factors that were administered from endogenous coagulation factors. In another embodiment, the antibodies may be used to localize administered CTP-modified coagulation factors.

[0527]

Additional objects, advantages, and novel features of the present invention will become apparent to one ordinarily skilled in the art upon examination of the following examples, which are not intended to be limiting. Additionally, each of the various embodiments and aspects of the present invention as delineated hereinabove and as claimed in the claims section below finds experimental support in the following examples.

EXAMPLES

[0528]

Generally, the nomenclature used herein and the laboratory procedures utilized in the present invention include molecular, biochemical, microbiological and recombinant DNA techniques. Such techniques are thoroughly explained in the literature. See, for example, “Molecular Cloning: A laboratory Manual” Sambrook et al., (1989); “Current Protocols in Molecular Biology” Volumes I-III Ausubel, R. M., ed. (1994); Ausubel et al., “Current Protocols in Molecular Biology”, John Wiley and Sons, Baltimore, Md. (1989); Perbal, “A Practical Guide to Molecular Cloning”, John Wiley & Sons, New York (1988); Watson et al., “Recombinant DNA”, Scientific American Books, New York; Birren et al. (eds) “Genome Analysis: A Laboratory Manual Series”, Vols. 1-4, Cold Spring Harbor Laboratory Press, New York (1998); methodologies as set forth in U.S. Pat. Nos. 4,666,828; 4,683,202; 4,801,531; 5,192,659 and 5,272,057; “Cell Biology: A Laboratory Handbook”, Volumes I-III Cellis, J. E., ed. (1994); “Culture of Animal Cells—A Manual of Basic Technique” by Freshney, Wiley-Liss, N. Y. (1994), Third Edition; “Current Protocols in Immunology” Volumes I-III Coligan J. E., ed. (1994); Stites et al. (eds), “Basic and Clinical Immunology” (8th Edition), Appleton & Lange, Norwalk, Conn. (1994); Mishell and Shiigi (eds), “Selected Methods in Cellular Immunology”, W. H. Freeman and Co., New York (1980); available immunoassays are extensively described in the patent and scientific literature, see, for example, U.S. Pat. Nos. 3,791,932; 3,839,153; 3,850,752; 3,850,578; 3,853,987; 3,867,517; 3,879,262; 3,901,654; 3,935,074; 3,984,533; 3,996,345; 4,034,074; 4,098,876; 4,879,219; 5,011,771 and 5,281,521; “Oligonucleotide Synthesis” Gait, M. J., ed. (1984); “Nucleic Acid Hybridization” Hames, B. D., and Higgins S. J., eds. (1985); “Transcription and Translation” Hames, B. D., and Higgins S. J., eds. (1984); “Animal Cell Culture” Freshney, R. I., ed. (1986); “Immobilized Cells and Enzymes” IRL Press, (1986); “A Practical Guide to Molecular Cloning” Perbal, B., (1984) and “Methods in Enzymology” Vol. 1-317, Academic Press; “PCR Protocols: A Guide To Methods And Applications”, Academic Press, San Diego, Calif. (1990); Marshak et al., “Strategies for Protein Purification and Characterization—A Laboratory Course Manual” CSHL Press (1996); all of which are incorporated by reference. Other general references are provided throughout this document.

Example 1

Generation and Utilization of Coagulation Factor IX

[0529]

Cloning and Expression of Recombinant FIX molecule:

[0530]

Factor IX clones were constructed in our eukaryotic expression vector pCI-neo (Promega, catalog no. E1841). ORF Clone of Homo sapiens coagulation factor IX was ordered from “OriGene” (RC219065). Primers were ordered from Sigma-Genosys.

[0531]

Construction of 301-1-pCI-neo-p200-11 (Factor IX-ctp x2):

[0532]

Primer 101:
(SEQ ID NO: 36)
5′ GTTTAGTGAACCGTCAGAAT 3′
Primer 103R:
(SEQ ID NO: 37)
5′ TTGAGGAAGATGTTCGTGTA 3′
(contains the SspI site of factor IX)

[0533]

A PCR reaction was conducted with primer 101 and primer 103Rand plasmid DNA, cDNA clone of Factor IX (OriGene″ RC219065) as a template; as a result of the PCR amplification, a ˜1085 bp (per 10) product was formed and purified from the gel (the fragment containing the amino terminus of Factor IX sequence).

[0534]

Primer 98:
(SEQ ID NO: 38)
5′ ATTACAGTTGTCGCAGGTGA 3′
Primer 99R:
(SEQ ID NO: 39)
5′ GCTGGAGCTAGTGAGCTTTGTTTTTTCCTT 3′
Primer 100:
(SEQ ID NO: 40)
5′ GCTCACTAGCTCCAGCAGCAAGGCC 3′
Primer 27R:
(SEQ ID NO: 41)
5′ TTTTCACTGCATTCTAGTTGTGG 3′

[0535]

Three PCR reactions were performed. The first reaction was conducted with primer 98 and primer 99Rand plasmid DNA, cDNA clone of Factor IX (OriGene″ ,RC219065) as a template; as a result of the PCR amplification, a ˜540 bp product was formed.

[0536]

The second reaction was conducted with primer 100 and primer 27Rand plasmid DNA of 402-2-p72-3 (hGH-CTP-CTP) as a template; as a result of the PCR amplification, a ˜258 bp product was formed.

[0537]

The last reaction (per 3) was conducted with primers 98 and 27Rand a mixture of the products of the previous two reactions as a template; as a result of the PCR amplification, a ˜790 bp product was formed and ligated into TA cloning vector (Invitrogen, catalog K2000-01). SspI—EcoRI fragment was isolated (TA 3-3).

[0538]

Another PCR reaction was conducted (per 12) with primer 101 and primer 27Rand a mixture of the products of per 10 and SspI-EcoRI fragment from per 3 as a template; as a result of the PCR amplification, a ˜1700 bp product was formed (Factor IX-ctp-ctp) and ligated into TA cloning vector (Invitrogen, catalog K2000-01) (lig 180).

[0539]

A mistake was found in the Factor IX sequence so fragments were replaced in order to form an insert of Factor IX-ctp-ctp with the correct DNA sequence.

[0540]

TA- per 3-3 was digested with SspI and XbaI and the large fragment was isolated (vector). TA 180-4 was digested with SspI and XbaI and the small fragment (insert) was isolated and ligated to the isolated large fragment of TA-per-3-3digested with SspI and XbaI. The new plasmid TA-183-2 was digated with Sal I and NotI, and the Factor IX-CTP-CTP insert was isolated (˜1575 bp). This fragment was inserted into eukaryotic expression vector pCI-neo (digested with Sal I and Not I) to yield the 301-2-p200-11 clone.

[0541]

pCI-dhfr—Factor 9-ctpx2 (p223-4) construction: Vector pCI-dhfr (p6-1) was digested with Smal and NotI. Factor IX-CTP-CTP (p200-11) was digested with ASisI F.I. and NotI. The two fragments were ligated.

[0542]

pCI-dhfr Factor 9-ctp x3 (p225-7) construction: Vector pCI-dhfr OXM-CTPx3 (p216-4) was digested with XbaI and ApaI. Factor IX-CTP-CTP (223-4) was digested with XbaI and ApaI. The two fragments were ligated.

[0543]

pCI-dhfr Factor 9-ctp x3 T148A (p243-2) construction: Plasmid p225-7 contained Threonine at position 148, since the more common version of FIX contains Alanine at this position, Thr was replaced to Ala using site directed mutagenesis method.

[0544]

Primer 75:
(SEQ ID NO: 42)
ctcccagttcaattacagct
Primer 122r:
(SEQ ID NO: 43)
ggaaaaactgcctcagcacgggtgagc
Primer 123:
(SEQ ID NO: 44)
gtgctgaggcagtttttcctgatgtggactat
Primer 124r:
(SEQ ID NO: 45)
caacacagtgggcagcag

[0545]

Three PCR reactions were performed. The first reaction was conducted with primer 75 and primer 122r and plasmid DNA p225-7 as a template; as a result of the PCR amplification, a ˜692 bp product was formed and purified from the gel. A second PCR reaction was conducted with primer 123 and primer 124r and plasmid DNA p225-7 as a template; as a result of the PCR amplification, a ˜237 bp product was formed and purified from the gel. The third—overlap PCR reaction was conducted with primers 75 and 124r, and a mixture of the products of the previous two reactions as a template; as a result of the PCR amplification, a ˜910 bp product was formed. This overlap PCR product was digested with XbaI and NsiI and re ligated into p225-7 plasmid (digested with XbaI and NsiI) to yield Factor IX-ctpx3 T148A designated p243-2.

[0546]

FIX-4CTP (p259-4) construction: 3.5CTP fragment was isolated from oxym-4CTP (p254-3) by restriction enzymes ApaI and XbaI. FIX+0.5CTP fragment was isolated from FIX-3CTP (p243-2) with restriction enzymes ApaI and XbaI. The two fragments were ligated.

[0547]

FIX-5CTP (p260-18) construction: 4.5CTP fragment was isolated from oxym-SCTP (255-1) by restriction enzymes ApaI and XbaI. FIX+0.5CTP fragment was isolated from FIX-3CTP (p243-2) using enzymes ApaI and XbaI. The two fragments were ligated.

[0548]

Dg44 cells were plated in 100 mm tissue culture dishes and grown to 50-60% confluence. A total of 2 μg (microgram) of FIX cDNA was used for the transfection of one 100 mm plate using the FuGene reagent (Roche) in protein-free medium (Invitrogene CD Dg44). The media was removed 48 hours after transfection and replaced with a protein-free medium (Invitrogene CD Dg44) without nucleosides and in the presence of 800 μg/ml of G418 (Neomycin). After 14 days, the transfected cell population was transferred into T25 tissue culture flasks, and selection continued for an additional 10-14 days until the cells began to grow as stable clones. High expressing clones were selected. Approximately 2×107cells were used to inoculate 300 ml of growth medium in a 1700 cm2roller bottle (Corning, Corning N.Y.) supplemented with 5 ng/ml of Vitamin K3 (menadione sodium bisulfate; Sigma). The production medium (harvest) was collected after a rapid decrease in cell viability to about 70%. The production medium was first clarified and then concentrated approximately 20-fold and dialyzed with PBS using flow filtration cassette (10 KDa MWCO; Millipore Corp.).

[0549]

Determination of FIX antigen level: FIX-CTP harvest antigen levels were determined using AssayMax Human FIX ELISA kit (AssayPro-EF1009-1). The calculated protein concentration is the average of three different dilutions in two independent runs (FIG. 1A, Table 1).

[0550]

Calculated protein concentration
FIX-CTPFIX-CTP-CTP
FIX Ag level (μg/ml)41.919.2
SD8.763.67
% CV20.9219.15

[0551]

FIX SDS-PAGE—immune blot: FIX-CTP harvests or purified rhFIX (American Diagnostics), 100 ng of protein, were loaded on 12% Tris-Glycine gel using Precision Plus Dual Color Protein Marker (Bio-Rad). The SDS-PAGE analysis was performed by Western immunoblot using anti-human FIX polyclonal antibody and anti-human gamma carboxylation monoclonal antibody (American Diagnostics). As previously reported, rhFIX migrated at 55 KDa, while FIX fused to two CTPs migrated at 75 KDa. Both variants of FIX-CTP proteins were shown to be gamma carboxylated, an essential post-translation modification for FIX activity and function (FIG. 1B).

[0552]

Determination of FIX chromogenic activity: A comparative assessment of the in vitro potency of FIX-CTP harvests versus rhFIX protein (American Diagnostics) was performed using the commercially available chromogenic activity test kit, BIOPHEN (Hyphen BioMed 221802). In the presence of thrombin, phospholipids, calcium, excess amounts of FXIa activates sampled FIX into FIXa. FIXa forms an enzymatic complex with thrombin, activated FVIII:C (supplied in an excess amounts), phospholipids, and calcium and activates Factor X, present in the assay system, into FXa. The activity directly correlates with the amount of FIX, which is the limiting factor. The generated FXa is then measured by its specific activity on FXa chromogenic substrate (pNA). The amount of pNA generated is directly proportional to FIXa activity. rhFIX and FIX-CTP harvests were serially diluted, and the potency was assessed by comparing a dose-response curve of the FIX harvests to a reference preparation consisting of rhFIX or human plasma. The average EC50 of FIX was 21 ng/ml, while the FIX-(CTP)2harvest calculated EC50 was 382 ng/ml, and the FIX-CTP harvest calculated EC50 was 1644 ng/ml. An approximately 15-fold decrease in the enzymatic activity of the FIX-(CTP)2harvest was observed (FIG. 2).

[0553]

FIX Clotting activity (aPTT): The activated partial thromboplastin time (aPTT) is a measure of the integrity of the intrinsic and common pathways of the coagulation cascade. The aPTT is the time, in seconds, for plasma to clot following the addition of an intrinsic pathway activator, phospholipid and calcium. The aPTT reagent is called a partial thromboplastin because tissue factor is not included with the phospholipid as it is with the protime (PT) reagent. The activator initiates the system and then the remaining steps of the intrinsic pathway take place in the presence of phospholipid. Reference aPTT range varies from laboratory to laboratory, but is usually in the range of 27-34 seconds.

[0554]

The principal of the assay was to quantitate the ability of FIX-CTP harvests to restore the clotting activity of FIX-depleted human plasma by the addition of rhFIX. 300 μl of FIX-deficient human plasma was mixed with 100 μl of rhFIX or FIX-CTP harvests and serially diluted. Following a 60 second incubation at 37° C., thromboplastin, CaCl2, and phospholipids were added to the mixture, and clotting time in seconds was determined (performed by American Medical Laboratories). The potency was assessed by comparing a dose-response curve of the FIX harvests to a reference preparation consisting of rhFIX or human plasma. One unit of FIX activity corresponds to the FIX concentration that equals the activity of one ml normal human plasma. The presented aPTT results indicate that FIX-(CTP)2exhibit a 5.7-fold reduction in its specific coagulation activity compared to rhFIX (Table 2). Moreover, the aPTT results together with the chromogenic activity in vitro assay suggest that FIX-(CTP)2harvest has an improved enzymatic activity vs. FIX-CTP harvest (Table 2). An improved activity of FIX-CTP proteins can be obtained following optimization of the expression system (i.e. co-transfection with Furin and optimization of Vitamin K3 medium concentration), which was strengthened following super-transfection with Furin (data not shown).

[0555]

FIX clotting activity
rhFIX (AD)FIX-CTPFIX-CTP-CTPPTT
(μg/ml)PTT (Sec)(μg/ml)PTT (Sec)(μg/ml)(Sec)
531.3945.2447.5
1.2535.72.2553.3155.9
0.3125430.562564.10.2567
0.07812552.10.14062576.30.062577.4

[0556]

Pharmacokinetic study: rhFIX (American Diagnostic) and FIX-CTP harvests were administered in a single intravenous injection to Sprague-Dawley rats (six rats per substance) at a dose of 75 μg/kg body weight (Table 3).

[0557]

PK study plan of operation
*Time-
DosePoints
No. ofDoseLevel(hours
TreatedTestanimals/DoseLevel(μg perInjectedCon.post-
GroupsArticlegroupRouteGender(μg/kg)animal)Vol. (μl)(μg/ml)dose)
1rFIX6IVM7515500300 (Pre-
dose)
0.083,
0.5,
1.5, 4,
8, 24,
48, 72.
2rFIX-6IVM7515500300 (Pre-
CTPdose)
0.083,
0.5,
1.5, 4,
8, 24,
48, 72.
3rFIX-6IVM75151000150 (Pre-
CTP-dose)
CTP0.083,
0.5,
1.5, 4,
8, 24,
48, 72.

[0558]

Blood samples were drawn retro-orbitally from 3 rats alternately at 0.083, 0.5 1.5, 4, 8, 24, 48, and 72 hours post-dosing. Plasma was prepared immediately after sampling and stored at −20° C. until analysis. FIX concentration was quantitated by FIX ELISA-specific assay (AssayPro). A pharmacokinetic profile was calculated for each protein and represents the mean of 3 animals at each time point (FIG. 3). The terminal half-lives were calculated using PK solutions 2.0 software. Table 4 summarizes the observed FIX concentrations at the different sampling time points.

[0559]

Observed FIX concentrations
Time (Hr)FIX-AD (ng/ml)FIX-CTP (ng/ml)FIX-CTP-CTP (ng/ml)
0.0831506.71477.51914.8
0.51949.81150.11830.1
1.52189.41009.01264.3
4733.90709.331000.00
8319.80167.201234.67
24BLQ54.625230
48BLQBLQ120.9

[0560]

The PK profile and summary of the terminal half-lives are summarized in Table 5. FIX-CTP harvests exhibit an improved T½β values compared to rhFIX (2- and 5-fold increases, respectively). Since in FIX dosing collection, animal serum concentrations of FIX at 24 hr were below limit of quantitation (BLQ), additional PK parameters were not calculated.

[0561]

Summary of PK parameters
Ratio
ProductTerminal half-life-(hr)(FIX-(CTP)x/rhFIX)
rhFIX (American2.62
Diagnostics)
FIX-CTP5.552.11
FIX-CTP (FIX-CTP-12.94.92
CTP)

[0562]

In this study, a novel approach was described for prolonging FIX half-life while retaining the therapeutic potency. Adding a CTP peptide to an active protein has a harmful potential in interfering with the protein's activity. Therefore, the generation of an active recombinant FIX-CTP by adding a CTP sequence at the C-terminus of the FIX is unexpected.

Characterization of an Immunoaffinity Purified FIX-CTP-CTP

[0563]

FIX-CTP-CTP Purification

[0564]

In order to evaluate a protein at high grade content with increased activity whose PK profile mimics and can be extrapolated to a clinical setting, FIX-CTP-CTP is a FIX modified with 2 CTP units in tandem in its carboxy-terminal. FIX-CTP-CTP was purified using matrix-bound monoclonal antibody against y carboxyglutamyl (Gla) residues present in the N-terminal region of FIX (American Diagnostics Cat. # 3570MX). The monoclonal antibody was bound to Sepharose CL-4B. The FIX-CTP-CTP harvest at a concentration of 88 μg/ml was dialyzed against 20 mM Tris, 150 Mm NaCl and 10 mM EDTA at PH=7.4. The loading rate was 0.5 ml/min, elution was performed using 20 Mm Tris-HC1, 350 mM NaCl and 50 mM CaCl, and the unbound fraction was recycled five times. Finally, the elution fraction was dialyzed with PBS, pulled and concentrated.

[0565]

Determination of FIX antigen level: FIX-CTP harvests, FIX-(CTP)2harvests, and FIX-(CTP)2purified protein levels were determined using the Human FIX ELISA kit (Affinity Biologicals; Cat. #FIX-AG RUO). The calculated protein concentration (μg/ml) is the average of two independent runs (FIG. 4, Table 6).

[0566]

Calculated protein concentration
FIX-CTP-CTP
FIX-CTPFIX-CTP-CTP(purified)
FIX Ag level (μg/ml)125.7888.53172.9
SD17.2821.312.63
% CV13.7424.081.52

[0567]

Additionally, FIX-CTP-CTP was quantitated by Bradford assay. The calculated concentration was 202 μg/ml, which is similar to the concentration obtained by human FIX ELISA.

[0568]

SDS-PAGE blots: FIX-CTP-CTP harvest, unbound fraction and purified protein, were loaded on a 12% Tris-Glycine gel using Precision Plus Dual Color Protein Marker (Bio-Rad). The SDS-PAGE Coomassie analysis was performed by staining the gel with Coommasie blue reagent (800 ng of protein). A Western immunoblot was performed with 100 ng of protein, anti-human FIX polyclonal antibody (Ab), and anti-human gamma carboxylation monoclonal Ab (American Diagnostics Cat #499 and #3570). The immunoaffinity purification procedure significantly enriched the FIX-CTP-CTP portion while reduced impurity (FIG. 5).

[0569]

N-terminal sequencing: FIX-CTP-CTP purified protein was separated by 12% Tris-Glycine SDS-PAGE and subsequently electro-blotted to PVDF membrane. The band of interest was cut out and put on a purified Biobrene treated glass fiber filter. The N-terminal sequence analysis was carried out by Edmann degradation using a pulsed liquid protein sequencer equipped with a 140 C HPLC micro-gradient system. N-terminal sequencing revealed that FIX-CTP-CTP is a mixture of incomplete and complete pro-peptide cleaved proteins. Inadequate pro-peptide cleavage was shown to reduce FIX coagulation activity. By co-transfection with Furin, the pro-peptide cleavage process can be an improved.

[0570]

Determination of FIX chromogenic activity: A comparative assessment of the in vitro potency of FIX-CTP-CTP purified protein versus rhFIX (American Diagnostics) and a pool of human normal plasma was performed using the commercially available chromogenic activity test kit, BIOPHEN (Hyphen BioMed 221802). In the presence of thrombin, phospholipids and calcium, excess amounts of FXIa activates FIX into FIXa. FIXa forms an enzymatic complex with thrombin (supplied in excess amounts), phospholipids and calcium activates Factor X, present in the assay system, into FXa. The activity directly correlates with the amount of FIX, which is the limiting factor. The generated FXa was measured by its specific activity on FXa chromogenic substrate (pNA). The amount of pNA generated was directly proportional to FIXa activity. rhFIX, human plasma and FIX-CTP-CTP were serially diluted, and potency was assessed by comparing a dose-response curve (FIG. 6). The average EC50of rhFIX was 68.74 ng/ml while FIX-CTP-CTP calculated EC50was 505 ng/ml. An approximately 7-fold decrease in the enzymatic activity of FIX-CTP-CTP was observed vs. recombinant FIX and a 16.5-fold decrease versus normal human pulled plasma. This reduced activity could be explained by inadequate cleavage of N-terminal pro-peptide, which was identified by N-terminal analysis.

[0571]

FIX Clotting activity (aPTT): The activated partial thromboplastin time (aPTT) is a measure of the integrity of the intrinsic and common pathways of the coagulation cascade. The aPTT is the time (measured in seconds) it takes plasma to clot following the addition of an intrinsic pathway activator, phospholipid and calcium.

[0572]

The assay quantitated the ability of the FIX-CTP-CTP protein to restore the clotting activity of FIX depleted human plasma by the addition of rhFIX. 300 μl of FIX-deficient human plasma was mixed with 100 μl of rhFIX, FIX-CTP-CTP (FIX-CTP-CTP (the CTP are in tandem at the C-terminal)), or normal pool human plasma which was further diluted. Following a 60 second incubation at 37° C., Tissue Factor (TF), CaCl2, and phospholipids were added to the mixture. Clotting time in seconds was determined. Potency was assessed by comparing a dose-response curve of FIX-CTP-CTP to a reference preparation of rhFIX or human plasma. One unit of FIX was defined as the amount of FIX which equals to the activity of 1 ml human normal plasma.

[0573]

The aPTT results indicate that FIX-CTP-CTP coagulation activity is only 1.4 less than normal pool human plasma and similar to the rhFIX. The aPTT results together with the chromogenic activity in vitro assay suggest that FIX-CTP-CTP purification did not damage its activity.

[0574]

Pharmacokinetic activity of FIX-CTP-CTP: Purified FIX-CTP-CTP, rhFIX (American Diagnostic) and harvests containing FIX-CTP-CTP and FIX-CTP were administered in a single intravenous injection to Sprague-Dawley rats (eight rats per substance) in a dose of 100 μg/kg body weight (Table 7).

[0575]

PK study outline
No. ofDose
animals/DoseLevelInjected
TreatedTestgroup/Level(μg perVol.Con.Time-Points
GroupsArticletime point(μg/kg)animal)(μl)(μg/ml)(hours post-dose)
ArFIX810020500400 (Pre-dose)
0.083, 0.5, 1,
2, 4, 7, 10, 24,
48, 72.
BrFIX-CTP810020500400 (Pre-dose)
(harvest)0.083, 0.5, 1,
2, 4, 7, 10, 24,
48, 72.
CrFIX-CTP-610020500400 (Pre-dose)
CTP(harvest)0.083, 0.5, 1,
2, 4, 7, 10, 24,
48, 72.
DrFIX-CTP-410020500400.083, 0.5 1, 2, 4,
CTP (purified)7, 10, 24, 4, 8,
72.

[0576]

Blood samples were drawn retro-orbitally from 4 rats alternately at 0.083, 0.5, 2, 4, 7 10, 24, 48, and 72 hours post-dosing. Citrated plasma (0.32%) was prepared immediately after sampling and stored at −20° C. until analysis. FIX concentration was quantitated using a human FIX ELISA kit (Affinity Biologicals). The pharmacokinetic profile was calculated for each protein as the mean of 4 animals at each time point (FIG. 7). The terminal half-life was calculated using PK Solutions 2.0 Software. Table 8 summarizes the observed FIX concentrations at different sampling time points.

Table 8: Observed FIX Concentrations

[0577]

A summary of the PK parameters are presented in Table 9.

[0578]

Summary of PK parameters
AUC ng-VdCL
T½ (hr)hr/mlMRT (hr)ml/KgMl/hr/Kg
FIX-CTP4.1736224.5155.127.6
harvest
FIX-(CTP)210.449105.712165.410.9
harvest
rhFIX3.721416.85.1373.870.183
Purified FIX-11.146314.212.3254.515.83
CTP-CTP

[0579]

The FIX-CTP-CTP harvest demonstrated an improved PK profile compared to FIX-CTP harvest. Furthermore, purified FIX-CTP-CTP exhibited a 3-fold increase in T½β value and a 4.5-fold increase in AUC compared to rhFIX.

[0580]

The reduced amount of secreted FIX fused to tandem CTP molecules versus fusion of a single CTP appears to be due to the addition of an extra CTP and not to reduced detection by ELISA, because the Bradford-purified FIX-CTP-CTP calculated concentration was similar to the ELISA-calculated concentration.

[0581]

FIX-CTP-CTP clotting activity was similar to pooled human plasma; however, its in vitro chromogenic activity was significantly lower when compared to rhFIX or pooled human plasma. The chromogenic activity assay was reported as a very sensitive assay compared to the coagulation assay. The reason for reduced activity of FIX-CTP-CTP may vary. Addition of CTP may decrease the affinity of FIX to FXIa or reduce post-transcriptional modifications (e.g. 12-10 GLA residues and pro-peptide cleavage). N-terminal analysis revealed that the proteolytic cleavage of the FIX-CTP-CTP pro-peptide was not fully completed prior to secretion. Since this post-transcriptional modification is crucial for the normal enzymatic activity of the protein, co-transfection with Furine-PACE plasmid is favorable and may improve FIX-CTP-CTP activity.

[0582]

Finally, FIX-CTP-CTP comparative PK study in rats demonstrated that fusion of two tandem CTPs to the C-terminal of FIX generated a FIX with an extended half-life.

[0583]

FIX depleted mouse model: In order to assess the in vivo activity, FIX knockout mice are obtained, and a breeding colony is established. 10 μg of either commercial recombinant hFIX (BeneFIX®) or rFIX-(CTP)2(FIX-CTP-CTP) are injected into the tail vein of an anaesthetized FIX knockout mouse (22-28 g). The amount of injected protein equals to the required concentration of FIX in normal plasma (5 μg/ml). Blood samples are taken from the clipped tail into heparinized capillary tubes at specific time points. Plasma samples are assessed for FIX levels by ELISA and efficacy is measured by aPTT coagulation assay.

[0584]

Increasing FIX Propeptide cleavage efficacy: CTP peptide cDNA was fused to the 3′ end of human FIX cDNA. The corresponding rFIX and Furin expressing constructs were co-transfected into Dg44 cells; a human rFIX cDNA was also co-transfected with the Furin plasmid as a control. Secretion of high level of FIX leads to secretion of a mixture of pro-factor and a mature factor FIX, due to limited amount of the Furin protease in the cell. Co-transfection of a Furin expressing vector with a pro-factor expressing vector increases the recovery and result in the secretion of fully processed FIX in to the medium.

[0585]

Following FIX-(CTP)2and Furin co-transfection, stable clones are generated and harvest is collected for pro-peptide cleavage evaluation. 100 ng of protein, are loaded on 12% Tris-Glycine gel using Precision Plus Dual Color Protein Marker (Bio-Rad). The SDS-PAGE analysis is performed by Western immunoblot using anti-human FIX polyclonal Ab (American Diagnostics) and anti-pro-peptide polyclonal antibody. As previously reported, rhFIX migrated at 55 KDa, while FIX fused to two CTPs migrated at 75 kDa. Both variants of FIX proteins are shown to undergo a proper, full pro-peptide cleavage.

[0586]

To determine whether proper pro-peptide cleavage improves FIX-(CTP)2enzymatic activity, a comparative assessment of chromogenic and coagulation activity of FIX-(CTP)2harvest cotransfecated with Furin is performed. A significant improvement in FIX-(CTP)2specific activity is observed, which is similar to rhFIX.

[0587]

In conclusion, the results described herein suggest that FIX-CTP-CTP can be used efficiently for treating Hemophilia B patients. FIX fused to CTP constructs benefit from improved in vivo pharmacologic performance that overcomes the drawback in certain in vitro measures. This proposed treatment is advantageous over previous treatments as the rate of infusions and the amount of required doses are reduced.

[0588]

It is important to notice that when an albumin-fused molecule strategy was used to improve the FIX half-life, the recombinant FIX became inactive. The present novel approach lead to the design and purification of a novel recombinant FIX-fused protein that presents an improved long-lasting activity. Since mere size modifications did not improve the pharmacokinetics of injected FIX, the finding that CTP fused to FIX facilitates pharmacokinetic parameters was unexpected. The presence of highly glycosylated peptide- sialic acid residues stabilized the protein and protected it from interactions with vascular receptors without abrogating key determinants of FIX function.

[0589]

FIX-CTP has a similar therapeutic efficacy to rFIX in hemophilia B patients and required less frequent dosing. A single injection of FIX-CTP is sufficient to control bleeding episodes and reduce the number of injections that are needed during surgical intervention in hemophilia B patients.

[0590]

The CTP technology was utilized for the development of a long-acting FIX. Specifically, extending the half-life of recombinant rFIX molecule was performed by fusion of at least one human CTP to FIX. The recombinant FIX-CTP was expressed in mammalian cells and characterized in vitro and in vivo. It was demonstrated that the in vitro activity of rFIX-CTP was comparable to rFIX. Pharmacokinetics and efficacy studies in rats demonstrated improved properties of the rFIX-CTP. The results of this study demonstrate that it is feasible to develop a half-life extended rFIX molecule having similar haemostatic properties to the wild type enzyme.

Example 2

Comparative Assessment of Purified FIX-CTP3vs. FIX-CTP4and FIX-CTP5

[0591]

2.1 Study Objective

[0592]

A comparative assessment of the pharmacokinetic parameters of FIX-CTP4and FIX-CTP5versus FIX-CTP3following a partial purification process.

[0593]

2.2 Production of FIX-CTP4and FIX-CTP5Harvests

[0594]

FIX cDNA (OriGene RC219065) fused at the C-terminal to four or five tandem CTP sequences was expressed in Dg44 cells using Excellgene expression system in the presence of 10 ng/L of vitamin K3 (Sigma, Mennadion). The harvests were collected (300 ml), filtered and frozen.

[0595]

2.3 Production of FIX-CTP3Harvest

[0596]

FIX-CTP3was expressed in-house in CHO cells using pCI-DHFR vector, clone 196, BR-9 in the presence of 25 ng/L of vitamin K3 (Sigma). The harvests were collected and filtered.

[0597]

All FIX-CTP samples (3, 4 and 5 CTP) were purified only by Jacalin column because of a lack of material.

[0598]

2.4 Determination of FIX Antigen Level

[0599]

FIX antigen level was determined using Human FIX ELISA kit (Affinity Biologicals; Cat. # FIX-AG RUO). The calculated protein concentration is the average of four independent runs. FIX-CTP3concentration was slightly higher as compared to the two additional versions (Table 10).

Table 10: FIX Antigen Level

[0600]

2.5 FIX-CTP Coomassie Stain and Immune-Blot

[0601]

FIX-CTP3, FIX-CTP4, and FIX-CTP5harvests were loaded on 12% Tris-Glycine gel using Precision Plus Dual Color Protein Marker (Bio-Rad). The SDS-PAGE analysis was performed by Western immuno-blot using anti-CTP polyclonal Ab (Adar Biotech Production) or anti-Gla Ab (American Diagnostica).

[0602]

As previously reported, FIX fused to three CTPs migrated at 80 kDa while FIX fused to four or five CTPs migrated at 85 KDa or 90 KDa, respectively. As expected, FIX-CTP4and FIX-CTP5harvests from Excellgene showed very low levels of gamma carboxylation compared to FIX-CTP3harvest, which was produced at Prolor (FIG. 8).

[0603]

After a purification process utilizing Jacalin column (immunoaffinity purification of glycosylated proteins), FIX-CTP3, FIX-CTP4, and FIX-CTP5were loaded on 12% Tris-Glycine gel using Precision Plus Dual Color Protein Marker (Bio-Rad). The SDS-PAGE was stained by Coomassie blue Dye for samples detection. All variants showed much cleaner band profiles (FIG. 9), suggesting an improved purity.

[0604]

2.6 Determination of FIX Chromogenic Activity

[0605]

A comparative assessment of the in vitro potency of fully purified (HA column) FIX-CTP3, FIX-CTP4, and FIX-CTP5versus human pool normal plasma was performed using a commercially available chromogenic activity test kit, BIOPHEN (Hyphen BioMed 221802). All samples were serially diluted, and the potency was assessed by comparing a dose-response curve to a reference preparation of normal human plasma. The reduced chromogenic activity of FIX-CTP4and FIX-CTP5(FIG. 10) as compared to plasma can be a consequence of improper post-transcriptional modifications of FIX proteins, e.g. inappropriate gamma carboxylation and pro-peptide cleavage or, alternatively, due to the addition of CTP cassettes. The fluctuation in the FIX-CTP4and FIX-CTP5activity (Table 11) might be caused by inappropriate quantitation capabilities of the FIX ELISA due to CTP masking of the antigen site.

[0606]

Sample/plasma EC50 ratio
Sample/plasma
SampleEC50 ratio
Plasma1
3 CTP Final HA2
4 CTP Final HA5.35
5 CTP Final HA2.73

[0607]

2.7 Pharmacokinetic Study

[0608]

Jacalin-purified FIX-CTP3, FIX-CTP4, and FIX-CTP5(Group A, B and C, respectively) were administered in a single intravenous injection to Sprague-Dawley rats (six rats per treatment group) at a dose of 250 μg/kg body weight. Blood samples were drawn retro-orbitally from 3 rats alternately at 0.083, 0.5 2, 5, 8, 24, 48, 72 and 96 hours post-dosing (Table 12). Citrated plasma (0.38%) was prepared immediately after sampling and stored at −20° C. until analysis.

[0609]

PK study plan of operation
Dose
No. ofLevelInjected
Treatmentanimals/Dose(μg perVol.Conc.Time-Points
GroupTreatmentgroupRouteanimal)(μl)(μg/ml)(hr post-dose)
AFIX-6IV502002500.083, 0.5, 2, 5, 8,
CTP*324, 48, 72, 96
Jacalin 40
BFIX-6IV502002500.083, 0.5, 2, 5, 8,
CTP*424, 48, 72, 96
Jacalin 40
CFIX-6IV502002500.083, 0.5, 2, 5, 8,
CTP*524, 48, 72, 96
Jacalin 40

[0610]

FIX concentration in plasma samples were quantified using human FIX ELISA kits (Affinity Biologicals). The pharmacokinetic profile was calculated and is the mean of 3 animals at each time point. Terminal half-lives were calculated using PK Solutions 2.0 Software. Table 13 below summarizes the calculated FIX concentrations at the different sampling time points.

[0611]

Calculated FIX concentrations
Av. 3Av. 4SDAv. 5SD
TimeCTPSDCTP4CTP5
(hr)ng/ml3 CTPng/mlCTPng/mlCTP
0.0831087.8272.39904.5421.061097.2382.24
0.5774.1886.31736.8266.93998.7970.43
2562.233.70627.0932.47747.8514.02
5357.448.63431.2329.41576.4927.36
8239.207.82327.4630.26394.9636.48
2477.084.26107.385.18142.4216.13
4827.732.0239.831.8553.663.33
7212.551.4821.531.5523.543.32
966.661.2310.630.1318.543.39

[0612]

The PK profile and a summary of the PK parameters are presented in Table 14 below and in FIG. 11. A full PK analysis profile at all time points suggested that addition of 4 or 5 CTP cassettes to FIX did not increase its half-life as compared to FIX-CTP3. The AUC following FIX-CTP5administration increased by 1.4- to 1.6-fold versus FIX-CTP3, which was not statistically significant.

[0613]

PK profile and a summary of the PK parameters
24-96 hr3 CTP4 CTP5 CTP
Half-life (hr)20.4322.0223.96
AUC (ng-8218.3810504.4913329.41
hr/ml)
Vd (ml/kg)700.76586.02494.89
CL (ml/hr/kg)23.7718.4514.32

[0614]

Since 96 hr post-dosing samples were shown to have very low FIX concentrations, which were at the lower limit of quantification of the assay, the terminal half-life was recalculated providing a more precise and scientifically appropriate calculation (Table 15). According to this calculation, even smaller differences were obtained between the half-life of FIX-CTP3, FIX-CTP4, and FIX-CTP5.

[0615]

Recalculated terminal half-life
8-72 hr3 CTP4 CTP5 CTP
Half-life (hr)15.3816.6316.04

[0616]

2.8 Conclusions:

[0617]

In this study, the pharmacokinetic parameters and potential clotting activity of FIX-CTP3, FIX-CTP4, and FIX-CTP5were assessed. Fusion of 4 and 5 CTPs to FIX did not provide a superior or improved half-life extension, as compared to FIX-CTP3, and reduced chromogenic activity was observed. Table 16 below summarizes the percent improvement of half-life for the different FIX-CTP fused variants (1 to 5 CTPs). Fusion of CTP to FIX improved its pharmacokinetic behavior, but, unpredictably, this improvement was limited. Surprisingly, following fusion of 3, 4 or 5 CTPs in tandem to FIX, a similar half-life value was calculated.

[0618]

Summary of the percent improvement of half-life
T½ (8-72 hr)
FIX Version% increase
rhFIX vs. 1CTP112
1CTP vs. 2CTP141
2CTP vs. 3CTP37
3CTP vs. 4CTP6
4CTP vs. 5CTP0

[0619]

These data suggest that fusion of 3 CTPs to FIX produces a maximal improvement in protein half-life, confirming that FIX-CTP3is the optimal variant in terms of half-life, structure and potential clotting activity for further clinical development.

Example 3

FIX-CTP3TREATMENT OF FIX−/− HEMOPHILIC MOUSE MODEL

[0620]

As described above, a study testing FIX-CTP, FIX-CTP2and FIX-CTP3harvest PK profile and coagulation activity vs. rhFIX was conducted. FIX-CTP3exhibited an improved PK profile while maintaining its coagulation activity vs. FIX-CTP1and FIX-CTP2harvests or rhFIX. To further evaluate this result, FIX-CTP3γ-Carboxyglutamate protein was purified. FIX-CTP3exhibits a 3-fold increase in half-life and 4.5-fold higher AUC compared to rhFIX in normal rats following a single IV administration. FIX-CTP3demonstrated a reduced in vitro chromogenic and clotting activity, most likely due to insufficient cleavage of N-terminal pro-peptide and in appropriate post-transcriptional modifications (PTMs), such as appropriate gamma carboxylation.

[0621]

In the current study, the pharmacokinetic and pharmacodynamic properties of human recombinant FIX fused to three tandem CTPs were tested in FIX-deficient mice.

[0622]

Study Purpose:

[0623]

To determine the pharmacokinetic and pharmacodynamic parameters of rFIX-(CTP)3vs. commercial rhFIX (BeneFIX®) in FIX-deficient mice following a single IV administration of FIX-(CTP)3at a similar specific activity and dose (similar specific activity to PD and similar FIX constant for PK).

[0624]

Production of FIX-CTP3Harvest:

[0625]

FIX cDNA (OriGene RC219065-Thr 148) fused at the C-terminal to three tandem CTP sequences was expressed in Dg44 cells using Excellgene expressing system in the presence of 25 ng/ml of Vitamin K3 (Sigma, Mennadion). Five separate batches containing 5 liters of cell suspension was cultured (total of twenty-five liters) and harvested following viability decline to 60-70%. The harvest was filtered and frozen at −70° C.

[0626]

Determination of Harvest FIX Antigen Level:

[0627]

Harvest FIX antigen level was determined using a human FIX ELISA kit (Affinity Biologicals; Cat. # FIX-AG RUO). The antigen level was calculated per each batch. The FIX concentration was maintained through the different batches (Table 17).

[0628]

FIX antigen level
FIX antigen level
Batch#1Bat #2Bat #3
Av (μg/ml)28.8132.7442.9
STD2.52.694.0
% CV8.848.38.29.4

[0629]

FIX-CTP3purification process:

[0630]

Following a short purification study, a purification process using the following 3 columns was performed: DEAE Sepharose, Heparin Sepharose and HA Bio Rad Ceramic Hydroxyapatite type 1 (40 μm), FIX-CTP3. γ-carboxylated enriched protein was purified. In brief: Five liters of clarified harvest was thawed at 4° C. over a 4 day period. For each purification batch, the clarified harvest (2 liters) was concentrated 4-fold and dialyzed against 20 mM Tris-HCl pH 8.2 using a disposable hollow fiber cartridge with a nominal molecular weight cutoff size of 10 KDa. This process (UFDF1) was performed twice, and one liter of UFDF1 was loaded on DEAE Sepharose column, and Factor IX was eluted with 20 mM Tris-HCl, 200 mM NaCl, 10 mM CaCl2pH 8.2. The product was diluted 1:1 with 20 mM Tris-HCl, 10 mM CaCl2pH 7.5, and the pH was adjusted to 7.5 before loading on Heparin Sepharose column. The elution was performed with 20 mM Tris-HCl, 300 mM NaCl, and 10 mM CaCl2pH 7.5. The eluted product was concentrated and dialyzed against 10 mM phosphate pH 6.8 using a Pellicon XL cassette 10 KDa cutoff membrane (UFDF2). The product was loaded on an HA column, and the activated fraction of Factor IX was eluted with 150 mM phosphate pH 6.8. The purification product was concentrated to a target concentration of 2 mg/ml and dialyzed against TBS pH 7.45, divided in aliquots and stored at −70° C.

[0631]

The purification process was repeated five times, on a weekly basis in order to purify the total volume (25 liters). The purification processes were named HA# 6-10. Each purification product was separately evaluated (App # 1-5). At the end of the purification process, the different batches were pooled and further concentrated to a target concentration of 4 mg/ml.

[0632]

FIX-CTP3Analytical Properties:

[0633]

Determination of FIX Antigen Level

[0634]

FIX-CTP3γ-carboxylated enriched protein antigen level was determined using a human FIX ELISA kit (Affinity Biologicals; Cat. # FIX-AG RUO). The calculated protein concentration is the average of two independent runs (Table 18).

[0635]

FIX-CTP3antigen level
IX-CTP3HA purified pool ELISA #1FIX-CTP3HA purified pool-ELISA #2Final
Dil.12Av.Dil.12Av.Av.
1300003412240378183035970351300003692260356824036302503613643
2600003915600415844040370202600003706820359554036511803844100
5200004158544433409642463205200003831464353074836811063963713
104000040963524004104405022810400003863392368430437738483912038
Av.389568440696183982651Av.3773484359470836840963833373
(ng/ml)(ng/ml)
STD338367.5234486.7274313.5STD86576.6665369.6563369.86154459.6
% CV8.6857035.7618846.887712% CV2.2943431.8184971.7200924.029338
Av.3.8956844.0696183.982651Av.3.7734843.5947083.6840963.833373
(ng/ml)(ng/ml)

[0636]

SDS-PAGE Blots:

[0637]

FIX-CTP3γ-carboxylated enriched protein, rhFIX and rFIXa (activated FIX) were loaded on 12% Tris-Glycine gel using Precision Plus Dual Color Protein Marker (Bio-Rad). The SDS-PAGE Coomassie analysis was performed by staining the gel with Coomassie blue reagent (800 ng of protein) (FIG. 12). A Western immunoblot was performed using 100 ng of protein with anti-human FIX polyclonal Ab (FIG. 12B), anti-human gamma carboxylation monoclonal antibody (American Diagnostics Cat #499, 3570) (FIG. 12C), anti-FIX pro-peptide polyclonal Ab (FIG. 12D), and anti-CTP polyclonal Ab (FIG. 12E). As previously reported, FIX-CTP3migrated at 75 KDa.

[0638]

The purification procedure significantly enriched FIX-CTP3portion while reducing impurities. The purification process yield was very low ranging around 2-3% (data not shown) due to the requirement to collect only the γ-carboxylated FIX-CTP3fractions, as demonstrated in the anti-Gla immunoblot (FIG. 12B). Based on the Coomassie and FIX immunoblot, the FIX-CTP3portion is only around 60-70%, and additional lower molecular weight bands, presumably with lower glycosylation forms, were also detected.

[0639]

FIX-CTP3Clotting Activity:

[0640]

FIX-CTP3Chromogenic Activity:

[0641]

A comparative assessment of the in vitro potency of FIX-CTP3harvest and FIX-CTP3γ-carboxylated enriched protein, versus human pool normal plasma was performed using a commercially available chromogenic activity test kit, BIOPHEN (Hyphen BioMed 221802). FIX-CTP3harvest and protein were serially diluted, and the potency was assessed by comparing a dose-response curve to a reference preparation consisting of normal human plasma. As previously demonstrated, FIX-CTP3harvest was 50 times less active then human pool plasma (Table 19, FIG. 13). Following FIX-CTP3purification, the chromogenic activity was significantly improved and was only 4.72 times less active then human pool plasma (Table 19, FIG. 13). Harvest reduced chromogenic activity can be a consequence of improper post-transcriptional modifications of FIX protein variants, e.g. inappropriate gamma carboxylation and pro-peptide cleavage. Following purification and enrichment of the FIX-CTP3γ-carboxylated fraction, the activity was improved, demonstrating the important contribution of γ-carboxylation to FIX activity.

[0642]

FIX-CTP3chromogenic activity
EC50Sample/plasma EC50
Sample(ng/ml)ratio
FIX-CTP3Harvest741.354.4
Pur. FIX-CTP364.64.72
Plasma13.631

[0643]

One Stage Clotting Assay (aPTT):

[0644]

The activated partial thromboplastin time (aPTT) is a measure of the integrity of the intrinsic and common pathways of the coagulation cascade. The aPTT is the time, in seconds, for plasma to clot following the addition of an intrinsic pathway activator, phospholipid and calcium. The principal of the assay was to quantitate the ability of FIX-CTP3to restore the clotting activity of FIX-depleted human plasma by the addition of rhFIX. 200 μl of FIX-deficient human plasma was mixed with 25 μg/ml of FIX-CTP3and further diluted in TBS. Following a 60 second incubation at 37° C., 50 μl of PTT activator (Actin FS) and 50 μl of calcium 25 mM were added to the mixture, and the clotting time in seconds was determined using a Sysmex® CA 1500 Coagulator (performed by Sheba hospital, National Coagulation Center using validated aPTT assay). The potency was assessed by comparison of FIX-CTP3to the dose-response curve of a reference preparation of normal human pool plasma. The results are expressed in percent of activity interpolated from the standard curve covering FIX levels of <1-110%. FIX-CTP3exhibited a 15-20-fold reduction in its coagulation activity versus normal human pool plasma since the activity at 5 μg/ml, which is the normal value of FIX in the body, was shown to be 6.5% (Table 20).

[0645]

FIX-CTP3clotting activity
FIX % of
FIXactivity
ConcentrationConcentration in(normalized to
by providertested samplehuman normal
FIX-CTP3(mg/ml)(μg/ml)pool plasma)
3.832534.7
56.5

[0646]

FIX-CTP3also exhibited increased clotting time compared to BeneFIX® (Table 21 and FIG. 14).

[0647]

Comparative clotting time (aPTT)
Clotting time
FIX-CTP3BeneFIX ®
 38 ug/ml77.6
 19 ug/ml83.4
7.6 ug/ml93.250.6
3.8 ug/ml104.857.6
1.9 ug/ml112.263.7
0.95 ug/ml 122.671.5
0.475 ug/ml 83.7
0.238 ug/ml 94.3

[0648]

An additional clotting assay was performed independently in FIX-deficient mice by Dr. Paul Monahan at University of North Carolina prior to the initiation of the PK-PD study. The aPTT results suggested that FIX-CTP3coagulation activity is 40 times less than normal pooled human plasma as demonstrated by the longer period (as measured in seconds) and higher concentration that are required for proper clotting activity (Table 22).

[0649]

Comparative clotting activity
FIX activity (Units)
FIX-CTP3BeneFIX ®
 38 ug/ml13.9
 19 ug/ml8.8
7.6 ug/ml4116.8
3.8 ug/ml1.667.4
1.9 ug/ml0.941.7
0.95 ug/ml 0.422.4
0.475 ug/ml 8.5
0.238 ug/ml 3.7

[0650]

The specific activity (u/ml), which was based on FIX antigen level as calculated by ELISA for FIX-CTP3and BeneFIX®, was 4.46 and 198.9 respectively.

[0651]

The inconsistency in the calculated FIX-CTP3activity as demonstrated in the chromogenic vs. aPTT assays can be explained by the superior sensitivity of the aPTT assay and in vivo relevance. In the chromogenic activity assay, an excess amount of reagents and enzymes are present which can activate less potent FIX versions. The difference in the FIX-CTP specific activity values can be explained by the use of different reagents and automated machines. The activity value as calculated at University of North Carolina was used for the PK-PD study design.

[0652]

FIXa Protein Detection:

[0653]

In order to confirm that following the purification process, FIX activation (FIXa) did not occur, a FIXa detection assay was performed using FIXa Biophen Chromogenic Assay (Cat. # Ref. 221812). The assay measures the amount of FIXa present in a specific sample using the chromogenic activity cascade, as previously described. FIX-CTP3and rhFIX were diluted and FIXa levels were evaluated. FIX-CTP3wasn't activated through purification or storage (Table 23).

[0654]

FIXa detection
FIX-
SampleCTP3rhFIX
Initial10005.7
Con.(mg/ml)
rFIXaBLQ0.00487
(mg/ml)
% FIXa inBLQ0.085
sample

[0655]

FIX-CTP3PK-PD study: FIX-CTP3and rhFIX (BeneFIX®) were administered in a single intravenous injection to C57BI FIX-deficient mice in a dose of 625 μg/kg body weight containing 100 IU FIX/kg body weight. Blood samples were drawn retro-orbitally from 3 mice alternately at 0.25, 4, 24, 48, 72, and 96 hours post-dosing. Citrated plasma (0.32%) was prepared immediately after sampling and stored at −20′IC until analysis. hFIX antigen level was evaluated, and a detailed PK analysis was performed. In order to evaluate the ability of FIX-CTP3to elongate the clotting activity of FIX-deficient animals compared to BeneFIX®, FIX activity in citrated plasma samples, collected from the FIX−/− treated mice, was calculated using an automated FIX activity assay (Table 24).

[0656]

Study outline
Adminis-#Collection PointsRequired
ProducttrationDosemice(hr post-dosing)amount
**CohortFIX-Single100IU/Kg120.25, 1, 4, 8,6636μg
1CTP3dose: IV2.5IU/mousemice16, 24, 48
(553μg/mouse)
CohortFIX-Single**472μg/Kg18*0.25, 1*, 4*, 8*,200μg
2CTP3dose: IV12.57μg/mousemice16*, 24*, 48*,12.57μg/mouse
72*, 96*
**CohortBeneFIX ®Single100IU/Kg180.25, 1, 4, 8,226.3μg
3dose: IV2.5IU/mousemice,16, 24, 48,12.57μg/mouse
*72, *96
*PK collection points only
**Tail vein bleeding at T = 48 post-dosing; cohorts 1 & 3

[0657]

FIX-CTP3Pharmacokinetic Profile in FIX−/−Mice

[0658]

FIX concentration was quantitated using human FIX ELISA kits (Affinity Biologicals; Cat. # FIX-AG RUO). The pharmacokinetic profile was calculated for each protein and is the mean of three animals at each time point. Table 25 below and FIG. 15 summarize the calculated FIX concentrations at the different sampling time points for Cohorts 1 & 3. The PK profile and a summary of the PK parameters are presented below (Tables 26 & 27). A PK analysis was also performed for Cohort #2 in order to verify exposure (data not shown).

[0659]

FIX concentrations
TimeFIX-CTP3BeneFIX ®
point (hr)ng/mlng/ml
0.253645.3972823.023
12411.092416.248
41703.2051506.228
81139.736864.764
16415.32347.465
24238.37158.7973
36141.010594.40067
4895.46142.28833
7276.9095311.87567
9624.955BLQ

[0660]

A two-compartmental module was used (WinLin software) to determine AUC0-inf, Tterminaland clearance (CL). The PK parameters are described below in Table 26.

[0661]

PK properties
FIXT½αT½ βAUCCLMRTVss
Version(1/hr)(1/hr)ng/ml *hrml/Kg/hr(hr)(ml/Kg)
BeneFIX ®3.412.7224282911.5320.8
FIX-CTP3428.7317701922425.2

[0662]

The addition of the three CTP “cassettes” to rhFIX elongated FIX half-life in vivo by at least 2.5-fold. AUC following in vivo FIX-CTP3administration increased 2-fold versus rhFIX. FIX-CTP3-injected mice demonstrated an improved PK profile compared to BeneFIX®-injected mice.

[0663]

FIX-CTP3Pharmacodynamic Profile in FIX-Deficient Mice:

[0664]

In parallel to PK sampling, FIX-deficient animals administered with either BeneFIX® or FIX-CTP3, citrated plasma samples, were evaluated for their clotting activity by aPTT assay, which was translated to % activity. The % activity at each collection point was calculated as the current clotting time/clotting time of normal pool mice plasma*100. Table 27 summarizes the activity values following administration of either BeneFIX® or FIX-CTP3.

[0665]

Following FIX-CTP3administration, significant clotting activity was detected one hour after administration reaching 96% activity at four hours post-dosing, while BeneFIX® highest activity value was 40% (Table 27, FIG. 16). FIX-CTP3clotting activity was maintained for a longer period of time, demonstrating elongated activity. Clotting activity for the BeneFIX®-treated mice was undetectable at time points later than 36 hours, while FIX-CTP3-treated mice continued to retain measurable activity at 72 hours post-dosing (Table 27, FIG. 16). Analysis of the % clotting pharmacokinetic profile suggest that FIX-CTP3clotting activity is maintained for a significantly longer period and its half-life is almost 2-fold higher than Benefix® (Table 28).

[0666]

FIX % of activity
BeneFIX ®FIX-CTP3
Hr post-dosing% of activity% of activity
0.2539.91.0
133.415.5
424.993.6
818.865.2
1610.339.9
241.711.9
361.411.0
48<14.6
72<11.4

[0667]

Clotting Activity
FIXT½ αT½ β
Version(1/hr)(1/hr)
BeneFIX ®5.7
FIX-CTP37.316

[0668]

9.3 FIX-Deficient Mice Bleeding Challenge

[0669]

FIX-deficient mice were administered a single intravenous injection of 100 IU/kg of BeneFIX® or rFIX-CTP3. The tail vein was slightly clipped 48 hours post-dosing, and tail vein bleeding time (TVBT) and bleeding intensity (hemoglobin OD) were evaluated. A second bleeding challenge was performed 15 minutes after reaching homeostasis, and the same parameters were measured. Following the first bleeding challenge, FIX-CTP3-administered animals' bleeding was significantly less intense then BeneFIX® bleeding as demonstrated by the Hemoglobin OD values (FIG. 17).

[0670]

Since it was previously reported that during the first bleeding challenge in hemophilic mice, the bleeding time does not necessarily correlate with treatment efficacy, it is recommended to evaluate the homeostasis following additional bleeding. Once the first bleeding was spontaneously or manually stopped, a second bleeding challenge was performed 15 minutes following the first one, and the time and bleeding intensity were re-measured. During the second bleeding episode FIX-CTP3-administered animals had reduced bleeding time and intensity, demonstrating that FIX-CTP3was potent at a later time points (FIG. 18).

[0671]

Finally, the animals were further observed for the 12 hours following the second bleeding challenge, and all recurring bleeding events were documented. FIX-CTP3-administered animals were able to maintain blood homeostasis for the next 12 hours with no re-occurring bleeding events. In contrast, 50% of BeneFIX®-treated mice had spontaneous bleeding episodes from the tail (Table 29).

[0672]

Outcome 12 hours after tail transection
DelayedDeath or Distress
Mouse grouprebleedingRequiring Euthanasia
FIX-CTP30/5 (0%) 0/5
(100 IU/kg)
BeneFIX ®3/6 (50%) 0/6
(100 IU/kg)
FIX−/− (untreated)5/6 (100%)1/6

[0673]

Recombinant FIX-CTP3, a fusion protein comprised of a single molecule of FIX fused to three CTP “cassettes” in tandem was developed to address the short half-life of currently available FIX products used to treat patients with hemophilia B. The results herein demonstrated that the elimination half-life of rFIX-CTP3was consistently 2.5- to 4-fold longer than rFIX in rats (as previously reported) and in FIX-deficient mice.

[0674]

Without being bound by theory, the fusion protein reduces clearance of FIX and protects FIX from protease activity, degradation by masking and reduces the affinity of FIX for hepatic receptors. Taken together these characteristics of the CTP domain extend the half-life of FIX.

[0675]

In addition to pharmacokinetic analysis of rFIX-CTP3, we examined the pharmacodynamic properties of FIX-CTP3in FIX-deficient mice. rFIX-CTP3and rFIX, were administered at comparable doses (in units) to compensate for the clotting deficiency levels in FIX-deficient mice. However, the effect of rFIX-CTP3in FIX-deficient mice was significantly prolonged to at least 76 hr after dosing, reaching a higher activity peak. FIX-CTP3clotting activity began after a 1-hour delay compared to BeneFIX®. FIX activation may be required since the addition of three tandem CTPs might theoretically mask the activation site and delay cascade onset. Following FIX-CTP3administration, a 100% peak activity was observed, while BeneFIX® activity was only 40%. The superior initial activity is a very important parameter and demonstrates that addition of 3 CTPs has the potential to improve recovery.

[0676]

Prophylactic FIX replacement therapy for patients with hemophilia B aims to maintain plasma levels of 1-2% normal clotting activity. The tail vein bleeding assay is a sensitive in vivo test that measures the ability to maintain bleeding homeostasis at low activity values mimicking human bleeding homeostasis model. In response to tail vein bleeding challenge 48 hours post-dosing, rFIX-CTP3-administered animals maintained blood homeostasis with shorter and less severe bleeding episodes, demonstrating sustained clotting activity.

[0677]

FIX is a complex protein that contains a number of functional domains which undergo extensive post-translational modifications. One of the essential post-translational modifications for FIX activity is gamma-carboxylation of the first 12 glutamic acids in the Gla domain by vitamin K-dependent γ-glutamyl carboxylase. This modification facilitates the binding of FIX to phospholipid membranes and, thus, is critical to its function. FIX that is not gamma-carboxylated is not functional, and hence gamma-carboxylation is a rate-limiting step.

[0678]

This PK-PD study was conducted using transiently transfected cells. An extensive analytical evaluation of post-translational modifications is performed on the stable FIX-CTP3protein produced and secreted from stable optimized clone.

[0679]

Based on the presented data, FIX-CTP3coagulation factor has the potential to reduce the frequency of injections in patients receiving routine prophylactic doses of FIX replacement therapy. It is anticipated that rFIX-CTP3can confer prolonged protection from bleeding following each dose of factor, decrease the overall units of factor needed to treat bleeding episodes, and/or maintain adequate hemostasis during surgical procedures with fewer injections.

Example 4

Generation and Utilization of Coagulation Factor FVII

[0680]

A long-acting version of activated Factor VII (FVIIa) coagulation factor will be useful for the treatment of patients with hemophilia A and B. FVIIa-CTP3recombinant protein has the clinical potential to improve the treatment of hemophilia patients by reducing the frequency of infusions and even by reducing the drug load, enabling a prophylactic treatment approach which can significantly improves a patient's quality of life, avoid spontaneous bleeding episodes and accumulated damage to the joint and other organs.

[0681]

The generation of a recombinant FVIIa-CTP molecule with an extended half-life based on fusion of FVII to a human CTP is described herein. The recombinant FVIIa-CTP was expressed in mammalian cells and characterized in vitro and in vivo. It was demonstrated that rFVIIa-CTP activity was comparable to rFVIIa. Pharmacokinetic and efficacy studies in rats demonstrated improved properties of rFVIIa-CTP. The results of this study demonstrated that it is feasible to develop a half-life extended rFVIIa molecule with very similar haemostatic properties to the wild-type enzyme.

[0682]

Cloning and expression of recombinant FVII molecule: Several Factor VII clones were constructed in our eukaryotic expression vector (pCI-dhfrr) (FIG. 19). Human MGC verified FL cDNA clone (IRCM) containing the sequence of homo sapiens coagulation Factor VII was ordered from “Open Biosystems” (OB-MHS4426). The following primers were synthesized by Sigma-Genosys in the following sequence: Primer 67: 5′CTCGAGGACATGGTCTCCCAGGCCC3′ (contains the 5′ end of Factor VII DNA and the restriction site of XhoI) (SEQ ID NO: 5); Primer 68R: 5′ TCTAGAATAGGTATTTTTCCACATG3′ (contains the restriction site of XbaI) (SEQ ID NO: 6); Primer 69: 5′ TCTAGAAAAAAGAAATGCCAGC3′ (contains the restriction site of XbaI) (SEQ ID NO: 7); and Primer 70R: 5′GCGGCCGCATCCTCAGGGAAATGGGGCTCGCA3′ (contains the 3′ end of Factor VII DNA and the restriction site of NotI) (SEQ ID NO: 8).

[0683]

Cloning was performed in two sets of PCR reactions. The first reaction was conducted with primer 67 and primer 68Rusing a cDNA plasmid with the Factor VII sequence (OB-MHS4426) as a template; as a result of the PCR amplification, a —534 bp product was formed, isolated and ligated into a TA cloning vector (Invitrogen, Catalog No: K2000-01). A XhoI—XbaI fragment containing the amino terminus of the Factor VII sequence was isolated. The second reaction was conducted with primer 69 and primer 70Rand again, a cDNA plasmid with the Factor VII sequence (OB-MHS4426) was used as a template. As a result of the PCR amplification, a —813 bp product was formed and ligated into TA cloning vector (Invitrogen, Catalog No: K2000-01). A XbaI-NotI fragment containing the carboxy terminus of Factor VII sequence was isolated. The two fragments were inserted into our eukaryotic expression vector pCI-dhfr (triple ligation) to yield the 501-0-p136-1 clone.

[0684]

Plasmid 501-p136-1 (Factor VII in pCI-dhfr vector) was digested with restriction enzymes XhoI and KpnI. A fragment of ˜1186 bp was isolated. A partial Factor VII clone (1180 bp-1322 bp) followed by a CTP sequence, termination sequence and NotI sequence that was synthesized by GeneArt (0721543) was digested with restriction enzymes KpnI and NotI. A fragment of ˜253 bp was isolated. The two fragments were inserted into our eukaryotic expression vector pCI-dhfr (triple ligation) to yield the 501-1-p137-2 clone. pCI-dhfr-701-2-p24-2 was digested with restriction enzymes XhoI and ApaI, and the large fragment (vector) was isolated.

[0685]

pCI-dhfr-501-2-p137-2 (Factor VII-ctp x1) was digested with restriction enzymes XhoI and ApaI, and a ˜1200 bp insert was isolated. The vector and insert were ligated to yield 501-2-p139-2. Dg44 cells were plated in 100 mm tissue culture dishes and grown to confluence of 50-60%. A total of 2 μg of DNA was used for transfection of one 100 mm plate using the FuGene reagent (Roche) in protein-free medium (Invitrogen CD Dg44). The medium was removed 48 hours post-transfection and replaced with a protein-free medium (Invitrogen CD Dg44) without nucleosides. After 14 days, the transfected cell population was transferred into T25 tissue culture flasks, and the selection was continued for 10-14 days until the cells began to grow well as a stable clone. High-expressing clones were selected and approximately 2×107cells were used to inoculate 300 ml of growth medium in a 1700 cm2roller bottle (Corning, Corning N.Y.) supplemented with 5 ng/ml of Vitamin K3 (menadione sodium bisulfate; Sigma). The production medium (harvest) was collected after a rapid decrease in the cell viability to around 70%. The production medium was first clarified and then concentrated approximately 20-fold and dialyzed to PBS using flow filtration cassette (10 KDaMWCO; Millipore Corp, Billerica, Mass.).

[0686]

Determination of FVII Antigen Level

[0687]

The cDNA coding the CTP peptide was fused to the 3′ end of the cDNA coding human FVII. The corresponding rFVII construct was transfected into Dg44 cells. As a control, a human rFVII cDNA was utilized. The production medium (harvest) was collected, concentrated and the secreted recombinant FVII was further evaluated. rFVII, rFVII-CTP and rFVII-CTP-CTP antigen levels were determined by AssayMax Human FVII ELISA kit (AssayPro) (FIG. 20A). There was no significant difference in the secretion level of rFVII-CTP and rFVII-(CTP)2compared to native rFVII.

[0688]

SDS-PAGE Blots

[0689]

SDS-PAGE analysis was done by loading 50 ng of either harvest, purified or activated rFVII protein. Samples were loaded on 12% Tris-Glycine gel using Precision Plus Dual Color Protein Marker (Bio-Rad). The SDS-PAGE analysis was done by performing a Western immunoblot using an anti-human FVII monoclonal antibody (Ab) (R&D systems) or anti-CTP polyclonal antibody generated in Rabbit.

[0690]

The level of rFVII antigen correlated with the detected protein level in a SDS-PAGE immunoblotted with anti-FVII Ab. rFVII-CTP migrated as a single band, while the corresponding molecular weight of the FVII control was approximately 52 KDa (data not shown). Both proteins reacted with antibodies specific for FVII on immunoblots. The rFVII-CTP also reacted with antibodies specific for CTP. rFVII was secreted in its zymogene form with no trace of activated protein.

[0691]

FVII Chromogenic Activity:

[0692]

rFVII, rFVII-CTP and rFVII-(CTP)2harvest activities were determined using a commercially available chromogenic test kit (AssaySense Human FVII Chromogenic Activity Assay Kit (AssayPro). For functional characterization of the rFVII-CTP and its ability to be further activated (FVIIa), concentrated rFVII-CTP (harvests) were placed in a commercially available chromogenic test kit that measure the ability of TF/FVIIa to activate Factor X to Factor Xa that in the presence of FXa specific substrate releases a quantitated signal (AssayPro). The addition of the CTP peptide at the C-terminal of the rFVII protein did not impair the FVII serine protease activity (FIGS. 20B and 20C).

[0693]

FVII Clotting Activity:

[0694]

Prothrombin time (PT) measures the extrinsic pathway of coagulation. The PT is the time (measured in seconds) it takes plasma to clot following the addition of an extrinsic pathway activator, phospholipid and calcium. It is used to determine the clotting tendency of blood, specifically in the measure of warfarin dosage, liver damage, and vitamin K status. The reference range for prothrombin time is usually around 12-15 seconds. Specifically, the assay quantitated the ability of FVII-CTP and FVII-(CTP)2harvest to restore the clotting activity of FVII-depleted human plasma by the addition of rhFVII. 300 μl of FVII-deficient human plasma was mixed with 100 μl of FVII, FVII-CTP and FVII-(CTP)2harvests at specific concentrations, or normal pool human plasma and were further diluted. Following a 60 second incubation at 37° C., Tissue Factor (TF), CaCl2, and phospholipids were added to the mixture. The clotting time in seconds was determined. Potency was assessed by comparing a dose-response curve of FVII-CTP and FVII-(CTP)2harvests to a reference preparation consisting of rhFVII or human pool plasma. One unit of active FVII was defined as the amount of FVII which equals to the activity of one ml human normal plasma. The PT Clotting activity of rFVII and rFVII-CTP was measured on a coagulometer (Instrumentation Laboratory).

[0695]

As previously shown, the addition of a CTP peptide at the C-terminal of the rFVII protein did not damage its serine protease activity and lead to the initiation and activation of a native Factor X and Factor IX in human plasma. Following the insertion of an additional CTP at the C terminal, there was a three-fold reduction in the serine protease activity (data not shown).

[0696]

Pharmacokinetics Study:

[0697]

rFVII, rFVII-CTP, and rFVII-(CTP)2harvests were administered intravenously to Sprague-Dawley rats (six rats per substance) with a dose of 100 μg/kg body weight. For all of the in vivo experiments, the amount of the respective protein was determined on the basis of FVII ELISA kit. For each FVII test substance, the injected amount was calculated by taking into account the differences in the molecular weight of rFVII versus rFVII-CTP, which leads to a different molar concentration.

[0698]

Blood samples were drawn retro-orbitally using an altering sampling scheme to minimize interference of the sampling procedure levels to be quantified: from 3 rats at 30 and 90 min and at 2, 6, and 48 hrs, and from the remaining three rats at 15 and 60 min and at 1.5, 4, and 24 hrs alternately. Plasma was prepared immediately after sampling and stored at −20° C. until analysis. FVII concentration was quantified by FVII ELISA specific assay. Half-life and area under the curve (AUC) were calculated using a linear trapezoidal rule. Comparison of these clearance parameters revealed that the in vivo half-life and rFVII-(CTP)2AUC are significantly higher than those of rFVII (Table 30).

[0699]

PK study parameters
DoseAUC0-tCL/FMRT
GroupRouteμg/kgminng/min/mLmL/min/kgmin
FVIIIV604.073314.76.1956.2
FVII-IV60β = 51.0631353.90.28773.7
CTP
FVII-IV60β = 13.667626.81.1815.4
CTP-
CTP

[0700]

Characterization of Recombinant FVIIa-CTP:

[0701]

During activation, FVII is cleaved at R152 resulting in heavy and light chain domains that are held together by a single disulfide bridge. rFVIIa-(CTP)2is purified and activated by an ion exchange column purification process. In order to fully evaluate rFVIIa-(CTP)2, the protein is loaded on SDS-PAGE under reducing conditions to commercial FVIIa (NovoSeven®). The heavy and the light chain domains are separated and migrate as separated bands of molecular weights 55 and 25 KDa. Both proteins react with antibodies specific for FVII, but the heavy chain of the rFVIIa-CTP specifically reacts with anti-CTP-specific antibodies, indicating that this band represents the FVII heavy chain fused to CTP. The light chain reacts specifically with anti-gamma carboxylase Ab. The FVIIa protein concentration is determined by FVIIa-specific ELISA kit.

[0702]

FVIIa N-Terminal Sequencing:

[0703]

rFVII-CTP-CTP in activated or zymogene purified proteins is separated by SDS-PAGE (on 12% Tris-Glycine) and subsequently electroblotted to a PVDF membrane. The bands of interest are cut out and put on a purified Biobrene-treated glass fiber filter. The N-terminal sequence analysis is carried out by Edmann degradation using a pulsed liquid protein sequencer equipped with a 140C HPLC microgradient system. The identity of the recombinant protein and proper pro-peptide cleavage is further verified by N-terminal sequencing.

[0704]

FVIIa Clotting Activity:

[0705]

In order to evaluate FVII-(CTP)2coagulation activity, activated partial thromboplastin time assay (aPTT) is performed. FVII-deficient plasma sample is substituted with rFVIIa (NovoSeven®) or rFVIIa-(CTP)2. 300 μl of FVII deficient human plasma is mixed with 100 μl of FVIIa or rFVIIa-(CTP)2at specific concentrations, or normal pooled human plasma which is further diluted. Following 60 seconds incubation at 37° C. Tissue Factor (TF), CaCl2, and phospholipids are added to the mixture. Clotting time in seconds is determined. Potency is assessed by comparing a dose-response curve of rFVIIa-(CTP)2to a reference preparation consisting of rhFVIIa or human pool normal plasma. One unit of FVIIa is defined as the amount of FVIIa which equals to the activity of 1 ml human normal plasma. The aPTT clotting activity of rFVII and rFVIIa-(CTP)2is measured on a coagulometer (Instrumentation Laboratory). The aPTT clotting activity of rFVIIa and rFVIIa-(CTP)2is similar.

[0706]

Pharmacokinetics Studies in Rats:

[0707]

In order to characterize the influence of the CTP addition to the rFVIIa on its longevity potential, a comparative pharmacokinetic study in rats is performed. NovoSeven® (rFVIIa) and rFVIIa-(CTP)2in TBS are injected IV to 6 SD rats. The levels of FVIIa over time are detected using a FVIIa ELISA kit. The half-life and AUC are calculated for each protein. Comparison of these clearance parameters reveals that the in vivo measures of half-life, recovery, and AUC of the rFVIIa-(CTP)2are superior to those of NovoSeven®.

[0708]

FVIIa-CTP In Vivo Efficacy Model (FVIII-Deficient Mouse Model of Hemophilia):

[0709]

In order to assess the in vivo activity model, FVIII knockout mice are obtained, and a breeding colony is established. 10 μg of either commercial recombinant hFVIIa (NovoSeven®) or rFVIIa-(CTP)2are injected into the tail vein of an anaesthetized FVIII knockout mouse (22-28 g). The amount of injected protein equals to the required concentration of FVIII in normal plasma (5 μg/ml). Blood samples are taken from the clipped tail into heparinized capillary tubes at specific time points. Plasma samples are assessed for FVIIa levels by ELISA, and efficacy is measured by a PTT coagulation assay.

[0710]

In this study, a fusion construct of FVII with CTP is generated. This recombinant protein is the basis for a treatment that provides a prolonged half-life and retention of therapeutic potency.

[0711]

These results suggest that rFVIIa-(CTP)2has a similar therapeutic efficacy to rFVIIa in hemophilia patients. Moreover, this technology requires less frequent dosing. It appears that a single injection of rFVIIa-(CTP)2is sufficient to control bleeding episodes and reduce the number of injections that are needed during surgical intervention. This recombinant protein may be used as a long term prophylactic treatment.

Example 5

Comparative Assessment of Purified FVII-CTP3, FVII-CTP4, and FVII-CTP5

[0712]

5.1 Study Objective

[0713]

Comparative assessment of pharmacokinetic parameters and clotting activity of FVII-CTP4and FVII-CTP5versus FVII-CTP3.

[0714]

5.2 Production of FVII-CTP4and FVII-CTP5Harvests

[0715]

FVII cDNA fused at the C-terminal to four or five tandem CTP sequences was expressed in Dg44 cells using the Excellgene expressing system in the presence of 20 μg/L of vitamin K3 (Sigma, Mennadion). The harvest was collected (300 ml), filtered and frozen.

[0716]

5.3 Production of FVII-CTP3Harvest

[0717]

FVII-CTP3was expressed in-house in mammalian expressing system, CHO cells, using pCI-DHFR vector (FIG. 109). While the form of the nucleotide cassette encoding FVII-CTP3includes nucleotide sequences encoding the signal peptide, for example comprising a nucleic acid sequence as is put forth in SEQ ID NO: 24, the cassette is labeled as MOD-5014 since the expression, purification and activation of the polypeptide encoded therein results in the active FVIIa-CTP3form of the coagulation factor. Stable transfected pool #71 was grown in shake flasks, in the presence of 25 ng/L of vitamin K3 (Sigma). The harvests were collected and filtered.

[0718]

All FVII-CTP harvests (3, 4 and 5 CTPs) were concentrated and dialyzed against TBS (50 mM Tris, 150 mM NaCl, pH 7.4) using Pellicon XL MWCO 10 kDa.

[0719]

5.4 Determination of FVII Antigen Level

[0720]

FVII antigen level was determined using Human FVII ELISA kit (Zymotest HyPhen) (Table 31). The calculated protein concentration is the average of two independent runs.

[0721]

FVII antigen level
FVII-CTP3FVII-CTP4FVII-CTP5
Av. (ng/ml)224357.387884.1589423
SD44789.53248.75309
% CV20.03.79

[0722]

5.5 FVII-CTP Immune-Blot

[0723]

FVII-CTP3, FVII-CTP4, and FVII-CTP5harvests were loaded on 12% Tris-Glycine gel (expedeon) using Precision plus dual color protein marker (Bio-Rad). The SDS-PAGE analysis was performed by Western immune-blot using anti-CTP polyclonal Ab (Adan Biotech Production) or anti-Gla Ab (American Diagnostica).

[0724]

FVII fused to three, four and five CTP migrated at 80, 90 and 100 kDa, respectively. As expected, FVII-CTP4and FVII-CTP5harvests from Excellgene contain low gamma carboxylation content as compared to FVII-CTP3harvest which was produced at Prolor since the production process wasn't optimized (FIG. 21).

[0725]

5.6 Comparative Assessment of FVII In Vitro Potency

[0726]

A comparative assessment of the in vitro potency of HA purified (highly gamma carboxylated fraction) FVII-CTP3, FVII-CTP4, and FVII-CTP5versus normal human pool plasma was performed using a commercially available chromogenic activity test kit, BIOPHEN (Hyphen BioMed 221304). All samples were serially diluted, and the potency was assessed by comparing a dose-response curve to a reference preparation consisting of normal human plasma. FVII-CTP3and FVII-CTP5demonstrated chromogenic activity lower than pooled normal plasma (FIG. 22). FVII-CTP4demonstrated higher activity as reflected by EC50 ratios, compared to FVII-CTP3and FVII-CTP5(Table 32).

[0727]

FVII In Vitro Clotting Activity
Sample/plasma
SampleEC50 (ng/ml)EC50 ratio
Plasma0.05
FVII 3CTP0.122.72
FVII 4CTP0.030.71
FVII 5CTP0.061.35

[0728]

5.7 FVII In Vitro Clotting Activity:

[0729]

Factor VII (FVII) activity assay, which was performed in Sheba Medical Center, the Israel National Coagulation Center, is a prothrombin (PT)-based assay using immuno-adsorbed plasma deficient in Factor VII (Siemens). The PT reagent is innovin, and the assay is performed in the Sysmex® CA 1500 instrument. FVII normal range is within 55-145%.

[0730]

FVII In Vitro Chromogenic Activity
Concentration in
tested sampleConcentration
SampleFVII % of activity(μg/ml)(μg/ml)
FVII 3CTP360.5224.2
180.25
60.125
FVII 4 CTP3340.587.9
1760.25
936.25
FVII 5 CTP380.558.9
190.25
100.125

[0731]

Since the normal level of circulating FVII in the body is around 0.5 μg/ml, FVII-CTP3and FVII-CTP5harvests exhibit 3-fold reductions in their coagulation activity versus normal human pool plasma; this result correlates with the obtained chromogenic activity (Table 33).

[0732]

The FVII-CTP4harvest exhibits a 3-fold increase in its potential coagulation activity versus normal human pool plasma as observed in the chromogenic activity assay (Table 33). The activity percentage of FVII-CTP4is much higher compared to activity percentage of FVII-CTP3and FVII-CTP5. Methodological limitations of the ELISA method may limit the accuracy of Ag level calculations of FVII-CTP4.

[0733]

5.8 Pharmacokinetic Study

[0734]

Two pharmacokinetic studies were performed in order to determine the FVII-CTP3, FVII-CTP4, and FVII-CTP5pharmacokinetics (PK) parameters. During the first study, FVII-CTP3, FVII-CTP4, and FVII-CTP5(Group A, B and C, respectively) were administered in a single intravenous injection to Sprague Dawley rats (six rats per treatment) in a dose of 250 μg/kg body weight. Blood samples were drawn retro-orbitally from 3 rats alternately at 0.083, 0.5 2, 5, 8, 24, 48, 72 and 96 hours post-dosing (Table 34). Citrated plasma (0.38%) was prepared immediately after sampling and stored at −20° C. until analysis.

[0735]

Pharmacokinetic Study Design - Concentrated Harvest
No. ofDose
animals/LevelInjected
TreatmentTestgroup/Dose(μg perVol.Conc.Time-Points
GroupArticletime pointRouteanimal)(μl)(μg/ml)(hours post-dose)
AFVII-6IV502002500 (Pre-dose)
CTP*30.083, 0.5,
2, 5, 8,
224, 48, 72, 96
FVII-6IV502002500 (Pre-dose)
CTP*40.083, 0.5,
2, 5, 8,
24, 48, 72, 96
CFVII-6IV502002500 (Pre-dose)
CTP*50.083, 0.5,
2, 5, 8,
24, 48, 72, 96

[0736]

FVII concentration in plasma samples were quantified using human FVII Elisa kits (Zymutest FVII-Biophen). The pharmacokinetic profile was calculated and is the mean of 3 animals at each time point. Terminal half-life values were calculated using PK Solutions 2.0 Software. Table 35 below summarizes the calculated FVII concentrations at the different sampling time points. The PK profile (FIGS. 23-24) and a summary of the PK parameters (Table 36) are also presented below. FVII-CTP5demonstrated a superior profile as compared to FVII-CTP3and FVII-CTP4(Table 36).

[0737]

First Pharmacokinetic Study - FVII Concentrations
AVE-AVE-AVE-
FVII-3-FVII-4-FVII-5-
TimeCTPCTPCTP
(hr)(ng/ml)SD(ng/ml)SD(ng/ml)SD
0.083421458336004274888504
0.533868925213168253842549
21138219360313383082289
51390374272611272480561
83331671349442316633
24133124769878834
483831652438461
72122916216731
962614289349

[0738]

Pharmacokinetic Analysis
FVII-
FVII 3-CTPFVII-4-CTP5CTP
half-life (0.083-8 hr) (hr)2.54.96.6
half-life (8-72 hr) (hr)13.316.617.7
AUC (ng-hr/ml) (8-72 hr)18374.651224.472954.2
Vd (ml/kg) (8-72 hr)203.791.967.7
CL (ml/hr/kg) (8-72 hr)10.63.82.7

[0739]

The addition of four or five CTPs significantly elongated FVII half-life as compared to 3 CTPs by 2- and 3-fold, respectively (Table 36). This superiority was more significant in the initial part of the study (0.083-8 hr), suggesting a potential improved protein recovery and reduced extra vascular clearance. AUC following FVII-CTP4and FVII-CTP5administration increased by 3- and 4-fold, respectively, versus FVII-CTP3. Clearance was also reduced while adding 4 and 5 CTPs to FVII (Table 36).

[0740]

As observed in the study, the addition of four and five CTPs significantly elongated FVII half-life as compared to 3 CTPs, both in the initial and terminal half-life. The half-life values in the first and second study are different due to a different analysis approach which was effected by the dose and study duration, nevertheless the overall trend was maintained. The AUC following FVII-CTP4and FVII-CTP5administration increased by 2.5- and 7-fold, respectively, versus FVII-CTP3.

[0741]

5.9 Conclusions:

[0742]

In this study, the PK parameters and potential clotting activity of FVII-CTP3, FVII-CTP4, and FVII-CTP5were assessed. Fusion of 4 and 5 CTPs to FVII provided a superior and improved half-life, exposure and reduced clearance as compared to FVII-CTP3while maintaining a similar chromogenic and in vitro clotting activity. These results were observed at different concentrations of protein and were consistent for both harvest and purified protein. While evaluating the overall effect of fusion of CTP at the C terminus to FVII, fusion of 1-5 CTPs considerably increased the half-life and AUC of FVII in a CTP proportional manner, suggesting that as the CTP portion of the molecule increases, FVII longevity and stability is significantly improved while maintaining its initial in vitro clotting activity, as summarized in Table 37 hereinbelow.

[0743]

FVII vs. FVII-CTP2268200
FVII-CTP2vs. FVII-CTP36757.8
FVII-CTP3vs. FVII-CTP424178
FVII-CTP4vs. FVII-CTP5642

[0744]

As previously reported, FVII half-life correlates with the half-life of the activated form of FVII (FVIIa) both in humans and animals. Therefore, it is anticipated that a similar improvement in half-life will be obtained for the activated versions following CTP fusion.

Example 6

FVII-CTP5Feasibility Studies in FVIII-Deficient Hemophilic Mice

[0745]

Studies described hereinabove testing FVII-CTP, FVII-CTP2and FVII-CTP3harvest PK profile and coagulation activity vs. a commercial FVII were conducted. FVII-CTP3exhibited an improved PK profile while maintaining its coagulation activity vs. FVII-CTP and FVII-CTP2harvests or rhFVII. In order to further characterize FVII-CTP3in vitro and in vivo properties, a mini stable pool expressing and secreting the protein was generated, and purification and activation processes were developed.

[0746]

In the current study, the pharmacokinetic and pharmacodynamic properties of FVIIa-CTP3were tested in FVIII-deficient mice. The PK profile of the protein was evaluated. A FVIIa specific activity-based PK profile was established and compared to commercial product NovoSeven®. In addition, the long-lasting in vivo hemostatic capabilities of FVIIa-CTP3to induce coagulation in FVIII-deficient mice after a tail vain transection (survival study) were tested.

[0747]

Study Objectives:

[0748]

To evaluate the pharmacokinetic and pharmacodynamic parameters of FVIIa-CTP3vs. commercial rhFVIIa (NovoSeven®) in FVIII-deficient mice following a single IV administration at a similar activity dose.

[0749]

To determine the in vivo ability of FVIIa-CTP3to maintain homoeostasis in FVIII-deficient mice by a single IV administration of FVIIa-CTP3and NovoSeven® at a similar activity dose followed by a challenge of tail vein transection (survival study).

[0750]

Production of FVII-CTP3Harvest:

[0751]

FVII-CTP3was expressed in-house in Dg44 cells using a pCI-DHFR vector. Stable transfected pool #71 was grown in shake flasks, in the presence of 25 ng/L of Vitamin K3 (Sigma). Cell suspension was cultured and harvested following viability decline to 60-80%. The harvest was filtered and frozen at −70° C.

[0752]

Determination of harvest FVII Antigen Level:

[0753]

FVII antigen level was determined using human FVII ELISA kit (Zymotest HyPhen) (Table 38). The antigen level was calculated per each pooled harvest batch.

[0754]

FVII-CTP3antigen level
FVII antigen level
PK-PD studySurvival study
harvest 31Aharvest 31Bharvest 38
Av (μg/ml)16.015.916.6
STD1.50.00.8
% CV9.10.14.9

[0755]

FVII-CTP3Purification Process (FIG. 25)

[0756]

Process Outline

[0757]

Following a short purification study, the following purification process using 2 columns was performed. VII-Select affinity column (GE) and Ceramic Hydroxyapatite type 1 (HA), 40 μm (Bio Rad), FVII-CTP3γ-carboxylated enriched protein was purified. Auto-activation was induced by incubation of purified FVII-CTP3in the presence of CaCl2overnight at 2-8° C. The purification process is in its final developmental stage and is being optimized, thus although most of the purification steps are similar, some part of the purification steps are not identical in the two batches.

[0758]

Ultra-Filtration/Diafiltration (UFDF) Using 10 kDa Hollow Fiber or Pellicon Cassette

[0759]

Clarified harvest was thawed at 4° C. over the weekend (2-3 days).

[0760]

In Batch 31, clarified harvest (12 liters) was concentrated 4-fold (in two successive runs) using a hollow fiber cartridge (GE Healthcare Catalog # UFP-10-C-4X2MA) with a 10 KDa molecular weight cut-off. Concentrated harvest was dia-filtrated against 1-2 volumes of TBS (50 mM Tris 150 mM NaCl pH 7.4).

[0761]

In Batch 38, clarified harvest (8.5 liters) was concentrated 4-fold using a Pellicon 2 (Millipore) cassette with a 10 KDa molecular weight cut-off. Concentrated harvest was directly loaded on VII-Select column.

[0762]

Both ultra-filtrations were performed on ice with ice cold buffers. UFDF samples were filtered 0.22 μm before loading.

[0763]

Capture on FVII-Select Column

[0764]

The UFDF or concentrated harvest was loaded on VII-Select column (XK16/20, CV 18 ml), pre-equilibrated with TBS pH 7.4. The column was washed with 50 mM Tris-HCl, 0.5M NaCl pH 7.5, and FVII-CTP3was eluted with 50 mM Tris-HCl, 1M NaCl 50% (v/v), Propylene Glycol pH 7.5. The process was performed in two successive cycles utilizing the same column.

[0765]

Gamma Carboxylation-Based Separation on a Ceramic Hydroxyapatite Column

[0766]

The eluted product was diluted 1:10 with 10 mM sodium phosphate pH 6.8 and loaded on ceramic hydroxyapatite columns (XK16/20, CV 24 ml). The column was washed with 59 mM sodium phosphate pH 6.8 and the γ-carboxylated rich fraction of Factor VII was eluted with 500 mM sodium phosphate pH 6.8. This process was performed in two successive cycles on the same column. At each batch, the eluates of the two cycles were pooled and concentrated to 1.7-2 mg/ml and dia-filtered with 20 mM Tris-HCl, 100 mM NaCl pH 8.2 to reduce volume and prepare the material for the activation step.

[0767]

FVII Activation

[0768]

Purified FVII-CTP3was diluted to 1 mg/ml and incubated in 20 mM Tris-HCl, 100 mM NaCl and 1 mM CaCl2pH 8.2 at 2-8° C. for 24 hours. Activation was terminated by buffer exchange (UFDF) to preliminary formulation buffer (20 mM Citric buffer, 240 mM NaCl, 13.3 mM Glycine, pH 6.9).

[0769]

FVII-CTP3and FVIIa-CTP3Analytical Properties:

[0770]

SDS-PAGE and Western Blots

[0771]

Purified FVII-CTP3, and FVIIa-CTP3were loaded on 12% Tris-Glycine gel using Precision Plus Dual Color Protein Marker (Bio-Rad). The SDS-PAGE Coomassie analysis was performed by staining the gel with Coomassie brilliant blue reagent (5 or 10 μg of protein/lane). Western blot analysis was performed (1 μg of protein/lane) using anti-human FVII polyclonal Ab (R&D systems; AF2338), anti-human gamma carboxylation monoclonal antibody (American Diagnostics Catalog #499, 3570), and anti-CTP polyclonal Ab. Under reduced conditions, FVII-CTP3migrated at 75 KDa, and FVIIa-CTP3migrated as two main bands: a heavy chain at 50 kDa, and a light chain at 25 kDa, represented in FIG. 26 as Bands 2 and 3, respectively.

[0772]

The purification procedure significantly enriched the FVII-CTP3portion while reducing impurities. The purification process yield was 25-30% FVII (according to ELISA). Most of the protein lost during purification had low FVII chromogenic activity or no activity. Based on Coomassie-stained SDS-PAGE, the reduced FVIIa-CTP3contains more than the predicted bands. A band migrating to around ˜75 kDa represents non-activated FVII (FIG. 26, Band 1). This band consists of two bands with minor MW differences, which might reflect different γ-carboxylation content. Additional bands with MW lower than 20 kDa were observed. This was previously reported to be degradation products of the heavy chain.

[0773]

FVII-CTP3Chromogenic Activity:

[0774]

A comparative assessment of the in vitro potency of FVII-CTP3harvest, in-process fractions, and purified FVII-CTP3versus human pool normal plasma was performed using a commercially available chromogenic activity test kit, BIOPHEN (Hyphen BioMed 221304). FVII-CTP3harvest and protein were serially diluted and the potency was assessed by comparing a dose-response curve to a reference preparation of normal human plasma. Following FVII-CTP3purification, the chromogenic activity was significantly improved, and non-active fractions were separated mainly by HA column (FIG. 27). A strong correlation between FVII chromogenic activity and detection of FVII with monoclonal anti-Gla antibodies in Western blot was observed. The potency of FVII chromogenic activity as reflected by EC50 value in harvest is affected from both carboxylated and non-carboxylated FVII fractions. Following purification and enrichment of FVII-CTP3γ-carboxylated fraction, the activity was improved, demonstrating the important contribution of γ-carboxylation to FVII activity (FIG. 27). This parameter is crucial for proper FVII in vivo activity and will be further addressed in a clone development program.

[0775]

Protein Determination by A280

[0776]

The theoretical extinction coefficient of FVIIa-CTP3and NovoSeven® was calculated using the ProtParam algorithm (http://web.expasy.org/protparam). The calculation is based on amino acid sequence. The calculated extinction coefficients for FVII-CTP3and NovoSeven® is 1.186 and 1.406, respectively. These values represent the absorbance of 1 g/L at 280 nm.

[0777]

The extinction coefficient difference between the two proteins derives solely from the increase in molecular weight of FVIIa-CTP3compared to NovoSeven®, since CTP lacks aromatic and cysteine residues, thus does not contribute to the absorbance.

[0778]

Protein determination by A280 is used for final FVII, and for purified in-process samples, starting from the elution of VII-Select column.

[0779]

Determination of FVIIa Antigen Level

[0780]

FVIIa antigen level was determined using Human FVIIa ELISA kit (IMUBIND, American Diagnostica). The antigen level was calculated per each batch. However, this tool was not useful for the determination of the dose for injection, since it did not represent the amount of active product.

[0781]

Clotting Assay of FVIIa- Staclot® VIIa-rTF

[0782]

FVIIa is derived from an intra-chain cleavage of the single-chain FVII. Native tissue factor (TF) is a cofactor of FVIIa. Upon binding to TF, FVII mediates the activation of Factor X to Xa, while itself is transformed to FVIIa. The soluble tissue factor is the extracellular part of native tissue factor. It can no longer activate FVII by auto-activation, but the FVIIa bound to tissue factor can activate FX to FXa.

[0783]

The recombinant soluble tissue factor (rsTF) used in this assay utilizes the FVIIa specificity to construct a FVIIa clotting test. rsTF, in the presence of FVIIa, calcium and phospholipids leads to coagulation of plasma, without activating FVII to FVIIa.

[0784]

The observed clotting time in this system has an inverse relationship with the FVIIa content in the tested sample, with no interference of FVII presence in the sample.

[0785]

The assay was performed by Omri Laboratories (Nes-Ziona, Israel). FVIIa activity was evaluated for both NovoSeven® following reconstitution and FVIIa-CTP3prior to each study. NovoSeven® activity did not correlate with the anticipated activity as reported on the vial, but the discrepancy might be due to a different approach for activity evaluation. Table 39 summarizes the FVIIa clotting activity per volume without considering the protein concentration.

[0786]

FVIIa clotting activity of batch products
PK studySurvival Study
FVIIa-FVIIa-
3*CTP3*CTP
(FVIIa 31)NovoSeven ®(FVIIa 38)NovoSeven ®
Activity (U/ml)1.3E+062.5E+051.3E+067.4E+05

[0787]

Specific Activity of FVIIa-CTP3

[0788]

FVIIa specific activity (which is calculated as the activity/ml divided by protein concentration) was calculated based on A280 and is presented in Table 40. When comparing the specific activity of the two molecules, which differ in MW, compensation must be made in order to normalize the activity (i.e. because of the molecular weight difference, the number of active sites in 1 mg of NovoSeven® is 1.185-fold higher than in FVIIa-CTP3). Calculation of the conversion factor is presented in the following equation:

[0789]

Normalized_SA=SA(FVIa-CTP3)MW.(FVIICTP3)×MW(Native_FVII)==SA(FVIIaCTP3)53419.5Da×45079.1Da=SA(FVIIa-CTP3)*1.185

[0790]

FVIIa-CTP3specific activity compared to NovoSeven ®
SpecificFold
ProtActivitydecrease
AverageSTDVExtinctionconc.U/mgU/mgfrom
SampleA280(n = 9)% CVcoefficient(mg/ml)U/mlproteinFVIIaNovoSeven ®
NovoSeven ®1.2740.0312.3981.4060.9068.36E+059.23E+059.23E+051.0
FVIIa-4.3960.0922.0941.1863.7067.23E+051.95E+052.31E+054.0
CTP3

[0791]

FVIIa-CTP3PK-PD Study:

[0792]

Study Outline

[0793]

FVIIa-CTP3and rhFVIIa (NovoSeven®, NS) were administered in a single intravenous injection to C57B FVIII-deficient mice at a dose of 6.4E6 U/kg body weight (160,000 U/animal) Blood samples were drawn retro-orbitally from 4 mice alternately at 0.166, 0.5, 2, 4, 8, 12, 24, 34, 48, 58, and 72 hours post-dosing (Table 41). Citrated plasma (0.32%) was prepared immediately after sampling and stored at −20° C. until analysis. FVIIa clotting activity level was evaluated, and a detailed PK analysis was performed. The study was performed by Omri Laboratories (Nes-Ziona, Israel).

[0794]

Study outline
No. of
animals/AmountInjected
TreatedTestgroup/Doseof Units/Vol.Time-Points
GroupsArticletimepointRouteanimal(μl)(hours post-dose)
ArhFVIIa4IV1.6e52000 (Pre-dose) 0.166,
0.5, 2, 4, 8, 12, 24,
34, 48, 58, 72
BFVIIa-4IV1.6e52000 (Pre-dose) 0.166,
CTP30.5, 2, 4, 8, 12, 24,
34, 48, 58, 72

[0795]

FVIIa-CTP3PK Profile in FVIII-Deficient Mice

[0796]

FVIIa activity in blood samples was quantitated using a Staclot® VIIa-rTF kit (Stago, Parsippany, N.J.). The pharmacokinetic profile was calculated for each protein and represents the mean of 4 animals at each time point. FIG. 28 presents the PK profile of FVIIa throughout the experiment. FVIIa recovery is presented in Table 43. A summary of the PK parameters is presented in Table 44.

[0797]

Table 42 summarizes the clotting activity values following administration of either NovoSeven® or FVIIa-CTP3. FVIIa-CTP3and NovoSeven® reached maximal activity half an hour post-dosing. NovoSeven®'s highest activity value reached only 43% of FVIIa-CTP3's maximal activity value. FVIIa-CTP3clotting activity was maintained for a longer period of time, demonstrating elongated activity. Clotting activity for the NovoSeven®-treated mice was undetectable at time points later than 12 hours, while FVII-CTP3treated mice continued to retain measurable activity at 48 hours post dosing (Table 42 and FIG. 28).

[0798]

The addition of three tandem CTP copies to FVIIa elevated recovery by 100% (Table 43), as measured by the highest activity post-dosing and compared to the anticipated activity based on in vitro analysis, and increased the half-life and mean resident time (MRT) 5-fold. The exposure time (AUC) was increased 3-fold (Table 44).

[0799]

FVIIa clotting activity following single IV injection
Time afterAverage FVIIa
administrationClotting Activity (U/ml)
(hours)FVIIa-CTP3NovoSeven ®
0.166.8E+073.2E+07
0.59.7E+074.3E+07
22.1E+073.9E+06
47.7E+067.3E+05
82.7E+064.2E+04
123.7E+056.2E+03
242.4E+04BLQ
344.6E+03BLQ
481.5E+03BLQ

[0800]

FVIIa-CTP3recovery
AmountPractical*Anticipated
Treated.Testof Units/administeredCmaxCmax
GroupsArticleanimaldose (U/ml)(U/ml blood)(U/ml)% Recovery
ArFVIIa1.60E+051.20E+061.40E+054.25E+0430
BFVIIa-1.60E+051.29E+061.50E+059.74E+0464.6
CTP3
*anticipated Cmax is derived from administered dose divided in blood volume

[0801]

PK parameters of FVIIa-CTP3vs. NovoSeven ®
PK ParametersNovoSeven ®FVIIa-CTP3
Half-life-α (0.5-12 hr)0.941.57
Half-life-β (12-48 hr)NA4.62
AUC (mU * hr/ml)5.80E+071.80E+08
Vd/Kg (ml/Kg)14082375
CL/Kg (ml/hr/Kg)1034356
MRT (hr)1.36.7

[0802]

Thrombin Generation Assay (TGA)

[0803]

The generation of thrombin is a fundamental part of the clotting cascade and as such an estimate of how well a particular individual can generate thrombin may correlate with either a risk of bleeding or thrombosis. Commonly measured variables when analyzing thrombin generation include: the lag time, the time to peak thrombin generation, the peak, the endogenous thrombin potential [ETP] (i.e., the area under the curve and the tail), the time course of the thrombogram (“TG”). After a lag time, a burst of thrombin is observed. However, clotting occurs at the end of the lag time, when more than 95% of all thrombin has not yet formed. The thrombin generation assay was performed at Omri Laboratories, using Thrombinoscope reagents supplemented with human hemophilic plasma. TGA reflects of the clotting ability in mice plasma, derived from injection of NovoSeven® and FVIIa-CTP3. FIG. 29 presents TGA parameter values for mice plasma following administration of either FVIIa-CTP3or NovoSeven®. Following FVIIa-CTP3administration, all three parameters (rate of thrombin generation, maximal amount of generated thrombin and KIIa) demonstrate an advantage of FVII-CTP3over NovoSeven® treatment. This further strengthens the notion of potential long- acting superiority of FVII-CTP3as compared to NovoSeven®.

[0804]

FVIIa-CTP3Tail Vain Transection (TVT) study:

[0805]

Study Outline

[0806]

The data obtained from the PK/PD test for FVIIa-CTP3provided insight into the functionality of FVIIa-CTP3, and demonstrated that FVIIa-CTP3had a pharmacokinetic advantage when compared with NovoSeven®. However, the ability of the protein to induce a clot in vivo, after a traumatic event has not yet been demonstrated. In order to evaluate the ability of FVIIa-CTP3to stop bleeding, the same FVIII-deficient mice model was employed for a bleeding challenge.

[0807]

FVIII-deficient mice were administered a single intravenous injection of FVIIa-CTP3or NovoSeven®. The mice were dosed with drug in amounts that provided equivalent FVIIa activity (1.6E05 units, 200 μl), calculated according to the potency of each drug evaluated in the FVIIa clot activity assay (Table 45). The administered doses were 9 mg/kg of NovoSeven®, and 40 mg/kg of FVII-CTP3due to the reduced activity of FVIIa-CTP3. A control group was injected with 200 μl vehicle.

[0808]

The tail vein was transected 2.7 cm from the tail tip 15 min (injection 1), 24 hours (injection 2) or 48 hours (injection 3) post-administration, and mice survival was recorded for 24 hours.

[0809]

Evaluation of injected samples
NovoSeven ®FVIIa-CTP3
proteinSpecificproteinSpecificSpecific
Injectionconc.ActivityActivityconc.ActivityActivityActivity
No.(mg/ml)(U/ml)(U/mg)(mg/ml)(U/ml)(U/mg)(normalized)
10.918.0E+058.8E+053.636.6E+051.8E+052.2E+05
20.928.3E+059.0E+053.817.8E+052.0E+052.4E+05
30.898.8E+059.9E+053.687.3E+052.0E+052.3E+05

[0810]

Protein concentration was determined by A280.

[0811]

Results

[0812]

Data from the vehicle-injected control groups for the three injections (5 animals×3 injections), were summarized and are presented in FIG. 30. 30% survival was observed 24 hours after tail vein transection.

[0813]

NovoSeven® and FVIIa-CTP3-treated mice demonstrated proper hemostatic activity after tail vein transection performed 15 min after FVIIa administration. A 100% survival rate was observed in FVIIa-CTP3and NovoSeven® treated animals (FIG. 30).

[0814]

The reduced clearance rate of FVII-CTP3which was demonstrated in the PK/PD study is most clearly appreciated after a tail vein transection performed 24 hours post-administration. A decline in the survival rate of NovoSeven® is observed. Similar to the control group, 50% death is observed within 10 hours. Meanwhile, 90% of FVIIa-CTP3treated mice survived (FIG. 30). This result emphasizes the long-lasting efficacy of the FVIIa-CTP3treatment.

[0815]

48 hours after administration, a decline in survival rate is demonstrated in groups treated with either FVIIa-CTP3or NovoSeven® (FIG. 30C). A slight improvement in FVIIa-CTP mice was observed, but the difference did not reach statistical significance.

[0816]

Discussion:

[0817]

CTP fusion to recombinant proteins extends the circulatory half-life of proteins while maintaining comparable activity. While the mechanism behind the reduced clearance of protein above a threshold size of 70 KDa is well understood with respect to renal clearance, additional protection is achieved following CTP fusion. CTP fusion is believed to sweep around the protein shield and protect it from proteolytic cleavage, to increase its radial molecular weight due to the highly negative charge and to reduce its affinity to hepatic clearance receptors.

[0818]

The present study was aimed to provide specific insight on the impact of CTP fusion to FVII on protein half-life and clearance and also address the paradigm of its specific activity following this modification. FVIII-deficient mice were administered with a single IV injection of FVIIa-CTP3or recombinant commercial FVIIa (NovoSeven®) at similar dose (unit based) and a PK activity-based analysis was performed. FVIIa-CTP3demonstrated a superior longevity as reflected by 5- and 3.5-fold increase in its half-life and AUC, respectively. The specific activity (U/mg) of FVIIa-CTP as calculated by the Staclot® activity kit divided by the protein concentration measured by A280 was shown to be 4-5 times lower than the specific activity of NovoSeven®.

[0819]

To build on the understanding of how CTP affects the haemostatic effects of FVIIa in vivo, the ability of FVIIa-CTP3to reduce bleeding was investigated. In the tail vein transection bleeding model in hemophilic mice model, rFVIIa administration can improve the survival rate of challenged animals and avoid their bleeding to death. In the study described herein, animals were administered with FVIIa-CTP3or NovoSeven®. Both molecules were able to maintain homeostasis when the transection was performed 0.25 hours post-dosing. A significantly prolonged duration of activity was demonstrated for the FVIIa-CTP3-treated group when the tail transection was performed 24 hr post dosing. The vehicle-treated group's survival rate was higher than anticipated and higher than that obtained in previous studies (50% vs. 20% in previous studies, data not shown). The percent survival of treated animals at is further evaluated at earlier time points, including at 36 hr post dosing.

[0820]

In conclusion, it was demonstrated that FVIIa-CTP3has an increased duration of activity in hemophilic mice which translates into a longer duration of haemostatic effect when compared to NovoSeven®. The data gathered suggest that fusion of CTP to FVII is a technology with the potential to significantly improve prophylactic treatment in patients with hemophilia.

Example 7

Comparative Assessment Of Purified FVII-CTP3vs. FVII-CTP5Profile Following Single IV or SC Injection to SD Rats

[0000]

Study Objective

[0821]

Two studies were carried out:

[0822]

The first study objective was to determine the pharmacokinetic parameters of rFVII-CTP3 versus rFVII-CTP5 following FVII select- and HA-column purification in male Spargue Dawley rats, after a single intravenous administration of 50 μg/animal.

[0823]

In the second study, rFVII-CTP3-HA versus rFVII-CTP5-HA pharmacokinetic parameters, were examined in male Spargue Dawley rats following a single intravenous or subcutaneous administration of 100 μg/animal.

Results

[0824]

Determination of FVII-CTP 3 and FVII-CTP 5 Antigen Level

[0825]

FVII antigen level was determined using Human FVII ELISA kit (Zymotest HyPhen) (Table 46). T

[0826]

Summarizes the calculated protein concentration
which is the average of three independent runs.
FVII 3 CTPFVII 5 CTP
FVIIS 46 el.FVII HA 46 el.FVIIS el.FVII HA 5 100% B
Conc. DialConc. DialConc. DialConc. Dial
AVE3.78E+061.59E+061.88E+067.92E+05
(ng\ml)
SD1.30E+066.03E+057.15E+053.57E+05
CV (%)3.43E+013.80E+013.80E+014.51E+01

Western Blot Analysis of the Examined Samples

[0827]

FVII-CTP3, 5samples were loaded on 4-12% bisTrisgel (NuPage, invitrogene) using Precision plus dual color protein marker (Bio-Rad). The SDS-PAGE analysis was performed by western immune-blot using polyclonal anti FVII Ab (R&D systems), anti CTP polyclonal Ab (Adar biotech production) or anti Gla Ab (American diagnostica). In summary, FVII fused to three and five CTP migrated at 80 and 100 kDa, respectively (see FIG. 31).

[0000]

Comparative Assessment of FVII In Vitro Potency

[0828]

FVII activity assay, which was performed in Sheba medical center, the national coagulation center, is a PT based assay using immunoadsorbed plasma deficient in factor VII (Siemens). The PT reagent is innovin and the assay is performed in the Sysmex CA 1500 instrument. FVII normal range is within 55-145%. Sample activities are summarized in Table 47.

[0829]

Sample activity
Concentration
(mg/ml)ConcentrationAverage-
according toin testedResults% of
Sample(NANODROP)sample (μg/ml)(%)plasma
FVII-5CTP2.1928716%
FVIIS el.130
Conc. Dial0.510
FVII-5CTP HA 5129721%
100% B136
conc. Dial0.513
FVIIS 46 el.3.17210018%
Conc. Dial135
0.512
FVII HA 46 el.1.529220%
Conc.133
Dial (1)0.510

[0830]

The normal level of circulating FVII in the body is around 0.5 μg/ml. Both, FVII-CTP3and FVII-CTP5exhibit about 5 fold reductions in their coagulation activity versus normal human pool plasma.

[0000]

Pharmacokinetic Study

[0831]

Two pharmacokinetic studies were performed in order to determine the FVII-CTP3and FVII-CTP5(after FVII select and FVII HA column) pharmacokinetics (PK) profile and parameters. In the first study, FVII-CTP3, and FVII-CTP5following FVII select/HA purification were administered in a single intravenous injection to Spargue Dawley rats (six rats per substance) in a dose of 50 μg/rat.

[0832]

Blood samples were drawn retro-orbital from 3 rats alternately at 0.083, 0.5 2, 5, 8, 24, 48, 72, 96 and 120 hours post dosing. Citrated plasma (0.38%) was prepared immediately after sampling and stored at −20 until analysis.

[0833]

In the second study, only samples after HA column were tested. These samples were administered in a single intravenous or subcutaneous injection to Spargue Dawley rats (six rats per substance) using a dose of 100 μg/rat. Blood samples were collected at the same time points and conditions as at the first study above.

[0834]

First study design (FVII select vs. FVII HA).
Dose
No. ofLevelInjected
TreatedTestanimals/Dose(μg perVol.Conc.Time-Points
GroupsArticlegroup/Routeanimal)(μl)(μg/ml)(hours post-dose)
AFVII-CTP*36IV502002500 (Pre-dose)
batch 46 HA0.083 0.5, 2,
5, 8, 24, 48,
72, 96, 120
BFVII-CTP*36IV502002500 (Pre-dose)
batch 460.083 0.5, 2,
FVIIS5, 8, 24, 48,
72, 96, 120
CFVII-6IV502002500 (Pre-dose)
CTP*5batch 50.083 0.5, 2,
HA5, 8, 24, 48,
72, 96, 120
DFVII-CTP*56IV502002500 (Pre-dose)
batch 5 FVIIS0.083 0.5, 2,
5, 8, 24, 48,
72, 96, 120

[0835]

Second study design (IV vs. SC)
Dose
No. ofLevelInjected
TreatedTestanimals/Dose(μg perVol.Conc.Time-Points
GroupsArticlegroup/Routeanimal)(μl)(μg/ml)(hours post-dose)
AFVII-CTP*36IV1002005000 (Pre-dose) 0.083
batch 46 HA0.5, 2, 5, 8,
24, 48, 72, 96, 120
BFVII-CTP*36SC1002005000 (Pre-dose) 0.083
batch 46 HA0.5, 2, 5, 8,
24, 48, 72, 96, 120
CFVII-6IV1002005000 (Pre-dose) 0.083
CTP*5batch0.5, 2, 5, 8,
5 HA24, 48, 72, 96, 120
DFVII-CTP*56SC1002005000 (Pre-dose) 0.083
batch 5 HA0.5, 2, 5, 8,
24, 48, 72, 96, 120

[0836]

The main differences between these two studies are the dosages and the route of administration. In the first study, rats were injected IV with 50 μg\rat, while in the second study, the rats were injected IV or SC with 100 μg\rat (total 500 μg/kg; rats weigh 200 g). The increase in the dosage is due to the change in the type of administration; SC administration requires higher amounts to achieve effects similar to IV administration.

[0000]

Analysis of PK Study

[0837]

FVII concentration in plasma samples were quantified using human FVII Elisa kits (zymutest FVII-Biophen). Pharmacokinetic profiles were calculated and reflect the mean for 3 animals at each time point. Terminal half-live values were calculated using PK solutions 2.0 software. The table below summarizes the calculated FVII concentrations at the different sampling time points. PK profile and a summary of the PK parameters are presented in table below.

[0838]

First pharmacokinetic study (FVII select vs. FVII HA)-FVII
concentrations (ng\ml).
FVII CTP*3FVII CTP*3FVII CTP*5FVII CTP*5
TimeBATCH 46BATCH 46BATCH 5BATCH 5
(hour)HAFVII SHAFVII S
0.0831816.31633.92064.31853.5
0.51523.71409.91351.41418.0
21284.91041.71389.7834.4
5607.9531.6722.7737.2
8524.2430.0712.2614.6
24115.5132.9272.5201.8
4821.131.662.390.4
729.515.829.131.8
96BLQ5.87.016.9
120BLQBLQ8.513.4

[0839]

Second pharmacokinetic study (IV vs. SC)-
FVII concentrations (ng\ml).
FVII CTP*3FVII CTP*5FVII CTP*3FVII CTP*5
TimeBATCH 46BATCH 5BATCH 46BATCH 5
(hour)HA-IVHA-IVHA-SCHA-SC
0.0836452.66153.35.0BLQ
0.53930.73660.614.514.6
21992.32176.2113.696.2
51598.92087.3106.670.5
8781.61075.6188.9129.7
24268.5627.2155.0239.2
4851.9143.343.088.6
728.839.07.036.7
96BLQ10.8BLQ10.4
120BLQ8.2BLQ8.7

[0840]

PK Analysis - first pharmacokinetic study (FVII S vs. HA).
FVIIFVII
FVII CTP*3FVII CTP*3CTP*5CTP*5
BATCH 46BATCH 46BATCH 5BATCH 5
HAFVII SHAFVII S
half-life (0.083-8 hr)4.34.05.515.59
(hr)
half-life11.112.116.4620.29
(8-72\96\120 hr)
(hr)
half-life (8-72) (hr)11.113.413.6215.64
AUC (O-t)14566.913686.421812.719307.9
(obs area)
(8-72/96/120 hr)
AUC (∞) area14718.213788.122013.919701
(8-72/96/120 hr)
Vd (area)/kg (ml/kg)271.1316.1269.7371.5
(8-2/96/120 hr)
CL (area)/kg17.018.111.35612.69
(ml/hr/kg)
(8-72/96/120 hr)

[0841]

The addition of five CTP elongated FVII half-life compared to 3 CTPs. Both forms of 5 CTP (i.e FVIIS and FVII HA) were detected at the long time points (96 and 120 hr), while FVII-3 CTP HA and FVIIS-3 CTP were detected until 72 hr and 96 hr, respectively. Based on this fact, the half-life of FVII-5 CTPs is longer than 3CTPs variants (see FIG. 32). Comparing half-life of all examined materials (3 and 5 CTPs) at the same time points (8-72 hr) showed that the half-life are similar, although 5 CTP are quite longer (FIG. 32).

[0842]

PK analysis - second pharmacokinetic study-(IV vs. SC).
FVIIFVIIFVIIFVII
CTP*3CTP*5CTP*3CTP*5
BATCH 46BATCH 5BATCH 46BATCH 5
HA-IVHA-IVHA-SCHA-SC
half-life3.03.9−1.8−3.18
(0.083-8 hr)
(hr)
half-life (8-72\9.914.613.1422.94
96\120 hr)
(hr)
half-life (8-72)9.913.013.1429.47
(hr)
AUC (O-t) (obs28866.843761.066009822.7
area) (8-72/
96/120 hr)
AUC (∞)28993.043934.4673310110.8
area (8-72/
96/120 hr)
Vd (area)/kg246.4240.51407.61636.8
(ml/kg) (8-72/
96/120 hr)
CL (area)/kg17.211.474.26149.452
(ml/hr/kg) (8-72/
96/120 hr)

[0843]

Again, as observed in the first study, the addition of 5 CTPs elongated FVII half-life as compared to adding 3 CTP, both in the initial and terminal half-life and in both administration ways (IV and SC, see FIG. 33). As expected, following SC administration, FVII was first detected in the blood at a later time point as compared to when it was administered IV.

[0844]

In the above, two PK studies were summarized The main purpose of the first study was to check the difference between FVII-3CTP and FVII-5 CTP after 2 different columns: FVII select and FVII HA. In our previous studies, harvest vs. purified proteins were checked and it was found that the difference between 3 and 5 CTP versions of FVII was greater when harvest was injected to the rats.

[0845]

There was no significant difference between the results of FVII 3\5 CTP after both columns, hence it was decided to inject FVII HA 3\5 CTP in the second study (IV vs. SC).

Example 8

FVIIa-CTP3(MOD-5014) Survival Study in FVII Deficient Mice Following Subcutaneous Injection

[0000]

Study Objective

[0846]

To evaluate the efficacy of NovoSeven®, MOD-5014 (FVIIA-CTP3) and MOD-5019 (FVIIA-CTP5) in a tail vein transection study, following subcutaneous administration.

[0847]

FVIIa-CTP3LMOD-5014) and FVIIa-CTP5(MOD 5019) analytical properties:

[0000]

Protein Determination by A280

[0848]

Theoretical extinction coefficient of NovoSeven® was calculated using ProtParam algorithm (http://web.expasy.org/protparam). The calculation is based on amino acid sequence. The calculated extinction coefficient for NovoSeven® is 1.406, and for MOD-5019 is 1.075 (values represent the absorbance of 1 g/L at 280 nm). Extinction coefficient of MOD-5014 was determined by amino acid analysis at Mscan. The extinction coefficients for MOD-5014 is 1.27.

[0000]

Clotting Assay of FVIIa—STACLOT VIIa-rTF

[0849]

FVIIa is derived from intra-chain cleavage of the single-chain FVII. Native tissue factor (TF) is a cofactor of FVIIa, upon binding to TF, FVII mediates the activation of Factor X to Xa, while itself is transformed to FVIIa. The soluble tissue factor is the extra cellular part of native tissue factor. It can no longer activate FVII by auto activation, but the FVIIa bound to tissue factor can activate FX to FXa.

[0850]

The recombinant soluble tissue factor (rsTF) used in this assay is utilizing the FVIIa specificity to construct a FVIIa clotting test. Recombinant soluble tissue factor (rsTF), in the presence of FVIIa, calcium and phospholipids, produces coagulation of plasma without activating FVII to FVIIa.

[0851]

The observed clotting time in this system has an inverse relationship with the FVIIa content in the tested sample, with no interference of FVII presence in the sample.

[0852]

FVIIa activity was evaluated for reconstituted NovoSeven®, and for MOD-5014 and MOD-5019 prior to each study.

[0853]

FVIIa specific activity (which is calculated as the activity/ml divided by protein concentration) was calculated based on A280 and is presented in Table 54. When comparing specific activity of the two molecules, which differ in molecular weight, compensation must be made in order to normalize the activity (i.e. because of the molecular weight difference, the number of active sites in 1 mg of NovoSeven® is 1.185 fold higher than in MOD-5014 and 1.307 fold higher than MOD-5019). Hence, calculation of the conversion factor is presented in the following formula:

[0854]

Normalized_SA=SA(FVIa-CTP3)MW.(Native_FVII)×MW(FVIICTP3)==SA(FVIIaCTP3)45079.1Da×53419.5Da=SA(FVIIa-CTP3)*1.185

[0855]

MOD-5014 Specific activity compared to NovoSeven ®
SpecificFold
Protein conc. ByActivitydecrease from
SampleA280 (mg/ml)(U/mg FVIIa)®NovoSeven
®NovoSeven0.9352,4871.0
MOD-5014 batch 731.425,4902.05
MOD-5019 batch 93.011,6984.48

Study Outline

[0856]

The most significant measurement is the ability of the protein to induce a clot in vivo, after a traumatic event. In order to evaluate the ability of MOD-5014 to stop bleeding, the same FVIII deficient mice model was employed for a bleeding challenge.

[0857]

FVIII deficient mice were administrated with a single subcutaneous injection of MOD-5014, MOD-5019 or NovoSeven®. Group A and B were dosed with NovoSeven® and MOD-5014 respectively, in equivalent amounts as FVIIa activity. Group C was dosed with MOD-5019 in equivalent amount FVIIa protein as MOD-5014, in order to evaluate the critical factor (activity or amount of protein). The administrated doses were 4.2 mg/kg of NovoSeven®, and 8.6 mg/kg of MOD-5014 and MOD-5019. The tail vein was transected 2.7 cm from tail tip 12 hours post administration, and mice survival was recorded for 24 hours.

[0858]

Group designation
T
Administered
DoseInjectedNo. ofBleeding
InjectionmgVolumemice pertime, hours
GroupdateTest ArticleFVII/KgmU/Kg(μl)grouppost dosing
AJan. 13, 2013 ®NovoSeven4.23221,8761001012
BJan. 15, 2013MOD-5014, batch 738.59218,7501601012
CJan. 27, 2013MOD-5019, batch 98.59100,4961601012

Results

[0859]

The experiment data is summarized in Table 56- and in FIG. 34.

[0860]

TVT study results
Time
postNo. of surviving mice% survival
TVTNovo-MOD-MOD-Novo-MOD-MOD-
(h)Seven ®50145019Seven ® ®50145019
091010100100100
191010100100100
291010100100100
381088910080
4698679080
5597569070
6485448050
7385338050
8275227050
9165116050
10155115050
11135113050
12135113050
24134113040

[0861]

24 hours post TVT, only 11% of NovoSeven® injected mice have survived. 30% of MOD-5014 and 40% of MOD-5019 have survived to this time point. Surprisingly, subcutaneously injected MOD-5014 and MOD-5019 shows improved mice survival in comparison to NovoSeven®.

[0862]

Factor VIIa, like other coagulation factors, is normally injected intravenously, in order to be directly available in the blood stream. However, the present invention shows that the compositions provided herein are surprisingly more effectively absorbed into the bloodstream after SC administration. To be able to administer FVIIa subcutaneously serves as an advantage as it can be used for prophylactic applications. Subcutaneous injections are also much easier for patients to self-inject, and are advantage when the patients are very young and their veins are small and difficult to find.

[0863]

Hence, the subcutaneous application can be used for prophylactic treatment.

Example 9

Comparative PK-PD Study of Recombinant MOD-5014 vs. NovoSeven® Following Subcutaneous Administration in SD Rats

[0000]

Study Objectives

[0864]

To determine the pharmacokinetic and pharmacodynamic parameters of MOD-5014 versus commercial rFVIIa in SD rats following a single SC administration.

[0865]

To compare two independent experiments (05010 & 05034) containing MOD-5014 products originated from two different clones (clone no. 28 vs. 61) by their pharmacokinetics parameters.

[0866]

Experimental Methods

[0000]

Animals

[0867]

24 males SD rats arrived from Harlan Laboratories Israel, Ltd, at least 4 days before the injections begin. The animals were healthy young adults, at ˜200 gr at study initiation. The body weight variation of animals at the time of treatment initiation should not exceed ±20% of the mean weight of each sex. The health status of the animals used in this study is examined on arrival. Only animals in good health are acclimatized to laboratory conditions and are used in the study.

[0000]

Clotting Assay of FVIIa—STACLOT VIIa-Rtf

[0868]

The recombinant soluble tissue factor (rsTF) used in this assay is utilizing the FVIIa specificity to construct a FVIIa clotting test. rsTF, in the presence of FVIIa, calcium and phospholipids produce coagulation of plasma, without activating FVII to FVIIa.

[0869]

The observed clotting time in this system has an inverse relationship with the FVIIa content in the tested sample, with no interference of FVII presence in the sample.

[0870]

FVIIa activity was evaluated for both NovoSeven® following reconstitution and MOD-5014 prior to each study. FVIIa specific activity was calculated based on A280. When comparing specific activity of the two molecules, which differ in MW, compensation must be made in order to normalize the activity (i.e. because of the molecular weight difference, the number of active sites in 1 mg of NovoSeven® is 1.185 fold higher than in MOD-5014).

[0000]

PK Solver Software

[0871]

The pharmacokinetic parameters were calculated using PK solver software. The IV administration curve analyzed as two compartmental CA bolus, and the SC administration as NCA Extravascular—Log linear trapezoidal analysis. Half-life, AUC, clearance and volume distribution specifications were calculated and the output parameters were studied in comparison between groups of experiments.

[0000]

Experimental Materials

[0872]

Experiment no. 05010:

[0000]

A. NovoSeven® RT: (Lot # AU61553 prepared on 31.7.12*) FVIIa concentration by A280: 0.86 mg/ml. FVIIa Staclot activity assay: 56,867 U/mg. Injected dose: 946 μg/kg. *Pool of NovoSeven® aliquots, all from the same Lot no.

[0000]

B. Clone 28: MOD-5014 RS12-001: 0.77 mg/ml** based on A280. FVIIa Staclot activity assay: 34,162 U/mg. Injected dose: 850μg FVIIa/kg.

[0873]

Experiment no. 05034:

[0000]

A. NovoSeven® RT: (Lot #AU61347 prepared on 1.1.13) FVIIa concentration by A280: 0.82 mg/ml, diluted to 0.4 mg/ml with sterile NS buffer. FVIIa Staclot activity assay: 55,688 U/mg. Injected dose: 360 μg/kg and 20,047.7 U/kg.

[0000]

B. Clone 61: MOD-5014 Batch 75: 1.9 mg/ml** based on A280, diluted to 0.89 mg/ml with formulation buffer. Injected dose: 20,047.7 U/kg. FVIIa clotting activity: 25,002* U/mg based on FVIIa Staclot activity assay.

[0874]

C. Clone 61: MOD-5014 Batch 81A: 2.36 mg/ml based on A280 (filtered on the morning of study day and re-measured at 280 nm), diluted to 0.4 mg/ml with formulation buffer. Injected dose: 360 μgFVIIa/kg. FVIIa clotting activity: 24943 U/mg based on FVIIa Staclot activity assay.
D. Clone 61: MOD-5014 Batch 81A: 2.36 mg/ml based on A280, diluted to 0.89 mg/ml with formulation buffer. Injected dose: 20,047.7 U/kg. FVIIa clotting activity: 24,943 U/mg based on FVIIa Staclot activity assay.

[0875]

Study Outlines

[0876]

Experiment no. 05010

[0877]

MOD-5014 and NovoSeven® were administered in a single intravenous or subcutaneous injection to SD Rats in a dose of 0.9 mg/kg body weight. Blood samples were drawn from sinus orbital eye from 3 rats alternately at 0.5, 4, 8, 12, 24, 34, 48 and 58 hours post dosing. Citrated plasma (0.32%) was prepared immediately after sampling and stored at −20° C. until analysis. The study was performed at “Science in Action,” Nes-Ziona. FVIIa clotting activity level was evaluated and detailed PK analysis was performed at Prolor-Biotech.

[0878]

Study design 05010
No. ofNo. of animals/DoseTime-Points
Treatedanimals/group/DoseLevelInjected(hours post-
GroupsTest ArticlegroupTime pointRouteGender(μg/kg)Vol. (μl)dose)
ArFVIIa63IVM9462200, 0.5, 4, 8, 12,
(NovoSeven ®)24, 34, 48, 58
BrFVIIa RS12-63IVM8502200, 0.5, 4, 8, 12,
001 (clone 28)24, 34, 48, 58
CrFVIIa63SCM9462200, 0.5, 4, 8, 12,
(NovoSeven ®)24, 34, 48, 58
DrFVIIa RS12-63SCM8502200, 0.5, 4, 8, 12,
001 (clone 28)24, 34, 48, 58

[0879]

Experiment no. 05034

[0880]

MOD-5014 and NovoSeven® were administered in a single subcutaneous injection to SD Rats in a dose of 0.9 mg/kg body weight. Blood samples were drawn from sinus orbital eye from 3 rats alternately at 0.5, 2, 4, 6, 8, 12, 24, 34, 48 and 72 hours post dosing. Citrated plasma (0.32%) was prepared immediately after sampling and stored at −20° C. until analysis. The study was performed at “Science in Action,” Nes-Ziona.

[0881]

FVIIa clotting activity level was evaluated and detailed PK analysis was performed at Prolor-Biotech.

[0882]

Study design 05034
No. of animals/Dose LevelDose LevelTime-Points
Treated.group/Time-DosePer AnimalPer AnimalInjected(hours post-
GroupsTest Articlepoint ***RouteGender(μg/kg)(U/kg)Vol. (μl)dose)
AFVIIa3SCM36020047.72070, 0.5, 2, 4, 6,
(NovoSeven ®)8, 12, 24, 34,
48, 72
BFVIIa 753SCM801.8420047.72070, 0.5, 2, 4, 6,
(clone 61)8, 12, 24, 34,
48, 72
CFVIIa 81A3SCM3608979.482070, 0.5, 2, 4, 6,
(clone 61)8, 12, 24, 34,
48, 72
DFVIIa 81A3SCM803.7420047.72070, 0.5, 2, 4, 6,
(clone 61)8, 12, 24, 34,
48, 72

Results

[0883]

FVIIa activity in blood samples was quantitated using STACLOT VIIa-rTF kit (Stago). Pharmacokinetic profile was calculated for each protein and is the mean of 3 animals at each time point.

[0884]

Experiment no. 05010

[0885]

FIG. 35 presents the PK profile of FVIIa following IV and SC administration of either NovoSeven® or MOD-5014 Summary of FVIIa activity values for each time point is presented in Table 59. IV and SC administration have different PK pattern as presented in FIG. 35 similar to previous results. The Cmax following IV injection is higher than that obtained after SC injection, due to the presence of the drug immediately following administration in the blood (measured at 0.5 hr, Table 59 and Table 60). However, after SC administration drug molecules transfer to intracellular matrix and tissues, thus Cmax can be measured only after 2 hr from injection. The total recovery of the drug after SC administration is lower than Cmax value after IV injection.

[0886]

8 hr after injection, Novoseven® manifested an equal PK pattern when injected by either IV or SC, (FIG. 35). Moreover, clotting activity for the NovoSeven®-treated mice was undetectable at time points later than 12 hours, while MOD-5014-treated rats continued to retain measurable activity at 58 hours post dosing (Table 59 and FIG. 35).

[0887]

FVIIa clotting activity of MOD-5014 vs. NovoSeven ® following
IV or SC administration
NovoSeven ® IVMOD-5014 IVNovoSeven ® SCMOD-5014 SC
Time(A)(B)(C)(D)
(hr)mU/ml% CVmU/ml% CVmU/ml% CVmU/ml% CV
0.5304651.718.7232818.35.011491.72.43691.719.0
440068.37.862085.09.521385.022.612018.315.8
85276.72.525931.76.15525.032.56445.02.2
12255.013.85633.39.3297.741.4924.724.1
241.37.1251.311.81.389.2249.360.3
340.078.34.50.063.785.5
4829.09.90.035.047.2
5810.34.60.013.733.5
After background reduction: 15 mU/ml.

[0888]

A. IV
MOD-5014
PK ParametersNovoseven RT (A)(RS 12-001) (B)
Half-life-α (0.5-4 hr)0.241.04
Half-life-β (4-58 hr)1.313.17
AUC o-inf mU/ml * h702467.95820778.67
Vss [U/Kg/(mU/ml)]0.130.13
CL [(U/Kg)/(mU/ml)/h]0.080.04
MRT (hr)1.743.62
B. SC
MOD-5014
PK ParametersNovoseven RT (B)(RS 12-001) (C)
Half-Life (hr)1.407.78
Cmax (mU/ml)21385.0012018.33
AUC 0-inf (mU/ml * h)115099.7284158.87
MRT 0-inf (hr)4.327.04
Vz/F (U/Kg)/(mU/ml)0.953.88
Cl/F (U/Kg)/(mU/ml)/h0.470.35

Experiment no. 05034

[0889]

FIG. 36 presents the PK profile of FVII a following SC administration of either NovoSeven® or MOD-5017. Two different batches of clone no. 61 (#75 and #81) were examined in the same concentration or the same activity units, compared to NovoSeven®. Summary of FVIIa activity values for each time point is presented in Table 61.

[0890]

The results indicate a similar PK pattern after SC administration corresponding to previous experiments. Moreover, clotting activity for the NovoSeven® treated rats was undetectable at time points later than 12 hours, while MOD-5014 treated rats continued to retain measurable activity at 24 hours post dosing (Table 61_and FIG. 36; and after background reduction: 56 mU/ml (8, 12 hr) or 32 mU/ml (0.5, 2, 6, 14 hr)).

[0891]

Clone no. 61 batch #81 (D) Cmax (1,301 mU/ml) was lower than the Cmax values of clone no. 61 batch #75 (B) and NovoSeven® (A) (3,521 mU/ml and 5,908 mU/ml respectively), although they were all injected by the same unit activity (Table 61). However, batch #75 (B) and #81 (D) have the same activity units (559 mU/ml and 478 mU/ml respectively) measured 8 hr after injection (Table 61 and Table 62; and after background reduction: 56 mU/ml (8, 12 hr) or 32 mU/ml (0.5, 2, 6, 14 hr)).

[0892]

FVIIa clotting activity of MOD-5014 (Clone 61 #75, #81) vs. NovoSeven ® following
single SC administration.
MOD-5014 Clone 61
MOD-5014 Clone 61Batch 81A (C) -MOD-5014 Clone 61
Batch 75 (B) -equal conc.Batch 81A (D) -
TimeNovoSeven ® (A)equal U/kgFVIIa μg/kgequal U/kg
(hr)mU/ml% CVmU/ml% CVmU/ml% CVmU/ml% CV
0.53271.346.5350.326.6101.324.1208.751.2
25908.018.13521.370.91294.77.01301.331.6
61411.723.61349.745.6425.327.6663.013.4
81029.012.4559.352.7152.719.5478.025.4
12121.39.9563.017.4148.736.3712.716.2
241.025.0117.041.921.336.499.036.7
After background reduction: 56 mU/ml (8, 12 hr) or 32 mU/ml (0.5, 2, 6, 14 hr).

[0893]

PK parameters of MOD-5014 (Clone 61 #75,
#81) vs. NovoSeven ® following
single SC administration.
MOD-5014
MOD-5014Clone 61MOD-5014
Clone 61Batch 81AClone 61
Batch 75(C)- equalBatch 81A
PKNovoSeven ®(B)- equalconc. FVIIa(D)- equal
ParametersRT (A)U/kgμg/kgU/kg
Half-Life1.675.704.626.41
(hr)
Cmax5908.003521.331294.671301.33
(mU/ml)
AUC 0-inf24688.1820456.966260.2313098.16
(mU/ml*h)
MRT 0-inf3.737.866.4010.59
(hr)
Vz/F (U/1.968.069.5514.15
Kg)/(mU/ml)
Cl/F (U/Kg)/0.810.981.431.53
(mU/ml)/h

[0894]

This report summarized two PK studies; 05010 & 05034. The results provide specific insight on the impact of CTP fusion to FVII on protein half-life and clearance in subcutaneous administration and address the paradigm of its specific activity following this modification. In these studies, SD rats were administered with a single SC injection of MOD-5014 originated from two clones, and two different batches, compared to recombinant commercial FVIIa (NovoSeven®). The components were injected at similar FVIIa concentration (μg/Kg) or at the same activity level (U/Kg) and the PK activity based analysis was performed.

[0895]

The purpose of the first study was to verify the different PK parameters after IV and SC administration. Based on this study we can conclude that there is a difference between the PK pattern measured after IV or SC administration. A t1/2of 7.78 hr measured after MOD-5014 SC injection, and only 4.2 hr after IV injection. AUC values were the same Table 60.

[0896]

The second study however, focused on the differences between two batches of MOD-5014 clone no. 61, which were injected by the same FVIIa concentration or at an equal activity unit, compared to NovoSeven®. In this study we showed that clone 61 batch #75 manifested better PK parameters than batch #81. Batch #81, which was injected by the same unit activity level, had lower Cmax for an unknown reason. Moreover, the same Cmax was measured when injecting clone 61 batch #81 in two different doses (by FVIIa concentration or by unit activity), instead of 2.5 fold between the two activity values. Following analysis of both studies together, we can conclude that clone 28 manifested a prolonged t1/2parameter that clone 61 #75 (the better batch) after SC injection (7.78 hr and 5.7 hr respectively, Table 62). The results show that dissimilar time point samples create different PK pattern, which lead to variation in the PK curves. The patterns of the curves can teach us more about the drug behavior in the blood. Therefore, we decided to determine the time points similar to those detected by Baxter (0, 0.5, 2, 6, 8, 12, 24, 34, 48, 72 hr). Moreover, the FVIIa concentration in 05010 experiment was too high, and was revised in the following SC experiment (05034). For future PK studies, it was decided to inject the component at 360 μg FVIIa/kg for a dose.

Example 10

Warfarin Treated Rats as a Model for Evaluating Factor VIIa In Vivo

[0000]

Materials & Methods

[0897]

PT Assessment: SD rats were given orally 10 mg/Kg of Warfarin and at a designated time point plasma was collected and prothrombin time (PT) was measured using a standard procedure. In order to assess the long term hemostatic effect Placebo, NovoSeven® or MOD-5014 were injected to the Warfarin treated animals and PT was measured.

[0898]

Tail Clip Challenge: Warfarin treated animals were injected with Placebo, NovoSeven® or MOD-5014 at designated time points the animals were challenged by complete cut of the tail tip (0.5 cm from the tip) and bleeding intensity was measured in gr for 30 min post transection.

Results

[0000]

Warfarin Administration to SD-Rats Results in a Prolongation of PT and aPTT.

[0899]

Warfarin prevent the reduction of vitamin K, and consequently decreases vitamin K dependent coagulation factors concentration in the blood. Male SD rats received oral treatment of warfarin. The reduction of Vitamin K dependent coagulation factors was accompanied by prolongation of PT and aPTT. Results are presented in FIG. 37.

[0900]

Due to coagulation-factors wash out from the blood, PT and aPTT values increase gradually in the first 48 hours following warfarin administration. The effect decreases after that.

[0000]

Warfarin Effect can be Restored by Acute IV Treatment with NovoSeven® or MOD-5014.

[0901]

SD-rats received a pre-treatment of Warfarin. 24 hours later, MOD-5014, NovoSeven® or buffer were injected intravenous blood samples were drawn 15 minutes post injection. 15 min post injection, MOD-5014 as well as NovoSeven® successfully restored PT values to normal (FIG. 38).

[0000]

The Effect of Increasing Dose of MOD-5014 and NovoSeven® on PT Values in Warfarin Treated Rats.

[0902]

SD-rats were treated with 10 mg/Kg warfarin in parallel to 100-1000 μg/Kg MOD-5014 or NoveSeven IV injection. 24 hours post treatment, PT was determined in plasma samples. NovoSeven® injected 24 hours before PT determination, did not have any significant effect on PT values in all the doses tested. In contrast, MOD-5014 shows a dose-response behavior 24 hours after administration (FIGS. 39A-39C).

[0903]

SD-rats were treated with 10 mg/Kg warfarin in parallel to 1000 μg/Kg MOD-5014 or NoveSeven IV injection. PT was determined in plasma samples 10, 24, 36 and 48 hours post treatment. MOD-5014 restored PT values to normal up to 48 hours post dosing, while the effect of NovoSeven® no longer exists after 24 hours (FIG. 40).

[0000]

MOD-5014's Long Lasting Effect can be Demonstrated by Tail Clip Assay in Warfarin Injected Rats

[0904]

SD-rats were treated with Warfarin 24 hours before tail clip. Rats were anesthetized and placed on a warm pad, the tail tip was placed in 37° c saline and a complete amputation of the tail was performed 0.5 cm from tail tip. Blood was collected for 30 minutes and blood loss was determined by weight.

[0905]

Vehicle or 500 μg/Kg MOD-5014 or NovoSeven® was administrated 15 min, 24 or 48 hours before tail clip. Results are presented in FIG. 41. Rats treated with warfarin lost 5 fold more blood than naïve rats. 15 min post injection, tail clip of MOD-5014 and Novoseven treated rats resulted in reduced bleeding which is comparable to naïve rats. The effect of MOD-5014 is completely preserved 24 hours post injection, and partially preserved after 48 hours.

[0000]

Sub-Cutaneous Injection of MOD-5014 is also Demonstrating a Long Lasting Effect.

[0906]

SD-rats were treated with 10 mg/Kg warfarin in parallel to 2000 μg/Kg MOD-5014 or NoveSeven SC injection. PT was determined in plasma samples 10, 24, 36 and 48 hours post treatment.

[0907]

MOD-5014 is able to restore PT values to normal up to 48 hours post dosing, while the effect of NovoSeven® no longer exists after 24 hours (FIG. 42).

[0000]

SC Injection of MOD-5014 Reduces Blood Loss for at 48 Hours.

[0908]

SD-rats were treated with Warfarin 24 hours before tail clip. Rats were anesthetized and placed on a warm pad, the tail tip was placed in 37° C. saline and a complete amputation of the tail was performed 0.5 cm from tail t

[0909]

ip. Blood was collected for 30 minutes and blood loss was determined by weight.

[0910]

Vehicle or 1000 μg/Kg MOD-5014 or NovoSeven® was SC administrated 15 min, 24 or 48 hours before tail clip. Results are presented in FIG. 43.

EXAMPLE 11

Comperative Assessment of Clotting Activity of MOD-5014 and NovoSeven®

[0911]

Study Objectives—(I) To characterize the in vitro clotting activity and FX activation under different conditions of MOD-5014 in comparison with NovoSeven®. (II) To compare ex vivo, prothrombin time (PT) and activated partial thromboplastic time (aPTT) profiles in human hemophilia and FVII-deficient plasma upon MOD-5014 and NovoSeven® spiking.

[0912]

Materials and Methods

[0913]

Materials—MOD-5014 GMP-1: 2.5 mg/ml (based on A280) and NovoSeven® Lot# CU60430: 0.943 mg/ml (based on A280)

[0914]

Method—Clotting Assay

[0915]

The clotting activity of FVIIa was measured using commercially available Staclot VIIa-rTF kit (Ref# 00281, Stago). This method included clotting time measurement of FVII-deficient plasma using the STA Compact MAX or Start4 instruments. Specific amounts of FVIIa were added to the plasma following the addition of phospholipids, Ca2+, and recombinant soluble tissue factor (rsTF). The latter is the extracellular portion of the native tissue factor, which can no longer activate FVII to FVIIa by auto activation. However, it possesses a cofactor function specific for factor VIIa. The FVIIa bound to soluble tissue factor converts factor X to the active factor Xa. The observed clotting time has an inverse relationship with FVIIa level in the plasma, since the soluble tissue factor does not activate FVII to FVIIa. The obtained clotting time was converted to activity (mU/ml) using a FVIIa standard curve and the specific activity was calculated based on FVIIa protein concentration. This method provided the potential in vitro activity of FVIIa, with the limitation of using sTF, which only partially mimics the in vivo setting.

[0916]

Method—FVII Chromogenic Assay

[0917]

MOD-5014 and NovoSeven® potency were assessed by the commercially available kit BIOPHEN FVII (Ref#221304, HYPHEN BioMed). This is a chromogenic assay intended for testing FVII activity. FVII forms an enzymatic complex with tissue factor and converts factor X into the activated factor Xa in the presence of phospholipids and calcium. Factor X is present in the assay in a constant concentration and in excess. The concentration of activated factor Xa is measured by its activity on a specific chromogenic substrate (SXa-11), which it cleaves to generate pNA. The amount of pNA is directly proportional to Factor X activity, and there is a direct relationship between the amount of Factor VII and the level of Factor Xa activity, measured by the amount of pNA released and determined by color development at 405 nm.

[0918]

Method—Prothrombin Time (PT) and Activated Partial Thromboplastic Time (aPTT)

[0919]

Prothrombin Time (PT) and Activated Partial Prothrombin Time (aPTT) were measured using a Siemens CA-1500 autoanalyzer and validated using routine clinical human plasma diagnostic testing at A.M.L.

[0920]

MOD-5014 GMP-1: 2.5 mg/ml based on absorption at A280, diluted to 0.5-0.0008 mg/ml with hemophilic human plasma/FVII deficient plasma.

[0921]

FVIIa clotting activity: 16,720 U/mg based on FVIIa Staclot activity assay.

[0922]

NovoSeven® Lot#CU60430: 0.943 mg/ml based on absorption at A280, diluted to 0.5-0.0008 mg/ml with hemophilic human plasma/FVII deficient plasma.

[0923]

FVIIa clotting activity: 50,494 U/mg based on FVIIa Staclot activity assay.

[0924]

Matrix: Human plasma (FVIII deficient) BIORECLAMATION (Cat# HMPLCIT-FACT8DEF, Lot# BRH779222-BRH779233). FVII Deficient plasma, Cat#HBM-DP030K.

Results

[0925]

Potency Determination: The specific activities of MOD-5014 and NovoSeven® were evaluated using a qualified Staclot VIIa-rsTF kit. The average specific activity obtained for MOD-5014 (batches RS005, GMP1, ER01) and NovoSeven® as determined by 4 independent assays are presented in Table 63 below.

[0926]

Specific activities of MOD-5014 and NovoSeven ®
Avg.
Run#1Run#2Run#3Run#4(U/mg)% CV
MOD-501417041142231634414644155638.6
batch ER01
MOD-501415894173901781915775167206.2
batch GMP1
MOD-5014233002047117790183231997112.5
batch RS005
NovoSeven ®46889459004952247644474893.2

[0927]

Conclusion: MOD-5014 specific activity was 2 to 2.5-fold lower than NovoSeven®. This might be a consequence of reduced molar content of FVIIa in MOD-5014 when spiking on mass base rather than on molar base, as MOD-5014 consists of 83.4% FVIIa with 3 CTP cassettes attached at the C-terminus.

[0928]

Clotting Activity Inhibition in the Presence of TFPI: The clotting activity of MOD-5014 and NovoSeven® was evaluated in the presence of tissue factor pathway inhibitor (TFPI), a natural inhibitor if FVIIa. The inhibitor was added at a range of concentrations (3125 ng/ml to 0.006 ng/ml) following the addition of MOD-5014 or NovoSeven® at a fixed concentration, FVII-deficient plasma, tissue factors and phospholipids, and was incubated 15 min at 37° C. The observed specific activity was converted to inhibition %. The assay was repeated 3 times and the mean results are presented in Table 64 and FIG. 44.

[0929]

Mean Activity Inhibition in the Presence of TFPI
NovoSevenMOD-5014
TFPI conc.TFPIActivity%Activity%
(ng/mL)log conc.(mU/mL)Inhibition(mU/mL)Inhibition
0NA72.3NA66.8NA
125032.9967.389
62539.58713.280
62.52453847.429
6.25155.32456.715
0.625054.52556.715

[0930]

Conclusion: TFPI inhibited NovoSeven® and MOD-5014 at a similar dose-dependent manner The difference in the values might be a consequence of assay variability, as reported in method qualification (% CV≤25%).

[0931]

Clotting Activity Inhibition in the Presence of Heparin: The clotting activity of MOD-5014 and NovoSeven® was measured in the presence of heparin at a wide range of concentrations. Heparin was added following the addition of a fixed concentration of MOD-5014 or NovoSeven®, FVII-deficient plasma, tissue factors and phospholipids, and was incubated 15 min at 37° C. The results are presented in Table 65.

[0932]

Activity Inhibition in the Presence of Heparin
NovoSevenMOD-5014
Heparin Conc.Activity%Activity%
(U/μl)(mU/ml)Inhibition(mU/ml)Inhibition
068.8NA56.9NA
1010000
0.5010000
0.25010000
0.12.1972.196

[0933]

Conclusion: Heparin possesses high potency in this specific assay, as over 96% inhibition was observed for both MOD-5014 and NovoSeven® even at an extremely low concentration (0.1 U/μl).

[0934]

Clotting Activity in the Presence of Anti-Thrombin (AT): The specific activities of MOD-5014 and NovoSeven® were evaluated in the presence of Anti thrombin III (ATIII), which is a mild inhibitor of FVIIa. Anti-thrombin was added at a range of concentrations (525 μg/ml to 0.01 ng/ml) following the addition of MOD-5014 or NovoSeven®, FVII-deficient plasma, tissue factors and phospholipids, and was incubated 15 min at 37° C. The observed specific activity was converted to inhibition %. The results are presented in Table 66 and FIG. 45.

[0935]

Activity Inhibition in the Presence of AT III
NovoSevenMOD-5014
AT conc.AT logActivity%Activity%
(ng/mL)conc.(mU/mL)Inhibition(mU/mL)Inhibition
0NA88.1NA70.8NA
525000601000100
105000530.6652762
10,500461.5305325
1,050366.82453.425
105270.22053.325
10.5168.42250.728
1.050069.52152.925

[0936]

Conclusion: MOD-5014 and NovoSeven® were inhibited at a similar manner by AT III.

[0937]

Factor X Activation by NovoSeven® and MOD-5014: The potency of MOD-5014 and NovoSeven® was evaluated and the average EC50values obtained for MOD-5014 and NovoSeven® were calculated (0.41 and 0.38 ng/ml, respectively). The results are presented in Table 67 and a representative dose-response curve is presented in FIG. 46.

[0938]

FX activation by MOD-5014 and NovoSeven
rFVIIa Conc.O.D
(ng/ml)Log Conc.MOD-5014NovoSeven
100.002.000.3850.363
20.001.300.3580.365
4.000.600.3680.352
0.80−0.100.2860.303
0.160−0.800.170.178
0.0320−1.490.1270.138
0.00640−2.190.1170.133
0.00128−2.890.1110.123

[0939]

FX activation in the presence of TFPI: The potency of MOD-5014 and NovoSeven® was evaluated in the presence of TFPI. The latter was added at a range of concentrations (20 μg/ml to 0.002 ng/ml) to two concentrations of MOD-5014 and NovoSeven® (EC70) (0.6 and 4 ng/ml) and FX activation was measured. The results are presented in Table 68 and FIG. 47. The assay performed in the presence of NovoSeven® and MOD-5014 at a concentration of 4 ng/ml is presented in Table 69 and FIG. 48.

[0940]

Factor X Activation in the Presence of TFPI (#1)
O.D
TFPI Conc.MOD-5014NovoSeven ®
(ng/ml)Log Conc.(0.69 ng/ml)(0.64 ng/ml)
20000.004.300.3460.429
4000.003.600.6910.83
800.002.901.0061.044
160.002.201.111.337
32.001.511.361.384
6.400.811.3841.418
1.280.111.3871.466
0.2560−0.591.4571.428
0.051200−1.291.4541.518
0.010240−1.991.4461.514
0.002048−2.691.4781.504
Control1.511.51

[0941]

Factor X Activation in the Presence of TFPI (#2)
TFPI Conc.NovoSeven ®MOD-5014
(ng/ml)Log Conc.(4 ng/ml)(4 ng/ml)
20000.004.300.2060.17
4000.003.600.4060.38
800.002.901.0160.836
160.002.201.3381.143
32.001.511.4961.465
6.400.811.5881.541
1.280.111.6611.565
0.2560−0.591.6971.616
0.051200−1.291.7261.604
0.010240−1.991.7031.638
0.002048−2.691.7151.653
Control01.6561.581

[0942]

Conclusion: MOD-5014 and NovoSeven® demonstrated a very similar inhibition curve of FX activation in the presence of TFPI at both concentrations of the compound.

[0943]

FX Activation in the Presence of TFPI and Heparin—The potency of MOD-5014 and NovoSeven® was evaluated in the presence of TFPI and heparin. TFPI at different concentrations (20 μg/ml to 0.002 ng/ml) and 1 U/μl heparin were added to a constant concentration of MOD-5014 and NovoSeven® (0.7ng/ml) and FX activation was measured. The results are presented in Table 70 and FIG. 49.

[0944]

FX Activation in the Presence of TFPI and Heparin
NovoSeven ®MOD-5014
TFPI Conc.(0.7 ng/ml) +(0.7 ng/ml) +
(ng/ml)Log Conc.1 U/μl heparin1 U/μl heparin
20000.004.300.2220.15
4000.003.600.2410.115
800.002.900.4090.32
160.002.200.7640.539
32.001.511.0140.915
6.400.811.2071.164
1.280.111.3091.261
0.051200−1.291.3731.347
0.010240−1.991.3051.293
0.002048−2.691.3351.266
Control01.4731.373

[0945]

Conclusion: MOD-5014 and NovoSeven® exhibited similar activation of FX in the presence of TFPI. Heparin had no significant influence on the inhibition profile when added with TFPI.

[0946]

FX Activation in the Presence of Anti-Thrombin: The potency of MOD-5014 and NovoSeven® was evaluated in the presence of anti-thrombin (AT III). Different concentrations of AT III (1.68 mg/ml to 0.16 μg/ml) were added to a constant concentration of MOD-5014 and NovoSeven® (0.7 ng/ml) and FX activation was measured. The results are presented in Table 71A and FIG. 50.

[0947]

FX Activation in the Presence of Anti-Thrombin
AT conc.O.D
(μg/ml)Log conc.NovoSevenMOD-5014
16803.20.7840.656
5002.70.9330.975
1002.01.1380.974
201.31.1511.112
40.61.1721.135
0.8−0.11.21.075
0.16−0.81.2341.182
control1.2831.09

[0948]

Conclusion: MOD-5014 and NovoSeven® exhibited similar activation of FX at the presence of AT III.

[0949]

FX Activation in the Presence of Constant AT III Concentration and Varying Heparin Concentrations: Anti-thrombin III (AT III) was diluted to a constant concentration (20 μg/ml) and was added to a constant concentration of MOD-5014 and NovoSeven® (0.7 ng/ml). Heparin was added at different concentrations (6.25 U/μl-0.002 U/μl) to the mixture and FX activation was measured. The results are presented in Table 71B and FIG. 51.

[0950]

FX Activation in the Presence of Heparin
at Different Concentrations
Heparin conc.O.D.
(U/μl)Log conc.NovoSevenMOD-5014
6.250.81.0021.024
1.250.10.980.896
0.25−0.61.0390.917
0.01−2.01.1981.139
0.002−2.71.2421.294

[0951]

Conclusion: MOD-5014 and NovoSeven® exhibited similar and moderate inhibition by heparin at constant AT III concentrations.

[0952]

PT and aPTT Measurements

[0953]

PT and aPTT measurements are presented in Table 72.

[0954]

PT (sec)aPTT (sec)
TestedInIn FVIIInIn FVII
TestconcentrationRequiredHemophilicDeficientHemophilicDeficient
article(mg/ml)dilutionPlasmaPlasmaPlasmaPlasma
MOD-50140.5510.010.2 21.021.0
GMP-10.1258.78.922.821.0
2.5 mg/ml0.021258.68.830.9<21.0 
0.0046258.58.845.024.0
0.000831258.89.362.525.9
Novoseven0.51.9No coagulationNo coagulation
0.943 mg/ml0.19.38.58.721.021.0
0.02478.38.626.621.0
0.0042348.38.638.922.7
0.000811698.58.755.025.4
Control0011.9No coagulation87.127.5
(Only Plasma)
Normal values11-13.525-35
Extrinsic pathwayIntrinsic pathway

[0955]

Conclusion: The PT and aPTT measurements were comparable for both MOD-5014 and NovoSeven® when spiked at a similar range of concentrations.

[0956]

FX Activation in the Presence of Constant Heparin Concentration and Varying AT Concentrations

[0000]

Study Objective

[0957]

To compare the ability of MOD-5014 and NovoSeven to activate FX in the presence anti-thrombin and at constant concentration of heparin.

[0000]

Study Design and Results

[0958]

The potency of MOD-5014 and NovoSeven was evaluated in the presence of anti-thrombin (AT) and heparin. Different concentrations of AT (1.68 mg/ml to 0.032 μg/ml) and 1 U/μl heparin were added to a constant concentration of MOD-5014 and NovoSeven (0.7 ng/ml) and FX activation was measured. IC50values obtained for anti-thrombin were 49.65 μg/ml for MOD-5014 and 65.70 μg/ml for NovoSeven. The results are presented in Table 121, FIG. 52.

[0959]

FX Activation in the Presence of AT and Heparin
AT conc.O.D.
(μg/mlLog conc.NovoSevenMOD-5014
16803.20.1410.197
5002.70.2010.153
1002.00.5030.404
201.31.0371.078
40.61.1651.259
0.8−0.11.2151.254
0.16−0.81.1861.235
0.032−1.51.1631.244
Control1.4331.405

[0960]

Conclusion: MOD-5014 and NovoSeven exhibited similar activation of FX in the presence of AT and 1 U/μl heparin, suggesting that AT has a significantly more pronounced effect on FVIIa inhibition than heparin.

[0961]

Comparative PT and aPTT Measurements

[0000]

Study Objective

[0962]

To compare PT & aPTT profiles in human hemophilia and FVII-deficient plasma upon MOD-5014 and NovoSeven spiking.

[0000]

Study Design

[0963]

PT and aPTT were measured using a Siemens CA-1500 autoanalyzer and validated using routine clinical human plasma diagnostic testing at A.M.L. MOD-5014 GMP-1: 2.5 mg/ml based on absorption at A280, diluted to 0.5-0.0008 mg/ml with hemophilic human plasma/FVII deficient plasma.

[0964]

FVIIa clotting activity: 16,720 U/mg based on FVIIa Staclot activity assay.

[0965]

NovoSeven Lot#CU60430: 0.943 mg/ml based on absorption at A280, diluted to 0.5-0.0008 mg/ml with hemophilic human plasma/FVII deficient plasma. FVIIa clotting activity: 50,494 U/mg based on FVIIa Staclot activity assay.

[0966]

Matrix:

    • Human plasma (FVIII deficient) BIORECLAMATION (Cat# HMPLCITFACT8DEF, Lot# BRH779222-BRH779233).
    • FVII Deficient plasma, Cat#HBM-DP030K.

[0969]

MOD-5014 and NovoSeven were spiked into the above matrixes in concentrations of

[0970]

0.5-0.0008 mg/ml and PT and aPTT were measured. Results are summarized in Table 122.

[0971]

PT and aPTT Measurements
PT (sec)aPTT (sec)
TestedInIn FVIIInIn FVII
concentrationRequiredHemophilicDeficientHemophilicDeficient
Test Article(mg/ml)DilutionPlasmaPlasmaPlasmaPlasma
MOD-50140.5510.010.2 21.021.0
GMP-10.1258.78.922.821.0
2.5 mg/ml0.021258.68.830.9<21.0 
0.0046258.58.845.024.0
0.000831258.89.362.525.9
Novoseven0.51.9No coagulationNo coagulation
0.943 mg/ml0.19.38.58.721.021.0
0.02478.38.626.621.0
0.0042348.38.638.922.7
0.000811698.58.755.025.4
Control0011.9No87.127.5
(Only Plasma)coagulation
Normal values11-13.525-35
Extrinsic pathwayIntrinsic pathway

[0972]

Conclusion: The PT and aPTT measurements were comparable for both MOD-5014 and NovoSeven when spiked at a similar range of concentrations.

Summary

[0973]

MOD-5014 activity was evaluated by a variety of in vitro and ex vivo methods that assessed different aspects of its coagulation activity in comparison to NovoSeven® at equal mass. Initially, MOD-5014 activity was compared to NovoSeven® in the qualified Staclot FVIIa assay. The study demonstrated that MOD-5014 activity is 2 to 2.5-fold lower than that of NovoSeven. A factor X activation test by a chromogenic assay in the presence of TF, phospholipids and calcium also proposed a slightly lower measure of activity of MOD-5014 in comparison to NovoSeven®, as reflected by EC50.

[0974]

The variability between methods might be due to differences in assay sensitivity or endpoint (soluble vs. full-chain TF and clotting time vs. OD measurement, respectively). The lower MOD-5014 activity might be due to the fact that 84.4% of MOD-5014 corresponds to FVIIa and 15.6% corresponds to CTP.

[0975]

MOD-5014 inactivation in the presence of TFPI, a major FXa-dependent inhibitor of the extrinsic coagulation pathway, was evaluated by the two in vitro assays mentioned above (Staclot and factor X activation). Incubating MOD-5014 or NovoSeven® at two fixed concentrations with increasing concentrations of TFPI resulted in a dose-dependent reduction in clotting or FXa enzymatic activity. Both compounds demonstrated a very similar de-activation pattern, reflected by % clotting inhibition.

[0976]

Anti-thrombin III was previously reported to inhibit factor VIIa at a slow rate and also demonstrated augmented inhibition at the present of heparin. Anti-thrombin III demonstrated a similar inhibition pattern of both MOD-5014 and NovoSeven® when both compounds were spiked with increasing concentrations of AT III. This pattern was maintained following the addition of heparin, producing a pronounced inhibitory effect.

Example 12

Comparative In Vitro Assessment of MOD-5014 and NovoSeven® in Thrombin Generation and Coagulation Efficiency

[0977]

Study Objectives—(I) Comparative assessment of MOD-5014 and NovoSeven® by thrombin generation (TG) in inhibitory platelets rich plasma with high titer of inhibitory antibodies at low and high phospholipids concentration, and (II) comparative assessment of MOD-5014 and NovoSeven® by thromboelastography (TEG) in inhibitory platelets rich plasma with high titer of inhibitory antibodies.

[0978]

Materials and Methods

[0979]

Materials—MOD-5014: 2.0 mg/ml and NovoSeven® 1.0 mg/ml, stored frozen (−60 to −80° C.). No dose formulation preparation was required. Materials were thawed only once prior to dosing.

[0980]

Method—Thrombin Generation (TG) in Low and High Phospholipid Concentrations

[0981]

Human plasma originated from patients with high titer of anti FVIII inhibitory Abs was spiked with increased concentration of MOD-5014 or NovoSeven®, coagulation was stimulated by relipidtaed rhTissue Factor (TF) and a high concentration of phospholipid micelles (Reagent RChigh) mimicking the in vivo situation.

[0982]

Method—Thromboelastography (TEG)

[0983]

Thromboelastography (TEG) is a method of testing the efficiency of coagulation in the blood and is especially important in surgery and anesthesiology. The patterns of changes in strength and elasticity in the clot provide information about how well the blood can perform hemostasis (the halting of blood flow), and how well or poorly different factors are contributing to clot formation.

[0984]

Four values that represent clot formation are determined by this test: the R value (or reaction time), the K value, the angle and the MA (maximum amplitude). The R value represents the time until the first evidence of a clot is detected. The K value is the time from the end of R until the clot reaches 20 mm and this represents the speed of clot formation. The angle is the tangent of the curve made as the K is reached and offers similar information to K. The MA is a reflection of clot strength.

Results

[0985]

Thrombin Generation: The generation of thrombin is a fundamental part of the clotting cascade and as such an estimation of how well a particular individual can generate thrombin may correlate with either a risk of bleeding or thrombosis. It describes all the phases of thrombin generation process (initiation, amplification and inhibition of thrombin generation as well as the integral amount of generated thrombin). According to the experimental system used, thrombin generation may be influenced by most of the factors playing a role in in vivo blood coagulation.

[0986]

The kinetic of thrombin generation was monitored by Technoclone TGA (FIG. 53).

[0987]

A Dose-dependent increase of peak thrombin and decrease of lag phase and peak time was observed following spiking with MOD-5014 or Novoseven.

[0988]

In the second experiment MOD-5014 or NovoSeven® were spiked at increasing concentrations at the present of TF and at the present of low concentration of phospholipid micelles (Reagent RClow).

[0989]

As anticipated a more pronounced repose was observed when spiking the sample with high PL concentration. Both compounds reached maximal TG response at low concentration of PL concentration further confirming its importance for proper activation of the clotting cascade. The result as presented in FIG. 53 and FIG. 54 demonstrate that MOD-5014 in—vitro thrombin generation activity is slightly lower compared to NovoSeven® at high and low PL concentration and are aligned with data obtained in PPP FVIII deficient plasma .

[0990]

Coagulation Efficiency: MOD-5014 and NovoSeven® were added to high titer human FVIII inhibitor platelet reach plasma (PRP), CaCl2and rhTF thromboplastin were added to trigger clot formation. The R and angel were evaluated. As observed in FIG. 55, both MOD-5014 and NovoSeven® decreased the clotting time (R) and increased the rate of clot formation (Angel) of high titer FVIII inhibitor plasma at a similar concentration dependent manner, while MOD-5014 demonstrated a minor reduction in its clotting capability. These finding further strengthen the results obtained by ROTEM that CTP attachment doesn't interfere with clot formation.

Summary

[0991]

Based on the TG and TEG results in FVIII high titer plasma it appears that MOD-5014 mechanism of TG and clot formation may be similar to NovoSeven® with a slight reduction in it activity. This might be a consequence of reduced molar content of FVIIa in MOD-5014 when spiking on mass base rather than on molar base as MOD-5014 consists of 83.4% FVIIa with 3 CTP cassettes attached at the C terminus, and therefore will require slightly higher concentrations of MOD-5014 to maintain in vivo hemostatic. Finally it appears that a mechanism of binding to phospholipid may be maintained following the attachment of CTP to FVIIa.

Example 13

Comparative In Vitro Activity of MOD-5014 and NovoSeven®

[0992]

Study Objectives—(I) A comparative assessment of MOD-5014 and NovoSeven® by thrombin generation (TG) in citrated platelet poor plasma (PPP). (II) A comparative assessment of MOD-5014 and NovoSeven® tissue factor (TF) affinity by thrombin generation in citrated PPP. (III) A comparative assessment of MOD-5014 and NovoSeven® by thromboelastography (ROTEM) in PPP citrated plasma.

[0993]

Materials and Methods

[0994]

Materials—MOD-5014: 2.6 mg/ml and NovoSeven® 2.6 mg/ml, stored frozen (−60 to −80° C.). No dose formulation preparation was required. Materials were thawed to room temperature prior to administration.

[0995]

Method (Objective (I))—Thrombin Generation (TG) in Low and High Phospholipid Concentrations

[0996]

Thrombin generation was measured according to Livnat et al. (2006, J. Thromb Haemost. 4(1):192-200; 2008, Haemophila. 14(4):782-786; and 2011, Thromb Haemost. 105(4): 688-95). Briefly, pooled plasma was spiked with escalating concentration of MOD-5014 or NovoSeven®. PPP-Reagent LOW (containing 1 μM tissue factor) or MP-reagent (Diagnostica Stago, Lot PPL 1203/01 and MPR 1202/01, respectively) were used as working buffers. Both reagents contained 4 μM phospholipids.

[0997]

The assay was carried out using two approaches as follow: (a) Re-Calcification only; and (b) Low TF level(1 pM).

[0998]

Twenty μl of working buffer were placed in round-bottom 96-well microtiter plates. Eighty μl of FVIII-deficient plasma with different concentrations of NovoSeven® or MOD-5014 were added to the buffer, as described in Table 73.

[0999]

004 μM1 pM
1.25404 μM1 pM
2.5804 μM1 pM
51604 μM1 pM
103204 μM1 pM
156404 μM1 pM
*Based on Livnat et al., 2008.

[1000]

TG was initiated by adding 20 μl of fluorogenic substrate/CaCl2buffer (FluCa-kit Thrombinoscope-BV, Diagnostica Stago, Lot FLB 1303/01). Fluorescence was measured using an excitation filter at 390 nm and an emission filter at 460 nm and a fluorometer (Fluoroskan Ascent, Lab system, Helsinki, Finland). Results were displayed as plots and derived parameters, i.e. lag time, endogenous thrombin potential (ETP) and peak height, and were calculated using specialized computer software (version 3.0.0.29, Thrombinoscope-BV Maastricht, the Netherlands). Each sample was tested independently twice in duplicates (run 1 and 2). The mean value of the duplicates is provided and compared to a thrombin standard (Thrombin calibrator, Diagnostica Stago, Lot TC 1208/01).

[1001]

Method—(Objective (II))—Thrombin Generation (TG)

[1002]

Thrombin generation was measured according to Livnat et al. (2006, 2008, 2011). Briefly, pooled plasma was spiked with 3 fairly low escalating concentration of MOD-5014 or NovoSeven® to enable a more sensitive and dose-dependent response (1.25, 2.5, 5, and 10 μg/ml). MP-reagent containing 4 μM phospholipids was used as working buffer. Each designated sample was spiked with escalating concentrations of TF as described in Table 74 below, and TG was assessed.

[1003]

004 μM0, 0.5, 1, 2.5, 5 pM
1.25404 μM0, 0.5, 1, 2.5, 5 pM
2.5804 μM0, 1, 2, 4, 5 pM
0, 0.5, 1, 2.5, 5 pM
51604 μM0, 0.5, 1, 2.5, 5 pM
103204 μM0, 1, 2, 4, 5 pM
0, 0.5, 1, 2.5, 5 pM
*Based on Livnat et al., 2008

TG of each test article at the designated concentrations of TF was assessed by measurement ETP, lag time and height of thrombin peak. Each sample was tested independently twice in duplicates (run 1 and 2). The mean value of the duplicates is provided.

[1004]

Method—Objective (III)—Rotation thromboelastography (ROTEM)

[1005]

Pooled plasma from severe FVIII-deficient patients were spiked with either NovoSeven® or MOD-5014 at 4 concentrations as described in Table 75 below, and assessed at the following conditions: (a) addition of Kaolin; (b) with low levels of TF; (c) re-classification.

[1006]

00
2.580
10320
15640

[1007]

ROTEM measurements were conducted with a ROTEM device (Pentapharm, Munich, Germany) using 300 μL of FVIII-deficient plasma placed into cups, with a subsequent addition of 20 mM CaCl2, (NATEM), allegic acid (contact activation, INTEM), or low concentration of tissue factor (EXTEM reagent diluted 1:1700). ROTEM tests were performed according to the manufacturer's instructions at 37° C. and were run for a minimum of 45 minutes. The following variables were used: clotting time (CT, sec), i.e. the time between the introduction of CaCl2and the beginning of clotting; alpha-angle (α-angle, degrees) reflecting clot propagation; and maximum clot firmness (MCF, mm), which reflects clot strength.

Results

[1008]

Objective (I): Comparative In Vitro Assessment of MOD-5014 and NovoSeven® by Thrombin Generation (TG)

[1009]

Thrombin generation has been frequently used for the assessment of hemostatic effect of FVIIa. It was previously shown that FVIIa mediates changes in thrombin generation (TG) in FVIII inhibitor plasma samples. In plasma samples spiked with recombinant FVIIa (rFVIIa), TG was improved in the absence of tissue factor (TF) while the TG potential of rFVIIa in vitro was increased as a result of added TF. Simple, classic pharmacokinetic assays are not available for FVIIa due to the complexity of its mechanism of action. Since thrombin is the final product generated, a TG assay could be used for the assessment of the pharmacokinetics and potential efficacy of MOD-5014 and NovoSeven®. This assay is suitable for monitoring the pharmacokinetics of inhibitor-bypassing agents during treatment and may be useful for predicting responses to treatment. Therefore real-time measurement of thrombin concentration generated in plasma gives valuable information regarding the homeostasis of the coagulation system.

[1010]

The objective of this study was to compare the in vitro thrombin generation ability of MOD-5014 and NovoSeven® in severe hemophilia A plasma at a range of concentrations that potentially correlate to the proposed clinical doses in the first-in-human (FIH) study. This could provide a prediction of the minimal effective dose as part of the preparations for first in human (FIH) study.

[1011]

Comparative Thrombin Generation Following Re-Calcification

[1012]

MOD-5014 and NovoSeven® were spiked at a wide range of concentrations to severe hemophilia A pooled plasma. The study was repeated twice, and the results are provided in Tables 76-79 below, and FIGS. 56, 57, 58(A-E), 59(A-D), 60, 61, 62(A-E) and 63(A-D).

[1013]

(Run #1) NovoSeven ® Derivative Values for FIG. 56
1.25 μg/ml2.5 μg/ml5 μg/ml10 μg/ml15 μg/ml
Lag time29.520.6715.8312.3311.5
Lag time SD2.1700.50.330.17
ETP141242460727659.5
ETPSD1301155415.5
Peak6.211.4520.3333.4539.85
Peak SD0.6602.320.031.34
tt Peak44.1733.6728.522.8321.33
tt Peak SD1.8300.50.50
Start Tail76767371.574
Start Tail SD0023.50
Edited11001

[1014]

Lag time37.3329.3320.1716.1713.67
Lag time SD0.670.330.50.50
ETP108.5144.5295426623.5
ETPSD2.50.53919179.5
Peak4.856.8512.3220.3226.57
Peak SD0.150.110.340.762.46
tt Peak52.542.83342825.33
tt Peak SD0.830.50.330.671
Start Tail76767572.576
Start Tail SD0000.50
Edited11101

[1015]

(Run #2) NovoSeven ® Derivative Values for FIG. 60
1.25 μg/ml2.5 μg/ml5 μg/ml10 μg/ml15 μg/ml
Lag time18.713.8512.3510.358.68
Lag time SD00.50.670.330.33
ETP226269363.5554.5756
ETPSD01626.576.531
Peak8.9611.4517.6129.2346.22
Peak SD00.81.642.034.13
tt Peak33.7229.0425.0421.218.19
tt Peak SD00.670.670.170.5
Start Tail7575695743.5
Start Tail SD002100.5
Edited10010

[1016]

Lag time30.0520.215.3612.1910.18
Lag time SD00.170.330.50.17
ETP118179300.5406.5602.5
ETPSD0118.519.5111.5
Peak4.367.212.8619.828.55
Peak SD00.180.420.733.15
tt Peak46.7435.5528.8824.5421.37
tt Peak SD00.830.170.170.33
Start Tail767674.567.569.5
Start Tail SD000.50.55.5
Edited11000

[1017]

A dose-dependent response was observed following the addition of the two compounds. At low concentrations of 1.25-2.5 μg/ml, which presumably mimic 40 and 80 μg/kg, respectively, a poor TG was observed, as reflected by increased lag and reduced ETP (FIGS. 56, 57, 60 and 61). Although the higher concentration provided a pronounce improvement in the TG profile, none of the tested compounds were able to provide a complete restoration of the TG as obtained with FVIII (FIGS. 71 and 72; Table 80).

[1018]

(Derivative values for FIG. 72)
FVIII + Low TFFVIII
Lag time6.1711.33
Lag time SD0.170.33
ETP18691604
ETP SD148
Peak323.34233
Peak SD13.4317.69
tt Peak8.6713.5
tt Peak SD00.17
StartTail27.533.5
Start Tail SD0.50.5
Edited00

[1019]

These results are in line with published studies and suggest that hFVIIa is less effective as a bypassing agent than other replacement therapies for thrombin correction, demonstrated by lower TG peak, ETP, and other parameters. Overlay analysis (FIGS. 58 (A-E), 59 (A-D), 62 (A-E) and 63 (A-D)) suggested a slight reduction in MOD-5014 TG response as compared to NovoSeven®, reflected mainly as increased lag time, and a lower thrombin peak (estimated as 30-40% lower than in NovoSeven®).This might be a consequence of reduced molar content of FVIIa in MOD-5014 when spiking on mass base rather than on molar base as MOD-5014 consists of 83.4% FVIIa with 3 CTP cassettes attached at the C terminus. The two independent runs were consistent with each other, providing similar results with minor variation.

[1020]

Comparative Thrombin Generation at Low TF Concentrations

[1021]

When severe hemophilia A pooled plasma was spiked with low levels of TF, a background TG response was observed that increased as MOD-5014 and NovoSeven® concentrations increased in the tested samples. (FIGS. 64, 65, 66(A-E), 67, 68, 69(A-E), 70(A-C); Tables 81-84)

[1022]

(NovoSeven ® Derivative values for FIG. 64)
1.252.551015
Controlμg/mlμg/mlμg/mlμg/mlμg/ml
Lag time7.334.334.174.174.174.17
Lag time SD000.170.170.170.17
ETP5928809031603.51256.51350
ETP SD0833463.577.572
Peak28.646.2351.3962.1677.1292.79
Peak SD0.810.740.873.231.025.15
tt Peak17.3312.8312.3312.331211.5
tt Peak SD0.670.170000.17
StartTail59645744.54964
Start Tail SD1070.520
Edited011001

[1023]

(MOD-5014 Derivative values for FIG. 65)
1.25 μg/ml2.5 μg/ml5 μg/ml10 μg/ml15 μg/ml
Lag time4.334.374.374.334.17
Lag time SD00.370.3700.17
ETP699.5822.593210881321.5
ETP SD6.539.5113126.5
Peak40.2849.3253.3364.1372.19
Peak SD0.411.911.723.652.76
tt Peak12.6712.3312.8312.8312.17
tt Peak SD0.3300.170.170.17
StartTail50.560.547.54849.3
Start Tail SD1.53.52.511.5
Edited01000

[1024]

(NovoSeven ® Derivative values for FIG. 67)
1.252.551015
Controlμg/mlμg/mlμg/mlμg/mlμg/ml
Lag time6.173.53.673.673.673.67
Lag time SD0.170.170000
ETP526.5671.5790.5795928955
ETP SD7.513.511.552744
Peak25.3440.3346.6653.8461.3565.69
Peak SD1.40.40.470.130.180.66
tt Peak1611.8311.511.511.6711.33
tt Peak SD0.330.120.170.1700
Start Tail56.553.55636.54144
Start Tail SD1.50.582.522
Edited001000

[1025]

(MOD-5014 Derivative values for FIG. 68)
1.25 μg/ml2.5 μg/ml5 μg/ml10 μg/ml15 μg/ml
Lag time43.83443.83
Lag time SD00.170.330.330.5
ETP587657.5723.5761833.3
ETP SD1121.549.5494.5
Peak35.3538.6242.5249.2853.34
Peak SD0.151.514.873.887.12
tt Peak11.8312.171312.6712.33
tt Peak SD0.170.170.6711
Start Tail48525139.564
Start Tail SD1267.50
Edited00001

[1026]

A similar pattern of dose-dependent response was observed in this study for both products; however, larger amplitude was obtained due to response enhancement by TF. Again, MOD-5014 demonstrated reduced activity that was more pronounced in comparison to the re-calcifications study, requiring a higher MOD-5014 concentration to provide a suitable overlay between the two (FIG. 66 (A-E) and FIG. 70 (A-C)). To study this further, an in vitro study was performed further investigating MOD-5014 and FVIIa affinity to TF and its effect on TG, as described below.

[1027]

Conclusions: Both products demonstrated a dose-dependent TG response when spiked to severe hemophilia A pooled plasma, with an initial poor response at concentrations mimicking clinical dose of 40-80 mg/kg. These results presumably suggest that doses lower than 40-80 μg/kg will not provide an adequate in vivo response. Furthermore, MOD-5014 demonstrated a reduced TG performance when spiked at a similar concentration as NovoSeven®, suggesting that a slightly increased concentration (30-40%) might be needed in the clinical setting to provide proper initial hemostatic effect which is comparable to that of NovoSeven®.

[1028]

Objective (II): Comparative In Vitro Assessment of MOD-5014 and NovoSeven® Affinity to TF

[1029]

FVIIa seems to have at least two independent effector mechanisms: the tissue factor (TF)-dependent FVIIa-mediated activation of factor X (FX), which is the classic inducer of the extrinsic pathway of coagulation, and a TF-independent activity of high-dose FVIIa on endogenous phospholipid (PL) surfaces of monocytes or platelets. MOD-5014 demonstrated reduced activity when compared to NovoSeven® that was more pronounced in the presence present of TF. Higher MOD-5014 concentrations were required to provide a suitable overlay between the two compounds (FIG. 66 (A-E) and FIG. 70 (A-C)). Although it was previously reported that MOD-5014 affinity to TF was similar to NovoSeven® as measured by SPR and in vitro activation assays, the objective of this study was to further investigate this in vitro affinity of MOD-5014 and FVIIa to TF by TG.

[1030]

MOD-5014 and NovoSeven® were spiked at an escalating range of concentrations to severe hemophilia A pooled plasma, in the presence of escalating concentrations of TF. The study was repeated twice, and the results of each run are provided in FIGS. 73-88 and Tables 85-90.

[1031]

(Derivative Values for FIG. 73)
NovoSevenMOD-5014
TFTFTFTFTFTFTFTFTFTF
0 pM0.5 pM1 pM2.5 pM5 pM0 pM0.5 pM1 pM2.5 pM5 pM
Lag time35.673.672.332.531.33364.672.672.331.33
Lag time SD0000000000
ETP032646010381654026448411171598
ETP SD1−00001−0000
Peak10.7312.8822.4795.78233.678.239.0427.499.11231
Peak SD0000000000
tt Peak51.6719.33127.6755622.3310.3384.67
tt Peak SD0000000000
StartTail075583125075403325
Start Tail SD1−00001−0000
Edited0000000000

[1032]

(Derivative Values for FIG. 75)
NovoSevenMOD-5014
TFTFTFTFTFTFTFTFTFTF
0 pM0.5 pM1 pM2.5 pM5 pM0 pM0.5 pM1 pM2.5 pM5 pM
Lag time25.675.3332.671.67506.6732.633.67
Lag time SD0000000000
ETP033850310541652024544810341554
ETP SD1−00001−0000
Peak11.814.3326.4198.73252.429.3910.2722.5993.16240.75
Peak SD0000000000
tt Peak4119.6712.3584.6756.3522128.355
tt Peak SD0000000000
StartTail072552424064563423
Start Tail SD1−00001−0000
Edited0000001000

[1033]

(Derivative values for FIG. 77)
NovoSevenMOD-5014
TFTFTFTFTFTFTFTFTFTF
0 pM0.5 pM1 pM2.5 pM5 pM0 pM0.5 pM1 pM2.5 pM5 pM
Lag time1883.332.671.6727.675.67331.67
Lag time SD0000000000
ETP396418858111115272353444909821514
ETP SD0000000000
Peak16.8518.6736.73117.89254.7910.4113.2228.2894.2261.12
Peak SD0000000000
tt Peak3120127.534.6740.6721.3310.678.334.67
tt Peak SD0000000000
StartTail75695929222675503821
Start Tail SD0000000000
Edited0000010000

[1034]

(Derivative values for FIG. 81)
NovoSevenMOD-5014
TFTFTFTFTFTFTFTFTFTF
0 pM0.5 pM1 pM2.5 pM5 pM0 pM0.5 pM1 pM2.5 pM5 pM
Lag time177.333.6731.6720.338.67431.67
Lag time SD0000000000
ETP7177186651012163339746075410591602
ETP SD0000000000
Peak23.8728.7341.1390.03236.5416.3819.9932.292.24236.43
Peak SD0000000000
tt Peak29.331913.678.33532.672133.678.675
tt Peak SD0000000000
StartTail76644534237672523425
Start Tail SD0000000000
Edited1100000100

[1035]

(Derivative values for FIG. 82)
NovoSevenMOD-5014
TFTFTFTFTFTFTFTFTFTF
0 pM0.5 pM1 pM2.5 pM5 pM0 pM0.5 pM1 pM2.5 pM5 pM
Lag time257.333.332.671.6732.6763.332.671.67
Lag time SD0000000000
ETP033373412301670031776011071605
ETP SD1000030000
Peak13.513.4526.75116.91252.510.7111.1530.41105.24244.68
Peak SD0000000000
tt Peak40.6723.3314.337.674.673021138.334.67
tt Peak SD0000000000
StartTail072753324075613124
Start Tail SD1000030000
Edited0000000100

[1036]

(Derivative Values of FIG. 83)
NovoSevenMOD-5014
TFTFTFTFTFTFTFTFTFTF
0 pM0.5 pM1 pM2.5 pM5 pM0 pM0.5 pM1 pM2.5 pM5 pM
Lag time21.33742.67226.3373.672.672
Lag time SD0000000000
ETP3884596791105158130235475410071531
ETP SD0000000000
Peak16.1821.9730.22109.4260.8612.2814.3428.58103.67254.16
Peak SD0000000000
tt Peak34.331914.337.674.6741.6721.3312.337.674.67
tt Peak SD0000000000
StartTail73645832237452693023
Start Tail SD0000000000
Edited1110010100

[1037]

Spiking with increasing concentrations of TF with fixed doses of either NovoSeven® or MOD-5014 provided a TF-dependent increase in TG performance, as reflected by reduced lag time and increased ETP and thrombin pick (FIGS. 79 (A-C), 80 (A-C), 87 (A-E) and 88 (A-E)). For both compounds at all doses and TF concentrations below 5 pM, poor to moderate TG response was observed as reflected by increased lag time and reduced ETP. A higher concentration of TF (5 pM) provided a pronounced improvement in the TG profile (FIGS. 79 (A-C), 80 (A-C), 87 (A-E) and 88 (A-E)). However, none of the tested compounds were able to provide a complete restoration of the TG as obtained with FVIII (FIGS. 71 and 72, and Table 82). Interestingly, increasing the concentrations of NovoSeven® or MOD-5014 at constant TF levels did not improve TG performance (FIGS. 79 (A-C), 80 (A-C), 87 (A-E) and 88 (A-E)), further emphasizing the importance of TF for the proper activity of both compounds.

[1038]

Comparison of the TG profiles of MOD-5014 and NovoSeven® by overlay analysis (FIGS. 74 (A-E), 76 (A-E), 78 (A-E), 82, 85 (A-C), 86 (A-E); Table 89) suggested a slight reduction in MOD-5014 response (estimated as 20-30% lower) without TF or at very low TF concentration (0.5 pM). As the level of TF increases, a similar response is observed at all MOD-5014 and NovoSeven® concentrations on both repeats (FIGS. 74 (A-E), 76 (A-E), 78 (A-E), 82, 85 (A-C), 86 (A-E); Table 89).

[1039]

Conclusion: This study further confirms the results in vitro by spiking both compounds at fixed concentrations in the presence of escalating concentrations of TF. The amount of TF in the sample was predominantly responsible for the increased TG response, further confirming a biological similarity between MOD-5014 and NovoSeven®.

[1040]

Objective (III) Comparative Assessment of MOD-5014 and NovoSeven® Activity Using Rotation Thromboelastography (ROTEM)

[1041]

Over the last decade, thromboelastography emerged as a valuable tool for monitoring hemostasis in coagulopathy, blood transfusion and clotting factor replacement therapy. In this respect, thromboelastography has been used in hemophilia, factor VIII or IX replacement therapy, and assessment of the effect of aFVIIa in hemophilia patients with inhibitors. ROTEM may be used for assessing of the effects of coagulation and anti-fibrinolytic agents in thrombocytopenia, Glanzmann's thrombasthenia and hemodilution. The objectives of the study were to compare the in vitro ROTEM performance of MOD-5014 and NovoSeven® in severe hemophilia A plasma at a range of concentrations which correlate to the proposed clinical doses, and assess the minimal effective dose as part of the preparations for the FIH study.

[1042]

The results of the experiments are presented in the Tables 91 and 92.

[1043]

Spiking FVIII-Deficient Plasma with Factor VIII
Clot timeα-angleMCF
TestTreatment(CT) (sec)(degrees)(mm)
NATEMIntactNo clotNo clotNo clot
FVIII13591715
INTEMIntact1123911
FVIII3357214

[1044]

Table 91 shows plasma clotting without FVIII and following plasma spiking with FVIII (1 U/mL), which was used as control compound in the study. In the NATEM test, no clotting was observed in the intact plasma, while spiking the plasma samples with FVIII was followed by slight clot formation. In contrast, in the INTEM test clot formation occurred in both intact and treated plasma, whereas in the latter it was much stronger (CT was shorter and the α-angle was 8-fold higher). Maximum clot firmness (MCF) was slightly increased. These results suggest that the intrinsic system (INTEM) may be a useful test for the assessment of FVIII-replacement in hemophilia A.

[1045]

The Effect of MOD-5014 and Novo Seven on Clot Formation in FVIII-
Deficient Plasma
Conc.Clot timeα-angleMCF
TestTreatment(μg/mL)(sec)(degrees)(mm)
NATEMControlNo clotNo clotNo clot
NovoSeven2.5No clotNo clotNo clot
10ndndnd
1511002016
MOD-50142.5No clotNo clotNo clot
1016011012
1512441415
INTEMControl1123911
NovoSeven2.581012.510
105312513
154722612
MOD-50142.579714.512
1061122.514.5
156602713
EXTEMControl40419.510.5
NovoSeven2.537120.512.5
103402713
153773014
MOD-50142.535522.512.5
1032428.514
153233013.5
nd—not determined

[1046]

Table 92 shows the effects of FVIIa on clot formation in FVIII-deficient plasma.

[1047]

Recalcification with contact activation of plasma (INTEM test): CT was shorter and the α-angle increased gradually in plasma treated with both types of FVIIa at 2.5 and 10 μg/mL compared to non-treated plasma. By increasing FVIIa concentration to 15 μg/mL, the changes in clot formation did not differ from that of plasma treated with 10 μg/mL FVIIa. No difference was found between the activities of MOD-5014 and NovoSeven.

[1048]

Recalcification with activation of the extrinsic pathway (EXTEM test): There was a decrease in CT and increase of MCF in both MOD-5014 and NovoSeven-treated plasma compared to non-treated plasma. An increase in clot propagation (α-angle) was observed to a similar extend in plasma treated with both agents at 2.5 and 10 μg/mL, with no further change at 15 μg/mL.

[1049]

Conclusions: INTEM appeared to be the most reliable test among the different ROTEM tests utilized to compare the activity of MOD-5014 and NovoSeven. A dose of 2.5 μg/ml, which mimics an in vivo dose of 80 μg/kg, resulted in a low response for both compounds as reflected by slightly decreased clotting time, and increased α-angle compared to non-treated plasma, tested utilizing both INTEM and EXTEM. Increasing concentrations of MOD-5014 and NovoSeven® to 10 and 25 μg/ml was followed by dose-dependent stimulatory effect on clot formation. The results also demonstrate no essential difference in the effects of either agent on clot formation, providing very similar ROTEM values at both agents.

Example 14: Assessment of Mod-5014 Pharmacokinetics, Pharmacodynamics and Correction of Hemophilic Coagulopathy in Dogs with Hemophilia A (FVIII Deficiency)

[1050]

Study Objective—The objective of the current study was to evaluate and characterize MOD-5014 pharmacokinetics, pharmacodynamics, and correction of hemophilic coagulopathy in dogs with severe hemophilia A (FVIII deficiency, <0.01% FVIII).

[1051]

Justification of Test System

[1052]

The Chapel Hill hemophilia A dog colony has the advantage of no detectable FVIII activity in FVIII bioassays and chromogenic assays, and little or no FVIII antigen by ELISA (<0.005 U/ml). This model has been used in the past as part of the non-clinical pharmacological characterization of different clotting factors. It has been proposed that this model can provide an accurate recapitulation of human biology within the particular area of hemostasis, and provide comparable PK/PD parameters to those previously observed in human studies. In addition, TEG, which is used as a screening tool assessing overall hemostatic dysfunction or correction in clinical setting has been shown to be a predictive tool in this model as well suggesting further correlation between human and dog hemostasis.

[1053]

Materials and Methods

[1054]

Materials—MOD-5014: 2.6 mg/ml, stored frozen (−60 to −80° C.). No dose formulation preparation was required. Materials were thawed to room temperature prior to administration.

[1055]

The pre-formulated dosing formulation was handled aseptically and administered as received; no dose formulation preparation was required. Test article (MOD-5014) was thawed only once prior to dosing. The test article was removed from frozen storage and thawed to room temperature prior to administration.

[1056]

Method: Ex vivo phase: The ex vivo phase was conducted according to Knudsen et al 2011, Haemophilia. 17(6):962-970, in order to establish the minimal effective dose which would support dose selection for the in vivo study.

[1057]

During the first phase, dose dependent ex vivo Whole Blood Clotting Time (WBCT) and Thromboelastography (TEG) assessments of MOD-5014 spiked into fresh blood, from two individual FVIII deficient dogs, were performed. The lowest dose of MOD-5014, which significantly improved the TEG and WBCT performance, was considered the minimal effective dose. Based on the first phase and the establishment of the minimal effective dose, the doses for the in vivo second phase were selected.

[1058]

Fresh canine blood was drawn from two individual FVIII hemophilic dogs and analyzed independently in order to confirm reproducibility of results. Briefly, 15 mL of canine blood were drawn into a syringe, transferred to a conical tube and spiked with MOD-5014 to final concentrations of 0.568, 1.136, 2.273, 4.545, and 9.909 μg/mL, which correlates to anticipated in vivo Cmax following administration of 50, 100, 200, 400, 800 μg/kg of MOD-5014 in FVIII deficient dogs assuming the following: Canine estimated weight is 20 kg and Blood volume for each animal is 40 mL/lb (88 mL/kg).

[1059]

Blood from these spiking was assayed within <5 min of adding the test material as follows:

[1060]

Step 1: Whole Blood Clotting Time (WBCT): 1 mL of blood spiked with MOD-5014 to designated final concentrations was used for the WBCT. Briefly, the whole blood clotting time (WBCT) is a modification of the Lee-White clotting time using two siliconized glass tubes (Vacutainer™ #6431, Becton-Dickinson, Rutherford, N.J.) in a 28° C. water bath. One mL of whole blood spiked with MOD-5014 at designated concentrations was split equally between two siliconized tubes. A timer was started. After one minute, one tube was tilted every 30 sec, the other left undisturbed. When a clot was formed in the tilted tube, the second tube was then tilted every 30 sec until a clot formed. The time for formation of a fully gelled clot in the second tube was recorded as the WBCT. In naïve hemophilia A dogs, the WBCT is generally >40 minutes but can be >60 min The test is stopped if the value exceeds 60 min.

[1061]

Step 2: Thromboelastography: 1 mL of blood spiked with MOD-5014 to designated final concentrations was mixed with Kaolin (Lot # is provided by Haemoscope), 360 μl of this mixture was placed in the cup for testing. TEG recordings were allowed to proceed for approximately 90 min. A typical range of TEG values is provided in the Table 93 below.

[1062]

Thromboelastography Typical Range of Values
TEGAngle
(Kaolin activated)R (min)K (min)(degrees)MA (mm)
Normal (n = 2)7.4 ± 1.11.6 ± 0.267.2 ± 2.961.4 ± 20.6
Hemophilia A>60NANANA
(n = 2)

[1063]

The lowest dose that demonstrates significant clotting improvement will be used as the initial dose for the in vivo study, proposing proper monitoring of blood clotting and hemostasis as measured during the phase II of the study and by utilizing the different assays as described below.

[1064]

Method: In vivo phase: Six naïve mixed breed Chapel Hill hemophilia A dogs (Canis familiaris) weighing approximately 20 kg were used in this study. Dogs received IV doses of 50 μg/kg (N=2), 200 μg/kg (N=4), 400 μg/kg (N=2), or 600 μg/kg (N=2) MOD-5014. Doses were given as a 5 minute IV infusion. Blood samples were collected for concentration and activity measures by transcutaneous puncture of the cephalic vein prior to dosing, and at 0.25, 0.5, 1, 2, 4, 6, 8, 12, 24, 32, 48, 72 and 96 hours post-dosing. Four dogs were administered twice with MOD-5014 during a period of up to 8 days, and 2 additional dogs were administered once. The study was designed as a dose-staggered escalating study, i.e. following each injection in-time clotting analysis determined the timing of the next dose.

[1065]

During the in vivo phase, MOD-5014 pharmacokinetics and pharmacodynamics were analyzed, and WBCT, thromboelastography, aPTT, basic clinical pathology, and a clinical observation (based on animal behavior) were assessed. Bioanalytical assessment was conducted for the test article.

[1066]

In Vivo Phase—Part A

[1067]

During the first part, 2 naïve dogs were injected on day 1 with an initial dose of 50 μg/kg MOD-5014 and monitored for WBCT and TEG performance Once these values returned to baseline (pre-dose), a second dose of 200 μg/kg MOD-5014 was injected. Table 94 presents the outline of Part A.

[1068]

Study design Part A
injection
injectionAnimalDose
Ani-TestInjectionDoseDoseWeightVolume
malArticletime pointRoute(μg/kg)(Kg)(mL/animal)
N06MOD-T = 0IV50200.384
5014
N06MOD-T = 48 hrIV200201.538
5014(post ini-
tial dose)
P14MOD-T = 0IV5022.60.434
5014
P14MOD-T = TBDIV20022.61.736
5014(post ini-
tial dose)

[1069]

In Vivo Phase—Part B

[1070]

During the second part and following the completion of the Part A, two additional naïve dogs were injected on day 1. The animals were again monitored for WBCT and TEG performance Once those values returned to baseline (pre-dose), a second dose was injected. Table 95 presents the outline of Part B.

[1071]

Study design Part B
injection
injectionAnimalDose
Ani-TestInjectionDoseDoseWeightVolume
malArticletime pointRoute(μg/kg)(Kg)(mL/animal)
BlondieMOD-T = 0IV20020.81.6
5014
BlondieMOD-T = 48IV40020.83.2
5014(post ini-
tial dose)
JosieMOD-T = 0IV20020.51.576
5014
JosieMOD-T = 48IV40020.53.15
5014(post ini-
tial dose)

[1072]

In Vivo Phase—Part C

[1073]

During Part B and following he completing of Part A, two additional naïve dogs were injected on day 1 (Table 96).

[1074]

Study design of Part C
injection
injectionAnimalDose
Ani-TestInjectionDoseDoseWeightVolume
malArticletime pointRoute(μg/kg)(Kg)(mL/animal
JoanieMOD-T = 0IV60020.64.75
5014
N05MOD-T = 0IV60018.44.24
5014

[1075]

Justification for Route of Administration

[1076]

The intravenous route is the intended route of administration of this test article in humans

[1077]

Justification of Dose Levels

[1078]

The dose levels were selected on the basis of the proposed dose range which was previously tested for rhFVIIa and the dose range considered for further assessment in the Phase I study.

[1079]

In order to assess the hemostatic potential of MOD-5014 which will enable the prediction of the minimal effective dose in Hemophilia A dogs prior to infusion, a range of doses was evaluated in WBCT and TEG spiking studies at a dose range that approximates the maximal expected level following in vivo IV administration. In both assays, spiking of MOD-5014 at the lowest dose (0.568 μg/mL, which corresponds to 50 μg/kg) demonstrated a minor improvement in hemostatic effect that improved as concentrations increased but without a complete normalization of TEG values, in line with Knudsen et al., 2011. Based on the obtained results the lowest dose to be further studied in vivo was the lowest assessed dose i.e. 50 μg/kg.

[1080]

Administration

[1081]

Administration was by IV. The test article was administered up to 2 times during 8 days. Approximately 10% of the test article was injected over ˜1 min and the dog was observed for any obvious clinical reaction (e.g., urticaria and listlessness). When the dog was considered as tolerant to the injection, the remaining 90% was infused over 1 to 5 minutes. The injection time and volume were recorded.

[1082]

Different doses were provided by varying the dose volume. Administration of test article was followed by a saline flush.

[1083]

The animals were fasted prior to dosing.

[1084]

Study Evaluations

[1085]

Physical examinations: dogs underwent a general examination prior to study entry, and only those with normal general examinations were included.

[1086]

Cage side observations: any concerns regarding the animal's behavior or general health noted in the clinical examination of the animal were recorded.

[1087]

Detailed clinical observations: During the infusion phase of the study, blood sampling was performed.

[1088]

Body weights were recorded at the start of the study and between Days 7 and 14 following study initiation.

[1089]

Food consumption: Dogs were fed their usual amount of food on a daily basis and observed for food consumption.

[1090]

Clinical Pathology

[1091]

Clinical pathology evaluations were conducted on study animals at pre-dose. Platelet counts, WBC, HCT, and HGB were performed by FOBRL. Samples were collected for further clinical chemistry tests should any clinical events have occurred.

[1092]

Plasma Analysis

[1093]

Sample Collection and Handling

[1094]

All blood samples were taken by transcutaneous puncture of the cephalic vein using a 21 G or comparable butterfly needle. 10 mL of blood was collected in a 10 mL syringe containing 1 mL anticoagulant (3.2% sodium citrate [0.12M]). The sodium citrate was diluted 1:10 as the blood was collected, according to standard lab protocol. The 10 mL blood sample was transferred from the syringe to a 15 mL polypropylene conical tube and gently inverted to ensure mixing without hemolysis. The blood was then centrifuged at 3000 g for fifteen minutes without brake at 4° C. Following centrifugation, the plasma supernatant was transferred into new 15 mL polypropylene conical tube and centrifuged at 3000 g without brake at 4° C. for an additional 7 minutes, to ensure sufficient separation of plasma from other blood materials. After the second centrifugation, plasma from each sample was transferred by a polypropylene pipette to a polypropylene tube and immediately placed in a −80° C. freezer.

[1095]

Multiple aliquots of 100 μL of plasma were transferred to Micronics tubes (or comparable) and frozen rapidly (−80° C.). Except for WBCT and TEG, all assays (enzyme-linked immunosorbant assay [ELISA], activated partial thromboplastin time [aPTT], and thrombin generation assay [TGA]) were performed in batch for all animals after the infusion and sampling were completed.

[1096]

MOD-5014 ELISA

[1097]

MOD-5014 ELISA was performed utilizing an assay that specifically and selectively detects MOD-5014, utilizing a commercially available anti-FVIIa antibody (Ab) and an in-house polyclonal anti-CTP Ab. Citrated plasma samples were collected at pre-dosing (i.e. baseline), 15 min, 30 min, 1, 2, 4, 6, 8, 12, 24, 32, 48, 72, and 96 hours.

[1098]

FVIIa Clotting Activity

[1099]

FVIIa clotting activity was measured utilizing the commercially available STACLOT VIIa-rTF kit (Ref #00281, Stago) adjusted to quantitate FVIIa activity in hemophilic dog matrix.

[1100]

WBCT

[1101]

The WBCT assays were performed by a two-tube procedure at 28° C., and tested after collection. One mL of whole blood was collected with 1 mL syringe and was divided equally between two siliconized tubes (Vacutainer™, #6431, Becton-Dickinson, Rutherford, N.J.). The first tube was tilted every 30 sec. Following clot formation, the second tube was tilted and observed every 30 sec. The endpoint was the clotting time of the second tube. In this study, WBCT was performed by FOBRL at pre-dosing (i.e. baseline), 15 min, 1, 2, 4, 6, 8, 12, 24, 48, 72, and 96 hours, or until baseline values were reached.

[1102]

TEG

[1103]

Blood for TEG was drawn at each sampling point and tested at FOBRL/UNC within 2 min post-collection using the Haemoscope TEG 5000 Thromboelastography Analyzer according to the manufacturer's instructions. Briefly, the first 3 mL of blood were discarded, then 1 mL of blood was drawn and mixed with Kaolin (Lot #A-30-05, provide by Haemoscope). 360 μL, of this premixed blood/initiator was placed in the instrument and analyzed. TEG recordings were allowed to proceed for approximately 60-90 min. The test was performed at pre-dosing (i.e. baseline), 15 min, 1, 2, 4, 6, 8, 12, 24, 48, 72, and 96 hours, or until baseline values were reached.

[1104]

aPTT

[1105]

aPTT was determined at FOBRL/UNC using the ST4 coagulation instrument (Diagnostica Stago, Asnieres, France). The test mixture consisted of equal portions of partial thromboplastin reagent (Triniclot, Diagnostica Stago), 0.025 M CaCl2and citrated test plasma. Samples were tested at pre-dosing (i.e. baseline), 15 min, 1, 2, 4, 6, 8, 12, 24, 48, 72, and 96 hours.

[1106]

Data Analysis

[1107]

Non-compartmental analysis and pharmacokinetic modeling were performed on individual animal data with Phoenix WinNonlin version 6.3 (Pharsight Corporation, Sunnyvale, Calif.). Analysis was performed on MOD-5014 plasma concentration data as well as on activity data assuming an initial specific activity of 15,563 units/mg.

[1108]

For non-compartmental analysis a program for IV infusion was used. The area under the curve from time zero to the last measureable time point (AUC0-t) was estimated using the trapezoidal method. Log-linear regression over the last three or more time points was used to estimate the elimination constant (λ) which was used to estimate the terminal half-life (t1/2) and AUC from zero to infinity (AUC0-∞) from the following equations:
t1/2=ln(2)/λ
AUC0-∞=AUC0-t+Ct
where Ct is the last measureable concentration. Plasma clearance (CL) was calculated from dose divided by AUC0-∞. The maximum concentration (Cmax) and the time it was observed (Tmax) were determined directly from the data. Since the analysis was based on an IV infusion, the concentration at the start of infusion was set to 0 and an initial volume of distribution was not calculated.

[1109]

For pharmacokinetic modeling, various models and fitting strategies were investigated including evaluation of one-, two-, and three-compartment models and different weighting schemes.

[1110]

Models were evaluated based on the correlation of observed and predicted concentrations, the relative values of parameter estimates and error estimates, and the Akaike Inclusion Criterion, a mathematical evaluation for comparing one model to another.

[1111]

Both plasma concentration and activity versus time data were described best by a two-compartment model. Concentration data were weighted by the inverse of the square of the predicted concentration and activity data were weighted by the inverse of the predicted concentration. The weighting schemes prevent the early, high concentrations from exerting too much influence over the curve fit. The model is illustrated in FIG. 90.

[1112]

The model generates estimates for the volume of distribution of the central compartment (V1), the elimination rate constant k10 and the inter-compartmental rate constants, k12 and k21. The central compartment is the compartment into which drug is administered and from which samples are collected, in this case, vascular space. The rate constants associated with the distribution and elimination phases of the curve, α and β, are calculated from to intercompartmental rate constants. Other parameters calculated from the primary parameters include AUC, Cmax, Tmax, CL, MRT and the half-lives associated with the distribution and elimination phases of the curve (t1/2α, t1/2β).

RESULTS

[1113]

Ex Vivo Study Results:

[1114]

WBCT

[1115]

WBCT was measured following spiking of MOD-5014 to the blood of two individual hemophilic A dogs, at final concentrations ranging from 0-9.09 μg/mL, which are calculated to be equivalent to in vivo Cmax following administration of 50, 100, 200, 400, 800 μg/kg of MOD-5014, respectively. The baseline (pre) WBCT value was different between the two dogs, but within the acceptable range for Hemophilia A animals (see Table 97).

[1116]

WBCT Following MOD-5014 Spiking Canine Blood
DogConc.WBCTConc.WBCT
ID(μg/mL)(min)Dog ID(μg/mL)(min)
P220 (Pre)41.5O930 (Pre)52
P220.56837O930.56842.5
P221.13634.5O931.13645.5
P222.27333.5O932.27341.5
P224.54535.5O934.54540
P229.0932.5O939.0934

[1117]

Significant reduction in WBCT was observed as MOD-5014 concentration increased with optimal correction (˜30 min, based on internal laboratory assessment) at the highest range of MOD-5014 concentrations, as presented in Table 97 and FIG. 89.

[1118]

For Dog P22, a lower WBCT baseline was observed and lower MOD-5014 concentrations were effective, while Dog O93 required higher MOD-5014 concentrations to reach the target WBCT value due to its higher baseline value.

[1119]

Thromboelastography

[1120]

MOD-5014 at a range of doses was spiked independently into whole blood from two Hemophilia A dogs and was used to simulate a relevant concentration in blood shortly after IV injection of doses ranging from 50-800 μg/kg. Kaolin—TEG parameters were improved at a dose dependent manner with some fluctuation and variability between the two individuals due to assay variability or technical error (Table 98).

[1121]

Effect of MOD-5014 spiked in canine hemophilia blood assessed by Kaolin-activated TEG
Thromboelastography (Kaolin)
DogConc.RKMADogConc.RKMA
ID(μg/mL)(min)(min)Angle(mm)ID(μg/mL)(min)(min)Angle(mm)
P220 (Pre)>60.0O930 (Pre)>60.0
P220.56843.423.29.338O930.56840.813.215.146.1
P221.13637.21217.748.4O931.13638.110.119.636.4
P222.27341.9249.649.4O932.27332.414.515.340.1
P224.54532.812.217.749.3O934.54536.414.314.850.3
P229.0926.8n/a12.6n/aO939.0931.49.416.741.7

[1122]

The obtained values were comparable to the ones reported at Knudsen et al 2011, for recombinant rhFVIIa, taking to account the reduced specific activity of MOD-5014 (2.3-2.5 fold reduction in FVIIa specific activity) and lower FVIIa content (72.3%).

[1123]

Conclusion: In both assays, the lowest dose of 0.568 μg/mL, which corresponds to 50 μg/kg, demonstrated an improvement in hemostatic effect which improved as concentrations increased without a complete normalization of TEG values, aligned with Knudsen et al 2011.

[1124]

In Vivo Study Results:

[1125]

In-Life Clinical Examinations

[1126]

All infusions were well-tolerated. No injection site reactions were noted. No significant changes in hemoglobin, hematocrit, white blood cell count, or platelet counts was noted. No changes in appetite or other behaviors were noted during the study period. Since no clinical events occurred during the study period, additional clinical chemistry parameters (e.g. liver enzymes and renal function) were not performed.

[1127]

Plasma, Pharmacokinetic and Clotting Analysis

[1128]

The pharmacokinetics data is presented in Tables 99 and 100 below.

[1129]

FIG. 91 and FIG. 92 present the mean MOD-5014 plasma concentration and activity over time following IV infusion. Plasma concentrations show an initial, relatively fast decline over the first 8 to 12 hours followed by a slower decline. Activity declines over time falling below the lower limit of the assay (12.6 mU/mL) after about 32 hours in the 50 μg/kg group and beyond 48 hours in the 200 and 400 μg/kg groups. Activity data from the 600 μg/kg dose group at 72 hours and beyond are excluded from the analysis because the results were increasing with time and not consistent between the two animals.

[1130]

FIGS. 93(A-B) through FIGS. 96(A-B) plot the concentration and activity together for each dog.

[1131]

In the 50 and 200 μg/kg dose groups (FIGS. 93(A-B) and 94(A-D)), concentration and activity followed similar patterns through 8 to 12 hours after infusion and then concentrations tended to level off while activity continued to decline until it dropped below the level of the assay. In the 400 and 600 μg/kg groups (FIGS. 95(A-B) and 96(A-B)), activity appeared to drop somewhat faster than concentration starting immediately after infusion. Concentration curves tended to level off while activity curves declined faster until they dropped below the assay limit or, in the case of the 600 μg/kg group, were excluded from analysis.

[1132]

Results of non-compartmental analysis are shown in Table 99 and Table 100 for concentration and activity data, respectively. Results of non-compartmental analysis indicated that AUC0-twas nearly as large as AUC0-∞in all cases indicating that the duration of sampling was adequate to describe the pharmacokinetic and pharmacodynamic profiles. FIGS. 97(A-J) and FIGS. 98(A-J) show the concentration and activity versus time for each dog. The estimated terminal slope is represented on these graphs by a solid line. Each graph also contains information related to the estimation of the terminal slope including the coefficient of determination (Rsq and Rsq_adjusted), the number of points used to estimate the slope, and the terminal tin, (HL_Lambda_z).

[1133]

With one exception (in the 200 μg/kg group) plasma concentration and activity levels both were highest at the first time point measured (0.25 hr). Both concentration and activity were dose related and approximately dose proportional as indicated by the Cm/Dose and CL parameters estimates across dose groups. By both concentration and activity measures, CL appeared to be somewhat faster at the lowest dose. At the lowest dose, concentrations and activity dropped below the assay limits after 32 hours, possibly limiting the full characterization of the pharmacokinetics at this dose. CL was similar based on concentration measurements compared to activity measurements. The t112estimated based on concentrations were much longer after the 400 and 600 μg/kg doses (>40 hours) compared to the 200 μg/kg group (19.3 hours) and the 50 μg/kg group (7.76 hours). Terminal t112based on activity was approximately 3 to 5 hours and similar across dose groups.

[1134]

Estimates of AUC and CL based on the models agreed very well with those derived from non-compartmental analysis. The apparent volume of distribution derived from the models was approximately 90 to 120 mL/kg (larger in the low dose group) based on plasma concentrations and 40 to 70 mL/kg based on activity. The t1/2βestimated by the models for both plasma and activity measurements were very similar to the terminal t1/2estimated by non-compartmental analysis.

[1135]

MRT is an estimate of the time an individual drug molecule is in circulation. MRT estimates were consistent across dose groups based on activity, approximately 4 to 7 hours. Based on concentration, MRT was longer at the higher doses (approximately 25 hours) compared to the 200 and 50 μg/kg groups (16.6 and 11.7 hours, respectively).

[1136]

Parameters calculated for concentration and activity data by non-compartmental analysis are summarized in the tables below. With the exception of the 50 μg/kg dose group in which the characterization of the pharmacokinetics may have been limited by assay sensitivity, plasma clearance was similar across dose groups when measured both by plasma concentration and by activity.

[1137]

Mean MOD-5014 Pharmacokinetic Parameters Based on
Concentration Measurements Following IV Infusion in
Dogs Estimated by Non-compartmental Analysis
DoseCmaxTmaxAUC0-∞CLT1/2
(μg/kg)(ng/mL)(hr)(hr * ng/mL)(mL/hr/kg)(hr)
503710.250223022.87.76
20022100.3131500013.519.3
40043800.2503810010.747.6
60052800.2504700012.845.8

[1138]

Mean MOD-5014 Pharmacokinetic Parameters Based on Activity
Following IV Infusion in Dogs Estimated by Non-compartmental Analysis
CL
DoseDoseCmaxTmaxAUC0-∞(mL/T1/2
(μg/kg)Units/kg(mU/mL)(hr)(hr*mU/mL)hr/kg)(hr)
50778.15108000.2502990026.23.34
2003,112.6521000.25017200018.24.72
4006,225.21040000.25040400015.64.72
6009,337.81550000.25070000013.45.22

[1139]

It was previously reported that, following administration of rhFVIIa to hemophilic dogs, its half-life based on antigen FVIIa level was 3 hr, and based on activity 1.8 hr (Knudsen et al., 2011, summarized below in Table 101).

[1140]

ConcentrationActivity
MeasurementsMeasurements
CLT1/2CLT1/2
(ml/hr/kg)(hr)(ml/hr/kg)(hr)
NovoSeven ®24.5346.11.8
(270 μg/kg)
Knudsen et
al. 2011

[1141]

The attachment of CTP to FVIIa significantly increased the half-life to 19.3-45 hr and 4.72-5.22 based on antigen and activity level, respectively, thus extending product half-life by an average of 3-5-fold compared to reported data. Clearance was affected in a similar manner, and was significantly reduced by 2-3-fold as compared to Knudsen et al. 2011.

[1142]

Whole Blood Clotting Time (WBCT) Analysis

[1143]

WBCTs were tested after collection by FOBRL at pre-dosing (i.e. baseline), 15 min, 1, 2, 4, 6, 8, 12, 24, 48, with the aim to monitor it until baseline values were achieved. As presented in Table 102, the average pre-dose WBCT time of all animals was actually at the lower range of hemophilic dogs anticipated WBCT (50-35 min).

[1144]

WBCT Analysis
TimeBlondieBlondieJoanieJosieJosieN05N06N06P14P14
(hr)200 ug/kg400 ug/kg600 ug/kg200 ug/kg400 ug/kg600 ug/kg50 ug/kg200 ug/kg50 ug/kg200 ug/kg
031283032.539.539.53730.54540.5
0.2524.52427303129.5313035.538
115.52529.5292830.531.526.535.519
2242630.53426.531352838.538
4272831363229.535.5283642
627263231.5343133.5314938.5
832.526.531.535.53139.530.529.54038
12312937.538.53730183134.533
2428.53441344239.530.532.53847
4828343139.5422930.527.540.527.5
72n/an/an/an/an/an/an/an/an/an/a
96n/an/an/an/an/an/an/an/an/an/a
168n/a3128n/a3030.5n/a32n/a31
336n/a31.5n/an/a29n/an/a33.5n/a40

[1145]

MOD-5014 Characterization in Hemophilic Dogs by Whole Blood Kaolin-Thromboelastography (WB Kaolin-TEG)

[1146]

Kaolin-TEG parameters were monitored at designated time points post MOD-5014 administration for all dogs and at all doses. The objectives of this specific analysis were to characterize the kinetics of TEG with time, to assess the minimal dose in which normalization of the different parameters (R, K, Angle, MA) occurred across different animals, the dose-dependent response within individuals and to finally compare the overall TEG profile following MOD-5014 administration to published data for rhFVIIa at a similar dose range as well as to normal values obtained in healthy dogs (Knudsen et al., 2011). The individual data is provided in FIGS. 101 (A-D), 102 (A-D), 103 (A-D), 104 (A-D), 105 (A-D) and 106 (A-D).

[1147]

MOD-5014 Whole Blood Kaolin-TEG Performance Following Administration at Different Doses

[1148]

The initial dose of 50 μg/kg administered to 2 dogs was unable to significantly improve TEG performance, as reflected by poor R, K, angle and MA values post-administration (animal P14; FIGS. 102 (A-D)), but the majority of the parameters were improved when the dose was increased to 200 μg/kg. In the second animal (N06) TEG values were also not improved following administration of 50 μg/kg MOD-5014; this might be a consequence of the partially normalized TEG values at pre-dose, which potentially had a direct effect on the poor post-administration response, although no further improvement was observed post-dosing. Based on the above it was proposed that the 50 μg/kg dose is not adequate to support and correct the hemostatic defect in the tested dogs.

[1149]

Administration of 200 μg/kg MOD-5014 in the majority of the animals corrected the TEG parameters to values which are still below normal range, yet provided an effect which is significantly more pronounced than the 50 ug/kg dose. At a dose of 400 μg/kg a slight improvement in TEG values and a prolonged response was obtained (FIGS. 102 (A-D); 103 (A-D) and 104 (A-D)). When dosing two different animals with 600 μg/kg, the response in one animal (Joanie; FIG. 105 (A-D)) was comparable to animals dosed with 400 μg/kg. While the K time, Angle and MA values in animal N05 (FIG. 106 (A-D)) reached the normal range, this might also be a consequence of improved pre-dose values and inter-animal variability. It appears that administration of MOD-5014 at a range of doses enabled partial correction of TEG values, while the optimal minimal effective dose was at the range of 200-400 μg/kg of MOD-5014.

[1150]

Intra-Animal Variability of MOD-5014 Whole Blood Kaolin-TEG Dose-Dependent Response

[1151]

An intra-animal dose-dependent improvement was observed when a higher dose was injected to the same animal Some variation at different time points was observed, that could reflect normal biological variation (FIGS. 101 (A-D), 102 (A-D), 103 (A-D), 104 (A-D), 105 (A-D) and 106 (A-D)). The improvement was most pronounced when dosing at 200 and 400 μg/kg (Blondie and Josie), as presented in FIGS. 101 (A-D), 102 (A-D), 103 (A-D), 104 (A-D), 105 (A-D) and 106 (A-D).

[1152]

Reproducibility of MOD-5014 Whole Blood Kaolin-TEG Results Between Individuals (Inter-Animal Variability)

[1153]

As observed in FIGS. 101 (A-D), 102 (A-D), 103 (A-D), 104 (A-D), 105 (A-D) and 106 (A-D), although animals corrected TEG values following administration of MOD-5014, they demonstrated different profiles through the time of measurement. This might be a result of biological variability, considering the different genetic background of each animal and the slight differences in pre-dose values. The observed variation actually mimics the clinical setting, in which individual TEG values may vary between individuals receiving similar dosing, and may eventually translate to different efficacy and bleeding control capability of FVIIa.

[1154]

MOD-5014 as a Long-Acting Product

[1155]

Comparison of the correction capability of MOD-5014 and rhFVIIa suggests that MOD-5014 maximum and minimum values are very similar to the results reported for hFVIIa. However, a marked improvement in the duration of the reaction was observed with MOD-5014. Following hFVIIa administration the majority of the hFVIIa analyzed parameters dropped back to baseline 4 hours post-dosing (FIGS. 107(A-D)), while MOD-5014 enables an extended effect reaching baseline values 24 hours post-dosing and provides a more sustained and prolonged response (FIGS. 108(A-D); marked with black arrows). The data suggests that the duration of the TEG response correlates to FVIIa short PK-PD profile in hemophilic dogs, which was further investigated, subsequently confirming the extended response following MOD-5014 administration.

[1156]

Activated Partial Thromboplastin Time (aPTT) Performance

[1157]

Using the Triniclot reagent as activator and a 60 second incubation, the aPTT values for canine hemophilia A plasma were 65.6 seconds (data not shown). Following MOD-5014 administration, aPTT was reduced in a dose-dependent manner down to 40 sec. When comparing this information to previously reported data, it was found to be very similar to the values obtained pre- and post-administration of 193 μg/kg rhFVIIa to a FVIII-deficient dog (Brinkhous et al., 1989), while a retrospective analysis suggests a prolonged effect when administrating 200 μg/kg MOD-5014, with a subsequent return to baseline aPTT values 24 hours post-dosing.

[1158]

Conclusions: In this study, the safety, PK, PD and hemophilic coagulopathy correction ability of a novel, long-acting FVIIa (MOD-5014) was assessed in FVIII-deficient dogs. MOD-5014 was administered in relevant clinical doses, while the potential minimal effective dose in the dogs was initially established based on an ex vivo study.

[1159]

MOD-5014 was well tolerated by all dogs and no adverse events were observed. Dose-dependent response was observed in both the PK and PD (activation measurement) analyses, further confirming the long-acting properties of MOD-5014 in comparison to published parameters (Knudsen et al. 2011).

[1160]

Recombinant human FVIIa has been shown previously to be efficacious in treating hemophilic canine bleeds. A marked improvement of TEG coagulation profile was observed following administration of MOD-5014 at doses of 200-400 μg/kg, while a lower dose of 50 μg/kg was unable to correct TEG values, suggesting that it is below the minimal effective dose in dogs. A dose-dependent response was observed following MOD-5014 administration, while inter-individual variation was higher than expected and might be a consequence of biological variability. When comparing MOD-5014 performance to published data, MOD-5014 had a pronounced and prolonged effect at lower doses (270 and 200 μg/kg, respectively). MOD-5014 in vivo activity was also reflected by a reduction in aPTT values, further confirming a sustained activation of the coagulation system.

[1161]

In general, testing MOD-5014 in hemophilic dogs offers several advantages over rodent models such as mice and rats. Hemophilic dogs exhibit a disease phenotype closely recapitulating that of humans; moreover, dogs are more comparable with humans in regard to body weight as well as to FVIIa dosing requirements and to pharmacokinetic characteristics.

[1162]

Overall, this study further confirmed the longevity of MOD-5014 in a relevant, well-established model previously shown to provide an accurate recapitulation of human biology, specifically with respect to hemostasis. The data obtained in this study have significant value and provide the first evidence that MOD-5014 is a safe and effective long-acting FVIIa in large animals that can be used potentially as an agent for both prophylactic and on-demand treatment of hemophilic patients with inhibitors. Thus, MOD-5014 has a tremendous potential to significantly benefit patients by reducing the frequency of administration and enabling prophylactic use.

Example 15

Comparitive Evaluation of MOD-5014 and Recombinant FVIIa Thrombogenic Potential Following Single

Adminstration in the Wessler Rabbit Model

[1163]

Objective: The objective of this study was to evaluate MOD-5014, which is intended for the treatment of patients with Hemophilia A or B with inhibitors to FVIII or FIX, respectively. Another aim of this study was to evaluate MOD-5014 for on demand treatment of spontaneous bleedings (e.g. joint bleeding) with the aim of less frequent administrations, as well as for prophylactic use with an anticipated dosing regimen of two to three times a week which may significantly improve patients' clinical condition and quality of life.

[1164]

A further objective of this study was to evaluate the thrombogenic potential of the test item MOD-5014 using a semi-quantitative method described by Wessler et al (1959) Serum-induced thrombosis. Studies of its induction, and evolution under controlled conditions in vivo. Circulation Nov; 20:864-74; and Wesslet et al (1959) Biologic assay of a thrombosis inducing activity in human serum. Journal of Applied Physiology 14, 943-946. Comparisons were made with a negative control group and a positive control group of recombinant FVIIa NovoSeven® at a dose level of 0.1 and 0.3 mg/kg.

[1165]

This study was conducted in anaesthetised rabbits.

[1166]

Justification: The purpose of this study was to assess the thrombogenic potential of MOD-5014. The Wessler rabbit model is a classical model for assessing venous thrombosis. The sensitivity of this model is based on 1) the high endogenous rabbit haemostasis potential with a higher coagulation factor level than humans and 2) that venous stasis provokes a tremendous tissue damage providing a generally massive predisposition for thrombus formation, if exposed to activated factors (Wessler et al (1959), Karges et al (1994) Activity of coagulation and fibrinolysis parameters in animals. Arzneimittelforschung. Jun; 44(6):793-7.) Novoseven was used as a positive control based on a previous study which explored the thrombogenicity of recombinant human FVIIa in a rabbit stasis model (Diness et al (1992) Recombinant human factor VIIa (rFVIIa) in a rabbit stasis model. Thromb Res 67(2), 233-41).

[1167]

Study Outline: The negative control, positive control and MOD-5014 were administered once intravenously; this being the clinical route of administration.

[1168]

Dose Selection Rational: The dose levels were selected on the basis of available data from a rabbit stasis study that was conducted on Novoseven (Diness et al (1992) Recombinant human factor VIIa (rFVIIa) in a rabbit stasis model. Thromb Res 67(2), 233-41) and in consideration of MOD-5014 anticipated doses in the Phase 1-2a clinical study. The low dose is the formal low clinical dose on a μg/kg basis and was approved by the FDA to use as one of the low doses (50 μg/kg) in the Phase 1-2a study (See Example 16 below). The higher dose is 400 μg/kg, the anticipated highest clinical dose on a μg/kg basis in the Phase 1-2a clinical study.

[0000]

Materials and Methods

[1169]

Test Items: Description, Identification and Storage

[1170]

The test item was identified as MOD-5014, ER batch 1017295 (expiry date: April 2015) When not in use the test article was stored in a sealed container.

[1171]

Storage Conditions: Frozen (−60 to −90° C.).

[1172]

The negative control was the vehicle for the test article which was identified as 20 mM Citrate 150 mM NaCl 13.3 mM Glycine pH 6.4.

[1173]

Storage Conditions: Refrigerated (2 to 8° C.).

[1174]

The positive control item was identified as NovoSeven.

[1175]

Name: NovoSeven (refereed as MOD-5000)

[1176]

Batch No.: 050115

[1177]

Description/Appearance: Frozen, clear colourless liquid

[1178]

Expiry date of powder vial: August 2016

[1179]

Storage conditions: Frozen (−60 to −90° C.)

[1180]

The anaesthetic agent was identified as Ketamine and Xylazine.

[1181]

When not in use the anaesthetic agent was stored in a sealed container, at room temperature (nominally 15 to 25° C.) and protected from light.

Test Item (MOD-5014) and Positive Control Formulation

[1182]

Preparation

[1183]

The test article was thawed for 20-30 minutes on ice. On each day, prior to use, 4.8 ml of formulation buffer was added to 3 ml of the test article (2.6 mg/ml) to final concentration of 1 mg/ml. Different doses were achieved by altering the dose volume.

[1184]

NovoSeven was thawed for 20-30 minutes on ice, and was used as received. Different doses were achieved by altering the dose volume.

[1185]

Anaesthetic Agents

[1186]

The anesthetic agents were identified as Ketamine and Xylazine. When not in use the anesthetic agent were stored in a sealed container, at room temperature (nominally 15 to 25° C.) and protected from light.

[1187]

Test Animals

[1188]

A total of 40 male Hsdlf:(NZW) (New Zealand White) rabbits were obtained from Harlan UK The rabbits weighed between 2.45 to 3.40 kg on the day of dosing.

Experimental Design

[1189]

Food and water were freely available, except when the animals were removed from the home cage for the study procedures.

[1190]

Anaesthesia was induced and maintained by an intramuscular injection of Ketamine (40 mg/kg) plus Xylazine (5 mg/kg). Following induction of anaesthesia, the rabbits were placed on a heated blanket. Temperature was monitored with a rectal probe and maintained within acceptable limits (nominally 35 to 39° C.).

[1191]

The neck was shaved ventrally to facilitate bilateral dissection of the jugular veins. Once the veins had been located, a distal and a proximal ligature were placed at a distance of between 1 and 1.5 cm, but not tightened.

[1192]

Test item, positive control or vehicle were injected into the contralateral (to the first jugular being ligated) ear vein using a volume adapted to the dose (see Table below).

[1193]

Treatments employed for the study are shown in Table 103 below:

[1194]

1Negative0.155
Control
2MOD-50140.050.051.05
3MOD-50140.10.101.05
4MOD-50140.20.201.05
5MOD-50140.30.301.05
6MOD-50140.40.401.05
7NovoSeven0.10.110.9435
8NovoSeven0.30.320.9435

[1195]

Immediately following dose administration the proximal end of the appropriate jugular vein was isolated from the circulation by tightening the ligature. This was then repeated on the remaining jugular vein. After 25 seconds both distal ligatures were tightened. Ten minutes after tightening one vein segment (this was kept the same for all animals) was carefully removed from the animal, transferred to a Petri dish containing 3.8% sodium citrate solution and cut open. The formation of thrombi was evaluated as described below in Table 104. This procedure was then repeated on the remaining jugular vein 30 minutes after tightening.

[1196]

Liquid blood without thrombi0
Few small thrombi0.5 to 1
Several medium-sized thrombi or many small thrombi2
A greater number of medium-sized thrombi3
Few larger thrombi3.5
One larger thrombus4

Statistical Analysis

[1197]

Thrombus formation scores after 10 and 30 minutes were provided for analysis. Data at each time-point were analysed separately.

[0000]

The following comparisons of interest were made using a Wilcoxon Rank Sum test:

[0000]

Group 1 vs. Groups 2 to 8

[0000]

Group 3 vs. Group 7

[0000]

Group 5 vs. Group 8

Results

[1198]

The results are summarised in Table 105, individual animal data are presented in Table 106.

[1199]

Summary of the thrombogenicity assessment following
intravenous administration of MOD-5014 and NovoSeven
Treatment andGroup mean score (±sd)
Groupdose level (mg/kg)10 minutes30 minutes
1Negative Control0.0 ± 0.000.2 ± 0.27
2MOD-50140.1 ± 0.223.4 ± 0.82
(0.05)
3MOD-50140.1 ± 0.223.5 ± 0.87
(0.1)
4MOD-50140.2 ± 0.453.8 ± 0.45
(0.2)
5MOD-50140.6 ± 0.894.0 ± 0.00
(0.3)
6MOD-50140.3 ± 0.453.6 ± 0.89
(0.4)
7NovoSeven0.1 ± 0.223.5 ± 0.87
(0.1)
8NovoSeven0.5 ± 0.873.8 ± 0.45
(0.3)
sd—standard deviation
n = 5

[1200]

Thrombogenicity assessment following intravenous administration
of MOD-5014 and NovoSeven - individual animal data
Thrombus formation
TreatmentAnimalscore after
Groupand dose level (mg/kg)ID10 minutes30 minutes
1Negative Control10  0.5
200
300
40  0.5
500
2MOD-501460  3.5
(0.05)702
80 3.5{circumflex over ( )}
90.54
1004
3MOD-5014110  3.5
(0.1)1204
1304
1404
150.52
4MOD-50141604
(0.2)1713
1804
1904
2004
5MOD-50142114
(0.3)2204
2324
2404
2504
6MOD-50142604
(0.4)2702
2814
290.5 4*
3004
7NovoSeven310.52
(0.1)3204
330  3.5
3404
3504
8NovoSeven3604
(0.3)370.53
3824
3904
4004
Vein segment removed after {circumflex over ( )}23 minutes and *26 minutes due to light anaesthesia

[1201]

Wessler Score

[1202]

Intravenous administration of the negative control produced a Wessler score of 0.0 after 10 minutes. The score ranged from 0.0 to 0.5 with a mean score of 0.2±0.27 after 30 minutes.

[1203]

Intravenous administration of MOD-5014 at a dose level of 0.05 mg/kg produced Wessler scores in the range of 0.0 to 0.5 with a group mean score of 0.1±0.22 after 10 minutes. The score ranged from 2.0 to 3.5 with a mean score of 3.4±0.82 after 30 minutes.

[1204]

Intravenous administration of MOD-5014 at a dose level of 0.1 mg/kg produced Wessler scores in the range of 0.0 to 0.5 with a group mean score of 0.1±0.22 after 10 minutes. The score ranged from 2.0 to 4.0 with a mean score of 3.5±0.87 after 30 minutes.

[1205]

Intravenous administration of MOD-5014 at a dose level of 0.2 mg/kg produced Wessler scores in the range of 0.0 to 1.0 with a group mean score of 0.2±0.45 after 10 minutes. The score ranged from 3.0 to 4.0 with a mean score of 3.8±0.45 after 30 minutes.

[1206]

Intravenous administration of MOD-5014 at a dose level of 0.3 mg/kg produced Wessler scores in the range of 0.0 to 2.0 with a group mean score of 0.6±0.89 after 10 minutes. After 30 minutes all scores were 4.0.

[1207]

Intravenous administration of MOD-5014 at a dose level of 0.4 mg/kg produced Wessler scores in the range of 0.0 to 1.0 with a group mean score of 0.3±0.45 after 10 minutes. The score ranged from 2.0 to 4.0 with a mean score of 3.6±0.89 after 30 minutes.

[1208]

Intravenous administration of NovoSeven at a dose level of 0.1 mg/kg produced Wessler scores in the range of 0.0 to 0.5 with a group mean score of 0.1±0.22 after 10 minutes. The score ranged from 2.0 to 4.0 with a mean score of 3.5±0.87 after 30 minutes.

[1209]

Intravenous administration of NovoSeven at a dose level of 0.3 mg/kg produced Wessler scores in the range of 0.0 to 2.0 with a group mean score of 0.5±0.87 after 10 minutes. The score ranged from 3.0 to 4.0 with a mean score of 3.8±0.45 after 30 minutes.

[1210]

Statistical Analysis Results, Table 107

[1211]

Thrombus formationGroup 1M vs. Group 2MW1.0000
score after 10 minutesGroup 1M vs. Group 3MW1.0000
Group 1M vs. Group 4MW1.0000
Group 1M vs. Group 5MW0.4444
Group 1M vs. Group 6MW0.4444
Group 1M vs. Group 7MW1.0000
Group 1M vs. Group 8MW0.4444
Group 3M vs. Group 7MW1.0000
Group 5M vs. Group 8MW1.0000
Thrombus formationGroup 1M vs. Group 2MW0.0079**
score after 30 minutesGroup 1M vs. Group 3MW0.0079**
Group 1M vs. Group 4MW0.0079**
Group 1M vs. Group 5MW0.0079**
Group 1M vs. Group 6MW0.0079**
Group 1M vs. Group 7MW0.0079**
Group 1M vs. Group 8MW0.0079**
Group 3M vs. Group 7MW1.0000
Group 5M vs. Group 8MW1.0000
*P ≤ 0.05
**P ≤ 0.01
***P ≤ 0.001
W = Wilcoxon Rank Sum test

W=Wilcoxon Rank Sum test

[1212]

The statistical analysis shows that thrombus formation after 10 minutes is comparable for all groups. However, the analysis shows that after 30 minutes administration of MOD-5014 at all dose levels produced a statistical significant effect on thrombus formation when compared to the negative control.

[1213]

Administration of MOD-5014 at a dose level of 0.1 and 0.3 mg/kg did not produce a statistically significant difference on thrombus formation when compared to NovoSeven at the same dose levels.

[1214]

Conclusion

[1215]

Administration of MOD-5014 at a dose level of 0.1 and 0.3 mg/kg and NovoSeven at the same dose range in the anaesthetised rabbit produced Wessler scores that were comparable and thus similar thrombogenic potential.

Example 16

A Phase 1/2A, Open-Label, Multicenter, Dose Escalation Study to Assess the Safety, Pharmacokinetics and Pharmacodynamics Profile of a Long-Acting Recombinant Factor VIIa (MOD-5014) in Adult Men with Hemophilia A or B

[1216]

Objectives:

[1217]

Primary: To assess the acute safety and tolerability of single intravenous (IV) administration of escalating MOD-5014 doses in hemophilic subjects with and without inhibitors.

[1218]

Secondary: To evaluate the pharmacokinetic profile of single IV administration of escalating MOD-5014 doses in hemophilic subjects with and without inhibitors.

[1219]

Exploratory: To evaluate the pharmacodynamic response of single IV administration of escalating MOD-5014 doses in hemophilic subjects with and without inhibitors.

[1220]

Study Design and Procedures

[1221]

This will be a single-dose, open label, dose-escalating study. The study will be performed in two stages, each stage will be similar in design (visits and assessments):

[1222]

Stage 1: This stage will include three escalating dose groups, with four subjects in each dose group. The initial MOD-5014 dose will be 25 μg/kg followed by doses of 50 and 100, μg/kg. The first subject in each dose cohort will receive a single IV injection followed by a 72 hr safety observation period before dosing the remaining three subjects in that cohort. Dosing of the last subject in each cohort will be followed by a 7, 14 and 30-day safety observation period. The Stage 1 data will be submitted to the FDA prior to initiation of Stage 2. Only upon approval to continue from the DSMB and notification to the IRB, will enrolment into Stage 2 be initiated.

[1223]

Stage 2: This stage will be similar in design to Stage 1 and will include three escalating dose groups to evaluate doses higher than those evaluated in Stage1. The doses to be evaluated in Stage 2 include 200, 300 and 400 μg/kg of MOD-5014, with 4 subjects in each dose group.

[1224]

For each study stage, the decision to proceed to the higher dose level will be made by DSMB after review of relevant safety data (including adverse events, clinical laboratory and vital signs), collected up to and including 7 days post dose of the last subject of the previous dose group.

[1225]

Common Terminology Grades for Adverse Events (CTCAE) guidelines will be used to determine maximum tolerated dose (MTD) and dose limiting toxicity (DLT) (Table 108). Dose escalation will be permitted if the prior dose is well tolerated, and there are no safety or tolerability concerns over 7 days post-dosing.

[1226]

Stopping Rules and Dose Limiting Toxicities (DLT)

[1227]

DLT is defined as a clinically significant adverse event or abnormal laboratory value assessed as unrelated to disease progression, intercurrent illness or concomitant medications and occurring up to 7 days after dosing day. For example, grade 3 or 4, which is definitely or possibly drug-related. In case a thromoembolic event is reported, the study will be stopped and the DSMB will be requested to further investigate the event and its relationship to MOD-5014 single dose administration. Table 108 Summarizes dose escalation criteria and decision tree.

[1228]

MOD-5014 Related Toxicity and Dose Escalation Criteria Scheme
Number of subjects with
CTCAE grade out of total
number of subjects per
CTCAE gradedose groupAction
Grade 1 or4/4Escalate to next
Grade 2dose level
Toxicity
Grade 30/4Escalate to next
Toxicitydose level
1/4 or 2/4Add 4 subjects to current
dose level
1/8 to 3/8Escalate to next
dose level
3/4 or 4/8DTL: previous
dose level is MTD
Grade 41/4DTL: previous dose level
Toxicityis MTD
Throughout theAdverse thromboembolicStop study and
study anycomplicationsinvestigate with the
thromboembolicDSMB
events

[1229]

Study Procedures

[1230]

Each study stage will be comprised of a screening period (28±1 days), a treatment day and a follow-up period (7, 14 and 30 days). For each study stage and dose group, visit scheduling and assessments will be similar.

[1231]

Screening Period (Day −28 to −1)—Visit 1

[1232]

After signing informed consent, adult male subjects aged 18-65 years old, who have been diagnosed with moderate or severe congenital Hemophilia A or B, will be screened for study eligibility by assessment of inclusion and exclusion criteria. Screening procedures will include a collection of demographic data, complete and disease-related medical history, physical examination (including neurological assessments, height and weight), vital signs (blood pressure, pulse rate, oral temperature and respiration rate), ECG, adverse events, concomitant medications and safety laboratory evaluations including hematology, biochemistry, urinalysis, coagulation (prothrombin time (PT) and activated partial thromboplastin time (aPTTa)).

[1233]

Pre-Dosing Day (Day −1)

[1234]

Eligible subjects will be contacted by phone the night before dosing to confirm that: Subjects have not received replacement therapy as described below (Table 109). Time of phone call with respect to the time restrictions described below, will be taken into consideration. If they will have a bleeding episode during that night and will administer replacement therapy, they should not come to the clinic the next morning, but call their study contact person.

[1235]

Prohibited Replacement Therapy prior to Dosing
Replacement TherapyTime prior to study
Factor VII or FVIIaWithin 48 hours prior to the study drug
containing product (eitheradministration (when calling ask about
plasma derived or combinant)last day and a half)
FVIIIWithin 72 hours prior to the study drug
administration (when calling ask about
last two and a half days)
FIXWithin 96 hours prior to the study drug
administration (when calling ask about
last three and a half days)
APCC containing productWithin 48 hours prior to the study drug
administration (when calling ask about
last day and half)

[1236]

Treatment Day (Day 0)—Visit 2

[1237]

Pre-Dose

[1238]

At the clinic, the following assessments and procedures will be done prior to dosing: physical examination (including neurological assessments), vital signs, electrocardiogram (ECG), safety laboratory (hematology, biochemistry and urinalysis), PT, aPTT within 1 hour pre-dosea, immunogenicity, pharmacokinetics (within 1 hour pre-dose)b, pharmacodynamics (FVIIa activity via STAClot assay), thrombolastography (within 1 hour pre-dose), thrombin generation (within 1 hour pre-dose), adverse events and concomitant medications.

[1239]

Dosing

[1240]

Subjects will receive a single intravenous injection based on weight and MOD-5014 dose (defined by dose cohort).

[1241]

Post-Dose

[1242]

The following assessments and procedures will be performed on Day 0, at post-dosing time points as indicated:

    • Vital signs (blood pressure, pulse, respiratory rate, temperature) at 1±0.5 hour, 4±0.5 hours and 8 hours±0.5 hours
    • ECG at 1±0.5 hour, 4±0.5 hours and 8±0.5 hours
    • Safety laboratory (hematology, biochemistry and urinalysis) assessments at 4±0.5 hours
    • Coagulation panel at 30±5 minutes, 2 hours±20 minutes, 4±0.5 hours and 8±1 hours
    • Pharmacokinetics at 30±5 minutes, 2 hours±20 minutes, 4±0.5 hours and 8±1 hours
    • Pharmacodynamics at 30±5minutes, 2 hours±20 minutes, 4±0.5 hours and 8±1 hours. Assays include:
      • FVIIa activity via STAClot assay
      • Thrombolastography (optional)
      • Thrombin generation
    • Concomitant medications
    • Local skin reaction at administration site at 10 minutes and 2 hours±20 minutes following the end of the IV administration
    • Adverse events

[1255]

Follow-Up (FU) Period (Visits 3 to 8, Day 1 to 30)

[1256]

The follow-up period will start the day after dosing. Subjects are followed for 30 days post-dose and undergo six follow-up visits as outlined below. At FU Visit 3/Day 1 (24 hours), FU Visit 4/Day 2 (48 hours) and FU Visit 5/Day 3 (72 hours) the following are performed: physical examination (including neurological assessments) (only visit 3 and 5), vital signs, ECG, safety laboratory (hematology, biochemistry and urinalysis), coagulation panel (single blood draw), pharmacokinetics (single blood draw), pharmacodynamics (single blood draw), thrombolastography, thrombin generation, adverse events, local skin reactions and concomitant medications. If rescue medication was administered within the first 72 hours, only FU Visit 5 is performed.

[1257]

The following study procedures will be done at FU Visit 6/Day 7 if no rescue treatment for bleeding episodes was administered: physical examination (including neurological assessments), vital signs, ECG, safety laboratory (hematology, biochemistry and urinalysis), coagulation panel, pharmacokinetics, pharmacodynamics, thrombolastography, thrombin generation, adverse events and concomitant medications. In the event that a bleeding episode occurred after the first 72 hours and rescue treatment was administered, a telephone questionnaire on patient clinical well being is completed.

[1258]

FU Visits 7-8, Days 14 and 30 (Termination Visit)

[1259]

The following study procedures will be done on these visits: immunogenicity, anti HCP antibodies (only visit 8), adverse events and concomitant medications.

[1260]

Study Duration

[1261]

Study duration for each participating subject is up to 58 days as follows:

    • Screening period: −28 to −1 days before drug administration
    • Treatment: 1 day single-dose administration
    • Follow up: at least 72 hours acute safety, 7 days safety, and 14, and 30 days immunogenicity

[1265]

Sample Size and Target Population

[1266]

Twenty-four (24) adult male subjects (age 18-65 years old), 12 subjects in each study phase, diagnosed with moderate or severe congenital Hemophilia A or B. Each dose group include 4 subjects.

[1267]

Inclusion Criteria

[1268]

Subjects must meet all inclusion criteria to be eligible for the study:

    • 1. Men, 18-65 years of age, inclusive, at the screening visit.
    • 2. Diagnosis of moderate or severe congenital Hemophilia A or B with or without inhibitors, defined as less than or equal to 3% normal FVIII or FIX levels, respectively.
    • 3. Body Mass Index (BMI) less than 35.0 kg/m2.
    • 4. Adequate venous access.
    • 5. Fertile men must agree to use a barrier contraceptive (condom) for 90 days post-dosing and are restricted from donating sperm during the study and for 90 days after dosing.

[1274]

Investigational Product Route and Dosage Form

[1275]

MOD-5014, a long-acting modified recombinant Factor VIIa, are provided in glass vials containing a clear solution of 1 mg/mL MOD-5014 in citrate buffer.

[1276]

The frozen vials will be thawed on the day of administration at room temperature 2 hours prior to dose preparation. The thawed vials are pulled into one or more syringes (depending on IP quantity for injection). Detailed instructions for handling and administration are provided in an “Instructions for use” document.

[1277]

Six dose groups are planned (three in each stage); subjects in each stage and dose group receive a single administration of MOD-5014 as an IV injection based on subject body weight (see Table 110 for an example of doses to be administered)

[1278]

Example MOD-5014 Doses and Calculated Injection Duration
Vol injection based
DoseDose ofon Subject weight*Duration of
StagegroupMOD-501470 kg80 kg90 kg100 kginjection
1125μg/kg1.8ml2ml2.3ml2.5mlUp to 1 min
250μg/kg3.5ml4ml4.5ml5mlUp to 1 min
3100μg/kg7ml8ml9ml10mlUp to 2 min
24200μg/kg14ml16ml18ml20mlUp to 4 min
5300μg/kg21ml24ml27ml30mlUp to 6 min
6400μg/kg28ml32ml36ml40mlUp to 8 min
*Maximal injection rate is 10 mL/min

[1279]

Rescue Medication

[1280]

In the event a subject experiences a bleeding episode during the study period (within the 30 days post dose assessments), he is treated according to hospital common practices and his clinical condition.

[1281]

Safety Endpoints (Primary)

[1282]

The primary safety endpoint will consist of monitoring and recording:

    • 1. Adverse events and concomitant medication use throughout the study
    • 2. Immunogenicity, no occurrence of neutralizing antibodies
    • 3. ECG, vital signs, physical examination (including neurological assessments).
    • 4. Laboratory parameters, including serum chemistry profile, liver enzymes, hematology, coagulation panel (PT time, aPTT, thrombin& anti-thrombin complex, prothrombin fragment 1+2, D-dimer), and urinalysis
    • 5. Local tolerability (Injection site reaction)

[1288]

Pharmacokinetic (PK) Endpoints (Secondary)

[1289]

PK response are evaluated following a single injection by measuring MOD-5014 plasma concentration, as measured by a specific ELISA assay. The following parameters are calculated: Cmax, AUC, terminal half-life, Vss, clearance, recovery and Tmax.

    • Cmax—maximum MOD-5014 plasma concentration
    • Tmax—time to Cmax
    • Tlag—absorption lag-time for MOD-5014
    • AUC—area under the curve to the final concentration≥limit of quantitation(LOQ), AUC(0-t) and to infinity AUCinf
    • λz—elimination rate constant
    • t1/2—half-life
    • Vss—volume steady state, clearance and recovery

[1297]

PK sampling times are on Day 0 (within 1 hour pre-dose). All post-injection measurements will be initiated at the end of the IV administration: 30±5 mins, 2 hours±20 minutes, 4±0.5 hours 8±1 hours, 24±2 hours (Day 1), 48±3 hours (Day 2), 72±3 hours (Day 3) and at Day 7 post-dose.

[1298]

Pharmacodynamic (PD) Endpoints (Exploratory)

[1299]

Pharmacodynamics are assessed by FVIIa activity via STAClot assay. PD is measured at the following time points: Day 0 (within 1 hour pre-dose). All post-injection measurements are initiated at the end of the IV administration: 30±5 mins, 2 hours±20 minutes, 4±0.5 hours 8±1 hours, 24±2 hours (Day 1), 48±3 hours (Day 2), 72±3 hours (Day 3) and at Day 7 post-dose. Bioanalysis is performed.

[1300]

Statistical Methods

[1301]

Descriptive statistics are used to summarize demographics, baseline characteristics, safety and PK/PD data, including sample size (n), mean and standard deviation.

[1302]

A data review for PK, PD and safety data for each dose group in Stage 1 is conducted.

Example 17

Toxicology Studies Comprehensive Assessment of the Safety and Efficacy of Factor VIIa-CTP Supporting Phase 1/2a Study

[1303]

Objective

[1304]

The objective of these studies was to assess the safety, PK and PD of FVIIa-CTP following administration to rats and monkeys as part of toxicological studies supporting the ongoing phase 1/2a study in hemophilic patients.

[1305]

Methods

[1306]

FVII-CTP was expressed in CHO cells, purified and activated utilizing a CTP specific purification process.

[1307]

GMP batch was used in the toxicological studies assessed in male rats and monkeys supported by toxicokinetic analysis confirming proper margins above the initial clinical dose in the FIH study.

[1308]

Studies (A summary of the studies performed is presented below in Table 111)

[1309]

Acute Toxicokinetic GLP study of MOD-5014: A Single Intravenous Dose PK/PD and Toxicity Study in Male Cynomolgus Monkeys:

[1310]

The study in male Cynomolgus monkeys was a GLP-compliant single-dose toxicology study to evaluate and characterize the acute toxicity, estimate the maximum tolerated dose (MTD), and evaluate the toxicokinetics of the MOD-5014 in male cynomolgus monkeys.

[1311]

Study Design

[1312]

Twenty-six male cynomolgus monkeys (2 to 4 kg), approximately 2 to 4 years of age, were obtained from Covance Reseach Products, Inc. Twenty-four were assigned to treatment groups according to Table 1.

[1313]

Methods

[1314]

Animals received a single, IV slow bolus (2 to 3 minutes) saphenous vein injection of MOD-5014 (Lot No. ER 1017295, 2.6 mg/mL). Blood samples were collected from the femoral vein in tubes containing citrate buffer. Samples were collected from all animals prior to dosing and at 0.25, 0.5, 2, 4, 6, 8, 12, and 24. Additional samples were collected from recovery animals at 48, 60 and 72 hours after dosing. All samples were collected from control group animals (Group 1) but only 0.5 hr samples were assayed. Plasma MOD-5014 concentrations were determined by a validated ELISA (Bioanalytical validation report AR5437) at Intertek Pharmaceutical Services (San Diego, Calif.). Activity of MOD-5014 was determined in a qualified clotting assay (STAGO) (Qualification report CD-05-0276) at OPKO Biologics, Israel.

[1315]

Data Analysis

[1316]

Non-compartmental analysis was performed on data from individual animals with Phoenix WinNonlin version 6.3 (Pharsight Corporation, Sunnyvale, Calif.). Analysis was performed on MOD-5014 plasma concentration data as well as on clotting activity data assuming an initial specific activity of 15,563 units/mg (MOD-5014 ER#1017295 Release SUM). A program for IV bolus administration was used.

[1317]

For plasma concentration analysis, the area under the curve from time zero to 24 hours (AUC0-24h) was estimated using the trapezoidal method. The maximum concentration (Cmax) and the time it was observed (Tmax) were determined directly from the data. The plasma concentration at time zero (C0) was estimated by back extrapolation through the first two time points. The initial apparent volume of distribution (Vi) was calculated from the following equation:

[1318]

Vi=Dose/C0

[1319]

For animals in the recovery groups, additional data were available for 48, 60 and 72 hr time points. The profile of these additional time points demonstrated a flatter terminal phase that was not seen in the profiles of animals terminated at 24 hours. Therefore, terminal slopes and related parameters were only estimated from recovery animals and not from those terminated at 24 hours. Even though this means that terminal slopes and related parameters were estimated from only 2 animals per group, the resulting estimates still describe the PK profiles better than estimates based on just 24 hour data.

[1320]

For recovery animals, log-linear regression over the last three time points was used to estimate the elimination rate constant (λ) which was used to estimate terminal half-life (t1/2) and AUC from zero to infinity (AUC0-∞) from the following equations:

[1321]

t1/2=In (2)/λ

[1322]

AUC0-∞=AUC0-24h+C24h

[1323]

where C24his the concentration at 24 hr. Serum clearance (CL) was calculated from dose divided by AUC0-∞. The volume in the terminal phase (Vz) and at steady state (Vss) were calculated from the following equations:

[1324]

Vss=Dose*AUMC/AUC2

[1325]

Vz=CL/λ,

[1326]

Where AUMC is the area under the first moment curve.

[1327]

For clotting activity data analysis, the flatter terminal slope in the later time points is not apparent. Therefore, the terminal slopes were estimated from all animals by log-linear regression through the last three or more time points and related parameters were calculated as described above.

[1328]

A summary of all of the studies completed is described in Table 111 below:

[1329]

AcuteMale RatIVSingle dose0, 1, 3, 9,Clinical observation, bodyweight, foodCompleted
Toxicokinetic21 mg/kgconsumption, PK-PD, Clinical pathology
Non-GLP(Hematology, Coagulation, Clinical
Chemistry), thrombus formation.
AcuteMaleIVSingle dose0, 1, 3,Clinical condition, bodyweight, foodCompleted
ToxicokineticCyn9 mg/kgconsumption, PK-PD. Clinical pathology
MonkeyNon-GLP(Hematology, Coagulation, Clinical Chemistry)
AcuteMaleIVSingle dose0, 1, 3,Clinical condition, bodyweight, foodCompleted
ToxicokineticRat9 mg/kgconsumption, blood chemistry, expanded
GLP studyGLPcoagulation panel, TK, organ weight,
histology, pathology, intravascular
coagulation, thrombus formation.
AcuteMaleIVSingle dose0, 1, 7.5,Clinical condition, bodyweight, foodCompleted
ToxicokineticCyn15 mg/kgconsumption, blood chemistry, TK, organ
GLP studyMonkeyGLPweight, histology, pathology, intravascular
coagulation, thrombus formation.
WesslerNZWIVSingle dose0.05, 0.1, 0.2,To evaluate the thrombogenic potentialCompleted
ModelRabbit0.3, 0.4 mg/kgof the MOD-5014 using a semi-quantitative
method described by Wessler et al (1959).

[1330]

Results

[1331]

Sprague Dawley Rats: All animals were in good clinical condition. The only detailed clinical observation observed within the main study animals that was considered test article-related (MOD-5014-related) was noted in one 9 mg/kg animal with purple or red discoloration of the tail . Reversible, test article-related changes in clinical pathology were observed in the main study animals which included mild reductions in prothrombin time in all test article groups. (FIG. 110, Tables 112 and 113)

[1332]

Rat MOD-5014 Pharmacokinetic Parameters Based on Plasma
Concentration Following IV Bolus Injection Estimated
by Non-compartmental Analysis
DoseCmaxTmaxAUC0-t
(mg/kg)(ng/mL)(hr)(hr * ng/mL)(hr)
110,7000.5072,2007.8
324,7000.50154,00015.8
9102,0000.50529,0007.9
21190,0000.501,110,0007.5

[1333]

Rat MOD-5014 Pharmacodynamics Parameters Based on Plasma
Concentration Following IV Bolus Injection Estimated
by Non-compartmental Analysis
DoseCmaxTmaxAUC0-t
(mg/kg)(mu/mL)(hr)(hr * mu/mL)(hr)
1155,0000.50825,0005.3
3606,0000.502,200,0006.7
91,660,0000.505,330,0005.17
213,200,0000.5013,400,0005.8

[1334]

There were no test article-related macroscopic findings or organ weight changes in the main study animals at the terminal or recovery necropsies.

[1335]

Cynomolgus Monkeys Non-GLP and GLP Studies:

[1336]

All animals were in good clinical condition, administration of a single dose of MOD-5014 intravenously to male cynomolgus monkeys produced decreases in prothrombin time and anti-thrombin III, and an increase in D-dimer at doses of 7.5 and 15 mg/kg. (FIG. 111, Tables 114, 115, 116, 117) These changes were indicative of a prothrombotic state, which is consistent with the intended mechanism of action of the drug.

[1337]

Monkey MOD-5014 Pharmacokinetic Parameters Based on Plasma
Concentration Following IV Bolus Injection Estimated by
Non-compartmental Analysis (the non-GLP study)
DoseCmaxAUC0-∞
(mg/kg)(ng/mL)(hr * ng/mL)T1/2(hr)
1143004880029.0
34120015000029.5
915300053600015.3

[1338]

Monkey MOD-5014 Pharmacodynamics Parameters Based on Plasma
Concentration Following IV Bolus Injection Estimated by
Non-compartmental Analysis (the non-GLP study)
DoseCmaxAUC0-∞
(mg/kg)(U/kg)(mU/mL)(hr * mu/mL)t1/2(hr)
121,6001580004710005.6
364,80038300013600005.9
9194,400190000057500008.98

[1339]

Summary of MOD-5014 Pharmacokinetics in Male Cynomolgus Monkeys (GLP study)
Clotting Activity
Plasma Concentrations1 mg/kg7.5 mg/kg15 mg/kg
ParameterUnits1 mg/kg7.5 mg/kg15 mg/kg(15,563)(116,722.5)(233,445)
Cmax(ng/mL)14,700118,000279,000268,0002,240,0004,700,000
C0(ng/mL)18,300146,000428,000243,0002,600,0006,970,000
Cmax/D(ng/mL)/14,70015,70018,6000.01720.01920.0201
(mg/kg)
Tmax(hr)0.250.250.250.420.960.25
AUC0-24 h(hr*ng/mL)86,900841,0001,660,0001,290,00013,600,00026,200,000
AUC0-∞(hr*ng/mL)99,3001,020,0002,170,0001,330,00014,800,00029,700,000
AUC0-∞/D(hr*ng/mL)/99,300136,000145,0000.08510.1270.127
(mg/kg)
Vi(mL/kg)56.052.038.091.586.439.7
Vz(mL/kg)41112621382.375.683.8
Vss(mL/kg)15090.092.572.067.582.1
CL(mL/hr/kg)10.17.386.9411.87.967.95
t1/2(hr)28.311.921.54.866.617.25
Activity units are in mU rather than ng

[1340]

The plasma concentration and clotting activity data from individual animals used in the GLP study are presented in Tables 117 and 118, respectively. Activity data presented the mean of duplicate measurements for each animal at each time point.

[1341]

Plasma Concentration Data from Individual Animals
Pre-dose activity measures were BLQ and set to ‘missing’ for estimation of PK parameters.
Time (hr)
0.00.250.502.04.06.08.01224486072
GroupAnimalFinal_Conc (ng/mL)
1101BLQ
102BLQ
103BLQ
104BLQ
105BLQ
106BLQ
2201BLQ138001159093406495445035502396433
202BLQ157901354095507315296030782658526
203BLQ1839014630116906800368036042610571
204BLQ12540981078006365476036202356674
205BLQ159401241094207430540431462060394203136117
206BLQ1169090006610579546603500231862718112997
N066666666222
Mean146921183090686700431934162400537192132107
SD24852156172961686724021710916514
3301BLQ1067008660065450467003800026510193707040
302BLQ1150009490073550519004485038000208908425
303BLQ1213009150076400548004875043200214308545
304BLQ1309009930098000598006040054200384009620
305BLQ1184501109507514055700451002930024250830520181178488
306BLQ115700912006755056450428002807034140118502009591500
N066666666222
Mean11800895742760155422546650365472641389642014885494
SD799485661160744857599107997912163564159
4401BLQ29720016820011100010730088050711504745019730
402BLQ30000021520013810010360088800768505170017020
403BLQ24940013980014360011020081200779004370017350
404BLQ31780017020016430010210077550629505080016990
405BLQ28700024640019720013180085160769005770022890272219301405
406BLQ2196001916001250009690086750825004105025900339015741334
N066666666222
Mean27850018856714653310865084585747084873319980305617521370
SD36728379303062312220437668005991369347225250

[1342]

Clotting Activity Data from Individual Animals
Mean of two determinations per animal (mU/mL), pre-dose activity measures were
BLQ and set to ‘missing’ for estimation of PK parameters, pre-dose value
for #404 was considered negligible and also set to missing.
Time (hr)
0.00.250.502.04.06.08.01224486072
GroupAnimalActivity_mu_ml (mIU/mL)
1101BLQ
102BLQ
103BLQ
104BLQ
105BLQ
106BLQ
2201BLQ357500240000189500800005000032300211003725
202BLQ325000275000174000830006050025900318006375
203BLQ1725002400001725001117506625037200321004100
204BLQ137500292500132000937506250073100341006675
205BLQ1375001850001350001217506150061400318005175BLQ
206BLQ95000210000127500805005550070500334005750BLQ
N066666666000
Mean204167240417155083951255937550067307175300
SD10947239762266181775957572069748041199
3301BLQ18000001725000210000096000070650058300033100096750
302BLQ232500062500014550001070000616500567500242500118000
303BLQ7750001150000153750085000062700058250031000099750
304BLQ1925000310000014550001025000695000777500322000173500
305BLQ72500022000001140000100000060150066750038700010025086501900475
306BLQ1650000220000014775001085000675000695000436000965001320033751000
N066666666222
Mean153333318333331527500998333653583645500338083114125109252638738
SD647045873165313377858294420182846666553017332171043371
4401BLQ33000003250000217500014300001125000905000572500240500
402BLQ510000035500002100000163500011100001040000952500345000
403BLQ3950000255000018250001200000114500012000001170000283000
404350 38000002950000240000013650007550001085000902500243500
405BLQ63000005550000212500012900001202500113500011850002400002900055501000
406BLQ5750000255000017250001435000116750073500011475003280002000068501525
N066666666222
Mean4700000340000020583331392500108416710166679883332800002450062001263
SD11962441123833245798148551164520170078236044469696364919371

[1343]

The Plasma Concentration PK Parameters from Individual Animals is presented in Table 119A.

[1344]

22011640013800138000.2560.988629086290
2021840015800158000.2554.358901089010
2032310018400184000.2543.299682096820
2041600012500125000.2562.508337083370
2052050015900159000.2548.788783087830
2061520011700117000.2565.797798077980
Mean1830014700147000.2555.958690086883
SD3040249024900.008.7162706263
3301131000107000142000.2557.2567960090613
302139000115000153000.2553.96783100104413
303161000121000162000.2546.58823600109813
304173000131000175000.2543.351081000144133
305126000118000158000.2559.52807300107640
306147000116000154000.2551.02872200116293
Mean146000118000157000.2551.95841000112151
SD17700799010700.006.2113400017830
4401525000297000198000.2528.571583000105533
402418000300000200000.2535.891688000112533
403445000249000166000.2533.711562000104133
404593000318000212000.2525.301647000109800
405334000287000191000.2544.911938000129200
406252000220000146000.2559.521571000104733
Mean428000279000186000.2537.981660000110989
SD1240003670024500.0012.521420009501

[1345]

The clotting activity PK parameters from individual animals is presented in Table 119B:

[1346]

AUC0-24
Cmax_DAUC0-24 hh/Dose
C0Cmax(mIU/mLTmaxVi(hr*mIU/(hr*mIU/
GroupAnimal(mIU/mL)(mIU/mL)(/mIU/kg)(hr)(mL/kg)mL)mL)/Dose
22015330003580000.02300.2529.2012460000.0801
2023840003250000.02090.2540.5313320000.0856
2031730002400000.01540.5089.9613260000.0852
2041380002930000.01880.50112.7813400000.0861
2051380001850000.01190.50112.7812600000.0810
206950002100000.01350.50163.8212100000.0777
Mean2430002680000.01720.4291.5112900000.0826
SD175000677000.004350.12950.23536000.0035
3301188000021000000.01802.062.09138000000.1182
302865000023300000.01990.2513.49124800000.1069
30377500015400000.01322.0150.61117700000.1008
304193000031000000.02660.5060.48153700000.1317
30572500022000000.01880.50161.00130900000.1121
306165000022000000.01880.5070.74148000000.1268
Mean260000022400000.01920.9686.40136000000.1161
SD30100005030000.004310.81357.4613800000.0118
4401335000033000000.01410.2569.69217400000.0931
402733000051000000.02180.2531.85272700000.1168
403612000039500000.01690.2538.14265300000.1136
404489000038000000.01630.2547.74245200000.1050
405715000063000000.02700.2532.65303500000.1300
4061300000057500000.02460.2517.96268700000.1151
Mean697000047000000.02010.2539.67262000000.1123
SD329000012000000.005120.0017.6128900000.0124
AUC0-∞AUC0-∞/DoseCL
(hr*mIU/(hr*mIU/mL)/Vz(mL/hr/Vss
GroupAnimal(hr)mL)(mIU/kg)(mL/kg)kg)(mL/kg)
22014.9212700000.081786.912.259.5
2025.7913900000.089093.911.268.6
2034.1113500000.086768.311.565.8
2045.0513900000.089581.511.274.6
2054.6913000000.083581.212.077.9
2064.5912500000.080582.212.485.7
Mean4.8613300000.085182.311.872.0
SD0.562594000.003828.390.5289.34
33017.05148000000.12780.37.8961.2
3026.13135000000.11676.48.6370.0
3036.50127000000.10986.19.1979.3
3047.32172000000.14771.76.7963.5
3056.21145000000.12472.38.0670.2
3066.45163000000.13966.87.1861.1
Mean6.61148000000.12775.67.9667.5
SD0.47316700000.01436.890.8907.04
44018.23246000000.1051139.4995.7
4029.70321000000.1381027.2787.3
4037.16295000000.12681.97.9384.4
4047.14270000000.11689.08.6484.3
4054.94338000000.14549.26.9063.2
4066.31313000000.13467.97.4778.0
Mean7.25297000000.12783.87.9582.1
SD1.6334200000.014723.00.96410.9

[1347]

FIG. 112 and FIG. 113 show the mean MOD-5014 plasma concentration and clotting activity following IV injection. FIG. 114 through FIG. 116 plot the mean concentration and clotting activity together for each dose level. Individual plots of plasma concentration and clotting activity are presented in FIGS. 117A-R. These figures illustrate that over the first 24 hours after dosing plasma concentrations and clotting activity decline at similar rates. Beyond 24 hours, plasma concentrations tended to level off and activity levels continued to decline. The post-24 hour data are only available from the recovery animals, 2 per group.

[1348]

Results of non-compartmental analysis are shown in Table 119A and Table 119B for plasma concentration and clotting activity data, respectively. Plasma concentrations were highest at the first time point measured (0.25 hr). Clotting activity Tmax was observed at 0.25 hr or 0.50 hr in most animals. Both concentration and activity increased with increasing dose but not completely dose proportionally. There was a trend for AUC0-24hand AUC0-∞to increase 30 to 50% more than the increase in dose. Terminal half-life was longer based on plasma concentrations than based on clotting activity: approximately 12 to 28 hours versus approximately 5 to 7 hours. CL appeared to be about 50% faster at the lowest dose of 1 mg/kg compared to the 7.5 mg/kg and 15 mg/kg doses. CL based on plasma concentrations and based on clotting activity were similar.

[1349]

MOD-5014 Pharmacokinetic Parameters Based on Plasma
Concentrations Following IV Bolus Injection in
Male Cynomolgus Monkeys
Dose mg/kg
ParameterUnits17.515
Cmax(ng/mL)14,700118,000279,000
C0(ng/mL)18,300146,000428,000
Cmax/D(kg * ng/mL/mg)14,70015,70018,600
Tmax(hr)0.250.250.25
AUC0-24 h(hr * ng/mL)86,900841,0001,660,000
AUC0-∞(hr * ng/mL)99,3001,020,0002,170,000
AUC0-∞/D(hr * kg * ng/mL/99,300136,000145,000
mg)
Vi(mL/kg)56.052.038.0
Vz(mL/kg)411126213
Vss(mL/kg)15090.092.5
CL(mL/hr/kg)10.17.386.94
t1/2(hr)28.311.921.5

[1350]

MOD-5014 Pharmacodynamic Parameters Based on Activity
Measurements Following IV Bolus Injection in Male Cynomolgus Monkeys
Dose mg/kg (units/kg)
17.515
ParameterUnits(15,563)(116,722.5)(233,445)
Cmax(mIU/mL)268,0002,240,0004,700,000
C0(mIU/mL)243,0002,600,0006,970,000
Cmax/D(kg * mIU/mL/IU)0.01720.01920.0201
Tmax(hr)0.420.960.25
AUC0-24 h(hr * mIU/mL)1,290,00013,600,00026,200,000
AUC0-∞(hr * mIU/mL)1,330,00014,800,00029,700,000
AUC0-∞/D(hr * kg * mIU/mL/IU)0.08510.1270.127
Vi(mL/kg)91.586.439.7
Vz(mL/kg)82.375.683.8
Vss(mL/kg)72.067.582.1
CL(mL/hr/kg)11.77.937.95
t1/2(hr)4.866.617.25
Activity based on 15,563 units/mg

[1351]

No consistent trends were apparent from the estimates of the volume of distribution. The volume at steady state (Vss), when theoretically plasma and tissue concentrations are at equilibrium, and in the terminal phase (Vz), when concentrations are declining, were higher based on estimates from plasma concentrations than on clotting activity. Initial volume of distribution (Vi) was somewhat higher at the 1.0 mg/kg and 7.5 mg/kg dose groups based on clotting activity than based on plasma concentrations. Vi was also higher at the two lower doses than at the high dose. This observation could be related to the fact that clotting activity measures did not all peak at the earliest time point and then sharply decline. Instead, some of the clotting activity curves peaked at a later time producing a flatter initial phase of the curve. This pattern led to a lower estimate of C0and thus a higher estimate of Vi based on clotting activity.

[1352]

Summary for the GLP Study

[1353]

Plasma concentrations were highest at the first time point measured (0.25 hr). Clotting activity Tmax was observed at 0.25 hr or 0.50 hr in most animals. Both concentration and activity parameters increased with increasing dose, but not completely dose proportionally. There was a trend for AUC0-24hand AUC0-∞to increase 30 to 50% more than the increase in dose. Terminal half-life was longer based on plasma concentrations than based on clotting activity: approximately 12 to 28 hours versus approximately 5 to 7 hours. CL appeared to be about 50% faster at the lowest dose of 1 mg/kg compared to the 7.5 mg/kg and 15 mg/kg doses. CL based on plasma concentrations and based on clotting activity were similar.

[1354]

No consistent trends were apparent from the estimates of the volume of distribution. The apparent volume at steady state (Vss), when theoretically plasma and tissue concentrations are at equilibrium, and in the terminal phase (Vz), when concentrations are declining, were higher based on estimates from plasma concentrations than those based on clotting activity. Initial volume of distribution (Vi) was somewhat higher at the 1.0 mg/kg and 7.5 mg/kg dose groups based on clotting activity than that based on plasma concentrations. Vi was also higher at the two lower doses than at the high dose. This observation could be related to the fact that clotting activity measures did not all peak at the earliest time point and then sharply decline. Some of the clotting activity curves peaked at a later time producing a flatter initial phase of the curve. This pattern led to a lower estimate of Co and thus a higher estimate of Vi based on clotting activity.

[1355]

Following a slow IV bolus injection in male cynomolgus monkeys, MOD-5014 exposure based on plasma concentrations and based on clotting activity increased with increasing dose, but somewhat more than the increase in dose. Thus, MOD-5014 exposure based on plasma concentrations and based on clotting activity was dose related but not dose proportional. CL measured by concentrations and activity were similar and both were about 50% higher following a dose of 1 mg/kg compared to CL following doses of 7.5 mg or 15 mg/kg. Terminal half-life was longer based on plasma concentrations than based on clotting activity: approximately 12 to 28 hours versus approximately 5 to 7 hours.

[1356]

NZW Rabbit results are presented above in Example 15.

[1357]

Conclusions:

[1358]

Safety Assessment Summary:

[1359]

All the findings noted in the toxicological studies, are consistent with and anticipated based on the mechanism of action of this drug. There were no new or unique findings associated with MOD-5014 that have not also been seen for commercial rhFVII or other coagulation factor drugs. The thrombogenic effects were tested in Wessler model and was shown to be comparable to rhFVIIa.

[1360]

Pharmacokinetic Advantages:

[1361]

The results showed that recovery was enhanced two-fold, and that MOD-5014 provided a superior half-life, four-times that of commercial rhFVII. In addition, there was improved exposure to the MOD-5014 (AUC 3-4X). Analysis of in vitro clotting activity showed comparable in vitro clotting activity compared with the commercial product.

[1362]

Overall, MOD-5014 demonstrated excellent safety profiles, providing adequate exposure margins above the proposed administered clinical doses in the First in Human (FIH) phase 1-2A clinical trial study.

Example 18

Comparative Assessment of MOD-5014 and hFVIIa In Vitro Platelet Binding

[1363]

1. PROJECT RATIONALE AND SUMMARY

[1364]

1.1.Objective

[1365]

These studies were designed to assess in vitro platelet binding of MOD-5014 as compared to wild type recombinant human FVIIa. This is an important characteristic of FVIIa-like molecules as bypassing agents in hemophilia, since platelet surface activity is thought to be an important component of FVIIa mechanism of action in this clinical setting. In addition to simple phospholipids, platelets have numerous surface features that contribute to binding and activity of coagulation proteases. Thus, assays of phospholipid binding and activity alone may be misleading in predicting biological effects of coagulation factors such as FVIIa.

[1366]

1.2. Methods

[1367]

The studies examined:

    • Platelet binding as assessed by flow cytometry
    • Platelet binding as assessed by platelet surface thrombin generation

[1370]

1.3. Results and Conclusions

[1371]

The flow cytometry studies did not provide useful data. These assays allowed FVIIa and MOD-5014 to bind to activated human platelets. Binding was detected by an affinity-purified polyclonal antibody against human FVII. While the antibody preparation that used by OPKO for flow cytometry bound equally well to FVIIa and MOD-5014 on western blots, it did not do so in ELISA or in the flow cytometry assays. Thus, this approach was not useful for comparing FVIIa and MOD-5014 binding to platelets.

[1372]

As an alternative approach, the ability of MOD-5014 binding of platelets to support thrombin generation on the platelet surface was assessed. This approach is based on the fact that FVIIa has little ability to catalyze activation of FXa in solution. However, when FVIIa and modified FVIIa molecules bind to activated platelets, they are much more efficient in activating FX. The FXa produced on the activated platelets can then be measured by its ability to activate prothrombin to thrombin on the platelet surface.

[1373]

It was found that at equimolar concentrations, MOD-5014 supported rates of platelet surface thrombin generation that were slightly less than FVIIa. However, the lag before onset of thrombin generation was about 40% longer with MOD-5014 than with FVIIa. This is consistent with the biochemical studies showing that MOD-5014 has a slightly lower maximal rate of FX activation than wild type FVIIa. The longer time to maximal thrombin generation could be overcome by a higher level of MOD-5014. Many factors enter into dosing considerations. However, these in vitro data suggest that MOD-5014 may require slightly different dosing than FVIIa.

[1374]

2. EVALUATION OF PLATELET BINDING BY FLOW CYTOMETRY

[1375]

2.1. Method

[1376]

Platelets were isolated from healthy human donor blood and activated with thrombin and convulxin (a collagen receptor agonist). The activated platelets were incubated with 10, 50, 100, and 250 nM of MOD-5014 or FVIIa, and subsequently fixed with 1% paraformaldehyde. The fixed platelets were stained for FVIIa using a polyclonal anti-human FVII antibody and a FITC-linked secondary antibody. The stained platelets were analyzed by flow cytometry. The mean fluorescence intensity (brightness) of the platelet population at each FVIIa concentration was determined.

[1377]

2.2. Results

[1378]

FIG. 118 shows the mean fluorescence intensity of the platelet populations at each concentration of MOD-5014 or FVIIa. Despite the low overall binding detected for MOD-5014, MOD-5014 and FVIIa had similarly shaped binding curves. If MOD-5014 does not binding well to the platelets, this would result in a very flat curve that does not appear to saturate. Thus, it seems most likely that the antibody used to detect FVIIa/MOD-5014 might not detect MOD-5014 well. It was observed that the same polyclonal antibody used to detect binding in the flow cytometry studies gave an equally strong signal with SDS denatured samples of MOD-5014 and wild type FVIIa.

[1379]

The ability of the polyclonal antibody to detect FVIIa and MOD-5014 was then tested using an ELISA assay. In this assay, microtiter wells were coated with the antibody to capture the protein samples. Binding of the protein to the capture antibody was detected with the same polyclonal antibody. As FVIIa and MOD-5014 remain in their native conformations, MOD-5014 was detected considerably less well than FVIIa.

[1380]

This prompted us to seek a different technique to detect binding of FVIIa and MOD-5014.

[1381]

3. EVALUATION OF PLATELET BINDING BY THROMBIN GENERATION

[1382]

3.1. Method

[1383]

In these experiments, platelets were again activated with thrombin and convulxin, incubated with different concentrations of FVII or MOD-5014, and subsequently added to plasma concentrations of FX (135 nM) and prothrombin (1.2 μM) in the presence of the chromogenic substrate Gly-Pro-Arg-paranitroanilide (500 μM). Under these conditions, the FVIIa or MOD-5014 that has bound to the platelet activates FX. The FXa thus formed on the platelet surface combines with platelet-derived FVa, and the resulting complex activates prothrombin to thrombin, which is detected by cleavage of the chromogenic substrate.

[1384]

3.2. Results

[1385]

Substrate cleavage in the absence of platelets was minimal In FIG. 119, the maximal rate of substrate cleavage at each concentration is plotted as a function of FVIIa or MOD-5014 concentration. The rate of thrombin generation is somewhat lower for MOD-5014 than for FVIIa. This is consistent with activity assays performed on phospholipid vesicles.

Example 19

Biochemical Properties of MOD-5014 Relative to Commercial Recombinant hFVIIa—Effect of a Carboxy-Terminal Peptide (CTP) on Factor VIIa Activity

PROJECT RATIONALE AND SUMMARY

[1386]

These studies were designed to assess the biochemical properties of MOD-5014 relative to commercial recombinant hFVIIa, referred to herein as MOD-5000.

[1387]

The studies examined:

    • Synthetic substrate cleavage of MOD-5014
    • Tissue factor (TF) binding of MOD-5014 as measured by synthetic substrate cleavage
    • TF binding of MOD-5014 as measured by factor X (FX) activation
    • Kinetics of FX activation by TF-bound MOD-5014
    • Lipid binding of MOD-5014 as measured by FX activation
    • Kinetics of factor activation by lipid-bound MOD-5014
    • Inactivation of MOD-5014 by anti-thrombin (AT)
    • Inactivation of MOD-5014 by TFPI

[1396]

Overall the data suggests that, relative to MOD-5000, MOD-5014 has similar mechanism of action with a slightly reduced catalytic activity. These results demonstrated slightly reduced activity of TF-bound MOD-5014 and somewhat more reduced activity, independent of TF.

[1397]

These effects were reflected mainly by reaction rates rather than the extent of reactions, and reactions for which the entire time course can be measured do go to completion.

[1398]

The slightly reduced rate of AT inhibition suggests an extension of MOD-5014 half-life in vivo with a proper inhibition response.

EXPERIMENTAL MATERIALS

[0000]

    • MOD-5014 GMP-1: 2.5 mg/ml (based on A280)
    • NovoSeven Lot# CU60430: 0.943 mg/ml (based on A280), referred to as MOD-5000.

SYNTHETIC SUBSTRATE CLEAVAGE OF MOD-5014

[1401]

Rationale: Cleavage of synthetic substrate should depend exclusively on the availability of a functional active site.

[1402]

Methods: MOD-5000 and MOD-5014 were diluted to equal concentrations on a molar basis. The same concentration was then added to a fixed concentration of the substrate Pefachrome FVIIa (methylsul fonyl-D-cyclohexylalanyl-2-aminobutyryl-arginine-p-nitroanilide) and cleavage of the substrate was monitored by the appearance of a yellow color.

[1403]

Results

[1404]

Concentration: FVIIa 360 nM; Substrate 500 μM

[1405]

Analysis: Absorbance at 405 nm was converted to concentration of p-nitroaniline using the known extinction coefficient. Concentration of p-nitroaniline was plotted vs. time to determine a rate of substrate

[1406]

cleavage. Data was fitted to:
rate=k1[VIIa]

[1407]

k1=27.5 mol pNA/min/mol VIIa

[1408]

Conclusion: On a molar basis, MOD-5000 and MOD-5014 have the same rate of substrate cleavage (FIG. 120). For subsequent studies, measurement of substrate cleavage is used as a control for dilutions and pipetting.

TF BINDING OF MOD-5014 AS MEASURED BY SYNTHETIC SUBSTRATE CLEAVAGE

[1409]

Rationale: When factor VIIa binds TF, a conformational change occurs in factor VIIa that results in an increase in the rate of substrate cleavage. This means that increased substrate cleavage can be used to monitor factor VIIa binding to TF.

[1410]

Methods: Varying concentrations of MOD-5000 and MOD-5014 were added to a fixed concentration of

[1411]

TF and incubated for 5 minutes. Substrate (Pefachrome FVIIa) was added. Substrate cleavage was monitored at 405 nm by the appearance of yellow color.

[0000]

Results:

[1412]

Concentration: FVIIa 0-25 nM; TF 8.7 nM; Substrate 500 μM

[1413]

Analysis: As the concentration of TF is well above the expected Kd, at low concentrations all of FVIIa should be bound to TF. The rate of substrate cleavage will be that of the VIIa/TF complex. Once the concentration of FVIIa exceeds that of TF, the rate of substrate cleavage should drop to that of free FVIIa. Since FVIIa and TF form a 1:1 molar complex, the concentration of FVIIa at which the change in rate of substrate cleavage occurs is a check on the estimated concentration of FVIIa.

[1414]

Data was fitted to:
rate=k1[VIIa]+k2[VIIa/TF]

[1415]

k127.527.5mol pNA/min/mol VIIa
k2365357mol pNA/min/mol VIIa/TF

[1416]

Conclusion: MOD-5000 (Novoseven) and MOD-5014 show the same inflection point at the expected concentration of TF (8.7 nM) (FIG. 121). This confirms that the molar concentrations of MOD-5000 and MOD-5014 as predicted by substrate cleavage are correct. MOD-5014 had a very slightly lower rate of substrate cleavage when bound to TF (98%) relative to MOD-5000 (FIG. 121).

TF BINDING OF MOD-5014 AS MEASURED BY FACTOR X ACTIVATION

[1417]

Rationale: Cleavage of FX by FVIIa is slow relative to cleavage by the FVIIa/TF complex. Therefore, binding of FVIIa to TF can be assessed by measuring the rate of FX activation.

[1418]

Methods: Varying concentrations of MOD-5000 and MOD-5014 were added to a fixed concentration of TF and the rate of FX activation was measured. Factor X activation was assessed by cleavage of the synthetic substrate Pefachrome FXa (methoxycarbonyl-D-cyclohexylalanyl-glycyl-arginine paranitroanilide). Cleavage of synthetic substrate is converted to FXa concentration by a standard curve. Neither FVIIa nor FVIIa/TF cleaves the FX substrate at an appreciable rate.

[1419]

Results

[1420]

Concentration: FVIIa 0-2 nM; TF 10 pM; FX 135 nM; Substrate 500 μM

[1421]

Factor X concentration in plasma is 8 μg/mL (˜135 nM).

[1422]

Analysis: The rate of FX activation should increase as FVIIa binds to TF. Once all of the TF is saturated with FVIIa, the rate of FX activation will have reached a maximum value (FIG. 122A).

[1423]

Data was fitted to:

[1424]

v=Vmax[VIIa]n+[TF]+Kdn-([VIIa]n+[TF]+Kdn)2-4[VIIa]n[TF]2[TF]

[1425]

Vmax1.401.30nM FXa/min
Kd3.33.0pM
Hill value0.930.91

[1426]

Conclusion: There is a very slight negative cooperativity (Hill value <1) in the binding of FVIIa to TF. This is the same for MOD-5000 and MOD-5014. When bound to TF, MOD-5014 has a slightly reduced rate of FX activation (93%) relative to MOD-5000. The affinity of MOD-5014 for TF is equivalent to the affinity of MOD-5000 (FIG. 122A).

RATE OF FX ACTIVATION AS A FUNCTION OF FX CONCENTRATION

[1427]

Rationale: The slightly reduced rate of MOD-5014 activation when bound to TF could be a consequence of reduced affinity for FXa or reduced turnover of FX once it is bound to the complex. Measuring the rate of FX activation as a function of FX concentration established the kinetic parameters of the complex.

[1428]

Methods: Varying concentrations of FX were incubated with a fixed concentration of FVIIa/TF complex.

[1429]

Factor X activation was assessed by cleavage of a synthetic substrate (Pefachrome FXa). Cleavage of the synthetic substrate is converted to FXa concentration by a standard curve.

[0000]

Results

[1430]

Concentration: FVIIa 1 nM; TF 5 pM; FX 0-1500 nM; Substrate 500 μM

[1431]

Analysis: As more FX was added, more of the FVIIa/TF complex should have FX bound up to the point where all FVIIa/TF complexes have bound FX. At that point the reaction was limited by the rate at which FX was activated. Therefore, the rate of FX activation should have increased with an increasing concentration of FX, with the shape of the curve asymptotically approaching a maximum rate (FIG. 123).

[1432]

Data was fitted to:

[1433]

v=Vmax([S]Km+[S])

[1434]

Vmax1.781.64nM FXa/min
Km140120nM

[1435]

Conclusion: When bound to TF, MOD-5014 had a slightly reduced turnover of FX (92%) relative to MOD-5000. The binding of FX to the MOD-5014/TF complex was the same as its binding to the MOD-5000/TF complex (FIG. 123).

LIPID BINDING OF MOD-5014 AS MEASURED BY FX ACTIVATION

[1436]

Rationale: Factor X activation on platelets is thought to contribute to the hemostatic effect of FVIIa. This platelet activity is thought to occur in a low-TF environment, or in the absence of TF. Factor X activation without TF can be studied on lipid vesicles.

[1437]

Methods: Factor X activation by FVIIa on lipids is a function of binding of both enzyme (FVIIa) and protein substrate (FX). The lipid ratio was PC:PE:PS 41:44:14, designed to mimic the composition of highly activated platelets. The lipids were prepared as large unilamellar vesicles (200 nm). Increasing concentrations of vesicles were added to FVIIa and FX. Factor X activation was assessed by the cleavage of a synthetic substrate (Pefachrome FXa). Cleavage of the synthetic substrate was converted to FXa concentration by a standard curve.

[0000]

Results

[1438]

Concentration: FVIIa 20 nM; FX 500 nM; Lipids 0-1000 μM; Substrate 500 μM.

[1439]

Analysis: The rate of FXa generation was plotted against the concentration of lipid vesicles (FIG. 124A). As expected, FXa generation increased with the increasing concentrations of lipid since more surface area was available for the reaction. At a sufficiently high concentration of lipids, the rate of the reaction decreased as FVIIa and FX were segregated onto different lipid vesicles. This template response is expected for this system. Data was not fitted to an equation and the lines shown are for visual reference only. The difference in the rate of FXa generation between MOD-5000 and MOD-5014 were not due to differences in affinity for the lipids. This is shown in FIG. 124B, where the rate of FXa generation relative to the maximum for each is plotted against lipid concentration.

[1440]

Conclusion: The rate of FX activation in the absence of TF is lower for MOD-5014 (60%) relative to MOD-5000. The affinity of MOD-5014 for lipids is the same as for MOD-5000.

KINETICS OF FX ACTIVATION BY LIPID-BOUND MOD-5014

[1441]

Rationale: The reduced rate of FX activation in the absence of TF for MOD-5014 relative to MOD-5000 could be a consequence of reduced affinity for FXa or reduced turnover of FX once it is bound to the enzyme on the lipid surface.

[1442]

Methods: Varying FX concentrations were incubated with a fixed concentration of FVIIa and lipid vesicles. Factor X activation was assessed by cleavage of a synthetic substrate (Pefachrome FXa). Cleavage of synthetic substrate was converted to FXa concentration by a standard curve. Results

[1443]

Concentration: FVIIa 20 nM; FX 0-2500 nM; Lipids 100 μM; Substrate 500 μM.

[1444]

Analysis: As more FX is added, more of the FVIIa on the lipid surface should have FX bound up to the point where all FVIIa is bound to FX. At that point the reaction is limited by the rate at which FX is activated. Therefore, the rate of FX activation should increase with an increasing concentration of FX, with the shape of the curve asymptotically approaching a maximum rate. As expected, the affinity for FX of FVIIa is reduced (higher Km) in the absence of TF and the rate of FXa generation is reduced in the absence of TF (FIG. 125).

[1445]

Data was fitted to:

[1446]

v=Vmax([S]Km+[S])

[1447]

Vmax0.2530.115nM FXa/min
Km878848nM FXa/min

[1448]

Conclusion: The rate of FX activation on a lipid surface in the absence of TF is lower for MOD-5014 (45%) relative to MOD-5000. The binding of FX to MOD-5014 on the lipid surface was the same as its binding to MOD-5000 (FIG. 125).

INACTIVATION OF MOD-5014 BY AT

[1449]

Rationale: A significant part of FVIIa clearance in vivo is thought to be through formation of a FVIIa complex with AT. The rate of this reaction is measurable in vitroonly when FVIIa is bound to TF. To proceed at a measurable rate, the in vitro reaction also requires high concentrations of heparin, which is thought to mimic the effects of a naturally occurring glycosaminoglycan.

[1450]

Methods: Factor VIIa was incubated with TF to allow formation of the complex. The complex was incubated with AT and heparin. The reaction was stopped at timed intervals by the addition of polybrene (hexadimethrine bromide) to neutralize the heparin. The residual FVIIa/TF activity was measured by the cleavage of a synthetic substrate (Pefachrome FVIIa). At the concentrations used in the assay, polybrene did not alter substrate cleavage.

[0000]

Results

[1451]

Concentration: FVIIa 10 nM; TF 11 nM; AT 1 μM; Heparin 5 U/mL; FVIIa/TF 8.2 nM; Polybrene 100 μg/mL; Substrate 500 μM.

[1452]

Analysis: The concentration of FVIIa/TF, measured as a rate of substrate cleavage, was plotted against the time in minutes (FIG. 126). As expected, AT/heparin inhibited FVIIa, leading to a loss of FVIIa/TF activity.

[1453]

Data was fitted to:
v=Vt=0e−k*time

[1454]

V011.8911.93
K0.3540.217Min*1

[1455]

Conclusion: Similar values for the activity at T=0 indicate that equal amounts of MOD-5000 and MOD-5014 were present in the reaction. MOD-5014 was inhibited slightly more slowly (62%) than MOD-5000 (FIG. 126). Both reactions proceeded to complete inhibition.

INACTIVATION OF MOD-5014 BY TFPI

[1456]

Rationale: TFPI is the physiologic inhibitor of the FVIIa/TF complex. The K2 domain of TFPI forms an initial complex with FXa. This complex binds FVIIa/TPI, where the K1 domain of TFPI interacts with FVIIa. Therefore, FX activation by FVIIa/TF should lead to inhibited complexes and to shutdown of FVIIa-TFPI.

[1457]

Methods: Factor VIIa and TF were incubated together to form a complex. The complex was added to TFPI/FX/FXa substrate. Factor X activation was assessed by cleavage of a synthetic substrate (Pefachrome FXa). Cleavage of the synthetic substrate was converted to FXa concentration by a standard curve.

[0000]

Results

[1458]

Concentration—inhibition: FVIIa 1 nM; TF 20 pM; FX 135 nM; TFPI 0-5 nM; Substrate 500 μM.

[1459]

Analysis: As expected, initial FXa generation occurred at the same rate in all reactions (FIG. 127 A-C). In the presence of TFPI, the rate of FXa generation slowed as the FVIIa/TFPI complex was inhibited by TFPI/FXa (lower two panels). Shutdown of the TFPI complexes occurred more rapidly at higher concentrations of TFPI (lower two panels). The amount of FXa formed before FVIIa/TFPI was shut down is a measure of TFPI interaction with FVIIa/TF. Since MOD-5014 has a slightly reduced rate of FXa generation which would therefore slow formation of FXa/TFPI complexes, the reaction took longer to reach a plateau with MOD-5014 than with MOD-5000.

[1460]

Conclusion: As shown in the upper panel, the concentration dependence for TFPI inhibition of MOD-5014/TF generation of FXa is very similar to that of MOD-5000. MOD-5014 might be slightly more sensitive to TFPI inhibition (124%); alternatively, this might be an artifact of the slightly slower rate of FXa generation.

[1461]

While certain features of the disclosure have been illustrated and described herein, many modifications, substitutions, changes, and equivalents will now occur to those of ordinary skill in the art. It is, therefore, to be understood that the appended claims are intended to cover all such modifications and changes as fall within the true spirit of the disclosure.

Как компенсировать расходы
на инновационную разработку
Похожие патенты