патент
№ US 0010752623
МПК C07D417/14

Heteroaryl-substituted sulfonamide compounds and their use as sodium channel inhibitors

Авторы:
Jean-Christophe Andrez Kristen Nicole Burford Christoph Martin Dehnhardt
Все (9)
Правообладатель:
Номер заявки
16555983
Дата подачи заявки
29.08.2019
Опубликовано
25.08.2020
Страна
US
Как управлять
интеллектуальной собственностью
Реферат

[0000]

This invention is directed to heteroaryl-substituted sulfonamide compounds, as stereoisomers, enantiomers, tautomers thereof or mixtures thereof; or pharmaceutically acceptable salts, solvates or prodrugs thereof, for the treatment of diseases or conditions associated with voltage-gated sodium channels, such as epilepsy.

Формула изобретения

1. A compound of formula (I):

wherein:

m is 1, 2 or 3;

each n is 1 or 2;

X is a direct bond or —C(R7)R8—;

Y is a direct bond or —C(R9)R10—;

R1 is alkyl, an optionally substituted aryl, an optionally substituted aralkyl or an optionally substituted N-heteroaryl;

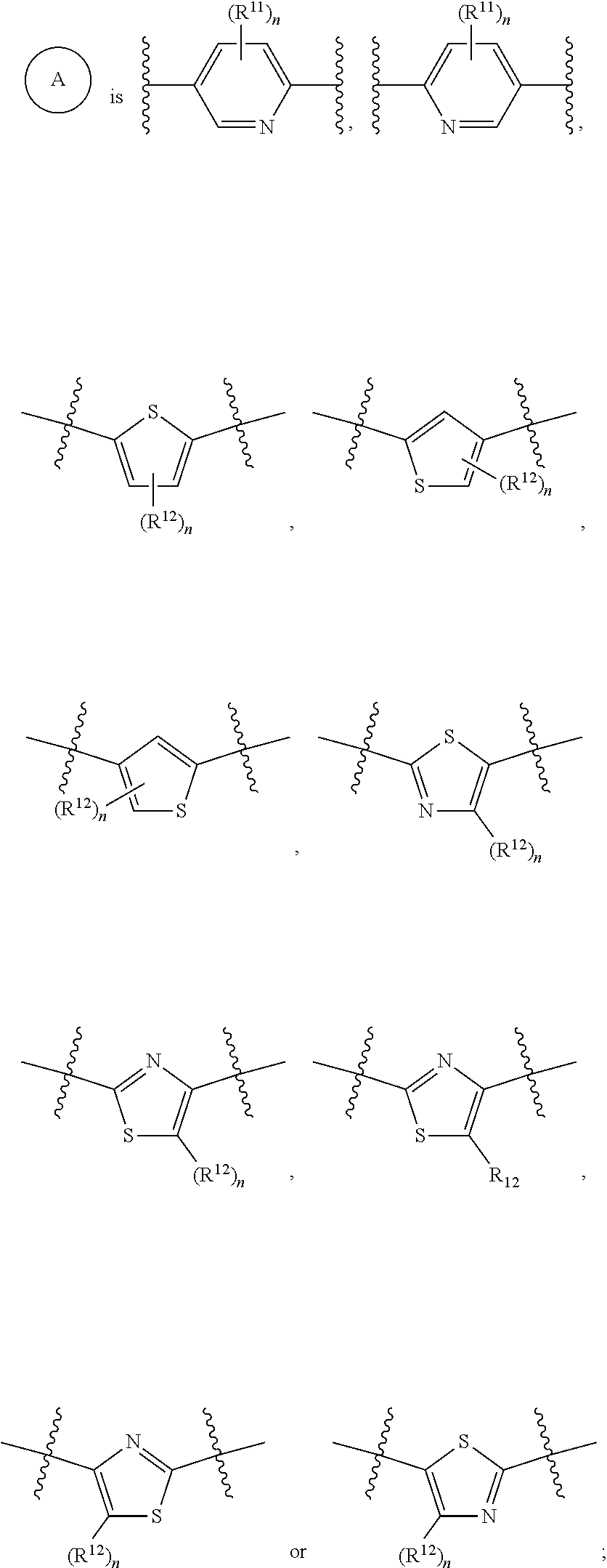
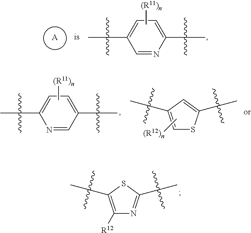
R2 is an optionally substituted 5-membered N-heteroaryl or an optionally substituted 6-membered N-heteroaryl;

R3 is —O— or —N(R13)—;

R4 and R5 are each independently hydrogen, alkyl, haloalkyl, optionally substituted cycloalkyl, optionally substituted cycloalkylalkyl, optionally substituted aryl, optionally substituted aralkyl, optionally substituted heterocyclyl, optionally substituted heterocyclylalkyl, optionally substituted heteroaryl or optionally substituted heteroarylalkyl;

each R6 is independently hydrogen, alkyl, alkenyl, halo, haloalkyl, cyano or —OR14;

or two R6's on non-adjacent carbons together form an optionally substituted alkylene chain and the other R6 is hydrogen or alkyl;

R7, R8, R9 and R10 are each independently hydrogen, alkyl, haloalkyl or —OR14;

or R7 and R9 together form an optionally substituted alkylene chain and R8 and R10 are as defined above;

R11 and R12 are each independently hydrogen, alkyl, halo or haloalkyl;

R13 is hydrogen, alkyl or haloalkyl; and

each R14 are each independently hydrogen, alkyl, haloalkyl, optionally substituted aryl or optionally substituted aralkyl;

as an individual stereoisomer, enantiomer or tautomer thereof or a mixture thereof;

or a pharmaceutically acceptable salt, solvate or prodrug thereof.

2. The compound of claim 1, wherein:

R1 is an optionally substituted aryl or an optionally substituted N-heteroaryl; and

m, n, X, Y, R2, R3, R4, R5, R6, R7, R8, R9, R10, R11, R12, R13 and R14 are each as described above in claim 1.

3. The compound of claim 2, wherein:

where the compound has the following formula (Ia):

wherein:

R1 is as described above in claim 2; and

m, n, X, Y, R2, R3, R4, R5, R6, R7, R8, R9, R10, R11, R13 and R14 are each as defined above in claim 1.

4. The compound of claim 3 wherein R3 is —N(R13)—, where the compound of formula (Ia) has the following formula (Ia1):

wherein:

R1 is as described above in claim 2; and

m, n, X, Y, R2, R4, R5, R6, R7, R8, R9, R10, R11, R13 and R14 are each as defined above in claim 1.

5. The compound of claim 4 wherein R1 is optionally substituted aryl.

6. The compound of claim 5 wherein:

m is 1;

n is 1 or 2;

X is a direct bond;

Y is —C(R9)R10;

R2 is an optionally substituted 5-membered N-heteroaryl selected from optionally substituted thiazolyl or optionally substituted isothiazolyl;

R4 and R5 are each independently hydrogen or alkyl;

R6 is hydrogen or alkyl;

R9 and R10 are each independently hydrogen or alkyl;

R11 is hydrogen, halo, alkyl or haloalkyl; and

R13 is hydrogen or alkyl.

7. The compound of claim 5 wherein:

m is 1;

n is 1 or 2;

X is a direct bond;

Y is —C(R9)R10;

R2 is an optionally substituted 6-membered N-heteroaryl selected from optionally substituted pyridinyl;

R4 and R5 are each independently hydrogen or alkyl;

R6 is hydrogen or alkyl;

R9 and R10 are each independently hydrogen or alkyl;

R11 is hydrogen, halo, alkyl or haloalkyl; and

R13 is hydrogen or alkyl.

8. The compound of claim 5 wherein:

m is 1 or 2;

n is 1 or 2;

X is —C(R7)R8;

Y is —C(R9)R10;

R2 is an optionally substituted 5-membered N-heteroaryl selected from optionally substituted thiazolyl or optionally substituted isothiazolyl;

R4 and R5 are each independently hydrogen or alkyl;

each R6 is hydrogen or alkyl;

or two R6's on non-adjacent carbons together form an optionally substituted alkylene chain;

R7, R8, R9 and R10 are each independently hydrogen or alkyl;

or R7 and R9 together form an optionally substituted alkylene chain and R8 and R10 are as defined above;

R11 is hydrogen, halo, alkyl or haloalkyl; and

R13 is hydrogen or alkyl.

9. The compound of claim 5 wherein:

m is 1 or 2;

n is 1 or 2;

X is —C(R7)R8;

Y is —C(R9)R10;

R2 is an optionally substituted 6-membered N-heteroaryl selected from optionally substituted pyridinyl;

R4 and R5 are each independently hydrogen or alkyl;

each R6 is hydrogen or alkyl;

or two R6's on non-adjacent carbons together form an optionally substituted alkylene chain;

R7, R8, R9 and R10 are each independently hydrogen or alkyl;

or R7 and R9 together form an optionally substituted alkylene chain and R8 and R10 are as defined above;

R11 is hydrogen, halo, alkyl or haloalkyl; and

R13 is hydrogen or alkyl.

10. The compound of claim 4 wherein R1 is optionally substituted heteroaryl.

11. The compound of claim 10 wherein:

m is 1;

n is 1 or 2;

X is a direct bond;

Y is —C(R9)R10;

R2 is an optionally substituted 5-membered N-heteroaryl selected from optionally substituted thiazolyl or optionally substituted isothiazolyl;

R4 and R5 are each independently hydrogen or alkyl;

R6 is hydrogen or alkyl;

R9 and R10 are each independently hydrogen or alkyl;

R11 is hydrogen, halo, alkyl or haloalkyl; and

R13 is hydrogen or alkyl.

12. The compound of claim 3 wherein R3 is —O—, where the compound of formula (Ia) has the following formula (Ia2):

wherein:

R1 is described above in claim 2; and

m, n, X, Y, R2, R4, R5, R6, R7, R8, R9, R10, R11 and R14 are each as defined above in claim 1.

13. The compound of claim 12 wherein R1 is optionally substituted aryl.

14. The compound of claim 13 wherein:

m is 1;

n is 1 or 2;

X is —C(R7)R8;

Y is —C(R9)R10;

R2 is an optionally substituted 5-membered N-heteroaryl selected from optionally substituted thiazolyl or optionally substituted isothiazolyl;

R4 and R5 are each independently hydrogen or alkyl;

R6 is hydrogen or alkyl;

R7, R8, R9 and R10 are each independently hydrogen or alkyl; and

R11 is hydrogen, halo, alkyl or haloalkyl.

15. The compound of claim 13 wherein:

m is 1;

n is 1 or 2;

X is —C(R7)R8;

Y is —C(R9)R10;

R2 is an optionally substituted 6-membered N-heteroaryl selected from optionally substituted pyridinyl;

R4 and R5 are each independently hydrogen or alkyl;

R6 is hydrogen or alkyl;

R7, R8, R9 and R10 are each independently hydrogen or alkyl; and

R11 is hydrogen, halo, alkyl or haloalkyl.

16. The compound of claim 2, wherein:

where the compound has the following formula (Ib):

wherein:

R1 is as described above in claim 2; and

m, n, X, Y, R2, R3, R4, R5, R6, R7, R8, R9, R10, R11, R13 and R14 are each as defined above in claim 1.

17. The compound of claim 16 wherein R3 is —N(R13)—, where the compound of formula (Ib) has the following formula (Ib1):

wherein:

R1 is described above in claim 2; and

m, n, X, Y, R2, R4, R5, R6, R7, R8, R9, R10, R11, R13 and R14 are each as defined above in claim 1.

18. The compound of claim 17 wherein R1 is optionally substituted aryl.

19. The compound of claim 18 wherein:

m is 1;

n is 1 or 2;

X is a direct bond;

Y is —C(R9)R10;

R2 is an optionally substituted 5-membered N-heteroaryl selected from optionally substituted thiazolyl or optionally substituted isothiazolyl;

R4 and R5 are each independently hydrogen or alkyl;

R6 is hydrogen or alkyl;

R9 and R10 are each independently hydrogen or alkyl;

R11 is hydrogen, halo, alkyl or haloalkyl; and

R13 is hydrogen or alkyl.

20. The compound of claim 18 wherein:

m is 1;

n is 1 or 2;

X is —C(R7)R8;

Y is —C(R9)R10;

R2 is an optionally substituted 5-membered N-heteroaryl selected from optionally substituted thiazolyl or optionally substituted isothiazolyl;

R4 and R5 are each independently hydrogen or alkyl;

R6 is hydrogen or alkyl or two R6's on non-adjacent carbons together form an optionally substituted alkylene chain;

R7, R8, R9 and R10 are each independently hydrogen or alkyl;

R11 is hydrogen, halo, alkyl or haloalkyl; and

R13 is hydrogen or alkyl.

21. The compound of claim 18 wherein:

m is 1;

n is 1 or 2;

X is —C(R7)R8;

Y is —C(R9)R10;

R2 is an optionally substituted 6-membered N-heteroaryl selected from optionally substituted pyridinyl;

R4 and R5 are each independently hydrogen or alkyl;

R6 is hydrogen or alkyl;

R7, R8, R9 and R10 are each independently hydrogen or alkyl;

or R7 and R9 together form an optionally substituted alkylene chain and R8 and R10 are as defined above;

R11 is hydrogen, halo, alkyl or haloalkyl; and

R13 is hydrogen or alkyl.

22. The compound of claim 16 wherein R3 is —O—, where the compound of formula (Ib) has the following formula (Ib2):

wherein:

R1 is described above in claim 2; and

m, n, X, Y, R2, R4, R5, R6, R7, R8, R9, R10, R11 and R14 are each as defined above in claim 1.

23. The compound of claim 22 wherein R1 is optionally substituted aryl.

24. The compound of claim 23 wherein:

m is 1;

n is 1 or 2;

X is —C(R7)R8;

Y is —C(R9)R10;

R2 is an optionally substituted 6-membered N-heteroaryl selected from optionally substituted pyridinyl;

R4 and R5 are each independently hydrogen or alkyl;

R6 is hydrogen or alkyl;

R7, R8, R9 and R10 are each independently hydrogen or alkyl;

R11 is hydrogen, halo, alkyl or haloalkyl.

25. The compound of claim 2, wherein:

where the compound has the following formula (Ic):

wherein:

R1 is as described above in claim 2; and

m, n, X, Y, R2, R3, R4, R5, R6, R7, R8, R9, R10, R12, R13 and R14 are each as defined above in claim 1.

26. The compound of claim 25 wherein R3 is —N(R13)—, where the compound of formula (Ic) has the following formula (Ic1):

wherein:

R1 is as described above in claim 2; and

m, n, X, Y, R2, R4, R5, R6, R7, R8, R9, R10, R12, R13 and R14 are each as defined above in claim 1.

27. The compound of claim 26 wherein R1 is optionally substituted aryl.

28. The compound of claim 27 wherein:

m is 1 or 2;

n is 1 or 2;

X is —C(R7)R8;

Y is —C(R9)R10;

R2 is an optionally substituted 5-membered N-heteroaryl selected from optionally substituted thiazolyl or optionally substituted isothiazolyl;

R4 and R5 are each independently hydrogen or alkyl;

each R6 is hydrogen or alkyl;

or two R6's on non-adjacent carbons together form an optionally substituted alkylene chain;

R7, R8, R9 and R10 are each independently hydrogen or alkyl;

R12 is hydrogen, halo, alkyl or haloalkyl; and

R13 is hydrogen or alkyl.

29. The compound of claim 27 wherein:

m is 1;

n is 1 or 2;

X is —C(R7)R8;

Y is —C(R9)R10;

R2 is an optionally substituted 6-membered N-heteroaryl selected from optionally substituted pyridinyl;

R4 and R5 are each independently hydrogen or alkyl;

R6 is hydrogen or alkyl;

R7, R8, R9 and R10 are each independently hydrogen or alkyl;

R12 is hydrogen, halo, alkyl or haloalkyl; and

R13 is hydrogen or alkyl.

30. The compound of claim 2 wherein:

where the compound has the following formula (Id):

wherein:

R1 is as described above in claim 2; and

m, n, X, Y, R2, R3, R4, R5, R6, R7, R8, R9, R10, R12, R13 and R14 are each as defined above in claim 1.

31. The compound of claim 30 wherein R3 is —N(R13)—, where the compound of formula (Id) has the following formula (Id1):

wherein:

R1 is as described above in claim 2; and

m, n, X, Y, R2, R4, R5, R6, R7, R8, R9, R10, R12, R13 and R14 is as defined above in claim 1.

32. The compound of claim 31 wherein R1 is optionally substituted aryl.

33. The compound of claim 32 wherein:

m is 1;

n is 1 or 2;

X is —C(R7)R8;

Y is —C(R9)R10;

R2 is an optionally substituted 5-membered N-heteroaryl selected from optionally substituted thiazolyl or optionally substituted isothiazolyl;

R4 and R5 are each independently hydrogen or alkyl;

R6 is hydrogen or alkyl or two R6's on non-adjacent carbons together form an optionally substituted alkylene chain;

R7, R8, R9 and R10 are each independently hydrogen or alkyl;

R12 is hydrogen, halo, alkyl or haloalkyl; and

R13 is hydrogen or alkyl.

34. The compound of claim 32 wherein:

m is 1;

n is 1 or 2;

X is —C(R7)R8;

Y is —C(R9)R10;

R2 is an optionally substituted 6-membered N-heteroaryl selected from optionally substituted pyridinyl;

R4 and R5 are each independently hydrogen or alkyl;

R6 is hydrogen or alkyl;

R7, R8, R9 and R10 are each independently hydrogen or alkyl;

R12 is hydrogen, halo, alkyl or haloalkyl; and

R13 is hydrogen or alkyl.

35. A pharmaceutical composition comprising a pharmaceutically acceptable excipient and a compound of claim 1, as a stereoisomer, enantiomer or tautomer thereof or a mixture thereof; or a pharmaceutically acceptable salt, solvate or prodrug thereof.

36. A method of treating a disease or a condition associated with Nav1.6 activity in a mammal wherein the disease or condition is epilepsy and/or epileptic seizure disorder and wherein the method comprises administering to the mammal in need thereof a therapeutically effective amount of a compound of claim 1, as a stereoisomer, enantiomer or tautomer thereof or a mixture thereof; or a pharmaceutically acceptable salt, solvate or prodrug thereof.

37. A method of decreasing ion flux through Nav1.6 in a mammalian cell, wherein the method comprises contacting the cell with a compound of claim 1, as a stereoisomer, enantiomer or tautomer thereof or a mixture thereof; or a pharmaceutically acceptable salt, solvate or prodrug thereof.

38. A method of selectively inhibiting a first voltage-gated sodium channel over a second voltage-gated sodium channel in a mammal, wherein the method comprises administering to the mammal a modulating amount of a compound of claim 1, as a stereoisomer, enantiomer or tautomer thereof or a mixture thereof; or a pharmaceutically acceptable salt, solvate or prodrug thereof.

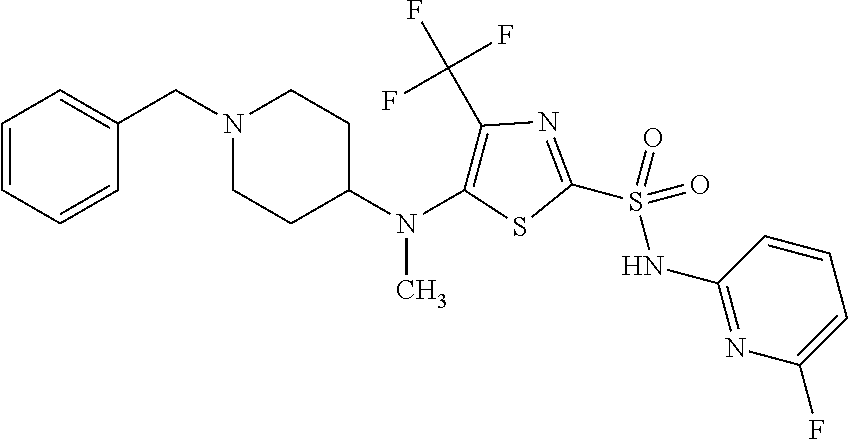
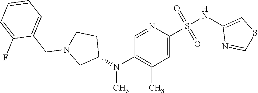
Описание

CROSS-REFERENCE TO RELATED APPLICATION

[0001]

This application claims the benefit under 35 U.S.C. § 119(e) of U.S. Provisional Patent Application No. 62/725,960, filed Aug. 31, 2018. This application is incorporated herein by reference in its entirety.

FIELD OF THE INVENTION

[0002]

The present invention is directed to heteroaryl-substituted sulfonamide compounds and pharmaceutical compositions comprising the compounds and methods of using the compounds and the pharmaceutical compositions in treating sodium channel-mediated diseases or conditions, such as epilepsy and/or epileptic seizure disorder, as well as other diseases and conditions associated with the mediation of sodium channels.

BACKGROUND OF THE INVENTION

[0003]

Voltage gated sodium channels (Nav's) are critical determinants of cellular excitability in muscle and nerve (Hille, B, Ion Channels of Excitable Membranes (2001), Sunderland, Mass., Sinauer Associates, Inc.). Four isoforms in particular, Nav1.1, Nav1.2, Nav1.3, and Nav1.6, account for the majority of sodium current in the neurons of the central nervous system. Nav1.3 is primarily expressed embryonically. Beyond the neonatal stage, Nav1.1, Nav1.2, and Nav1.6 are the critical isoforms that regulate neuronal signaling in the brain (Catterall, W. A., Annual Review of Pharmacology and Toxicology (2014), Vol. 54, pp. 317-338).

[0004]

Nav1.5 is expressed mainly in cardiac myocytes (Raymond, C. K. et al., J. Biol. Chem. (2004), Vol. 279, No. 44, pp. 46234-41), including atria, ventricles, the sino-atrial node, atrio-ventricular node and cardiac Purkinje fibers. Mutations in human Nav1.5 result in multiple arrhythmic syndromes, including, for example, long QT3 (LQT3), Brugada syndrome (BS), an inherited cardiac conduction defect, sudden unexpected noctumal death syndrome (SUNDS) and sudden infant death syndrome (SIDS) (Liu, H., et al., Am. J. Pharmacogenomics (2003), Vol. 3, No. 3, pp. 173-9). Sodium channel blocker therapy has been used extensively in treating cardiac arrhythmias.

[0005]

Epilepsy is a condition characterized by excessive synchronous excitability in the brain that arises when the delicate balance of excitatory and inhibitory signals in the brain fall out of equilibrium. This can happen either due to an excess of excitation, or a deficiency of inhibition. Mutations in the genes encoding Nav channels have been linked to both types of disequilibrium.

[0006]

Nav1.1 has been identified as the primary Nav isoform of inhibitory intemeurons (Yu, F. H. et al., Nat. Neurosci. (2006), Vol. 9, pp. 1142-1149). These intemeurons synapse on many other neurons, including excitatory glutamatergic neurons. Action potentials in the intereurons induce the release of the neurotransmitter GABA onto other neurons, hyperpolarizing them and thus dampening excitation. This results in a negative feedback that enables controlled signaling and prevents local signals from expanding into waves of excitation that spread across large brain regions. Because of this critical role in inhibitory interneurons, mutations that impair Nav1.1 channel function can lead to a failure of those neurons to activate and release GABA (Ogiwara, I. et al., J. Neurosci. (2007), Vol. 27, pp. 5903-5914; Martin, M. S. et al., J. Biol. Chem. (2010), Vol. 285, pp. 9823-9834; Cheah, C. S. et al., Channels (Austin) (2013), Vol. 7, pp. 468-472; and Dutton, S. B., et al., (2013), Vol. 49, pp. 211-220). The result is a loss in the inhibitory tone of the brain and a failure to contain the excitability of the glutamatergic neurons. This failure of the inhibitory intereurons can result in aberrant wide-scale synchronous firing of neurons across regions of the brain (epilepsy).

[0007]

Mutations in the gene encoding Nav1.1 (SCN1A) fall into two broad classes, those that cause generalized epilepsy with febrile seizures plus (GEFS+) and those that cause severe myoclonic epilepsy of infancy (SMEI), also known as Dravet Syndrome or early infantile epileptic encephalopathy 6 (EIEE6) (McKusik, V. K. et al., A Epileptic Encephalopathy, Early Infantile 6, EIEE6 (2012), Online Mendelian Inheritance in Man: John Hopkins University). SMEI mutations are heterozygous autosomal dominant mutations and are often caused by a gene deletion or truncation that leads to a channel with little or no function. The mutations arise de novo, or in a few cases have been shown to arise in asymptomatic mosaic parents (Tuncer, F. N. et al., Epilepsy Research (2015), Vol. 113, pp. 5-10). Patients are born phenotypically normal and meet developmental milestones until the onset of seizures, typically between the age of 6 months and 1 year. This time of onset is believed to be a consequence of the normal decrease in the expression of the embryonic isoform Nav1.3 and the coincident rise of Nav1.1. When the Nav1.1 channels fail to reach normal levels, the phenotype is revealed (Cheah, C. S. et al., Channels (Austin) (2013), Vol. 7, pp. 468-472). The initial seizure is often triggered by a febrile episode and can manifest as status epilepticus. Seizures continue and increase in frequency and severity for the first several years of life and can reach frequencies of over 100 episodes per day. Seizures may be triggered by fever or may arise spontaneously without apparent cause. After seizure onset patients begin to miss developmental milestones and significant cognitive and behavioral deficits accrue (Dravet, C. and Oguni, H., Handbook of Clinical Neurology (2013), Vol. 111, pp. 627-633). 80 to 85% of phenotypically diagnosed Dravet syndrome patients are believed to have a responsible mutation in SCN1A, while the other 15-20% of patients have other mutations or are of unknown etiology. There is a high rate of sudden unexplained death in epilepsy (SUDEP) in SMEI patients, with an estimated 37% of patients dying by SUDEP, but the mechanism for this catastrophic outcome remains unclear (Massey, C. A., et al., Nature Reviews Neurology (2014), Vol. 10, pp. 271-282). Clinically useful anti-epileptic drugs that target voltage-gated sodium channels non-selectively, like carbamazepine and phenytoin, are contra-indicated for SMEI patients as they can exacerbate seizures in these patients (Wilmshurst, J. M. et al., Epilepsia (2015), Vol. 56, pp. 1185-1197). This is presumed to be because patients cannot tolerate further reductions in Nav1.1 function.

[0008]

GEFS+ is often caused by missense SCN1A mutations that induce relatively mild channel dysfunction, consistent with the relatively milder seizure phenotype. A large and growing number of mutations have been identified, and both the severity and the penetrance of the phenotype varies considerably. Many GEFS+ patients outgrow the seizure phenotype, however not all do, and GEFS+ patients with childhood epilepsy are considerably more prone to have epilepsy as adults than are the general population. Mutations that cause deficits in other genes involved with GABA-ergic signaling, like SCN1B that encodes the sodium channel auxiliary subunit and GABRG2 that encodes a subunit of GABAA receptors can also give rise to GEFS+(Helbig, I., Seminars in Neurology (2015) Vol. 35, pp. 288-292).

[0009]

Transgenic mice have been developed that harbor the same mutations identified in SMEI and GEFS+ patients. In both cases the mice replicate the human phenotype well, though the penetrance of the phenotype can be significantly impacted by the genetic background. Some mouse strains tolerate the mutations relatively well, while in other strains the same mutations can cause drastic seizure phenotypes.

[0010]

These differences are presumed to be due to differing levels of expression of other genes that modulate the excitation phenotype (Miller, A. R. et al., Genes, Brain, and Behavior (2014), Vol. 13, pp. 163-172; Mistry, A. M. et al., Neurobiology of Disease (2014), Vol. 65, pp. 1-11; and Hawkins, N. A. et al., Epilepsy Research (2016), Vol. 119, pp. 20-23).

[0011]

In the brain, Nav1.2 and Nav1.6 are primarily expressed in excitatory glutamatergic neurons. Both channels are especially dense in the action initial segment (AIS), a region of the neuron adjacent to the neuronal soma that acts to integrate inputs and initiates action potential propagation to the soma and the distal dendrites (Royeck, M. et al., J. Neurophysiol. (2008), Vol. 100, pp. 2361-2380; Vega, A. V. et al., Neurosci. Left. (2008), Vol. 442, pp. 69-73; and Hu, W. et al., Nat. Neurosci. (2009), Vol. 12, pp. 996-1002). Nav1.6 tends to be especially densely localized the early AIS (distal from the soma) where it is thought to act to trigger action potential initiation. Nav1.2 is more highly localized to the segment of the AIS most proximal to the soma. Mutations in both SCN2A (Nav1.2) and SCN8A (Nav1.6) have been linked to epilepsy and cognitive delay. The effects of the mutations are diverse both at the level of the impact on channel function, and on the patient phenotype. Both Nav1.2 and Nav1.6 are also expressed in peripheral neurons. Nav1.6 is especially dense at the nodes of Ranvier of myelinated neurons, where it is critical for maintaining salutatory conduction and high speed neuronal signaling.

[0012]

Only a handful of Nav1.2 mutations have been described, but they are primarily linked with central nervous system pathologies, especially epilepsy (Kearney, J. A. et al., Neuroscience (2001), Vol. 102, pp. 307-317; Zerem, A. et al., European Journal of Paediatric Neurology: EJPN: Official Journal of the European Paediatric Neurology Society (2014), Vol. 18, pp. 567-571; Fukasawa, T. et al., Brain & Development (2015), Vol. 37, pp. 631-634; Howell, K. B. et al., Neurology (2015), Vol. 85, pp. 958-966; Saitoh, M. et al., Epilepsy Research (2015), Vol. 117, pp. 1-6; Samanta, D. et al., Acta Neurologica Belgica (2015), Vol. 115, pp. 773-776; Carroll, L. S. et al., Psychiatric Genetics (2016), Vol. 26, pp. 60-65; and Schwarz, N. et al., Journal of Neurology (2016), Vol. 263, pp. 334-343). The epilepsy mutations are presumed to be primarily gain of function mutations, meaning that they lead to an increase in the amount of sodium current and thereby increasing excitability. Establishing the impact on channel function in vivo beyond reasonable doubt is challenging and some of these mutations may yet lead to loss of function phenotypes.

[0013]

Mutations in SCN8A have likewise been reported to show a range of gain and loss of function effects on the Nav1.6 channel though, for Nav1.6, most mutations examined have been associated with gain of function phenotypes. Mutations in Nav1.6 have been linked with epilepsy and autism spectrum disorders (Trudeau, M. M. et al., Journal of Medical Genetics (2006), Vol. 43, pp. 527-530; Veeramah, K. R. et al., Am. J. Hum. Genet. (2012), Vol. 90, pp. 502-510; Vaher, U. et al., Journal of Child Neurology (2013); de Kovel, C. G. et al., Epilepsy Research (2014); Estacion, M. et al., Neurobiology of Disease (2014), Vol. 69, pp. 117-123; Ohba, C. et al., Epilepsia (2014), Vol. 55, pp. 994-1000; Wagnon, J. L. et al., Human Molecular Genetics (2014); Kong, W. et al., Epilepsia (2015), Vol. 56, pp. 431-438; and Larsen, J. et al., Neurology (2015), Vol. 84, pp. 480-489). The best described SCN8A mutant patients have a syndrome known as early infantile epileptic encephalopathy, 13 (EIEE13). Over 100 EIEE13 patients have been identified. Patients typically present with intractable seizures between birth and 18 months of age. Patients have developmental and cognitive delay, and motor impairment often associated with chronic muscular hypotonia. The most severely impacted patients never gain sufficient motor control to walk. Many are not verbal. Less severe phenotypes learn to walk and talk but are motor-impaired and miss cognitive and social milestones. Most of the identified mutations are missense mutations, and it is assumed that the specific functional impact of the mutation contributes to the variability in the phenotype, though genetic background is also likely involved (Larsen, J. et al., Neurology (2015), Vol. 84, pp. 480-489). In contrast to SMEI patients, anecdotal evidence suggests that anti-epileptic drugs that target voltage-gated sodium channels non-selectively can ameliorate symptoms in EIEE13 patients, though no controlled clinical trials have been completed (Boerma, R. S. et al., Neurotherapeutics: The Journal of the American Society for Experimental NeuroTherapeutics (2016), Vol. 13, pp. 192-197). While phenytoin does seem to provide efficacy for EIEE13 patients, it does so at a cost. Efficacy is only achieved at very high doses where the significant adverse effects are tolerated only because the patients are in such dire need. Adverse effects commonly associated with phenytoin therapy include hepatic necrosis, hypertrichosis, nervousness, tremor of hands, numbness, dizziness, drowsiness, tremor, depression, confusion, fatigue, constipation, vertigo, ataxia, mental status changes, myasthenia, mood changes, restlessness, irritability, and excitement. It seems likely that a drug that selectively targets Nav1.6 would retain efficacy while reducing its adverse event burden.

[0014]

Loss of function mutations in SCN8A in mice lead to a phenotype known as motor endplate disease (med) and multiple mutations and phenotypes were linked to the med gene region prior to the identification of the SCN8A gene (Burgess, D. L. et al., Nat. Genet. (1995), Vol. 10, pp. 461-465). Mice with SCN8Amed mutations have varying degrees of muscle hypotonia, consistent with the degree of dysfunction of the Nav1.6 function. Mice with the SCN8Amed/jo have Nav1.6 channels that have a loss of function, but not null, phenotype. SCN8Amed and SCN8Amed/jo mice are resistant to seizures induced by chemical insult (flurothyl, kainic acid, and picrotoxin) (Martin, M. S. et al., Human Molecular Genetics (2007), Vol. 16, pp. 2892-2899; Hawkins, N. A. et al., Neurobiology of Disease (2011), Vol. 41, pp. 655-660; and Makinson, C. D. et al., Neurobiology of Disease (2014), Vol. 68, pp. 16-25). Curiously, when SCN8Amed/jo mice are crossed with SCN1Anull mutant mice to produce a mouse that is heterozygous for both the SCN1Anull allele and the SCN8Amed/jo allele the double mutant mice have a much improved seizure and cognitive phenotype than those with only an SCN1Anull mutation (Martin, M. S. et al., Human Molecular Genetics (2007), Vol. 16, pp. 2892-2899). Such mice have a spontaneous seizure and death rate similar to wild type mice and their seizure threshold after chemical insult is also increased. A similar result occurs upon crossing mice with missense mutations of SCN1A (a model for GEFS+) and mice with SCN8A loss of function mutations. Having a single allele of SCN8Amed/jo protected the GEFS+ model mice from seizures and premature death (Hawkins, N. A. et al., Neurobiology of Disease (2011), Vol. 41, pp. 655-660). The ability of SCN8A knock down to improve seizure resistance is not limited to knockouts where the gene is globally absent throughout animal development. Knock down of SCN8A in adult mice either globally or specifically in the hippocampus via a CRE-LOX inducible knockout approach also improved resistance to electrically and chemically induced seizures Makinson, C. D. et al., Neurobiology of Disease (2014), Vol. 68, pp. 16-25). These data suggest that the suppression of inhibitory signaling caused by decreased Nav1.1 current can be offset, at least in part, by suppressing excitatory signaling via decreased in Nav1.6 current.

[0015]

Voltage-gated sodium channel antagonism is the most common mechanism of widely prescribed antiepileptic drugs (AED's) (Ochoa, J. R. et al., Sodium Channel Blockers. In: Antiepileptic Drugs (2016), Vol. (Benbadis, S., ed) Medscape News & Perspectives). Carbamazepine, Eslicarbazepine, Oxcarbazepine, Lacosamide, Lamotrigine, Phenytoin, Rufinamide and Zonisamide are all believed to act primarily by blocking that function of Nav channels. Despite the presumed mechanism of action, these drugs are relatively promiscuous. They block all Nav channel isoforms indiscriminately, thus block of Nav1.1 would be expected to proconvulsant. Block of Nav1.6, and perhaps Nav1.2, would be anticonvulsant. In addition to sodium channels, these compounds also block other targets, including voltage-gated calcium channels. Selective Nav antagonists that spare Nav1.1 and other off-target receptors are expected to have both improved efficacy and therapeutic index relative to the currently available Nav blocking drugs.

[0016]

There is therefore an unmet medical need to treat epilepsy and other Nav1.6 associated pathological states effectively and without adverse side effects due to the blocking of other sodium channels, such as Nav1.1 and/or Nav1.5. The present invention provides methods to meet these critical needs.

SUMMARY OF THE INVENTION

[0017]

The present invention is directed to heteroaryl-substituted sulfonamide compounds and pharmaceutical compositions comprising the compounds and methods of using the compounds and the pharmaceutical compositions of the invention for the treatment of diseases or conditions associated with the activity of voltage-gated sodium channels, particularly, Nav1.6 activity, such as epilepsy and/or epileptic seizure disorder.

[0018]

Accordingly, in one aspect, this invention is directed to heteroaryl-substituted sulfonamide compounds of formula (I):

[0019]


wherein:

[0020]

  • m is 1, 2 or 3;
  • each n is 1 or 2;
  • X is a direct bond or —C(R7)R8—;
  • Y is a direct bond or —C(R9)R10—;
  • R1 is alkyl, an optionally substituted aryl, an optionally substituted aralkyl or an optionally substituted N-heteroaryl;
  • R2 is an optionally substituted 5-membered N-heteroaryl or an optionally substituted 6-membered N-heteroaryl;
  • R3 is —O— or —N(R13)—;
  • R4 and R5 are each independently hydrogen, alkyl, haloalkyl, optionally substituted cycloalkyl, optionally substituted cycloalkylalkyl, optionally substituted aryl, optionally substituted aralkyl, optionally substituted heterocyclyl, optionally substituted heterocyclylalkyl, optionally substituted heteroaryl or optionally substituted heteroarylalkyl;
  • each R6 is independently hydrogen, alkyl, alkenyl, halo, haloalkyl, cyano or —OR14;
  • or two R6's on non-adjacent carbons together form an optionally substituted alkylene chain, and the other R6 is hydrogen or alkyl;
  • R7, R8, R9 and R10 are each independently hydrogen, alkyl, haloalkyl or —OR14;
  • or R7 and R9a form an optionally substituted alkylene chain and R11 and R10a are as defined above;
  • R11 and R12 are each independently hydrogen, alkyl, halo or haloalkyl;
  • R13 is hydrogen, alkyl or haloalkyl; and
  • each R14 are each independently hydrogen, alkyl, haloalkyl, optionally substituted aryl or optionally substituted aralkyl;
  • as an individual stereoisomer, enantiomer or tautomer thereof or a mixture thereof;
  • or a pharmaceutically acceptable salt, solvate or prodrug thereof.

[0038]

The compounds of the invention, which are compounds of formula (I), as described above, as individual stereoisomers, enantiomers or tautomers thereof or mixtures thereof; or as pharmaceutically acceptable salts, solvates or prodrugs thereof, are useful in treating diseases or conditions associated with voltage-gated sodium channels, preferably Nav1.6. Preferably, the compounds of the invention are Nav1.6 inhibitors. More preferably, the compounds of the invention show selectivity of inhibiting Nav1.6 as compared with inhibiting Nav1.5 and/or Nav1.1. Without wishing to be bound by theory, such selectivity is thought to advantageously reduce any side effects which may be associated with the inhibition of Nav1.5 and/or Nav1.1.

[0039]

In another aspect, the invention provides pharmaceutical compositions comprising a pharmaceutically acceptable excipient and a compound of formula (I), as described above, as a stereoisomer, enantiomer or tautomer thereof or mixtures thereof; or a pharmaceutically acceptable salt, solvate or prodrug thereof.

[0040]

In another aspect, the invention provides methods for the treatment of a sodium channel-mediated disease or condition in a mammal, wherein the methods comprise administering to the mammal in need thereof a therapeutically effective amount of a compound of the invention, as set forth above, as a stereoisomer, enantiomer or tautomer thereof or mixtures thereof; or a pharmaceutically acceptable salt, solvate or prodrug thereof, or a pharmaceutical composition comprising a therapeutically effective amount of a compound of the invention, as set forth above, as a stereoisomer, enantiomer or tautomer thereof or mixtures thereof, or a pharmaceutically acceptable salt, solvate or prodrug thereof, and a pharmaceutically acceptable excipient.

[0041]

In another aspect, the invention provides methods for the treatment of epilepsy and/or epileptic seizure disorder in a mammal, preferably a human, wherein the methods comprise administering to the mammal in need thereof a therapeutically effective amount of a compound of the invention, as set forth above, as a stereoisomer, enantiomer or tautomer thereof or mixtures thereof; or a pharmaceutically acceptable salt, solvate or prodrug thereof, or a pharmaceutical composition comprising a therapeutically effective amount of a compound of the invention, as set forth above, as a stereoisomer, enantiomer or tautomer thereof or mixtures thereof, or a pharmaceutically acceptable salt, solvate or prodrug thereof, and a pharmaceutically acceptable excipient.

[0042]

In another aspect, the present invention provides a method for treating or lessening the severity of a disease, condition, or disorder in a mammal where activation or hyperactivity of Nav1.6 is implicated in the disease, condition or disorder, wherein the method comprises administering to the mammal in need thereof a therapeutically effective amount of a compound of the invention, as set forth above, as a stereoisomer, enantiomer or tautomer thereof or mixtures thereof; or a pharmaceutically acceptable salt, solvate or prodrug thereof, or a pharmaceutical composition comprising a therapeutically effective amount of a compound of the invention, as set forth above, as a stereoisomer, enantiomer or tautomer thereof or mixtures thereof, or a pharmaceutically acceptable salt, solvate or prodrug thereof, and a pharmaceutically acceptable excipient.

[0043]

In another aspect, the invention provides methods of treating or ameliorating, but not preventing, epilepsy and/or epileptic seizure disorder in a mammal, wherein the methods comprise administering to the mammal in need thereof a therapeutically effective amount of a compound of the invention, as set forth above, as a stereoisomer, enantiomer or tautomer thereof or mixtures thereof, or a pharmaceutically acceptable salt, solvate or prodrug thereof, or a pharmaceutical composition comprising a therapeutically effective amount of a compound of the invention, as set forth above, as a stereoisomer, enantiomer or tautomer thereof or mixtures thereof, or a pharmaceutically acceptable salt, solvate or prodrug thereof, and a pharmaceutically acceptable excipient.

[0044]

In another aspect, the invention provides methods of preparing a compound of the invention, as set forth above, as a stereoisomer, enantiomer or tautomer thereof or mixtures thereof; or a pharmaceutically acceptable salt, solvate or prodrug thereof, or a pharmaceutical composition comprising a therapeutically effective amount of a compound of the invention, as set forth above, as a stereoisomer, enantiomer or tautomer thereof or mixtures thereof, or a pharmaceutically acceptable salt, solvate or prodrug thereof, and a pharmaceutically acceptable excipient.

[0045]

In another aspect, the invention provides pharmaceutical therapy in combination with one or more other compounds of the invention or one or more other accepted therapies or as any combination thereof to increase the potency of an existing or future drug therapy or to decrease the adverse events associated with the accepted therapy. In one embodiment, the present invention relates to a pharmaceutical composition combining compounds of the present invention with established or future therapies for the indications listed herein.

[0046]

In another aspect, this invention is directed to methods of selectively inhibiting a first voltage-gated sodium channel in a mammal over a second voltage-gated sodium channel, wherein the method comprises administering to the mammal a inhibitory amount of a compound of the invention, as set forth above, as a stereoisomer, enantiomer or tautomer thereof or mixtures thereof; or a pharmaceutically acceptable salt, solvate or prodrug thereof, or a pharmaceutical composition comprising a inhibitory amount of a compound of the invention, as set forth above, as a stereoisomer, enantiomer or tautomer thereof or mixtures thereof, or a pharmaceutically acceptable salt, solvate or prodrug thereof, and a pharmaceutically acceptable excipient.

[0047]

In another aspect, this invention is directed to the use of the compounds of the invention, as set forth above, as a stereoisomer, enantiomer or tautomer thereof or mixtures thereof, or a pharmaceutically acceptable salt, solvate or prodrug thereof, or the use of a pharmaceutical composition comprising a pharmaceutically acceptable excipient and a compound of the invention, as set forth above, as a stereoisomer, enantiomer or tautomer thereof or mixtures thereof, or a pharmaceutically acceptable salt, solvate or prodrug thereof, in the preparation of a medicament for the treatment of a disease or condition associated with the activity of a voltage-gated sodium channel, preferably Nav1.6, in a mammal and preferably wherein the disease or condition is epilepsy and/or epileptic seizure disorder.

DETAILED DESCRIPTION OF THE INVENTION

Definitions

[0048]

Certain chemical groups named herein may be preceded by a shorthand notation indicating the total number of carbon atoms that are to be found in the indicated chemical group. For example; C7-C12alkyl describes an alkyl group, as defined below, having a total of 7 to 12 carbon atoms, and C4-C12cycoalkylalkyl describes a cycloalkylalkyl group, as defined below, having a total of 4 to 12 carbon atoms. The total number of carbons in the shorthand notation does not include carbons that may exist in substituents of the group described.

[0049]

In addition to the foregoing, as used in the specification and appended claims, unless specified to the contrary, the following terms have the meaning indicated:

[0050]

“Alkyl” refers to a straight or branched hydrocarbon chain radical consisting solely of carbon and hydrogen atoms, containing no unsaturation, having from one to twelve carbon atoms, preferably one to eight carbon atoms, more preferably one to six carbon atoms, and which is attached to the rest of the molecule by a single bond, e.g., methyl, ethyl, n-propyl, 1-methylethyl (iso-propyl), n-butyl, n-pentyl, 1,1-dimethylethyl (t-butyl), 3-methylhexyl, 2-methylhexyl, and the like. When specifically stated in the specification, an alkyl group may be optionally substituted by one of the following groups: halo, cyano, nitro, aryl, cycloalkyl, heterocyclyl, heteroaryl, oxo, trimethylsilanyl, —OR20, —OC(O)—R20, —N(R20)2, —C(O)R20, —C(O)OR20, —C(O)N(R20)2, —N(R20)C(O)OR22, —N(R20)C(O)R22, —N(R20)S(O)pR22 (where p is 1 to 2), —S(O)pOR22 (where p is 1 to 2), —S(O)tR22 (where t is 0 to 2), and —S(O)pN(R20)2 (where p is 1 to 2) where each R20 is independently hydrogen, alkyl, haloalkyl, cycloalkyl, cycloalkylalkyl, aryl, aralkyl, heterocyclyl, heterocyclylalkyl, heteroaryl or heteroarylalkyl; and each R22 is alkyl, haloalkyl, cycloalkyl, cycloalkylalkyl, aryl, aralkyl, heterocyclyl, heterocyclylalkyl, heteroaryl or heteroarylalkyl.

[0051]

“Alkenyl” refers to a straight or branched hydrocarbon chain radical group consisting solely of carbon and hydrogen atoms, containing at least one double bond, having from two to twelve carbon atoms, preferably two to eight carbon atoms and which is attached to the rest of the molecule by a single bond, e.g., ethenyl, prop-1-enyl, but-1-enyl, pent-1-enyl, penta-1,4-dienyl, and the like. When specifically stated in the specification, an alkenyl group may be optionally substituted by one of the following groups: halo, cyano, nitro, aryl, cycloalkyl, heterocyclyl, heteroaryl, oxo, trimethylsilanyl, —OR20, —OC(O)—R20, —N(R20)2, —C(O)R20, —C(O)OR20, —C(O)N(R20)2, —N(R20)C(O)OR22, —N(R20)C(O)R22, —N(R20)S(O)pR22 (where p is 1 to 2), —S(O)pOR22 (where p is 1 to 2), —S(O)tR22 (where t is 0 to 2), and —S(O)pN(R20)2 (where p is 1 to 2) where each R20 is independently hydrogen, alkyl, haloalkyl, cycloalkyl, cycloalkylalkyl, aryl, aralkyl, heterocyclyl, heterocyclylalkyl, heteroaryl or heteroarylalkyl; and each R22 is alkyl, haloalkyl, cycloalkyl, cycloalkylalkyl, aryl, aralkyl, heterocyclyl, heterocyclylalkyl, heteroaryl or heteroarylalkyl.

[0052]

“Alkylene” or “alkylene chain” refers to a straight or branched divalent hydrocarbon chain linking the rest of the molecule to a radical group or linking two parts of the molecule, consisting solely of carbon and hydrogen, containing no unsaturation and having from one to twelve carbon atoms, e.g., methylene, ethylene, propylene, n-butylene, and the like. The alkylene chain may optionally contain one or more heteroatoms wherein a carbon in the alkylene chain is replaced with a heteroatom selected from oxygen, nitrogen or sulfur. The alkylene chain is attached to the rest of the molecule through a single bond and to the radical group through a single bond or is attached to two parts of the molecule through a single bond at each point of attachment. When specifically stated in the specification, an alkylene chain may be optionally substituted by one of the following groups: alkyl, alkenyl, halo, haloalkenyl, cyano, nitro, aryl, cycloalkyl, heterocyclyl, heteroaryl, oxo, trimethylsilanyl, —OR20, —OC(O)—R20, —N(R20)2, —C(O)R20, —C(O)OR20, —C(O)N(R20)2, —N(R20)C(O)OR22, —N(R20)C(O)R22, —N(R20)S(O)pR22 (where p is 1 to 2), —S(O)pOR22 (where p is 1 to 2), —S(O)tR22 (where t is 0 to 2), and —S(O)pN(R20)2 (where p is 1 to 2) where each R20 is independently hydrogen, alkyl, haloalkyl, cycloalkyl, cycloalkylalkyl, aryl, aralkyl, heterocyclyl, heterocyclylalkyl, heteroaryl or heteroarylalkyl; and each R22 is alkyl, haloalkyl, cycloalkyl, cycloalkylalkyl, aryl, aralkyl, heterocyclyl, heterocyclylalkyl, heteroaryl or heteroarylalkyl.

[0053]

“Aryl” refers to a hydrocarbon ring system radical comprising hydrogen, 6 to 18 carbon atoms and at least one aromatic ring. For purposes of this invention, the aryl radical may be a monocyclic, bicyclic, tricyclic or tetracyclic ring system, which may included fused or bridged ring systems. Aryl radicals include, but are not limited to, aryl radicals derived from aceanthrylene, acenaphthylene, acephenanthrylene, anthracene, azulene, benzene, chrysene, fluoranthene, fluorene, as-indacene, s-indacene, indane, indene, naphthalene, phenalene, phenanthrene, pleiadene, pyrene, and triphenylene. When specifically stated in the specification, an aryl group may be optionally substituted by one or more substituents independently selected from the group consisting of alkyl, alkenyl, halo, haloalkyl, haloalkenyl, cyano, nitro, aryl, aralkyl, cycloalkyl, cycloalkylalkyl, heterocyclyl, heterocyclylalkyl, heteroaryl, heteroarylalkyl, —R21—OR20, —R21—OC(O)—R20, —R21—N(R20)2, —R21—C(O)R20, —R21—C(O)OR20, —R21—C(O)N(R20)2, —R21—N(R20)C(O)OR22, —R21—N(R20)C(O)R22, —R21—N(R20)S(O)pR22 (where p is 1 to 2), —R21—N═C(OR20)R20, —R21—S(O)pOR22 (where p is 1 to 2), —R21—S(O)tR22 (where t is 0 to 2), and —R21—S(O)pN(R20)2 (where p is 1 to 2) where each R20 is independently hydrogen, alkyl, haloalkyl, cycloalkyl, cycloalkylalkyl, aryl, aralkyl, heterocyclyl, heterocyclylalkyl, heteroaryl or heteroarylalkyl; each R21 is independently a direct bond or a straight or branched alkylene chain; and each R22 is alkyl, haloalkyl, cycloalkyl, cycloalkylalkyl, aryl, aralkyl, heterocyclyl, heterocyclylalkyl, heteroaryl or heteroarylalkyl. Preferably, the optional substituents on an optionally substituted aryl group for R1 herein are selected from alkyl, optionally substituted cycloalkyl, halo, haloalkyl, optionally substituted aryl, —R21—OR20, —R21—C(O)OR20 and —R21—N(R20)2 (where R20 and R21 are as defined above). Preferably, the optional substituents on an optionally substituted aryl group for R5 herein are halo.

[0054]

“Aralkyl” refers to a radical of the formula —Rb—Rc where Rb is an alkylene chain as defined above and Rc is one or more aryl radicals as defined above, for example, benzyl, diphenylmethyl and the like. The alkylene chain part of the aralkyl radical may be optionally substituted as described above for an alkylene chain. The aryl part of the aralkyl radical may be optionally substituted as described above for an aryl group.

[0055]

“Cycloalkyl” refers to a stable non-aromatic monocyclic or polycyclic hydrocarbon radical consisting solely of carbon and hydrogen atoms, which may include fused or bridged ring systems, having from three to fifteen carbon atoms, preferably having from three to ten carbon atoms, and which is saturated or unsaturated and attached to the rest of the molecule by a single bond. Monocyclic radicals include, for example, cyclopropyl, cyclobutyl, cyclopentyl, cyclohexyl, cycloheptyl, and cyclooctyl. Polycyclic radicals include, for example, adamantyl, norbornyl, decalinyl, and the like. When specifically stated in the specification, a cycloalkyl group may be optionally substituted by one or more substituents independently selected from the group consisting of alkyl, alkenyl, halo, haloalkyl, haloalkenyl, cyano, nitro, oxo, aryl, aralkyl, cycloalkyl, cycloalkylalkyl, heterocyclyl, heterocyclylalkyl, heteroaryl, heteroarylalkyl, —R21—OR20, —R21—OC(O)—R20, —R21—N(R20)2, —R21—C(O)R20, —R21—C(O)OR20, —R21—C(O)N(R20)2, —R21—N(R20)C(O)OR22, —R21—N(R20)C(O)R22, —R21—N(R20)S(O)pR22 (where p is 1 to 2), —R21—N═C(OR20)R20, —R21—S(O)pOR22 (where p is 1 to 2), —R21—S(O)tR22 (where t is 0 to 2), and —R21—S(O)pN(R20)2 (where p is 1 to 2) where each R2 is independently hydrogen, alkyl, haloalkyl, cycloalkyl, cycloalkylalkyl, aryl, aralkyl, heterocyclyl, heterocyclylalkyl, heteroaryl or heteroarylalkyl; each R21 is independently a direct bond or a straight or branched alkylene chain; and each R22 is alkyl, haloalkyl, cycloalkyl, cycloalkylalkyl, aryl, aralkyl, heterocyclyl, heterocyclylalkyl, heteroaryl or heteroarylalkyl.

[0056]

“Cycloalkylalkyl” refers to a radical of the formula —RbRg where Rb is an alkylene chain as defined above and Rg is a cycloalkyl radical as defined above. When specifically stated in the specification, the alkylene chain and/or the cycloalkyl radical may be optionally substituted as defined above for optionally substituted alkylene chain and optionally substituted cycloalkyl.

[0057]

“Halo” refers to bromo, chloro, fluoro or iodo.

[0058]

“Haloalkyl” refers to an alkyl radical, as defined above, that is substituted by one or more halo radicals, as defined above, e.g., trifluoromethyl, difluoromethyl, trichloromethyl, 2,2,2-trifluoroethyl, 1-fluoromethyl-2-fluoroethyl, 3-bromo-2-fluoropropyl, 1-bromomethyl-2-bromoethyl, and the like. The alkyl part of the haloalkyl radical may be optionally substituted as defined above for an alkyl group.

[0059]

“Heterocyclyl” refers to a stable 3- to 18-membered non-aromatic ring radical which consists of two to twelve carbon atoms and from one to six heteroatoms selected from the group consisting of nitrogen, oxygen and sulfur. Unless stated otherwise specifically in the specification, the heterocyclyl radical may be a monocyclic, bicyclic, tricyclic or tetracyclic ring system, which may include fused, bridged and spiro ring systems; and the nitrogen, carbon or sulfur atoms in the heterocyclyl radical may be optionally oxidized; the nitrogen atom may be optionally quaternized; and the heterocyclyl radical may be partially or fully saturated. Examples of such heterocyclyl radicals include, but are not limited to, dioxolanyl, dioxinyl, thienyl[1,3]dithianyl, decahydroisoquinolyl, imidazolinyl, imidazolidinyl, isothiazolidinyl, isoxazolidinyl, morpholinyl, octahydroindolyl, octahydroisoindolyl, 2-oxopiperazinyl, 2-oxopiperidinyl, 2-oxopyrrolidinyl, oxazolidinyl, piperidinyl, piperazinyl, 4-piperidonyl, pyrrolidinyl, pyrazolidinyl, quinuclidinyl, thiazolidinyl, 1,2,4-thiadiazol-5(4H)-ylidene, tetrahydrofuryl, trioxanyl, trithianyl, triazinanyl, tetrahydropyranyl, thiomorpholinyl, thiamorpholinyl, 1-oxo-thiomorpholinyl, and 1,1-dioxo-thiomorpholinyl. When specifically stated in the specification, a heterocydyl group may be optionally substituted by one or more substituents selected from the group consisting of alkyl, alkenyl, halo, haloalkyl, haloalkenyl, cyano, oxo, thioxo, nitro, aryl, aralkyl, cycloalkyl, cycloalkylalkyl, heterocyclyl, heterocyclylalkyl, heteroaryl, heteroarylalkyl, —R21—OR20, —R21—OC(O)—R20, —R21—N(R20)2, —R21—C(O)R20, —R21—C(O)OR20, —R21—C(O)N(R20)2, —R21—N(R20)C(O)OR20, —R21—N(R20)C(O)R22, —R21—N(R20)S(O)pR22 (where p is 1 to 2), —R21—N═C(OR20)R20, —R21—S(O)pOR22 (where p is 1 to 2), —R21—S(O)tR22 (where t is 0 to 2), and —R21—S(O)pN(R20)2 (where p is 1 to 2) where each R20 is independently hydrogen, alkyl, alkenyl, haloalkyl, cycloalkyl, cycloalkylalkyl, aryl, aralkyl, heterocyclyl, heterocyclylalkyl, heteroaryl or heteroarylalkyl; each R21 is independently a direct bond or a straight or branched alkylene chain; and each R22 is alkyl, alkenyl, haloalkyl, cycloalkyl, cycloalkylalkyl, aryl, aralkyl, heterocyclyl, heterocyclylalkyl, heteroaryl or heteroarylalkyl.

[0060]

“N-heterocyclyl” refers to a heterocyclyl radical as defined above containing at least one nitrogen. The point of attachment of the N-heterocydyl to the rest of the molecule can be through a nitrogen atom or a carbon atom in the N-heterocyclyl. When specifically stated in the specification, an N-heterocyclyl radical may be optionally substituted as described above for an optionally substituted heterocyclyl radical.

[0061]

“Heterocyclylalkyl” refers to a radical of the formula —RbRh where Rb is an alkylene chain as defined above and Rh is a heterocyclyl radical as defined above, and if the heterocyclyl is a nitrogen-containing heterocyclyl, the heterocyclyl may be attached to the alkyl radical at the nitrogen atom. When specifically stated in the specification, the alkylene chain of the heterocyclylalkyl radical may be optionally substituted as defined above for an optionally substituted alkylene chain. When specifically stated in the specification, the heterocyclyl part of the heterocyclylalkyl radical may be optionally substituted as defined above for an optionally substituted heterocyclyl group.

[0062]

“Heteroaryl” refers to a 5- to 14-membered ring system radical comprising hydrogen atoms, one to thirteen carbon atoms, one to six heteroatoms selected from the group consisting of nitrogen, oxygen and sulfur, and at least one aromatic ring. For purposes of this invention, the heteroaryl radical may be a monocyclic, bicyclic, tricyclic or tetracyclic ring system, which may include fused or bridged ring systems; and the nitrogen, carbon or sulfur atoms in the heteroaryl radical may be optionally oxidized; the nitrogen atom may be optionally quaternized. Examples include, but are not limited to, azepinyl, acridinyl, benzimidazolyl, benzthiazolyl, benzindolyl, benzodioxolyl, benzofuranyl, benzooxazolyl, benzothiazolyl, benzothiadiazolyl, benzo[b][1,4]dioxepinyl, 1,4-benzodioxanyl, benzonaphthofuranyl, benzoxazolyl, benzodioxolyl, benzodioxinyl, benzopyranyl, benzopyranonyl, benzofuranyl, benzofuranonyl, benzothienyl (benzothiophenyl), benzotriazolyl, benzo[4,6]imidazo[1,2-a]pyridinyl, benzoxazolinonyl, benzimidazolthionyl, carbazolyl, cinnolinyl, dibenzofuranyl, dibenzothiophenyl, furanyl, furanonyl, isothiazolyl, imidazolyl, indazolyl, indolyl, indazolyl, isoindolyl, indolinyl, isoindolinyl, isoquinolyl, indolizinyl, isoxazolyl, naphthyridinyl, oxadiazolyl, 2-oxoazepinyl, oxazolyl, oxiranyl, 1-oxidopyridinyl, 1-oxidopyrimidinyl, 1-oxidopyrazinyl, 1-oxidopyridazinyl, 1-phenyl-1H-pyrrolyl, phenazinyl, phenothiazinyl, phenoxazinyl, phthalazinyl, pteridinyl, pteridinonyl, purinyl, pyrrolyl, pyrazolyl, pyridinyl, pyridinonyl, pyrazinyl, pyrimidinyl, pryrimidinonyl, pyridazinyl, pyrrolyl, pyrido[2,3-d]pyrimidinonyl, quinazolinyl, quinazolinonyl, quinoxalinyl, quinoxalinonyl, quinolinyl, isoquinolinyl, tetrahydroquinolinyl, thiazolyl, thiadiazolyl, thieno[3,2-d]pyrimidin-4-onyl, thieno[2,3-d]pyrimidin-4-onyl, triazolyl, tetrazolyl, triazinyl, and thiophenyl (i.e. thienyl). When specifically stated in the specification, a heteroaryl group may be optionally substituted by one or more substituents selected from the group consisting of alkyl, alkenyl, halo, haloalkyl, haloalkenyl, cyano, oxo, thioxo, nitro, thioxo, aryl, aralkyl, cycloalkyl, cycloalkylalkyl, heterocyclyl, heterocyclylalkyl, heteroaryl, heteroarylalkyl, —R21—OR20, —R21—OC(O)—R20, —R21—N(R20)2, —R21—C(O)R20, —R21—C(O)OR20, —R21—C(O)N(R20)2, —R21—N(R20)C(O)OR22, —R21—N(R20)C(O)R22, —R21—N(R20)S(O)pR22 (where p is 1 to 2), —R21—N═C(OR20)R20, —R21—S(O)pOR22 (where p is 1 to 2), —R21—S(O)tR22 (where t is 0 to 2), and —R21—S(O)pN(R20)2 (where p is 1 to 2) where each R2 is independently hydrogen, alkyl, alkenyl, haloalkyl, cycloalkyl, cycloalkylalkyl, aryl, aralkyl, heterocyclyl, heterocyclylalkyl, heteroaryl or heteroarylalkyl; each R21 is independently a direct bond or a straight or branched alkylene chain; and each R22 is alkyl, alkenyl, haloalkyl, cycloalkyl, cycloalkylalkyl, aryl, aralkyl, heterocyclyl, heterocyclylalkyl, heteroaryl or heteroarylalkyl.

[0063]

“N-heteroaryl” refers to a heteroaryl radical as defined above containing at least one nitrogen. The point of attachment of the N-heteroaryl to the rest of the molecule can be through a nitrogen atom or a carbon atom in the N-heteroaryl. When specifically stated in the specification, an N-heteroaryl radical may be optionally substituted as described above for an optionally substituted heteroaryl radical.

[0064]

“Heteroarylalkyl” refers to a radical of the formula —RbRi where Rb is an alkylene chain as defined above and Ri is a heteroaryl radical as defined above. When specifically stated in the specification, the heteroaryl part of the heteroarylalkyl radical may be optionally substituted as defined above for an optionally substituted heteroaryl group. When specifically stated in the specification, the alkylene chain part of the heteroarylalkyl radical may be optionally substituted as defined above for an optionally substituted alkylene chain.

[0065]

“Prodrug” is meant to indicate a compound that may be converted under physiological conditions or by solvolysis to a biologically active compound of the invention. Thus, the term “prodrug” refers to a metabolic precursor of a compound of the invention that is pharmaceutically acceptable. A prodrug may be inactive when administered to a subject in need thereof, but is converted in vivo to an active compound of the invention. Prodrugs are typically rapidly transformed in vivo to yield the parent compound of the invention, for example, by hydrolysis in blood. The prodrug compound often offers advantages of solubility, tissue compatibility or delayed release in a mammalian organism (see, Bundgard, H., Design of Prodrugs (1985), pp. 7-9, 21-24 (Elsevier, Amsterdam)). A discussion of prodrugs is provided in Higuchi, T., et al., “Pro-drugs as Novel Delivery Systems,” A.C.S. Symposium Series, Vol. 14, and in Bioreversible Carriers in Drug Design, Ed. Edward B. Roche, American Pharmaceutical Association and Pergamon Press, 1987, both of which are incorporated in full by reference herein.

[0066]

The term “prodrug” is also meant to include any covalently bonded carriers, which release the active compound of the invention in vivo when such prodrug is administered to a mammalian subject. Prodrugs of a compound of the invention may be prepared by modifying functional groups present in the compound of the invention in such a way that the modifications are cleaved, either in routine manipulation or in vivo, to the parent compound of the invention. Prodrugs include compounds of the invention wherein a hydroxy, amino or mercapto group is bonded to any group that, when the prodrug of the compound of the invention is administered to a mammalian subject, cleaves to form a free hydroxy, free amino or free mercapto group, respectively. Examples of prodrugs include, but are not limited to, acetate, formate and benzoate derivatives of alcohol or amide derivatives of amine functional groups in the compounds of the invention and the like.

[0067]

The invention disclosed herein is also meant to encompass all pharmaceutically acceptable compounds of formula (I) being isotopically-labelled by having one or more atoms replaced by an atom having a different atomic mass or mass number. Examples of isotopes that can be incorporated into the disclosed compounds include isotopes of hydrogen, carbon, nitrogen, oxygen, phosphorous, fluorine, chlorine, and iodine, such as2H,3H,11C,13C,14C,13N,15N,15O,17O,18O,31P,32P,35S,18F,36Cl,123I, and125I, respectively. These radiolabelled compounds could be useful to help determine or measure the effectiveness of the compounds, by characterizing, for example, the site or mode of action on the sodium channels, or binding affinity to pharmacologically important site of action on the sodium channels. Certain isotopically-labelled compounds of formula (I), for example, those incorporating a radioactive isotope, are useful in drug and/or substrate tissue distribution studies. The radioactive isotopes tritium, i.e.3H, and carbon-14, i.e.14C, are particularly useful for this purpose in view of their ease of incorporation and ready means of detection.

[0068]

Substitution with heavier isotopes such as deuterium, i.e.2H, may afford certain therapeutic advantages resulting from greater metabolic stability, for example, increased in vivo half-life or reduced dosage requirements, and hence may be preferred in some circumstances. In one embodiment of the invention, the compounds of formula (I) are enriched with deuterium. Such deuterated compounds can be achieved by methods known to one skilled in the art, such as exchanging protons with deuterium or by synthesizing the molecule with enriched starting materials.

[0069]

Substitution with positron emitting isotopes, such as11C,18F,15O and13N, can be useful in Positron Emission Topography (PET) studies for examining substrate receptor occupancy. Isotopically-labeled compounds of formula (I) can generally be prepared by conventional techniques known to those skilled in the art or by processes analogous to those described in the Examples and Preparations as set out below using an appropriate isotopically-labeled reagent in place of the non-labeled reagent previously employed.

[0070]

The invention disclosed herein is also meant to encompass the in vive metabolic products of the disclosed compounds. Such products may result from, for example, the oxidation, reduction, hydrolysis, amidation, esterification, and the like of the administered compound, primarily due to enzymatic processes. Accordingly, the invention includes compounds produced by a process comprising contacting a compound of this invention with a mammal for a period of time sufficient to yield a metabolic product thereof. Such products are typically are identified by administering a radiolabelled compound of the invention in a detectable dose to an animal, such as rat, mouse, guinea pig, monkey, or to human, allowing sufficient time for metabolism to occur, and isolating its conversion products from the urine, blood or other biological samples.

[0071]

“Stable compound” and “stable structure” are meant to indicate a compound that is sufficiently robust to survive isolation to a useful degree of purity from a reaction mixture, and formulation into an efficacious therapeutic agent.

[0072]

“Mammal” includes humans and both domestic animals such as laboratory animals and household pets, (e.g., cats, dogs, swine, cattle, sheep, goats, horses, rabbits), and non-domestic animals such as wildlife and the like.

[0073]

“Optional” or “optionally” means that the subsequently described event of circumstances may or may not occur, and that the description includes instances where said event or circumstance occurs and instances in which it does not. For example, “optionally substituted aryl” means that the aryl radical may or may not be substituted and that the description includes both substituted aryl radicals and aryl radicals having no substitution (“unsubstituted”). When a functional group is described as “optionally substituted,” and in turn, substitutents on the functional group are also “optionally substituted” and so on, for the purposes of this invention, such iterations are limited to five, preferably such iterations are limited to two.

[0074]

“Pharmaceutically acceptable carrier, diluent or excipient” includes without limitation any adjuvant, carrier, excipient, glidant, sweetening agent, diluent, preservative, dye/colorant, flavor enhancer, surfactant, wetting agent, dispersing agent, suspending agent, stabilizer, isotonic agent, solvent, or emulsifier which has been approved by the United States Food and Drug Administration as being acceptable for use in humans or domestic animals.

[0075]

“Pharmaceutically acceptable salt” includes both acid and base addition salts.

[0076]

“Pharmaceutically acceptable acid addition salt” refers to those salts which retain the biological effectiveness and properties of the free bases, which are not biologically or otherwise undesirable, and which are formed with inorganic acids such as, but are not limited to, hydrochloric acid, hydrobromic acid, sulfuric acid, nitric acid, phosphoric acid and the like, and organic acids such as, but not limited to, acetic acid, 2,2-dichloroacetic acid, adipic acid, alginic acid, ascorbic acid, aspartic acid, benzenesulfonic acid, benzoic acid, 4-acetamidobenzoic acid, camphoric acid, camphor-10-sulfonic acid, capric acid, caproic acid, caprylic acid, carbonic acid, cinnamic acid, citric acid, cyclamic acid, dodecylsulfuric acid, ethane-1,2-disulfonic acid, ethanesulfonic acid, 2-hydroxyethanesulfonic acid, formic acid, fumaric acid, galactaric acid, gentisic acid, glucoheptonic acid, gluconic acid, glucuronic acid, glutamic acid, glutaric acid, 2-oxo-glutaric acid, glycerophosphoric acid, glycolic acid, hippuric acid, isobutyric acid, lactic acid, lactobionic acid, lauric acid, maleic acid, malic acid, malonic acid, mandelic acid, methanesulfonic acid, mucic acid, naphthalene-1,5-disulfonic acid, naphthalene-2-sulfonic acid, 1-hydroxy-2-naphthoic acid, nicotinic acid, oleic acid, orotic acid, oxalic acid, palmitic acid, pamoic acid, propionic acid, pyroglutamic acid, pyruvic acid, salicylic acid, 4-aminosalicylic acid, sebacic acid, stearic acid, succinic acid, tartaric acid, thiocyanic acid, p-toluenesulfonic acid, trifluoroacetic acid, undecylenic acid, and the like.

[0077]

“Pharmaceutically acceptable base addition salt” refers to those salts which retain the biological effectiveness and properties of the free acids, which are not biologically or otherwise undesirable. These salts are prepared from addition of an inorganic base or an organic base to the free acid. Salts derived from inorganic bases include, but are not limited to, the sodium, potassium, lithium, ammonium, calcium, magnesium, iron, zinc, copper, manganese, aluminum salts and the like. Preferred inorganic salts are the ammonium, sodium, potassium, calcium, and magnesium salts. Salts derived from organic bases include, but are not limited to, salts of primary, secondary, and tertiary amines, substituted amines including naturally occurring substituted amines, cyclic amines and basic ion exchange resins, such as ammonia, isopropylamine, trimethylamine, diethylamine, triethylamine, tripropylamine, diethanolamine, ethanolamine, deanol, 2-dimethylaminoethanol, 2-diethylaminoethanol, dicyclohexylamine, lysine, arginine, histidine, caffeine, procaine, hydrabamine, choline, betaine, benethamine, benzathine, ethylenediamine, glucosamine, methylglucamine, theobromine, triethanolamine, tromethamine, purines, piperazine, piperidine, N-ethylpiperidine, polyamine resins and the like. Particularly preferred organic bases are isopropylamine, diethylamine, ethanolamine, trimethylamine, dicyclohexylamine, choline and caffeine.

[0078]

Often crystallizations produce a solvate of the compound of the invention. As used herein, the term “solvate” refers to an aggregate that comprises one or more molecules of a compound of the invention with one or more molecules of solvent. The solvent may be water, in which case the solvate may be a hydrate. Alternatively, the solvent may be an organic solvent. Thus, the compounds of the present invention may exist as a hydrate, including a monohydrate, dihydrate, hemihydrate, sesquihydrate, trihydrate, tetrahydrate and the like, as well as the corresponding solvated forms. The compound of the invention may be true solvates, while in other cases, the compound of the invention may merely retain adventitious water or be a mixture of water plus some adventitious solvent.

[0079]

A “pharmaceutical composition” refers to a formulation of a compound of the invention and a medium generally accepted in the art for the delivery of the biologically active compound to mammals, e.g., humans. Such a medium includes all pharmaceutically acceptable carriers, diluents or excipients therefor.

[0080]

“Therapeutically effective amount” refers to that amount of a compound of the invention which, when administered to a mammal, preferably a human, is sufficient to effect treatment, as defined below, of a sodium channel-mediated disease or condition in the mammal, preferably a human. The amount of a compound of the invention which constitutes a “therapeutically effective amount” will vary depending on the compound, the condition and its severity, the manner of administration, and the age of the mammal to be treated, but can be determined routinely by one of ordinary skill in the art having regard to his own knowledge and to this disclosure.

[0081]

“Treating” or “treatment” as used herein covers the treatment of the disease or condition of interest in a mammal, preferably a human, having the disease or condition of interest, and includes:

[0082]

(a) preventing the disease or condition from occurring in a mammal, in particular, when such mammal is predisposed to the condition but has not yet been diagnosed as having it;

[0083]

(b) inhibiting the disease or condition, i.e., arresting its development;

[0084]

(c) relieving (or ameliorating) the disease or condition, i.e., causing regression of the disease or condition; or

[0085]

(d) relieving (or ameliorating) the symptoms resulting from the disease or condition, e.g., relieving epilepsy without addressing the underlying disease or condition.

[0086]

As defined herein, a sodium channel-mediated disease or condition is a disease or condition ameliorated or prevented by modulation of sodium channels and includes without limitation central nervous conditions such as epilepsy, depression and anxiety; neuromuscular conditions such as muscle paralysis, Amyotrophic Lateral Sclerosis (ALS) and restless leg syndrome; pain; chemotherapy-induced peripheral neuropathy; cardiovascular conditions such as atrial fibrillation and ventricular fibrillation; neuroprotection against multiple sclerosis, neural trauma and stroke; and dermatological conditions such as pruritus.

[0087]

As used herein, the terms “disease” and “condition” may be used interchangeably or may be different in that the particular malady or condition may not have a known causative agent (so that etiology has not yet been worked out) and it is therefore not yet recognized as a disease but only as an undesirable condition or syndrome, wherein a more or less specific set of symptoms have been identified by clinicians.

[0088]

The compounds of the invention, or their pharmaceutically acceptable salts may contain one or more stereocenters and may thus give rise to enantiomers, diastereomers, and other stereoisomeric forms that may be defined, in terms of absolute stereochemistry, as (R)- or (S)- or, as (D)- or (L)- for amino acids. The present invention is meant to include all such possible isomers, as well as their racemic and optically pure forms. Optically active (+) and (−), (R)- and (S)-, or (D)- and (L)-isomers may be prepared using chiral synthons or chiral reagents, or resolved using conventional techniques, for example, chromatography and fractional crystallisation. Conventional techniques for the preparation/isolation of individual enantiomers include chiral synthesis from a suitable optically pure precursor or resolution of the racemate (or the racemate of a salt or derivative) using, for example, chiral high pressure liquid chromatography (HPLC). When the compounds described herein contain olefinic double bonds or geometric asymmetry, and unless specified otherwise, it is intended that the compounds include both E and Z geometric isomers. Likewise, all tautomeric forms are also intended to be included.

[0089]

A “stereoisomer” refers to a compound made up of the same atoms bonded by the same bonds but having different three-dimensional structures, which are not interchangeable. The present invention contemplates various stereoisomers and mixtures thereof and includes enantiomers, which refers to two stereoisomers whose molecules are nonsuperimposeable mirror images of one another. See, for example, Smith, M. B. and J. March, March's Advanced Organic Chemistry: Reactions, Mechanisms, and Structure, 6th edition (Wiley, 2007), for a detailed description of the structure and properties of enantiomers and stereoisomers.

[0090]

A “tautomer” refers to a proton shift from one atom of a molecule to another atom of the same molecule. The present invention includes tautomers of any said compounds.

[0091]

The use of parentheses and brackets in substituent groups is used herein to conserve space. Accordingly, the use of parenthesis in a substituent group indicates that the group enclosed within the parentheses is attached directly to the atom preceding the parenthesis. The use of brackets in a substituent group indicates that the group enclosed within the brackets is also attached directly to the atom preceding the parenthesis.

[0092]

The chemical naming protocol and structure diagrams used herein are a modified form of the I.U.P.A.C. nomenclature system, using ChemDraw Professional Version 17.0 software program, wherein the compounds of the invention are named herein as derivatives of a central core structure, e.g., the heteroaryl-substituted sulfonamide structure. For complex chemical names employed herein, a substituent group is named before the group to which it attaches. For example, cyclopropylethyl comprises an ethyl backbone with cyclopropyl substituent. In chemical structure diagrams, all bonds are identified, except for some carbon atoms, which are assumed to be bonded to sufficient hydrogen atoms to complete the valency.

[0093]

“Enantiomers” refer to asymmetric molecules that can exist in two different isomeric forms which have different configurations in space. Other terms used to designate or refer to enantiomers include “stereoisomers” (because of the different arrangement or stereochemistry around the stereocenter; although all enantiomers are stereoisomers, not all stereoisomers are enantiomers) or “optical isomers” (because of the optical activity of pure enantiomers, which is the ability of different pure enantiomers to rotate plane-polarized light in different directions).

[0094]

The designations, “R” and “S”, for the absolute configuration of an enantiomer of the invention may appear as a prefix or as a suffix in the name of the compound; they may or may not be separated from the enantiomer name by a hyphen; they may or may not be hyphenated; and they may or may not be surrounded by parentheses.

[0095]

Following the standard chemical literature description practice and as used in this specification, a full wedge bond, as illustrated below in structure (B), means that the substituent bonded to the ring by this bond, in this case the R30 substituent, is above the ring plane as illustrated on the page in a two dimensional representation, and a dashed wedge bond, as illustrated below in Structure (B), means that the substituent bonded to the ring by this bond, in this case the R31 substituent, is below the ring plane as shown on the page in a two dimensional representation;

[0096]

[0097]

In the formulae depicted herein, a bond to a substituent and/or a bond that links a molecular fragment to the remainder of a compound may be shown as intersecting one or more bonds in a ring structure. This indicates that the bond may be attached to any one of the atoms that constitutes the ring structure, so long as a hydrogen atom could otherwise be present at that atom. Where no particular substituent(s) is identified for a particular position in a structure, then hydrogen(s) is present at that position. For example, in the following structure (D), the bond attaching the R30 substituent can be on any of the carbons, including the carbon to which the R31 is attached, provided that the valency allows for such an attachment:

[0098]

[0099]

In the compounds of formula (I), as set forth above in the Summary of the Invention, the heteroaryl choices for

[0100]


are depicted with a wavy line through the bonds showing the attachment of the heteroaryl to the rest of the molecule. It is understood that the bond to the left of the heteroaryl depicted as a choice for

[0101]


is directly attached to R3 group in the compounds of formula (I) and the bond to the right of the heteroaryl is directly attached to the sulfur atom in the —S(O)Z—N(R2)H group.

[0102]

“Resolution” or “resolving” when used in reference to a racemic compound or a racemic mixture of a compound of the invention refers to the separation of the racemic compound or a racemic mixture into its two enantiomeric forms (i.e., (+) and (−); (R) and (S) forms).

[0103]

“Enantiomeric excess” or “ee” as used herein refers to a product wherein one enantiomer is present in excess of the other, and is defined as the absolute difference in the mole fraction of each enantiomer. Enantiomeric excess is typically expressed as a percentage of an enantiomer present in a mixture relative to the other enantiomer. For purposes of this invention, the (S)-enantiomer of a compound prepared by the methods disclosed herein is considered to be “substantially free” of the corresponding (R)-enantiomer when the (S)-enantiomer is present in enantiomeric excess of greater than 80%, preferably greater than 90%, more preferably greater than 95% and most preferably greater than 99%.

[0104]

The chemical naming protocol and structure diagrams used herein are a modified form of the I.U.P.A.C. nomenclature system, using ChemDraw Professional Version 17.0 software program, wherein the compounds of the invention are named herein as derivatives of a central core structure, e.g., the heteroaryl-substituted sulfonamide structure. For complex chemical names employed herein, a substituent group is named before the group to which it attaches. For example, cyclopropylethyl comprises an ethyl backbone with cyclopropyl substituent. In chemical structure diagrams, all bonds are identified, except for some carbon atoms, which are assumed to be bonded to sufficient hydrogen atoms to complete the valency.

[0105]

Accordingly, a compound of formula (I) wherein

[0106]


m and n are both 1, X is —CH—, Y is a direct bond, R1 is unsubstituted phenyl, R2 is thiazol-4-yl, R3 is —N(CH3)—, R4 and R5 are both hydrogen, R6 is hydrogen and R11 is methyl, i.e., the compound of the following formula:

[0107]


is named herein as (S)-5-((1-benzylpyrrolidin-3-yl)(methyl)amino)-4-methyl-N-(thiazol-4-yl)pyridine-2-sulfonamide.

EMBODIMENTS OF THE INVENTION

[0108]

One aspect of the invention are compounds of formula (I) as set forth above in the Summary of the Invention, as an individual stereoisomer, enantiomer or tautomer thereof or a mixture thereof; or a pharmaceutically acceptable salt, solvate or prodrug thereof.

[0109]

In one embodiment of the compounds of formula (I), the compounds of formula (I) are compounds wherein:

[0110]

  • R1 is an optionally substituted aryl or an optionally substituted N-heteroaryl; and
  • m, n, X, Y, R2, R3, R4, R5, R6, R7, R8, R9, R10, R11, R12, R13 and R14 are each as described above the Summary of the Invention.

[0113]

Of this embodiment of the compounds of formula (I), one embodiment are compounds wherein:

[0114]


where the compound has the following formula (Ia):

[0115]


wherein:

  • R1 is an optionally substituted aryl or an optionally substituted N-heteroaryl; and
  • m, n, X, Y, R2, R3, R4, R5, R6, R7, R8, R9, R10, R11, R13 and R14 are each as defined above in the Summary of the Invention.

[0118]

Of this embodiment, one embodiment are compounds of formula (Ia) wherein R3 is —N(R13)—, where the compounds have the following formula (Ia1):

[0119]


wherein:

  • R1 is an optionally substituted aryl or an optionally substituted N-heteroaryl; and
  • m, n, X, Y, R2, R4, R5, R6, R7, R8, R9, R10, R11, R13 and R14 are each as defined above in the Summary of the Invention.

[0122]

Of this embodiment, one embodiment are compounds of formula (Ia1) wherein R1 is optionally substituted aryl.

[0123]

Of this embodiment, one embodiment are compounds of formula (Ia1) wherein:

  • m is 1;
  • n is 1 or 2;
  • X is a direct bond;
  • Y is —C(R9)R10;
  • R2 is an optionally substituted 5-membered N-heteroaryl selected from optionally substituted thiazolyl or optionally substituted isothiazolyl;
  • R4 and R5 are each independently hydrogen or alkyl;
  • R6 is hydrogen or alkyl;
  • R9 and R10 are each independently hydrogen or alkyl;
  • R11 is hydrogen, halo, alkyl or haloalkyl; and
  • R13 is hydrogen or alkyl.

[0134]

Of this embodiment, preferred embodiments are selected from:

  • (S)-5-((1-benzylpyrrolidin-3-yl)(methyl)amino)-6-methyl-N-(thiazol-4-yl)pyridine-2-sulfonamide;
  • (S)-5-((1-benzylpyrrolidin-3-yl)(methyl)amino)-4-methyl-N-(thiazol-4-yl)pyridine-2-sulfonamide;
  • (S)-5-((1-benzylpyrrolidin-3-yl)(methyl)amino)-N-(isothiazol-3-yl)-4-methylpyridine-2-sulfonamide;
  • (S)-5-((1-(2-fluorobenzyl)pyrrolidin-3-yl)(methyl)amino)-4-methyl-N-(thiazol-4-yl)pyridine-2-sulfonamide;
  • (S)-5-((1-(3-fluorobenzyl)pyrrolidin-3-yl)(methyl)amino)-4-methyl-N-(thiazol-4-yl)pyridine-2-sulfonamide;
  • (S)-5-((1-benzylpyrrolidin-3-yl)(methyl)amino)-4-(difluoromethyl)-N-(thiazol-4-yl)pyridine-2-sulfonamide;
  • 4-methyl-5-(methyl((S)-1-((R)-1-phenylethyl)pyrrolidin-3-yl)amino)-N-(thiazol-4-yl)pyridine-2-sulfonamide;
  • (S)-5-((1-(2,5-difluorobenzyl)pyrrolidin-3-yl)(methyl)amino)-4-methyl-N-(thiazol-4-yl)pyridine-2-sulfonamide;
  • (S)-5-((1-benzylpyrrolidin-3-yl)amino)-N-(thiazol-4-yl)-4-(trifluoromethyl)pyridine-2-sulfonamide;
  • (S)-5-((1-benzylpyrrolidin-3-yl)(methyl)amino)-N-(thiazol-4-yl)-4-(trifluoromethyl)pyridine-2-sulfonamide; and
  • (S)-3-fluoro-5-((1-(2-fluorobenzyl)pyrrolidin-3-yl)(methyl)amino)-4-methyl-N-(thiazol-4-yl)pyridine-2-sulfonamide;
    as an individual stereoisomer, enantiomer or tautomer thereof or a mixture thereof;
    or a pharmaceutically acceptable salt, solvate or prodrug thereof.

[0146]

Of the embodiment above for compounds of formula (Ia1) wherein R1 is optionally substituted aryl, another embodiment are compounds of formula (Ia1) wherein:

  • m is 1;
  • n is 1 or 2;
  • X is a direct bond;
  • Y is —C(R9)R10;
  • R2 is an optionally substituted 6-membered N-heteroaryl selected from optionally substituted pyridinyl;
  • R4 and R5 are each independently hydrogen or alkyl;
  • R6 is hydrogen or alkyl;
  • R9 and R10 are each independently hydrogen or alkyl;
  • R11 is hydrogen, halo, alkyl or haloalkyl; and
  • R13 is hydrogen or alkyl.

[0157]

Of this embodiment, preferred embodiments are selected from:

  • (S)-5-((1-benzylpyrrolidin-3-yl)(methyl)amino)-N-(6-fluoropyridin-2-yl)-4-methylpyridine-2-sulfonamide;
  • (S)-5-((1-benzylpyrrolidin-3-yl)(methyl)amino)-3-fluoro-N-(6-fluoropyridin-2-yl)-4-methylpyridine-2-sulfonamide; and
  • (S)-3-fluoro-5-((1-(2-fluorobenzyl)pyrrolidin-3-yl)(methyl)amino)-N-(6-fluoropyridin-2-yl)-4-methylpyridine-2-sulfonamide;
    as an individual stereoisomer, enantiomer or tautomer thereof or a mixture thereof;
    or a pharmaceutically acceptable salt, solvate or prodrug thereof.

[0161]

Of the embodiment above for compounds of formula (Ia1) wherein R1 is optionally substituted aryl, another embodiment are compounds of formula (Ia1) wherein:

  • m is 1 or 2;
  • n is 1 or 2;
  • X is —C(R7)R8;
  • Y is —C(R9)R10;
  • R2 is an optionally substituted 5-membered N-heteroaryl selected from optionally substituted thiazolyl or optionally substituted isothiazolyl;
  • R4 and R5 are each independently hydrogen or alkyl;
  • each R6 is hydrogen or alkyl;
  • or two R6's on non-adjacent carbons together form an optionally substituted alkylene chain;
  • R7, R8, R9 and R10 are each independently hydrogen or alkyl;
  • or R7 and R9 together form an optionally substituted alkylene chain and R8 and R10 are as defined above;
  • R11 is hydrogen, halo, alkyl or haloalkyl; and
  • R13 is hydrogen or alkyl.

[0174]

Of this embodiment, preferred embodiments are selected from:

  • (R)-4-methyl-5-(methyl(1-(1-phenylethyl)piperidin-4-yl)amino)-N-(thiazol-4-yl)pyridine-2-sulfonamide;
  • 5-((1-benzylpiperidin-4-yl)(methyl)amino)-4-methyl-N-(thiazol-4-yl)pyridine-2-sulfonamide;
  • 5-((1-benzylpiperidin-4-yl)(methyl)amino)-3-fluoro-4-methyl-N-(thiazol-4-yl)pyridine-2-sulfonamide;
  • 5-(((1R,5S,8r)-3-benzyl-3-azabicyclo[3.2.1]octan-8-yl)(methyl)amino)-4-methyl-N-(thiazol-4-yl)pyridine-2-sulfonamide;
  • 5-((1-benzylpiperidin-4-yl)(methyl)amino)-N-(thiazol-4-yl)-4-(trifluoromethyl)pyridine-2-sulfonamide;
  • 5-((1-(2,5-difluorobenzyl)piperidin-4-yl)(methyl)amino)-N-(thiazol-4-yl)-4-(trifluoromethyl)pyridine-2-sulfonamide;
  • 5-((1-(3-chlorobenzyl)piperidin-4-yl)(methyl)amino)-N-(thiazol-4-yl)-4-(trifluoromethyl)pyridine-2-sulfonamide;
  • 5-(((1R,5S,8r)-3-benzyl-3-azabicyclo[3.2.1]octan-8-yl)(methyl)amino)-3-fluoro-4-methyl-N-(thiazol-4-yl)pyridine-2-sulfonamide;
  • 5-((1-benzylpiperidin-4-yl)(methyl)amino)-3-fluoro-N-(thiazol-4-yl)-4-(trifluoromethyl)pyridine-2-sulfonamide; and
  • 5-(((1R,3r,5S)-8-(2,5-difluorobenzyl)-8-azabicyclo[3.2.]octan-3-yl)(methyl)amino)-4-methyl-N-(thiazol-4-yl)pyridine-2-sulfonamide;
    as an individual stereoisomer, enantiomer or tautomer thereof or a mixture thereof;
    or a pharmaceutically acceptable salt, solvate or prodrug thereof.

[0185]

Of the embodiment above for compounds of formula (Ia1) wherein R1 is optionally substituted aryl, another embodiment are compounds of formula (Ia1) wherein:

  • m is 1 or 2;
  • n is 1 or 2;
  • X is —C(R7)R8;
  • Y is —C(R9)R10;
  • R2 is an optionally substituted 6-membered N-heteroaryl selected from optionally substituted pyridinyl;
  • R4 and R5 are each independently hydrogen or alkyl;
  • each R6 is hydrogen or alkyl;
  • or two R6's on non-adjacent carbons together form an optionally substituted alkylene chain;
  • R7, R8, R9 and R10 are each independently hydrogen or alkyl;
  • or R7 and R9 together form an optionally substituted alkylene chain and R8 and R10 are as defined above;
  • R11 is hydrogen, halo, alkyl or haloalkyl; and
  • R13 is hydrogen or alkyl.

[0198]

Of this embodiment, preferred embodiments are selected from:

  • 5-((1-(2-fluorobenzyl)piperidin-4-yl)(methyl)amino)-N-(6-fluoropyridin-2-yl)-4-methylpyridine-2-sulfonamide;
  • 5-((1-benzylpiperidin-4-yl)(methyl)amino)-3-fluoro-N-(6-fluoropyridin-2-yl)-6-methylpyridine-2-sulfonamide;
  • 5-((1-(2-fluorobenzyl)piperidin-4-yl)(methyl)amino)-N-(6-fluoropyridin-2-yl)-4-(trifluoromethyl)pyridine-2-sulfonamide;
  • 5-((1-benzylpiperidin-4-yl)(methyl)amino)-N-(6-fluoropyridin-2-yl)-4-(trifluoromethyl)pyridine-2-sulfonamide;
  • 5-((1-(3-fluorobenzyl)piperidin-4-yl)(methyl)amino)-N-(6-fluoropyridin-2-yl)-4-(trifluoromethyl)pyridine-2-sulfonamide;
  • 5-((1-benzylpiperidin-4-yl)(methyl)amino)-3-fluoro-N-(6-fluoropyridin-2-yl)-4-methylpyridine-2-sulfonamide;
  • 3-fluoro-5-((1-(2-fluorobenzyl)piperidin-4-yl)(methyl)amino)-N-(6-fluoropyridin-2-yl)-4-methylpyridine-2-sulfonamide;
  • (R)-3-fluoro-N-(6-fluoropyridin-2-yl)-4-methyl-5-(methyl(1-(1-phenylethyl)piperidin-4-yl)amino)pyridine-2-sulfonamide;
  • 5-(((1R,3s,5S)-8-benzyl-8-azabicyclo[3.2.1]octan-3-yl)(methyl)amino)-3-fluoro-N-(6-fluoropyridin-2-yl)-4-methylpyridine-2-sulfonamide;
  • 5-((1-(3-fluorobenzyl)piperidin-4-yl)(methyl)amino)-N-(6-fluoropyridin-2-yl)-4-methylpyridine-2-sulfonamide; and
  • 5-(((1R,5S,8r)-3-benzyl-3-azabicyclo[3.2.1]octan-8-yl)(methyl)amino)-3-fluoro-N-(6-fluoropyridin-2-yl)-4-methylpyridine-2-sulfonamide;
    as an individual stereoisomer, enantiomer or tautomer thereof or a mixture thereof;
    or a pharmaceutically acceptable salt, solvate or prodrug thereof.

[0210]

Of the embodiment above for compounds of formula (Ia1) another embodiment are compounds of formula (Ia1) wherein R1 is optionally substituted heteroaryl.

[0211]

Of this embodiment, one embodiment are compounds of formula (Ia1) wherein:

  • m is 1;
  • n is 1 or 2;
  • X is a direct bond;
  • Y is —C(R9)R10;
  • R2 is an optionally substituted 5-membered N-heteroaryl selected from optionally substituted thiazolyl or optionally substituted isothiazolyl;
  • R4 and R5 are each independently hydrogen or alkyl;
  • R6 is hydrogen or alkyl;
  • R9 and R10 are each independently hydrogen or alkyl;
  • R11 is hydrogen, halo, alkyl or haloalkyl; and
  • R13 is hydrogen or alkyl.

[0222]

Of this embodiment, preferred embodiments are selected from:

  • (S)-5-((1-((2-isopropylthiazol-4-yl)methyl)pyrrolidin-3-yl)(methyl)amino)-4-methyl-N-(thiazol-4-yl)pyridine-2-sulfonamide;
  • (S)-5-((1-((4-cydcopropylthiazol-2-yl)methyl)pyrrolidin-3-yl)(methyl)amino)-4-methyl-N-(thiazol-4-yl)pyridine-2-sulfonamide; and
  • (S)-5-((1-((1-(difluoromethyl)-1H-pyrazol-3-yl)methyl)pyrrolidin-3-yl)(methyl)amino)-4-methyl-N-(thiazol-4-yl)pyridine-2-sulfonamide;
    as an individual stereoisomer, enantiomer or tautomer thereof or a mixture thereof;
    or a pharmaceutically acceptable salt, solvate or prodrug thereof.

[0226]

Of embodiment above for compounds of formula (Ia), one embodiment are compounds of formula (Ia) wherein R3 is —O—, where the compounds have the following formula (Ia2):

[0227]


wherein:

  • R1 is an optionally substituted aryl or an optionally substituted N-heteroaryl; and
  • m, n, X, Y, R2, R4, R5, R6, R7, R8, R9, R10, R11 and R14 are each as defined above as in the Summary of the Invention.

[0230]

Of this embodiment, one embodiment are compounds of formula (Ia2) wherein R1 is optionally substituted aryl.

[0231]

Of this embodiment, one embodiment are compounds of formula (Ia2) wherein:

  • m is 1;
  • n is 1 or 2;
  • X is —C(R7)R8;
  • Y is —C(R9)R10;
  • R2 is an optionally substituted 5-membered N-heteroaryl selected from optionally substituted thiazolyl or optionally substituted isothiazolyl;
  • R4 and R5 are each independently hydrogen or alkyl;
  • R6 is hydrogen or alkyl;
  • R7, R8, R9 and R10 are each independently hydrogen or alkyl; and
  • R11 is hydrogen, halo, alkyl or haloalkyl.

[0241]

Of this embodiment, preferred embodiments are compounds of formula (Ia2) selected from:

  • (R)-4-methyl-5-((1-(1-phenylethyl)piperidin-4-yl)oxy)-N-(thiazol-4-yl)pyridine-2-sulfonamide;
  • 5-((1-benzylpiperidin-4-yl)oxy)-4-methyl-N-(thiazol-4-yl)pyridine-2-sulfonamide;
  • (R)-3-fluoro-4-methyl-5-((1-(1-phenylethyl)piperidin-4-yl)oxy)-N-(thiazol-4-yl)pyridine-2-sulfonamide; and
  • 5-((1-benzylpiperidin-4-yl)oxy)-N-(thiazol-4-yl)-4-(trifluoromethyl)pyridine-2-sulfonamide;
    as an individual stereoisomer, enantiomer or tautomer thereof or a mixture thereof;
    or a pharmaceutically acceptable salt, solvate or prodrug thereof.

[0246]

Of the embodiment above for compounds of formula (Ia2) wherein R1 is optionally substituted aryl, another embodiment are compounds wherein:

  • m is 1;
  • n is 1 or 2;
  • X is —C(R7)R8;
  • Y is —C(R9)R10;
  • R2 is an optionally substituted 6-membered N-heteroaryl selected from optionally substituted pyridinyl;
  • R4 and R5 are each independently hydrogen or alkyl;
  • R6 is hydrogen or alkyl;
  • R7, R8, R9 and R10 are each independently hydrogen or alkyl; and
  • R11 is hydrogen, halo, alkyl or haloalkyl.

[0256]

Of this embodiment, preferred embodiments are compounds selected from:

  • (R)-3-fluoro-N-(6-fluoropyridin-2-yl)-4-methyl-5-((1-(1-phenylethyl)piperidin-4-yl)oxy)pyridine-2-sulfonamide;
  • 5-((1-benzylpiperidin-4-yl)oxy)-N-(6-fluoropyridin-2-yl)-4-(trifluoromethyl)pyridine-2-sulfonamide; and
  • 5-((1-benzylpiperidin-4-yl)oxy)-N-(6-fluoropyridin-2-yl)-4-methylpyridine-2-sulfonamide;
    as an individual stereoisomer, enantiomer or tautomer thereof or a mixture thereof;
    or a pharmaceutically acceptable salt, solvate or prodrug thereof.

[0260]

Of the embodiment of compounds of formula (I) as set forth above, another embodiment are compounds wherein:

[0261]


where the compound has the following formula (Ib):

[0262]


wherein:

  • R1 is an optionally substituted aryl or an optionally substituted N-heteroaryl; and
  • m, n, X, Y, R2, R3, R4, R5, R6, R7, R8, R9, R10, R11, R13 and R14 are each as defined above in the Summary of the Invention.

[0265]

Of this embodiment, one embodiment are compounds of formula (Ib) wherein R3 is —N(R13)—, where the compounds have the following formula (Ib1):

[0266]


wherein:

  • R1 is an optionally substituted aryl or an optionally substituted N-heteroaryl; and
  • m, n, X, Y, R2, R4, R5, R6, R7, R8, R9, R10, R11, R13 and R14 are each as defined above in the Summary of the Invention.

[0269]

Of this embodiment, one embodiment are compounds of formula (Ib1) wherein R1 is optionally substituted aryl.

[0270]

Of this embodiment, one embodiment are compounds of formula (Ib1) wherein:

  • m is 1;
  • n is 1 or 2;
  • X is a direct bond;
  • Y is —C(R9)R10;
  • R2 is an optionally substituted 5-membered N-heteroaryl selected from optionally substituted thiazolyl or optionally substituted isothiazolyl;
  • R4 and R5 are each independently hydrogen or alkyl;
  • R6 is hydrogen or alkyl;
  • R9 and R10 are each independently hydrogen or alkyl;
  • R11 is hydrogen, halo, alkyl or haloalkyl; and
  • R13 is hydrogen or alkyl.

[0281]

Of this embodiment, preferred embodiments are selected from:

  • (S)-6-((1-benzylpyrrolidin-3-yl)amino)-5-methyl-N-(thiazol-4-yl)pyridine-3-sulfonamide;
  • (S)-6-((1-benzylpyrrolidin-3-yl)(methyl)amino)-5-methyl-N-(thiazol-4-yl)pyridine-3-sulfonamide;
  • (S)-6-((1-benzylpyrrolidin-3-yl)(methyl)amino)-5-chloro-N-(thiazol-4-yl)pyridine-3-sulfonamide;
  • (R)-6-((1-benzylpyrrolidin-3-yl)amino)-5-chloro-N-(thiazol-4-yl)pyridine-3-sulfonamide; and
  • (R)-6-((1-benzylpyrrolidin-3-yl)(methyl)amino)-5-chloro-N-(thiazol-4-yl)pyridine-3-sulfonamide;
    as an individual stereoisomer, enantiomer or tautomer thereof or a mixture thereof;
    or a pharmaceutically acceptable salt, solvate or prodrug thereof.

[0287]

Of the embodiment above wherein R1 is an optionally substituted aryl in the compounds of formula (Ib1), another embodiment are compounds of formula (Ib1) wherein:

  • m is 1;
  • n is 1 or 2;
  • X is —C(R7)R8;
  • Y is —C(R9)R10;
  • R2 is an optionally substituted 5-membered N-heteroaryl selected from optionally substituted thiazolyl or optionally substituted isothiazolyl;
  • R4 and R5 are each independently hydrogen or alkyl;
  • R6 is hydrogen or alkyl or two R6's on non-adjacent carbons together form an optionally substituted alkylene chain;
  • R7, R8, R9 and R10 are each independently hydrogen or alkyl;
  • R11 is hydrogen, halo, alkyl or haloalkyl; and
  • R13 is hydrogen or alkyl.

[0298]

Of this embodiment, preferred embodiments are selected from:

  • 6-((1-benzylpiperidin-4-yl)(methyl)amino)-5-chloro-N-(thiazol-4-yl)pyridine-3-sulfonamide;
  • 6-((1-benzylpiperidin-4-yl)(methyl)amino)-5-methyl-N-(thiazol-4-yl)pyridine-3-sulfonamide; and
  • (R)-5-chloro-6-(methyl(1-(1-phenylethyl)piperidin-4-yl)amino)-N-(thiazol-4-yl)pyridine-3-sulfonamide;
    as an individual stereoisomer, enantiomer or tautomer thereof or a mixture thereof;
    or a pharmaceutically acceptable salt, solvate or prodrug thereof.

[0302]

Of the embodiment above wherein R1 is an optionally substituted aryl in the compounds of formula (Ib1), another embodiment are compounds of formula (Ib1) wherein:

  • m is 1;
  • n is 1 or 2;
  • X is —C(R7)R8;
  • Y is —C(R9)R10;
  • R2 is an optionally substituted 6-membered N-heteroaryl selected from optionally substituted pyridinyl;
  • R4 and R5 are each independently hydrogen or alkyl;
  • R6 is hydrogen or alkyl;
  • R7, R8, R9 and R10 are each independently hydrogen or alkyl;
  • or R7 and R9 together form an optionally substituted alkylene chain and R8 and R10 are as defined above;
  • R11 is hydrogen, halo, alkyl or haloalkyl; and
  • R13 is hydrogen or alkyl.

[0314]

Of this embodiment, a preferred embodiment is (R)—N-(6-fluoropyridin-2-yl)-5-methyl-6-(methyl(1-(1-phenylethyl)piperidin-4-yl)amino)pyridine-3-sulfonamide; as an individual stereoisomer, enantiomer or tautomer thereof or a mixture thereof; or a pharmaceutically acceptable salt, solvate or prodrug thereof.

[0315]

Of the embodiment above for the compounds of formula (Ib), another embodiment are compounds of formula (Ib) wherein R3 is —O—, where the compound of formula (Ib) has the following formula (Ib2):

[0316]


wherein:

  • R1 is an optionally substituted aryl or an optionally substituted N-heteroaryl; and
  • m, n, X, Y, R2, R4, R5, R6, R7, R8, R9, R10, R11 and R14 are each as defined above in the Summary of the Invention.

[0319]

Of this embodiment, one embodiment are compounds of formula (Ib2) wherein R1 is optionally substituted aryl.

[0320]

Of this embodiment, one embodiment are compound of formula (Ib2) wherein:

  • m is 1;
  • n is 1 or 2;
  • X is —C(R7)R8;
  • Y is —C(R9)R10;
  • R2 is an optionally substituted 6-membered N-heteroaryl selected from optionally substituted pyridinyl;
  • R4 and R5 are each independently hydrogen or alkyl;
  • R6 is hydrogen or alkyl;
  • R7, R8, R9 and R10 are each independently hydrogen or alkyl;
  • R11 is hydrogen, halo, alkyl or haloalkyl.

[0330]

Of this embodiment, a preferred embodiments is the compound of formula (Ib2 which is (R)—N-(6-fluoropyridin-2-yl)-5-methyl-6-((1-(1-phenylethyl)piperidin-4-yl)oxy)pyridine-3-sulfonamide; as an individual stereoisomer, enantiomer or tautomer thereof or a mixture thereof; or a pharmaceutically acceptable salt, solvate or prodrug thereof.

[0331]

Of the embodiment of compounds of formula (I) as set forth above, another embodiment are compounds wherein:

[0332]


where the compound has the following formula (Ic):

[0333]


wherein:

  • R1 is an optionally substituted aryl or an optionally substituted N-heteroaryl; and
  • m, n, X, Y, R2, R3, R4, R5, R6, R7, R8, R9, R10, R12, R13 and R14 are each as defined above in the Summary of the Invention.

[0336]

Of this embodiment, one embodiment are compounds of formula (Ic) wherein R3 is —N(R13)—, where the compounds have the following formula (Ic1):

[0337]


wherein:

  • R1 is an optionally substituted aryl or an optionally substituted N-heteroaryl; and
  • m, n, X, Y, R2, R4, R5, R6, R7, R8, R9, R10, R12, R13 and R14 are each as defined above in the Summary of the Invention.

[0340]

Of this embodiment, one embodiment is a compound of formula (Ic1) wherein R1 is optionally substituted aryl.

[0341]

Of this embodiment, one embodiment is a compound of formula (Ic1) wherein:

  • m is 1 or 2;
  • n is 1 or 2;
  • X is —C(R7)R8;
  • Y is —C(R9)R10;
  • R2 is an optionally substituted 5-membered N-heteroaryl selected from optionally substituted thiazolyl or optionally substituted isothiazolyl;
  • R4 and R5 are each independently hydrogen or alkyl;
  • R6 is hydrogen or alkyl;
  • or two R6's on non-adjacent carbons together form an optionally substituted alkylene chain;
  • R7, R8, R9 and R10 are each independently hydrogen or alkyl;
  • R12 is hydrogen, halo, alkyl or haloalkyl; and
  • R13 is hydrogen or alkyl.

[0353]

Of this embodiment, a preferred embodiment is selected from:

  • 4-(((1R,5S,8s)-3-benzyl-3-azabicyclo[3.2.1]octan-8-yl)(methyl)amino)-5-chloro-N-(6-fluoropyridin-2-yl)thiophene-2-sulfonamide; and
  • 4-(((1R,5S,8r)-3-benzyl-3-azabicyclo[3.2.1]octan-8-yl)(methyl)amino)-N-(6-fluoropyridin-2-yl)-5-methylthiophene-2-sulfonamide;
  • as an individual stereoisomer, enantiomer or tautomer thereof or a mixture thereof; or a pharmaceutically acceptable salt, solvate or prodrug thereof.

[0357]

Of the embodiment for the compounds of formula (Ic1), another embodiment are compounds of formula (Ic1) wherein:

  • m is 1;
  • n is 1 or 2;
  • X is —C(R7)R8;
  • Y is —C(R9)R10;
  • R2 is an optionally substituted 6-membered N-heteroaryl selected from optionally substituted pyridinyl;
  • R4 and R5 are each independently hydrogen or alkyl;
  • R6 is hydrogen or alkyl;
  • R7, R8, R9 and R10 are each independently hydrogen or alkyl;
  • R12 is hydrogen, halo, alkyl or haloalkyl; and
  • R13 is hydrogen or alkyl.

[0368]

Of this embodiment, preferred embodiments are selected from:

  • 4-((1-benzylpiperidin-4-yl)(methyl)amino)-N-(6-fluoropyridin-2-yl)-5-methylthiophene-2-sulfonamide; and
  • 4-((1-benzylpiperidin-4-yl)(methyl)amino)-5-chloro-N-(6-fluoropyridin-2-yl)thiophene-2-sulfonamide; and
  • 4-((1-benzylpiperidin-4-yl)(methyl)amino)-5-ethyl-N-(6-fluoropyridin-2-yl)thiophene-2-sulfonamide;
    as an individual stereoisomer, enantiomer or tautomer thereof or a mixture thereof;
    or a pharmaceutically acceptable salt, solvate or prodrug thereof.

[0372]

Of the embodiment of compounds of formula (I) as set forth above, another embodiment are compounds wherein:

[0373]


where the compound has the following formula (Id):

[0374]


wherein:

  • R1 is an optionally substituted aryl or an optionally substituted N-heteroaryl; and
  • m, n, X, Y, R2, R3, R4, R5, R6, R7, R8, R9, R10, R12, R13 and R14 are each as defined above in the Summary of the Invention.

[0377]

Of this embodiment, one embodiment are compounds of formula (Id) wherein R3 is —N(R13)—, where the compound of formula (Id) has the following formula (Id1):

[0378]


wherein:

  • R1 is an optionally substituted aryl or an optionally substituted N-heteroaryl; and
  • m, n, X, Y, R2, R4, R5, R6, R7, R8, R9, R10, R12, R13 and R14 are each as defined above in the Summary of the Invention.

[0381]

Of this embodiment, one embodiment are compounds of formula (Id1) wherein R1 is optionally substituted aryl.

[0382]

Of this embodiment, one embodiment are compounds of formula (Id1) wherein:

  • m is 1;
  • n is 1 or 2;
  • X is —C(R7)R8;
  • Y is —C(R9)R10;
  • R2 is an optionally substituted 5-membered N-heteroaryl selected from optionally substituted thiazolyl or optionally substituted isothiazolyl;
  • R4 and R5 are each independently hydrogen or alkyl;
  • R6 is hydrogen or alkyl or two R6's on non-adjacent carbons together form an optionally substituted alkylene chain;
  • R7, R8, R9 and R10 are each independently hydrogen or alkyl;
  • R12 is hydrogen, halo, alkyl or haloalkyl; and
  • R13 is hydrogen or alkyl.

[0393]

Of this embodiment, preferred embodiments are selected from:

  • 5-((1-benzylpiperidin-4-yl)(methyl)amino)-N-(6-fluoropyridin-2-yl)-4-(trifluoromethyl)thiazole-2-sulfonamide; and
  • (R)—N-(6-fluoropyridin-2-yl)-4-methyl-5-(methyl(1-(1-phenylethyl)piperidin-4-yl)amino)thiazole-2-sulfonamide;
    as an individual stereoisomer, enantiomer or tautomer thereof or a mixture thereof;
    or a pharmaceutically acceptable salt, solvate or prodrug thereof.

[0396]

Of the embodiment above for compounds of formula (Id1) wherein R1 is optionally substituted aryl, another embodiment are compounds of formula (Id1) wherein:

  • m is 1;
  • n is 1 or 2;
  • X is —C(R7)R8;
  • Y is —C(R9)R10;
  • R2 is an optionally substituted 6-membered N-heteroaryl selected from optionally substituted pyridinyl;
  • R4 and R5 are each independently hydrogen or alkyl;
  • R6 is hydrogen or alkyl;
  • R7, R8, R9 and R10 are each independently hydrogen or alkyl;
  • R12 is hydrogen, halo, alkyl or haloalkyl; and
  • R13 is hydrogen or alkyl.

[0407]

Of this embodiment, preferred embodiments are selected from:

  • 5-((1-benzylpiperidin-4-yl)(methyl)amino)-N-(6-fluoropyridin-2-yl)-4-methylthiazole-2-sulfonamide; and
  • (R)-5-((1-(1-(2-fluorophenyl)ethyl)piperidin-4-yl)(methyl)amino)-N-(6-fluoropyridin-2-yl)-4-methylthiazole-2-sulfonamide;
    as an individual stereoisomer, enantiomer or tautomer thereof or a mixture thereof;
    or a pharmaceutically acceptable salt, solvate or prodrug thereof.

[0410]

Another embodiment of the invention are compounds of formula (I) wherein R2 is an optionally substituted monocyclic N-heteroaryl. Another embodiment of the invention are compounds of formula (I) wherein R2 is an optionally substituted 5-membered N-heteroaryl. Another embodiment of the invention are compounds of formula (I) wherein R2 is an optionally substituted 5-membered N-heteroaryl selected from isoxazolyl, thiazolyl or thiadiazolyl. Another embodiment of the invention are compounds of formula (I) wherein R2 is an optionally substituted 6-membered N-heteroaryl. Another embodiment of the invention are compounds of formula (I) wherein R2 is an optionally substituted 6-membered N-heteroaryl selected from pyridinyl, pyrimidinyl, pyridazinyl or pyrazinyl. Another embodiment of the invention are compounds of formula (I) wherein R2 is an optionally substituted pyridinyl.

[0411]

Another embodiment of the invention is a method of using the compounds of formula (I) as standards or controls in in vitro or in vivo assays in determining the efficacy of test compounds in modulating voltage-dependent sodium channels.

[0412]

It is understood that any embodiment of the compounds of the invention, as set forth above, and any specific substituent set forth herein for a particular n, m, X, Y, R1, R2, R3, R4, R5, R6, R7, R8, R9, R10, R11, R12, R13 and R14 group in the compounds of the invention, as set forth above, may be independently combined with other embodiments and/or substituents of compounds of the invention to form embodiments of the inventions not specifically set forth above. In addition, in the event that a list of substituents is disclosed for any particular n, m, X, Y, R1, R2, R3, R4, R5, R6, R7, R8, R9, R10, R1, R12, R13 and R14 group in a particular embodiment and/or claim, it is understood that one or more substituents may be deleted from the list and that the remaining list of substituents will be considered to be an embodiment of the invention.

[0413]

Another aspect of the invention is a pharmaceutical composition comprising a pharmaceutically acceptable excipient and a compound of the invention, as described above, as a stereoisomer, enantiomer or tautomer thereof or a mixture thereof; or a pharmaceutically acceptable salt, solvate or prodrug thereof.

[0414]

Another aspect of the invention is a method for the treatment of a sodium channel-mediated disease or condition in a mammal, wherein the method comprised administering to the mammal in need thereof a therapeutically effective amount of a compound of the invention, as set forth above, as a stereoisomer, enantiomer or tautomer thereof or mixtures thereof; or a pharmaceutically acceptable salt, solvate or prodrug thereof, or a pharmaceutical composition comprising a therapeutically effective amount of a compound of the invention, as set forth above, as a stereoisomer, enantiomer or tautomer thereof or mixtures thereof, or a pharmaceutically acceptable salt, solvate or prodrug thereof, and a pharmaceutically acceptable excipient.

[0415]

In one embodiment of this aspect, the disease or condition is selected from epilepsy, depression, anxiety; neuromuscular conditions, pain; chemotherapy-induced peripheral neuropathy, cardiovascular conditions, multiple sclerosis, neural trauma, stroke and dermatological conditions.

[0416]

Another aspect of the invention is a method of treating a disease or a condition associated with Nav1.6 activity in a mammal wherein the disease or condition is epilepsy and/or epileptic seizure disorder and wherein the method comprises administering to the mammal in need thereof a therapeutically effective amount of a compound of the invention, as described above, as a stereoisomer, enantiomer or tautomer thereof or a mixture thereof; or a pharmaceutically acceptable salt, solvate or prodrug thereof.

[0417]

In one embodiment of this aspect, the epilepsy or epileptic seizure disorder is selected from photosensitive epilepsy, self-induced syncope, intractable epilepsy, Angelman syndrome, benign rolandic epilepsy, CDKL5 disorder, childhood and juvenile absence epilepsy, Dravet syndrome, frontal lobe epilepsy, Glut1 deficiency syndrome, hypothalamic hamartoma, infantile spasms/West's syndrome, juvenile myoclonic epilepsy, Landau-Kleffner syndrome, Lennox-Gastaut syndrome (LGS), epilepsy with myoclonic-absences, Ohtahara syndrome, Panayiotopoulos syndrome, PCDH19 epilepsy, progressive myoclonic epilepsies, Rasmussen's syndrome, ring chromosome 20 syndrome, reflex epilepsies, temporal lobe epilepsy, Lafora progressive myoclonus epilepsy, neurocutaneous syndromes, tuberous sclerosis complex, early infantile epileptic encephalopathy, early onset epileptic encephalopathy, generalized epilepsy with febrile seizures+, Rett syndrome, multiple sclerosis, Alzheimer's disease, autism, ataxia, hypotonia and paroxysmal dyskinesia.

[0418]

In one embodiment of this embodiment, the epilepsy or epileptic seizure disorder is selected from Dravet syndrome, infantile spasms/West's syndrome, temporal lobe epilepsy, Lennox-Gastaut syndrome (LGS), generalized epilepsy with febrile seizures+ and early infantile epileptic encephalopathy.

[0419]

Another aspect of the invention is a method of decreasing ion flux through Nav1.6 in a mammalian cell, wherein the method comprises contacting the cell with a compound of the invention, as described above, as a stereoisomer, enantiomer or tautomer thereof or a mixture thereof; or a pharmaceutically acceptable salt, solvate or prodrug thereof.

[0420]

Another aspect of the invention is a method of selectively inhibiting a first voltage-gated sodium channel over a second voltage-gated sodium channel in a mammal, wherein the method comprises administering to the mammal a modulating amount of a compound of the invention, as described above, as a stereoisomer, enantiomer or tautomer thereof or a mixture thereof; or a pharmaceutically acceptable salt, solvate or prodrug thereof.

[0421]

In one embodiment of this aspect, the first voltage-gated sodium channel is Nav1.6.

[0422]

In another embodiment of this aspect, the first voltage-gated sodium channel is Nav1.6 and the second voltage-gated sodium channel is Nav1.5.

[0423]

In another embodiment of this aspect, the first voltage-gated sodium channel is Nav1.6 and the second voltage-gated sodium channel is Nav1.1.

[0424]

Specific embodiments of the compounds of the invention are described in more detail below in the Preparation of the Compounds of the Invention.

[0000]

Utility and Testing of the Compounds of the Invention

[0425]

The compounds of the invention modulate, preferably inhibit, ion flux through a voltage-dependent sodium channel, preferably Nav1.6, in a mammal, especially in a human. Any such modulation, whether it be partial or complete inhibition or prevention of ion flux, is sometimes referred to herein as “blocking” and corresponding compounds as “blockers” or “inhibitors”. In general, the compounds of the invention modulate the activity of a voltage-gated sodium channel downwards by inhibiting the voltage-dependent activity of the sodium channel, and/or reduce or prevent sodium ion flux across a cell membrane by preventing sodium channel activity such as ion flux.

[0426]

The compounds of the invention inhibit the ion flux through a voltage-dependent sodium channel, preferably Nav1.6. The compounds of the invention are state or frequency dependent modifiers of the sodium channel, having a low affinity for the rested/dosed state and a high affinity for the inactivated state. These compounds are likely to interact with overlapping sites located in the inner cavity of the sodium conducting pore of the channel similar to that described for other state-dependent sodium channel blockers (Cestble, S., et al., op. cit.). These compounds may also be likely to interact with sites outside of the inner cavity and have allosteric effects on sodium ion conduction through the channel pore.

[0427]

Any of these consequences may ultimately be responsible for the overall therapeutic benefit provided by these compounds.

[0428]

Accordingly, the compounds of the invention are voltage-gated sodium channel inhibitors, preferably Nav1.6 inhibitors, and are therefore useful for treating diseases and conditions, preferably epilepsy and/or epileptic seizure disorder, in mammals, preferably humans, and other organisms, including all those human diseases and conditions which are the result of aberrant voltage-dependent sodium channel biological activity, preferably aberrant Nav1.6 activity, or which may be ameliorated by modulation of voltage-dependent sodium channel biological activity. In particular, the compounds of the invention, i.e., the compounds of formula (I), as set forth above in the Summary of the Invention, as individual stereoisomers, enantiomers or tautomers thereof or mixtures thereof; or as pharmaceutically acceptable salts, solvates or prodrugs thereof, are useful for treating diseases and conditions in mammals, preferably humans, which are the result of aberrant voltage-dependent Nav1.6 biological activity or which may be ameliorated by the modulation, preferably the inhibition, of Nav1.6 biological activity. Preferably the compounds of the invention selectively inhibit Nav1.6 over Nav1.5 and/or Nav1.1.

[0429]

As defined herein, a disease, disorder or condition associated with Nav1.6 activity includes, but is not limited to, epilepsy and/or epileptic seizure disorder. Such epilepsy and/or epileptic seizure disorders include, but are not limited to, photosensitive epilepsy, self-induced syncope, intractable epilepsy, Angelman syndrome, benign rolandic epilepsy, CDKL5 disorder, childhood and juvenile absence epilepsy, Dravet syndrome, frontal lobe epilepsy, Glut1 deficiency syndrome, hypothalamic hamartoma, infantile spasms/West's syndrome, juvenile myoclonic epilepsy, Landau-Kleffner syndrome, Lennox-Gastaut syndrome (LGS), epilepsy with myodonic-absences, Ohtahara syndrome, Panayiotopoulos syndrome, PCDH19 epilepsy, progressive myoclonic epilepsies, Rasmussen's syndrome, ring chromosome 20 syndrome, reflex epilepsies, temporal lobe epilepsy, Lafora progressive myoclonus epilepsy, neurocutaneous syndromes, tuberous sclerosis complex, early infantile epileptic encephalopathy, early onset epileptic encephalopathy, generalized epilepsy with febrile seizures+, Rett syndrome, multiple sclerosis, Alzheimer's disease, autism, ataxia, hypotonia and paroxysmal dyskinesia.

[0430]

The present invention therefore relates to compounds, pharmaceutical compositions and methods of using the compounds and pharmaceutical compositions for the treatment of diseases or conditions associated by the activity of Nav1.6 in a mammal, preferably a human, by administering to the mammal, preferably the human, in need of such treatment an effective amount of a compound of the invention or an pharmaceutical composition comprising a compound of the invention.

[0431]

The general value of the compounds of the invention in inhibiting the Nav1.6 ion flux can be determined using the assays described below in the Biological Assays section. Alternatively, the general value of the compounds in treating conditions and diseases in humans may be established in industry standard animal models for demonstrating the efficacy of compounds in treating epilepsy and/or epileptic seizure disorder. Animal models of human epileptic conditions have been developed that result in reproducible sensory deficits over a sustained period of time that can be evaluated by sensory testing.

[0432]

For example, many rodent models have been developed to assess the propensity for seizures or epileptiform activity (Klein, B. R. et al., (2016), “Models Currently in Active Use. In: Epilepsy Therapy Screening Program”, Vol. 2016, National Institute of Neurological Disorders and Stroke). These include acute chemical or electrical insults that induce seizures, as well as chronic chemical or genetic insults that create seizure prone animals. These models can be used to determine the relative ability of a compound to promote or prevent seizure activity. The maximal electroshock seizure (MES) assay and the 6 hertz psychomotor seizure test (6 Hz) are two examples of acute insult seizure assays used to evaluate anticonvulsive interventions (Suzuki, F. et al., Neuroscience (1995), Vo. 64, pp. 665-674; Barton, M. E. et al., Epilepsy Research (2001), Vol. 47, pp. 217-227). Both assays involve an electrical insult applied with electrodes placed on the corneas or ears in order to provoke an acute seizure. Acute seizures may also be induced chemically, for instance by administration of the proconvulsant ether compound flurothyl (Makinson, C. D. et al., Exp. Neurol. (2016), Vol. 275, Pt 1, pp. 46-58).

[0433]

Genetic epilepsies have been linked to many distinct genes, including multiple voltage gated sodium channel genes. Genetically modified mice can be created that harbor mutations identified in human patients. In some cases these genetic modifications result in animals that behave much like the human patients in whom the genetic variations were initially identified. Mutant mice can be used to test anticonvulsant interventions. Such experiments can involve prevention of spontaneous seizures, or may make use of similar seizure provoking stimuli as those employed in wild type mice. Animal models of early infantile epileptic encephalopathy 6 (EIEE6), also known as severe myoclonic epilepsy of infancy or Dravet syndrome, have been created by mutating the SCN1A gene that encodes the Nav1.1 voltage gated sodium channel (Yu, F. H. et al., Nat. Neurosci. (2006), Vol. 9, pp. 1142-1149). Models of EIEE13 have likewise been created by mutating the SCN6A gene that encodes the Nav1.6 voltage gated sodium channel (Wagnon, J. L. et al., Human Molecular Genetics (2014)). Both of these mouse strains provide the opportunity to evaluate potential therapeutic interventions that might prove useful in clinical patient populations (Martin, M. S. et al., J. Biol. Chem. (2010), Vol. 285, pp. 9823-9834; and Martin, M. S. et al., Human Molecular Genetics (2007), Vol. 16, pp. 2892-2899).

[0434]

The present invention readily affords many different means for identification of Nav1.6 inhibitory agents that are useful as therapeutic agents. Identification of Nav1.6 inhibitors can be assessed using a variety of in vitro and in vivo assays, e.g., measuring current, measuring membrane potential, measuring ion flux, (e.g., sodium or guanidinium), measuring sodium concentration, measuring second messengers and transcription levels, and using e.g., voltage-sensitive dyes, radioactive tracers, and patch-clamp electrophysiology.

[0435]

One such protocol involves the screening of chemical agents for ability to modulate the activity of a sodium channel thereby identifying it as a modulating agent.

[0436]

A typical assay described in Bean et al., J. General Physiology (1983), 83:613-642, and Leuwer, M., et al., Br. J. Pharmacol (2004), 141(1):47-54, uses patch-clamp techniques to study the behaviour of channels. Such techniques are known to those skilled in the art, and may be developed, using current technologies, into low or medium throughput assays for evaluating compounds for their ability to modulate sodium channel behaviour.

[0437]

Throughput of test compounds is an important consideration in the choice of screening assay to be used. In some strategies, where hundreds of thousands of compounds are to be tested, it is not desirable to use low throughput means. In other cases, however, low throughput is satisfactory to identify important differences between a limited number of compounds. Often it will be necessary to combine assay types to identify specific sodium channel modulating compounds.

[0438]

Electrophysiological assays using patch clamp techniques is accepted as a gold standard for detailed characterization of sodium channel compound interactions, and as described in Bean et al., op. cit. and Leuwer, M., et al., op. cit. There is a manual low-throughput screening (LTS) method which can compare 2-10 compounds per day; a recently developed system for automated medium-throughput screening (MTS) at 20-50 patches (i.e. compounds) per day; and a technology from Molecular Devices Corporation (Sunnyvale, Calif.) which permits automated high-throughput screening (HTS) at 1000-3000 patches (i.e., compounds) per day.

[0439]

One automated patch-clamp system utilizes planar electrode technology to accelerate the rate of drug discovery. Planar electrodes are capable of achieving high-resistance, cells-attached seals followed by stable, low-noise whole-cell recordings that are comparable to conventional recordings. A suitable instrument is the PatchXpress 7000A (Axon Instruments Inc, Union City, Calif.). A variety of cell lines and culture techniques, which include adherent cells as well as cells growing spontaneously in suspension are ranked for seal success rate and stability. Immortalized cells (e.g. HEK and CHO) stably expressing high levels of the relevant sodium ion channel can be adapted into high-density suspension cultures.

[0440]

Other assays can be selected which allow the investigator to identify compounds which block specific states of the channel, such as the open state, closed state or the resting state, or which block transition from open to closed, closed to resting or resting to open. Those skilled in the art are generally familiar with such assays.

[0441]

Binding assays are also available. Designs include traditional radioactive filter based binding assays or the confocal based fluorescent system available from Evotec OAI group of companies (Hamburg, Germany), both of which are HTS.

[0442]

Radioactive flux assays can also be used. In this assay, channels are stimulated to open with veratridine or aconitine and held in a stabilized open state with a toxin, and channel blockers are identified by their ability to prevent ion influx. The assay can use radioactive22[Na] and14[C] guanidinium ions as tracers. FlashPlate & Cytostar-T plates in living cells avoids separation steps and are suitable for HTS. Scintillation plate technology has also advanced this method to HTS suitability. Because of the functional aspects of the assay, the information content is reasonably good.

[0443]

Yet another format measures the redistribution of membrane potential using the FLIPR system membrane potential kit (HTS) available from Molecular Dynamics (a division of Amersham Biosciences, Piscataway, N.J.). This method is limited to slow membrane potential changes. Some problems may result from the fluorescent background of compounds. Test compounds may also directly influence the fluidity of the cell membrane and lead to an increase in intracellular dye concentrations. Still, because of the functional aspects of the assay, the information content is reasonably good.

[0444]

Sodium dyes can be used to measure the rate or amount of sodium ion influx through a channel. This type of assay provides a very high information content regarding potential channel blockers. The assay is functional and would measure Na+ influx directly. CoroNa Red, SBFI and/or sodium green (Molecular Probes, Inc. Eugene Oreg.) can be used to measure Na influx; all are Na responsive dyes. They can be used in combination with the FLIPR instrument. The use of these dyes in a screen has not been previously described in the literature. Calcium dyes may also have potential in this format.

[0445]

In another assay, FRET based voltage sensors are used to measure the ability of a test compound to directly block Na influx. Commercially available HTS systems include the VIPR™ II FRET system (Aurora Biosciences Corporation, San Diego, Calif., a division of Vertex Pharmaceuticals, Inc.) which may be used in conjunction with FRET dyes, also available from Aurora Biosciences. This assay measures sub-second responses to voltage changes. There is no requirement for a modifier of channel function. The assay measures depolarization and hyperpolarizations, and provides ratiometric outputs for quantification. A somewhat less expensive MTS version of this assay employs the FLEXstation™ (Molecular Devices Corporation) in conjunction with FRET dyes from Aurora Biosciences. Other methods of testing the compounds disclosed herein are also readily known and available to those skilled in the art.

[0446]

These results provide the basis for analysis of the structure-activity relationship (SAR) between test compounds and the sodium channel. Certain substituents on the core structure of the test compound tend to provide more potent inhibitory compounds. SAR analysis is one of the tools those skilled in the art may now employ to identify preferred embodiments of the compounds of the invention for use as therapeutic agents.

[0447]

Modulating agents so identified are then tested in a variety of in vivo models so as to determine if they are useful in treating the disease or condition associated with the activity of the sodium channel of interest, preferably Nav1.6, with minimal adverse events. The assays described below in the Biological Assays Section are useful in assessing the biological activity of the instant compounds.

[0448]

Typically, the efficacy of a compound of the invention is expressed by its IC50 value (“Inhibitory Concentration—50%”), which is the measure of the amount of compound required to achieve 50% inhibition of the activity of the target sodium channel over a specific time period. For example, representative compounds of the present invention have demonstrated IC50's ranging from less than 100 nanomolar to less than 10 micromolar in the patch voltage clamp Nav1.6 electrophysiology assay described herein.

[0449]

In an alternative use of the invention, the compounds of the invention can be used in in vitro or in vivo studies as exemplary agents for comparative purposes to find other compounds also useful in treatment of, or protection from, the various diseases disclosed herein.

[0450]

Another aspect of the invention relates to inhibiting Nav1.6 activity in a biological sample or a mammal, preferably a human, which method comprises administering to the mammal, preferably a human, or contacting said biological sample with a compound of formula (I) or a pharmaceutical composition comprising a compound of formula (I). The term “biological sample”, as used herein, includes, without limitation, cell cultures or extracts thereof; biopsied material obtained from a mammal or extracts thereof; and blood, saliva, urine, feces, semen, tears, or other body fluids or extracts thereof.

[0451]

Inhibition of Nav1.6 activity in a biological sample is useful for a variety of purposes that are known to one of skill in the art. Examples of such purposes include, but are not limited to, the study of sodium ion channels in biological and pathological phenomena; and the comparative evaluation of new sodium ion channel inhibitors.

[0452]

The compounds of the invention, as set forth above in the Summary of the Invention, as stereoisomers, enantiomers, tautomers thereof or mixtures thereof, or pharmaceutically acceptable salts, solvates or prodrugs thereof, and/or the pharmaceutical compositions described herein which comprise a pharmaceutically acceptable excipient and one or more compounds of the invention, as set forth above in the Summary of the Invention, as a stereoisomer, enantiomer or tautomer thereof or mixtures thereof, or a pharmaceutically acceptable salt, solvate or prodrug thereof, can be used in the preparation of a medicament for the treatment of diseases or conditions associated with voltage-gated sodium channel activity, preferably Nav1.6 activity, in a mammal.

[0000]

Pharmaceutical Compositions of the Invention and Administration

[0453]

The present invention also relates to pharmaceutical composition containing the compounds of the invention disclosed herein. In one embodiment, the present invention relates to a composition comprising compounds of the invention in a pharmaceutically acceptable carrier, excipient or diluent and in an amount effective to modulate, preferably inhibit, ion flux through a voltage-dependent sodium channel to treat sodium channel mediated diseases, such as epilepsy and/or epileptic seizure disorder, when administered to an animal, preferably a mammal, most preferably a human patient.

[0454]

Administration of the compounds of the invention, or their pharmaceutically acceptable salts, in pure form or in an appropriate pharmaceutical composition, can be carried out via any of the accepted modes of administration of agents for serving similar utilities. The pharmaceutical compositions of the invention can be prepared by combining a compound of the invention with an appropriate pharmaceutically acceptable carrier, diluent or excipient, and may be formulated into preparations in solid, semi-solid, liquid or gaseous forms, such as tablets, capsules, powders, granules, ointments, solutions, suppositories, injections, inhalants, gels, microspheres, and aerosols. Typical routes of administering such pharmaceutical compositions include, without limitation, oral, topical, transdermal, inhalation, parenteral, sublingual, rectal, vaginal, and intranasal. The term “parenteral” as used herein includes subcutaneous injections, intravenous, intramuscular, intrasternal injection or infusion techniques. Pharmaceutical compositions of the invention are formulated so as to allow the active ingredients contained therein to be bioavailable upon administration of the composition to a patient. Compositions that will be administered to a subject or patient take the form of one or more dosage units, where for example, a tablet may be a single dosage unit, and a container of a compound of the invention in aerosol form may hold a plurality of dosage units. Actual methods of preparing such dosage forms are known, or will be apparent, to those skilled in this art; for example, see The Science and Practice of Pharmacy, 20th Edition (Philadelphia College of Pharmacy and Science, 2000). The composition to be administered will, in any event, contain a therapeutically effective amount of a compound of the invention, or a pharmaceutically acceptable salt thereof, for treatment of a disease or condition of interest in accordance with the teachings of this invention.

[0455]

The pharmaceutical compositions useful herein also contain a pharmaceutically acceptable carrier, including any suitable diluent or excipient, which includes any pharmaceutical agent that does not itself induce the production of antibodies harmful to the individual receiving the composition, and which may be administered without undue toxicity. Pharmaceutically acceptable carriers include, but are not limited to, liquids, such as water, saline, glycerol and ethanol, and the like. A thorough discussion of pharmaceutically acceptable carriers, diluents, and other excipients is presented in Remington's Pharmaceutical Sciences (Mack Pub. Co., N.J. current edition).

[0456]

A pharmaceutical composition of the invention may be in the form of a solid or liquid. In one aspect, the carrier(s) are particulate, so that the compositions are, for example, in tablet or powder form. The carrier(s) may be liquid, with the compositions being, for example, an oral syrup, injectable liquid or an aerosol, which is useful in, for example, inhalatory administration.

[0457]

When intended for oral administration, the pharmaceutical composition is preferably in either solid or liquid form, where semi-solid, semi-liquid, suspension and gel forms are included within the forms considered herein as either solid or liquid.

[0458]

As a solid composition for oral administration, the pharmaceutical composition may be formulated into a powder, granule, compressed tablet, pill, capsule, chewing gum, wafer or the like form. Such a solid composition will typically contain one or more inert diluents or edible carriers. In addition, one or more of the following may be present: binders such as carboxymethylcellulose, ethyl cellulose, microcrystalline cellulose, gum tragacanth or gelatin; excipients such as starch, lactose or dextrins, disintegrating agents such as alginic acid, sodium alginate, Primogel, corn starch and the like; lubricants such as magnesium stearate or Sterotex; glidants such as colloidal silicon dioxide; sweetening agents such as sucrose or saccharin; a flavoring agent such as peppermint, methyl salicylate or orange flavoring; and a coloring agent.

[0459]

When the pharmaceutical composition is in the form of a capsule, for example, a gelatin capsule, it may contain, in addition to materials of the above type, a liquid carrier such as polyethylene glycol or oil.

[0460]

The pharmaceutical composition may be in the form of a liquid, for example, an elixir, syrup, solution, emulsion or suspension. The liquid may be for oral administration or for delivery by injection, as two examples. When intended for oral administration, preferred composition contain, in addition to the present compounds, one or more of a sweetening agent, preservatives, dye/colorant and flavor enhancer. In a composition intended to be administered by injection, one or more of a surfactant, preservative, wetting agent, dispersing agent, suspending agent, buffer, stabilizer and isotonic agent may be included.

[0461]

The liquid pharmaceutical compositions of the invention, whether they be solutions, suspensions or other like form, may include one or more of the following adjuvants: sterile diluents such as water for injection, saline solution, preferably physiological saline, Ringer's solution, isotonic sodium chloride, fixed oils such as synthetic mono or diglycerides which may serve as the solvent or suspending medium, polyethylene glycols, glycerin, propylene glycol or other solvents; antibacterial agents such as benzyl alcohol or methyl paraben; antioxidants such as ascorbic acid or sodium bisulfite; chelating agents such as ethylenediaminetetraacetic acid; buffers such as acetates, citrates or phosphates and agents for the adjustment of tonicity such as sodium chloride or dextrose. The parenteral preparation can be enclosed in ampoules, disposable syringes or multiple dose vials made of glass or plastic. Physiological saline is a preferred adjuvant. An injectable pharmaceutical composition is preferably sterile.

[0462]

A liquid pharmaceutical composition of the invention intended for either parenteral or oral administration should contain an amount of a compound of the invention such that a suitable dosage will be obtained. Typically, this amount is at least 0.01% of a compound of the invention in the composition. When intended for oral administration, this amount may be varied to be between 0.1 and about 70% of the weight of the composition. Preferred oral pharmaceutical compositions contain between about 4% and about 50% of the compound of the invention. Preferred pharmaceutical compositions and preparations according to the present invention are prepared so that a parenteral dosage unit contains between 0.01 to 10% by weight of the compound prior to dilution of the invention.

[0463]

The pharmaceutical composition of the invention may be intended for topical administration, in which case the carrier may suitably comprise a solution, emulsion, ointment or gel base. The base, for example, may comprise one or more of the following: petrolatum, lanolin, polyethylene glycols, bee wax, mineral oil, diluents such as water and alcohol, and emulsifiers and stabilizers. Thickening agents may be present in a pharmaceutical composition for topical administration. If intended for transdermal administration, the composition may include a transdermal patch or iontophoresis device. Topical formulations may contain a concentration of the compound of the invention from about 0.1 to about 10% w/v (weight per unit volume).

[0464]

The pharmaceutical composition of the invention may be intended for rectal administration, in the form, for example, of a suppository, which will melt in the rectum and release the drug. The composition for rectal administration may contain an oleaginous base as a suitable nonirritating excipient Such bases include, without limitation, lanolin, cocoa butter and polyethylene glycol.

[0465]

The pharmaceutical composition of the invention may include various materials, which modify the physical form of a solid or liquid dosage unit. For example, the composition may include materials that form a coating shell around the active ingredients. The materials that form the coating shell are typically inert, and may be selected from, for example, sugar, shellac, and other enteric coating agents. Alternatively, the active ingredients may be encased in a gelatin capsule.

[0466]

The pharmaceutical composition of the invention in solid or liquid form may include an agent that binds to the compound of the invention and thereby assists in the delivery of the compound. Suitable agents that may act in this capacity include a monoclonal or polyclonal antibody, a protein or a liposome.

[0467]

The pharmaceutical composition of the invention may consist of dosage units that can be administered as an aerosol. The term aerosol is used to denote a variety of systems ranging from those of colloidal nature to systems consisting of pressurized packages. Delivery may be by a liquefied or compressed gas or by a suitable pump system that dispenses the active ingredients. Aerosols of compounds of the invention may be delivered in single phase, bi-phasic, or tri-phasic systems in order to deliver the active ingredient(s). Delivery of the aerosol includes the necessary container, activators, valves, subcontainers, and the like, which together may form a kit. One skilled in the art, without undue experimentation may determine preferred aerosols.

[0468]

The pharmaceutical compositions of the invention may be prepared by methodology well known in the pharmaceutical art. For example, a pharmaceutical composition intended to be administered by injection can be prepared by combining a compound of the invention with sterile, distilled water so as to form a solution. A surfactant may be added to facilitate the formation of a homogeneous solution or suspension. Surfactants are compounds that non-covalently interact with the compound of the invention so as to facilitate dissolution or homogeneous suspension of the compound in the aqueous delivery system.

[0469]

The compounds of the invention, or their pharmaceutically acceptable salts, are administered in a therapeutically effective amount, which will vary depending upon a variety of factors including the activity of the specific compound employed; the metabolic stability and length of action of the compound; the age, body weight, general health, sex, and diet of the patient; the mode and time of administration; the rate of excretion; the drug combination; the severity of the particular disorder or condition; and the subject undergoing therapy. Generally, a therapeutically effective daily dose is (for a 70 Kg mammal) from about 0.001 mg/Kg (i.e., 0.07 mg) to about 100 mg/Kg (i.e., 7.0 g); preferably a therapeutically effective dose is (for a 70 Kg mammal) from about 0.01 mg/Kg (i.e., 0.7 mg) to about 50 mg/Kg (i.e., 3.5 g); more preferably a therapeutically effective dose is (for a 70 Kg mammal) from about 1 mg/kg (i.e., 70 mg) to about 25 mg/Kg (i.e., 1.75 g).

[0470]

The ranges of effective doses provided herein are not intended to be limiting and represent preferred dose ranges. However, the most preferred dosage will be tailored to the individual subject, as is understood and determinable by one skilled in the relevant arts (see, e.g., Berkow et al., eds., The Merck Manual, 19th edition, Merck and Co., Rahway, N.J., 2011; Brunton et al. eds., Goodman and Cilman's The Pharmacological Basis of Therapeutics, 12 edition, McGraw-Hill 2011; Avery's Drug Treatment: Principles and Practice of Clinical Pharmacology and Therapeutics, 3rd edition, ADIS Press, LTD., Williams and Wilkins, Baltimore, Md. (1987), Ebadi, Pharmacology, Little, Brown and Co., Boston, (1985); Osolci al., eds., Remington's Pharmaceutical Sciences, current edition, Mack Publishing Co., Easton, Pa.; Katzung, Basic and Clinical Pharmacology, Appleton and Lange, Norwalk, Conn. (1992)).

[0471]

The total dose required for each treatment can be administered by multiple doses or in a single dose over the course of the day, if desired. Generally, treatment is initiated with smaller dosages, which are less than the optimum dose of the compound. Thereafter, the dosage is increased by small increments until the optimum effect under the circumstances is reached. The diagnostic pharmaceutical compound or composition can be administered alone or in conjunction with other diagnostics and/or pharmaceuticals directed to the pathology, or directed to other symptoms of the pathology. The recipients of administration of compounds and/or compositions of the invention can be any vertebrate animal, such as mammals. Among mammals, the preferred recipients are mammals of the Orders Primate (including humans, apes and monkeys), Arteriodactyla (including horses, goats, cows, sheep, pigs), Rodenta (including mice, rats and hamsters), Lagamorpha (including rabbits) and Camivora (including cats and dogs). Among birds, the preferred recipients are turkeys, chickens and other members of the same order. The most preferred recipients are humans.

[0472]

For topical applications, it is preferred to administer an effective amount of a pharmaceutical composition according to the invention to target area, e.g., skin surfaces, mucous membranes, and the like, which are adjacent to peripheral neurons which are to be treated. This amount will generally range from about 0.0001 mg to about 1 g of a compound of the invention per application, depending upon the area to be treated, whether the use is diagnostic, prophylactic or therapeutic, the severity of the symptoms, and the nature of the topical vehicle employed. A preferred topical preparation is an ointment, wherein about 0.001 to about 50 mg of active ingredient is used per cc of ointment base. The pharmaceutical composition can be formulated as transdermal compositions or transdermal delivery devices (“patches”). Such compositions include, for example, a backing, active compound reservoir, a control membrane, liner and contact adhesive. Such transdermal patches may be used to provide continuous pulsatile, or on demand delivery of the compounds of the present invention as desired.

[0473]

The compositions of the invention can be formulated so as to provide quick, sustained or delayed release of the active ingredient after administration to the patient by employing procedures known in the art. Controlled release drug delivery systems include osmotic pump systems and dissolutional systems containing polymer-coated reservoirs or drug-polymer matrix formulations. Examples of controlled release systems are given in U.S. Pat. Nos. 3,845,770 and 4,326,525 and in P. J. Kuzma et al., Regional Anesthesia 22 (6): 543-551 (1997), all of which are incorporated herein by reference.

[0474]

The compositions of the invention can also be delivered through intra-nasal drug delivery systems for local, systemic, and nose-to-brain medical therapies. Controlled Particle Dispersion (CPD)™ technology, traditional nasal spray bottles, inhalers or nebulizers are known by those skilled in the art to provide effective local and systemic delivery of drugs by targeting the olfactory region and paranasal sinuses.

[0475]

The invention also relates to an intravaginal shell or core drug delivery device suitable for administration to the human or animal female. The device may be comprised of the active pharmaceutical ingredient in a polymer matrix, surrounded by a sheath, and capable of releasing the compound in a substantially zero order patter on a daily basis similar to devises used to apply testosterone as described in PCT Published Patent Application No. WO 98/50016.

[0476]

Current methods for ocular delivery include topical administration (eye drops), subconjunctival injections, periocular injections, intravitreal injections, surgical implants and iontophoresis (uses a small electrical current to transport ionized drugs into and through body tissues). Those skilled in the art would combine the best suited excipients with the compound for safe and effective intra-ocular administration.

[0477]

The most suitable route will depend on the nature and severity of the condition being treated. Those skilled in the art are also familiar with determining administration methods (e.g., oral, intravenous, inhalation, sub-cutaneous, rectal etc.), dosage forms, suitable pharmaceutical excipients and other matters relevant to the delivery of the compounds to a subject in need thereof.

[0000]

Combination Therapy

[0478]

The compounds of the invention may be usefully combined with one or more other compounds of the invention or one or more other therapeutic agent or as any combination thereof, in the treatment of diseases and conditions associated with voltage-gated sodium channel activity. For example, a compound of the invention may be administered simultaneously, sequentially or separately in combination with other therapeutic agents, including, but not limited to:

    • opiates analgesics, e.g., morphine, heroin, cocaine, oxymorphine, levorphanol, levallorphan, oxycodone, codeine, dihydrocodeine, propoxyphene, nalmefene, fentanyl, hydrocodone, hydromorphone, meripidine, methadone, nalorphine, naloxone, naltrexone, buprenorphine, butorphanol, nalbuphine and pentazocine;
    • non-opiate analgesics, e.g., acetaminophen, salicylates (e.g., aspirin);
    • nonsteroidal anti-inflammatory drugs (NSAIDs), e.g., ibuprofen, naproxen, fenoprofen, ketoprofen, celecoxib, diclofenac, diflusinal, etodolac, fenbufen, fenoprofen, flufenisal, flurbiprofen, ibuprofen, indomethacin, ketoprofen, ketorolac, meclofenamic acid, mefenamic acid, meloxicam, nabumetone, naproxen, nimesulide, nitroflurbiprofen, olsalazine, oxaprozin, phenylbutazone, piroxicam, sulfasalazine, sulindac, tolmetin and zomepirac;
    • anticonvulsants, e.g., carbamazepine, oxcarbazepine, lamotrigine, valproate, topiramate, gabapentin and pregabalin;
    • antidepressants such as tricyclic antidepressants, e.g., amitriptyline, clomipramine, despramine, imipramine and nortriptyline;
    • COX-2 selective inhibitors, e.g., celecoxib, rofecoxib, parecoxib, valdecoxib, deracoxib, etoricoxib, and lumiracoxib;
    • alpha-adrenergics, e.g., doxazosin, tamsulosin, clonidine, guanfacine, dexmetatomidine, modafinil, and 4-amino-6,7-dimethoxy-2-(5-methane sulfonamido-1,2,3,4-tetrahydroisoquinol-2-yl)-5-(2-pyrdyl) quinazoline;
    • barbiturate sedatives, e.g., amobarbital, aprobarbital, butabarbital, butabital, mephobarbital, metharbital, methohexital, pentobarbital, phenobartital, secobarbital, talbutal, theamylal and thiopental;
    • tachykinin (NK) antagonist, particularly an NK-3, NK-2 or NK-1 antagonist, e.g., (αR, 9R)-7-[3,5-bis(trifluoromethyl)benzyl)]-8,9,10,11-tetrahydro-9-methyl-5-(4-methylphenyl)-7H-[1,4]diazocino[2,1-g][1,7]-naphthyndine-6-13-dione (TAK-637), 5-[[2R,3S)-2-[(1R)-1-[3,5-bis(trifluoromethylphenyl]ethoxy-3-(4-fluorophenyl)-4-morpholinyl]-methyl]-1,2-dihydro-3H-1,2,4-triazol-3-one (MK-869), aprepitant, lanepitant, dapitant or 3-[[2-methoxy5-(trifluoromethoxy)phenyl]-methylamino]-2-phenylpiperidine (2S,3S);
    • coal-tar analgesics, in particular paracetamol;
    • serotonin reuptake inhibitors, e.g., paroxetine, sertraline, norfluoxetine (fluoxetine desmethyl metabolite), metabolite demethylsertraline, ′3 fluvoxamine, paroxetine, citalopram, citalopram metabolite desmethylcitalopram, escitalopram, d,l-fenfluramine, femoxetine, ifoxetine, cyanodothiepin, litoxetine, dapoxetine, nefazodone, ceridamine, trazodone and fluoxetine;
    • noradrenaline (norepinephrine) reuptake inhibitors, e.g., maprotiline, lofepramine, mirtazepine, oxaprotiline, fezolamine, tomoxetine, mianserin, buproprion, buproprion metabolite hydroxybuproprion, nomifensine and viloxazine (Vivalan®)), especially a selective noradrenaline reuptake inhibitor such as reboxetine, in particular (S,S)-reboxetine, and venlafaxine duloxetine neuroleptics sedative/anxiolytics;
    • dual serotonin-noradrenaline reuptake inhibitors, such as venlafaxine, venlafaxine metabolite O-desmethylvenlafaxine, clomipramine, clomipramine metabolite desmethylclomipramine, duloxetine, milnacipran and imipramine;
    • acetylcholinesterase inhibitors such as donepezil;
    • 5-HT3 antagonists such as ondansetron;
    • metabotropic glutamate receptor (mGluR) antagonists;
    • local anaesthetic such as mexiletine and lidocaine;
    • corticosteroid such as dexamethasone;
    • antiarrhythimics, e.g., mexiletine and phenytoin;
    • muscarinic antagonists, e.g., tolterodine, propiverine, tropsium chloride, darifenacin, solifenacin, temiverine and ipratropium;
    • cannabinoids;
    • vanilloid receptor agonists (e.g., resinferatoxin) or antagonists (e.g., capsazepine);
    • sedatives, e.g., glutethimide, meprobamate, methaqualone, and dichloralphenazone;
    • anxiolytics such as benzodiazepines,
    • antidepressants such as mirtazapine,
    • topical agents (e.g., lidocaine, capsacin and resiniferotoxin);
    • muscle relaxants such as benzodiazepines, baclofen, carisoprodol, chlorzoxazone, cyclobenzaprine, methocarbamol and orphrenadine;
    • anti-histamines or H1 antagonists;
    • NMDA receptor antagonists;
    • 5-HT receptor agonists/antagonists;
    • PDEV inhibitors;
    • Tramadoi;
    • cholinergic (nicotinic) analgesics;
    • alpha-2-delta ligands;
    • prostaglandin E2 subtype antagonists;
    • leukotriene B4 antagonists;
    • 5-lipoxygenase inhibitors; and
    • 5-HT3 antagonists.

[0517]

As used herein “combination” refers to any mixture or permutation of one or more compounds of the invention and one or more other compounds of the invention or one or more additional therapeutic agent Unless the context makes clear otherwise, “combination” may include simultaneous or sequentially delivery of a compound of the invention with one or more therapeutic agents. Unless the context makes clear otherwise, “combination” may include dosage forms of a compound of the invention with another therapeutic agent. Unless the context makes clear otherwise, “combination” may include routes of administration of a compound of the invention with another therapeutic agent. Unless the context makes clear otherwise, “combination” may include formulations of a compound of the invention with another therapeutic agent. Dosage forms, routes of administration and pharmaceutical compositions include, but are not limited to, those described herein.

[0000]

Kits-of-Parts

[0518]

The present invention also provides kits that contain a pharmaceutical composition which includes one or more compounds of the invention. The kit also includes instructions for the use of the pharmaceutical composition for inhibiting the activity of voltage-gated sodium channels, preferably Nav1.6, for the treatment of epilepsy, as well as other utilities as disclosed herein. Preferably, a commercial package will contain one or more unit doses of the pharmaceutical composition. For example, such a unit dose may be an amount sufficient for the preparation of an intravenous injection. It will be evident to those of ordinary skill in the art that compounds which are light and/or air sensitive may require special packaging and/or formulation. For example, packaging may be used which is opaque to light, and/or sealed from contact with ambient air, and/or formulated with suitable coatings or excipients.

[0000]

Preparation of the Compounds of the Invention

[0519]

The following Reaction Schemes illustrate methods to make compounds of this invention, i.e., compounds of formula (I), as individual stereoisomers, enantiomers or tautomers thereof or mixtures thereof; or as pharmaceutically acceptable salts, solvates or prodrugs thereof.

[0520]

It is also understood that one skilled in the art would be able to make the compounds of the invention by similar methods or by methods known to one skilled in the art. It is also understood that one skilled in the art would be able to make in a similar manner as described below other compounds of the invention not specifically illustrated below by using the appropriate starting components and modifying the parameters of the synthesis as needed. It is also understood that simple functional group transformations (see, e.g., Larock, R. C. Comprehensive Organic Transformations, 2nd edition (Wiley, 1999) can be effected by methods known to one skilled in the art. In general, starting components may be obtained from sources such as Sigma Aldrich, Combi-Blocks, Oakwood Chemicals, Inc., Maybridge, Matrix Scientific, TCI, and Fluorochem USA, etc. or synthesized according to sources known to those skilled in the art (see, e.g., Smith, M. B. and J. March, March's Advanced Organic Chemistry Reactions, Mechanisms, and Structure, 6th edition (Wiley, 2007)) or prepared as described herein.

[0521]

It is also understood that in the following description, combinations of substituents and/or variables of the depicted formulae are permissible only if such contributions result in stable compounds.

[0522]

It will also be appreciated by those skilled in the art that in the process described below the functional groups of intermediate compounds may need to be protected by suitable protecting groups. Such functional groups include hydroxy, amino, mercapto and carboxylic acid. Suitable protecting groups for hydroxy (i.e., “oxygen-protecting groups”) include trialkylsilyl or diarylalkylsilyl (e.g., t-butyldimethylsilyl, t-butyldiphenylsilyl or trimethylsilyl), tetrahydropyranyl, benzyl, and the like. Suitable protecting groups for amino, amidino and guanidino (i.e., “nitrogen-protecting groups”) include t-butoxycarbonyl, benzyloxycarbonyl, para-methoxybenzyl, benzyl, 2-(trimethylsilyl)ethoxymethyl, 2,4-dimethoxybenzyl and the like. Suitable protecting groups for mercapto (i.e., “sulfur-protecting groups”) include —C(O)—R11 (where R11 is alkyl, aryl or aralkyl), benzyl, p-methoxybenzyl, trityl and the like. Suitable protecting groups for carboxylic acid include alkyl, aryl or arylalkyl esters.

[0523]

Protecting groups may be added or removed in accordance with standard techniques, which are known to one skilled in the art and as described herein.

[0524]

The use of protecting groups is described in detail in Greene, T. W. and P. G. M. Wuts, Greene's Protective Groups in Organic Synthesis (2006), 4th Ed., Wiley. The protecting group may also be a polymer resin such as a Wang resin or a 2-chlorotrityl-chloride resin.

[0525]

It will also be appreciated by those skilled in the art, although such protected derivatives of compounds of this invention may not possess pharmacological activity as such, they may be administered to a mammal and thereafter metabolized in the body to form compounds of the invention which are pharmacologically active. Such derivatives may therefore be described as “prodrugs”. All prodrugs of compounds of this invention are included within the scope of the invention.

[0526]

The compounds of formula (I) may contain at least one stereocenter and thus can exist as racemates, enantiomers and/or diastereoisomers. Specific enantiomers or diastereoisomers may be prepared by utilizing the appropriate chiral starting material. Alternatively, diastereoisomeric mixtures or racemic mixtures of compounds of formula (I) may be resolved into their respective enantiomers or diastereoisomers.

[0527]

Methods for resolution of diastereoisomeric mixtures or racemic mixtures of the compounds of formula (I), as described herein, or intermediates prepared herein, are well known in the art (e.g., E. L. Eliel and S. H. Wilen, in Stereochemistry of Organic Compounds; John Wiley & Sons: New York, 1994; Chapter 7, and references cited therein). Suitable processes such as crystallization (e.g., preferential crystallization, preferential crystallization in the presence of additives), asymmetric transformation of racemates, chemical separation (e.g., formation and separation of diastereomers such as diastereomeric salt mixtures or the use of other resolving agents; separation via complexes and inclusion compounds), kinetic resolution (e.g., with titanium tartrate catalyst), enzymatic resolution (e.g., lipase mediated) and chromatographic separation (e.g., HPLC with chiral stationary phase and/or with simulated moving bed technology, or supercritical fluid chromatography and related techniques) are some of the examples that may be applied (see e.g., T. J. Ward, Analytical Chemistry, 2002, 2863-2872).

[0000]

Preparation of the Compounds of Formula (Ia)

[0528]

Compounds of formula (Ia), as described above in the Embodiments Section, are compounds of formula (I), as described above in the Summary of the invention, wherein

[0529]


R1 is an optionally substituted aryl or an optionally substituted N-heteroaryl and m, n, X, Y, R2, R3, R4, R5, R6, R7, R8, R9, R10, R11, R13 and R14 are each as described above in the Summary of the Invention for compounds of formula (I).

[0530]

Compounds of formula (Ia1) are compounds of formula (Ia) wherein R3 is —N(R13).

[0531]

Compounds of formula (Ia1) where R4 is hydrogen can be synthesized following the general procedure described below in Reaction Scheme 1 where m, n, X, Y, R1, R2, R5, R6, R11 and R13 are as described above in the Embodiments Section for compounds of formula (Ia1) and each Z1 is independently fluoro, chloro or bromo, Z2 is iodo, Pg1 is t-butoxycarbonyl and Pg2 is 2-(trimethylsilyl)ethoxymethyl, R15 is an optionally substituted aralkyl group, preferably benzyl, R16 is alkyl, preferably tert-butyl, and DCDMH refers to 1,3-dichloro-5,5-dimethylimidazolidine-2,3-dione (1,3-dichloro-5,5-dimethylhydantion):

[0532]

[0533]

DCDMH and compounds of formulae (101), (102), (105), (107), (109), (111) and (114) are commercially available or can be prepared according to methods known to one skilled in the art or by methods disclosed herein. In general, the compounds of formula (Ia1) are prepared as described above in Reaction Scheme 1 as follows:

[0534]

A compound of formula (101) is treated with a compound of formula (102) under standard nucleophilic aromatic substitution conditions to afford a compound of formula (103), which is then treated with DCDMH under oxidative chlorination conditions to afford a compound of formula (104).

[0535]

The compound of formula (104) is then treated with a compound of formula (105) under standard sulfonamide formation conditions to afford a compound of formula (106), which is then treated with a compound of formula (107) under standard Pd-catalyzed Buchwald-Hartwig coupling conditions to afford a compound of formula (108).

[0536]

The compound of formula (108) is then treated with a compound of formula (109) in an polar aprotic solvent and in the presence of a base to afford a compound of formula (110), which is then treated with a compound of formula (111) under standard amine alkylation conditions to afford a compound of formula (112).

[0537]

The compound of formula (112) is then treated under standard nitrogen-deprotection conditions to afford a compound of formula (113), which is then treated with a compound of formula (114) under standard reductive amination conditions, to afford a compound of formula (Ia1).

[0538]

Alternatively, compounds of formula (Ia1) can be synthesized following the general procedure described below in Reaction Scheme 2 where m, n, X, Y, R1, R2, R4, R5, R6, R11 and R13 are as described above in the Embodiments Section for compounds of formula (Ia1), and each Z1 is independently fluoro, chloro or bromo, Pg1 is a nitrogen protecting group and R16 is alkyl:

[0539]

[0540]

Compounds of formulae (201), (202), (104), (203), (205) and (207) are commercially available or can be prepared according to methods known to one skilled in the art or by methods disclosed herein. In general, the compounds of formula (Ia1) are prepared as described above in Reaction Scheme 2 as follows:

[0541]

A compound of formula (201) is treated with an appropriate azide, such as diphenyl phosphoryl azide (DPPA), and a compound of formula (202) under standard Curtius rearrangement conditions to afford a compound of formula (105), which is then treated with a compound of formula (104) under standard carbamate sulfonylation conditions to afford a compound of formula (106), which is first deprotected under standard carbamate removal conditions such as trifluoroacetic acid in dichloromethane and then treated with a compound of formula (203) to afford a compound of formula (204).

[0542]

The compound of formula (204) is then treated with a compound of formula (205) under nucleophilic aromatic substitution conditions to afford a compound of formula (206), which is then treated with an aldehyde of formula (207) standard reductive alkylation conditions, to afford a compound of formula (Ia1).

[0543]

Alternatively, compounds of formula (Ia1) can be synthesized following the general procedure described below in Reaction Scheme 3 where m, n, X, Y, R1, R2, R4, R5, R6, R11 and R13 are as described above in the Embodiments Section for compounds of formula (Ia1), and Z1 is fluoro, chloro or bromo and R16 is alkyl:

[0544]

[0545]

Compounds of formulae (201), (202), (105), (104), (205) and (207) are commercially available or can be prepared according to methods known to one skilled in the art or by methods disclosed herein. In general, the compounds of formula (Ia1) are prepared as described above in Reaction Scheme 3 as follows:

[0546]

A compound of formula (201) is treated with an appropriate azide, such as diphenyl phosphoryl azide (DPPA), and a compound of formula (202) under standard Curtius rearrangement conditions to afford a compound of formula (105), which is then treated with a compound of formula (104) under standard carbamate sulfonylation conditions to afford a compound of formula (106), which is then treated with a compound of formula (205) under nucleophilic aromatic substitution conditions to afford a compound of formula (301), which is then treated with an aldehyde of formula (207) standard reductive alkylation conditions to afford a compound of formula (Ia1).

[0547]

Alternatively, compounds of formula (Ia1) where R4 is hydrogen can be synthesized following the general procedure described below in Reaction Scheme 4 where m, n, X, Y, R1, R2, R5, R6, R11 and R13 are as described above in the Embodiments Section for compounds of formula (Ia1), and Z1 is chloro, fluoro or bromo, Lg1 is a leaving group, such as, but not limited to, bromide, iodide or sulfate, Pg1 and Pg2 are each a nitrogen protecting group:

[0548]

[0549]

Compounds of formulae (401), (403) and (114) are commercially available or can be prepared according to methods known to one skilled in the art or by methods disclosed herein. In general, the compounds of formula (Ia1) are prepared as described above in Reaction Scheme 4 as follows:

[0550]

The compound of formula (204) is treated with a compound of formula (401) under standard nucleophilic aromatic substitution conditions to afford a compound of formula (402), which is then treated with a compound of (403) under standard amine alkylation conditions to afford a compound of formula (404).

[0551]

The compound of formula (404) is then treated under standard nitrogen deprotection conditions to afford a compound of formula (113), when is then treated with a compound of formula (114) under standard reductive alkylation conditions to afford a compound of formula (Ia1).

[0552]

Alternatively, compounds of formula (Ia1) can be synthesized following the general procedure described below in Reaction Scheme 5 where m, n, X, Y, R1, R2, R4, R5, R6, R11 and R13 are as described above in the Embodiments Section for compounds of formula (Ia1), each Z1 is independently fluoro, chloro or bromo, and Pg1 is a nitrogen protecting group:

[0553]

[0554]

Compounds of formulae (204), (207) and (502) are commercially available or can be prepared according to methods known to one skilled in the art or by methods disclosed herein. In general, the compounds of formula (Ia1) are prepared as described above in Reaction Scheme 5 as follows:

[0555]

A compound of formula (204) is first reacted with a nitrogen nucleophile, such as, but not limited to, sodium azide, under standard reaction conditions, such as, but not limited to, the use of a polar aprotic solvent, such as, but not limited to, dimethyl sulfoxide or N,N-dimethylformamide, at a temperature of between about 0° C. and 80° C., for about 1 to 48 hours. The compound which can isolated from the reaction mixture by standard techniques is then treated with a reducing agent, such as, but not limited to, zinc dust, in a polar aprotic solvent, such as, but not limited to, tetrahydrofuran, in the presence of a weak acid, such as, but not limited to, aqueous ammonium chloride, to afford a compound of formula (501).

[0556]

The compound of formula (501) is then treated first with a compound of formula (502) in the presence of a reducing agent, such as, but not limited to, sodium triacetoxyborohydride, in an acidic solvent, such as, but not limited to, trifluoroacetic acid, followed by reaction with an aldehyde of formula (207) in the presence of a reducing agent, such as, but not limited to, sodium triacetoxyborohydride, to generate a compound of formula (Ia1).

[0557]

Alternatively, compounds of formula (Ia1) where one R11 is alkyl and one R11 is fluoro, can be synthesized following the general procedure described below in Reaction Scheme 6 where m, X, Y, R1, R2, R4, R5, R6 and R13 are as described above in the Embodiments Section for compounds of formula (Ia1), R11a is alkyl, R15 is optionally substituted aralkyl group, preferably optionally substituted benzyl, each Z1 is fluoro, Z2 is bromo or chloro, Z3 is iodo, bromo or chloro and DCDMH refers to 1,3-dichloro-5,5-dimethylimidazolidine-2,3-dione:

[0558]

[0559]

Compounds of formulae (102), (205), (207), (601), (603) and (605) are commercially available or can be prepared according to methods known to one skilled in the art or by methods disclosed herein. In general, the compounds of formula (Ia1) are prepared as described above in Reaction Scheme 6 as follows:

[0560]

A compound of formula (601) is treated with a compound of formula (102) under standard palladium-catalyzed thioether formation conditions to afford a compound of formula (602), which is then treated under standard metalation conditions and reacted with an electrophile of formula (603) to afford a compound of formula (604).

[0561]

The compound of formula (604) is then treated with DCDMH under standard oxidative chlorination conditions to form a sulfonyl chloride intermediate, which is then treated with a compound of formula (605) under standard sulfonamide formation conditions to afford a compound of formula (606), which is then treated with a compound of formula (205) under standard nucleophilic aromatic substitution conditions to afford a compound of formula (607), which is then treated with an aldehyde, preferably paraformaldehyde, of formula (207) in the presence of a reducing agent, such as, but not limited to, sodium triacetoxyborohydride or formic acid, to afford a compound of formula (Ia1).

[0562]

Alternatively, compounds of formula (Ia1) where R4 is hydrogen and one R11 is alkyl and one R11 is fluoro or chloro can be synthesized following the general procedure described below in Reaction Scheme 7 where m, X, Y, R1, R2, R6 and R13 are as described above in the Embodiments Section for compounds of formula (Ia1), R11a is alkyl, each Z1 is fluoro and Pg1 is a nitrogen protecting group:

[0563]

[0564]

Compounds of formulae (606), (107), (114) and (207) are commercially available or can be prepared according to methods known to one skilled in the art or by methods disclosed herein. In general, the compounds of formula (Ia1) are prepared as described above in Reaction Scheme 7 as follows:

[0565]

A compound of formula (606) is first treated with a compound of formula (107) under standard nucleophilic aromatic substitution conditions to afford a compound of formula (701), which is then deprotected under standard nitrogen deprotection conditions, followed by treatment with a compound of formula (114) under standard reductive alkylation conditions, followed by treatment with an aldehyde of formula (207), preferably paraformaldehyde, in the presence of a reducing agent, such as, but not limited to, sodium triacetoxyborohydride or formic acid, to afford a compound of formula (Ia1).

[0566]

Alternatively, compounds of formula (Ia1) where one R11 is alkyl and one R11 is fluoro or chloro can be synthesized following the general procedure described below in Reaction Scheme 8 where m, X, Y, R1, R2, R4, R5, R6 and R13 are as described above in the Embodiments Section for compounds of formula (Ia1), R11a is alkyl, each Z1 is fluoro and Pg1 is a nitrogen protecting group:

[0567]

[0568]

Compounds of formulae (606), (203), (205) and (207) are commercially available or can be prepared according to methods known to one skilled in the art or by methods disclosed herein. In general, the compounds of formula (Ia1) are prepared as described above in Reaction Scheme 8 as follows:

[0569]

A compound of formula (606) is treated with a compound of formula (203) under standard nitrogen protection conditions to afford a compound of formula (801), when is then treated with a compound of formula (205) under standard nucleophilic aromatic substitution conditions to afford a compound of formula (802), which is then treated with an aldehyde of formula (207), preferably paraformaldehyde, in the presence of a reducing agent, such as, but not limited to, sodium triacetoxyborohydride or formic acid, to afford a compound of formula (Ia1).

[0570]

Alternatively, compounds of formula (Ia1) can be synthesized following the general procedure described below in Reaction Scheme 9 where m, n, X, Y, R1, R2, R4, R5, R6, R11 and R13 are as described above in the Embodiments Section for compounds of formula (Ia1), Z1 is fluoro and Pg1 is a nitrogen protecting group:

[0571]

[0572]

Compounds of formulae (901), (902), (104), (205) and (207) are commercially available or can be prepared according to methods known to one skilled in the art or by methods disclosed herein. In general, the compounds of formula (Ia1) are prepared as described above in Reaction Scheme 8 as follows:

[0573]

A compound of formula (901) is treated with a compound of formula (902) under standard nucleophilic aromatic substitution conditions to afford a compound of formula (903), which is then treated with a compound of formula (104) under standard sulfonamide formation conditions to afford a compound of formula (204).

[0574]

In a similar manner as described above in Reaction Scheme 2, the compound of formula (204) can then be treated with a compound of formula (205) under standard nucleophilic aromatic substitution conditions to afford a compound of formula (206), which is then treated with an aldehyde of formula (207), preferably paraformaldehyde, in the presence of a reducing agent, such as, but not limited to, sodium triacetoxyborohydride or formic acid, to afford a compound of formula (Ia1).

[0575]

Alternatively, compounds of formula (Ia1) where R4 and R5 are hydrogen and one R11 is alkyl and one R11 is fluoro can be synthesized following the general procedure described below in Reaction Scheme 10 where m, X, Y, R1, R2, R6 and R13 are as described above in the Embodiments Section for compounds of formula (Ia1), R11a is alkyl, R15 is optionally substituted aralkyl group, preferably optionally substituted benzyl, each Z1 is fluoro, Z2 is bromo or chloro, Z3 is iodo, bromo or chloro and DCDMH refers to 1,3-dichloro-5,5-dimethylimidazolidine-2,3-dione:

[0576]

[0577]

Compounds of formulae (601), (102), (603), (605), (107), (114) and (207) are commercially available or can be prepared according to methods known to one skilled in the art or by methods disclosed herein. In general, the compounds of formula (Ia1) are prepared as described above in Reaction Scheme 10 as follows:

[0578]

In a similar manner as described above in Reaction Scheme 5, the compound of formula (601) is treated with a compound of formula (102) under standard palladium-catalyzed thioether formation conditions to afford a compound of formula (602), which is then treated under standard metalation conditions and reacted with an electrophile of formula (603) to afford a compound of formula (604).

[0579]

The compound of formula (604) is then treated with DCDMH under standard oxidative chlorination conditions to form a sulfonyl chloride intermediate, which is then treated with a compound of formula (605) under standard sulfonamide formation conditions to afford a compound of formula (606).

[0580]

In a similar manner as described above in Reaction Scheme 6, the compound of formula (606) is then treated with a compound of formula (107) under standard nucleophilic aromatic substitution conditions to afford a compound of formula (701), which is then deprotected under standard nitrogen deprotection conditions, followed by treatment with a compound of formula (114) under standard reductive alkylation conditions, followed by treatment with an aldehyde of formula (207), preferably paraformaldehyde, in the presence of a reducing agent, such as, but not limited to, sodium triacetoxyborohydride or formic acid, to afford a compound of formula (Ia1).

[0581]

Alternatively, compounds of formula (Ia1) where R4 is hydrogen and one R11 is alkyl and one R11 is fluoro or chloro can be synthesized following the general procedure described below in Reaction Scheme 11 where m, X, Y, R1, R2, R5, R6 and R13 are as described above in the Embodiments Section for compounds of formula (Ia1), R11a is alkyl, each Z1 is fluoro or chloro, and Pg1 and Pg2 are both nitrogen protecting groups:

[0582]

[0583]

Compounds of formulae (606), (203), (401), (114) and (207) are commercially available or can be prepared according to methods known to one skilled in the art or by methods disclosed herein. In general, the compounds of formula (Ia1) are prepared as described above in Reaction Scheme 11 as follows:

[0584]

A compound of formula (606) is treated under standard nitrogen protection conditions to afford a compound of formula (801), which is then treated with a compound of formula (401) under standard nucleophilic aromatic substitution conditions to afford a compound of formula (1101).

[0585]

The compound of formula (1101) is then treated with a compound of formula (114) under standard reductive alkylation conditions, to afford a compound of formula (1102), which is then treated with an aldehyde of formula (207), preferably paraformaldehyde, in the presence of a reducing agent, such as, but not limited to, sodium triacetoxyborohydride or formic acid, to afford a compound of formula (Ia1).

[0586]

Alternatively, compounds of formula (Ia1) where R4 is hydrogen and one R11 is alkyl and one R11 is fluoro or chloro can be synthesized following the general procedure described below in Reaction Scheme 12 where m, X, Y, R1, R2, R4, R5, R6 and R13 are as described above in the Embodiments Section for compounds of formula (Ia1), R11a is alkyl, Z1 is fluoro, Z2 is chloro or bromo, Z3 is, for example, but not limited to, B(OH)2 or 4,4,5,5-tetramethyl-1,3,2λ2-dioxaborolane and DCDMH refers to 1,3-dichloro-5,5-dimethylimidazolidine-2,3-dione (1,3-dichloro-5,5-dimethylhydantion):

[0587]

[0588]

Compounds of formulae (1201), (202), (1203), (102), (605), (502) and (207) are commercially available or can be prepared according to methods known to one skilled in the art or by methods disclosed herein. In general, the compounds of formula (Ia1) are prepared as described above in Reaction Scheme 12 as follows:

[0589]

A compound of formula (1201) is treated with an appropriate azide, such as diphenyl phosphoryl azide (DPPA), and a compound of formula (202) under standard Curtius rearrangement conditions to afford a compound of formula (1202).

[0590]

The compound of formula (1202) is then treated with a compound of formula (1203) under standard Suzuki-Miyaura cross coupling conditions, such as in the presence of a base and a palladium catalyst, to afford compound of formula (1204), which is then treated with an appropriate brominating agent under standard bromination conditions to afford a compound of formula (1205).

[0591]

The compound of formula (1205) is then treated with a compound of formula (102) under standard palladium-catalyzed thioether formation conditions to afford a compound of formula (1206), which is then treated with DCDMH under standard oxidative chlorination conditions to afford a compound of formulate (1207), which then treated with a compound of formula (605) under standard sulfonamide formation conditions to afford a compound of formula (1208).

[0592]

The compound of formula (1208) is then first deprotected under standard nitrogen deprotection conditions to form an amine intermediate, which is then treated with a compound of formula (502) in the presence of a Lewis-acid, such as, but not limited to, titanium(IV) isopropoxide, and a reducting agent, such as, but not limited to, sodium cyanoborohydride, in a solvent, such as, but not limited to, tetrahydrofuran, to afford a compound of formula (1209), which is then treated with an aldehyde of formula (207) in the presence of a reducing agent, such as, but not limited to, sodium triacetoxyborohydride, to generate a compound of formula (Ia1).

[0593]

Compounds of formula (Ia2) are compounds of formula (Ia) wherein R3 is —O—.

[0594]

Compounds of formula (Ia2) can be synthesized following the general procedure described below in Reaction Scheme 13 where m, n, X, Y, R1, R2, R4, R5, R6 and R11 are as described above in the Embodiments Section for compounds of formula (Ia2), R16 is alkyl and Z1 is chloro, fluoro or bromo:

[0595]

[0596]

Compounds of formulae (502) and (106) are commercially available or can be prepared according to methods known to one skilled in the art or by methods disclosed herein. In general, the compounds of formula (Ia2) are prepared as described above in Reaction Scheme 12 as follows:

[0597]

A compound of formula (502) is treated under standard reduction conditions to afford a compound of formula (1301), which is then treated with a compound of formula (106) under standard nucleophilic aromatic substitution conditions to afford a compound of formula (Ia2).

[0598]

Alternatively, compounds of formula (Ia2) can be synthesized following the general procedure described below in Reaction Scheme 14 where m, n, X, Y, R1, R2, R4, R5, R6 and R11 are as described above in the Embodiments Section for compounds of formula (Ia2) and Z1 is chloro, fluoro or bromo:

[0599]

[0600]

Compounds of formulae (104), (605) and (1301) are commercially available or can be prepared according to methods known to one skilled in the art or by methods disclosed herein. In general, the compounds of formula (Ia2) are prepared as described above in Reaction Scheme 14 as follows:

[0601]

A compound of formula (104) is treated with a compound of formula (605) under standard sulfonamide formation conditions to afford a compound of formula (1401), which is then treated with a compound of formula (1301) under standard nucleophilic aromatic substitution conditions to afford a compound of formula (Ia2).

[0602]

Alternatively, compounds of formula (Ia2) can be synthesized following the general procedure described below in Reaction Scheme 15 where m, n, X, Y, R1, R2, R4, R5 and R6 are as described above in the Embodiments Section for compounds of formula (Ia2), R11a is alkyl, each Z1 is fluoro or chloro and Pg1 is a nitrogen protecting group:

[0603]

[0604]

Compounds of formulae (1301) and (801) are commercially available or can be prepared according to methods known to one skilled in the art or by methods disclosed herein. In general, the compounds of formula (Ia2) are prepared as described above in Reaction Scheme 15 as follows:

[0605]

A compound of formula (1301) is treated with a compound of formula (801) under standard nucleophilic aromatic substitution conditions to afford a compound of formula (1501), which is then treated under standard nitrogen deprotection conditions to afford a compound of formula (Ia2).

[0000]

Preparation of the Compounds of Formula (Ib)

[0606]

Compounds of formula (Ib), as described above in the Embodiments Section, are compounds of formula (I), as described above in the Summary of the invention, wherein

[0607]


R1 is an optionally substituted aryl or an optionally substituted N-heteroaryl and m, n, X, Y, R2, R3, R4, R5, R6, R7, R8, R9, R10, R11, R13 and R14 are each as described above in the Summary of the Invention for compounds of formula (I).

[0608]

Compounds of formula (Ib1) are compounds of formula (Ib) wherein R3 is —N(R13).

[0609]

Compounds of formula (Ib1) can be synthesized following the general procedure described below in Reaction Scheme 16 where m, n, X, Y, R1, R2, R4, R5, R6, R11 and R13 are as described above in the Embodiments Section for compounds of formula (Ib1) and Z1 is fluoro, Z2 is chloro or bromo, Z3 is iodo, Pg1 is a nitrogen protecting group, R15s is an optionally substituted aralkyl group, preferably benzyl, and DCDMH refers to 1,3-dichloro-5,5-dimethylimidazolidine-2,3-dione (1,3-dichloro-5,5-dimethylhydantion):

[0610]

[0611]

Compounds of formula (1601), (102), (903), (205) and (111) are commercially available or can be prepared according to methods known to one skilled in the art or by methods disclosed herein. In general, the compounds of formula (Ib1) are prepared as described above in Reaction Scheme 16 as follows:

[0612]

A compound of formula (1601) is first treated with a compound of formula (102) under standard palladium-catalyzed thioether formation conditions to afford a compound of formula (1602), which is then treated with DCDMH under standard oxidative chlorination conditions to afford a compound of formula (1603).

[0613]

The compound of formula (1603) is then treated with a compound of formula (903) under standard sulfonamide formation conditions to afford a compound of formula (1604), which is then treated with a compound of formula (205) under standard nucleophilic aromatic substitution conditions to afford a compound of formula (1605).

[0614]

A compound of formula (1605) where R11 is chloro may optionally be treated with R11—Z4 where R11 is alkyl, preferably methyl, and Z4 is B(OH)2 or 4,4,5,5-tetramethyl-1,3,2λ2-dioxaborolane, under standard Suzuki-Miyaura cross coupling conditions, such as in the presence of a base and a palladium catalyst to form a compound of formula (1605) where R11 is alkyl, preferably methyl.

[0615]

The compound of formula (1605) is then treated with a compound of formula (111) under standard amine alkylation conditions to afford a compound of formula (1606), which is then treated under standard nitrogen-deprotection conditions to afford a compound of formula (Ib1).

[0616]

Alternatively, compounds of formula (Ib1) where R4 is hydrogen can be synthesized following the general procedure described below in Reaction Scheme 17 where m, X, Y, R1, R2, R5, R6 and R13 are as described above in the Embodiments Section for compounds of formula (Ib1) and Z1 is fluoro, each Z2 is independently bromo or chloro, Z3 is, for example, but not limited to, B(OH)2 or 4,4,5,5-tetramethyl-1,3,2λ2-dioxaborolane, Pg1 is a nitrogen protecting group, R11a is alkyl, R15 is an optionally substituted aralkyl group, preferably benzyl, R16 is alkyl, preferably tert-butyl, and DCDMH refers to 1,3-dichloro-5,5-dimethylimidazolidine-2,3-dione (1,3-dichloro-5,5-dimethylhydantion):

[0617]

[0618]

Compounds of formulae (1701), (102), (105), (107), (1203) and (114) are commercially available or can be prepared according to methods known to one skilled in the art or by methods disclosed herein. In general, the compounds of formula (Ib1) are prepared as described above in Reaction Scheme 17 as follows:

[0619]

A compound of formula (1701) is first treated with a compound of formula (102) under standard palladium-catalyzed thioether formation conditions to afford a compound of formula (1702), which is then treated with DCDMH under standard oxidative chlorination conditions to afford a compound of formula (1703).

[0620]

The compound of formula (1703) is then treated with a compound of formula (105) under standard sulfonamide formation conditions to afford a compound of formula (1704), which is then treated with a compound of formula (107) under standard nucleophilic aromatic substitution conditions to afford a compound of formula (1705).

[0621]

The compound of formula (1705) is then treated with a compound of formula (1703) under standard Suzuki-Miyaura cross coupling conditions, such as in the presence of a base and a palladium catalyst, to afford compound of formula (1706), which is then treated under standard nitrogen deprotection conditions to afford a compound of formula (1707), which is then treated with a compound of formula (114) under standard reductive alkylation conditions, to afford a compound of formula (Ib1).

[0622]

Alternatively, compounds of formula (Ib1) where R4 is hydrogen and one R11 is alkyl, chloro, fluoro or bromo can be synthesized following the general procedure described below in Reaction Scheme 18 where m, X, Y, R1, R2, R5, R6 and R13 are as described above in the Embodiments Section for compounds of formula (Ib1) and Z2 is iodo, Pg1 is a nitrogen protecting group, R11a is alkyl, chloro, fluoro or bromo and R16 is alkyl, preferably tert-butyl:

[0623]

[0624]

Compounds of formulae (1705), (111) and (114) are commercially available or can be prepared according to methods known to one skilled in the art or by methods disclosed herein. In general, the compounds of formula (Ib1) are prepared as described above in Reaction Scheme 18 as follows:

[0625]

A compound of formula (1705) is first treated with a compound of formula (111) under standard amine alkylation conditions to afford a compound of formula (1801), which is then treated under standard nitrogen deprotection conditions to afford a compound of formula (1802), which is then treated with a compound of formula (114) under standard reductive alkylation conditions, to afford a compound of formula (Ib1).

[0626]

Alternatively, compounds of formula (Ib1), where n is 1 and the one R11 is chloro, fluoro or bromo and R13 is alkyl or haloalkyl, can be synthesized following the general procedure described below in Reaction Scheme 19 where m, X, Y, R1, R2, R5 and R6 are as described above in the Embodiments Section for compounds of formula (Ib1), Z1 is chloro, fluoro or bromo, R11a is chloro, fluoro or bromo, R13 is alkyl or haloalkyl and R16 is alkyl, preferably tert-butyl:

[0627]

[0628]

Compounds of formulae (1901) and (1902) are commercially available or can be prepared according to methods known to one skilled in the art or by methods disclosed herein. In general, the compounds of formula (Ib1) are prepared as described above in Reaction Scheme 19 as follows:

[0629]

A compound of formula (1901) is first treated with a compound of formula (1902) under nucleophilic aromatic substitution conditions to afford a compound of formula (1903), which is then treated under standard nitrogen deprotection conditions to afford a compound of formula (Ib1).

[0630]

Alternatively, compounds of formula (Ib1) where n is 1, R4 is hydrogen and the one R11 is chloro, fluoro or bromo can be synthesized following the general procedure described below in Reaction Scheme 20 where m, X, Y, R1, R2, R5 and R6 are as described above in the Embodiments Section for compounds of formula (Ib1) and R11 is chloro, fluoro or bromo, Pg1 is a nitrogen protecting group and R16 is alkyl, preferably tert-butyl:

[0631]

[0632]

Compounds of formula (2001) and (114) are commercially available or can be prepared according to methods known to one skilled in the art or by methods disclosed herein. In general, the compounds of formula (Ib1) are prepared as described above in Reaction Scheme 20 as follows:

[0633]

A compound of formula (2001) is first treated under standard nitrogen deprotection conditions to afford a compound of formula (2002), which is then treated with a compound of formula (114) under standard reductive amination conditions to afford a compound of formula (Ib1).

[0634]

Alternatively, compounds of formula (Ib1), where n is 1, the one R11 is chloro, fluoro or bromo and R13 is alkyl or haloalkyl, can be synthesized following the general procedure described below in Reaction Scheme 21 where m, X, Y, R1, R2, R5 and R6 are as described above in the Embodiments Section for compounds of formula (Ib1), Z1 is chloro or bromo, Z2 is, for example, but not limited to, B(OH)2 or 4,4,5,5-tetramethyl-1,3,2λ2-dioxaborolane, R11a is alkyl, R13a is alkyl or haloalkyl and R16 is alkyl:

[0635]

[0636]

Compounds of formulae (2101) and (1203) are commercially available or can be prepared according to methods known to one skilled in the art or by methods disclosed herein. In general, the compounds of formula (Ib1) are prepared as described above in Reaction Scheme 21 as follows:

[0637]

A compound of formula (2101) is first treated with a compound of formula (1203) under standard Suzuki-Miyaura cross coupling conditions, such as in the presence of a base and a palladium catalyst, to afford compound of formula (2102), which is then treated under standard nitrogen deprotection conditions to afford a compound of formula (Ib1).

[0638]

Compounds of formula (Ib2) are compounds of formula (Ib) wherein R3 is —N(R13).

[0639]

Compounds of formula (Ib2) where n is 1 and the one R11 is alkyl can be synthesized following the general procedure described below in Reaction Scheme 22 where m, X, Y, R1, R2, R4, R5 and R6 are as described above in the Embodiments Section for compounds of formula (Ib2), R11a is alkyl, Z1 is chloro, fluoro or bromo, Z2 is chloro and bromo, and Z3 is, for example, but not limited to, B(OH)2 or 4,4,5,5-tetramethyl-1,3,2λ2-dioxaborolane:

[0640]

[0641]

Compounds of formulae (2201), (605), (1301) and (1203) are commercially available or can be prepared according to methods known to one skilled in the art or by methods disclosed herein. In general, the compounds of formula (Ib2) are prepared as described above in Reaction Scheme 22 as follows:

[0642]

A compound of formula (2201) is first treated with a compound of formula (605) under standard sulfonamide formation conditions to afford a compound of formula (2202), which is then treated with a compound of formula (1301) under standard nucleophilic aromatic substitution conditions to afford a compound of formula (2303).

[0643]

The compound of formula (2303) is then treated with a compound of formula (1103) under standard Suzuki-Miyaura cross coupling conditions, such as in the presence of a base and a palladium catalyst, to afford compound of formula (Ib2).

[0000]

Preparation of the Compounds of Formula (Ic)

[0644]

Compounds of formula (Ic), as described above in the Embodiments Section, are compounds of formula (I), as described above in the Summary of the invention, wherein

[0645]


R1 is an optionally substituted aryl or an optionally substituted N-heteroaryl and m, n, X, Y, R2, R3, R4, R5, R6, R7, R8, R9, R10, R12, R13 and R14 are each as described above in the Summary of the Invention for compounds of formula (I).

[0646]

Compounds of formula (Ic1) are compounds of formula (Ic) wherein R3 is —N(R13).

[0647]

Compounds of formula (Ic1) where n is 1 and the one R12 is alkyl can be synthesized following the general procedure described below in Reaction Scheme 23 where m, X, Y, R1, R2, R4, R5, R6, R12 and R13 are as described above in the Embodiments Section for compounds of formula (Ic1):

[0648]

[0649]

Compounds of formulae (2301), (605), (502) and (207) are commercially available or can be prepared according to methods known to one skilled in the art or by methods disclosed herein. In general, the compounds of formula (Ic1) are prepared as described above in Reaction Scheme 23 as follows:

[0650]

A compound of formula (2301) is first treated with a compound of formula (605) under standard sulfonamide formation conditions to afford a compound of formula (2302), which is then treated under standard nitro group reduction conditions to afford a compound of formula (2303).

[0651]

The compound of formula (2303) is then treated first with a compound of formula (502) in the presence of a reducing agent, such as, but not limited to, sodium triacetoxyborohydride, in an acidic solvent, such as, but not limited to, trifluoroacetic acid, followed by treatment with an aldehyde of formula (207) in the presence of a reducing agent, such as, but not limited to, sodium triacetoxyborohydride, to generate a compound of formula (Ic1).

[0652]

Alternatively, compounds of formula (Ic1) can be synthesized following the general procedure described below in Reaction Scheme 24 where m, n, X, Y, R1, R2, R4, R5, R6, R12 and R13 are as described above in the Embodiments Section for compounds of formula (Ic1), Z2 is, for example, but not limited to, B(OH)2 or 4,4,5,5-tetramethyl-1,3,2λ2-dioxaborolane and Pg1 is a nitrogen protecting group.

[0653]

[0654]

Compounds of formulae (2301), (2401), (402), (2406) and (207) are commercially available or can be prepared according to methods known to one skilled in the art or by methods disclosed herein. In general, the compounds of formula (Ic1) are prepared as described above in Reaction Scheme 24 as follows:

[0655]

A compound of formula (2301) is first treated with a compound of formula (2401) under standard sulfonamide formation conditions to afford a compound of formula (2402), which is then treated to standard nitro group reduction conditions to afford a compound of formula (2403).

[0656]

The compound of formula (2403) is then treated with a compound of formula (502) under standard reductive alkylation conditions to afford a compound of formula (2404), which is then treated under standard nitrogen deprotection conditions to afford a compound of formula (2405).

[0657]

The compound of formula (2405) is then treated with a compound of formula (2406) under standard copper-assisted Chan-Lam coupling conditions to afford a compound of formula (2407), which is then treated with an aldehyde of formula (207), preferably paraformaldehyde, in the presence of a reducing agent, such as, but not limited to, sodium triacetoxyborohydride or formic acid, to afford a compound of formula (Ic1).

[0000]

Preparation of the Compounds of Formula (Id)

[0658]

Compounds of formula (Ic), as described above in the Embodiments Section, are compounds of formula (I), as described above in the Summary of the invention, wherein

[0659]


R1 is an optionally substituted aryl or an optionally substituted N-heteroaryl and m, X, Y, R2, R3, R4, R5, R6, R7, R8, R9, R10, R12, R13 and R14 are each as described above in the Summary of the Invention for compounds of formula (I).

[0660]

Compounds of formula (Id1) are compounds of formula (Id) wherein R3 is —N(R13).

[0661]

Compounds of formula (Id1) where R12 is alkyl can be synthesized following the general procedure described below in Reaction Scheme 25 where m, X, Y, R1, R2, R4, R5, R6 and R13 are as described above in the Embodiments Section for compounds of formula (Id1), R12a is alkyl and each R16 is alkyl:

[0662]

[0663]

Compounds of formula (2501), (2502), (605), (202), (502) and (207) are commercially available or can be prepared according to methods known to one skilled in the art or by methods disclosed herein. In general, the compounds of formula (Id1) are prepared as described above in Reaction Scheme 24 as follows:

[0664]

A compound of formula (2501) in a protic solvent, for example, but not limited to, ethanol, is first treated with a compound of formula (2502) and the mixture heated under reflux conditions to afford a compound of formula (2503), which is then treated with sodium hypochlorite and hydrochloric acid under standard oxidative chlorination conditions to form a sulfonyl chloride intermediate which is treated with a compound of formula (505) under standard sulfonamide formation conditions to afford a compound of formula (2504).

[0665]

The compound of formula (2504) is then treated under standard ester hydrolysis conditions to afford the acid compound of formula (2505), which is then treated with an appropriate azide, such as diphenyl phosphoryl azide (DPPA) and a compound of formula (202) under standard Curtius rearrangement conditions to afford a compound of formula (2506).

[0666]

The compound of formula (2506) is then treated to standard nitrogen deprotection conditions, followed by treatment with a compound of formula (402) under standard reductive alkylation conditions, followed by treatment with an aldehyde of formula (207), preferably paraformaldehyde, in the presence of a reducing agent, such as, but not limited to, sodium triacetoxyborohydride or formic acid, to afford a compound of formula (Id1).

[0667]

Alternatively, compounds of formula (Id1) can be synthesized following the general procedure described below in Reaction Scheme 26 where m, X, Y, R1, R2, R4, R5, R6, R12 and R13 are as described above in the Embodiments Section for compounds of formula (Id1), R15 is an optionally substituted aralkyl group, preferably benzyl, R16 is alkyl, Z2 is, for example, but not limited to, B(OH)2 or 4,4,5,5-tetramethyl-1,3,2λ2-dioxaborolane and DCDMH refers to 1,3-dichloro-5,5-dimethylimidazolidine-2,3-dione (1,3-dichloro-5,5-dimethylhydantion).

[0668]

[0669]

Compounds of formulae (2601), (102), (202), (2406), (502) and (207) are commercially available or can be prepared according to methods known to one skilled in the art or by methods disclosed herein. In general, the compounds of formula (Id1) are prepared as described above in Reaction Scheme 27 as follows:

[0670]

A compound of formula (2601) is first treated with a compound of formula (102) under standard nucleophilic aromatic substitution conditions to afford a compound of formula (2602), which is then hydrolyzed under standard ester hydrolysis conditions to afford a compound of formula (2603).

[0671]

The compound of formula (2603) is then treated with an appropriate azide, such as diphenyl phosphoryl azide (DPPA) and a compound of formula (202) under standard Curtius rearrangement conditions to afford a compound of formula (2604), which is then treated with DCDMH under standard oxidative chlorination conditions, followed by treatment with ammonium hydroxide to afford a compound of formula (2605).

[0672]

The compound of formula (2605) is then treated with a compound of formula (2406) under standard copper-assisted Chan-Lam coupling conditions to afford a compound of formula (2606), which is then treated to standard nitrogen deprotection conditions, followed by treatment with a compound of formula (502) under standard reductive alkylation conditions, followed by treatment with an aldehyde of formula (207), preferably paraformaldehyde, in the presence of a reducing agent, such as, but not limited to, sodium triacetoxyborohydride or formic acid, to afford a compound of formula (Id1).

[0673]

In a similar manner as described above, compounds of formula (I) wherein

[0674]


may be prepared.

[0675]

All of the compounds described below as being prepared which may exist in free base or acid form may be converted to their pharmaceutically acceptable salts by treatment with the appropriate inorganic or organic base or acid. Salts of the compounds prepared below may be converted to their free base or acid form by standard techniques. Furthermore, all compounds of the invention which contain an acid or an ester group can be converted to the corresponding ester or acid, respectively, by methods known to one skilled in the art or by methods described herein.

[0676]

The following Examples, which are directed to the synthesis of the compounds of the invention; and the following Biological Examples are provided as a guide to assist in the practice of the invention, and are not intended as a limitation on the scope of the invention.

[0677]

In the Examples below, unless otherwise indicated all temperatures are set forth in degrees Celsius. Commercially available reagents were purchased from suppliers such as Aldrich Chemical Company, Combi-Blocks, TCI or Oakwood Chemicals and were used without further purification unless otherwise indicated. The reactions set forth below were done generally under a positive pressure of nitrogen or argon or with a drying tube (unless otherwise stated) in anhydrous solvents, and the reaction flasks were typically fitted with rubber septa for the introduction of substrates and reagents via syringe. Glassware was oven dried and/or heat dried. Yields were not optimized. Melting points were determined on a Büchi hot-stage apparatus and are uncorrected.1H NMR,19F and13C NMR data were obtained in deuterated CDCl3, DMSO-d6, CD3OD, CD3CN, or acetone-d6 solvent solutions with chemical shifts (δ) reported in parts-per-million (ppm) relative to trimethylsilane (TMS) or the residual non-deuterated solvent peaks as the reference standard. Data are reported as follows, if applicable: chemical shift, multiplicity, coupling constant in Hz, and number of protons, fluorine or carbon atoms. When peak multiplicities are reported, the following abbreviates are used: s (singlet), d (doublet), t (triplet), q (quartet), m (multiplet, br (broadened), dd (doublet of doublets), dt (doublet of triplets). Coupling constants, when given, are reported in Hz (Hertz).

Example 1

Synthesis of (S)-5-((1-benzylpyrrolidin-3-yl)(methyl)amino)-6-methyl-N-(thiazol-4-yl)pyridine-2-sulfonamide formic acid salt

[0678]

Step 1. Preparation of 6-(benzylthio)-3-bromo-2-methylpyridine

[0679]

[0680]

To a solution of benzyl mercaptan (3.69 g, 29.7 mmol) in anhydrous tetrahydrofuran (50 mL) was added sodium hydride (60% dispersion in mineral oil, 1.48 g, 37.1 mmol) in portions at 0° C. The reaction mixture was allowed to warm to ambient temperature and stirred for 1 hour. The reaction mixture was cooled to 0° C. and a solution of 3-bromo-6-fluoro-2-methylpyridine (4.70 g, 24.7 mmol) in anhydrous tetrahydrofuran (25 mL) was added dropwise. The reaction mixture was allowed to warm to ambient temperature and stirred for 12 hours. After addition of water (200 mL), the mixture was extracted with ethyl acetate (3×200 mL). The combined organic layers were washed with brine (50 mL), dried over anhydrous sodium sulfate, and filtered. Concentration of the filtrate in vacuo and purification of the residue by column chromatography, eluting with petroleum ether, afforded the title compound as a red oil (7.0 g, 96% yield):1H NMR (400 MHz, CDCl3) δ 11.06 (7.57 (d, J=8.2 Hz, 1H), 7.42 (d, J=7.2 Hz, 2H), 7.36-7.29 (m, 3H), 6.88 (d, J=8.2 Hz, 1H), 4.42 (s, 2H), 2.66 (s, 3H); MS (ES+) m/z 294.0 (M+1), 296.0 (M+1).

Step 2. Preparation of 5-bromo-6-methylpyridine-2-sulfonyl chloride

[0681]

[0682]

To a solution of 6-(benzylthio)-3-bromo-2-methylpyridine (5.20 g, 17.7 mmol) in a mixture of acetonitrile (50 mL), water (10 mL) and acetic acid (10 mL) was added 1,3-dichloro-5,5-dimethylimidazolidine-2,4-dione (6.96 g, 35.3 mmol) in portions at 0° C. The reaction mixture was stirred at 0° C. for 30 minutes. Saturated aqueous sodium bicarbonate solution (80 mL) was added to the mixture until pH 7, and the mixture was extracted with ethyl acetate (3×60 mL). The combined organic layers were washed with brine (20 mL), dried over anhydrous sodium sulfate, and filtered. Concentration of the filtrate in vacuo and purification of the residue by column chromatography, eluting with 1% of ethyl acetate in petroleum ether, afforded the title compound as a colorless solid (1.70 g, 36% yield):1H NMR (400 MHz, CDCl3) δ 8.15 (d, J=8.2 Hz, 1H), 7.82 (d, J=8.2 Hz, 1H), 2.83 (s, 3H); MS (ES+) m/z 269.8 (M+1), 271.9 (M+1).

Step 3. Preparation of tert-butyl ((5-bromo-6-methylpyridin-2-yl)sulfonyl)(thiazol-4-yl)carbamate

[0683]

[0684]

To a solution of tert-butyl thiazol-4-ylcarbamate (0.85 g, 4.24 mmol) in anhydrous N,N-dimethylformamide (20 mL) was added sodium hydride (60% dispersion in mineral oil, 0.20 g, 5.09 mmol) in portions at 0° C. The reaction mixture was stirred at 0° C. for 30 minutes, after which a solution of 5-bromo-6-methylpyridine-2-sulfonyl chloride (1.26 g, 4.66 mmol) in anhydrous N,N-dimethylformamide (8 mL) was added dropwise. The reaction mixture was allowed to warm to ambient temperature and stirred for 2 hours. The mixture was diluted with water (100 mL) and extracted with ethyl acetate (3×80 mL). The combined organic layers were washed with brine (50 mL), dried over anhydrous sodium sulfate, and filtered. Concentration of the filtrate in vacuo and purification of the residue by preparative thin layer chromatography, eluting with 30% of ethyl acetate in petroleum ether, provided the title compound as a colorless solid (0.35 g, 19% yield):1H NMR (400 MHz, CDCl3) δ 8.83 (d, J=2.0 Hz, 1H), 8.10 (d, J=8.2 Hz, 1H), 7.96 (d, J=8.2 Hz, 1H), 7.71 (d, J=2.0 Hz, 1H), 2.80 (s, 3H), 1.34 (s, 9H); MS (ES+) m/z 434.0 (M+1), 436.0 (M+1).

Step 4. Preparation of tert-butyl (S)-3-((2-methyl-6-(N-(thiazol-4-yl)sulfamoyl)pyridin-3-yl)amino)pyrrolidine-1-carboxylate

[0685]

[0686]

To a mixture of tert-butyl ((5-bromo-6-methylpyridin-2-yl)sulfonyl)(thiazol-4-yl)carbamate (1.00 g, 2.30 mmol), tert-butyl (S)-3-aminopyrrolidine-1-carboxylate (0.64 g, 3.45 mmol) and cesium carbonate (1.50 g, 4.60 mmol) in anhydrous toluene (10 mL) was added 4,5-bis(diphenylphosphino)-9,9-dimethylxanthene (0.266 g, 0.46 mmol) and bis(dibenzylideneacetone)palladium(0) (0.265 g, 0.46 mmol) in one portion. The reaction mixture was heated to 90° C. for 12 hours. After cooling to ambient temperature, the reaction mixture was concentrated in vacuo and diluted with water (50 mL) and extracted with ethyl acetate (3×50 mL). The combined organic phase was washed with brine (30 mL), dried over anhydrous sodium sulfate, and filtered. Concentration of the filtrate in vacuo gave a residue which was purified by column chromatography, eluting with 10% of ethyl acetate in petroleum ether followed by 10% of methanol in dichloromethane, to provide the title compound as a yellow solid (0.41 g, 41% yield):1H NMR (400 MHz, CDCl3) δ 8.65 (d, J=2.0 Hz, 1H), 7.74 (d, J=8.0 Hz, 1H), 7.07 (d, J=1.6 Hz, 1H), 6.79 (d, J=8.4 Hz, 1H), 4.09-4.00 (m, 2H), 3.75 (br s, 1H), 3.51-3.42 (m, 2H), 3.37-3.18 (m, 1H), 2.33 (s, 3H), 1.94 (br s, 1H), 1.48 (s, 9H), NH not observed; MS (ES+) m/z 440.1 (M+1).

Step 5. Preparation of tert-butyl (S)-3-((2-methyl-6-(N-(thiazol-4-yl)-N-((2-(trimethylsilyl)ethoxy)methyl)sulfamoyl)pyridin-3-yl)amino)pyrrolidine-1-carboxylate

[0687]

[0688]

To a mixture of tert-butyl (S)-3-((2-methyl-6-(N-(thiazol-4-yl)sulfamoyl)pyridin-3-yl)amino)pyrrolidine-1-carboxylate (0.41 g, 0.933 mmol) and potassium carbonate (0.258 g, 1.87 mmol) in anhydrous N,N-dimethylformamide (5 mL) was added 2-(trimethylsilyl)ethoxymethyl chloride (0.233 g, 1.40 mmol) dropwise at 0° C. The reaction mixture was stirred at 0° C. for 1 hour and then diluted with water (30 mL) and extracted with ethyl acetate (3×30 mL). The combined organic phase was washed with brine (20 mL), dried over sodium sulfate, and filtered. Concentration of the filtrate in vacuo gave a residue which was purified by column chromatography, eluting with a gradient of 50-100% of ethyl acetate in petroleum ether, provided the title compound was a colorless solid (0.38 g, 72% yield):1H NMR (400 MHz, CDCl3) δ 8.63-8.54 (m, 1H), 7.65 (br d, J=8.0 Hz, 1H), 7.40 (s, 1H), 6.79 (d, J=8.4 Hz, 1H), 5.50 (s, 2H), 4.04 (br s, 2H), 3.82-3.71 (m, 3H), 3.52 (br s, 2H), 2.40 (s, 3H), 2.32-2.21 (m, 1H), 1.94 (br s, 1H), 1.49 (s, 9H), 0.97-0.91 (m, 2H), 0.00 (s, 9H), NH not observed; MS (ES+) m/z 570.2 (M+1).

Step 6. Preparation of tert-butyl (S)-3-(methyl(2-methyl-6-(N-(thiazol-4-yl)-N-((2-(trimethylsilyl)ethoxy)methyl)sulfamoyl)pyridin-3-yl)amino)pyrrolidine-1-carboxylate

[0689]

[0690]

To a solution of tert-butyl (S)-3-((2-methyl-6-(N-(thiazol-4-yl)-N-((2-(trimethylsilyl)ethoxy)methyl)sulfamoyl)pyridin-3-yl)amino)pyrrolidine-1-carboxylate (0.38 g, 0.667 mmol) in anhydrous N,N-dimethylformamide (5 mL) was added sodium hydride (60% dispersion in mineral oil, 0.037 g, 0.934 mmol) in portions at 0° C. The reaction mixture was stirred at 0° C. for 30 minutes, followed by addition of iodomethane (0.142 g, 1.00 mmol) at 0° C. The reaction mixture was allowed to warm to ambient temperature and stirred for 2 hours. The mixture was diluted with water (50 mL) and extracted with ethyl acetate (3×50 mL). The combined organic phase was washed with brine (20 mL), dried over anhydrous sodium sulfate, and filtered. Concentration of the filtrate and purification of the residue by column chromatography, eluting with a gradient of 30-50% of ethyl acetate in petroleum ether, provided the title compound as yellow oil (0.380 g, 98% yield):1H NMR (400 MHz, CDCl3) δ 8.58 (s, 1H), 7.69 (br s, 1H), 7.42 (br s, 1H), 7.37 (d, J=8.4 Hz, 1H), 5.50 (s, 2H), 3.83-3.75 (m, 3H), 3.63-3.45 (m, 2H), 3.38-3.19 (m, 2H), 2.68 (s, 3H), 2.55 (s, 3H), 2.07-1.99 (m, 1H), 1.95-1.85 (m, 1H), 1.47 (s, 9H), 0.95-0.90 (m, 2H), 0.00 (s, 9H); MS (ES+) m/z 584.3 (M+1).

Step 7. Preparation of (S)-6-methyl-5-(methyl(pyrrolidin-3-yl)amino)-N-(thiazol-4-yl)pyridine-2-sulfonamide formic acid salt

[0691]

[0692]

To tert-butyl (S)-3-(methyl(2-methyl-6-(N-(thiazol-4-yl)-N-((2-(trimethylsilyl)ethoxy)methyl)sulfamoyl)pyridin-3-yl)amino)pyrrolidine-1-carboxylate (0.380 g, 0.651 mmol) was added a 4 M solution of hydrogen chloride dioxane (5 mL) and the reaction mixture was stirred at ambient temperature for 2 hours. Concentration in vacuo and purification of the residue by preparative reverse phase HPLC, using acetonitrile in water containing 0.2% of formic acid as eluent, afforded the title compound as a colorless solid (0.150 g, 65% yield):1H NMR (400 MHz, CD3OD) δ8.72 (d, J=2.0 Hz, 1H), 8.49 (br s, 1H), 7.84 (d, J=8.0 Hz, 1H), 7.68 (d, J=8.0 Hz, 1H), 7.08 (d, J=2.0 Hz, 1H), 4.12 (quin, J=6.0 Hz, 1H), 3.47-3.39 (m, 2H), 3.20-3.22 (m, 2H), 2.71 (s, 3H), 2.56 (s, 3H), 2.24-2.14 (m, 1H), 2.10-2.00 (m, 1H), NH and COOH not observed; MS (ES+) m/z 354.1 (M+1).

Step 8. Preparation of (S)-5-((1-benzylpyrrolidin-3-yl)(methyl)amino)-6-methyl-N-(thiazol-4-yl)pyridine-2-sulfonamide formic acid salt

[0693]

[0694]

To a solution of (S)-6-methyl-5-(methyl(pyrrolidin-3-yl)amino)-N-(thiazol-4-yl)pyridine-2-sulfonamide formic acid salt (0.120 g, 0.300 mmol), benzaldehyde (0.038 g, 0.360 mmol) and acetic acid (0.004 g, 0.060 mmol) in methanol (3 mL) was added sodium cyanoborohydride (0.038 g, 0.601 mmol) in portions. Concentration in vacuo and purification of the residue by preparative reverse phase HPLC using acetonitrile in water containing 0.2% of formic acid as eluent afforded the title compound as a colorless solid (0.11 g, 73% yield):1H NMR (400 MHz, CD3OD) δ8.71 (d, J=2.2 Hz, 1H), 8.37 (br s, 1H), 7.81 (d, J=8.4 Hz, 1H), 7.59 (d, J=8.4 Hz, 1H), 7.50-7.43 (m, 5H), 7.07 (d, J=2.2 Hz, 1H), 4.24 (s, 2H), 4.15 (q, J=7.2 Hz, 1H), 3.43 (br dd, J=11.6, 7.6 Hz, 1H), 3.30-3.21 (m, 2H), 3.17 (dd, J=11.6, 6.4 Hz, 1H), 2.70 (s, 3H), 2.54 (s, 3H), 2.33-2.19 (m, 1H), 2.12-2.00 (m, 1H), NH and COOH not observed; MS (ES+) m/z 444.2 (M+1).

Example 2

Synthesis of (S)-5-((1-benzylpyrrolidin-3-yl)(methyl)amino)-4-methyl-N-(thiazol-4-yl)pyridine-2-sulfonamide

[0695]

Step 1. Preparation of 2-(benzylthio)-5-bromo-4-methylpyridine

[0696]

[0697]

To a solution of benzyl mercaptan (2.88 g, 23.1 mmol) in anhydrous tetrahydrofuran (100 mL) was added sodium hydride (60% dispersion in mineral oil, 1.68 g, 42.1 mmol) and 5-bromo-2-fluoro-4-methyl-pyridine (4.00 g, 21.0 mmol) at 0° C. The reaction mixture was allowed to warm to ambient temperature and stirred for 12 hours. After addition of saturated ammonium chloride solution (20 mL) and water (100 mL), the reaction mixture was extracted with ethyl acetate (3×100 mL). The combined organic layers were washed with brine (3×50 mL), dried over anhydrous sodium sulfate, and filtered. Concentration of the filtrate under reduced pressure and purification of the residue by column chromatography, eluting with 1% of ethyl acetate in petroleum ether, afforded the title compound as colorless oil (6.0 g, 96% yield):1H NMR (400 MHz, CDCl3) δ 8.52 (d, J=2.4 Hz, 1H), 7.43 (br d, J=7.6 Hz, 2H), 7.35-7.24 (m, 3H), 7.07 (s, 1H), 4.44 (d, J=2.6 Hz, 2H), 2.33 (s, 3H); MS (ES+) m/z 294.0 (M+1), 296.0 (M+3).

Step 2. Preparation of 5-bromo-4-methylpyridine-2-sulfonyl chloride

[0698]

[0699]

To a solution of 2-benzylsulfanyl-5-bromo-4-methyl-pyridine (5.00 g, 16.9 mmol) in a mixture of acetonitrile (40 mL) and water (6 mL) was added acetic acid (6.30 g, 104.8 mmol) at 0° C. followed by 1,3-dichloro-5,5-dimethyl-imidazolidine-2,4-dione (6.70 g, 33.9 mmol). The reaction mixture was stirred at 0° C. for 30 minutes, and then quenched by addition of saturated sodium bicarbonate solution until pH 7 was reached. The mixture was extracted with ethyl acetate (3×20 mL). The combined organic layers were washed with brine (20 mL), dried over anhydrous sodium sulfate, and filtered. Concentration of the filtrate under reduced pressure and purification of the residue by column chromatography, eluting with 1% of ethyl acetate in petroleum ether, afforded the title compound as colorless oil (4.20 g, 91% yield):1H NMR (400 MHz, CDCl3) δ 8.82 (s, 1H), 7.97 (s, 1H), 2.58 (s, 3H).

Step 3. Preparation of tert-butyl ((5-bromo-4-methylpyridin-2-yl)sulfonyl)(thiazol-4-yl)carbamate

[0700]

[0701]

To a solution of tert-butyl N-thiazol-4-ylcarbamate (2.07 g, 10.3 mmol) in anhydrous N,N-dimethylformamide (20 mL) was added sodium hydride (60% dispersion in mineral oil, 0.496 g, 12.4 mmol) at 0° C. The reaction mixture was stirred at 0° C. for 1 h, and then 5-bromo-4-methyl-pyridine-2-sulfonyl chloride (4.20 g, 15.5 mmol) was added to it. The reaction mixture was allowed to warm to ambient temperature and stirred for 1 hour. After addition of water (50 mL), the mixture was extracted with ethyl acetate (3×50 mL). The combined organic layers were washed with brine (50 mL), dried over anhydrous sodium sulfate, and filtered. Concentration of the filtrate under reduced pressure and purification of the residue by column chromatography, eluting with 25% of ethyl acetate in petroleum ether, afforded the title compound as a yellow solid (0.370 g, 8% yield):1H NMR (400 MHz, CDCl3) δ 8.74 (d, J=2.2 Hz, 1H), 8.71 (s, 1H), 8.05 (s, 1H), 7.60 (d, J=2.2 Hz, 1H), 2.47 (s, 3H), 1.24 (s, 9H); MS (ES+) m/z 333.9 (M−99) 335.9 (M−99).

Step 4. Preparation of tert-butyl (S)-3-((4-methyl-6-(N-(thiazol-4-yl)sulfamoyl)pyridin-3-yl)amino)pyrrolidine-1-carboxylate

[0702]

[0703]

To a mixture of tert-butyl ((5-bromo-4-methylpyridin-2-yl)sulfonyl)(thiazol-4-yl)carbamate (0.50 g, 1.15 mmol), tert-butyl (S)-3-aminopyrrolidine-1-carboxylate (0.235 g, 1.27 mmol) and cesium carbonate (1.13 g, 3.45 mmol) in anhydrous toluene (30 mL) was added bis(dibenzylideneacetone)palladium(0) (0.132 g, 0.230 mmol) and 4,5-bis(diphenylphosphino)-9,9-dimethylxanthene (0.133 g, 0.230 mmol). The reaction mixture was degassed by purging with nitrogen and then heated to 100° C. for 12 hours. After cooling to ambient temperature, the reaction mixture was diluted with water (50 mL) and extracted with ethyl acetate (3×50 mL). The combined organic phase was washed with brine (3×30 mL), dried over sodium sulfate, and filtered. Concentration of the filtrate in vacuo and purification of the residue by column chromatography, eluting with 10% of methanol in dichloromethane, provided the title compound as a yellow solid (0.50 g, 34% yield):1H NMR (400 MHz, CDCl3) δ 8.62 (d, J=2.2 Hz, 1H), 7.99 (s, 1H), 7.68 (s, 1H), 7.06 (br s, 1H), 4.27-4.13 (m, 1H), 3.57-3.28 (m, 4H), 2.30-2.20 (m, 1H), 2.14 (s, 3H), 2.00-1.90 (m, 1H), 1.47 (s, 9H), NH not observed; MS (ES+) m/z 440.1 (M+1).

Step 5. Preparation of tert-butyl (S)-3-((4-methyl-6-(N-(thiazol-4-yl)-N-((2-(trimethylsilyl)ethoxy)methyl)sulfamoyl)pyridin-3-yl)amino)pyrrolidine-1-carboxylate

[0704]

[0705]

To a mixture of tert-butyl (S)-3-((4-methyl-6-(N-(thiazol-4-yl)sulfamoyl)pyridin-3-yl)amino)pyrrolidine-1-carboxylate (0.450 g, 1.02 mmol) and potassium carbonate (0.283 g, 2.05 mmol) in anhydrous N,N-dimethylformamide (10 mL) was added 2-(trimethylsilyl)ethoxymethyl chloride (0.341 g, 2.05 mmol) at 0° C. The reaction mixture was allowed to warm to ambient temperature and stirred for 2 hours. To the reaction mixture was then added water (20 mL) and the mixture was extracted with ethyl acetate (3×30 mL). The combined organic phase was washed with brine (3×20 mL), dried over anhydrous sodium sulfate, and filtered. Concentration of the filtrate under reduced pressure and purification of the residue by column chromatography, eluting with 50% of ethyl acetate in petroleum ether, afforded the title compound as a yellow solid (0.25 g, 42% yield):1H NMR (400 MHz, CDCl3) δ 8.57 (d, J=2.2 Hz, 1H), 7.97 (s, 1H), 7.58 (s, 1H), 7.38 (s, 1H), 5.47 (s, 2H), 4.29-4.12 (m, 1H), 3.90 (brd, J=6.4 Hz, 1H), 3.79-3.74 (m, 2H), 3.61-3.18 (m, 4H), 2.31-2.23 (m, 1H), 2.13 (s, 3H), 2.00-1.89 (m, 1H), 1.48 (s, 9H), 0.99-0.87 (m, 2H), 0.00 (s, 9H); MS (ES+) m/z 570.3 (M+1).

Step 6. Preparation of tert-butyl (S)-3-(methyl(4-methyl-6-(N-(thiazol-4-yl)-N-((2-(trimethylsilyl)ethoxy)methyl)sulfamoyl)pyridin-3-yl)amino)pyrrolidine-1-carboxylate

[0706]

[0707]

To a solution of (tert-butyl (S)-3-((4-methyl-6-(N-(thiazol-4-yl)-N-((2-(trimethylsilyl)ethoxy)methyl)sulfamoyl)pyridin-3-yl)amino)pyrrolidine-1-carboxylate (0.250 g, 0.438 mmol) and iodomethane (0.124 g, 0.877 mmol) in anhydrous N,N-dimethylformamide (4 mL) was added sodium hydride (60% dispersion in mineral oil, 0.017 g, 0.438 mmol) at 0° C. The reaction mixture was allowed to warm to ambient temperature and stirred for 2 hours. To it was then added water (10 mL) and the mixture was extracted with ethyl acetate (3×10 mL). The combined organic phase was washed with brine (3×10 mL), dried over anhydrous sodium sulfate, and filtered. Concentration of the filtrate under reduced pressure and purification of the residue by preparative thin layer chromatography eluting with 50% of ethyl acetate in petroleum ether, afforded the title compound as a yellow solid (0.25 g, 97% yield):1H NMR (400 MHz, CDCl3) δ 8.58 (br d, J=1.6 Hz, 1H), 8.33 (s, 1H), 7.71 (s, 1H), 7.39 (br s, 1H), 5.47 (s, 2H), 3.90-3.83 (m, 1H), 3.81-3.73 (m, 2H), 3.69-3.49 (m, 2H), 3.39-3.16 (m, 2H), 2.71 (s, 3H), 2.32 (s, 3H), 2.05-1.99 (m, 1H), 1.92-1.85 (m, 1H), 1.46 (s, 9H), 1.03-0.85 (m, 2H), 0.00 (s, 9H); MS (ES+) m/z 584.2 (M+1).

Step 7. Preparation of (S)-4-methyl-5-(methyl(pyrrolidin-3-yl)amino)-N-(thiazol-4-yl)pyridine-2-sulfonamide formic acid salt

[0708]

[0709]

To tert-butyl (S)-3-(methyl(4-methyl-6-(N-(thiazol-4-yl)-N-((2-(trimethylsilyl)ethoxy)methyl)sulfamoyl)pyridin-3-yl)amino)pyrrolidine-1-carboxylate (0.240 g, 0.411 mmol) was added a 4 M solution of hydrogen chloride in dioxane (4 M, 10 mL) and the reaction mixture was stirred at ambient temperature for 12 hours. Concentration in vacuo and purification of the residue by preparative reverse phase HPLC, using acetonitrile in water containing 0.2% of formic acid as eluent, afforded the title compound as a colorless solid (0.100 g, 68% yield):1H NMR (400 MHz, CD3OD) δ 8.71 (d, J=2.2 Hz, 1H), 8.52 (s, 1H), 8.39 (s, 1H), 7.88 (s, 1H), 7.03 (d, J=2.2 Hz, 1H), 4.24 (t, J=6.4 Hz, 1H), 3.53-3.39 (m, 2H), 3.38-3.34 (m, 1H), 3.32-3.26 (m, 1H), 2.75 (s, 3H), 2.41 (s, 3H), 2.28-2.16 (m, 1H), 2.14-2.00 (m, 1H), NH and COOH not observed; MS (ES+) m/z 354.2 (M+1).

Step 8. Preparation of (S)-5-((1-benzylpyrrolidin-3-yl)(methyl)amino)-4-methyl-N-(thiazol-4-yl)pyridine-2-sulfonamide

[0710]

[0711]

To a mixture of (S)-4-methyl-5-(methyl(pyrrolidin-3-yl)amino)-N-(thiazol-4-yl)pyridine-2-sulfonamide formic acid salt (0.090 g, 0.254 mmol) in methanol (5 mL) was added benzaldehyde (0.027 g, 0.254 mmol) and acetic acid (0.002 g, 0.025 mmol) and the mixture was stirred at ambient temperature for 1 hour. To it was then added sodium triacetoxyborohydride (0.032 g, 0.509 mmol) and the reaction mixture was stirred at ambient temperature for 1 hour. The reaction mixture was filtered and the filtrate concentrated under reduced pressure. Purification of the residue by preparative reverse phase HPLC, using acetonitrile in water containing 0.2% of formic acid as eluent, followed by preparative reverse phase HPLC, using acetonitrile in water containing 0.05% of ammonium hydroxide as eluent, afforded the title compound as a colorless solid (0.031 g, 27% yield):1H NMR (400 MHz, CD3OD) δ8.65 (d, J=2.2 Hz, 1H), 8.21 (s, 1H), 7.80 (s, 1H), 7.42-7.21 (m, 5H), 6.88 (s, 1H), 4.06-3.94 (m, 1H), 3.73-3.58 (m, 2H), 2.86-2.78 (m, 1H), 2.73 (s, 3H), 2.71-2.54 (m, 3H), 2.36 (s, 3H), 2.17-2.04 (m, 1H), 1.91-1.80 (m, 1H), NH not observed; MS (ES+) m/z 444.1 (M+1).

Example 3

Synthesis of (S)-5-((1-benzylpyrrolidin-3-yl)(methyl)amino)-N-(isothiazol-3-yl)-4-methylpyridine-2-sulfonamide trifluoroacetic acid salt

[0712]

Step 1. Preparation of tert-butyl isothiazol-3-ylcarbamate

[0713]

[0714]

To a slurry of isothiazole-3-carboxylic acid (5.0 g, 38.7 mmol) in tert-butanol (194 mL) was added triethylamine (4.3 g, 42.6 mmol) followed by diphenylphosphoryl azide (11.9 g, 43.3 mmol). The reaction mixture was heated to reflux for 9 hours. Concentration under reduced pressure provided a residue which was dissolved in ethyl acetate (300 mL). The organic layer was washed with water (100 mL), 1 N sodium hydroxide solution (50 mL), water (100 mL), and brine (50 mL). The organic layer was dried over anhydrous magnesium sulfate, filtered, and the filtrate concentrated in vacuo. Purification of the residue by column chromatography, eluting with a gradient of 0 to 10% of ethyl acetate in heptane, provided the title compound as a colorless solid (6.16 g, 79% yield):1H NMR (300 MHz, CDCl3) δ 9.03-8.98 (m, 1H), 8.58 (d, J=4.9 Hz, 1H), 7.70 (d, J=4.9 Hz, 1H), 1.53 (d, J=0.7 Hz, 9H).

Step 2. Preparation of 2-(benzylthio)-5-fluoro-4-methylpyridine

[0715]

[0716]

To a mixture of 2-bromo-5-fluoro-4-methylpyridine (25.0 g, 131.5 mmol), tris(dibenzylideneacetone)dipalladium(0) (3.0 g, 3.3 mmol) and 4,5-bis(diphenylphosphino)-9,9-dimethylxanthene (3.8 g, 6.6 mmol) in anhydrous 1,4-dioxane (260 mL) was added N,N-diisopropylethylamine (34.4 mL, 197 mmol) and benzyl mercaptan (14.6 mL, 125 mmol). The reaction mixture was carefully degassed with nitrogen and then heated at 100° C. for 16 hours. After cooling to ambient temperature, the reaction mixture was concentrated under reduced pressure. After addition of water (50 mL) to the residue, the mixture was extracted with ethyl acetate (2×100 mL). The combined organic layers were washed with brine (50 mL), dried over anhydrous sodium sulfate, and filtered. Concentration of the filtrate under reduced pressure and purification of the residue by column chromatography, eluting with a gradient of 0 to 30% of ethyl acetate in heptane, afforded the title compound as colorless oil (28.0 g, 91% yield):1H NMR (300 MHz, DMSO-d6) δ 8.38 (d, J=1.5 Hz, 1H), 7.38 (dd, J=8.1, 1.5 Hz, 2H), 7.27-7.22 (m, 4H), 4.38 (s, 2H), 2.22 (d, J=0.9 Hz, 3H); MS (ES+) m/z 234.2 (M+1).

Step 3. Preparation of 5-fluoro-4-methylpyridine-2-sulfonyl chloride

[0717]

[0718]

To a solution of 2-(benzylthio)-5-fluoro-4-methylpyridine (26.6 g, 114 mmol) in a mixture of acetonitrile (325 mL) and water (10 mL) was added acetic acid (13 mL, 228 mmol) at 0° C. followed by 1,3-dichloro-5,5-dimethyl-imidazolidine-2,4-dione (44.9 g, 228 mmol). The reaction mixture was stirred at 0° C. for 30 minutes, and then quenched by addition of saturated sodium bicarbonate solution until pH 7 was reached. The mixture was extracted with ethyl acetate (3×70 mL). The combined organic layers were washed with brine (20 mL), dried over anhydrous sodium sulfate, and filtered. Concentration of the filtrate under reduced pressure and purification of the residue by column chromatography, eluting with a gradient of 0 to 30% of ethyl acetate in heptane, afforded the title compound as colorless oil (11.5 g, 48% yield):1H NMR (300 MHz, CDCl3) δ 8.52 (s, 1H), 8.03 (dd, J=5.5, 0.2 Hz, 1H), 2.49 (dd, J=1.9, 0.6 Hz, 3H).

Step 4. Preparation of tert-butyl ((5-fluoro-4-methylpyridin-2-yl)sulfonyl)(isothiazol-3-yl)carbamate

[0719]

[0720]

To a solution of tert-butyl isothiazol-3-ylcarbamate (0.95 g, 4.78 mmol) in anhydrous tetrahydrofuran (16 mL) was added a 1 M solution of lithium bis(trimethylsilyl)amide in tetrahydrofuran (5.25 mL, 5.25 mmol) at −78° C. The reaction mixture was stirred at −78° C. for 10 minutes, allowed to warm to 0° C., and stirred at this temperature for 10 minutes. The reaction mixture was then cooled to −78° C., and a solution of 5-fluoro-4-methylpyridine-2-sulfonyl chloride (1.00 g, 4.78 mmol) anhydrous tetrahydrofuran (5 mL) was added to the reaction mixture. The reaction mixture was stirred at −78° C. for 1 h, allowed to warm to ambient temperature, and stirred for 16 hours. After addition of water (10 mL), the mixture was extracted with ethyl acetate (2×20 mL). The combined organic layers were washed with brine (10 mL), dried over anhydrous sodium sulfate, and filtered. After concentration of the filtrate under reduced pressure the residue was triturated with methanol (5 mL). The precipitate was filtered off and washed with methanol (3×5 mL) to afford the title compound as a colorless solid (0.73 g, 41% yield): MS (ES+) m/z 274.2 (M−99).

Step 5. Preparation of 5-fluoro-N-(isothiazol-3-yl)-N-(4-methoxybenzyl)-4-methylpyridine-2-sulfonamide

[0721]

[0722]

To a solution of tert-butyl ((5-fluoro-4-methylpyridin-2-yl)sulfonyl)(isothiazol-3-yl)carbamate (0.73 g, 1.95 mmol) in dichloromethane (5 mL) was added trifluoroacetic acid (5 mL) and the reaction mixture was stirred at ambient temperature for 1 hour. The reaction mixture was concentrated in vacuo. To the residue was added anhydrous dimethyl sulfoxide (6 mL), sodium bicarbonate (0.82 g, 9.78 mmol) and 4-methoxybenzyl chloride (0.46 g, 2.9 mmol). The reaction mixture was stirred at ambient temperature for 2 hours and then quenched by addition of water (10 mL). The mixture was extracted with ethyl acetate (3×20 mL) and the combined organic layers were washed with brine (20 mL), dried over anhydrous sodium sulfate, and filtered. Concentration of the filtrate under reduced pressure and purification of the residue by column chromatography, eluting with a gradient of 0 to 60% of ethyl acetate in heptane, afforded the title compound as colorless oil (0.77 g, quantitative yield): MS (ES+) m/z 394.2 (M+1).

Step 6. Preparation of (S)-5-((1-benzylpyrrolidin-3-yl)amino)-N-(isothiazol-3-yl)-N-(4-methoxybenzyl)-4-methylpyridine-2-sulfonamide

[0723]

[0724]

To a mixture of 5-fluoro-N-(isothiazol-3-yl)-N-(4-methoxybenzyl)-4-methylpyridine-2-sulfonamide (0.44 g, 1.12 mmol) in anhydrous dimethyl sulfoxide (4 mL) was added (S)-1-benzylpyrrolidin-3-amine (0.197 g, 1.12 mmol) and N,N-diisopropylethylamine (0.58 mL, 3.36 mmol). The reaction mixture was heated to 90-100° C. for 8 hours. After cooling to ambient temperature, the reaction mixture was diluted with water (10 mL) and extracted with ethyl acetate (2×15 mL). The combined organic phase was dried over anhydrous sodium sulfate and filtered. Concentration of the filtrate under reduced pressure and purification of the residue by column chromatography, eluting with a gradient of 0-100% of ethyl acetate in heptane and then 0-15% of methanol in dichloromethane, provided the title compound as a colorless oil (0.33 g, 54% yield): MS (ES+) m/z 550.1 (M+1).

Step 7. Preparation of (S)-5-((1-benzylpyrrolidin-3-yl)(methyl)amino)-N-(isothiazol-3-yl)-4-methylpyridine-2-sulfonamide trifluoroacetic acid salt

[0725]

[0726]

To a mixture of (S)-5-((1-benzylpyrrolidin-3-yl)amino)-N-(isothiazol-3-yl)-N-(4-methoxybenzyl)-4-methylpyridine-2-sulfonamide (0.33 g, 0.60 mmol) in dichloromethane (2.5 mL) and trifluoroacetic acid (2.5 mL) was added paraformaldehyde (0.027 g, 0.9 mmol) and sodium triacetoxyborohydride (0.191 mg, 0.9 mmol) and the reaction mixture was stirred at ambient temperature for 16 hours. Reaction monitoring indicated incomplete conversion and additional paraformaldehyde (0.027 g, 0.9 mmol) and sodium triacetoxyborohydride (0.191 mg, 0.9 mmol) was added to the reaction mixture. The reaction mixture was stirred for 1 hour. The reaction mixture was then quenched by careful addition of saturated sodium bicarbonate (10 mL) and stirred for 30 minutes. The mixture was extracted with dichloromethane (3×20 mL), and the combined organic phase concentrated in vacuo. Purification of the residue by column chromatography, eluting with a gradient of 0-80% of ethyl acetate in heptane and then 0-15% of methanol in dichloromethane, provided the title compound as a colorless solid (0.068 g, 20% yield):1H NMR (300 MHz, DMSO-d6) δ 11.65 (br s, 1H), 10.37 (br s, 1H), 8.89 (d, J=4.8 Hz, 1H), 8.31 (s, 1H), 7.90 (s, 1H), 7.49-7.44 (m, 5H), 7.04 (d, J=4.8 Hz, 1H), 4.36-4.34 (m, 2H), 4.20-4.17 (m, 1H), 3.29-3.18 (m, 4H), 2.71 (s, 3H), 2.35 (s, 3H), 2.17-2.04 (m, 2H); MS (ES+) m/z 444.2 (M+1).

Example 4

Synthesis of (S)-5-((1-(2-fluorobenzyl)pyrrolidin-3-yl)(methyl)amino)-4-methyl-N-(thiazol-4-yl)pyridine-2-sulfonamide

[0727]

Step 1. Preparation of tert-butyl ((5-fluoro-4-methylpyridin-2-yl)sulfonyl)(thiazol-4-yl)carbamate

[0728]

[0729]

To a solution of tert-butyl thiazol-4-ylcarbamate (3.33 g, 16.7 mmol) in anhydrous tetrahydrofuran (60 mL) was added a 1 M solution of lithium bis(trimethylsilyl)amide in tetrahydrofuran (18.4 mL, 18.4 mmol) at −78° C. The reaction mixture was stirred at −78° C. for 10 minutes, allowed to warm to 0° C., and stirred at this temperature for 10 minutes. The reaction mixture was then cooled to −78° C., and a solution of 5-fluoro-4-methylpyridine-2-sulfonyl chloride (3.50 g, 16.7 mmol) in anhydrous tetrahydrofuran (20 mL) was added to the reaction mixture. The reaction mixture was stirred at −78° C. for 1 h, allowed to warm to ambient temperature, and stirred for 16 hours. After addition of water (50 mL), the mixture was extracted with ethyl acetate (2×100 mL). The combined organic layers were washed with brine (50 mL), dried over anhydrous sodium sulfate, and filtered. After concentration of the filtrate under reduced pressure, the residue was triturated with methanol (25 mL). The precipitate was filtered off and washed with methanol (2×15 mL) to afford the title compound as a colorless solid (3.26 g, 52% yield): MS (ES+) m/z 274.2 (M-Boc).

Step 2. Preparation of 5-fluoro-N-(4-methoxybenzyl)-4-methyl-N-(thiazol-4-yl)pyridine-2-sulfonamide

[0730]

[0731]

To a solution of tert-butyl ((5-fluoro-4-methylpyridin-2-yl)sulfonyl)(thiazol-4-yl)carbamate (13.40 g, 35.88 mmol) in dichloromethane (40 mL) was added trifluoroacetic acid (30 mL). The reaction mixture was stirred at ambient temperature for 2 hours and then concentrated in vacuo. To the residue was added ethyl acetate (130 mL) and the mixture was washed with saturated ammonium chloride (2×100 mL) and brine (100 mL). The organic phase was dried over anhydrous sodium sulfate and filtered. The filtrate was concentrated in vacuo to provide a residue. To it was then added anhydrous N,N-dimethylformamide (25 mL), sodium bicarbonate (15.07 g, 179.4 mmol), and 4-methoxybenzyl chloride (11.24 g, 71.8 mmol) and the reaction mixture was heated to 80° C. for 2 hours. After cooling to ambient temperature, the reaction mixture was diluted with ethyl acetate (225 mL). The mixture was washed with saturated ammonium chloride (2×150 mL), brine (2×100 mL), dried over anhydrous sodium sulfate, and filtered. Concentration of the filtrate in vacuo and purification of the residue by column chromatography, eluting with a gradient of 10 to 30% of ethyl acetate in heptane, afforded the title compound as a colorless solid (10.0 g, 71% yield):1H NMR (400 MHz, CDCl3) δ 8.54 (d, J=2.3 Hz, 1H), 8.43 (s, 1H), 7.67 (d, J=5.8 Hz, 1H), 7.25-7.20 (m, 3H), 6.79-6.75 (m, 2H), 5.10 (s, 2H), 3.76 (s, 3H), 2.34-2.33 (m, 3H); MS (ES+) m/z 394.4 (M+1).

Step 3. Preparation of tert-butyl (S)-3-((6-(N-(4-methoxybenzyl)-N-(thiazol-4-yl)sulfamoyl)-4-methylpyridin-3-yl)amino)pyrrolidine-1-carboxylate

[0732]

[0733]

To a mixture of 5-fluoro-N-(4-methoxybenzyl)-4-methyl-N-(thiazol-4-yl)pyridine-2-sulfonamide (2.97 g, 7.55 mmol) and tert-butyl (S)-3-aminopyrrolidine-1-carboxylate (1.40 g, 7.55 mmol) in anhydrous dimethyl sulfoxide (20 mL) was added N,N-diisopropylethylamine (3.95 mL, 22.6 mmol) and the reaction mixture was heated at 110° C. for 16 hours. The mixture was diluted with ethyl acetate (200 mL), washed with water (200 mL), saturated ammonium chloride (100 mL), brine (100 mL), and dried over anhydrous sodium sulfate. Filtration and concentration of the filtrate in vacuo gave a residue which was purified by column chromatography, eluting with a gradient of 0 to 50% of ethyl acetate in heptane, to provide the title compound as a colorless foam (2.95 g, 70% yield): MS (ES+) m/z 560 (M+1).

Step 4. Preparation of tert-butyl (S)-3-((6-(N-(4-methoxybenzyl)-N-(thiazol-4-yl)sulfamoyl)-4-methylpyridin-3-yl)(methyl)amino)pyrrolidine-1-carboxylate

[0734]

[0735]

To a solution of tert-butyl (S)-3-((6-(N-(4-methoxybenzyl)-N-(thiazol-4-yl)sulfamoyl)-4-methylpyridin-3-yl)amino)pyrrolidine-1-carboxylate (1.05 g, 1.88 mmol) in anhydrous N,N-dimethylformamide (10 mL) was added sodium hydride (60% dispersion in mineral oil, 0.225 g, 5.63 mmol). The reaction mixture was stirred at ambient temperature for 30 minutes followed by addition of dimethyl sulfate (0.53 mL, 5.63 mmol). The reaction mixture was stirred at ambient temperature for 1 h, and then quenched by careful addition of water (10 mL). The mixture was extracted with ethyl acetate (2×30 mL). The combined organic layers were washed with water (2×20 mL), brine (15 mL), and dried over anhydrous sodium sulfate. Filtration and concentration of the filtrate in vacuo provided a residue which was purified by column chromatography, eluting with a gradient of 0 to 70% of ethyl acetate in heptane, to provide the title compound as a colorless solid (0.70 g, 64% yield): MS (ES+) m/z 574.2 (M+1).

Step 5. Preparation of (S)-4-methyl-5-(methyl(pyrrolidin-3-yl)amino)-N-(thiazol-4-yl)pyridine-2-sulfonamide trifluoroacetic acid salt

[0736]

[0737]

To a solution of tert-butyl (S)-3-((6-(N-(4-methoxybenzyl)-N-(thiazol-4-yl)sulfamoyl)-4-methylpyridin-3-yl)(methyl)amino)pyrrolidine-1-carboxylate (0.70 g, 1.21 mmol) in dichloromethane (4 mL) was added trifluoroacetic acid (2 mL) and the reaction mixture was heated to reflux for 16 hours. After cooling to ambient temperature, the reaction mixture was concentrated in vacuo to afford the title compound as a beige solid (0.63 g, quantitative yield): MS (ES+) m/z 354.2 (M+1).

Step 6. Preparation of (S)-5-((1-(2-fluorobenzyl)pyrrolidin-3-yl)(methyl)amino)-4-methyl-N-(thiazol-4-yl)pyridine-2-sulfonamide

[0738]

[0739]

To a solution of (S)-4-methyl-5-(methyl(pyrrolidin-3-yl)amino)-N-(thiazol-4-yl)pyridine-2-sulfonamide trifluoroacetic acid salt (0.10 g, 0.21 mmol) in anhydrous N,N-dimethylformamide (2.0 mL) was added 2-fluorobenzaldehyde (0.032 g, 0.25 mmol). The reaction mixture was stirred at ambient temperature for 10 minutes and then sodium triacetoxyborohydride (0.089 g, 0.42 mmol) was added to it. The reaction mixture was stirred at ambient temperature for 1 hour. After dilution with ethyl acetate (20 mL), the mixture was washed with brine (2×15 mL), dried over anhydrous sodium sulfate, and filtered. Concentration of the filtrate in vacuo provided a residue which was purified by column chromatography, eluting with a gradient of 0 to 8% of methanol in dichloromethane, to provide the title compound as a colorless solid (0.056 g, 57% yield):1H NMR (300 MHz, DMSO-d6) δ 11.10 (s, 1H), 8.85 (d, J=2.2 Hz, 1H), 8.23 (s, 1H), 7.76 (s, 1H), 7.44-7.39 (m, 1H), 7.35-7.27 (m, 1H), 7.20-7.13 (m, 2H), 6.96 (d, J=2.2 Hz, 1H), 4.04-3.93 (m, 1H), 3.64 (s, 2H), 2.73-2.57 (m, 6H), 2.46-2.39 (m, 1H), 2.29 (s, 3H), 2.11-1.95 (m, 1H), 1.83-1.68 (m, 1H); MS (ES+) m/z 462.1 (M+1).

Example 5

Synthesis of (S)-5-((1-(3-fluorobenzyl)pyrrolidin-3-yl)(methyl)amino)-4-methyl-N-(thiazol-4-yl)pyridine-2-sulfonamide

[0740]

[0741]

Following the procedure as described for EXAMPLE 4, Step 7 and making non-critical variations as required to replace 2-fluorobenzaldehyde with 3-fluorobenzaldehyde, the title compound was obtained as a colorless solid (0.058 g, 60% yield):1H NMR (300 MHz, DMSO-d6) δ 11.12 (s, 1H), 8.84 (d, J=2.2 Hz, 1H), 8.23 (s, 1H), 7.75 (s, 1H), 7.35 (td, J=8.0, 6.1 Hz, 1H), 7.16-7.03 (m, 3H), 6.97-6.94 (m, 1H), 4.04-3.94 (m, 1H), 3.65-3.50 (m, 2H), 2.72 (s, 3H), 2.69-2.54 (m, 3H), 2.39 (q, J=8.1 Hz, 1H), 2.30 (s, 3H), 2.10-1.98 (m, 1H), 1.84-1.69 (m, 1H); MS (ES+) m/z 462.1 (M+1).

Example 6

Synthesis of (S)-5-((1-((2-isopropylthiazol-4-yl)methyl)pyrrolidin-3-yl)methyl)amino)-4-methyl-N-(thiazol-4-yl)pyridine-2-sulfonamide

[0742]

[0743]

Following the procedure as described for EXAMPLE 4, Step 7 and making non-critical variations as required to replace 2-fluorobenzaldehyde with 2-isopropylthiazole-4-carbaldehyde, the title compound was obtained as a colorless solid (0.032 g, 31% yield):1H NMR (300 MHz, DMSO-d6) δ 11.10 (s, 1H), 8.85 (d, J=2.2 Hz, 1H), 8.24 (s, 1H), 7.76 (s, 1H), 7.30 (s, 1H), 6.96 (d, J=2.2 Hz, 1H), 4.04-3.94 (m, 1H), 3.80-3.63 (m, 2H), 3.23 (7, J=6.9 Hz, 1H), 2.84-2.62 (m, 6H), 2.60-2.52 (m, 1H), 2.30 (s, 3H), 2.11-1.97 (m, 1H), 1.84-1.72 (m, 1H), 1.30 (d, J=6.9 Hz, 6H); MS (ES+) m/z 493.1 (M+1).

Example 7

Synthesis of (S)-5-((1-((4-cydcopropylthiazol-2-yl)methyl)pyrrolidin-3-yl)(methyl)amino)-4-methyl-N-(thiazol-4-yl)pyridine-2-sulfonamide

[0744]

[0745]

Following the procedure as described for EXAMPLE 4, Step 7 and making non-critical variations as required to replace 2-fluorobenzaldehyde with 4-cyclopropylthiazole-2-carbaldehyde, the title compound was obtained as a colorless solid (0.041 g, 39% yield):1H NMR (300 MHz, DMSO-d6) δ 11.13 (s, 1H), 8.85 (d, J=2.2 Hz, 1H), 8.24 (s, 1H), 7.76 (s, 1H), 7.15 (s, 1H), 6.96 (d, J=2.2 Hz, 1H), 4.05-3.96 (m, 1H), 3.94-3.73 (m, 2H), 2.86-2.63 (m, 6H), 2.30 (s, 3H), 2.12-1.97 (m, 2H), 1.87-1.73 (m, 2H), 0.88-0.79 (m, 2H), 0.78-0.71 (m, 2H); MS (ES+) m/z 491.1 (M+1).

Example 8

Synthesis of (S)-5-((1-((1-(difluoromethyl)-1H-pyrazol-3-yl)methyl)pyrrolidin-3-yl)(methyl)amino)-4-methyl-N-(thiazol-4-yl)pyridine-2-sulfonamide

[0746]

[0747]

Following the procedure as described for EXAMPLE 4, Step 7 and making non-critical variations as required to replace 2-fluorobenzaldehyde with 1-(difluoromethyl)-1H-pyrazole-3-carbaldehyde, the title compound was obtained as a colorless solid (0.045 g, 44% yield):1H NMR (300 MHz, DMSO-d6) δ 11.14 (s, 1H), 8.85 (d, J=2.2 Hz, 1H), 8.23 (s, 1H), 8.15 (d, J=2.6 Hz, 1H), 7.76 (s, 1H), 7.74 (t, J=59.3 Hz, 1H), 6.96 (d, J=2.2 Hz, 1H), 6.44 (d, J=2.6 Hz, 1H), 4.02-3.93 (m, 1H), 3.67-3.53 (m, 2H), 2.72-2.57 (m, 6H), 2.47-2.40 (m, 1H), 2.30 (s, 3H), 2.08-1.96 (m, 1H), 1.81-1.69 (m, 1H); MS (ES+) m/z 484.1 (M+1).

Example 9

Synthesis of (S)-5-((1-(2,5-difluorobenzyl)pyrrolidin-3-yl)(methyl)amino)-4-methyl-N-(thiazol-4-yl)pyridine-2-sulfonamide sulfonamide trifluoroacetic acid salt

[0748]

[0749]

Following the procedure as described for EXAMPLE 4, Step 7 and making non-critical variations as required to replace 2-fluorobenzaldehyde with 2,5-difluorobenzaldehyde, the title compound was obtained as a colorless solid (0.058 g, 63% yield):1H NMR (300 MHz, DMSO-d6) δ 11.19 (s, 1H), 10.82-10.43 (m, 1H), 8.86 (d, J=2.2 Hz, 1H), 8.32 (s, 1H), 7.82 (s, 1H), 7.52-7.36 (m, 3H), 6.98 (d, J=2.2 Hz, 1H), 4.41 (s, 2H), 4.23-4.01 (m, 1H), 3.79-3.36 (m, 3H), 3.34-3.07 (m, 1H), 2.74-2.66 (m, 3H), 2.32 (s, 3H), 2.25-1.91 (m, 2H); MS (ES+) m/z 480.1 (M+1).

Example 10

Synthesis of (S)-5-((1-Benzylpyrrolidin-3-yl)(methyl)amino)-4-(difluoromethyl)-N-(thiazol-4-yl)pyridine-2-sulfonamide trifluoroacetic acid salt

[0750]

Step 1. Preparation of 2-(benzylthio)-5-fluoroisonicotinaldehyde

[0751]

[0752]

To a mixture of 2-bromo-5-fluoroisonicotinaldehyde (5.04 g, 24.7 mmol) in anhydrous dioxane (100 mL) was added N,N-diisopropylethylamine (8.62 mL, 49.4 mmol), benzyl mercaptan (2.76 mL, 23.5 mmol), 4,5-bis(diphenylphosphino)-9,9-dimethylxanthene (1.43 g, 2.47 mmol) and tris(dibenzylideneacetone)dipalladium(0) (1.13 g, 1.24 mmol). The reaction mixture was heated under reflux for 20 hours. After cooling to ambient temperature, the reaction mixture was filtered and the filter cake washed with ethyl acetate (100 mL). Concentration of the combined filtrate under reduced pressure and purification of the residue by column chromatography, eluting with a gradient of 0-40% of ethyl acetate in heptane, provided the title compound as a brownish oil (5.23 g, 90% yield):1H NMR (300 MHz, CDCl3) δ 10.33 (s, 1H), 8.56 (dd, J=1.5, 0.6 Hz, 1H), 7.52 (dd, J=5.0, 0.6 Hz, 1H), 7.47-7.39 (m, 2H), 7.35-7.23 (m, 3H), 4.43 (s, 2H); MS (ES+) m/z 248.2 (M+1).

Step 2. Preparation of 2-(benzylthio)-4-(difluoromethyl)-5-fluoropyridine

[0753]

[0754]

To a mixture of 2-(benzylthio)-5-fluoroisonicotinaldehyde (3.67 g, 14.8 mmol) in anhydrous dichloromethane (50 ml) was added (diethylamino)sulfur trifluoride (3.92 mL, 29.7 mmol) at 0° C. The reaction mixture stirred for 2.5 hours at 0° C., and then quenched by slow addition of 2 M sodium carbonate until pH 9 was obtained. The mixture was extracted with ethyl acetate (100 mL). The organic phase was washed with 2 M sodium carbonate (50 mL), saturated ammonium chloride (50 mL), brine (50 mL), and dried over anhydrous sodium sulfate. Filtration and concentration of the filtrate under reduced pressure gave a residue. Purification of the residue by column chromatography, eluting with a gradient of 0-20% of ethyl acetate in heptane, provided the title compound as an orange oil (3.04 g, 71% yield):1H NMR (300 MHz, CDCl3) δ 8.45-8.44 (m, 1H), 7.44-7.40 (m, 2H), 7.37-7.25 (m, 4H), 6.82 (t, J=54.2 Hz, 1H), 4.45 (s, 2H); MS (ES+) m/z 270.2 (M+1).

Step 3. Preparation of 4-(difluoromethyl)-5-fluoropyridine-2-sulfonyl chloride

[0755]

[0756]

To a mixture of 2-(benzylthio)-4-(difluoromethyl)-5-fluoropyridine (3.04 g, 11.2 mmol) in acetonitrile (60 mL) was added water (2.6 mL) and acetic acid (3.2 mL). The mixture was cooled to 0° C., and 1,3-dichloro-5,5-dimethylhydantoin (4.44 g, 22.6 mmol) was added to it. The reaction mixture was stirred at 0° C. for 1.5 hours and was then diluted with ethyl acetate (200 mL). The mixture was washed with cold brine (4×75 mL), dried over anhydrous sodium sulfate, and filtered. Concentration of the filtrate under reduced pressure and purification of the residue by column chromatography, eluting with a gradient of 0-30% of ethyl acetate in heptane, provided the title compound as a colorless oil (2.39 g, 87% yield):1H NMR (300 MHz, CDCl3) δ 8.79-8.77 (m, 1H), 8.38 (d, J=5.0 Hz, 1H), 6.99 (t, J=53.6 Hz, 1H).

Step 4. Preparation of tert-butyl ((4-(difluoromethyl)-5-fluoropyridin-2-yl)sulfonyl)(thiazol-4-yl)carbamate

[0757]

[0758]

To a mixture of tert-butyl thiazol-4-ylcarbamate (2.14 g, 10.7 mmol) in anhydrous tetrahydrofuran (50 mL) was added a 1 M solution of lithium bis(trimethylsilyl)amide in tetrahydrofuran (10.7 mL, 10.7 mmol) at 0° C. The reaction mixture was stirred at 0° C. for 1 hour and then cooled to −78° C. To it was then added a solution of 4-(difluoromethyl)-5-fluoropyridine-2-sulfonyl chloride (2.39 g, 9.73 mmol) in anhydrous tetrahydrofuran (25 mL) at −78° C. The reaction mixture was allowed to warm to ambient temperature, stirred for 2 h, and then concentrated in vacuo. To the residue was added ethyl acetate (80 mL), and the mixture was washed with concentrated ammonium chloride (2×50 mL), and brine (50 mL). The organic phase was dried over anhydrous sodium sulfate and filtered. Concentration of the filtrate under reduced pressure and purification of the residue by column chromatography, eluting with a gradient of 0-80% of ethyl acetate in heptane, provided the title compound as a colorless oil (2.82 g, 71% yield):1H NMR (300 MHz, CDCl3) δ 8.84 (d, J=2.3 Hz, 1H), 8.75 (br s, 1H), 8.53 (d, J=5.2 Hz, 1H), 7.67 (d, J=2.3 Hz, 1H), 6.98 (t, J=53.7 Hz, 1H), 1.34 (s, 9H); MS (ES+) m/z 410.3 (M+1).

Step 5. Preparation of 4-(difluoromethyl)-5-fluoro-N-(4-methoxybenzyl)-N-(thiazol-4-yl)pyridine-2-sulfonamide

[0759]

[0760]

To a solution of tert-butyl ((4-(difluoromethyl)-5-fluoropyridin-2-yl)sulfonyl)(thiazol-4-yl)carbamate (2.11 g, 6.84 mmol) in dichloromethane (10 mL) was added trifluoroacetic acid (5 mL) and the reaction mixture was stirred at ambient temperature for 1 hour. The reaction mixture was concentrated in vacuo. To the residue was added anhydrous dimethyl sulfoxide (20 mL), sodium bicarbonate (2.8 g, 34.2 mmol) and 4-methoxybenzyl chloride (1.60 g, 10.3 mmol). The reaction mixture was stirred at ambient temperature for 16 hours and then quenched by addition of water (20 mL). The mixture was extracted with ethyl acetate (3×50 mL) and the combined organic layers were washed with brine (2×20 mL), dried over anhydrous sodium sulfate, and filtered. Concentration of the filtrate under reduced pressure and purification of the residue by column chromatography, eluting with a gradient of 0-60% of ethyl acetate in heptane, afforded the title compound as a colorless oil (2.80 g, 95% yield): MS (ES+) m/z 430.2 (M+1).

Step 6. Preparation of (S)-5-((1-benzylpyrrolidin-3-yl)amino)-4-(difluoromethyl)-N-(4-methoxybenzyl)-N-(thiazol-4-yl)pyridine-2-sulfonamide

[0761]

[0762]

To a mixture of 4-(difluoromethyl)-5-fluoro-N-(4-methoxybenzyl)-N-(thiazol-4-yl)pyridine-2-sulfonamide (0.252 g, 0.58 mmol) in anhydrous dimethyl sulfoxide (5 mL) was added (S)-1-benzylpyrrolidin-3-amine (0.124 g, 0.69 mmol) and potassium carbonate (0.16 g, 1.16 mmol). The reaction mixture was stirred at ambient temperature for 16 hours. The reaction mixture was diluted with water (10 mL) and extracted with ethyl acetate (2×15 mL). The combined organic phase was dried over anhydrous sodium sulfate and filtered. Concentration of the filtrate under reduced pressure and purification of the residue by column chromatography, eluting with a gradient of 0-6% of methanol in dichloromethane, provided the title compound as a colorless oil (0.30 g, 88% yield): MS (ES+) m/z 586.4 (M+1).

Step 7. Preparation of (S)-5-((1-Benzylpyrrolidin-3-yl)(methyl)amino)-4-(difluoromethyl)-N-(thiazol-4-yl)pyridine-2-sulfonamide trifluoroacetic acid salt

[0763]

[0764]

To a solution of (S)-5-((1-benzylpyrrolidin-3-yl)amino)-4-(difluoromethyl)-N-(4-methoxybenzyl)-N-(thiazol-4-yl)pyridine-2-sulfonamide (0.30 g, 0.51 mmol) in trifluoroacetic acid (3.0 mL) was added sodium triacetoxyborohydride (0.21 g, 1.02 mmol) at 0° C. The resulting mixture was stirred at 0° C. for 10 minutes, and then paraformaldehyde (0.022 g, 0.75 mmol) was added to it. The reaction mixture was stirred at ambient temperature for 16 hours and then concentrated in vacuo. To the residue was added 2 M sodium hydroxide (15 mL) and brine (15 mL), and the mixture was extracted with ethyl acetate (30 mL). The aqueous layer was diluted with saturated ammonium chloride (30 mL) and then extracted with ethyl acetate (3×50 mL). The combined organic layers were washed with saturated ammonium chloride (30 mL), brine (30 mL), dried over anhydrous sodium sulfate, and filtered. Concentration of the filtrate in vacuo and purification of the residue by preparative reverse-phase HPLC, eluting with a gradient of 10-50% of acetonitrile in water containing 0.1% of trifluoroacetic acid, afforded the title compound as a colorless solid (0.085 g, 34% yield): 11.33 (s, 1H), 10.59-10.21 (m, 1H), 8.88 (d, J=2.2 Hz, 1H), 8.68 (s, 1H), 8.00 (s, 1H), 7.55-7.25 (m, 5H), 7.26 (t, J=57.3 Hz, 1H), 7.05 (m, 1H), 7.07 (d, J=2.2 Hz, 1H). 4.50-4.12 (m, 3H), 3.74-3.08 (m, 4H), 2.83-2.73 (m, 3H), 2.40-1.81 (m, 2H); MS (ES+) m/z 480.1 (M+1).

Example 11

Synthesis of 4-methyl-5-(methyl((S)-1-((R)-1-phenylethyl)pyrrolidin-3-yl)amino)-N-(thiazol-4-yl)pyridine-2-sulfonamide trifluoroacetic acid salt

[0765]

Step 1. Preparation of (S)-2-((tert-butoxycarbonyl)amino)butane-1,4-diyl dimethanesulfonate

[0766]

[0767]

To a solution of tert-butyl (S)-(1,4-dihydroxybutan-2-yl)carbamate (5.0 g, 24.36 mmol) and triethylamine (17.0 mL, 121.8 mmol) in anhydrous dichloromethane (120 mL) was added methanesulfonyl chloride (4.15 mL, 53.59 mmol) at 0° C. The reaction mixture was stirred at for 1 hour at 0° C. and then quenched by addition of water (50 mL) and saturated ammonium chloride (120 mL). The aqueous layer was extracted with dichloromethane (100 mL), and the combined organic layers were washed with brine (50 mL), dried over anhydrous sodium sulfate, and filtered. Concentration of the filtrate in vacuo provided the title compound as a colorless solid (8.70 g, 99% yield):1H NMR (300 MHz, DMSO-d6) δ 7.08 (d, J=8.4 Hz, 1H), 4.26-4.06 (m, 4H), 3.18 (s, 3H), 3.16 (s, 3H), 1.97-1.86 (m, 1H), 1.83-1.71 (m, 1H), 1.39 (s, 9H), NH not observed; MS (ES+) m/z 362.1 (M+1).

Step 2. Preparation of tert-butyl ((S)-1-((R)-1-phenylethyl)pyrrolidin-3-yl)carbamate

[0768]

[0769]

To a mixture of (S)-2-((tert-butoxycarbonyl)amino)butane-1,4-diyl dimethanesulfonate (6.82 g, 18.9 mmol) and N,N-diisopropylethylamine (16.1 mL, 94.4 mmol) in anhydrous dimethyl sulfoxide (85 mL) was added (R)-1-phenylethan-1-amine (2.38 mL, 18.9 mmol) and the reaction mixture was heated to 45° C. for 23 hours. The reaction mixture was diluted with ethyl acetate (120 mL), washed with saturated ammonium chloride (3×100 mL), saturated sodium bicarbonate (100 mL), brine (50 mL), dried over anhydrous sodium sulfate, and filtered. Concentration of the filtrate in vacuo and trituration of the residue in ethyl acetate (45 mL) provided the title compound as a colorless solid (2.34 g, 43% yield): MS (ES+) m/z 291.4 (M+1).

Step 3. Preparation of (S)-1-((R)-1-phenylethyl)pyrrolidin-3-amine trifluoroacetic acid salt

[0770]

[0771]

To a mixture of tert-butyl ((S)-1-((R)-1-phenylethyl)pyrrolidin-3-yl)carbamate (2.34 g, 12.3 mmol) in dichloromethane (10 mL) was added trifluoroacetic acid (5 mL). The reaction mixture was stirred for 2 hours at ambient temperature and then concentrated in vacuo to provide the title compound as a as a colorless oil (5.1 g, quantitative yield): MS (ES+) m/z 191.1 (M+1).

Step 4. Preparation of N-(4-methoxybenzyl)-4-methyl-5-(((S)-1-((R)-1-phenylethyl)pyrrolidin-3-yl)amino)-N-(thiazol-4-yl)pyridine-2-sulfonamide

[0772]

[0773]

To a mixture of (S)-1-((R)-1-phenylethyl)pyrrolidin-3-amine trifluoroacetic acid salt (0.84 g, 2.0 mmol) in anhydrous dimethyl sulfoxide (10 mL) was added N,N-diisopropylethylamine (1.74 mL, 10.0 mmol) and 5-fluoro-N-(4-methoxybenzyl)-4-methyl-N-(thiazol-4-yl)pyridine-2-sulfonamide (0.547 g, 1.39 mmol) and the reaction mixture was heated to 100° C. for 21 hours. After cooling to ambient temperature, the reaction mixture was diluted with ethyl acetate (80 mL). The mixture was washed with saturated ammonium chloride (2×50 mL), brine (50 mL), and dried over anhydrous sodium sulfate. Filtration and concentration of the filtrate under reduced pressure provided a residue. Purification of the residue, eluting with a gradient of 10-60% of ethyl acetate (containing 20% of ethanol and 0.2% of ammonium hydroxide) in heptane, provided the title compound as an amorphous solid (0.27 g, 24% yield): MS (ES+) m/z 564.4 (M+1).

Step 5. Preparation of 4-methyl-5-(methyl((S)-1-((R)-1-phenylethyl)pyrrolidin-3-yl)amino)-N-(thiazol-4-yl)pyridine-2-sulfonamide trifluoroacetic acid salt

[0774]

[0775]

To N-(4-methoxybenzyl)-4-methyl-5-(((S)-1-((R)-1-phenylethyl)pyrrolidin-3-yl)amino)-N-(thiazol-4-yl)pyridine-2-sulfonamide (0.27 g, 0.48 mmol) was added trifluoroacetic acid (3 mL) at 0° C., followed by sodium triacetoxyborohydride (0.31 g, 1.44 mmol). The reaction mixture was stirred for 10 minutes at 0° C., and paraformaldehyde was added to it (0.043 g, 1.43 mmol) and the reaction mixture was stirred at 0° C. for 1 hour. The reaction mixture was diluted with dichloromethane (8 mL) and then heated under reflux for 2 hours. After cooling to ambient temperature, the reaction mixture was concentrated in vacuo. To the residue was added 2 M sodium hydroxide (25 mL) and brine (30 mL) and the mixture was extracted with ethyl acetate (2×60 mL). The combined organic phase was washed with saturated ammonium chloride (25 mL), brine (25 mL), dried over anhydrous sodium sulfate, and filtered. Concentration of the filtrate and purification of the residue by reverse-phase column chromatography, eluting with a gradient of 7-90% of acetonitrile in water containing 0.2% of formic acid, afforded the title compound as a colorless solid (0.081 g, 30% yield):1H NMR (300 MHz, DMSO-d6) δ 11.22-11.18 (m, 1H), 10.66-10.58 (m, 1H), 8.86 (dd, J=4.0, 2.1 Hz, 1H), 8.31 (d, J=21.9 Hz, 1H), 7.82 (d, J=10.9 Hz, 1H), 7.52-7.42 (m, 5H), 7.01-6.95 (m, 1H), 4.53-4.37 (m, 1H), 4.31-4.04 (m, 1H), 3.74-3.57 (m, 2H), 3.39-3.09 (m, 1H), 2.96-2.92 (m, 1H), 2.70 (d, J=18.0 Hz, 3H), 2.31 (d, J=27.4 Hz, 3H), 2.19-2.08 (m, 1H), 1.94-1.89 (m, 1H), 1.62 (t, J=6.9 Hz, 3H); MS (ES+) m/z: 458.2 (M+1).

Example 12

Synthesis of (R)—N-(6-fluoropyridin-2-yl)-5-methyl-6-(methyl(1-(1-phenylethyl)piperidin-4-yl)amino)pyridine-3-sulfonamide trifluoroacetic acid salt

[0776]

Step 1. Preparation of 6-fluoro-N-(4-methoxybenzyl)pyridin-2-amine

[0777]

[0778]

To a solution of 2,6-difluoropyridine (50 g, 434 mmol) in anhydrous dimethyl sulfoxide (140 mL) was added N,N-diisopropylethylamine (112 g, 866 mmol), and para-methoxybenzyl amine (65.5 g, 477 mmol). The reaction mixture was heated to 90° C. for 18 hours. After cooling to ambient temperature, the reaction mixture was quenched with water (300 mL) and the aqueous layer was extracted with ethyl acetate (4×100 mL). The combined organic fractions were washed with water (3×75 mL), brine (100 mL), dried over anhydrous magnesium sulfate, and filtered. Concentration of the filtrate in vacuo gave an orange residue which was triturated with methanol (100 mL) to give the title compound as a colorless solid (78.8 g, 69% yield):1H NMR (300 MHz, CDCl3) δ 7.47 (q, J=8.2 Hz, 1H), 7.28 (dt, J=6.5, 2.6 Hz, 2H), 6.92-6.87 (m, 2H), 6.21-6.15 (m, 2H), 5.07 (d, J=4.2 Hz, 1H), 4.42 (d, J=5.7 Hz, 2H), 3.81 (s, 3H).

Step 2. Preparation of 5-(benzylthio)-3-chloro-2-fluoropyridine

[0779]

[0780]

To a solution of 5-bromo-3-chloro-2-fluoropyridine (10.0 g, 47.5 mmol) in anhydrous 1,4-dioxane (95 mL) was added N,N-diisopropylethylamine (10.0 mL, 57.0 mmol) and the mixture was degassed with argon. To the resulting mixture was added tris(dibenzylideneacetone)dipalladium(0) (1.09 g, 1.20 mmol), 4,5-bis(diphenylphosphino)-9,9-dimethylxanthene (1.65 g, 2.90 mmol) and benzyl mercaptan (6.6 mL, 55.9 mmol). The reaction mixture was degassed with argon and then heated to 100° C. for 16 hours. The reaction mixture was allowed to cool to ambient temperature and filtered. Concentration of the filtrate in vacuo and purification of the residue by column chromatography, eluting with 5% of ethyl acetate in heptane, afforded the title compound as a yellow oil (9.54 g, 79% yield):1H NMR (300 MHz, CDCl3) δ 7.92 (dd, J=2.2, 1.3 Hz, 1H), 7.61 (dd, J=8.4, 2.2 Hz, 1H), 7.32-7.24 (m, 3H), 7.19-7.16 (m, 2H), 4.02 (s, 2H); MS (ES+) m/z 254.1 (M+1).

Step 3. Preparation of 5-chloro-6-fluoropyridine-3-sulfonyl chloride

[0781]

[0782]

To a solution of 5-(benzylthio)-3-chloro-2-fluoropyridine (9.54 g, 37.6 mmol) in a mixture of acetonitrile (269 mL) and water (9 mL) was added 1,3-dichloro-5,5-dimethylimidazolidine-2,4-dione (20.8 g, 106 mmol). The reaction mixture was cooled to 0° C. and acetic acid (13 mL) was added dropwise. The reaction mixture was stirred at 0° C. for 30 minutes. Water (130 mL) was added to the mixture, and the mixture was extracted with ethyl acetate (3×80 mL). The combined organic layers were washed with brine (40 mL), dried over anhydrous sodium sulfate, and filtered. Concentration of the filtrate in vacuo and purification of the residue by column chromatography, eluting with 10% of ethyl acetate in heptane, afforded the title compound as a pale yellow oil (3.29 g, 38% yield):1H NMR (300 MHz, CDCl3) δ 8.79 (dd, J=2.3, 1.1 Hz, 1H), 8.44 (dd, J=7.7, 2.4 Hz, 1H).

Step 4. Preparation of 5-chloro-6-fluoro-N-(6-fluoropyridin-2-yl)-N-(4-methoxybenzyl)pyridine-3-sulfonamide

[0783]

[0784]

To a solution of 6-fluoro-N-(4-methoxybenzyl)pyridin-2-amine (2.61 g, 11.22 mmol) in anhydrous tetrahydrofuran (50 mL) was added a 1 M solution of lithium bis(trimethylsilyl)amide in tetrahydrofuran (11.2 mL, 11.2 mmol) at 0° C. and the reaction mixture was stirred at 0° C. for 1 hour. The reaction mixture was then cooled to −78° C., and a solution of 5-chloro-6-fluoropyridine-3-sulfonyl chloride (2.15 g, 9.35 mmol) in anhydrous tetrahydrofuran (20 mL) was added to it. The reaction mixture was stirred at −78° C. for 2.5 h, allowed to warm to ambient temperature, and stirred for at ambient temperature for 16 hours. To it was then added saturated ammonium chloride (80 mL), and the reaction mixture was extracted with ethyl acetate (120 mL). The organic phase was washed with saturated ammonium chloride (2×60 mL), brine (60 mL), dried over anhydrous sodium sulfate, and filtered. Concentration of the filtrate in vacuo and purification of the residue by column chromatography, eluting with a gradient of 0 to 60% of ethyl acetate in heptanes, afforded the title compound as a colorless oil (1.65 g, 41% yield): MS (ES+) m/z 426.0 (M+1), 428.0 (M+1).

Step 5. Preparation of 1-ethyl-1-methyl-4-oxopiperidin-1-ium iodide

[0785]

[0786]

To a solution of 1-methylpiperidin-4-one (13.8 mL, 120 mmol) in butan-2-one (70 mL) was added iodoethane (10.6 mL, 132 mmol) and the reaction mixture was stirred at ambient temperature for 4 d. The mixture was filtered and the resulting solid was dried in vacuo to afford the title compound as an orange solid (27.8 g, 86% yield):1H NMR (300 MHz, D2O) δ 3.52-3.38 (m, 6H), 3.05 (s, 3H), 2.17-1.99 (m, 4H), 1.34 (t, J=7.3 Hz, 3H); MS (ES+) m/z 142.2 (M+1).

Step 6. Preparation of (R)-1-(1-phenylethyl)piperidin-4-one

[0787]

[0788]

To a mixture of (R)-1-phenylethan-1-amine (28.4 mL, 222.9 mmol) and potassium carbonate (61.6 g, 445.8 mmol) in ethanol (400 mL) was added a solution of 1-ethyl-1-methyl-4-oxopiperidin-1-ium iodide (60.0 g, 222.9 mmol) in water (125 mL). The resulting mixture was refluxed for 3 hours. After cooling to ambient temperature, the reaction mixture was concentrated in vacuo to remove ethanol. The mixture was diluted with water (150 mL) and extracted with ethyl acetate (2×400 mL). The organic fractions were combined, washed with a 1:1 mixture of brine and water (2×100 mL), dried over anhydrous sodium sulfate, and filtered. Concentration of the filtrate in vacuo and purification of the residue by column chromatography, eluting with a gradient of 0 to 40% of ethyl acetate in heptane, afforded the title compound as an oil (34.51 g, 76% yield):1H NMR (300 MHz, CDCl3) δ 7.39-7.32 (m, 4H), 7.30-7.24 (m, 1H), 3.64 (q, J=6.7 Hz, 1H), 2.83-2.69 (m, 4H), 2.44 (t, J=6.1 Hz, 4H), 1.44 (d, J=6.8 Hz, 3H); MS (ES+) m/z 204.2 (M+1).

Step 7. Preparation of (R)-1-(1-phenylethyl)piperidin-4-amine

[0789]

[0790]

To a solution of (R)-1-(1-phenylethyl)piperidin-4-one (3.06 g, 15.1 mmol) in anhydrous ethanol (15 mL) was added sodium acetate (1.23 g, 15 mmol) and hydroxylamine hydrochloride (1.04 g, 15 mmol) and the reaction mixture was stirred at ambient temperature for 50 hours. The mixture was then diluted with dichloromethane (200 mL), and washed with water (50 mL). The aqueous layer was extracted with dichloromethane (50 mL), and the combined organic fractions were dried over anhydrous sodium sulfate, filtered, and the filtrate concentrated in vacuo. To the residue was then added anhydrous tetrahydrofuran (30 mL) lithium aluminum hydride (2.3 g, 60 mmol). The reaction mixture was then heated to reflux for 2 hours. After cooling to ambient temperature, the reaction mixture was diluted with diethyl ether (200 mL), and solid sodium sulfate decahydrate was added to it until bubbling ceased. The mixture was stirred for 2 h, filtered, and the filter cake was washed with diethyl ether (2×50 mL). The combined filtrate was concentrated in vacuo to afford the title compound as a yellow oil which was used without further purification (1.66 g, 54% yield):1H NMR (300 MHz, CDCl3) δ 7.39-7.29 (m, 5H), 5.42 (br s, 2H), 3.64-3.56 (m, 1H), 2.70-2.48 (m, 7H), 2.41-2.30 (m, 2H), 1.48-1.39 (m, 3H); MS (ES+) m/z 206.1 (M+1).

Step 8. Preparation of (R)-5-chloro-N-(6-fluoropyridin-2-yl)-N-(4-methoxybenzyl)-6-((1-(1-phenylethyl)piperidin-4-yl)amino)pyridine-3-sulfonamide

[0791]

[0792]

To a mixture of (R)-1-(1-phenylethyl)piperidin-4-amine (0.30 g, 1.47 mmol) and 5-chloro-6-fluoro-N-(6-fluoropyridin-2-yl)-N-(4-methoxybenzyl)pyridine-3-sulfonamide (0.63 g, 1.48 mmol) in anhydrous dimethyl sulfoxide (8 mL) was added N,N-diisopropylethylamine (0.51 mL, 2.93 mmol) and the reaction mixture was stirred at ambient temperature for 19 hours. After dilution with ethyl acetate (100 mL), the mixture was washed with saturated ammonium chloride (2×60 mL), brine (50 mL), dried over anhydrous sodium sulfate, and filtered. Concentration of the filtrate in vacuo and purification of the residue by column chromatography, eluting with a gradient of 0-65% of ethyl acetate (containing 20% of ethanol and 0.2% of ammonium hydroxide) in heptanes, afforded the title compound as a colorless foam (1.14 g, quantitative yield): MS (ES+) m/z 610.2 (M+1), 612.2 (M+1).

Step 9. Preparation of (R)—N-(6-fluoropyridin-2-yl)-N-(4-methoxybenzyl)-5-methyl-6-((1-(1-phenylethyl)piperidin-4-yl)amino)pyridine-3-sulfonamide

[0793]

[0794]

To a mixture of (R)-5-chloro-N-(6-fluoropyridin-2-yl)-N-(4-methoxybenzyl)-6-((1-(1-phenylethyl)piperidin-4-yl)amino)pyridine-3-sulfonamide (1.14 g, 1.81 mmol), methylboronic acid (0.45 g, 7.48 mmol), and potassium phosphate tribasic (1.99 g, 9.37 mmol) was added 1,4-dioxane (157 mL) and the mixture was degassed by sparging with nitrogen for 10 minutes. To the degassed solution was then added palladium(II) acetate (0.084 g, 0.37 mmol), and tricyclohexylphosphine tetrafluoroborate (0.275 g, 0.75 mmol). The resulting reaction mixture was heated to reflux for 2.5 hours. After cooling to ambient temperature, the reaction mixture was filtered and the filter cake rinsed with ethyl acetate (100 mL). Concentration of the combined filtrate in vacuo and purification of the residue by column chromatography, eluting with a gradient of 0-65% of ethyl acetate (containing 20% of ethanol and 0.2% of ammonium hydroxide) in heptane, afforded the title compound as a colorless foam (0.69 g, 64% yield):1H NMR (300 MHz, CDCl3) δ 8.29 (d, J=2.4 Hz, 1H), 7.69 (q, J=8.1 Hz, 1H), 7.39 (ddd, J=7.9, 2.0, 0.4 Hz, 1H), 7.35-7.24 (m, 8H), 6.80-6.75 (m, 2H), 6.66 (ddd, J=8.0, 3.0, 0.4 Hz, 1H), 4.93 (s, 2H), 4.49 (d, J=7.7 Hz, 1H), 4.04-3.99 (m, 1H), 3.76 (s, 3H), 3.50 (q, J=6.7 Hz, 1H), 3.03-2.98 (m, 1H), 2.84-2.78 (m, 1H), 2.25-1.96 (m, 7H), 1.62-1.46 (m, 2H), 1.42 (d, J=6.8 Hz, 3H); MS (ES+) m/z 590.3 (M+1).

Step 10. Preparation of (R)—N-(6-fluoropyridin-2-yl)-N-(4-methoxybenzyl)-5-methyl-6-(methyl(1-(1-phenylethyl)piperidin-4-yl)amino)pyridine-3-sulfonamide

[0795]

[0796]

To a mixture of (R)—N-(6-fluoropyridin-2-yl)-N-(4-methoxybenzyl)-5-methyl-6-((1-(1-phenylethyl)piperidin-4-yl)amino)pyridine-3-sulfonamide (0.78 g, 1.32 mmol) in anhydrous N,N-dimethylformamide (10 mL) was added sodium hydride (60% dispersion in mineral oil, 0.063 g, 1.58 mmol) at 0° C. The reaction mixture was stirred at 0° C. for 10 minutes and then heated to 45° C. for 45 minutes. The reaction mixture was then cooled to 0° C., and a 1 M solution of iodomethane in anhydrous N,N-dimethylformamide (1.25 mL, 1.25 mmol) was added to it. The reaction mixture was stirred at 0° C. for 1 hour. After dilution with ethyl acetate (65 mL), the mixture was washed with water (70 mL), saturated ammonium chloride (50 mL) and brine (50 mL). The organic phase was dried over anhydrous sodium sulfate and filtered. Concentration of the filtrate in vacuo and purification of the residue by column chromatography, eluting with a gradient of 0-50% of ethyl acetate (containing 20% of ethanol and 0.2% of ammonium hydroxide) in heptane, afforded the title compound as orange oil (0.34 g, 43% yield):1H NMR (300 MHz, CDCl3) δ 8.32 (d, J=2.5 Hz, 1H), 7.70 (q, J=8.1 Hz, 1H), 7.42-7.24 (m, 9H), 6.80-6.76 (m, 2H), 6.68 (dd, J=8.0, 3.0 Hz, 1H), 4.94 (s, 2H), 3.75 (s, 3H), 3.70-3.62 (m, 1H), 3.49 (q, J=6.7 Hz, 1H), 3.19-3.14 (m, 1H), 2.95-2.92 (m, 1H), 2.90 (s, 3H), 2.21 (s, 3H), 2.12-1.64 (m, 6H), 1.41 (d, J=6.8 Hz, 3H); MS (ES+) m/z 604.2 (M+1).

Step 11. Preparation of (R)—N-(6-fluoropyridin-2-yl)-5-methyl-6-(methyl(1-(1-phenylethyl)piperidin-4-yl)amino)pyridine-3-sulfonamide trifluoroacetic acid salt

[0797]

[0798]

To (R)—N-(6-fluoropyridin-2-yl)-N-(4-methoxybenzyl)-5-methyl-6-(methyl(1-(1-phenylethyl)piperidin-4-yl)amino)pyridine-3-sulfonamide (0.34 g, 0.56 mmol) was added trifluoroacetic acid (4 mL) and the reaction mixture was heated under reflux for 1.5 hours. After cooling to ambient temperature, methanol (15 mL) was added and the mixture was filtered. Concentration of the filtrate in vacuo and purification of the residue by preparative reverse phase HPLC, eluting with a gradient of acetonitrile in water containing 0.1% of trifluoroacetic acid, afforded the title compound as a colorless solid (0.23 g, 69% yield):1H NMR (300 MHz, DMSO-d6) δ 8.47 (d, J=2.5 Hz, 1H), 7.88-7.80 (m, 2H), 7.55-7.46 (m, 5H), 6.92 (dd, J=7.8, 2.1 Hz, 1H), 6.72 (dd, J=7.9, 2.4 Hz, 1H), 4.52-4.49 (m, 1H), 4.01-3.98 (m, 1H), 3.70-3.65 (m, 1H), 3.31-3.25 (m, 1H), 2.93-2.91 (m, 2H), 2.80 (s, 3H), 2.27 (s, 3H), 2.14-2.06 (m, 2H), 1.92-1.85 (m, 2H), 1.66 (d, J=6.9 Hz, 3H), NH and COOH not observed; MS (ES+) m/z 484.3 (M+1).

Example 13

Synthesis of (R)-4-methyl-5-(methyl(1-(1-phenylethyl)piperidin-4-yl)amino)-N-(thiazol-4-yl)pyridine-2-sulfonamide formic acid salt

[0799]

Step 1. Preparation of 5-amino-N-(4-methoxybenzyl)-4-methyl-N-(thiazol-4-yl)pyridine-2-sulfonamide

[0800]

[0801]

To a solution of 5-fluoro-N-(4-methoxybenzyl)-4-methyl-N-(thiazol-4-yl)pyridine-2-sulfonamide (0.58 g, 1.47 mmol) in anhydrous N,N-dimethylformamide (7.4 mL) was added sodium azide (0.143 g, 2.21 mmol) at ambient temperature. The solution was then heated to 40° C. for 12 hours. After cooling to ambient temperature, the reaction mixture was quenched by addition of water (50 mL). The aqueous layer was extracted with ethyl acetate (3×50 mL). The combined organic layers were washed with water (2×25 mL), brine (25 mL), and dried over anhydrous magnesium sulfate. Filtration and concentration of the filtrate gave a brown oil, MS (ES+) m/z 417.0 (M+1). The oil was dissolved in tetrahydrofuran (19 mL) and saturated ammonium chloride (6.4 mL) was added to it. The mixture was cooled to 0° C. using an ice bath and zinc powder (0.29 g, 4.4 mmol) was added to it. The reaction mixture was allowed to warm to ambient temperature, stirred for 4 h, and then filtered through a bed of celite. The filter pad was washed with ethyl acetate (2×50 mL). The layers of the combined filtrate were separated, and the aqueous layer was extracted with ethyl acetate (50 mL). The combined organic layers were washed with brine (50 mL), dried over anhydrous magnesium sulfate, and filtered. Concentration of the filtrate provided a brown oil which was used without further purification (0.28 g, 49% yield over 2 steps): MS (ES+) m/z 391.0 (M+1).

Step 2. Preparation of (R)-4-methyl-5-(methyl(1-(1-phenylethyl)piperidin-4-yl)amino)-N-(thiazol-4-yl)pyridine-2-sulfonamide formic acid salt

[0802]

[0803]

To a mixture of 5-amino-N-(4-methoxybenzyl)-4-methyl-N-(thiazol-4-yl)pyridine-2-sulfonamide (0.28 g, 0.72 mmol) and (R)-1-(1-phenylethyl)piperidin-4-one (0.15 g, 0.75 mmol) was added trifluoroacetic acid (1.2 mL) and the mixture was stirred for 5 minutes. To it was then added sodium triacetoxyborohydride (0.21 g, 1.0 mmol) and the reaction mixture was stirred for 30 minutes. The process of adding (R)-1-(1-phenylethyl)piperidin-4-one (0.15 g, 0.75 mmol) and sodium triacetoxyborohydride (0.21 g, 1.0 mmol) was repeated 2 more times. The reaction mixture was diluted with trifluoroacetic acid (1 mL) and paraformaldehyde (0.43 g, 14.4 mmol) was added to it. After 5 minutes, sodium triacetoxyborohydride (0.21 g, 1.01 mmol) was added and the reaction mixture was stirred for 30 minutes. The reaction mixture was diluted with trifluoroacetic acid (4 mL), heated to 40° C. for 2 h, and then concentrated under reduced pressure. The obtained residue was purified by column chromatography, eluting with a gradient of 10 to 100% of ethyl acetate (containing 20% of ethanol and 1% of ammonium hydroxide) in heptanes, followed by preparative reverse-phase HPLC, eluting with a gradient of 10 to 60% of acetonitrile in water containing 0.5% of formic acid, to afford the title compound as a colorless solid (0.094 g, 28% yield):1H NMR (600 MHz, DMSO-d6) δ 8.85 (d, J=2.2 Hz, 1H), 8.24 (s, 1H), 8.15 (s, 0.3H), 7.75 (s, 1H), 7.34-7.19 (m, 5H), 6.96 (dd, J=2.5, 1.2 Hz, 1H), 3.50-3.42 (m, 1H), 3.02-2.85 (m, 2H), 2.80-2.74 (m, 1H), 2.73-2.69 (m, 3H), 2.26 (d, J=5.3 Hz, 3H), 2.00-1.49 (m, 6H), 1.29-1.25 (m, 3H), NH and COOH not observed; MS (ES+) m/z 472.3 (M+1).

Example 14

Synthesis of (R)-4-methyl-5-((1-(1-phenylethyl)piperidin-4-yl)oxy)-N-(thiazol-4-yl)pyridine-2-sulfonamide trifluoroacetic acid salt

[0804]

Step 1. Preparation of (R)-1-(1-phenylethyl)piperidin-4-ol

[0805]

[0806]

To a solution of (R)-1-(1-phenylethyl)piperidin-4-one (0.55 g, 2.71 mmol) in ethanol (27 mL) was added sodium borohydride (0.21 g, 5.42 mmol) and the reaction mixture was stirred at ambient temperature for 17 hours. The reaction mixture was concentrated in vacuo, saturated ammonium chloride (5 mL) was slowly added to the residue, and the obtained mixture was extracted with ethyl acetate (3×5 mL). The combined organic phase was washed with brine (5 mL), dried over anhydrous magnesium sulfate, and filtered. Concentration of the filtrate in vacuo provided the title compound as a yellow oil (0.51 g, 91% yield):1H NMR (300 MHz, CDCl3) δ 7.37-7.20 (m, 5H), 3.73-3.57 (m, 1H), 3.47 (q, J=6.8 Hz, 1H), 2.94-2.82 (m, 1H), 2.79-2.67 (m, 1H), 2.24-2.07 (m, 2H), 1.99-1.82 (m, 2H), 1.70-1.47 (m, 2H), 1.41 (d, J=6.8 Hz, 3H), OH not observed; MS (ES+) m/z 206.3 (M+1).

Step 2. Preparation of (R)-4-methyl-5-((1-(1-phenylethyl)piperidin-4-yl)oxy)-N-(thiazol-4-yl)pyridine-2-sulfonamide trifluoroacetic acid salt

[0807]

[0808]

To a solution of tert-butyl ((5-fluoro-4-methylpyridin-2-yl)sulfonyl)(thiazol-4-yl)carbamate (0.41 g, 0.82 mmol) and (R)-1-(1-phenylethyl)piperidin-4-ol (0.50 g, 2.5 mmol) in anhydrous N,N-dimethylformamide (5.5 mL) was added solid sodium hydride (0.164 g, 4.1 mmol, 60% dispersion in mineral oil) at 0° C. The reaction mixture was allowed to warm to ambient temperature, stirred for 5 h, and then quenched by addition of 0.2 M hydrochloric acid (100 mL) followed by brine (25 mL). The aqueous layer was extracted with ethyl acetate (3×50 mL) and tetrahydrofuran (50 mL). The combined organic layer was dried over anhydrous magnesium sulfate and filtered. Concentration of the filtrate under reduced pressure and purification of the residue by column chromatography, eluting with a gradient of 10 to 80% of ethyl acetate (containing 20% ethanol and 1% ammonium hydroxide) in heptanes, followed by preparative reverse-phase HPLC, eluting with a gradient of 10 to 60% of acetonitrile in water containing 0.1% of trifluoroacetic acid, afforded the title compound as a colorless solid (0.038 g, 10% yield):1H NMR (300 MHz, DMSO-d6) δ 8.84 (d, J=2.2 Hz, 1H), 8.34 (s, 1H), 7.82 (d, J=0.4 Hz, 1H), 7.35-7.22 (m, 5H), 6.95 (d, J=2.2 Hz, 1H), 4.70-4.65 (m, 1H), 3.55-3.53 (m, 1H), 2.67-2.56 (m, 2H), 2.33-2.24 (m, 2H), 2.16 (d, J=0.4 Hz, 3H), 1.97-1.89 (m, 2H), 1.71-1.63 (m, 2H), 1.32 (d, J=6.8 Hz, 3H), NH and COOH not observed; MS (ES+) m/z 459.1 (M+1).

Example 15

Synthesis of 5-((1-benzylpiperidin-4-yl)(methyl)amino)-4-methyl-N-(thiazol-4-yl)pyridine-2-sulfonamide trifluoroacetic acid salt

[0809]

[0810]

To a mixture of 5-amino-N-(4-methoxybenzyl)-4-methyl-N-(thiazol-4-yl)pyridine-2-sulfonamide (0.36 g, 0.92 mmol) and 1-phenylpiperidin-4-one (0.52 g, 2.8 mmol) was added trifluoroacetic acid (3.5 mL) and the reaction mixture was stirred at ambient temperature for five minutes. To it was added sodium triacetoxyborohydride (0.66 g, 3.1 mmol) and stirring was continued for 30 minutes. The reaction mixture was then diluted with trifluoroacetic acid (1 mL) and paraformaldehyde (0.43 g, 14.4 mmol) was added to it. After five minutes, sodium triacetoxyborohydride (0.21 g, 1.01 mmol) was added. The reaction mixture was stirred for 30 minutes, and then diluted with trifluoroacetic acid (3 mL). The reaction mixture was stirred at ambient temperature for 18 hours and subsequently concentrated in vacuo. The residue was purified by column chromatography, eluting with a gradient of 10 to 100% of ethyl acetate (containing 20% ethanol and 1% ammonium hydroxide) in heptanes, followed by preparative reverse-phase HPLC, eluting with a gradient of 10 to 60% of acetonitrile in water containing 0.1% of trifluoroacetic acid, to afford the title compound as a colorless solid (0.057 g, 11% yield):1H NMR (300 MHz, DMSO-d6) δ 11.18 (d, J=3.1 Hz, 1H), 8.86 (d, J=2.2 Hz, 1H), 8.32 (s, 1H), 7.84-7.81 (m, 1H), 7.48 (d, J=6.5 Hz, 6H), 6.99 (dd, J=5.3, 2.2 Hz, 1H), 4.27-4.25 (m, 2H), 3.42-3.35 (m, 2H), 3.29 (dd, J=0.9, 0.5 Hz, 1H), 3.06-2.98 (m, 2H), 2.71 (s, 3H), 2.32-2.30 (m, 3H), 2.01-1.79 (m, 4H); MS (ES+) m/z 458.1 (M+1).

Example 16

Synthesis of 5-((1-benzylpiperidin-4-yl)(methyl)amino)-3-fluoro-N-(6-fluoropyridin-2-yl)-4-methylpyridine-2-sulfonamide trifluoroacetic acid salt

[0811]

Step 1. Preparation of 2-(benzylthio)-3,5-difluoropyridine

[0812]

[0813]

To a degassed solution of 2-bromo-3,5-difluoropyridine (1.0 g, 5.15 mmol) in anhydrous 1,4-dioxane (21 mL) was added N,N-diisopropylethylamine (1.9 g, 15.45 mmol), benzylthiol (0.64 g, 5.15 mmol), tris(benzylideneacetone)dipalladium(0) (0.12 g, 0.13 mmol), and 4,5-bis(diphenylphosphino)-9,9-dimethylxanthene (0.15 g, 0.26 mmol) and the reaction mixture was heated to 100° C. for 18 hours. After cooling to ambient temperature, the reaction mixture was filtered through a bed of celite and the filtrate concentrated under reduced pressure. Purification of the residue by column chromatography, eluting with a gradient of 5 to 70% of ethyl acetate in heptane, afforded the title compound as a yellow oil (0.68 g, 55% yield):1H NMR (300 MHz, CDCl3) δ 8.27 (d, J=2.3 Hz, 1H), 7.44-7.40 (m, 2H), 7.35-7.24 (m, 3H), 7.16-7.10 (m, 1H), 4.46 (s, 2H).

Step 2. Preparation of 2-(benzylthio)-3,5-difluoro-4-methylpyridine

[0814]

[0815]

To a solution of anhydrous N,N-diisopropylamine (1.27 g, 12.6 mmol) in anhydrous tetrahydrofuran (36 mL) was added a 1.6 M solution of n-butyl lithium in hexanes (7.9 mL, 12.6 mmol) at 0° C. The reaction mixture was stirred at 0° C. for 30 minutes, cooled to −78° C., and then added slowly to a solution of 2-(benzylthio)-3,5-difluoropyridine (2.0 g, 8.4 mmol) in anhydrous tetrahydrofuran (10 mL) at −78° C. The reaction mixture was stirred at −78° C. for 30 minutes, and iodomethane (1.252 g, 8.82 mmol) was added to it. The reaction mixture was stirred at −78° C. for 30 minutes, and then allowed to warm to ambient temperature over the course of 3 hours. The reaction mixture was subsequently poured into a 1:1 mixture of saturated ammonium chloride and brine (50 mL). The layers were separated and the aqueous layer was extracted with ethyl acetate (2×50 mL). The combined organic layers were dried over anhydrous magnesium sulfate, filtered, and the filtrate concentrated in vacuo. Purification of the residue by column chromatography, eluting with a gradient of 0 to 10% of ethyl acetate in heptane, afforded the title compound as a yellow oil (2.08 g, 98% yield):1H NMR (300 MHz, CDCl3) δ 8.18 (d, J=2.7 Hz, 1H), 7.47-7.40 (m, 2H), 7.34-7.23 (m, 3H), 4.45 (s, 2H), 2.25 (t, J=1.7 Hz, 3H); MS (ES+) m/z 252.0 (M+1).

Step 3. Preparation of 3,5-difluoro-N-(6-fluoropyridin-2-yl)-4-methylpyridine-2-sulfonamide

[0816]

[0817]

To a mixture of 2-(benzylthio)-3,5-difluoro-4-methylpyridine (3.83 g, 15.2 mmol) in acetonitrile (76 mL), water (4.2 mL), and acetic acid (5.4 mL) was added 1,3-dichloro-5,5-dimethylimidazolidine-2,4-dione (5.69 g, 28.9 mmol) at 0° C. The reaction mixture was stirred for 20 minutes at 0° C. and then diluted with ethyl acetate (250 mL). The organic layer was washed with saturated sodium bicarbonate (4×50 mL), water (50 mL), brine (50 mL), and dried over anhydrous magnesium sulfate. Filtration and concentration of the filtrate under reduced pressure provided a yellow oil, which was dissolved in dichloromethane (25 mL). The mixture was cooled to 0° C. and added dropwise to a mixture of 6-fluoropyridin-2-amine (1.87 g, 16.72 mmol) in pyridine (25 mL) at 0° C. The reaction mixture was stirred for at ambient temperature for 2 hours and then diluted with ethyl acetate (250 mL). The mixture was washed with 1 M hydrochloric acid (4×75 mL), water (75 mL), brine (50 mL), and dried over anhydrous magnesium sulfate. Filtration and concentration of the filtrate under reduced pressure provided a residue, which was purified by column chromatography, eluting with a gradient of 10 to 100% of ethyl acetate (containing 10% ethanol and 10% triethylamine) in heptane, to afford the title compound as a yellow solid (2.91 g, 63% yield):1H NMR (300 MHz, CDCl3) δ 8.26 (s, 1H), 7.40 (dt, J=9.2, 7.9 Hz, 1H), 6.99 (ddd, J=8.0, 2.8, 0.5 Hz, 1H), 6.21 (ddd, J=7.8, 2.8, 0.5 Hz, 1H), 2.27 (t, J=1.7 Hz, 3H), NH not observed; MS (ES+) m/z 304.0 (M+1).

Step 4. Preparation of 5-((1-benzylpiperidin-4-yl)amino)-3-fluoro-N-(6-fluoropyridin-2-yl)-4-methylpyridine-2-sulfonamide

[0818]

[0819]

A microwave vial was charged with 3,5-difluoro-N-(6-fluoropyridin-2-yl)-4-methylpyridine-2-sulfonamide (0.50 g, 1.65 mmol), anhydrous dimethylsulfoxide (5.5 mL), 1-benzyl-4-aminopiperidine (0.41 g, 2.15 mmol), and N,N-diisopropylethylamine (0.66 g, 4.95 mmol). The vial was capped and heated to 130° C. for 6 hours. After cooling to ambient temperature, the mixture was diluted with ethyl acetate (150 mL). The mixture was washed with saturated ammonium chloride (4×50 mL), water (2×50 mL), brine (50 mL), and dried over anhydrous magnesium sulfate. Filtration and concentration of the filtrate under reduced pressure provided a residue, which was purified by column chromatography, eluting with a gradient of 10 to 100% of ethyl acetate (containing 10% of 2-propanol and 10% of triethylamine) in heptane, to afford the title compound as a yellow oil (0.23 g, 29% yield): MS (ES+) m/z 474.2 (M+1).

Step 5. Preparation of 5-((1-benzylpiperidin-4-yl)(methyl)amino)-3-fluoro-N-(6-fluoropyridin-2-yl)-4-methylpyridine-2-sulfonamide trifluoroacetic acid salt

[0820]

[0821]

To a mixture of 5-((1-benzylpiperidin-4-yl)amino)-3-fluoro-N-(6-fluoropyridin-2-yl)-4-methylpyridine-2-sulfonamide (0.40 g, 0.85 mmol) in trifluoroacetic acid (2 mL) was added paraformaldehyde (0.029 g, 0.97 mmol). The reaction mixture was stirred for five minutes at ambient temperature, and sodium triacetoxyborohydride (0.21 g, 0.97 mmol) was added to the mixture in five portions waiting five minutes between each addition. The reaction mixture was diluted with ethyl acetate (150 mL) and washed with concentrated sodium bicarbonate (5×200 mL), water (50 mL), and brine (50 mL). The organic phase was dried over anhydrous magnesium sulfate and filtered. Concentration of the filtrate under reduced pressure and purification of the residue by preparative reverse-phase HPLC, eluting with a gradient of 10 to 60% of acetonitrile in water containing 0.1% of trifluoroacetic acid, afforded the title compound as a colorless solid (0.10 g, 42% yield):1H NMR (300 MHz, DMSO-d6) δ 11.74-11.68 (m, 1H), 9.72-9.63 (m, 1H), 8.14 (d, J=3.5 Hz, 1H), 7.85 (q, J=8.3 Hz, 1H), 7.54-7.46 (m, 5H), 6.96 (dd, J=8.0, 2.0 Hz, 1H), 6.74 (dd, J=8.0, 2.4 Hz, 1H), 4.31-4.24 (m, 2H), 3.42-3.32 (m, 3H), 3.09-2.93 (m, 2H), 2.76-2.70 (m, 3H), 2.24-2.19 (m, 3H), 2.11-1.95 (m, 2H), 1.87-1.74 (m, 2H); MS (ES+) m/z 488.1 (M+1).

Example 17

Synthesis of 4-((1-benzylpiperidin-4-yl)(methyl)amino)-N-(6-fluoropyridin-2-yl)-5-methylthiophene-2-sulfonamide trifluoroacetic acid salt

[0822]

Step 1. Preparation of N-(6-fluoropyridin-2-yl)-5-methyl-4-nitrothiophene-2-sulfonamide

[0823]

[0824]

To a solution of 5-methyl-4-nitrothiophene-2-sulfonyl chloride (0.500 g, 2.07 mmol) and 2-amino 6-fluoropyridine (0.256 g, 2.28 mmol) in dichloromethane (11 mL) was added pyridine (0.25 mL, 3.1 mmol). The reaction mixture was stirred at ambient temperature for 72 hours. The reaction mixture was diluted with dichloromethane (10 mL) and water (10 mL). The layers were separated and the aqueous phase was extracted with dichloromethane (3×10 mL). The combined organic phases were washed with a solution of 5% hydrochloric acid (3×10 mL) and brine (10 mL), dried over anhydrous magnesium sulfate, and filtered. Concentration of the filtrate in vacuo and purification of the residue by column chromatography, eluting with a gradient of 10 to 80% of ethyl acetate in hexanes, afforded the title compound as a yellow oil (0.465 g, 71% yield): MS (ES−) m/z 316.0 (M−1).

Step 2. Preparation of 4-amino-N-(6-fluoropyridin-2-yl)-5-methylthiophene-2-sulfonamide

[0825]

[0826]

To a solution of N-(6-fluoropyridin-2-yl)-5-methyl-4-nitrothiophene-2-sulfonamide (0.465 g, 1.47 mmol) in acetic acid (5 mL) was added iron powder (0.412 g, 7.35 mmol) and the reaction mixture was stirred at 60° C. for 1 hour. The acetic acid was removed in vacuo. Saturated sodium bicarbonate was added until pH 8 was reached and the mixture extracted with ethyl acetate (3×10 mL). The combined organic phases were washed with brine (10 mL), dried over anhydrous magnesium sulfate, and filtered. Concentration of the filtrate in vacuo and purification of the residue by column chromatography, eluting with a gradient of 10 to 80% of ethyl acetate in hexanes, afforded the title compound as a colorless oil (0.260 g, 62% yield):1H NMR (300 MHz, CDCl3) δ 7.77 (q, J=8.0 Hz, 1H), 7.31-7.29 (m, 1H), 7.17 (s, 1H), 6.65 (ddd, J=8.0, 2.5, 0.5 Hz, 1H), 3.42 (br s, 2H), 2.23 (s, 3H), one NH not observed; MS (ES−) m/z 286.0 (M−1).

Step 3. Preparation of 4-((1-benzylpiperidin-4-yl)(methyl)amino)-N-(6-fluoropyridin-2-yl)-5-methylthiophene-2-sulfonamide trifluoroacetic acid salt

[0827]

[0828]

To a solution of 4-amino-N-(6-fluoropyridin-2-yl)-5-methylthiophene-2-sulfonamide (0.260 g, 0.905 mmol) in trifluoroacetic acid (4.5 mL) was added 1-benzyl-4-piperidinone (0.339 g, 1.81 mmol) and the reaction mixture was stirred at ambient temperature for 2 hours. To the solution was added sodium triacetoxyborohydride (0.573 g, 2.72 mmol) and the reaction mixture was stirred at ambient temperature for 1 hour. Paraformaldehyde (0.136 g, 4.53 mmol) and sodium triacetoxyborohydride (0.573 g, 2.72) were added and the mixture was stirred for 1 hour. The mixture concentrated in vacuo. After dilution with ethyl acetate (10 mL) the solution was washed with 3.5 N sodium hydroxide (˜10 mL) until pH 10. The layers aqueous phase was extracted with ethyl acetate (3×10 mL). The combined organic phases were washed with brine (10 mL), dried over anhydrous magnesium sulfate, and filtered. Concentration of the filtrate in vacuo and purification of the residue by preparative reverse phase HPLC, using acetonitrile in water containing 0.1% of trifluoroacetic acid as eluent, afforded the title compound as a colorless solid (0.109 g, 25% yield):1H NMR (300 MHz, DMSO-d6) δ 11.47 (br s, 1H), 9.68 (br s, 0.2H), 9.41 (br s, 0.8H), 7.91-7.83 (dd, J=16.8, 7.8 Hz, 1H), 7.75 (s, 0.25H), 7.70 (s, 0.75H), 7.52-7.46 (m, 5H), 6.94 (dd, J=7.9, 2.1 Hz, 1H), 6.76-6.72 (m, 1H), 4.35-4.32 (m, 0.5H), 4.26-4.23 (m, 1.5H), 3.38-3.29 (m, 2H), 3.20-3.07 (m, 1H), 3.02-2.86 (m, 2H), 2.53 (s, 2H), 2.44 (s, 1H), 2.29 (s, 2.2H), 2.23 (s, 0.8H), 1.86-1.75 (m, 2H), 1.65-1.53 (m, 2H); MS (ES+) m/z 475.1 (M+1).

Example 18

Synthesis of (S)-5-((1-benzylpyrrolidin-3-yl)(methyl)amino)-N-(6-fluoropyridin-2-yl)-4-methylpyridine-2-sulfonamide trifluoroacetic acid salt

[0829]

Step 1. Preparation of N-(2,4-dimethoxybenzyl)-6-fluoropyridin-2-amine

[0830]

[0831]

To a mixture of (2,4-dimethoxyphenyl)methanamine (117.5 mL, 782.0 mmol) and N,N-diisopropylethylamine (147.6 mL, 847.2 mmol) in anhydrous dimethyl sulfoxide (500 mL) was added 2,6-difluoropyridine (75.0 g, 651.7 mmol). The resulting mixture was heated to 100° C. for 5 hours and then allowed to cool to ambient temperature. The mixture was diluted with ethyl acetate (600 mL), washed with water (1000 mL), saturated ammonium chloride (2×200 mL), brine (100 mL), and dried over anhydrous sodium sulfate. Filtration and concentration of the filtrate in vacuo provided a residue, which was triturated in methanol (250 mL) to afford the title compound as a colorless solid (140.0 g, 82% yield):1H NMR (300 MHz, CDCl3) δ 7.44 (q, J=8.2 Hz, 1H), 7.22 (d, J=8.2 Hz, 1H), 6.49 (d, J=2.3 Hz, 1H), 6.44 (dd, J=8.2, 2.4 Hz, 1H), 6.21 (dd, J=8.0, 2.4 Hz, 1H), 6.12 (dd, J=7.7, 2.3 Hz, 1H), 5.17-5.07 (m, 1H), 4.40 (d, J=6.0 Hz, 2H), 3.84 (s, 3H), 3.81 (s, 3H); MS (ES+) m/z 263.2 (M+1).

Step 2. Preparation of N-(2,4-dimethoxybenzyl)-5-fluoro-N-(6-fluoropyridin-2-yl)-4-methylpyridine-2-sulfonamide

[0832]

[0833]

To a solution of N-(2,4-dimethoxybenzyl)-6-fluoropyridin-2-amine (1.00 g, 3.82 mmol) in anhydrous tetrahydrofuran (40 mL) was added a 1 M solution of lithium bis(trimethylsilyl)amide in tetrahydrofuran (4.2 mL, 4.2 mmol) at −78° C. and the reaction mixture was stirred at −78° C. for 1 hour. To it was then added a solution of 5-fluoro-4-methylpyridine-2-sulfonyl chloride (0.789 g, 3.82 mmol) in anhydrous tetrahydrofuran (10 mL). The reaction mixture allowed to warm to ambient temperature, and stirred for 4 hours. After addition of saturated aqueous ammonium chloride (20 mL), the mixture was extracted with ethyl acetate (3×20 mL). The combined organic layers were washed with brine (10 mL), dried over anhydrous sodium sulfate, and filtered. Concentration of the filtrate in vacuo and purification of the residue by column chromatography, eluting with a gradient of 5 to 60% of ethyl acetate in hexanes, afforded the title compound as a colorless oil (2.40 g, 72% yield):1H NMR (300 MHz, CDCl3) δ 8.37 (s, 1H), 7.75-7.68 (m, 2H), 7.46 (ddd, J=7.9, 2.0, 0.5 Hz, 1H), 7.29-7.26 (m, 1H), 6.67 (ddd, J=8.0, 3.0, 0.5 Hz, 1H), 6.39 (dd, J=8.4, 2.4 Hz, 1H), 6.28 (d, J=2.3 Hz, 1H), 5.16 (s, 2H), 3.77 (s, 3H), 3.61 (s, 3H), 2.35 (d, J=1.4 Hz, 3H); MS (ES+) m/z 436.2 (M+1).

Step 2. Preparation of (S)-5-((1-benzylpyrrolidin-3-yl)amino)-N-(2,4-dimethoxybenzyl)-N-(6-fluoropyridin-2-yl)-4-methylpyridine-2-sulfonamide

[0834]

[0835]

To a mixture of N-(2,4-dimethoxybenzyl)-5-fluoro-N-(6-fluoropyridin-2-yl)-4-methylpyridine-2-sulfonamide (1.02 g, 2.34 mmol) in anhydrous dimethyl sulfoxide (12 mL) was added (S)-1-benzylpyrrolidin-3-amine (0.455 g, 2.57 mmol) and N,N-diisopropylethylamine (1.22 mL, 7.02 mmol). The reaction mixture was heated to 90° C. for 24 hours. After cooling to ambient temperature, the reaction mixture was diluted with water (10 mL) and extracted with ethyl acetate (3×15 mL). The combined organic phases were dried over anhydrous magnesium sulfate and filtered. Concentration of the filtrate under reduced pressure and purification of the residue by column chromatography, eluting with a gradient of 10-80% of ethyl acetate (containing 20% of ethanol and 0.2% of ammonium hydroxide) in heptane, provided the title compound as a colorless oil (0.375 g, 27% yield): MS (ES+) m/z 592.6 (M+1).

Step 3. Preparation of (S)-5-((1-benzylpyrrolidin-3-yl)(methyl)amino)-N-(6-fluoropyridin-2-yl)-4-methylpyridine-2-sulfonamide trifluoroacetic acid salt

[0836]

[0837]

To a solution of (S)-5-((1-benzylpyrrolidin-3-yl)amino)-N-(2,4-dimethoxybenzyl)-N-(6-fluoropyridin-2-yl)-4-methylpyridine-2-sulfonamide (0.375 g, 0.630 mmol) in trifluoroacetic acid (1 mL) was added paraformaldehyde (0.095 g, 3.15 mmol) and then sodium triacetoxyborohydride (0.186 g, 0.88 mmol). The mixture was stirred at ambient temperature for 1 hour. Additional paraformaldehyde (95 mg, 3.15 mmol) and sodium triacetoxyborohydride (0.800 g, 3.79 mmol) were added and the reaction mixture was stirred at ambient temperature for 18 hours. The reaction mixture was diluted with water (5 mL) and extracted with ethyl acetate (3×5 mL). The combined organic phases were washed with brine (5 mL), dried over anhydrous magnesium sulfate and filtered. Concentration of the filtrate under reduced pressure and purification of the residue by column chromatography, eluting with a gradient of 10-100% of ethyl acetate (containing 20% of ethanol and 0.2% of ammonium hydroxide) in heptane, provided the title compound as a colorless solid (0.149 g, 52% yield):1H NMR (300 MHz, DMSO-d6) δ 11.43 (br s, 1H), 10.60 (br s, 1H), 8.31 (s, 1H), 7.95 (s, 1H), 7.85 (q, J=8.2 Hz, 1H), 7.51-7.50 (m, 2H), 7.46-7.44 (m, 3H), 7.02 (dd, J=8.0, 1.9 Hz, 1H), 6.72 (dd, J=8.0, 2.3 Hz, 1H), 4.36-4.31 (m, 2H), 4.19-4.16 (m, 1H), 3.45-3.30 (m, 4H), 2.74-2.69 (m, 3H), 2.37 (s, 3H), 2.18-2.02 (m, 2H);19F NMR (282 MHz, DMSO-d6) δ −69.2 (s, 1F), −73.5 (s, 3F); MS (ES+) m/z 456.2 (M+1).

Example 19

Synthesis of 5-((1-(2-fluorobenzyl)piperidin-4-yl)(methyl)amino)-N-(6-fluoropyridin-2-yl)-4-methylpyridine-2-sulfonamide

[0838]

Step 1. Preparation of tert-butyl 4-((6-(N-(2,4-dimethoxybenzyl)-N-(6-fluoropyridin-2-yl)sulfamoyl)-4-methylpyridin-3-yl)amino)piperidine-1-carboxylate

[0839]

[0840]

To a mixture of N-(2,4-dimethoxybenzyl)-5-fluoro-N-(6-fluoropyridin-2-yl)-4-methylpyridine-2-sulfonamide (0.995 g, 2.28 mmol) in anhydrous dimethyl sulfoxide (11.4 mL) was added tert-butyl 4-aminopiperidine-1-carboxylate (0.502 g, 2.51 mmol) and N,N-diisopropylethylamine (1.31 mL, 7.53 mmol). The reaction mixture was heated to 90° C. for 72 hours and then to 110° C. for 18 hours. After cooling to ambient temperature, the reaction mixture was diluted with saturated aqueous ammonium chloride (10 mL) and extracted with ethyl acetate (3×15 mL). The combined organic phases were dried over anhydrous magnesium sulfate and filtered. Concentration of the filtrate under reduced pressure and purification of the residue by column chromatography, eluting with a gradient of 5-50% of ethyl acetate in heptane, provided the title compound as a colorless oil (0.411 g, 29% yield):1H NMR (300 MHz, CDCl3) δ 7.95 (s, 1H), 7.68 (q, J=8.1 Hz, 1H), 7.54-7.50 (m, 2H), 7.28 (t, J=4.2 Hz, 1H), 6.61 (dd, J=7.8, 2.9 Hz, 1H), 6.39-6.36 (m, 1H), 6.31 (d, J=2.3 Hz, 1H), 5.15 (s, 2H), 4.14-4.07 (m, 2H), 3.76 (s, 4H), 3.64-3.61 (m, 3H), 3.62-3.59 (m, 1H), 3.00-2.90 (m, 2H), 2.11 (s, 4H), 2.07-2.06 (m, 1H), 1.48 (d, J=7.1 Hz, 9H), 1.46-1.39 (m, 2H);19F NMR (282 MHz, CDCl3) δ −68.5; MS (ES+) m/z 616.3 (M+1).

Step 2. Preparation of tert-butyl 4-((6-(N-(2,4-dimethoxybenzyl)-N-(6-fluoropyridin-2-yl)sulfamoyl)-4-methylpyridin-3-yl)(methyl)amino)piperidine-1-carboxylate

[0841]

[0842]

Following the procedure as described for EXAMPLE 2, Step 6 and making non-critical variations as required to replace (tert-butyl (S)-3-((4-methyl-6-(N-(thiazol-4-yl)-N-((2-(trimethylsilyl)ethoxy)methyl)sulfamoyl)pyridin-3-yl)amino)pyrrolidine-1-carboxylate with tert-butyl 4-((6-(N-(2,4-dimethoxybenzyl)-N-(6-fluoropyridin-2-yl)sulfamoyl)-4-methylpyridin-3-yl)amino)piperidine-1-carboxylate, the title compound was obtained as a colorless solid (0.351 g, 84% yield): MS (ES+) m/z 630.2 (M+1).

Step 3. Preparation of N-(6-fluoropyridin-2-yl)-4-methyl-5-(methyl(piperidin-4-yl)amino)pyridine-2-sulfonamide trifluoroacetic acid salt

[0843]

[0844]

To a solution of tert-butyl 4-((6-(N-(2,4-dimethoxybenzyl)-N-(6-fluoropyridin-2-yl)sulfamoyl)-4-methylpyridin-3-yl)(methyl)amino)piperidine-1-carboxylate in dichloromethane (5 mL) was added trifluoroacetic acid (1 mL). The mixture was stirred at ambient temperature for 18 hours. The mixture was diluted with methanol (10 mL), filtered, and the filtrate was concentrated in vacuo to afford the title compound as a colorless oil (0.295 g, quantitative yield): MS (ES+) m/z 380.4 (M+1).

Step 4. Preparation of 5-((1-(2-fluorobenzyl)piperidin-4-yl)(methyl)amino)-N-(6-fluoropyridin-2-yl)-4-methylpyridine-2-sulfonamide

[0845]

[0846]

To a solution of N-(6-fluoropyridin-2-yl)-4-methyl-5-(methyl(piperidin-4-yl)amino)pyridine-2-sulfonamide trifluoroacetic acid salt (0.351 g, 0.561 mmol) in tetrahydrofuran (3 mL) was added 2-fluorobenzaldehyde (0.12 mL, 1.12 mmol) and sodium triacetoxyborohydride (0.236 g, 1.12 mmol). The mixture was stirred at ambient temperature for 18 hours and was then diluted with saturated aqueous ammonium chloride (10 mL) and extracted with ethyl acetate (3×15 mL). The combined organic phases were washed with brine (5 mL), dried over anhydrous magnesium sulfate, and filtered. Concentration of the filtrate under reduced pressure and purification of the residue by column chromatography, eluting with a gradient of 10-80% of ethyl acetate (containing 20% of ethanol and 0.2% of ammonium hydroxide) in heptane, provided the title compound as a colorless solid (0.137 g, 50% yield):1H NMR (300 MHz, DMSO-d6) δ 11.36 (br s, 1H), 8.23 (s, 1H), 7.87 (s, 1H), 7.80 (q, J=8.3 Hz, 1H), 7.42-7.36 (m, 1H), 7.35-7.27 (m, 1H), 7.19-7.12 (m, 2H), 7.02-6.98 (dd, J=7.8, 2.1 Hz, 1H), 6.67 (dd, J=7.9, 2.4 Hz, 1H), 3.51 (s, 2H), 3.35-3.32 (m, 1H), 3.02-2.93 (m, 1H), 2.87-2.80 (m, 1H), 2.71 (s, 3H), 2.32 (s, 3H), 2.08-1.98 (m, 2H), 1.81-1.68 (m, 2H), 1.59-1.52 (m, 2H);19F NMR (282 MHz, DMSO-d6) δ −69.3 (s, 1F), −118.1 (s, 1F); MS (ES+) m/z 486.3 (M+1).

Example 20

Synthesis of 5-((1-(2-fluorobenzyl)piperidin-4-yl)(methyl)amino)-N-(6-fluoropyridin-2-yl)-4-(trifluoromethyl)pyridine-2-sulfonamide trifluoroacetic acid salt

[0847]

Step 1. Preparation of N-(2,4-dimethoxybenzyl)-5-fluoro-N-(6-fluoropyridin-2-yl)-4-(trifluoromethyl)pyridine-2-sulfonamide

[0848]

[0849]

Following the procedure as described for EXAMPLE 18, Step 2 and making non-critical variations as required to replace 5-fluoro-4-methylpyridine-2-sulfonyl chloride with 5-fluoro-4-(trifluoromethyl)pyridine-2-sulfonyl chloride, the title compound was obtained as a beige solid (1.62 g, 42% yield):1H NMR (300 MHz, CDCl3) δ 8.66 (s, 1H), 8.10 (d, J=5.4 Hz, 1H), 7.73 (q, J=8.1 Hz, 1H), 7.39-7.35 (m, 1H), 7.24 (d, J=8.4 Hz, 1H), 6.70 (dd, J=7.9, 2.9 Hz, 1H), 6.38-6.35 (m, 1H), 6.24 (d, J=2.4 Hz, 1H), 5.14 (s, 2H), 3.75 (s, 3H), 3.57 (s, 3H); MS (ES−) m/z 486.2 (M+1).

Step 2. Preparation of tert-butyl 4-((6-(N-(2,4-dimethoxybenzyl)-N-(6-fluoropyridin-2-yl)sulfamoyl)-4-(trifluoromethyl)pyridin-3-yl)amino)piperidine-1-carboxylate

[0850]

[0851]

To a solution of tert-butyl 4-aminopiperidine-1-carboxylate (0.929 g, 3.32 mmol) in anhydrous dimethyl sulfoxide (17 mL) was added N-(2,4-dimethoxybenzyl)-5-fluoro-N-(6-fluoropyridin-2-yl)-4-(trifluoromethyl)pyridine-2-sulfonamide (1.62 g, 3.32 mmol) and N,N-diisopropylethylamine (2.4 mL). The reaction mixture was heated to 70° C. for 2 hours. After cooling to ambient temperature, the reaction mixture was diluted with ethyl acetate (20 mL) and washed with brine (3×20 mL), dried over anhydrous magnesium sulfate, and filtered. Concentration of the filtrate under reduced pressure provided the title compound as an orange oil (2.24 g, quantitative yield): MS (ES−) m/z 670.2 (M+1).

Step 3. Preparation of tert-butyl 4-((6-(N-(2,4-dimethoxybenzyl)-N-(6-fluoropyridin-2-yl)sulfamoyl)-4-(trifluoromethyl)pyridin-3-yl)(methyl)amino)piperidine-1-carboxylate

[0852]

[0853]

Following the procedure as described for EXAMPLE 2, Step 6 and making non-critical variations as required to replace (tert-butyl (S)-3-((4-methyl-6-(N-(thiazol-4-yl)-N-((2-(trimethylsilyl)ethoxy)methyl)sulfamoyl)pyridin-3-yl)amino)pyrrolidine-1-carboxylate with tert-butyl 4-((6-(N-(2,4-dimethoxybenzyl)-N-(6-fluoropyridin-2-yl)sulfamoyl)-4-(trifluoromethyl)pyridin-3-yl)amino)piperidine-1-carboxylate, the title compound was obtained as a yellow oil (2.16 g, 95% yield):1H NMR (300 MHz, CDCl3) δ 8.48 (s, 1H), 7.94 (s, 1H), 7.72 (q, J=8.1 Hz, 1H), 7.53-7.50 (m, 1H), 7.24 (d, J=8.4 Hz, 1H), 6.68 (dd, J=8.0, 3.0 Hz, 1H), 6.34 (dd, J=8.4, 2.4 Hz, 1H), 6.21 (d, J=2.3 Hz, 1H), 5.14 (s, 2H), 4.23-4.13 (m, 2H), 3.74 (s, 3H), 3.56 (s, 3H), 3.40-3.30 (m, 1H), 2.83 (s, 3H), 2.77-2.68 (m, 2H), 1.78-1.65 (m, 4H), 1.47 (s, 9H); MS (ES+) m/z 684.3 (M+1).

Step 4. Preparation of N-(6-fluoropyridin-2-yl)-5-(methyl(piperidin-4-yl)amino)-4-(trifluoromethyl)pyridine-2-sulfonamide trifluoroacetic acid salt

[0854]

[0855]

Following the procedure as described for EXAMPLE 19, Step 3 and making non-critical variations as required to replace (tert-butyl (S)-3-((4-methyl-6-(N-(thiazol-4-yl)-N-((2-(trimethylsilyl)ethoxy)methyl)sulfamoyl)pyridin-3-yl)amino)pyrrolidine-1-carboxylate with tert-butyl 4-((6-(N-(6-fluoropyridin-2-yl)sulfamoyl)-4-(trifluoromethyl)pyridin-3-yl)amino)piperidine-1-carboxylate, the title compound was obtained as an off-white solid (1.83 g, 92% yield): MS (ES+) m/z 434.1 (M+1).

Step 5. Preparation of 5-((1-(2-fluorobenzyl)piperidin-4-yl)(methyl)amino)-N-(6-fluoropyridin-2-yl)-4-(trifluoromethyl)pyridine-2-sulfonamide trifluoroacetic acid salt

[0856]

[0857]

To a solution of N-(6-fluoropyridin-2-yl)-5-(methyl(piperidin-4-yl)amino)-4-(trifluoromethyl)pyridine-2-sulfonamide trifluoroacetic acid salt (0.200 g, 0.366 mmol) in tetrahydrofuran (4 mL) was added 2-fluorobenzaldehyde (0.040 mL, 0.37 mmol) and sodium triacetoxyborohydride (0.154 g, 0.733 mmol) and the reaction mixture was stirred at ambient temperature for 18 hours. The reaction mixture was then diluted with saturated aqueous ammonium chloride (10 mL) and extracted with ethyl acetate (3×15 mL). The combined organic phases were washed with brine (5 mL), dried over anhydrous magnesium sulfate, and filtered. Concentration of the filtrate under reduced pressure and purification of the residue by preparative reverse phase HPLC, using acetonitrile in water containing 0.1% of trifluoroacetic acid as eluent, afforded the title compound as a colorless solid (0.115 g, 58% yield):1H NMR (300 MHz, DMSO-d6) δ 11.71 (br s, 1H), 9.71 (br s, 1H), 8.78 (s, 1H), 8.23 (s, 1H), 7.85 (dd, J=16.5, 8.4 Hz, 1H), 7.62-7.53 (m, 2H), 7.39-7.30 (m, 2H), 6.93 (dd, J=8.1, 2.1 Hz, 1H), 6.73 (dd, J=7.8, 2.7 Hz, 1H), 4.35-4.33 (m, 2H), 3.66-3.61 (m, 1H), 3.47-3.40 (m, 2H), 3.10-3.02 (m, 2H), 2.77 (s, 3H), 1.95-1.90 (m, 4H); MS (ES+) m/z 542.2 (M+1).

Example 21

Synthesis of 5-((1-benzylpiperidin-4-yl)(methyl)amino)-N-(6-fluoropyridin-2-yl)-4-(trifluoromethyl)pyridine-2-sulfonamide

[0858]

[0859]

Following the procedure as described for EXAMPLE 20, Step 4 and making non-critical variations as required to replace 2-fluorobenzaldehyde with benzaldehyde, and purifying by column chromatography, eluting with a gradient of 10-80% of ethyl acetate (containing 20% of ethanol and 0.2% of ammonium hydroxide) in heptane, the title compound was obtained as a colorless solid (0.035 g, 18% yield):1H NMR (300 MHz, DMSO-d6) δ 11.30 (br s, 1H), 8.68 (s, 1H), 8.17 (s, 1H), 7.76 (dd, J=16.5, 8.1 Hz, 1H), 7.37-7.25 (m, 5H), 6.86 (dd, J=7.9, 2.0 Hz, 1H), 6.59 (dd, J=8.1, 2.7 Hz, 1H), 3.57 (s, 2H), 3.39-3.30 (m, 3H), 2.93-2.88 (m, 2H), 2.80 (s, 3H), 2.16-2.07 (m, 2H), 1.77-1.66 (m, 2H); MS (ES+) m/z 524.2 (M+1).

Example 22

Synthesis of 5-((1-(3-fluorobenzyl)piperidin-4-yl)(methyl)amino)-N-(6-fluoropyridin-2-yl)-4-(trifluoromethyl)pyridine-2-sulfonamide trifluoroacetic acid salt

[0860]

[0861]

Following the procedure as described for EXAMPLE 20, Step 4 and making non-critical variations as required to replace 2-fluorobenzaldehyde with 3-fluorobenzaldehyde, the title compound was obtained as a colorless solid (0.076 g, 38% yield):1H NMR (300 MHz, DMSO-d6) δ 11.70 (br s, 1H), 9.61 (br s, 1H), 8.80 (s, 1H), 8.23 (s, 1H), 7.85 (q, J=8.2 Hz, 1H), 7.57-7.50 (m, 1H), 7.41-7.30 (m, 3H), 6.93 (dd, J=7.5, 1.8 Hz, 1H), 6.73 (dd, J=7.8, 2.4 Hz, 1H), 4.31-4.30 (m, 2H), 3.62 (m, 2H), 3.44-3.37 (m, 2H), 3.02-2.94 (m, 2H), 2.78 (s, 3H), 1.95-1.89 (m, 3H); MS (ES+) m/z 542.2 (M+1).

Example 23

Synthesis of 5-((1-benzylpiperidin-4-yl)(methyl)amino)-N-(6-fluoropyridin-2-yl)-4-methylthiazole-2-sulfonamide trifluoroacetic acid salt

[0862]

Step 1. Preparation of ethyl 4-methyl-2-thioxo-2,3-dihydrothiazole-5-carboxylate

[0863]

[0864]

To a mixture of ammonium carbamodithioate (13.66 g, 124.0 mmol) in ethanol (100 mL) was added ethyl 2-chloro-3-oxobutanoate (17.15 mL, 124.0 mmol). The mixture was heated under reflux for 18 hours. After cooling to ambient temperature, the mixture was filtered and the filtrate concentrated in vacuo. Purification of the residue by column chromatography, eluting with a gradient of 0 to 40% ethyl acetate in heptane, afforded the title compound as a colorless solid (5.27 g, 21% yield):1H NMR (400 MHz, CDCl3) δ 12.11 (s, 1H), 4.31 (q, J=7.1 Hz, 2H), 2.57 (s, 3H), 1.35 (t, J=7.1 Hz, 3H); MS (ES−) m/z 202.0 (M−1).

Step 2. Preparation of ethyl 2-(N-(6-fluoropyridin-2-yl)sulfamoyl)-4-methylthiazole-5-carboxylate

[0865]

[0866]

To a mixture of ethyl 5-methyl-2-thioxo-2,3-dihydrothiazole-4-carboxylate (1.50 g, 7.38 mmol) and 6 M hydrochloric acid (10 ml, 59 mmol) in dichloromethane was slowly added a solution of 10% aqueous sodium hypochlorite (33 mL, 44 mmol) at 0° C. After the addition was complete, the resulting mixture was stirred at 0° C. for an additional 30 minutes, and then washed with ice cold brine (50 mL). The organic layer was washed with ice cold saturated sodium bicarbonate (75 mL), ice cold brine (50 mL), dried over anhydrous sodium sulfate, and filtered. The filtrate was added to a solution of pyridine (20 mL) and 6-fluoropyridin-2-amine (1.65 g, 14.76 mmol) at 0° C. The resulting mixture was stirred at 0° C. for 1 h, and then at ambient temperature for 18 hours. The reaction mixture was concentrated in vacuo and the residue was dissolved in ethyl acetate (120 mL). The mixture was washed with 1 M hydrochloric acid (2×75 mL), brine (2×50 mL), dried over anhydrous sodium sulfate, filtered, and the filtrate was concentrated in vacuo. The residue was purified by column chromatography, eluting with a gradient of 0 to 55% of ethyl acetate (containing 20% of ethanol and 0.1% of ammonium hydroxide) in heptane, to afford the title compound as a red solid (0.36 g, 14% yield):1H NMR (400 MHz, CDCl3) δ 7.76 (q, J=8.0 Hz, 1H), 7.34-7.31 (m, 1H), 6.68-6.63 (m, 1H), 4.36 (q, J=7.1 Hz, 3H), 2.71 (s, 3H), 1.37 (t, J=7.1 Hz, 3H), NH proton not observed; MS (ES−) m/z 344.0 (M−1).

Step 3. Preparation of 2-(N-(6-fluoropyridin-2-yl)sulfamoyl)-4-methylthiazole-5-carboxylic acid

[0867]

[0868]

To a mixture of ethyl 2-(N-(6-fluoropyridin-2-yl)sulfamoyl)-4-methylthiazole-5-carboxylate (6.91 g, 20.0 mmol) in tetrahydrofuran (40 mL), methanol (20 mL), and water (20 mL) was added sodium hydroxide (3.20 g, 80.0 mmol). The resulting mixture was stirred at ambient temperature for 2.5 hours and then acidified to pH 2 with 3 M hydrochloric acid. The mixture was diluted with water (60 mL) and extracted with ethyl acetate (125 mL). The organic layer was washed with 1 M hydrochloric acid (50 mL), brine (2×50 mL), dried over anhydrous sodium sulfate, and filtered. The filtrate was concentrated in vacuo and the residue was purified by column chromatography, eluting with a gradient of 0 to 60% ethyl acetate containing 0.2% of formic acid in heptane, to afford the title compound as a light yellow solid (2.04 g, 32% yield):1H NMR (400 MHz, DMSO-d6) δ 7.94 (q, J=8.2 Hz, 1H), 7.00 (dd, J=7.9, 2.0 Hz, 1H), 6.84 (dd, J=8.0, 2.4 Hz, 1H), 2.63 (s, 3H), NH and COOH not observed; MS (ES−) m/z 316.0 (M−1).

Step 4. Preparation of tert-butyl (2-(N-(6-fluoropyridin-2-yl)sulfamoyl)-4-methylthiazol-5-yl)carbamate

[0869]

[0870]

To a mixture of 2-(N-(6-fluoropyridin-2-yl)sulfamoyl)-4-methylthiazole-5-carboxylic acid (2.00 g, 6.30 mmol) and triethylamine (2.63 mL, 18.90 mmol) in tert-butanol (40 mL) and tetrahydrofuran (5 mL) was added diphenylphosphoryl azide (1.49 mL, 6.93 mmol). The resulting mixture was heated under reflux for 2 hours. After cooling to ambient temperature, the mixture was diluted with ethyl acetate (150 mL) and washed with saturated ammonium chloride (2×75 mL) and brine (2×50 mL). The organic phase was dried over anhydrous sodium sulfate, and filtered. The filtrate was concentrated in vacuo and the residue was purified by column chromatography, eluting with a gradient of 0 to 90% ethyl acetate (containing 0.2% of formic acid) in heptane, to afford the title compound as a light yellow solid (0.43 g, 18% yield):1H NMR (400 MHz, DMSO-d6) δ 11.85 (s, 1H), 10.65 (s, 1H), 7.91 (q, J=8.3 Hz, 1H), 7.02 (dd, J=7.9, 2.1 Hz, 1H), 6.79 (dd, J=8.0, 2.5 Hz, 1H), 2.31 (s, 3H), 1.50 (s, 9H); MS (ES+) m/z 389.0 (M+1).

Step 5. Preparation of 5-((1-benzylpiperidin-4-yl)(methyl)amino)-N-(6-fluoropyridin-2-yl)-4-methylthiazole-2-sulfonamide trifluoroacetic acid salt

[0871]

[0872]

To a mixture of tert-butyl (2-(N-(6-fluoropyridin-2-yl)sulfamoyl)-4-methylthiazol-5-yl)carbamate (0.43 g, 1.11 mmol) in 1,2-dichloroethane (4 mL) and trifluoroacetic acid (8 mL) was added sodium triacetoxyborohydride (1.88 g, 8.88 mmol) at 0° C. The mixture was stirred at 0° C. for 10 minutes and then 1-benzylpiperidin-4-one (0.42 g, 2.22 mmol) was added to it. The reaction mixture was stirred for 1 h, and then paraformaldehyde (0.13 g, 4.44 mmol) was added to it. The reaction mixture was stirred for 1 hour at 0° C. and then quenched by addition of methanol (10 mL). The mixture was concentrated in vacuo and to the residue was added 2 M sodium hydroxide until pH 10 was reached. The mixture was extracted with ethyl acetate (2×60 mL). The combined organic layers were washed with saturated ammonium chloride (30 mL), brine (30 mL), dried over anhydrous sodium sulfate, and filtered. The filtrate was concentrated in vacuo and the residue was purified by column chromatography, eluting with a gradient of 0 to 75% ethyl acetate (containing 20% of ethanol and 0.1% of ammonium hydroxide) in heptane, followed by preparative HPLC, using acetonitrile in water containing 0.1% of trifluoroacetic acid as eluent, to afford the title compound as a colorless solid (0.090 g, 14% yield):1H NMR (400 MHz, DMSO-d6) δ 11.96 (s, 1H), 9.69 (s, 1H), 7.91 (q, J=8.2 Hz, 1H), 7.55-7.45 (m, 5H), 7.01 (dd, J=7.9, 2.0 Hz, 1H), 6.80 (dd, J=8.0, 2.4 Hz, 1H), 4.27 (s, 2H), 3.41-3.35 (m, 2H), 3.22-3.14 (m, 1H), 3.02-2.97 (m, 2H), 2.69 (s, 3H), 2.23 (s, 3H), 1.96-1.91 (m, 2H), 1.84-1.73 (m, 2H); MS (ES+) m/z 476.1 (M+1).

Example 24

Synthesis of (R)-5-((1-(1-(2-fluorophenyl)ethyl)piperidin-4-yl)(methyl)amino)-N-(6-fluoropyridin-2-yl)-4-methylthiazole-2-sulfonamide triethylammonium salt

[0873]

Step 1. Preparation of (R)-1-(1-(2-fluorophenyl)ethyl)piperidin-4-one

[0874]

[0875]

To a mixture of 1,1-dimethyl-4-oxopiperidin-1-ium iodide (1.94 g, 7.19 mmol) and (R)-1-(2-fluorophenyl)ethan-1-amine (1.00 g, 7.19 mmol) in ethanol (40 mL) and water (15 mL) was added potassium carbonate (1.99 g, 14.38 mmol). The resulting mixture was heated under reflux for 4 hours and then allowed to cool to ambient temperature. The mixture was diluted with ethyl acetate (300 mL), washed with brine (200 mL), saturated ammonium chloride (150 mL), brine (100 mL), dried over anhydrous sodium sulfate, and filtered. The filtrate was concentrated in vacuo and the residue was purified by column chromatography, eluting with a gradient of 0 to 40% ethyl acetate, to afford the title compound as colorless oil (1.23 g, 77% yield):1H NMR (400 MHz, CDCl3) δ 7.44 (td, J=7.5, 1.8 Hz, 1H), 7.27-7.21 (m, 1H), 7.14 (td, J=7.5, 1.2 Hz, 1H), 7.04 (ddd, J=10.1, 8.4, 1.5 Hz, 1H), 4.10 (q, J=6.8 Hz, 1H), 2.84-2.71 (m, 4H), 2.44 (t, J=6.1 Hz, 4H), 1.46 (d, J=6.8 Hz, 3H); MS (ES+) m/z 222.2 (M+1).

Step 2. Preparation of (R)-5-((1-(1-(2-fluorophenyl)ethyl)piperidin-4-yl)(methyl)amino)-N-(6-fluoropyridin-2-yl)-4-methylthiazole-2-sulfonamide triethylammonium salt

[0876]

[0877]

To a mixture of tert-butyl (2-(N-(6-fluoropyridin-2-yl)sulfamoyl)-4-methylthiazol-5-yl)carbamate (1.01 g, 2.60 mmol) and (R)-1-(1-(2-fluorophenyl)ethyl)piperidin-4-one (1.15 g, 5.20 mmol) in 1,2-dichloroethane (10 mL) was added trifluoroacetic acid (10 mL). The mixture was stirred for 30 minutes and then cooled to 0° C. To the mixture was added sodium triacetoxyborohydride (1.10 g, 5.20 mmol) and the mixture was stirred at 0° C. for 15 minutes. To the mixture was added paraformaldehyde (0.16 g, 7.80 mmol) and sodium triacetoxyborohydride (1.10 g, 5.20 mmol) and the mixture was stirred at 0° C. for 15 minutes. The mixture was quenched by slow addition of 2 M sodium hydroxide until pH 9 was reached and then extracted with ethyl acetate (150 mL). The organic layer was washed with saturated ammonium chloride (35 mL), brine (35 mL), dried over anhydrous sodium sulfate, and filtered. The filtrate was concentrated in vacuo and the residue was purified by column chromatography, eluting with a gradient of 0 to 100% ethyl acetate (containing 10% of triethylamine and 10% of 2-propanol) to afford the title compound as colorless solid (0.81 g, 51% yield):1H NMR (400 MHz, DMSO-d6) δ 9.71 (s, 1H), 7.53 (q, J=8.7 Hz, 1H), 7.44-7.39 (m, 1H), 7.29 (tdd, J=7.7, 5.6, 2.1 Hz, 1H), 7.20-7.10 (m, 2H), 6.84 (dd, J=7.9, 2.7 Hz, 1H), 6.27 (dd, J=7.7, 2.8 Hz, 1H), 3.91-3.84 (m, 1H), 3.14 (q, J=7.3 Hz, 6H), 3.03-2.99 (m, 1H), 2.81-2.77 (m, 1H), 2.67-2.65 (m, 1H), 2.58 (s, 3H), 2.13 (s, 3H), 2.04-1.96 (m, 1H), 1.91-1.82 (m, 1H), 1.74-1.63 (m, 2H), 1.55-1.38 (m, 2H), 1.31 (d, J=6.8 Hz, 3H), 1.18 (t, J=7.3 Hz, 9H); MS (ES+) m/z 508.1 (M+1).

Example 25

Synthesis of 3-fluoro-5-((1-(2-fluorobenzyl)piperidin-4-yl)(methyl)amino)-N-(6-fluoropyridin-2-yl)-4-methylpyridine-2-sulfonamide trifluoroacetic acid salt

[0878]

Step 1. Preparation of 2-(benzylthio)-3,5-difluoropyridine

[0879]

[0880]

To a solution of 2-bromo-3,5-difluoropyridine (28.0 g, 144.2 mmol) in anhydrous 1,4-dioxane (577 mL) was added N,N-diisopropylethylamine (75 mL, 432.6 mmol), and benzylthiol (16.7 mL, 142.7 mmol). The reaction mixture was sparged with argon for 20 minutes. To the reaction mixture was then added tris(dibenzylideneacetone)dipalladium(0) (3.30 g, 3.61 mmol), and 4,5-bis(diphenylphosphino)-9,9-dimethylxanthene (4.17 g, 7.21 mmol) and the reaction mixture was heated to reflux for 3 hours. The reaction mixture was allowed to cool to ambient temperature and filtered through a bed of celite. The filter bed was washed with ethyl acetate (2×75 mL). Concentration of the combined filtrate in vacuo and purification of the residue by column chromatography, eluting with petroleum ether, afforded the title compound as an orange oil (35.2 g, quantitative yield):1H NMR (300 MHz, CDCl3) δ 8.27 (d, J=2.4 Hz, 1H), 7.44-7.40 (m, 2H), 7.35-7.23 (m, 3H), 7.13 (ddd, J=8.9, 8.0, 2.4 Hz, 1H), 4.46 (s, 2H).

Step 2. Preparation of 2-(benzylthio)-3,5-difluoro-4-methylpyridine

[0881]

[0882]

To a solution of N,N-diisopropylamine (11.5 mL, 81.9 mmol) in anhydrous tetrahydrofuran (273 mL) was added a 1.6 M solution of n-butyl lithium in hexanes (47.5 mL, 75.6 mmol) at 0° C. The reaction mixture was stirred at 0° C. for 10 minutes. To a flask charged with 2-(benzylthio)-3,5-difluoropyridine (15.0 g, 63.0 mmol) was added tetrahydrofuran (150 mL) and the solution was cooled to −78° C. The previously prepared solution of lithium diisopropylamide was cooled to −78° C. and transferred via cannula over 5 minutes to the flask containing the 2-(benzylthio)-3,5-difluoropyridine solution. The reaction mixture was maintained at −78° C. for 1 hour. To the reaction mixture was then added methyl iodide (9.39 g, 66.15 mmol) and the reaction mixture was stirred at −78° C. for 1 h, after which it was allowed to warm to ambient temperature over 5 hours. The reaction mixture was quenched by addition of a mixture of 1:1 brine:saturated ammonium chloride (300 mL). The organic layer was washed with brine (2×50 mL), dried over anhydrous magnesium sulfate, filtered, and the filtrate concentrated in vacuo. Purification of the residue by column chromatography, eluting with a gradient of 1-10% of ethyl acetate in heptane, afforded the title compound as a yellowish oil (14.7 g, 93% yield):1H NMR (300 MHz, CDCl3) δ 8.18 (d, J=2.8 Hz, 1H), 7.43-7.39 (m, 2H), 7.34-7.23 (m, 3H), 4.44 (s, 2H), 2.25-2.24 (m, 3H).

Step 3. Preparation of 3,5-difluoro-N-(6-fluoropyridin-2-yl)-4-methylpyridine-2-sulfonamide

[0883]

[0884]

To a solution of 2-(benzylthio)-3,5-difluoro-4-methylpyridine (10.0 g, 39.8 mmol) in anhydrous acetonitrile (200 mL) was added water (11 mL) and glacial acetic acid (14 mL). The mixture was cooled to 0° C., after which solid 1,3-dichloro-5,5-dimethylhydantoin (14.9 g, 75.7 mmol) was added in one portion. The solution was stirred for 2-5 minutes at which point the solution began to turn yellow. The mixture was diluted with ethyl acetate (300 mL) and washed with ice cold saturated sodium bicarbonate solution (3×100 mL), water (100 mL), and then brine (100 mL). The organic phase was dried over anhydrous magnesium sulfate, filtered, and the filtrate concentrated in vacuo. The residue was dissolved in anhydrous dichloromethane (66 mL) and added to a mixture of pyridine (66 mL) and 2-amino-6-fluoropyridine (4.5 g, 39.8 mmol) at 0° C. The reaction mixture was allowed to warm to ambient temperature, stirred for 16 h, and then concentrated in vacuo. The residue was dissolved in ethyl acetate (350 mL) and washed with 2% hydrochloric acid (100 mL), water (2×100 mL), and then brine (100 mL). The organic phase was dried over anhydrous magnesium sulfate, filtered, and the filtrate concentrated in vacuo. Purification of the residue by column chromatography, eluting with a gradient of 20-100% of ethyl acetate (containing 10% of 2-propanol and 10% of triethylamine) in heptane, afforded the title compound as a red solid (6.56 g, 54% yield):1H NMR (300 MHz, CDCl3) δ 8.26 (s, 1H), 7.41 (dt, J=9.1, 7.9 Hz, 1H), 6.99 (dd, J=8.0, 2.7 Hz, 1H), 6.21 (dd, J=7.8, 2.7 Hz, 1H), 2.27 (t, J=1.7 Hz, 3H), NH not observed.

Step 4. Preparation of tert-butyl 4-((5-fluoro-6-(N-(6-fluoropyridin-2-yl)sulfamoyl)-4-methylpyridin-3-yl)amino)piperidine-1-carboxylate

[0885]

[0886]

To a mixture of 3,5-difluoro-N-(6-fluoropyridin-2-yl)-4-methylpyridine-2-sulfonamide (1.00 g, 3.3 mmol) and N,N-diisopropylethylamine (1.7 g, 13.2 mmol) in anhydrous dimethyl sulfoxide (11 mL) was added tert-butyl 4-aminopiperidine-1-carboxylate (1.06 g, 5.3 mmol). The reaction mixture was sparged with nitrogen gas then heated to 130° C. for 6 hours. After cooling to ambient temperature, the reaction mixture was diluted with ethyl acetate (200 mL), and the organic phase was washed with saturated ammonium chloride solution (3×50 mL), water (3×50 mL), brine (100 mL), and dried over anhydrous magnesium sulfate. Filtration and concentration of the filtrate in vacuo provided a residue which was purified by column chromatography, eluting with a gradient of 10-100% of ethyl acetate in heptane, to afford the title compound as a red oil (0.44 g, 28% yield): MS (ES+) m/z 484.2 (M+1).

Step 5. Preparation of 3-fluoro-5-((1-(2-fluorobenzyl)piperidin-4-yl)(methyl)amino)-N-(6-fluoropyridin-2-yl)-4-methylpyridine-2-sulfonamide trifluoroacetic acid salt

[0887]

[0888]

To tert-butyl 4-((5-fluoro-6-(N-(6-fluoropyridin-2-yl)sulfamoyl)-4-methylpyridin-3-yl)amino)piperidine-1-carboxylate (0.25 g, 0.933 mmol) was added anhydrous dichloromethane (5 mL) and then trifluoroacetic acid (2 mL). The reaction mixture was stirred for 3 h, and then concentrated in vacuo. The residue was dissolved in a mixture of 1,2-dichloroethane (3 mL) and methanol (0.50 mL). To the solution was added 2-fluorobenzaldehyde (0.13 g, 1.04 mmol), and sodium triacetoxyborohydride (0.23 g, 1.09 mmol). The reaction mixture was stirred at ambient temperature for 2 hours and was then diluted with trifluoroacetic acid (4 mL). To it was added paraformaldhyde (0.062 g, 2.08 mmol) and after stirring for 5 minutes sodium triacetoxyborohydride (0.44 g, 2.08 mmol) was added. The reaction mixture solution was stirred for 30 minutes after which time more paraformaldehyde (0.031 g, 1.04 mmol) and sodium triacetoxyborohydride (0.22 g, 1.04 mmol) were added. This procedure was continued until the starting material was consumed as judged by HPLC. The reaction mixture was diluted with ethyl acetate (150 mL), and the organic phase was washed with saturated sodium bicarbonate solution (3×100 mL), water (100 mL), and brine (100 mL). The organic phase was dried over anhydrous magnesium sulfate, filtered, and the filtrate concentrated in vacuo. Purification of the residue by preparative reverse-phase HPLC, eluting with a gradient of 5 to 95% of acetonitrile in water containing 0.1% of trifluoroacetic acid, provided the title compound as a colorless solid (0.151 g, 30% yield):1H NMR (300 MHz, CDCl3) δ 11.75-11.68 (m, 1H), 9.80-9.70 (m, 1H), 8.16-8.14 (m, 1H), 7.89-7.81 (m, 1H), 7.65-7.53 (m, 2H), 7.41-7.31 (m, 2H), 6.96 (dd, J=7.8, 2.0 Hz, 1H), 6.76-6.72 (m, 1H), 4.36-4.29 (m, 2H), 3.49-3.33 (m, 3H), 3.16-3.00 (m, 2H), 2.75-2.70 (m, 3H), 2.24-2.18 (m, 3H), 2.11-1.95 (m, 2H), 1.87-1.77 (m, 2H); MS (ES+) 506.1 m/z (M+1).

Example 26

Synthesis of (S)-5-((1-benzylpyrrolidin-3-yl)(methyl)amino)-3-fluoro-N-(6-fluoropyridin-2-yl)-4-methylpyridine-2-sulfonamide trifluoroacetic acid salt

[0889]

Step 1. Preparation of tert-butyl (S)-3-((5-fluoro-6-(N-(6-fluoropyridin-2-yl)sulfamoyl)-4-methylpyridin-3-yl)amino) pyrrolidine-1-carboxylate

[0890]

[0891]

To a mixture of 3,5-difluoro-N-(6-fluoropyridin-2-yl)-4-methylpyridine-2-sulfonamide (1.1 g, 3.63 mmol) and N,N-diisopropylethylamine (1.88 g, 14.52 mmol) in anhydrous dimethyl sulfoxide (12 mL) was added tert-butyl (S)-3-aminopyrrolidine-1-carboxylate (1.35 g, 7.26 mmol). The reaction mixture was sparged with nitrogen and heated to 130° C. for 10 hours. After cooling to ambient temperature, the reaction mixture was diluted with ethyl acetate (250 mL), and the organic phase was washed with saturated ammonium chloride solution (3×75 mL), water (2×50 mL), and brine (100 mL). The organic phase was dried over anhydrous magnesium sulfate, filtered, and the filtrate concentrated in vacuo. Purification of the residue by column chromatography, eluting with a gradient of 20-80% of ethyl acetate (with 10% of 2-propanol and 10% of triethylamine) in heptane, afforded the title compound as a red oil (0.74 g, 43% yield): MS (ES+) m/z 470.2 (M+1).

Step 2. Preparation of (S)-5-((1-benzylpyrrolidin-3-yl)(methyl)amino)-3-fluoro-N-(6-fluoropyridin-2-yl)-4-methylpyridine-2-sulfonamide trifluoroacetic acid salt

[0892]

[0893]

To tert-butyl (S)-3-((5-fluoro-6-(N-(6-fluoropyridin-2-yl)sulfamoyl)-4-methylpyridin-3-yl)amino)pyrrolidine-1-carboxylate (0.37 g, 0.79 mmol) was added anhydrous dichloromethane (4 mL) and trifluoroacetic acid (2 mL). The reaction mixture was stirred for 3 hours and then concentrated in vacuo. The residue was dissolved in methanol (5 mL) and concentrated in vacuo. To the residue was added dichloromethane (4 mL) and methanol (1.0 mL), followed by benzaldehyde (0.17 g, 1.58 mmol) and sodium triacetoxyborohydride (0.35 g, 1.66 mmol). The reaction mixture solution was stirred at ambient temperature for 6 hours. To it was then added more benzaldehyde (0.17 g, 1.58 mmol) and sodium triacetoxyborohydride (0.35 g, 1.66 mmol) and the reaction mixture was stirred at ambient temperature for 16 hours. The reaction mixture was diluted with ethyl acetate (150 mL), and the organic phase was washed with saturated sodium bicarbonate solution (3×100 mL), water (100 mL), and brine (100 mL). The organic phase was dried over anhydrous magnesium sulfate, filtered, and the filtrate concentrated in vacuo. The residue was dissolved in trifluoroacetic acid (2 mL) and paraformaldehyde (0.118 g, 3.95 mmol) was added to it. After 5 minutes, sodium triacetoxyborohydride (0.92 g, 4.35 mmol) was added to it. The reaction mixture was stirred for 30 minutes after which time paraformaldehyde (0.118 g, 3.95 mmol), and sodium triacetoxyborohydride (0.92 g, 4.35 mmol) were added. The reaction mixture was stirred at ambient temperature for 2 hours and was then diluted with ethyl acetate (150 mL). The organic phase was washed with saturated sodium bicarbonate solution (3×100 mL), water (100 mL), and brine (100 mL). The organic phase was dried over anhydrous magnesium sulfate, filtered, and the filtrate concentrated in vacuo. Purification of the residue by preparative reverse-phase HPLC, eluting with a gradient of 5 to 95% of acetonitrile in water containing 0.1% of trifluoroacetic acid, provided the title compound as a colorless solid (0.036 g, 10% yield):1H NMR (300 MHz, CDCl3) δ 11.78-11.69 (m, 1H), 10.54-10.18 (m, 1H), 8.20-8.12 (m, 1H), 7.93-7.78 (m, 1H), 7.59-7.41 (m, 5H), 7.02-6.90 (m, 1H), 6.79-6.69 (m, 1H), 4.48-4.29 (m, 2H), 4.26-4.05 (m, 1H), 3.63-3.05 (m, 4H), 2.84-2.68 (m, 3H), 2.35-1.94 (m, 5H); MS (ES+) m/z 474.1 (M+1).

Example 27

Synthesis of (S)-3-fluoro-5-((1-(2-fluorobenzyl)pyrrolidin-3-yl)(methyl)amino)-N-(6-fluoropyridin-2-yl)-4-methylpyridine-2-sulfonamide trifluoroacetic acid salt

[0894]

[0895]

To tert-butyl (S)-3-((5-fluoro-6-(N-(6-fluoropyridin-2-yl)sulfamoyl)-4-methylpyridin-3-yl)amino)pyrrolidine-1-carboxylate (0.37 g, 0.79 mmol) was added anhydrous dichloromethane (4 mL) and trifluoroacetic acid (2 mL). The reaction mixture was stirred for 3 h, and then concentrated in vacuo. The residue was dissolved in methanol (5 mL) and the mixture concentrated in vacuo. The residue was then dissolved in a mixture of dichloromethane (4 mL) and methanol (1.0 mL), and 2-fluorobenzaldehyde (0.196 g, 1.58 mmol), and sodium triacetoxyborohydride (0.35 g, 1.66 mmol) were added to it. The reaction mixture was stirred at ambient temperature for 6 hours. To it was then added more 2-fluorobenzaldehyde (0.196 g, 1.58 mmol) and sodium triacetoxyborohydride (0.35 g, 1.66 mmol) and the reaction mixture was stirred at ambient temperature for 16 hours. The reaction mixture was diluted with ethyl acetate (150 mL), and the organic phase was washed with saturated sodium bicarbonate solution (3×100 mL), water (100 mL), and brine (100 mL). The organic phase was dried over anhydrous magnesium sulfate, filtered, and the filtrate concentrated in vacuo. The residue was dissolved in trifluoroacetic acid (2 mL) and paraformaldehyde (0.118 g, 3.95 mmol) was added to it. After 5 minutes, sodium triacetoxyborohydride (0.92 g, 4.35 mmol) was added. The reaction mixture was stirred for 30 minutes after which time paraformaldehyde (0.118 g, 3.95 mmol) and sodium triacetoxyborohydride (0.92 g, 4.35 mmol) were added. The reaction mixture was stirred at ambient temperature for 2 hours and then diluted with ethyl acetate (150 mL). The organic phase was washed with saturated sodium bicarbonate solution (3×100 mL), water (100 mL), and brine (100 mL). The organic phase was dried over anhydrous magnesium sulfate, filtered, and the filtrate concentrated in vacuo. Purification of the residue by preparative reverse-phase HPLC, eluting with a gradient of 5 to 95% of acetonitrile in water containing 0.1% of trifluoroacetic acid, provided the title compound as a colorless solid (0.124 g, 32% yield):1H NMR (300 MHz, CDCl3) δ 11.78-11.71 (m, 1H), 10.68-10.13 (m, 1H), 8.15 (d, J=6.0 Hz, 1H), 7.86 (q, J=8.2 Hz, 1H), 7.63-7.50 (m, 2H), 7.37-7.29 (m, 2H), 6.96 (dd, J=7.9, 2.1 Hz, 1H), 6.75 (dd, J=8.0, 2.4 Hz, 1H), 4.52-4.14 (m, 3H), 3.70-3.15 (m, 4H), 2.81-2.69 (m, 3H), 2.29-1.99 (m, 5H); MS (ES+) m/z 492.0 (M+1).

Example 28

Synthesis of (R)-3-fluoro-N-(6-fluoropyridin-2-yl)-4-methyl-5-(methyl(1-(1-phenylethyl)piperidin-4-yl)amino)pyridine-2-sulfonamide trifluoroacetic acid salt

[0896]

Step 1. Preparation of 3,5-difluoro-N-(6-fluoropyridin-2-yl)-N-(4-methoxybenzyl)-4-methylpyridine-2-sulfonamide

[0897]

[0898]

To a mixture of 3,5-difluoro-N-(6-fluoropyridin-2-yl)-4-methylpyridine-2-sulfonamide (6.56 g, 21.65 mmol), and sodium bicarbonate (4.36 g, 51.96 mmol) in anhydrous N,N-dimethylformamide (72 mL) was added para-methoxybenzyl chloride (4.07 g, 25.98 mmol). The reaction mixture was heated to 50° C. for 5 hours. After cooling to ambient temperature, the reaction mixture was diluted with ethyl acetate (300 mL), and the organic phase was washed with saturated ammonium chloride solution (100 mL), water (3×75 mL), and brine (100 mL). The organic phase was dried over anhydrous magnesium sulfate, filtered, and concentrated in vacuo. Purification of the residue by column chromatography, eluting with a gradient of 10-70% of ethyl acetate in heptane, afforded the title compound as a yellow oil (5.02 g, 55% yield):1H NMR (300 MHz, CDCl3) δ 8.30 (s, 1H), 7.69 (q, J=8.1 Hz, 1H), 7.37-7.30 (m, 3H), 6.82-6.79 (m, 2H), 6.70 (dd, J=8.0, 3.0 Hz, 1H), 5.17 (s, 2H), 3.77 (s, 3H), 2.32 (t, J=1.8 Hz, 3H); MS (ES+) m/z 424.0 (M+1).

Step 2. Preparation of (R)-3-fluoro-N-(6-fluoropyridin-2-yl)-N-(4-methoxybenzyl)-4-methyl-5-((1-(1-phenylethyl)piperidin-4-yl)amino)pyridine-2-sulfonamide

[0899]

[0900]

To a mixture of 3,5-difluoro-N-(6-fluoropyridin-2-yl)-N-(4-methoxybenzyl)-4-methylpyridine-2-sulfonamide (1.0 g, 2.36 mmol) and N,N-diisopropylethylamine (1.34 g, 10.4 mmol) in anhydrous dimethyl sulfoxide (11.8 mL) was added (R)-1-(1-phenylethyl)piperidin-4-amine (1.06 g, 5.20 mmol). The reaction mixture was heated to 130° C. for 18 hours. After cooling to ambient temperature, the reaction mixture was diluted with ethyl acetate (300 mL), and the organic phase was washed with water (4×75 mL), saturated ammonium chloride solution (2×75 mL), and brine (100 mL). The organic phase was dried over anhydrous magnesium sulfate, filtered, and concentrated in vacuo. Purification of the residue by column chromatography, eluting with a gradient of 5-65% of ethyl acetate (with 10% of 2-propanol and 10% of triethylamine) in heptane, afforded the title compound as a yellow oil (0.63 g, 44% yield): MS (ES+) m/z 608.2 (M+1).

Step 3. Preparation of (R)-3-fluoro-N-(6-fluoropyridin-2-yl)-4-methyl-5-(methyl(1-(1-phenylethyl)piperidin-4-yl)amino)pyridine-2-sulfonamide trifluoroacetic acid salt

[0901]

[0902]

To (R)-3-fluoro-N-(6-fluoropyridin-2-yl)-N-(4-methoxybenzyl)-4-methyl-5-((1-(1-phenylethyl)piperidin-4-yl)amino)pyridine-2-sulfonamide (0.63 g, 1.04 mmol) was added trifluoroacetic acid (3 mL) followed by paraformaldehyde (0.19 g, 6.22 mmol). After 5 minutes, sodium triacetoxyborohydride (1.32 g, 6.22 mmol) was added to the mixture over a period of 15 minutes. The reaction mixture was then diluted with trifluoroacetic acid (5 mL) and stirred at ambient temperature for 3 hours. The reaction mixture was concentrated in vacuo and the residue was dissolved in methanol (20 mL). The mixture was filtered through a bed of celite, and the filtrate concentrated in vacuo. The residue was dissolved in ethyl acetate (200 mL), and the organic phase was washed with saturated sodium bicarbonate solution (2×100 mL), water (100 mL), and brine (100 mL). The organic phase was dried over anhydrous sodium sulfate, filtered, and the filtrate concentrated in vacuo. Purification of the residue by column chromatography, eluting with a gradient of 15-100% of ethyl acetate (with 10% of 2-propanol and 10% of triethylamine) in heptane, followed by preparative reverse-phase HPLC, eluting with a gradient of 5 to 95% of acetonitrile in water containing 0.1% of trifluoroacetic acid, provided the title compound as a colorless solid (0.170 g, 33% yield):1H NMR (300 MHz, CDCl3) δ 11.69 (s, 1H), 9.65-9.63 (m, 1H), 8.13 (s, 1H), 7.84 (q, J=8.3 Hz, 1H), 7.54-7.46 (m, 5H), 6.95 (dd, J=7.9, 2.1 Hz, 1H), 6.73 (dd, J=7.9, 2.4 Hz, 1H), 4.54-4.50 (m, 1H), 3.66-3.60 (m, 1H), 3.37-3.30 (m, 2H), 2.86-2.64 (m, 5H), 2.19-2.16 (m, 3H), 2.12-2.00 (m, 2H), 1.85-1.75 (m, 2H), 1.66-1.61 (m, 3H); MS (ES+) m/z 502.1 (M+1).

Example 29

Synthesis of 5-((1-benzylpiperidin-4-yl)(methyl)amino)-3-fluoro-4-methyl-N-(thiazol-4-yl)pyridine-2-sulfonamide trifluoroacetic acid salt

[0903]

Step 1. Preparation of 3,5-difluoro-4-methyl-N-(thiazol-4-yl)pyridine-2-sulfonamide

[0904]

[0905]

To a solution of 2-(benzylthio)-3,5-difluoro-4-methylpyridine (1.23 g, 4.90 mmol) in anhydrous acetonitrile (25 mL) was added water (1.4 mL) and glacial acetic acid (1.8 mL). The mixture was cooled to 0° C., after which 1,3-dichloro-5,5-dimethylhydantoin (1.83 g, 9.31 mmol) was added in one portion. The reaction mixture was stirred for 2-5 minutes 0° C. at which point the solution began to turn yellow. The reaction mixture was diluted with ethyl acetate (200 mL), washed with ice cold saturated sodium bicarbonate solution (3×50 mL) and brine (50 mL). The organic phase was dried over anhydrous magnesium sulfate, filtered, and the filtrate concentrated in vacuo. The residue was dissolved in anhydrous pyridine (10 mL) and added to a solution of 4-aminothiazole hydrogen chloride (0.87 g, 5.39 mmol) in pyridine (10 mL). The reaction mixture was allowed to warm to ambient temperature and stirred for 16 hours. The reaction mixture was concentrated in vacuo and the residue was dissolved in ethyl acetate (350 mL). The organic phase was washed with 2% hydrochloric acid (100 mL), water (2×100 mL), and brine (100 mL). The organic phase was dried over anhydrous magnesium sulfate, filtered, and the filtrate concentrated in vacuo. Purification of the residue by column chromatography, eluting with a gradient of 20-100% of ethyl acetate (with 10% of 2-propanol and 10% of triethylamine) in heptane, afforded the title compound as a red solid (0.44 g, 31% yield): MS (ES−) m/z 290.0 (M−1).

Step 2. Preparation of 3,5-difluoro-N-(4-methoxybenzyl)-4-methyl-N-(thiazol-4-yl)pyridine-2-sulfonamide

[0906]

[0907]

To a mixture of 3,5-difluoro-N-(thiazol-4-yl)-4-methylpyridine-2-sulfonamide (0.44 g, 1.51 mmol), and sodium bicarbonate (0.304 g, 3.62 mmol) in anhydrous N,N-dimethylformamide (5 mL) was added para-methoxybenzyl chloride (0.28 g, 1.81 mmol). The reaction mixture was heated to 50° C. for 5 hours. After cooling to ambient temperature, the reaction mixture was diluted with ethyl acetate (200 mL), and the organic phase was washed with saturated ammonium chloride solution (100 mL), water (3×75 mL), and brine (100 mL). The organic phase was dried over anhydrous sodium sulfate, filtered, and the filtrate concentrated in vacuo. Purification of the residue by column chromatography, eluting with a gradient of 5-100% of ethyl acetate in heptane, afforded the title compound as a yellow oil (0.34 g, 55% yield):1H NMR (300 MHz, CDCl3) δ 8.57 (d, J=2.3 Hz, 1H), 8.31 (s, 1H), 7.27-7.24 (m, 2H), 7.21 (d, J=2.3 Hz, 1H), 6.83-6.79 (m, 2H), 5.15 (s, 2H), 3.78 (s, 3H), 2.32 (t, J=1.8 Hz, 3H).

Step 3. Preparation of 5-((1-benzylpiperidin-4-yl)amino)-3-fluoro-N-(4-methoxybenzyl)-4-methyl-N-(thiazol-4-yl)pyridine-2-sulfonamide

[0908]

[0909]

To a mixture of 3,5-difluoro-N-(4-methoxybenzyl)-4-methyl-N-(thiazol-4-yl)pyridine-2-sulfonamide (0.34 g, 0.83 mmol) and N,N-diisopropylethylamine (0.28 g, 2.15 mmol) in anhydrous dimethyl sulfoxide (3 mL) was added 1-benzylpiperidin-4-amine (0.19 g, 0.99 mmol) and the reaction mixture was heated to 130° C. for 18 hours. After cooling to ambient temperature, the reaction mixture was diluted with ethyl acetate (300 mL), and the organic phase was washed with water (3×75 mL), saturated ammonium chloride solution (75 mL), and brine (100 mL). The organic phase was dried over anhydrous magnesium sulfate, filtered, and the filtrate concentrated in vacuo. Purification of the residue by column chromatography, eluting with a gradient of 5-65% of ethyl acetate (with 10% of 2-propanol and 10% of triethylamine) in heptane, afforded the title compound as a yellow oil (0.21 g, 44% yield): MS (ES+) m/z 582.0 (M+1).

Step 4. Preparation of 5-((1-benzylpiperidin-4-yl)(methyl)amino)-3-fluoro-4-methyl-N-(thiazol-4-yl)pyridine-2-sulfonamide trifluoroacetic acid salt

[0910]

[0911]

To 5-((1-benzylpiperidin-4-yl)amino)-3-fluoro-N-(4-methoxybenzyl)-4-methyl-N-(thiazol-4-yl)pyridine-2-sulfonamide (0.21 g, 0.36 mmol) was added trifluoroacetic acid (2 mL) followed by paraformaldehyde (0.065 g, 2.17 mmol). After 5 minutes, sodium triacetoxyborohydride (0.46 g, 2.17 mmol) was added over a period of 12 minutes. The reaction mixture was then diluted with trifluoroacetic acid (2 mL) was added and was heated to 50° C. for 30 minutes. The reaction mixture was concentrated in vacuo and the residue was dissolved in methanol (20 mL). The mixture was filtered through a bed of celite, and the filtrate concentrated in vacuo. The residue was dissolved in ethyl acetate (200 mL), and the organic phase was washed with saturated sodium bicarbonate solution (2×100 mL), water (100 mL), and brine (100 mL). The organic phase was dried over anhydrous sodium sulfate, filtered, and the filtrate concentrated in vacuo. Purification of the residue by column chromatography, eluting with a gradient of 15-100% of ethyl acetate (with 10% of 2-propanol and 10% of triethylamine) in heptane, followed by preparative reverse-phase HPLC, eluting with a gradient of 5 to 95% of acetonitrile in water containing 0.1% of trifluoroacetic acid, provided the title compound as a colorless solid (0.083 g, 33% yield):1H NMR (300 MHz, CDCl3) δ 11.42 (s, 1H), 9.70-9.53 (m, 1H), 8.89 (d, J=2.2 Hz, 1H), 8.15 (s, 1H), 7.48 (s, 5H), 6.94 (d, J=2.2 Hz, 1H), 4.27-4.26 (m, 2H), 3.42-3.35 (m, 3H), 3.06-2.98 (m, 2H), 2.73 (s, 3H), 2.20 (t, J=3.3 Hz, 3H), 2.08-1.98 (m, 2H), 1.85-1.79 (m, 2H); MS (ES+) m/z 476.0 m/z (M+1).

Examples 30 and 31

Synthesis of (S)-5-((1-benzylpyrrolidin-3-yl)amino)-N-(thiazol-4-yl)-4-(trifluoromethyl)pyridine-2-sulfonamide and (S)-5-((1-benzylpyrrolidin-3-yl)(methyl)amino)-N(thiazol-4-yl)-4-(trifluoromethyl)pyridine-2-sulfonamide

[0912]

Step 1. Preparation of 2-(benzylthio)-5-fluoro-4-(trifluoromethyl)pyridine

[0913]

[0914]

To a solution of 2-chloro-5-fluoro-4-(trifluoromethyl)pyridine (2.90 g, 14.5 mmol) in anhydrous dioxane (10 mL) and N,N-diisopropylethylamine (5.1 mL, 29.1 mmol) was added tris(dibenzylideneacetone)dipalladium(0) (0.40 g, 0.44 mmol), Xantphos (0.40 g, 0.73 mmol) and benzyl mercaptan (1.71 g, 13.8 mmol). The reaction mixture was degassed with nitrogen and heated to 103° C. for 16 hours. After cooling to ambient temperature, the reaction mixture was diluted with ethyl acetate (100 mL), washed with saturated ammonium chloride (3×30 mL), and dried over anhydrous sodium sulfate. Filtration and concentration of the filtrate in vacuo provided a residue, which was purified by column chromatography, eluting with a gradient of 5 to 40% of ethyl acetate in heptane, to afford the title compound as colorless liquid (2.40 g, 60% yield):1H NMR (300 MHz, CDCl3) δ 8.51 (t, J=0.5 Hz, 1H), 7.43-7.25 (m, 6H), 4.45 (s, 2H); MS (ES+) m/z 288.0 (M+1).

Step 2. Preparation of 5-fluoro-4-(trifluoromethyl)pyridine-2-sulfonyl chloride

[0915]

[0916]

To a cooled solution of 2-(benzylthio)-5-fluoro-4-(trifluoromethyl)pyridine (2.40 g, 8.35 mmol) in acetonitrile (40 mL), acetic acid (10 mL), and water (10 mL) was added 1,3-dichloro-5,5-dimethylhydantoin (3.29 g, 67%, 16.7 mmol) in small portions at 0° C. The reaction mixture was stirred at 0° C. for 2 h, and concentrated in vacuo while keeping the temperature below 30° C. The residue was triturated in diethyl ether (100 mL), and the solid was filtered off and washed with diethyl ether (50 mL). The combined diethyl ether layers were concentrated in vacuo. The obtained residue was purified by column chromatography, eluting with a gradient of 5 to 40% of ethyl acetate in heptane, to afford the title compound as colorless liquid (1.00 g, 45% yield):1H NMR (300 MHz, CDCl3) δ 8.87 (s, 1H), 8.37 (dd, J=5.1, 0.3 Hz, 1H).

Step 3. Preparation of tert-butyl ((5-fluoro-4-(trifluoromethyl)pyridin-2-yl)sulfonyl)(thiazol-4-yl)carbamate

[0917]

[0918]

To a solution of tert-butyl thiazol-4-ylcarbamate (1.09 g, 5.46 mmol) in anhydrous tetrahydrofuran (40 mL) was added a 1 M solution of lithium bis(trimethylsilyl)amide in tetrahydrofuran (5.5 mL, 5.5 mmol) at −78° C. The reaction mixture was stirred at −78° C. for 20 minutes, allowed to warm to ambient temperature and stirred for 1 hour. The reaction mixture was cooled to −78° C., and a solution of 5-fluoro-4-(trifluoromethyl)pyridine-2-sulfonyl chloride (1.20 g, 4.55 mmol) in anhydrous tetrahydrofuran (5 mL) was then added dropwise. The reaction mixture was stirred at −78° C. for 30 minutes, allowed to warm to ambient temperature, and stirred for 16 hours. After addition of saturated aqueous ammonium chloride (50 mL), the mixture was extracted with ethyl acetate (3×50 mL). The combined organic phases were washed with brine (50 mL), dried over anhydrous sodium sulfate, and filtered. Concentration of the filtrate in vacuo and purification of the residue by column chromatography, eluting with a gradient of 5% to 50% of ethyl acetate in heptane, afforded the title compound as a light yellow solid (0.90 g, 46% yield):1H NMR (300 MHz, CDCl3) δ 8.81 (d, J=2.3 Hz, 2H), 8.53 (d, J=5.3 Hz, 1H), 7.64 (d, J=2.3 Hz, 1H), 1.29 (s, 9H); MS (ES+) m/z 328.0 (M−99).

Step 4. Preparation of tert-butyl (S)-((5-((1-benzylpyrrolidin-3-yl)amino)-4-(trifluoromethyl)pyridin-2-yl)sulfonyl)(thiazol-4-yl)carbamate

[0919]

[0920]

To a mixture of (S)-1-benzylpyrrolidin-3-amine (0.14 g, 0.82 mmol) in anhydrous N,N-dimethylformamide (3 mL) was added N,N-diisopropylethylamine (0.6 mL, 3.28 mmol), and tert-butyl ((5-fluoro-4-(trifluoromethyl)pyridin-2-yl)sulfonyl)(thiazol-4-yl)carbamate (0.35 g, 0.82 mmol). The reaction mixture was stirred at ambient temperature for 16 hours. After dilution with ethyl acetate (70 mL), the mixture was washed with saturated ammonium chloride (20 mL), brine (20 mL), dried over anhydrous sodium sulfate, and filtered. The filtrate was concentrated in vacuo and the residue was used without further purification: MS (ES+) m/z 584 (M+1), 484 (M−100).

Step 5. Preparation of (S)-5-((1-benzylpyrrolidin-3-yl)amino)-N-(thiazol-4-yl)-4-(trifluoromethyl)pyridine-2-sulfonamide and (S)-5-((1-benzylpyrrolidin-3-yl)(methyl)amino)-N(thiazol-4-yl)-4-(trifluoromethyl)pyridine-2-sulfonamide

[0921]

[0922]

To a solution of the crude product from Step 2 in dichloromethane (4 mL) and trifluoroacetic acid (2 mL) was added paraformaldehyde (0.12 g, 4.1 mmol), followed by sodium triacetoxyborohydride (0.52 g, 2.5 mmol). The reaction mixture was stirred for 5 minutes, and diluted with trifluoroacetic acid (5 mL). To it was then added paraformaldehyde (0.14 g, 4.7 mmol) and sodium triacetoxyborohydride (0.39 g, 1.9 mmol). The reaction mixture was stirred at ambient temperature for 16 hours and concentrated in vacuo. The residue was triturated with methanol (4×25 mL), filtered, and the filtrate was concentrated in vacuo. The residue obtained from the filtrate was then dissolved in ethyl acetate (100 mL), washed with saturated ammonium chloride solution (2×30 mL); dried over anhydrous magnesium sulfate, and filtered. The filtrate was concentrated in vacuo, and the residue was purified by preparative reverse-phase HPLC, eluting with 10-60% of acetonitrile in water containing 0.4% of formic acid, to afford (S)-5-((1-benzylpyrrolidin-3-yl)amino)-N-(thiazol-4-yl)-4-(trifluoromethyl)pyridine-2-sulfonamide as a colorless solid (0.06 g, 16% yield) and (S)-5-((1-benzylpyrrolidin-3-yl)(methyl)amino)-N-(thiazol-4-yl)-4-(trifluoromethyl)pyridine-2-sulfonamide as colorless solid (0.02 g, 5% yield). (S)-5-((1-benzylpyrrolidin-3-yl)amino)-N-(thiazol-4-yl)-4-(trifluoromethyl)pyridine-2-sulfonamide:1H NMR (300 MHz, DMSO-d6) δ 8.86 (d, J=2.2 Hz, 1H), 8.40 (s, 1H), 7.83 (s, 1H), 7.33-7.29 (m, 4H), 7.28-7.21 (m, 1H), 6.98 (d, J=2.2 Hz, 1H), 6.13 (d, J=7.2 Hz, 1H), 4.40-4.30 (m, 1H), 3.63 (s, 2H), 2.86-2.80 (m, 1H), 2.73-2.65 (m, 1H), 2.59-2.54 (m, 1H), 2.48-2.41 (m, 1H), 2.33-2.20 (m, 1H), 1.85-1.74 (m, 1H), one NH not observed; MS (ES+) m/z 484.0 (M+1), MS (ES−) m/z 482.1 (M−1). (S)-5-((1-benzylpyrrolidin-3-yl)(methyl)amino)-N-(thiazol-4-yl)-4-(trifluoromethyl)pyridine-2-sulfonamide was further purified by preparative reverse-phase HPLC, eluting with 10-60% of acetonitrile in water containing 0.1% of trifluoroacetic acid, to afford the trifluroacetic acid salt as colorless solid:1H NMR (300 MHz, DMSO-d6) δ 11.42-11.37 (m, 1H), 11.38-10.21 (m, 1H), 8.89 (d, J=2.2 Hz, 1H), 8.84-8.79 (m, 1H), 8.08-8.06 (m, 1H), 7.53-7.44 (m, 5H), 7.09 (t, J=1.8 Hz, 1H), 4.50-4.33 (m, 2H), 4.25-4.18 (m, 1H), 3.46-3.12 (m, 3H), 2.88-2.77 (m, 3H), 2.29-2.00 (m, 3H); MS (ES+) m/z 498.1 (M+1), MS (ES−) m/z 496.1 (M−1).

Example 32

Synthesis of 5-(((1R,3s,5S)-8-benzyl-8-azabicyclo[3.2.1]octan-3-yl)(methyl)amino)-3-fluoro-N-(6-fluoropyridin-2-yl)-4-methylpyridine-2-sulfonamide trifluoroacetic acid salt

[0923]

[0924]

Following the procedure as described for EXAMPLE 16, Step 4 to Step 5 and making non-critical variations as required to replace 1-benzyl-4-aminopiperidine with (1R,3s,5S)-8-benzyl-8-azabicyclo[3.2.1]octan-3-amine, the title compound was obtained as a colorless solid (0.085 g, 69% yield):1H NMR (300 MHz, DMSO-d6) δ 11.69 (s, 1H), 9.86-9.80 (m, 1H), 8.13 (s, 1H), 7.85 (q, J=8.3 Hz, 1H), 7.59-7.56 (m, 2H), 7.50-7.47 (m, 3H), 6.97 (dd, J=7.9, 2.0 Hz, 1H), 6.74 (dd, J=7.9, 2.4 Hz, 1H), 4.17 (d, J=5.7 Hz, 2H), 3.87 (s, 2H), 3.64-3.51 (m, 1H), 2.73 (s, 3H), 2.34-2.17 (m, 7H), 2.04-1.97 (m, 2H), 1.80-1.73 (m, 2H); MS (ES+) m/z 514.1 (M+1).

Example 33

Synthesis of 5-((1-(3-fluorobenzyl)piperidin-4-yl)(methyl)amino)-N-(6-fluoropyridin-2-yl)-4-methylpyridine-2-sulfonamide trifluoroacetic acid salt

[0925]

[0926]

Following the procedure as described for EXAMPLE 19, Step 4 and making non-critical variations as required to replace 2-fluorobenzaldehyde with 3-fluorobenzaldehyde, the title compound was obtained as a colorless solid (0.155 g, 55% yield):1H NMR (300 MHz, DMSO-d6) δ 11.44 (s, 1H), 9.94 (s, 1H), 8.30 (s, 1H), 7.92 (s, 1H), 7.83 (q, J=8.3 Hz, 1H), 7.56-7.29 (m, 4H), 7.02 (dd, J=8.0, 2.0 Hz, 1H), 6.70 (dd, J=7.9, 2.4 Hz, 1H), 4.28 (s, 2H), 3.44-3.25 (m, 3H), 3.08-2.94 (m, 2H), 2.70 (s, 3H), 2.35 (s, 3H), 2.11-1.95 (m, 2H), 1.83-1.78 (m, 2H); MS (ES+) m/z 488.1 (M+1).

[0927]

Step 1. Preparation of thiazol-4-amine hydrochloride

[0928]

[0929]

To a mixture of tert-butyl thiazol-4-ylcarbamate (34.0 g, 169.8 mmol) in dichloromethane (150 mL) was added 4.0 M hydrochloric acid in anhydrous dioxane (180 mL). The reaction mixture was stirred at ambient temperature for 3 hours and then filtered. The residue rinsed with diethyl ether (80 mL) to afford the title compound as a colorless solid (22.99 g, 99% yield): MS (ES+) m/z 101 (M+1).

Step 2. Preparation of 2-(benzylthio)-5-chloro-4-(trifluoromethyl)pyridine

[0930]

[0931]

To a solution of 2,5-dichloro-4-(trifluoromethyl)pyridine (12.30 g, 84.50 mmol) and N,N-diisopropylethylamine (29.4 mL, 169.0 mmol) in anhydrous dioxane (275 mL) was added benzyl mercaptan (9.40 mL, 80.3 mmol) and the resulting mixture was sparged with nitrogen for 30 minutes. To the mixture was then added tris(dibenzylideneacetone)dipalladium(0) (3.3 g, 3.31 mmol) and 4,5-bis(diphenylphosphino)-9,9-dimethylxanthene (3.83 g, 6.62 mmol) and the reaction mixture was heated under reflux for 18 hours. After cooling to ambient temperature, the reaction mixture and concentrated in vacuo. The residue was purified by column chromatography, eluting with a gradient of 0-15% of ethyl acetate in heptane, to afford the title compound as a colorless oil (19.19 g, 95% yield):1H NMR (300 MHz, CDCl3) δ 8.58 (s, 1H), 7.44-7.40 (m, 3H), 7.37-7.25 (m, 3H), 4.46 (s, 2H); MS (ES+) m/z 304.0 (M+1), 306.0 (M+1).

Step 3. Preparation of 5-chloro-4-(trifluoromethyl)pyridine-2-sulfonyl chloride

[0932]

[0933]

To a solution of 2-(benzylthio)-5-chloro-4-(trifluoromethyl)pyridine (12.46 g, 41.02 mmol), acetic acid (11.7 mL, 205.1 mmol), and water (9.6 mL, 533.3 mmol) in acetonitrile (110 mL) was added 1,3-dichloro-5,5-dimethylimidazolidine-2,4-dione (16.16 g, 82.04 mmol) at 0° C. The reaction mixture was stirred at 0° C. for 1 hour and then diluted with ethyl acetate (350 mL). The mixture was washed with water (500 mL), brine (100 mL), saturated sodium bicarbonate (150 mL), brine (100 mL), and dried over anhydrous sodium sulfate. Filtration and concentration of the filtrate in vacuo provided a residue which was purified by column chromatography, eluting with a gradient of 0-20% of ethyl acetate in heptane, to afford the title compound as a colorless oil (9.61 g, 24% yield):1H NMR (300 MHz, CDCl3) δ 8.97 (s, 1H), 8.36 (s, 1H).

Step 4. Preparation of 5-chloro-N-(thiazol-4-yl)-4-(trifluoromethyl)pyridine-2-sulfonamide

[0934]

[0935]

To a mixture of 5-chloro-4-(trifluoromethyl)pyridine-2-sulfonyl chloride (1.11 g, 3.96 mmol) in anhydrous pyridine (25 mL) was added thiazol-4-amine hydrochloride at 0° C. The reaction mixture was stirred at 0° C. for 2 hours and then diluted with ethyl acetate (80 mL). The mixture was washed with 3 M hydrochloric acid (100 mL), 1 M hydrochloric acid (25 mL), brine (25 mL), and dried over anhydrous sodium sulfate. Filtration and concentration of the filtrate in vacuo provided a residue, which was purified by column chromatography, eluting with a gradient of 0-80% of ethyl acetate (with 0.2% formic acid) in heptane, to afford the title compound as a beige solid (0.33 g, 84% yield):1H NMR (300 MHz, DMSO-d6) δ 11.57 (s, 1H), 9.14 (s, 1H), 8.89 (d, J=2.2 Hz, 1H), 8.26 (s, 1H), 7.15 (d, J=2.2 Hz, 1H); MS (ES+) m/z 344.0 (M+1), 346.0 (M+1).

Step 5. Synthesis of 5-((1-benzylpiperidin-4-yl)oxy)-N-(thiazol-4-yl)-4-(trifluoro-methyl)pyridine-2-sulfonamide

[0936]

[0937]

To a solution of 5-chloro-N-(thiazol-4-yl)-4-(trifluoromethyl)pyridine-2-sulfonamide (0.259 g, 0.75 mmol) in anhydrous N,N-dimethylformamide (6 mL) was added sodium hydride (0.105 g, 2.6 mmol, 60% dispersion in mineral oil) at 0° C. The reaction mixture was stirred at 0° C. for 30 minutes, after which 1-benzylpiperidin-4-ol (0.216 g, 1.13 mmol) was added to it. The reaction mixture was allowed to warm to ambient temperature and stirred for 2 hours. The mixture was diluted with water (20 mL) and extracted with ethyl acetate (2×30 mL). The combined organic layers were washed with brine (20 mL), dried over anhydrous sodium sulfate, and filtered. Concentration of the filtrate in vacuo and purification of the residue by column chromatography, eluting with a gradient of 0-10% of methanol in dichloromethane, provided the title compound as a colorless solid (0.055 g, 15% yield):1H NMR (400 MHz, DMSO-d6) δ 11.31 (s, 1H), 8.86 (t, J=2.0 Hz, 2H), 8.07 (s, 1H), 7.35-7.22 (m, 5H), 7.04 (d, J=2.2 Hz, 1H), 5.06-4.99 (m, 1H), 3.50 (s, 2H), 2.60-2.52 (m, 2H), 2.41-2.33 (m, 2H), 2.02-1.92 (m, 2H), 1.79-1.68 (m, 2H); MS (ES+) m/z 499.0 (M+1).

Examples 35-37

[0938]

In a similar manner as described in EXAMPLE 34, utilizing the appropriately substituted starting materials and intermediates, the following compounds were prepared:

[0939]

355-((1-benzylpiperidin-445.1 (300 MHz, DMSO-d6) δ 11.18
4-yl)oxy)-4-methyl-(M + 1).(s, 1H), 9.94 (s, 1H), 8.85 (d,
N-(thiazol-4-yl)J = 2.2 Hz, 1H), 8.40 (d, J =
pyridine-2-23.9 Hz, 1H), 7.87 (s, 1H),
sulfonamide7.55-7.46 (m, 5H), 6.97 (d, J =
trifluoroacetic acid 2.2 Hz, 1H), 5.05 (s, 1H),
salt4.40-4.34 (m, 2H), 3.51-3.26
(m, 2H), 3.21-2.98 (m, 2H),
2.36-1.97 (m, 7H)
365-((1-benzylpiperidin-511.1 (300 MHz, DMSO-d6) δ 11.75
4-yl)oxy)-N-(6-(M + 1)(s, 1H), 10.05-9.66 (m, 1H),
fluoropyridin-2-yl)-4-8.98-8.72 (m, 1H), 8.27 (s,
(trifluoromethyl)1H), 7.85 (q, J = 8.3 Hz, 1H),
pyridine-2-7.56-7.45 (m, 5H), 6.93-6.90
sulfonamide(m, 1H), 6.73 (dd, J = 8.0, 2.3
trifluoroacetic acid Hz, 1H), 5.33-4.96 (m, 1H),
salt4.37 (s, 2H), 3.75-3.34 (m,
4H), 3.12-2.80 (m, 2H), 2.26-
2.03 (m, 2H)
375-((1-benzylpiperidin-457.111.38 (s, 1H), 8.35 (s, 1H),
4-yl)oxy)-N-(6-(M + 1)7.96 (s, 1H), 7.80 (q, J = 8.3
fluoropyridin-2-yl)-Hz, 1H), 7.35-7.21 (m, 5H),
4-methylpyridine-2-6.96 (dd, J = 7.9, 2.1 Hz, 1H),
sulfonamide6.66 (dd, J = 7.9, 2.5 Hz, 1H),
4.77-4.68 (m, 1H), 3.51 (s,
2H), 2.65-2.56 (m, 2H), 2.36-
2.28 (m, 2H), 2.25 (s, 3H),
1.98-1.89 (m, 2H), 1.75-1.64
(m, 2H).

Example 38

Synthesis of 4-((1-benzylpiperidin-4-yl)(methyl)amino)-5-chloro-N-(6-fluoropyridin-2-yl)thiophene-2-sulfonamide

[0940]

Step 1. Preparation of 5-chloro-N-(4-methoxybenzyl)-4-nitrothiophene-2-sulfonamide

[0941]

[0942]

To a solution of 5-chloro-4-nitrothiophene-2-sulfonyl chloride (1.05 g, 4.0 mmol) in dichloromethane (10 mL) was added (4-methoxyphenyl)methanamine (1.37 g, 10.0 mmol) and the reaction mixture was stirred at ambient temperature for 16 hours. The reaction mixture was filtered and the filter cake washed with dichloromethane (20 mL).

[0943]

Concentration of the combined filtrate under reduced pressure and purification of the residue by column chromatography, eluting with a gradient of 0-50% of ethyl acetate in heptane, provided the title compound as a colorless solid (0.55 g, 38% yield): MS (ES−) m/z 361.0 (M−1), 363.0 (M−1).

Step 2. Preparation of 4-amino-5-chloro-N-(4-methoxybenzyl)thiophene-2-sulfonamide

[0944]

[0945]

To a solution of 5-chloro-N-(4-methoxybenzyl)-4-nitrothiophene-2-sulfonamide (0.50 g, 1.38 mmol) in acetic acid (5 mL) was added iron powder (0.386 g, 6.90 mmol) and the reaction mixture was stirred at 60° C. for 1.5 hours. After cooling to ambient temperature, the reaction mixture was concentrated in vacuo to remove acetic acid. To the residue was added saturated sodium bicarbonate until pH 8 was reached and the mixture extracted with ethyl acetate (3×10 mL). The combined organic phases were washed with brine (10 mL), dried over anhydrous magnesium sulfate, and filtered. Concentration of the filtrate in vacuo, afforded the title compound as a brown solid (0.55 g, quantitative yield): MS (ES+) m/z 333.2 (M+1), 335.2 (M+1).

Step 3. Preparation of 4-((1-benzylpiperidin-4-yl)amino)-5-chloro-N-(4-methoxyphenyl)thiophene-2-sulfonamide

[0946]

[0947]

To a solution of 4-amino-5-chloro-N-(4-methoxybenzyl)thiophene-2-sulfonamide (0.55 g, 1.65 mmol) in trifluoroacetic acid (5 mL) was added 1-benzyl-4-piperidinone (0.464 g, 2.48 mmol) and the reaction mixture was stirred at ambient temperature for 30 minutes. To the solution was added sodium triacetoxyborohydride (0.70 g, 3.3 mmol) and the reaction mixture was stirred at ambient temperature for 1 hour. The mixture concentrated in vacuo and the residue diluted with ethyl acetate (10 mL). The organic phase was then washed with 3.5 N sodium hydroxide (approximately 10 mL). The aqueous phase was extracted with ethyl acetate (3×10 mL). The combined organic phases were washed with brine (10 mL), dried over anhydrous magnesium sulfate, and filtered. Concentration of the filtrate in vacuo and purification of the residue by column chromatography, eluting with a gradient of 0 to 80% of ethyl acetate in heptane, afforded the title compound as a brown solid (0.67 g, 80% yield): MS (ES+) m/z 506.1 (M+1), 508.1 (M+1).

Step 4. Preparation of 4-((1-benzylpiperidin-4-yl)amino)-5-chlorothiophene-2-sulfonamide

[0948]

[0949]

To a solution of 4-((1-benzylpiperidin-4-yl)amino)-5-chloro-N-(4-methoxyphenyl)thiophene-2-sulfonamide (0.67 g, 1.33 mmol) in dichloromethane (3 mL) was added trifluroroacetic acid (2 mL). The reaction mixture was stirred at ambient temperature for 30 minutes and then concentrated in vacuo. After addition of methanol (15 mL), the mixture was filtered. Concentration of the filtrate in vacuo and purification of the residue by column chromatography, eluting with a gradient of 0-8% of methanol in dichloromethane, provided the title compound as a brown solid (0.45 g, 70% yield): MS (ES+) m/z 386.0 (M+1), 388.0 (M+1).

Step 5. Preparation of 4-((1-benzylpiperidin-4-yl)amino)-5-chloro-N-(6-fluoropyridin-2-yl)thiophene-2-sulfonamide

[0950]

[0951]

To a mixture of 4-((1-benzylpiperidin-4-yl)amino)-5-chlorothiophene-2-sulfonamide (0.45 g, 1.16 mmol) and 6-fluoropyridine-2-boronic acid (0.327 g, 2.32 mmol) in acetonitrile (10 mL) was added copper(II) acetate (0.42 g, 2.32 mmol) and triethylamine (0.645 mL, 4.64 mmol). The reaction mixture was degassed by purging with nitrogen and then heated to 40° C. for 16 hours. After cooling to ambient temperature, the reaction mixture was filtered through a bed of celite and the filtrate concentrated under reduced pressure. The residue was dissolved in ethyl acetate (20 mL), and the organic phase was washed with saturated ammonium chloride solution (20 mL) and brine (15 mL). Purification of the residue by column chromatography, eluting with a gradient of 0 to 10% of methanol in dichloromethane, afforded the title compound as a yellow solid (0.14 g, 25% yield): MS (ES+) m/z 481.0 (M+1), 483.0 (M+1).

Step 6. Preparation of 4-((1-benzylpiperidin-4-yl)(methyl)amino)-5-chloro-N-(6-fluoropyridin-2-yl)thiophene-2-sulfonamide

[0952]

[0953]

To a solution of 4-((1-benzylpiperidin-4-yl)amino)-5-chloro-N-(6-fluoropyridin-2-yl)thiophene-2-sulfonamide (0.14 g, 0.29 mmol) in trifluoroacetic acid (3 mL) was added paraformaldehyde (0.013 g, 0.43 mmol) and the reaction mixture was stirred at ambient temperature for 20 minutes. To the reaction mixture was then added sodium triacetoxyborohydride (0.184 g, 0.87 mmol) and stirring was continued for 30 minutes. The mixture concentrated in vacuo and the residue was diluted with ethyl acetate (30 mL). The organic phase was washed with saturated sodium bicarbonate solution (20 mL), water (20 mL), and brine (20 mL). The organic phase was dried over anhydrous magnesium sulfate, and filtered. Concentration of the filtrate in vacuo and purification of the residue by column chromatography, eluting with a gradient of 0 to 8% of methanol in dichloromethane, afforded the title compound as a colorless solid (0.085 g, 59% yield):1H NMR (300 MHz, DMSO-d6) δ 7.75 (q, J=8.4 Hz, 1H), 7.59 (s, 1H), 7.43-7.38 (m, 5H), 6.80 (dd, J=7.9, 2.2 Hz, 1H), 6.59 (dd, J=7.9, 2.5 Hz, 1H), 3.98 (s, 2H), 3.17-3.09 (m, 3H), 2.68-2.57 (m, 5H), 1.77-1.66 (m, 4H), sulfonamide NH not observed; MS (ES+) m/z 495.0 (M+1), 497.0 (M+1).

Example 39

Synthesis of (S)-3-fluoro-5-((1-(2-fluorobenzyl)pyrrolidin-3-yl)(methyl)amino)-4-methyl-N-(thiazol-4-yl)pyridine-2-sulfonamide trifluoroacetic acid salt

[0954]

Step 1. Preparation of 2-(benzylthio)-3,5-difluoropyridine

[0955]

[0956]

To a solution of 2-bromo-3,5-difluoropyridine (28.0 g, 144.2 mmol) in anhydrous 1,4-dioxane (577 mL) was added N,N-diisopropylethylamine (75.0 mL, 432.6 mmol), and benzylthiol (16.7 mL, 142.7 mmol). The reaction mixture was sparged with argon for 20 minutes. To the mixture was then added tris(dibenzylideneacetone)dipalladium(0) (3.30 g, 3.61 mmol) and 4,5-bis(diphenylphosphino)-9,9-dimethylxanthene (4.17 g, 7.21 mmol) and the reaction mixture was heated to reflux for 3 hours. The reaction mixture was allowed to cool to ambient temperature and filtered through a bed of celite. The filter bed was washed with ethyl acetate (2×75 mL) and the combined filtrate was concentrated in vacuo. Purification of the residue by column chromatography, eluting with petroleum ether, afforded the title compound as an orange oil (35.2 g, quantitative yield):1H NMR (300 MHz, CDCl3) δ 8.27 (d, J=2.4 Hz, 1H), 7.44-7.40 (m, 2H), 7.35-7.23 (m, 3H), 7.13 (ddd, J=8.9, 8.0, 2.4 Hz, 1H), 4.46 (s, 2H).

Step 2. Preparation of 2-(benzylthio)-3,5-difluoro-4-methylpyridine

[0957]

[0958]

To a solution of N,N-diisopropylamine (11.5 mL, 81.9 mmol) in anhydrous tetrahydrofuran (273 mL) was added a 1.6 M solution of n-butyl lithium in hexanes (47.5 mL, 75.6 mmol) at 0° C. The reaction mixture was stirred at 0° C. for 10 minutes. To a flask charged with 2-(benzylthio)-3,5-difluoropyridine (15.0 g, 63.0 mmol) was added anhydrous tetrahydrofuran (150 mL) and the solution was cooled to −78° C. To this mixture was then slowly added the previously prepared solution of lithium diisopropylamide at −78° C. The reaction mixture was stirred at −78° C. for 1 h, after which methyl iodide (9.39 g, 66.15 mmol) was added to it. The reaction mixture was stirred at −78° C. for 1 hour and then allowed to warm to ambient temperature over 5 hours. The reaction mixture was quenched by addition of 1:1 mixture of brine and saturated ammonium chloride. The organic layer was separated, washed with brine (2×50 mL), dried over magnesium sulfate, and filtered. Concentration of the filtrate in vacuo and purification of the residue by column chromatography, eluting with a gradient of 1-10% of ethyl acetate in heptane, afforded the title compound as a slightly yellow oil (14.7 g, 93% yield):1H NMR (300 MHz, CDCl3) δ 8.18 (d, J=2.8 Hz, 1H), 7.43-7.39 (m, 2H), 7.34-7.23 (m, 3H), 4.44 (s, 2H), 2.25-2.24 (m, 3H).

Step 3. Preparation of 3,5-difluoro-4-methyl-N-(thiazol-4-yl)pyridine-2-sulfonamide

[0959]

[0960]

To a solution of 2-(benzylthio)-3,5-difluoro-4-methylpyridine (1.23 g, 4.90 mmol) in anhydrous acetonitrile (25 mL) was added water (1.4 mL) and glacial acetic acid (1.8 mL). The mixture was cooled to 0° C., after which 1,3-dichloro-5,5-dimethylhydantoin (1.83 g, 9.31 mmol) was added to it. The reaction mixture was stirred for 2-5 minutes at which point the solution began to turn yellow. The reaction mixture was diluted with ethyl acetate (200 mL), washed with ice cold saturated sodium bicarbonate solution (3×50 mL), and washed with brine (50 mL). The organic phase was dried over magnesium sulfate, filtered, and concentrated in vacuo to provide a yellowish oil. The residue was dissolved in anhydrous pyridine (10 mL) and added to a solution of 4-aminothiazole hydrogen chloride (0.87 g, 5.39 mmol) in pyridine (10 mL) at 0° C. The reaction mixture was allowed to warm to ambient temperature and stirred for 16 hours. The reaction mixture was concentrated in vacuo and the residue was dissolved in ethyl acetate (350 mL). The organic phase was washed with 2% hydrochloric acid (100 mL), water (2×100 mL), brine (100 mL), and dried over magnesium sulfate. Filtration and concentration of the filtrate in vacuo provided a residue, which was purified by column chromatography, eluting with a gradient of 20-100% of ethyl acetate (with 10% of isopropanol and 10% of triethylamine) in heptane, to afford the title compound as a red solid (0.44 g, 31% yield): MS (ES−) m/z 290.0 (M−1).

Step 4. Preparation of 3,5-difluoro-N-(4-methoxybenzyl)-4-methyl-N-(thiazol-4-yl)pyridine-2-sulfonamide

[0961]

[0962]

To a mixture of 3,5-difluoro-N-(thiazol-4-yl)-4-methylpyridine-2-sulfonamide (0.44 g, 1.51 mmol) and sodium bicarbonate (0.304 g, 3.62 mmol) in anhydrous N,N-dimethylformamide (5 mL) was added para-methoxybenzyl chloride (0.28 g, 1.81 mmol) and the reaction mixture was heated to 50° C. for 5 hours. After cooling to ambient temperature, the reaction mixture was diluted with ethyl acetate (200 mL), and the organic phase was washed with saturated ammonium chloride solution (100 mL), water (3×75 mL), brine (100 mL), and dried over anhydrous sodium sulfate. Filtration and concentration of the filtrate in vacuo provided a residue, which was purified by column chromatography, eluting with a gradient of 5-100% of ethyl acetate in heptane, to afford the title compound as a yellow oil (0.34 g, 55% yield):1H NMR (300 MHz, CDCl3) δ 8.57 (d, J=2.3 Hz, 1H), 8.31 (s, 1H), 7.27-7.24 (m, 2H), 7.21 (d, J=2.3 Hz, 1H), 6.83-6.79 (m, 2H), 5.15 (s, 2H), 3.78 (s, 3H), 2.32 (t, J=1.8 Hz, 3H).

Step 5. Preparation of tert-butyl (S)-3-((5-fluoro-6-(N-(4-methoxybenzyl)-N-(thiazol-4-yl)sulfamoyl)-4-methylpyridin-3-yl)amino)pyrrolidine-1-carboxylate

[0963]

[0964]

To a mixture of 3,5-difluoro-N-(4-methoxybenzyl)-4-methyl-N-(thiazol-4-yl)pyridine-2-sulfonamide (0.27 g, 0.66 mmol) and tert-butyl (S)-3-aminopyrrolidine-1-carboxylate (0.15 g, 0.79 mmol) in anhydrous dimethyl sulfoxide (3.3 mL) was added N,N-diisopropylethylamine (0.25 g, 2.0 mmol). The reaction mixture was sparged with nitrogen gas for 10 minutes and then heated to 100° C. for 16 hours. After cooling to ambient temperature, the reaction mixture was diluted with ethyl acetate (120 mL). The organic phase was washed with saturated ammonium chloride solution (3×50 mL), water (2×50 mL), brine (100 mL), and dried over magnesium sulfate. Filtration and concentration of the filtrate in vacuo provided a residue, which was purified by column chromatography, eluting with a gradient of 20-80% of ethyl acetate in heptane, to afford the title compound as an orange oil (0.15 g, 39% yield): MS (ES+) m/z 578.2 (M+1).

Step 6. Preparation of (S)-3-fluoro-5-((1-(2-fluorobenzyl)pyrrolidin-3-yl)amino)-N-(4-methoxybenzyl)-4-methyl-N-(thiazol-4-yl)pyridine-2-sulfonamide

[0965]

[0966]

To a mixture of tert-butyl (S)-3-((5-fluoro-6-(N-(4-methoxybenzyl)-N-(thiazol-4-yl)sulfamoyl)-4-methylpyridin-3-yl)amino)pyrrolidine-1-carboxylate (0.15 g, 0.26 mmol) in anhydrous dichloromethane (2 mL) was added trifluoroacetic acid (2 mL) at 0° C. and the reaction mixture was stirred at 0° C. for 1 hour. The reaction mixture was concentrated in vacuo. The obtained residue was dissolved in methanol (5 mL) and the mixture concentrated in vacuo. The residue was then dissolved in 1,2-dichloroethane (2 mL) and methanol (0.20 mL), and 2-fluorobenzaldehyde (0.070 g, 0.57 mmol) and sodium triacetoxyborohydride (0.12 g, 0.57 mmol) were added to it portionwise. The reaction mixture was stirred at ambient temperature for 1 hour. Additional 2-fluorobenzaldehyde (0.070 g, 0.57 mmol) and sodium triacetoxyborohydride (0.12 g, 0.57 mmol) were added in 3 equal portions and the reaction mixture was stirred at ambient temperature for 1 hour. The reaction mixture was then diluted with ethyl acetate (150 mL). The organic phase was washed with saturated ammonium chloride solution (2×50 mL) and brine (50 mL), and then dried over magnesium sulfate. Filtration and concentration of the filtrate in vacuo provided a residue, which was purified by column chromatography, eluting with a gradient of 5 to 80% of ethyl acetate (with 10% of isopropanol and 10% of triethylamine) in heptane, to provide the title compound as a colorless oil (0.10 g, 65% yield): MS (ES+) m/z 586.0 (M+1).

Step 7. Preparation of (S)-3-fluoro-5-((1-(2-fluorobenzyl)pyrrolidin-3-yl)(methyl)amino)-4-methyl-N-(thiazol-4-yl)pyridine-2-sulfonamide trifluoroacetic acid salt

[0967]

[0968]

To (S)-3-fluoro-5-((1-(2-fluorobenzyl)pyrrolidin-3-yl)amino)-N-(4-methoxybenzyl)-4-methyl-N-(thiazol-4-yl)pyridine-2-sulfonamide (0.10 g, 0.17 mmol) was added trifluoroacetic acid (2 mL) and paraformaldehyde (0.026 g, 0.85 mmol). To the mixture was then added sodium triacetoxyborohydride (0.18 g, 0.85 mmol) in 5 equal portions. The reaction mixture was stirred for 1 h, trifluoroacetic acid (3 mL) was added to it, and the reaction mixture was heated to 50° C. for 3 hours. After cooling to ambient temperature, the reaction mixture was diluted with ethyl acetate (150 mL). The organic phase was washed with saturated sodium bicarbonate solution (3×100 mL), water (1×50 mL), and brine (50 mL), and then dried over magnesium sulfate. Filtration and concentration of the filtrate in vacuo provided a residue, which was dissolved in methanol (25 mL). The mixture was filtered and the filtrate concentrated in vacuo. Purification of the obtained residue by preparative reverse-phase HPLC, eluting with a gradient of 5 to 95% of acetonitrile in water containing 0.1% of trifluoroacetic acid, provided the title compound as a colorless solid (0.035 g, 35% yield):1H NMR (300 MHz, DMSO-d6) δ 11.46-11.44 (m, 1H), 10.52-10.12 (m, 1H), 8.89 (d, J=2.2 Hz, 1H), 8.15 (s, 1H), 7.64-7.51 (m, 2H), 7.37-7.29 (m, 2H), 6.95 (d, J=2.2 Hz, 1H), 4.52-4.40 (m, 2H), 3.68-3.27 (m, 5H), 2.79-2.70 (m, 3H), 2.29-2.01 (m, 5H); MS (ES+) m/z 480.0 (M+1).

Example 40

Synthesis of (R)-3-fluoro-N-(6-fluoropyridin-2-yl)-4-methyl-5-((1-(1-phenylethyl)piperidin-4-yl)oxy)pyridine-2-sulfonamide

[0969]

Step 1. Preparation of (R)-3-fluoro-N-(6-fluoropyridin-2-yl)-N-(4-methoxybenzyl)-4-methyl-5-((1-(1-phenylethyl)piperidin-4-yl)oxy)pyridine-2-sulfonamide

[0970]

[0971]

To a mixture of 3,5-difluoro-N-(6-fluoropyridin-2-yl)-N-(4-methoxybenzyl)-4-methylpyridine-2-sulfonamide (0.50 g, 1.21 mmol) and (R)-1-(1-phenylethyl)piperidin-4-ol (0.27 g, 1.33 mmol) in N,N-dimethylformamide (4 mL) was added a 60% dispersion of sodium hydride in mineral oil (0.073 g, 1.82 mmol). The reaction mixture was stirred at ambient temperature for 3 h, and then diluted with ethyl acetate (200 mL). The organic phase was washed with water (4×75 mL), saturated ammonium chloride solution (1×100 mL), water (2×50 mL), brine (50 mL), and dried over magnesium sulfate. Filtration and concentration of the filtrate in vacuo provided a residue, which was purified by preparative reverse-phase HPLC, eluting with a gradient of 5 to 95% of acetonitrile in water containing 0.1% of trifluoroacetic acid. Further purification by column chromatography, eluting with a gradient of 20-100% of ethyl acetate (with 10% of isopropanol and 10% of triethylamine) in heptane, afforded the title compound as a colorless solid (0.016 g, 50% yield): MS (ES+) m/z 609.2 (M+1).

Step 2. Preparation of (R)-3-fluoro-N-(6-fluoropyridin-2-yl)-4-methyl-5-((1-(1-phenylethyl)piperidin-4-yl)oxy)pyridine-2-sulfonamide

[0972]

[0973]

To (R)-3-fluoro-N-(6-fluoropyridin-2-yl)-N-(4-methoxybenzyl)-4-methyl-5-((1-(1-phenylethyl)piperidin-4-yl)oxy)pyridine-2-sulfonamide (0.36 g, 0.61 mmol) was added 1,2-dichloroethane (5 mL) and trifluoroacetic acid (5 mL) and the reaction mixture was to reflux for 1 hour. After cooling to ambient temperature, the reaction mixture was concentrated in vacuo. The residue was dissolved in methanol (25 mL), filtered, and the filtrate concentrated in vacuo. Purification of the residue by preparative reverse-phase HPLC, eluting with a gradient of 5 to 95% of acetonitrile in water containing 0.1% of trifluoroacetic acid, followed by purification by column chromatography, eluting with a gradient of 15-100% of ethyl acetate (with 10% of isopropanol and 10% of triethylamine) in heptane, provided the title compound as a colorless solid (0.017 g, 6% yield):1H NMR (300 MHz, DMSO-d6) δ 11.68-11.29 (m, 1H), 8.26-8.23 (m, 1H), 7.84-7.76 (m, 1H), 7.38-7.23 (m, 5H), 6.90 (dd, J=7.9, 2.1 Hz, 1H), 6.70-6.67 (m, 1H), 4.77-4.69 (m, 1H), 3.69-3.59 (m, 1H), 2.76-2.60 (m, 2H), 2.46-2.27 (m, 2H), 2.08-2.05 (m, 3H), 2.01-1.89 (m, 2H), 1.78-1.64 (m, 2H), 1.38-1.30 (m, 3H); MS (ES+) m/z 489.0 (M+1).

Example 41

Synthesis of (R)-3-fluoro-4-methyl-5-((1-(1-phenylethyl)piperidin-4-yl)oxy)-N-(thiazol-4-yl)pyridine-2-sulfonamide formic acid salt

[0974]

Step 1. Preparation of (R)-3-fluoro-N-(4-methoxybenzyl)-4-methyl-5-((1-(1-phenylethyl)piperidin-4-yl)oxy)-N-(thiazol-4-yl)pyridine-2-sulfonamide

[0975]

[0976]

To a mixture of 3,5-difluoro-N-(4-methoxybenzyl)-4-methyl-N-(thiazol-4-yl)pyridine-2-sulfonamide (0.11 g, 0.27 mmol) and (R)-1-(1-phenylethyl)piperidin-4-ol (0.061 g, 0.30 mmol) in N,N-dimethylformamide (1 mL) was added a 60% dispersion of sodium hydride in mineral oil (0.016 g, 0.40 mmol) and the reaction mixture was stirred at ambient temperature for 3 hours. The reaction mixture was then diluted with ethyl acetate (120 mL). The organic phase was washed with saturated ammonium chloride solution (1×50 mL), water (2×50 mL), brine (50 mL), and dried over magnesium sulfate. Filtration and concentration of the filtrate in vacuo provided a residue, which was purified by column chromatography, eluting with a gradient of 5 to 95% of ethyl acetate (with 10% of isopropanol and 10% of triethylamine) in heptane, to afford the title compound as a colorless oil (0.089 g, 55% yield): MS (ES+) m/z 597.0 (M+1).

Step 2. Preparation of (R)-3-fluoro-4-methyl-5-((1-(1-phenylethyl)piperidin-4-yl)oxy)-N-(thiazol-4-yl)pyridine-2-sulfonamide formic acid salt

[0977]

[0978]

To (R)-3-fluoro-N-(4-methoxybenzyl)-4-methyl-5-((1-(1-phenylethyl)piperidin-4-yl)oxy)-N-(thiazol-4-yl)pyridine-2-sulfonamide (0.089 g, 0.15 mmol) was added 1,2-dichloroethane (5 mL) and trifluoroacetic acid (5 mL) and the reaction mixture was heated to reflux for 1 hour. After cooling to ambient temperature, the reaction mixture was concentrated in vacuo. The residue was dissolved in methanol (25 mL), filtered, and the filtrate concentrated in vacuo. Purification of the residue by preparative reverse-phase HPLC, eluting with a gradient of 5 to 95% of acetonitrile in water containing 0.5% of formic acid, provided the title compound as a colorless solid (0.024 g, 34% yield):1H NMR (300 MHz, DMSO-d6) δ 12.33-10.96 (m, 2H), 8.87 (d, J=2.2 Hz, 1H), 8.24 (s, 1H), 8.15 (s, 1H), 7.33-7.23 (m, 5H), 6.91 (d, J=2.2 Hz, 1H), 4.73-4.70 (m, 1H), 3.54 (d, J=6.8 Hz, 1H), 2.66-2.59 (m, 2H), 2.31-2.26 (m, 2H), 2.08 (d, J=1.9 Hz, 3H), 1.97-1.89 (m, 2H), 1.71-1.64 (m, 2H), 1.33-1.31 (m, 3H); MS (ES+) m/z 477.0 (M+1).

Example 42

Synthesis of 5-((1-benzylpiperidin-4-yl)(methyl)amino)-3-fluoro-N-(6-fluoropyridin-2-yl)-6-methylpyridine-2-sulfonamide trifluoroacetic acid salt

[0979]

Step 1. Preparation of tert-butyl (2-chloro-5-fluoropyridin-3-yl)carbamate

[0980]

[0981]

To a solution of 2-chloro-5-fluoronicotinic acid (35.11 g, 0.20 mol) in tert-butanol (100 mL) and toluene (400 mL) was added diphenylphosphoryl azide (48.0 mL, 76.9 mmol) and the reaction mixture was heated at 90° C. for 4 hours. After cooling to ambient temperature, the reaction mixture was diluted with ethyl acetate (400 mL), and washed with 10% aqueous sodium carbonate solution (3×100 mL) and brine (100 mL). The organic phase was dried over anhydrous sodium sulfate and filtered. The filtrate was concentrated in vacuo, and the residue was purified by column chromatography, eluting with a gradient of 5 to 15% of ethyl acetate in heptane, to afford the title compound as colorless solid (47.0 g, 85% yield):1H NMR (300 MHz, CDCl3) δ 8.42-8.36 (m, 1H), 7.91 (d, J=1.1 Hz, 1H), 7.04 (s, 1H), 1.53 (s, 9H).

Step 2. Preparation of tert-butyl (5-fluoro-2-methylpyridin-3-yl)carbamate

[0982]

[0983]

To a mixture of tert-butyl (2-chloro-5-fluoropyridin-3-yl)carbamate (24.67 g, 0.10 mol) in toluene (250 mL) and water (25 mL) was added methylboronic acid (12.0 g, 0.20 mmol) and potassium phosphate tribasic (89.8 g, 0.40 mol) and the mixture was purged with nitrogen for 10 minutes. To it was then added dichloro[1,1′-bis(diphenyl-phosphino)ferrocene]palladium(II) dichloromethane adduct (4.0 g, 4.89 mmol) and the reaction mixture was heated to 100° C. for 16 hours. After cooling to ambient temperature, water (150 mL) was added to the mixture. The organic layer was separated, and the aqueous layer was extracted with ethyl acetate (2×100 mL). The combined organic layer was washed with brine (100 mL), dried over anhydrous sodium sulfate, and filtered. The filtrate was concentrated in vacuo, and the residue was purified by column chromatography, eluting with a gradient of 5 to 20% of ethyl acetate in heptane, to afford the title compound as colorless solid (16.9 g, 74% yield):1H NMR (300 MHz, CDCl3) δ 8.19-8.15 (m, 1H), 8.04 (d, J=2.7 Hz, 1H), 6.40 (s, 1H), 2.47 (d, J=1.1 Hz, 3H), 1.53 (s, 9H).

Step 3. Preparation of tert-butyl (6-bromo-5-fluoro-2-methylpyridin-3-yl)carbamate

[0984]

[0985]

To a solution of tert-butyl (5-fluoro-2-methylpyridin-3-yl)carbamate (14.5 g, 64.1 mmol) in acetonitrile (300 mL) was added anhydrous N,N-dimethylformamide (0.5 mL) and N-bromosuccinimide (13.7 g, 76.9 mmol) and the reaction mixture was heated to 80° C. for 16 hours. After cooling to ambient temperature, the reaction mixture was diluted with ethyl acetate (100 mL) and washed with saturated ammonium chloride (3×40 mL). The organic phase was dried over anhydrous sodium sulfate, and filtered.

[0986]

The filtrate was concentrated in vacuo and the residue purified by column chromatography, eluting with a gradient of 10 to 50% of ethyl acetate in heptane, to afford the title compound as colorless solid (14.0 g, 72% yield):1H NMR (300 MHz, CDCl3) δ 8.23 (d, J=9.7 Hz, 1H), 6.39 (s, 1H), 2.46 (d, J=1.1 Hz, 3H), 1.54 (s, 9H).

Step 4. Preparation of tert-butyl (6-(benzylthio)-5-fluoro-2-methylpyridin-3-yl)carbamate

[0987]

[0988]

To a solution of tert-butyl (6-bromo-5-fluoro-2-methylpyridin-3-yl)carbamate (14.0 g, 45.9 mmol) in anhydrous dioxane (125 mL) and N,N-diisopropylethylamine (16 mL, 91.8 mmol) was added tris(dibenzylideneacetone)dipalladium(0) (1.26 g, 1.38 mmol), Xantphos (0.80 g, 1.38 mmol) and benzyl mercaptan (5.44 g, 43.6 mmol). The reaction mixture was degassed with nitrogen and heated to 103° C. for 16 hours. After cooling to ambient temperature, the reaction mixture was diluted with ethyl acetate (150 mL), washed with saturated ammonium chloride (3×50 mL), and dried over anhydrous sodium sulfate. Filtration and concentration of the filtrate in vacuo provided a residue, which was purified by column chromatography, eluting with a gradient of 10 to 50% of ethyl acetate in heptane, to afford the title compound as colorless solid (15.1 g, 94% yield):1H NMR (300 MHz, CDCl3) δ 7.99-7.95 (m, 1H), 7.44-7.41 (m, 2H), 7.33-7.24 (m, 3H), 6.30 (s, 1H), 4.44 (s, 2H), 2.47 (d, J=1.1 Hz, 3H), 1.55 (s, 9H); MS (ES+) m/z 349.2 (M+1).

Step 5. Preparation of tert-butyl (6-(chlorosulfonyl)-5-fluoro-2-methylpyridin-3-yl)carbamate

[0989]

[0990]

To a cooled solution of tert-butyl (6-(benzylthio)-5-fluoro-2-methylpyridin-3-yl)carbamate (12.7 g, 36.4 mmol) in acetonitrile (300 mL), acetic acid (75 mL), and water (75 mL) was added 1,3-dichloro-5,5-dimethylhydantoin (21.4 g, 67%, 72.9 mmol) in small portions at 0° C. and the reaction mixture was at 0° C. for 1 hour. The reaction mixture was then concentrated in vacuo while keeping the temperature below 30° C. The residue was triturated in diethyl ether (300 mL), and the solid was filtered off and washed with diethyl ether (150 mL). The combined diethyl ether layers were concentrated in vacuo. The residue was purified by column chromatography, eluting with a gradient of 5 to 100% of ethyl acetate in heptane, to afford the title compound as colorless solid (7.30 g, 62% yield):1H NMR (300 MHz, CDCl3) δ 8.56 (d, J=11.9 Hz, 1H), 6.79 (s, 1H), 2.58 (d, J=0.7 Hz, 3H), 1.57 (s, 9H).

Step 6. Preparation of tert-butyl (5-fluoro-6-(N-(6-fluoropyridin-2-yl)sulfamoyl)-2-methylpyridin-3-yl)carbamate

[0991]

[0992]

To a mixture of tert-butyl (6-(chlorosulfonyl)-5-fluoro-2-methylpyridin-3-yl)carbamate (2.0 g, 6.16 mmol) in anhydrous pyridine (5 mL) was added 6-fluoropyridin-2-amine (0.70 g, 6.16 mmol). The reaction mixture was stirred at ambient temperature for 16 h, and then diluted with ethyl acetate (100 mL). The mixture was washed with 1 N hydrochloric acid (2×20 mL) and saturated ammonium chloride (2×30 mL), dried over anhydrous sodium sulfate, and filtered. The filtrate was concentrated in vacuo, and the residue was purified by column chromatography, eluting with a gradient of 10 to 70% of ethyl acetate in heptane, to afford the title compound as a beige color solid (0.45 g, 18% yield):1H NMR (300 MHz, CDCl3) δ 8.39 (d, J=11.9 Hz, 1H), 7.86 (d, J=0.5 Hz, 1H), 7.70 (q, J=8.0 Hz, 1H), 7.33 (dd, J=8.0, 2.0 Hz, 1H), 6.64-6.60 (m, 2H), 2.45 (d, J=0.7 Hz, 3H), 1.54 (s, 9H); MS (ES+) m/z 401.0 (M+1).

Step 7. Preparation of 5-((1-benzylpiperidin-4-yl)amino)-3-fluoro-N-(6-fluoropyridin-2-yl)-6-methylpyridine-2-sulfonamide

[0993]

[0994]

To a solution of tert-butyl (5-fluoro-6-(N-(6-fluoropyridin-2-yl)sulfamoyl)-2-methylpyridin-3-yl)carbamate (0.86 g, 2.15 mmol) in anhydrous dichloromethane (15 mL) was added a 4 M solution of hydrogen chloride in dioxane (15 mL). The reaction mixture was stirred at ambient temperature for 16 h, after which the reaction mixture was concentrated in vacuo. The residue was dissolved in anhydrous tetrahydrofuran (3 mL). To this mixture was added 1-benzylpiperidin-4-one (0.46 g, 2.43 mmol) and titanium(IV) isopropoxide (2.88 g, 10.1 mmol). The reaction mixture was stirred at ambient temperature for 16 h, and a 1 M solution of sodium cyanoborohydride in tetrahydrofuran (5 mL, 5.0 mmol) was added to it. The reaction mixture was stirred at ambient temperature for 2 hours. The reaction mixture was then diluted with ethyl acetate (50 mL), washed with saturated ammonium chloride (20 mL) and brine (20 mL), and dried over anhydrous sodium sulfate. Filtration and concentration of the filtrate in vacuo provided a residue which was purified by column chromatography, eluting with a gradient of 10 to 80% of ethyl acetate (containing 20% of ethanol and 0.2% of ammonium hydroxide) in heptane, to afford the title compound as light yellow solid (0.33 g, 29% yield): MS (ES+) m/z 474.0 (M+1).

Step 8. Preparation of 5-((1-benzylpiperidin-4-yl)(methyl)amino)-3-fluoro-N-(6-fluoropyridin-2-yl)-6-methylpyridine-2-sulfonamide trifluoroacetic acid salt

[0995]

[0996]

To a solution of 5-((1-benzylpiperidin-4-yl)amino)-3-fluoro-N-(6-fluoropyridin-2-yl)-6-methylpyridine-2-sulfonamide (0.33 g, 0.70 mmol) in dichloromethane (1 mL) and trifluoroacetic acid (4 mL) was added paraformaldehyde (0.06 g, 2.1 mmol), followed by sodium triacetoxyborohydride (0.52 g, 2.7 mmol). The reaction mixture was stirred at ambient temperature for 16 hours and then concentrated in vacuo. The residue was triturated with methanol (4×25 mL), filtered, and the filtrate was concentrated in vacuo. The residue obtained from the filtrate was then dissolved in ethyl acetate (100 mL), washed with saturated ammonium chloride solution (2×30 mL); dried over anhydrous magnesium sulfate, and filtered. The filtrate was concentrated in vacuo, and the residue was purified by preparative reverse-phase HPLC, eluting with 10-60% of acetonitrile in water containing 0.1% of trifluoroacetic acid, to afford the title compound as a colorless solid (0.10 g, 29% yield):1H NMR (300 MHz, DMSO-d6) δ 11.64 (s, 1H), 9.85-9.76 (m, 1H), 7.86 (q, J=8.3 Hz, 1H), 7.58-7.46 (m, 6H), 6.98 (dd, J=7.9, 2.0 Hz, 1H), 6.74 (dd, J=8.0, 2.4 Hz, 1H), 4.29-4.23 (m, 2H), 3.49-3.35 (m, 3H), 3.10-2.96 (m, 2H), 2.65 (s, 3H), 2.36 (s, 3H), 2.09-1.94 (m, 2H), 1.83-1.74 (m, 2H); MS (ES+) m/z 488.1 (M+1).

Example 43

Synthesis of (R)—N-(6-fluoropyridin-2-yl)-5-methyl-6-((1-(1-phenylethyl)piperidin-4-yl)oxy)pyridine-3-sulfonamide

[0997]

Step 1. Preparation of 5-chloro-6-fluoro-N-(6-fluoropyridin-2-yl)pyridine-3-sulfonamide

[0998]

[0999]

To a solution of 6-fluoropyridin-2-amine (0.34 g, 3.0 mmol) in anhydrous pyridine (5.0 mL) was added a solution of 5-chloro-6-fluoropyridine-3-sulfonyl chloride (0.69 g, 3.0 mmol) in anhydrous dichloromethane (3 mL) at 0° C. The reaction mixture was stirred for 3 hours and then diluted with ethyl acetate (70 mL). The mixture was washed with 3 M hydrochloric acid (70 mL), 1 M hydrochloric acid (50 mL), brine (50 mL), dried over anhydrous sodium sulfate, and filtered. The filtrate was concentrated in vacuo to provide a residue, which was purified by column chromatography, eluting with a gradient of 0-60% of ethyl acetate (with 20% of ethanol and 0.1% of ammonium hydroxide) in heptane, to afford the title compound as a reddish solid (0.92 g, quantitative yield): MS (ES+) m/z 304.1 (M+1), 306.1 (M+1).

Step 2. Preparation of (R)-5-chloro-N-(6-fluoropyridin-2-yl)-6-((1-(1-phenylethyl)piperidin-4-yl)oxy)pyridine-3-sulfonamide

[1000]

[1001]

To a solution of 5-chloro-6-fluoro-N-(6-fluoropyridin-2-yl)pyridine-3-sulfonamide (0.97 g, 3.17 mmol) and (R)-1-(1-phenylethyl)piperidin-4-ol (0.65 g, 3.17 mmol) in anhydrous N,N-dimethylformamide (25 mL) was added sodium hydride (60% dispersion in mineral oil, 0.25 g, 6.34 mmol) at 0° C. The resulting mixture was stirred for 4 hours and then diluted with ethyl acetate (120 mL). The mixture was washed with saturated ammonium chloride (2×60 mL), brine (25 mL), dried over anhydrous sodium sulfate, and filtered. The filtrate was concentrated in vacuo to provide a residue, which was purified by column chromatography, eluting with a gradient of 0-80% of ethyl acetate (with 20% of ethanol and 0.1% of ammonium hydroxide) in heptane, to afford the title compound as a colorless foam (0.94 g, 60% yield):1H NMR (300 MHz, DMSO-d6) δ 8.58 (d, J=2.2 Hz, 1H), 8.27 (d, J=2.2 Hz, 1H), 7.75 (q, J=8.4 Hz, 1H), 7.38-7.25 (m, 5H), 6.80 (dd, J=7.9, 2.2 Hz, 1H), 6.60 (dd, J=7.9, 2.5 Hz, 1H), 5.20-5.12 (m, 1H), 3.78-3.71 (m, 1H), 2.84-2.69 (m, 2H), 2.02-1.96 (m, 2H), 1.80-1.72 (m, 2H), 1.38 (d, J=6.8 Hz, 3H), 1.27-1.22 (m, 2H), NH not observed; MS (ES+) m/z 491.0 (M+1), 493.2 (M+1).

Step 3. Preparation of (R)—N-(6-fluoropyridin-2-yl)-5-methyl-6-((1-(1-phenylethyl)piperidin-4-yl)oxy)pyridine-3-sulfonamide

[1002]

[1003]

To a mixture of (R)-5-chloro-N-(6-fluoropyridin-2-yl)-6-((1-(1-phenylethyl)piperidin-4-yl)oxy)pyridine-3-sulfonamide (0.94 g, 1.91 mmol), methyl boronic acid (1.38 g, 22.97 mmol), and potassium phosphate (5.68 g, 26.74 mmol) was added anhydrous dioxane (30 mL). The mixture was sparged with nitrogen for 30 minutes and then palladium(II) acetate (0.086 g, 0.38 mmol) and tricyclohexylphosphine tetrafluoroborate (0.28 g, 0.76 mmol) was added and the reaction mixture was heated to reflux for 4 hours. After cooling to ambient temperature, the reaction mixture was diluted with ethyl acetate (80 mL). The mixture was filtered and the filtrate was concentrated in vacuo. The residue was purified by column chromatography, eluting with a gradient of 0-60% of ethyl acetate (with 20% of ethanol and 0.1% of ammonium hydroxide) in heptane, and then triturated with ethanol (25 mL) to afford the title compound as a colorless solid (0.24 g, 27% yield):1H NMR (300 MHz, DMSO-d6) δ 8.50 (d, J=2.4 Hz, 1H), 7.97 (dd, J=2.4, 0.8 Hz, 1H), 7.79 (q, J=8.3 Hz, 1H), 7.36-7.29 (m, 4H), 7.24 (dt, J=8.9, 4.3 Hz, 1H), 6.88 (dd, J=7.9, 2.1 Hz, 1H), 6.65 (dd, J=7.9, 2.5 Hz, 1H), 5.12-5.04 (m, 1H), 3.58 (q, J=6.7 Hz, 1H), 2.70-2.66 (m, 2H), 2.37-2.31 (m, 2H), 2.10 (s, 3H), 1.96-1.91 (m, 2H), 1.70-1.65 (m, 2H), 1.32 (d, J=6.8 Hz, 3H), NH not observed; MS (ES+) m/z 471.3 (M+1).

Example 44

Synthesis of (R)—N-(6-fluoropyridin-2-yl)-4-methyl-5-(methyl(1-(1-phenylethyl)piperidin-4-yl)amino)thiazole-2-sulfonamide formic acid salt

[1004]

[1005]

To a mixture of tert-butyl (2-(N-(6-fluoropyridin-2-yl)sulfamoyl)-4-methylthiazol-5-yl)carbamate (0.94 g, 2.42 mmol) in 1,2-dichloroethane (8 mL) was added trifluoroacetic acid (10 mL). The reaction mixture was stirred at ambient temperature for 10 minutes and then cooled to 0° C. To the reaction mixture was added (R)-1-(1-phenylethyl)piperidin-4-one (0.98 g, 4.84 mmol) and the reaction mixture was stirred at 0° C. for 10 minutes. To the reaction mixture was added sodium triacetoxyborohydride (2.05 g, 9.68 mmol), stirring was continued at 0° C. for 10 minutes, and paraformaldehyde (0.29 g, 9.68 mmol) was added to it. After stirring at 0° C. for another 15 minutes, the reaction mixture was diluted with water (65 mL), dichloromethane (45 mL), and the pH of the aqueous layer was adjusted to pH 10 with solid sodium hydroxide. The mixture was extracted with ethyl acetate (2×100 mL) and the organic layers were combined. The organic phase was washed with saturated ammonium chloride (50 mL), brine (50 mL), dried over anhydrous sodium sulfate, and filtered. The filtrate was concentrated in vacuo to provide a residue which was purified by preparative reverse phase HPLC, using acetonitrile in water containing 0.2% of formic acid as eluent, to afford the title compound as a colorless solid (0.44 g, 34% yield):1H NMR (400 MHz, DMSO-d6) δ 9.69 (s, 1H), 8.17 (s, 1H), 7.64 (q, J=8.5 Hz, 1H), 7.42-7.32 (m, 5H), 6.89 (dd, J=8.0, 2.5 Hz, 1H), 6.43 (dd, J=7.8, 2.7 Hz, 1H), 4.13-4.05 (m, 1H), 3.29-3.25 (m, 1H), 3.05-3.01 (m, 1H), 2.90-2.82 (m, 1H), 2.59 (s, 3H), 2.46-2.42 (m, 1H), 2.11 (s, 3H), 1.85-1.62 (m, 4H), 1.48 (d, J=6.8 Hz, 3H), NH and COOH not observed; MS (ES+) m/z 490.0 (M+1).

Example 45

Synthesis of 5-((1-benzylpiperidin-4-yl)(methyl)amino)-N-(6-fluoropyridin-2-yl)-4-(trifluoromethyl)thiazole-2-sulfonamide

[1006]

Step 1. Preparation of ethyl 2-(benzylthio)-4-(trifluoromethyl)thiazole-5-carboxylate

[1007]

[1008]

To a solution of ethyl 2-bromo-4-(trifluoromethyl)thiazole-5-carboxylate (25.00 g, 82.21 mmol) in anhydrous dioxane (450 mL) was added N,N-diisopropylethylamine (28.6 mL, 164.4 mmol) and the mixture was spared with nitrogen for 30 minutes. To the mixture was then added benzyl mercaptan (9.17 mL, 78.10 mmol), 4,5-bis(diphenylphosphino)-9,9-dimethylxanthene (2.38 g, 4.11 mmol), and tris(dibenzylideneacetone)dipalladium(0) (1.88 g, 2.06 mmol). The reaction mixture was heated to reflux for 18 h, allowed to cool to ambient temperature, and diluted with ethyl acetate (200 mL). The mixture was washed with saturated ammonium chloride (2×150 mL), brine (100 mL), dried over anhydrous sodium sulfate, and filtered. The filtrate was concentrated in vacuo to provide a residue, which was purified by column chromatography, eluting with a gradient of 0-35% of ethyl acetate in heptane, to afford the title compound as a orange oil (26.91 g, 94% yield):1H NMR (300 MHz, CDCl3) δ 7.46-7.42 (m, 2H), 7.39-7.28 (m, 3H), 4.51 (s, 2H), 4.38 (q, J=7.1 Hz, 2H), 1.38 (t, J=7.1 Hz, 3H); MS (ES+) m/z 348.0 (M+1).

Step 2. Preparation of 2-(benzylthio)-4-(trifluoromethyl)thiazole-5-carboxylic acid

[1009]

[1010]

To a solution of ethyl 2-(benzylthio)-4-(trifluoromethyl)thiazole-5-carboxylate (24.46 g, 70.44 mmol) in tetrahydrofuran (80 mL), methanol (20 mL), and water (20 mL) was added sodium hydroxide (8.35 g, 211.3 mmol). The reaction mixture was stirred at ambient temperature for 1 hour and then diluted with ethyl acetate (300 mL). The mixture was washed with 3 M hydrochloric acid (100 mL), 1 M hydrochloric acid (75 mL), brine (100 mL), dried over anhydrous sodium sulfate, and filtered. The filtrate was concentrated in vacuo to afford the title compound as a yellow solid (21.79 g, 97% yield): MS (ES+) m/z 320.0 (M+1).

Step 3. Preparation of tert-butyl (2-(benzylthio)-4-(trifluoromethyl)thiazol-5-yl)carbamate

[1011]

[1012]

To a solution of 2-(benzylthio)-4-(trifluoromethyl)thiazole-5-carboxylic acid (12.89 g, 40.37 mmol) in tert-butanol (150 mL) was added triethylamine (16.88 mL, 121.11 mmol) and diphenyl phosphoryl azide (10.45 mL, 48.44 mmol) and the reaction mixture was heated to reflux for 1.25 hours. After cooling to ambient temperature, the reaction mixture was diluted with ethyl acetate (350 mL). The mixture was washed with saturated ammonium chloride (2×150 mL), brine (150 mL), dried over anhydrous sodium sulfate, and filtered. The filtrate was concentrated in vacuo to provide a residue which was purified by column chromatography, eluting with a gradient of 0-35% of ethyl acetate in heptane, to afford the title compound as a orange oil (5.71 g, 36% yield): MS (ES+) m/z 391.0 (M+1).

Step 4. Preparation of tert-butyl (2-sulfamoyl-4-(trifluoromethyl)thiazol-5-yl)carbamate

[1013]

[1014]

To a solution of tert-butyl (2-(benzylthio)-4-(trifluoromethyl)thiazol-5-yl)carbamate (5.71 g, 14.62 mmol), acetic acid (4.18 mL, 73.1 mmol), and water (3.42 mL, 190.1 mmol) in acetonitrile (100 mL) was added 1,3-dichloro-5,5-dimethylhydantoin (5.76 g, 29.24 mmol) at 0° C. The reaction mixture was stirred at 0° C. for 30 minutes and then diluted with ethyl acetate (260 mL). The mixture was washed with water (2×120 mL), saturated sodium bicarbonate (100 mL), and brine (2×100 mL). The organic layer was then cooled to 0° C. To this solution was added concentrated ammonium hydroxide (8.54 mL, 73.1 mmol) at to 0° C. and the mixture was stirred at 0° C. for 1.5 hours. The mixture was washed with 3 M hydrochloric acid (75 mL), brine (2×50 mL), dried over anhydrous sodium sulfate, and filtered. Concentration of the filtrate provided a residue, which was purified by column chromatography, eluting with a gradient of 0-75% of ethyl acetate in heptane, to afford the title compound as a light yellow foam (3.41 g, 67% yield):1H NMR (300 MHz, CDCl3) δ 7.64 (s, 1H), 5.66 (s, 2H), 1.57 (s, 9H); MS (ES+) m/z 348.0 (M+1).

Step 5. Preparation of tert-butyl (2-(N-(6-fluoropyridin-2-yl)sulfamoyl)-4-(trifluoromethyl)thiazol-5-yl)carbamate

[1015]

[1016]

To a mixture of tert-butyl (2-sulfamoyl-4-(trifluoromethyl)thiazol-5-yl)carbamate (3.41 g, 9.82 mmol) and triethylamine (4.11 mL, 29.46 mmol) in acetonitrile (55 mL) was added (6-fluoropyridin-2-yl)boronic acid (1.38 g, 9.82 mmol) and copper(II) acetate (1.78 g, 9.82 mmol). The reaction mixture was heated to 50° C. for 18 hours. After cooling to ambient temperature, the reaction mixture was diluted with ethyl acetate (300 mL). The mixture was washed with 2 M hydrochloric acid (100 mL), saturated ammonium chloride (2×100 mL), brine (100 mL), dried over anhydrous sodium sulfate, and filtered. The filtrate was concentrated in vacuo to provide a residue which was purified by column chromatography, eluting with a gradient of 0-60% of ethyl acetate (with 0.2% formic acid) in heptane, to afford the title compound as a light yellow foam (1.57 g, 36% yield): MS (ES+) m/z 443.0 (M+1).

Step 6. Preparation of 5-((1-benzylpiperidin-4-yl)(methyl)amino)-N-(6-fluoropyridin-2-yl)-4-(trifluoromethyl)thiazole-2-sulfonamide

[1017]

[1018]

To a mixture of tert-butyl (2-(N-(6-fluoropyridin-2-yl)sulfamoyl)-4-(trifluoromethyl)thiazol-5-yl)carbamate (1.00 g, 2.26 mmol) and trifluoroacetic acid (10 mL) in 1,2-dichloroethane (6 mL) was added 1-benzylpiperidin-4-one (0.86 g, 4.52 mmol) at 0° C. The reaction mixture was stirred at 0° C. for 10 minutes, followed by addition of sodium triacetoxyborohydride (2.87 g, 13.56 mmol) in 4 portions. The reaction mixture was stirred at 0° C. for 20 minutes and paraformaldehyde (0.34 g, 11.3 mmol) was added to it. The reaction mixture was stirred at 0° C. for 30 minutes, and then diluted with water (60 mL). The pH of the mixture was adjusted to ph 12 with solid sodium hydroxide and the mixture was extracted with ethyl acetate (2×100 mL). The combined organic layers were washed with saturated ammonium chloride (30 mL), brine (30 mL), dried over anhydrous sodium sulfate, and filtered. The filtrate was concentrated in vacuo to provide a residue which was purified by preparative reverse phase HPLC, using acetonitrile in water containing 0.2% of formic acid as eluent, to afford the title compound as a colorless solid (0.13 g, 11% yield):1H NMR (400 MHz, DMSO-d6) δ 7.56 (q, J=8.6 Hz, 1H), 7.45-7.37 (m, 5H), 6.72 (dd, J=7.9, 2.4 Hz, 1H), 6.32 (dd, J=7.7, 2.6 Hz, 1H), 3.99 (s, 2H), 3.21-3.13 (m, 3H), 2.75 (s, 3H), 2.70-2.62 (m, 2H), 1.88-1.77 (m, 4H), NH not observed; MS (ES+) m/z 530.0 (M+1).

Example 46

Synthesis of (S)-6-((1-benzylpyrrolidin-3-yl)amino)-5-methyl-N-(thiazol-4-yl)pyridine-3-sulfonamide

[1019]

Step 1. Preparation of 5-(benzylthio)-3-chloro-2-fluoropyridine

[1020]

[1021]

To a solution of 5-bromo-3-chloro-2-fluoropyridine (10.0 g, 47.5 mmol) in anhydrous 1,4-dioxane (95 mL) was added N,N-diisopropylethylamine (10.0 mL, 57.0 mmol) and the mixture was degassed by sparging with argon. To the resulting mixture was added tris(dibenzylideneacetone)dipalladium(0) (1.09 g, 1.20 mmol), 4,5-bis(diphenylphosphino)-9,9-dimethylxanthene (1.65 g, 2.90 mmol) and benzyl mercaptan (6.6 mL, 55.9 mmol). The reaction mixture was degassed with argon and then heated to 100° C. for 16 hours. The reaction mixture was allowed to cool to ambient temperature and filtered. Concentration of the filtrate in vacuo and purification of the residue by column chromatography, eluting with 5% of ethyl acetate in heptane, afforded the title compound as a yellow oil (9.54 g, 79% yield):1H NMR (300 MHz, CDCl3) δ 7.92 (dd, J=2.2, 1.3 Hz, 1H), 7.61 (dd, J=8.4, 2.2 Hz, 1H), 7.32-7.24 (m, 3H), 7.19-7.16 (m, 2H), 4.02 (s, 2H); MS (ES+) m/z 254.1 (M+1), 256.1 (M+1).

Step 2. Preparation of 5-chloro-6-fluoropyridine-3-sulfonyl chloride

[1022]

[1023]

To a solution of 5-(benzylthio)-3-chloro-2-fluoropyridine (9.54 g, 37.6 mmol) in a mixture of acetonitrile (269 mL) and water (9 mL) was added 1,3-dichloro-5,5-dimethylimidazolidine-2,4-dione (20.8 g, 106 mmol). The reaction mixture was cooled to 0° C. and acetic acid (13 mL) was added dropwise. The reaction mixture was stirred at 0° C. for 30 minutes. After addition of water (130 mL), the mixture was extracted with ethyl acetate (3×80 mL). The combined organic layers were washed with brine (40 mL), dried over anhydrous sodium sulfate, and filtered. Concentration of the filtrate in vacuo and purification of the residue by column chromatography, eluting with 10% of ethyl acetate in heptane, afforded the title compound as a pale yellow oil (3.29 g, 38% yield):1H NMR (300 MHz, CDCl3) δ 8.79 (dd, J=2.3, 1.1 Hz, 1H), 8.44 (dd, J=7.7, 2.4 Hz, 1H).

Step 3. Preparation of tert-butyl ((5-chloro-6-fluoropyridin-3-yl)sulfonyl)(thiazol-4-yl)carbamate

[1024]

[1025]

To a solution of tert-butyl thiazol-4-ylcarbamate (3.15 g, 15.7 mmol) in anhydrous tetrahydrofuran (72 mL) was added a 1 M solution of lithium bis(trimethylsilyl)amide in tetrahydrofuran (15.7 mL, 15.7 mmol) at −78° C. The reaction mixture was stirred at −78° C. for 15 minutes, allowed to warm to ambient temperature and stirred for 1 hour. The reaction mixture was cooled to −78° C., and a solution of 5-chloro-6-fluoropyridine-3-sulfonyl chloride (3.29 g, 14.3 mmol) in anhydrous tetrahydrofuran (72 mL) was then added dropwise. The reaction mixture was stirred at −78° C. for 30 minutes, allowed to warm to ambient temperature, and stirred for 16 hours. After addition of saturated aqueous ammonium chloride (50 mL), the mixture was extracted with ethyl acetate (3×50 mL). The combined organic phases were washed with brine (50 mL), dried over anhydrous sodium sulfate, and filtered. Concentration of the filtrate in vacuo and purification of the residue by column chromatography, eluting with 20% of ethyl acetate in heptane, afforded the title compound as a yellow solid (1.40 g, 25% yield):1H NMR (300 MHz, CDCl3) δ 8.81 (dd, J=2.3, 1.1 Hz, 1H), 8.79 (d, J=2.2 Hz, 1H), 8.60 (dd, J=8.1, 2.3 Hz, 1H), 7.56 (d, J=2.2 Hz, 1H), 1.38 (s, 9H); MS (ES+) m/z 394.0 (M+1), 396.1 (M+1).

Step 4. Preparation of tert-butyl (S)-3-((5-(N-(tert-butoxycarbonyl)-N-(thiazol-4-yl)sulfamoyl)-3-chloropyridin-2-yl)amino)pyrrolidine-1-carboxylate

[1026]

[1027]

To a mixture of ten-butyl (S)-aminopyrrolidine-1-carboxylate (0.27 g, 1.47 mmol) and tert-butyl ((5-chloro-6-fluoropyridin-3-yl)sulfonyl)(thiazol-4-yl)carbamate (0.55 g, 1.40 mmol) in anhydrous dimethyl sulfoxide (12 mL) was added potassium carbonate (0.39 g, 2.80 mmol) and the reaction mixture was stirred at ambient temperature for 12 hours. After dilution with ethyl acetate (100 mL), the mixture was washed with saturated ammonium chloride (2×60 mL), brine (50 mL), dried over anhydrous sodium sulfate, and filtered. Concentration of the filtrate in vacuo afforded the title compound as a pale yellow foam (0.71 g, 91% yield) which was used without further purification:1H NMR (300 MHz, CDCl3) δ 8.79 (d, J=2.3 Hz, 1H), 8.68 (d, J=2.1 Hz, 1H), 8.16 (d, J=2.2 Hz, 1H), 7.53 (d, J=2.3 Hz, 1H), 5.59 (dd, J=6.7, 0.4 Hz, 1H), 4.80-4.70 (m, 1H), 3.82 (dd, J=11.4, 6.2 Hz, 1H), 3.58-3.50 (m, 2H), 3.34-3.28 (m, 1H), 2.38-2.27 (m, 1H), 2.04-1.95 (m, 1H), 1.50 (s, 9H), 1.42 (s, 9H); MS (ES+) m/z 560.2 (M+1), 562.2 (M+1; MS (ES−) m/z 558.3 (M−1), 560.2 (M−1).

Step 5. Preparation of tert-butyl (S)-3-((5-(N-(tert-butoxycarbonyl)-N-(thiazol-4-yl)sulfamoyl)-3-methylpyridin-2-yl)amino)pyrrolidine-1-carboxylate

[1028]

[1029]

To a mixture of tert-butyl (S)-3-((5-(N-(tert-butoxycarbonyl)-N-(thiazol-4-yl)sulfamoyl)-3-chloropyridin-2-yl)amino)pyrrolidine-1-carboxylate (0.44 g, 0.78 mmol), methylboronic acid (0.37 g, 6.22 mmol), and potassium phosphate tribasic (0.495 g, 2.33 mmol) was added 1,2-dimethoxyethane (15 mL) and the mixture was degassed by sparging with nitrogen for 10 minutes. To the degassed solution was then added palladium(II) acetate (0.026 g, 0.12 mmol), and tricyclohexylphosphine tetrafluoroborate (0.086 g, 0.24 mmol). The resulting reaction mixture was heated at 85° C. for 3 hours. After cooling to ambient temperature, the reaction mixture was filtered and the filter cake rinsed with ethyl acetate (100 mL). Concentration of the combined filtrate in vacuo and purification of the residue by column chromatography, eluting with a gradient of 0-60% of ethyl acetate in heptane, afforded the title compound as a colorless foam (0.32 g, 77% yield): MS (ES+) m/z 540.3 (M+1).

Step 6. Preparation of (S)-5-methyl-6-(pyrrolidin-3-ylamino)-N-(thiazol-4-yl)pyridine-3-sulfonamide trifluoroacetic acid salt

[1030]

[1031]

To a solution of tert-butyl (S)-3-((5-(N-(tert-butoxycarbonyl)-N-(thiazol-4-yl)sulfamoyl)-3-methylpyridin-2-yl)amino)pyrrolidine-1-carboxylate (0.32 g, 0.60 mmol) in dichloromethane (15 mL) was added trifluoroacetic acid (8 mL). The resulting solution was stirred at ambient temperature for 4 hours. The reaction mixture was concentrated in vacuo to afford the title compound as a yellow foam (0.27 g, quantitative yield), which was used without further purification: MS (ES+) m/z 340.0 (M+1).

Step 7. (S)-5-methyl-6-(pyrrolidin-3-ylamino)-N-(thiazol-4-yl)pyridine-3-sulfonamide

[1032]

[1033]

To a solution of (S)-5-methyl-6-(pyrrolidin-3-ylamino)-N-(thiazol-4-yl)pyridine-3-sulfonamide trifluoroacetic acid salt (0.27 g, 0.60 mmol) in a mixture of 1,2-dichloroethane (4 mL) and N,N-dimethylformamide (4 mL) was added benzaldehyde (0.18 mL, 1.8 mmol) followed by sodium triacetoxyborohydride (0.38 g, 1.8 mmol). The reaction mixture was stirred at ambient temperature for 16 hours and then concentrated in vacuo. Purification of the residue by column chromatography, eluting with 0-10% of methanol (containing 0.2% of ammonium hydroxide) in dichloromethane, afforded the title compound as a colorless solid (0.006 g, 3% yield over 2 steps):1H NMR (300 MHz, CDCl3) δ 8.62 (d, J=2.3 Hz, 1H), 8.37 (d, J=2.3 Hz, 1H), 7.39 (dd, J=2.4, 0.8 Hz, 1H), 7.33-7.27 (m, 5H), 7.02 (d, J=2.3 Hz, 1H), 5.43-5.40 (m, 1H), 4.71-4.68 (m, 1H), 3.74 (d, J=3.4 Hz, 2H), 3.12-3.06 (m, 1H), 2.87-2.83 (m, 1H), 2.68 (dd, J=10.2, 6.6 Hz, 1H), 2.41-2.36 (m, 2H), 1.79 (s, 3H), NH not observed; MS (ES+) m/z 430.2 (M+1).

Example 47

Synthesis of (S)-6-((1-benzylpyrrolidin-3-yl)(methyl)amino)-5-methyl-N-(thiazol-4-yl)pyridine-3-sulfonamide

[1034]

Step 1. Preparation of tert-butyl (S)-3-((5-(N-(tert-butoxycarbonyl)-N-(thiazol-4-yl)sulfamoyl)-3-methylpyridin-2-yl)(methyl)amino)pyrrolidine-1-carboxylate

[1035]

[1036]

To solution of tert-butyl (S)-3-((5-(N-(tert-butoxycarbonyl)-N-(thiazol-4-yl)sulfamoyl)-3-methylpyridin-2-yl)amino)pyrrolidine-1-carboxylate (0.33 g, 0.61 mmol), in N,N-dimethylformamide (6 mL) was added sodium hydride (60% dispersion in mineral oil, 0.037 g, 0.91 mmol) at 0° C., followed by iodomethane (0.057 mL, 0.91 mmol). The reaction mixture was then allowed to warm to ambient temperature and stirred for 4 hours. After cooling to 0° C., the reaction mixture was quenched by addition of saturated aqueous ammonium chloride solution (50 mL) and the resulting suspension was extracted with ethyl acetate (3×50 mL). The combined organic extracts were washed with brine (3×25 mL), dried over anhydrous sodium sulfate and filtered. Concentration of the filtrate and purification of the residue by column chromatography, eluting with a gradient of 0-50% of ethyl acetate in heptane, afforded the title compound as a colorless foam (0.23 g, 68% yield): MS (ES+) m/z 554.3 (M+1).

Step 2. Preparation of (S)-5-methyl-6-(methyl(pyrrolidin-3-yl)amino)-N-(thiazol-4-yl)pyridine-3-sulfonamide trifluoroacetic acid salt

[1037]

[1038]

To a solution of tert-butyl (S)-3-((5-(N-(tert-butoxycarbonyl)-N-(thiazol-4-yl)sulfamoyl)-3-methylpyridin-2-yl)(methyl)amino)pyrrolidine-1-carboxylate (0.23 g, 0.41 mmol) in dichloromethane (4 mL) was added trifluoroacetic acid (8 mL). The resulting solution was stirred at ambient temperature for 3 hours. The reaction mixture was concentrated in vacuo to afford the title compound as a yellow foam (0.44 g, quantitative yield), which was used without further purification: MS (ES+) m/z 354.2 (M+1).

Step 3. Preparation of (S)-6-((1-benzylpyrrolidin-3-yl)(methyl)amino)-5-methyl-N-(thiazol-4-yl)pyridine-3-sulfonamide

[1039]

[1040]

To a solution of (S)-5-methyl-6-(methyl(pyrrolidin-3-yl)amino)-N-(thiazol-4-yl)pyridine-3-sulfonamide trifluoroacetic acid salt (0.44 g, crude product from Step 2) in a mixture of 1,2-dichloroethane (3 mL) and N,N-dimethylformamide (3 mL) was added benzaldehyde (0.12 mL, 1.2 mmol) followed by sodium triacetoxyborohydride (0.26 g, 1.2 mmol). The reaction mixture was stirred at ambient temperature for 16 hours and then concentrated in vacuo. Purification of the residue by column chromatography, eluting with a gradient of 0-10% of methanol (containing 0.2% of ammonium hydroxide) in dichloromethane, afforded the title compound as a colorless solid (0.171 g, 95% yield):1H NMR (300 MHz, DMSO-d6) δ 8.88 (d, J=2.1 Hz, 1H), 8.35 (d, J=2.3 Hz, 1H), 7.74 (d, J=1.7 Hz, 1H), 7.40-7.29 (m, 5H), 7.05 (d, J=2.1 Hz, 1H), 4.61-4.51 (m, 1H), 3.92-3.73 (m, 2H), 2.99-2.95 (m, 1H), 2.88 (s, 3H), 2.82-2.80 (m, 2H), 2.64-2.59 (m, 1H), 2.24 (s, 3H), 2.16-2.11 (m, 1H), 1.95-1.88 (m, 1H), NH not observed; MS (ES+) m/z 444.1 (M+1).

Example 48

Synthesis of (S)-6-((1-benzylpyrrolidin-3-yl)(methyl)amino)-5-chloro-N-(thiazol-4-yl)pyridine-3-sulfonamide

[1041]

Step 1. Preparation of tert-butyl (S)-3-((5-(N-(tert-butoxycarbonyl)-N-(thiazol-4-yl)sulfamoyl)-3-chloropyridin-2-yl)(methyl)amino)pyrrolidine-1-carboxylate

[1042]

[1043]

To a solution of tert-butyl (S)-3-((5-(N-(tert-butoxycarbonyl)-N-(thiazol-4-yl)sulfamoyl)-3-chloropyridin-2-yl)amino)pyrrolidine-1-carboxylate (0.40 g, 0.71 mmol), in N,N-dimethylformamide (7 mL) was added sodium hydride (60% dispersion in mineral oil, 0.043 g, 1.1 mmol) at 0° C., followed by iodomethane (0.067 mL, 1.1 mmol). The reaction mixture was allowed to warm to ambient temperature and stirred for 4 hours. The reaction mixture was then cooled to 0° C. and quenched by addition of saturated aqueous ammonium chloride solution (50 mL). The resulting suspension was extracted with ethyl acetate (3×50 mL). The combined organic extracts were washed with brine (3×25 mL), dried over anhydrous sodium sulfate, and filtered. Concentration of the filtrate in vacuo and purification of the residue by column chromatography, eluting with a gradient of 0-50% of ethyl acetate in heptane, afforded the title compound as a colorless foam (0.15 g, 36% yield): MS (ES+) m/z 574.1 (M+1), 576.1 (M+1).

Step 2. Preparation of (S)-5-chloro-6-(methyl(pyrrolidin-3-yl)amino)-N-(thiazol-4-yl)pyridine-3-sulfonamide trifluoroacetic acid salt

[1044]

[1045]

To a solution of tert-butyl (S)-3-((5-(N-(tert-butoxycarbonyl)-N-(thiazol-4-yl)sulfamoyl)-3-chloropyridin-2-yl)(methyl)amino)pyrrolidine-1-carboxylate (0.15 g, 0.26 mmol) in dichloromethane (3 mL) was added trifluoroacetic acid (6 mL). The resulting solution was stirred at ambient temperature for 3 hours. The reaction mixture was concentrated in vacuo to afford the title compound as a yellow foam (0.26 g, quantitative yield), which was used without further purification: MS (ES+) m/z 374.1 (M+1), 376.1 (M+1).

Step 3. Preparation of (S)-6-((1-benzylpyrrolidin-3-yl)(methyl)amino)-5-chloro-N-(thiazol-4-yl)pyridine-3-sulfonamide

[1046]

[1047]

To a solution of (S)-5-chloro-6-(methyl(pyrrolidin-3-yl)amino)-N-(thiazol-4-yl)pyridine-3-sulfonamide trifluoroacetic acid salt (0.26 g, crude product from Step 2) in a mixture 1,2-dichloroethane (2 mL) and N,N-dimethylformamide (2 mL) was added benzaldehyde (0.079 mL, 0.78 mmol) followed by sodium triacetoxyborohydride (0.17 g, 0.78 mmol). The reaction mixture was stirred at ambient temperature for 16 hours and then concentrated in vacuo. Purification of the residue by column chromatography, eluting with 0-10% of methanol (containing 0.2% of ammonium hydroxide) in dichloromethane, afforded the title compound as a colorless solid (0.13 g, 50% yield):1H NMR (300 MHz, DMSO-d6) δ 8.90 (d, J=2.1 Hz, 1H), 8.40 (d, J=2.2 Hz, 1H), 7.93 (d, J=2.2 Hz, 1H), 7.32 (d, J=4.5 Hz, 4H), 7.28-7.22 (m, 1H), 7.09 (d, J=2.1 Hz, 1H), 4.78-4.72 (m, 1H), 3.66 (d, J=12.9 Hz, 1H), 3.52 (d, J=13.0 Hz, 1H) 3.04 (s, 3H), 2.83-2.78 (m, 1H), 2.70-2.65 (m, 1H), 2.60-2.54 (m, 1H), 2.36-2.27 (m, 1H), 2.21-2.10 (m, 1H), 1.91-1.81 (m, 1H), NH not observed; MS (ES+) m/z 464.0 (M+1), 466.0 (M+1).

Example 49

Synthesis of 6-((1-benzylpiperidin-4-yl)(methyl)amino)-5-chloro-N-(thiazol-4-yl)pyridine-3-sulfonamide

[1048]

Step 1. Preparation of tert-butyl ((6-((1-benzylpiperidin-4-yl)(methyl)amino)-5-chloropyridin-3-yl)sulfonyl)(thiazol-4-yl)carbamate

[1049]

[1050]

To a mixture of 1-benzyl-N-methylpiperidin-4-amine (0.16 g, 0.76 mmol) and tert-butyl ((5-chloro-6-fluoropyridin-3-yl)sulfonyl)(thiazol-4-yl)carbamate (0.29 g, 0.73 mmol) in anhydrous dimethyl sulfoxide (6 mL) was added potassium carbonate (0.20 g, 1.5 mmol) and the reaction mixture was stirred at ambient temperature for 12 hours. After dilution with ethyl acetate (100 mL), the mixture was washed with saturated ammonium chloride (2×60 mL), brine (50 mL), dried over anhydrous sodium sulfate, and filtered. Concentration of the filtrate in vacuo afforded the title compound as a pale yellow foam (0.42 g, 94% yield) which was used without further purification.

Step 2. Preparation of 6-((1-benzylpiperidin-4-yl)(methyl)amino)-5-chloro-N-(thiazol-4-yl)pyridine-3-sulfonamide

[1051]

[1052]

To a solution of tert-butyl ((6-((1-benzylpiperidin-4-yl)(methyl)amino)-5-chloropyridin-3-yl)sulfonyl)(thiazol-4-yl)carbamate (0.14 g, 0.24 mmol) in dichloromethane (3 mL) was added trifluoroacetic acid (6 mL). The reaction mixture was stirred at ambient temperature for 3 hours and then concentrated in vacuo. Purification of the residue by column chromatography, eluting with 0-10% of methanol (containing 0.2% of ammonium hydroxide) in dichloromethane, afforded the title compound as a colorless solid (0.062 g, 54% yield):1H NMR (300 MHz, DMSO-d6) δ 10.74-10.55 (m, 1H), 8.92 (d, J=2.1 Hz, 1H), 8.44 (d, J=2.2 Hz, 1H), 8.00 (d, J=2.2 Hz, 1H), 7.52-7.45 (m, 5H), 7.14 (d, J=2.1 Hz, 1H), 4.26-4.19 (m, 3H), 3.37-3.36 (m, 2H), 3.08-2.99 (m, 2H), 2.90 (d, J=4.9 Hz, 3H), 2.18-2.05 (m, 2H), 1.91-1.85 (m, 2H); MS (ES+) m/z 478.1 (M+1), 480.1 (M+1).

Example 50

Synthesis of (R)-6-((1-benzylpyrrolidin-3-yl)amino)-5-chloro-N-(thiazol-4-yl)pyridine-3-sulfonamide

[1053]

Step 1. Preparation of tert-butyl (R)-3-((5-(N-(tert-butoxycarbonyl)-N-(thiazol-4-yl)sulfamoyl)-3-chloropyridin-2-yl)amino)pyrrolidine-1-carboxylate

[1054]

[1055]

To a mixture of tert-butyl (R)-aminopyrrolidine-1-carboxylate (0.223 g, 1.20 mmol) and tert-butyl ((5-chloro-6-fluoropyridin-3-yl)sulfonyl)(thiazol-4-yl)carbamate (0.450 g, 1.14 mmol) in anhydrous dimethyl sulfoxide (10 mL) was added potassium carbonate (0.315 g, 2.28 mmol) and the reaction mixture was stirred at ambient temperature for 12 hours. After dilution with ethyl acetate (100 mL), the mixture was washed with saturated ammonium chloride (2×60 mL), brine (50 mL), dried over anhydrous sodium sulfate, and filtered. Concentration of the filtrate in vacuo afforded the title compound as a pale yellow foam (0.69 g, quantitative yield) which was used without further purification.

Step 2. Preparation of (R)-5-chloro-6-(pyrrolidin-3-ylamino)-N-(thiazol-4-yl)pyridine-3-sulfonamide trifluoroacetic acid salt

[1056]

[1057]

To a solution of tert-butyl (R)-3-((5-(N-(tert-butoxycarbonyl)-N-(thiazol-4-yl)sulfamoyl)-3-chloropyridin-2-yl)amino)pyrrolidine-1-carboxylate (0.232 g, 0.414 mmol) in dichloromethane (4 mL) was added trifluoroacetic acid (8 mL). The reaction mixture was stirred at ambient temperature for 4 hours and then concentrated in vacuo to afford the title compound as a yellow foam, which was used without further purification: MS (ES+) m/z 360.0 (M+1), 362.0 (M+1).

Step 3. Preparation of (R)-6-((1-benzylpyrrolidin-3-yl)amino)-5-chloro-N-(thiazol-4-yl)pyridine-3-sulfonamide

[1058]

[1059]

To a solution of (R)-5-chloro-6-(pyrrolidin-3-ylamino)-N-(thiazol-4-yl)pyridine-3-sulfonamide trifluoroacetic acid salt (crude material from Step 2) in a mixture of 1,2-dichloroethane (3 ml) and N,N-dimethylformamide (3 mL) was added benzaldehyde (0.126 mL, 1.24 mmol) followed by sodium triacetoxyborohydride (0.263 g, 1.24 mmol). The reaction mixture was stirred at ambient temperature for 16 hours and then concentrated in vacuo. Purification of the residue by column chromatography, eluting with 0-10% of methanol (containing 0.2% of ammonium hydroxide) in dichloromethane, afforded the title compound as a colorless solid (0.091 g, 49% yield over 2 steps):1H NMR (300 MHz, DMSO-d6) δ 8.89 (d, J=2.2 Hz, 1H), 8.34 (d, J=2.2 Hz, 1H), 7.85 (d, J=2.2 Hz, 1H), 7.29 (q, J=3.9 Hz, 4H), 7.26-7.21 (m, 1H), 7.16 (s, 1H), 7.07 (d, J=2.1 Hz, 1H), 4.55-4.47 (m, 1H), 3.61 (s, 2H), 2.85 (dd, J=9.4, 7.1 Hz, 1H), 2.69-2.62 (m, 1H), 2.56-2.51 (m, 1H), 2.45 (dd, J=9.5, 5.5 Hz, 1H), 2.22-2.10 (m, 1H), 1.91-1.80 (m, 1H), NH not observed; MS (ES+) m/z 450.1 (M+1), 452.1 (M+1).

Example 51

Synthesis of (R)-6-((1-benzylpyrrolidin-3-yl)(methyl)amino)-5-chloro-N-(thiazol-4-yl)pyridine-3-sulfonamide

[1060]

Step 1. Preparation of tert-butyl (R)-3-((5-(N-(tert-butoxycarbonyl)-N-(thiazol-4-yl)sulfamoyl)-3-chloropyridin-2-yl)(methyl)amino)pyrrolidine-1-carboxylate

[1061]

[1062]

To a solution of tert-butyl (R)-3-((5-(N-(tert-butoxycarbonyl)-N-(thiazol-4-yl)sulfamoyl)-3-chloropyridin-2-yl)amino)pyrrolidine-1-carboxylate (0.450 g, 0.803 mmol) in N,N-dimethylformamide (8 mL) was added sodium hydride (60% dispersion in mineral oil, 0.048 g, 1.2 mmol) at 0° C., followed by iodomethane (0.075 mL, 1.2 mmol). The reaction mixture was allowed to warm to ambient temperature and stirred for 4 hours. The reaction mixture was then cooled to 0° C. and quenched by addition of saturated aqueous ammonium chloride solution (50 mL). The resulting suspension was extracted with ethyl acetate (3×50 mL). The combined organic extracts were washed with brine (3×25 mL), dried over anhydrous sodium sulfate, and filtered. Concentration of the filtrate in vacuo and purification of the residue by column chromatography, eluting with a gradient of 0-50% of ethyl acetate in heptane, afforded the title compound as a colorless foam (0.359 g, 78% yield): MS (ES+) m/z 574.1 (M+1), 576.1 (M+1).

Step 2. Preparation of (R)-5-chloro-6-(methyl(pyrrolidin-3-yl)amino)-N-(thiazol-4-yl)pyridine-3-sulfonamide trifluoroacetic acid salt

[1063]

[1064]

To a solution of tert-butyl (R)-3-((5-(N-(tert-butoxycarbonyl)-N-(thiazol-4-yl)sulfamoyl)-3-chloropyridin-2-yl)(methyl)amino)pyrrolidine-1-carboxylate (0.339 g, 0.590 mmol) in dichloromethane (5 mL) was added trifluoroacetic acid (10 mL). The reaction mixture was stirred at ambient temperature for 3 hours and then concentrated in vacuo to afford the title compound as a yellow foam, which was used without further purification: MS (ES+) m/z 374.0 (M+1), 376.0 (M+1).

Step 3. Preparation of (R)-6-((1-benzylpyrrolidin-3-yl)(methyl)amino)-5-chloro-N-(thiazol-4-yl)pyridine-3-sulfonamide

[1065]

[1066]

To a solution of (R)-5-methyl-6-(methyl(pyrrolidin-3-yl)amino)-N-(thiazol-4-yl)pyridine-3-sulfonamide trifluoroacetic acid salt (crude product from Step 2) in a mixture of 1,2-dichloroethane (4 mL) and N,N-dimethylformamide (4 mL) was added benzaldehyde (0.180 mL, 1.77 mmol) followed by sodium triacetoxyborohydride (0.375 g, 1.77 mmol). The reaction mixture was stirred at ambient temperature for 16 hours and then concentrated in vacuo. Purification of the residue by column chromatography, eluting with 0-10% of methanol (containing 0.2% of ammonium hydroxide) in dichloromethane, afforded the title compound as a colorless solid (0.083 g, 30% yield over 2 steps):1H NMR (300 MHz, DMSO-d6) δ 8.90 (d, J=2.2 Hz, 1H), 8.40 (d, J=2.2 Hz, 1H), 7.94 (d, J=2.2 Hz, 1H), 7.33-7.30 (m, 4H), 7.28-7.22 (m, 1H), 7.10 (d, J=2.2 Hz, 1H), 4.80-4.70 (m, 1H), 3.66 (dd, J=13.1 Hz, 1H), 3.52 (d, J=13.0 Hz, 1H), 3.04 (s, 3H), 2.85-2.78 (m, 1H), 2.68 (dd, J=10.2, 4.3 Hz, 1H), 2.58 (dd, J=10.1, 8.2 Hz, 1H), 2.36-2.28 (m, 1H), 2.21-2.10 (m, 1H), 1.91-1.79 (m, 1H), NH not observed; MS (ES+) m/z 464.1 (M+1), 466.1 (M+1).

Example 52

Synthesis of 6-((1-benzylpiperidin-4-yl)(methyl)amino)-5-methyl-N-(thiazol-4-yl)pyridine-3-sulfonamide trifluoroacetic acid salt

[1067]

Step 1. Preparation of tert-butyl ((6-((1-benzylpiperidin-4-yl)(methyl)amino)-5-methylpyridin-3-yl)sulfonyl)(thiazol-4-yl)carbamate

[1068]

[1069]

To a mixture of tert-butyl ((6-((1-benzylpiperidin-4-yl)(methyl)amino)-5-chloropyridin-3-yl)sulfonyl)(thiazol-4-yl)carbamate (0.263 g, 0.455 mmol), methylboronic acid (0.218 g, 3.64 mmol) and potassium phosphate tribasic (0.289 g, 1.36 mmol) was added 1,2-dimethoxyethane (10 mL) and the mixture was degassed by sparging with nitrogen for 10 minutes. To the degassed solution was then added palladium(II) acetate (0.016 g, 0.07 mmol), and tricyclohexylphosphine tetrafluoroborate (0.052 g, 0.14 mmol). The resulting reaction mixture was heated at 120° C. for 12 hours. After cooling to ambient temperature, the reaction mixture was filtered and the filter cake rinsed with ethyl acetate (100 mL). Concentration of the combined filtrate in vacuo afforded a residue which was used in the following step without further purification: MS (ES+) m/z 558.1 (M+1).

Step 2. Preparation of 6-((1-benzylpiperidin-4-yl)(methyl)amino)-5-methyl-N-(thiazol-4-yl)pyridine-3-sulfonamide trifluoroacetic acid salt

[1070]

[1071]

To a solution of tert-butyl ((6-((1-benzylpiperidin-4-yl)(methyl)amino)-5-chloropyridin-3-yl)sulfonyl)(thiazol-4-yl)carbamate (crude product from Step 1) in dichloromethane (15 mL) was added trifluoroacetic acid (15 mL). The reaction mixture was stirred at ambient temperature for 3 hours and then concentrated in vacuo. Purification of the residue by preparative reverse phase HPLC, eluting with a gradient of acetonitrile in water containing 0.1% of trifluoroacetic acid, afforded the title compound as a colorless solid (0.021 g, 8% yield over 2 steps):1H NMR (300 MHz, DMSO-d6) δ 11.04 (s, 1H), 9.68-9.62 (m, 1H), 8.89 (d, J=2.1 Hz, 1H), 8.36 (d, J=2.2 Hz, 1H), 7.76 (dd, J=2.4, 0.7 Hz, 1H), 7.52-7.46 (m, 5H), 7.06 (d, J=2.1 Hz, 1H), 4.28-4.27 (m, 3H), 3.45-3.36 (m, 2H), 3.17-3.10 (m, 2H), 2.78 (s, 3H), 2.27 (s, 3H), 2.11-1.98 (m, 2H), 1.91-1.82 (m, 2H); MS (ES+) m/z 458.2 (M+1).

Example 53

Synthesis of (R)-5-chloro-6-(methyl(1-(1-phenylethyl)piperidin-4-yl)amino)-N-(thiazol-4-yl)pyridine-3-sulfonamide trifluoroacetic acid salt

[1072]

Step 1. Preparation of tert-butyl (R)-((5-chloro-6-((1-(1-phenylethyl)piperidin-4-yl)amino)pyridin-3-yl)sulfonyl)(thiazol-4-yl)carbamate

[1073]

[1074]

To a mixture of (R)-1-(1-phenylethyl)piperidin-4-amine (0.342 g, 1.67 mmol) and tert-butyl ((5-chloro-6-fluoropyridin-3-yl)sulfonyl)(thiazol-4-yl)carbamate (0.626 g, 1.59 mmol) in anhydrous dimethyl sulfoxide (14 mL) was added potassium carbonate (0.44 mL, 3.18 mmol) and the reaction mixture was stirred at ambient temperature for 19 hours. After dilution with ethyl acetate (100 mL), the mixture was washed with saturated ammonium chloride (2×60 mL), brine (50 mL), dried over anhydrous sodium sulfate, and filtered. Concentration of the filtrate in vacuo afforded the title compound as a pale yellow foam (0.255 g, 28% yield) which was used without further purification: MS (ES+) m/z 578.2 (M+1), 580.2 (M+1).

Step 2. Preparation of tert-butyl (R)-((5-chloro-6-(methyl(1-(1-phenylethyl)piperidin-4-yl)amino)pyridin-3-yl)sulfonyl)(thiazol-4-yl)carbamate

[1075]

[1076]

To solution of tert-butyl (R)-((5-chloro-6-((1-(1-phenylethyl)piperidin-4-yl)amino)pyridin-3-yl)sulfonyl)(thiazol-4-yl)carbamate (0.095 g, 0.164 mmol) in N,N-dimethylformamide (2 mL) was added sodium hydride (60% dispersion in mineral oil, 0.008 g, 0.2 mmol) at 0° C., followed by a 1 M solution of iodomethane in tetrahydrofuran (0.16 mL, 0.16 mmol). The reaction mixture was allowed to warm to ambient temperature and stirred for 4 hours. The reaction mixture was then cooled to 0° C. and quenched by addition of saturated ammonium chloride solution (25 mL). The resulting suspension was extracted with ethyl acetate (3×50 mL). The combined organic extracts were washed with brine (3×25 mL), dried over anhydrous sodium sulfate and filtered. Concentration of the filtrate in vacuo afforded the title compound as a yellow foam, which was used without further purification.

Step 3. Preparation of (R)-5-chloro-6-(methyl(1-(1-phenylethyl)piperidin-4-yl)amino)-N-(thiazol-4-yl)pyridine-3-sulfonamide trifluoroacetic acid salt

[1077]

[1078]

To a solution of tert-butyl (R)-((5-chloro-6-(methyl(1-(1-phenylethyl)piperidin-4-yl)amino)pyridin-3-yl)sulfonyl)(thiazol-4-yl)carbamate (crude, 0.164 mmol) in dichloromethane (5 mL) was added trifluoroacetic acid (5 mL). The reaction mixture was stirred at ambient temperature for 3 hours and then concentrated in vacuo. Purification of the residue by preparative reverse phase HPLC, eluting with a gradient of acetonitrile in water containing 0.1% of trifluoroacetic acid, afforded the title compound as a colorless solid (0.044 g, 44% yield over 2 steps):1H NMR (300 MHz, DMSO-d6) δ 11.13 (s, 1H), 9.75-9.71 (m, 1H), 8.91 (d, J=2.1 Hz, 1H), 8.42 (d, J=2.2 Hz, 1H), 7.98 (d, J=2.2 Hz, 1H), 7.53-7.47 (m, 5H), 7.13 (d, J=2.2 Hz, 1H), 4.56-4.48 (m, 1H), 4.23-4.13 (m, 1H), 3.78-3.69 (m, 2H), 3.30-3.25 (m, 1H), 2.92-2.84 (m, 4H), 2.18-2.04 (m, 2H), 1.96-1.83 (m, 2H), 1.66 (d, J=6.9 Hz, 3H); MS (ES+) m/z 492.3 (M+1), 494.2 (M+1).

Example 54

Synthesis of 5-(((1R,5S,8r)-3-benzyl-3-azabicyclo[3.2.1]octan-8-yl)(methyl)amino)-4-methyl-N-(thiazol-4-yl)pyridine-2-sulfonamide trifluoroacetic acid salt

[1079]

Step 1. Preparation of 3-benzyl-3-azabicyclo[3.2.1]octan-8-one oxime

[1080]

[1081]

To a solution of 3-benzyl-3-azabicyclo[3.2.1]octan-8-one (12.5 g, 58.1 mmol) in ethanol (200 mL) was added a 50% solution of hydroxylamine in water (5.75 mL, 87.1 mmol). The resulting mixture was heated to reflux for 4 hours. After cooling to ambient temperature, the mixture was concentrated in vacuo. The residue was dissolved in ethyl acetate (110 mL), washed with water (50 mL), brine (50 mL), dried over anhydrous sodium sulfate, and filtered. The filtrate was concentrated in vacuo to afford the title compound as a light orange oil (11.5 g, 86% yield):1H NMR (300 MHz, CDCl3) δ 9.09 (s, 1H), 7.38-7.25 (m, 5H), 3.57 (s, 2H), 3.36 (s, 1H), 2.92-2.82 (m, 2H), 2.56 (s, 1H), 2.40 (d, J=10.3 Hz, 2H), 2.03-1.91 (m, 2H), 1.81-1.73 (m, 2H); MS (ES+) m/z 231.1 (M+1).

Step 2. Preparation of (1R,5S,8r)-3-benzyl-3-azabicyclo[3.2.1]octan-8-amine and (1R,5S,8s)-3-benzyl-3-azabicyclo[3.2.1]octan-8-amine

[1082]

[1083]

To a boiling solution of 3-benzyl-3-azabicyclo[3.2.1]octan-8-one oxime (11.52 g, 50.00 mmol) in n-pentanol (250 mL) was added in several portions sodium metal (12.0 g, 522.0 mmol) in small pieces. After the last addition, the mixture was heated to reflux for an additional 30 minutes. The mixture was allowed to cool to ambient temperature and poured into cold water (250 mL). The mixture was diluted with ethyl acetate (300 mL) and water (250 mL) and the layers were separated. The aqueous layer was discarded and the organic layer was extracted with 3 M hydrochloric acid (3×40 mL). The organic layer was discarded. The combined aqueous extracts were cooled to 0° C., the pH was adjusted to pH 12 by addition of solid potassium hydroxide, and the mixture was extracted with dichloromethane (3×60 mL). The combined organic extracts were dried over anhydrous sodium sulfate and filtered. The filtrate was concentrated in vacuo and the residue purified by column chromatography, eluting with a gradient of 0-22% of methanol in dichloromethane to afford as first eluting fraction (1R,5S,8r)-3-benzyl-3-azabicyclo[3.2.]octan-8-amine (colorless, waxy solid, 7.89 g, 73% yield) and as second eluting fraction (1R,5S,8s)-3-benzyl-3-azabicyclo[3.2.1]octan-8-amine (colorless, waxy solid, 1.08 g, 10% yield). The relative stereochemistry was assigned based on WO2005/021536. Data for (1R,5S,8r)-3-benzyl-3-azabicyclo[3.2.1]octan-8-amine:1H NMR (300 MHz, CDCl3) δ 7.37-7.22 (m, 5H), 3.54 (s, 2H), 3.04 (t, J=4.4 Hz, 1H), 2.56-2.46 (m, 4H), 1.87-1.81 (m, 4H), 1.78-1.62 (m, 4H); MS (ES+) m/z 217.2 (M+1). Data for (1R,5S,8s)-3-benzyl-3-azabicyclo[3.2.1]octan-8-amine:1H NMR (300 MHz, CDCl3) δ 7.35-7.21 (m, 5H), 3.48 (s, 2H), 2.86 (s, 1H), 2.71-2.66 (m, 2H), 2.12 (d, J=10.5 Hz, 2H), 1.96 (br s, 4H), 1.83-1.75 (m, 4H); MS (ES+) m/z 217.2 (M+1).

Step 3. Preparation of 5-(((1R,5S,8r)-3-benzyl-3-azabicyclo[3.2.1]octan-8-yl)amino)-N-(4-methoxybenzyl)-4-methyl-N-(thiazol-4-yl)pyridine-2-sulfonamide

[1084]

[1085]

To a mixture of 5-fluoro-N-(4-methoxybenzyl)-4-methyl-N-(thiazol-4-yl)pyridine-2-sulfonamide (0.549 g, 1.39 mmol) and (1R,5S,8r)-3-benzyl-3-azabicyclo[3.2.1]octan-8-amine (0.360 g, 1.67 mmol) in anhydrous dimethyl sulfoxide (6 mL) was added N,N-diisopropylethylamine (0.724 mL, 4.17 mmol) and the reaction mixture was heated at 110° C. for 24 hours. After cooling to ambient temperature, the reaction mixture was diluted with ethyl acetate (50 mL), washed with water (30 mL), saturated ammonium chloride (30 mL), brine (20 mL), and dried over anhydrous sodium sulfate. Filtration and concentration of the filtrate in vacuo gave a residue which was purified by column chromatography, eluting with a gradient of 0 to 80% of ethyl acetate in heptane, to provide the title compound as a colorless foam (0.60 g, 76% yield): MS (ES+) m/z 590.2 (M+1).

Step 4. Preparation of 5-(((1R,5S,8r)-3-benzyl-3-azabicyclo[3.2.1]octan-8-yl)(methyl)amino)-4-methyl-N-(thiazol-4-yl)pyridine-2-sulfonamide trifluoroacetic acid salt

[1086]

[1087]

To a solution of 5-(((1R,5S,8r)-3-benzyl-3-azabicyclo[3.2.1]octan-8-yl)amino)-N-(4-methoxybenzyl)-4-methyl-N-(thiazol-4-yl)pyridine-2-sulfonamide (0.60 g, 1.01 mmol) in trifluoroacetic acid (3.0 mL) was added sodium triacetoxyborohydride (0.21 g, 1.02 mmol) at 0° C. The resulting mixture was stirred at 0° C. for 10 minutes, and then paraformaldehyde (0.022 g, 0.75 mmol) was added to it. The reaction mixture was allowed to warm to ambient temperature, stirred at for 16 h, and then concentrated in vacuo. To the residue was added 2 M sodium hydroxide (15 mL) and brine (15 mL), and the mixture was extracted with ethyl acetate (30 mL). The aqueous layer was diluted with saturated ammonium chloride (30 mL) and then extracted with ethyl acetate (3×50 mL). The combined organic layers were washed with saturated ammonium chloride (30 mL), brine (30 mL), dried over anhydrous sodium sulfate, and filtered. Concentration of the filtrate in vacuo and purification of the residue by preparative reverse-phase HPLC, eluting with a gradient of 10-50% of acetonitrile in water containing 0.1% of trifluoroacetic acid, afforded the title compound as a colorless solid (0.065 g, 13% yield):1H NMR (300 MHz, DMSO-d6) δ 11.16 (s, 1H), 9.56 (s, 1H), 8.86 (d, J=2.2 Hz, 1H), 8.46 (s, 1H), 7.76 (s, 1H), 7.52-7.45 (m, 5H), 7.01 (d, J=2.2 Hz, 1H), 4.22 (s, 2H), 3.49-3.46 (m, 1H), 3.37-2.84 (m, 3H), 2.67-2.53 (m, 1H), 2.44 (s, 3H), 2.35-2.16 (m, 1H), 2.05-1.70 (m, 8H); MS (ES+) m/z 484.1 (M+1).

Example 55

Synthesis of 4-(((1R,5S,8s)-3-benzyl-3-azabicyclo[3.2.1]octan-8-yl)(methyl)amino)-5-chloro-N-(6-fluoropyridin-2-yl)thiophene-2-sulfonamide trifluoroacetic acid salt

[1088]

Step 1. Preparation of 4-(((1R,5S,8s)-3-benzyl-3-azabicyclo[3.2.1]octan-8-yl)amino)-5-chloro-N-(4-methoxybenzyl)thiophene-2-sulfonamide

[1089]

[1090]

Following the procedure as described for EXAMPLE 38, Step 3 and making non-critical variations as required to replace 1-benzyl-4-piperidinone with tert-butyl 8-oxo-3-azabicyclo[3.2.1]octane-3-carboxylate, the title compound was obtained as a reddish foam (2.01 g, 48% yield). The title compound was obtained as a single stereoisomer, and the stereochemistry was arbitrarily assigned as endo: MS (ES+) m/z 532.2 (M+1), 534.2 (M+1).

Step 2. Preparation of 4-(((1R,5S,8s)-3-benzyl-3-azabicyclo[3.2.1]octan-8-yl)amino)-5-chlorothiophene-2-sulfonamide

[1091]

[1092]

To a mixture of 4-(((1R,5S,8s)-3-benzyl-3-azabicyclo[3.2.1]octan-8-yl)amino)-5-chloro-N-(4-methoxybenzyl)thiophene-2-sulfonamide (2.01 g, 3.78 mmol) in anhydrous 1,2-dichloroethane (12 mL) was added trifluoroacetic acid (12 mL). The reaction mixture was heated to reflux for 1.5 hours and then allowed to cool to ambient temperature. To it was then added methanol (50 mL) and the mixture was concentrated in vacuo. To the residue was added ethyl acetate (120 mL) and the mixture was washed with saturated sodium bicarbonate solution (2×90 mL) and brine (60 mL). The organic phase was dried over anhydrous sodium sulfate, filtered, and the filtrate concentrated in vacuo. Purification of the residue by column chromatography, eluting with gradient of 0-35% of ethyl acetate (containing 10% of 2-propanol and 10% of trimethylamine) in dichloromethane, afforded the title compound as dark red foam (0.87 g, 2.11 mmol): MS (ES+) m/z 412.0 (M+1), 414.0 (M+1).

Step 3. Preparation of 4-(((1R,5S,8s)-3-benzyl-3-azabicyclo[3.2.1]octan-8-yl)amino)-5-chloro-N-(6-fluoropyridin-2-yl)thiophene-2-sulfonamide

[1093]

[1094]

Following the procedure as described for EXAMPLE 38, Step 5 and making non-critical variations as required to replace 4-((1-benzylpiperidin-4-yl)amino)-5-chlorothiophene-2-sulfonamide with 4-(((1R,5S,8s)-3-benzyl-3-azabicyclo[3.2.1]octan-8-yl)amino)-5-chlorothiophene-2-sulfonamide, the title compound was obtained as brown oil (0.28 g, 0.55 mmol): MS (ES+) m/z 507.0 (M+1), 509.2 (M+1).

Step 4. Preparation of 4-(((1R,5S,8s)-3-benzyl-3-azabicyclo[3.2.1]octan-8-yl)(methyl)amino)-5-chloro-N-(6-fluoropyridin-2-yl)thiophene-2-sulfonamide trifluoroacetic acid salt

[1095]

[1096]

Following the procedure as described for EXAMPLE 38, Step 6 and making non-critical variations as required to replace 4-((1-benzylpiperidin-4-yl)amino)-5-chloro-N-(6-fluoropyridin-2-yl)thiophene-2-sulfonamide with 4-(((1R,5S,8s)-3-benzyl-3-azabicyclo[3.2.1]octan-8-yl)amino)-5-chloro-N-(6-fluoropyridin-2-yl)thiophene-2-sulfonamide, and purification by preparative reverse-phase HPLC, eluting with a gradient of 7 to 70% of acetonitrile in water containing 0.1% of trifluoroacetic acid, provided the title compound was obtained as a colorless solid (0.014 g, 4% yield):1H NMR (300 MHz, DMSO-d6) δ 11.74-11.68 (m, 1H), 9.51-9.42 (m, 1H), 7.90 (dd, J=16.5, 8.2 Hz, 1H), 7.88 (s, 1H), 7.53-7.44 (m, 5H), 6.94 (dd, J=7.9, 1.9 Hz, 1H), 6.82 (dd, J=8.1, 2.3 Hz, 1H), 4.22 (s, 2H), 3.25-3.21 (m, 1H), 3.12-2.92 (m, 4H), 2.46 (s, 3H), 2.20-2.08 (m, 2H), 1.94-1.77 (m, 4H); MS (ES+) m/z 521.0 (M+1), 523.0 (M+1).

Example 56

Synthesis of 4-((1-benzylpiperidin-4-yl)(methyl)amino)-5-ethyl-N-(6-fluoropyridin-2-yl)thiophene-2-sulfonamide

[1097]

Step 1. Preparation of 5-ethyl-4-nitrothiophene-2-sulfonyl chloride

[1098]

[1099]

To a solution of nitric acid (10 mL, 238 mmol) in dichloromethane (25 mL) was added a solution of 5-ethylthiophene-2-sulfonyl chloride (5.0 g, 23.8 mmol) in 1,2-dichloroethane (10 mL) at 0° C. The reaction mixture was stirred at 0° C. for 10 minutes, after which sulfuric acid (253 μL, 4.76 mmol) was added dropwise. The reaction mixture was allowed to warm to ambient temperature and stirred for 16 hours. The reaction mixture was poured into an ice bath (100 mL). The aqueous layer was extracted with ethyl acetate (2×60 mL). The combined organic layers were washed with saturated sodium bicarbonate (2×50 mL), brine (50 mL), dried over anhydrous sodium sulfate, and filtered. Concentration of the filtrate in vacuo provided the title compound as an orange oil (5.0 g, 82% yield):1H NMR (300 MHz, CDCl3) δ 8.32 (s, 1H), 3.41 (q, J=7.4 Hz, 2H), 1.48 (d, J=14.8 Hz, 3H).

Step 2. Preparation of 5-ethyl-N-(6-fluoropyridin-2-yl)-4-nitrothiophene-2-sulfonamide

[1100]

[1101]

To a mixture of 5-ethyl-4-nitrothiophene-2-sulfonyl chloride (4.00 g, 15.6 mmol) in 1,2-dichloroethane (150 mL) was added pyridine (1.9 mL, 23.4 mmol). The reaction mixture was stirred at ambient temperature for 16 hours. After addition of saturated ammonium chloride solution (200 mL), the reaction mixture was extracted with dichloromethane (2×100 mL). The combined organic layers were washed with brine (150 mL), dried over anhydrous sodium sulfate, and filtered. Concentration of the filtrate in vacuo and purification of the residue by column chromatography, eluting with a gradient of 0 to 45% of ethyl acetate in hexanes, afforded the title compound as a yellow oil (1.50 g, 30% yield): MS (ES+) m/z 332.0 (M+1).

Step 3. Preparation of 4-amino-5-ethyl-N-(6-fluoropyridin-2-yl)thiophene-2-sulfonamide

[1102]

[1103]

To a mixture of 5-ethyl-N-(6-fluoropyridin-2-yl)-4-nitrothiophene-2-sulfonamide (1.5 g, 4.53 mmol) in acetic acid (20 mL) was added iron powder (1.26 g, 22.6 mmol) and the reaction mixture was stirred at 60° C. for 1.5 hours. The reaction mixture was concentrated in vacuo, saturated sodium bicarbonate solution (100 mL) was added to it, and the mixture was extracted with 1,2-dichloroethane (2×100 mL). The combined organic layers were washed with brine (100 mL), dried over anhydrous sodium sulfate, and filtered. Concentration of the filtrate under reduced pressure and purification of the residue by column chromatography, eluting with a gradient of 0 to 70% of ethyl acetate in heptane, afforded the title compound as a colorless oil (0.630 g, 46% yield): MS (ES+) m/z 302.0 (M+1).

Step 4. Preparation of 4-((1-benzylpiperidin-4-yl)(methyl)amino)-5-ethyl-N-(6-fluoropyridin-2-yl)thiophene-2-sulfonamide

[1104]

[1105]

To a solution of 4-amino-5-ethyl-N-(6-fluoropyridin-2-yl)thiophene-2-sulfonamide (0.630 g, 2.09 mmol) in trifluoroacetic acid (5.0 mL) was added 1-benzyl-4-piperidinone (0.790 g, 4.18 mmol) and the reaction mixture was stirred at ambient temperature for 30 minutes. To the solution was added sodium triacetoxyborohydride (0.665 g, 3.13 mmol) and the reaction mixture was stirred at ambient temperature for 30 minutes. Paraformaldehyde (0.188 g, 6.27 mmol) and sodium triacetoxyborohydride (0.665 g, 3.13 mmol) were added and the mixture was stirred for 1 hour. The mixture was then concentrated in vacuo. After dilution with ethyl acetate (40 mL) the mixture was washed with saturated sodium bicarbonate (40 mL). The layers aqueous phase was extracted with ethyl acetate (2×30 mL). The combined organic phases were washed with brine (40 mL), dried over anhydrous sodium sulfate, and filtered. Concentration of the filtrate in vacuo and purification of the residue by column chromatography, eluting with a gradient of 0 to 8% of methanol in dichloromethane, afforded the title compound as a colorless solid (0.550 g, 53% yield):1H NMR (300 MHz, DMSO-d6) δ 10.74 (s, 1H), 7.85 (q, J=8.3 Hz, 1H), 7.70 (s, 1H), 7.45-7.40 (m, 5H), 6.94 (dd, J=7.9, 1.9 Hz, 1H), 6.71 (dd, J=8.0, 2.3 Hz, 1H), 4.09 (s, 2H), 3.17-3.09 (m, 2H), 2.92-2.84 (m, 1H), 2.77-2.67 (m, 4H), 2.49 (s, 3H), 1.76-1.72 (m, 2H), 1.64-1.51 (m, 2H), 1.14 (t, J=7.5 Hz, 3H); MS (ES+) m/z 489.1 (M+1).

Example 57

Synthesis of 4-(((1R,5S,8r)-3-benzyl-3-azabicyclo[3.2.1]octan-8-yl)(methyl)amino)-N-(6-fluoropyridin-2-yl)-5-methylthiophene-2-sulfonamide trifluoroacetic acid salt

[1106]

Step 1. Preparation of N-(6-fluoropyridin-2-yl)-5-methyl-4-nitrothiophene-2-sulfonamide

[1107]

[1108]

Following the procedure as described for EXAMPLE 56, Step 2 and making non-critical variations as required to replace 5-ethyl-4-nitrothiophene-2-sulfonyl chloride with 5-methyl-4-nitrothiophene-2-sulfonyl chloride, the title compound was obtained as a yellow oil (3.40 g, 64% yield): MS (ES+) m/z 318.0 (M+1).

Step 2. Preparation of 4-amino-N-(6-fluoropyridin-2-yl)-5-methylthiophene-2-sulfonamide

[1109]

[1110]

Following the procedure as described for EXAMPLE 56, Step 3 and making non-critical variations as required to replace 5-ethyl-N-(6-fluoropyridin-2-yl)-4-nitrothiophene-2-sulfonamide with N-(6-fluoropyridin-2-yl)-5-methyl-4-nitrothiophene-2-sulfonamide, the title compound was obtained as a colorless oil (1.10 g, 52% yield): MS (ES+) m/z 288.0 (M+1).

Step 3. Preparation of 4-(((1R,5S,8r)-3-benzyl-3-azabicyclo[3.2.1]octan-8-yl)(methyl)amino)-N-(6-fluoropyridin-2-yl)-5-methylthiophene-2-sulfonamide trifluoroacetic acid salt

[1111]

[1112]

To a solution of 4-amino-N-(6-fluoropyridin-2-yl)-5-methylthiophene-2-sulfonamide (0.250 g, 0.614 mmol) in trifluoroacetic acid (5.0 mL) was added (1R,5S)-3-benzyl-3-azabicyclo[3.2.1]octan-8-one (0.264 g, 1.22 mmol) and the reaction mixture was stirred at ambient temperature for 30 minutes. To the solution was added sodium triacetoxyborohydride (0.195 g, 0.92 mmol) and the reaction mixture was stirred at ambient temperature for 30 minutes. Paraformaldehyde (0.036 g, 1.22 mmol) and sodium triacetoxyborohydride (0.195 g, 0.92 mmol) were added and the mixture was stirred for 1 hour. The mixture concentrated in vacuo. After dilution with ethyl acetate (40 mL) the solution was washed with saturated sodium bicarbonate solution (40 mL). The layers aqueous phase was extracted with ethyl acetate (2×30 mL). The combined organic phases were washed with brine (40 mL), dried over anhydrous sodium sulfate, and filtered. Concentration of the filtrate in vacuo and purification of the residue by preparative reverse-phase HPLC, eluting with a gradient of 10-50% of acetonitrile in water containing 0.1% of trifluoroacetic acid, afforded the title compound as a colorless solid (0.045 g, 18% yield):1H NMR (300 MHz, DMSO-d6) δ 11.44 (s, 1H), 9.38 (s, 1H), 7.87 (q, J=8.3 Hz, 1H), 7.72 (s, 1H), 7.53-7.46 (m, 5H), 6.95 (dd, J=7.9, 2.0 Hz, 1H), 6.77 (dd, J=7.9, 2.3 Hz, 1H), 4.22 (s, 2H), 4.10-4.02 (m, 1H), 3.13-2.89 (m, 4H), 2.34 (s, 3H), 2.19-2.04 (m, 2H), 1.94-1.78 (m, 7H); MS (ES+) m/z 501.0 (M+1).

Example 58

Synthesis of 5-(((1R,3r,5S)-8-(2,5-difluorobenzyl)-8-azabicyclo[3.2.]octan-3-yl)(methyl)amino)-4-methyl-N-(thiazol-4-yl)pyridine-2-sulfonamide trifluoroacetic acid salt

[1113]

Step 1. Preparation of tert-butyl (1R,3r,5S)-3-(benzylamino)-8-azabicyclo[3.2.1]octane-8-carboxylate

[1114]

[1115]

To a solution of tert-butyl 3-oxo-8-azabicyclo[3.2.1]octane-8-carboxylate (44.2 g, 196.2 mmol) in anhydrous dichloromethane (500 mL) was added benzyl amine (22.1 g, 206.3 mmol) and freshly powdered 4 Å molecular sieves (44 g). To the reaction mixture was added sodium triacetoxyborohydride (62.5 g, 294.9 mmol) in portions over 45 minutes. The resulting mixture was stirred for 48 h, then benzyl amine (5 g, 46.7 mmol) and sodium triacetoxyborohydride (30.0 g, 141.5 mmol) was added. The reaction mixture was stirred for 24 h, then diluted with saturated sodium bicarbonate (1000 mL). The mixture was stirred for 4 hours then filtered through sand. The filtrate was separated and the aqueous layer was extracted with dichloromethane (1000 mL). The organic layers were combined, washed with brine (200 mL), dried over anhydrous sodium sulfate, filtered, and concentrated in vacuo. The residue was triturated with a 1:1 mixture of heptane and ether (100 mL) to afford the title compound as a colorless solid (49.3 g, 79% yield):1H NMR (300 MHz, CDCl3) δ 7.38-7.30 (m, 4H), 7.29-7.23 (m, 1H), 4.22-4.13 (m, 2H), 3.78 (s, 2H), 3.03 (t, J=5.9 Hz, 1H), 2.22-1.91 (m, 6H), 1.64-1.59 (m, 2H), 1.48 (s, 9H), NH not observed; MS (ES+) m/z 317.1 (M+1).

Step 2. Preparation of tert-butyl (1R,3r,5S)-3-amino-8-azabicyclo[3.2.1]octane-8-carboxylate

[1116]

[1117]

To a mixture of 20% palladium hydroxide on carbon (4.93 g) in ethanol (200 mL) was added a solution of tert-butyl (1R,3r,5S)-3-(benzylamino)-8-azabicyclo[3.2.1]octane-8-carboxylate (49.3 g, 155.7 mmol) in ethanol (400 mL). To the reaction mixture was added ammonium formate (49.3 g, 781.3 mmol) and the resulting mixture was sparged with nitrogen for 10 minutes. The reaction mixture was heated to 50° C. for 3 h, allowed to cool to ambient temperature, and filtered through a bed of celite. The filtrate was concentrated in vacuo to afford the title compound as a colorless solid (33.0 g, 94% yield):1H NMR (300 MHz, CDCl3) δ 4.11 (d, J=23.1 Hz, 2H), 3.26 (t, J=6.2 Hz, 1H), 2.10-1.84 (m, 6H), 1.40 (s, 9H), 1.22 (s, 2H), NH not observed; MS (ES+) m/z 227.1 (M+1).

Step 3. Preparation of tert-butyl (1R,3r,5S)-3-((6-(N-(4-methoxybenzyl)-N-(thiazol-4-yl)sulfamoyl)-4-methylpyridin-3-yl)amino)-8-azabicyclo[3.2.1]octane-8-carboxylate

[1118]

[1119]

To a mixture of 5-fluoro-N-(4-methoxybenzyl)-4-methyl-N-(thiazol-4-yl)pyridine-2-sulfonamide (2.64 g, 6.71 mmol) and tert-butyl (1R,3r,5S)-3-amino-8-azabicyclo[3.2.1]octane-8-carboxylate (2.27 g, 10.0 mmol) in anhydrous dimethyl sulfoxide (20 mL) was added N,N-diisopropylethylamine (3.50 mL, 20.1 mmol) and the reaction mixture was heated at 110° C. for 48 hours. After cooling to ambient temperature, the reaction mixture was diluted with ethyl acetate (50 mL), washed with water (30 mL), saturated ammonium chloride (30 mL), brine (20 mL), and dried over anhydrous sodium sulfate. Filtration and concentration of the filtrate in vacuo gave a residue which was purified by column chromatography, eluting with a gradient of 0 to 45% of ethyl acetate in heptane, to provide the title compound as a colorless foam (1.40 g, 34% yield): MS (ES+) m/z 600.2 (M+1).

Step 4. Preparation of tert-butyl (1R,3r,5S)-3-((6-(N-(4-methoxybenzyl)-N-(thiazol-4-yl)sulfamoyl)-4-methylpyridin-3-yl)(methyl)amino)-8-azabicyclo[3.2.1]octane-8-carboxylate

[1120]

[1121]

To a solution of tert-butyl (1R,3r,5S)-3-((6-(N-(4-methoxybenzyl)-N-(thiazol-4-yl)sulfamoyl)-4-methylpyridin-3-yl)amino)-8-azabicyclo[3.2.1]octane-8-carboxylate (1.40 g, 2.33 mmol) in anhydrous N,N-dimethylformamide (20 mL) was added sodium hydride (60% dispersion in mineral oil, 0.280 g, 7.01 mmol) in portions at 0° C. The reaction mixture was stirred at 0° C. for 30 minutes, followed by addition of iodomethane (0.44 mL, 7.0 mmol) at 0° C. The reaction mixture was allowed to warm to ambient temperature and stirred for 2 hours. The mixture was diluted with water (50 mL) and extracted with ethyl acetate (3×50 mL). The combined organic phase was washed with brine (20 mL), dried over anhydrous sodium sulfate, and filtered. Concentration of the filtrate and purification of the residue by column chromatography, eluting with a gradient of 0 to 45% of ethyl acetate in heptane, provided the title compound as colorless solid (1.20 g, 84% yield): MS (ES+) m/z 614.2 (M+1).

Step 5. Preparation of 5-(((1R,3r,5S)-8-(2,5-difluorobenzyl)-8-azabicyclo[3.2.]octan-3-yl)(methyl)amino)-4-methyl-N-(thiazol-4-yl)pyridine-2-sulfonamide trifluoroacetic acid salt

[1122]

[1123]

To a solution of tert-butyl (1R,3r,5S)-3-((6-(N-(4-methoxybenzyl)-N-(thiazol-4-yl)sulfamoyl)-4-methylpyridin-3-yl)(methyl)amino)-8-azabicyclo[3.2.1]octane-8-carboxylate (0.400 g, 0.65 mmol) in dichloromethane (2 mL) was added trifluoroacetic acid (1 mL) and the reaction mixture was heated to reflux for 2 hours. After cooling to ambient temperature, the reaction mixture was concentrated in vacuo and then diluted with N,N-dimethylformamide (5 mL). To the solution was added sodium triacetoxyborohydride (0.271 g, 1.28 mmol) and the reaction mixture was stirred at ambient temperature for 30 minutes. 2,5-Difluorobenzaldehyde (0.14 mL, 1.28 mmol) was added and the mixture was stirred for 1 hour. After dilution with ethyl acetate (20 mL), the solution was washed with saturated ammonium chloride (2×20 mL), brine (10 mL), dried over anhydrous sodium sulfate, and filtered. Concentration of the filtrate in vacuo and purification of the residue by preparative reverse-phase HPLC, eluting with a gradient of 10-50% of acetonitrile in water containing 0.1% of trifluoroacetic acid, afforded the title compound as a colorless solid (0.075 g, 22% yield):1H NMR (300 MHz, DMSO-d6) δ 11.20 (s, 1H), 9.95-9.89 (m, 1H), 8.87 (d, J=2.2 Hz, 1H), 8.38 (s, 1H), 7.90 (s, 1H), 7.55-7.49 (m, 1H), 7.42-7.38 (m, 2H), 7.02 (d, J=2.2 Hz, 1H), 4.20-4.19 (m, 2H), 3.82-3.71 (m, 3H), 2.61 (s, 3H), 2.36 (s, 3H), 2.30-2.02 (m, 8H); MS (ES+) m/z 520.1 (M+1).

Example 59

Synthesis of 5-((1-benzylpiperidin-4-yl)(methyl)amino)-N-(thiazol-4-yl)-4-(trifluoromethyl)pyridine-2-sulfonamide trifluoroacetic acid salt

[1124]

Step 1. Preparation of 5-chloro-N-(4-methoxybenzyl)-N-(thiazol-4-yl)-4-(trifluoromethyl)pyridine-2-sulfonamide

[1125]

[1126]

To a solution of 5-chloro-N-(thiazol-4-yl)-4-(trifluoromethyl)pyridine-2-sulfonamide (1.30 g, 3.79 mmol) in anhydrous dimethyl sulfoxide (20 mL) was added sodium bicarbonate (1.59 g, 18.9 mmol) and 4-methoxybenzyl chloride (1.18 g, 7.58 mmol). The reaction mixture was stirred at ambient temperature for 2 hours and then quenched by addition of water (10 mL). The mixture was extracted with ethyl acetate (3×20 mL) and the combined organic layers were washed with brine (20 mL), dried over anhydrous sodium sulfate, and filtered. Concentration of the filtrate under reduced pressure and purification of the residue by column chromatography, eluting with a gradient of 0 to 50% of ethyl acetate in heptane, afforded the title compound as colorless oil (1.40 g, 79% yield): MS (ES+) m/z 464.0 (M+1), 466.0 (M+1).

Step 2. Preparation of 5-((2,4-dimethoxybenzyl)amino)-N-(4-methoxybenzyl)-N-(thiazol-4-yl)-4-(trifluoromethyl)pyridine-2-sulfonamide

[1127]

[1128]

To a solution of 5-chloro-N-(4-methoxybenzyl)-N-(thiazol-4-yl)-4-(trifluoromethyl)pyridine-2-sulfonamide (1.40 g, 3.02 mmol) in anhydrous dimethyl sulfoxide (20 mL) was added N,N-diisopropylethylamine (1.05 mL, 18.9 mmol) and 2,4-dimethoxybenzylamine (0.554 g, 3.32 mmol). The reaction mixture was stirred at ambient temperature for 4 hours and then quenched by addition of water (10 mL). The mixture was extracted with ethyl acetate (3×20 mL) and the combined organic layers were washed with brine (20 mL), dried over anhydrous sodium sulfate, and filtered. Concentration of the filtrate under reduced pressure and purification of the residue by column chromatography, eluting with a gradient of 0 to 40% of ethyl acetate in heptane, afforded the title compound as colorless oil (1.20 g, 67% yield): MS (ES+) m/z 595.2 (M+1).

Step 3. Preparation of 5-((1-benzylpiperidin-4-yl)(methyl)amino)-N-(thiazol-4-yl)-4-(trifluoromethyl)pyridine-2-sulfonamide trifluoroacetic acid salt

[1129]

[1130]

To a solution of 5-((2,4-dimethoxybenzyl)amino)-N-(4-methoxybenzyl)-N-(thiazol-4-yl)-4-(trifluoromethyl)pyridine-2-sulfonamide (1.0 g, 1.68 mmol) in dichloromethane (4 mL) was added trifluoroacetic acid (1 mL) and the reaction mixture was stirred at ambient temperature for 2 hours. The reaction mixture was concentrated in vacuo and then diluted with trifluoroacetic acid (5 mL). To the solution was added sodium triacetoxyborohydride (1.06 g, 5.04 mmol) and the reaction mixture was stirred at ambient temperature for 30 minutes. To the mixture was added 1-benzylpiperidin-4-one (0.64 g, 3.4 mmol) and the mixture was stirred for 10 minutes. To the mixture was added paraformaldehyde (0.10 g, 3.4 mmol) and the mixture was stirred for 1 hour and then heated to reflux for 1 hour. After dilution with ethyl acetate (30 mL) the solution was washed with water (30 mL) saturated ammonium chloride (20 mL), brine (10 mL), dried over anhydrous sodium sulfate, and filtered. Concentration of the filtrate in vacuo and purification of the residue by preparative reverse-phase HPLC, eluting with a gradient of 10-50% of acetonitrile in water containing 0.1% of trifluoroacetic acid, afforded the title compound as a colorless solid (0.095 g, 11% yield):1H NMR (300 MHz, DMSO-d6) δ 11.36 (s, 1H), 9.51 (s, 1H), 8.88-8.83 (m, 2H), 8.05 (s, 1H), 7.48 (s, 5H), 7.08 (d, J=2.2 Hz, 1H), 4.29 (s, 2H), 3.44-3.36 (m, 3H), 3.06-2.92 (m, 2H), 2.77 (s, 3H), 1.96-1.86 (m, 4H); MS (ES+) m/z 512.0 (M+1).

Example 60

Synthesis of 5-((1-(2,5-difluorobenzyl)piperidin-4-yl)(methyl)amino)-N-(thiazol-4-yl)-4-(trifluoromethyl)pyridine-2-sulfonamide

[1131]

Step 1. Preparation of 5-chloro-N-(thiazol-4-yl)-4-(trifluoromethyl)-N-((2-(trimethylsilyl)ethoxy)methyl)pyridine-2-sulfonamide

[1132]

[1133]

To a mixture of 5-chloro-N-(thiazol-4-yl)-4-(trifluoromethyl)pyridine-2-sulfonamide (3.50 g, 10.18 mmol) and potassium carbonate (2.81 g, 20.36 mmol) in anhydrous N,N-dimethylformamide (35 mL) was added (2-(chloromethoxy)ethyl)trimethylsilane (2.16 mL, 12.22 mmol). The mixture was stirred for 30 minutes and then diluted with ethyl acetate (120 mL). The mixture was washed with water (100 mL), 2M sodium carbonate (2×50 mL), saturated ammonium chloride (75 mL), brine (75 mL), dried over anhydrous sodium sulfate, and filtered. The filtrate was concentrated in vacuo and the residue was purified by column chromatography, eluting with a gradient of 0 to 35% of ethyl acetate in heptane, to afford the title compound an orange oil (1.98 g, 41% yield):1H NMR (300 MHz, CDCl3) δ 8.81 (d, J=0.4 Hz, 1H), 8.57 (d, J=2.3 Hz, 1H), 8.20 (d, J=0.4 Hz, 1H), 7.42 (d, J=2.3 Hz, 1H), 5.42 (s, 2H), 3.80-3.75 (m, 2H), 0.96-0.89 (m, 2H), 0.02 (s, 9H); MS (ES+) m/z 474.0 (M+1), 476.0 (M+1).

Step 2. Preparation of tert-butyl 4-((6-(N-(thiazol-4-yl)-N-((2-(trimethylsilyl)ethoxy)methyl)sulfamoyl)-4-(trifluoromethyl)pyridin-3-yl)amino)piperidine-1-carboxylate

[1134]

[1135]

To a mixture of 5-chloro-N-(thiazol-4-yl)-4-(trifluoromethyl)-N-((2-(trimethylsilyl)ethoxy)methyl)pyridine-2-sulfonamide (1.98 g, 4.18 mmol) and N,N-diisopropylethylamine (2.18 mL, 12.53 mmol) in anhydrous dimethyl sulfoxide (10 mL) was added tert-butyl 4-aminopiperidine-1-carboxylate (1.67 g, 8.35 mmol). The mixture was heated to 80° C. for 20 hours in a sealed tube. The reaction mixture was allowed to cool to ambient temperature and diluted with ethyl acetate (150 mL). The mixture was washed with saturated ammonium chloride (2×75 mL), brine (50 mL), dried over anhydrous sodium sulfate, and filtered. The filtrate was concentrated in vacuo and the residue was purified by column chromatography, eluting with a gradient of 0 to 40% of ethyl acetate in heptane, to afford the title compound an light orange oil (1.98 g, 41% yield):1H NMR (300 MHz, CDCl3) δ 8.59 (d, J=2.3 Hz, 1H), 8.25 (s, 1H), 7.89 (s, 1H), 7.40 (d, J=2.3 Hz, 1H), 5.44 (s, 2H), 4.63 (d, J=7.5 Hz, 1H), 4.11-4.04 (m, 2H), 3.79-3.66 (m, 3H), 3.00 (t, J=11.6 Hz, 2H), 2.10-2.05 (m, 3H), 1.51-1.44 (m, 10H), 0.95-0.89 (m, 2H), 0.00 (s, 9H).

Step 3. Preparation of tert-butyl 4-(methyl(6-(N-(thiazol-4-yl)-N-((2-(trimethylsilyl)ethoxy)methyl)sulfamoyl)-4-(trifluoromethyl)pyridin-3-yl)amino)piperidine-1-carboxylate

[1136]

[1137]

To a mixture of tert-butyl 4-((6-(N-(thiazol-4-yl)-N-((2-(trimethylsilyl)ethoxy)methyl)sulfamoyl)-4-(trifluoromethyl)pyridin-3-yl)amino)piperidine-1-carboxylate (1.20 g, 1.88 mmol) in anhydrous N,N-dimethylformamide (10 mL) was added sodium hydride (60% dispersion in mineral oil, 0.226 g, 5.65 mmol) in portions at 0° C. The reaction mixture was stirred at 0° C. for 30 minutes, followed by addition of iodomethane (0.35 mL, 5.65 mmol) at 0° C. The reaction mixture was allowed to warm to ambient temperature and stirred for 2 hours. The mixture was quenched by adding water (20 mL) and extracted with ethyl acetate (2×20 mL). The combined organic phase was washed with brine (20 mL), dried over anhydrous sodium sulfate, and filtered. Concentration of the filtrate and purification of the residue by column chromatography, eluting with a gradient of 10 to 60% of ethyl acetate in heptane, provided the title compound as colorless solid (1.23 g, quantitative yield): MS (ES+) m/z 652.0 (M+1).

Step 4. Preparation of 5-((1-(2,5-difluorobenzyl)piperidin-4-yl)(methyl)amino)-N-(thiazol-4-yl)-4-(trifluoromethyl)pyridine-2-sulfonamide

[1138]

[1139]

To a solution of tert-butyl 4-(methyl(6-(N-(thiazol-4-yl)-N-((2-(trimethylsilyl)ethoxy)methyl)sulfamoyl)-4-(trifluoromethyl)pyridin-3-yl)amino)piperidine-1-carboxylate (0.410 g, 0.63 mmol) in dichloromethane (2 mL) was added trifluoroacetic acid (1 mL) and the reaction mixture was stirred at ambient temperature for 2 hours. The reaction mixture was concentrated in vacuo and then diluted with N,N-dimethylformamide (5 mL). To the solution was added sodium triacetoxyborohydride (0.267 g, 1.26 mmol) and the reaction mixture was stirred at ambient temperature for 30 minutes. 2,5-Difluorobenzaldehyde (0.14 mL, 1.28 mmol) was added and the reaction mixture was stirred for 1 hour. After dilution with ethyl acetate (20 mL) the solution was washed with saturated ammonium chloride (2×20 mL), brine (10 mL), dried over anhydrous sodium sulfate, and filtered. Concentration of the filtrate in vacuo and purification of the residue by column chromatography, eluting with a gradient of 0 to 8% of methanol in dichloromethane, afforded the title compound as a colorless solid (0.14 g, 40% yield):1H NMR (300 MHz, DMSO-d6) δ 11.43 (s, 1H), 8.87 (d, J=2.2 Hz, 1H), 8.73 (s, 1H), 8.01 (s, 1H), 7.31-7.16 (m, 3H), 7.06 (d, J=2.2 Hz, 1H), 3.67 (d, J=0.2 Hz, 2H), 3.41-3.38 (m, 1H), 2.98-2.94 (m, 2H), 2.80 (s, 3H), 2.29-2.21 (m, 2H), 1.82-1.68 (m, 4H); MS (ES+) m/z 548.1 (M+1).

Example 61

Synthesis of 5-((1-(3-chlorobenzyl)piperidin-4-yl)(methyl)amino)-N-(thiazol-4-yl)-4-(trifluoromethyl)pyridine-2-sulfonamide

[1140]

[1141]

Following the procedure as described for EXAMPLE 59, Step 4 and making non-critical variations as required to replace 2,5-difluorobenzaldehyde with 3-chlorobenzaldehyde, the title compound was obtained as a colorless solid (0.045 g, 17% yield):1H NMR (300 MHz, DMSO-d6) δ 11.22 (s, 1H), 8.86 (d, J=2.2 Hz, 1H), 8.71 (s, 1H), 7.99 (s, 1H), 7.38-7.24 (m, 4H), 7.04 (d, J=2.2 Hz, 1H), 3.47 (s, 2H), 2.85-2.81 (m, 5H), 2.04-1.96 (m, 2H), 1.81-1.61 (m, 5H); MS (ES+) m/z 546.1 (M+1), 548.1 (M+1).

Example 62

Synthesis of 5-(((1R,5S,8r)-3-benzyl-3-azabicyclo[3.2.1]octan-8-yl)(methyl)amino)-3-fluoro-4-methyl-N-(thiazol-4-yl)pyridine-2-sulfonamide trifluoroacetic acid salt

[1142]

Step 1. Preparation of 3,5-difluoro-4-methylpyridine-2-sulfonyl chloride

[1143]

[1144]

To a mixture of 2-(benzylthio)-3,5-difluoro-4-methylpyridine (14.0 g, 55.7 mmol) in acetonitrile (300 mL), water (15.0 mL) and acetic acid (15 mL) was added 1,3-dichloro-5,5-dimethylimidazolidine-2,4-dione (22.0 g, 111 mmol) at 0° C. The resulting mixture was stirred at 0° C. for 1 hour. The reaction mixture was then allowed to warm to ambient temperature and stirred for 2 hours. The reaction mixture was quenched by addition saturated sodium carbonate solution (150 mL), and extracted with ethyl acetate (3×500 mL). The combined organic layers were washed with brine (2×300 mL), dried over magnesium sulfate, filtered and concentrated in vacuo. The residue was purified by column chromatography, eluting with 10% of ethyl acetate in petroleum ether, to afford the title compound as a yellow oil (16.9 g, 63% yield):1H NMR (400 MHz, CDCl3) δ 8.39 (s, 1H), 2.43 (t, J=1.8 Hz, 3H).

Step 2. Preparation of 3,5-difluoro-4-methyl-N-(thiazol-4-yl)-N-((2-(trimethylsilyl)ethoxy)methyl)pyridine-2-sulfonamide

[1145]

[1146]

To a mixture of 3,5-difluoro-4-methylpyridine-2-sulfonyl chloride (6.2 g, 27.2 mmol) in anhydrous pyridine (91 mL) was added thiazol-4-amine hydrochloride (4.8 g, 35.4 mmol) via a solid addition funnel over the course of 30 minutes. The reaction mixture was stirred at ambient temperature for 18 hours. The reaction mixture was poured into water (100 mL) and the mixture was concentrated in vacuo. The solid was suspended in a 1:1 mixture of 5% hydrochloric acid solution and brine (200 mL) and extracted with ethyl acetate (3×150 mL). The combined organic layers were dried over anhydrous magnesium sulfate, filtered, and concentrated in vacuo. The residue was dissolved in anhydrous N,N-dimethylformamide (78 mL), and anhydrous potassium carbonate (7.51 g, 54.4 mmol) and (2-(chloromethoxy)ethyl)trimethylsilane (5.44 g, 32.6 mmol) were added to it. The reaction mixture was stirred at ambient temperature for 6 hours. The reaction mixture was diluted with ethyl acetate (500 mL) and the organic layer was washed with saturated ammonium chloride solution (2×150 mL), water (100 mL), and brine (150 mL). The organic layer was dried over anhydrous magnesium sulfate, filtered, and concentrated in vacuo. The residue was purified by column chromatography, eluting with a gradient of 2 to 50% of ethyl acetate in heptane, to afford the title compound as an orange oil (3.45 g, 30% yield):1H NMR (300 MHz, CDCl3) δ 8.58 (d, J=2.3 Hz, 1H), 8.28 (s, 1H), 7.42 (d, J=2.3 Hz, 1H), 5.47 (s, 2H), 3.84-3.79 (m, 2H), 2.32 (t, J=1.8 Hz, 3H), 0.99-0.93 (m, 2H), 0.02 (q, J=2.1 Hz, 9H); MS (ES+) m/z 422.0 (M+1).

Step 3. Preparation of 5-(((1R,5S,8r)-3-benzyl-3-azabicyclo[3.2.1]octan-8-yl)amino)-3-fluoro-4-methyl-N-(thiazol-4-yl)-N-((2-(trimethylsilyl)ethoxy)methyl)pyridine-2-sulfonamide

[1147]

[1148]

To a solution of 3,5-difluoro-4-methyl-N-(thiazol-4-yl)-N-((2-(trimethylsilyl)ethoxy)methyl)pyridine-2-sulfonamide (1.0 g, 2.37 mmol) in anhydrous N,N-dimethylformamide (8.0 mL) was added (1R,5S,8r)-3-benzyl-3-azabicyclo[3.2.1]octan-8-amine (0.62 g, 2.85 mmol) and N,N-diisopropylethylamine (1.2 mL, 7.1 mmol) at ambient temperature. The mixture was sparged with argon for 10 minutes, the reaction vessel was sealed, and the reaction mixture was heated to 110° C. for 22 hours. The reaction mixture was allowed to cool to ambient temperature and diluted with ethyl acetate (250 mL). The organic phase was washed with saturated ammonium chloride solution (2×100 mL), water (100 mL), brine (100 mL) and dried over anhydrous magnesium sulfate. After filtration, the filtrate was concentrated in vacuo. The residue was purified by column chromatography, eluting with a gradient of 5 to 65% of ethyl acetate (with 10% of isopropanol and 10% of triethylamine) in heptane, to afford the title compound as a colorless oil (0.29 g, 20% yield): MS (ES+) m/z 618.0 (M+1).

Step 4. Preparation of 5-(((1R,5S,8r)-3-benzyl-3-azabicyclo[3.2.1]octan-8-yl)(methyl)amino)-3-fluoro-4-methyl-N-(thiazol-4-yl)pyridine-2-sulfonamide trifluoroacetic acid salt

[1149]

[1150]

To a flask containing 5-(((1R,5S,8r)-3-benzyl-3-azabicyclo[3.2.1]octan-8-yl)amino)-3-fluoro-4-methyl-N-(thiazol-4-yl)-N-((2-(trimethylsilyl)ethoxy)methyl)pyridine-2-sulfonamide (0.29 g, 0.47 mmol) was added trifluoroacetic acid (2 mL) at ambient temperature. The solution was stirred at ambient temperature for 1 hour before paraformaldehyde (0.02 g, 0.66 mmol) was added, followed by sodium triacetoxyborohydride (0.14 g, 0.66 mmol). The solution was stirred at ambient temperature for 20 minutes. The addition of paraformaldehyde and sodium triacetoxyborohydride was repeated 4 times. The reaction mixture was diluted with ethyl acetate (200 mL), washed with saturated sodium bicarbonate solution (3×150 mL), dried over anhydrous magnesium sulfate, filtered, and concentrated in vacuo.

[1151]

The residue was purified by preparative reverse phase HPLC, using acetonitrile in water containing 0.1% trifluoroacetic acid as eluent, to afford the title compound as a colorless solid (0.04 g, 14% yield):1H NMR (300 MHz, DMSO-d6) δ 11.47 (s, 1H), 9.45-9.43 (m, 1H), 8.90-8.89 (m, 1H), 8.31 (s, 1H), 7.53-7.47 (m, 5H), 6.96-6.95 (m, 1H), 4.27-4.20 (m, 3H), 3.48-3.45 (m, 1H), 3.28-3.01 (m, 4H), 2.48 (s, 3H), 1.99-1.80 (m, 5H), 1.70 (s, 3H); MS (ES+) 502.1 m/z (M+1).

Example 63

Synthesis of 5-(((1R,5S,8r)-3-benzyl-3-azabicyclo[3.2.1]octan-8-yl)(methyl)amino)-3-fluoro-N-(6-fluoropyridin-2-yl)-4-methylpyridine-2-sulfonamide trifluoroacetic acid salt

[1152]

Step 1. Preparation of 3,5-difluoro-N-(6-fluoropyridin-2-yl)-N-(4-methoxybenzyl)-4-methylpyridine-2-sulfonamide

[1153]

[1154]

To a mixture of 3,5-difluoro-N-(6-fluoropyridin-2-yl)-4-methylpyridine-2-sulfonamide (6.56 g, 21.65 mmol) and sodium bicarbonate (4.36 g, 51.96 mmol) in anhydrous N,N-dimethylformamide (72 mL) was added para-methoxybenzyl chloride (4.07 g, 25.98 mmol). The reaction mixture was heated to 50° C. for 5 hours. After cooling to ambient temperature, the reaction mixture was diluted with ethyl acetate (300 mL), and the organic phase was washed with saturated ammonium chloride solution (100 mL), water (3×75 mL), and brine (100 mL). The organic phase was dried over anhydrous magnesium sulfate, filtered, and concentrated in vacuo. The residue was purified by column chromatography, eluting with a gradient of 10 to 70% of ethyl acetate in heptane, to afford the title compound as a yellow oil (5.02 g, 55% yield):1H NMR (300 MHz, CDCl3) δ 8.30 (s, 1H), 7.69 (q, J=8.1 Hz, 1H), 7.37-7.30 (m, 3H), 6.82-6.79 (m, 2H), 6.70 (dd, J=8.0, 3.0 Hz, 1H), 5.17 (s, 2H), 3.77 (s, 3H), 2.32 (t, J=1.8 Hz, 3H); MS (ES+) m/z 424.0 (M+1).

Step 2. Preparation of 5-(((1R,5S,8r)-3-benzyl-3-azabicyclo[3.2.1]octan-8-yl)amino)-3-fluoro-N-(6-fluoropyridin-2-yl)-N-(4-methoxybenzyl)-4-methylpyridine-2-sulfonamide

[1155]

[1156]

To 3,5-difluoro-N-(6-fluoropyridin-2-yl)-N-(4-methoxybenzyl)-4-methylpyridine-2-sulfonamide (1.0 g, 2.4 mmol) in anhydrous N,N-dimethylformamide (8.0 mL) was added (1R,5S,8r)-3-benzyl-3-azabicyclo[3.2.1]octan-8-amine (0.66 g, 3.1 mmol) and N,N-diisopropylethylamine (1.2 mL, 7.1 mmol) at ambient temperature. The reaction mixture was sparged with nitrogen for 10 minutes and the reaction mixture was heated to 110° C. for 22 hours. The reaction mixture was allowed to cool to ambient temperature and diluted with ethyl acetate (250 mL). The mixture was washed with saturated ammonium chloride solution (2×100 mL), water (100 mL), brine (100 mL), and dried over anhydrous magnesium sulfate. Filtration and concentration of the filtrate in vacuo afforded a residue, which was purified by column chromatography, eluting with a gradient of 5 to 80% of ethyl acetate (with 10% of isopropanol and 10% of triethylamine) in heptane, to afford the title compound as a colorless oil (0.55 g, 38% yield): MS (ES+) m/z 620.0 (M+1).

Step 3. Preparation of 5-(((1R,5S,8r)-3-benzyl-3-azabicyclo[3.2.1]octan-8-yl)(methyl)amino)-3-fluoro-N-(6-fluoropyridin-2-yl)-4-methylpyridine-2-sulfonamide trifluoroacetic acid salt

[1157]

[1158]

To a flask containing 5-(((1R,5S,8r)-3-benzyl-3-azabicyclo[3.2.]octan-8-yl)amino)-3-fluoro-N-(6-fluoropyridin-2-yl)-N-(4-methoxybenzyl)-4-methylpyridine-2-sulfonamide (0.55 g, 0.89 mmol) was added trifluoroacetic acid (3 mL) at ambient temperature and the resulting solution was cooled to 0° C. Solid paraformaldehyde (0.04 g, 1.3 mmol) was added to it, followed by sodium triacetoxyborohydride (0.28 g, 1.3 mmol). The reaction mixture was stirred at ambient temperature for 20 minutes. The addition of paraformaldehyde and sodium triacetoxyborohydride was repeated 5 times. The reaction mixture was diluted with ethyl acetate (200 mL), and washed with 1 M sodium hydroxide solution (2×150 mL), and brine (100 mL). The organic phase was dried over anhydrous magnesium sulfate, filtered, and concentrated in vacuo. The residue was dissolved in trifluoroacetic acid (10 mL) and the solution was heated to reflux for 2 hours. The reaction mixture was allowed to cool to ambient temperature and concentrated in vacuo. The residue was extracted with methanol (3×25 mL). The organic phase was filtrated and the filtrate concentrated in vacuo. The residue was purified by preparative reverse phase HPLC, using acetonitrile in water containing 0.1% trifluoroacetic acid as eluent, to afford the title compound as a colorless solid (0.072 g, 13% yield):1H NMR (300 MHz, DMSO-d6) δ 11.81-11.69 (m, 1H), 9.63-9.49 (m, 1H), 8.33-8.31 (m, 1H), 7.90-7.82 (m, 1H), 7.56-7.44 (m, 5H), 6.98-6.95 (m, 1H), 6.75 (dd, J=7.9, 2.3 Hz, 1H), 4.27-4.16 (m, 2H), 3.77-3.31 (m, 4H), 3.25-2.84 (m, 3H), 2.49-2.45 (m, 3H), 2.03-1.78 (m, 4H), 1.78-1.68 (m, 3H); MS (ES+) 514.2 m/z (M+1).

Example 64

Synthesis of 5-((1-benzylpiperidin-4-yl)(methyl)amino)-3-fluoro-N-(thiazol-4-yl)-4-(trifluoromethyl)pyridine-2-sulfonamide

[1159]

Step 1. Preparation of tert-butyl (6-chloro-5-fluoro-4-(trifluoromethyl)pyridin-3-yl)carbamate

[1160]

[1161]

To a flask charged with tert-butyl (6-chloro-5-fluoro-4-iodopyridin-3-yl)carbamate (prepared according to Org. Process Res. Dev. 2015, 19, 661-672; 16.8 g, 42.3 mmol) was added anhydrous N,N-dimethylformamide (325 mL) and the mixture was sparged with argon for 20 minutes. To the mixture was added copper iodide (16.1 g, 84.6 mmol) and methyl 2,2-difluoro-2-(fluorosulfonyl)acetate (16.2 g, 84.6 mmol). The reaction vessel was sealed, and the reaction mixture was heated to 100° C. for 3 hours. The reaction mixture was allowed to cool to ambient temperature and diluted with ethyl acetate (750 mL). The organic phase was washed with saturated ammonium chloride solution (3×200 mL), water (100 mL) and brine (100 mL). After drying over magnesium sulfate, the organic phase was filtered, concentrated in vacuo. The residue was purified by column chromatography, eluting with a gradient of 1 to 25% of ethyl acetate in heptane to afford the title compound as a colorless solid (7.45 g, 56% yield):1H NMR (300 MHz, CDCl3) δ 8.83 (s, 1H), 6.75 (s, 1H), 1.56 (s, 9H).

Step 2. Preparation of tert-butyl (6-(benzylthio)-5-fluoro-4-(trifluoromethyl)pyridin-3-yl)carbamate

[1162]

[1163]

To a flask charged with tert-butyl (6-chloro-5-fluoro-4-(trifluoromethyl)pyridin-3-yl)carbamate (7.45 g, 23.73 mmol) was added 1,4-dioxane (120 mL) and the resulting solution was sparged with nitrogen for 10 minutes. To the solution was added tris(dibenzylideneacetone)dipalladium(0) (0.54 g, 0.59 mmol), 4,5-bis(diphenylphosphino)-9,9-dimethylxanthene (0.69 g, 1.2 mmol), N,N-diisopropylethylamine (3.5 g, 28.5 mmol), and benzyl mercaptan (2.92 g, 23.5 mmol).

[1164]

The reaction mixture was heated to reflux for 8 hours. After cooling to ambient temperature, the mixture was filtered through a bed of celite, and the filtrate was concentrated in vacuo. The residue was purified by column chromatography eluting with 0 to 30% ethyl acetate in heptane, to afford the title compound as a yellow oil (6.43 g, 67% yield):1H NMR (300 MHz, CDCl3) δ 9.02 (s, 1H), 7.44-7.41 (m, 2H), 7.34-7.26 (m, 3H), 6.62 (d, J=0.4 Hz, 1H), 4.47 (s, 2H), 1.54 (s, 9H).

Step 3. Preparation of benzyl 4-((6-(benzylthio)-5-fluoro-4-(trifluoromethyl)pyridin-3-yl)amino)piperidine-1-carboxylate

[1165]

[1166]

To a flask charged with tert-butyl (6-(benzylthio)-5-fluoro-4-(trifluoromethyl)pyridin-3-yl)carbamate (2.0 g, 5.0 mmol) was added trifluoroacetic acid (17 mL) and the reaction mixture was stirred at ambient temperature for 1 hour. The solution was cooled to 0° C. and benzyl 4-oxopiperidine-1-carboxylate (1.4 g, 5.97 mmol) was added to it. After five minutes, sodium triacetoxyborohydride (1.3 g, 5.97 mmol) was added and the reaction mixture was stirred at 0° C. for 20 minutes. The addition of benzyl 4-oxopiperidine-1-carboxylate and sodium triacetoxyborohydride was repeated five times. The reaction mixture was diluted with ethyl acetate (400 mL), and washed with 5 M sodium hydroxide solution (2×200 mL), saturated ammonium chloride solution (2×150 mL), and brine (150 mL). The organic phase was dried over magnesium sulfate, filtered, and concentrated in vacuo. The residue was purified by column chromatography eluting with 5 to 100% ethyl acetate in heptane, to afford the title compound as a colorless oil (2.55 g, 99% yield): MS (ES+) m/z 520.2 (M+1).

Step 4. Preparation of benzyl 4-((5-fluoro-6-(N-(thiazol-4-yl)sulfamoyl)-4-(trifluoromethyl)pyridin-3-yl)amino)piperidine-1-carboxylate

[1167]

[1168]

To a solution of benzyl 4-((6-(benzylthio)-5-fluoro-4-(trifluoromethyl)pyridin-3-yl)amino)piperidine-1-carboxylate (0.53 g, 1.1 mmol) in acetonitrile (5.2 mL), water (1.4 mL) and acetic acid (1.4 mL) was added 1,3-dichloro-5,5-dimethylimidazolidine-2,4-dione (0.64 g, 2.2 mmol) at 0° C. The resulting mixture was stirred at 0° C. for 1 hour. The reaction mixture was allowed to warm to 20° C., stirred for 2 h, and then diluted with ethyl acetate (150 mL). The organic layer was washed with water (2×50 mL), saturated sodium carbonate solution (2×50 mL), brine (100 mL), and dried over magnesium sulfate. Filtration and concentration of the filtrate in vacuo afforded a residue, which was dissolved in anhydrous pyridine (2.6 mL). The mixture was cooled to 0° C., and thiazol-4-amine hydrochloride (0.16 g, 1.16 mmol) was added to it. The reaction mixture was stirred at 0° C. for 1 h, after which a second portion of thiazol-4-amine hydrochloride (0.16 g, 1.16 mmol) was added to it. The reaction mixture was stirred at 0° C. for 3 hours and then concentrated in vacuo. The residue was dissolved in ethyl acetate (200 mL), and washed with 1M hydrochloric acid (3×50 mL), brine (50 mL), and dried over magnesium sulfate. Filtration and concentration of the filtrate in vacuo provided a residue, which was purified by column chromatography, eluting with a gradient of 5 to 20% of ethyl acetate (with 20% of ethanol and 3% of ammonium hydroxide) in ethyl acetate, to afford the title compound as a red oil (0.18 g, 30% yield): MS (ES+) m/z 560.0 (M+1).

Step 5. Preparation of benzyl 4-((5-fluoro-6-(N-(thiazol-4-yl)sulfamoyl)-4-(trifluoromethyl)pyridin-3-yl)(methyl)amino)piperidine-1-carboxylate

[1169]

[1170]

To a flask containing benzyl 4-((5-fluoro-6-(N-(thiazol-4-yl)sulfamoyl)-4-(trifluoromethyl)pyridin-3-yl)amino)piperidine-1-carboxylate (0.36 g, 0.64 mmol) was added trifluoroacetic acid (2 mL) at ambient temperature and the solution was cooled to 0° C. Sodium triacetoxyborohydride (0.16 g, 0.77 mmol) was added and the mixture was stirred until all solids had dissolved. Paraformaldehyde (0.023 g, 0.77 mmol) was then added and the reaction mixture was stirred at 0° C. for 20 minutes. The addition of sodium triacetoxyborohydride and paraformaldehyde was repeated three times. The reaction mixture was diluted with ethyl acetate (200 mL), and washed with saturated ammonium chloride solution (3×50 mL), and brine (50 mL). The organic phase was dried over anhydrous magnesium sulfate, filtered, and concentrated in vacuo. The residue was purified by column chromatography, eluting with 50 to 100% ethyl acetate in heptane, to afford the title compound as a colorless oil (0.33 g, 89% yield): MS (ES+) m/z 574.0 (M+1).

Step 6. Preparation of 5-((1-benzylpiperidin-4-yl)(methyl)amino)-3-fluoro-N-(thiazol-4-yl)-4-(trifluoromethyl)pyridine-2-sulfonamide

[1171]

[1172]

To a solution of benzyl 4-((5-fluoro-6-(N-(thiazol-4-yl)sulfamoyl)-4-(trifluoromethyl)pyridin-3-yl)(methyl)amino)piperidine-1-carboxylate (0.33 g, 0.57 mmol) in acetonitrile (10 mL) was added iodotrimethylsilane (0.11 g, 0.54 mmol) at 0° C. The reaction mixture was allowed to warm to ambient temperature over the course of 1 hour after which more iodotrimethylsilane (0.11 g, 0.54 mmol) was added to it. The reaction mixture was stirred for 1 h, followed by addition of iodotrimethylsilane (0.11 g, 0.54 mmol). The reaction mixture was stirred for 1 hour and then quenched by addition of 5 M sodium hydroxide solution (0.3 mL). The reaction mixture was extracted with ethyl acetate (3×100 mL). The combined organic layers were washed with ammonium chloride solution (2×50 mL), brine (50 mL), and dried over magnesium sulfate. The organic phase was filtered and concentrated in vacuo. The residue was dissolved in N,N-dimethylformamide (3 mL). To it was then added benzaldehyde (0.24 g, 2.3 mmol) and sodium acetoxyborohydride (0.24 g, 1.1 mmol) and reaction mixture was stirred for 22 hours at ambient temperature. The reaction mixture was diluted with ethyl acetate (300 mL), and washed with saturated ammonium chloride (2×100 mL) and brine (50 mL). The organic phase was dried over anhydrous magnesium sulfate, filtered, and concentrated in vacuo. The residue was purified by column chromatography, eluting with 5 to 100% of ethyl acetate (with 20% of ethanol and 3% of ammonium hydroxide) in heptane, to afford the title compound as a colorless solid (0.037 g, 12% yield):1H NMR (300 MHz, DMSO-d6) δ 11.79-10.92 (m, 1H), 8.89-8.87 (m, 1H), 8.43 (s, 1H), 7.34-7.26 (m, 5H), 6.96 (t, J=1.9 Hz, 1H), 3.50 (s, 2H), 3.46-3.40 (m, 1H), 2.87 (d, J=10.6 Hz, 5H), 2.10-2.01 (m, 2H), 1.89-1.77 (m, 2H), 1.69-1.63 (m, 2H); MS (ES+) m/z 530.1 (M+1).

BIOLOGICAL ASSAYS

[1173]

Various techniques are known in the art for testing the activity of the compound of the invention or determining their solubility in known pharmaceutically acceptable excipients. In order that the invention described herein may be more fully understood, the following biological assays are set forth. It should be understood that these examples are for illustrative purposes only and are not to be construed as limiting this invention in any manner.

Biological Example 1

Electrophysiological Assay (In Vitro Assay)

[1174]

Patch voltage clamp electrophysiology allows for the direct measurement and quantification of block of voltage-gated sodium channels (Nav's), and allows the determination of the time- and voltage-dependence of block which has been interpreted as differential binding to the resting, open, and inactivated states of the sodium channel (Hille, B., Journal of General Physiology (1977), 69: 497-515).

[1175]

The following patch voltage clamp electrophysiology studies were performed on representative compounds of the invention using human embryonic kidney cells (HEK), permanently transfected with an expression vector containing the full-length cDNA coding for the desired human sodium channel α-subunit, grown in culture media containing 10% FBS, 1% PSG, and 0.5 mg/mL G418 at 37° C. with 5% CO2. HEK cells used for the electrophysiology (EP) recordings had a passage number of less than 40 for all studies and were used within three days from the time of plating. Nav1.1, Nav1.5 and Nav1.6 cDNAs (NM_001165964 (SCN1A), NM_000335 (SCN5A) and NM_014191 (SCN8A), respectively) were stably expressed in HEK-293 cells.

[1176]

Sodium currents were measured using the patch clamp technique in the whole-cell configuration using either a PatchXpress automated voltage clamp or manually using an Axopatch 200B (Axon Instruments) or Model 2400 (A-M systems) amplifier. The manual voltage clamp protocol was as follows: Borosilicate glass micropipettes were fire-polished to a tip diameter yielding a resistance of 2-4 Mohms in the working solutions. The pipette was filled with a solution comprised of: 5 mM NaCl, 10 mM CsCl, 120 mM CsF, 0.1 mM CaCl2, 2 mM MgCl2, 10 mM HEPES, 10 mM EGTA; and adjusted to pH 7.2 with CsOH. The external solution had the following composition: 140 mM NaCl, 5 mM KCl, 2 mM CaCl2, 1 mM MgCl2, 10 mM HEPES; and adjusted to pH 7.4 with NaOH. In some studies, the external sodium was reduced by equimolar replacement with choline. Osmolarity in the CsF internal and NaCl external solutions was adjusted to 300 mOsm/kg and 310 mOsm/kg with glucose, respectively. All recordings were performed at ambient temperature in a bath chamber with a volume of 150 μL. Control sodium currents were measured in 0.5% DMSO. Controls and representative compounds of the invention were applied to the recording chamber through a 4-pinch or 8-pinch valve bath perfusion system manufactured by ALA Scientific Instruments.

[1177]

Currents were recorded at 40 kHz sampling frequency, filtered at 5 Hz, and stored using a Digidata-1322A analogue/digital interface with the pClamp software (Axon Instruments). Series resistance compensation was applied (60-80%). Cells were rejected if currents showed inadequate voltage control (as judged by the IV relationship during stepwise activation). All statistics in this study are given as mean±SD.

[1178]

The membrane potential was maintained at a voltage where inactivation of the channel is complete. The voltage is then stepped back to a very negative (Vhold=−150 mV) voltage for 20 ms and then a test pulse is applied to quantify the compound block. The 20 ms brief repolarization was long enough for compound-free channels to completely recover from fast inactivation, but the compound-bound channels recovered more slowly such that negligible recovery could occur during this interval. The percent decrease in sodium current following wash-on of compound was taken as the percent block of sodium channels.

[1179]

Representative compounds of the invention, when tested in this assay, demonstrated the IC50's as set forth below in Table 1 following Biological Example 2.

Biological Example 2

Sodium Influx Assay (In Vitro Assay)

[1180]

This sodium influx assay employs the use of the cell permeable, sodium sensitive dye ANG2 to quantify sodium ion influx through sodium channels which are maintained in an open state by use of sodium channel modulators. This high throughput sodium influx assay allows for rapid profiling and characterization of sodium channel blockers.

[1181]

In general, Trex HEK293 cells were stably transfected with an inducible expression vector containing the full-length cDNA coding for the desired human sodium channel α-subunit and with an expression vector containing full length cDNA coding for the β1-subunit. Sodium channel expressing cell lines were induced with tetracycline (1 μg/mL) and plated on 384-well PDL-coated plates at a density of 25K-30K cells/well in culture media (DMEM, containing 10% FBS and 1% L-glutamine). After overnight incubation (37° C., 5% CO2), culture media was removed and cells were loaded with 5 uM ANG2 dye for 1-1.5 h in Buffer 1 (155 mM NMDG, 5 mM KCl, 2 mM CaCl2, 1 mM MgCl2, 10 mM HEPES, 10 mM glucose, adjusted with Tris to pH 7.4). Access dye was removed and cells were incubated with test compounds for 1 hr in buffer 1 containing sodium channel modulator(s) at room temperature. Hamamatsu FDSS μCell was used to perform a 1:1 addition of Na/K challenge buffer (140 mM NaCl, 20 mM HEPES, 1 mM CaCl2, 15 mM KCl, 1 mM MgCl2, 10 mM glucose, adjusted with Tris to pH 7.4) and simultaneously read plates at excitation wavelength of 530 nm and emission wavelength set at 558 nm. Percent inhibition of sodium ion influx was calculated for each test compound at each test concentration to determine the IC50 values.

[1182]

Representative compounds of the invention, when tested in this model, demonstrated affinities for the inactivated state of Nav1.6, Nav1.5 and Nav1.1 as set forth below in Table 1.

[1183]

The Example numbers provided in Table 1 below correspond to the Examples herein, “Flux” refers to the Sodium Influx Assay and “EP” refers to the Electrophysiological Assay. IC50 values listed are arithmetic mean values:

[1184]

Inhibition of NaV1.6, NaV1.5 and NaV1.1
Flux EP Flux Flux EP
Ex. NaV1.6NaV1.6NaV1.5NaV1.1NaV1.1
No.IC50 (μM)IC50 (μM)IC50 (μM)IC50 (μM)IC50 (μM)
19.48430.00030.000
20.3140.11030.00030.00010.000
30.5540.10530.00030.00010.000
40.41930.00030.000
50.19530.00026.041
60.08730.00011.139
70.38630.00030.000
80.99130.00030.000
90.19530.00030.000
101.67330.00030.000
110.39530.00030.000
120.09030.00030.000
130.01030.00030.000
140.00730.00030.000
150.05630.00030.000
160.04030.00021.628
170.03516.4758.818
180.39030.00029.764
190.07230.00027.463
200.22018.0714.512
210.11025.1865.987
220.2838.7613.830
230.49930.00030.000
240.08130.00030.000
250.01915.5057.084
260.11530.00030.000
270.11530.00030.000
280.00230.00030.000
290.02030.00030.000
307.25030.00030.000
310.41130.00030.000
3210.75330.00013.070
330.07530.00020.665
340.05330.00030.000
350.02430.00030.000
360.25017.35520.426
370.14830.00030.000
380.02416.8869.851
390.17330.00030.000
400.00730.00030.000
410.00230.00030.000
427.67030.00030.000
430.08528.92722.694
440.03830.00030.000
456.72430.00030.000
469.6726.38622.911
471.31330.00014.892
482.05230.00010.737
490.72230.0007.127
509.97517.60430.000
518.13130.00022.655
520.29630.00030.000
530.29430.00018.976
540.2349.29827.134
550.0383.9922.484
560.13110.1594.704
570.0295.8462.548
580.3432.0841.080
590.02630.0007.621
600.0678.2712.994
610.0614.5491.362
620.09630.00030.000
630.21330.00030.000
640.21730.00030.000

Biological Example 3

Electrical Stimulation Seizure Assays

[1185]

Many electric stimulation seizure tests have been used to identify compounds with anti-convulsion activity, i.e., which raise seizure threshold. Two examples of electrical stimulation seizure assays frequently used in the field are the 6 Hz psychomotor seizure assay (6 Hz) and the Maximal Electroshock Seizure (MES). The 6 Hz assay is considered a model of partial seizures observed in humans (Löscher, W. and Schmidt, D., Epilepsy Res. (1988), Vol. 2, pp 145-81; Barton, M. E. et al., Epilepsy Res. (2001), Vol. 47, pp. 217-27). The MES assay is a model for generalized tonic-clonic seizures in humans and provides an indication of a compound's ability to prevent seizure spread when all neuronal circuits in the brain are maximally active. These seizures are highly reproducible and are electrophysiologically consistent with human seizures (Toman et al., 1946; Piredda et al., 1984; White et al., 1995). Experiments can be performed with healthy animals, or with seizure prone animals that have been genetically modified to model genetic epilepsy syndromes (Piredda, S. G. et al., J. Pharmacol. Exp. Ther. (1985), Vol. 232, pp. 741-5; Toman, J. E. et al., J. Neurophysiol. (1946), Vol. 9, pp. 231-9; and White, H. S. et al., Ital. J. Neurol. Sci. (1995), Vol. 16 (1-2), pp. 73-7).

[1186]

To facilitate testing mice can be pretreated with the test compound or with the appropriate vehicle prior to the application of the electroshock. Each treatment group (n=4-8 mice/group) is examined for anticonvulsive effects at different time points after administration of the compound and the vehicle. The eyes of mice are first anesthetized with a topical application of Alcaine (proparacaine hydrochloride) 0.5%, one drop in each eye 30 minutes prior to the stimulation. Seizures are then induced by placing electrodes on the eyes which deliver a transcomeal current.

[0000]

The 6 Hz Psychomotor Seizure Test:

[1187]

Following pretreatment, each mouse is challenged with the low-frequency (6 Hz, 0.3 ms pulse width) stimulation for 3 sec. delivered through corneal electrodes at several intensities (12-44 mA). Animals are manually restrained and released immediately following the stimulation and observed for the presence or absence of seizure activity. Typically, the 6 Hz stimulation results in a seizure characterized by a minimal clonic phase that is followed by stereotyped, automatist behaviors, including twitching of the vibrissae, and Straub-tail or by a generalized tonic clonic seizure. The presence, type and latency to seizure (in seconds) after the application of the current are monitored. Animals not displaying a clonic or generalized tonic clonic seizure are considered “protected”. All animals are euthanized at the end of assay. Plasma and brain samples are collected.

[0000]

Maximal Electroshock Test (MES):

[1188]

Following pretreatment, each mouse is challenged with an alternating current (60 Hz, 0.4-0.6 ms pulse width) for 0.2-0.5 sec. delivered through corneal electrodes at intensities (44-55 mA).

[1189]

Typically, the MES stimulation results in a generalized tonic seizure that can be followed by a clonic seizure, automatist behaviors and Straub-tail. The presence, type and latency to seizure (in seconds) after the application of the current are monitored. An animal is considered “protected” from MES-induced seizures upon abolition of the hindlimb tonic extensor component of the seizure. After the seizure, mice are expected to resume normal exploratory behaviour within 1 to 4 minutes. Latency to seizure is recorded with a cut-off of 1 minute after which all animals are euthanized.

[1190]

All of the U.S. patents, U.S. patent application publications, U.S. patent applications, foreign patents, foreign patent applications and non-patent publications referred to in this specification are incorporated herein by reference in their entireties.

[1191]

Although the foregoing invention has been described in some detail to facilitate understanding, it will be apparent that certain changes and modifications may be practiced within the scope of the appended claims. Accordingly, the described embodiments are to be considered as illustrative and not restrictive, and the invention is not to be limited to the details given herein, but may be modified within the scope and equivalents of the appended claims.

Как компенсировать расходы
на инновационную разработку
Похожие патенты