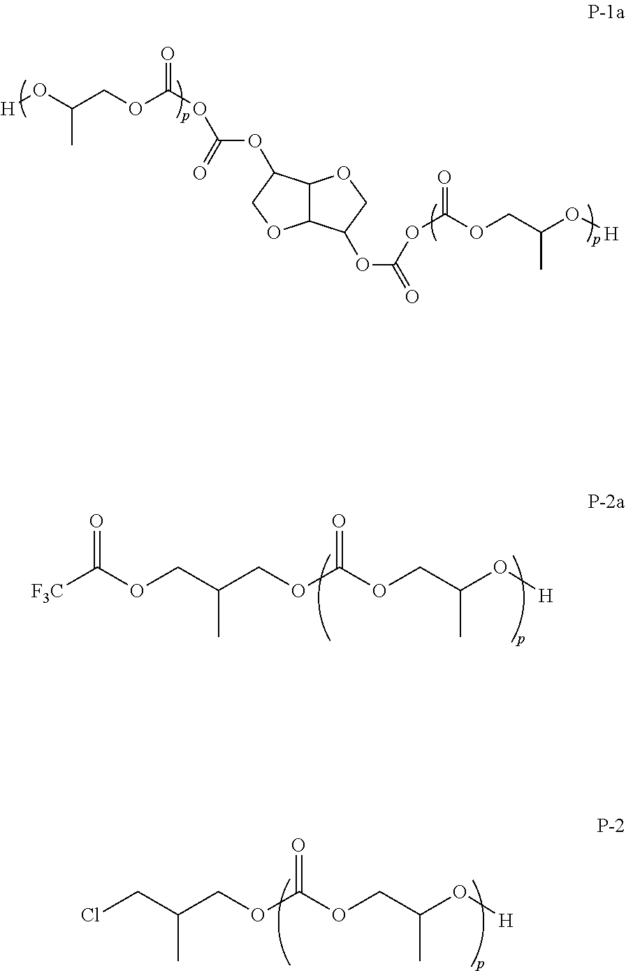
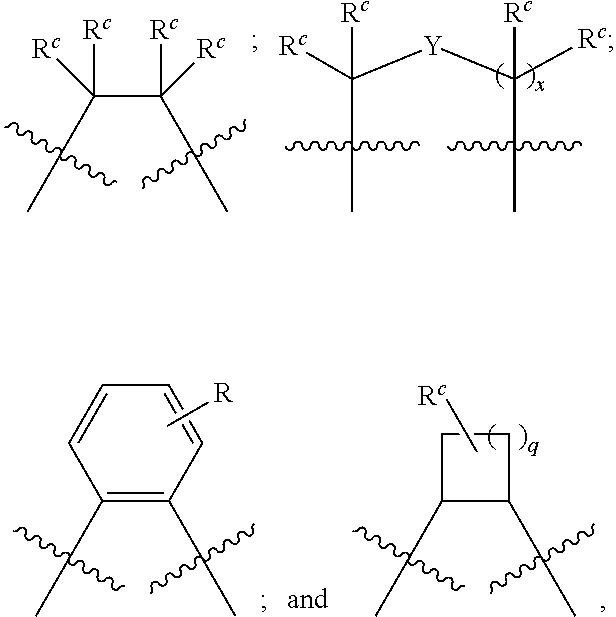
патент
№ US 0010836859
МПК C08G64/34

Polycarbonate polyol compositions and methods

Авторы:
Scott D. Allen Geoffrey W. Coates Anna E. Cherian
Все (18)
Правообладатель:
Все (3)
Номер заявки
16379129
Дата подачи заявки
09.04.2019
Опубликовано
17.11.2020
Страна
US
Дата приоритета
17.12.2025
Номер приоритета
Страна приоритета
Как управлять
интеллектуальной собственностью
Реферат

In one aspect, the present disclosure encompasses polymerization systems for the copolymerization of CO2 and epoxides comprising 1) a catalyst including a metal coordination compound having a permanent ligand set and at least one ligand that is a polymerization initiator, and 2) a chain transfer agent having two or more sites that can initiate polymerization. In a second aspect, the present disclosure encompasses methods for the synthesis of polycarbonate polyols using the inventive polymerization systems. In a third aspect, the present disclosure encompasses polycarbonate polyol compositions characterized in that the polymer chains have a high percentage of —OH end groups and a high percentage of carbonate linkages. The compositions are further characterized in that they contain polymer chains having an embedded polyfunctional moiety linked to a plurality of individual polycarbonate chains.

Формула изобретения

1. A method for the synthesis of aliphatic polycarbonate polyols, the method comprising the steps of:

a) providing a reaction mixture comprising:

(i) one or more epoxides;

(ii) carbon dioxide;

(iii) a metallosalenate metal complex; and

(iv) a chain transfer agent having a structure Y—A—(Y)n, where:

each —Y group is independently a functional group capable of initiating chain growth of epoxide CO2copolymers and each Y group may be the same or different;

—A— is a covalent bond or a multivalent moiety; and

n is an integer between 1 and 10, inclusive;

wherein the chain transfer agent and metal complex are present in a molar ratio ranging from 40:1 to 1000:1 or greater than 1000:1;

b) allowing the polymerization reaction to proceed; and

c) terminating the polymerization.

2. The method of claim 1, wherein each Y group is independently selected from the group consisting of: —OH, —C(O)OH, —C(ORy)OH, —OC(Ry)OH, —NHRy, —NHC(O)Ry, —NHC═NRy, —NRyC═NH, —NRyC(NRy2)═NH; —NHC(NRy2)═NRy; —NHC(O)ORy, —NHC(O)NRy2; —C(O)NHRy, —C(S)NHRy, —OC(O)NHRy, —OC(S)NHRy, —SH, —C(O)SH, —B(ORy)OH, —P(O)a(Ry)b(ORy)c(OH)d, —OP(O)a(Ry)b(ORy)c(OH)d, —N(Ry)OH, —ON(Ry)H, ═NOH, and ═NN(Ry)H, where each occurrence of Ryis independently —H, or a radical which may be substituted selected from the group consisting of C1-20aliphatic, C1-20heteroaliphatic, 3- to 12-membered heterocyclic, and 6- to 12-membered aryl, a and b are each independently 0 or 1, c is 0, 1 or 2, d is 0 or 1, and the sum of a, b, and c is 1 or 2.

3. The method of claim 1, wherein one or more Y groups are hydroxyl or a hydroxyl salt.

4. The method of claim 3, wherein -A- is a C3-20aliphatic chain which may be substituted.

5. The method of claim 3, wherein -A- is a polyether chain or a polyolefin chain.

6. The method of claim 1, wherein at least one Y group is a carboxylic acid or a salt thereof.

7. The method of claim 1, wherein an epoxide has a structure:

where, R21, R22, R23, and R24, are each independently selected from the group consisting of: —H, and a group which may be substituted selected from C1-30aliphatic, C6-14aryl, 3- to 12-membered heterocycle, and 5- to 12-membered heteroaryl, where any two or more of R21, R22, R23, and R24can be taken together with intervening atoms to form one or more 3- to 12-membered rings, which may be substituted and contain one or more heteroatoms.

8. The method of claim 1, wherein an epoxide is selected from the group consisting of:

wherein each Rxis, independently, selected from aliphatic which may be substituted, heteroaliphatic which may be substituted, aryl which may be substituted and heteroaryl which may be substituted.

9. The method of claim 1, wherein an epoxide is ethylene oxide or propylene oxide.

10. The method of claim 1, wherein the metallosalente metal complex is cobalt salen complex, chromium salen complex, or aluminum salen complex.

11. The method of claim 1, wherein the metallosalenate metal complex is selected from the group consisting of:

wherein,

M is a metal atom;

Q, at each occurrence is independently O or S;

R1and R1′ are independently selected from the group consisting of —H, C1to C12aliphatic which may be substituted, 3- to 14-membered carbocycle which may be substituted, 3- to 14-membered heterocycle which may be substituted, and R21;

R2and R2′are independently selected from the group consisting of —H, C1to C12aliphatic which may be substituted, 3- to 14-membered carbocycle which may be substituted, 3- to 14-membered heterocycle which may be substituted, R14, R20, and R21;

R3and R3′ are independently selected from the group consisting of —H, C1to C12aliphatic which may be substituted, 3- to 14-membered carbocycle which may be substituted, 3- to 14-membered heterocycle which may be substituted, and R21;

represents a moiety which may be substituted covalently linking two nitrogen atoms,

where any of [R2′ and R3′], [R2and R3], [R1and R2], and [R1′and R2′] may be taken together with intervening atoms to form one or more rings which may in turn be substituted with one or more groups selected from R14, R20, and R21;

R14at each occurrence is independently selected from the group consisting of halogen, C1to C12aliphatic which may be substituted, 3- to 14-membered carbocycle which may be substituted, 3- to 14-membered heterocycle which may be substituted, —OR10, —OC(O)R13, —OC(O)OR13, —OC(O)NR11R12, —CN, —CNO, —C(R13)zH(3-z), —C(O)R13, —C(O)OR13, —C(O)NR11R12, —NR11R12, —NR11C(O)R13, —NR11C(O)OR13, —NR11SO2R13, —N+R11R12R13X, —P+(R11)3X, —P(R11)3═N+═P(R11)3X, —As+R11R12R13X, —NCO, —N3, —NO2, —S(O)xR13, and —SO2NR11R12;

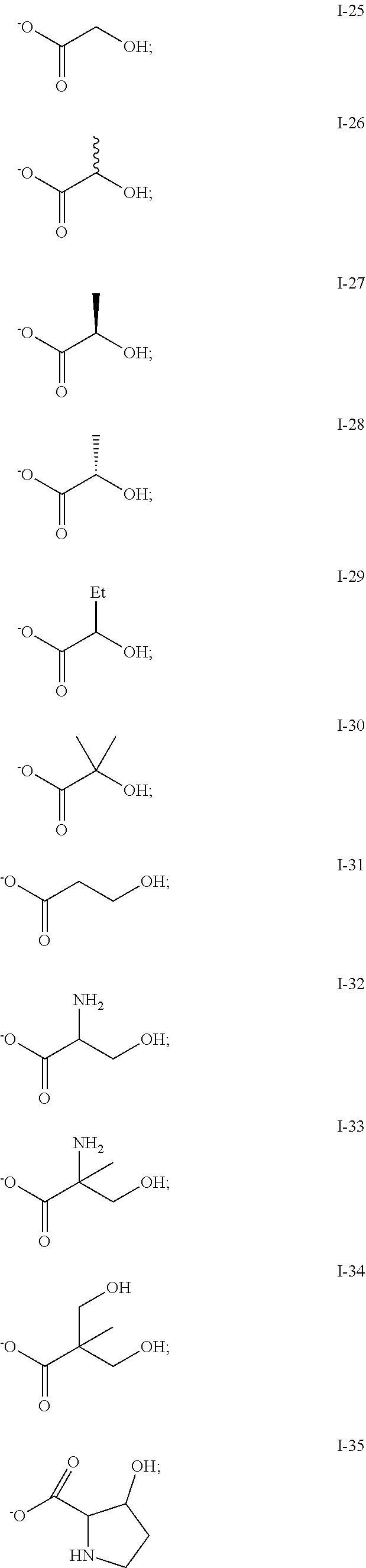
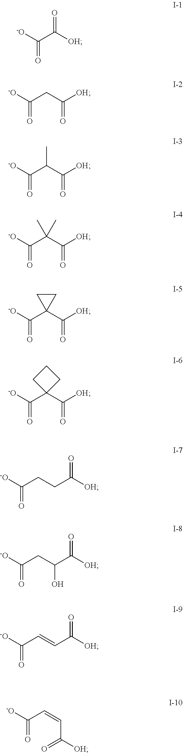
R20at each occurrence is independently selected from the group consisting of halogen, —OR10, —OC(O)R13, —OC(O)OR13, —N+(R11)3X, —P+(R11)3X, —P(R11)3═N+═P(R11)3X, —As+R11R12R13X, —OC(O)NR11R12, —CN, —CNO, —C(O)R13, —C(O)R13, —C(O)NR11R12, —C(R13)zH(3-z), —NR11R12, —NR11C(O)R13, —NR11C(O)OR13, —NCO, —NR11SO2R13, —S(O)xR13, —S(O)2NR11R12, —NO2, —N3, and —Si(R13)(3-z)[(CH2)kR14]z;

R21at each occurrence is independently selected from the group consisting of —(CH2)kR20and —(CH2)k—Z—(CH2)kR20;

X is any anion;

Z is a divalent linker selected from the group consisting of —(CH═CH)a—, —(C≡C)a—, —C(O)—, —C(═NOR11)—, —C(═NNR11R12)—, —O—, —OC(O)—, —C(O)O—, —OC(O)O—, —N(R11)—, —N(C(O)R13)—, —C(O)NR13—, —N(C(O)R13)O—, —NR13C(O)R13N—, —S(O)x—, a polyether, and a polyamine;

R10at each occurrence is independently selected from the group consisting of —H, C1-12aliphatic which may be substituted, a 3- to 14-membered carbocycle which may be substituted, a 3- to 14-membered heterocycle which may be substituted, —S(O)2R13, —Si(R15)3, —C(O)R13, and a hydroxyl protecting group;

R11and R12at each occurrence are independently selected from the group consisting of —H, C1to C12aliphatic which may be substituted, a 3- to 14-membered carbocycle which may be substituted, a 3- to 14-membered heterocycle which may be substituted, where two or more R11or R12groups can be taken together with intervening atoms to form a 3- to 10-membered ring which may be substituted;

R13at each occurrence is independently selected from the group consisting of —H, C1to C12aliphatic which may be substituted, a 3- to 14-membered carbocycle which may be substituted, and 3- to 14-membered heterocycle which may be substituted, where two or more R13groups on the same molecule may be taken together to form a ring;

R15at each occurrence is independently selected from the group consisting of C1-12aliphatic which may be substituted, a 3- to 14-membered carbocycle which may be substituted, and a 3- to 14-membered heterocycle which may be substituted;

a is 1, 2, 3, or 4;

k is independently at each occurrence an integer from 1 to 8 inclusive;

x is 0, 1, or 2; and

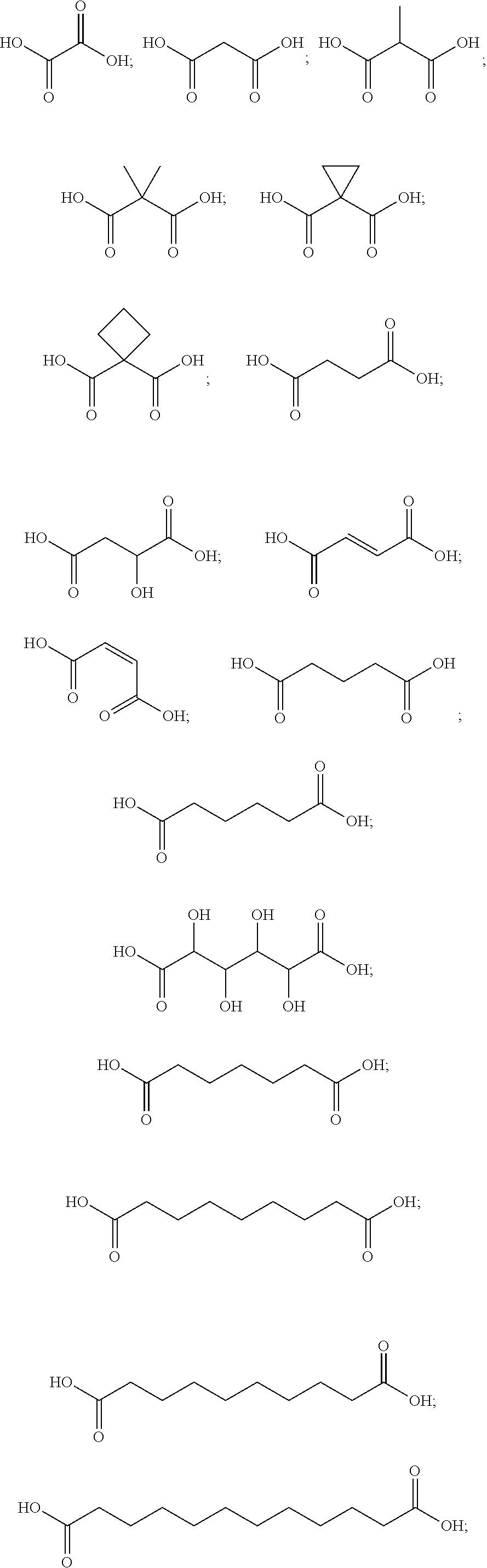
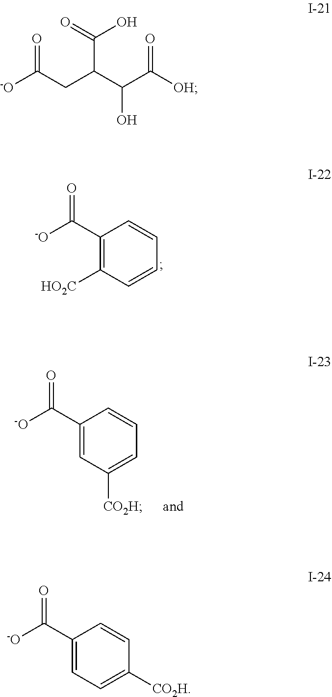
z is 1, 2, or 3.

12. The method of claim 11, wherein M is selected from the group consisting of Cr, Mn, V, Fe, Co, Mo, W, Ru, Al, and Ni.

13. The method of claim 1, wherein the metallosalenate metal complex has a formula selected from the group consisting of:

wherein:

M is a metal atom;

LIis a ligand that is a polymerization initiator, and m is an integer between 0 and 2;

Rcat each occurrence is independently selected from the group consisting of —H, C1to C12aliphatic which may be substituted, a 3- to 14-membered carbocycle which may be substituted, a 3- to 14 membered heterocycle which may be substituted, R20, and R21;

R4a, R4a′, R5, R5a′, R6a, R6a′, R7a, and R7′are each independently hydrogen, a group, halogen, —NO2, —CN, —SR13, —S(O)R13, —S(O)2R13, —NR11C(O)R13, —OC(O)R13,

—CO2R13, —NCO, —N3, —OR10, —OC(O)NR11R12, —Si(R13)3, —NR11R12, —NR11C(O)R13, —NR11C(O)OR13, or a radical which may be substituted selected from the group consisting of C1-20aliphatic, C1-20heteroaliphatic, 6- to 10-membered aryl, 5- to 10-membered heteroaryl, and 3- to 7-membered heterocyclic; where [R1aand R4a], [R1a′ and R4a′] and any two adjacent R4a, R4a′, R5a, R5a′, R6a, R6a′, R7a, and R7a′ groups can be taken together with intervening atoms to form one or more rings which may be substituted and contain one or more heteroatoms;

R1aand R1a′ are hydrogen when not taken together with R4aand R4a′;

R′ is Rdor a group;

Rdis selected from the group consisting of C1to C12aliphatic which may be substituted, 3- to 14-membered carbocycle which may be substituted, 3- to 14-membered heterocycle which may be substituted, R20, and R21;

R14at each occurrence is independently halogen, C1to C12aliphatic which may be substituted, a 3- to 14-membered carbocycle which may be substituted, a 3- to 14-membered heterocycle which may be substituted, —OR10, —OC(O)R13, —OC(O)OR13, —OC(O)NR11R12, —CN, —CNO, —C(R13)zH(3-z), —C(O)R13, —C(O)OR13, —C(O)N11R12, —NR11R12, —NR11C(O)R13, —NR11C(O)OR13, —NR11SO2R13, —N+R11R12R13X, —P+(R11)3X, —P(R11)3═N+═P(R11)3X, —As+R11R12R13X, —NCO, —N3, —NO2, —S(O)xR13, or —SO2NR11R12;

R20at each occurrence is independently halogen, —OR10, —OC(O)R13, —OC(O)OR13, —N+(R11)3X, —P+(R11)3X, —P(R11)3═N+═P(R11)3X, —As+R11R12R13X, —OC(O)NR11R12, —CN, —CNO, —C(O)R13, —C(O)OR13, —C(O)N11R12, —C(R13)zH(3-z), —NR11R12, —NR11C(O)R13, —NR11C(O)OR13, —NCO, —NR11SO2R13, —S(O)xR13, —S(O)2NR11R12, —NO2, —N3, or —Si(R13)(3-z)[(CH2)kR14]z;

X is any anion;

R21at each occurrence is independently —(CH2)kR20or —(CH2)k—Z—(CH2)kR20;

Z is a divalent linker, wherein the divalent linker is —(CH═CH)a—, —(C≡C)a—, —C(O)—, —C(═NOR11)—, —C(═NNR11R12)—, —O—, —OC(O)—, —C(O)O—, —OC(O)O—, —N(R11)—, —N(C(O)R13)—, —C(O)NR13—, —N(C(O)R13)O—, —NR13C(O)R13N—, —S(O)x—, a polyether, or a polyamine;

R10at each occurrence is independently —H, C1-12aliphatic which may be substituted, a 3- to 14-membered carbocycle which may be substituted, a 3- to 14-membered heterocycle which may be substituted, —S(O)2R13, —Si(R15)3, —C(O)R13, or a hydroxyl protecting group;

R11and R12at each occurrence are independently —H, C1to C12aliphatic which may be substituted, a 3- to 14-membered carbocycle which may be substituted, or a 3- to 14-membered heterocycle which may be substituted, where two or more R11or R1groups can be taken together with intervening atoms to form a 3- to 10-membered ring which may be substituted;

R13at each occurrence is independently —H, C1to C12aliphatic which may be substituted, a 3- to 14-membered carbocycle which may be substituted, or a 3- to 14-membered heterocycle which may be substituted, where two or more R13groups on the same molecule may be taken together to form a ring;

R15at each occurrence is independently C1-12aliphatic which may be substituted, a 3- to 14-membered carbocycle which may be substituted, or a 3- to 14-membered heterocycle which may be substituted;

a is 1, 2, 3, or 4;

k is independently at each occurrence an integer from 1 to 8 inclusive;

x is 0, 1, or 2;

z is 1, 2, or 3; and

where a group comprises a covalent linker “” containing one or more atoms selected from the group consisting of C, O, N, S, and Si; “Z” is an activating functional group having co-catalytic activity in epoxide CO2copolymerization, and p is an integer from 1 to 4 indicating the number of individual activating functional groups Z present on a given group.

14. The method of claim 13, wherein M is selected from the group consisting of Cr, Mn, V, Fe, Co, Mo, W, Ru, Al, and Ni.

15. The method of claim 1, wherein the metallosalenate metal complex has a formula selected from the group consisting of:

wherein

M is a metal atom;

LIis a ligand that is a polymerization initiator, and m is an integer between 0 and 2;

R5a, R5a′, R7a, and R7a′are each independently hydrogen, a group, halogen, —NO2, —CN, —SR13, —S(O)R13, —S(O)2R13, —NR11C(O)R13, —OC(O)R13, —CO2R13, —NCO, —N3, —OR10, —OC(O)NR11R12, —Si(R13)3, —NR11R12, —NR11C(O)R13, or —NR11C(O)OR13, or an radical which may be substituted wherein said radical which may be substituted is C1-20aliphatic, C1-20heteroaliphatic, 6- to 10-membered aryl, 5- to 10-membered heteroaryl, or 3- to 7-membered heterocyclic;

R10at each occurrence is independently —H, C1-12aliphatic which may be substituted, a 3- to 14-membered carbocycle which may be substituted, a 3- to 14-membered heterocycle which may be substituted, —S(O)2R13, —Si(R15)3, —C(O)R13, or a hydroxyl protecting group;

R11and R12at each occurrence are independently —H, C1to C12aliphatic which may be substituted, a 3- to 14-membered carbocycle which may be substituted, or a 3- to 14-membered heterocycle which may be substituted, where two or more R11or R12groups can be taken together with intervening atoms to form a 3- to 10-membered ring which may be substituted;

R13at each occurrence is independently —H, C1to C12aliphatic which may be substituted, a 3- to 14-membered carbocycle which may be substituted, or a 3- to 14-membered heterocycle which may be substituted, where two or more R13groups on the same molecule may be taken together to form a ring; and

R15at each occurrence is independently C1-12aliphatic which may be substituted, a 3- to 14-membered carbocycle which may be substituted, or a 3- to 14-membered heterocycle which may be substituted; and

where a group comprises a covalent linker “” containing one or more of C, O, N, S, or Si; “Z” is an activating functional group having co-catalytic activity in epoxide CO2copolymerization; and p is an integer from 1 to 4 indicating the number of individual activating functional groups Z present on a given group.

16. The method of claim 15, wherein M is selected from the group consisting of Cr, Mn, V, Fe, Co, Mo, W, Ru, Al, and Ni.

17. The method of claim 1, wherein more than 90% of the linkages formed by the metal complex are carbonate linkages.

18. The method of claim 1, wherein more than 99% of the linkages formed by the metal complex are carbonate linkages.

19. The method of claim 1, wherein the polymerization reaction is allowed to proceed until the number average molecular weight of the polymer formed is between 500 and 10,000 g/mol.

20. The method of claim 1, wherein less than 5% cyclic carbonate is formed as a by-product.

Описание

PRIORITY CLAIM

[0001]

This application is a continuation of U.S. patent application Ser. No. 15/719,855, filed Sep. 29, 2017 (now U.S. Pat. No. 10,301,426), which is a continuation of U.S. patent application Ser. No. 15/161,684, filed May 23, 2016 (now U.S. Pat. No. 9,809,678), which is a continuation of U.S. patent application Ser. No. 14/573,534, filed Dec. 17, 2014 (now U.S. Pat. No. 9,376,531), which is a continuation of U.S. patent application Ser. No. 14/040,001, filed Sep. 27, 2013 (now U.S. Pat. No. 8,921,508), which is a continuation of U.S. patent application Ser. No. 13/584,989, filed Aug. 14, 2012 (now U.S. Pat. No. 8,604,155), which is a continuation of U.S. patent application Ser. No. 12/994,544, filed Nov. 24, 2010 (now U.S. Pat. No. 8,247,520), which is a national phase application under 35 U.S.C. § 371 of PCT International Application No. PCT/US2009/056220, filed Sep. 8, 2009, which claims priority to U.S. Provisional Patent Application Ser. No. 61/095,178, filed Sep. 8, 2008, the entire contents each of which are incorporated herein by reference.

BACKGROUND

[0002]

Aliphatic polycarbonates (APCs) have utility as polyol building blocks for the construction of co-polymers such as flexible urethane foams, urethane coatings, rigid urethane foams, urethane/urea elastomers and plastics, adhesives, polymeric coatings and surfactants among others. Examples of such APCs include poly(propylene carbonate) (PPC); poly(ethylene carbonate) (PEC); poly(butylene carbonate) (PBC); and poly(cyclohexene carbonate) (PCHC) as well as copolymers of two or more of these.

[0003]

To have utility in these applications, it is preferable that all polycarbonate polymer chain ends terminate with hydroxyl groups. Such hydroxyl groups serve as reactive moieties for cross-linking reactions or act as sites on which other blocks of a co-polymer can be constructed. It is problematic if a portion of the chain ends on the APC are not hydroxy groups since this results in incomplete cross-linking or termination of the block copolymer. A typical specification for aliphatic polycarbonate polyol resins for use in such applications is that at least 98% or in some cases greater than 99% of chain ends terminate in hydroxyl groups. In addition, these applications typically call for relatively low molecular weight oligomers (e.g. polymers having average molecular weight numbers (Mn) between about 500 and about 15,000 g/mol). It is also desirable that the polyols have a narrowly defined molecular weight distribution—for example, a polydispersity index less than about 2 is desirable, but much narrower distributions (i.e. PDI<1.2) can be advantageous. Furthermore, for certain applications, polyol polycarbonates having little or no contamination with ether linkages are desirable.

[0004]

Aliphatic polycarbonates can be conveniently synthesized by copolymerization of carbon dioxide and epoxides as shown in Scheme 1.

[0005]

[0006]

Currently, there are several catalytic systems utilized for such syntheses, namely: heterogeneous catalyst systems based on zinc or aluminum salts; double metal cyanide (DMC) catalysts; and homogenous catalysts based on coordination complexes of transition metals or aluminum.

[0007]

The catalytic systems using heterogeneous zinc or aluminum salts are typified by those first described by Inoue in the 1960s (for example in U.S. Pat. Nos. 3,900,424 and 3,953,383. Further improvements to these catalysts have been made over the years (for example as described in W. Kuran, et al. Chem. Macromol. Chem. Phys. 1976, 177, pp 11-20 and Gorecki, et al. J. Polym. Sci. Part C 1985, 23, pp. 299-304). Nonetheless, these catalyst systems are generally not suitable for producing polyol resins with the low molecular weights and narrow polydispersity demanded by many applications. The catalysts are of relatively low activity and produce high molecular weight polymer with broad polydispersity. Additionally, the polycarbonates produced by these catalysts have a significant proportion of ether linkages in the chain which can be undesirable in certain applications.

[0008]

A second class of catalysts for the polymerization of epoxides and CO2are the double metal cyanide (DMC) catalysts. Such catalysts are exemplified by those reported by Kruper and Smart in U.S. Pat. No. 4,500,704. Compared to the Inoue-type catalysts, the DMC systems are better suited to the formation of low molecular weight polymers and produce a predominance of chains with hydroxyl end groups. However, these catalysts produce polymers having a high proportion of ether linkages and the materials they produce are more properly regarded as polycarbonate-polyether copolymers rather than as aliphatic polycarbonates per se.

[0009]

A more recently developed class of catalysts is based on coordination complexes of aluminum or a variety of transition metals, particularly complexes of cobalt, chromium and manganese. Examples of such catalysts are disclosed in U.S. Pat. Nos. 6,870,004 and 7,304,172. In some cases these catalytic systems are highly active and are capable of providing aliphatic polycarbonate with narrow polydispersity, a high percentage of carbonate linkages and good regioselectivity (e.g. high head-to-tail ratios for incorporation of monosubstituted epoxides). However, at high conversions under standard conditions, these catalysts produce high molecular weight polymers that are not suitable for many polyol applications. Additionally, using these systems, it has not been practical to synthesize polycarbonate polyols having a high percentage of hydroxyl end-groups.

[0010]

The lack of hydroxyl end-groups is due to the fact that anion(s) associated with the metal center of the catalyst complex become covalently bound to the polymer chain during initiation of polymer chain growth. This is true also of anions associated with any optionally present cationic co-catalysts used in these reactions. Without wishing to be bound by theory or thereby limit the scope of the present invention, the sequence shown in Scheme 2, depicts a probable reaction sequence showing why the anions (denoted —X) associated with the catalyst complex

[0011]


become covalently linked to the polycarbonate chain.

[0012]

[0013]

The counterions —X typically used for these catalysts include halides, sulfonates, phenolates, carboxylates and azide. Because polymerization is initiated when one of these anions opens an epoxide ring, one end of each polymer chain (the initiation end) is necessarily capped with a non-hydroxyl moiety such as a halogen, an alkylsulfonate, a phenylether, an acyl group, or an azide, respectively.

[0014]

The other factor disfavoring the use of these catalytic systems to produce polyol resins is the fact that they produce high molecular weight polymer when taken to high conversions. Typical molecular weights are in the range of 20,000 to 400,000 g/mol-values well above the molecular weight range desired for most polyol resin applications.

[0015]

Potential strategies to produce lower molecular weight materials include: stopping the polymerization at low conversion; using high catalyst concentrations; degrading the high molecular weight polymer to shorter chains, or using chain transfer agents (CTAs) such as alcohols during the polymerization. Stopping the reaction at low conversion or increasing the catalyst concentration are undesirable due to cost considerations and added difficulties in purification occasioned by the increased concentration of catalyst-derived contaminants in the crude polymer. Degradation of higher molecular weight polymers to produce low molecular weight resins leads to increased polydispersity, adds additional steps to the production process, and leads to contamination with cyclic by-products. Chain transfer agents can be successfully employed to lower the molecular weight of the polymer without a significant increase in cost or contamination. However, this strategy does not alleviate the problem of non-hydroxyl end groups since polymer chains initiated by chain transfer agent will still have one end capped with a non-hydroxyl moiety (i.e. an ether corresponding to the alcohol used as the CTA).

[0016]

As such, there remains a need for catalysts and methods that are capable of efficiently producing polycarbonate polyols having high carbonate content.

SUMMARY OF THE INVENTION

[0017]

In one aspect, the present disclosure encompasses polymerization systems for the copolymerization of CO2and epoxides comprising 1) a metal complex including a metal coordination compound having a permanent ligand set and at least one ligand that is a polymerization initiator, and 2) a chain transfer agent having two or more sites that can initiate polymerization.

[0018]

In some embodiments, a ligand that is a polymerization initiator has two or more sites capable of initiating polymerization, this variation leads to polycarbonate polyols with an extremely high proportion of —OH end groups. In certain embodiments, the chain transfer agent and the ligand that is a polymerization initiator are the same molecule (or ionic forms of the same molecule).

[0019]

In certain embodiments, a polymerization system further includes a co-catalyst. In some embodiments, the co-catalyst is a cationic organic molecule. In certain embodiments, an anion present to balance the charge of a cationic co-catalyst is also a polymerization initiator having two or more sites that can initiate polymerization. In certain embodiments, the ligand that is a polymerization initiator, and the counterion of the co-catalyst are the same molecule. In certain embodiments, the chain transfer agent, the ligand that is a polymerization initiator, and an anion associated with a co-catalyst are the same molecule (or ionic forms of the same molecule).

[0020]

In some embodiments, the present disclosure encompasses methods for the synthesis of polycarbonate polyols. In some embodiments, a method includes the steps of: 1) providing a reaction mixture including one or more epoxides and at least one chain transfer agent having two or more sites capable of initiating polymerization, 2) contacting the reaction mixture with a with a metal complex comprising a metal coordination compound having a permanent ligand set and at least one ligand that is a polymerization initiator, and 3) allowing the polymerization reaction to proceed for a length of time sufficient for the average molecular weight of the polycarbonate polyol formed to reach a desired value. In some embodiments the method further includes contacting the reaction mixture with a co-catalyst.

[0021]

In some embodiments, the present disclosure encompasses polycarbonate polyol compositions characterized in that polymer chains have a high percentage of —OH end groups and a high percentage of carbonate linkages. Such compositions are further characterized in that polymer chains contain within them a polyfunctional moiety linked to a plurality of individual polycarbonate chains. In certain embodiments, polycarbonate polyol compositions are further characterized by having one or more of the following features: a carbonate-to-ether linkage ratio of at least 10:1, a head-to-tail ratio of at least 5:1, or a polydispersity index of less than 2. In certain embodiments of this aspect, a polymer composition is further characterized in that a polymer contains a plurality of polymer chain types differentiated by the presence of different polyfunctional polymerization initiators embedded within the chain, or by differences in the end-groups present on the polymer chains.

[0022]

In certain embodiments, polycarbonate polyol compositions of the present disclosure are further characterized in that they contain a mixture of two or more chain types, wherein the chain different chain types are differentiated from one another by differences in the identity of the embedded polyfunctional polymerization initiators, the absence of embedded polyfunctional polymerization initiators, or the presence of non-hydroxyl end groups on certain chains.

Definitions

[0023]

Definitions of specific functional groups and chemical terms are described in more detail below. For purposes of this invention, the chemical elements are identified in accordance with the Periodic Table of the Elements, CAS version, Handbook of Chemistry and Physics, 75thEd., inside cover, and specific functional groups are generally defined as described therein. Additionally, general principles of organic chemistry, as well as specific functional moieties and reactivity, are described in Organic Chemistry, Thomas Sorrell, University Science Books, Sausalito, 1999; Smith and March March's Advanced Organic Chemistry, 5thEdition, John Wiley & Sons, Inc., New York, 2001; Larock, Comprehensive Organic Transformations, VCH Publishers, Inc., New York, 1989; Carruthers, Some Modern Methods of Organic Synthesis, 3rdEdition, Cambridge University Press, Cambridge, 1987; the entire contents of each of which are incorporated herein by reference.

[0024]

Certain compounds of the present invention can comprise one or more asymmetric centers, and thus can exist in various stereoisomeric forms, e.g., enantiomers and/or diastereomers. Thus, inventive compounds and compositions thereof may be in the form of an individual enantiomer, diastereomer or geometric isomer, or may be in the form of a mixture of stereoisomers. In certain embodiments, the compounds of the invention are enantiopure compounds. In certain other embodiments, mixtures of enantiomers or diastereomers are provided.

[0025]

Furthermore, certain compounds, as described herein may have one or more double bonds that can exist as either the Z or E isomer, unless otherwise indicated. The invention additionally encompasses the compounds as individual isomers substantially free of other isomers and alternatively, as mixtures of various isomers, e.g., racemic mixtures of enantiomers. In addition to the above-mentioned compounds per se, this invention also encompasses compositions comprising one or more compounds.

[0026]

As used herein, the term “isomers” includes any and all geometric isomers and stereoisomers. For example, “isomers” include cis- and trans-isomers, E- and Z-isomers, R- and S-enantiomers, diastereomers, (D)-isomers, (L)-isomers, racemic mixtures thereof, and other mixtures thereof, as falling within the scope of the invention. For instance, a stereoisomer may, in some embodiments, be provided substantially free of one or more corresponding stereoisomers, and may also be referred to as “stereochemically enriched.”

[0027]

Where a particular enantiomer is preferred, it may, in some embodiments be provided substantially free of the opposite enantiomer, and may also be referred to as “optically enriched.” “Optically enriched,” as used herein, means that the compound is made up of a significantly greater proportion of one enantiomer. In certain embodiments the compound is made up of at least about 90% by weight of a preferred enantiomer. In other embodiments the compound is made up of at least about 95%, 98%, or 99% by weight of a preferred enantiomer. Preferred enantiomers may be isolated from racemic mixtures by any method known to those skilled in the art, including chiral high pressure liquid chromatography (HPLC) and the formation and crystallization of chiral salts or prepared by asymmetric syntheses. See, for example, Jacques, et al., Enantiomers, Racemates and Resolutions (Wiley Interscience, New York, 1981); Wilen, S. H., et al., Tetrahedron 33:2725 (1977); Eliel, E. L. Stereochemistry of Carbon Compounds (McGraw-Hill, N Y, 1962); Wilen, S. H. Tables of Resolving Agents and Optical Resolutions p. 268 (E. L. Eliel, Ed., Univ. of Notre Dame Press, Notre Dame, Ind. 1972).

[0028]

The terms “halo” and “halogen” as used herein refer to an atom selected from fluorine (fluoro, —F), chlorine (chloro, —Cl), bromine (bromo, —Br), and iodine (iodo, —I).

[0029]

The term “aliphatic” or “aliphatic group”, as used herein, denotes a hydrocarbon moiety that may be straight-chain (i.e., unbranched), branched, or cyclic (including fused, bridging, and spiro-fused polycyclic) and may be completely saturated or may contain one or more units ofunsaturation, but which is not aromatic. Unless otherwise specified, aliphatic groups contain 1-30 carbon atoms. In certain embodiments, aliphatic groups contain 1-12 carbon atoms. In certain embodiments, aliphatic groups contain 1-8 carbon atoms. In certain embodiments, aliphatic groups contain 1-6 carbon atoms. In some embodiments, aliphatic groups contain 1-5 carbon atoms, in some embodiments, aliphatic groups contain 1-4 carbon atoms, in yet other embodiments aliphatic groups contain 1-3 carbon atoms, and in yet other embodiments aliphatic groups contain 1 or 2 carbon atoms. Suitable aliphatic groups include, but are not limited to, linear or branched, alkyl, alkenyl, and alkynyl groups, and hybrids thereof such as (cycloalkyl)alkyl, (cycloallenyl)alkyl or (cycloalkyl)alkenyl.

[0030]

The term “unsaturated”, as used herein, means that a moicty has one or more double or triple bonds.

[0031]

The terms “cycloaliphatic”, “carbocyclc”, or “carbocyclic”, used alone or as part of a larger moiety, refer to a saturated or partially unsaturated cyclic aliphatic monocyclic or polycyclic ring systems, as described herein, having from 3 to 12 members, wherein the aliphatic ring system is optionally substituted as defined above and described herein. Cycloaliphatic groups include, without limitation, cyclopropyl, cyclobutyl, cyclopentyl, cyclopentenyl, cyclohexyl, cyclohexenyl, cycloheptyl, cycloheptenyl, cyclooctyl, cyclooctenyl, norbornyl, adamantyl, and cyclooctadienyl. In some embodiments, the cycloalkyl has 3-6 carbons. The terms “cycloaliphatic”, “carbocycle” or “carbocyclic” also include aliphatic rings that are fused to one or more aromatic or nonaromatic rings, such as decahydronaphthyl or tetrahydronaphthyl, where the radical or point of attachment is on the aliphatic ring. In certain embodiments, the term “3- to 8-membered carbocycle” refers to a 3- to 8-membered saturated or partially unsaturated monocyclic carbocyclic ring. In certain embodiments, the terms “3- to 14-membered carbocycle” and “C3-14carbocycle” refer to a 3- to 8-membered saturated or partially unsaturated monocyclic carbocyclic ring, or a 7- to 14-membered saturated or partially unsaturated polycyclic carbocyclic ring. In certain embodiments, the term “C3-20carbocycle” refers to a 3- to 8-membered saturated or partially unsaturated monocyclic carbocyclic ring, or a 7- to 20-membered saturated or partially unsaturated polycyclic carbocyclic ring.

[0032]

The term “alkyl,” as used herein, refers to saturated, straight- or branched-chain hydrocarbon radicals derived from an aliphatic moiety containing between one and six carbon atoms by removal of a single hydrogen atom. Unless otherwise specified, alkyl groups contain 1-12 carbon atoms. In certain embodiments, alkyl groups contain 1-8 carbon atoms. In certain embodiments, alkyl groups contain 1-6 carbon atoms. In some embodiments, alkyl groups contain 1-5 carbon atoms, in some embodiments, alkyl groups contain 1-4 carbon atoms, in yet other embodiments alkyl groups contain 1-3 carbon atoms, and in yet other embodiments alkyl groups contain 1-2 carbon atoms. Examples of alkyl radicals include, but are not limited to, methyl, ethyl, n-propyl, isopropyl, n-butyl, iso-butyl, sec-butyl, sec-pentyl, iso-pentyl, tert-butyl, n-pentyl, neopentyl, n-hexyl, sec-hexyl, n-heptyl, n-octyl, n-decyl, n-undecyl, dodecyl, and the like.

[0033]

The term “alkenyl,” as used herein, denotes a monovalent group derived from a straight- or branched-chain aliphatic moiety having at least one carbon-carbon double bond by the removal of a single hydrogen atom. Unless otherwise specified, alkenyl groups contain 2-12 carbon atoms. In certain embodiments, alkenyl groups contain 2-8 carbon atoms. In certain embodiments, alkenyl groups contain 2-6 carbon atoms. In some embodiments, alkenyl groups contain 2-5 carbon atoms, in some embodiments, alkenyl groups contain 2-4 carbon atoms, in yet other embodiments alkenyl groups contain 2-3 carbon atoms, and in yet other embodiments alkenyl groups contain 2 carbon atoms. Alkenyl groups include, for example, ethenyl, propenyl, butenyl, 1-methyl-2-buten-1-yl, and the like.

[0034]

The term “alkynyl,” as used herein, refers to a monovalent group derived from a straight- or branched-chain aliphatic moiety having at least one carbon-carbon triple bond by the removal of a single hydrogen atom. Unless otherwise specified, alkynyl groups contain 2-12 carbon atoms. In certain embodiments, alkynyl groups contain 2-8 carbon atoms. In certain embodiments, alkynyl groups contain 2-6 carbon atoms. In some embodiments, alkynyl groups contain 2-5 carbon atoms, in some embodiments, alkynyl groups contain 2-4 carbon atoms, in yet other embodiments alkynyl groups contain 2-3 carbon atoms, and in yet other embodiments alkynyl groups contain 2 carbon atoms. Representative alkynyl groups include, but are not limited to, ethynyl, 2-propynyl (propargyl), 1-propynyl, and the like.

[0035]

The term “aryl” used alone or as part of a larger moiety as in “aralkyl”, “aralkoxy”, or “aryloxyalkyl”, refers to monocyclic and polycyclic ring systems having a total of five to 20 ring members, wherein at least one ring in the system is aromatic and wherein each ring in the system contains three to twelve ring members. The term “aryl” may be used interchangeably with the term “aryl ring”. In certain embodiments of the present invention, “aryl” refers to an aromatic ring system which includes, but is not limited to, phenyl, biphenyl, naphthyl, anthracyl and the like, which may bear one or more substituents. Also included within the scope of the term “aryl”, as it is used herein, is a group in which an aromatic ring is fused to one or more additional rings, such as benzofuranyl, indanyl, phthalimidyl, naphthimidyl, phenantriidinyl, or tetrahydronaphthyl, and the like. In certain embodiments, the terms “6- to 10-membered aryl” and “C6-10aryl” refer to a phenyl or an 8- to 10-membered polycyclic aryl ring. In certain embodiments, the term “6- to 12-membered aryl” refers to a phenyl or an 8- to 12-membered polycyclic aryl ring. In certain embodiments, the term “C6-14aryl” refers to a phenyl or an 8- to 14-membered polycyclic aryl ring.

[0036]

The terms “heteroaryl” and “heteroar-”, used alone or as part of a larger moiety, e.g., “heteroaralkyl”, or “heteroaralkoxy”, refer to groups having 5 to 14 ring atoms, preferably 5, 6, or 9 ring atoms; having 6, 10, or 14π electrons shared in a cyclic array; and having, in addition to carbon atoms, from one to five heteroatoms. The term “heteroatom” refers to nitrogen, oxygen, or sulfur, and includes any oxidized form of nitrogen or sulfur, and any quaternized form of a basic nitrogen. Heteroaryl groups include, without limitation, thienyl, furanyl, pyrrolyl, imidazolyl, pyrazolyl, triazolyl, tetrazolyl, oxazolyl, isoxazolyl, oxadiazolyl, thiazolyl, isothiazolyl, thiadiazolyl, pyridyl, pyridazinyl, pyrimidinyl, pyrazinyl, indolizinyl, purinyl, naphthyridinyl, benzofuranyl and pteridinyl. The terms “heteroaryl” and “heteroar-”, as used herein, also include groups in which a heteroaromatic ring is fused to one or more aryl, cycloaliphatic, or heterocyclyl rings, where the radical or point of attachment is on the heteroaromatic ring. Nonlimiting examples include indolyl, isoindolyl, benzothienyl, benzofuranyl, dibenzofuranyl, indazolyl, benzimidazolyl, benzthiazolyl, quinolyl, isoquinolyl, cinnolinyl, phthalazinyl, quinazolinyl, quinoxalinyl, 4H-quinolizinyl, carbazolyl, acridinyl, phenazinyl, phenothiazinyl, phenoxazinyl, tetrahydroquinolinyl, tetrahydroisoquinolinyl, and pyrido[2,3-b]-1,4-oxazin-3(4H)-one. A heteroaryl group may be mono- or bicyclic. The term “heteroaryl” may be used interchangeably with the terms “heteroaryl ring”, “heteroaryl group”, or “heteroaromatic”, any of which terms include rings that are optionally substituted. The term “heteroaralkyl” refers to an alkyl group substituted by a heteroaryl, wherein the alkyl and heteroaryl portions independently are optionally substituted. In certain embodiments, the term “5- to 10-membered heteroaryl” refers to a 5- to 6-membered heteroaryl ring having 1 to 3 heteroatoms independently selected from nitrogen, oxygen, or sulfur, or an 8- to 10-membered bicyclic heteroaryl ring having 1 to 4 heteroatoms independently selected from nitrogen, oxygen, or sulfur. In certain embodiments, the term “5- to 12-membered heteroaryl” refers to a 5- to 6-membered heteroaryl ring having 1 to 3 heteroatoms independently selected from nitrogen, oxygen, or sulfur, or an 8- to 12-membered bicyclic heteroaryl ring having 1 to 4 heteroatoms independently selected from nitrogen, oxygen, or sulfur.

[0037]

As used herein, the terms “heterocycle”, “heterocyclyl”, “heterocyclic radical”, and “heterocyclic ring” are used interchangeably and refer to a stable 5- to 7-membered monocyclic or 7-14-membered polycyclic heterocyclic moiety that is either saturated or partially unsaturated, and having, in addition to carbon atoms, one or more, preferably one to four, heteroatoms, as defined above. When used in reference to a ring atom of a heterocycle, the term “nitrogen” includes a substituted nitrogen. As an example, in a saturated or partially unsaturated ring having 0-3 heteroatoms selected from oxygen, sulfur or nitrogen, the nitrogen may be N (as in 3,4-dihydro-2H-pyrrolyl), NH (as in pyrrolidinyl), or+NR (as in N-substituted pyrrolidinyl). In some embodiments, the term “3- to 7-membered heterocyclic” refers to a 3- to 7-membered saturated or partially unsaturated monocyclic heterocyclic ring having 1 to 2 heteroatoms independently selected from nitrogen, oxygen, or sulfur. In some embodiments, the term “3- to 8-membered heterocycle” refers to a 3- to 8-membered saturated or partially unsaturated monocyclic heterocyclic ring having 1 to 2 heteroatoms independently selected from nitrogen, oxygen, or sulfur. In some embodiments, the term “3- to 12-membered heterocyclic” refers to a 3- to 8-membered saturated or partially unsaturated monocyclic heterocyclic ring having 1 to 2 heteroatoms independently selected from nitrogen, oxygen, or sulfur, or a 7- to 12-membered saturated or partially unsaturated polycyclic heterocyclic ring having 1-3 heteroatoms independently selected from nitrogen, oxygen, or sulfur. In some embodiments, the term “3- to 14-membered heterocycle” refers to a 3- to 8-membered saturated or partially unsaturated monocyclic heterocyclic ring having 1 to 2 heteroatoms independently selected from nitrogen, oxygen, or sulfur, or a 7- to 14-membered saturated or partially unsaturated polycyclic heterocyclic ring having 1-3 heteroatoms independently selected from nitrogen, oxygen, or sulfur.

[0038]

A heterocyclic ring can be attached to its pendant group at any heteroatom or carbon atom that results in a stable structure and any of the ring atoms can be optionally substituted. Examples of such saturated or partially unsaturated heterocyclic radicals include, without limitation, tetrahydrofuranyl, tetrahydrothienyl, pyrrolidinyl, pyrrolidonyl, piperidinyl, pyrrolinyl, tetrahydroquinolinyl, tetrahydroisoquinolinyl, decahydroquinolinyl, oxazolidinyl, piperazinyl, dioxanyl, dioxolanyl, diazepinyl, oxazepinyl, thiazepinyl, morpholinyl, and quinuclidinyl. The terms “heterocycle”, “heterocyclyl”, “heterocyclyl ring”, “heterocyclic group”, “heterocyclic moiety”, and “heterocyclic radical”, are used interchangeably herein, and also include groups in which a heterocyclyl ring is fused to one or more aryl, heteroaryl, or cycloaliphatic rings, such as indolinyl, 3H-indolyl, chromanyl, phenanthridinyl, or tetrahydroquinolinyl, where the radical or point of attachment is on the heterocyclyl ring. A heterocyclyl group may be mono- or bicyclic. The term “heterocyclylalkyl” refers to an alkyl group substituted by a heterocyclyl, wherein the alkyl and heterocyclyl portions independently are optionally substituted.

[0039]

As used herein, the term “partially unsaturated” refers to a ring moiety that includes at least one double or triple bond. The term “partially unsaturated” is intended to encompass rings having multiple sites of unsaturation, but is not intended to include aryl or heteroaryl moieties, as herein defined.

[0040]

One of ordinary skill in the art will appreciate that compound and synthetic methods, as described herein, may utilize a variety of protecting groups. By the term “protecting group,” as used herein, it is meant that a particular functional moiety, e.g., O, S, or N, is masked or blocked, permitting, if desired, a reaction to be carried out selectively at another reactive site in a multifunctional compound. Suitable protecting groups are well known in the art and include those described in detail in Protecting Groups in Organic Synthesis, T. W. Greene and P. G. M. Wuts, 3rdedition, John Wiley & Sons, 1999, the entirety of which is incorporated herein by reference. In certain embodiments, a protecting group reacts selectively in good yield to give a protected substrate that is stable to the projected reactions; the protecting group is preferably selectively removable by readily available, preferably non-toxic reagents that do not attack the other functional groups; the protecting group forms a separable derivative (more preferably without the generation of new stereogenic centers); and the protecting group will preferably have a minimum of additional functionality to avoid further sites of reaction. As detailed herein, oxygen, sulfur, nitrogen, and carbon protecting groups may be utilized. By way of non-limiting example, hydroxyl protecting groups include methyl, methoxylmethyl (MOM), methylthiomethyl (MTM), t-butylthiomethyl, (phenyldimethylsilyl)methoxymethyl (SMOM), benzyloxymethyl (BOM), p-methoxybenzyloxymethyl (PMBM), (4-methoxyphenoxy)methyl (p-AOM), guaiacolmethyl (GUM), t-butoxymethyl, 4-pentenyloxymethyl (POM), siloxymethyl, 2-methoxyethoxymethyl (MEM), 2,2,2-trichloroethoxymethyl, bis(2-chloroethoxy)methyl, 2-(trimethylsilyl)ethoxymethyl (SEMOR), tetrahydropyranyl (THP), 3-bromotetrahydropyranyl, tetrahydrothiopyranyl, 1-methoxycyclohexyl, 4-methoxytetrahydropyranyl (MTHP), 4-methoxytetrahydrothiopyranyl, 4-methoxytetrahydrothiopyranyl S,S-dioxide, 1-[(2-chloro-4-methyl)phenyl]-4-methoxypiperidin-4-yl (CTMP), 1,4-dioxan-2-yl, tetrahydrofuranyl, tetrahydrothiofuranyl, 2,3,3a,4,5,6,7,7a-octahydro-7,8,8-trimethyl-4,7-methanobenzofuran-2-yl, 1-ethoxyethyl, 1-(2-chloroethoxy)ethyl, 1-methyl-1-methoxyethyl, 1-methyl-1-benzyloxyethyl, 1-methyl-1-benzyloxy-2-fluoroethyl, 2,2,2-trichloroethyl, 2-trimethylsilylethyl, 2-(phenylselenyl)ethyl, t-butyl, allyl, p-chlorophenyl, p-methoxyphenyl, 2,4-dinitrophenyl, benzyl, p-methoxybenzyl, 3,4-dimethoxybenzyl, o-nitrobenzyl, p-nitrobenzyl, p-halobenzyl, 2,6-dichlorobenzyl, p-cyanobenzyl, p-phenylbenzyl, 2-picolyl, 4-picolyl, 3-methyl-2-picolyl N-oxido, diphenylmethyl, p,p′-dinitrobenzhydryl, 5-dibenzosuberyl, triphenylmethyl, α-naphthyldiphenylmethyl, p-methoxyphenyldiphenylmethyl, di(p-methoxyphenyl)phenylmethyl, tri(p-methoxyphenyl)methyl, 4-(4′-bromophenacyloxyphenyl)diphenylmethyl, 4,4′,4″-tris(4,5-dichlorophthalimidophenyl)methyl, 4,4′,4″-tris(levulinoyloxyphenyl)methyl, 4,4′,4″-tris(benzoyloxyphenyl)methyl, 3-(imidazol-1-yl)bis(4′,4″-dimethoxyphenyl)methyl, 1,1-bis(4-methoxyphenyl)-1′-pyrenylmethyl, 9-anthryl, 9-(9-phenyl)xanthenyl, 9-(9-phenyl-10-oxo)anthryl, 1,3-benzodithiolan-2-yl, benzisothiazolyl S,S-dioxido, trimethylsilyl (TMS), triethylsilyl (TES), triisopropylsilyl (TIPS), dimethylisopropylsilyl (IPDMS), diethylisopropylsilyl (DEIPS), dimethylthexylsilyl, t-butyldimethylsilyl (TBDMS), t-butyldiphenylsilyl (TBDPS), tribenzylsilyl, tri-p-xylylsilyl, triphenylsilyl, diphenylmethylsilyl (DPMS), t-butylmethoxyphenylsilyl (TBMPS), formate, benzoylformate, acetate, chloroacetate, dichloroacetate, trichloroacetate, trifluoroacetate, methoxyacetate, triphenylmethoxyacetate, phenoxyacetate, p-chlorophenoxyacetate, 3-phenylpropionate, 4-oxopentanoate (levulinate), 4,4-(ethylenedithio)pentanoate (levulinoyldithioacetal), pivaloate, adamantoate, crotonate, 4-methoxycrotonate, benzoate, p-phenylbenzoate, 2,4,6-trimethylbenzoate (mesitoate), alkyl methyl carbonate, 9-fluorenylmethyl carbonate (Fmoc), alkyl ethyl carbonate, alkyl 2,2,2-trichloroethyl carbonate (Troc), 2-(trimethylsilyl)ethyl carbonate (TMSEC), 2-(phenylsulfonyl) ethyl carbonate (Psec), 2-(triphenylphosphonio) ethyl carbonate (Peoc), alkyl isobutyl carbonate, alkyl vinyl carbonate alkyl allyl carbonate, alkyl p-nitrophenyl carbonate, alkyl benzyl carbonate, alkyl p-methoxybenzyl carbonate, alkyl 3,4-dimethoxybenzyl carbonate, alkyl o-nitrobenzyl carbonate, alkyl p-nitrobenzyl carbonate, alkyl S-benzyl thiocarbonate, 4-ethoxy-1-napththyl carbonate, methyl dithiocarbonate, 2-iodobenzoate, 4-azidobutyrate, 4-nitro-4-methylpentanoate, o-(dibromomethyl)benzoate, 2-formylbenzenesulfonate, 2-(methylthiomethoxy)ethyl, 4-(methylthiomethoxy)butyrate, 2-(methylthiomethoxymethyl)benzoate, 2,6-dichloro-4-methylphenoxyacetate, 2,6-dichloro-4-(1,1,3,3-tetramethylbutyl)phenoxyacetate, 2,4-bis(1,1-dimethylpropyl)phenoxyacetate, chlorodiphenylacetate, isobutyrate, monosuccinoate, (E)-2-methyl-2-butenoate, o-(methoxycarbonyl)benzoate, α-naphthoate, nitrate, alkyl N,N,N′,N′-tetramethylphosphorodiamidate, alkyl N-phenylcarbamate, borate, dimethylphosphinothioyl, alkyl 2,4-dinitrophenylsulfenate, sulfate, methanesulfonate (mesylate), benzylsulfonate, and tosylate (Ts). For protecting 1,2- or 1,3-diols, the protecting groups include methylene acetal, ethylidene acetal, 1-t-butylethylidene ketal, 1-phenylethylidene ketal, (4-methoxyphenyl)ethylidene acetal, 2,2,2-trichloroethylidene acetal, acetonide, cyclopentylidene ketal, cyclohexylidene ketal, cycloheptylidene ketal, benzylidene acetal, p-methoxybenzylidene acetal, 2,4-dimethoxybenzylidene ketal, 3,4-dimethoxybenzylidene acetal, 2-nitrobenzylidene acetal, methoxymethylene acetal, ethoxymethylene acetal, dimethoxymethylene ortho ester, 1-methoxyethylidene ortho ester, 1-ethoxyethylidine ortho ester, 1,2-dimethoxyethylidene ortho ester, α-methoxybenzylidene ortho ester, 1-(N,N-dimethylamino)ethylidene derivative, α-(N,N′-dimethylamino)benzylidene derivative, 2-oxacyclopentylidene ortho ester, di-t-butylsilylene group (DTBS), 1,3-(1,1,3,3-tetraisopropyldisiloxanylidene) derivative (TIPDS), tetra-t-butoxydisiloxane-1,3-diylidene derivative (TBDS), cyclic carbonates, cyclic boronates, ethyl boronate, and phenyl boronate. Amino-protecting groups include methyl carbamate, ethyl carbamante, 9-fluorenylmethyl carbamate (Fmoc), 9-(2-sulfo)fluorenylmethyl carbamate, 9-(2,7-dibromo)fluoroenylmethyl carbamate, 2,7-di-t-butyl-[9-(10,10-dioxo-10,10,10,10-tetrahydrothioxanthyl)]methyl carbamate (DBD-Tmoc), 4-methoxyphenacyl carbamate (Phenoc), 2,2,2-trichloroethyl carbamate (Troc), 2-trimethylsilylethyl carbamate (Teoc), 2-phenylethyl carbamate (hZ), 1-(1-adamantyl)-1-methylethyl carbamate (Adpoc), 1,1-dimethyl-2-haloethyl carbamate, 1,1-dimethyl-2,2-dibromoethyl carbamate (DB-t-BOC), 1,1-dimethyl-2,2,2-trichloroethyl carbamate (TCBOC), 1-methyl-1-(4-biphenylyl)ethyl carbamate (Bpoc), 1-(3,5-di-t-butylphenyl)-1-methylethyl carbamate (t-Bumeoc), 2-(2′- and 4′-pyridyl)ethyl carbamate (Pyoc), 2-(N,N-dicyclohexylcarboxamido)ethyl carbamate, t-butyl carbamate (BOC), 1-adamantyl carbamate (Adoc), vinyl carbamate (Voc), allyl carbamate (Alloc), 1-isopropylallyl carbamate (Ipaoc), cinnamyl carbamate (Coc), 4-nitrocinnamyl carbamate (Noc), 8-quinolyl carbamate, N-hydroxypiperidinyl carbamate, alkyldithio carbamate, benzyl carbamate (Cbz), p-methoxybenzyl carbamate (Moz), p-nitobenzyl carbamate, p-bromobenzyl carbamate, p-chlorobenzyl carbamate, 2,4-dichlorobenzyl carbamate, 4-methylsulfinylbenzyl carbamate (Msz), 9-anthrylmethyl carbamate, diphenylmethyl carbamate, 2-methylthioethyl carbamate, 2-methylsulfonylethyl carbamate, 2-(p-toluenesulfonyl)ethyl carbamate, [2-(1,3-dithianyl)]methyl carbamate (Dmoc), 4-methylthiophenyl carbamate (Mtpc), 2,4-dimethylthiophenyl carbamate (Bmpc), 2-phosphonioethyl carbamate (Peoc), 2-triphenylphosphonioisopropyl carbamate (Ppoc), 1,1-dimethyl-2-cyanoethyl carbamate, m-chloro-p-acyloxybenzyl carbamate, p-(dihydroxyboryl)benzyl carbamate, 5-benzisoxazolylmethyl carbamate, 2-(trifluoromethyl)-6-chromonylmethyl carbamate (Tcroc), m-nitrophenyl carbamate, 3,5-dimethoxybenzyl carbamate, o-nitrobenzyl carbamate, 3,4-dimethoxy-6-nitrobenzyl carbamate, phenyl(o-nitrophenyl)methyl carbamate, phenothiazinyl-(10)-carbonyl derivative, N′-p-toluenesulfonylaminocarbonyl derivative, N′-phenylaminothiocarbonyl derivative, t-amyl carbamate, S-benzyl thiocarbamate, p-cyanobenzyl carbamate, cyclobutyl carbamate, cyclohexyl carbamate, cyclopentyl carbamate, cyclopropylmethyl carbamate, p-decyloxybenzyl carbamate, 2,2-dimethoxycarbonylvinyl carbamate, o-(N,N-dimethylcarboxamido)benzyl carbamate, 1,1-dimethyl-3-(N,N-dimethylcarboxamido)propyl carbamate, 1,1-dimethylpropynyl carbamate, di(2-pyridyl)methyl carbamate, 2-furanylmethyl carbamate, 2-iodoethyl carbamate, isobornyl carbamate, isobutyl carbamate, isonicotinyl carbamate, p-(p′-methoxyphenylazo)benzyl carbamate, 1-methylcyclobutyl carbamate, 1-methylcyclohexyl carbamate, 1-methyl-1-cyclopropylmethyl carbamate, 1-methyl-1-(3,5-dimethoxyphenyl)ethyl carbamate, 1-methyl-1-(p-phenylazophenyl)ethyl carbamate, 1-methyl-1-phenylethyl carbamate, 1-methyl-1-(4-pyridyl)ethyl carbamate, phenyl carbamate, p-(phenylazo)benzyl carbamate, 2,4,6-tri-t-butylphenyl carbamate, 4-(trimethylammonium)benzyl carbamate, 2,4,6-trimethylbenzyl carbamate, formamide, acetamide, chloroacetamide, trichloroacetamide, trifluoroacetamide, phenylacetamide, 3-phenylpropanamide, picolinamide, 3-pyridylcarboxamide, N-benzoylphenylalanyl derivative, benzamide, p-phenylbenzamide, o-nitophenylacetamide, o-nitrophenoxyacetamide, acetoacetamide, (N′-dithiobenzyloxycarbonylamino)acetamide, 3-(p-hydroxyphenyl)propanamide, 3-(o-nitrophenyl)propanamide, 2-methyl-2-(o-nitrophenoxy)propanamide, 2-methyl-2-(o-phenylazophenoxy)propanamide, 4-chlorobutanamide, 3-methyl-3-nitrobutanamide, o-nitrocinnamide, N-acetylmethionine derivative, o-nitrobenzamide, o-(benzoyloxymethyl)benzamide, 4,5-diphenyl-3-oxazolin-2-one, N-phthalimide, N-dithiasuccinimide (Dts), N-2,3-diphenylmaleimide, N-2,5-dimethylpyrrole, N-1,1,4,4-tetramethyldisilylazacyclopentane adduct (STABASE), 5-substituted 1,3-dimethyl-1,3,5-triazacyclohexan-2-one, 5-substituted 1,3-dibenzyl-1,3,5-triazacyclohexan-2-one, 1-substituted 3,5-dinitro-4-pyridone, N-methylamine, N-allylamine, N-[2-(trimethylsilyl)ethoxy]methylamine (SEM), N-3-acetoxypropylamine, N-(1-isopropyl-4-nitro-2-oxo-3-pyroolin-3-yl)amine, quaternary ammonium salts, N-benzylamine, N-di(4-methoxyphenyl)methylamine, N-5-dibenzosuberylamine, N-triphenylmethylamine (Tr), N-[(4-methoxyphenyl)diphenylmethyl]amine (MMTr), N-9-phenylfluorenylamine (PhF), N-2,7-dichloro-9-fluorenylmethyleneamine, N-ferrocenylmethylamino (Fcm), N-2-picolylamino N′-oxide, N-1,1-dimethylthiomethyleneamine, N-benzylideneamine, N-p-methoxybenzylideneamine, N-diphenylmethyleneamine, N-[(2-pyridyl)mesityl]methyleneamine, N—(N′,N′-dimethylaminomethylene)amine, N,N′-isopropylidenediamine, N-p-nitrobenzylideneamine, N-salicylideneamine, N-5-chlorosalicylideneamine, N-(5-chloro-2-hydroxyphenyl)phenylmethyleneamine, N-cyclohexylideneamine, N-(5,5-dimethyl-3-oxo-1-cyclohexenyl)amine, N-borane derivative, N-diphenylborinic acid derivative, N-[phenyl(pentacarbonylchromium- or tungsten)carbonyl]amine, N-copper chelate, N-zinc chelate, N-nitroamine, N-nitrosoamine, amine N-oxide, diphenylphosphinamide (Dpp), dimethylthiophosphinamide (Mpt), diphenylthiophosphinamide (Ppt), dialkyl phosphoramidates, dibenzyl phosphoramidate, diphenyl phosphoramidate, benzenesulfenamide, o-nitrobenzenesulfenamide (Nps), 2,4-dinitrobenzenesulfenamide, pentachlorobenzenesulfenamide, 2-nitro-4-methoxybenzenesulfenamide, triphenylmethylsulfenamide, 3-nitropyridinesulfenamide (Npys), p-toluenesulfonamide (Ts), benzenesulfonamide, 2,3,6,-trimethyl-4-methoxybenzenesulfonamide (Mtr), 2,4,6-trimethoxybenzenesulfonamide (Mtb), 2,6-dimethyl-4-methoxybenzenesulfonamide (Pme), 2,3,5,6-tetramethyl-4-methoxybenzenesulfonamide (Mte), 4-methoxybenzenesulfonamide (Mbs), 2,4,6-trimethylbenzenesulfonamide (Mts), 2,6-dimethoxy-4-methylbenzenesulfonamide (iMds), 2,2,5,7,8-pentamethylchroman-6-sulfonamide (Pmc), methanesulfonamide (Ms), β-trimethylsilylethanesulfonamide (SES), 9-anthracenesulfonamide, 4-(4′,8′-dimethoxynaphthylmethyl)benzenesulfonamide (DNMBS), benzylsulfonamide, trifluoromethylsulfonamide, and phenacylsulfonamide. Exemplary protecting groups are detailed herein, however, it will be appreciated that the present invention is not intended to be limited to these protecting groups; rather, a variety of additional equivalent protecting groups can be readily identified using the above criteria and utilized in the method of the present invention. Additionally, a variety of protecting groups are described by Greene and Wuts (supra).

[0041]

As described herein, compounds of the invention may contain “optionally substituted” moieties. In general, the term “substituted”, whether preceded by the term “optionally” or not, means that one or more hydrogens of the designated moiety are replaced with a suitable substituent. Unless otherwise indicated, an “optionally substituted” group may have a suitable substituent at each substitutable position of the group, and when more than one position in any given structure may be substituted with more than one substituent selected from a specified group, the substituent may be either the same or different at every position. Combinations of substituents envisioned by this invention are preferably those that result in the formation of stable or chemically feasible compounds. The term “stable”, as used herein, refers to compounds that are not substantially altered when subjected to conditions to allow for their production, detection, and, in certain embodiments, their recovery, purification, and use for one or more of the purposes disclosed herein.

[0042]

Suitable monovalent substituents on a substitutable carbon atom of an “optionally substituted” group are independently halogen; —(CH2)0-4R; —(CH2)0-4OR; —O—(CH2)0-4C(O)OR; —(CH2)0-4CH(OR)2; —(CH2)0-4SR; —(CH2)0-4Ph, which may be substituted with R; —(CH2)0-4O(CH2)0-1Ph which may be substituted with R; —CH═CHPh, which may be substituted with R; —NO2; —CN; —N3; —(CH2)0-4N(R)2; —(CH2)0-4N(R)C(O)R; —N(R)C(S)R; —(CH2)0-4N(R)C(O)NR2; —N(R)C(S)NR2; —(CH2)0-4N(R)C(O)OR; —N(R)N(R)C(O)R; —N(R)N(R)C(O)NR2; —N(R)N(R)C(O)OR; —(CH2)0-4C(O)R; —C(S)R; —(CH2)0-4C(O)OR; —(CH2)0-4C(O)N(R)2; —(CH2)0-4C(O)SR; —(CH2)0-4C(O)OSiR3; —(CH2)0-4OC(O)R; —OC(O)(CH2)0-4SR—, SC(S)SR; —(CH2)0-4SC(O)R; (CH2)0-4C(O)NR2; —C(S)NR2; —C(S)SR; —SC(S)SRO, —(CH2)0-4OC(O)NR2; —C(O)N(OR)R; —C(O)C(O)R; —C(O)CH2C(O)R; —C(NOR)R; —(CH2)0-4SSR; —(CH2)0-4S(O)2R; —(CH2)0-4S(O)2OR; —(CH2)0-4OS(O)2R; —S(O)2NR2; —(CH2)0-4S(O)R; —N(R)S(O)2NR2; —N(R)S(O)2R; —N(OR)R; —C(NH)NR2; —P(O)2R; —P(O)R2; —OP(O)R2; —OP(O)(OR)2; SiR3; —(C1-4straight or branched alkylene)O—N(R)2; or —(C1-4straight or branched alkylene)C(O)O—N(R)2, wherein each Rmay be substituted as defined below and is independently hydrogen, C1-8aliphatic, —CH2Ph, —O(CH2)0-1Ph, or a 5-6-membered saturated, partially unsaturated, or aryl ring having 0-4 heteroatoms independently selected from nitrogen, oxygen, or sulfur, or, notwithstanding the definition above, two independent occurrences of R, taken together with their intervening atom(s), form a 3-12-membered saturated, partially unsaturated, or aryl mono- or polycyclic ring having 0-4 heteroatoms independently selected from nitrogen, oxygen, or sulfur, which may be substituted as defined below.

[0043]

Suitable monovalent substituents on R(or the ring formed by taking two independent occurrences of Rtogether with their intervening atoms), are independently halogen, (CH2)0-2R, -(haloR), —(CH2)0-2OH, (CH2)0-2OR, —(CH2)0-2CH(OR)2; —O(haloR), —CN, —N3, —(CH2)0-2C(O)R, —(CH2)0-2C(O)OH, —(CH2)0-2C(O)OR, —(CH2)0-4C(O)N(R)2; —(CH2)0-2SR, —(CH2)0-2SH, —(CH2)0-2NH2, —(CH2)0-2NHR, —(CH2)0-2NR2, —NO2, —SiR3, —OSiR3, —C(O)SR, —(C1-4straight or branched alkylene)C(O)OR, or —SSR wherein each Ris unsubstituted or where preceded by “halo” is substituted only with one or more halogens, and is independently selected from C1-4aliphatic, —CH2Ph, —O(CH2)0-1Ph, or a 5-6-membered saturated, partially unsaturated, or aryl ring having 0-4 heteroatoms independently selected from nitrogen, oxygen, or sulfur. Suitable divalent substituents on a saturated carbon atom of Rinclude ═O and ═S.

[0044]

Suitable divalent substituents on a saturated carbon atom of an “optionally substituted” group include the following: ═O, ═S, ═NNR*2, ═NNHC(O)R*, ═NNHC(O)OR4, ═NNHS(O)2R*, ═NR*, ═NOR, —O(C(R*2))2-3O—, or —S(C(R*2))2-3S—, wherein each independent occurrence of R* is selected from hydrogen, C1-6aliphatic which may be substituted as defined below, or an unsubstituted 5-6-membered saturated, partially unsaturated, or aryl ring having 0-4 heteroatoms independently selected from nitrogen, oxygen, or sulfur. Suitable divalent substituents that are bound to vicinal substitutable carbons of an “optionally substituted” group include: O(CR*2)2-3O—, wherein each independent occurrence of R* is selected from hydrogen, C1-6aliphatic which may be substituted as defined below, or an unsubstituted 5-6-membered saturated, partially unsaturated, or aryl ring having 0-4 heteroatoms independently selected from nitrogen, oxygen, or sulfur.

[0045]

Suitable substituents on the aliphatic group of R* include halogen, —R, -(haloR), —OH, —OR, —O(haloR), —CN, —C(O)OH, —C(O)OR, —NH2, —NHR, —NR2, or —NO2, wherein each R is unsubstituted or where preceded by “halo” is substituted only with one or more halogens, and is independently C1-4aliphatic, —CH2Ph, —O(CH2)0-1Ph, or a 5-6-membered saturated, partially unsaturated, or aryl ring having 0-4 heteroatoms independently selected from nitrogen, oxygen, or sulfur.

[0046]

Suitable substituents on a substitutable nitrogen of an “optionally substituted” group include —R, —NR2, —C(O)R, —C(O)OR, —C(O)C(O)R, —C(O)CH2C(O)R, —S(O)2R, —S(O)2NR2, —C(S)NR2, —C(NH)NR2, or —N(R)S(O)2R; wherein each R is independently hydrogen, C1-6aliphatic which may be substituted as defined below, unsubstituted —OPh, or an unsubstituted 5-6-membered saturated, partially unsaturated, or aryl ring having 0-4 heteroatoms independently selected from nitrogen, oxygen, or sulfur, or, notwithstanding the definition above, two independent occurrences of R, taken together with their intervening atom(s) form an unsubstituted 3-12-membered saturated, partially unsaturated, or aryl mono- or bicyclic ring having 0-4 heteroatoms independently selected from nitrogen, oxygen, or sulfur.

[0047]

Suitable substituents on the aliphatic group of R are independently halogen, —R, -(haloR), —OH, —OR, —O(haloR), —CN, —C(O)OH, —C(O)OR, —NH2, —NHR, —NR2, or —NO2, wherein each Ris unsubstituted or where preceded by “halo” is substituted only with one or more halogens, and is independently C1-4aliphatic, —CH2Ph, —O(CH2)0-1Ph, or a 5-6-membered saturated, partially unsaturated, or aryl ring having 0-4 heteroatoms independently selected from nitrogen, oxygen, or sulfur.

[0048]

As used herein, the term “tautomer” includes two or more interconvertable compounds resulting from at least one formal migration of a hydrogen atom and at least one change in valency (e.g., a single bond to a double bond, a triple bond to a single bond, or vice versa). The exact ratio of the tautomers depends on several factors, including temperature, solvent, and pH. Tautomerizations (i.e., the reaction providing a tautomeric pair) may be catalyzed by acid or base. Exemplary tautomerizations include keto-to-enol; amide-to-imide; lactam-to-lactim; enamine-to-imine; and enamine-to-(a different) enamine tautomerizations.

[0049]

As used herein, the term “catalyst” refers to a substance the presence of which increases the rate and/or extent of a chemical reaction, while not being consumed or undergoing a permanent chemical change itself.

DETAILED DESCRIPTION OF CERTAIN EMBODIMENTS

[0000]

I. Polymerization Systems of the Invention

[0050]

In one aspect, the present invention provides polymerization systems for the copolymerization of CO2and epoxides to produce polycarbonate polyol resins with a high proportion of —OH end-groups. A polymerization system includes 1) a metal complex including a permanent ligand set and at least one ligand that is a polymerization initiator, and 2) a chain transfer agent having a plurality of sites capable of initiating polymer chains. In some embodiments, a polymerization system further includes a co-catalyst. In certain embodiments, a ligand that is a polymerization initiator has a plurality of polymer initiation sites.

[0000]

I.a. Chain Transfer Agents

[0051]

Chain transfer agents suitable for the present invention include any compound having two or more sites capable of initiating chain growth in the co-polymerization of an epoxide and carbon dioxide. Preferably such compounds do not have other functional groups that interfere with the polymerization.

[0052]

Suitable chain transfer agents may have a broad array of chemical structures. In general, the only requirement is that each molecule of the chain transfer agent be capable of initiating two or more polycarbonate chains, this can occur by several mechanisms including: by ring-opening an epoxide monomer, by reacting with carbon dioxide molecules to yield a moiety capable of sustaining polymer chain growth, or by a combination of these. In some embodiments, a chain transfer agent may have two or more functional groups independently capable of reacting with carbon dioxide or an epoxide; examples of these include, but are not limited to molecules such as diacids, glycols, diols, triols, hydroxyacids, amino acids, amino alcohols, dithiols, mercapto alcohols, saccharides, catechols, polyethers, etc. In some embodiments, the chain transfer agent may include a multiply active functional group that is itself able to react multiple times to initiate more than one polymer chain. Examples of the latter include, but are not limited to functional groups having a single atom capable of reacting multiple times such as ammonia, primary amines and water, as well as functional groups having more than one nucleophilic atom such as amindines, guanidines, urea, boronic acids, ect.

[0053]

In certain embodiments, chain transfer agents of the present disclosure have a structure Y-A-(Y)n, where:

    • each —Y group is independently a functional group capable of initiating chain growth of epoxide CO2copolymers and each Y group may be the same or different,
    • -A- is a covalent bond or a multivalent compound; and
    • n is an integer between 1 and 10 inclusive.

[0057]

In some embodiments each Y group is independently selected from the group consisting of: —OH, —C(O)OH, —C(ORy)OH, —OC(Ry)OH, —NHRy, —NHC(O)Ry, —NHC═NRy; —NRyC═NH; —NRyC(NRy2)═NH; —NHC(NRy2)═NRy; —NHC(O)ORy, —NHC(O)NRy2; —C(O)NHRy, —C(S)NHRy, —OC(O)NHRy, —OC(S)NHRy, —SH, —C(O)SH, —B(ORy)OH, —P(O)a(Ry)b(ORy)c(O)dH, —OP(O)a(Ry)b(ORy)c(O)dH, —N(Ry)OH, —ON(Ry)H; ═NOH, ═NN(Ry)H, where each occurrence of Ryis independently —H, or an optionally substituted radical selected from the group consisting of C1-20aliphatic, C1-20heteroaliphatic, 3- to 12-membered heterocyclic, and 6- to 12-membered aryl, a and b are each independently 0 or 1, c is 0, 1 or 2, d is 0 or 1, and the sum of a, b, and c is 1 or 2. In some embodiments, an acidic hydrogen atom bound in any of the above functional groups may be replaced by a metal atom or an organic cation without departing from the present invention (e.g. —C(O)OH may instead be —C(O)ONa+, —C(O)ON+(R)4, —C(O)O (Ca2+)0.5, —C(O)OPPN+ or —SH, may be —S—Na+ etc.) such alternatives are specifically included herein and alternate embodiments employing such salts are implicitly encompassed by the disclosure and examples herein.

[0058]

In some embodiments, one or more Y groups are hydroxyl or a hydroxy salt. In certain embodiments, each hydroxyl group is a primary or secondary alcohol. In other embodiments, a hydroxyl group is bonded to an aromatic or heteroaromatic ring. In certain embodiments, a hydroxyl group is a phenol. In some embodiments, a hydroxyl group is benzylic, allylic or propargylic. In other embodiments, hydroxyl groups are part of a carbohydrate. In other embodiments, a hydroxyl group is part of a polymer or oligomer such as a polyether, a polyester, a polyvinyl alcohol or a hydroxy-functionalized or hydroxy-terminated polyolefin.

[0059]

In some embodiments, a chain transfer agent is a polyhydric alcohol. In certain embodiments, a polyhydric alcohol is a diol, while in other embodiments the polyhydric alcohol is a triol, a tetraol or a higher polyol. In certain embodiments, n is 1, (i.e. two Y groups are present) and both Y groups are hydroxyl groups (i.e the chain transfer agent is a diol). In some embodiments, two hydroxyl groups are on adjacent carbons (i.e. the chain transfer agent is a glycol).

[0060]

In some embodiments, two hydroxyl groups are on non-adjacent carbons. In certain embodiments, two hydroxyl groups are on the opposite ends of a chain (i.e. the chain transfer agent is an α-ω diol). In certain embodiments, such α-ω diols include C3to C20aliphatic chains (i.e. -A- is an optionally substituted C3-20aliphatic chain). In certain embodiments, such α-ω diols comprise a polyether (i.e. -A- is a polyether chain). In certain embodiments, such α-ω diols comprise a hydroxy-terminated polyolefin (i.e. -A- is a polyolefin chain). In certain embodiments, such α-ω diols comprise paraformaldehyde (i.e. -A- is a polyoxymethylene chain).

[0061]

In certain embodiments, -A- is a covalent bond. For example, when Y-A-(Y)nis oxalic acid, -A- is a covalent bond.

[0062]

In some embodiments, one —OH group of a diol is phenolic and the other is aliphatic. In other embodiments each hydroxy group is phenolic. In certain embodiments, a chain transfer agent is an optionally substituted catechol, resorcinol or hydroquinone derivative.

[0063]

In some embodiments where a Y-group is —OH, the —OH group is an enol tautomer of a carbonyl group. In some embodiments where a Y group is —OH, the —OH group is a carbonyl hydrate or a hemiacetal.

[0064]

In other embodiments where n is 1, only one Y group is —OH, and the other Y group is selected from the group consisting of: —C(O)OH, —C(ORy)OH, —OC(Ry)OH, —NHRy, —NHC(O)Ry, —NHC(O)ORy, —C(O)NHRy, —C(S)NHRy, —OC(O)NHRy, —OC(S)NHRy, —SH, —C(O)SH, —B(ORy)OH, —P(O)a(Ry)b(ORy)cOH, —OP(O)a(Ry)b(ORy)cOH, —N(Ry)OH, —ON(Ry)H; ═NOH, ═NN(Ry)H. In particular embodiments, n is 1, one Y group is —OH, and the other Y group is selected from the group consisting of —SH, —C(O)OH, —NHRy, and —C(O)NHRy. In certain embodiments, n is 1, one Y group is —OH, and the other Y group is —C(O)OH. In other embodiments where n is 1, one Y group is —OH and the other Y group is —SH. In other embodiments where n is 1, one Y group is —OH and one Y group is —NHRy. In certain embodiments, n is 2, and each Y group is —OH (i.e. the chain transfer agent is a triol). In particular embodiments where n is 2, two Y groups are —OH, and the third Y group is selected from the group consisting of —SH, —C(O)OH, —NHRy, and —C(O)NHRy. In other embodiments where n is 2, only one Y group is —OH, while the other two Y groups are independently selected from the group consisting of —SH, —C(O)OH, —NHRy, and —C(O)NHRy.

[0065]

In some embodiments, polyalcohol chain transfer agents encompass naturally occurring materials such as sugar alcohols, carbohydrates, saccharides, polysaccharides, starch, starch derivatives, lignins, lignans, partially hydrolyzed triglycerides, and the like, as well as known derivatives of any of these materials. In certain embodiments, a chain transfer agent is starch. In certain embodiments, a chain transfer agent is isosorbide.

[0066]

In other embodiments, at least one Y group of a chain transfer agent is an amine. In some embodiments, at least one Y group is a primary amine. In other embodiments, at least one Y group is a secondary amine. In certain embodiments, at least one Y group is an aniline or aniline derivative. In some embodiments, at least one Y group is an N—H group that is part of a heterocycle.

[0067]

In certain embodiments, a chain transfer agent is a polyamine. In some embodiments, a chain transfer agent is a diamine. In other embodiments, a chain transfer agent is a triamine, tetraamine or a higher amine oligomer.

[0068]

In certain embodiments, at least one Y group is an amine and one or more additional Y groups are independently selected from the group consisting of —OH, —C(O)OH, —C(ORy)OH, —OC(Ry)OH, —NHC(O)Ry, —NHC(O)ORy, —C(O)NHRy, —C(S)NHRy, —OC(O)NHRy, —OC(S)NHRy, —SH, —C(O)SH, —B(ORy)OH, —P(O)a(Ry)b(ORy)cOH, —OP(O)a(Ry)b(ORy)cOH, —N(Ry)OH, —ON(Ry)H; ═NOH, ═NN(Ry)H. In certain embodiments, at least one Y group is an amine and one or more additional Y groups are independently selected from the group consisting of —OH, —SH, —C(O)OH, and —C(O)NHRy. In some embodiments, a chain transfer agent is an amino alcohol. In some embodiments, a chain transfer agent is an amino acid. In some embodiments, a chain transfer agent is an amino thiol. In some embodiments, a chain transfer agent is an amino amide.

[0069]

In some embodiments, at least one Y group is a carboxylic acid or a salt thereof. In some embodiments, all Y groups present are carboxylic acid salts thereof, while in other embodiments, one or more carboxylic acid Y groups are present along with one or more other functional groups that can initiate the copolymerization. In certain embodiments, at least one Y group is a benzoic acid derivative.

[0070]

In certain embodiments, a chain transfer agent is a diacid, a triacid or a higher polyacid. In some embodiments, a chain transfer agent is a diacid. In certain embodiments, n is 1, and both Y groups present are carboxylic acids. In certain embodiments, a diacid is phthalic acid, isophthalic acid, terephthalic acid. In certain embodiments, a diacid is maleic acid, succinic acid, malonic acid, glutaric acid, adipic acid, pimelic acid, suberic acid, or azelaic acid. In some embodiments, a chain transfer agent is a triacid. In certain embodiments, a triacid is citric acid, isocitric acid, cis- or trans-aconitic acid, propane-1,2,3-tricarboxylic acid or trimesic acid.

[0071]

In certain embodiments, at least one Y group is a carboxylic acid or carboxylate and one or more additional Y groups are independently selected from the group consisting of —OH, —C(ORy)OH, —OC(Ry)OH, —NHRy, —NHC(O)Ry, —NHC(O)ORy, —C(O)NHRy, —C(S)NHRy, —OC(O)NHRy, —OC(S)NHRy, —SH, —C(O)SH, —B(ORy)OH, —P(O)a(Ry)b(ORy)cOH, —OP(O)a(Ry)b(ORy)cOH, —N(Ry)OH, —ON(Ry)H; ═NOH, ═NN(Ry)H. In certain embodiments, at least one Y group is a carboxylic acid and one or more additional Y groups are independently selected from the group consisting of —OH, —SH, —NHRy, and —C(O)NHRy.

[0072]

In some embodiments, a chain transfer agent is an amino acid. In certain embodiments, amino acid chain transfer agents include the naturally occurring amino acids. In certain embodiments, amino acid chain transfer acids include peptides. In some embodiments, the peptides contain between 2 and about 20 amino acid residues. In other embodiments, the chain transfer agent is a thiol acid.

[0073]

In some embodiments, the chain transfer agent is a hydroxy acid. In some embodiments, hydroxy acids are alpha-hydroxy acids. In certain embodiments an alpha hydroxy acid is selected from the group consisting of: glycolic acid, DL-lactic acid, D-lactic acid, L-lactic, citric acid and mandelic acid. In some embodiments, a hydroxy acid is a beta-hydroxy acid. In certain embodiments, a beta hydroxy acid is selected from the group consisting of: 3-hydroxypropionic acid, DL 3-hydroxybutryic acid, D-3 hydroxybutryic acid, L 3-hydroxybutyric acid, DL-3-hydroxy valeric acid, D-3-hydroxy valeric acid, L-3-hydroxy valeric acid, salicylic acid, and derivatives of salicylic acid. In some embodiments, a hydroxy acid is an α-ω hydroxy acid. In certain embodiments, α-ω hydroxy acids are selected from the group consisting of optionally substituted C3-20aliphatic α-ω hydroxy acids. In certain embodiments, an α-ω hydroxy acid is a polyester oligomeric ester.

[0074]

In some embodiments, where one or more Y groups is a carboxyl group, a chain transfer agent is provided as a carboxylate salt. In certain embodiments, a carboxylate salt is a group I or II metal salt. In some embodiments, a carboxylate salt is an ammonium salt. In certain embodiments, an ammonium cation is NH4|. In some embodiments, an ammonium cation is a protonated primary, secondary, or tertiary amine. In some embodiments, a salt is a quaternary ammonium salt. In some embodiments, a quaternary ammonium cation of a salt is tetramethyl, tetrabutyl, or trahexylammonium ammonium. In certain embodiments, a carboxylate salt is a phosphonium carboxylate.

[0075]

In other embodiments, at least one Y group of a chain transfer agent is a thiol. In some embodiments, at least one Y group is a primary thiol. In other embodiments, at least one Y group is a secondary or tertiary thiol. In certain embodiments, at least one Y group is a thiophenol or thiophenol derivative.

[0076]

In certain embodiments, a chain transfer agent is a polythiol. In some embodiments, a chain transfer agent is a dithiol. In some embodiments, a chain transfer agent is a trithiol, higher thiol oligomer.

[0077]

In certain embodiments, at least one Y group is a thiol and one or more additional Y groups are independently selected from the group consisting of —OH, —C(O)OH, —C(ORy)OH, —OC(Ry)OH, —NHRy, —NHC(O)Ry, —NHC(O)ORy, —C(O)NHRy, —C(S)NHRy, —OC(O)NHRy, —OC(S)NHRy, —C(O)SH, —B(ORy)OH, —P(O)a(Ry)b(ORy)cOH, —OP(O)a(Ry)b(ORy)cOH, —N(Ry)OH, —ON(Ry)H; ═NOH, ═NN(Ry)H. In certain embodiments, at least one Y group is a thiol and one or more additional Y groups are independently selected from the group consisting of —OH, —NHRy, —C(O)OH, and —C(O)NHRy. In some embodiments, a chain transfer agent is a thio alcohol. In some embodiments, a chain transfer agent is an amino thiol. In some embodiments, a chain transfer agent is a thiol carboxylic acid.

[0078]

In certain embodiments, a Y group of a chain transfer agent is an active NH-containing functional group. In certain embodiments, a nitrogen atom of the NH-containing functional group is nucleophilic. In certain embodiments, a active NH-containing functional group is selected from the group consisting of C-linked amides, N-linked amides, O-linked carbamates N-linked carbamates, ureas, guanidines, amidines, hydrazones, and N- or C-linked thioamides. In certain embodiments, one or more Y groups is a primary amide.

[0079]

In certain embodiments, polymerization systems of the present invention include only one chain transfer agent, while in other embodiments, mixtures of two or more chain transfer agents are used.

[0080]

In certain embodiments, polymerization systems of the present invention include a solvent in which a chain transfer agent dissolves. In certain embodiments, a chain transfer agent is poorly soluble in the epoxide, but is soluble in a mixture of epoxide and another solvent added to the reaction mixture. In certain embodiments, the solvent added to the polymerizations system is chosen from the group consisting of esters, nitriles, ketones, aromatic hydrocarbons, ethers, amines and combinations of two or more of these.

[0081]

In some embodiments, a polymerization initiator includes a multiply active functional group that is itself able to react multiple times to initiate more than one polymer chain. One subset of such multiply-active functional groups react multiple times at the same atom. Examples of such groups include, but are not limited to ammonia, primary amines, hydrogen sulfide and water, all of which remain nucleophilic after the first addition and are thereby able to react again initiating additional polymer chains. Another subset of multiply active functional groups can react at different atoms in the functional group to initiate multiple chains. Examples of such groups include, but are not limited to guanidines, ureas, boronic acids, hydroxyl amines, and amidines.

[0082]

In some embodiments, a chain transfer agent may contain a single multiply active functional group. In some embodiments, the chain transfer agent may contain a single multiply active functional group in addition to one or more of the Y-groups described above. In certain embodiments, a chain transfer agent may contain two or more multiply active functional groups. In certain embodiments, a chain transfer agent may contain two or more multiply active functional groups in combination with one or more of the Y groups described hereinabove.

[0000]

I.b Metal Centered Catalysts

[0083]

In certain embodiments, provided metal complexes are transition metal catalysts. Thus, in some embodiments, polymerization systems of the present invention incorporate transition metal catalysts capable of catalyzing the copolymerization of carbon dioxide and epoxides. In certain embodiments, the polymerization systems include any of the catalysts disclosed in U.S. Pat. Nos. 7,304,172, and 6,870,004; in PCT Application Numbers WO2008136591A1, WO2008150033A1, PCT/US09/042926; and PCT/US09/054773 and in Chinese Patent Application Numbers CN200710010706, and CN200810229276, the entirety of each of which is hereby incorporated herein by reference.

[0084]

In certain embodiments, polymerization systems of the present invention include metal complexes denoted Lp-M-(LI)m, where Lpis a permanent ligand set, M is a metal atom, and LIis a ligand that is a polymerization initiator, and m is an integer between 0 and 2 inclusive representing the number of initiating ligands present.

[0000]

I.b.1 Metal Atoms

[0085]

In some embodiments, a metal atom, M, is selected from periodic table groups 3-13, inclusive. In certain embodiments, M is a transition metal selected from periodic table groups 5-12, inclusive. In some embodiments, M is a transition metal selected from periodic table groups 4-11, inclusive. In certain embodiments, M is a transition metal selected from periodic table groups 5-10, inclusive. In certain embodiments, M is a transition metal selected from periodic table groups 7-9, inclusive. In some embodiments, M is selected from the group consisting of Cr, Mn, V, Fe, Co, Mo, W, Ru, Al, and Ni. In some embodiments, M is a metal atom selected from the group consisting of: cobalt; chromium; aluminum; titanium; ruthenium, and manganese. In some embodiments, M is cobalt. In some embodiments, M is chromium. In some embodiments, M is aluminum.

[0086]

In certain embodiments, a metal complex is a zinc, cobalt, chromium, aluminum, titanium, ruthenium, or manganese complex. In certain embodiments, a metal complex is an aluminum complex. In other embodiments, a metal complex is a chromium complex. In yet other embodiments, a metal complex is a zinc complex. In certain other embodiments, a metal complex is a titanium complex. In still other embodiments, a metal complex is a ruthenium complex. In certain embodiments, a metal complex is a manganese complex. In certain embodiments, a metal complex is cobalt complex. In certain embodiments where a metal complex is a cobalt complex, the cobalt metal has an oxidation state of +3 (i.e., Co(III)). In other embodiments, the cobalt metal has an oxidation state of +2 (i.e., Co(II)).

[0000]

I.b.2 Permanent Ligand Sets

[0087]

A permanent ligand set ‘Lp’ comprises one or more ligands that remain coordinated with a metal center throughout the catalytic cycle. This is in contrast to other ligands such as polymerization initiators, monomer molecules, polymer chains, and solvent molecules that may participate in the catalytic cycle or may be exchanged under the polymerization conditions.

[0088]

In certain embodiments, a permanent ligand set comprises a single multidentate ligand that remains associated with the metal center during catalysis. In some embodiments, the permanent ligand set includes two or more ligands that remain associated with the metal center during catalysis. In some embodiments, a metal complex comprises a metal atom coordinated to a single tetradentate ligand while in other embodiments, a metal complex comprises a chelate containing a plurality of individual permanent ligands. In certain embodiments, a metal complex contains two bidentate ligands. In some embodiments, a metal complex contains a tridentate ligand.

[0089]

In various embodiments, tetradentate ligands suitable for metal complexes of the present invention may include, but are not limited to: salen derivatives 1, derivatives of salan ligands 2, bis-2-hydroxybenzamido derivatives 3, derivatives of the Trost ligand 4, porphyrin derivatives 5, derivatives of tetrabenzoporphyrin ligands 6, derivatives of corrole ligands 7, phthalocyaninate derivatives 8, and dibenzotetramethyltetraaza[14]annulene (tmtaa) derivatives 9 or 9′.

[0090]

[0091]

wherein,

    • Q, at each occurrence is independently O or S;
    • R1and R1′are independently selected from the group consisting of: —H, optionally substituted C1to C12aliphatic; optionally substituted 3- to 14-membered carbocycle; optionally substituted 3- to 14-membered heterocycle; and R21;
    • R2and R2′ are independently selected from the group consisting of: —H; optionally substituted C1to C12aliphatic; optionally substituted 3- to 14-membered carbocycle; optionally substituted 3- to 14-membered heterocycle; R14; R20; and R21;
    • R3and R3′ are independently selected from the group consisting of: —H; optionally substituted C1to C12aliphatic; optionally substituted 3- to 14-membered carbocycle; optionally substituted 3- to 14-membered heterocycle, and R21;
    • Rcat each occurrence is independently selected from the group consisting of: —H; optionally substituted C1to C12aliphatic; an optionally substituted 3- to 14-membered carbocycle; an optionally substituted 3- to 14 membered heterocycle; R20; and R21, where two or more Rcgroups may be taken together with intervening atoms to form one or more optionally substituted rings and, when two Rcgroups are attached to the same carbon atom, they may be taken together along with the carbon atom to which they are attached to form a moiety selected from the group consisting of: an optionally substituted 3- to 8-membered spirocyclic ring, a carbonyl, an oxime, a hydrazone, and an imine;
    • Rdat each occurrence is independently selected from the group consisting of: optionally substituted C1to C12aliphatic; optionally substituted 3- to 14-membered carbocycle; optionally substituted 3- to 14-membered heterocycle; R20; and R21, where two or more Rdgroups may be taken together with intervening atoms to form one or more optionally substituted rings; and
    • represents an optionally substituted moiety covalently linking two nitrogen atoms,
    • where any of [R2′ and R3′], [R2and R3], [R1and R2], and [R1′ and R2′] may optionally be taken together with intervening atoms to form one or more rings which may in turn be substituted with one or more groups selected from R14; R20; and R21; and where
    • R14at each occurrence is independently selected from the group consisting of: halogen; optionally substituted C1to C12aliphatic; optionally substituted 3- to 14-membered carbocycle; optionally substituted 3- to 14-membered heterocycle; —OR10; —OC(O)R13; —OC(O)OR13; —OC(O)NR11R12; —CN; —CNO; —C(R13)zH(3-z); —C(O)R13; —C(O)OR13; —C(O)NR11R12; —NR11R12; —NR11C(O)R13; —NR11C(O)OR13; —NR11SO2R13; —N+R11R12R13X; —P+(R11)3X; —P(R11)3═N+═P(R11)3X; —As+R11R12R13X; —NCO; —N3; —NO2; —S(O)xR13; and —SO2NR11R12,
    • R16at each occurrence is independently selected from the group consisting of optionally substituted C1-C12aliphatic, an optionally substituted 3- to 14-membered carbocycle; an optionally substituted 3- to 14-membered heterocycle; and —C(R17)zH(3-z),
    • R17at each occurrence is independently selected from the group consisting of —H; optionally substituted C1to C12aliphatic; an optionally substituted 3- to 14-membered carbocycle; and optionally substituted 3- to 14-membered heterocycle,
    • R20at each occurrence is independently selected from the group consisting of: halogen; —OR10; —OC(O)R13; —OC(O)OR13; —N+(R11)3X; —P+(R11)3X; —P(R11)3═N+═P(R11)3X; —As+R11R12R13X; —OC(O)NR11R12; —CN; —CNO; —C(O)R13; —C(O)OR13; —C(O)NR11R12; —C(R13)zH(3-z); —NR11R12; —NR11C(O)R13; —NR11C(O)OR13; —NCO; —NR11SO2R13; S(O)xR13; —S(O)2NR11R12; —NO2; —N3; and —Si(R13)(3-z)[(CH2)kR14]z,
    • R21at each occurrence is independently selected from the group consisting of: —(CH2)kR20; —(CH2)k—Z″—(CH2)kR20; —C(R17)zH(3-z); —(CH2)kC(R17)zH(3-z); —(CH2)m—Z″—(CH2)mC(R17)zH(3-z); —(CH2)k—Z″—R16;
    • X is any anion,
    • Z″ is a divalent linker selected from the group consisting of —(CH═CH)a—; —(CH≡CH)a—; —C(O)—; —C(═NOR11)—; —C(═NNR11R12)—; —O—; —OC(O)—; —C(O)O—; —OC(O)O—; —N(R11)—; —N(C(O)R13)—; —C(O)NR13—; —N(C(O)R13)O—; —NR13C(O)R13N—; —S(O)x—; a polyether; and a polyamine,
    • R10at each occurrence is independently selected from the group consisting of: —H; optionally substituted C1-12aliphatic; an optionally substituted 3- to 14-membered carbocycle; an optionally substituted 3- to 14-membered heterocycle —S(O)2R13; —Si(R15)3; —C(O)R13; and a hydroxyl protecting group,
    • R11and R12at each occurrence are independently selected from the group consisting of: —H; optionally substituted C1to C12aliphatic; an optionally substituted 3- to 14-membered carbocycle; an optionally substituted 3- to 14-membered heterocycle; where two or more R11or R12groups can optionally be taken together with intervening atoms to form an optionally substituted 3- to 10-membered ring,
    • R13at each occurrence is independently selected from the group consisting of: —H; optionally substituted C1to C12aliphatic; an optionally substituted 3- to 14-membered carbocycle; and optionally substituted 3- to 14-membered heterocycle, where two or more R13groups on the same molecule may optionally be taken together to form ring.
    • R15at each occurrence is independently selected from the group consisting of: optionally substituted C1-12aliphatic, an optionally substituted 3- to 14-membered carbocycle; and an optionally substituted 3- to 14-membered heterocycle,
    • a is 1, 2, 3, or 4,
    • k is independently at each occurrence an integer from 1 to 8, inclusive,
    • m is 0 or an integer from 1 to 8, inclusive,
    • q is 0 or an integer from 1 to 5, inclusive,
    • x is 0, 1, or 2, and
    • z is 1, 2, or 3.

[0117]

In certain embodiments, of complexes 1 through 4, is selected from the group consisting of a C3-14carbocycle, a C6-10aryl group, a 3- to 14-membered heterocycle, and a 5- to 10-membered heteroaryl group; a polyether group, or an optionally substituted C2-20aliphatic group, wherein one or more methylene units are optionally and independently replaced by —NRy—, —N(Ry)C(O)—, —C(O)N(Ry)—, —OC(O)N(Ry)—, —N(Ry)C(O)O—, —OC(O)O—, —O—, —C(O)—, —OC(O)—, —C(O)O—, —S—, —SO—, —SO2—, —C(═S)—, —C(═NRy)—, —C(═NORy)— or —N═N—.

[0118]

In some embodiments, one or more of the substituents on metal complexes 1 through 9′ is an activating moiety , where “” represents a covalent linker containing one or more atoms selected from the group consisting of C, O, N, S, and Si; “Z” is an activating functional group having co-catalytic activity in epoxide CO2copolymerization, and p is an integer from 1 to 4 indicating the number of individual activating functional groups present on a given activating moiety.

[0119]

In certain embodiments, the linker moiety “” is as described in co-pending PCT application number PCT/US09/54773. In some embodiments, the one or more Z group(s) present on the activating moiety is independently selected from the group consisting of PPN+ derivatives (—PR2═N+═PR3); ammonium salts; phosphonium salts; or an optionally substituted N-linked imidazolium, thiazolium, or oxazolium group. In certain embodiments, a Z group is an optionally substituted N-linked piperidine or N-linked pyrrolidine. In some embodiments, a Z group is an optionally substituted guanidine. In other embodiments, a Z group is any of those described in PCT/US09/54773.

[0120]

In some embodiments, provided metal complexes have a structure selected from the group consisting of:

[0121]


wherein:

[0122]

M, LI, m R1, R1′, R2, R2′, R3, R3′and R11are as defined above.

[0123]

In some embodiments, a permanent ligand set is a salen ligand. In certain embodiments, a metal complex is a metallosalenate. In certain embodiments, a metal complex is a cobalt salen complex. In certain embodiments, a metal complex is a chromium salen complex. In other embodiments, a metal complex is an aluminum salen complex.

[0124]

In certain embodiments, metal complexes of the present invention have the formula:

[0125]


wherein:

    • M is the metal atom;
    • LIis a nucleophile capable of ring opening an epoxide;
    • m is an integer from 0-2 inclusive; and

[0129]


is the permanent ligand set;

    • wherein is as defined previously and each R′ independently represents one or more substituents optionally present on the phenyl rings.

[0131]

In certain embodiments, each R′ is independently an Rdgroup or group, where two or more adjacent R′ groups can be taken together to form an optionally substituted saturated, partially unsaturated, or aromatic 3- to 12-membered ring containing 0 to 4 heteroatoms,

[0132]

In certain embodiments, the moiety is selected from the group consisting of:

[0133]


where

    • Rcand R′ are as previously defined,
    • Y is a divalent linker selected from the group consisting of: —N(R11)—; —O—; —S(O)x—; —(CH2)k—; —C(O)—; —C(═NOR10)—; —C(Rc)xH2-x—; a polyether; an optionally substituted 3- to 8-membered carbocycle; and an optionally substituted 3- to 8-membered heterocycle,
    • q is 0 or an integer from 1 to 5 inclusive, and
    • x is 0, 1, or 2,

[0138]

In certain embodiments provided metal complexes have a structure selected from the group consisting of:

[0139]


wherein:

    • M, Rc, R′, LI, and m are as defined above;
    • R4a, R4a′, R5a, R5a′, R6a, R6a′, R7a, and R7a′are each independently hydrogen, a group, halogen. —NO2, —CN, —SR13, —S(O)R13, —S(O)2R13, —NR11C(O)R13, —OC(O)R13, —CO2R13, —NCO, —N3, —OR10, —OC(O)NR11R12, —Si(R13)3, —NR11R12, —NR11C(O)R13, and —NR11C(O)OR13; or an optionally substituted radical selected from the group consisting of C1-20aliphatic; C1-20heteroaliphatic; 6- to 10-membered aryl; 5- to 10-membered heteroaryl; and 3- to 7-membered heterocyclic, where [R1aand R4a], [R1a′and R4A′] and any two adjacent R4a, R4a′, R5a, R5a′, R6a, R6a′, R7a, and R7a′groups can be taken together with intervening atoms to form one or more optionally substituted rings optionally containing one or more heteroatoms;
    • n is 0 or an integer from 1 to 8, inclusive; and
    • p is 0 or an integer from 1 to 4, inclusive.

[0144]

In some embodiments, R1a, R1a′, R4a, R4a′, R6a, and R6a′ are each —H. In some embodiments, R5a, R5a′, R7aand R7a′are each optionally substituted C1-C12aliphatic. In some embodiments, R4a, R4a′, R5a, R5a′, R6a, R6a′, R7a, and R7a′are each independently selected from the group consisting of: —H, —SiR3; methyl, ethyl, n-propyl, i-propyl, n-butyl, sec-butyl, t-butyl, isoamyl, t-amyl, thexyl, and trityl. In some embodiments, R1a, R1a′, R4a, R4a′, R6a, and R6a′are each —H. In some embodiments, R7ais selected from the group consisting of —H; methyl; ethyl; n-propyl; i-propyl; n-butyl; sec-butyl; t-butyl; isoamyl; t-amyl; thexyl; and trityl. In some embodiments, R5aand R7aare independently selected from the group consisting of —H; methyl; ethyl; n-propyl; i-propyl; n-butyl; sec-butyl; t-butyl; isoamyl; t-amyl; thexyl; and trityl. In certain embodiments, one or more of R5a, R5a′, R7aand R7a′ is a group. In some embodiments, R5aand R5a′are each a group. In some embodiments, R5ais a group and R5a′ is C1-8aliphatic. In some embodiments, R7aand R7a′are each a group. In some embodiments, R7ais a group and R7a′is C1-8aliphatic.

[0145]

In certain embodiments, provided metal complexes have a structure selected from the group consisting of:

[0146]

[0147]

where R1athrough R7a′ are as defined above.

[0148]

In certain embodiments, provided metal complexes have a structure selected from the group consisting of:

[0149]

[0150]

where R5a, R5a′, R7a, and R7a′ are as defined above. In certain embodiments, each pair of substituents on the salicaldehyde portions of the complexes above are the same (i.e. R5a& R5a′are the same and R7a& R7a′ are the same). In other embodiments, at least one of R5a& R5a′ or R7a& R7aare different from one another.

[0151]

In certain embodiments, a metal complex has formula III:

[0152]

[0153]

In certain embodiments, a metal complex has formula IV:

[0154]

[0155]

In certain embodiments, wherein a metal complex has formula V:

[0156]

[0157]

wherein:

    • Rc, Rd, LI, m, and q are as described above, and
    • R4, R4′, R5, R5′, R6, R6′, R7, and R7′ are each independently selected from the group consisting of: —H; —R20; —R21; optionally substituted C1-C12aliphatic; optionally substituted 3- to 14-membered carbocycle; and optionally substituted 3- to 14-membered heterocycle;
    • where [R1and R4], [R1′ and R4′] and any two adjacent R4, R4′, R5, R5′, R6, R6′, R7, and R7′ groups can optionally be taken together with intervening atoms to form one or more rings optionally substituted with one or more R20groups.

[0161]

In certain embodiments, wherein a metal complex has formula III, R1, R1′, R4, R4′, R6, and R6′are each —H. In certain embodiments, wherein a metal complex has formula III, R5, R5′, R7and R7′are each optionally substituted C1-C12aliphatic.

[0162]

In certain embodiments, wherein a metal complex has formula III, R4, R4′, R5, R5′, R6, R6′, R7, and R7′ are each independently selected from the group consisting of: —H, —Si(R13)3; —Si[(CH2)kR22]z(R13)(3-z); methyl, ethyl, n-propyl, i-propyl, n-butyl, sec-butyl, t-butyl, isoamyl, t-amyl, thexyl, trityl, —C(CH3)Ph2, —(CH2)pC[(CH2)pR22]zH(3-z), and —Si(R13)(3-z)[(CH2)kR22]z, where p is an integer from 0 to 12 inclusive and R22is selected from the group consisting of: a heterocycle; an amine; a guanidine; —N+(R11)3X; —P+(R11)3X, —P(R11)2═N+═P(R11)3X; —As+(R11)3X, and optionally substituted pyridinium.

[0163]

In certain embodiments, wherein a metal complex has formula III, R7is selected from the group consisting of —H; methyl; ethyl; n-propyl; i-propyl; n-butyl; sec-butyl; t-butyl; isoamyl; t-amyl; thexyl; and trityl; and R5is selected from the group consisting of (CH2)pCH(3-z)[(CH2)pR22]zand —Si(R13)(3-z)[(CH2)kR22]z.

[0164]

In certain embodiments, a metal complex has formula IV, R1, R1′, R4, R4′, R6, and R6′are each —H. In certain embodiments, wherein the complex is a metallosalenate complex of formula IV, R5, R5′, R7and R7′are each optionally substituted C1-C12aliphatic.

[0165]

In certain embodiments, wherein a metal complex has formula IV, R4, R4′, R5, R5′, R6, R6′, R7, and R7′are each independently selected from the group consisting of: —H, —Si(R13)3; —Si(R13)(3-z)[(CH2)kR22]z; methyl, ethyl, n-propyl, i-propyl, n-butyl, sec-butyl, t-butyl, isoamyl, t-amyl, thexyl, trityl, —(CH2)pC[(CH2)pR22]H(3-z).

[0166]

In certain embodiments, wherein a metal complex has formula IV, R7is selected from the group consisting of —H; methyl; ethyl; n-propyl; i-propyl; n-butyl; sec-butyl; t-butyl; isoamyl; t-amyl; thexyl; and trityl; and R5is selected from the group consisting of —(CH2)pCH(3-z)[(CH2)pR22]zand —Si(R13)(3-z)[(CH2)kR22]z.

[0167]

In certain embodiments, wherein a metal complex has formula V, R1, R1′, R4, R4′, R6, and R6′are each —H. In certain embodiments, wherein a complex is a metallosalenate complex of formula V, R5, R5′, R7and R7′ are each optionally substituted C1-C12aliphatic.

[0168]

In certain embodiments, wherein a metal complex has formula V, R4, R4′, R5, R5′, R6, R6′, R7, and R7′are each independently selected from the group consisting of: —H, —Si(R13)3; —Si[(CH2)kR21]z(R13)(3-z); methyl, ethyl, n-propyl, i-propyl, n-butyl, sec-butyl, t-butyl, isoamyl, t-amyl, thexyl, trityl, —(CH2)pCH(3-z)[(CH2)pR22]zand —Si(R13)(3-z)[(CH2)kR22]z.

[0169]

In certain embodiments, wherein a metal complex has formula V, R7is selected from the group consisting of —H; methyl; ethyl; n-propyl; i-propyl; n-butyl; sec-butyl; t-butyl; isoamyl; t-amyl; thexyl; and trityl; and R5is selected from the group consisting of —(CH2)pCH(3-z)[(CH2)pR22]zand —Si(R13)(3-z)[(CH2)kR22]z.

[0170]

In some embodiments, a metal complex has a structure Lp-M-(LI)m, where Lp-M is selected from the group consisting of:

[0171]

[0172]

In other embodiments, the permanent ligand set comprises a porphyrin ring and Lp-M has the structure:

[0173]


wherein:

    • M, LI, Rc, and Rdare defined above and any two adjacent Rcor Rdgroups can be taken together to form one or more rings optionally substituted with one or more R20groups

[0175]

In certain embodiments where the permanent ligand set comprises a porphyrin ring, M is a metal atom selected from the group consisting of: cobalt; chromium; aluminum; titanium; ruthenium, and manganese.

[0176]

As noted above, in some embodiments herein, the permanent ligand set may comprise a plurality of discrete ligands. In certain embodiments the permanent ligand set includes two bidentate ligands. In certain embodiments, such bidentate ligands may have the structure

[0177]


where Rdand R11are as defined hereinabove. Metal complexes having two such ligands may adopt one of several geometries, and the present disclosure encompasses complex having any of the possible geometries, as well as mixtures of two or more geometrical isomers.

[0178]

In certain embodiments, metal complexes including two bidentate ligands may have structures selected from the group consisting of:

[0179]

[0180]

where each

[0181]


represents a ligand:

[0182]


I.a.3 Initiating Ligands

[0183]

In addition to a metal atom and a permanent ligand set described hereinabove, metal complexes suitable for polymerization systems of the present invention optionally include one or more initiating ligands -LI. In some embodiments, these ligands act as polymerization initiators and become a part of a growing polymer chain. In certain embodiments, there is one initiating ligand present (i.e. m=1). In other embodiments, there are two initiating ligands present (i.e. m=2). In certain embodiments, an initiating ligand may be absent (i.e. m=0). In certain embodiments, a metal complex may be added to a reaction mixture without an initiating ligand, but may form a species in situ that includes one or two initiating ligands.

[0184]

In certain embodiments, -LIis any anion. In certain embodiments, -LIis a nucleophile. In some embodiments, initiating ligands -LIare nucleophiles capable of ring-opening an epoxide. In some embodiments, a polymerization initiator L is selected from the group consisting of: azide, halides, alkyl sulfonates, carboxylates, alkoxides, and phenolates.

[0185]

In some embodiments, initiating ligands include, but are not limited to, —ORx, —SRx, —OC(O)Rx, —OC(O)ORx, —OC(O)N(Rx)2, —NRxC(O)Rx, —CN, halo (e.g., —Br, —I, —Cl), —N3, and —OSO2Rxwherein each Rxis, independently, selected from hydrogen, optionally substituted aliphatic, optionally substituted heteroaliphatic, optionally substituted aryl and optionally substituted heteroaryl and where two Rxgroups can be taken together to form an optionally substituted ring optionally containing one or more additional heteroatoms.

[0186]

In certain embodiments, -LIis —OC(O)Rx, wherein Rxis selected from optionally substituted aliphatic, fluorinated aliphatic, optionally substituted heteroaliphatic, optionally substituted aryl, fluorinated aryl, and optionally substituted heteroaryl.

[0187]

In certain embodiments, -LIis —OC(O)Rx, wherein Rxis optionally substituted aliphatic. In certain embodiments, -LIis —OC(O)Rx, wherein Rxis optionally substituted alkyl or fluoroalkyl. In certain embodiments, -LIis —OC(O)CH3or —OC(O)CF3.

[0188]

Furthermore, in certain embodiments, -LIis —OC(O)Rx, wherein Rxis optionally substituted aryl, fluoroaryl, or heteroaryl. In certain embodiments, -LIis —OC(O)Rx, wherein Rxis optionally substituted aryl. In certain embodiments, -LIis —OC(O)Rx, wherein Rxis optionally substituted phenyl. In certain embodiments, -LIis —OC(O)C6H5or —OC(O)C6F5.

[0189]

In certain embodiments, -LIis —ORx, wherein Rxis selected from optionally substituted aliphatic, optionally substituted heteroaliphatic, optionally substituted aryl, and optionally substituted heteroaryl.

[0190]

For example, in certain embodiments, -LIis —ORx, wherein Rxis optionally substituted aryl. In certain embodiments, -LIis —ORx, wherein Rxis optionally substituted phenyl. In some embodiments, -LIis a 2,4-dinitrophenolate anion. In certain embodiments, -LIis —OC6H5.

[0191]

In certain embodiments, -LIis halo. In certain embodiments, -LIis —Br. In certain embodiments, -LIis —Cl. In certain embodiments, -LIis —I.

[0192]

In certain embodiments, -LIis —O(SO2)Rx. In certain embodiments-LIis —OTs. In certain embodiments -LIis —OSO2Me. In certain embodiments -LIis —OSO2CF3.

[0193]

In some embodiments, metal complexes Lp-M-(LI)m, include one or more initiating ligands -LIcharacterized in that each ligand is capable of initiating two or more polymer chains. In some embodiments, the initiating ligand is any of the molecules described above as being suitable as chain transfer agents. In certain embodiments, an initiating ligand is an anion derived from any of the chain transfer agents described hereinabove.

[0194]

In some embodiments, a polymerization initiator-LIcomprises a compound of the formula -Q′-A′-(Z′)n, wherein:

    • -Q′- is a carboxy or alkoxy group,
    • -A′- is a covalent bond or a multivalent moiety,
    • each Z′ is independently a functional group that can initiate a polymer chain, and
    • n is an integer between 1 and 10 inclusive.

[0199]

In certain embodiments wherein a polymerization initiator comprises a compound having the formula -Q′-A′(Z′)n, each —Z′, is a functional group independently selected from the group consisting of: —OH, —C(O)OH, —C(ORy)OH, —OC(Ry)OH, —NHRy, —NHC(O)Ry, —NHC═NRy; —NRyC═NH; —NRyC(NRy2)═NH; —NHC(NRy2)═NRy; —NHC(O)ORy, —NHC(O)NRy2, —C(O)NHRy, —C(S)NHRy, —OC(O)NHRy, —OC(S)NHRy, —SH, —C(O)SH, —B(ORy)OH, —P(O)a(Ry)b(ORy)c(OH)d, —OP(O)a(Ry)b(ORy)c(OH)d, —N(Ry)OH, —ON(Ry)H; ═NOH, ═NN(Ry)H, where each occurrence of Ryis independently —H, or an optionally substituted radical selected from the group consisting of C1-20aliphatic, C1-20heteroaliphatic, 3- to 12-membered heterocyclic, and 6- to 12-membered aryl, a and b are each independently 0 or 1, c is 0, 1 or 2, d is 0 or 1, and the sum of a, b, and c is 1 or 2; and

    • -A′- is selected from the group consisting of: a) C2-C20aliphatic b) a C3-C20carbocycle; c) a 3- to 12-membered heterocycle; d) a saccharide; e) an oligosaccharide; f) a polysaccharide; and g) a polymer chain, wherein any of (a) through (g) are optionally substituted with one or more R20groups.

[0201]

In certain embodiments wherein a polymerization initiator comprises a compound having the formula -Q′-A′-(Z′)n, each —Z′, is independently selected from the group consisting of: —OH; and —C(O)OH—.

[0202]

In some embodiments, -A′- is a covalent bond.

[0203]

In certain embodiments wherein a polymerization initiator comprises a compound having the formula -Q′-A′-(Z′)n, -A′- is a C2-20aliphatic group, and n is an integer from 1 to 5.

[0204]

In certain embodiments wherein a polymerization initiator comprises a compound having the formula -Q′-A′(Z′)n, -A′- is a C2-12aliphatic group, and n is an integer from 1 to 3.

[0205]

In certain embodiments wherein a polymerization initiator comprises a compound having the formula -Q′-A′(Z′)n, Q′ is —OC(O)—; -A′- is a C2-20aliphatic group; Z′ is —OH; and n is an integer from 1 to 3.

[0206]

In certain embodiments, where a polymerization initiator has more than one site capable of coordinating with a metal atom, a single polymerization initiator may be shared by multiple metal complexes (each metal complex including at one metal atom and a permanent ligand set). For example, when LIis a diacid, each carboxyl group of the diacid may be coordinated to a metal atom of a separate metal complex (i.e. a dimeric or pseudodimeric complex having a formula Lp-M-O2C-A′-CO2-M-Lp, where A′, M, and Lpare as defined previously). Similarly, a triacid may be coordinated to one two or three metal centers, or a hydroxy acid, a dialkoxide, amino acid or other polyfunctional compound can coordinate with two or more Lp-M groups.

[0207]

In certain embodiments, an initiating ligand is a polycarboxylic acid having 2 to 4 carboxyl groups. In certain embodiments, an initiating ligand is a C2-20diacid. In certain embodiments, an initiating ligand is selected from the group consisting of I-1 through I-24:

[0208]

[0209]

In certain embodiments, an initiating ligand having a plurality of polymer initiation sites may be a hydroxy acid. In certain embodiments, a hydroxy acid is selected from the group consisting of:

[0210]

[0211]

In certain embodiments, a polymerization initiator having a plurality of polymer initiation sites is a polyhydric phenol derivative. In certain embodiments, a polymerization initiator is selected from the group consisting of:

[0212]

[0213]

In some embodiments, an initiating ligand is a polyalcohol. In certain embodiments, a polyalcohol is a diol. Suitable diols include but are not limited to: 1,2-ethanediol, 1,2-propanediol, 1,3-propanediol, 1,2-butanediol, 1,3-butanediol, 1,4-butanediol, 1,5-pentanediol, 2,2-dimethylpropane-1,3-diol, 2-butyl-2-ethylpropane-1,3-diol, 1,5-hexanediol, 1,6-hexanediol, 1,8-octanediol, 1,10-decanediol, 1,12-dodecanediol, 2,2,4,4-tetramethylcyclobutane-1,3-diol, 1,3-cyclopentanediol, 1,2-cyclohexanediol, 1,3-cyclohexanediol, 1,4-cyclohexanediol, 1,2-cyclohexanedimethanol, 1,3-cyclohexanedimethanol, 1,4-cyclohexanedimethanol, and 1,4-cyclohexanediethanol.

[0214]

In some embodiments, an initiating ligand is an alkoxide derived from a compound selected from the group consisting of: diethylene glycol, triethylene glycol, tetraethylene glycol, pentaethylene glycol, higher poly(ethylene glycol), dipropylene glycol, tripropylene glycol, and higher poly(propylene glycol). In some embodiments, higher poly(ethylene glycol) compounds are those having number average molecular weights of from 220 to about 2000 g/mol. In some embodiments, higher poly(propylene glycol) compounds are those having number average molecular weights of from 234 to about 2000 g/mol.

[0215]

In some embodiments, suitable diols include 4,4′-(1-methylethylidene) bis[cyclohexanol], 2,2′-methylenebis[phenol], 4,4′-methylenebis[phenol], 4,4′-(phenylmethylene)bis[phenol], 4,4′-(diphenylmethylene)bis[phenol], 4,4′-(1,2-ethanediyl)bis[phenol], 4,4′-(1,2-cyclohexanediyl)bis[phenol], 4,4′-(1,3-cyclohexanediyl)bis[phenol], 4,4′-(1,4-cyclohexanediyl)bis[phenol], 4,4′-ethylidenebis[phenol], 4,4′-(1-phenylethylidene)bis[phenol], 4,4′-propylidenebis[phenol], 4,4′-cyclohexylidenebis[phenol], 4,4′-(1-methylethylidene)bis[phenol], 4,4′-(1-methylpropylidene)bis[phenol], 4,4′-(1-ethylpropylidene)bis[phenol], 4,4′-cyclohexylidenebis[phenol], 4,4′-(2,4,8,10-tetraoxaspiro[5.5]undecane-3,9-diyldi-2,1-ethanediyl)bis[phenol], 1,2-benzenedimethanol, 1,3-benzenedimethanol, 1,4-benzenedimethanol, 4,4′-[1,3-phenylenebis(1-methylethylidene)]bis[phenol], 4,4′-[1,4-phenylenebis(1-methylethylidene)]bis[phenol], phenolphthalein, 4,4′-(1-methylidene)bis[2-methylphenol], 4,4′-(1-methylethylidene)bis[2-(1-methylethyl)phenol], 2,2′-methylenebis[4-methyl-6-(1-methylethyl)phenol],

[0216]

In some embodiments, a polyol is a triol. Suitable triols may include, but are not limited to: aliphatic triols having a molecular weight less than 500 such as trimethylolethane; trimethylolpropane; glycerol; 1,2,4-butanetriol; 1,2,6-hexanetriol; tris(2-hydroxyethyl)isocyanurate; hexahydro-1,3,5-tris(hydroxyethyl)-s-triazine; 6-methylheptane-1,3,5-triol; polypropylene oxide triol; and polyester triols.

[0217]

In certain embodiments, a polyol is a tetraol. Examples of suitable tetraols include, but are not limited to: erythritol, pentaerythritol; 2,2′-dihydroxymethyl-1,3-propanediol; and 2,2′-(oxydimethylene) bis-(2-ethyl-1,3-propanediol).

[0218]

In certain embodiments, a metal coordination complex is selected from the group consisting of:

[0219]

[0220]

In some embodiments, a metal coordination complex is selected from compounds of formulae XLIX through LIV:

[0221]

[0222]

In some embodiments, polymerization systems of the present invention further include at least one co-catalyst. In some embodiments, a co-catalyst is selected from the group consisting of: amines, guanidines, amidines, phosphines, nitrogen-containing heterocycles, ammonium salts, phosphonium salts, arsonium salts, bisphosphine ammonium salts, and a combination of any two or more of the above.

[0223]

In embodiments where the co-catalyst is an ‘onium’ salt, there is necessarily an anion present to balance the charge of the salt. In certain embodiments, this is any anion. In certain embodiments, the anion is a nucleophile. In some embodiments, the anion is a nucleophile capable of ring-opening an epoxide. In some embodiments, the anion is selected from the group consisting of: azide, halides, alkyl sulfonates, carboxylates, alkoxides, and phenolates.

[0224]

In some embodiments, ionic co-catalyst include anions selected from the group consisting of: —ORx, —SRx, —OC(O)Rx, —OC(O)ORx, —OC(O)N(Rx)2, —NRxC(O)Rx, —CN, halo (e.g., —Br, —I, —Cl), —N3, and —OSO2Rxwherein each Rxis, independently, selected from hydrogen, optionally substituted aliphatic, optionally substituted heteroaliphatic, optionally substituted aryl and optionally substituted heteroaryl and where two Rxgroups can be taken together to form an optionally substituted ring optionally containing one or more additional heteroatoms.

[0225]

In certain embodiments, a co-catalyst anion is —OC(O)Rx, wherein Rxis selected from optionally substituted aliphatic, fluorinated aliphatic, optionally substituted heteroaliphatic, optionally substituted aryl, fluorinated aryl, and optionally substituted heteroaryl.

[0226]

In certain embodiments, a co-catalyst anion is —OC(O)Rx, wherein Rxis optionally substituted aliphatic. In certain embodiments, a co-catalyst anion is —OC(O)Rx, wherein Rxis optionally substituted alkyl and fluoroalkyl. In certain embodiments, a co-catalyst anion is —OC(O)CH3or —OC(O)CF3.

[0227]

Furthermore, in certain embodiments, a co-catalyst anion is —OC(O)Rx, wherein Rxis optionally substituted aryl, fluoroaryl, or heteroaryl. In certain embodiments, a co-catalyst anion is —OC(O)Rx, wherein Rxis optionally substituted aryl. In certain embodiments, a co-catalyst anion is —OC(O)Rx, wherein Rxis optionally substituted phenyl. In certain embodiments, a co-catalyst anion is —OC(O)C6H5or —OC(O)C6F5.

[0228]

In certain embodiments, a co-catalyst anion is —ORx, wherein Rxis selected from optionally substituted aliphatic, optionally substituted heteroaliphatic, optionally substituted aryl, and optionally substituted heteroaryl.

[0229]

For example, in certain embodiments, a co-catalyst anion is —ORx, wherein Rxis optionally substituted aryl. In certain embodiments, a co-catalyst anion is —ORx, wherein Rxis optionally substituted phenyl. In certain embodiments, a co-catalyst anion is —OC6H5or —OC6H2(2,4-NO2).

[0230]

In certain embodiments, a co-catalyst anion is halo. In certain embodiments, a co-catalyst anion is —Br. In certain embodiments, a co-catalyst anion is —Cl. In certain embodiments, a co-catalyst anion is —I.

[0231]

In certain embodiments, a co-catalyst anion is —O(SO2)Rx. In certain embodiments a co-catalyst anion is —OTs. In certain embodiments a co-catalyst anion is —OSO2Me. In certain embodiments a co-catalyst anion is —OSO2CF3. In some embodiments, a co-catalyst anion is a 2,4-dinitrophenolate anion.

[0232]

In certain embodiments, polymerization systems of the present invention include a cationic co-catalyst having a counterion characterized in that the counterion is capable of initiating polymerization at two or more sites. In some embodiments, a counterion is any of the molecules described above as being suitable as initiating ligands (LI). In certain embodiments, an anion is derived from any of the chain transfer agents described hereinabove.

[0233]

In some embodiments, an anion of the ionic co-catalyst comprises an anion of the formulaQ′-A′(Z′)n, wherein:

    • Q′- is a carboxy or alkoxy group,
    • -A′- is a covalent bond or a multivalent moiety,
    • each Z′ is independently a functional group that can initiate a polymer chain, and
    • n is an integer between 1 and 10 inclusive,

[0238]

In certain embodiments, where an anion of an ionic co-catalyst is a polyfunctional compound, it is possible for a polyfunctional compound to be counterion to more than one cationic co-catalyst, or to be associated with both a co-catalyst cation and a metal complex. For example, if a co-catalyst is an ammonium salt and the counterion is a diacid, the diacid may be doubly deprotonated and maybe associated with two ammonium cations: N+R4O2C-A′-CO2N+R4. Similarly, two PPN+ cations may be associated with a single diacid. Alternatively, the diacid may be associated with both a co-catalytic cation and a metal complex: N+R4O2C-A′-CO2 M+-Lp. It will be apparent to the skilled artisan that many such variations are possible and it will also be understood that the ionic compounds and coordination complexes described may be in equilibrium. As such that the active species present at different times during the polymerization reactions may change. In some instances known methods of producing mono salts of polyfunctional compounds can be used to influence the stoichiometry of the polymerization system.

[0239]

In certain embodiments, anions present to balance the charge of cationic co-catalysts, and the initiating ligand on the metal complex are selected to be the same compound. In certain embodiments, an initiating ligand, a counterion present on a cationic co-catalyst, and a chain transfer agent are chosen to be the same molecule. For instance, in one example of this embodiment if glycolic acid were employed as the chain transfer agent, the metal complex would be chosen to include glycolate as the initiating ligand L and a cationic co-catalyst including a glycolate counterion (such as tetrabutylammonium glycolate) could be employed as the co-catalyst. Such embodiments of the present invention provide polycarbonate polyol compositions that are highly homogenous since virtually all chains have the same chemical makeup. The details of these compositions and methods to produce them are described in more detail hereinbelow.

[0000]

Ic. Stoichiometry of the Polymerization Systems

[0240]

Having described in detail each of the components of the polymerization system, we turn now to the relative ratios of those components. In certain embodiments, a metal complex Lp-M-(LI)mand a chain transfer agent Y-A-(Y)nare present in a defined ratio selected to maximize conversion of the epoxide monomers while achieving the desired molecular weight polycarbonate polyol. In embodiments, where a co-catalyst is present, the ratios between a metal complex, a co-catalyst and a chain transfer agent are selected to maximize conversion of the epoxide monomers while achieving the desired molecular weight polycarbonate polyol.

[0241]

In some embodiments, a metal complex and a chain transfer agent are present in a molar ratio ranging from about 1:10 to about 1:1000. In certain embodiments, the ratio is between about 1:50 and about 1:500. In certain embodiments, the ratio is between about 1:50 and about 1:250. In certain embodiments, the ratio is between about 1:20 and about 1:100. In certain embodiments, the ratio is between about 1:100 and about 1:250. In some embodiments, a metal complex and a chain transfer agent are present in a molar ratio greater than 1:1000. In some embodiments, a metal complex and a chain transfer agent are present in a molar ratio less than 1:1000.

[0242]

In some embodiments, a metal complex and a co-catalyst are present in a molar ratio ranging from about 0.1:1 to about 1:10. In certain embodiments, the ratio is from about 0.5:1 to about 5:1. In other embodiments, the ratio is from about 1:1 to about 4:1. In certain embodiments the ratio between the metal complex and the co-catalyst is about 1:1. In other embodiments, the molar ratio between a metal complex and a co-catalyst is about 1:2.

[0000]

II. Polycarbonate Polyol Compositions

[0243]

As described above, there have not been methods heretofore available to produce aliphatic polycarbonate polyol resins combining the features of high carbonate linkage content, a high percentage of hydroxyl end groups and low molecular weight (e.g. less than about 20 kg/mol). In one aspect, the present invention encompasses these novel materials.

[0244]

In some embodiments, the present invention encompasses epoxide CO2copolymers with a molecular weight number between about 400 and about 20,000 characterized in that the polymer chains have a carbonate content of >90%, and at least 90% of the end groups are hydroxyl groups.

[0245]

In certain embodiments, the carbonate linkage content of the polycarbonate chains of epoxide CO2copolymers of the present invention is at least 90%. In some embodiments greater than 92% of linkages are carbonate linkages. In certain embodiments, at least 95% of linkages are carbonate linkages. In certain embodiments, at least 97% of linkages are carbonate linkages. In some embodiments, greater than 98% of linkages are carbonate linkages in some embodiments at least 99% of linkages are carbonate linkages. In some embodiments essentially all of the linkages are carbonate linkages (i.e. there are essentially only carbonate linkages detectable by typical methods such as1H or13C NMR spectroscopy).

[0246]

In certain embodiments, the ether linkage content of the polycarbonate chains of epoxide CO2copolymers of the present invention is less than 10%. In some embodiments, less than 8% of linkages are ether linkages. In certain embodiments, less than 5% of linkages are ether linkages. In certain embodiments, no more than 3% of linkages are ether linkages. In some embodiments, fewer than 2% of linkages are ether linkages in some embodiments less than 1% of linkages are ether linkages. In some embodiments essentially none of the linkages are ether linkages (i.e. there are essentially no ether bonds detectable by typical methods such as1H or13C NMR spectroscopoy).

[0247]

In some embodiments, the epoxide CO2copolymers of the present invention have average molecular weight numbers ranging from about 400 to about 400,000 g/mol. In some embodiments, the epoxide CO2copolymers of the present invention have average molecular weight numbers ranging from about 400 to about 20,000 g/mol. In some embodiments, the copolymers have an Mn between about 500 and about 5,000 g/mol. In other embodiments, the copolymers have an Mn between about 800 and about 4,000 g/mol. In some embodiments, the copolymers have an Mn between about 1,000 and about 3,000 g/mol. In some embodiments, the copolymers have an Mn of about 1,000 g/mol. In some embodiments, the copolymers have an Mn of about 2,000 g/mol. In some embodiments, the copolymers have an Mn of about 3,000 g/mol. In certain embodiments, epoxide CO2copolymers of the invention have about 10 to about 200 repeat units. In other embodiments, the copolymers have about 20 to about 100 repeat units.

[0248]

In some embodiments, the CO2epoxide copolymers of the present invention are formed from CO2and one type of epoxide. In other embodiments, the copolymers incorporate two or more types of epoxide. In some embodiments, the copolymers predominantly incorporate one epoxide with lesser amounts of one or more additional epoxides. In certain embodiments where two or more epoxides are present, the copolymer is random with respect to the position of the epoxide moieties within the chain. In other embodiments where two or more epoxides are present, the copolymer is a tapered copolymer with respect to the incorporation of different epoxides. In some embodiments where two or more epoxides are present, the copolymer is a block copolymer with respect to the incorporation of different epoxides.

[0249]

In certain embodiments, the polymer chains may contain embedded polymerization initiators or may be a block-copolymer with a non-polycarbonate segment. In certain examples of these embodiments, the stated total carbonate content of the polymer chain may be lower than the stated carbonate content limitations described above. In these cases, the carbonate content refers only to the epoxide CO2copolymeric portions of the polymer composition. In other words, a polymer of the present invention may contain a polyester, polyether or polyether-polycarbonate moiety embedded within or appended to it. The non-carbonate linkages in such moieties are not included in the carbonate and ether linkage limitations described above.

[0250]

In certain embodiments, polycarbonate polyols of the present invention are further characterized in that they have narrow polydispersity. In certain embodiments, the PDI of the provided polymer compositions is less than 2. In some embodiments, the PDI is less than 1.5. In other embodiments, the PDI is less than about 1.4. In certain embodiments, the PDI is less than about 1.2. In other embodiments, the PDI is less than about 1.1. In certain embodiments, the polycarbonate polyol compositions are further characterized in that they have a unimoldal molecular weight distribution.

[0251]

In certain embodiments, the polycarbonate polyols of the present invention contain repeat units derived from epoxides that are not C2 symmetric. In these cases, the epoxide can be incorporated into the growing polymer chain in one of several orientations. The regiochemistry of the enchainment of adjacent monomers in such cases is characterized by the head-to-tail ratio of the composition. As used herein the term “head-to-tail” refers to the regiochemistry of the enchainment of a substituted epoxide in the polymer chain as shown in the figure below for propylene oxide:

[0252]

[0253]

In certain embodiments the disclosure encompasses polycarbonate polyol compositions characterized in that, on average, more than about 80% of linkages between adjacent epoxide monomer units are head-to-tail linkages. In certain embodiments, on average, more than 85% of linkages between adjacent epoxide monomer units are head-to-tail linkages. In certain embodiments, on average, more than 90% of linkages between adjacent epoxide monomer units are head-to-tail linkages. In certain embodiments, more than 95% of linkages between adjacent epoxide monomer units are head-to-tail linkages. In certain embodiments, more than 99% of linkages between adjacent epoxide monomer units are head-to-tail linkages.

[0254]

In certain embodiments, the polycarbonate polyols of the present invention contain repeat units derived from epoxides that contain a chiral center. In these cases, the epoxide can be incorporated into the growing polymer chain in defined orientations relative to adjacent monomer units. In certain embodiments, the adjacent stereocenters are arranged randomly within the polymer chains. In certain embodiments, the polycarbonate polyols of the present invention are atactic. In other embodiments, more than about 60% of adjacent monomer units have the same stereochemistry. In certain embodiments, more than about 75% of adjacent monomer units have the same stereochemistry. In certain embodiments, more than about 85% of adjacent monomer units have the same stereochemistry. In certain embodiments, more than about 95% of adjacent monomer units have the same stereochemistry. In certain embodiments the polycarbonate polyols of the present invention are isotactic. In other embodiments, more than about 60% of adjacent monomer units have the opposite stereochemistry. In certain embodiments, more than about 75% of adjacent monomer units have the opposite stereochemistry. In certain embodiments, more than about 85% of adjacent monomer units have the opposite stereochemistry. In certain embodiments, more than about 95% of adjacent monomer units have the opposite stereochemistry. In certain embodiments the polycarbonate polyols of the present invention are syndiotactic.

[0255]

In certain embodiments, where a chiral epoxide is incorporated into the polycarbonate polyol compositions of the present invention, the polymers are enantio-enriched. In other embodiments, where a chiral epoxide is incorporated into the polycarbonate polyol compositions of the present invention, the polymers are not enantio-enriched.

[0256]

In certain embodiments, the epoxide monomers incorporated into polycarbonate polyols of the present invention have a structure:

[0257]

    • where, R21, R22, R23, and R24, are each independently selected from the group consisting of: —H; and an optionally substituted group selected from C1-30aliphatic; C6-14aryl; 3- to 12-membered heterocycle, and 5- to 12-membered heteroaryl, where any two or more of R21, R22, R23, and R24can be taken together with intervening atoms to form one or more optionally substituted 3- to 12-membered rings, optionally containing one or more heteroatoms.

[0259]

In certain embodiments, the polycarbonate polyols of the present invention incorporate one or more epoxides selected from the group consisting of:

[0260]


wherein each Rxis, independently, selected from optionally substituted aliphatic, optionally substituted heteroaliphatic, optionally substituted aryl fluoroalkyl, and optionally substituted heteroaryl.

[0261]

In certain embodiments, polycarbonate polyols of the present invention comprise poly(ethylene carbonate). In other embodiments, polycarbonate polyols of the present invention comprise poly(propylene carbonate). In other embodiments, polycarbonate polyols of the present invention comprise poly(cyclohexene carbonate). In other embodiments, polycarbonate polyols of the present invention comprise poly(epichlorohydrin carbonate). In certain embodiments, polycarbonate polyols of the present invention incorporate a glycidyl ether or glycidyl ester. In certain embodiments, polycarbonate polyols of the present invention incorporate phenyl glycidyl ether. In certain embodiments, polycarbonate polyols of the present invention incorporate t-butyl glycidyl ether.

[0262]

In some embodiments, polycarbonate polyols of the present invention comprise poly(propylene-co-ethylene carbonate). In certain embodiments, polycarbonate polyols of the present invention comprise poly(propylene carbonate) incorporating from about 0.1 to about 10% of a C4-C30epoxide. In certain embodiments, polycarbonate polyols of the present invention comprise poly(propylene carbonate) incorporating from about 0.1 to about 10% of a glycidyl ether. In certain embodiments, polycarbonate polyols of the present invention comprise poly(propylene carbonate) incorporating from about 0.1 to about 10% of a glycidyl ester. In certain embodiments, polycarbonate polyols of the present invention comprise poly(ethylene carbonate) incorporating from about 0.1 to about 10% of a glycidyl ether. In certain embodiments, polycarbonate polyols of the present invention comprise poly(ethylene carbonate) incorporating from about 0.1 to about 10% of a glycidyl ester. In certain embodiments, polycarbonate polyols of the present invention comprise poly(ethylene carbonate) incorporating from about 0.1 to about 10% of a C4-C30epoxide.

[0263]

In certain embodiments, epoxide monomers incorporated into polycarbonate polyols of the present invention include epoxides derived from naturally occurring materials such as epoxidized resins or oils. Examples of such epoxides include, but are not limited to: Epoxidized Soybean Oil; Epoxidized Linseed Oil; Epoxidized Octyl Soyate; Epoxidized PGDO; Methyl Epoxy Soyate; Butyl Epoxy Soyate; Epoxidized Octyl Soyate; Methyl Epoxy Linseedate; Butyl Epoxy Linseedate; and Octyl Epoxy Linseedate. These and similar materials are available commercially from Arkema Inc. under the trade name Vikoflex®. Examples of such commerically available Vikoflex® materials include Vikoflex 7170 Epoxidized Soybean Oil, Vikoflex 7190 Epoxidized Linseed, Vikoflex 4050 Epoxidized Octyl Soyate, Vikoflex 5075 Epoxidized PGDO, Vikoflex 7010 Methyl Epoxy Soyate, Vikoflex 7040 Butyl Epoxy Soyate, Vikoflex 7080 Epoxidized Octyl Soyate, Vikoflex 9010 Methyl Epoxy Linseedate, Vikoflex 9040 Butyl Epoxy Linseedate, and Vikoflex 9080 Octyl Epoxy Linseedate. In certain embodiments, the polycarbonate polyols of the present invention incorporate epoxidized fatty acids:

[0264]

In certain embodiments of the present invention, polycarbonate polyols of the present invention incorporate epoxides derived from alpha olefins. Examples of such epoxides include, but are not limited to those derived from C10alpha olefin, C12alpha olefin, C14alpha olefin, C16alpha olefin, C1-8alpha olefin, C20-C24alpha olefin, C24-C28alpha olefin and C30+ alpha olefins. These and similar materials are commercially available from Arkema Inc. under the trade name Vikolox®. Commerically available Vikolox® materials include those depicted in Table 4, below. In certain embodiments, provided aliphatic polycarbonates derived from alpha olefins are heteropolymers incorporating other simpler epoxide monomers including, but not limited to: ethylene oxide, propylene oxide, butylene oxide, hexene oxide, cyclopentene oxide and cyclohexene oxide. These heteropolymers can include random co-polymers, tapered copolymers and block copolymers.

[0265]

Vikolox 10C10H20O9.0%
Vikolox 12C12H24O7.8%
Vikolox 14C14H28O6.8%
Vikolox 16C16H32O6.0%
Vikolox 18C18H36O5.4%
Vikolox 20-24C20-24H40-48O4.4%
Vikolox 24-28C24-28H48-56O3.25% 
Vikolox 30+C30+H60O2.25% 

[0266]

In certain embodiments, the present disclosure encompasses aliphatic polycarbonate compositions comprising a plurality of polymer chain types. In certain embodiments these different chain types are derived from more than one type of initiating moiety. These compositions are described in more detail below. In each case, the polycarbonate chains contain one or more polymeric units arising from the alternating copolymerization of CO2and one or more epoxides. In the descriptions that follow of the several chain types that may be present in the compositions of the present invention, these alternating copolymeric units are denoted -T, where each -T is a polycarbonate chain having a formula independently selected from the group consisting of:

[0267]


wherein:

    • E is an optionally substituted C2unit derived from an epoxide, where E may represent a monomer unit derived from one type of epoxide, or from a mixture of two or more types of epoxide, and
    • p ranges from about 5 to about 10,000.

[0270]

In some embodiments of polymers encompassed by the present invention, -E- is:

[0271]


where R21, R22, R23, and R24are as defined above.

[0272]

In certain embodiments, -E- is selected from the group consisting of:

[0273]


and mixtures of any two or more of these.

[0274]

In certain embodiments, -E- includes units derived from naturally occurring materials such as epoxidized resins or oils. In certain embodiments, -E- includes units derived C12-30alpha olefins.

[0275]

In some embodiments, -E- consists predominantly of —CH2CH2— units derived from ethylene oxide. In certain embodiments, -E- includes units derived from ethylene oxide in combination with amounts of more complex -E- groups derived from other epoxides.

[0276]

In other embodiments, -E- consists predominantly of —CH2CH(CH3)— groups derived from propylene oxide. In certain embodiments, -E- includes units derived from propylene oxide in combination -E- groups derived ethylene oxide. In certain embodiments, -E- includes units derived from propylene oxide in combination with lesser amounts of more complex -E- groups derived from other epoxides.

[0277]

In certain embodiments, the polycarbonate polyol compositions described above include mixtures of several chain types. In general, these chain types may be divided into two categories: namely, a first category including chains denoted P1having two or more —OH end groups and a second category of chains denoted P2having only one —OH end group per chain. As described above, in some embodiments compositions of the present invention have at least 90% of the polymer chain ends terminating with —OH groups. As such, chains of the first category generally make up a predominance of the chains present in the compositions.

[0278]

Polymer chains in a given composition may arise from each of several different chain-initiating moieties present in a reaction mixture. In certain cases each of these chain types will have a distinct structure that differentiates it from other chain types present in the mixture that derive from other chain initiating moieties. The structures of each of several chain types are described below, and the ratios in which these components may be present are then described.

[0279]

The aliphatic polycarbonate compositions of the present invention include polymer chains derived from the chain transfer agents described hereinabove. In certain embodiments, these polymer chains are denoted P1. In some embodiments, where the chain transfer agent has a formula Y-A-(Y)n, as described above, polymer chains of type P1have the formula T-Y-A-(Y-T)n, wherein Y, A, and n are as defined above in the description of the chain transfer agents, and each -T is an aliphatic polycarbonate chain covalently bound to a Y group, where -T is as defined above.

[0280]

Chains of type P1may also derive from the polyfunctional initiating ligands L described hereinabove. In certain embodiments, where the initiating ligand has a formula Q′-A′-(Z′)n, as described above, such chains have the formula T-Q′-A′(Z′-T)n, wherein Q′, A′, Z′, and n are as defined above in the description of the initiating ligands, and each -T is an aliphatic polycarbonate chain covalently bound to a Q′ or Z′ group, where -T is as defined above.

[0281]

Additionally, chains of type P1may arise from an anion present on a co-catalyst. In certain embodiments, where the anion has a formula Q′-A′-(Z′)nas described above, such chains have the formula T-Q′-A′(Z′-T)n, wherein Q′, A′, Z′, and n are as defined above in the description of the co-catalyst anions, and each -T is an aliphatic polycarbonate chain covalently bound to a Q′ or Z′ group, where -T is as defined above.

[0282]

An additional category of P1chains may arise from water present in the reaction mixtures. In some circumstances, under polymerization conditions the water will ring-open an epoxide leading to formation of a glycol corresponding to one or more epoxides present in the reaction mixture. In certain embodiments, this glycol (or mixture of glycols if more than one type of epoxide is present) will lead to formation of chains of type P1ahaving the structure:

[0283]

    • wherein -E- is an optionally substituted C2unit derived from an epoxide, where E may represent a monomer unit derived from a single type of epoxide or from a mixture of two or more types of epoxide, and
    • p ranges from about 5 to about 10,000.

[0286]

In some embodiments, each of these sources of chains P1may have a different structure and the compositions may include several types of P1chain (e.g. type P1derived from the chain transfer agent, type P1′ derived from polyfunctional initiating ligands, and type P1″derived from polyfunctional anions present on a co-catalyst). In certain embodiments, the chain transfer agent, initiating ligand, and co-catalyst anions may have the same structure (or be ionic forms of the same structure). In these instances, the polymer compositions may comprise only one type of P1chain, or if water is present a mixture of a single type of P1chain along with some amount of P1a. In certain embodiments, a glycol corresponding to an epoxide present in the reaction mixture may be used as a chain transfer agent in which case, polymer chains P1arising from the chain transfer agent and P1aarising from water will be indistinguishable. In certain other embodiments, water may be rigorously excluded from the polymerization mixture in which case chains of type P1awill be substantially absent.

[0287]

Additionally, in certain embodiments polymer compositions of the present invention include polymer chains of type P2. These chains have only one OH end group. Chains of type P2may arise from monofunctional initiating ligands present on the metal complexes or from monofunctional anions present on ionic co-catalysts. In certain cases, such chains may also arise from spurious sources such as alcohols or halide ions present as impurities in the reaction mixtures. In certain embodiments, chains of type P2have a formula selected from the group consisting of:

[0288]


wherein:

    • X is a bound form of an anion capable of initiating one polymer chain;
    • E is an optionally substituted C2unit derived from an epoxide, where E may represent a monomer unit derived from one type of epoxide, or from a mixture of two or more types of epoxide, and
    • p ranges from about 5 to about 10,000.

[0292]

In certain embodiments of polymer chains of type P2, X comprises a halogen atom, an azide, an ester group, an ether group, or a sulfonic ester group.

[0293]

In some embodiments, polymer compositions of the present invention are characterized in that at least 90% of the chains ends are —OH. In certain embodiments, at least 90% of the chains in a polymer composition are of type P1. In certain embodiments, the chains of type P1are essentially all the same. In other embodiments, there are two or more distinct types of P1chain present. In certain embodiments, there are several types of P1chains present, but at least 80% of the P1chains have one structure with lesser amounts of one or more P1chain types making up the remaining 20%.

[0294]

In certain embodiments, polymer compositions of the present invention include more than 95% chains of type P1. In other embodiments, polymer compositions of the present invention include more than 97% chains of type P1. In certain embodiments, polymer compositions of the present invention include more than 99% chains of type P1.

[0295]

It should be noted that in certain embodiments, polymer compositions of the present invention are characterized in that at least 90% of the chains ends are —OH groups may include mixtures having less than 90% chains of type P1, as for example when a chain transfer agent capable of initiating three or more polymer chains is used. For example, where a triol is used as the chain transfer agent, if 80% of the chains result from initiation by the triol (3-OH end groups per chain) and the remaining 20% of chains have only one —OH end group, the composition as a whole will still contain greater than 90% OH end groups (92.3%).

[0296]

In certain embodiments, polymer compositions of the present invention include chains of type P1derived from diol chain transfer agents. In certain embodiments, these chains have the formula:

[0297]


where E and p are as defined above and -A- is an optionally substituted radical selected from the group consisting of: C2-30aliphatic, C2-30heteroaliphatic, 6- to 12-membered aryl, 3- to 12-membered heterocyclic, 5- to 12-membered heteroaryl.

[0298]

In other embodiments, -A- is a polymer selected from the group consisting of polyolefins, polyesters, polyethers, polycarbonates, polyoxymethylene and mixtures of two or more of these.

[0299]

In certain embodiments, polymer compositions of the present invention include chains of type P1derived from hydroxy acid chain transfer agents. In certain embodiments, these chains have the formula:

[0300]


where E and p are as defined above and -A- is an optionally substituted radical selected from the group consisting of: C2-30aliphatic, C2-30heteroaliphatic, 6- to 12-membered aryl, 3- to 12-membered heterocyclic, 5- to 12-membered heteroaryl.

[0301]

In certain embodiments, polymer compositions of the present invention include chains of type P1derived from diacid chain transfer agents. In certain embodiments, these chains have the formula:

[0302]


where E and p are as defined above and -A- is a covalent bond or an optionally substituted radical selected from the group consisting of: C2-30aliphatic, C2-30heteroaliphatic, 6- to 12-membered aryl, 3- to 12-membered heterocyclic, 5- to 12-membered heteroaryl.

[0303]

In certain embodiments, polymer compositions of the present invention include chains of type P1derived from trifunctional chain transfer agents. In certain embodiments, these chains have the formula:

[0304]


where E and p are as defined above each z is independently 0 or 1, and -A- is an optionally substituted radical selected from the group consisting of: C3-30aliphatic, C2-30heteroaliphatic, 6- to 12-membered aryl, 3- to 12-membered heterocyclic, 5- to 12-membered heteroaryl.

[0305]

In another aspect, the present invention encompasses materials made by cross-linking any of the above polycarbonate polyol polymers. In certain embodiments, such cross-linked materials comprise polyurethanes. In certain embodiments such polyurethanes encompass thermoplastics, foams, coatings and adhesives.

[0000]

III. Methods of Making Polycarbonate Polyols

[0306]

In a third aspect, the present invention encompasses methods for producing polycarbonate polyols.

[0307]

In some embodiments, the methods include the steps of: a) providing a reaction mixture including one or more epoxides and one or more chain transfer agents having a plurality of sites capable of supporting the chain growth of CO2epoxide copolymers; b) contacting the reaction mixture with a metal complex, the metal complex including a metal coordination compound having a permanent ligand set and at least one ligand that is a polymerization initiator in the presence of carbon dioxide; c) allowing the polymerization reaction to proceed until a desired molecular weight of polymer has been formed; and d) terminating the polymerization.

[0000]

III.a. Epoxides

[0308]

In some embodiments, the epoxide monomers provided at step (a) include any of the epoxides described hereinabove with regard to the polymer compositions of matter.

[0309]

In some embodiments, the epoxide monomers provided at step (a) of the above-described method have a structure:

[0310]

    • where, R21, R22, R23, and R24, are each independently selected from the group consisting of: —H; and an optionally substituted group selected from C1-30aliphatic; C6-14aryl; 3- to 12-membered heterocycle, and 5- to 12-membered heteroaryl, where any two or more of R21, R22, R23, and R24can be taken together with intervening atoms to form one or more optionally substituted 3- to 12-membered rings, optionally containing one or more heteroatoms.

[0312]

In certain embodiments, reaction mixtures include one or more epoxides selected from the group consisting of:

[0313]


wherein each Rxis, independently, selected from optionally substituted aliphatic, optionally substituted heteroaliphatic, optionally substituted aryl and optionally substituted heteroaryl.

[0314]

In certain embodiments, reaction mixtures include ethylene oxide. In other embodiments, reaction mixtures include propylene oxide. In other embodiments, reaction mixtures include cyclohexene oxide. In other embodiments, reaction mixtures include epichlorohydrin. In certain embodiments, reaction mixtures include a glycidyl ether or glycidyl ester. In certain embodiments, reaction mixtures include phenyl glycidyl ether. In certain embodiments, reaction mixtures include t-butyl glycidyl ether.

[0315]

In certain embodiments, reaction mixtures include ethylene oxide and propylene oxide. In certain embodiments, reaction mixtures include propylene oxide along with from about 0.1 to about 10% of a C4-C30epoxide. In certain embodiments, reaction mixtures include propylene oxide along with from about 0.1 to about 10% of a glycidyl ether. In certain embodiments, reaction mixtures include propylene oxide along with from about 0.1 to about 10% of a glycidyl ester. In certain embodiments, reaction mixtures include ethylene oxide along with from about 0.1 to about 10% of a glycidyl ether. In certain embodiments, reaction mixtures include ethylene oxide along with from about 0.1 to about 10% of a glycidyl ester. In certain embodiments, reaction mixtures include ethylene oxide along with from about 0.1 to about 10% of a C4-C30epoxide.

[0316]

In certain embodiments, reaction mixtures include epoxides derived from naturally occurring materials such as epoxidized resins or oils. Examples of such epoxides include, but are not limited to: Epoxidized Soybean Oil; Epoxidized Linseed Oil; Epoxidized Octyl Soyate; Epoxidized PGDO; Methyl Epoxy Soyate; Butyl Epoxy Soyate; Epoxidized Octyl Soyate; Methyl Epoxy Linseedate; Butyl Epoxy Linseedate; and Octyl Epoxy Linseedate. These and similar materials are available commercially from Arkema Inc. under the trade name Vikoflex®. Examples of such commerically available Vikoflex® materials include Vikoflex 7170 Epoxidized Soybean Oil, Vikoflex 7190 Epoxidized Linseed, Vikoflex 4050 Epoxidized Octyl Soyate, Vikoflex 5075 Epoxidized PGDO, Vikoflex 7010 Methyl Epoxy Soyate, Vikoflex 7040 Butyl Epoxy Soyate, Vikoflex 7080 Epoxidized Octyl Soyate, Vikoflex 9010 Methyl Epoxy Linseedate, Vikoflex 9040 Butyl Epoxy Linseedate, and Vikoflex 9080 Octyl Epoxy Linseedate. In certain embodiments, the polycarbonate polyols of the present invention incorporate epoxidized fatty acids.

[0317]

In certain embodiments of the present invention, reaction mixtures include epoxides derived from alpha olefins. Examples of such epoxides include, but are not limited to those derived from C10alpha olefin, C12alpha olefin, C14alpha olefin, C16alpha olefin, C18alpha olefin, C20-C24alpha olefin, C24-C28alpha olefin and C30+ alpha olefins. These and similar materials are commercially available from Arkema Inc. under the trade name Vikolox®. Commerically available Vikolox® materials include those depicted in Table 4, below. In certain embodiments, reaction mixtures including alpha olefins also include other simpler epoxide monomers including, but not limited to: ethylene oxide, propylene oxide, butylene oxide, hexene oxide, cyclopentene oxide and cyclohexene oxide.

[0000]

III.b. Chain Transfer Agents

[0318]

In certain embodiments, a chain transfer agent provided in step (a) of the above method is any of the chain transfer agents described hereinabove or mixtures of two or more of these.

[0319]

In some embodiments, the chain transfer agents provided in step (a) of the above methods include one or more polyhydric alcohols. In certain embodiments, a polyhydric alcohol is a diol. In certain embodiments, diols include but are not limited to: 1,2-ethanediol, 1,2-propanediol, 1,3-propanediol, 1,2-butanediol, 1,3-butanediol, 1,4-butanediol, 1,5-pentanediol, 2,2-dimethylpropane-1,3-diol, 2-butyl-2-ethylpropane-1,3-diol, 1,5-hexanediol, 1,6-hexanediol, 1,8-octanediol, 1,10-decanediol, 1,12-dodecanediol, 2,2,4,4-tetramethylcyclobutane-1,3-diol, 1,3-cyclopentanediol, 1,2-cyclohexanediol, 1,3-cyclohexanediol, 1,4-cyclohexanediol, 1,2-cyclohexanedimethanol, 1,3-cyclohexanedimethanol, 1,4-cyclohexanedimethanol, and 1,4-cyclohexanediethanol.

[0320]

Other examples include the polyalkylene glycols such as: diethylene glycol, triethylene glycol, tetraethylene glycol, higher poly(ethylene glycol), such as those having number average molecular weights of from 220 to about 2000 g/mol, dipropylene glycol, tripropylene glycol, and higher poly(propylene glycol) such as those having number average molecular weights of from 234 to about 2000 g/mol.

[0321]

In certain embodiments, diol chain transfer agents include hydroxyl-terminated polyolefins. Such materials include polymers sold by Sartomer Inc. under the trade name Krasol®. In other embodiments, diol chain transfer agents can include hydroxyl-terminated polyisobutylenes (PIB-diols and -triols) such as Polytail® H or Polytail® HA from Mitsubish Chemical Co. Other examples include hydroxyl-terminated polybutadienelstyrene (HTBS).

[0322]

Yet other examples of suitable diols that may be provided in step (a) include 4,4′-(1-methylethylidene) bis[cyclohexanol], 2,2′-methylenebis[phenol], 4,4′-methylenebis[phenol], 4,4′-(phenylmethylene)bis[phenol], 4,4′-(diphenylmethylene)bis[phenol], 4,4′-(1,2-ethanediyl)bis[phenol], 4,4′-(1,2-cyclohexanediyl)bis[phenol], 4,4′-(1,3-cyclohexanediyl)bis[phenol], 4,4′-(1,4-cyclohexanediyl)bis[phenol], 4,4′-ethylidenebis[phenol], 4,4′-(1-phenylethylidene)bis[phenol], 4,4′-propylidenebis[phenol], 4,4′-cyclohexylidenebis[phenol], 4,4′-(1-methylethylidene)bis[phenol], 4,4′-(1-methylpropylidene)bis[phenol], 4,4′-(1-ethylpropylidene)bis[phenol], 4,4′-cyclohexylidenebis[phenol], 4,4′-(2,4,8,10-tetraoxaspiro[5.5]undecane-3,9-diyldi-2, 1-ethanediyl)bis[phenol], 1,2-benzenedimethanol, 1,3-benzenedimethanol, 1,4-benzenedimethanol, 4,4′-[1,3-phenylenebis(1-methylethylidene)]bis[phenol], 4,4′-[1,4-phenylenebis(1-methylethylidene)]bis[phenol], phenolphthalein, 4,4′-(1-methylidene)bis[2-methylphenol], 4,4′-(1-methylethylidene)bis[2-(1-methylethyl)phenol], 2,2′-methylenebis[4-methyl-6-(1-methyl ethyl)phenol],

[0323]

In certain embodiments, a chain transfer agent provided at step (a) is a polyhydric phenol derivative. In certain embodiments, a polymerization initiator is selected from the group consisting of:

[0324]

[0325]

In some embodiments, a polyhydric alcohol provided as a chain transfer agent in step (a) of the above method is a triol, a tetraol or a higher polyol. Suitable triols may include, but are not limited to: aliphatic triols having a molecular weight less than 500 such as trimethylolethane; trimethylolpropane; glycerol; 1,2,4-butanetriol; 1,2,6-hexanetriol; tris(2-hydroxyethyl)isocyanurate; hexahydro-1,3,5-tris(hydroxyethyl)-s-triazine; 6-methylheptane-1,3,5-triol; polypropylene oxide triol; and polyester triols.

[0326]

In certain other embodiments, a polyol is a tetraol. Examples of suitable tetraols include, but are not limited to: erythritol, pentaerythritol; 2,2′-dihydroxymethyl-1,3-propanediol; and 2,2′-(oxydimethylene) bis-(2-ethyl-1,3-propanediol).

[0327]

In still other embodiments, a polyol is a carbohydrate. Examples of suitable carbohydrates include sugar alcohols, monosaccharides, disaccharides, oligosaccharides and polysaccharides and higher oligomers such as starch and starch derivatives.

[0328]

In some embodiments, one —OH group of a diol is phenolic and the other is aliphatic. In other embodiments each hydroxy group is phenolic. In certain embodiments, the chain transfer agent is an optionally substituted catechol, resorcinol or hydroquinone derivative.

[0329]

In some embodiments where a Y-group is —OH, the —OH group is an enol tautomer of a carbonyl group. In some embodiments where a Y group is —OH, the —OH group is a carbonyl hydrate or a hemiacetal.

[0330]

In certain embodiments, a chain transfer agent provided at step (a) includes a hydroxy acid. In certain embodiments, a chain transfer agent includes a diacid. In certain embodiments, a chain transfer agent includes a compound selected from the group consisting of:

[0331]

[0332]

In certain embodiments, diacid chain transfer agents include carboxy terminated polyolefin polymers. In certain embodiments, carboxy terminated polyolefins include materials such as NISSO-PB C-series resins produced by Nippon Soda Co. Ltd.

[0333]

In certain embodiments, a provided chain transfer agent is a hydroxy acid. In certain embodiments, a hydroxy acid is selected from the group consisting of:

[0334]

[0335]

In certain embodiments where the provided chain transfer agent includes an acidic functional group, the compound is provided as a salt. In certain embodiments a carboxylic chain transfer agent is provided as an ammonium salt.

[0000]

III.c. Polymerization Catalysts

[0336]

In some embodiments, a provided metal complex is a polymerization catalyst. In certain embodiments, a polymerization catalyst with which the reaction mixture is contacted in step (b) of the above-described method include any one or more of the catalysts previously described herein.

[0337]

In certain embodiments, the metal complexes of step (b) have the formula Lp-M-(LI)m, where L, is a permanent ligand set, M is a metal atom, and LIis a ligand that is a polymerization initiator, and m is an integer between 0 and 2, inclusive representing the number of initiating ligands present.

[0338]

In certain embodiments, the metal complexes used in step (b) of the method have a structure selected from the group consisting of: is selected from the group consisting of:

[0339]

[0340]

wherein:

[0341]

M, Rc, R′, LI, m R4a, R4a′, R5a, R5a′, R6a, R6a′, R7a, and R7aare as defined above.

[0342]

In certain embodiments of metal complexes used in step (b), have a structure selected from the group consisting of:

[0343]

[0344]

where R1athrough R7a′ are as defined above.

[0345]

In certain embodiments of metal complexes used in step (b), have a structure selected from the group consisting of:

[0346]

[0347]

where R5a, R5a′, R7a, and R7a′ are as defined above. In certain embodiments, each pair of substituents on the salicaldehyde portions of the complexes above are the same (i.e. R5a& R5a′ are the same and R7a& R7a′ are the same). In other embodiments, at least one of R5a& R5a′or R7a& R7aare different from one another.

[0348]

In certain embodiments, a metal complex used in step (b) of the method has formula III:

[0349]

[0350]

In certain embodiments, a metal complex used in step (b) of the method has formula IV:

[0351]

[0352]

In certain embodiments, a metal complex used in step (b) of the method has formula V:

[0353]

[0354]

wherein:

    • Rc, Rd, LI, m, q, R4, R4′, R5, R5′, R6, R6′, R7, and R7′are as described above, and where [R1and R4], [R1′ and R4′] and any two adjacent R4, R4′, R5, R5′, R6, R6′, R7, and R7′groups can optionally be taken together with intervening atoms to form one or more rings optionally substituted with one or more R20groups.

[0356]

In certain embodiments, wherein a provided metal complex has formula III, R1, R1′, R4, R4′, R6, and R6′ are each —H. In certain embodiments, wherein the metal complex has formula III, R5, R5′, R7and R7′ are each optionally substituted C1-C12aliphatic.

[0357]

In certain methods wherein a provided metal complex has formula III, R4, R4′, R5, R5′, R6, R6′, R7, and R7′ are each independently selected from the group consisting of: —H, —Si(R13)3; —Si[(CH2)kR22]z(R13)(3-z); methyl, ethyl, n-propyl, i-propyl, n-butyl, sec-butyl, t-butyl, isoamyl, t-amyl, thexyl, trityl, —C(CH3)Ph2, —(CH2)pC[(CH2)pR22]zH(3-z), and —Si(R13)(3-z)[(CH2)kR22]z, where p is an integer from 0 to 12 inclusive and R22is selected from the group consisting of: a heterocycle; an amine; a guanidine; —N+(R11)3X; —P+(R11)3X; —P(R11)2═N+═P(R11)3X; —As+(R11)3X, and optionally substituted pyridinium.

[0358]

In certain methods wherein a provided metal complex has formula III, R7is selected from the group consisting of —H; methyl; ethyl; n-propyl; i-propyl; n-butyl; sec-butyl; t-butyl; isoamyl; t-amyl; thexyl; and trityl; and R5is selected from the group consisting of —(CH2)pCH(3-z)[(CH2)pR22]zand —Si(R13)(3-z)[(CH2)kR22]z.

[0359]

In certain methods, a provided metal complex has formula IV, R1, R1′, R4, R4′, R6, and R6′ are each —H. In certain embodiments, wherein a complex is a metallosalenate complex of formula IV, R5, R5′, R7and R7′are each optionally substituted C1-C12aliphatic.

[0360]

In certain methods wherein a metal complex has formula IV, R4, R4′, R5, R5′, R6, R6′, R7, and R7′are each independently selected from the group consisting of: —H, —Si(R13)3; —Si(R13)(3-z)[(CH2)kR22]z; methyl, ethyl, n-propyl, i-propyl, n-butyl, sec-butyl, t-butyl, isoamyl, t-amyl, thexyl, trityl, —(CH2)pC[(CH2)pR22]zH(3-z),

[0361]

In certain methods wherein a metal complex has formula IV, R7is selected from the group consisting of —H; methyl; ethyl; n-propyl; i-propyl; n-butyl; sec-butyl; t-butyl; isoamyl; t-amyl; thexyl; and trityl; and R5is selected from the group consisting of —(CH2)pCH(3-z)[(CH2)pR22]zand —Si(R13)(3-z)[(CH2)kR22]z.

[0362]

In methods wherein a metal complex has formula V, R1, R1′, R4, R4′, R6, and R6′are each —H. In certain embodiments, wherein a complex is a metallosalenate complex of formula V, R5, R5′, R7and R7′ are each optionally substituted C1-C12aliphatic.

[0363]

In certain methods wherein a metal complex has formula V, R4, R4′, R5, R5′, R6, R6′, R7, and R7′are each independently selected from the group consisting of: —H, —Si(R13)3; —Si[(CH2)kR21]z(R13)(3-z); methyl, ethyl, n-propyl, i-propyl, n-butyl, sec-butyl, t-butyl, isoamyl, t-amyl, thexyl, trityl, —(CH2)pCH(3-z)[(CH2)pR22]zand —Si(R13)(3-z)[(CH2)kR22],

[0364]

In certain methods wherein a metal complex has formula V, R7is selected from the group consisting of —H; methyl; ethyl; n-propyl; i-propyl; n-butyl; sec-butyl; t-butyl; isoamyl; t-amyl; thexyl; and trityl; and R5is selected from the group consisting of —(CH2)pCH(3-z)[(CH2)pR22]zand —Si(R13)(3-z)[(CH2)kR22]z.

[0365]

In some embodiments, a metal complex has a structure Lp-M-(LI)m, where Lp-M is selected from the group consisting of:

[0366]

[0367]

It is generally desirable to maintain the concentration of a metal complex in a polymerization at a low level relative to the epoxide. In certain embodiments, the molar ratio of metal complex to epoxide ranges from about 1:100 to about 1:1,000,000. In certain embodiments, the ratio ranges from about 1:5,000 to about 1:500,000. In some embodiments, the ratio ranges from about 1:10,000 to about 1:200,000. In other embodiments, the ratio ranges from about 1:20,000 to about 1:100,000.

[0000]

III.d. Co-Catalysts

[0368]

In some embodiments, methods of the present invention include the use of at least one co-catalyst. In some embodiments, a co-catalyst is present at step (b). In certain embodiments, a co-catalyst is any one or more of the co-catalytic species described above in the description of the polymerization systems of the present invention. In certain embodiments, a co-catalyst is selected from the group consisting of: amines, guanidines, amidines, phosphines, nitrogen-containing heterocycles, ammonium salts, phosphonium salts, arsonium salts, bisphosphine ammonium salts, and a combination of any two or more of the above. In certain embodiments, a co-catalyst is covalently linked to the permanent ligand set of the metal complex.

[0369]

In embodiments where a method includes a co-catalyst that is an “onium” salt, there is necessarily an anion present to balance the charge of the salt. In certain embodiments, this is any anion. In certain embodiments, an anion is a nucleophile. In some embodiments, an anion is a nucleophile capable of ring-opening an epoxide. In some embodiments, an anion is selected from the group consisting of: azide, halides, alkyl sulfonates, carboxylates, alkoxides, and phenolates. In certain embodiments, methods include selected a catalyst and co-catalyst such that the initiating ligand on the metal complex and an anion present to balance the charge of a cationic co-catalyst are the same molecule.

[0000]

III.e. Reaction Conditions

[0370]

In certain embodiments, the steps of any of the above methods further comprise one or more solvents. In certain other embodiments, the polymerization steps are performed in neat epoxide without the addition of solvent.

[0371]

In certain methods, where a polymerization solvent is present, the solvent is an organic solvent. In certain embodiments, the solvent is a hydrocarbon. In certain embodiments, the solvent is an aromatic hydrocarbon. In certain embodiments, the solvent is an aliphatic hydrocarbon. In certain embodiments, the solvent is a halogenated hydrocarbon.

[0372]

In certain embodiments, the solvent is an ether. In certain embodiments, the solvent is an ester. In certain embodiments the solvent is a ketone.

[0373]

In certain embodiments suitable solvents include, but are not limited to: Methylene Chloride, Chloroform, 1,2-Dichloroethane, Propylene Carbonate, Acetonitrile, Dimethylformamide, N-Methyl-2-pyrrolidone, Dimethyl Sulfoxide, Nitromethane, Caprolactone, 1,4-Dioxane, and 1,3-Dioxane.

[0374]

In certain other embodiments, suitable solvents include, but are not limited to: Methyl Acetate, Ethyl Acetate, Acetone, Methyl Ethyl Ketone, Propylene Oxide, Tretrahydrofuran, Monoglyme Triglyme, Propionitrile, 1-Nitropropane, Cyclohexanone.

[0375]

In certain embodiments, any of the above methods comprise aliphatic oxide present in amounts concentrations between about 0.5 M to about 20 M or the neat concentration of the aliphatic oxide. In certain embodiments, aliphatic oxide is present in amounts between about 0.5 M to about 2 M. In certain embodiments, aliphatic oxide is present in amounts between about 2 M to about 5 M. In certain embodiments, aliphatic oxide is present in amounts between about 5 M to about 20 M. In certain embodiments, aliphatic oxide is present in an amount of about 20 M. In certain embodiments, liquid aliphatic oxide comprises the reaction solvent.

[0376]

In certain embodiments, CO2is present at a pressure of between about 30 psi to about 800 psi. In certain embodiments, CO2is present at a pressure of between about 30 psi to about 500 psi. In certain embodiments, CO2is present at a pressure of between about 30 psi to about 400 psi. In certain embodiments, CO2is present at a pressure of between about 30 psi to about 300 psi. In certain embodiments, CO2is present at a pressure of between about 30 psi to about 200 psi. In certain embodiments, CO2is present at a pressure of between about 30 psi to about 100 psi. In certain embodiments, CO2is present at a pressure of between about 30 psi to about 80 psi. In certain embodiments, CO2is present at a pressure of about 30 psi. In certain embodiments, CO2is present at a pressure of about 50 psi. In certain embodiments, CO2is present at a pressure of about 100 psi. In certain embodiments, the CO2is supercritical.

[0377]

In certain embodiments of the above methods the reaction is conducted at a temperature of between about 0° C. to about 150° C. In certain embodiments, the reaction is conducted at a temperature of between about 23° C. to about 100° C. In certain embodiments, the reaction is conducted at a temperature of between about 23° C. and about 80° C. In certain embodiments, the reaction to be conducted at a temperature of between about 23° C. to about 50° C.

[0378]

In certain embodiments, a polymerization step of any of the above methods produces cyclic carbonate as a by-product in amounts of less than about 20%. In certain embodiments, cyclic carbonate is produced as a by-product in amounts of less than about 15%. In certain embodiments, cyclic carbonate is produced as a by-product in amounts of less than about 10%. In certain embodiments, cyclic carbonate is produced as a by product in amounts of less than about 5%. In certain embodiments, cyclic carbonate is produced as a by-product in amounts of less than about 1%. In certain embodiments, the reaction does not produce any detectable by-products (e.g., as detectable by1H-NMR and/or liquid chromatography (LC)).

[0379]

In certain embodiments, a polymerization time is between about 30 minutes and about 48 hours. In some embodiments, the reaction is allowed to process for less than 24 hours. In some embodiments, the reaction is allowed to progress for less than 12 hours. In some embodiments, the reaction is allowed to process for between about 4 and about 12 hours.

[0380]

In certain embodiments, a polymerization reaction is allowed to proceed until the number average molecular weight of the polymers formed is between about 500 and about 400,000 g/mol. In certain embodiments, the number average molecular weight is allowed to reach a value between 500 and 40,000 g/mol. In other embodiments, the number average molecular weight is allowed to reach a value between 500 and 20,000 g/mol. In certain embodiments, the number average molecular weight is allowed to reach a value between 500 and 10,000 g/mol. In other embodiments, the number average molecular weight is allowed to reach a value between 500 and 5,000 g/mol. In other embodiments, the number average molecular weight is allowed to reach a value between 500 and 2,500 g/mol. In other embodiments, the number average molecular weight is allowed to reach a value between 1,000 and 5,000 g/mol.

[0381]

In certain embodiments, provided methods further include the step of sampling the reaction and determining the molecular weight of the polymer at a given time. In certain embodiments, this sampling and molecular weight determination are performed at two or more time intervals. In certain embodiments a plot of molecular weight gain over time is constructed and the method further includes the step of determining from this plot the time at which a desired molecular weight polymer will be present. In certain embodiments, the time at which the polymerization is ended is determined by this method.

[0382]

In certain embodiments, a polymerization reaction proceeds until between about 20% and about 100% of the provided epoxide is consumed. In certain embodiments, the conversion is between about 40% and about 90%. In certain embodiments, the conversion is at least 50%. In other embodiments, the conversion is at least 60%, at least 80% or at least 85%. In certain embodiments, at least 80% of the provided epoxide is converted to polymer.

[0383]

In certain embodiments, a method further includes the step of choosing the ratios at which the catalyst, the chain transfer agent and the epoxide substrate are provided. In certain embodiments, these ratios are selected to provide high epoxide conversion while providing polyol of the desired molecular weight in a selected length of time. In some embodiments, this selection of ratios includes the substeps of: i) selecting a desired length of time for which the reaction is to be run, ii) multiplying the selected length of time for which the polymerization reaction is to run by the turnover frequency of the catalyst under the reaction conditions iii) multiplying this result by the desired mol % conversion of epoxide, and iv) using the inverse of this result as the ratio of catalyst to epoxide used for the reaction. In some embodiments, the ratio of chain transfer agent to catalyst is determined by the additional following steps; v) taking the value from step (iii) above and multiplying this result by the molecular weight of the repeating unit of the polycarbonate; vi) selecting a desired molecular weight for the polyol and dividing the result from step (v) by this number; and vii) subtracting the number of chains produced per catalyst molecule from the result of step (vi) and taking the result as the ratio of chain transfer agent to catalyst used in step (1).

[0384]

To make the steps of the above-described method clear, the following example is provided: in a copolymerization of propylene oxide and CO2using a catalyst that has a TOF of 1000 h−1and which produces two polymer chains per catalyst molecule, a polymer with Mn of 2,000 g/mol is to be produced and it is desired that 80% of the provided epoxide is converted during a reaction time of 10 hours, one would perform the following steps to obtain the required ratios: First, performing taking 10 hours as the selected time interval and performing step (ii) of multiplying the selected interval of 10 hours, by the TOF of 1000 hr−1gives 10,000 turnovers per catalyst molecule; next multiplying this number by the desired 80% conversion (step (iii)) and then inverting (step (iv)) provides a value of 1.25×10−4corresponding to a catalyst to epoxide ratio of 1:8,000.

[0385]

Moving next to determination of the chain transfer agent loading, at step (iv) one multiplies the result of step (iii) by the molecular weight of the repeating unit of the polycarbonate (in this case C4H6O3=102 g/mol) and dividing by the desired Mn of 2,000 to give a value of 408. Subtracting the two chains per catalyst from this result in a chain transfer to catalyst ratio of 406:1. Therefore, for this example the molar ratio of catalyst to epoxide to chain transfer agent should be approximately 1:8,000:406.

[0386]

It will be appreciated that the method described above is simplified in certain respects. For example, the calculation described assumes that the reaction rate is linear throughout the duration of the polymerization. The calculation described also dismisses the contribution that the mass of the chain initiator adds to the molecular weight of the polymer chains. In certain embodiments, particularly those where a polymeric chain transfer agent such as a polyether is used, or where a very low molecular weight oligomer is produced, the contribution of the mass of the initiator to the Mn of the polymer may be significant. It will be understood by those skilled in the art that additional chain transfer agent can be added to account for this effect, and more specifically, that the calculations described above can be modified to account for this effect. Similarly, more detailed kinetic data could be used to account for changes in the reaction rate over time as the reaction proceeds. For instances where a mixture of epoxides is present, the molecular weight of the repeating unit may be approximated by using a weighted average of the molecular weights of the epoxides present in the mixture. This could be further refined by analyzing copolymer made under similar conditions to determine the mole percent incorporation of the different monomers (for example by using NMR spectroscopy) since all epoxides may not be incorporated into polymer with equal efficiency. These and other modifications will be readily apprehended by the skilled artisan and are specifically encompassed by the methods provided herein.

[0387]

In certain embodiments, it has been found that the turnover frequency of some catalysts decreases as the ratio of chain transfer agent to catalyst increases. This effect can be particularly noticeable at ratios higher than about 100:1. In these instances, the above-described methods may not produced the expected Mn and monomer conversion in a given time interval. In such cases it may be necessary to measure the TOF of the catalyst at various chain transfer agent ratios prior to performing the calculations described above. In general, such cases require the reaction interval be lengthened by an amount proportional to the falloff in catalyst activity at the catalyst to chain transfer agent ratio used, or in some embodiments the catalyst loading be increased by a compensatory amount.

[0388]

As noted above, water present in the reaction mixtures of the described methods can also act as a chain transfer agent. In certain embodiments, the calculations described above further include the method of measuring the water content of the reaction (preferably after the reaction vessel has been charged with epoxide, chain transfer agent and any solvent to be used, but prior to addition of the catalyst). The molar equivalents of water relative to catalyst are then calculated and the ratio of chain transfer agent to catalyst can be decreased accordingly. If this is not done and there is significant water present, the Mn will be lower than expected at a given % conversion.

[0000]

IV. Higher Polymers

[0389]

The present disclosure encompasses higher polymers derived from the polycarbonate polyols described hereinabove. In certain embodiments, such higher polymers are formed by reacting the polyols with suitable cross-linking agents. In certain embodiments, cross linkers including functional groups reactive toward hydroxyl groups are selected, for example, from epoxy and isocyanate groups. In certain embodiments, such cross linking agents are polyisocyanates.

[0390]

In some embodiments, a difunctional or higher-functionality isocyanate is selected from di-isocyanates, the biurets and cyanurates of diisocyanates, and the adducts of diisocyanates to polyols. Suitable diisocyanates have generally from 4 to 22 carbon atoms. The diisocyanates are typically selected from aliphatic, cycloaliphatic and aromatic diisocyanates, for example 1,4-diisocyanatobutane, 1,6-diisocyanatohexane, 1,6-diisocyanato-2,2,4-trimethylhexane, 1,6-diisocyanato-2,4,4-trimethylhexane, 1,2-, 1,3- and 1,4-diisocyanatocyclohexane, 2,4- and 2,6-diisocyanato-1-methylcyclohexane, 4,4′-bis(isocyanatocyclohexyl)methane, isophorone diisocyanate (=1-isocyanato-3,3,5-trimethyl-5-isocyanatomethylcyclohexane), 2,4- and 2,6-tolylene diisocyanate, tetramethylene-p-xylylene diisocyanate (=1,4-bis(2-isocyanatoprop-2-yl)benzene), 4,4′-diisocyanatodiphenylmethane, preferably 1,6-diisocyanatohexane diisocyanatohexane and isophorone diisocyanate, and mixtures thereof.

[0391]

In certain embodiments, crosslinking compounds comprise the cyanurates and biurets of aliphatic diisocyanatcs. In certain embodiments, crosslinking compounds are the di-isocyanurate and the biuret of isophorone diisocyanate, and the isocyanate and the biuret of 1,6-diisocyanatohexane. Examples of adducts of diisocyanates to polyols are the adducts of the abovementioned diisocyanates to glycerol, trimethylolethane and trimethylolpropane, for example the adduct of tolylene diisocyanates to trimethylolpropane, or the adducts of 1,6-diisocyanatohexane or isophorone diisocyanate to trimethylpropane and/or glycerol.

[0392]

In some embodiments, a polyisocyanate used, may, for example, be an aromatic polyisocyanate such as tolylene diisocyanate, diphenylmethane diisocyanate or polymethylene polyphenyl isocyanate, an aliphatic polyisocyanate such as hexamethylene diisocyanate, xylylene diisocyanate, dicyclohexylmethane diisocyanate, lysine diisocyanate or tetramethylxylylene diisocyanate, an alicyclic polyisocyanate such as isophorone diisocyanate, or a modified product thereof.

[0393]

In some embodiments, a modified product of a polyisocyanate is a prepolymer modified product which is a reaction product of a low molecular weight diol with a low molecular weight triol, a buret product which is a reaction product with water, or a trimer having an isocyanurate skeleton.

[0394]

The isocyanate group-terminated prepolymer can be produced by reacting a stoichiometrically excess amount of a polyisocyanate to the polyol composition. It can be produced by thermally reacting the polyol composition with the polyisocyanate at a temperature of from 60 to 100° C. for from 1 to 30 hours in a dry nitrogen stream in the presence or absence of a solvent and optionally in the presence of a urethane-forming catalyst. In some embodiments, a urethane-forming catalyst is an organometallic compound of tin, lead or titanium. In some embodiments a urethane-forming catalyst is an organic tin compound, such as dibutyltin dilaurate, dibutyltin dioctoate or stannous octoate.

[0395]

An isocyanate group-terminated prepolymer of the present invention can be used for uses known in the art and familiar to the skilled artisan. In some embodiments, it can be used for a humidity curable composition which is cured by a reaction with moisture in air, a two-part curable composition to be reacted with a curing agent such as a polyamine, a polyol or a low molecular weight polyol, a casting polyurethane elastomer, or other applications.

[0396]

The present invention also provides a polyurethane resin obtained by reacting the above polyol composition with a polyisocyanate. Such a polyurethane resin can be produced by a known method, and a curing agent such as a polyamine or a low molecular polyol, or the above mentioned urethane-forming catalyst may optionally be used.

[0397]

In the production of polyurethanes, polyols of the invention may be reacted with the polyisocyanates using conventional techniques that have been fully described in the prior art. Depending upon whether the product is to be a homogeneous or microcellular elastomer, a flexible or rigid foam, an adhesive, coating or other form, the reaction mixture may contain other conventional additives, such as chain-extenders, for example 1,4-butanediol or hydrazine, catalysts, for example tertiary amines or tin compounds, surfactants, for example siloxane-oxyalkylene copolymers, blowing agents, for example water and trichlorofluoromethane, cross-linking agents, for example triethanolamine, fillers, pigments, fire-retardants and the like.

[0398]

To accelerate the reaction between the isocyanate-reactive groups of the polyol resin and the isocyanate groups of the crosslinker, it is possible to use known catalysts, for example, dibutyltin dilaurate, tin(II) octoate, 1,4-diazabicyclo[2.2.2]-octane, or amines such as triethylamine. These are typically used in an amount of from 10−5to 10−2g, based on the weight of the crosslinker.

[0399]

The crosslinking density can be controlled by varying the functionality of the polyisocyanate, the molar ratio of the polyisocyanate to the polyol resin, or by additional use of monofunctional compounds reactive toward isocyanate groups, such as monohydric alcohols, e.g. ethylhexanol or propylheptanol.

[0400]

A crosslinker is generally used in an amount which corresponds to an NCO:OH equivalents ratio of from 0.5 to 2, preferably from 0.75 to 1.5 and most preferably from 0.8 to 1.2.

[0401]

Suitable crosslinking agents are also epoxy compounds having at least two epoxide groups in the molecule, and their extension products formed by preliminary extension (prepolymers for epoxy resins, as described, for example in Ullmann's Encyclopedia of Industrial Chemistry, 6th edition, 2000, Electronic Release, in the chapter “Epoxy Resins”). Epoxy compounds having at least two epoxide groups in the molecule include, in particular:

[0402]

(i) Polyglycidyl and poly(β-methylglycidyl) esters which are obtainable by reacting a compound having at least two carboxyl groups, such as an aliphatic or aromatic polycarboxylic acid, with epichlorohydrin or beta-methylepichlorohydrin. The reaction is effected, preferably, in the presence of a base. Suitable aliphatic polycarboxylic acids are oxalic acid, succinic acid, glutaric acid, adipic acid, pimelic acid, azelaic acid, dimerized or trimerized linolenic acid, tetrahydrophthalic acid, hexahydrophthalic acid or 4-methylhexahydrophthalic acid. Suitable aromatic polycarboxylic acids are, for example, phthalic acid, isophthalic acid or terephthalic acid.

[0403]

(ii) Polyglycidyl or poly(β-methylglycidyl) ethers which derive, for example, from acyclic alcohols, such as ethylene glycol, diethylene glycol, poly(oxyethylene) glycols, propane-1,2-diol, poly(oxypropylene) glycols, propane-1,3-diol, butane-1,4-diol, poly(oxytetramethylene) glycols, pentane-1,5-diol, hexane-1,6-diol, hexane-2,4,6-triol, glycerol, 1,1,1-trimethylolpropane, pentaerythritol, sorbitol; or cyclic alcohols such as 1,4-cyclohexanedimethanol, bis(4-hydroxycyclohexyl)methane or 2,2-bis(4-hydroxycyclohexyl)propane; or comprise aromatic rings, such as N,N-bis(2-hydroxyethyl)aniline or p,p-bis(2-hydroxyethylamino)diphenylmethane. The glycidyl ethers may also derive from monocyclic phenols such as resorcinol or hydroquinone, or polycyclic phenols, such as bis(4-hydroxyphenyl)methane, 4,4′-dihydroxybiphenyl, bis(4-hydroxyphenyl) sulfone, 1,1,2,2-tetrakis(4-hydroxyphenyl)ethane, 2,2-bis(4-hydroxyphenyl)propane, 2,2-bis(3,5-dibromo-4-hydroxyphenyl)propane, or from novolaks which are obtainable by condensing aldehydes, such as formaldehyde, acetaldehyde, chloral or furfural, with phenols, such as phenol, 4-chlorophenol, 2-methylphenol, 4-tert-butylphenol or bisphenols.

[0404]

(iii) Poly(N-glycidyl) compounds which are obtainable by dehydrochlorinating the reaction products of epichlorohydrin with amines which have at least two amine hydrogen atoms, such as aniline, n-butylamine, bis(4-aminophenyl)methane, m-xylylenediamine or bis(4-methylaminophenyl)methane. The poly(N-glycidyl) compounds also include triglycidyl isocyanurates, N,N′-diglycidyl derivatives of alkyleneureas such as ethyleneurea or 1,3-propyleneurea, and the diglycidyl derivatives or hydantoins such as 5,5-dimethylhydantoin.

[0405]

(iv) Poly(S-glycidyl) compounds such as di-S-glycidyl derivatives which derive from dithiols, such as ethane-1,2-dithiol or bis(4-mercaptomethylphenyl) ether.

[0406]

(v) Cycloaliphatic epoxy compounds such as bis(2,3-epoxycyclopentyl) ether, 2,3-epoxycyclopentyl glycidyl ether, 1,2-bis(2,3-epoxycyclopentyloxy)ethane or 3,4-epoxycyclohexylmethyl 3′,4′-epoxycyclohexanecarboxylate; or mixed cycloaliphatic-aliphatic epoxy compounds such as limonene diepoxide.

[0407]

In some embodiments, the present disclosure encompasses higher polymers formed with polyol resins of the present invention that additionally comprise a stiffening polymer which comprises (meth)acryloyl and/or vinylaromatic units. The stiffening is obtainable by free-radically polymerizing (meth)acrylic monomers or vinylaromatic monomers. Examples of suitable monomers are styrene, ring-alkylated styrenes with preferably C1-4alkyl radicals such as a-methylstyrene, p-methylstyrene, acrylonitrile, methacrylonitrile, acrylamide or methacrylamide, alkyl acrylates and methacrylates having from 1 to 4 carbon atoms in the alkyl radical, in particular methyl methacrylate. Preference is given to using monomers and monomer mixtures which give rise to a polymer or copolymer having a glass transition temperature of more than +20° C. and preferably more than +50° C.

[0408]

The stiffening polymer may, aside from (meth)acrylic monomers or vinylaromatic monomers, comprise various monomers. The (meth)acrylic monomers or vinylaromatic monomers make up generally at least 20% by weight, preferably at least 50% by weight, in particular at least 70% by weight, of the constituent monomers.

[0409]

The encompassed higher polymer compositions may additionally comprise customary assistants such as fillers, diluents or stabilizers.

[0410]

Suitable fillers are, for example, silica, colloidal silica, calcium carbonate, carbon black, titanium dioxide, mica and the like.

[0411]

Suitable diluents are, for example, polybutene, liquid polybutadiene, hydrogenated polybutadiene, paraffin oil, naphthenenates, atactic polypropylene, dialkyl phthalates, reactive diluents, for example, alcohols and oligoisobutenes.

[0412]

Suitable stabilizers are, for example, 2-benzothiazolyl sulfide, benzothiazole, thiazole, dimethyl acetylenedicarboxylate, diethyl acetylenedicarboxylate, BHT, butylhydroxyanisole, vitamin E.

[0413]

Further higher polymeric materials which may be obtained from the polyols of the invention include vinyl type polymers made by polymerising ethylenically unsaturated derivatives of the polyols. Such derivatives may be obtained, for example, by reacting the polyols with ethylenically unsaturated carboxylic acids, for example acrylic, methacrylic and itaconic acids or ester-forming derivatives thereof.

[0414]

Another useful method of forming ethylenically unsaturated derivatives of the polyols is to react said polyols with organic polyisocyanates, for example those mentioned above, and then to react the isocyanate group terminated products obtained with hydroxyalkyl acrylates or methacrylates, for example the 2-hydroxyethyl or 2-hydroxypropyl compounds. Alternatively, the polyols may be reacted with isocyanato-acrylates obtained by reacting a diisocyanate with a hydroxalkyl acrylate or methacrylate.

[0415]

The ethylenically unsaturated derivatives of the fluorinated polyols may be polymerized, preferably in the presence of co-monomers such as acrylonitrile, styrene, ethyl acrylate, butyl acrylate or methyl methacrylate, using conditions that have been fully described in the prior art for vinyl polymerisations. Useful molded plastics articles may be made in this way.

[0416]

Further higher polymeric materials which may be obtained from the polyols of the invention include epoxy resins prepared in conventional manner from epoxy derivatives of the polyols. Such derivatives may be obtained, for example, by reacting the polyols with epichlorohydrin in the presence of bases.

[0417]

Articles of manufacture comprising provided polycarbonate polyol and/or polyurethane compositions can be made using known methods and procedures described in the art. The skilled artisan, after reading the present disclosure, will be able to manufacture such articles using well known protocols and techniques.

EXAMPLES

Example 1

[0418]

This example demonstrates the use of the polymerization system of the present invention with a chain transfer agent Y-A-(Y)nand a catalyst Lp-M-(LI)mutilizing a co-catalyst PPN+ Cl−, where

    • n is 1,
    • each —Y is —OH,
    • -A- is

[0422]

    • -Lpis a salcy ligand

[0424]

    • -M- is Co(III),
    • -LIis a chain transfer agent -Q′-A′(Z′)n, where Q′ is COO, -A- is —CH2—, and Z′ is —OH, and
      • n is 1.

[0428]

24 mg of catalyst E1 (0.04 mmol), 0.45 g (3.1 mmol) 1,4-cyclohexanedimethanol and 20 mg (0.04 mmol) PPN+Cl were held under vacuum in a Fisher-Potter bottle. The bottle was filled with nitrogen and 20 ml propylene

[0429]


oxide was added. The bottle was pressurized with 100 psi CO2. After 41 h at 30° C. the bottle was opened and the polymer was isolated by pouring into methanol. GPC analysis showed formation of a polymer of Mn=4460, Mw=4610, PDI=1.035. The polymer has a carbonate content of >97%.

[0430]

The polycarbonate polyol composition thus obtained consists predominantly of three types of polymer chains: chains P1arising from initiation by the cyclohexanedimethanol, chains P1arising from initiation by the glycolic acid (LI) and chains P2arising from the chloride counterion on the PPN co-catalyst:

[0431]


where each p is on average approximately 20-21. In this particular composition, the ratio of P1to P1′ to P2is approximately 89:1:1. The polycarbonate polyol composition contains approximately 99% OH end groups.

Example 2

[0432]

This example demonstrates the use of the polymerization system of the present invention with a chain transfer agent Y-A-(Y)nand a catalyst L-M-(LI)mutilizing a co-catalyst PPN+ Cl−, where

    • n is 3,
    • each —Y is —OH,
    • -A- is

[0436]

    • -Lpis a salcy ligand

[0438]

    • -M- is Co(III), and
    • -LIis trifluoroacetate.

[0441]

51 mg of catalyst E2 (0.07 mmol), 0.5 g (1.4 mmol) of propoxylated pentaerythritol and 41 mg (0.08 mmol) PPN+Cl were held under vacuum in a Fisher-Potter bottle. The bottle was filled with nitrogen and 20 ml propylene

[0442]


oxide was added. The bottle was pressurized with 100 psi CO2. After 22 h at 30° C. the bottle was opened and the polymer was isolated by pouring into methanol. GPC analysis showed formation of a polymer formation of a polymer of Mn=13660, Mw=15420, PDI=1.129. The polymer has a carbonate content of >97%.

[0443]

The polycarbonate polyol composition thus obtained consists predominantly of three types of polymer chains: chains P1aarising from initiation by the propoxylated pentaerythritol, chains P2aarising from initiation by the trifluoroacetate (LI) and chains P2arising from the chloride counterion on the PPN co-catalyst:

[0444]


where each p is on average approximately 30-32. In this particular composition, the ratio of P1to P2ato P2is approximately 20:1:1. The polycarbonate polyol composition contains approximately 97% OH end groups.

Example 3

[0445]

Example 3 was conducted using conditions similar to Example 2, except Poly(caprolactone) diol having an Mn of 530 g/mol was used as the chain transfer agent.

Example 4

[0446]

Example 4 was conducted using conditions similar to Example 3, except Poly(ethylene glycol) having an Mn of 400 g/mol was used as the chain transfer agent.

Example 5

[0447]

Example 5 was conducted using conditions similar to Example 3, except Poly(propylene glycol) having an Mn of 760 g/mol was used as the chain transfer agent.

Example 6

[0448]

Example 6 was conducted using conditions similar to Example 3, except 1,2-cyclohexane diol was used as the chain transfer agent.

Example 7

[0449]

This example demonstrates the use of the polymerization system of the present invention with a chain transfer agent Y-A-(Y)nand a catalyst Lp-M-(LI)mutilizing a co-catalyst PPN+ Cl−, where

    • n is 1,
    • each —Y is —OH,
    • -A- is

[0453]

    • -Lpis a salcy ligand

[0455]

    • -M- is Co(III), and
    • -LIis trifluoroacetate.

[0458]

An oven dried glass vessel was charged with 11.5 mg of catalyst E2 (0.016 mmol) and 9.2 mg of PPN+Cl (0.016 mmol). The vessel was purged with nitrogen and 1,4 butane diol (0.073 g, 0.8 mmol) was added as a solution in dry THF (0.5 mL). Propylene oxide (4.5 mL, 64 mmol) was then added. The reaction vessel was pressurized with 300 psig dry carbon dioxide gas and stirred at 30° C. for 3 hours. The reaction was quenched with acid, diluted with 25 mL acetone and concentrated to yield 20.6 g of crude polymer. The polymer had an Mn of 4072 g/mol, and a PDI of 1.04. The polymer contained no detectable ether linkages and had greater than 98% —OH end groups.

[0459]

The polycarbonate polyol composition thus obtained consists predominantly of three types of polymer chains: chains P1aarising from initiation by the 1,4 butanediol, chains P2aarising from initiation by the trifluoroacetate (LI) and chains P2arising from the chloride counterion on the PPN co-catalyst:

[0460]


where each p is on average approximately 20. In this particular composition, the ratio of P1ato P2ato P2is approximately 50:1:1.

Example 8

[0461]

This example demonstrates the use of the polymerization system of the present invention with a chain transfer agent Y-A-(Y)nand a catalyst Lp-M-(LI)mutilizing a co-catalyst PPN+ Cl−, where

    • n is 1,
    • each —Y is —OH,
    • -A- is

[0465]

    • -Lpis a salcy ligand

[0467]

    • -M- is Co(III), and
    • -LIis trifluoroacetate.

[0470]

An oven dried glass vessel was charged with 11.5 mg of catalyst E2 (0.016 mmol) and 9.2 mg of PPN+Cl (0.016 mmol). The vessel was purged with nitrogen and 1,4 propane diol (0.061 g, 0.8 mmol) was added as a solution in dry THF (0.5 mL). Propylene oxide (4.5 mL, 64 mmol) was then added. The reaction vessel was pressurized with 300 psig dry carbon dioxide gas and stirred at 30° C. for 3× hours. The reaction was quenched with acid, diluted with 25 mL acetone and concentrated to yield 2.7 g of crude polymer. The polymer had an Mn of 4336 g/mol, and a PDI of 1.04. The polymer contained no detectable ether linkages and had greater than 98% —OH end groups.

[0471]

The polycarbonate polyol composition thus obtained consists predominantly of three types of polymer chains: chains P1aarising from initiation by the 1,3 propanediol, chains P2aarising from initiation by the trifluoroacetate (LI) and chains P2arising from the chloride counterion on the PPN co-catalyst:

[0472]


where each p is on average approximately 21. In this particular composition, the ratio of P1ato P2ato P2is approximately 50:1:1.

Example 9

[0473]

This example demonstrates the use of the polymerization system of the present invention with a chain transfer agent Y-A-(Y)nand a catalyst L-M-(LI)mutilizing a co-catalyst PPN+ Cl−, where

    • n is 1,
    • each —Y is —OH,
    • -A- is

[0477]

    • -Lpis a salcy ligand

[0479]

    • -M- is Co(III), and
    • -LIis trifluoroacetate.

[0482]

An oven dried glass vessel was charged with 11.5 mg of catalyst E2 (0.016 mmol) and 9.2 mg of PPN+Cl (0.016 mmol). The vessel was purged with nitrogen and 1,4 butene diol (0.079 g, 0.8 mmol) was added as a solution in dry THF (0.5 mL). Propylene oxide (4.5 mL, 64 mmol) was then added. The reaction vessel was pressurized with 300 psig dry carbon dioxide gas and stirred at 30° C. for 3 hours. The reaction was quenched with acid, diluted with 25 mL acetone and concentrated to yield 1.5 g of crude polymer. The polymer had an Mn of 2431 g/mol, and a PDI of 1.06. The polymer contained no detectable ether linkages and had greater than 98% —OH end groups.

[0483]

The polycarbonate polyol composition thus obtained consists predominantly of three types of polymer chains: chains P1aarising from initiation by the 1,4 butenediol, chains P2aarising from initiation by the trifluoroacetate (LI) and chains P2arising from the chloride counterion on the PPN co-catalyst:

[0484]


where each p is on average approximately 12. In this particular composition, the ratio of P1ato P2ato P2is approximately 50:1:1.

Example 10

[0485]

This example demonstrates the use of the polymerization system of the present invention with a chain transfer agent Y-A-(Y)nand a catalyst Lp-M-(LI)mutilizing a co-catalyst PPN+ Cl−, where

    • n is 1,
    • each —Y is —CO2H,
    • -A- is

[0489]

    • -Lpis a salcy ligand

[0491]

    • -M- is Co(III), and
    • -LIis trifluoroacetate.

[0494]

An oven dried glass vessel was charged with 11.5 mg of catalyst E2 (0.016 mmol); 9.2 mg of PPN+Cl (0.016 mmol); succinic acid (0.095 g, 0.8 mmol) and 0.5 mL THF. Propylene oxide (4.5 mL, 64 mmol) was then added. The reaction vessel was pressurized with 300 psig dry carbon dioxide gas and stirred at 30° C. for 3 hours. The reaction was quenched with acid, diluted with 25 mL acetone and concentrated to yield 3.0 g of crude polymer. The polymer had an Mn of 13,933 g/mol, and a PDI of 1.04. The polymer contained no detectable ether linkages and had greater than 98% —OH end groups.

[0495]

The polycarbonate polyol composition thus obtained consists predominantly of three types of polymer chains: chains P1aarising from initiation by the succinic acid, chains P2aarising from initiation by the trifluoroacetate (LI) and chains P2arising from the chloride counterion on the PPN co-catalyst:

[0496]


where each p is on average approximately 68. In this particular composition, the ratio of P1ato P2ato P2is approximately 50:1:1.

Example 11

[0497]

This example demonstrates the use of the polymerization system of the present invention with a chain transfer agent Y-A-(Y)nand a catalyst L-M-(LI)mutilizing a co-catalyst PPN+ Cl−, where

    • n is 1,
    • each —Y is —CO2H,
    • -A- is

[0501]

    • -Lpis a salcy ligand

[0503]

    • -M- is Co(III), and
    • -LIis trifluoroacetate.

[0506]

An oven dried glass vessel was charged with 11.5 mg of catalyst E2 (0.016 mmol); 9.2 mg of PPN+Cl (0.016 mmol); adipic acid (0.12 g, 0.8 mmol) and 0.5 mL THF. Propylene oxide (4.5 mL, 64 mmol) was then added. The reaction vessel was pressurized with 300 psig dry carbon dioxide gas and stirred at 30° C. for 3 hours. The reaction was quenched with acid, diluted with 25 mL acetone and concentrated to yield 3.0 g of crude polymer. The polymer had an Mn of 13,933 g/mol, and a PDI of 1.04. The polymer contained no detectable ether linkages and had greater than 98% —OH end groups.

[0507]

The polycarbonate polyol composition thus obtained consists predominantly of three types of polymer chains: chains P1aarising from initiation by the adipic acid, chains P2aarising from initiation by the trifluoroacetate (LI) and chains P2arising from the chloride counterion on the PPN co-catalyst:

[0508]


where each p is on average approximately 68. In this particular composition, the ratio of P1ato P2ato P2is approximately 50:1:1.

Example 12

[0509]

This example demonstrates the use of the polymerization system of the present invention with a chain transfer agent Y-A-(Y)nand a catalyst Lp-M-(LI)mutilizing a co-catalyst PPN+ Cl−, where

    • n is 1,
    • each —Y is —CO2H,
    • -A- is

[0513]

    • -Lpis a salcy ligand

[0515]

    • -M- is Co(III), and
    • -LIis trifluoroacetate.

[0518]

An oven dried glass vessel was charged with 11.5 mg of catalyst E2 (0.016 mmol); 9.2 mg of PPN+Cl (0.016 mmol); terephthalic acid (0.13 g, 0.8 mmol) and 0.5 mL THF. Propylene oxide (4.5 mL, 64 mmol) was then added. The reaction vessel was pressurized with 300 psig dry carbon dioxide gas and stirred at 30° C. for 3 hours. The reaction was quenched with acid, diluted with 25 mL acetone and concentrated to yield 1.52 g of crude polymer. The polymer had an Mn of 13,621 g/mol, and a PDI of 1.35. The polymer contained no detectable ether linkages and had greater than 98% —OH end groups.

[0519]

The polycarbonate polyol composition thus obtained consists predominantly of three types of polymer chains: chains P1aarising from initiation by the terephthalic acid, chains P2aarising from initiation by the trifluoroacetate (LI) and chains P2arising from the chloride counterion on the PPN co-catalyst:

[0520]


where each p is on average approximately 68. In this particular composition, the ratio of P1ato P2ato P2is approximately 50:1:1.

Example 13

[0521]

This example demonstrates the use of the polymerization system of the present invention with a chain transfer agent Y-A-(Y)nand a catalyst Lp-M-(LI)mutilizing a co-catalyst PPN+ Cl−, where

    • n is 1,
    • each —Y is —CO2H,
    • -A- is

[0525]

    • -Lpis a salcy ligand

[0527]

    • -M- is Co(III), and
    • -LIis trifluoroacetate.

[0530]

An oven dried glass vessel was charged with 11.5 mg of catalyst E2 (0.016 mmol); 9.2 mg of PPN+Cl (0.016 mmol); maleic acid (0.095 g, 0.8 mmol) and 0.5 mL THF. Propylene oxide (4.5 mL, 64 mmol) was then added. The reaction vessel was pressurized with 300 psig dry carbon dioxide gas and stirred at 30° C. for 3 hours. The reaction was quenched with acid, diluted with 25 mL acetone and concentrated to yield 3.3 g of crude polymer. The polymer had an Mn of 5919 g/mol, and a PDI of 1.03. The polymer contained no detectable ether linkages and had greater than 98% —OH end groups.

[0531]

The polycarbonate polyol composition thus obtained consists predominantly of three types of polymer chains: chains P1aarising from initiation by the succinic acid, chains P2aarising from initiation by the trifluoroacetate (LI) and chains P2arising from the chloride counterion on the PPN co-catalyst:

[0532]


where each p is on average approximately 29. In this particular composition, the ratio of P1ato P2ato P2is approximately 50:1:1.

Example 14

[0533]

This example demonstrates the use of the polymerization system of the present invention with a chain transfer agent Y-A-(Y)nand a catalyst L-M-(LI)mutilizing a co-catalyst PPN+ Cl−, where

    • n is 1,
    • each —Y is —OH,
    • -A- is

[0537]

    • -Lpis a salcy ligand

[0539]

    • -M- is Co(III), and
    • -LIis trifluoroacetate.

[0542]

An oven dried glass vessel was charged with 11.5 mg of catalyst E2 (0.016 mmol) and 9.2 mg of PPN+Cl (0.016 mmol). The vessel was purged with nitrogen and isosorbide (0.12 g, 0.8 mmol) was added as a solution in dry THF (0.5 mL). Propylene oxide (4.5 mL, 64 mmol) was then added. The reaction vessel was pressurized with 300 psig dry carbon dioxide gas and stirred at 30° C. for 3 hours. The reaction was quenched with acid, diluted with 25 mL acetone and concentrated to yield 1.53 g of crude polymer. The polymer had an Mn of 2342 g/mol, and a PDI of 1.05. The polymer contained no detectable ether linkages and had greater than 98% —OH end groups.

[0543]

The polycarbonate polyol composition thus obtained consists predominantly of three types of polymer chains: chains P1aarising from initiation by the isosorbide, chains P2aarising from initiation by the trifluoroacetate (LI) and chains P2arising from the chloride counterion on the PPN co-catalyst:

[0544]


where each p is on average approximately 11.

[0545]

In this particular composition, the ratio of P1ato P2ato P2is approximately 50:1:1.

Example 14

[0546]

This example demonstrates the use of the polymerization system of the present invention with a chain transfer agent Y-A-(Y)nand a catalyst L-M-(LI)mutilizing a co-catalyst PPN+ Cl−, where

    • n is 1,
    • each —Y is —OH,
    • -A- is

[0550]


where n′ is 10-30 and the avg. MW is 600 g/mol;

    • -Lpis a salcy ligand

[0552]

    • -M- is Co(III), and
    • -LIis trifluoroacetate.

[0555]

An oven dried glass vessel was charged with 11.5 mg of catalyst E2 (0.016 mmol); 9.2 mg of PPN+Cl (0.016 mmol); paraformaldehyde (24 mg, 0.04 mmol); and dry THF (0.5 mL). Propylene oxide (4.5 mL, 64 mmol) was then added. The reaction vessel was pressurized with 300 psig dry carbon dioxide gas and stirred at 30° C. for 3 hours. The reaction was quenched with acid, diluted with 25 mL acetone and concentrated to yield 1.0 g of crude polymer. The polymer had an Mn of 13,262 g/mol, and a PDI of 1.18.

[0556]

The polycarbonate polyol composition thus obtained consists predominantly of three types of polymer chains: chains P1aarising from initiation by the isosorbide, chains P2aarising from initiation by the trifluoroacetate (LI) and chains P2arising from the chloride counterion on the PPN co-catalyst:

[0557]


where n′ is 10-30 and each p is on average approximately 60.

[0558]

In this particular composition, the ratio of P1ato P2ato P2is approximately 2:1:1.

Example 15

[0559]

This example demonstrates the use of the polymerization system of the present invention with a chain transfer agent Y-A-(Y)nand a catalyst Lp-M-(LI)m, where,

    • n is 1,
    • each —Y is —OH,
    • -A- is

[0563]


(mixture of isomers);

    • -Lpis

[0565]


where each X is trifluoroacetate.

    • -M- is Co(III), and
    • -LIis trifluoroacetate.

[0568]

In a glovebox, catalyst (5.4 mg, 1.0 equiv) was charged to an oven-dried 20 mL glass liner. The liner was inserted into a stainless steel high pressure reactor. The system was purged with N2five times and purged with CO2twice. While under the positive flow of CO2, a solution of dipropylene glycol (75 μL) in propylene oxide (5 mL, 25,000 equiv) was charged to the reaction vessel. The reaction was heated to 50° C., then pressurized with carbon dioxide (300 psi) and stirred.

[0569]

After 6 h the reaction was vented and quenched with acidic methanol (0.2 mL). The reaction was cooled to room temperature, and the resulting polymer was diluted with acetone (5 mL) and transferred to a foil pan. The unreacted propylene oxide and acetone were removed by evaporation to produce 2.19 g of an off-white polymer (Mw=5,600, Mw/Mn=1.03.

[0570]

The polycarbonate polyol composition thus obtained consists predominantly of two types of polymer chains: chains P1arising from initiation by the dipropylene glycol, and chains P2arising from initiation by the trifluoroacetate (from LIand X).

[0571]

[0572]

where each p is on average approximately 27.

[0573]

In this particular composition, the ratio of P1to P2is approximately 4:1.

Other Embodiments

[0574]

The foregoing has been a description of certain non-limiting embodiments of the invention. Accordingly, it is to be understood that the embodiments of the invention herein described are merely illustrative of the application of the principles of the invention. Reference herein to details of the illustrated embodiments is not intended to limit the scope of the claims, which themselves recite those features regarded as essential to the invention.

Как компенсировать расходы
на инновационную разработку
Похожие патенты