патент
№ US 0010724064
МПК C12P33/02

7-β-hydroxysteroid dehydrogenase mutants and process for the preparation of ursodeoxycholic acid

Авторы:
Werner Hummel Daniel Bakonyi HUMMEL WERNER
Все (6)
Правообладатель:
Все (3)
Номер заявки
16434808
Дата подачи заявки
07.06.2019
Опубликовано
28.07.2020
Страна
US
Дата приоритета
16.12.2025
Номер приоритета
Страна приоритета
Как управлять
интеллектуальной собственностью
Чертежи 
10
Реферат

The invention relates to novel 7β-hydroxysteroid dehydrogenase mutants, to the sequences which code for these enzyme mutants, to processes for the preparation of the enzyme mutants and to their use in enzymatic conversions of cholic acid compounds, in particular in the preparation of ursodeoxycholic acid (UDCA); subject-matter of the invention is also novel processes for the synthesis of UDCA using enzyme mutants; and the preparation of UDCA using recombinant, multiply modified microorganisms.

Формула изобретения

1. A 7β-hydroxysteroid dehydrogenase (7β-HSDH) that catalyzes at least the stereospecific enzymatic reduction of a 7-ketosteroid to the corresponding 7-hydroxysteroid, wherein the enzyme comprises a mutation at position 17 of SEQ ID NO:2 or in the corresponding sequence position of an amino acid sequence derived therefrom with at least 80% sequence identity to SEQ ID NO:2;

wherein the mutation at position 17 is T17X2, and wherein X2represents F, A, I or S, and wherein the enzyme has one or more of the following in comparison with the 7β-HSDH with SEQ ID NO:2:

(a) an increased specific activity (Vmax [U/mg]) for dehydrocholic acid (DHCA) in the enzymatic reduction of DHCA with NAD(P)H as cofactor;

(b) an increased specific activity (Vmax [U/mg]) for NAD(P)H in the enzymatic reduction of DHCA with NAD(P)H as cofactor;

(c) a reduced substrate inhibition by DHCA; and

(d) a modified cofactor specificity with respect to NADH and NADPH.

2. The 7β-HSDH as claimed in claim 1, further comprising a mutation at position 64 of SEQ ID NO:2 or in the corresponding sequence position of an amino acid sequence derived therefrom with at least 80% sequence identity to SEQ ID NO:2, wherein in the mutation at position 64 is R64X1, wherein X1represents an amino acid other than R.

3. The 7β-HSDH as claimed in claim 2, wherein X1represents E, D, T, L, S, P, V, K, C, A, G, Q, F, W, I or Y.

4. The 7β-HSDH as claimed in one of claims 1-3, further comprising at least one mutation in the sequence motif VMVGRRE as per position 36 to 42 of SEQ ID NO:2 or in the corresponding sequence motif of an amino acid sequence derived therefrom with at least 80% sequence identity to SEQ ID NO:2.

5. The 7β-HSDH as claimed in claim 4, comprising the amino acid sequence mutation G39X3, wherein X3represents an amino acid other than G.

6. The 7β-HSDH as claimed in claim 5, wherein X3represents S, A, V, I, L, C, K, Y, F or R.

7. A nucleic acid molecule comprising a nucleotide sequence that encodes for a 7β-HSDH as claimed in claim 1.

8. An expression cassette, comprising at least one nucleotide sequence as defined in claim 7 under the control of at least one regulatory sequence.

9. An expression vector, comprising at least one expression cassette as claimed in claim 8.

10. A recombinant microorganism, comprising at least one nucleotide sequence as defined in claim 7.

11. The recombinant microorganism as claimed in claim 10, further comprising a nucleic acid sequence that encodes at least one further enzyme selected from the group consisting of hydroxysteroid dehydrogenases (HSDHs) and dehydrogenases that are suitable for cofactor regeneration.

12. The recombinant microorganism as claimed in claim 11, wherein the further HSDHs are selected from the group consisting of 3α-HSDHs and the dehydrogenases are selected from the group consisting of NADPH-regenerating enzymes.

13. The recombinant microorganism as claimed in claim 12, wherein the NADPH-regenerating enzymes are selected from the group consisting of NAPDH dehydrogenases, alcohol dehydrogenases (ADH), NADPH regenerating formate dehydrogenases (FDH), glucose dehydrogenases (GDH), glucose-6-phosphate dehydrogenases (G-6-PDH), phosphite dehydrogenases (PtDH) and NADH-regenerating enzymes.

14. The recombinant microorganism as claimed in claim 13, wherein the NADH-regenerating enzymes are selected from the group consisting of NADH dehydrogenases, NADH-regenerating formate dehydrogenases (FDH), NADH-regenerating alcohol dehydrogenases (ADH), NADH-regenerating glucose-6-phosphate dehydrogenases (G6PDH), NADH-regenerating phosphite dehydrogenases (PtDH) and NADH-regenerating glucose dehydrogenases (GDH).

15. The recombinant microorganism as claimed in claim 10, which is a 7α-HSDH knock-out strain.

16. A recombinant microorganism, comprising at least one expression cassette as claimed in claim 8.

17. A recombinant microorganism, comprising at least one expression vector as claimed in claim 9.

18. The recombinant microorganism as claimed in claim 16, which is a 7α-HSDH knock-out strain.

19. The recombinant microorganism as claimed in claim 17, which is a 7α-HSDH knock-out strain.

Описание

CROSS-REFERENCE TO RELATED APPLICATIONS

[0001]

This application is a division of U.S. patent application Ser. No. 15/320,213, now U.S. Pat. No. 10,358,672, which is the U.S. national phase, pursuant to 35 U.S.C. § 371, of PCT international application Ser. No. PCT/EP2015/067212, Jul. 28, 2015, designating the United States and published in German on Feb. 4, 2016 as publication WO 2016/016213A1, which claims priority under 35 U.S.C. § 119(a) to European patent application No. 14178912.3, filed Jul. 29, 2014. The entire disclosures of the aforementioned patent applications are hereby incorporated herein by reference.

[0002]

The invention relates to novel 7β-hydroxysteroid dehydrogenase mutants, to the sequences which code for these enzyme mutants, to processes for the preparation of the enzyme mutants and to their use in enzymatic conversions of cholic acid compounds, in particular in the preparation of ursodeoxycholic acid (UDCA); subject-matter of the invention is also novel processes for the synthesis of UDCA using enzyme mutants; and the preparation of UDCA using recombinant, multiply modified microorganisms.

BACKGROUND OF THE INVENTION

[0003]

Bile acids are biomolecules which are required for the digestion and absorption of fats, fatty acids and hydrophobic vitamins. A bile acid which is found, in humans, in small amounts only is ursodeoxycholic acid (UDCA). It has recently gained great therapeutic importance in the dissolution of cholesterol-comprising gallstones. This compound is produced industrially in ton quantity by chemical or enzymatic steps. An important precursor for the synthesis of UDCA is 12-ketoursodeoxycholic acid, which can be converted into UDCA by a Wolff-Kishner reduction. A route, described in the literature, for the synthesis of 12-ketoursodeoxycholic acid starts with cholic acid (3α,7α,12α-trihydroxy-5β-cholanic acid), which may be prepared by two oxidative steps which are catalyzed by 7α- and 12α-HSDHs, and one reductive step, catalyzed by a 7β-HSDH (Bovara R et al. (1996) A new enzymatic route to the synthesis of 12-ketoursodeoxycholic acid. Biotechnol. Lett. 18:305-308; Monti D et al. (2009) One-pot multienzymatic synthesis of 12-ketoursodeoxycholic acid: Subtle cofactor specificities rule the reaction equilibria of five biocatalysts working in a row. Adv. Synth. Catal. 351:1303-1311). A further route starts with 7-ketolithocholic acid, which may be converted into UDCA by stereoselectively reducing the 7-keto group; this step, too, is advantageously carried out with enzymatic catalysis, catalyzed by a 7β-HSDH (Higashi S at al. (1979) Conversion of 7-ketolithocholic acid to ursodeoxycholic acid by human intestinal anaerobic microorganisms: Interchangeability of chenodeoxycholic acid and ursodeoxycholic acid. Gastroenterologia Japonica 14:417-424; Liu L et al. (2011) Identification, cloning, heterologous expression, and characterization of a NADPH-dependent 7 beta-hydroxysteroid dehydrogenase from Collinsella aerofaciens. Appl. Microbiol. Biotechnol. 90:127-135.). A further advantageous synthetic route starts with dehydrocholic acid (DHCA), which may be converted into 12-ketoursodeoxycholic acid by two reductive steps; these two steps may be catalyzed by two stereoselective HSDHs (3α- and 7β-HSDHs) (Carrea G et al. (1992) Enzymatic synthesis of 12-ketoursodeoxycholic acid from dehydrocholic acid in a membrane reactor. Biotechnol. Lett 14:1131-1135; Liu L et al. (2013) One-step synthesis of 12-ketoursodeoxycholic acid from dehydrocholic acid using a multienzymatic system. Appl. Microbial. Biotechnol. 97:633-639).

[0004]

The enzyme from C. aerofaciens has proved to be a very suitable 7β-HSDH. The gene sequence of this enzyme from C. aerofaciens is now known, so that firstly the enzyme can be made available recombinantly after cloning; secondly, it is possible to generate mutants of this enzyme by protein engineering methods and therefore optionally to find more advantageous enzyme variants, as may be the case.

[0005]

The active substances ursodeoxycholic acid (UDCA) and its diastereomer chenodesoxycholic acid (CDCA) have, inter alia, been employed for many years as medicaments for the treatment of gallstone complaints. The two compounds differ merely by the configuration of the hydroxyl group on C atom 7 (UDCA: β-configuration, CDCA: α-configuration). To prepare UDCA, a variety of processes are described in the prior art, and these processes are carried out by purely chemical means or else as a combination of chemical and enzymatic process steps. The starting point is in each case cholic acid (CA), or CDCA, which is prepared starting from cholic acid.

[0006]

Thus, the traditional chemical method for the preparation of UDCA is shown diagrammatically in FIG. 1A.

[0007]

A severe disadvantage is, inter alia, the following: since the chemical oxidation is not selective, the carboxyl group and the 3α- and 7α-hydroxy group must be protected by esterification.

[0008]

An alternative chemical/enzymatic process based on the use of the enzyme 12α-hydroxysteroid dehydrogenase (12α-HSDH) is shown in FIG. 1B and is described for example in PCT/EP2009/002190 of the present applicant

[0009]

Here, the 12α-HSDH oxidizes CA selectively to give 12-keto-CDCA. The two protective steps which are required by the traditional chemical method can be dispensed with here.

[0010]

Furthermore, Monti, D., et al., (One-Pot Multienzymatic Synthesis of 12-Ketoursodeoxycholic Acid: Subtle Cofactor Specificities Rule the Reaction Equilibria of Five Biocatalysts Working in a Row. Advanced Synthesis & Catalysis, 2009) disclose an alternative enzymatic/chemical process, which is shown diagrammatically in FIG. 1C.

[0011]

The CA is oxidized first by the 7α-HSDH enzyme from Bacteroides fragilis ATCC 25285 (Zhu, D., et al., Enzymatic enantioselective reduction of -ketoesters by a thermostable 7-hydroxysteroid dehydrogenase from Bacteroides fragilis. Tetrahedron, 2006. 62(18): p. 4535-4539) and 12α-HSDH to give 7,12-diketo-LCA. These two enzymes are in each case NADH-dependent. After the reduction by 7β-HSDH (NADPH-dependent) from Clostridium absonum ATCC 27555 (DSM 599) (MacDonald, I A. and P. D. Roach, Bile induction of 7alpha-and 7beta-hydroxysteroid dehydrogenases in Clostridium absonum. Biochim Biophys Acta, 1981. 665(2): p. 262-9), 12-keto-UDCA results. A Wolff-Kishner reduction gives the end product. The disadvantage of this process is that a complete conversion is not possible due to the equilibrium situation of the catalyzed reaction, and that two different enzymes must be employed in the first step of the reaction, which makes the process more expensive. Lactate dehydrogenase (LDH; for regenerating NAD+) and glucose dehydrogenase (GlcDH or GDH, for regenerating NADPH) are employed for cofactor regeneration. The disadvantage of the cofactor regeneration used in that reaction is that the co-product which forms can only be removed with great difficulty from the reaction mixture, so that the reaction equilibrium cannot be influenced positively, which brings about incomplete conversion of the starting material.

[0012]

A 7β-HSDH from the strain Collinsella aerofaciens ATCC 25986 (DSM 3979; previously Eubacterium aerofaciens) was described in 1982 by Hirano and Masuda (Hirano, S. and N. Masuda, Characterization of NADP-dependent 7 beta-hydroxysteroid dehydrogenases from Peptostreptococcus productus and Eubacterium aerofaciens. Appl Environ Microbiol, 1982. 43(5): p. 1057-63). Sequence information for that enzyme was not disclosed. The molecular weight as determined by gel filtration amounted to 45 000 Da (cf. Hirano, page 1059, left-hand column). Furthermore, the reduction of the 7-oxo group to the 7β-hydroxy group could not be observed for said enzyme (cf. Hirano, page 1061, discussion, 1stparagraph). A person skilled in the art can therefore see that the enzyme described by Hirano et al. is not suitable for catalyzing the reduction of dehydrocholic acid (DHCA) in the 7-position to give 3,12-diketo-7β-CA.

[0013]

The applicant's earlier international patent application PCT/EP2010/068576 describes a novel 7β-HSDH from Collinsella aerofaciens ATCC 25986, which has, inter alia, a molecular weight (as determined by SDS gel electrophoresis) of approximately 28-32 kDa, a molecular weight (as determined by gel filtration, under non-denaturing conditions, such as, in particular without SDS): of approximately 53 to 60 kDa, and the ability of stereoselectively reducing the 7-carbonyl group of 7-keto-LCA to a 7β-hydroxy group.

[0014]

Furthermore, PCT/EP2010/068576 provides a process for the preparation of UDCA which is shown diagrammatically in FIG. 1D.

[0015]

Thus, CA is oxidized in a simple manner via the traditional chemical route. The DHCA is reduced by the enzyme pair 7β-HSDH and 3α-HSDH, individually one after the other or else in one pot, to give 12-keto-UDCA. In combination with Wolff-Kishner reduction, UDCA can thus be synthesized in only three steps, starting from CA. While the 7β-HSDH enzyme is dependent on the cofactor NADPH, the 3α-HSDH enzyme requires the cofactor NADH. The availability of enzyme pairs which are dependent on the same cofactor or with extended dependence (for example on the cofactors NADH and NADPH) would be advantageous because it could simplify cofactor regeneration.

[0016]

WO 2012/080504 describes novel 7β-HSDH mutants from C. aerofaciens in the sequence region of the amino acid residues 36 to 42 of the C. aerofaciens sequence, and biocatalytic processes for the preparation of UDCA, in particular also novel whole-cell processes.

[0017]

WO 2011/147957 describes novel knock-out strains which are particularly suitable for the preparation of UDCA since it has been possible to switch off the undesired 7alpha-HSDH enzyme activity in targeted fashion.

[0018]

The problem of the present invention is the provision of further improved 7β-HSDHs. In particular, it was intended to provide enzyme mutants which can be employed even more advantageously for the enzymatic or microbial preparation of UDCA via the stereospecific reduction of DHCA in the 7-position to give 3,12-diketo-7β-CA, and which have in particular an improved activity for substrate and/or cofactor, and/or of a reduced substrate inhibition and/or altered cofactor utilization (increased, modified specificity or widened dependency).

SUMMARY OF THE INVENTION

[0019]

Surprisingly, it was possible to solve the above problems by generating and characterizing improved mutants of 7β-HSDH from aerobic bacteria of the genus Collinsella, in particular of the strain Collinsella aerofaciens, and by employing them in the conversion of cholic acid compounds, in particular the production of UDCA.

[0020]

In the meantime, the gene sequence of this enzyme from C. aerofaciens is known, so that, firstly, the enzyme can be made available recombinantly after having been cloned, and 30 secondly there is the possibility of generating mutants of this enzyme with protein engineering methods and therefore of finding optionally more advantageous enzyme variants.

[0021]

On the basis of structural and homology aspects, it has been attempted in accordance with the invention to define sequence regions which might be responsible for coenzyme binding or else for substrate recognition. This results in possibilities in modifying, in a targeted fashion, amino acids in these regions by means of mutagenesis so as to modify enzyme properties by such structural modifications. Thus, what is known as the “Rossmann fold”, which is responsible for coenzyme binding, in the region of the amino acids around approximately 10 to 64 in the case of the C. aerofaciens 7β-HSDH. In accordance with the invention, it has now been attempted in particular to modify amino acids in this coenzyme binding region such that the enzyme accepts the more economic NADH instead of NADPH. During the attempt of replacing the amino acid arginine in position 64 by aspartic acid it has been found, surprisingly, that this 7β-HSDH mutant has a markedly higher activity. This has subsequently also been confirmed in as far as a plurality of further mutants, all of which had mutations in position 64, showed higher activities than the wild-type enzyme. Even enzyme mutants which had been purified to homogeneity and which had been compared with the correspondingly purified wild-type enzyme demonstrated, surprisingly, markedly higher specific enzyme activities.

[0022]

The improved activity can be identified particularly clearly by the increase in the specific activity, in other words the activity value, based on the amount of protein, of the mutants 7β-HSDH-R64E, as well as 7β-HSDH-R64D and 7β-HSDH-R64T. The expression 7β-HSDH-R64E means that, in the 7β-HSDH under consideration, the arginine (R) in position 64 the protein sequence has been replaced by glutamic acid (E). The technical term 7β-HSDH-R64D, where arginine in position 64 had been exchanged for aspartic acid (D), should be read analogously. The 7β-HSDH which can be obtained from C. aerofaciens is referred to as the wild-type enzyme.

[0023]

Furthermore, the above problem has been solved by providing a biocatalytic (microbial and/or enzymatic) process, comprising the enzymatic conversion of DHCA into 12-keto-UDCA via two reductive part-steps catalyzed by the 7β-HSDH mutants and 3α-HSDH described herein, which may occur simultaneously or staggered in any sequence, and cofactor regeneration by using dehydrogenases, which regenerate the consumed cofactor from both reductive part-steps.

DESCRIPTION OF THE FIGURES

[0024]

FIG. 1A shows diagrammatically the traditional method for the preparation of UDCA. FIG. 1B shows an alternative chemical/enzymatic process based on the use of the enzyme 12α-hydroxysteroid dehydrogenase (12α-HSDH). FIG. 1C shows diagrammatically an alternative enzymatic chemical process. FIG. 1D shows diagrammatically a process for the preparation of UDCA.

[0025]

FIG. 2A shows the amino acid sequence of the Collinsella aerofaciens 7β-HSDH (SEQ ID NO:2), and FIG. 2B shows the coding nucleic acid sequence (SEQ ID NO: 1) for the amino acid sequence of FIG. 2A; FIG. 2C shows the amino acid sequence (SEQ ID NO: 7) of the Comanomonas testosteroni 3α-HSDH, and FIG. 2D shows the coding nucleic acid sequence (SEQ ID NO: 9) for the amino acid sequence of FIG. 2C.

[0026]

FIG. 3A shows the amino acid sequence (SEQ ID NO: 3) of the Collinsella aerofaciens 7β-HSDH; C-terminally extended by the His-Tag sequence LEHHHHHH (amino acids 264-271 of SEQ ID NO: 3); FIG. 3B shows the amino acid sequence (SEQ ID NO: 4) of mutant 7β-HSDH [R64E] derived therefrom; FIG. 3C shows the amino acid sequence (SEQ ID NO: 7) of mutant 7β-HSDH [G39S] derived therefrom; and FIG. 3D shows the amino acid sequence (SEQ ID NO: 6) of mutant 7β-HSDH [G39S/R64E] derived therefrom.

[0027]

FIG. 4 shows the plotting of the specific enzyme activity of the glutamic acid mutant [R64E] for the substrate DHCA (image on the left) and for the coenzyme NADPH (image on the right).

[0028]

FIG. 5 shows the plotting of the specific enzyme activity of the serine mutant for the substrate DHCA (image on the left) and for the coenzyme NADPH (image on the right).

[0029]

FIG. 6 shows: the SDS gel of the 7β-HSDH [G39S/R64E] mutant after expression in shake-flask fermentation in LB medium. The cell-free crude extract and the enzyme after purification were applied. The 7β-HSDH mutant has a size of approx. 29.9 kDa. Approximately 10 μg of protein were applied.

[0030]

FIG. 7 shows the plotting of the specific enzyme activity of the dual mutant [G39S/R64E] for the substrate DHCA (image on the left) and for the coenzyme NADPH (image on the right).

[0031]

FIG. 8 shows the comparison of the kinetics of some mutants in accordance with the invention (inverted triangle (): 7β-HSDH [R64E]; square () 7β-HSDH [G39S]; triangle () 7β-HSDH [G39S/R64E]) with the wild type (dot ().

SPECIFIC EMBODIMENTS OF THE INVENTION

[0032]

In particular, the invention relates to the following specific embodiments:

[0033]

1. 7β-hydroxysteroid dehydrogenase (7β-HSDH), 7β-HSDH, which catalyzes at least the stereospecific enzymatic reduction of a 7-ketosteroid to the corresponding 7-hydroxysteroid, the enzyme being derived from an enzyme with SEQ ID NO:2, or from an enzyme comprising this sequence, such as, for example, an enzyme comprising SEQ ID NO:3 (i.e., SEQ ID NO:2 which has been extended N-terminally by one histidine tag or histidine anchor sequence), wherein the enzyme comprises a mutation at position 17 and/or 64 of SEQ ID NO:2 (or, for example, of SEQ ID NO:3) or at the corresponding sequence positions of an amino acid sequence derived therefrom with at least 80%, such as, for example, at least 85, 90, 91, 92, 93, 94, 95, 96, 97, 98, 99 or 99.5% sequence identity to SEQ ID NO:2 (or, for example, of SEQ ID NO:3).
2. 7β-HSDH, which catalyzes at least the stereospecific enzymatic reduction of a 7-ketosteroid to the corresponding 7-hydroxysteroid, and which has an amino acid sequence which is modified by amino acid mutation in SEQ ID NO:2 (or, for example, in SEQ ID NO:3), the amino acid sequence mutation being selected among single or multiple mutations comprising:
a) R64X1and/or
b) T17X2
where X1represents an amino acid residue which is other than arginine (R), in particular a proteinogenic amino acid residue, in particular an amino acid which increases any specific activity and/or which reduces substrate inhibition and/or which modifies cofactor utilization or cofactor dependency, in particular a natural amino acid;
and
and X2represents a proteinogenic amino acid residue which is other than threonine (T), in particular an amino acid which increases any specific activity and/or which reduces substrate inhibition and/or which modifies cofactor utilization or cofactor dependency, in particular a natural amino acid;
the mutated, i.e., modified, amino acid sequence having a sequence identity to SEQ ID NO:2 (or, for example, to SEQ ID NO:3) of 80% to less than 100%, such as, for example, 85, 90, 91, 92, 93, 94, 95, 96, 97, 98, 99 or 99.5% sequence identity, preferably of at least 85%, in particular of at least 90%.
3. 7β-HSDH as per embodiment 1 or 2, which additionally has at least one mutation in the sequence motif VMVGRRE as per position 36 to 42, in particular position 39, of SEQ ID NO:2 (or, for example, of SEQ ID NO:3) or in the corresponding sequence motif of an amino acid sequence derived therefrom with at least 80% sequence identity, such as, for example, 85, 90, 91, 92, 93, 94, 95, 96, 97, 98, 99 or 99.5% sequence identity, to SEQ ID NO:2 (or, for example, to SEQ ID NO:3).
4. 7β-HSDH as per embodiment 3, which has additionally the amino acid sequence mutation
c) G39X3,
where X3represents an amino acid residue other than glycine (G), in particular a proteinogenic amino acid residue, in particular an amino acid which increases any specific activity and/or which reduces substrate inhibition and/or which modifies cofactor utilization or cofactor dependency, in particular a natural amino acid.
5. 7-HSDH as per one of the preceding embodiments, selected among
a) the single mutants

    • R64X1and
    • T17X2and the
      b) the dual mutants
    • R64X1/G39X3,
    • wherein
    • X1represents E, D, T, L, S, P, V, K, C, A, G, Q, F, W, I, Y, H or N, in particular E, D, T, L, S, P or V;
    • X2represents F, A, I, or S,
    • X3represents S, A, V, I, L, C, K, Y, F or R, in particular S or A.
      Nonlimiting examples of suitable single mutants comprise:
      R64A, R64S, R64D, R64V, R64T, R64P, R64N, R64E, R64Q, R64H, R64RL, R64K, R64C, R64G, R64I, R64Y, R64F and R64W, and
      T17F, T17A, T17I, T17S.
      Nonlimiting examples of suitable dual mutants comprise:
      (G39S/R64E); (G39S/R64D); (G39S/R64T); (G39S/R64L); (G39S/R64S); (G39S/R64P); (G39S/R84V); (G39A/R64E); (G39A/R84D); (G39A/R64T); (G39A/R64S); (G39A/R64L); (G39A/R64P); (G39A/R64V);
      What has been said above for single and dual mutants applies in particular to SEQ ID NOs:2 and 3.
      6. 7β-HSDH as per one of the previous embodiments, which, in comparison with the unmutated 7β-HSDH with SEQ ID NO:2 (or, for example, with SEQ ID NO:3) shows at least one of the following properties or the following property profiles:
  • a) an increased specific activity (Vmax [U/mg]) for dehydrocholic acid (DHCA) in the enzymatic reduction of DHCA with NAD(P)H, in particular NADPH, as cofactor; wherein, for example, the specific activity (U/mg) in the presence of the cofactor NAD(P)H, in particular NADPH, in comparison with the unmutated enzyme is increased by at least 1, 5, 10, 50 or 100%, but in particular at least by 1-fold, in particular by 2- to 100-fold or 3- to 20-fold or 5- to 10-fold.
  • b) an increased specific activity (Vmax [U/mg]) for NAD(P)H, in particular NADPH, in the enzymatic reduction of DHCA with NAD(P)H, in particular NADPH, as cofactor; wherein, for example, the specific activity (U/mg) in the presence of the cofactor NAD(P)H, in particular NADPH, in comparison with the unmutated enzyme is increased by at least 1, 5, or 10%, but in particular at least by 1-fold, in particular by 2- to 10-fold
  • c) a reduced substrate inhibition by DHCA, such as, for example, with Ki values in the range of from >1 mM, such as, for example, at 1 to 200 mM, 2 to 150 mM, 2.5 to 100 mM;
  • d) a modified cofactor specificity with respect to NADH and NADPH such as, for example, a widened specificity, that is to say utilization of an additional cofactor which has previously not been utilized, in particular NADPH;
  • e) it being possible for these properties a) to d) to be present individually or in any combination.

[0046]

Further specific embodiments relate to 7β-HSDH mutants with SEQ ID NO:2 or with SEQ ID NO:3 or a sequence derived therefrom with a degree of identity of at least 80% or at least 85%, in particular at least 90%, to the wild-type sequence with at least one of the above properties a), b), c), d) or e).

[0047]

Further examples which may be mentioned are:

    • (1) Examples which may be mentioned are the single mutants R64X1in which X1represents E, D, T, L, S, P, V, K, C, A, G, Q, F, W, I, Y, H or N, in particular E, D, T, L S, P or V, especially preferably E, and which have at least the above property a).
    • (2) Examples which may be mentioned are the single mutants R64X1in which X1represents E, D, T, L, S, P, V, K, C, A, G, Q, F, W, I, Y, H or N, in particular E, D, T, L, S, P or V, especially preferably E, and which have at least the above property b).
    • (3) Examples which may be mentioned are the single mutants R64X1in which X1represents E, D, T, L, S, P, V, K, C, A, G, Q, F, W, I, Y, H or N, in particular E, D, T, L, S, P or V, especially preferably E, and which have at least the above property c).
    • (4) Examples which may be mentioned are the single mutants R64X1in which X1represents E, D, T, L, S, P, V, K, C, A, G, Q, F, W, I, Y, H or N, in particular E, D, T, L, S, P or V, especially preferably E, and which have at least the above property d).
    • (5) Examples which may be mentioned are the single mutants R64X1in which X1represents E, D, T, L, S, P, V, K, C, A, G, Q, F, W, I, Y, H or N, in particular E, D, T, L, S, P or V, especially preferably E, and which have at least the above properties a) and b).
    • (6) Examples which may be mentioned are the single mutants R64X1in which X1represents E, D, T, L, S, P, V, K, C, A, G, Q, F, W, I, Y, H or N, in particular E, D, T, L, S, P or V, especially preferably E, and which have at least the above properties a) and c).
    • (7) Examples which may be mentioned are the single mutants R64X1in which X1represents E, D, T, L, S, P, V, K, C, A, G, Q, F, W, I, Y, H or N, in particular E, D, T, L, S, P or V, especially preferably E, and which have at least the above properties a) and d).
    • (8) Examples which may be mentioned are the single mutants R64X1in which X1represents E, D, T, L, S, P, V, K, C, A, G, Q, F, W, I, Y, H or N, in particular E, D, T, L, S, P or V, especially preferably E, and which have at least the above properties b) and c)
    • (9) Examples which may be mentioned are the single mutants R64X1in which X1represents E, D, T, L, S, P, V, K, C, A, G, Q, F, W, I, Y, H or N, in particular E, D, T, L, S, P or V, especially preferably E, and which have at least the above properties b) and d).
    • (10) Examples which may be mentioned are the single mutants R64X1in which X1represents E, D, T, L, S, P, V, K, C, A, G, Q, F, W, I, Y, H or N, in particular E, D, T, L, S, P or V, especially preferably E, and which have at least the above properties a) to d)
    • (11) Examples which may be mentioned are the single mutants T17X2in which X2represents an amino acid residue which is other than T, in particular F, A, I, or S, and which have at least the above property a).
    • (12) Examples which may be mentioned are the single mutants T17X2in which X2represents an amino acid residue which is other than T, in particular F, A, I, or S, and which have at least the above property b).
    • (13) Examples which may be mentioned are the single mutants T17X2in which X2represents an amino acid residue which is other than T, in particular F, A, I, or S, and which have at least the above property c).
    • (14) Examples which may be mentioned are the single mutants T17X2in which X2represents an amino acid residue which is other than T, in particular F, A, I, or S, and which have at least the above property d).
    • (15) Examples which may be mentioned are the single mutants T17X2in which X2represents an amino acid residue which is other than T, in particular F, A, I, or S, and which have at least the above properties a) and b).
    • (16) Examples which may be mentioned are the single mutants T17X2in which X2represents an amino acid residue which is other than T, in particular F, A, I, or S, and which have at least the above properties a) and c).
    • (17) Examples which may be mentioned are the single mutants T17X2in which X2represents an amino acid residue which is other than T, in particular F, A, I, or S, and which have at least the above properties a) and d).
    • (18) Examples which may be mentioned are the single mutants T17X2in which X2represents an amino acid residue which is other than T, in particular F, A, I, or S, and which have at least the above properties b) and c).
    • (19) Examples which may be mentioned are the single mutants T17X2in which X2represents an amino acid residue which is other than T, in particular F, A, I, or S, and which have at least the above properties b) and d).
    • (20) Examples which may be mentioned are the single mutants T17X2in which X2represents an amino acid residue which is other than T, in particular F, A, I, or S, and which have at least the above properties a) to d).
    • (21) Examples which may be mentioned are the dual mutants R64X1/G39X3in which X1represents E, D, T, L, S, P, V, K, C, A, G, Q, F, W, I, Y, H or N, in particular E, D, T, L, S, P or V, preferably E, and X3represents S, A, V, I, L, C, K, Y, F or R, preferably S or A, and which have at least the above property a).
    • (22) Examples which may be mentioned are the dual mutants R64X1/G39X3in which X1represents E, D, T, L, S, P, V, K, C, A, G, Q, F, W, I, Y, H or N, in particular E, D, T, L, S, P or V, preferably E, and X3represents S, A, V, I, L, C, K, Y, F or R, preferably S or A, and which have at least the above property b).
    • (23) Examples which may be mentioned are the dual mutants R64X1/G39X3in which X1represents E, D, T, L, S, P, V, K, C, A, G, Q, F, W, I, Y, H or N, in particular E, D, T, L, S, P or V, preferably E, and X3represents S, A, V, I, L, C, K, Y, F or R, preferably S or A, and which have at least the above property c).
    • (24) Examples which may be mentioned are the dual mutants R64X1/G39X3in which X1represents E, D, T, L, S, P, V, K, C, A, G, Q, F, W, I, Y, H or N, in particular E, D, T, L, S, P or V, preferably E, and X3represents S, A, V, I, L, C, K, Y, F or R, preferably S or A, and which have at least the above property d).
    • (25) Examples which may be mentioned are the dual mutants R64X1/G39X3in which X1represents E, D, T, L, S, P, V, K, C, A, G, Q, F, W, I, Y, H or N, in particular E, D, T, L, S, P or V, preferably E, and X represents S, A, V, I, L, C, K, Y, F or R, preferably S or A, and which have at least the above properties a) and b).
    • (26) Examples which may be mentioned are the dual mutants R64X1G39X3in which X1represents E, D, T, L, S, P, V, K, C, A, G, Q, F, W, I, Y, H or N, in particular E, D, T, L, S, P or V, preferably E, and X3represents S, A, V, I, L, C, K, Y, F or R, preferably S or A, and which have at least the above properties a) and c).
    • (27) Examples which may be mentioned are the dual mutants R64X1/G39X3in which X1represents E, D, T, L, S, P, V, K, C, A, G, Q, F, W, I, Y, H or N, in particular E, D, T, L, S. P or V, preferably E, and X3represents S, A, V, I, L, C, K, Y, F or R, preferably S or A, and which have at least the above properties a) and d).
    • (28) Examples which may be mentioned are the dual mutants R64X1/G39X3in which X1represents E, D, T, L, S, P, V, K, C, A, G, Q, F, W, I, Y, H or N, in particular E, D, T, L, S, P or V, preferably E, and X3represents S, A, V, I, L, C, K, Y, F or R, preferably S or A, and which have at least the above properties b) and c).
    • (29) Examples which may be mentioned are the dual mutants R64X1/G39X3in which X1represents E, D, T, L, S, P, V, K, C, A, G, Q, F, W, I, Y, H or N, in particular E, D, T, L, S, P or V, preferably E, and X3represents S, A, V, I, L, C, K, Y, F or R, preferably S or A, and which have at least the above properties b) and d).
    • (30) Examples which may be mentioned are the dual mutants R64X/G39X3in which X1represents E, D, T, L, S, P, V, K, C, A, G, Q, F, W, I, Y, H or N, in particular E, D, T, L, S, P or V, preferably E, and Xs represents S, A, V, I, L, C, K, Y, F or R, preferably S or A, and which have at least the above properties a) to d).

[0078]

The exemplary embodiments (1) to (30) which have been listed hereinabove relate in particular to mutants of 7β-HSDH with SEQ ID NO:2 or with SEQ ID NO:3 and moreover have a 20 degree of identity of at least 80% or at least 85%, in particular at least 90%.

[0000]

7. Nucleotide sequence which codes for a 7β-HSDH as per one of the preceding embodiments.

[0079]

Examples which may be mentioned are nucleic acid sequences selected among nucleic acid sequences

[0000]

a) simultaneously coding for a GDH and a 7β-HSDH mutant as per one of the embodiments 1 to 6 and optionally a 3α-HSDH;

[0080]

b) coding for a fusion protein comprising a GDH and a 7β-HSDH mutant as per one of the embodiments 1 to 6 and optionally a 3α-HSDH; where the coding sequences independently of one another may be present singularly or multiply in the construct, such as, for example, in 2, 3, 4, 5, or 6 to 10 copies. Thus, any existing differences in the activity of the individual expression products may be compensated for by choosing the suitable copy number.
8. Expression cassette, comprising at least one nucleotide sequence as per embodiment 7 under the control of at least one regulatory sequence and optionally coding sequences for at least one (such as, for example, 1, 2 or 3) further enzyme, selected among hydroxysteroid dehydrogenases, in particular 3α-HSDH, and dehydrogenases which are suitable for cofactor regeneration, such as, for example, FDH, GDH, ADH, G-6-PDH, PDH. In particular, the enzymes which are present in an expression cassette may utilize different, but preferably identical, pairs of cofactors, such as, for example, the pair of cofactors NAD+/NADH or NADP+/NADPH.
9. Expression vector, comprising at least one expression cassette as per embodiment 8.
10. Recombinant microorganism which bears at least one nucleotide sequence as per embodiment 7 or at least one expression cassette 8 or at least one expression vector as per embodiment 9.
11. Recombinant microorganism as per embodiment 10 which additionally optionally bears the coding sequence for at least one further enzyme, selected among hydroxysteroid dehydrogenases (HSDH) and dehydrogenases which are suitable for cofactor regeneration.
12. Recombinant microorganism as per embodiment 11, the further HSHD being selected among 3α-HSDHs; and
the dehydrogenase is selected among NADPH-regenerating enzymes, such as NADPH dehydrogenases, alcohol dehydrogenases (ADH), and NADPH-regenerating formate dehydrogenases (FDH), and also glucose dehydrogenase (GDH), glucose-6-phosphate dehydrogenase (G-6-PDH) or phosphite dehydrogenases (PtDH), or NADH-regenerating enzymes, such as NADH dehydrogenases, NADH-regenerating formate dehydrogenases (FDH), NADH-regenerating alcohol dehydrogenases (ADH), NADH-regenerating glucose-6-phosphate dehydrogenases (G6PDH), NADH-regenerating phosphite dehydrogenases (PtDH) and NADH-regenerating glucose dehydrogenases (GDH).

[0081]

An example which may be mentioned is a recombinant microorganism which is capable of simultaneously expressing an inventive 7β-HSDH mutant, a herein described GDH and optionally a herein described 3α-HSDH.

[0082]

Recombinant microorganism as per one of embodiments 29 to 33 which bears the coding sequences for 7β-HSDH mutant, GDH or mutants thereof and 3α-HSDH and one or more (different) expression constructs. Subject-matter of the invention is therefore recombinant microorganisms which are modified (such as, for example, transformed) with a single-plasmid system which bear the coding sequences for 7β-HSDH mutant, GDH or mutants thereof and 3α-HSDH or mutants thereof in one or more copies, such as, for example, 2, 3, 4, 5 or 6 to 10 copies. Subject-matter of the invention is therefore also recombinant microorganisms which are modified (such as, for example, transformed) with a single-plasmid system which bear the coding sequences for 7β-HSDH or mutants thereof, GDH or mutants thereof and 3α-HSDH or mutants thereof in one or more copies such as, for example, in 2, 3, 4, 5 or 6 to 10 copies. The enzymes (7β-HSDH, GDH and 3α-HSDH or their mutants) may, however, also be present in one or more copies on 2 or 3 separate plasmids which are compatible with each other. Suitable basic vectors for the preparation of single-plasmid systems and multicopy plasmids are known to the person skilled in the art. Examples which may be mentioned for a single-plasmid system are, for example, pET21a, and for multicopy plasmids for example the Duet vectors, which are available from Novagen, such as pACYCDuet-1, pETDuet-1, pCDFDuet-1, pRSFDuet-1 and pCOLADuet-1. Such vectors, their compatibility with other vectors and microbial host strains can be found for example in the “User Protocol” TB340 Rev. E0305 from Novagen.

[0083]

The optimal combination of enzymes for generating plasmid systems may be done by the person skilled in the art without undue burden, taking into consideration the teaching of the present invention. Thus, for example, the person skilled in the art may select, for example as a function of the cofactor specificity of the 7β-HSDH enzyme used in each case, the enzyme which is best suited to cofactor regeneration, selected among the abovementioned dehydrogenases, in particular GDH and the respective mutants thereof.

[0084]

Furthermore, it is possible to distribute the enzymes chosen for the conversion to two or more plasmids, and to prepare, using the plasmids thus prepared, two or more different recombinant microorganisms which are then employed together for the inventive biocatalytic conversion. The respective enzyme combination used for preparing the plasmid may, in this context, in particular also take place with the requirement of a comparable cofactor utilization. Thus, for example, a first microorganism may be modified with a plasmid which bears the coding sequence for a 7β-HSDH mutant and a GDH. A second microorganism, in contrast, may be modified with a plasmid which bears the coding sequence for a 3α-HSDH and the coding sequence for a GDH. Both pairs of enzymes may be chosen such that they are capable of regenerating identical pairs of cofactors. Both microorganisms can then be employed simultaneously for the inventive biocatalytic conversion.

[0085]

The use of two separate biocatalysts (recombinant microorganisms) may have two essential advantages over the use of only one biocatalyst in which all enzymes for the synthesis are expressed:

[0000]

a) both biocatalysts may be genetically modified and optimized separately from one another. In particular, it is possible to use various cofactor regeneration enzymes, which are optimized either for the regeneration of NADH or a NADPH.

[0000]

b) It is possible to employ the biocatalysts in differing proportions for the biocatalysis. This allows engaging in the individual reaction rates of the multienzyme process during biocatalysis, even after all the biocatalysts have already been prepared.

[0000]

13. Recombinant microorganism as per one of embodiments 10 to 12, which is a 7α-HSDH knock-out strain, wherein the strain is as described, for example, in WO 2011/147957.

[0086]

14. Process for the enzymatic or microbial synthesis of 7β-hydroxysteroids, wherein the corresponding 7-ketosteroid is reduced in the presence of a 7β-HSDH as per the definition in one of embodiments 1 to 6 or in the presence of a recombinant microorganism which expresses this 7β-HSDH as per one of embodiments 10 to 13, and optionally at least one formed reduction product is isolated from the reaction mixture.
15. Process as per embodiment 14, wherein the 7-ketosteroid is selected among dehydrocholic acid (DHCA),
7-keto-lithocholic acid (7-keto-LCA),
7,12-diketo-lithocholic acid (7,12-diketo-LCA) and
the derivatives thereof such as, in particular, a salt, an amide or an alkyl ester of the acid.
16. Process as per embodiment 14 or 15, wherein the reduction takes place in the presence of and in particular with the consumption of NADPH and/or NADH.
17. Process as per embodiment 16, wherein consumed NADPH is regenerated by coupling with an NADPH-regenerating enzyme, wherein the latter is selected in particular among NADPH dehydrogenases, alcohol dehydrogenases (ADH) and NADPH-regenerating formate dehydrogenases (FDH) and an NADPH-regenerating glucose dehydrogenase (GDH), wherein the NADPH-regenerating enzyme is optionally expressed by a recombinant microorganism; and/or where consumed NADH is regenerated by coupling with an NADH-regenerating enzyme, wherein the latter is selected in particular among NADH-dehydrogenases, NADH-regenerating formate dehydrogenases (FDH), NADH-regenerating alcohol dehydrogenases (ADH), NADH-regenerating glucose-6-phosphate dehydrogenases (G6PDH), NADH-regenerating phosphite dehydrogenases (PtDH) and NADH-regenerating glucose dehydrogenases (GDH), wherein the NADH-regenerating enzyme is optionally expressed in a recombinant microorganism.
18. Process as per embodiment 17, wherein the NADPH-regenerating enzyme is selected among
a) FDHs, including mutants of a NAD+-dependent FDH, which catalyzes at least the enzymatic oxidation of formic acid to CO2, wherein the mutant in comparison with the unmutated enzyme additionally accepts NADP+ as cofactor; and
b) GDHs.
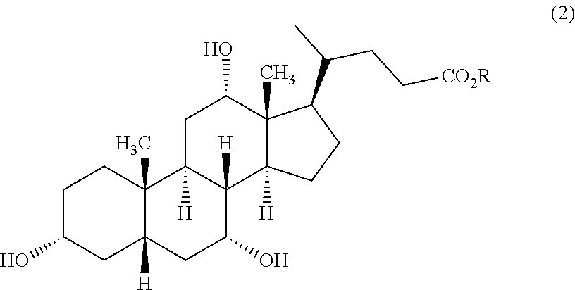
19. Process for the preparation of ursodeoxycholic acid (UDCA) of the formula (1) in which

[0087]


R represents alkyl, H, an alkali metal ion or N(R)4+, wherein the radicals R3are identical or different and represent H or alkyl, or the group —CO2R is replaced by the acid amide group —CONR1R2, wherein R1and R2independently of one another represent an alkyl radical;
in which
a) optionally a cholic acid (CA) of the formula (2)

[0088]


in which R has the abovementioned meanings or the group —CO2R is replaced by the acid amide group —CONR1R2as defined hereinabove
is oxidized chemically to dehydrocholic acid (DHCA) of the formula (3)

[0089]


in which R has the abovementioned meanings or the group —CO2R is replaced by the acid amide group —CONR1R2as defined hereinabove;
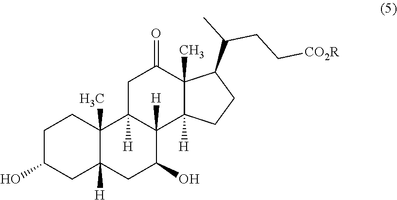
b) DHCA is reduced in the presence of at least one 7β-HSDH mutant as per the definition in one of the embodiments 1 to 6 (being present as the isolated enzyme or expressed by a corresponding recombinant microorganism) and in the presence of at least one 3α-HSDH (being present as the isolated enzyme or expressed by a corresponding recombinant microorganism) to the corresponding 12-keto-ursodeoxycholic acid (12-keto UDCA) of the formula (5)

[0090]


in which R has the abovementioned meanings or the group —CO2R is replaced by the acid amide group —CONR1R2as defined hereinabove, in particular in the presence and with the consumption of NADH and/or NADPH, and subsequently
c) 12-keto-UDCA of the formula (5) is reduced chemically to UDCA; and
d) optionally, the reaction product is purified further.
20. Process as per embodiment 19, wherein at least step b) is carried out in the presence of a recombinant microorganism as per one of embodiments 10 to 13.
21. Process as per embodiment 19 or 20, wherein step b) is coupled with identical or different cofactor regeneration systems.
22. Process for the preparation of UDCA of the formula (1)

[0091]


in which
R represents alkyl, NR1R2, H, an alkali metal ion or N(R)4+, wherein the radicals R3are identical or different and represent H or alkyl, or the group —CO2R is replaced by the acid amide group —CONR1R2, as defined herein above in which
a) optionally a cholic acid (CA) of the formula (2)

[0092]


in which R has the abovementioned meanings or the group —CO2R is replaced by the acid amide group —CONR1R2as defined hereinabove is oxidized chemically to DHCA of the formula (3)

[0093]


in which R has the abovementioned meanings or the group —CO2R is replaced by the acid amide group —CONR1R2as defined hereinabove;
b) DHCA is reduced in the presence of at least one 7β-HSDH and in the presence of at least one 3α-HSDH to the corresponding 12-keto UDCA of the formula (5)

[0094]


in which R has the abovementioned meanings or the group —CO2R is replaced by the acid amide group —CONR1R2as defined hereinabove, in particular in the presence and with the consumption of NADH and/or NADPH, and subsequently
c) 12-keto-UDCA of the formula (5) is reduced chemically to UDCA; and
d) optionally, the reaction product is purified further;
wherein the conversions of step b) are carried out in the presence of a recombinant microorganism as per one of embodiments 10 to 13, such as, for example, in the presence of whole cells of one or more different recombinant microorganisms as per one of embodiments 10 to 13, wherein the microorganism(s) includes the enzymes required for the conversion and the cofactor regeneration in a manner described herein in greater detail.

[0095]

In this context, process step b) can be configured in different ways. Either both enzymes (7β-HSDH mutant and 3α-HSDH) may be present at the same time (for example one-top reaction with both isolated enzymes, or one or more corresponding recombinant microorganisms which express both enzymes are present), or the partial reactions may proceed in any desired order (first the 7β-HSDH mutant-catalyzed reduction and then the 3α-HSDH-catalyzed reduction; or first the 3α-HSDH-catalyzed reduction and then the 7β-HSDH mutant-catalyzed reduction).

[0096]

Step b) may furthermore be coupled with a cofactor regeneration system in which NADPH is regenerated by an NADPH regenerating GDH with consumption of glucose, or is coupled with a cofactor regeneration system in which consumed NADH is regenerated by an NADH-regenerating GDH, ADH or FDH.

[0000]

23. Bioreactor for carrying out a process as per one of embodiments 14 to 22, in particular comprising at least one of the enzymes 7β-HSDH, FDH and/or 3α-HSDH or their mutants; or 7β-HSDH, GDH and/or 3α-HSDH or their mutants.

[0097]

The present invention is not limited to the concrete embodiments described herein. Rather, the teaching of the present invention allows a person skilled in the art to provide further developments of the invention without undue burden. Thus, for example, he may generate further enzyme mutants in a targeted manner and screen and optimize them for the desired property profile (improved cofactor dependency and/or stability, reduced substrate inhibition); or he may isolate further suitable wild-type enzymes (7β- and 3α-HSDHs, FDHs, GDHs ADHs etc.) and use them in accordance with the invention. Furthermore, he may, for example depending on the property profile (in particular cofactor dependency) of the HSDHs used, such as, in particular, 70-HSDH and 3α-HSDH or mutants thereof, select suitable dehydrogenases which can be used for cofactor regeneration (GDH, FHD, ADH and the like) and mutants thereof, and distribute the selected enzymes to one or more expression constructs or vectors and thus, if required, generate one or more recombinant microorganisms which then make possible an optimized preparation process based on whole cells.

Further Developments of the Invention

1. General Definitions, and Abbreviations Used

[0098]

Unless otherwise specified, the term “7-HSDH” refers to a dehydrogenase enzyme which catalyzes at least the stereospecific and/or regiospecific reduction of DHCA or 7,12-diketo-3α-CA (7,12-diketo-LCA) to obtain 3,12-diketo-7β-CA or 12-keto-UDCA, in particular with the stoichiometric consumption of NADPH, and optionally the corresponding reverse reaction. In this context, the enzyme may be a native or a recombinantly produced enzyme. The enzyme may, in principle, be present as a mixture with cellular contaminants, such as, for example, protein contaminants, but preferably be present in pure form. Suitable detection methods are described, for example, in the experimental part which follows or are known from the literature (for example Characterization of NADP-dependent 7 beta-hydroxysteroid dehydrogenases from Peptostreptococcus productus and Eubacterium aerofaciens. S Hirano and N Masuda. Appl Environ Microbiol. 1982). Enzymes of this activity are classified under EC number 1.1.1.201.

[0099]

Unless otherwise specified, the term “3α-HSDH” refers to a dehydrogenase enzyme which catalyzes at least the stereospecific and/or regiospecific reduction of 3,12-diketo-7β-CA or DHCA to 12-keto-UDCA or 7,12-diketo-3α-CA (7,12-diketo-LCA), in particular with the stoichiometric consumption of NADH and/or NADPH, and optionally the corresponding reverse reaction.

[0100]

Suitable detection methods are described, for example, in the experimental part hereinbelow or are known from the literature. Suitable enzymes are obtainable for example from Comanomonas testosteroni (e.g. ATCC11996). An NADPH-dependent 3α-HSDH is known for example from rodents and can likewise be employed (Cloning and sequencing of the cDNA for rat liver 3 alpha-hydroxysteroid/dihydrodiol dehydrogenase, J E Pawlowski, M Huizinga and T M Penning, May 15, 1991 The Journal of Biological Chemistry, 266, 8820-8825). Enzymes of this activity are classified under EC number 1.1.1.50.

[0101]

Unless otherwise specified, the term “GDH” refers to a dehydrogenase enzyme which catalyzes at least the oxidation of 0-D-glucose to D-glucono-1,5-lactone with the stoichiometric consumption of NAD+ and/or NADP+ and optionally the corresponding reverse reaction. Suitable enzymes can be obtained for example from Bacillus subtili or Bacillus megaterium. Enzymes of this activity are classified under EC number 1.1.1.47.

[0102]

Unless otherwise specified, the term “FDH” refers to a dehydrogenase enzyme which catalyzes at least the oxidation of formic acid (or corresponding formate salts) to carbon dioxide with the stoichiometric consumption of NAD+ and/or NADP+, and optionally the corresponding reverse reaction. Suitable detection methods are described, for example, in the experimental part hereinbelow or from the literature. Suitable enzymes can be obtained for example from Candida boidinii, Pseudomonas sp or Mycobacterium vaccae. Enzymes with this activity are classified under EC number 1.2.1.2.

[0103]

According to the invention, a “pure form” or a “pure” or “essentially pure” enzyme is understood according to the invention to be an enzyme with a degree of purity of more than 80, preferably more than 90, in particular more than 95 and especially more than 99% by weight, based on the total protein content, determined with the aid of customary protein detection methods such as, for example, the Biuret method or the protein detection as described by Lowry et al. (cf. description in R. K. Scopes, Protein Purification, Springer Verlag, New York, Heidelberg, Berlin (1982)).

[0104]

A “redoxi equivalent” is understood as meaning a low-molecular-weight organic compound which can be used as an electron donor and/or electron acceptor, such as, for example, nicotinamide derivates such as NAD+ and NADH+, and their reduced forms NADH and NADPH, respectively. In the context of the present invention, “redox equivalent” and “cofactor” are used synonymously. For the purposes of the invention, therefore, a “cofactor” may also be paraphrased as a “redox-capable cofactor”, that is to say a cofactor which may be present in reduced and in oxidized form.

[0105]

A “consumed” cofactor is understood as meaning the reduced or oxidized form of the cofactor which, in the course of a given reduction or oxidation reaction of a substrate, is converted into the corresponding oxidized or reduced form, respectively. Regeneration returns the oxidized or reduced cofactor formed during the reaction into its reduced or oxidized initial form, respectively, so that it is again available for the conversion of the substrate.

[0106]

According to the present invention, an “altered cofactor utilization” is understood as meaning a qualitative or quantitative alteration in comparison with a reference. In particular, an altered cofactor utilization can be observed by carrying out amino acid sequence mutations. This alteration can then be discerned in comparison with the unmutated starting enzyme. Here, the activity relative to a certain cofactor may be increased or reduced by carrying out a mutation, or completely prevented. An altered cofactor utilization, however, also comprises alterations such that, instead of a specificity for a single cofactor, at least one further, second cofactor which is different from the first cofactor can now be utilized (i.e., extended cofactor utilization exists). Conversely, however, an ability, originally present, of utilizing two different cofactors may be altered such that specificity is increased for one of these cofactors only, or reduced or completely eliminated for one of these cofactors only. Thus, for example, an enzyme which is dependent on cofactor NAD (NADH) may, owing to an alteration of the cofactor utilization, now be dependent on both NAD (NADH) and on the cofactor NADP (NADPH), or the original dependency of NAD (NADH) may fully be converted into a dependency of NADP (NADPH), and vice versa.

[0107]

Unless otherwise specified, the expressions “NAD+/NADH dependency” or “NADP+/NADPH dependency” should be interpreted broadly in accordance with the invention. These expressions comprise not only a “specific” dependencies, i.e., exclusively dependency on NAD+/NADH and/or NADP+/NADPH, but also the dependency of the enzymes used in accordance with the invention on both cofactors, i.e., dependency of NAD+/NADH and NADP+/NADPH.

[0108]

The same applies to the expressions used “NAD+/NADH-accepting” and/or “NADP+/NADPH-accepting”.

[0109]

Unless otherwise specified, the expressions “NAD+/NADH regenerating” or “NADP+/NADPH regenerating” should be interpreted broadly in accordance with the invention. For these expressions comprise not only “specific”, i.e., exclusive ability of regenerating consumed cofactor NAD+/NADH and/or NADP+/NADPH, but also the ability of regenerating both cofactors, i.e., NAD+/NADH and NADP+/NADPH.

[0110]

“Proteinogenic” amino acids comprise in particular (one-letter code): G, A, V, L, I, F, P, M, W, S, T, C, Y, N, Q, D, E, K, R and H.

[0111]

According to the invention, an “immobilization” is understood as meaning the covalent or noncovalent bonding of a biocatalyst used in accordance with the invention, such as, for example, a 7β-HSDH, to a solid support material, i.e., a support material which is essentially insoluble in the surrounding liquid medium. According to the invention, whole cells, such as the recombinant microorganisms which are used in accordance with the invention, may also be immobilized with the aid of such supports.

[0112]

A “substrate inhibition which is reduced in comparison with the unmutated enzymes” means that the substrate inhibition observed in the unmutated enzyme for a particular substrate can no longer be observed, i.e., is essentially no longer capable of being measured or commences only at a higher substrate concentration, i.e., the Kivalue is increased.

[0113]

According to the invention, a “cholic acid compound” is understood as meaning compounds with the carbon skeleton, in particular the steroid structure, of cholic acid, and the presence of keto and/or hydroxyl and/or acyloxy groups at ring position 7 and optionally positions 3 and/or 12.

[0114]

A compound of a specific type such as, for example, a “cholic acid compound” or an “ursodeoxycholic acid compound” is, in particular, also understood as meaning derivatives of the underlying starting compound (such as, for example, cholic acid or ursodeoxycholic acid).

[0115]

Such derivatives comprise “salts” such as, for example, alkali metal salts, such as lithium, sodium and potassium salts of the compounds; and ammonium salts, where under an ammonium salt is comprised the NH4+ salt or those ammonium salts in which at least one hydrogen atom can be replaced by a C1-C6alkyl radical. Typical alkyl radicals are, in particular C1-C4-alkyl radicals, such as methyl, ethyl, n- or i-propyl-, sec- or tert-butyl, and n-pentyl and n-hexyl, and their analogs with one or more branches.

[0116]

“Alkyl esters” of compounds according to the invention are, in particular, lower alkyl esters such as, for example, C1-C6-alkyl esters. Nonlimiting examples which may be mentioned are methyl, ethyl, n- or i-propyl-, n-, sec- or tert-butyl esters, or longer chain esters such as, for example, n-pentyl and n-hexyl esters, and their analogs with one or more branches.

[0117]

“Amides” are, in particular, reaction products of acids according to the invention with ammonia or with primary or secondary monoamides. Such amides are, for example, mono- or di-C1-C6-alkyl monoamines, it being possible for the alkyl radicals independently of one another optionally to be substituted further such as, for example, by carboxyl, hydroxyl, halogen (such as F, Cl, Br, I), nitro and sulfonate groups.

[0118]

“Acyl groups” according to the invention are, in particular, nonaromatic groups with 2 to 4 carbon atoms such as, for example, acetyl, propyonyl and butyryl, and aromatic groups with an optionally substituted mononuclear aromatic ring, suitable substitutents being selected for example among hydroxyl, halogen (such as F, Cl, Br, I), nitro and C1-C6-alkyl groups such as, for example, benzoyl or toluoyl.

[0119]

The hydroxysteroid compounds applied and/or produced in accordance with the invention such as, for example, cholic acid, ursodeoxycholic acid, 12-keto-chenodeoxycholic acid, chenodeoxycholic acid and 7-keto-lithocholic acid, can be employed in the presence according to the invention, or obtained therefrom, in stereoisomerically pure form or in a mixture with other stereoisomers. Preferably, however, the compounds applied and/or produced are employed and/or isolated in essentially stereoisomerically pure form.

[0120]

The chemical names and the abbreviations of essential chemical compounds are tabulated in the table hereinbelow:

[0121]

CACholic Acid
DHCADehydrocholic Acid
3,12-diketo-7β-CA3,12-diketo-7β-cholanic acid
12-keto-UDCA12-keto-ursodeoxycholic acid
UDCAUrsodeoxycholic acid
CA methyl esterCholic acid methyl ester
3,7-diacetyl-CA methyl ester3,7-diacetylcholic acid methyl ester
12-keto-3,7-diacetyl-CA 12-keto-3,7-diacetyl-cholanic
methyl esteracid methyl ester
CDCAChenodeoxycholic acid
7-keto-LCA7-keto-lithocholic acid
7,12-diketo-LCA7,12-diketo-lithocholic acid
12-keto-CDCA12-keto-chenodeoxycholic acid

2. Proteins

[0122]

The present invention is not restricted to the specifically disclosed proteins or enzymes with 7β-HSDH, FDH, GDH or 3α-HSDH activity and/or their mutants, but, rather, it also extends to functional equivalents thereof.

[0123]

For the purposes of the present invention “functional equivalents” or analogs of the specifically disclosed enzymes are polypeptides which differ from the former and which still retain the desired biological activity such as, for example, 7p HSDH activity.

[0124]

Thus, for example, the expression “functional equivalents” is understood as meaning enzymes which, in the 7β-HSDH, FDH, GDH or 3α-HSDH activity test used, have an activity which is by at least 1%, such as, for example, at least 10% or 20%, such as, for example, at least 50% or 75% or 90% higher or lower than that of a starting enzyme comprising an amino acid sequence defined herein.

[0125]

Functional equivalents are furthermore stable preferably between pH 4 to 11 and advantageously have a pH optimum in a range of from pH 6 to 10, such as, in particular, 8.5 to 9.5, and a temperature optimum in the range of from 15° C. to 80° C. or 20° C. to 70° C., such as, for example, approximately 45 to 60° C. or approximately 50 to 55° C.

[0126]

The 7β-HSDH activity may be detected with the aid of various known tests. Without being limited thereto, a test may be mentioned in which a reference substrate, such as, for example, CA or DHCA, is used under standardized conditions as defined in the experimental part.

[0127]

Tests for determining the FDH, GDH or 3α-HSDH activity are likewise known per se.

[0128]

The expression “functional equivalents” is, according to the invention, in particular also to be understood as meaning “mutants” which, while having an amino acid in at least one sequence position of the abovementioned amino acid sequences which is different to the amino acid which has been mentioned specifically, retain one of the abovementioned biological activities. Therefore, “functional equivalents” comprise the mutants obtainable by one or more, such as, for example, 1, 2, 3, 4, 5, 6, 7, 8, 9, 10, 11, 12, 13, 14 or 15 amino acid additions, substitutions, deletions and/or inversions, it being possible for the abovementioned modifications to occur in any sequence position as long as they result in a mutant with the property profile according to the invention. Functional equivalents exists in particular also when the reactivity patterns of the mutant and the unmodified polypeptide agree in qualitative terms, i.e., when, for example, the same substrates are converted at different rates. Examples of suitable amino acid substitutions are compiled in the following table:

[0129]

AlaSer
ArgLys
AsnGln; His
AspGlu
CysSer
GlnAsn
GluAsp
GlyPro
HisAsn; Gln
IleLeu; Val
LeuIle; Val
LysArg; Gln; Glu
MetLeu; Ile
PheMet; Leu; Tyr
SerThr
ThrSer
TrpTyr
TyrTrp; Phe
ValIle; Leu

[0130]

In “functional equivalents” in the above sense are also “precursors” of the above-described polypeptides and “functional derivatives” and “salts” of the polypeptides.

[0131]

In this context, “precursors” are natural or synthetic precursors of the polypeptides with or without the desired biological activity.

[0132]

The expression “salts” is understood as meaning not only salts of carboxyl groups, but also acid addition salts of amino groups of the protein molecules according to the invention. Salts of carboxyl groups can be prepared in a manner known per so and comprise inorganic salts such as, for example, sodium, calcium, ammonium, iron and zinc salts, and salts with organic bases such as, for example, amides, such as triethanolamine, arginine, lysine, piperidine and the like. Acid addition salts such as, for example, salts with mineral acids, such as hydrochloric acid or sulfuric acid, and salts with organic acids, such as acetic acid and oxalic acid, are likewise subject matter of the invention.

[0133]

In “functional derivatives” of polypeptides according to the invention can also be generated at functional amino acid side-groups or at their N- or C-terminal end, using known techniques. Such derivatives comprise, for example, aliphatic esters of carboxyl groups, amides of carboxyl groups, obtainable by reaction with ammonia or with a primary or secondary amine; N-acyl derivates of free amino groups, prepared by reaction with acyl groups; or O-acyl derivatives free hydroxyl groups, prepared by reaction with acyl groups.

[0134]

Naturally, “functional equivalents” also comprise polypeptides which are available from other organisms, and naturally occurring variants. For example, sequence comparisons may be used to determine regions of homologous sequence regions, and equivalent enzymes can be established on the basis of the specific requirements of the invention.

[0135]

“Functional equivalents” likewise comprise fragments, preferably individual domains or sequence motifs, of the polypeptides according to the invention which have, for example, the desired biological function.

[0136]

“Functional equivalents” are furthermore fusion proteins which have one of the abovementioned polypeptide sequences or functional equivalents derived therefrom and at least one other heterologous sequence functionally different therefrom in functional N- or C-terminal linkage (i.e. without significant mutual impairment of the functions of parts of the fusion proteins). Nonlimiting examples of such heterologous sequences are, for example, signal peptides, histidine anchors, such as, for example, a peptide comprising hexahistidine anchor such as, for example, “LEHHHHHH” (e.g., amino acids 264-271 of SEQ ID NO: 3), or enzymes.

[0137]

“Functional equivalents” include in accordance with the invention homologs of the specifically disclosed proteins. These have at least 60%, preferably at least 75%, in particular at least 85%, such as, for example, 90, 91, 92, 93, 94, 95, 96, 97, 98 or 99%, homology (or identity) to one of the specifically disclosed amino acid sequences, calculated by the algorithm of Pearson and Lipman, Proc. Natl. Acad, Sci. (USA) 85(8), 1988, 2444-2448. A percentage homology or identity of a homologous polypeptide according to the invention means in particular percentage identity of the amino acid residues based on the total length of one of the amino acid sequences which are described specifically herein.

[0138]

The percentage identity data may also be determined by using BLAST alignments, the algorithm blastp (protein-protein BLAST), or by employing the Clustal settings specified hereinbelow.

[0139]

In the event of possible protein glycosylation, “functional equivalents” according to the invention encompass proteins of the above-specified type in deglycosylated or glycosylated form, and modified forms obtainable by changing the glycosylation pattern.

[0140]

Homologs of the proteins or polypeptides according to the invention can be generated by mutagenesis, for example by point mutation, or by extension or truncation of the protein.

[0141]

Homologs of the proteins according to the invention can be identified by screening combinatorial libraries of mutants such as, for example, truncation mutants. For example, it is possible to generate a variegated library of protein variants by combinatorial mutagenesis at the nucleic acid level, such as, for example, by enzymatic ligation of a mixture of synthetic oligonucleotides. There exists a large number of processes which can be used to generate libraries of potential homologs from a degenerate oligonucleotide sequence. The chemical synthesis of a degenerate gene sequence may be carried out in an automatic DNA synthesizer, and the synthetic gene may then be ligated to a suitable expression vector. The use of a degenerate set of genes makes it possible to provide, in one mixture, all sequences which code for the desired set of potential protein sequences. Methods for synthesizing degenerate oligonucleotides are known to the person skilled in the art (for example Narang, S. A. (1983) Tetrahedron 39:3; Itakura at al. (1984) Annu. Rev. Biochem. 53:323; Itakura et al., (1984) Science 198:1056; Ike et al. (1983) Nucleic Acids Res. 11:477).

[0142]

The prior art knows a variety of techniques for screening gene products of combinatorial libraries which have been generated by point mutations or truncation, and for screening cDNA libraries for gene products with a selected characteristic. These techniques can be adapted to the rapid screening of the gene libraries which have been generated by combinatorial mutagenesis of homologs according to the invention. The most frequently used techniques for screening large gene libraries undergoing high-throughput analysis comprise the cloning of the gene library into replicable expression vectors, transforming suitable cells with the resulting vector library and expressing the combinatorial genes under conditions under which the detection of the desired activity facilitates isolation of the vector which codes for the gene whose product has been detected. Recursive ensemble mutagenesis (REM), a technique which increases the frequency of functional mutants in the libraries, can be used in combination with the screening tests in order to identify homologs (Arkin and Yourvan (1992) PNAS 89:7811-7815; Delgrave et al. (1993) Protein Engineering 6(3):327-331).

[0143]

The invention furthermore comprises the use of the 7β-HSDH wild type from Collinsella aerofaciens ATCC 25986 as is described in the applicant's WO 2011/064404, which is herewith expressly referred to.

[0144]

This 7β-HSDH, which is obtainable from Collinsella aerofaciens DSM 3979, is characterized in particular by at least one further of the following properties, such as, for example, by 2, 3, 4, 5, 6 or 7 or all of such properties:

[0145]

a) molecular weight (SDS gel electrophoresis): approximately 28-32 kDa, in particular approximately 29 to 31 kDa or approximately 30 kDa;

[0146]

b) molecular weight (gel filtration under non-denaturing conditions, such as, in particular, without SDS): approximately 53 to 60 kDa, in particular approximately 55 to 57 kDa, such as 56.1 kDa. This confirms the dimeric nature of the Collinsella aerofaciens DSM 3979 7β-HSDH;

[0147]

c) stereoselective reduction of the 7-carbonyl group of 7-keto-LCA to a 7β-hydroxy group;

[0148]

d) pH optimum for the oxidation of UDCA in the range of from pH 8.5 to 10.5, in particular 9 to 10;

[0149]

e) pH optimum for the reduction of DHCA and 7-keto-LCA in the range of from pH 3.5 to 6.5, in particular pH 4 to 6;

[0150]

f) at least one kinetic parameter from the following table for at least one of the substrates/cofactors mentioned therein; in the range of from ±20%, in particular ±10%, ±5%, ±3% ±2% or ±1% around the value mentioned in each case specifically in the table which follows.

[0151]

NADP+5.3230.58944.95
NADPH4.5033.441033.44
UDCA6.2338.171179.39
7-Keto-LCA5.2030.77950.77
DHCA9.2328.33875.35
NAD+a)Traces
NADH— Traces
a)no determination possibe owing to the very low activity
b)1 U = 1 μmol/min

[0152]

g) Phylogenetic sequence relationship of the prokaryotic Collinsella aerofaciens DSM 3979 7β-HSDH with the animal 11β-HSDH subgroup, comprising Cavia porcellus, Homo sapiens and Mus musulus.

[0153]

For example, this 7β-HSDH displays the following properties or combinations of properties: a); b); a) and b); a) and/or b) and c); a) and/or b) and c) and d); a) and/or b) and c) and d) and e); a) and/or b) and c) and d) and e) and f).

[0154]

Such a 7β-HSDH or functional equivalent derived therefrom is furthermore characterized by

  • a) the stereospecific reduction of a 7-ketosteroid to the corresponding 7I-hydroxysteroid, and/or
  • b) the regiospecific hydroxylation of a ketosteroid comprising a keto group in the 7-position and at least one further keto group on the steroid skeleton to give the corresponding 7p-hydroxysteroid, such as, in particular, of dehydrocholic acid (DHCA) in the 7-position to give the corresponding 3,12-diketo-7β-cholanic acid, and which is for example NADPH-dependent

[0157]

Such a 7β-HSDH has, in particular, an amino acid sequence as per SEQ ID NO:2 (Accession NO: ZP_01773061) or a sequence derived therefrom with a degree of identity of at least 60%, such as, for example, 65, 70, 75, 80, 85 or 90, such as, for example, at least 91, 92, 93, 94, 95, 96, 97, 98, 99 or 99.5% to this sequence; optionally additionally characterized by one of the following properties or combinations of properties; a); b); a) and b); a) and/or b) and c); a) and/or b) and c) and d); a) and/or b) and c) and d) and e); a) and/or b) and c) and d) and e) and f) as per the above definition.

3. Nucleic Acids and Constructs

[0000]

3. 1 Nucleic Acids

[0158]

Subject-matter of the invention is also nucleic acid sequences which code for an enzyme with 7β-HSDH, FDH, GDH and/or 3α-HSDH activity and their mutants.

[0159]

The present invention also relates to nucleic acids with a certain degree of identity to the specific sequences described herein.

[0160]

The “identity” between two nucleic acids is understood as meaning the identity of the nucleotides over in each case the entire length of the nucleic acid, in particular the identity which is calculated by comparison with the aid of the Vector NTI Suite 7.1 software from Informax (USA) by applying the Clustal method (Higgins D G, Sharp P M. Fast and sensitive multiple sequence alignments on a microcomputer. Comput Appl. Biosci. 1989 April 5(2):151-1), with the following parameter settings:

[0161]

Gap opening penalty10
Gap extension penalty10
Gap separation penalty range8
Gap separation penaltyoff
% identity for alignment delay40
Residue specific gapsoff
Hydrophilic residue gapoff
Transition weighing0

Pairwise Alignment Parameter

[0162]

FAST algorithmon
K-tuple size1
Gap penalty3
Window size5
Number of best diagonals5

[0163]

Alternatively, the identity may also be determined by the method of Chenna, Ramu, Sugawara, Hideaki, Koike, Tadashi, Lopez, Rodrigo, Gibson, Toby J, Higgins, Desmond G, Thompson, Julie D. Multiple sequence alignment with the Clustal series of programs. (2003) Nucleic Acids Res 31 (13):3497-500, using the following parameters:

[0164]

DNA Gap Open Penalty15.0
DNA Gap Extension Penalty6.66
DNA MatrixIdentity
Protein Gap Open Penalty10.0
Protein Gap Extension Penalty0.2
Protein matrixGonnet
Protein/DNA ENDGAP−1
Protein/DNA GAPDIST4

[0165]

All the nucleic acid sequences (single- and double-stranded DNA and RNA sequences such as, for example, cDNA and mRNA) mentioned herein can be generated in a manner known per se by chemical synthesis starting from the nucleotide units such as, for example, by fragment condensation of individual overlapping, complementary nucleic acid units of the double helix. Oligonucleotides may be synthesized chemically for example in a known manner, following the phosphoamidite method (Voet, Voet, 2ndedition, Wiley Press New York, pages 896-897). The assembly of synthetic oligonucleotides and the filling-in of gaps with the aid of the DNA polymerase Klenow fragment and with the aid of ligation reactions and general cloning methods are described by Sambrook et al. (1989), Molecular Cloning: A laboratory manual, Cold Spring Harbor Laboratory Press.

[0166]

Subject-matter of the invention is also nucleic acid sequences (single- and double-stranded DNA and RNA sequences, such as, for example, cDNA and mRNA) which code for any of the above polypeptides at their functional equivalents which may be prepared for example using artificial nucleotide analogs.

[0167]

The invention relates both to isolated nucleic add molecules which code for polypeptides or proteins according to the invention or biologically active sections thereof, and to nucleic acid fragments which may be used for example for use as hybridization probes or primers for identifying or amplifying coding nucleic adds according to the invention.

[0168]

The nucleic acid molecules according to the invention may additionally comprise untranslated sequences from the 3′ and/or 5′ end of the coding gene region.

[0169]

The invention furthermore comprises the nucleic acid molecules which are complementary to the specifically described nucleotide sequences or to a section thereof.

[0170]

The nucleotide sequences according to the invention make possible the generation of probes and primers which may be used for identifying and/or cloning homologous sequences in other cell types and other organisms. Such probes or primers usually comprise a nucleotide sequence region which, under “stringent” conditions (see hereinbelow), hybridizes to at least approximately 12, preferably at least approximately 25, such as, for example, approximately 40, 50 or 75 consecutive nucleotides of a sense strand of a nucleic acid sequence according to the invention or of a corresponding antisense strand.

[0171]

An “isolated” nucleic acid molecule is separated from other nucleic acid molecules which are present in the natural source of the nucleic acid and may additionally be essentially free of other cellular material or culture medium if it is generated by recombinant techniques, or free from chemical precursors or other chemicals if it is synthesized chemically.

[0172]

A nucleic acid molecule according to the invention may be isolated by means of standard techniques of molecular biology and the sequence information provided in accordance with the invention. For example, cDNA may be isolated from a suitable cDNA library by using one of the specifically disclosed complete sequences or a section thereof as hybridization probe and using standard hybridization techniques (as described, for example, in Sambrook, J., Fritsch, E. F. and Maniatis, T. Molecular Cloning: A Laboratory Manual. 2ndEdition, Cold Spring Harbor Laboratory, Cold Spring Harbor Laboratory Press, Cold Spring Harbor, N.Y., 1989). Moreover, a nucleic acid molecule comprising any of the disclosed sequences or a section thereof may be isolated by polymerase chain reaction, using the oligonucleotide primers which have been constructed on the basis of this sequence. The nucleic acid amplified in this manner may be cloned into a suitable vector and characterized by DNA sequence analysis. Furthermore, the oligonucleotides according to the invention may be generated by standard synthesis methods, for example using an automatic DNA synthesizer.

[0173]

Nucleic acid sequences according to the invention or derivatives thereof, homologs or parts of these sequences may be isolated from other bacteria for example using customary hybridization methods or the PCR technique, for example by way of genomic libraries or cDNA libraries. These DNA sequences hybridize with the sequences according to the invention under standard conditions.

[0174]

“Hybridizing” is understood as meaning the ability of a polynucleotide or oligonucleotide to bind, under standard conditions, to an almost complementary sequence, while unspecific bindings between non-complementary partners will not take place under these conditions. In this context, the sequences may be 90-100% complementary. The property of complementary sequences of being able to specifically bind to each other is exploited for example in the Northern or Southern blot technique or in the primer binding in PCR or RT-PCR.

[0175]

For the hybridization, use is advantageously made of short oligonucleotides of the conserved regions. However, it is also possible to use longer fragments of the nucleic acids according to the invention, or the complete sequences, for the hybridization. Depending on the nucleic acid employed (oligonucleotide, longer fragment or complete sequence) or depending on which nucleic acid type, DNA or RNA, is used for the hybridization, these standard conditions will vary. Thus, for example, the melting temperatures for DNA:DNA hybrids are approximately 10° C. lower than those of DNA:RNA hybrids of the same length.

[0176]

Depending on the nucleic acid, standard conditions are understood as meaning, for example, temperatures of between 42 and 58° C. in an aqueous buffer solution having a concentration of between 0.1 to 5×SSC (1×SSC=0.15 M NaCl, 15 mM sodium citrate, pH 7.2) or additionally in the presence of 50% formamide, for example 42° C. in 5×SSC, 50% formamide. Advantageously, the hybridization conditions for DNA:DNA hybrids are 0.1×SSC and temperatures between about 20° C. to 45° C., preferably between about 30° C. to 45° C. For DNA:RNA hybrids, the hybridization conditions are advantageously 0.1×SSC and temperatures of between about 30′C to 55° C., preferably between about 45° C. to 55° C. These temperatures stated for the hybridization are melting temperature values which have been calculated by way of example for a nucleic acid having a length of approximately 100 nucleotides and a G+C content of 50% in the absence of formamide. The experimental conditions for the DNA hybridization are described in specialist textbooks of genetics, such as, for example, Sambrook et al., “Molecular Cloning”, Cold Spring Harbor Laboratory, 1989, and may be calculated using formulae known to the person skilled in the art, for example as a function of the length of the nucleic acids, the type of hybrids or the G+C content. The person skilled in the art may obtain further information with regard to hybridization from the following textbooks: Ausubel at al. (eds.), 1985, Current Protocols in Molecular Biology, John Wiley & Sons, New York; Hames and Higgins (eds.), 1985, Nucleic Adds Hybridization: A Practical Approach, IRL Press at Oxford University Press, Oxford; Brown (ed.), 1991, Essential Molecular Biology: A Practical Approach, IRL Press at Oxford University Press, Oxford.

[0177]

The “hybridization” may take place in particular under stringent conditions. Such hybridization conditions are described for example in Sambrook, J., Fritsch, E. F., Maniatis, T., in: Molecular Cloning (A Laboratory Manual), 2nd Edition, Cold Spring Harbor Laboratory Press, 1989, pages 9.31-9.57 or in Current Protocols in Molecular Biology, John Wiley & Sons, N.Y. (1989), 6.3.1-6.3.6.

[0178]

“Stringent” hybridization conditions are understood as meaning in particular the following: incubation overnight at 42° C. in a solution composed of 50% formamide, 5×SSC (750 mM NaCl, 75 mM trisodium citrate), 50 mM sodium phosphate (pH 7.6), 5×Denhardt's solution, 10% dextran sulfate and 20 g/ml denatured sheared salmon sperm DNA, followed by a wash step of the filters with 0.1×SSC at 65° C.

[0179]

Subject matter of the invention are also derivatives of the specifically disclosed or derivable nucleic acid sequences.

[0180]

Thus, further nucleic acid sequences according to the invention may be derived from, for example, SEQ ID NO:1, 7, or 9 (or from the nucleic acid sequences which code for the amino acid sequences 2 to 6, 8, 10 or 11) and differ therefrom by addition, substitution, insertion or deletion of individual or several nucleotides, but still code for polypeptides with the desired property profile.

[0181]

Also comprised by the invention are those nucleic acid sequences which comprise “silent” mutations or which are altered, as compared with a specifically mentioned sequence, according to the codon usage of a specific source organism or host organism, as are naturally occurring variants thereof, such as, for example, splice variants or allelic variants.

[0182]

Another subject matter is sequences obtainable by way of conservative nucleotide substitutions (i.e., the amino acid in question is replaced with an amino acid of the same charge, size, polarity and/or solubility).

[0183]

Subject matter of the invention is also the molecules which are derived from the specifically disclosed nucleic acids by way of sequence polymorphisms. These genetic polymorphisms may exist between individuals within a population as a result of natural variation. These natural variations usually give rise to a variance of from 1 to 5% in the nucleotide sequence of a gene.

[0184]

Derivatives of nucleic acid sequences according to the invention and which have the sequence SEQ ID NO: 1, 7, or 9 (or of the nucleic acid sequences which code for the amino acid sequences 2 to 6, 8, 10 or 11) are understood as meaning, for example, allelic variants which, at the deduced amino acid level, have at least 60% homology, preferably at least 80% homology, very especially preferably at least 90% homology over the entire sequence region (in respect of homology at the amino acid level, the reader may refer to the above comments regarding the polypeptides). Advantageously, the homologies may be higher across subregions of the sequences.

[0185]

Furthermore, derivatives are also understood as meaning homologs of the nucleic acid sequences according to the invention, in particular of the SEQ ID NO:1, 7, or 9 (or of the nucleic acid sequences which code for the amino acid sequences 2 to 6, 8, 10 or 11) for example fungal or bacterial homologs, truncated sequences, single-stranded DNA or RNA of the coding and noncoding DNA sequence. Thus, for example homologs to the SEQ ID NO:1, 7 or 9 (or of the nucleic acid sequences which code for the amino acid sequences 2 to 6, 8, 10 or 11) have a homology of at least 40%, preferably of at least 60%, especially preferably of at least 70%, very especially preferably of at least 80% homology at the DNA level over the entire DNA region of SEQ ID No:1, 7 or 9 (or of the nucleic acid sequences which code for the amino acid sequences 2 to 6, 8, 10 or 11).

[0186]

Furthermore, derivatives are understood as meaning for example fusions with promoters. The promoters which are located upstream of the nucleotide sequences indicated may have been altered by at least one nucleotide substitution, at least one insertion, inversion and/or deletion, without, however, the functionality and efficacy of the promoters being adversely affected. Furthermore, the efficacy of the promoters may be increased by altering their sequence, or the promoters may be replaced entirely with more active promoters, including promoters from organisms of other species.

[0187]

In addition, a person skilled in the art is familiar with processes for generating functional mutants.

[0188]

Depending on the technique used, a person skilled in the art may introduce completely random or, also more specific mutations into genes or also non-coding nucleic acid regions (for example regions which are important for regulating expression) and subsequently generate gene libraries. The molecular-biological methods required for this purpose are known to a person skilled in the art and described, for example, in Sambrook and Russell, Molecular Cloning. 3rdEdition, Cold Spring Harbor Laboratory Press 2001.

[0189]

Methods for modifying genes and thus for altering the protein coded by them have been familiar to a person skilled in the art for a long time, such as, for example,

    • site-specific mutagenesis, where single or multiple nucleotides of a gene are substituted specifically (Trower M K (Ed.) 1996; In vitro mutagenesis protocols. Humana Press, New Jersey),
    • saturation mutagenesis, in which a codon for any desired amino acid may be substituted or added at any desired position of a gene (Kegler-Ebo D M, Docktor C M, DiMaio D (1994) Nucleic Acids Res. 22:1593; Barettino D, Feigenbutz M, Valcarel R, Stunnenberg H G (1994) Nucleic Acids Res 22:541; Barik S (1995) Mol. Biotechnol. 3:1),
    • error-prone polymerase chain reaction (PCR), in which nucleotide sequences are mutated by defectively operating DNA polymerases (Eckert K A, Kunkel T A (1990) Nucleic Adds Res. 18:3739);
    • the passaging of genes in mutator strains in which for example on account of deficient DNA re-pair mechanisms the mutation rate of nucleotide sequences is increased (Greener A, Callahan M, Jerpseth B (1996) An efficient random mutagenesis technique using an E. coli mutator strain. In: Trower M K (Ed.) In vitro mutagenesis protocols. Humana Press, New Jersey), or
    • DNA shuffling, in which a pool of closely related genes is formed and digested, and the fragments are used as templates for a polymerase chain reaction, in which full-length mosaic genes are ultimately generated by repeated strand separation and reannealing (Stemmer W P C (1994) Nature 370:389; Stemmer W P C (1994) Proc. Natl. Acad. Sci. USA 91:10747).

[0195]

Employing what is known as directed evolution (described, inter alia, in Reetz M T and Jaeger K-E (1999), Topics Curr Chem 200:31; Zhao H, Moore J C, Volkov A A, Arnold F H (1999), Methods for optimizing industrial enzymes by directed evolution, In: Demain A L, Davies J E (Ed.) Manual of industrial microbiology and biotechnology. American Society for Microbiology), a person skilled in the art can also generate functional mutants in a targeted manner, also on a large scale. Here, gene libraries of the respective proteins are generated in a first step, and these gene libraries may be set up employing, for example, the methods specified hereinabove. The gene libraries are expressed in a suitable manner, for example by bacteria or by phage display systems.

[0196]

The relevant genes of host organisms which express functional mutants with properties which correspond largely to the desired properties may be subjected to a further mutation cycle. The steps of mutation and of selection or of screening may be repeated iteratively until the functional mutants which are present show the desired properties to a sufficient extent. A limited number of mutations such as, for example, 1 to 5 mutations may be generated stepwise by this iterative approach, and their influence on the relevant enzyme property may be assessed and selected. The selected mutant may then be subjected in the same manner to a further mutation step. This allows the number of individual mutants to be studied to be reduced significantly.

[0197]

The results according to the invention also provide important information in respect of structure and sequence of the enzymes in question, which enzymes are required for generating, in a targeted fashion, further enzymes with desired modified properties. In particular, it is possible to define what are known as “hot spots”, i.e., sequence sections which are potentially suitable for modifying an enzyme property via the introduction of targeted mutations.

[0000]

3.2 Constructs

[0198]

Subject matter of the invention is furthermore expression constructs, comprising, under the genetic control of regulatory nucleic acid sequences, a nucleic acid sequence which encodes at least one polypeptide according to the invention; and vectors comprising at least one of these expression constructs.

[0199]

An “expression unit” is understood as meaning, according to the invention, a nucleic acid with expression activity, which comprises a promoter as defined herein and which, after functional linkage to a nucleic acid to be expressed or to a gene, regulates the expression, that is to say the transcription and the translation, of said nucleic acid or said gene. This is why, in this context, an expression unit is also referred to as a “regulatory nucleic acid sequence”. Further regulatory elements, such as, for example, enhancers, may be present in addition to the promoter.

[0200]

According to the invention, an “expression cassette” or “expression construct” is understood as meaning an expression unit which is functionally linked to the nucleic acid to be expressed or the gene to be expressed. In contrast to an expression unit, therefore, an expression cassette not only comprises nucleic acid sequences which regulate transcription and translation, but also the nucleic acid sequences which are to be expressed as protein as a consequence of the transcription and translation.

[0201]

In the context of the invention, the terms “expression” or “overexpression” describe the production or increase of the intracellular activity of one or more enzymes in a microorganism, which enzymes are coded by the corresponding DNA. To this end, for example, a gene may be introduced into an organism, an existing gene may be replaced by a different gene, the copy number of the gene(s) may be increased, a strong promoter may be used, or a gene may be used which encodes a corresponding enzyme with a high activity, and, optionally, these measures can be combined.

[0202]

Preferably, such constructs according to the invention comprise a promoter upstream, i.e., at the 5′ end of the particular coding sequence, and a terminator sequence downstream, i.e., at the 3′ end, and, optionally, further customary regulatory elements, in each case operably linked to the coding sequence.

[0203]

A “promoter”, a “nucleic acid with promoter activity” or a “promoter sequence” is understood as meaning in accordance with the invention a nucleic acid which, in functional linkage to a nucleic acid to be transcribed, regulates the transcription of said nucleic acid.

[0204]

In this context, a “functional” or “operable” linkage is understood as meaning, for example, the sequential arrangement of one of the nucleic acids with promoter activity and a nucleic acid sequence to be transcribed and, optionally, further regulatory elements such as, for example, nucleic acid sequences which ensure the transcription of nucleic acids, and, for example, a terminator in such a way that each of the regulatory elements is able to carry out its function as intended in the transcription of the nucleic acid sequence. A direct linkage in the chemical sense is not mandatory in this context. Genetic control sequences, such as, for example, enhancer sequences, may also exert their function on the target sequence from positions which are further removed, or even from different DNA molecules. Preferred arrangements are those in which the nucleic acid sequence to be transcribed is positioned after the promoter sequence (i.e., at its 3′ end) so that the two sequences are covalently linked to each other. In this context, the distance between the promoter sequence and the nucleic acid sequence to be expressed recombinantly may be less than 200 base pairs or less than 100 base pairs or less than 50 base pairs.

[0205]

Examples of further regulatory elements which may be mentioned besides promoters and terminator are targeting sequences, enhancers, polyadenylation signals, selectable markers, amplification signals, replication origins and the like. Suitable regulatory sequences are described, for example, in Goeddel, Gene Expression Technology: Methods in Enzymology 185, Academic Press, San Diego, Calif. (1990).

[0206]

Nucleic acid constructs according to the invention comprise in particular a sequence SEQ ID NO:1, 7, or 9 (or of the nucleic acid sequences which code for the amino acid sequences 2 to 6, 8, 10 or 11) or derivatives and homologs thereof, and the nucleic acid sequences which can be derived therefrom and which have been operably or functionally linked to one or more regulatory signals, advantageously for controlling, for example increasing, gene expression.

[0207]

In addition to these regulatory sequences, the natural regulation of these sequences may still be present upstream of the actual structural genes and may optionally have been genetically altered in such a way that the natural regulation has been switched off and the expression of the genes has been increased. However, the nucleic add construct may also have a simpler design, i.e., no additional regulatory signals have been inserted upstream of the coding sequence, and the natural promoter, together with its regulation, has not been removed. Instead, the natural regulatory sequence is mutated in such a way that regulation no longer takes place, and gene expression is increased.

[0208]

A preferred nucleic acid construct advantageously also comprises one or more of the previously mentioned “enhancer” sequences which are functionally linked to the promoter and which enable expression of the nucleic acid sequence to be increased. Additional advantageous sequences, such as further regulatory elements or terminators, may also be inserted at the 3′ end of the DNA sequences. The nucleic acids according to the invention may be present in the construct in one or more copies. The construct may additionally comprise further markers such as antibiotic resistances or auxotrophy-complementing genes, optionally for the purpose of selecting the construct.

[0209]

Examples of suitable regulatory sequences are present in promoters such as cos, tac, trp, tet, trp-tet, lpp, lac, Ipp-lac, laclq, T7, T5, T3, gal, trc, ara, rhaP (rhaPBAD)SP6, lambda-PRor in the lambda-PLpromotors which are advantageously used in Gram-negative bacteria. Other advantageous regulatory sequences are present for example in the Gram-positive promoters amy and SPO2, in the yeast or fungal promoters ADC1, MFalpha, AC, P-60, CYC1, GAPDH, TEF, rp28, ADH. Artificial promoters may also be used for regulation purposes.

[0210]

For the purposes of expression in a host organism, the nucleic acid construct is advantageously inserted into a vector such as, for example, a plasmid or a phage, which enables the genes to be expressed optimally in the host. Vectors, in addition to plasmids and phages, are also understood as meaning all the other vectors known to a person skilled in the art, i.e., for example viruses such as SV40, CMV, baculovirus and adenovirus, transposons, IS elements, phasmids, cosmids and linear or circular DNA. These vectors may be replicated autonomously in the host organism or replicated chromosomally. These vectors constitute a further development of the invention.

[0211]

Examples of suitable plasmids are, for example, in E. coli pLG338, pACYC184, pBR322, pUC18, pUC19, pKC30, pRep4, pHS1, pKK223-3, pDHE19.2, pHS2, pPLc236, pMBL24, pLG200, pUR290, pIN-III113-B1, λgt11 or pBdCl, in Streptomyces pIJ101, pIJ364, pIJ702 or pIJ361, in Bacillus pUB110, pC194 or pBD214, in Corynebacterium pSA77 or pAJ667, in fungi pALS1, pIL2 or pBB116, in yeasts 2alphaM, pAG-1, YEp6, YEp13 or pEMBLYe23 or in plants pLGV23, pGHlac+, pBIN19, pAK2004 or pDH51. The plasmids mentioned are a small selection of the possible plasmids. Other plasmids are well known to a person skilled in the art and can be found, for example, in the book Cloning Vectors (Eds. Pouwels P. H. et al. Elsevier, Amsterdam-New York-Oxford, 1985, ISBN 0 444 904018).

[0212]

In a further embodiment of the vector, the vector comprising the nucleic acid construct according to the invention or the nucleic acid according to the invention may also advantageously be introduced into the microorganisms in the form of a linear DNA and integrated into the genome of the host organism via heterologous or homologous recombination. This linear DNA may consist of a linearized vector, such as a plasmid, or only of the nucleic acid construct or of the nucleic acid according to the invention.

[0213]

In order to express heterologous genes optimally in organisms, it is advantageous to alter the nucleic acid sequences in accordance with the specific “codon usage” employed in the organism. The “codon usage” can be determined readily with the aid of computer analyses of other known genes of the organism in question.

[0214]

An expression cassette according to the invention is generated by fusing a suitable promoter to a suitable coding nucleotide sequence and to a terminator signal or polyadenylation signal. Common recombination and cloning techniques are used for this purpose, as are described, for example, in T. Maniatis, E. F. Fritsch and J. Sambrook, Molecular Cloning: A Laboratory Manual, Cold Spring Harbor Laboratory, Cold Spring Harbor, N.Y. (1989) and in T. J. Silhavy, M. L. Berman and L. W. Enquist, Experiments with Gene Fusions, Cold Spring Harbor Laboratory, Cold Spring Harbor, N.Y. (1984) and in Ausubel, F. M. et al., Current Protocols in Molecular Biology, Greene Publishing Assoc. and Wiley Interscience (1987).

[0215]

For expression purposes in a suitable host organism, the recombinant nucleic acid construct or gene construct is advantageously inserted into a host-specific vector which enables the genes to be expressed optimally in the host. Vectors are well known to a person skilled in the art and can be found for example in “Cloning Vectors” (Pouwels P. H. et al., Eds., Elsevier, Amsterdam-New York-Oxford, 1985).

4 Microorganisms

[0216]

Depending on the context, the term “microorganism” may be understood as meaning the starting (wild-type) microorganism or a genetically modified recombinant microorganism, or both.

[0217]

It is possible to prepare, with the aid of the vectors according to the invention, recombinant microorganisms which are transformed for example with at least one vector according to the invention and which may be used for producing the polypeptides according to the invention. Advantageously, the above-described recombinant constructs according to the invention are introduced into a suitable host system and expressed therein. In this connection, familiar cloning and transfection methods with which a person skilled in the art Is familiar, such as, for example, coprecipitation, protoplast fusion, electroporation, retroviral transfection and the like, are preferably used in order to cause said nucleic acids to be expressed in the particular expression system. Suitable systems are described, for example, in Current Protocols in Molecular Biology, F. Ausubel et al., Eds., Wiley Interscience, New York 1997, or Sambrook et al. Molecular Cloning: A Laboratory Manual. 2ndedition, Cold Spring Harbor Laboratory, Cold Spring Harbor Laboratory Press, Cold Spring Harbor, N.Y., 1989. An overview of bacterial expression systems for the heterologous expression of proteins is also provided, for example, by Terpe, K. Appl. Microbiol. Biotechnol. (2006) 72: 211-222.

[0218]

Recombinant host organisms for the nucleic acid according to the invention or the nucleic acid construct are, in principle, all prokaryotic or eukaryotic organisms. It is advantageous to employ, as host organisms, microorganisms such as bacteria, fungi or yeasts. It is advantageous to employ Gram-positive or Gram-negative bacteria, preferably bacteria of the families Enterobacteriaceae, Pseudomonadaceae, Rhizobiaceae, Streptomycetaceae or Nocardiaceae, especially preferably bacteria of the genera Escherichia, Pseudomonas, Streptomyces, Nocardia, Burkholderia, Salmonella, Agrobacterium, Clostridium or Rhodococcus. Very especially preferred is the genus and species Escherichia coli. Further advantageous bacteria can furthermore be found in the group of alpha-proteobacteria, beta-proteobacteria or gamma-proteobacteria.

[0219]

In this context, the host organism(s) according to the invention preferably comprise(s) at least one of the nucleic acid sequences, nucleic acid constructs or vectors which are described in this invention and which encode an enzyme with 7β-HSDH activity as defined hereinabove.

[0220]

Depending on the host organism, the organisms used in the process according to the invention are grown, or cultured, in a manner known to a person skilled in the art. As a rule, microorganisms are grown in a liquid medium comprising a carbon source, usually in the form of sugars, a nitrogen source, usually in the form of organic nitrogen sources such as yeast extract or salts such as ammonium sulfate, trace elements such as salts of iron, manganese and magnesium and optionally vitamins at temperatures of between 0° C. and 100° C., preferably between 10° C. to 60° C., while passing in oxygen. The pH of the liquid medium can either be kept constant, that is to say regulated during the culturing, or not. The culturing may take place batchwise, semibatchwise or continuously. Nutrients may be provided at the beginning of the fermentation or fed in semicontinuously or continuously.

5. Production of UDCA

[0000]

Step 1: Chemical Conversion of CA into DHCA

[0221]

The hydroxyl groups of CA are oxidized to carbonyl groups in a manner known per se via the traditional chemical route, using chromic acids or chromates in acidic solution (for example H2SO4). This gives rise to DHCA.

[0000]

Step 2: Enzymatic or Microbial Conversion of DHCA into 12-Keto-UDCA

[0222]

DHCA is reduced specifically in aqueous solution by 3α-HSDH and 7β-HSDH or mutants thereof in the presence of NADPH or NADH to give 12-keto-UDCA. The cofactor NADPH or NADH can be regenerated by an ADH or FDH or GDH or mutants thereof from isopropanol or sodium formate or glucose, respectively. The reaction proceeds under mild conditions. For example, the reaction may be carried out at pH=6 to 9, in particular approximately pH=8 and at approximately 10 to 30, 15 to 25 or approximately 23° C.

[0223]

In the event of a microbial conversion step, recombinant microorganisms which express the enzyme activity/activities required may be cultured anaerobically or aerobically in suitable liquid media in the presence of the substrate to be converted (DHCA). Suitable culturing conditions are known per se to a person skilled in the art. They comprise conversions in the pH range of, for example, 5 to 10 or 6 to 9, at temperatures in the range of from 10 to 60 or 15 to 45 or 25 to 40 or 37PC. Suitable media comprise for example the LB and TB media described hereinbelow. In this context, the conversion time may for example be carried out batchwise or continuously or in any other customary process variant (as described hereinabove). The conversion time may, in this context, be for example in the range of from minutes to several hours or days and may amount to, for example, 1 h to 48 h. Optionally, if enzymatic activity is not expressed continuously, the latter may be initiated by adding a suitable inductor after a target cell density of, for example, approximately OD600=0.5 to 1.0 has been reached.

[0224]

As regards the operation of the fermentation, additions to the medium, enzyme immobilization and isolation of the substances of value, further suitable modifications of the microbial production process which are possible can also be found in the following section regarding “production of the enzymes or mutants”.

[0000]

Step 3: Chemical Conversion of 12-Keto-UDCA to UDCA

[0225]

The 12-carbonyl group of 12-keto-UDCA is removed in a manner known per se by means of Wolff-Kischner reduction, whereby UDCA is generated from 12-keto-UDCA. In the reaction, the carbonyl is first reacted with hydrazine to give the hydrazone. Thereafter, the hydrazone is heated to 200° C. in the presence of a base (for example KOH); during this process, nitrogen is eliminated, giving rise to UDCA.

6. Recombinant Production of the Enzymes and Mutants

[0226]

Subject matter of the invention is furthermore processes for the recombinant production of polypeptides according to the invention or functional biologically active fragments thereof, wherein a polypeptide-producing microorganism is cultured, the expression of the polypeptides is optionally induced and the polypeptides are isolated from the culture. If desired, the polypeptides may, in this manner, also be produced on an industrial scale.

[0227]

The microorganisms which have been produced in accordance with the invention can be grown continuously or discontinuously by the batch method, the fed-batch method or the repeated fed-batch method. An overview of known culture methods can be found in the textbook by Chmiel (Bioprozeßtechnik 1. Einführung in die Bioverfahrenstechnik [Bioprocess Engineering 1. Introduction to Bioprocess Technology] (Gustav Fischer Verlag, Stuttgart, 1991)) or in the textbook by Storhas (Bioreaktoren and periphere Einrichtungen [Bioreactors and Peripheral Units](Vieweg Verlag, Brunswick/Wiesbaden, 1994)).

[0228]

The culture medium to be used must suitably meet the needs of the strains in question. Descriptions of culture media for a variety of microorganisms are found in the manual “Manual of Methods for General Bacteriology” of the American Society for Bacteriology (Washington D. C., USA, 1981).

[0229]

These media which can be employed in accordance with the invention usually encompass one or more carbon sources, nitrogen sources, inorganic salts, vitamins and/or trace elements.

[0230]

Preferred carbon sources are sugars such as mono-, di- or polysaccharides. Examples of very good carbon sources are glucose, fructose, mannose, galactose, ribose, sorbose, ribulose, lactose, maltose, sucrose, raffinose, starch or cellulose. Sugars may also be added to the media via complex compounds, such as molasses, or other by-products of sugar refining. It may also be advantageous to add mixtures of various carbon sources. Other possible carbon sources are oils and fats such as, for example, soya oil, sunflower oil, peanut oil and coconut fat, fatty acids such as, for example, palmitic acid, stearic acid or linoleic acid, alcohols such as, for example, glycerol, methanol or ethanol, and organic acids such as, for example, acetic acid or lactic acid.

[0231]

Nitrogen sources are usually organic or inorganic nitrogen compounds or materials comprising these compounds. Examples of nitrogen sources encompass ammonia gas or ammonium salts such as ammonium sulfate, ammonium chloride, ammonium phosphate, ammonium carbonate or ammonium nitrate, nitrates, urea, amino acids or complex nitrogen sources such as corn steep liquor, soya meal, soya protein, yeast extract, meat extract and others. The nitrogen sources can be used individually or as a mixture.

[0232]

Inorganic salt compounds which may be present in the media encompass the chloride, phosphorus or sulfate salts of calcium, magnesium, sodium, cobalt, molybdenum, potassium, manganese, zinc, copper and iron.

[0233]

Inorganic sulfur-containing compounds such as, for example, sulfates, sulfites, dithionites, tetrathionates, thiosulfates, sulfides, but also organic sulfur compounds, such as mercaptans and thiols, may be used as the sulfur source.

[0234]

Phosphoric acid, potassium dihydrogenphosphate or dipotassium hydrogenphosphate or the corresponding sodium-containing salts may be used as phosphorus source.

[0235]

Sequestrants may be added to the medium in order to maintain the metal ions in solution.

[0236]

Particularly suitable sequestrants encompass dihydroxyphenols, such as catechol or protocatechuate, or organic acids such as citric acid.

[0237]

Usually, the fermentation media employed in accordance with the invention also comprise other growth factors such as vitamins or growth promoters, which include, for example, biotin, riboflavin, thiamine, folic acid, nicotinic acid, panthothenate and pyridoxine. Growth factors and salts are frequently obtained from complex media components such as yeast extract, molasses, corn steep liquor and the like. Moreover, suitable precursors may be added to the culture medium. The exact composition of the compounds in the media depends greatly on the experiment in question and is decided individually for each individual case. Information on the optimization of media can be found in the textbook “Applied Microbiol. Physiology, A Practical Approach” (Eds P. M. Rhodes, P. F. Stanbury, IRL Press (1997) pp. 53-73, ISBN 0 19 963577 3). Growth media can also be obtained from commercial sources, such as Standard 1 (Merck) or BHI (brain heart infusion, DIFCO) and the like.

[0238]

All of the media components are sterilized, either by means of heat (20 minutes at 1.5 bar and 121° C.) or by filter sterilization. The components may be sterilized either together or, if necessary, separately. All of the media components may be present at the beginning of the culturing or else be added continuously or batchwise, as desired.

[0239]

The culture temperature is normally between 15° C. and 45° C., preferably 25° C. to 40° C., and can be kept constant during the experiment or else be varied. The pH of the medium should be in the range of from 5 to 8.5, preferably around 7.0. The pH for the culturing can be controlled during culturing by addition of basic compounds such as sodium hydroxide, potassium hydroxide, ammonia or ammonia water, or acidic compounds such as phosphoric acid or sulfuric acid. Antifoam agents such as, for example, fatty acid polyglycol esters may be employed to control foam development. To maintain plasmid stability, suitable selectively acting substances such as, for example, antibiotics may be added to the medium. To maintain aerobic conditions, oxygen or oxygen-containing gas mixtures, for example ambient air, are passed into the culture. The culture temperature is normally 20° C. to 45° C. and. The culture is continued until a maximum of the desired product has formed. This aim is normally achieved within 10 hours to 160 hours.

[0240]

Thereafter, the fermentation broth is processed further. Depending on what is required, all or some of the biomass may be removed from the fermentation broth by separation methods such as, for example, centrifugation, filtration, decanting or a combination of these methods, or else be left completely in said broth.

[0241]

If the polypeptides are not secreted into the culture medium, the cells may also be disrupted and the product may be obtained from the lysate by known protein isolation methods. The cells can optionally be disrupted by high-frequency ultrasound, by high pressure such as, for example, in a French pressure cell, by osmolysis, by the action of detergents, lytic enzymes or organic solvents, by homogenizers or by a combination of several of the abovementioned methods.

[0242]

The polypeptides may be purified using known chromatographic techniques, such as molecular sieve chromatography (gel filtration), such as Q-Sepharose chromatography, ion exchange chromatography and hydrophobic chromatography, and also using other common methods such as ultrafiltration, crystallization, salting out, dialysis and native gel electrophoresis. Suitable methods are described for example in Cooper, F. G., Biochemische Arbeitsmethoden [Biochemical working methods], Verlag Walter de Gruyter, Berlin, New York or in Scopes, R., Protein Purification, Springer Verlag, New York, Heidelberg, Berlin.

[0243]

To isolate the recombinant protein, it may be advantageous to use vector systems or oligonucleotides which extend the cDNA by specific nucleotide sequences and thus encode modified polypeptides or fusion proteins which serve, for example, the purpose of simpler purification. Such modifications which are suitable are, for example, what are known as “tags”, which act as anchors, such as, for example, the modification known as hexa-histidine anchor or epitopes capable of being recognized by antibodies as being antigens (described, for example, in Harlow, E. and Lane, D., 1988, Antibodies: A Laboratory Manual. Cold Spring Harbor (N.Y.) Press). These anchors may serve to attach the proteins to a solid support, such as, for example, a polymer matrix which may be packed into, for example, a chromatography column, or for attaching the proteins to a microtiter plate or any other support.

[0244]

At the same time, these anchors can also be used for the identification of the proteins. For identifying the proteins, customary markers, such as fluorescent dyes, enzyme markers that, after reaction with a substrate, form a detectable reaction product, or radioactive markers, can moreover be used alone or in combination with the anchors for derivatization of the proteins.

7. Enzyme Immobilization

[0245]

In the methods described herein, the enzymes according to the invention may be employed in free or immobilized form. An immobilized enzyme is understood as meaning an enzyme which is fixed to an inert support. Suitable support materials, and the enzymes immobilized thereon, are known from EP-A-1149849, EP-A-1 069 183 and DE-OS 100193773 and from the literature cited therein. In this respect, the disclosure of said documents is referred to in its entirety. The suitable support materials include, for example, days, day minerals such as kaolinite, diatomaceous earth, perlite, silica, alumina, sodium carbonate, calcium carbonate, cellulose powder, anion exchange materials, synthetic polymers such as polystyrene, acrylic resins, phenol-formaldehyde resins, polyurethanes and polyolefins such as polyethylene and polypropylene. The support materials are conventionally employed in a finely divided, particulate form for the preparation of the supported enzymes, with porous forms being preferred. The particle size of the support material is conventionally not more than 5 mm, in particular not more than 2 mm (grading curve). Analogously, on use of the dehydrogenase as a whole-cell catalyst, a free or an immobilized form may be chosen. Support materials are, for example, calcium alginate and carrageenan. Enzymes as well as cells may also be crosslinked directly using glutaraldehyde (crosslinking to CLEAs). Corresponding and further immobilization processes are described, for example, in J. Lalonde and A. Margolin “Immobilization of Enzymes” in K. Drauz and H. Waldmann, Enzyme Catalysis in Organic Synthesis 2002, Vol. III, 991-1032, Wiley-V C H, Weinheim.

Experimental Part

[0246]

Unless otherwise specified, the cloning steps carried out within the scope of the present invention, such as, for example, restriction cleavages, agarose gel electrophoresis, the purification of DNA fragments, the transfer of nucleic acids to nitrocellulose and nylon membranes, the linking of DNA fragments, the transformation of microorganisms, the culturing of microorganisms, the multiplication of phages and the sequence analysis of recombinant DNA may be carried out as described by Sambrook et al. (1989) loc. cit.

[0247]

A. General Information

[0248]

Materials:

[0249]

The genomic DNA of Collinsella aerofaciens DSM 3979 (ATCC 25986, formerly referred to as Eubacterium aerofaciens) was obtained from the Deutsche Sammlung für Mikroorganismen und Zellkulturen (DSMZ). DHCA, UDCA and 7-keto-LCA are starting compounds which are known per se and described in the literature. All the other chemicals were obtained from Sigma-Aldrich and Fluka (Germany). All restriction endonucleases, T4 DNA ligase, Taq DNA polymerase, Plusion DNA polymerase and isopropyl β-D-1-thiogalactopyranoside (IPTG) were obtained from Thermo Scientific (Germany).

[0250]

Media:

[0251]

LB medium, comprising tryptone 10 g, yeast extract 5 g, NaCl 10 g per liter of medium

[0252]

AI medium (Auto-Induction Medium), comprising yeast extract 24 g, casein hydrolysate 12 g, glycerol 5 g, glucose 50 g, lactose 20 g in 100 mM KPi pH 7.0 per liter of medium.

[0253]

Sequences:

[0254]

FIG. 2 shows the amino acid sequences of the wild-type 7β-HSDH enzyme and of mutants; however, all are in each case provided in a C-terminal hexa-histidine tag. In this manner, all the enzymes have been isolated and characterized.

Example 1: Production of the Recombinant 7β-HSDH

[0255]

A) Plasmid Transformation:

[0256]

The commercially available expression vector pET28a(+), into which the respective 7β-HSDH gene has been cloned via the cleavage sites of the restriction enzymes NcoI and XhoI, was used for the expression of the recombinant 7β-HSDH enzymes (wild-type and mutant enzymes). The expression vector pET28a(+) makes it possible, when cloning the HSDH gene, to directly attach a gene sequence to the HSDH gene, which sequence codes for a succession of 6 histidine molecules. Following the expression, this sequence (referred to as hexahistidine tag or His-tag) appears C-terminally on the HSDH protein. The original, or wild-type, HSDH gene originates from the bacterium Collinsella aerofaciens ATCC 25986, and the plasmid which comprises the respective 7β-HSDH gene is referred to as pET28a(+)_7β-HSDH. To transform the pET28a(+)_7-HSDH plasmid, 5 μl of ligation mixture was treated with 100 μl of competent BL21(DE3)Δ7α-HSDH E. coli cells, and the transformation was carried out as described by Hanahan (J. Mol. Biol. (1983), vol. 166, pp. 557), the same steps being carried out with the plasmid which comprises the wild-type gene and with the plasmid that comprises mutated HSDH genes. E. coli strain BL21(DE3)Δ7α-HSDH, which has been used regularly in this context, is distinguished in that the gene for the 7α-HSDH has been deleted in this strain. The precise characterization of the E. coli strains used for this work is compiled in Table 1.

[0257]

Escherichia coli strains used
StrainGenotype
Escherichia coli DH5αF- endA1 glnV44 thi-1 recA1 relA1 gyrA96
deoR nupG Φ80dlacZΔM15 Δ(lacZYA-
argF)U169, hsdR17(rK - mK+), λ-
Escherichia coli BL21 (DE3) Δ7α-HSDHF- ompT gal dcm Ion hsdSB(rB-mB-) λ(DE3
(=E. coli with deleted 7α-HSDH)[lacI lacUV5-T7 gene 1 ind1 sam7 nin5])
hshA- KanR+

[0258]

B) Expression and Cell Propagation:

[0259]

For expression, the E. coli strain which comprises the expression construct (pET28a(+)_7β-HSDH plasmid) was multiplied for 20 hours in LB medium (trypton 10 g, yeast extract 5 g, NaCl 10 g per liter) at 25° C., the medium comprising 50 μg/ml kanamycine. The cells were harvested by centrifugation (5000×g, 30 min, 4° C.).

[0260]

C) Obtaining the Crude Extract:

[0261]

The pellet was resuspended in disruption buffer (10 mM imidazole, 50 mM sodium phosphate, 300 mM NaCl, pH 8), with 4 ml of buffer being added per 1 g of cells (moist mass). The cells were then disrupted by sonication for one minute (30 W power, 50% working interval and 1 min break), with constant cooling, using a Sonopuls HD2070 sonicator (Bandelin, Berlin, Germany). The disruption was repeated three times. The cell suspension was centrifuged (18 000×g, 30 min, 4′C), with the supernatant being referred to as cell-free crude extract.

[0262]

D) Purification of the Enzyme:

[0263]

The His-tag allows for very simple purification of the HSDH protein since this sequence is bound with high specificity by specific chromatographic material (NTA (Ni-nitrilotriacetate)-modified support material, loaded with divalent nickel ions, for example His Pur Ni-NTA (Nimagen B. V., Nijmegen, The Netherlands)). To this end, the cell-free crude extract is applied to a dropping column comprising this material, which dropping column has previously been equilibrated with the disruption buffer (3 to 5 column volumes). Weakly binding protein was removed by washing with 3 to 5 column volumes of wash buffer (20 mM imidazole, 50 mM sodium phosphate, 300 mM NaCl, pH 8). The His-tag-7β-HSDH protein was eluted with imidazole-comprising elution buffer (250 mM imidazole, 50 mM sodium phosphate, 300 mM NaCl, pH 8). The process was carried out at room temperature. The imidazole which was present was to be removed by buffer exchange.

[0264]

The protein concentration was determined by the method described by Bradford (mix 100 μl sample with 900 μl of Bradford reagent, incubate for at least 15 min in the dark, then determination at 595 nm against a calibration column established with bovine serum albumin). To perform an SDS-PAGE (SDS polyacrylamide gel electrophoresis) analysis, the gel was stained with Coomassie Brilliant Blue.

[0265]

E) Activity Determination:

[0266]

The activity of the 7β-HSDH and of the mutants was determined using a photometric assay, where the decrease in absorbance was measured at 340 nm over a period of 30 seconds. In a total volume of 1 ml, the reaction solution comprised: 874 μl 50 mM potassium phosphate (KPi) buffer, pH 8.0; 100 μl 100 mM of a DHCA solution (DHCA dissolved in 50 mM KPi, pH 8); 10 μl of the enzyme solution (optionally diluted); 16 μl of a 12.5 mM NADPH solution (dissolved in dist H2O). In what follows, the activity is specified in units (U), with 1 U corresponding to the decrease of 1 μMol NADPH/min.

Example 2: Generation of 7β-HSDH Mutants in Amino Acid Position 64, and their Characterization

[0267]

A) Primer

[0268]

The mutagenesis primers specified hereinbelow were used for carrying out the position-directed mutagenesis of the 7β-HSDH (see Table 2). Based on the 7β-HSDH gene sequence, the primers were selected such that they bring about the desired amino acid exchange. The following primer pairs were used for generating the mutants:

[0269]

primers for the position-directed mutagenesis  
of the 7β-HSDH at position 64
SEQ
Ex-ID
NamechangePrimerNO:5′ → 3′ Sequence
R64E_forR64Eforward12ACCAAGGTCGTGGAGGCCGACTTT
AGC
R64E_revreverse13GCTAAAGTCGGCCTCCACGACCTT
GGT
R64D_forR64Dforward14ACCAAGGTCGTGGACGCCGACTTT
AGC
R64D_revreverse15GCTAAAGTCGGCGTCCACGACCTT
GGT
R64T_forR64Tforward16ACCAAGGTCGTGACGGCCGACTTT
AGC
R64T_revreverse17GCTAAAGTCGGCCGTCACGACCTT
GGT
R64W_forR64Wforward18ACCAAGGTCGTGTGGGCCGACTTT
AGC
R64W_revreverse19GCTAAAGTCGGCCCACACGACCTT
GGT
R64Y_forR64Yforward20ACCAAGGTCGTGTACGCCGACTTT
AGC
R64Y_revreverse21GCTAAAGTCGGCGTACACGACCTT
GGT
R64F_forR64Fforward22ACCAAGGTCGTGTTCGCCGACTTT
AGC
R64F_revreverse23GCTAAAGTCGGCGAACACGACCTT
GGT
R64C_forR64Cforward24ACCAAGGTCGTGTGCGCCGACTTT
AGC
R64C_revreverse25GCTAAAGTCGGCGCACACGACCTT
GGT
R64N_forR64Nforward26ACCAAGGTCGTGAACGCCGACTTT
AGC
R64N_revreverse27GCTAAAGTCGGCGTTCACGACCTT
GGT
R64Q_forR64Qforward28ACCAAGGTCGTGCAGGCCGACTTT
AGC
R64Q_revreverse29GCTAAAGTCGGCCTGCACGACCTT
GGT
R64H_forR64Hforward30ACCAAGGTCGTGCACGCCGACTTT
AGC
R64H_revreverse31GCTAAAGTCGGCGTGCACGACCTT
GGT
R64K_forR64Kforward32ACCAAGGTCGTGAAGGCCGACTTT
AGC
R64K_revreverse33GCTAAAGTCGGCCTTCACGACCTT
GGT
R64I_forR64Iforward34ACCAAGGTCGTGATCGCCGACTTT
AGC
R64I_revreverse35GCTAAAGTCGGCGATCACGACCTT
GGT
R64G_forR64Gforward36ACCAAGGTCGTGGGCGCCGACTTT
AGC
R64G_revreverse37GCTAAAGTCGGCGCCCACGACCTT
GGT
R64A_forR64Aforward38ACCAAGGTCGTGGCCGCCGACTTT
AGC
R64A_revreverse39GCTAAAGTOGGCGGCCACGACCTT
GGT
R64V_forR64Vforward40ACCAAGGTCGTGGTCGCCGACTTT
AGC
R64V_revreverse41GCTAAAGTCGGCGACCACGACCTT
GGT
R64L_forR64Lforward42ACCAAGGTCGTGCTCGCCGACTTT
AGC
R64L_revreverse43GCTAAAGTCGGCGAGCACGACCTT
GGT
R64S_forR64Sforward44ACCAAGGTCGTGAGCGCCGACTTT
AGC
R64S_revreverse45GCTAAAGTCGGCGCTCACGACCTT
GGT

[0270]

B) QuikChange-PCR:

[0271]

After a first mutant in which the amino acid arginine in position 64 had been replaced by aspartic acid demonstrated a markedly higher activity than the wild-type enzyme, it was intended to incorporate further proteinogenic amino acids at that position and to test these various mutants in respect of their activity. A targeted exchange of an amino acid may be achieved with the “QuikChange®-PCR” method. To this end, the following PCR reaction was carried out (reaction mixture see Table 3): first, an initial denaturation step for 2 min at 95° C. was carried out, thereafter, 20 cycles of denaturation (30 s at 95° C.), primer hydridization (1 min at 60-68° C.) and elongation (13 min at 68° C.) was carried out. The last step that was carried out was a final elongation of 10 min at 68° C., whereafter the polymerase chain reaction was ended by cooling to 4° C. The template used was a pET28a vector with the gene of the 7β-HSDH (wild type).

[0272]

buffer (10x)5.0μl
dNTP mix(10 mM)1.5μl
Forward primer (10 pmol/μl)5.0μl
Reverse primer (10 pmol/μl)5.0μl
Template1.0μl
Pfu polymerase0.5μl
DMSO2.0μl
ddH2O30.0μl
50.0μl

[0273]

In order to be able to exchange amino acids in protein sequences in a targeted fashion, the DNA sequence of the gene in question is subjected to position-directed mutation. To this end, one makes use of primers which are complementary to each other and which contain the desired mutation in their sequence. The template used is N-adenine-methylated double-stranded plasmid DNA which contains the gene to be mutated. N6-adenine methylated plasmid DNA are isolated from a dam+ E. coli strain such as, for example E. coli DH5a.

[0274]

The polymerase chain reaction is carried out as described hereinabove. Here, the primers are extended to complement the template, giving rise to plasmids which have the desired mutation and which have a strand break. In contrast to other PCR reactions, the increase in the DNA yield is only linear here since newly-formed DNA molecules cannot act as template for the PCR reaction.

[0275]

After the PCR reaction had been concluded, the PCR product was purified by means of the PCR Purification Kit (Analytik Jena AG, Jena, Germany) and the parental, N6-adenine-methylated DNA was digested with the aid of the restriction enzyme dpnI. The peculiarity of this enzyme is that it unspecifically restricts N6-adenine-methylated DNA, but not the newly-formed unmethylated DNA. Restriction took place by adding 1 μl of dpnI to the PCR reaction mixture and incubating the mixture for 2 h or overnight at 37° C. 7.5 μl of this mixture were applied for the transformation of 100 μl of chemically competent DH5a cells.

[0276]

C) Activity Data of the Enzyme Mutants:

[0277]

The activity measurement (see example 1) of the mutants which had been mutagenized in position 64 revealed the data shown in Table 4 hereinbelow. The expression [R64E] in the first column of the table means that the arginine (R) in position 64 of the protein sequence had been replaced by glutamic acid (E) in the mutant in question. The respective amino acid is abbreviated using the international one-letter code. Analogously, [R64D] means that an aspartic add has been introduced at this position.

[0278]

Activities of the various 7β-HSDH variants
which have been modified at position 64
Volumetric activitySpecific activity
Mutant[U/ml][U/mg]
7β-HSDH (WT)96.88.7
7β-HSDH [R64E]892.760.2
7β-HSDH [R64D]641.632.1
7β-HSDH [R64T]450.527.4
7β-HSDH [R64L]33420.9
7β-HSDH [R64S]333.720.1
7β-HSDH [R64P]402.019.1
7β-HSDH [R64V]407.715.1
7β-HSDH [R64K]296.515.1
7β-HSDH [R64C]269.714.19
7β-HSDH [R64A]27313.77
7β-HSDH [R64G]22312.36
7β-HSDH [R64Q]21712.2
7β-HSDH [R64F]21610.5
7β-HSDH [R64W]21410.1
7β-HSDH [R64I]1719.83
7β-HSDH [R64Y]220.39.7
7β-HSDH [R64H]97.85.34
7β-HSDH [R64N]3.40.6

[0279]

D) Michaelis-Menten Kinetics

[0280]

The best mutants of the respective position were purified as per example 1D, and the kinetic constants vmaxand KMfor the substrate DHCA and the coenzyme NADPH were determined. FIG. 4 shows the diagrams of the course of the kinetics, and Table 5 lists the kinetic constants.

[0281]

kinetic constants for the purified enzyme 7β-HSDH [R64E] for the
substrate DHCA and the cofactor NADPH. (x = no inhibition)
EnzymeSubstratevmax(U/mg)KM(μM)KI(mM)
7β-HSDHDHCA41.56 ± 1.9 81.01 ± 18.974.23 ± 24.9
[R64E]NADPH60.31 ± 15.6 45.48 ± 3.5 x
7β-HSDHDHCA8.7 ± 0.220.5 ± 2.9 79.8 ± 16.4
(WT)NADPH8.8 ± 0.215.2 ± 2.2x

[0282]

Table 5 reveals that it was possible to increase the maximum velocity by approximately 5-fold over that of the wild-type enzyme. The Ku value has remained the same. The substrate inhibition has become markedly less pronounced.

Example 3: Generation of 7β-HSDH Mutants at Amino Acid Position 39, and their Characterization

[0283]

A) Primers:

[0284]

The mutagenesis primers listed in Table 6 were used for the position-directed mutagenesis of the 7β-HSDH. Based on the 7β-HSDH gene sequence, the primers were selected such that they bring about the desired amino acid exchange. The following primer pairs were used for generating the mutants:

[0285]

primers for the position-directed
mutagenesis of the 7β-HSDH at position 39
SEQ
Ex-ID
NamechangePrimerNO:5′ -> 3′ Sequence
G39S_forG39Sforward54GTCGTCATGGTCAGCCGTCGCGAG
GAG
G39S_revreverse55CTCCTCGCGACGGCTGACCATGAC
GAC
G39V_forG39Vforward56GTCGTCATGGTCGTCCGTCGCGAG
GAG
G39V_revreverse 57CTCCTCGCGACGGACGACCATGAC
GAC
G39I_forG39Iforward58GTCGTCATGGTCATCCGTCGCGAG
GAG
G39I_revreverse59CTCCTCGCGACGGATGACCATGAC
GAC
G39C_forG39Cforward60GTCGTCATGGTCTGCCGTCGCGAG
GAG
G39C_revreverse61CTCCTCGCGACGGCAGACCATGAC
GAC
G39K_forG39Kforward62GTCGTCATGGTCAAGCGTCGCGAG
GAG
G39K_revreverse63CTCCTCGCGACGCTTGACCATGAC
GAC
G39Y_forG39Yforward64GTCGTCATGGTCTACCGTCGCGAG
GAG
G39Y_revreverse65CTCCTCGCGACGGTAGACCATGAC
GAC
G39F_forG39Fforward66GTCGTCATGGTCTTCCGTCGCGAG
GAG
G39F_revreverse67CTCCTCGCGACGGAAGACCATGAC
GAC
G39R_forG39Rforward68GTCGTCATGGTCCGCCGTCGCGAG
GAG
G39R_revreverse69CTCCTCGCGACGGCGGACCATGAC
GAC

[0286]

B) QuikChange® PCR:

[0287]

The targeted exchange of glycine at position 39 for serine was carried out by means of QuikChange® PCR as described in example 2B.

[0288]

C) Activity Values of the Enzyme Mutants:

[0289]

The activity measurement (see example 1) of the mutant which contains serine instead of glycine at position 39 (7β-HSDH [G39S]), revealed a volumetric activity of 735 U/ml and a specific enzymatic activity of 52.9 U/mg protein, while the wild-type enzyme in comparison had a volumetric activity of 96.8 U/ml and a specific activity of 8.7 U/mg.

[0290]

D) Michaelis-Menten Kinetics

[0291]

The kinetic parameter constants vmaxand KMwere determined with purified enzyme. FIG. 5 shows the diagrams of the course of the kinetics, and Table 7 lists the kinetic constants.

[0292]

kinetic constants for the purified enzyme 7β-HSDH [G39S] for the
substrate DHCA and the cofactor NADPH. (x = no inhibition)
EnzymeSubstratevmax(U/mg)KM(μM)KI(mM)
7β-HSDHDHCA52.0 ± 1.9352.4 ± 42.751.8 ± 10.1
[G39S]NADPH48.8 ± 2.234.5 ±6.6 x
7β-HSDHDHCA 8.7 ± 0.220.5 ±2.9 79.8 ± 16.4
NADPH 8.8 ± 0.215.2 ± 2.2x

[0293]

Table 7 reveals that it was possible to increase the maximum velocity over the wild-types by approximately 6-fold. In contrast, the KMvalue has deteriorated by 4-fold. Just as in the case of the mutant in position 64, substrate inhibition became somewhat less pronounced, but was not eliminated.

Example 4: Generation of 7-HSDH Mutants at Amino Acid Position 17 and their Characterization

[0294]

A) Primers:

[0295]

The mutagenesis primers mentioned in Table 8 were used for the position-directed mutagenesis of the 7β-HSDH. The following primer pairs were used for generating the mutants:

[0296]

primers for the position-directed mutagenesis of 
the 7β-HSDH at position 17
SEQ
Ex-ID
NamechangePrimerNO:5′ -> 3′ Sequence
T17F_forT17Fforward46ATCCTGGGCGCGTTCGAGGGCGTC
GGC
T17F_revreverse47GCCGACGCCCTCGAACGCGCCCAG
GAT
T17I_forT17Iforward48ATCCTGGGCGCGATCGAGGGCGTC
GGC
T17I_revreverse49GCCGACGCCCTCGATCGCGCCCAG
GAT
T17A_forT17Aforward50ATCCTGGGCGCGGCCGAGGGCGTC
GGC
T17A_revreverse51GCCGACGCCCTCGGCCGCGCCCAG
GAT
T17S_forT17Sforward52TCCTGGGCGCGAGCGAGGGCGTC
T17S_revreverse53GACGCCCTCGCTCGCGCCCAGGA

[0297]

B) QuikChange® PCR:

[0298]

The targeted exchanges of threonine at position 17 for the amino acids mentioned in Table 8 were carried out by QuikChange® PCR as described in example 2B.

[0299]

C) Activity Values of the Enzyme Mutants:

[0300]

The activity measurements (see example 1) of the mutants which contain an amino acid other than threonine at position 17 are compiled in Table 9.

[0301]

activities of the various 7β-HSDH variants
which have been modified at position 17.
Volumetric activitySpecific activity
Mutant[U/ml][U/mg]
7β-HSDH (WT)96.88.7
7β-HSDH [T17F]645.246.1
7β-HSDH [T17A]54120.3
7β-HSDH [T17I]299.818.4
7β-HSDH [T17S]58017.2

Example 5: Generation of 7β-HSDH Mutants which Comprise Amino Acid Exchanges in Several Positions, and their Characterization

[0302]

Besides the individual mutants described in examples 2-4, it is also possible to advantageously combine mutations. By way of example, a dual mutant was generated in which position 39 and 64 were modified at the same time. Here, the best amino acid exchange at position 39 ([G39S]) was combined with the best exchange at position 64 ([R64E]).

[0303]

A) Generation and Activity Values for the Dual Mutant

[0304]

The method of obtaining the dual mutant, and the activity test, followed the methods as described under 2B and 2C.

[0305]

Table 10 compiles the activity values for the dual mutant in comparison with the values for the wild-type enzyme.

[0306]

activity values of the 7β-HSDH dual mutant [G39S/R64E]
in comparison with the wild-type enzyme.
Volumetric activitySpecific activity
Mutant[U/ml][U/mg]
7β-HSDH (WT)96.88.7
7β-HSDH [G39S/R64E]1115.057.5

[0307]

B) SDS Polyacrylamide Gel Electrophoresis (SDS-PAGE)

[0308]

An SDS-PAGE was carried out in order to be able to assess the expression performance of the heterologous expression. The dual mutant was applied by way of example. FIG. 6 shows such an SDS gel which, by applying the crude cell extract, demonstrates that this mutant shows very good overexpressions; the broad band which runs at approx. 30 kDa confirms that the intracellular soluble protein consists to a high degree of the dual mutant only. In addition, the gel confirms the degree of purity of the purified dual mutant. The molecular weight of the mutant amounts to approximately 29.9 kDa.

[0309]

C) Michaelis-Menten Kinetics

[0310]

The mutant [G39S/R64E] was purified (see item 3), and the kinetic parameters were determined for the purified enzyme. FIG. 7 shows the diagrams of the courses, and Table 11 is the kinetic constants.

[0311]

kinetic constants for the purified enzyme 7β-HSDH [G39S/R64E] for
the substrate DHCA and the cofactor NADPH. (x = no inhibition)
EnzymeSubstratevmax(U/mg)KM(μM)KI(mM)
7β-HSDHDHCA54.3 ± 1.6349.3 ± 5.23x
[G39S/R64E]NADPH75.5 ± 4.8 76.6 ± 15.9x

[0312]

It can be seen from the diagram of the course (for the substrate DHCA) in FIG. 7 that the result of the combination of positions 39 and 64 was that the 7β-HSDH no longer demonstrates a substrate inhibition. Furthermore, it was possible to increase the activity by approx. 7-fold.

[0313]

Compilation of the improvements/modifications achieved by way of example according to the invention:

[0314]

WTNADPH
R64E+ 5-fold better+ reducedNADPH
G39S+ 6-fold better+ reducedNADPH
T17F+ 5-fold bettern.d.NADPH/low
activity with
NADH
G39S/+ 7-fold better++ eliminatedNADPH
R64E
n.d. = not determined
(Data in comparison with the wild type)

[0315]

Assignment of SEQ ID NOs:

[0316]

17β-HSDH C. aerofaciens (wild type)NA
27β-HSDH C. aerofaciens (wild type)AA
37β-HSDH C. aerofaciens (wild type) (with His tag)AA
47β-HSDH R64E Mutant(with His tag)AA
57β-HSDH G39S Mutant(with His tag)AA
67β-HSDH G39S R64E Mutant(with His tag)AA
7GDH (B. subtilis)NA
8GDH (B. subtilis)AA
93o-HSDH (C. testosteroni)NA
103a-HSDH (C. testosteroni)AA
11FDH (wild type) (M. vaccae)AA
12PCR primerNA
13PCR primerNA
14PCR primerNA
15PCR primerNA
16PCR primerNA
17PCR primerNA
18PCR primerNA
19PCR primerNA
20PCR primerNA
21PCR primerNA
22PCR primerNA
23PCR primerNA
24PCR primerNA
25PCR primerNA
26PCR primerNA
27PCR primerNA
28PCR primerNA
29PCR primerNA
30PCR primerNA
31PCR primerNA
32PCR primerNA
33PCR primerNA
34PCR primerNA
35PCR primerNA
36PCR primerNA
37PCR primerNA
38PCR primerNA
39PCR primerNA
40PCR primerNA
41PCR primerNA
42PCR primerNA
43PCR primerNA
44PCR primerNA
45PCR primerNA
46PCR primerNA
47PCR primerNA
48PCR primerNA
49PCR primerNA
50PCR primerNA
51PCR primerNA
52PCR primerNA
53PCR primerNA
54PCR primerNA
55PCR primerNA
56PCR primerNA
57PCR primerNA
58PCR primerNA
59PCR primerNA
60PCR primerNA
61PCR primerNA
62PCR primerNA
63PCR primerNA
64PCR primerNA
65PCR primerNA
66PCR primerNA
67PCR primerNA
68PCR primerNA
69PCR primerNA
AA = Amino Acid sequence
NA = Nucleic Acid sequence

[0317]

The disclosure of the publications mentioned herein is expressly referred to.

Как компенсировать расходы
на инновационную разработку
Похожие патенты