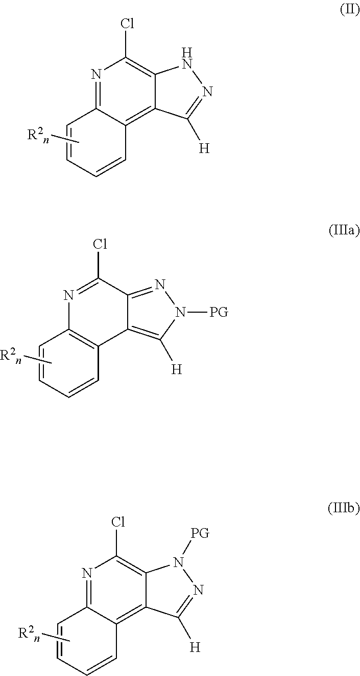
патент
№ US 0010000482
МПК C07D471/04

Kinase inhibitors

Авторы:
Michael Almstetter Michael Thormann Andreas Treml
Все (15)
Правообладатель:
Все (3)
Номер заявки
14436152
Дата подачи заявки
18.10.2013
Опубликовано
19.06.2018
Страна
US
Дата приоритета
21.12.2025
Номер приоритета
Страна приоритета
Как управлять
интеллектуальной собственностью
Реферат

[0000]

The present invention relates to novel compounds of formula (I) that are capable of inhibiting one or more kinases, especially SYK (Spleen Tyrosine Kinase), LRRK2 (Leucine-rich repeat kinase 2) and/or MYLK (Myosin light chain kinase) or mutants thereof. The compounds find applications in the treatment of a variety of diseases. These diseases include autoimmune diseases, inflammatory diseases, bone diseases, metabolic diseases, neurological and neurodegenerative diseases, cancer, cardiovascular diseases, allergies, asthma, alzheimer's disease, parkinson's disease, skin disorders, eye diseases, infectious diseases and hormone-related diseases.

[0000]

Формула изобретения

1. A compound of formula (I):

wherein

n is 1, 2, 3 or 4;

R1is an optionally substituted alkyl, alkenyl, alkynyl, heteroalkyl, cycloalkyl, alkylcycloalkyl, heteroalkylcycloalkyl, or heterocycloalkyl group; or

R1is an optionally substituted phenyl or naphthyl group or an optionally substituted heteroaryl group having one or two rings containing 5, 6, 7, 8, 9 or 10 ring atoms, or an optionally substituted arylheterocycloalkyl, heteroarylcycloalkyl or heteroarylheterocycloalkyl group containing two or three rings and 9 to 20 ring atoms; or

R1is a group of formula X1-L1-Y1or a group of formula X1-L1-Y1-L2-Z1wherein

X1is an optionally substituted phenyl group or an optionally substituted heteroaryl group containing 5 or 6 ring atoms and 1, 2, 3 or 4 heteroatoms selected from 0, S and N;

L1is a bond or a group of formula —CH2—, —C(═O)—, —SO—, —SO2—, —NH—C(═O)—, —C(═O)—NH—; —C(═O)—O—, —O—C(═O)—, —NH—C(═O)—O—, —O—C(═O)—NH—, —NH—SO2—NH—, —CH2—NH—CH2—, —NH—SO2—, —SO2—NH— or —NH—C(═O)—NH—;

Y1is an optionally substituted phenyl group, an optionally substituted heteroaryl group containing 5 or 6 ring atoms and 1, 2, 3 or 4 heteroatoms selected from 0, S and N, an optionally substituted C3-C7cycloalkyl group or an optionally substituted heterocycloalkyl group containing 3, 4, 5, 6 or 7 ring atoms and 1, 2, 3 or 4 heteroatoms selected from O, S and N;

L2is a bond or a group of formula —CH2—, —C(═O)—, —SO—, —SO2—, —NH—C(═O)—, —C(═O)—NH—; —C(═O)—O—, —O—C(═O)—, —NH—C(═O)—O—, —O—C(═O)—NH—, —NH—SO2—NH—, —CH2—NH—CH2—, —NH—SO2—, —SO2—NH— or —NH—C(═O)—NH—; and

Z1is an optionally substituted phenyl group, an optionally substituted heteroaryl group containing 5 or 6 ring atoms and 1, 2, 3 or 4 heteroatoms selected from 0, S and N, an optionally substituted C3-C7cycloalkyl group or an optionally substituted heterocycloalkyl group containing 3, 4, 5, 6 or 7 ring atoms and 1, 2, 3 or 4 heteroatoms selected from O, S and N; and

the groups R2are independently from each other selected from halogen, OH, C1-6alkyl, C1-6heteroalkyl or C3-6cycloalkyl;

or a pharmaceutically acceptable salt, solvate or hydrate or a pharmaceutically acceptable formulation thereof.

2. The compound of claim 1, wherein n is 1.

3. The compound of claim 1, wherein R2is selected from —OMe, —F, —SOMe, —SO2Me, cyclopropyl, methyl and —SMe.

4. The compound of claim 1, wherein R2is Br or I (preferably at position 7 or 8).

5. The compound of claim 1, wherein R2is selected from —SOMe, —SO2Me, cyclopropyl, methyl and —SMe.

6. The compound of claim 1, wherein R2is —SO2Me.

7. A compound of claim 1, wherein R1is an optionally substituted phenyl or naphthyl group or an optionally substituted heteroaryl group having one or two rings containing 5, 6, 7, 8, 9 or 10 ring atoms, or an optionally substituted arylheterocycloalkyl, heteroarylcycloalkyl or heteroarylheterocycloalkyl group containing two or three rings and 9 to 20 ring atoms.

8. A compound of claim 1, wherein R1is a group of formula X1-L1-Y1or a group of formula X1-L1-Y1-L2-Z1wherein X1is an optionally substituted phenyl group or an optionally substituted heteroaryl group containing 5 or 6 ring atoms and 1, 2, 3 or 4 heteroatoms selected from O, S and N; L1is a bond or a group of formula —CH2—, —C(═O)—, —SO—, —SO2—, —NH—C(═O)—, —C(═O)—NH—; —C(═O)—O—, —O—C(═O)—, —NH—C(═O)—O—, —O—C(═O)—NH—, —NH—SO2—NH—, —CH2—NH—CH2—, —NH—SO2—, —SO2—NH— or —NH—C(═O)—NH—; Y1is an optionally substituted phenyl group, an optionally substituted heteroaryl group containing 5 or 6 ring atoms and 1, 2, 3 or 4 heteroatoms selected from 0, S and N, an optionally substituted C3-C7cycloalkyl group or an optionally substituted heterocycloalkyl group containing 3, 4, 5, 6 or 7 ring atoms and 1, 2, 3 or 4 heteroatoms selected from O, S and N; L2is a bond or a group of formula —CH2—, C(═O)—, —SO—, —SO2—, —NH—C(═O)—, —C(═O)—NH—; —C(═O)—O—, —O—C(═O)—, —NH—C(═O)—O—, —O—C(═O)—NH—, —NH—SO2—NH—, —CH2—NH—CH2—, —NH—SO2—, —SO2—NH— or —NH—C(═O)—NH—; and Z1is an optionally substituted phenyl group, an optionally substituted heteroaryl group containing 5 or 6 ring atoms and 1, 2, 3 or 4 heteroatoms selected from O, S and N, an optionally substituted C3-C7cycloalkyl group or an optionally substituted heterocycloalkyl group containing 3, 4, 5, 6 or 7 ring atoms and 1, 2, 3 or 4 heteroatoms selected from O, S and N.

9. A compound of claim 1, wherein R1is selected from the following groups:

10. The compound of claim 1, wherein R1is selected from the following groups:

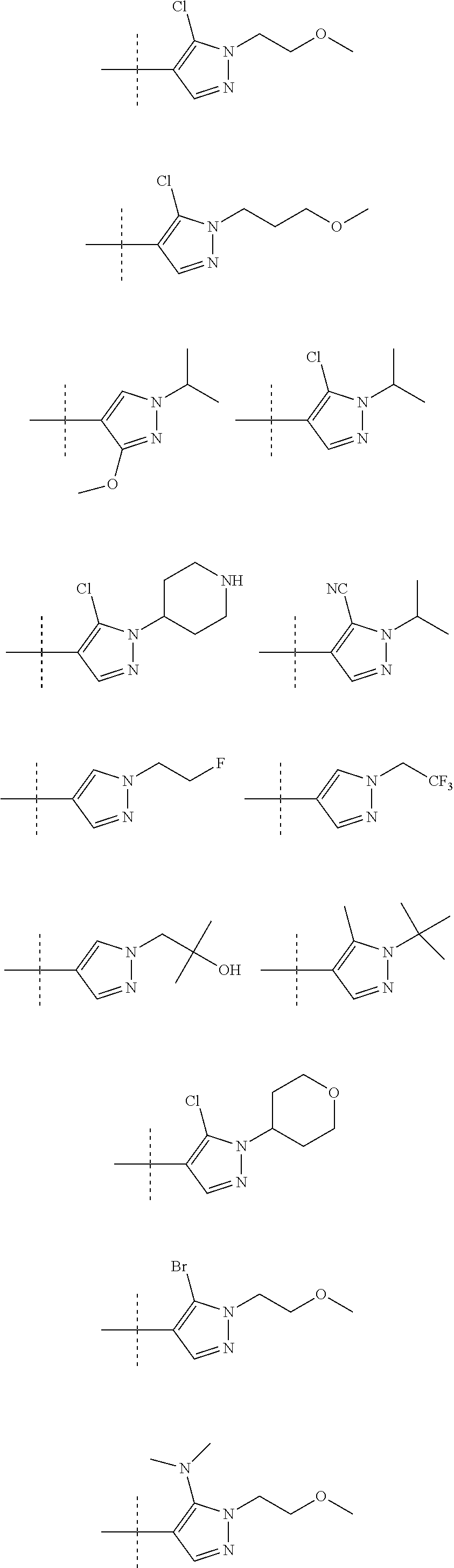
11. A compound of claim 1, wherein R1is selected from the following groups:

12. The compound of claim 1, wherein R1has the following structure:

wherein

R3is hydrogen or an optionally substituted alkyl, alkenyl, alkynyl, heteroalkyl, aryl, heteroaryl, cycloalkyl, alkylcycloalkyl, heteroalkylcycloalkyl, heterocycloalkyl, aralkyl or heteroaralkyl group;

R3ais hydrogen, halogen, OH, SH, NH2, or an optionally substituted alkyl, alkenyl, alkynyl, heteroalkyl, aryl, heteroaryl, cycloalkyl, alkylcycloalkyl, heteroalkylcycloalkyl, heterocycloalkyl, aralkyl or heteroaralkyl group;

R3bis hydrogen, halogen, OH, SH, NH2, or an optionally substituted alkyl, alkenyl, alkynyl, heteroalkyl, aryl, heteroaryl, cycloalkyl, alkylcycloalkyl, heteroalkylcycloalkyl, heterocycloalkyl, aralkyl or heteroaralkyl group; and

Racis hydrogen, halogen, OH, SH, NH2, or an optionally substituted alkyl, alkenyl, alkynyl, heteroalkyl, aryl, heteroaryl, cycloalkyl, alkylcycloalkyl, heteroalkylcycloalkyl, heterocycloalkyl, aralkyl or heteroaralkyl group.

13. The compound of claim 12 wherein R3is an optionally substituted alkyl, heteroalkyl, cycloalkyl, heterocycloalkyl, alkylcycloalkyl or heteroalkylcycloalkyl group and R3aand R3bare both hydrogen.

14. The compound of claim 12 wherein R3aand R3bare both hydrogen and R3is selected from the following groups:

15. A compound selected from the group consisting of:

8-methoxy-N-(4-(4-(4-methylpiperazin-1-yl)piperidin-1-yl)phenyl)-2H-pyrazolo[3,4-c]quinolin-4-amine;

N-(4-fluoro-3-(methylsulfonyl)phenyl)-8-methoxy-2H-pyrazolo[3,4-c]quinolin-4-amine;

N-(3-((dimethylamino)methyl)phenyl)-8-methoxy-2H-pyrazolo[3,4-c]quinolin-4-amine;

(4-((8-methoxy-2H-pyrazolo[3,4-c]quinolin-4-yl)amino)phenyl)(4-(4-methylpiperazin-1-yl)piperidin-1-yl)methanone;

(3-((8-methoxy-2H-pyrazolo[3,4-c]quinolin-4-yl)amino)phenyl)(morpholino)methanone;

N-(3-(tert-butyl)phenyl)-8-methoxy-2H-pyrazolo[3,4-c]quinolin-4-amine;

9-fluoro-N-(4-morpholinophenyl)-3H-pyrazolo[3,4-c]quinolin-4-amine;

N-(4-(4-cyclopropylpiperazin-1-yl)phenyl)-9-fluoro-3H-pyrazolo[3,4-c]quinolin-4-amine;

9-fluoro-N-(6-morpholinopyridin-3-yl)-3H-pyrazolo[3,4-c]quinolin-4-amine;

6-((8-methoxy-2H-pyrazolo[3,4-c]quinolin-4-yl)amino)-2,3-dihydrobenzo[b]thiophene 1,1-dioxide;

6-((8-methoxy-2H-pyrazolo[3,4-c]quinolin-4-yl)amino)benzo[b]thiophene 1,1-dioxide;

(4-((9-methoxy-3H-pyrazolo[3,4-c]quinolin-4-yl)amino)phenyl)(morpholino)methanone;

9-methoxy-N-(4-(morpholinomethyl)phenyl)-3H-pyrazolo[3,4-c]quinolin-4-amine;

9-methoxy-N-(3-methoxy-4-morpholinophenyl)-3H-pyrazolo[3,4-c]quinolin-4-amine;

9-methoxy-N-(6-morpholinopyridin-3-yl)-3H-pyrazolo[3,4-c]quinolin-4-amine;

N-(1,3-dihydroisobenzofuran-5-yl)-9-methoxy-3H-pyrazolo[3,4-c]quinolin-4-amine;

6-((9-methoxy-3H-pyrazolo[3,4-c]quinolin-4-yl)amino)-2,3-dihydrobenzo[b]thiophene 1,1-dioxide;

6-((9-methoxy-3H-pyrazolo[3,4-c]quinolin-4-yl)amino)benzo[b]thiophene 1,1-dioxide;

9-methoxy-N-(4-(4-(4-methylpiperazin-1-yl)piperidin-1-yl)phenyl)-3H-pyrazolo[3,4-c]quinolin-4-amine;

8-methoxy-N-(4-((4-(4-methylpiperazin-1-yl)piperidin-1-yl)methyl)phenyl)-2H-pyrazolo[3,4-c]quinolin-4-amine;

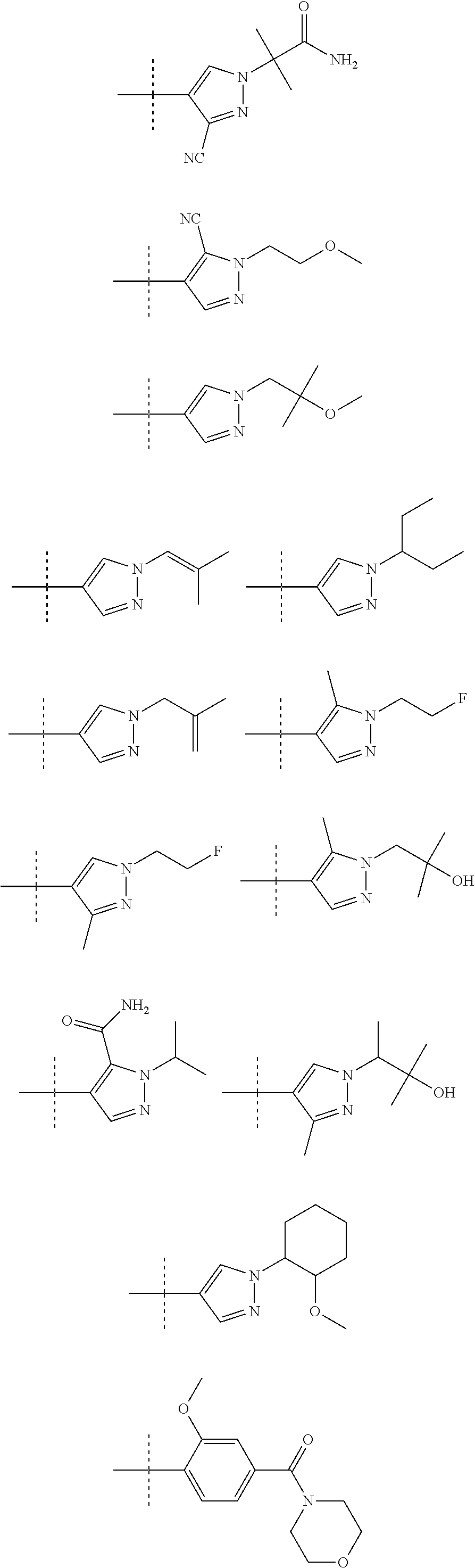
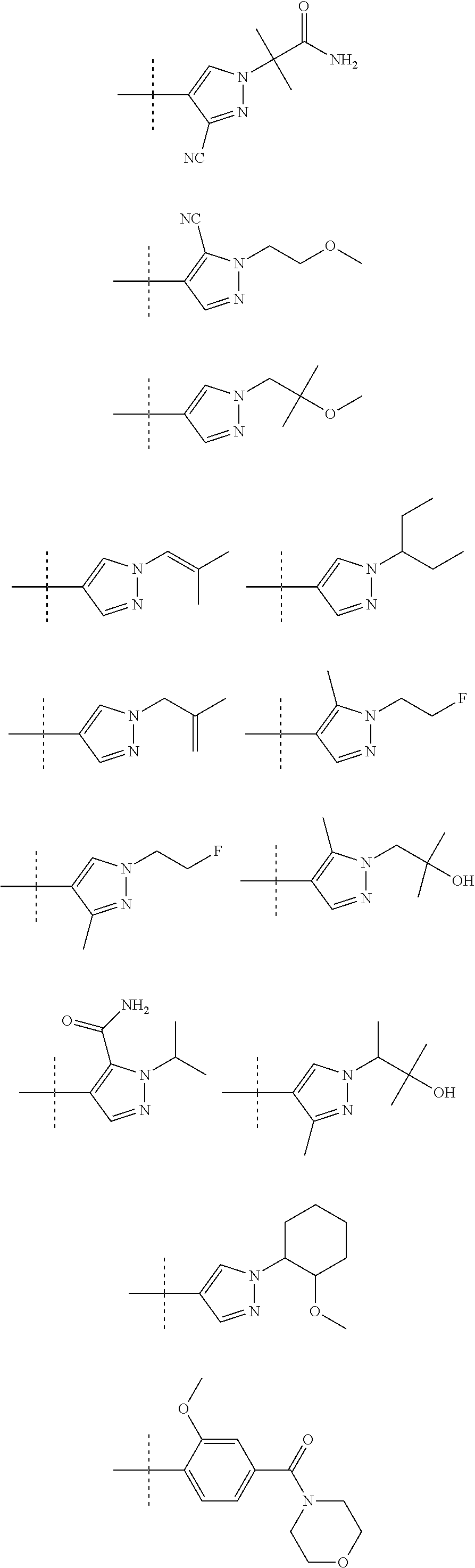
8-methoxy-N-(3-(morpholinomethyl)phenyl)-2H-pyrazolo[3,4-c]quinolin-4-amine;

2-(3-((8-methoxy-2H-pyrazolo[3,4-c]quinolin-4-yl)amino)phenyl)-2-methylpropanenitrile;

3-(4-((8-methoxy-2H-pyrazolo[3,4-c]quinolin-4-yl)amino)phenyl)oxazolidin-2-one;

N-(5-cyclopropyl-1H-pyrazol-3-yl)-9-methoxy-3H-pyrazolo[3,4-c]quinolin-4-amine;

N-(3-fluoro-4-morpholinophenyl)-9-methoxy-3H-pyrazolo[3,4-c]quinolin-4-amine;

N-(3-((dimethylamino)methyl)phenyl)-9-methoxy-3H-pyrazolo[3,4-c]quinolin-4-amine;

(4-((9-fluoro-3H-pyrazolo[3,4-c]quinolin-4-yl)amino)phenyl)(morpholino)methanone;

9-fluoro-N-(4-(morpholinomethyl)phenyl)-3H-pyrazolo[3,4-c]quinolin-4-amine;

9-fluoro-N-(3-methoxy-4-morpholinophenyl)-3H-pyrazolo[3,4-c]quinolin-4-amine;

N-(4-fluoro-3-(methylsulfonyl)phenyl)-9-methoxy-3H-pyrazolo[3,4-c]quinolin-4-amine;

2-(3-((9-methoxy-3H-pyrazolo[3,4-c]quinolin-4-yl)amino)phenyl)-2-methylpropanenitrile;

(2-fluoro-4-((8-methoxy-2H-pyrazolo[3,4-c]quinolin-4-yl)amino)phenyl)(morpholino)methanone;

(4-((8-methoxy-2H-pyrazolo[3,4-c]quinolin-4-yl)amino)-2-nitrophenyl)(morpholino)methanone;

8-methoxy-N-(4-(oxazol-2-yl)phenyl)-2H-pyrazolo[3,4-c]quinolin-4-amine;

8-methoxy-N-(4-(oxazol-5-yl)phenyl)-2H-pyrazolo[3,4-c]quinolin-4-amine;

N-(4-(4-(tert-butyl)piperazin-1-yl)phenyl)-9-methoxy-3H-pyrazolo[3,4-c]quinolin-4-amine;

(4-((9-methoxy-3H-pyrazolo[3,4-c]quinolin-4-yl)amino)phenyl)(4-(4-methylpiperazin-1-yl)piperidin-1-yl)methanone;

3-(4-((9-methoxy-2H-pyrazolo[3,4-c]quinolin-4-yl)amino)phenyl)oxazolidin-2-one;

8-methoxy-N-(pyridazin-4-yl)-2H-pyrazolo[3,4-c]quinolin-4-amine;

8-methoxy-N-(3-(methylsulfonyl)-4-nitrophenyl)-2H-pyrazolo[3,4-c]quinolin-4-amine;

8-(methylthio)-N-(4-morpholinophenyl)-3H-pyrazolo[3,4-c]quinolin-4-amine;

N-(3-(methylsulfonyl)phenyl)-8-(methylthio)-3H-pyrazolo[3,4-c]quinolin-4-amine;

N-(3,4-dimethoxyphenyl)-8-(methylthio)-3H-pyrazolo[3,4-c]quinolin-4-amine;

1-(4-(4-((8-(methylthio)-3H-pyrazolo[3,4-c]quinolin-4-yl)amino)phenyl)piperazin-1-yl)ethan-1-one;

7-((8-(methylthio)-3H-pyrazolo[3,4-c]quinolin-4-yl)amino)-3,4-dihydroquinolin-2(1H)-one;

N-(4-((dimethylamino)methyl)phenyl)-8-(methylthio)-3H-pyrazolo[3,4-c]quinolin-4-amine;

N-(2-methylisoindolin-5-yl)-8-(methylthio)-3H-pyrazolo[3,4-c]quinolin-4-amine;

6-fluoro-N-(4-morpholinophenyl)-3H-pyrazolo[3,4-c]quinolin-4-amine;

6-fluoro-N-(3-(methylsulfonyl)phenyl)-3H-pyrazolo[3,4-c]quinolin-4-amine;

N-(3,4-dimethoxyphenyl)-6-fluoro-3H-pyrazolo[3,4-c]quinolin-4-amine;

1-(4-(4-((6-fluoro-3H-pyrazolo[3,4-c]quinolin-4-yl)amino)phenyl)piperazin-1-yl)ethan-1-one;

7-((6-fluoro-3H-pyrazolo[3,4-c]quinolin-4-yl)amino)-3,4-dihydroquinolin-2(1H)-one;

8-(methylsulfonyl)-N-(4-morpholinophenyl)-3H-pyrazolo[3,4-c]quinolin-4-amine;

8-methoxy-N-(2-(methylthio)-1H-benzo[d]imidazol-5-yl)-2H-pyrazolo[3,4-c]quinolin-4-amine;

9-methoxy-N-(4-(oxazol-5-yl)phenyl)-3H-pyrazolo[3,4-c]quinolin-4-amine;

9-methoxy-N-(4-(oxazol-2-yl)phenyl)-3H-pyrazolo[3,4-c]quinolin-4-amine;

9-methoxy-N-(4-(4-(methylsulfonyl)piperazin-1-yl)phenyl)-3H-pyrazolo[3,4-c]quinolin-4-amine;

4-(4-((9-methoxy-3H-pyrazolo[3,4-c]quinolin-4-yl)amino)phenyl)morpholin-3-one;

(4-((9-methoxy-3H-pyrazolo[3,4-c]quinolin-4-yl)amino)phenyl)(pyrrolidin-1-yl)methanone;

1-(4-(4-((8-(methylsulfonyl)-3H-pyrazolo[3,4-c]quinolin-4-yl)amino)phenyl)piperazin-1-yl)ethan-1-one;

N-(3,4-dimethoxyphenyl)-8-(methylsulfonyl)-3H-pyrazolo[3,4-c]quinolin-4-amine;

(4-((8-(methylsulfonyl)-3H-pyrazolo[3,4-c]quinolin-4-yl)amino)phenyl)(morpholino)methanone;

(4-methylpiperazin-1-yl)(4-((8-(methylsulfonyl)-3H-pyrazolo[3,4-c]quinolin-4-yl)amino)phenyl)methanone;

4-((8-(methylsulfonyl)-3H-pyrazolo[3,4-c]quinolin-4-yl)amino)benzamide;

N-(4-(4-(4-methylpiperazin-1-yl)piperidin-1-yl)phenyl)-8-(methylsulfonyl)-3H-pyrazolo[3,4-c]quinolin-4-amine;

1-(4-((9-methoxy-3H-pyrazolo[3,4-c]quinolin-4-yl)amino)phenyl)pyrrolidin-2-one;

(4-((9-methoxy-3H-pyrazolo[3,4-c]quinolin-4-yl)amino)phenyl)(4-methylpiperazin-1-yl)methanone;

8-cyclopropyl-N-(3,4-dimethoxyphenyl)-3H-pyrazolo[3,4-c]quinolin-4-amine;

5-((9-methoxy-′3H-pyrazolo[3,4-c]quinolin-4-yl)amino)-2-morpholinobenzonitrile;

N-(3,4-dimethoxyphenyl)-8-methyl-3H-pyrazolo[3,4-c]quinolin-4-amine;

1-(4-(4-((8-methyl-3H-pyrazolo[3,4-c]quinolin-4-yl)amino)phenyl)piperazin-1-yl)ethan-1-one;

8-methyl-N-(4-morpholinophenyl)-3H-pyrazolo[3,4-c]quinolin-4-amine;

8-methyl-N-(3-(methylsulfonyl)phenyl)-3H-pyrazolo[3,4-c]quinolin-4-amine;

3-(4-((8-(methylsulfonyl)-3H-pyrazolo[3,4-c]quinolin-4-yl)amino)phenyl)oxazolidin-2-one;

8-((8-(methylsulfonyl)-3H-pyrazolo[3,4-c]quinolin-4-yl)amino)-4,5-dihydro-1H-benzo[b]azepin-2(3H)-one;

8-(methylsulfonyl)-N-(3-(methylsulfonyl)phenyl)-3H-pyrazolo[3,4-c]quinolin-4-amine;

9-methoxy-N-(6-(4-methylpiperazin-1-yl)pyridin-3-yl)-3H-pyrazolo[3,4-c]quinolin-4-amine;

N-(4-(4-(tert-butyl)piperazin-1-yl)phenyl)-8-(methylsulfonyl)-3H-pyrazolo[3,4-c]quinolin-4-amine;

N-(6-(4-methylpiperazin-1-yl)pyridin-3-yl)-8-(methylsulfonyl)-3H-pyrazolo[3,4-c]quinolin-4-amine;

N-cyclopropyl-8-methoxy-3H-pyrazolo[3,4-c]quinolin-4-amine;

8-methoxy-N-(1-methyl-1H-pyrazol-4-yl)-2H-pyrazolo[3,4-c]quinolin-4-amine;

5-(4-((8-methoxy-2H-pyrazolo[3,4-c]quinolin-4-yl)amino)phenyl)-1,3,4-oxadiazole-2-thiol;

8-methoxy-N-(1-(tetrahydro-2H-pyran-4-yl)-1H-pyrazol-4-yl)-2H-pyrazolo[3,4-c]quinolin-4-amine;

8-methoxy-N-(4-(4-morpholinopiperidin-1-yl)phenyl)-2H-pyrazolo[3,4-c]quinolin-4-amine;

N5-(8-methoxy-2H-pyrazolo[3,4-c]quinolin-4-yl)-N2,N2-dimethylpyridine-2,5-diamine;

9-methyl-N-(3-(methylsulfonyl)phenyl)-3H-pyrazolo[3,4-c]quinolin-4-amine;

9-methyl-N-(4-morpholinophenyl)-3H-pyrazolo[3,4-c]quinolin-4-amine;

8-methoxy-N-(3-(methylsulfonyl)-4-morpholinophenyl)-2H-pyrazolo[3,4-c]quinolin-4-amine;

1-(4-(5-((8-methoxy-2H-pyrazolo[3,4-c]quinolin-4-yl)amino)pyridin-2-yl)piperazin-1-yl)ethan-1-one;

9-(methylsulfonyl)-N-(4-morpholinophenyl)-3H-pyrazolo[3,4-c]quinolin-4-amine;

1-(4-(4-((9-(methylsulfonyl)-3H-pyrazolo[3,4-c]quinolin-4-yl)amino)phenyl)piperazin-1-yl)ethan-1-one;

(4-((9-(methylsulfonyl)-3H-pyrazolo[3,4-c]quinolin-4-yl)amino)phenyl)(morpholino)methanone;

N-(4-(4-(tert-butyl)piperazin-1-yl)phenyl)-9-(methylsulfonyl)-3H-pyrazolo[3,4-c]quinolin-4-amine;

8-methoxy-N-(6-(4-(4-methylpiperazin-1-yl)piperidin-1-yl)pyridin-3-yl)-2H-pyrazolo[3,4-c]quinolin-4-amine;

N-(4-(4-(4-methylpiperazin-1-yl)piperidin-1-yl)phenyl)-9-(methylsulfonyl)-3H-pyrazolo[3,4-c]quinolin-4-amine;

8-((9-(methylsulfonyl)-3H-pyrazolo[3,4-c]quinolin-4-yl)amino)-4,5-dihydro-1H-benzo[b]azepin-2(3H)-one;

N-(3,4-dimethoxyphenyl)-9-(methylsulfonyl)-3H-pyrazolo[3,4-c]quinolin-4-amine;

N-(6-(4-methylpiperazin-1-yl)pyridin-3-yl)-9-(methylsulfonyl)-3H-pyrazolo[3,4-c]quinolin-4-amine;

7-(methylsulfonyl)-N-(4-morpholinophenyl)-3H-pyrazolo[3,4-c]quinolin-4-amine;

9-methoxy-N-(1-(tetrahydro-2H-pyran-4-yl)-1H-pyrazol-4-yl)-3H-pyrazolo[3,4-c]quinolin-4-amine;

8-(methylsulfonyl)-N-(1-(tetrahydro-2H-pyran-4-yl)-1H-pyrazol-4-yl)-3H-pyrazolo[3,4-c]quinolin-4-amine;

N-(1,5-dimethyl-1H-pyrazol-4-yl)-8-methoxy-2H-pyrazolo[3,4-c]quinolin-4-amine;

N-(1,3-dimethyl-1H-pyrazol-4-yl)-8-methoxy-2H-pyrazolo[3,4-c]quinolin-4-amine;

2-((4-((9-(methylsulfonyl)-3H-pyrazolo[3,4-c]quinolin-4-yl)amino)phenyl)amino)ethan-1-ol;

9-(methylsulfonyl)-N-(3-(methylsulfonyl)phenyl)-3H-pyrazolo[3,4-c]quinolin-4-amine;

9-(methylsulfonyl)-N-(1-(tetrahydro-2H-pyran-4-yl)-1H-pyrazol-4-yl)-3H-pyrazolo[3,4-c]quinolin-4-amine;

8-methoxy-N-(1-(2-methoxyethyl)-1H-pyrazol-4-yl)-2H-pyrazolo[3,4-c]quinolin-4-amine;

8-methoxy-N-(1-(methylsulfonyl)-1H-pyrazol-4-yl)-2H-pyrazolo[3,4-c]quinolin-4-amine;

8-methoxy-N-(1-(1-methylpiperidin-4-yl)-1H-pyrazol-4-yl)-2H-pyrazolo[3,4-c]quinolin-4-amine;

1-(4-(4-((8-methoxy-2H-pyrazolo[3,4-c]quinolin-4-yl)amino)-1H-pyrazol-1-yl)piperidin-1-yl)ethan-1-one;

N-(1-(2-methoxyethyl)-1H-pyrazol-4-yl)-8-(methylsulfonyl)-3H-pyrazolo[3,4-c]quinolin-4-amine;

N-(1-(1-methylpiperidin-4-yl)-1H-pyrazol-4-yl)-8-(methylsulfonyl)-3H-pyrazolo[3,4-c]quinolin-4-amine;

1-(4-(4-((8-(methylsulfonyl)-3H-pyrazolo[3,4-c]quinolin-4-yl)amino)-1H-pyrazol-1-yl)piperidin-1-yl)ethan-1-one;

9-methoxy-N-(1-(2-methoxyethyl)-1H-pyrazol-4-yl)-2H-pyrazolo[3,4-c]quinolin-4-amine;

1-(4-(4-((9-methoxy-3H-pyrazolo[3,4-c]quinolin-4-yl)amino)-1H-pyrazol-1-yl)piperidin-1-yl)ethan-1-one;

9-methoxy-N-(1-(1-methylpiperidin-4-yl)-1H-pyrazol-4-yl)-3H-pyrazolo[3,4-c]quinolin-4-amine; 8-((7-(methylsulfonyl)-3H-pyrazolo[3,4-c]quinolin-4-yl)amino)-4,5-dihydro-1H-benzo[b]azepin-2(3H)-one;

7-(methylsulfonyl)-N-(1-(tetrahydro-2H-pyran-4-yl)-1H-pyrazol-4-yl)-3H-pyrazolo[3,4-c]quinolin-4-amine;

8-methoxy-N-(1-methyl-1H-1,2,3-triazol-4-yl)-2H-pyrazolo[3,4-c]quinolin-4-amine;

8-methoxy-N-(2-methyl-2H-1,2,3-triazol-4-yl)-2H-pyrazolo[3,4-c]quinolin-4-amine; and

8-methoxy-N-(1-methyl-1H-pyrazol-3-yl)-2H-pyrazolo[3,4-c]quinolin-4-amine;

or a pharmaceutically acceptable salt, solvate or hydrate or a pharmaceutically acceptable formulation thereof.

16. A compound selected from the group consisting of:

5-(4-((8-methoxy-2H-pyrazolo[3,4-c]quinolin-4-yl)amino)phenyl)-1,3,4-oxadiazole-2-thiol;

8-methoxy-N-(1-(tetrahydro-2H-pyran-4-yl)-1H-pyrazol-4-yl)-2H-pyrazolo[3,4-c]quinolin-4-amine;

8-methoxy-N-(4-(4-morpholinopiperidin-1-yl)phenyl)-2H-pyrazolo[3,4-c]quinolin-4-amine;

N5-(8-methoxy-2H-pyrazolo[3,4-c]quinolin-4-yl)-N2,N2-dimethylpyridine-2,5-diamine;

9-methyl-N-(3-(methylsulfonyl)phenyl)-3H-pyrazolo[3,4-c]quinolin-4-amine;

9-methyl-N-(4-morpholinophenyl)-3H-pyrazolo[3,4-c]quinolin-4-amine;

8-methoxy-N-(3-(methylsulfonyl)-4-morpholinophenyl)-2H-pyrazolo[3,4-c]quinolin-4-amine;

1-(4-(5-((8-methoxy-2H-pyrazolo[3,4-c]quinolin-4-yl)amino)pyridin-2-yl)piperazin-1-yl)ethan-1-one;

9-(methylsulfonyl)-N-(4-morpholinophenyl)-3H-pyrazolo[3,4-c]quinolin-4-amine;

1-(4-(4-((9-(methylsulfonyl)-3H-pyrazolo[3,4-c]quinolin-4-yl)amino)phenyl)piperazin-1-yl)ethan-1-one;

(4-((9-(methylsulfonyl)-3H-pyrazolo[3,4-c]quinolin-4-yl)amino)phenyl)(morpholino)methanone;

N-(4-(4-(tert-butyl)piperazin-1-yl)phenyl)-9-(methylsulfonyl)-3H-pyrazolo[3,4-c]quinolin-4-amine;

8-methoxy-N-(6-(4-(4-methylpiperazin-1-yl)piperidin-1-yl)pyridin-3-yl)-2H-pyrazolo[3,4-c]quinolin-4-amine;

N-(4-(4-(4-methylpiperazin-1-yl)piperidin-1-yl)phenyl)-9-(methylsulfonyl)-3H-pyrazolo[3,4-c]quinolin-4-amine;

8-((9-(methylsulfonyl)-3H-pyrazolo[3,4-c]quinolin-4-yl)amino)-4,5-dihydro-1H-benzo[b]azepin-2(3H)-one;

N-(3,4-dimethoxyphenyl)-9-(methylsulfonyl)-3H-pyrazolo[3,4-c]quinolin-4-amine;

N-(6-(4-methylpiperazin-1-yl)pyridin-3-yl)-9-(methylsulfonyl)-3H-pyrazolo[3,4-c]quinolin-4-amine;

7-(methylsulfonyl)-N-(4-morpholinophenyl)-3H-pyrazolo[3,4-c]quinolin-4-amine;

9-methoxy-N-(1-(tetrahydro-2H-pyran-4-yl)-1H-pyrazol-4-yl)-3H-pyrazolo[3,4-c]quinolin-4-amine;

8-(methylsulfonyl)-N-(1-(tetrahydro-2H-pyran-4-yl)-1H-pyrazol-4-yl)-3H-pyrazolo[3,4-c]quinolin-4-amine;

N-(1,5-dimethyl-1H-pyrazol-4-yl)-8-methoxy-2H-pyrazolo[3,4-c]quinolin-4-amine;

N-(1,3-dimethyl-1H-pyrazol-4-yl)-8-methoxy-2H-pyrazolo[3,4-c]quinolin-4-amine; 2-((4-((9-(methylsulfonyl)-3H-pyrazolo[3,4-c]quinolin-4-yl)amino)phenyl)amino)ethan-1-ol;

9-(methylsulfonyl)-N-(3-(methylsulfonyl)phenyl)-3H-pyrazolo[3,4-c]quinolin-4-amine;

9-(methylsulfonyl)-N-(1-(tetrahydro-2H-pyran-4-yl)-1H-pyrazol-4-yl)-3H-pyrazolo[3,4-c]quinolin-4-amine;

8-methoxy-N-(1-(2-methoxyethyl)-1H-pyrazol-4-yl)-2H-pyrazolo[3,4-c]quinolin-4-amine;

8-methoxy-N-(1-(methylsulfonyl)-1H-pyrazol-4-yl)-2H-pyrazolo[3,4-c]quinolin-4-amine;

8-methoxy-N-(1-(1-methylpiperidin-4-yl)-1H-pyrazol-4-yl)-2H-pyrazolo[3,4-c]quinolin-4-amine;

1-(4-(4-((8-methoxy-2H-pyrazolo[3,4-c]quinolin-4-yl)amino)-1H-pyrazol-1-yl)piperidin-1-yl)ethan-1-one;

N-(1-(2-methoxyethyl)-1H-pyrazol-4-yl)-8-(methylsulfonyl)-3H-pyrazolo[3,4-c]quinolin-4-amine;

N-(1-(1-methylpiperidin-4-yl)-1H-pyrazol-4-yl)-8-(methylsulfonyl)-3H-pyrazolo[3,4-c]quinolin-4-amine;

1-(4-(4-((8-(methylsulfonyl)-3H-pyrazolo[3,4-c]quinolin-4-yl)amino)-1H-pyrazol-1-yl)piperidin-1-yl)ethan-1-one;

9-methoxy-N-(1-(2-methoxyethyl)-1H-pyrazol-4-yl)-2H-pyrazolo[3,4-c]quinolin-4-amine;

1-(4-(4-((9-methoxy-3H-pyrazolo[3,4-c]quinolin-4-yl)amino)-1H-pyrazol-1-yl)piperidin-1-yl)ethan-1-one;

9-methoxy-N-(1-(1-methylpiperidin-4-yl)-1H-pyrazol-4-yl)-3H-pyrazolo[3,4-c]quinolin-4-amine;

8-((7-(methylsulfonyl)-3H-pyrazolo[3,4-c]quinolin-4-yl)amino)-4,5-dihydro-1H-benzo[b]azepin-2(3H)-one;

7-(methylsulfonyl)-N-(1-(tetrahydro-2H-pyran-4-yl)-1H-pyrazol-4-yl)-3H-pyrazolo[3,4-c]quinolin-4-amine;

8-methoxy-N-(1-methyl-1H-1,2,3-triazol-4-yl)-2H-pyrazolo[3,4-c]quinolin-4-amine;

8-methoxy-N-(2-methyl-2H-1,2,3-triazol-4-yl)-2H-pyrazolo[3,4-c]quinolin-4-amine;

8-methoxy-N-(1-methyl-1H-pyrazol-3-yl)-2H-pyrazolo[3,4-c]quinolin-4-amine;

2-(4-((8-methoxy-2H-pyrazolo[3,4-c]quinolin-4-yl)amino)-1H-pyrazol-1-yl)-2-methylpropanamide;

8-methoxy-N-(2-methyl-2H-tetrazol-5-yl)-2H-pyrazolo[3,4-c]quinolin-4-amine;

8-methoxy-N-(1-methyl-1H-imidazol-4-yl)-2H-pyrazolo[3,4-c]quinolin-4-amine;

N-(1-(1-methylpiperidin-4-yl)-1H-pyrazol-4-yl)-7-(methylsulfonyl)-3H-pyrazolo[3,4-c]quinolin-4-amine;

1-(4-(4-((7-(methylsulfonyl)-3H-pyrazolo[3,4-c]quinolin-4-yl)amino)-1H-pyrazol-1-yl)piperidin-1-yl)ethan-1-one;

7-(methylsulfonyl)-N-(1-(tetrahydro-2H-pyran-4-yl)-1H-pyrazol-4-yl)-3H-pyrazolo[3,4-c]quinolin-4-amine;

N-(1-(2-methoxyethyl)-1H-pyrazol-4-yl)-7-(methylsulfonyl)-3H-pyrazolo[3,4-c]quinolin-4-amine;

N-(1-(2-methoxyethyl)-1H-pyrazol-4-yl)-7-(methylthio)-3H-pyrazolo[3,4-c]quinolin-4-amine;

2-methyl-2-(4-((8-(methylsulfonyl)-3H-pyrazolo[3,4-c]quinolin-4-yl)amino)-1H-pyrazol-1-yl)propanenitrile;

8-(methylsulfonyl)-N-(1-(oxetan-3-yl)-1H-pyrazol-4-yl)-3H-pyrazolo[3,4-c]quinolin-4-amine;

(2-fluoro-4-((7-(methylsulfonyl)-3H-pyrazolo[3,4-c]quinolin-4-yl)amino)phenyl)(morpholino)methanone;

(2-fluoro-4-((8-(methylsulfonyl)-3H-pyrazolo[3,4-c]quinolin-4-yl)amino)phenyl)(morpholino)methanone;

4-((8-methoxy-2H-pyrazolo[3,4-c]quinolin-4-yl)amino)pyridin-2(1H)-one;

4-((8-methoxy-2H-pyrazolo[3,4-c]quinolin-4-yl)amino)-1-methylpyridin-2(1H)-one;

N-(1-(3-methoxypropyl)-1H-pyrazol-4-yl)-8-(methylsulfonyl)-3H-pyrazolo[3,4-c]quinolin-4-amine;

1-(4-((8-(methylsulfonyl)-3H-pyrazolo[3,4-c]quinolin-4-yl)amino)-1H-pyrazol-1-yl)cyclohexanecarbonitrile;

N-(1-isopropyl-1H-pyrazol-4-yl)-8-(methylsulfonyl)-3H-pyrazolo[3,4-c]quinolin-4-amine;

N-(1-(tert-butyl)-1H-pyrazol-4-yl)-9-methoxy-3H-pyrazolo[3,4-c]quinolin-4-amine;

N-(1-isopropyl-1H-pyrazol-4-yl)-9-methoxy-3H-pyrazolo[3,4-c]quinolin-4-amine;

9-methoxy-N-(1-(3-methoxypropyl)-1H-pyrazol-4-yl)-3H-pyrazolo[3,4-c]quinolin-4-amine;

2-(4-((9-methoxy-3H-pyrazolo[3,4-c]quinolin-4-yl)amino)-1H-pyrazol-1-yl)-2-methylpropanenitrile;

1-(4-((9-methoxy-3H-pyrazolo[3,4-c]quinolin-4-yl)amino)-1H-pyrazol-1-yl)cyclohexanecarbonitrile;

2-(4-((8-(methylsulfonyl)-3H-pyrazolo[3,4-c]quinolin-4-yl)amino)-1H-pyrazol-1-yl)ethan-1-ol;

N-(1-isobutyl-1H-pyrazol-4-yl)-8-(methylsulfonyl)-3H-pyrazolo[3,4-c]quinolin-4-amine;

N-(1-(tert-butyl)-1H-pyrazol-4-yl)-7-(methylsulfonyl)-3H-pyrazolo[3,4-c]quinolin-4-amine;

N-(1-isopropyl-1H-pyrazol-4-yl)-7-(methylsulfonyl)-3H-pyrazolo[3,4-c]quinolin-4-amine;

N-(1-(3-methoxypropyl)-1H-pyrazol-4-yl)-7-(methylsulfonyl)-3H-pyrazolo[3,4-c]quinolin-4-amine;

2-methyl-2-(4-((7-(methylsulfonyl)-3H-pyrazolo[3,4-c]quinolin-4-yl)amino)-1H-pyrazol-1-yl)propanenitrile;

N-(1-isobutyl-1H-pyrazol-4-yl)-7-(methylsulfonyl)-3H-pyrazolo[3,4-c]quinolin-4-amine;

2-(4-((7-(methylsulfonyl)-3H-pyrazolo[3,4-c]quinolin-4-yl)amino)-1H-pyrazol-1-yl)ethan-1-ol;

(3-methoxy-4-((7-(methylsulfonyl)-3H-pyrazolo[3,4-c]quinolin-4-yl)amino)phenyl)(morpholino)methanone;

N-(1-(tert-butyl)-1H-pyrazol-4-yl)-8-(methylsulfonyl)-3H-pyrazolo[3,4-c]quinolin-4-amine;

(3-methoxy-4-((8-(methylsulfonyl)-3H-pyrazolo[3,4-c]quinolin-4-yl)amino)phenyl)(morpholino)methanone;

N-(1-cyclopropyl-1H-pyrazol-4-yl)-7-(methylsulfonyl)-3H-pyrazolo[3,4-c]quinolin-4-amine;

N-(1-isobutyl-1H-pyrazol-4-yl)-9-methoxy-3H-pyrazolo[3,4-c]quinolin-4-amine;

2-(4-((9-methoxy-3H-pyrazolo[3,4-c]quinolin-4-yl)amino)-1H-pyrazol-1-yl)ethan-1-ol;

(3-methoxy-4-((9-methoxy-3H-pyrazolo[3,4-c]quinolin-4-yl)amino)phenyl)(morpholino)methanone;

N-(1-cyclopropyl-1H-pyrazol-4-yl)-9-methoxy-3H-pyrazolo[3,4-c]quinolin-4-amine;

1-methyl-3-((8-(methylsulfonyl)-3H-pyrazolo[3,4-c]quinolin-4-yl)amino)pyridin-2(1H)-one;

N-(1-cyclopropyl-1H-pyrazol-4-yl)-8-(methylsulfonyl)-3H-pyrazolo[3,4-c]quinolin-4-amine;

9-methoxy-N-(1-(1-methoxy-2-methylpropan-2-yl)-1H-pyrazol-4-yl)-3H-pyrazolo[3,4-c]quinolin-4-amine;

9-methoxy-N-(1-(2-methoxyethyl)-3-methyl-1H-pyrazol-4-yl)-3H-pyrazolo[3,4-c]quinolin-4-amine;

N-(1-(1-(tert-butyl)piperidin-4-yl)-1H-pyrazol-4-yl)-9-methoxy-3H-pyrazolo[3,4-c]quinolin-4-amine;

9-methoxy-N-(3-methyl-1-(tetrahydro-2H-pyran-4-yl)-1H-pyrazol-4-yl)-3H-pyrazolo[3,4-c]quinolin-4-amine;

N-(1-(1-methoxy-2-methylpropan-2-yl)-1H-pyrazol-4-yl)-8-(methylsulfonyl)-3H-pyrazolo[3,4-c]quinolin-4-amine;

N-(1-(2-methoxyethyl)-3-methyl-1H-pyrazol-4-yl)-8-(methylsulfonyl)-3H-pyrazolo[3,4-c]quinolin-4-amine;

N-(1-(2-methoxyethyl)-5-methyl-1H-pyrazol-4-yl)-8-(methylsulfonyl)-3H-pyrazolo[3,4-c]quinolin-4-amine;

N-(1-(1-(tert-butyl)piperidin-4-yl)-1H-pyrazol-4-yl)-8-(methylsulfonyl)-3H-pyrazolo[3,4-c]quinolin-4-amine;

N-(1-(tert-butyl)-1H-pyrazol-3-yl)-8-(methylsulfonyl)-3H-pyrazolo[3,4-c]quinolin-4-amine;

N-(1-isopropyl-3-methyl-1H-pyrazol-4-yl)-8-(methylsulfonyl)-3H-pyrazolo[3,4-c]quinolin-4-amine;

N-(1-isopropyl-5-methyl-1H-pyrazol-4-yl)-8-(methylsulfonyl)-3H-pyrazolo[3,4-c]quinolin-4-amine;

N-(5-methyl-1-(tetrahydro-2H-pyran-4-yl)-1H-pyrazol-4-yl)-8-(methylsulfonyl)-3H-pyrazolo[3,4-c]quinolin-4-amine;

N-(3-methyl-1-(tetrahydro-2H-pyran-4-yl)-1H-pyrazol-4-yl)-8-(methylsulfonyl)-3H-pyrazolo[3,4-c]quinolin-4-amine;

N-(1-isopropyl-3-methyl-1H-pyrazol-4-yl)-8-(methylsulfonyl)-3H-pyrazolo[3,4-c]quinolin-4-amine;

N-(1-isopropyl-5-methyl-1H-pyrazol-4-yl)-8-(methylsulfonyl)-3H-pyrazolo[3,4-c]quinolin-4-amine;

N-(1-isopropyl-5-methyl-1H-pyrazol-4-yl)-9-methoxy-3H-pyrazolo[3,4-c]quinolin-4-amine;

N-(1-isopropyl-3-methyl-1H-pyrazol-4-yl)-9-methoxy-3H-pyrazolo[3,4-c]quinolin-4-amine;

N-(1-(2-fluoroethyl)-1H-pyrazol-4-yl)-8-(methylsulfonyl)-3H-pyrazolo[3,4-c]quinolin-4-amine;

N-(1-isopropyl-3-methyl-1H-pyrazol-4-yl)-9-methoxy-3H-pyrazolo[3,4-c]quinolin-4-amine;

N-(1-isopropyl-5-methyl-1H-pyrazol-4-yl)-9-methoxy-3H-pyrazolo[3,4-c]quinolin-4-amine;

N-(1-isopropyl-3-methoxy-1H-pyrazol-4-yl)-9-methoxy-3H-pyrazolo[3,4-c]quinolin-4-amine;

N-(1-(1-(tert-butyl)piperidin-4-yl)-3-methoxy-1H-pyrazol-4-yl)-9-methoxy-3H-pyrazolo[3,4-c]quinolin-4-amine;

N-(1-isopropyl-3-methoxy-1H-pyrazol-4-yl)-8-(methylsulfonyl)-3H-pyrazolo[3,4-c]quinolin-4-amine;

N-(1-isopropyl-5-methoxy-1H-pyrazol-4-yl)-8-(methylsulfonyl)-3H-pyrazolo[3,4-c]quinolin-4-amine;

N-(1-(1-(tert-butyl)piperidin-4-yl)-3-methoxy-1H-pyrazol-4-yl)-8-(methylsulfonyl)-3H-pyrazolo[3,4-c]quinolin-4-amine;

N-(1-(1-(tert-butyl)piperidin-4-yl)-5-methoxy-1H-pyrazol-4-yl)-8-(methylsulfonyl)-3H-pyrazolo[3,4-c]quinolin-4-amine;

N-(2-chloro-5-(methylsulfonyl)thiophen-3-yl)-8-(methylsulfonyl)-3H-pyrazolo[3,4-c]quinolin-4-amine;

N-(3-methoxy-1-(3-methoxypropyl)-1H-pyrazol-4-yl)-8-(methylsulfonyl)-3H-pyrazolo[3,4-c]quinolin-4-amine;

N-(5-methoxy-1-(3-methoxypropyl)-1H-pyrazol-4-yl)-8-(methylsulfonyl)-3H-pyrazolo[3,4-c]quinolin-4-amine;

N-(5-chloro-1-isopropyl-1H-pyrazol-4-yl)-8-(methylsulfonyl)-3H-pyrazolo[3,4-c]quinolin-4-amine;

N-(1-isopropyl-3,5-dimethyl-1H-pyrazol-4-yl)-9-methoxy-3H-pyrazolo[3,4-c]quinolin-4-amine;

N-(5-chloro-1-(3-methoxypropyl)-1H-pyrazol-4-yl)-9-methoxy-3H-pyrazolo[3,4-c]quinolin-4-amine;

9-methoxy-N-(1-(piperidin-4-yl)-1H-pyrazol-4-yl)-3H-pyrazolo[3,4-c]quinolin-4-amine;

N-(5-chloro-1-(3-methoxypropyl)-1H-pyrazol-4-yl)-8-(methylsulfonyl)-3H-pyrazolo[3,4-c]quinolin-4-amine;

N-(1-isopropyl-3,5-dimethyl-1H-pyrazol-4-yl)-8-(methylsulfonyl)-3H-pyrazolo[3,4-c]quinolin-4-amine;

N-(3-cyclopropyl-1-methyl-1H-pyrazol-5-yl)-8-(methylsulfonyl)-3H-pyrazolo[3,4-c]quinolin-4-amine;

3-(3-methoxy-4-((8-(methylsulfonyl)-3H-pyrazolo[3,4-c]quinolin-4-yl)amino)phenyl)oxazolidin-2-one;

N-(5-chloro-1-(2-methoxyethyl)-1H-pyrazol-4-yl)-9-methoxy-3H-pyrazolo[3,4-c]quinolin-4-amine;

N-(5-chloro-1-(2-methoxyethyl)-1H-pyrazol-4-yl)-8-(methylsulfonyl)-3H-pyrazolo[3,4-c]quinolin-4-amine;

N-(5-chloro-1-(2-methoxyethyl)-1H-pyrazol-4-yl)-7-(methylsulfonyl)-3H-pyrazolo[3,4-c]quinolin-4-amine;

N-(1-isopropyl-5-methyl-1H-pyrazol-4-yl)-7-(methylsulfonyl)-3H-pyrazolo[3,4-c]quinolin-4-amine;

6-((9-methoxy-3H-pyrazolo[3,4-c]quinolin-4-yl)amino)-1,3-dimethylpyrimidine-2,4(1H,3H)-dione;

1-isopropyl-4-((8-(methylsulfonyl)-3H-pyrazolo[3,4-c]quinolin-4-yl)amino)-1H-pyrazole-3-carbonitrile;

1-isopropyl-4-((8-(methylsulfonyl)-3H-pyrazolo[3,4-c]quinolin-4-yl)amino)-1H-pyrazole-5-carbonitrile;

1-(2-methoxyethyl)-4-((8-(methylsulfonyl)-3H-pyrazolo[3,4-c]quinolin-4-yl)amino)-1H-pyrazole-3-carbonitrile;

1-(2-methoxyethyl)-4-((8-(methylsulfonyl)-3H-pyrazolo[3,4-c]quinolin-4-yl)amino)-1H-pyrazole-5-carbonitrile;

1-isopropyl-4-((8-(methylsulfonyl)-3H-pyrazolo[3,4-c]quinolin-4-yl)amino)-1H-pyrazole-3-carboxamide;

1-isopropyl-4-((8-(methylsulfonyl)-3H-pyrazolo[3,4-c]quinolin-4-yl)amino)-1H-pyrazole-5-carboxamide;

1,3-dimethyl-6-((8-(methylsulfonyl)-3H-pyrazolo[3,4-c]quinolin-4-yl)amino)pyrimidine-2,4(1H,3H)-dione;

N-(1-(2-fluoroethyl)-1H-pyrazol-4-yl)-9-methoxy-3H-pyrazolo[3,4-c]quinolin-4-amine;

N-(5-chloro-1-(piperidin-4-yl)-1H-pyrazol-4-yl)-9-methoxy-3H-pyrazolo[3,4-c]quinolin-4-amine;

N-(5-chloro-1-(tetrahydro-2H-pyran-4-yl)-1H-pyrazol-4-yl)-9-methoxy-3H-pyrazolo[3,4-c]quinolin-4-amine;

1-(4-((9-methoxy-3H-pyrazolo[3,4-c]quinolin-4-yl)amino)-1H-pyrazol-1-yl)-2-methylpropan-2-ol;

9-methoxy-N-(1-(2,2,2-trifluoroethyl)-1H-pyrazol-4-yl)-3H-pyrazolo[3,4-c]quinolin-4-amine;

9-methoxy-N-(1-(2-methylallyl)-1H-pyrazol-4-yl)-3H-pyrazolo[3,4-c]quinolin-4-amine;

9-methoxy-N-(1-(2-methylprop-1-en-1-yl)-1H-pyrazol-4-yl)-3H-pyrazolo[3,4-c]quinolin-4-amine;

N-(1,2-dimethyl-1H-imidazol-5-yl)-8-(methylsulfonyl)-3H-pyrazolo[3,4-c]quinolin-4-amine;

8-(methylsulfonyl)-N-(1-(2,2,2-trifluoroethyl)-1H-pyrazol-4-yl)-3H-pyrazolo[3,4-c]quinolin-4-amine;

2-methyl-1-(4-((8-(methylsulfonyl)-3H-pyrazolo[3,4-c]quinolin-4-yl)amino)-1H-pyrazol-1-yl)propan-2-ol;

N-(1-(2-methylprop-1-en-1-yl)-1H-pyrazol-4-yl)-8-(methylsulfonyl)-3H-pyrazolo[3,4-c]quinolin-4-amine;

N-(1-(2-methylallyl)-1H-pyrazol-4-yl)-8-(methylsulfonyl)-3H-pyrazolo[3,4-c]quinolin-4-amine;

N-(5-chloro-1-(tetrahydro-2H-pyran-4-yl)-1H-pyrazol-4-yl)-8-(methylsulfonyl)-3H-pyrazolo[3,4-c]quinolin-4-amine;

1-isopropyl-4-((9-methoxy-3H-pyrazolo[3,4-c]quinolin-4-yl)amino)-1H-pyrazole-5-carboxamide;

9-methoxy-N-(1-(2-methoxyethyl)-3-(trifluoromethyl)-1H-pyrazol-4-yl)-3H-pyrazolo[3,4-c]quinolin-4-amine;

9-methoxy-N-(1-(2-methoxyethyl)-5-(trifluoromethyl)-1H-pyrazol-4-yl)-3H-pyrazolo[3,4-c]quinolin-4-amine;

N-(1-(2-fluoroethyl)-3-methyl-1H-pyrazol-4-yl)-8-(methylsulfonyl)-3H-pyrazolo[3,4-c]quinolin-4-amine;

N-(1-(2-fluoroethyl)-5-methyl-1H-pyrazol-4-yl)-8-(methylsulfonyl)-3H-pyrazolo[3,4-c]quinolin-4-amine;

N-(1-(2-methoxyethyl)-3-(trifluoromethyl)-1H-pyrazol-4-yl)-8-(methylsulfonyl)-3H-pyrazolo[3,4-c]quinolin-4-amine;

N-(1-(2-methoxyethyl)-5-(trifluoromethyl)-1H-pyrazol-4-yl)-8-(methylsulfonyl)-3H-pyrazolo[3,4-c]quinolin-4-amine;

1-(2-methoxyethyl)-4-((8-(methylsulfonyl)-3H-pyrazolo[3,4-c]quinolin-4-yl)amino)-1H-pyrazole-5-carbonitrile;

1-(2-methoxyethyl)-4-((8-(methylsulfonyl)-3H-pyrazolo[3,4-c]quinolin-4-yl)amino)-1H-pyrazole-3-carbonitrile;

N-(5-bromo-1-(2-methoxyethyl)-1H-pyrazol-4-yl)-9-methoxy-3H-pyrazolo[3,4-c]quinolin-4-amine;

N-(5-fluoro-1-(2-methoxyethyl)-1H-pyrazol-4-yl)-9-methoxy-3H-pyrazolo[3,4-c]quinolin-4-amine;

N4-(9-methoxy-3H-pyrazolo[3,4-c]quinolin-4-yl)-1-(2-methoxyethyl)-N5,N5-dimethyl-1H-pyrazole-4,5-diamine;

N-(2-isopropyl-1-methyl-1H-imidazol-5-yl)-9-methoxy-3H-pyrazolo[3,4-c]quinolin-4-amine;

N-(5-bromo-1-(2-methoxyethyl)-1H-pyrazol-4-yl)-8-(methylsulfonyl)-3H-pyrazolo[3,4-c]quinolin-4-amine;

1-(2-methoxyethyl)-N5,N5-dimethyl-N4-(8-(methylsulfonyl)-3H-pyrazolo[3,4-c]quinolin-4-yl)-1H-pyrazole-4,5-diamine;

N-(5-methyl-1-(tetrahydro-2H-pyran-4-yl)-1H-pyrazol-4-yl)-8-(methylsulfonyl)-3H-pyrazolo[3,4-c]quinolin-4-amine;

N-(1-(2-methoxyethyl)-5-methyl-1H-pyrazol-4-yl)-8-(methylsulfonyl)-3H-pyrazolo[3,4-c]quinolin-4-amine;

N-(2-methyl-3-morpholinophenyl)-8-(methylsulfonyl)-3H-pyrazolo[3,4-c]quinolin-4-amine;

N-(2-isopropyl-1-methyl-1H-imidazol-5-yl)-8-(methylsulfonyl)-3H-pyrazolo[3,4-c]quinolin-4-amine;

N-(1-isobutyl-1H-pyrazol-4-yl)-8-methoxy-3H-pyrazolo[3,4-c]quinolin-4-amine; N-(1-(tert-butyl)-1H-pyrazol-4-yl)-8-methoxy-3H-pyrazolo[3,4-c]quinolin-4-amine;

8-methoxy-N-(1-(3-methoxypropyl)-1H-pyrazol-4-yl)-3H-pyrazolo[3,4-c]quinolin-4-amine; 6,8-dimethoxy-N-(4-morpholinophenyl)-3H-pyrazolo[3,4-c]quinolin-4-amine;

6,8-dimethoxy-N-(1-(tetrahydro-2H-pyran-4-yl)-1H-pyrazol-4-yl)-3H-pyrazolo[3,4-c]quinolin-4-amine;

6,8-dimethoxy-N-(1-(3-methoxypropyl)-1H-pyrazol-4-yl)-3H-pyrazolo[3,4-c]quinolin-4-amine;

N-(1-(2-fluoroethyl)-1H-pyrazol-4-yl)-8-methoxy-3H-pyrazolo[3,4-c]quinolin-4-amine;

N-(1-isopropyl-1H-pyrazol-4-yl)-8-methoxy-3H-pyrazolo[3,4-c]quinolin-4-amine;

N-(1-cyclopropyl-1H-pyrazol-4-yl)-8-methoxy-3H-pyrazolo[3,4-c]quinolin-4-amine;

N-(1-isopropyl-1H-pyrazol-4-yl)-6,8-dimethoxy-3H-pyrazolo[3,4-c]quinolin-4-amine;

N-(1-(1-(tert-butyl)piperidin-4-yl)-1H-pyrazol-4-yl)-6,8-dimethoxy-3H-pyrazolo[3,4-c]quinolin-4-amine;

1-(4-((8-methoxy-3H-pyrazolo[3,4-c]quinolin-4-yl)amino)phenyl)piperidin-4-ol;

2-(4-(4-((8-methoxy-3H-pyrazolo[3,4-c]quinolin-4-yl)amino)phenyl)piperazin-1-yl)ethan-1-ol;

1-(4-((8-methoxy-3H-pyrazolo[3,4-c]quinolin-4-yl)amino)-1H-pyrazol-1-yl)-2-methylpropan-2-ol;

N-(1-(tert-butyl)-1H-pyrazol-4-yl)-8-methoxy-3H-pyrazolo[3,4-c]quinolin-4-amine;

N-(1-(1-(tert-butyl)piperidin-4-yl)-1H-pyrazol-4-yl)-8-methoxy-3H-pyrazolo[3,4-c]quinolin-4-amine;

2-(4-((8-methoxy-3H-pyrazolo[3,4-c]quinolin-4-yl)amino)-1H-pyrazol-1-yl)-2-methylpropanenitrile;

N-(3,4-dimethoxyphenyl)-7-(methylsulfonyl)-3H-pyrazolo[3,4-c]quinolin-4-amine;

2-(4-(4-((7-(methylsulfonyl)-3H-pyrazolo[3,4-c]quinolin-4-yl)amino)phenyl)piperazin-1-yl)ethan-1-ol;

6-methoxy-N-(4-morpholinophenyl)-3H-pyrazolo[3,4-c]quinolin-4-amine;

N-(1-isopropyl-1H-pyrazol-4-yl)-6-methoxy-3H-pyrazolo[3,4-c]quinolin-4-amine;

6-methoxy-N-(1-(3-methoxypropyl)-1H-pyrazol-4-yl)-3H-pyrazolo[3,4-c]quinolin-4-amine;

6-methoxy-N-(1-(tetrahydro-2H-pyran-4-yl)-1H-pyrazol-4-yl)-3H-pyrazolo[3,4-c]quinolin-4-amine;

(4-((6,8-dimethoxy-3H-pyrazolo[3,4-c]quinolin-4-yl)amino)phenyl)(morpholino)methanone;

2-(4-(4-((8-(methylsulfonyl)-3H-pyrazolo[3,4-c]quinolin-4-yl)amino)phenyl)piperazin-1-yl)ethan-1-ol;

N-(1-(1-(tert-butyl)piperidin-4-yl)-1H-pyrazol-4-yl)-8-(methylsulfonyl)-3H-pyrazolo[3,4-c]quinolin-4-amine;

2-(4-((8-methoxy-2H-pyrazolo[3,4-c]quinolin-4-yl)amino)-1H-pyrazol-1-yl)-N,N-dimethylacetamide;

8-methoxy-N-(1-(pyrrolidin-3-yl)-1H-pyrazol-4-yl)-2H-pyrazolo[3,4-c]quinolin-4-amine;

N-(1-(1,3-dimethoxypropan-2-yl)-1H-pyrazol-4-yl)-8-methoxy-2H-pyrazolo[3,4-c]quinolin-4-amine;

8-methoxy-N-(1-(tetrahydro-2H-pyran-3-yl)-1H-pyrazol-4-yl)-2H-pyrazolo[3,4-c]quinolin-4-amine;

N-(1-(2-methoxy-2-methylpropyl)-1H-pyrazol-4-yl)-8-(methylsulfonyl)-3H-pyrazolo[3,4-c]quinolin-4-amine;

1-(4-((8-(methylsulfonyl)-3H-pyrazolo[3,4-c]quinolin-4-yl)amino)phenyl)piperidin-4-ol;

2-methyl-1-(4-((8-(methylsulfonyl)-3H-pyrazolo[3,4-c]quinolin-4-yl)amino)-1H-pyrazol-1-yl)propan-2-ol; 4-ethyl-6-((8-methoxy-2H-pyrazolo[3,4-c]quinolin-4-yl)amino)-2H-benzo[b][1,4]oxazin-3(4H)-one;

8-methoxy-N-(1-(pyridin-2-yl)-1H-pyrazol-4-yl)-2H-pyrazolo[3,4-c]quinolin-4-amine;

8-methoxy-N-(1-(1-phenylethyl)-1H-pyrazol-4-yl)-2H-pyrazolo[3,4-c]quinolin-4-amine;

8-methoxy-N-(1-(3-methylbutan-2-yl)-1H-pyrazol-4-yl)-2H-pyrazolo[3,4-c]quinolin-4-amine;

6-((8-methoxy-2H-pyrazolo[3,4-c]quinolin-4-yl)amino)-4-methyl-2H-benzo[b][1,4]oxazin-3(4H)-one;

8-(methylsulfonyl)-N-(1-(tetrahydro-2H-pyran-3-yl)-1H-pyrazol-4-yl)-2H-pyrazolo[3,4-c]quinolin-4-amine;

N-(1-(3-methylbutan-2-yl)-1H-pyrazol-4-yl)-8-(methylsulfonyl)-2H-pyrazolo[3,4-c]quinolin-4-amine;

2-methyl-1-(3-methyl-4-((8-(methylsulfonyl)-2H-pyrazolo[3,4-c]quinolin-4-yl)amino)-1H-pyrazol-1-yl)propan-2-ol;

2-methyl-1-(5-methyl-4-((8-(methylsulfonyl)-2H-pyrazolo[3,4-c]quinolin-4-yl)amino)-1H-pyrazol-1-yl)propan-2-ol;

8-(methylsulfonyl)-N-(1-(pyrrolidin-3-yl)-1H-pyrazol-4-yl)-2H-pyrazolo[3,4-c]quinolin-4-amine;

4-methyl-6-((8-(methylsulfonyl)-2H-pyrazolo[3,4-c]quinolin-4-yl)amino)-2H-benzo[b][1,4]oxazin-3(4H)-one;

2-methyl-1-(4-((7-(methylsulfonyl)-3H-pyrazolo[3,4-c]quinolin-4-yl)amino)-1H-pyrazol-1-yl)propan-2-ol;

8-(methylsulfonyl)-N-(1-(pentan-3-yl)-1H-pyrazol-4-yl)-2H-pyrazolo[3,4-c]quinolin-4-amine;

N-(3-((8-(methylsulfonyl)-2H-pyrazolo[3,4-c]quinolin-4-yl)amino)phenyl)acetamide;

N-(2-methoxy-5-((8-(methylsulfonyl)-2H-pyrazolo[3,4-c]quinolin-4-yl)amino)phenyl)acetamide;

N-(3-ethylphenyl)-8-(methylsulfonyl)-2H-pyrazolo[3,4-c]quinolin-4-amine;

2-(4-((8-(methylsulfonyl)-2H-pyrazolo[3,4-c]quinolin-4-yl)amino)-1H-pyrazol-1-yl)propanoic acid;

5-((8-(methylsulfonyl)-2H-pyrazolo[3,4-c]quinolin-4-yl)amino)-1H-pyrazole-3-carboxylic acid;

2-((8-(methylsulfonyl)-2H-pyrazolo[3,4-c]quinolin-4-yl)amino)phenol;

(S)—N-(3-(2-methylpyrrolidin-1-yl)phenyl)-8-(methylsulfonyl)-2H-pyrazolo[3,4-c]quinolin-4-amine;

(S)-8-methoxy-N-(3-(2-methylpyrrolidin-1-yl)phenyl)-2H-pyrazolo[3,4-c]quinolin-4-amine;

2-(4-((9-methoxy-3H-pyrazolo[3,4-c]quinolin-4-yl)amino)-1H-pyrazol-1-yl)-N,N-dimethylacetamide;

N-(1-(1,3-dimethoxypropan-2-yl)-1H-pyrazol-4-yl)-9-methoxy-3H-pyrazolo[3,4-c]quinolin-4-amine;

8-(methylsulfonyl)-N-(1-(pyridin-2-yl)-1H-pyrazol-4-yl)-2H-pyrazolo[3,4-c]quinolin-4-amine;

4-ethyl-6-((8-(methylsulfonyl)-2H-pyrazolo[3,4-c]quinolin-4-yl)amino)-2H-benzo[b][1,4]oxazin-3(4H)-one;

6-((8-(methylsulfonyl)-2H-pyrazolo[3,4-c]quinolin-4-yl)amino)-2H-benzo[b][1,4]oxazin-3(4H)-one;

6-((8-(methylsulfonyl)-2H-pyrazolo[3,4-c]quinolin-4-yl)amino)-2H-benzo[b][1,4]thiazin-3(4H)-one;

7-((8-(methylsulfonyl)-2H-pyrazolo[3,4-c]quinolin-4-yl)amino)-3,4-dihydroquinolin-2(1H)-one;

N1-(8-(methylsulfonyl)-2H-pyrazolo[3,4-c]quinolin-4-yl)benzene-1,2-diamine;

2-(4-((8-methoxy-2H-pyrazolo[3,4-c]quinolin-4-yl)amino)-1H-pyrazol-1-yl)propanoic acid;

7-bromo-N-(1-(tetrahydro-2H-pyran-4-yl)-1H-pyrazol-4-yl)-2H-pyrazolo[3,4-c]quinolin-4-amine;

4-((8-(methylsulfonyl)-2H-pyrazolo[3,4-c]quinolin-4-yl)amino)phenol;

cyclopropyl(7-((8-(methylsulfonyl)-2H-pyrazolo[3,4-c]quinolin-4-yl)amino)-3,4-dihydroquinolin-1(2H)-yl)methanone;

4,5-dimethoxy-N1-(8-(methylsulfonyl)-2H-pyrazolo[3,4-c]quinolin-4-yl)benzene-1,2-diamine; N-(2-(4-acetylpiperazin-1-yl)-5-((8-(methylsulfonyl)-2H-pyrazolo[3,4-c]quinolin-4-yl)amino)phenyl)acetamide;

N-(1-((1R,2S)-2-methoxycyclohexyl)-1H-pyrazol-4-yl)-8-(methylsulfonyl)-2H-pyrazolo[3,4-c]quinolin-4-amine;

5-((8-(methylsulfonyl)-2H-pyrazolo[3,4-c]quinolin-4-yl)amino)-2-morpholinobenzonitrile; and

6-bromo-N-(1-(tetrahydro-2H-pyran-4-yl)-1H-pyrazol-4-yl)-3H-pyrazolo[3,4-c]quinolin-4-amine.

17. A pharmaceutical composition comprising a compound of claim 1, 15 or 16 or a pharmaceutically acceptable hydrate, solvate or salt thereof, optionally in combination with a pharmaceutically acceptable carrier.

18. A method of inhibiting a kinase comprising the administration, to a patient in need thereof, of a therapeutically effective amount of a compound of claim 1, 15 or 16 or a pharmaceutical composition according to claim 17, wherein the kinase is selected from Spleen Tyrosine Kinase or Leucine-rich repeat kinase 2.

19. The method of claim 18, wherein said administration to the patient is systemic or topical.

20. The method according to claim 18, wherein the patient is suffering from a disease selected from the group consisting of pruritus, eczema, asthma, rhinitis, dry eye, ocular inflammation, allergic conjunctivitis, vernal conjunctivitis, vernal keratoconjunctivitis, giant papillary conjunctivitis, fungal keratitis and uveitis.

21. The method of claim 19, wherein said topical administration is to the skin, to the eye, by intransal administration or by inhalation.

Описание

[0001]

This patent application is the National Stage of International Application No. PCT/EP2013/003147, filed Oct. 18, 2013, which claims the benefit of priority from U.S. Provisional Patent Application Ser. No. 61/795,571 filed Oct. 19, 2012, the teachings of each of which are herein incorporated by reference in their entirety.

[0002]

The present invention relates to novel compounds that are capable of inhibiting one or more kinases, especially SYK (Spleen Tyrosine Kinase), LRRK2 (Leucine-rich repeat kinase 2) and/or MYLK (Myosin light chain kinase) or mutants thereof. The compounds find applications in the treatment of a variety of diseases. These diseases include autoimmune diseases, inflammatory diseases, bone diseases, metabolic diseases, neurological and neurodegenerative diseases, cancer, cardiovascular diseases, allergies, asthma, alzheimer's disease, parkinson's disease, skin disorders, eye diseases, infectious diseases and hormone-related diseases.

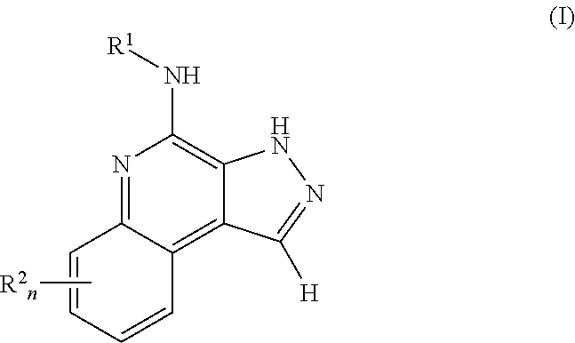
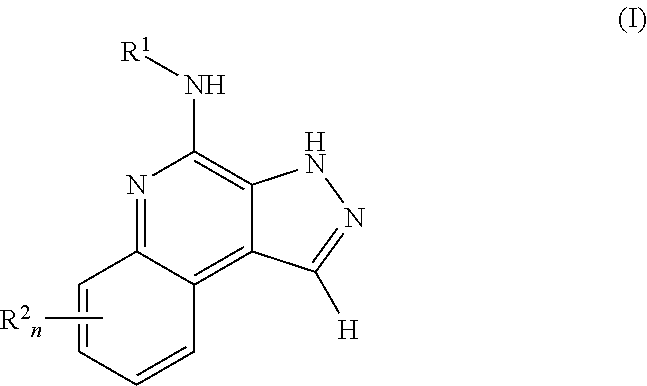
[0003]

The present invention provides one or more compounds of formula (I):

[0004]

[0005]

wherein

[0006]

n is 1, 2, 3 or 4;

[0007]

R1is an optionally substituted alkyl, alkenyl, alkynyl, heteroalkyl, aryl, heteroaryl, cycloalkyl, alkylcycloalkyl, heteroalkylcycloalkyl, heterocycloalkyl, aralkyl or heteroaralkyl group; and

[0008]

the groups R2are independently from each other selected from halogen, OH, C1-6alkyl, C1-6heteroalkyl (such as e.g. —OMe, —SMe, —SOMe, —SO2Me) or C3-6cycloalkyl;

[0009]

or a pharmaceutically acceptable salt, ester, solvate or hydrate or a pharmaceutically acceptable formulation thereof.

[0010]

The expression alkyl refers to a saturated, straight-chain or branched hydrocarbon group that contains from 1 to 20 carbon atoms, preferably from 1 to 12 carbon atoms, especially from 1 to 6 (e.g. 1, 2, 3 or 4) carbon atoms, for example a methyl, ethyl, propyl, iso-propyl, n-butyl, iso-butyl, sec-butyl, tert-butyl, n-pentyl, iso-pentyl, n-hexyl, 2,2-dimethylbutyl or n-octyl group.

[0011]

The expressions alkenyl and alkynyl refer to at least partially unsaturated, straight-chain or branched hydrocarbon groups that contain from 2 to 20 carbon atoms, preferably from 2 to 12 carbon atoms, especially from 2 to 6 (e.g. 2, 3 or 4) carbon atoms, for example an ethenyl (vinyl), propenyl (allyl), iso-propenyl, butenyl, ethinyl, propinyl, butinyl, acetylenyl, propargyl, isoprenyl or hex-2-enyl group. Preferably, alkenyl groups have one or two (especially preferably one) double bond(s), and alkynyl groups have one or two (especially preferably one) triple bond(s).

[0012]

Furthermore, the terms alkyl, alkenyl and alkynyl refer to groups in which one or more hydrogen atoms have been replaced by a halogen atom (preferably F or Cl) such as, for example, a 2,2,2-trichloroethyl or a trifluoromethyl group.

[0013]

The expression heteroalkyl refers to an alkyl, alkenyl or alkynyl group in which one or more (preferably 1, 2 or 3) carbon atoms have been replaced by an oxygen, nitrogen, phosphorus, boron, selenium, silicon or sulfur atom (preferably by an oxygen, sulfur or nitrogen atom) or by a SO or a SO2group. The expression heteroalkyl furthermore refers to a carboxylic acid or to a group derived from a carboxylic acid, such as, for example, acyl, acylalkyl, alkoxy-carbonyl, acyloxy, acyloxyalkyl, carboxyalkylamide or alkoxycarbonyloxy.

[0014]

Preferably, a heteroalkyl group contains from 1 to 12 carbon atoms and from 1 to 4 hetero atoms selected from oxygen, nitrogen and sulphur (especially oxygen and nitrogen). Especially preferably, a heteroalkyl group contains from 1 to 6 (e.g. 1, 2, 3 or 4) carbon atoms and 1, 2 or 3 (especially 1 or 2) hetero atoms selected from oxygen, nitrogen and sulphur (especially oxygen and nitrogen). The term C1-C6heteroalkyl refers to a heteroalkyl group containing from 1 to 6 carbon atoms and 1, 2 or 3 heteroatoms selected from O, S and/or N (especially O and/or N). The term C1-C4heteroalkyl refers to a heteroalkyl group containing from 1 to 4 carbon atoms and 1, 2 or 3 heteroatoms selected from O, S and/or N (especially O and/or N). Furthermore, the term heteroalkyl refers to groups in which one or more hydrogen atoms have been replaced by a halogen atom (preferably F or Cl).

[0015]

Examples of heteroalkyl groups are groups of formulae: Ra—O—Ya—, Ra—S—Ya—, Ra—SO—Ya—, Ra—SO2—Ya—, Ra—N(Rb)—Ya—, Ra—CO—Ya—, Ra—O—CO—Ya—, Ra—CO—O—Ya—, Ra—CO—N(Rb)—Ya—, Ra—N(Rb)—CO—Ya—, Ra—O—CO—N(Rb)—Ya—, Ra—N(Rb)—CO—O—Ya—, Ra—N(Rb)—CO—N(Rc)—Ya—, Ra—O—CO—O—Ya—, Ra—N(Rb)—C(═NRd)—N(Rc)—Ya—, Ra—CS—Ya—, Ra—O—CS—Ya—, Ra—CS—O—Ya—, Ra—CS—N(Rb)—Ya—, Ra—N(Rb)—CS—Ya—, Ra—O—CS—N(Rb)—Ya—, Ra—N(Rb)—CS—O—Ya—, Ra—N(Rb)—CS—N(Rc)—Ya—, Ra—O—CS—O—Ya—, Ra—S—CO—Ya—, Ra—CO—S—Ya—, Ra—S—CO—N(Rb)—Ya—, Ra—N(Rb)—CO—S—Ya—, Ra—S—CO—O—Ya—, Ra—O—CO—S—Ya—, Ra—S—CO—S—Ya—, Ra—S—CS—Ya—, Ra—CS—S—Ya—, Ra—S—CS—N(Rb)—Ya—, Ra—N(Rb)—CS—S—Ya—, Ra—S—CS—O—Ya—, Ra—O—CS—S—Ya—, wherein Rabeing a hydrogen atom, a C1-C6alkyl, a C2-C6alkenyl or a C2-C6alkynyl group; Rbbeing a hydrogen atom, a C1-C6alkyl, a C2-C6alkenyl or a C2-C6alkynyl group; Rbbeing a hydrogen atom, a C1-C6alkyl, a C2-C6alkenyl or a C2-C6alkynyl group; Rdbeing a hydrogen atom, a C1-C6alkyl, a C2-C6alkenyl or a C2-C6alkynyl group and Yabeing a bond, a C1-C6alkylene, a C2-C6alkenylene or a C2-C6alkynylene group, wherein each heteroalkyl group contains at least one carbon atom and one or more hydrogen atoms may be replaced by fluorine or chlorine atoms.

[0016]

Specific examples of heteroalkyl groups are methoxy, trifluoromethoxy, ethoxy, n-propyloxy, isopropyloxy, butoxy, tert-butyloxy, methoxymethyl, ethoxymethyl, —CH2CH2OH, —CH2OH, —SO2Me, methoxyethyl, 1-methoxyethyl, 1-ethoxyethyl, 2-methoxyethyl or 2-ethoxyethyl, methylamino, ethylamino, propylamino, isopropylamino, dimethylamino, diethylamino, iso-propylethylamino, methylamino methyl, ethylamino methyl, diisopropylamino ethyl, methylthio, ethylthio, isopropylthio, enol ether, dimethylamino methyl, dimethylamino ethyl, acetyl, propionyl, butyryloxy, acetyloxy, methoxycarbonyl, ethoxycarbonyl, propionyloxy, acetylamino or propionylamino, carboxymethyl, carboxyethyl or carboxypropyl, N-ethyl-N-methylcarbamoyl or N-methylcarbamoyl. Further examples of heteroalkyl groups are nitrile, isonitrile, cyanate, thiocyanate, isocyanate, isothiocyanate and alkylnitrile groups.

[0017]

The expression cycloalkyl refers to a saturated or partially unsaturated (for example, a cycloalkenyl group) cyclic group that contains one or more rings (preferably 1 or 2), and contains from 3 to 14 ring carbon atoms, preferably from 3 to 10 (especially 3, 4, 5, 6 or 7) ring carbon atoms. The expression cycloalkyl refers furthermore to groups in which one or more hydrogen atoms have been replaced by fluorine, chlorine, bromine or iodine atoms or by OH, ═O, SH, ═S, NH2, ═NH, N3or NO2groups, thus, for example, cyclic ketones such as, for example, cyclohexanone, 2-cyclohexenone or cyclopentanone. Further specific examples of cycloalkyl groups are a cyclopropyl, cyclobutyl, cyclopentyl, spiro[4,5]decanyl, norbornyl, cyclohexyl, cyclopentenyl, cyclohexadienyl, decalinyl, bicyclo[4.3.0]nonyl, tetraline, cyclopentylcyclohexyl, fluorocyclohexyl or cyclohex-2-enyl group.

[0018]

The expression heterocycloalkyl refers to a cycloalkyl group as defined above in which one or more (preferably 1, 2 or 3) ring carbon atoms have been replaced by an oxygen, nitrogen, silicon, selenium, phosphorus or sulfur atom (preferably by an oxygen, sulfur or nitrogen atom) or a SO group or a SO2group. A heterocycloalkyl group has preferably 1 or 2 ring(s) containing from 3 to 10 (especially 3, 4, 5, 6 or 7) ring atoms (preferably selected from C, O, N and S). The expression heterocycloalkyl refers furthermore to groups that are substituted by fluorine, chlorine, bromine or iodine atoms or by OH, ═O, SH, ═S, NH2, ═NH, N3or NO2groups. Examples are a piperidyl, prolinyl, imidazolidinyl, piperazinyl, morpholinyl, urotro-pinyl, pyrrolidinyl, tetrahydrothiophenyl, tetrahydropyranyl, tetrahydrofuryl or 2-pyrazolinyl group and also lactames, lactones, cyclic imides and cyclic anhydrides.

[0019]

The expression alkylcycloalkyl refers to groups that contain both cycloalkyl and also alkyl, alkenyl or alkynyl groups in accordance with the above definitions, for example alkylcycloalkyl, cycloalkylalkyl, alkylcycloalkenyl, alkenylcycloalkyl and alkynylcycloalkyl groups. An alkylcycloalkyl group preferably contains a cycloalkyl group that contains one or two rings having from 3 to 10 (especially 3, 4, 5, 6 or 7) ring carbon atoms, and one or two alkyl, alkenyl or alkynyl groups (especially alkyl groups) having 1 or 2 to 6 carbon atoms.

[0020]

The expression heteroalkylcycloalkyl refers to alkylcycloalkyl groups as defined above in which one or more (preferably 1, 2 or 3) carbon atoms have been replaced by an oxygen, nitrogen, silicon, selenium, phosphorus or sulfur atom (preferably by an oxygen, sulfur or nitrogen atom) or a SO group or a SO2group. A heteroalkylcycloalkyl group preferably contains 1 or 2 rings having from 3 to 10 (especially 3, 4, 5, 6 or 7) ring atoms, and one or two alkyl, alkenyl, alkynyl or heteroalkyl groups (especially alkyl or heteroalkyl groups) having from 1 or 2 to 6 carbon atoms. Examples of such groups are alkylheterocycloalkyl, alkylheterocycloalkenyl, alkenylheterocycloalkyl, alkynylheterocycloalkyl, heteroalkylcycloalkyl, heteroalkylheterocycloalkyl and heteroalkylheterocycloalkenyl, the cyclic groups being saturated or mono-, di- or tri-unsaturated.

[0021]

The expression aryl refers to an aromatic group that contains one or more rings containing from 6 to 14 ring carbon atoms, preferably from 6 to 10 (especially 6) ring carbon atoms. The expression aryl refers furthermore to groups that are substituted by fluorine, chlorine, bromine or iodine atoms or by OH, SH, NH2, N3or NO2groups. Examples are the phenyl, naphthyl, biphenyl, 2-fluorophenyl, anilinyl, 3-nitrophenyl or 4-hydroxyphenyl group.

[0022]

The expression heteroaryl refers to an aromatic group that contains one or more rings containing from 5 to 14 ring atoms, preferably from 5 to 10 (especially 5 or 6 or 9 or 10) ring atoms, and contains one or more (preferably 1, 2, 3 or 4) oxygen, nitrogen, phosphorus or sulfur ring atoms (preferably O, S or N). The expression heteroaryl refers furthermore to groups that are substituted by fluorine, chlorine, bromine or iodine atoms or by OH, SH, N3, NH2or NO2groups. Examples are pyridyl (e.g. 4-pyridyl), imidazolyl (e.g. 2-imidazolyl), phenylpyrrolyl (e.g. 3-phenylpyrrolyl), thiazolyl, isothiazolyl, 1,2,3-triazolyl, 1,2,4-triazolyl, oxadiazolyl, thiadiazolyl, indolyl, indazolyl, tetrazolyl, pyrazinyl, pyrimidinyl, pyridazinyl, oxazolyl, isoxazolyl, triazolyl, tetrazolyl, isoxazolyl, indazolyl, indolyl, benzimidazolyl, benzoxazolyl, benzisoxazolyl, benzthiazolyl, pyridazinyl, quinolinyl, isoquinolinyl, pyrrolyl, purinyl, carbazolyl, acridinyl, pyrimidyl, 2,3″-bifuryl, pyrazolyl (e.g. 3-pyrazolyl) and isoquinolinyl groups.

[0023]

The expression aralkyl refers to groups containing both aryl and also alkyl, alkenyl, alkynyl and/or cycloalkyl groups in accordance with the above definitions, such as, for example, arylalkyl, arylalkenyl, arylalkynyl, arylcycloalkyl, arylcycloalkenyl, alkylarylcycloalkyl and alkylarylcycloalkenyl groups. Specific examples of aralkyls are toluene, xylene, mesitylene, styrene, benzyl chloride, o-fluorotoluene, 1H-indene, tetraline, dihydronaphthalene, indanone, phenylcyclopentyl, cumene, cyclohexylphenyl, fluorene and indane. An aralkyl group preferably contains one or two aromatic ring systems (1 or 2 rings) containing from 6 to 10 carbon atoms and one or two alkyl, alkenyl and/or alkynyl groups containing from 1 or 2 to 6 carbon atoms and/or a cycloalkyl group containing 5 or 6 ring carbon atoms.

[0024]

The expression heteroaralkyl refers to an aralkyl group as defined above in which one or more (preferably 1, 2, 3 or 4) carbon atoms have been replaced by an oxygen, nitrogen, silicon, selenium, phosphorus, boron or sulfur atom (preferably oxygen, sulfur or nitrogen), that is to say to groups containing both aryl or heteroaryl, respectively, and also alkyl, alkenyl, alkynyl and/or heteroalkyl and/or cycloalkyl and/or heterocycloalkyl groups in accordance with the above definitions. A heteroaralkyl group preferably contains one or two aromatic ring systems (1 or 2 rings) containing from 5 or 6 to 10 ring carbon atoms and one or two alkyl, alkenyl and/or alkynyl groups containing 1 or 2 to 6 carbon atoms and/or a cycloalkyl group containing 5 or 6 ring carbon atoms, wherein 1, 2, 3 or 4 of these carbon atoms have been replaced by oxygen, sulfur or nitrogen atoms.

[0025]

Examples are arylheteroalkyl, arylheterocycloalkyl, arylheterocycloalkenyl, arylalkyl-heterocycloalkyl, arylalkenylheterocycloalkyl, arylalkynylheterocycloalkyl, arylalkylhetero-cycloalkenyl, heteroarylalkyl, hetero arylalkenyl, hetero aryl alkynyl, hetero arylhetero alkyl, heteroarylcycloalkyl, heteroarylcycloalkenyl, heteroarylheterocyclo alkyl, hetero-arylheterocycloalkenyl, heteroarylalkylcycloalkyl, heteroarylalkylheterocycloalkenyl, hetero-arylheteroalkylcycloalkyl, heteroarylheteroalkylcycloalkenyl and heteroarylheteroalkylhetero-cycloalkyl groups, the cyclic groups being saturated or mono-, di- or tri-unsaturated. Specific examples are a tetrahydroisoquinolinyl, benzoyl, 2- or 3-ethylindolyl, 4-methylpyridino, 2-, 3- or 4-methoxyphenyl, 4-ethoxyphenyl, 2-, 3- or 4-carboxyphenylalkyl group.

[0026]

As already stated above, the expressions cycloalkyl, heterocycloalkyl, alkylcycloalkyl, heteroalkylcycloalkyl, aryl, heteroaryl, aralkyl and heteroaralkyl also refer to groups that are substituted by fluorine, chlorine, bromine or iodine atoms or by OH, ═O, SH, ═S, NH2, ═NH, N3or NO2groups.

[0027]

The expression “optionally substituted” especially refers to groups that are optionally substituted by fluorine, chlorine, bromine or iodine atoms or by OH, ═O, SH, ═S, NH2, ═NH, N3or NO2groups. This expression refers furthermore to groups that may be substituted by one, two, three or more unsubstituted C1-C10alkyl, C2-C10alkenyl, C2-C10alkynyl, C1-C10heteroalkyl, C3-C18cycloalkyl, C2-C17heterocycloalkyl, C4-C20alkylcycloalkyl, C2-C19heteroalkylcycloalkyl, C6-C18aryl, C1-C17heteroaryl, C7-C20aralkyl or C2-C19heteroaralkyl groups. This expression refers furthermore especially to groups that may be substituted by one, two, three or more unsubstituted C1-C6alkyl, C2-C6alkenyl, C2-C6alkynyl, C1-C6heteroalkyl, C3-C10cycloalkyl, C2-C9heterocycloalkyl, C7-C12alkylcycloalkyl, C2-C11heteroalkylcycloalkyl, C6-C10aryl, C1-C9heteroaryl, C7-C12aralkyl or C2-C11heteroaralkyl groups.

[0028]

Preferred substituents are F, Cl, Br, OH, SH, ═O, NH2, C1-4alkyl, C1-4heteroalkyl cyclopropyl, SF5, NO and NO2.

[0029]

Moreover preferred substituents are F, Cl, Br, OH, SH, ═O, NH2, C1-4alkyl (e.g. methyl, ethyl, t-butyl), NMe2, CONH2, CH2NMe2, NHSO2Me, C(CH3)2CN, COMe, OMe, SMe, COOMe, COOEt, CH2COOH, OCH2COOH, COOH, SOMe, SO2Me, cyclopropyl, SO2NH2, SO2NHMe, SO2CH2CH2OH, NHCH2CH2OH, CH2CH2OCH3, SF5, SO2NMe2, NO, NO2, OCF3, SO2CF3, CN or CF3.

[0030]

Especially preferred substituents are F, Cl, Br, Me, OMe, CN or CF3.

[0031]

The term halogen preferably refers to F, Cl, Br or I.

[0032]

According to a preferred embodiment, all alkyl, alkenyl, alkynyl, heteroalkyl, aryl, heteroaryl, cycloalkyl, heterocycloalkyl, alkylcycloalkyl, heteroalkylcycloalkyl, aralkyl and heteroaralkyl groups described herein may optionally be substituted.

[0033]

When an aryl, heteroaryl, cycloalkyl, alkylcycloalkyl, heteroalkylcycloalkyl, heterocycloalkyl, aralkyl or heteroaralkyl group contains more than one ring, these rings may be bonded to each other via a single or double bond or these rings may be annulated.

[0034]

Preferred are compounds of formula (I) wherein n is 1 or 2, especially wherein n is 1.

[0035]

Further preferred are compounds of formula (I) wherein R2is selected from —OMe, —F, —SOMe, —SO2Me, cyclopropyl, methyl and —SMe.

[0036]

Moreover preferred are compounds of formula (I) wherein R2is selected from —SO2Me, —SOMe, cyclopropyl, methyl and —SMe.

[0037]

Especially preferred are compounds of formula (I) wherein R2is —SO2Me.

[0038]

Moreover preferred are compounds of formula (I) wherein R2is Br or I which are preferably bound to the compound of formula (I) at position 7 or 8.

[0039]

Further preferred are compounds of formula (I) wherein R1is an aryl, heteroaryl, cycloalkyl, heterocycloalkyl, alkylcycloalkyl, heteroalkylcycloalkyl, aralkyl or heteroaralkyl group, all of which may optionally be substituted.

[0040]

Further preferred are compounds of formula (I) wherein R1is an aryl, heteroaryl, CH2-aryl or CH2-heteroaryl group, all of which may optionally be substituted.

[0041]

Moreover preferred are compounds of formula (I) wherein R1is an optionally substituted phenyl or naphthyl group or an optionally substituted heteroaryl group having one or two rings containing 5, 6, 7, 8, 9 or 10 ring atoms, or an optionally substituted arylheterocycloalkyl, heteroarylcycloalkyl or heteroarylheterocycloalkyl group containing two or three rings (especially two annullated rings) and 9 to 20 (especially 9 or 10) ring atoms. Preferably, the heteroatoms are selected from S, O and N, especially from N and O. Further preferably, the number of heteroatoms is 1 to 6 (especially 1, 2, 3 or 4).

[0042]

Especially preferably, R1is an optionally substituted phenyl group or an optionally substituted heteroaryl group having one ring containing 5 or 6 ring atoms. Preferably this phenyl or heteroaryl group is substituted by one or more (especially one) C1-C10alkyl, C2-C10alkenyl, C2-C10alkynyl, C1-C10heteroalkyl, C3-C18cycloalkyl, C2-C17heterocycloalkyl, C4-C20alkylcycloalkyl, C2-C19heteroalkylcycloalkyl, C6-C18aryl, C1-C17heteroaryl, C7-C20aralkyl or C2-C19heteroaralkyl group(s). Preferably, the heteroatoms are selected from S, O and N, especially from N and O. Especially preferably, the phenyl or heteroaryl group is substituted by one or more (especially one) C1-C6alkyl, C2-C6alkenyl, C2-C6alkynyl, C1-C6heteroalkyl, C3-C10cycloalkyl, C2-C9heterocycloalkyl, C7-C12alkylcycloalkyl, C2-C11heteroalkylcycloalkyl, C6-C10aryl, C1-C9heteroaryl, C7-C12aralkyl or C2-C11heteroaralkyl group(s). Preferably, the heteroatoms are selected from S, O and N, especially from N and O.

[0043]

Further preferred are compounds of formula (I) wherein R1is a group of formula —CH2—Ar wherein Ar is an optionally substituted phenyl or naphthyl group or an optionally substituted heteroaryl group having one or two rings containing 5, 6, 7, 8, 9 or 10 ring atoms, or an optionally substituted arylheterocycloalkyl, heteroarylcycloalkyl or heteroarylheterocycloalkyl group containing two or three rings (especially two annullated rings) and 9 to 20 (especially 9 or 10) ring atoms. Preferably, the heteroatoms are selected from S, O and N, especially from N and O. Further preferably, the number of heteroatoms is 1 to 6 (especially 1, 2, 3 or 4).

[0044]

Especially preferably, Ar is an optionally substituted phenyl group or an optionally substituted heteroaryl group having one ring containing 5 or 6 ring atoms. Preferably this phenyl or heteroaryl group is substituted by one or more (especially one) C1-C10alkyl, C2-C10alkenyl, C2-C10alkynyl, C1-C10heteroalkyl, C3-C18cycloalkyl, C2-C17heterocycloalkyl, C4-C20alkylcycloalkyl, C2-C19heteroalkylcycloalkyl, C6-C18aryl, C1-C17heteroaryl, C7-C20aralkyl or C2-C19heteroaralkyl group(s). Preferably, the heteroatoms are selected from S, O and N, especially from N and O. Especially preferably the phenyl or heteroaryl group is substituted by one or more (especially one) C1-C6alkyl, C2-C6alkenyl, C2-C6alkynyl, C1-C6heteroalkyl, C3-C10cycloalkyl, C2-C9heterocycloalkyl, C7-C12alkylcycloalkyl, C2-C11heteroalkylcycloalkyl, C6-C10aryl, C1-C9heteroaryl, C7-C12aralkyl or C2-C11heteroaralkyl group(s). Preferably, the heteroatoms are selected from S, O and N, especially from N and O.

[0045]

Further preferably, R1is a group of formula X1-L1-Y1or a group of formula X1-L1-Y1-L2-Z1wherein

[0046]

X1is an optionally substituted phenyl group or an optionally substituted heteroaryl group containing 5 or 6 ring atoms and 1, 2, 3 or 4 heteroatoms selected from O, S and N; L1is a bond or a group of formula —CH2—, —C(═O)—, —SO—, —SO2—, —NH—C(═O)—, —C(═O)—NH—; —C(═O)—O—, —O—C(═O)—, —NH—C(═O)—O—, —O—C(═O)—NH—, —NH—SO2—NH—, —CH2—NH—CH2—, —NH—SO2—, —SO2—NH— or —NH—C(═O)—NH— (preferably, L1is a bond or a group of formula —CH2—, —C(═O)—, —SO2— or —NH—C(═O)—NH—);

[0047]

Y1is an optionally substituted phenyl group, an optionally substituted heteroaryl group containing 5 or 6 ring atoms and 1, 2, 3 or 4 heteroatoms selected from O, S and N, an optionally substituted C3-C7cycloalkyl group or an optionally substituted heterocycloalkyl group containing 3, 4, 5, 6 or 7 ring atoms and 1, 2, 3 or 4 heteroatoms selected from O, S and N (preferably, Y1is an optionally substituted C3-C7cycloalkyl group or an optionally substituted heterocycloalkyl group containing 3, 4, 5, 6 or 7 ring atoms and 1, 2, 3 or 4 heteroatoms selected from O, S and N);

[0048]

L2is a bond or a group of formula —CH2—, —C(═O)—, —SO—, —SO2—, —NH—C(═O)—, —C(═O)—NH—; —C(═O)—O—, —O—C(═O)—, —NH—C(═O)—O—, —O—C(═O)—NH—, —NH—SO2—NH—, —CH2—NH—CH2—, —NH—SO2—, —SO2—NH— or —NH—C(═O)—NH— (preferably, L2is a bond or a group of formula —CH2—, —C(═O)—, —SO2— or —NH—C(═O)—NH—; especially preferably, L2is a bond); and

[0049]

Z1is an optionally substituted phenyl group, an optionally substituted heteroaryl group containing 5 or 6 ring atoms and 1, 2, 3 or 4 heteroatoms selected from O, S and N, an optionally substituted C3-C7cycloalkyl group or an optionally substituted heterocycloalkyl group containing 3, 4, 5, 6 or 7 ring atoms and 1, 2, 3 or 4 heteroatoms selected from O, S and N (preferably, Z1is an optionally substituted C3-C7cycloalkyl group or an optionally substituted heterocycloalkyl group containing 3, 4, 5, 6 or 7 ring atoms and 1, 2, 3 or 4 heteroatoms selected from O, S and N).

[0050]

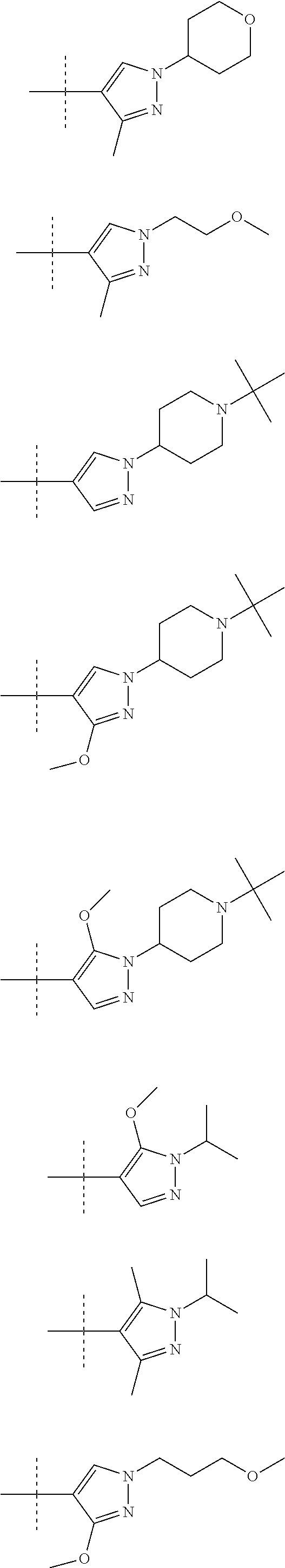
Especially preferably, R1is selected from the following groups:

[0051]

[0052]

Moreover especially preferably, R1is selected from the following groups:

[0053]

[0054]

Moreover especially preferably, R1is selected from the following groups:

[0055]

[0056]

Further preferred are compounds of formula (I) wherein R1has the following structure:

[0057]

[0058]

wherein

[0059]

R3is hydrogen or an optionally substituted alkyl, alkenyl, alkynyl, heteroalkyl, aryl, heteroaryl, cycloalkyl, alkylcycloalkyl, heteroalkylcycloalkyl, heterocycloalkyl, aralkyl or heteroaralkyl group;

[0060]

R3ais hydrogen, halogen, OH, SH, NH2, or an optionally substituted alkyl, alkenyl, alkynyl, heteroalkyl, aryl, heteroaryl, cycloalkyl, alkylcycloalkyl, heteroalkylcycloalkyl, heterocycloalkyl, aralkyl or heteroaralkyl group (preferably hydrogen or methyl; especially preferably hydrogen); and

[0061]

R3bis hydrogen, halogen, OH, SH, NH2, or an optionally substituted alkyl, alkenyl, alkynyl, heteroalkyl, aryl, heteroaryl, cycloalkyl, alkylcycloalkyl, heteroalkylcycloalkyl, heterocycloalkyl, aralkyl or heteroaralkyl group (preferably hydrogen or methyl; especially preferably hydrogen).

[0062]

Further especially preferred are compounds of formula (I) wherein R1has the following structure:

[0063]

[0064]

wherein

[0065]

R3is hydrogen or a C1-C6alkyl; a C2-C6alkenyl; a C2-C6alkynyl, a C1-C6alkoxy-C1-C6alkyl, a C1-C6heteroalkyl; a C3-C7cycloalkyl; a C1-C4alkyl-C3-C7cycloalkyl; a C1-C4heteroalkyl-C3-C7cycloalkyl; a phenyl; a C1-C4alkyl-phenyl or a C1-C4heteroalkyl-phenyl group; or a heteroaryl group containing 5 or 6 ring atoms and 1, 2, 3 or 4 heteroatoms selected from O, S and N; a C1-C4alkyl-heteroaryl or a C1-C4heteroalkyl-heteroaryl group wherein the heteroaryl group contains 5 or 6 ring atoms and 1, 2, 3 or 4 heteroatoms selected from O, S and N; or a heterocycloalkyl group containing 3, 4, 5, 6 or 7 ring atoms and 1, 2, 3 or 4 heteroatoms selected from O, S and N; or a C1-C4alkyl-heterocycloalkyl or a C1-C4heteroalkyl-heterocycloalkyl group wherein the heterocycloalkyl group contains 3, 4, 5, 6 or 7 ring atoms and 1, 2, 3 or 4 heteroatoms selected from O, S and N; all of which groups may optionally be substituted (especially preferably by a halogen or an OH, an ═O, a CN, a phenyl, a C1-C6alkyl or a C1-C6heteroalkyl (such as e.g. COOH, CONH2or OCH3) group);

[0066]

R3ais hydrogen, halogen, a C1-C6alkyl group (such as e.g. CH3or CF3), a C1-C6heteroalkyl group (such as e.g. OCH3, N(CH3)2, CN or CONH2) or an optionally substituted C3-C7cycloalkyl group; and

[0067]

R3bis hydrogen, halogen, a C1-C6alkyl group (such as e.g. CH3or CF3), a C1-C6heteroalkyl group (such as e.g. OCH3, N(CH3)2, CN or CONH2) or an optionally substituted C3-C7cycloalkyl group.

[0068]

Moreover preferred are compounds of formula (I) wherein R1has the following structure:

[0069]

[0070]

wherein

[0071]

R3is hydrogen or an optionally substituted alkyl, alkenyl, alkynyl, heteroalkyl, aryl, heteroaryl, cycloalkyl, alkylcycloalkyl, heteroalkylcycloalkyl, heterocycloalkyl, aralkyl or heteroaralkyl group;

[0072]

R3ais hydrogen, halogen, OH, SH, NH2, or an optionally substituted alkyl, alkenyl, alkynyl, heteroalkyl, aryl, heteroaryl, cycloalkyl, alkylcycloalkyl, heteroalkylcycloalkyl, heterocycloalkyl, aralkyl or heteroaralkyl group (preferably hydrogen or methyl; especially preferably hydrogen);

[0073]

R3bis hydrogen, halogen, OH, SH, NH2, or an optionally substituted alkyl, alkenyl, alkynyl, heteroalkyl, aryl, heteroaryl, cycloalkyl, alkylcycloalkyl, heteroalkylcycloalkyl, heterocycloalkyl, aralkyl or heteroaralkyl group (preferably hydrogen or methyl; especially preferably hydrogen); and

[0074]

R3cis hydrogen, halogen, OH, SH, NH2, or an optionally substituted alkyl, alkenyl, alkynyl, heteroalkyl, aryl, heteroaryl, cycloalkyl, alkylcycloalkyl, heteroalkylcycloalkyl, heterocycloalkyl, aralkyl or heteroaralkyl group (preferably hydrogen or methyl; especially preferably hydrogen).

[0075]

Especially preferred are compounds of formula (I) wherein R1has the following structure:

[0076]

[0077]

wherein R3is hydrogen or an optionally substituted alkyl, alkenyl, alkynyl, heteroalkyl, aryl, heteroaryl, cycloalkyl, alkylcycloalkyl, heteroalkylcycloalkyl, heterocycloalkyl, aralkyl or heteroaralkyl group.

[0078]

Preferably, R3is an optionally substituted alkyl, alkenyl, alkynyl, heteroalkyl, aryl, heteroaryl, cycloalkyl, alkylcycloalkyl, heteroalkylcycloalkyl, heterocycloalkyl, aralkyl or heteroaralkyl group.

[0079]

Moreover preferably, R3is an optionally substituted alkyl, heteroalkyl, cycloalkyl, heterocycloalkyl, alkylcycloalkyl or heteroalkylcycloalkyl group.

[0080]

Especially preferably, R3is selected from the following groups:

[0081]

[0082]

Especially preferred are compounds of formula (I), wherein R1is derived from the following amines:

[0083]

m-toluidine; 3-(trifluoromethyl)aniline; 3,4,5-trimethoxyaniline; 1H-indazol-5-amine; aniline; 1H-indazol-6-amine; 3-chloroaniline; 7-methyl-1H-indazol-5-amine; 2-methoxyethan-1-amine; thiophen-2-ylmethanamine; 6-methyl-1H-indazol-5-amine; 2H-indazol-6-amine; methyl 4-aminobenzoate; 1H-benzo[d]imidazol-5-amine; 2H-indazol-7-amine; (1-methyl-1H-pyrrol-2-yl)methanamine; benzo[d][1,3]dioxol-5-amine; pyridin-3-amine; 1-methyl-1H-indazol-6-amine; 6-methoxypyridin-3-amine; 4-(4-methylpiperazin-1-yl)aniline; 4-(4-methyl-1,4-diazepan-1-yl)aniline; pyridin-2-amine; 5-bromopyridin-2-amine; isoquinolin-3-amine; 4-methylpyridin-2-amine; 4,6-dimethylpyridin-2-amine; 1H-indazol-7-amine; benzene-1,3-diamine; 6-amino-2H-benzo[b][1,4]oxazin-3(4H)-one; 1H-benzo[d][1,2,3]triazol-5-amine; 3-aminobenzimidamide; 4-(piperidin-1-yl)aniline; N1,N1-dimethylbenzene-1,4-di amine; 3-aminobenzamide; 3,4-dimethoxyaniline; 4-morpholinoaniline; 2-methyl-1H-benzo[d]imidazol-6-amine; 4-aminobenzoic acid; 4-aminobenzamide; 4-aminobenzonitrile; 3-methoxyaniline; 4-methoxyaniline; 3-aminobenzonitrile; benzo[c][1,2,5]thiadiazol-5-amine; 3-aminopyridin-2(1H)-one; 2-ethoxyaniline; 1H-pyrazol-3-amine; 5-amino-1H-pyrazole-4-carboxamide; 2-phenoxyaniline; 3-phenoxyaniline; 5-amino-1H-benzo[d]imidazol-2(3H)-one; 1H-indol-5-amine; 4-(aminomethyl)aniline; 1H-indol-6-amine; N1,N1-dimethylbenzene-1,3-diamine; 3-phenyl-1H-pyrazol-5-amine; N1,N1-diethylbenzene-1,4-diamine; 4-(pyrrolidin-1-yl)aniline; 4H-1,2,4-tri azole-3,5-diamine; 3-morpholino aniline; 3-cyclobutyl-1H-pyrazol-5-amine; 4-(4,5-dihydro-1H-imidazol-2-yl)aniline; 4-(4-aminophenyl)morpholin-3-one; 2,2-dimethyl-3,4-dihydro-2H-benzo[b][1,4]thiazin-6-amine; 7-amino-3,4-dihydroquinolin-2(1H)-one; 6-amino-2H-benzo[b][1,4]thiazin-3(4H)-one, 5-(tert-butyl)-1H-pyrazol-3-amine; 3-methyl-1H-pyrazol-5-amine; 5-cyclopropyl-1H-pyrazol-3-amine; 4-(1H-tetrazol-5-yl)aniline; 2,3-dihydrobenzo[b][1,4]dioxin-6-amine; 4-(1-methylpiperidin-4-yl)aniline; 6-morpholinopyridin-3-amine; 4-(2-methoxyethoxy)aniline; 4-ethoxy-3-methoxyaniline; 1-(4-aminophenyl)pyrrolidin-2-one; 4-thiomorpholinoaniline; 5-aminobenzo[d]oxazol-2(3H)-one; 3,4-dihydro-2H-benzo[b][1,4]oxazin-6-amine; 7-aminoquinazolin-4-ol; 4-(4-aminophenyl)thiomorpholine 1,1-dioxide; 2-(4-aminophenyl)acetamide, 3-aminophenol; 3,4-diethoxyaniline; 6-amino-1H-benzo[d][1,3]oxazine-2,4-dione; 5-amino-2-methoxyphenol; 3-methoxy-N-methylaniline; N-(3-aminophenyl)acetamide; 1H-pyrazol-4-amine; 4-fluoro-3-methoxyaniline; 3-fluoro-4-methoxyaniline; 1-methyl-1H-benzo[d]imidazol-5-amine; 1-(3-aminophenyl)ethan-1-one; N-(4-aminophenyl)acetamide; 1H-pyrrolo[2,3-b]pyridin-6-amine; 3-aminobenzenesulfonamide; 4-aminobenzenesulfonamide; pyridine-2,6-diamine; 1,2,3-trimethyl-1H-indol-5-amine; pyrimidine-2,4-diamine; 5-(methylthio)-4H-1,2,4-triazol-3-amine; 5-cyclopropyl-4H-1,2,4-triazol-3-amine; N-(5-amino-2-methoxyphenyl)acetamide; 1H-benzo[d]imidazol-2-amine; 1H-imidazol-2-amine; 1-(4-aminophenyl)ethan-1-one; 4H-benzo[d][1,3]dioxin-6-amine; 1,3-dihydroisobenzofuran-5-amine; 1-methyl-1H-benzo[d]imidazol-6-amine; 4,5-dimethylthiazol-2-amine; 2-methyl-4-(4-methylpiperazin-1-yl)aniline; 6-methylpyridin-2-amine; 4-methylthiazol-2-amine; 4,5,6,7-tetrahydrobenzo[d]thiazol-2-amine; 4-phenoxyaniline; 2-methyl-1,2,3,4-tetrahydrobenzo[4,5]imidazo[1,2-a]pyrazin-8-amine; 4-(pyridin-4-ylmethyl)aniline; 4-aminobenzene-1,2-diol; 4-((1-methylpiperidin-4-yl)oxy)aniline; 1-(4-(4-aminophenyl)piperazin-1-yl)ethan-1-one; 6-(4-methylpiperazin-1-yl)pyridin-3-amine; N1,N1,2-trimethylbenzene-1,4-diamine; 4-(4-cyclopropylpiperazin-1-yl)aniline; ammonia; 3-fluoro-4-morpholinoaniline; 7-aminoquinoxalin-2(1H)-one; 3-methyl-4-(4-methylpiperazin-1-yl)aniline; 4-(piperazin-1-yl)aniline; 4-((dimethylamino)methyl)aniline; 2-fluoro-4-morpholinoaniline; 4-(4-ethylpiperazin-1-yl)aniline; 8-amino-4,5-dihydro-1H-benzo[b]azepin-2(3H)-one; 5-amino-1,3-dimethyl-1H-benzo[d]imidazol-2(3H)-one; 4-benzylaniline; 2-methyl-4-morpholinoaniline; N1-methyl-N1-(1-methylpiperidin-4-yl)benzene-1,4-diamine; 4-(2-morpholinoethyl)aniline; 3-chloro-4-(4-methylpiperazin-1-yl)aniline; 1,2,3,4-tetrahydroquinolin-7-amine; cyclohexane-1,2-diamine; pyridin-4-amine; 2-(4-aminophenyl)-N-(4-methoxyphenethyl)acetamide; 3-(piperazin-1-yl)aniline; 4-amino-N-(2-(diethylamino)ethyl)benzamide; 2-(4-methylpiperazin-1-yl)pyrimidin-5-amine; 7-amino-2H-benzo[b][1,4]oxazin-3(4H)-one; 3,4-dihydro-2H-benzo[b][1,4]oxazin-7-amine; 3-(4-methylpiperazin-1-yl)aniline; 3-(2-(piperazin-1-yl)ethoxy)aniline; 6-methyl-5,6,7,8-tetrahydro-1,6-naphthyridin-3-amine; (4-aminophenyl)(pyrrolidin-1-yl)methanone; (4-aminophenyl)(morpholino)methanone; 4-(pyrrolidin-1-ylmethyl)aniline; (4-aminophenyl)(4-methylpiperazin-1-yl)methanone; N2-(2-(dimethylamino)ethyl)pyrimidine-2,5-diamine; 4-(morpholinomethyl)aniline; 4-((4-methylpiperazin-1-yl)methyl)aniline; 4-(4-ethylpiperazin-1-yl)-3-fluoroaniline; 4-(2-(4-benzylpiperidin-1-yl)ethyl)aniline; 4-((4-benzylpiperidin-1-yl)methyl)aniline; p-toluidine; 6-(2-(dimethylamino)ethoxy)pyridin-3-amine; 2-methyl-1H-benzo[d]imidazol-5-amine; N2-(3-(dimethylamino)propyl)pyridine-2,5-diamine; N2-(2-(dimethylamino)ethyl)pyridine-2,5-diamine; 6-((1-methylpiperidin-4-yl)oxy)pyridin-3-amine; 4-(4-cyclopentylpiperazin-1-yl)aniline; 4-(4-isobutylpiperazin-1-yl)aniline; 4-(4-isopropylpiperazin-1-yl)aniline; 4-(4-(cyclopropylmethyl)piperazin-1-yl)aniline, 4-(4-(tert-butyl)piperazin-1-yl)aniline; 2-(4-(4-aminophenyl)piperazin-1-yl)acetic acid; 2-(4-amino-2-methoxyphenoxy)acetic acid; (4-aminophenyl)methanol; 4-(4-(2-(dimethylamino)ethyl)piperazin-1-yl)aniline; 2-(4-aminophenyl)acetic acid; 6-amino-2-naphthoic acid; 3-aminobenzoic acid; 4′-amino-[1,1′-biphenyl]-4-carboxylic acid; 1-(4-aminophenyl)-3-(m-tolyl)urea; 2-(4-aminophenoxyl)acetic acid; 2-methylisoindolin-5-amine; (4-amino-3-methoxyphenyl)(4-(4-methylpiperazin-1-yl)piperidin-1-yl)methanone; 4-amino-N-(2-(dimethylamino)ethyl)-N-methylbenzamide; (4-aminophenyl)(2-(methoxymethyl)pyrrolidin-1-yl)methanone; (4-aminophenyl)(azetidin-1-yl)methanone; 4-amino-N,N-dimethylbenzamide; (4-aminophenyl)(4-methyl-1,4-diazepan-1-yl)methanone; 1-(4-aminobenzoyl)piperidin-4-one; (4-aminophenyl)(1,4-dioxa-8-azaspiro[4.5]decan-8-yl)methanone; (4-aminophenyl)(3-(dimethylamino)pyrrolidin-1-yl)methanone; 1-methyl-1,2,3,4-tetrahydroquinolin-6-amine; 3-aminophenylsulphur pentafluoride; 4-fluoroaniline; 3,4-difluoroaniline; N-(4-aminophenyl)-2,2,2-trifluoroacetamide; 3-((6-amino-2H-benzo[b][1,4]oxazin-3-yl)amino)propan-1-ol; N3-phenethyl-2H-benzo[b][1,4]oxazine-3,6-diamine; 3,5-difluoroaniline; 3-fluoro-4-methylaniline; 3,4,5-trifluoroaniline; 4-nitroaniline; 3-methoxy-4-morpholinoaniline; 3-(methylsulfonyl)aniline; 2-(4-aminophenyl)-1,1,1,3,3,3-hexafluoropropan-2-ol; 4-(difluoromethoxy)-3-methoxyaniline; 3-fluoro-4-(trifluoromethyl)aniline; 3-fluoro-4-(trifluoromethoxy)aniline; 2,3-dimethoxyaniline; 2,4-dimethoxyaniline; 3,5-dimethoxyaniline; 4-amino-N,N-dimethylbenzenesulfonamide; 3-amino-N-cyclopropylbenzenesulfonamide; 4-(2H-1,2,3-triazol-2-yl)aniline; 3-(methylsulfinyl)aniline; 3-(2H-1,2,3-triazol-2-yl)aniline; 3-amino-N-methylbenzenesulfonamide; 3-(morpholinosulfonyl)aniline; 3-((trifluoromethyl)sulfonyl)aniline; 2-((3-aminophenyl)sulfonyl)ethan-1-ol; N-(4-aminophenyl)-4-fluorobenzamide; 4-morpholino-3-nitroaniline; 2,4-difluoroaniline; 2-aminobenzamide; 4-chloroaniline; N1,N1-dimethylethane-1,2-diamine; (1-methylpiperidin-4-yl)methanamine; 1-methyl-1,2,3,4-tetrahydroquinolin-7-amine; 2-(4-aminophenyl)-2-methylpropanenitrile; 4-aminophenylsulphur pentafluoride; 3-amino-N,N-dimethylbenzenesulfonamide; 2-(methylsulfonyl)aniline; 4-(4-(4-methylpiperazin-1-yl)piperidin-1-yl)aniline; 3-((dimethylamino)methyl)aniline; (4-aminophenyl)(4-(4-methylpiperazin-1-yl)piperidin-1-yl)methanone.

[0084]

Furthermore preferably, R1can be derived from the following amines:

[0085]

formamide; 2-aminoethan-1-ol; prop-2-yn-1-amine; N1-methylethane-1,2-diamine; 2-aminoacetonitrile; 3-aminopropan-1-ol; butan-1-amine; cyclopropanamine; propan-2-amine; 3-aminopropanenitrile; 4-aminobutan-1-ol; cyclobutanamine; 2-aminopropan-1-ol; acetamide; cyclopropylmethanamine; 5-aminopentan-1-ol; 2-aminoacetamide; isoxazol-3-amine; thiazol-2-amine; 3-aminopropane-1,2-diol; cyclopentanamine; piperidin-4-amine; piperidin-3-amine; pyrimidin-2-amine; 2-aminocyclopentanol; 3-aminopropanamide; tetrahydro-2H-pyran-4-amine; 2-methylpropan-2-amine; o-toluidine; 2,2,2-trifluoroethan-1-amine; phenylmethanamine; piperidin-4-ylmethanamine; 2-aminocyclohexanol; 4-aminobutanamide; piperidin-3-ylmethanamine; 1-methyl-1H-pyrazol-4-amine; 2-methoxyaniline; 2-chloroaniline; 2-aminopropanamide; 4-methylthiophen-2-amine; 2-phenylethan-1-amine; 1H-pyrazol-5-amine; 5-methylisoxazol-3-amine; 2-morpholinoethan-1-amine; 1-(aminomethyl)-N-methylcyclopropanamine; 1-methyl-1H-pyrrol-3-amine; 5-methylthiazol-2-amine; 5-methylthiophen-2-amine; 4-aminophenol; 3-fluoroaniline; 3,5-dimethylisoxazol-4-amine; 3-morpholinopropan-1-amine; 2-aminobutanamide; 4-iodoaniline; (3-aminophenyl)methanol; 2-aminothiazole-4-carbaldehyde; 3-bromoaniline; 2,6-dimethylaniline; 4-ethylaniline; 3-amino-2-methylphenol; 4-(methylthio)aniline; 3-ethylaniline; 1-phenylethan-1-amine; 2-(4-aminophenyl)ethan-1-ol; 5-aminonicotinaldehyde; 6-aminonicotinaldehyde; 4-aminobenzaldehyde; 3-aminobenzaldehyde; indolin-6-amine; 4-amino-2-methoxyphenol; 2-aminopyrimidine-5-carbaldehyde; 5-aminopyrazine-2-carbaldehyde; 5-aminopicolinaldehyde; 3-methoxy-4-methylaniline; 6-aminopyrazine-2-carbaldehyde; N1,6-dimethylbenzene-1,3-diamine; 5-methyl-1H-pyrazol-3-amine; 4-ethoxyaniline; 2,3-dihydrobenzofuran-5-amine; 3-ethoxyaniline; benzo[d]thiazol-5-amine; benzo[d]thiazol-6-amine; piperidine-3-carboxamide; imidazo[1,2-a]pyridin-6-amine; piperidine-4-carboxamide; benzo[d]thiazol-7-amine; benzo[d]isoxazol-5-amine; 4-methoxy-3-methylaniline; benzo[d]thiazol-2-amine; 4-vinylaniline; benzo[c][1,2,5]thiadiazol-4-amine; 1-aminocyclopropanecarboxamide; 2-phenylcyclopropanamine; 2-aminocyclopentanecarboxamide; 3-vinylaniline; (5-amino-2-methoxyphenyl)methanol; 2-(4-aminophenoxyl)ethan-1-ol; 1,2,3,4-tetrahydroisoquinolin-6-amine; (4-amino-2-methoxyphenyl)methanol; 2-amino-4-methylpyrimidine-5-carbaldehyde; 6-amino-4-methylnicotinaldehyde; 2-isopropoxyaniline; 6-amino-2-methylnicotinaldehyde; 4-amino-2-methylphenol; 5-amino-2-methylphenol; 3-chloro-4-methoxyaniline; 3,5-dimethylaniline; N-(3-aminophenyl)formamide; 2-(3-aminophenoxyl)ethan-1-ol; N-(6-aminopyridin-2-yl)formamide; 4-amino-2-fluorophenol; 5-amino-2-hydroxybenzonitrile; 4-amino-3-fluorophenol; N-(4-aminophenyl)formamide; 2,4-dimethylaniline; 3,4-dimethylaniline; 2-fluoro-5-methylaniline; 2,5-dimethylaniline; quinoxalin-6-amine; quinolin-6-amine; 2-amino-3-methylbutanamide; quinoxalin-5-amine; naphthalen-1-amine; naphthalen-2-amine; 4-fluoro-3-methylaniline; quinolin-5-amine; quinolin-8-amine; 2,6-dimethylpyrimidin-4-amine; 1-(4-aminophenyl)ethan-1-ol; 2,3,4,5-tetrahydrobenzo[b][1,4]oxazepin-7-amine; 3-methoxy-4-(methoxymethyl)aniline; 2-fluoro-4-methoxyaniline; 5-amino-6-methoxypyrazine-2-carbaldehyde; 2-amino-4-methoxypyrimidine-5-carbaldehyde; 6-amino-5-methoxynicotinaldehyde; 3-chloro-4-fluoroaniline; 4H-benzo[b][1,4]oxazin-6-amine; 4-isopropylaniline; 4-amino-2,5-dimethylphenol; 4-amino-2-chlorophenol; 4H-benzo[b][1,4]oxazin-7-amine; 3-(2-methoxyethoxy)aniline; 4-methoxy-2-methylaniline; 5-methoxy-2-methylaniline; 3-(2-(methylamino)ethoxy)aniline; 3-isopropylaniline; 4-amino-2,3-dimethylphenol; N-(5-amino-2-methylphenyl)formamide; 2-amino-4-methylpentanamide; 4-chloro-3-methylaniline; 3-aminocyclopentanecarboxamide; 2-chloro-5-fluoropyrimidin-4-amine; 3,4-dihydroquinolin-6-amine; 2-amino-4-methylpentanethioamide; 2-(isopentyloxy)aniline; 6-amino-5-methylnicotinaldehyde; 5-amino-6-methylpyrazine-2-carbaldehyde; 2-amino-6-methylpyrimidine-4-carbaldehyde; 2-methyl-2H-indazol-6-amine; 5-amino-6-methylpicolinaldehyde; 5-amino-4-methylpicolinaldehyde; 4-isopropoxyaniline; 1-methyl-1H-indazol-5-amine; 3,5-dichloroaniline; 3,4-dichloroaniline; [1,1′-biphenyl]-2-amine; 2,6-dimethoxypyridin-3-amine; 4-methoxy-3,5-dimethylaniline; 2-methyl-2H-indazol-5-amine; 3-(ethyl(hydroxy)amino)aniline; 3-isopropoxyaniline; N1-isopropylbenzene-1,3-diamine; 4-amino-5-chloro-2-methylphenol; 1-methyl-1H-indol-4-amine; 1H-indazol-4-amine; 1-methyl-1H-indazol-4-amine; 2-methyl-2H-indazol-4-amine; 1H-indol-4-amine; 1H-benzo[d]imidazol-6-amine; 1H-benzo[d][1,2,3]triazol-6-amine; 2-methylbenzo[d]thiazol-5-amine; 4-(methylsulfinyl)aniline; 1-methyl-1H-indol-5-amine; 3-(2-aminophenyl)propanamide; 2-((2-aminocyclohexyl)amino)acetic acid; (2,3,6-trifluorophenyl)methanamine; 5-bromo-2-chloropyrimidin-4-amine; 1-methyl-1H-indazol-7-amine; 1-methyl-1H-benzo[d]imidazol-4-amine; 2-methyl-2H-indazol-7-amine; 2-methylbenzo[d]oxazol-7-amine; 4-methyl-3,4-dihydro-2H-benzo[b][1,4]oxazin-7-amine; 4-methyl-3,4-dihydro-2H-benzo[b][1,4]oxazin-6-amine; 4-(4H-1,2,4-triazol-4-yl)aniline; 4-(1H-imidazol-1-yl)aniline; 4-(1H-pyrazol-1-yl)aniline; 5-aminoindolin-2-one; 6-aminoindolin-2-one; 3-methoxy-4-(2-methoxyethoxy)aniline; 3-(4-amino-2-methoxyphenoxy)propan-1-ol; 2-((4-aminophenyl)(methyl)amino)ethan-1-ol; 2-methyl-1,2,3,4-tetrahydroisoquinolin-6-amine; 4-amino-N-methylbenzamide; 3-amino-N-methylbenzamide; 1-(piperidin-4-yl)-1H-pyrazol-4-amine; 4-(oxazol-4-yl)aniline; 4-(pyrrolidin-3-yl)aniline; 2-(trifluoromethoxy)aniline; 3-chloro-4-methoxy-5-methylaniline; 2-((2-aminophenyl)imino)acetic acid; 3-(oxazol-5-yl)aniline; (5-aminobenzofuran-2-yl)methanol; 3,4,5-trimethylaniline; N-(5-amino-2-fluorophenyl)formamide; methyl 4-amino-1-methyl-1H-pyrrole-2-carboxylate; methyl 3-aminobenzoate; N-(3-amino-4-ethoxyphenyl)formamide; 2-((3-aminophenyl)amino)propan-1-ol; 2-methyl-2,3-dihydrobenzo[b][1,4]dioxin-6-amine; 4-(1H-1,2,4-triazol-1-yl)aniline; 3-(1H-pyrazol-1-yl)aniline; 2-amino-2-phenylacetamide; 4-(thiazol-4-yl)aniline; 1,2-dimethyl-1H-indol-4-amine; 4-(oxazol-5-yl)aniline; 1-ethyl-1H-indol-4-amine; 3-(thiazol-2-yl)aniline; 4-(1,2,3-thiadiazol-4-yl)aniline; 3-(isoxazol-3-yl)aniline; 4-(isoxazol-3-yl)aniline; 4-(isoxazol-5-yl)aniline; 4-(thiophen-2-yl)aniline; 3-(1H-tetrazol-1-yl)aniline; 4-(1H-tetrazol-1-yl)aniline; 3-(1H-imidazol-1-yl)aniline; 5-aminobenzofuran-2(3H)-one; 8-methylquinolin-4-amine; 2-amino-2-(pyridin-3-yl)acetamide; 1-phenyl-1H-pyrazol-4-amine; 1-phenyl-1H-pyrrol-3-amine; 3-(2H-tetrazol-2-yl)aniline; 3-(1H-1,2,4-triazol-1-yl)aniline; 3-(1H-1,2,3-triazol-1-yl)aniline; 4-(1H-1,2,3-triazol-1-yl)aniline; 3-(pyrrolidin-1-yl)aniline; 3-(1H-pyrrol-1-yl)aniline; 4-(1H-pyrrol-1-yl)aniline; 4-(1,3,4-oxadiazol-2-yl)aniline; 4-(thiazol-2-yl)aniline; 3-(thiazol-4-yl)aniline; 3-(oxazol-4-yl)aniline; 3-(thiazol-5-yl)aniline; 4-(thiazol-5-yl)aniline; 6-fluoronaphthalen-2-amine; methyl 2-((2-aminocyclohexyl)amino)acetate; 4-isobutoxyaniline; 2-methylquinolin-6-amine; 2-methylquinolin-8-amine; 3-methylcinnolin-5-amine; 2-(4-aminophenyl)propan-2-ol; 2-((4-aminophenyl)(ethyl)amino)ethan-1-ol; 4-(2-(dimethylamino)ethoxy)aniline; 4-(tetrahydro-2H-pyran-4-yl)aniline; 3-methoxy-4-(2-methoxyethoxyl)methyl)aniline; N1-(2-methoxyethyl)-N1-methylbenzene-1,4-diamine; 4-isopropoxy-3-methoxyaniline; 4-amino-2-methoxybenzoic acid; 4-(piperidin-4-yl)aniline; 4-amino-N,2-dimethylbenzamide; 6-(tetrahydro-2H-pyran-4-yl)pyridin-3-amine; 6-(piperidin-4-yl)pyridin-3-amine; 4-(3-(dimethylamino)propyl)aniline; 4-(pyridin-3-yl)aniline; 4-(piperidin-3-yl)aniline; 2-ethyl-1,2,3,4-tetrahydroisoquinolin-6-amine; 3,5-dichloro-4-methoxyaniline; 4-amino-2-chloro-6-methylphenol; 3-(4-aminophenoxyl)propane-1,2-diol; 3-(tert-butyl)aniline; 2-(5-amino-1H-indazol-1-yl)ethan-1-ol; 2-(6-amino-1H-indazol-1-yl)ethan-1-ol; 4-chloro-2,5-dimethoxyaniline; ethyl 3-aminobenzoate; 4-(tert-butyl)aniline; 4-chloro-3,5-dimethylaniline; N-(3-amino-5-chlorophenyl)formamide; 4-(trifluoromethyl)aniline; [1,1′-biphenyl]-3-amine; 6-amino-2H-chromen-2-one; 7-amino-2H-chromen-2-one; methyl 2-(4-aminophenyl)acetate; methyl 2-(3-aminophenyl)acetate; methyl 5-amino-2-hydroxybenzoate; methyl 4-amino-2-hydroxybenzoate; 5-amino-2-methoxybenzoic acid; 3-(2-(dimethylamino)ethoxy)aniline; 4-methyl-4H-benzo[b][1,4]oxazin-7-amine; 3-amino-4-isopropylphenol; 5-methyl-3-phenylisoxazol-4-amine; 3-(pyrimidin-2-yl)aniline; 3-(pyrimidin-5-yl)aniline; 2,3-dihydro-1H-pyrrolo[1,2-a]indol-8-amine; 4-(pyrimidin-2-yl)aniline; 3-(pyridin-3-yl)aniline; 4-(pyridin-2-yl)aniline; 6-methoxynaphthalen-2-amine; 2-methyl-2H-indol-4-amine; 4-chloronaphthalen-1-amine; 3-(pyridin-4-yl)aniline; 4-amino-2-methoxybenzamide; 3-(5-methyl-1H-tetrazol-1-yl)aniline; 2-fluoro-4-(1H-pyrazol-1-yl)aniline; 2-fluoro-4-(thiazol-4-yl)aniline; 4-(pyrimidin-5-yl)aniline; 3-(pyrazin-2-yl)aniline; 4-(pyrazin-2-yl)aniline; 3-(tetrahydro-2H-pyran-4-yl)aniline; 3-(pyridazin-4-yl)aniline; 4-(pyridazin-4-yl)aniline; 4-(pyridin-4-yl)aniline; 3-(pyridin-2-yl)aniline; [1,1′-biphenyl]-4-amine; 7-chloro-1H-indazol-6-amine; 6-bromonaphthalen-2-amine; 3-(1-methyl-1H-tetrazol-5-yl)aniline; 4-(4-methyl-4H-1,2,4-triazol-3-yl)aniline; 4-(1-methyl-1-yl); 3-(1-methyl-1H-imidazol-2-yl)aniline; 4-(2-methyl-1H-imidazol-1-yl)aniline; 3-(2-methyl-1H-imidazol-1-yl)aniline; 2-(4-aminophenyl)-2-methylpropan-1-ol; 1-(4-aminophenyl)azetidin-3-ol; 2-aminoquinazoline-6-carbaldehyde; 1-(4-aminophenyl)-2-methylpropan-2-ol; 2-(4-aminophenoxy)-N-methylacetamide; 4-(1,4-oxazepan-4-yl)aniline; 3-methoxy-4-(pyrrolidin-1-yl)aniline; 4-amino-N-propylbenzamide; 3-aminoquinoline-6-carbaldehyde; 4-((tetrahydrofuran-2-yl)methoxy)aniline; 4-((tetrahydro-2H-pyran-4-yl)oxy)aniline; 4-(pyridin-4-yloxy)aniline; 4-(3-fluoroazetidin-1-yl)aniline; 4-amino-N-(2-hydroxyethyl)benzamide; 1-(4-aminophenyl)cyclobutanol; 2-aminoquinoline-6-carbaldehyde; 4-(2-methoxypropan-2-yl)aniline; 2-((4-amino-2-methoxyphenyl)(methyl)amino)ethan-1-ol; 4-methoxy-3-(pyrrolidin-1-yl)aniline; 4-(3-methylazetidin-1-yl)aniline; 2,3-dimethyl-2H-indazol-6-amine; 4-(trifluoromethoxy)aniline; 3-methyl-1H-indazol-6-amine; 1-(2-morpholinoethyl)-1H-pyrazol-4-amine; 3-(trifluoromethoxy)aniline; 4-amino-N-ethoxybenzamide; 3-amino-N-propylbenzamide; 4-((2-methyl-1H-imidazol-1-yl)methyl)aniline; 3-(5-amino-1H-indazol-1-yl)propan-1-ol; 4-amino-2,6-dichlorophenol; 3-(6-amino-1H-indazol-1-yl)propan-1-ol; 2-((3-aminophenyl)imino)acetamide; methyl 5-amino-2-methoxybenzoate; ethyl 2-((2-aminophenyl)imino)acetate; 4-((trifluoromethyl)thio)aniline; 5-amino-2-hydroxybenzoic acid; 4-amino-2-hydroxybenzoic acid; 2-((3-aminophenyl)imino)acetic acid; 2,2′((3-aminophenyl)azanediyl)bis(ethan-1-ol); 2,2-difluorobenzo[d][1,3]dioxol-5-amine; 2-((methylamino)methylene)-2,3-dihydrobenzofuran-5-amine; 3-aminophenyl ethylcarbamate; 1-(4-aminophenyl)-3-ethylurea; 1-(3-aminophenyl)-3-ethylurea; 6-amino-2-methyl-2H-benzo[b][1,4]oxazin-3(4H)-one; 4-methyl-[1,1′-biphenyl]-3-amine; 2-methyl-1H-indol-4-amine; 3-(4-aminopiperidin-1-yl)-3-oxopropanenitrile; 4-(pyridin-3-yloxy)aniline; 1-(3-aminophenyl)pyrrolidin-2-one; 4-(5,6-dihydro-4H-1,3-oxazin-2-yl)aniline; 4-(3,6-dihydro-2H-pyran-4-yl)aniline; 6-aminoquinoline-2-carbonitrile; 2-chloro-5-cyclopropylpyrimidin-4-amine; 3-(3-aminopiperidin-1-yl)-3-oxopropanenitrile; 3-((tetrahydro-2H-pyran-4-yl)oxy)aniline; 3-(3,6-dihydro-2H-pyran-4-yl)aniline; dibenzo[b,d]furan-2-amine; 3-methoxy-4-(oxazol-5-yl)aniline; 4-methoxy-3-(2H-1,2,3-triazol-2-yl)aniline; 1-(4-aminophenyl)pyrrolidin-3-ol; 1-(4-aminophenoxy)-2-methylpropan-2-ol; 4-((tetrahydro-2H-pyran-4-yl)methoxy)aniline; (4-(4-aminophenyl)morpholin-3-yl)methanol; 4-(2H-tetrazol-5-yl)aniline; 2-methoxy-N1-(2-methoxyethyl)-N1-methylbenzene-1,4-diamine; 4-(1-methoxy-2-methylpropan-2-yl)aniline; 5-amino-1-methyl-6-oxo-1,6-dihydropyridine-3-carbaldehyde; 2-((4-amino-2-ethoxyphenyl)(methyl)amino)ethan-1-ol; 4-(2-(pyrrolidin-1-yl)ethoxy)aniline; 4-(1-methyl-1H-pyrazol-4-yl)aniline; 4-(1H-imidazol-4-yl)aniline; 4-(methylsulfonyl)aniline; 2-methoxy-[1,1′-biphenyl]-4-amine; 4-(1-methylpyrrolidin-3-yl)aniline; 5-amino-2-methylisoindolin-1-one; 6-amino-2-methylisoindolin-1-one; 3-(2-(pyrrolidin-1-yl)ethoxy)aniline; 2-(2-methoxyethyl)-1,2,3,4-tetrahydroisoquinolin-6-amine; 4-methoxy-3-(trifluoromethyl)aniline; 2-((3-aminophenyl)imino)-N-methylacetamide; 3-(1H-tetrazol-5-yl)aniline; N-(4-aminophenyl)-N-methylacetamide; 3-(benzyloxy)aniline; 3-(1H-pyrazol-3-yl)aniline; 2-amino-7-oxabicyclo[4.2.0]octa-1,3,5-triene-8-carboxylic acid; (5-amino-1H-indol-2-yl)methanol; 6-methoxy-[1,1′-biphenyl]-3-amine; 4-methoxy-[1,1′-biphenyl]-3-amine; ethyl (4-amino-2-hydroxyphenyl)carbamate; 3-fluoro-4-(thiazol-4-yl)aniline; 3-fluoro-4-(1H-pyrazol-1-yl)aniline; 4-amino-N-(3-hydroxypropyl)benzamide; 3-fluoro-4-(1H-imidazol-1-yl)aniline; 1-(4-aminophenyl)pyridin-2(1H)-one; 1-(4-aminophenyl)-1-methylurea; butyl 4-aminobenzoate; 4-(5-methyl-1,2,4-oxadiazol-3-yl)aniline; 3-(2-methylthiazol-4-yl)aniline; 4-(3-methyl-1H-pyrazol-1-yl)aniline; 3-methyl-5-(2H-1,2,3-triazol-2-yl)aniline; 4-methyl-3-(2H-1,2,3-triazol-2-yl)aniline; 2-amino-2-(3-hydroxyphenyl)acetamide; 2-amino-2-(3-fluorophenyl)acetamide; 3-fluoro-5-(2H-1,2,3-triazol-2-yl)aniline; 4-fluoro-3-(2H-1,2,3-triazol-2-yl)aniline; 4-amino-2-(2H-1,2,3-triazol-2-yl)benzonitrile; 3-fluoro-4-(2H-1,2,3-triazol-2-yl)aniline; 3-(2H-tetrazol-5-yl)aniline; 3-chloro-1H-indazol-5-amine; 4-(methylthio)-7H-pyrrolo[2,3-d]pyrimidin-2-amine; 4-(2-(methoxymethyl)pyrrolidin-1-yl)aniline; 2′-methoxy-[1,1′-biphenyl]-3-amine; 4-(1-methyl-1H-pyrazol-3-yl)aniline; 3-(1-methyl-1H-pyrazol-3-yl)aniline; 3-(1-methyl-1H-pyrazol-4-yl)aniline; 4-(5-methyl-1,3,4-thiadiazol-2-yl)aniline; 3-(5-methyl-1,2,4-oxadiazol-3-yl)aniline; 3-(4-methyl-2H-1,2,3-triazol-2-yl)aniline; 3-(4-methyl-1H-1,2,3-triazol-1-yl)aniline; 3-(5-methylisoxazol-3-yl)aniline; 3-methyl-5-(2H-tetrazol-2-yl)aniline; 3-methyl-4-(2H-1,2,3-triazol-2-yl)aniline; 3-methyl-4-(1H-pyrazol-1-yl)aniline; 3-(5-methylfuran-2-yl)aniline; 2-amino-2-(m-tolyl)acetamide; 2-amino-2-(p-tolyl)acetamide; 3-amino-1H-indazole-6-carbaldehyde; 3-ethoxy-4-morpholinoaniline; 3-amino-1H-indazole-5-carbaldehyde; 1-(4-aminophenyl)piperidin-3-ol; 3-methoxy-4-((tetrahydro-2H-pyran-4-yl)oxy)aniline; 2-(4-amino-2-methoxyphenoxy)-N-methylacetamide; 2-amino-1H-benzo[d]imidazole-6-carbaldehyde; 2-(4-aminophenoxy)-N-(2-hydroxyethyl)acetamide; 5-amino-2-morpholinobenzonitrile; 1-(4-aminophenyl)piperidin-4-ol; (1-(4-aminophenyl)pyrrolidin-3-yl)methanol; 4-(4-fluoropiperidin-1-yl)aniline; 3-(methoxymethyl)-4-morpholinoaniline; 3-methoxy-4-((tetrahydrofuran-2-yl)methoxy)aniline; 4-(3-(dimethylamino)propoxy)-3-methoxyaniline; 1-(4-amino-2-methoxyphenyl)azetidin-3-ol; 4-amino-N-(2-hydroxyethyl)-2-methoxybenzamide; 1-(4-amino-2-methoxyphenyl)-2-methylpropan-2-ol; 3-(4-aminophenoxy)-2,2-dimethylpropan-1-ol; 4-(2-methylmorpholino)aniline; 6-(2-methylmorpholino)pyridin-3-amine, 3-methyl-4-(piperidin-4-yl)aniline; 4-(2-morpholinoethoxy)aniline; 3-(2-morpholinoethoxy)aniline; 3-methyl-4-morpholinoaniline; (1-(4-aminophenethyl)pyrrolidin-2-yl)methanol; 4-(2-methylpyridin-4-yl)aniline; 6-(1-methylpiperidin-4-yl)pyridin-3-amine; 2-(2-methylmorpholino)pyrimidin-5-amine; 3-methyl-4-(tetrahydro-2H-pyran-4-yl)aniline; 4-amino-N-cyclopropylbenzamide; 4-(1-methylpiperidin-3-yl)aniline; 4-(1-ethylpyrrolidin-3-yl)aniline; 5-methyl-6-morpholinopyridin-3-amine; 4-methyl-3-(trifluoromethyl)aniline; 5-aminobenzofuran-2-carboxylic acid; 2-((dimethylamino)methyl)benzofuran-5-amine; ethyl 2-((3-aminophenyl)imino)acetate; 3-fluoro-5-(trifluoromethyl)aniline; 4-amino-2-(trifluoromethyl)phenol; 5-amino-2,3-dihydrobenzofuran-2-carboxylic acid; N-(4-aminophenyl)methanesulfonamide; 7-amino-4-methyl-2H-benzo[b][1,4]oxazin-3(4H)-one; 6-amino-4-methyl-2H-benzo[b][1,4]oxazin-3(4H)-one; 3-methyl-5-(trifluoromethyl)aniline; 6-amino-1-methyl-3,4-dihydroquinolin-2(1H)-one; methyl (4-aminophenyl)(methyl)carbamate; N-(4-aminophenyl)-2-hydroxy-N-methylacetamide; 6-aminoquinolin-2(1H)-one; 6-amino-1-methylquinolin-2(1H)-one; 4-(ethylsulfonyl)aniline; N-(4-aminophenyl)-N-methylpropionamide; 4-(3,5-dimethyl-1H-pyrazol-1-yl)aniline; 2-amino-2-(3-chlorophenyl)acetamide; 5-fluoro-4-(piperazin-1-yl)pyrimidin-2-amine; 4-(2-(piperidin-1-yl)ethoxy)aniline; 3-chloro-5-(2H-1,2,3-triazol-2-yl)aniline; 4-chloro-3-(2H-1,2,3-triazol-2-yl)aniline; (1-(4-aminophenyl)-1H-1,2,3-triazol-4-yl)methanol; 3-(5-fluoropyrimidin-2-yl)aniline; 4′-fluoro-[1,1′-biphenyl]-3-amine; 3′-fluoro-[1,1′-biphenyl]-3-amine; 4-bromo-3-(2H-1,2,3-triazol-2-yl)aniline; dibenzo[b,d]furan-3-amine; 3-bromo-5-(2H-1,2,3-triazol-2-yl)aniline; 3-methoxy-5-(2H-1,2,3-triazol-2-yl)aniline; 3-methoxy-5-(1H-tetrazol-1-yl)aniline; 2-amino-2-(4-methoxyphenyl)acetamide; 1-(4-aminophenyl)-3-methylazetidin-3-ol; (4-(4-aminophenyl)morpholin-2-yl)methanol; 1-(4-amino-2-methoxyphenyl)pyrrolidin-3-ol; 2-(5-amino-2-morpholinophenoxy)ethan-1-ol; (1-(4-aminophenyl)piperidin-4-yl)methanol; 4-(4-aminophenoxyl)cyclohexanol; 4-(4-aminophenyl)piperazin-2-one; 4-(3,3-difluoroazetidin-1-yl)aniline; 2-(1-(4-aminophenyl)pyrrolidin-3-yl)ethan-1-ol; 4-amino-N-(oxetan-3-yl)benzamide; 1-(4-aminophenyl)-2,2,2-trifluoroethan-1-ol; 1-(4-amino-2-methoxyphenoxy)-2-methylpropan-2-ol; 3-methoxy-4-((tetrahydro-2H-pyran-4-yl)methoxy)aniline; 4-amino-N-(2-hydroxyethyl)-N-methylbenzamide; 2-(4-aminophenoxy)-N,N-dimethylacetamide; 4-(3-fluoro-3-methylazetidin-1-yl)aniline; 3-methyl-4-(2-methylmorpholino)aniline; 4-(1-ethylpiperidin-4-yl)aniline; 3-fluoro-4-(2-methylmorpholino)aniline; 3-methyl-4-(1-methylpiperidin-4-yl)aniline; 4-(2,3-dihydroimidazo[2,1-b]thiazol-6-yl)aniline; 3-fluoro-4-(1-methylpiperidin-4-yl)aniline; 5-methyl-6-(2-methylmorpholino)pyridin-3-amine; 3-fluoro-4-(piperazin-1-ylmethyl)aniline; 4′-methoxy-[1,1′-biphenyl]-4-amine; 1-(6-amino-3,4-dihydroisoquinolin-2(1H)-yl)ethan-1-one; 4-amino-N,N-diethylbenzamide; 5-(4-ethylpiperazin-1-yl)pyridin-2-amine; 2-(isopropylsulfonyl)aniline; 3-methyl-4-(1,2,3,6-tetrahydropyridin-4-yl)aniline; 2-methyl-5-(2-morpholinoethoxy)aniline; methyl 5-aminobenzofuran-2-carboxylate; 5-amino-N-methyl-2,3-dihydrobenzofuran-2-carboxamide; methyl 5-amino-2,3-dihydrobenzofuran-2-carboxylate; 3-methoxy-5-(trifluoromethyl)aniline; 5-amino-N-methylbenzofuran-2-carboxamide; 2-((3-aminophenyl)imino)-N-(2-hydroxyethyl)acetamide; 4-chloro-3-(trifluoromethyl)aniline; 3-nitroaniline; methyl 4-amino-2,3-dihydrobenzofuran-7-carboxylate; 6-amino-N-methyl-1H-indole-1-carboxamide; ethyl 2-amino-7-oxabicyclo[4.2.0]octa-1(6),2,4-triene-8-carboxylate; 3-aminophenyl isopropylcarbamate; 3-chloro-4-morpholinoaniline; 2-(6-amino-1H-indazol-1-yl)acetamide; 1-(4-aminophenyl)azetidine-2-carboxamide; 6-amino-2-naphthamide; 3-amino-5-(2H-1,2,3-triazol-2-yl)benzonitrile; 3-amino-5-(1H-1,2,3-triazol-1-yl)benzonitrile; 4-amino-N-cyclobutylbenzamide; 3-(4-methoxypyrimidin-2-yl)aniline; 4-(6-methoxypyridin-3-yl)aniline; 3-(6-methoxypyridin-2-yl)aniline; 3-(6-methoxypyridin-3-yl)aniline; 3′-methoxy-[1,1′-biphenyl]-3-amine; 4′-methoxy-[1,1′-biphenyl]-3-amine; N-(4-aminophenyl)-3-hydroxy-N-methylpropanamide; 9-methyl-9H-carbazol-3-amine; 2-(1-(4-aminophenyl)piperidin-4-yl)ethan-1-ol; 1-(4-amino-2-methoxyphenyl)piperidin-3-ol; 1-(4-aminophenyl)-3-methylpyrrolidin-3-ol; 2-(4-(4-aminophenyl)piperazin-1-yl)ethan-1-ol; 4-(3,3-difluoropyrrolidin-1-yl)aniline; 4-(2-oxa-6-azaspiro[3.3]heptan-6-yl)aniline; 3-(2-methoxyethoxy)-4-morpholinoaniline; 3-(4-amino-2-methoxyphenoxy)-2,2-dimethylpropan-1-ol; 1-(4-amino-2-methoxyphenyl)piperidin-4-ol; (1-(4-amino-2-methoxyphenyl)pyrrolidin-3-yl)methanol; 4-(3-methoxy-3-methylazetidin-1-yl)aniline; 1-(4-amino-2-ethoxyphenoxy)-2-methylpropan-2-ol; 1-(4-amino-2-ethoxyphenyl)pyrrolidin-3-ol; 4-amino-N-ethyl-N-(2-hydroxyethyl)benzamide; 4-((4-ethylpiperazin-1-yl)methyl)aniline; 1-(4-aminophenyl)-3-ethylazetidin-3-ol; 3-methyl-4-(2-(pyrrolidin-1-yl)ethoxy)aniline; 4-methyl-3-(2-(pyrrolidin-1-yl)ethoxy)aniline; 1-(4-aminophenethyl)piperidin-4-ol; 2-(4-(4-aminophenyl)piperidin-1-yl)ethan-1-ol; 3-methyl-4-((1-methylpiperidin-4-yl)oxy)aniline; 2-methoxy-5-methyl-4-(piperidin-4-yl)aniline; 4-(1-(2-methoxyethyl)-1H-pyrazol-4-yl)aniline; 3-fluoro-4-(2-(pyrrolidin-1-yl)ethoxy)aniline; 4-amino-N-cyclopentylbenzamide; 4-(1-(2-methoxyethyl)pyrrolidin-3-yl)aniline; 2-methoxy-4-(4-methylpiperazin-1-yl)aniline; 2-(4-(4-amino-1H-pyrazol-1-yl)piperidin-1-yl)acetonitrile; (4-aminophenyl)(piperazin-1-yl)methanone; 1-(1-(2-methoxyethyl)piperidin-4-yl)-1H-pyrazol-4-amine; 4-(2-(4-methylpiperazin-1-yl)ethyl)aniline; 4-(1,2-dimethylpiperidin-4-yl)-3-fluoroaniline; methyl 2-(5-amino-1H-indazol-1-yl)acetate; methyl 2-(6-amino-1H-indazol-1-yl)acetate; 2-(5-amino-1H-indazol-1-yl)-N-methylacetamide; 3-chloro-4-(trifluoromethoxy)aniline; 4-(4,5-dichloro-1H-imidazol-1-yl)aniline; 2-(6-amino-1H-indazol-1-yl)-N-methylacetamide; (3-aminophenyl)(phenyl)methanone; methyl 3-amino-5-formamidobenzoate; 5-methoxy-2-methyl-[1,1′-biphenyl]-4-amine; 2-((3-aminophenyl)imino)-N,N-dimethylacetamide; 2-((3-aminophenyl)imino)-N-(2-(methylamino)ethyl)acetamide; ethyl 5-aminobenzofuran-2-carboxylate; 1-(4-aminophenyl)pyrrolidine-2-carboxamide; (1-(2-amino-5-fluoropyrimidin-4-yl)piperidin-4-yl)methanol; 4-amino-N-(2-hydroxyethyl)benzenesulfonamide; 4-(2-amino-5-fluoropyrimidin-4-yl)piperazin-2-one; 3-(1H-benzo[d][1,2,3]triazol-1-yl)aniline; 3-(1H-indazol-1-yl)aniline; 3-(2H-benzo[d][1,2,3]triazol-2-yl)aniline; 3-(1H-benzo[d]imidazol-1-yl)aniline; 3-(2H-indazol-2-yl)aniline; 3-(imidazo[1,2-a]pyridin-2-yl)aniline; 3-(4-aminophenyl)pyridin-2(1H)-one; 3-(benzo[d][1,3]dioxol-4-yl)aniline; 3-(benzo[d][1,3]dioxol-5-yl)aniline; 3-(2,3-dihydrobenzofuran-5-yl)aniline; 3-(imidazo[1,2-a]pyridin-6-yl)aniline; 4-(imidazo[1,2-a]pyridin-6-yl)aniline; 6-amino-N-methyl-2-naphthamide; 3-fluoro-4-(4-methyl-1H-pyrazol-1-yl)aniline; 1-(4-aminophenyl)-4-methylpiperidin-4-ol; 1-(4-amino-2-methoxyphenyl)-3-methylazetidin-3-ol; (4-(4-amino-2-methoxyphenyl)morpholin-2-yl)methanol; 2-(4-(4-aminophenyl)piperazin-1-yl)acetaldehyde; 4-(4-(3-fluoropropyl)piperazin-1-yl)aniline; 4-(4,4-difluoropiperidin-1-yl)aniline; 4-(3,3-difluoropiperidin-1-yl)aniline; 4-(8-oxa-3-azabicyclo[3.2.1]octan-3-yl)aniline; 4-amino-N-(tetrahydro-2H-pyran-4-yl)benzamide; (4-aminophenyl)(3-hydroxyazetidin-1-yl)methanone; 3-(4-amino-2-ethoxyphenoxy)-2,2-dimethylpropan-1-ol; 4-(4-ethylpiperazin-1-yl)-3-methoxyaniline; 4-(2,6-dimethylmorpholino)aniline; 1-(4-aminophenyl)-3-methylpiperidin-3-ol; 2-(4-aminophenyl)-N,2-dimethylpropanamide; 4-(1-(2-methoxyethyl)piperidin-4-yl)aniline; 4-(1-(3-fluoropropyl)piperidin-4-yl)aniline; 4-(2-(4-ethylpiperazin-1-yl)ethyl)aniline; 4-amino-N-phenylbenzamide; 3-((dimethylamino)methyl)-1H-indazol-6-amine; 1-(4-aminophenyl)-N,N-dimethylpyrrolidin-3-amine; 4-(4-ethoxypiperidin-1-yl)-3-fluoroaniline; 6-(2,6-dimethylmorpholino)pyridin-3-amine; 6-(1-(2-methoxyethyl)piperidin-4-yl)pyridin-3-amine; 4-methyl-3-(2-morpholinoethoxy)aniline; 6-amino-2,2-dimethyl-2H-benzo[b][1,4]oxazin-3 (4H)-one; 3-(5-amino-1H-indazol-1-yl)-N-methylpropanamide; 3-(6-amino-1H-indazol-1-yl)-N-methylpropanamide; 5-amino-N-(2-hydroxyethyl)benzofuran-2-carboxamide; 3-(5-amino-2H-indazol-2-yl)-N-methylpropanamide; N-(3-amino-5-(trifluoromethyl)phenyl)formamide; 4-(benzyloxy)-3-chloroaniline; 6-amino-2,2-difluoro-2H-benzo[b][1,4]oxazin-3(4H)-one; 5-amino-N-(2-hydroxyethyl)-2,3-dihydrobenzofuran-2-carboxamide; 5-amino-1H-indole-2-carboxylic acid; methyl 5-amino-3-oxo-2,3-dihydrobenzofuran-2-carboxylate; methyl 2-amino-8-methyl-7-oxabicyclo[4.2.0]octa-1,3,5-triene-5-carboxylate; 2-methoxy-5-nitroaniline; N-(3-aminophenyl)pivalamide; N-(4-aminophenyl)-N-methylcyclopropanecarboxamide; N-(4-amino-2-chlorophenyl)-N-methylacetamide; 3-((4-aminophenyl)sulfonyl)propanenitrile; 2-morpholinoquinolin-6-amine; 4-amino-N-(2-methoxyethyl)benzenesulfonamide; 4-amino-N-cyclopropyl-N-methylbenzamide; tert-butyl 4-aminopiperidine-1-carboxylate; 1-(4-aminophenyl)piperidine-2-carboxamide; 3,5-difluoro-4-morpholinoaniline; 4-(4-aminophenyl)thiomorpholine-2,3-dione; 3-(2H-benzo[b][1,4]oxazin-4-(3H)-yl)aniline; 3-(quinolin-3-yl)aniline; 3-(quinolin-4-yl)aniline; 3′,4′-difluoro-[1,1′-biphenyl]-3-amine; 3-(quinolin-5-yl)aniline; 3-(quinolin-8-yl)aniline; 3-(2,3-dihydrobenzo[b][1,4]dioxin-6-yl)aniline; 4-(2,3-dihydrobenzo[b][1,4]dioxin-6-yl)aniline; 3-(quinolin-6-yl)aniline; 4-(methylsulfinyl)-7H-pyrrolo[2,3-d]pyrimidin-2-amine; 4-(4-(2-methoxyethyl)piperazin-1-yl)aniline; 2′,4′-dimethoxy-[1,1′-biphenyl]-3-amine; 2′,3′-dimethoxy-[1,1′-biphenyl]-3-amine; 3′,4′-dimethoxy-[1,1′-biphenyl]-3-amine; 1-(4-aminophenyl)-N-methylpyrrolidine-2-carboxamide; tert-butyl 3-aminopiperidine-1-carboxylate; 2-(4-(4-amino-2-methoxyphenyl)piperazin-1-yl)ethan-1-ol; 1-(4-amino-2-ethoxyphenyl)-3-methylazetidin-3-ol; 4-(2-oxa-7-azaspiro[3.5]nonan-7-yl)aniline; 4-(7-oxa-2-azaspiro[3.5]nonan-2-yl)aniline; 1-(4-amino-2-methoxyphenyl)-3-methylpyrrolidin-3-ol; 1-(4-aminophenyl)-N,N-dimethylpiperidin-4-amine; 2-(4-aminophenyl)-1,1,1-trifluoropropan-2-ol; 1-(4-amino-2-fluorophenyl)-3-methylazetidin-3-ol; 4-(1-cyclopropylpiperidin-4-yl)aniline; 4-(1-(2-methoxyethyl)piperidin-4-yl)-3-methylaniline; 3-(4-(4-aminophenyl)piperidin-1-yl)propanenitrile; 4-amino-N-(3-methoxypropyl)benzenesulfonamide; 2-fluoro-5-methyl-4-(1-methylpiperidin-4-yl)aniline; 4-(1-isopropylpiperidin-4-yl)aniline; 2-(3-aminophenoxy)-1-morpholinoethan-1-one; 2-(4-(4-amino-2-methylphenyl)piperidin-1-yl)acetonitrile; 4-(1-(3-fluoropropyl)piperidin-4-yl)-3-methylaniline; ethyl 3-(5-amino-1H-indazol-1-yl)propanoate; ethyl 3-(6-amino-1H-indazol-1-yl)propanoate; 5-amino-N,N-dimethyl-2,3-dihydrobenzofuran-2-carboxamide; ethyl 2-(4-aminophenyl)-2-methylpropanoate; ethyl 3-(5-amino-2H-indazol-2-yl)propanoate; 4-fluoro-3-nitroaniline; 2-fluoro-5-nitroaniline; methyl 5-amino-1H-indole-2-carboxylate; tert-butyl(4-aminophenyl)carbamate; tert-butyl(3-aminophenyl)carbamate; 4-methyl-3-nitroaniline; 2-methyl-5-nitroaniline; 1-(4-aminophenyl)-N-methylpiperidine-2-carboxamide; tert-butyl 4-(aminomethyl)piperidine-1-carboxylate; isopropyl (4-aminophenyl)(methyl)carbamate; 2-(morpholinomethyl)quinolin-6-amine; 4-(pyrrolidin-1-yl)-7H-pyrrolo[2,3-d]pyrimidin-2-amine; benzyl 4-aminocyclohexanecarboxylate; 4-amino-N-cyclobutyl-N-methylbenzamide; 1-(4-aminophenyl)-1H-1,2,3-triazole-4-carboxamide; 2-(4-aminophenoxy)-1-morpholinoethan-1-one; 4-amino-N-cyclopropylbenzenesulfonamide; 2′-(pyrrolidin-3-yl)-[1,1′-biphenyl]-3-amine; 1-(methylsulfonyl)-1H-indazol-6-amine; N-(4-aminophenyl)-2-(dimethylamino)-N-methylacetamide; 5-(4-aminophenyl)-N,N-dimethylpyridin-2-amine; 4-(2-methyl-1-morpholinopropan-2-yl)aniline; 1-(4-amino-2-methoxyphenyl)-4-methylpiperidin-4-ol; 5-amino-2-morpholinobenzamide; (4-aminophenyl)(4-hydroxypiperidin-1-yl)methanone; 3-methoxy-4-(4-(2-methoxyethyl)piperazin-1-yl)aniline; 1-(4-amino-2-methoxyphenyl)-3-methylpiperidin-3-ol; 3-(4-aminophenyl)-1,4-dimethylpiperazin-2-one; 1-(4-(4-aminophenyl)piperidin-1-yl)ethan-1-one; 44244-(2-methoxyethyl)piperazin-1-yl)ethyl)aniline; 4-amino-N-(2-morpholinoethyl)benzamide; 2-(methylsulfonyl)-1,2,3,4-tetrahydroisoquinolin-6-amine; 1-(4-aminophenethyl)-N,N-dimethylpyrrolidin-3-amine; 3-methyl-4-(3-(4-methylpiperazin-1-yl)propoxy)aniline; 3-(4-(4-amino-2-methylphenyl)piperidin-1-yl)propanenitrile; 3-chloro-4-(2,6-dimethylmorpholino)aniline; ethyl 5-amino-1H-indole-2-carboxylate; 2-((3-aminophenyl)imino)-1-morpholinoethan-1-one; 2-((3-aminophenyl)imino)-N-(2,3-dihydroxypropyl)acetamide; 2-((3-aminophenyl)imino)-1-(piperazin-1-yl)ethan-1-one; 4-chloro-3-nitroaniline; 4-(pyrrolidin-1-ylsulfonyl)aniline; 2,2,3,3-tetrafluoro-2,3-dihydrobenzo[b][1,4]dioxin-6-amine; methyl 5-amino-2-(trifluoromethoxy)benzoate; ethyl 7-amino-1H-indole-2-carboxylate; 5-amino-N-isopropyl-2,3-dihydrobenzofuran-2-carboxamide; 1-(4-(5-aminopyridin-2-yl)piperazin-1-yl)ethan-1-one; benzyl 3-(aminomethyl)piperidine-1-carboxylate; 6-amino-N,N-dimethyl-2-naphthamide; 4-(4-aminophenyl)piperazine-1-carboxamide; 1-(4-aminophenyl)piperidine-3-carboxamide; 4-(piperidin-1-yl)-7H-pyrrolo[2,3-d]pyrimidin-2-amine; 4-amino-N-cyclobutylbenzenesulfonamide; 1-(4-aminophenyl)piperidine-4-carboxylic acid; 1-(4-aminophenyl)-4-hydroxypyrrolidine-2-carboxamide, 1-(4-aminophenyl)piperidine-4-carboxamide; 2′-(piperidin-4-yl)-[1,1′-biphenyl]-3-amine; 2′-(piperidin-3-yl)[1,1′-biphenyl]-3-amine; 2-phenyl-1H-indol-4-amine; 2′,5′-dimethoxy-[1,1′-biphenyl]-3-amine; 1-(4-aminophenyl)-N-methylpyrrolidine-3-carboxamide; tert-butyl 2-(4-aminophenoxyl)acetate; (4-aminophenyl)(2-(hydroxymethyl)morpholino)methanone; 4-amino-N-methyl-N-(tetrahydro-2H-pyran-4-yl)benzamide; 1-(4-amino-2-ethoxyphenyl)-4-methylpiperidin-4-ol; (4-aminophenyl)(3-hydroxy-3-methylazetidin-1-yl)methanone; 3-(4-(4-aminophenyl)piperidin-1-yl)propane-1,2-diol; 1-(4-aminophenethyl)-N,N-dimethylpiperidin-4-amine; dimethylmorpholino)-3-methylaniline; 4-amino-N-(1-methylpiperidin-4-yl)benzamide; 4-(2-(tetrahydro-2H-pyran-4-yl)thiazol-4-yl)aniline; 4-(2-(piperidin-3-yl)thiazol-4-yl)aniline; 4-(2-(pyridin-3-yl)thiazol-4-yl)aniline; 4-(1-(piperidin-4-yl)-1H-pyrazol-4-yl)aniline; 4-(1-cyclopentylpiperidin-4-yl)aniline; 3-(1,2,3,6-tetrahydropyridin-4-yl)-1H-indazol-6-amine; 4-(1-ethylpiperidin-4-yl)-2-methoxy-5-methylaniline; methyl 4-(4-aminophenyl)piperazine-1-carboxylate; tert-butyl 2-((3-aminophenyl)imino)acetate; (5-aminobenzofuran-2-yl)(pyrrolidin-1-yl)methanone; methyl 3-amino-5-(trifluoromethyl)benzoate; 2-((3-aminophenyl)imino)-N-(3-(dimethylamino)propyl)acetamide; ethyl 6-amino-4H-benzo[b]imidazo[1,5-d][1,4]oxazine-3-carboxylate; 1-(2-amino-5-fluoropyrimidin-4-yl)piperidine-3-carboxamide; 1-(4-(4-aminophenyl)piperazin-1-yl)propan-1-one; 2-amino-4-(m-tolyl)pyrimidine-5-carboxamide; 2-amino-4-(2-(2-hydroxyethyl)piperidin-1-yl)pyrimidine-5-carboxamide; 4-(morpholinosulfonyl)aniline; 4-((thiazol-4-ylmethyl)sulfonyl)aniline; 4-((tetrahydro-2H-pyran-4-yl)sulfonyl)aniline; 3-(2H-1,2,3-triazol-2-yl)-5-(trifluoromethyl)aniline; 1-(4-aminophenyl)-N-methylpiperidine-3-carboxamide; 1-(4-aminophenyl)-N-methylpiperidine-4-carboxamide; 6-amino-2,2,4-trimethyl-2H-benzo[b][1,4]oxazin-3(4H)-one; 1-(4-(4-aminophenyl)-3-methylpiperazin-1-yl)ethan-1-one; 2-(4-aminophenylsulfonamido)acetamide; 4-(phenylsulfonyl)aniline; 3-(2H-1,2,3-triazol-2-yl)-4-(trifluoromethyl)aniline; 3-morpholino-4-(1H-pyrazol-1-yl)aniline; 3-(1H-1,2,3-triazol-1-yl)-4-(trifluoromethyl)aniline; 4-(3-(trifluoromethyl)-1H-pyrazol-1-yl)aniline; 2-(6-amino-2-oxo-3,4-dihydroquinolin-1(2H)-yl)acetic acid; 1-(4-aminophenyl)-4-hydroxy-N-methylpyrrolidine-2-carboxamide; 1-(4-aminophenyl)-N,N-dimethylpyrrolidine-2-carboxamide; 4-(4-((dimethylamino)methyl)piperidin-1-yl)-5-fluoropyrimidin-2-amine; 7-amino-2,2,4-trimethyl-2H-benzo[b][1,4]oxazin-3(4H)-one; 3-(4-methyl-3,4-dihydro-2H-benzo[b][1,4]oxazin-7-yl)aniline; N-(1-(4-aminophenyl)piperidin-4-yl)acetamide; 1-(4-(4-aminophenyl)-1,4-diazepan-1-yl)ethan-1-one; 1-(4-(4-aminophenyl)-5,6-dihydropyridin-1(2H)-yl)ethan-1-one; 1-(4-(4-aminophenyl)-1,2,3,6-tetrahydropyridin-2-yl)ethan-1-one; 2-(1-(4-aminophenyl)piperidin-4-yl)propan-2-ol; 4-(piperidin-4-yl)-3-(trifluoromethyl)aniline; 4-(1-cyclopropylpiperidin-4-yl)-3-methylaniline; 4-(piperazin-1-yl)-3-(trifluoromethyl)aniline; 1-(4-aminophenethyl)piperidine-3-carboxylic acid; 1-(4-aminophenethyl)piperidine-4-carboxylic acid; 4-morpholino-3-(trifluoromethyl)aniline; 4-amino-N-(4-chlorophenyl)benzamide; 4-(4-(4-aminophenyl)piperidin-1-yl)butan-2-one; 4-(4-aminophenyl)-N-ethylpiperidine-1-carboxamide; 4-(1-isopropylpiperidin-4-yl)-3-methylaniline; 2-(4-(4-amino-2-methylphenyl)piperidin-1-yl)acetamide; (5-aminobenzofuran-2-yl)(morpholino)methanone; 5-amino-N-(2,3-dihydroxypropyl)-2,3-dihydrobenzofuran-2-carboxamide; 5-amino-N-(2,3-dihydroxypropyl)benzofuran-2-carboxamide; 5-amino-N-(1,3-dihydroxypropan-2-yl)benzofuran-2-carboxamide; 2-amino-4-(3-methoxyphenyl)pyrimidine-5-carboxamide; 3-amino-N-methoxy-N-phenylbenzamide; 1-(4-aminophenyl)-N,N-dimethylpiperidine-2-carboxamide; 2-amino-4-(3-ethylphenyl)pyrimidine-5-carboxamide; 1-(1-(2-amino-5-fluoropyrimidin-4-yl)piperidin-4-yl)urea; 2-(1-(2-amino-5-fluoropyrimidin-4-yl)piperidin-4-yl)acetamide; 2-amino-4-(3-(hydroxymethyl)piperidin-1-yl)pyrimidine-5-carboxamide; 4-(4-(pyridin-2-yl)piperazin-1-yl)aniline; 3-(4-phenylpiperazin-1-yl)aniline; 3′-morpholino-[1,1′-biphenyl]-3-amine; 4′-morpholino-[1,1′-biphenyl]-3-amine; 3′-morpholino-[1,1′-biphenyl]-4-amine; 4′-morpholino-[1,1′-biphenyl]-4-amine; 2′-(methylsulfonyl)-[1,1′-biphenyl]-3-amine; 1-(4-(4-aminophenyl)piperazin-1-yl)-2-methoxyethan-1-one; 2′,3′,4′-trimethoxy-[1,1′-biphenyl]-3-amine; 4-acetyl-1-(4-aminophenyl)piperazin-2-one; (2-aminocyclohexyl)(tert-butyl)carbamate; 4-(4-(1-methylcyclopropyl)piperazin-1-yl)aniline; 2-(4-aminophenoxy)-1-(3-hydroxy-3-methylazetidin-1-yl)ethan-1-one; (4-aminophenyl)(4-hydroxy-4-methylpiperidin-1-yl)methanone; 4-(2-(4-(pyrrolidin-1-yl)piperidin-1-yl)ethyl)aniline; 1-(4-(4-amino-2-methylphenyl)piperidin-1-yl)ethan-1-one; 4-(1-(methylsulfonyl)pyrrolidin-3-yl)aniline; 4-(1-(2-morpholinoethyl)-1H-pyrazol-4-yl)aniline; 4-(1-methylpiperidin-4-yl)-3-(trifluoromethyl)aniline; 1-(4-(4-aminophenyl)piperidin-1-yl)-2-(ethylamino)ethan-1-one; 4-(1-(2,2,2-trifluoroethyl)piperidin-4-yl)aniline; 4-(4-aminophenyl)piperidine-1-carboxylate; 1-(4-(4-amino-2-methylphenyl)piperidin-1-yl)-3-methoxypropan-2-ol; 2-(4-(4-amino-2-methylphenyl)piperidin-1-yl)-N-methylacetamide; 4-(4-benzylpiperazin-1-yl)aniline; 2-((3-aminophenyl)imino)-1-(4-methylpiperazin-1-yl)ethan-1-one; 2-((3-aminophenyl)imino)-N-(2-morpholinoethyl)acetamide; (5-aminobenzofuran-2-yl)(1,4-diazepan-1-yl)methanone; (6-aminonaphthalen-2-yl)(morpholino)methanone; 1-(4-(4-amino-3-methylphenyl)piperazin-1-yl)ethan-1-one; 1-((1-(2-amino-5-fluoropyrimidin-4-yl)piperidin-4-yl)methyl)urea; 4-(2-amino-5-fluoropyrimidin-4-yl)piperazine-1-carboxamide; 1-(4-(4-amino-2-fluorophenyl)piperazin-1-yl)ethan-1-one; 1-(4-(4-aminophenyl)-2-methylpiperazin-1-yl)ethan-1-one; 4-(1-(methylsulfonyl)piperidin-4-yl)aniline; 4-(2-(4-morpholinopiperidin-1-yl)ethyl)aniline; 3-methyl-4-(1-(piperidin-4-yl)-1H-pyrazol-4-yl)aniline; 4-(1-(methylsulfonyl)piperidin-3-yl)aniline; 1-(4-(4-amino-2-methylphenyl)piperidin-1-yl)-2-(ethylamino)ethan-1-one; 1-(3-(4-aminophenyl)pyrrolidin-1-yl)-2-(dimethylamino)ethan-1-one; ethyl 3-(4-(4-aminophenyl)piperidin-1-yl)propanoate; tert-butyl 6-amino-3,4-dihydroisoquinoline-2(1H)-carboxylate; 4-(benzyloxy)-3-(trifluoromethyl)aniline; 5-amino-N-(1-hydroxy-2-methylpropan-2-yl)benzofuran-2-carboxamide; 1-((4-aminophenyl)sulfonyl)piperidin-4-ol; 4-(4-(methylsulfonyl)piperazin-1-yl)aniline; 1-(4-aminophenyl)-N,N-dimethylpiperidine-4-carboxamide; 2-amino-4-(4-(2-hydroxyethyl)-1,4-diazepan-1-yl)pyrimidine-5-carboxamide; 4-(4-aminophenyl)-N,N-dimethylpiperazine-1-carboxamide; 1-(4-(4-amino-2-chlorophenyl)piperazin-1-yl)ethan-1-one; 3-(2-amino-5-nitrophenyl)propanamide; 3-(4-(2-amino-5-fluoropyrimidin-4-yl)piperazin-1-yl)-3-oxopropanenitrile; 3-fluoro-4-(3-(trifluoromethyl)-1H-pyrazol-1-yl)aniline; (4-(4-aminophenyl)piperazin-1-yl)(cyclopropyl)methanone; 1-(3′-amino-[1,1′-biphenyl]-4-yl)piperidin-2-one; 1-(3′-amino-[1,1′-biphenyl]-3-yl)pyridin-2(1H)-one; 1-(3′-amino-[1,1′-biphenyl]-4-yl)pyridin-2(1H)-one; 4-(methylsulfonyl)-3-morpholinoaniline; 3′-(methylsulfonyl)-[1,1′-biphenyl]-4-amine; 4′-(methylsulfonyl)-[1,1′-biphenyl]-4-amine; 3′-(methylsulfonyl)-[1,1′-biphenyl]-3-amine; 4′-(methylsulfonyl)-[1,1′-biphenyl]-3-amine; methyl 4-(4-aminophenyl)-3-methylpiperazine-1-carboxylate; N-(4-aminophenyl)-2-(benzyloxy)-N-methylacetamide; 2-(4-amino-N-methylphenylsulfonamido)acetic acid; 1-(4-aminophenyl)-4-hydroxy-N,N-dimethylpyrrolidine-2-carboxamide; 1-(4-aminophenyl)-N,N-dimethylpiperidine-3-carboxamide; N-(1-(4-aminophenyl)piperidin-4-yl)-N-methylacetamide; 1-(4-(4-aminophenyl)piperidin-1-yl)-2-(dimethylamino)ethan-1-one, 4-(1-(4,4,4-trifluorobutyl)piperidin-4-yl)aniline; 3-methyl-4-(6-(piperazin-1-yl)pyridin-3-yl)aniline; 1-(1-(2-(methylsulfonylethyl)piperidin-4-yl)-1H-pyrazol-4-amine; 1-(4-(5-aminopynidin-2-yl)piperidin-1-yl)-2-(dimethylamino)ethan-1-one; 4-(1-(ethylsulfonyl)piperidin-4-yl)aniline; 2-((3-aminophenyl)imino)-N-(2-(benzylamino)ethyl)acetamide; 1-(4-(4-aminophenyl)-3-methylpiperazin-1-yl)-2-methoxyethan-1-one; N-(1-(2-amino-5-fluoropyrimidin-4-yl)piperidin-4-yl)-2-cyanoacetamide; 4-((4-(methylsulfonyl)piperazin-1-yl)methyl)aniline; 4-(4-(methylsulfonyl)-1,4-diazepan-1-yl)aniline; 4-(1-(methylsulfonyl)-1,2,3,6-tetrahydropyridin-4-yl)aniline; 4-(2-(methylsulfonyl)-1,2,3,6-tetrahydropyridin-4-yl)aniline; 2-amino-4-(methyl(1-methylpiperidin-4-yl)amino)pyrimidine-5-carboxamide; 4-(4-(ethylsulfonyl)piperazin-1-yl)aniline; 1-(4-(4-aminobenzoyl)piperazin-1-yl)ethan-1-one; 4-(2-methyl-4-(methylsulfonyl)piperazin-1-yl)aniline; 2,6-diisopropyl-4-phenoxyaniline; 2-methyl-4-(4-(methylsulfonyl)piperazin-1-yl)aniline; 3-methyl-4-(1-(2-morpholinoethyl)-1H-pyrazol-4-yl)aniline; 4-(1-(2-(methylsulfonyl)ethyl)piperidin-4-yl)aniline; 1-(4-(4-amino-2-methylphenyl)piperidin-1-yl)-2-(dimethylamino)ethan-1-one; 5-amino-2-(morpholine-4-carbonyl)benzofuran-3(2H)-one; tert-butyl (6-amino-4H-chromen-4-yl)carbamate; 2-amino-4-(3,5-dimethylphenyl)pyrimidine-5-carboxamide; (1-(4-aminophenyl)piperidin-4-yl)(pyrrolidin-1-yl)methanone; 4-acetyl-1-(4-aminophenyl)piperazine-2-carboxamide; 3-(4-(4-aminophenyl)piperidin-1-yl)-1,1,1-trifluoropropan-2-ol; tert-butyl 3-(4-aminophenyl)pyrrolidine-1-carboxylate; ethyl 1-(3-aminobenzoyl)piperidine-4-carboxylate; (1-(4-aminophenyl)piperidin-4-yl)(morpholino)methanone; (1-(4-aminophenyl)piperidin-4-yl)(piperidin-1-yl)methanone; 4-acetyl-1-(4-aminophenyl)-N-methylpiperazine-2-carboxamide; tert-butyl 4-(4-aminophenyl)piperidine-1-carboxylate; butyl 2-(4-amino-N-methylphenylsulfonamido)acetate; 4-(4-(cyclopropylsulfonyl)piperazin-1-yl)aniline; N-(1-(4-aminophenyl)piperidin-4-yl)-N-methylmethanesulfonamide; 4-(4-(ethylsulfonyl)-2-methylpiperazin-1-yl)aniline; 3-methyl-4-(1-(2-(methylsulfonyl)ethyl)piperidin-4-yl)aniline; (4-aminophenyl)(4-(methylsulfonyl)piperazin-1-yl)methanone; 4-(4-(cyclopropylsulfonyl)-2-methylpiperazin-1-yl)aniline; 1-(4-(4-aminophenyl)piperidin-1-yl)-2-(methylsulfonyl)ethan-1-one; methyl 4-((6-amino-2H-indazol-2-yl)methyl)-3-methoxybenzoate; methyl 4-((6-amino-1H-indazol-1-yl)methyl)-3-methoxybenzoate; 4-((6-amino-1H-indazol-1-yl)methyl)-3-methoxy-N-methylbenzamide; 2-isopropyl-5-methylcyclohexyl 5-amino-2,3-dihydrobenzofuran-2-carboxylate; ethyl 4-amino-3-(2-amino-5-nitrobenzyl)-4-oxobutanoate; 3,4-bis(3-(trifluoromethyl)-1H-pyrazol-1-yl)aniline.

[0086]

Especially preferably, R1can be derived from the following amines:

[0087]

4-(4-(4-methylpiperazin-1-yl)piperidin-1-yl)aniline; 3-fluoro-4-morpholinoaniline; 4-fluoro-3-(methylsulfonyl)aniline; 3-((dimethylamino)methyl) aniline; (4-aminophenyl)(4-(4-methylpiperazin-1-yl)piperidin-1-yl)methanone; (3-aminophenyl)(morpholino)methanone; 3-(tert-butyl)aniline; 4-morpholinoaniline; 4-(4-cyclopropylpiperazin-1-yl)aniline; 6-morpholinopyridin-3-amine; 6-amino-2,3-dihydrobenzo[b]thiophene 1,1-dioxide; 6-aminobenzo[b]thiophene 1,1-dioxide; (4-aminophenyl)(morpholino)methanone; 4-(morpholinomethyl)aniline; 3-methoxy-4-morpholinoaniline, 1,3-dihydroisobenzofuran-5-amine; 4-(4-(4-methylpiperazin-1-yl)piperidin-1-yl)methyl)aniline; 3-(morpholinomethyl)aniline; 2-(3-aminophenyl)-2-methylpropanenitrile; 3-(4-aminophenyl)oxazolidin-2-one; 5-cyclopropyl-1H-pyrazol-3-amine; (4-amino-2-fluorophenyl)(morpholino)methanone; (4-amino-2-nitrophenyl)(morpholino)methanone; 4-(oxazol-2-yl)aniline; 4-(oxazol-5-yl)aniline; 4-(4-(tert-butyl)piperazin-1-yl)aniline; pyridazin-4-amine; 3-(methylsulfonyl)-4-nitroaniline; 3-(methylsulfonyl)aniline; 3,4-dimethoxyaniline; 1-(4-(4-aminophenyl)piperazin-1-yl)ethan-1-one; 7-amino-3,4-dihydroquinolin-2(1H)-one; 4-((dimethylamino)methyl)aniline; 2-methylisoindolin-5-amine; 2-(methylthio)-1H-benzo[d]imidazol-5-amine; 4-(4-(methylsulfonyl)piperazin-1-yl)aniline; 4-(4-aminophenyl)morpholin-3-one; (4-aminophenyl)(pyrrolidin-1-yl)methanone; (4-aminophenyl)(4-methylpiperazin-1-yl)methanone; 4-aminobenzamide; 1-(4-aminophenyl)pyrrolidin-2-one; 5-amino-2-morpholinobenzonitrile; 8-amino-4,5-dihydro-1H-benzo[b]azepin-2(3H)-one; 6-(4-methylpiperazin-1-yl)pyridin-3-amine; cyclopropanamine; 1-methyl-1H-pyrazol-4-amine; 5-(4-aminophenyl)-1,3,4-oxadiazole-2-thiol; 1-(tetrahydro-2H-pyran-4-yl)-1H-pyrazol-4-amine; 4-(4-morpholinopiperidin-1-yl)aniline; N2,N2-dimethylpyridine-2,5-diamine; 3-(methylsulfonyl)-4-morpholinoaniline; 1-(4-(5-aminopyridin-2-yl)piperazin-1-yl)ethan-1-one; 6-(4-(4-methylpiperazin-1-yl)piperidin-1-yl)pyridin-3-amine; 1,5-dimethyl-1H-pyrazol-4-amine; 1,3-dimethyl-1H-pyrazol-4-amine; 2-((4-aminophenyl)amino)ethan-1-ol; 1-(2-methoxyethyl)-1H-pyrazol-4-amine; 1-(methylsulfonyl)-1H-pyrazol-4-amine; 1-(1-methylpiperidin-4-yl)-1H-pyrazol-4-amine; 1-(4-(4-amino-1H-pyrazol-1-yl)piperidin-1-yl)ethan-1-one; 1-methyl-1H-1,2,3-triazol-4-amine; 2-methyl-2H-1,2,3-triazol-4-amine; 1-methyl-1H-pyrazol-3-amine.

[0088]

Furthermore preferably, R1can be derived from the following amines:

[0089]

methanamine; 2-aminoethane-1-thiol; ethane-1,2-diamine; 2-methylpropan-1-amine; furan-2-ylmethanamine; pyrimidin-4-amine; pyridin-4-ylmethanamine; pyridin-2-ylmethanamine; pyridin-3-ylmethanamine; 2-fluoroaniline; 3-methylpyridin-4-amine; 2-(pyridin-4-yl)ethan-1-amine; 1-methyl-1H-pyrazol-3-amine; (2-methoxyphenyl)methanamine; 4-aminocyclohexanol; 6-fluoropyridin-2-amine; (S)-butane-1,2-diamine; 1-amino-3-methylbut-3-en-1-ol; benzene-1,4-diamine; 5-aminopyridin-2-ol; 2-aminobenzonitrile; 2-(1H-imidazol-5-yl)ethan-1-amine; 2-(methylthio)pyrimidin-4-amine; (2-ethoxyphenyl)methanamine; 2,6-difluoroaniline; 6-chloropyridin-3-amine; 2-methoxypyridin-4-amine; 6-methoxypyridazin-3-amine; 1-ethyl-5-methyl-1H-pyrazol-3-amine; (4-methoxyphenyl)methanamine; (4-chlorophenyl)methanamine; (3-chlorophenyl)methanamine; 2-chloro-6-methylaniline; benzo[d]isoxazol-6-amine; benzo[d]oxazol-5-amine; benzo[d]oxazol-6-amine; 4-((methylamino)methyl)aniline; 3-ethynylaniline; 3-aminopicolinamide; 2-aminonicotinamide; N1-isopropyl-2-methylpropane-1,2-diamine; 2-fluoro-6-methylpyrimidin-4-amine; 4-chloro-3-methoxyaniline; 4-aminonicotinic acid; 2-aminobenzoic acid; 2-((5-aminopyridin-2-yl)oxy)ethan-1-ol; (3-amino-1H-pyrazol-5-yl)methanol; 4-(2-(methylamino)ethyl)aniline; 2-aminothiazole-4-carboxamide; methyl 2-aminonicotinate; 1-(3-aminophenyl)ethan-1-ol; 2-((4-aminobenzyl)amino)ethan-1-ol; methyl 4-aminonicotinate; methyl 2-aminobenzoate; 6-(2-methoxyethoxyl)pyridin-3-amine; 4-(2-(methylamino)ethoxy)aniline; 3-ethoxy-4-methoxyaniline; 6-((2-aminoethyl)amino)nicotinonitrile; 5-aminopicolinamide; 6-aminopicolinamide; 2-(methylsulfinyl)pyrimidin-4-amine; 2-methylbenzo[d]oxazol-5-amine; 2-(4-amino-2-methoxyphenoxy)ethan-1-ol; 4-aminobenzimidamide; 3-methoxy-4-propoxyaniline; 4-(((2-methoxyethyl)amino)methyl)aniline; 2,5-dimethoxyaniline; ethyl 2-aminobenzoate; 2-amino-6-((2-aminoethyl)amino)nicotinonitrile; (R)-1-phenylethan-1-amine; 3-cyclopropyl-1H-pyrazol-5-amine; 2-((5-aminopyridin-2-yl)(methyl)amino)ethan-1-ol; 4-amino-N-methylbenzimidamide; 2-(3-aminophenyl)acetic acid; 2-((6-aminopyridin-3-yl)(methyl)amino)ethan-1-ol; 2-(4-amino-2-methoxyphenoxy)acetonitrile; 4-amino-N-hydroxybenzamide; 2,4,6-trifluoroaniline; 4-((2-methoxyethoxy)methoxy)aniline; N2,N2-diethylpyridine-2,5-diamine; 4-((ethyl(methyl)amino)methyl)aniline; ethyl 4-aminobenzoate; 4-amino-2-((2-aminoethyl)amino)thiazole-5-carbonitrile; 2-aminobenzenesulfonamide; ethyl 6-aminonicotinate; 5-morpholinopyridin-2-amine; 4-amino-N,N′-dimethylbenzimidamide; N-(5-amino-2-hydroxyphenyl)acetamide; ethyl 4-aminobenzimidate; 3-(4-aminophenyl)propanoic acid; 2-((4-aminobenzyl)(methyl)amino)ethan-1-ol; 2-morpholinopyrimidin-5-amine; 6-morpholinopyridazin-3-amine; 6-(piperazin-1-yl)pyridin-3-amine; 4-((1H-imidazol-1-yl)methyl)aniline; 4-amino-N-methoxybenzamide; N5-(2-methoxyethyl)-N5-methylpyridine-2,5-diamine; N2-(2-methoxyethyl)-N2-methylpyridine-2,5-diamine; 2-(4-aminophenyl)-N-methylacetimidamide; 3-amino-N,2-dimethylbenzamide; 2,4-diaminobenzamide; 6-((1-aminopropan-2-yl)amino)nicotinonitrile; 6-((2-aminopropyl)amino)nicotinonitrile; (4-aminophenyl)dimethylphosphine oxide; 1-(5-aminopyridin-2-yl)azetidin-3-ol; 3-methyl-1H-indazol-5-amine; 4-amino-N-cyclopropylnicotinamide; 2-(5-aminopyridin-2-yl)-2-methylpropan-1-ol; 4-amino-3-methylbenzamide; 4-amino-3-methylbenzimidamide; 1-(6-aminopyridin-3-yl)azetidin-3-ol; 4-(1,4-diazepan-1-yl)aniline; 4-(piperazin-1-ylmethyl)aniline; methyl 4-amino-2-methoxybenzoate; 4-(((2-methoxyethyl)(methyl)amino)methyl)aniline; 2-(4-aminophenyl)-N,N′-dimethylacetimidamide; 2-amino-5-methoxybenzamide; 1-(6-aminopyridin-2-yl)pyrrolidin-3-ol; 2-(methylsulfonyl)pyrimidin-4-amine; 4-(2-(dimethylamino)ethoxy)-3-methoxyaniline; 4-((1,4-diazepan-1-yl)methyl)aniline; 4-(1H-imidazol-2-yl)aniline; 2-(3-aminophenyl)propanoic acid; 4-amino-N-(4-aminophenyl)butanamide; 4-amino-N-(3-aminophenyl)butanamide; 1-((5-aminopyridin-2-yl)oxy)-2-methylpropan-2-ol; 1-((6-aminopyridin-3-yl)oxy)-2-methylpropan-2-ol; 4-amino-N,N-dimethylbenzimidamide; 2-(4-aminophenyl)propanoic acid; 4-amino-N,3-dimethylbenzamide; (3,4,5-trimethoxyphenyl)methanamine; N2-phenethylpyrimidine-2,4-diamine; N1-(5-(trifluoromethyl)pyridin-2-yl)ethane-1,2-diamine; 4-amino-N-methylbenzenesulfonamide; 3-methoxy-4-(piperidin-4-yloxy)aniline; 3-methyl-4-(piperazin-1-yl)aniline; 4-(3-methylpiperazin-1-yl)aniline; N-(4-aminobenzyl)-N-methylacetamide; 2-(3-aminophenyl)-N,N-dimethylacetamide; 2-(4-aminophenyl)-N,N-dimethylacetimidamide; 4-((1H-tetrazol-5-yl)methyl)aniline; 2-amino-5-isopropylthiazole-4-carboxamide; 1-(4-aminophenyl)-3-methylazetidin-3-amine; (2-aminopropyl)(tert-butyl)carbamic acid; 1-(5-aminopyridin-2-yl)-3-methylazetidin-3-ol; 3-methoxy-4-(1H-pyrazol-5-yl)aniline; 1-(4-aminophenyl)piperidin-4-one; 1-(6-aminopyridin-3-yl)-3-methylazetidin-3-ol; 4-(4-aminophenyl)thiomorpholine 1-oxide; N1-(4-aminobenzyl)-N1,N2,N2-trimethylethane-1,2-diamine; ethyl 2-(4-aminophenyl)propanoate; 4-((3-methylpiperazin-1-yl)methyl)aniline; 3-((3-methylpiperazin-1-yl)methyl)aniline; (6-aminopyridin-3-yl)(morpholino)methanone; 1-(2-amino-6-((2-aminoethyl)amino)pyridin-3-yl)propan-1-one; methyl 2-amino-6-((2-aminoethyl)amino)nicotinate; 4-(4-aminobenzyl)piperazin-2-one; N-(3-aminophenyl)tetrahydrofuran-2-carboxamide; 4-(1H-imidazol-2-yl)-3-methylaniline; 2-(4-aminobenzamido)acetic acid; 2-(4-aminophenyl)-N-(2-hydroxyethyl)-N-methylacetamide; N-(2-(4-aminophenoxyl)ethyl)-N-methylacetamide; 4-((((methylsulfonyl)methyl)amino)methyl)aniline; N-(3-aminophenyl)furan-2-carboxamide; N-(4-aminophenyl)furan-2-carboxamide; 4-(imino(morpholino)methyl)aniline; 4-((4-methyl-1,4-diazepan-1-yl)methyl)aniline; (S)-1-(4-aminophenyl)pyrrolidin-3-ol; (S)-2-(3-aminopyrrolidin-1-yl)pyrimidin-4-amine; (S)-4-((tetrahydrofuran-2-yl)methoxy)aniline; N1-(5-nitrothiazol-2-yl)ethane-1,2-diamine; (S)-1-(4-aminopyrimidin-2-yl)pyrrolidin-3-ol; ethyl 2-amino-6-((2-aminoethyl)amino)nicotinate; N2-(1-phenylpropan-2-yl)pyrimidine-2,4-diamine; 1-(5-aminopyridin-2-yl)-4-methylpiperidin-4-ol; 2-(3-aminophenyl)-1-morpholinoethan-1-one; 2-(4-aminophenyl)-1-morpholinoethan-1-one; 2-(3-amino-1H-pyrazol-5-yl)-N-cyclopropylacetamide; 1-(5-aminopyridin-2-yl)-3-methylpiperidin-3-ol; N-(4-aminophenyl)isonicotinamide; N-(4-aminophenyl)benzamide; 4-(3,5-dimethylpiperazin-1-yl)aniline; (4-aminophenyl)(1,4-diazepan-1-yl)methanone; 4-((5,6-dihydroimidazo[1,2-a]pyrazin-7(8H)-yl)methyl)aniline; 1-(4-aminobenzyl)pyrrolidine-2-carboxylic acid; 4-(2-imino-2-morpholinoethyl)aniline; methyl 2-(4-aminobenzamido)acetate; (S)-1-(4-aminophenyl)piperidin-3-ol; (S)-(1-(4-aminophenyl)pyrrolidin-3-yl)methanol; (R)-(4-(4-aminophenyl)morpholin-3-yl)methanol; 2-amino-4-(trifluoromethyl)thiazole-5-carboxamide; N1-(5-nitropyridin-2-yl)ethane-1,2-diamine; 6,6-diphenylhex-5-en-1-amine; tert-butyl(4-aminophenyl)carbamate; methyl 1-(4-aminobenzyl)pyrrolidine-2-carboxylate; (4-amino-2-methoxyphenyl)(morpholino)methanone; 6-(4-isopropylpiperazin-1-yl)pyridin-3-amine; tert-butyl(3-aminophenyl)carbamate; 2-amino-N-(4-aminophenyl)benzamide; 4-amino-N-benzylbenzamide; 3-((3,5-dimethylpiperazin-1-yl)methyl)aniline; (S)-(4-(4-aminophenyl)morpholin-2-yl)methanol; (S)-1-(4-amino-2-methoxyphenyl)pyrrolidin-3-ol; N2-(2-aminoethyl)-5-nitropyridine-2,6-diamine; 6-((2-aminoethyl)thio)-3-nitropyridin-2-amine; (S)-3-methoxy-4-((tetrahydrofuran-2-yl)methoxy)aniline; 6-(2-aminoethoxy)-3-nitropyridin-2-amine; (6-aminopyridin-3-yl)(4-methylpiperazin-1-yl)methanone; (S)-(4-(5-aminopyridin-2-yl)morpholin-2-yl)methanol; 1-(4-aminobenzyl)-3-isopropyl-1-methylurea; (S)-1-(4-amino-2-methoxyphenyl)piperidin-3-ol; (R)-1-(4-aminophenyl)-3-methylpyrrolidin-3-ol; (R)—N2-(1-phenylethyl)pyrimidine-2,4-diamine; (S)-(1-(4-amino-2-methoxyphenyl)pyrrolidin-3-yl)methanol; (S)-1-(4-amino-2-ethoxyphenyl)pyrrolidin-3-ol; N2-(3-aminopropyl)-5-nitropyridine-2,6-diamine; 1-(4-(4-aminobenzyl)piperazin-1-yl)ethan-1-one; 4-(4-aminobenzoyl)piperazin-2-one; 4-amino-N-(4-aminophenyl)benzamide; 2-(4-aminophenyl)-N-cyclooctylacetamide; 5-(aminomethyl)-N-(4-aminophenyl)furan-2-carboxamide; 4-((3-methyl-5,6-dihydro-[1,2,4]triazolo[4,3-a]pyrazin-7(8H)-yl)methyl)aniline; 2-(4-aminophenyl)-1-morpholinopropan-1-one; 2-(4-aminophenyl)-1-(4-methylpiperazin-1-yl)ethan-1-one; 2-(3-aminophenyl)-1-(4-methylpiperazin-1-yl)ethan-1-one; (4-aminophenyl)(4-ethylpiperazin-1-yl)methanone; (R)-1-(4-aminophenyl)-3-methylpiperidin-3-ol; (S)-(4-(4-amino-2-methoxyphenyl)morpholin-2-yl)methanol; 4-(aminomethyl)-N-(4-aminophenyl)benzamide; (R)-1-(5-aminopyridin-2-yl)-3-methylpiperidin-3-ol; (4-aminophenyl)(5,6-dihydroimidazo[1,2-a]pyrazin-7(8H)-yl)methanone; N-(aminomethyl)-N-(4-aminophenyl)benzamide; 2-(aminomethyl)-N-(4-aminophenyl)isonicotinamide; 5-(aminomethyl)-N-(4-aminophenyl)nicotinamide; 4-(aminomethyl)-N-(4-aminophenyl)picolinamide; 5-(aminomethyl)-N-(4-aminophenyl)picolinamide; 6-(aminomethyl)-N-(4-aminophenyl)picolinamide; 6-(aminomethyl)-N-(4-aminophenyl)nicotinamide; 3-(aminomethyl)-N-(4-aminophenyl)benzamide; 3-(aminomethyl)-N-(3-aminophenyl)benzamide; 4-(aminomethyl)-N-(3-aminophenyl)benzamide; N4-((1H-indol-5-yl)methyl)pyrimidine-2,4-diamine; ethyl 4-(4-aminophenyl)piperazine-1-carboxylate; 1-(2-amino-6-((2-aminoethyl)amino)pyridin-3-yl)-2,2,2-trifluoroethan-1-one; (R)-1-(4-amino-2-methoxyphenyl)-3-methylpyrrolidin-3-ol; N2-(2-aminopropyl)-5-nitropyridine-2,6-diamine; 2-((1R,4S)-2,5-diazabicyclo[2.2.1]heptan-2-yl)pyrimidin-4-amine; N2-(1-aminopropan-2-yl)-5-nitropyridine-2,6-diamine; 4-(2-aminoethyl)-N-(4-aminophenyl)benzamide; 4-(2-aminoethyl)-N-(3-aminophenyl)benzamide; N-(4-aminophenyl)-2-(3-chlorophenyl)acetamide; (4-aminophenyl)(hexahydro-1H-pyrido[1,2-a]pyrazin-2(6H)-yl)methanone; 2-(4-aminophenyl)-N,N-diisopropylacetamide; N-(4-aminophenyl)-2-(4-methoxyphenyl)acetamide; N-(3-aminophenyl)-2-(4-methoxyphenyl)acetamide; N-(4-aminophenyl)-4-((methylamino)methyl)benzamide; N-(3-aminophenyl)-4-((methylamino)methyl)benzamide; (R)—N2-methyl-N2-(1-phenylethyl)pyrimidine-2,4-diamine; N-(4-aminophenyl)-1,2,3,4-tetrahydroisoquinoline-6-carboxamide; 4′-fluoro-5-(trifluoromethoxy)-[1,1′-biphenyl]-2-amine; N-(3-aminophenyl)-1,2,3,4-tetrahydroisoquinoline-6-carboxamide; N-(3-aminophenyl)-1,2,3,4-tetrahydroisoquinoline-7-carboxamide; N-(4-aminophenyl)-1,2,3,4-tetrahydroisoquinoline-7-carboxamide; (S)-3-(4-aminophenyl)-1,4-dimethylpiperazin-2-one; (4-aminophenyl)(3-methyl-5,6-dihydro-[1,2,4]triazolo[4,3-a]pyrazin-7(8H)-yl)methanone; N-(4-aminophenyl)-4-(((2-hydroxyethy)amino)methypbenzamide; 4-(aminomethyl)-N-(4-aminophenyl)-2-fluorobenzamide; 4-(aminomethyl)-N-(3-aminophenyl)-2-fluorobenzamide; N-(4-aminophenyl)-3,4-dichlorobenzamide; N-(4-aminophenyl)-4-((dimethylamino)methyl)benzamide; 4-((2R,6R)-2,6-dimethylmorpholino)aniline; N-(4-aminophenyl)-4-guanidinobenzamide; 2-(4-aminophenyl)-1-(hexahydro-1H-pyrido[1,2-a]pyrazin-2(6H)-yl)propan-1-one; tert-butyl 4-(4-aminophenyl)piperazine-1-carboxylate; N-(3-aminophenyl)-4-(2-aminopropan-2-yl)benzamide; N-(4-aminophenyl)-4-(2-aminopropan-2-yl)benzamide; N-(3-aminophenyl)-4-(tert-butyl)benzamide; N-(4-aminophenyl)-4-(tert-butyl)benzamide; N-(3-aminophenyl)-4-(piperidin-3-yl)benzamide; 3-amino-4-methyl-N-(3-(trifluoromethyl)phenyl)benzamide; N-(3-amino-4-methylphenyl)-3-(trifluoromethyl)benzamide; 3-amino-N-(3-aminophenyl)-2-(3,4-dichlorophenyl)propanamide; 4-amino-N-(4-aminophenyl)-2-(3,4-dichlorophenyl)butanamide; N-(4-aminophenyl)-4-((4-methylpiperazin-1-yl)methyl)benzamide; N-(3-amino-4-methylphenyl)-4-methoxy-3-(trifluoromethyl)benzamide; N-(4-aminophenyl)-4-(((2-(methylsulfonyl)ethyl)amino)methyl)benzamide; tert-butyl ((5-((4-aminophenyl)carbamoyl)furan-2-yl)methyl)carbamate; tert-butyl (4-((4-aminophenyl)carbamoyl)benzyl)carbamate; tert-butyl ((2-(4-aminophenyl)carbamoyl)pyridin-4-yl)methyl)carbamate; tert-butyl (4-((4-aminophenyl)carbamoyl)phenethyl)carbamate; tert-butyl 6-((4-aminophenyl)carbamoyl)-3,4-dihydroisoquinoline-2(1H)-carboxylate; tert-butyl (2-(4-((3-aminophenyl)carbamoyl)phenyl)propan-2-yl)carbamate; tert-butyl (3-((3-aminophenyl)amino)-2-(3,4-dichlorophenyl)-3-oxopropyl)carbamate; tert-butyl (4-((4-aminophenyl)amino)-3-(3,4-dichlorophenyl)-4-oxobutyl)carbamate; tert-butyl (4-((4-aminophenyl)carbamoyl)benzyl)(2-((tetrahydro-2H-pyran-2-yl)oxy)ethyl)carbamate.

[0090]

Furthermore preferably, R1can be derived from the following compounds (e.g. ureas, amides):

[0091]

urea; 1-methylurea; propionamide; 1-ethylurea; 1-(2-hydroxyethyl)urea; 1-propylurea; cyclopropanecarboxamide; 1-(3-hydroxypropyl)urea; 1-isopropylurea; 1-(2-cyanoethyl)urea; ethanesulfonamide; thiazole-4-carboxamide; furan-2-carboxamide; 1,2,3-thiadiazole-4-carboxamide; thiazole-5-carboxamide; isoxazole-3-carboxamide; 1-isobutylurea; thiophene-3-carboxamide; furan-3-carboxamide; picolinamide; cyclohexanecarboxamide; 1-methyl-1H-pyrazole-5-carboxamide; nicotinamide; 1-methyl-1H-imidazole-2-carboxamide; 1-methyl-1H-pyrrole-2-carboxamide; benzamide; 1-methyl-1H-1,2,4-triazole-5-carboxamide; 2-methylfuran-3-carboxamide; 1-(3-(dimethylamino)propyl)urea; 2-morpholinoacetamide; 3-fluoropicolinamide; 3-methylpicolinamide; 2-methylnicotinamide; 2-methylbenzamide; 1-(tert-butyl)urea; 2-(pyridin-2-yl)acetamide; 5-bromothiazole-4-carboxamide; 2-fluorobenzamide; 4-methoxythiophene-3-carboxamide; 2-(piperidin-1-yl)acetamide; 2-(tetrahydro-2H-pyran-4-yl)acetamide; 2-chlorofuran-3-carboxamide; 1-ethyl-1H-pyrazole-5-carboxamide; 2-methylthiazole-4-carboxamide; 3-phenylpropanamide; 3-chloropicolinamide; 3-bromopicolinamide; 1H-pyrazole-3-carboxamide; 2-methoxynicotinamide; 3-methoxypicolinamide; 1H-imidazole-2-carboxamide; 1-(2-fluoroethyl)-1H-pyrazole-5-carboxamide; 1-methyl-1H-1,2,4-tri azole-3-carboxamide; 1-methyl-1H-imidazole-4-carboxamide; 2-methyloxazole-4-carboxamide; 4-methylthiophene-2-carboxamide; 1H-imidazole-4-carboxamide; 1H-pyrazole-5-carboxamide; 2-methoxybenzamide; 1-methyl-1H-pyrazole-3-carboxamide; 1-vinyl-1H-pyrazole-5-carboxamide; 5-methylisoxazole-3-carboxamide; 5-methylfuran-2-carboxamide; 6-methylpicolinamide; 6-fluoropicolinamide; 4-methylmorpholine-2-carboxamide, 5-methylpicolinamide; 5-oxopyrrolidine-3-carboxamide; 1-(3-(1H-imidazol-1-yl)propyl)urea; 5-chloro furan-2-carboxamide; 5-fluoropicolinamide; 1,3-dimethyl-1H-pyrazole-5-carboxamide; 2-ethoxynicotinamide; 2-ethoxybenzamide; 1-ethyl-1H-pyrazole-3-carboxamide; 2-(3-methyl-1H-pyrazol-1-yl)acetamide; 3-methylbenzamide; 4-morpholinobutanamide; 1,4-dimethyl-1H-pyrazole-5-carboxamide; 1-methylpiperidine-4-carboxamide; 1-isopropyl-1H-pyrazole-5-carboxamide; 6-(methylamino)picolinamide; 5-isopropylthiazole-4-carboxamide; 4-(methylamino)picolinamide; 1-isopropyl-1H-1,2,4-triazole-5-carboxamide; 1-isopropyl-1H-1,2,3-triazole-5-carboxamide; 6-methoxypicolinamide; 6-chloropicolinamide; 5-bromopicolinamide; 1-(3-thiomorpholinopropyl)urea; 5-isopropyloxazole-4-carboxamide; 1-isopropyl-1H-imidazole-2-carboxamide; 5-isopropylisoxazole-4-carboxamide; 1-(di fluoromethyl)-1H-pyrazole-5-carboxamide; 1-(2-fluoroethyl)-1H-pyrazole-3-carboxamide; 2,3-difluorobenzamide; 6-methoxypyrazine-2-carboxamide; 4-chloro-1-methyl-1H-pyrazole-5-carboxamide; 6-bromopicolinamide; 1-(3-morpholinopropyl)urea; 2,6-difluorobenzamide; 1-ethyl-4-fluoro-1H-pyrazole-5-carboxamide; 1-ethyl-3-methyl-1H-pyrazole-5-carboxamide; 1,4-dimethyl-1H-pyrazole-3-carboxamide; 4-chloro-1-ethyl-1H-pyrazole-5-carboxamide; 2,5-dimethyloxazole-4-carboxamide; 3-isopropylpicolinamide; 6-(ethylamino)picolinamide; 1,5-dimethyl-1H-pyrazole-3-carboxamide; 4-cyanobenzamide; 2-methoxy-3-methylbenzamide; 2-methoxy-4-methylbenzamide; 2-methoxy-5-methylbenzamide; 4-fluoro-1-methyl-1H-pyrazole-3-carboxamide; 2,5-dimethylthiazole-4-carboxamide; 5-methyl-1H-pyrazole-3-carboxamide; pyrazolo[1,5-a]pyridine-2-carboxamide; 3-methyl-1H-pyrazole-5-carboxamide;

[0092]

2-isopropyl-2H-1,2,3-triazole-4-carboxamide; 3-(prop-1-en-2-yl)picolinamide; isoquinoline-1-carboxamide; 4-chloro-1H-pyrazole-5-carboxamide; 3,5-difluoropicolinamide; 2,5-difluorobenzamide; 2,4-difluorobenzamide; 3-ethyl-1H-pyrazole-5-carboxamide; 1-isopropyl-1H-pyrazole-3-carboxamide; 2-(difluoromethoxy)benzamide; 3-(dimethylamino)benzamide; 6-(dimethylamino)picolinamide; 6-chloro-3-fluoropicolinamide; 4-bromo-1,3-dimethyl-1H-pyrazole-5-carboxamide; 2-acetylthiazole-4-carboxamide; 3-cyclopropyl-1-methyl-1H-pyrazole-5-carboxamide; 6-oxo-1,6-dihydropyridine-2-carboxamide; 5-((dimethylamino)methyl)furan-2-carboxamide; 1-(3-(4-methylpiperazin-1-yl)propyl)urea; 4-fluoro-1-isopropyl-1H-pyrazole-5-carboxamide; 1H-indazole-1-carboxamide; 4-(trifluoromethyl)thiazole-5-carboxamide; 6-(cyclopropylamino)picolinamide; 6-((dimethylamino)methyl)picolinamide; 6-(isopropylamino)picolinamide; 1H-benzo[d]imidazole-2-carboxamide; 1-(2,2,2-trifluoroethyl)-1H-pyrazole-5-carboxamide; 1H-indole-2-carboxamide; 3,6-dichloropicolinamide; 4-chloro-1-isopropyl-1H-pyrazole-3-carboxamide; 1-acetylpiperidine-4-carboxamide; 4-((dimethylamino)methyl)-5-methylisoxazole-3-carboxamide; 4-acetylmorpholine-2-carboxamide; 1-ethyl-3-isopropyl-1H-pyrazole-5-carboxamide; 4-chloro-1-isopropyl-1H-pyrazole-5-carboxamide; 1-((tetrahydro-2H-pyran-4-yl)methyl)-1H-pyrazole-5-carboxamide; 2-(pyrrolidin-1-yl)isonicotinamide; 6-(pyrrolidin-1-yl)picolinamide; 6-(diethylamino)picolinamide; 3-isopropyl-1-methyl-1H-pyrazole-5-carboxamide; 5-isopropyl-2-methylthiazole-4-carboxamide; 2-(trifluoromethyl)thiazole-4-carboxamide; 2-phenylthiazole-4-carboxamide; 5-(trifluoromethyl)furan-2-carboxamide; 1-ethyl-3-isobutyl-1H-pyrazole-5-carboxamide; 5-(pyrrolidin-1-ylmethyl)furan-2-carboxamide; 3-isopropyl-1H-pyrazole-5-carboxamide; 2-(piperidin-1-ylmethyl)thiazole-4-carboxamide; 2-(morpholinomethyl)thiazole-4-carboxamide; 5-(morpholinomethyl)isoxazole-3-carboxamide; 1-methyl-4-(trifluoromethyl)-1H-pyrazole-5-carboxamide; 3-(methylsulfonyl)picolinamide, 6-morpholinopicolinamide; 5-morpholinopicolinamide; 5-(piperidin-1-yl)picolinamide; 2-benzylthiazole-4-carboxamide; 1-isopropyl-5-oxopyrrolidine-3-carboxamide; 1-methyl-3-(trifluoromethyl)-1H-pyrazole-5-carboxamide; 3-(tert-butyl)-1-methyl-1H-pyrazole-5-carboxamide; 1-((tetrahydro-2H-pyran-4-yl)methyl)-1H-pyrazole-3-carboxamide; 2′-chloro-[1,1′-biphenyl]-2-carboxamide; 2-chloro-5-isopropylthiazole-4-carboxamide; 3-isobutyl-1-methyl-1H-pyrazole-5-carboxamide; 5-acetyl-2-methylthiazole-4-carboxamide; 5-methyl-4-(pyrrolidin-1-ylmethyl)isoxazole-3-carboxamide; 3-isobutyl-1H-pyrazole-5-carboxamide; 6-(morpholinomethyl)picolinamide; 6-(piperidin-1-ylmethyl)picolinamide; 6-((tetrahydro-2H-pyran-4-yl)oxy)picolinamide; 3-(dimethylamino)-6-(methylamino)picolinamide; 2-((1,4-oxazepan-4-yl)methyl)thiazole-4-carboxamide; 6-((tetrahydro-2H-pyran-4-yl)amino)picolinamide; 3-chloro-6-(dimethylamino)picolinamide; 6-chloro-3-(dimethylamino)picolinamide; 5-(2-methylthiazol-4-yl)isoxazole-3-carboxamide; 5-methyl-4-(morpholinomethyl)isoxazole-3-carboxamide; 1-methyl-3-(morpholinomethyl)-1H-pyrazole-5-carboxamide; 5-methyl-4-(piperidin-1-ylmethyl)isoxazole-3-carboxamide; 3-chloro-6-morpholinopicolinamide; 3-chloro-6-(piperidin-1-yl)picolinamide; 3-(dimethylamino)-6-(ethylamino)picolinamide; 1-(methylsulfonyl)piperidine-4-carboxamide; 2-methyl-5-(trifluoromethyl)oxazole-4-carboxamide; 1-(tert-butyl)-3-methyl-1H-pyrazole-5-carboxamide; 2-((2-methylmorpholino)methyl)thiazole-4-carboxamide; 6-(4-methylpiperazin-1-yl)picolinamide; 1-methyl-5-(morpholinomethyl)-1H-pyrazole-3-carboxamide; 6-((1-methylpiperidin-4-yl)amino)picolinamide; 2-((2-ethylmorpholino)methyl)thiazole-4-carboxamide; 6-(methyl(tetrahydro-2H-pyran-4-yl)amino)picolinamide; 6-(4-methylpiperazin-1-yl)methyl)picolinamide; 6-chloro-3-morpholinopicolinamide, 6-chloro-3-(piperidin-1-yl)picolinamide; (1R,2S)-2-phenylcyclopropanecarboxamide; 5-isopropyl-2-(morpholinomethyl)thiazole-4-carboxamide; 6-(2-methoxy-5-methylphenyl)picolinamide; 3-(dimethylamino)-6-morpholinopicolinamide; 3-(dimethylamino)-6-(piperidin-1-yl)picolinamide; 1-isopropyl-3-(morpholinomethyl)-1H-pyrazole-5-carboxamide; 2-((hexahydro-2H-benzo[b][1,4]oxazin-4-(3H)-yl)methyl)thiazole-4-carboxamide; 6-(4-methyl-3-oxopiperazin-1-yl)methyl)picolinamide; 2-((2,2-dimethylmorpholino)methyl)thiazole-4-carboxamide; 2-((hexahydro-1H-pyrido[1,2-a]pyrazin-2(6H)-yl)methyl)thiazole-4-carboxamide; 2-((3,3-dimethylpiperidin-1-yl)methyl)thiazole-4-carboxamide; 2-((4,4-dimethylpiperidin-1-yl)methyl)thiazole-4-carboxamide; tert-butyl 4-carbamoyl-3-methyl-1H-pyrazole-1-carboxylate; 1-(3-(4-(methylsulfonyl)piperazin-1-yl)propyl)urea; 2-((4-isopropylpiperazin-1-yl)methyl)thiazole-4-carboxamide; 6-((4,4-difluoropiperidin-1-yl)methyl)picolinamide; 6-((hexahydro-2H-benzo[b][1,4]oxazin-4-(3H)-yl)methyl)picolinamide; 6-((hexahydro-1H-pyrido[1,2-a]pyrazin-2(6H)-yl)methyl)picolinamide; 6-((3,3-dimethylpiperidin-1-yl)methyl)picolinamide; 6-((4,4-dimethylpiperidin-1-yl)methyl)picolinamide; 1-methyl-3-(morpholine-4-carbonyl)-1H-pyrazole-5-carboxamide; 1-isopropyl-5-(morpholinomethyl)-1H-pyrazole-3-carboxamide; 6-((4-isopropylpiperazin-1-yl)methyl)picolinamide; 2-((4-isopropyl-3-methylpiperazin-1-yl)methyl)thiazole-4-carboxamide; 2-((2-isobutylmorpholino)methyl)thiazole-4-carboxamide; 6-((4-isopropylpiperidin-1-yl)methyl)picolinamide; 2-(6-oxa-9-azaspiro[4.5]decan-9-ylmethyl)thiazole-4-carboxamide; 2-((4-isobutylpiperazin-1-yl)methyl)thiazole-4-carboxamide; 2-((1,1-dioxidothiomorpholino)methyl)thiazole-4-carboxamide; 6-((4-isopropyl-3-methylpiperazin-1-yl)methyl)picolinamide; 6-((1,1-dioxidothiomorpholino)methyl)picolinamide; 6-((4-isobutylpiperazin-1-yl)methyl)picolinamide; 6-((2-isobutylmorpholino)methyl)picolinamide; benzyl 3-carbamoyl-4-hydroxypyrrolidine-1-carboxylate; 2-((4-cyclopentylpiperazin-1-yl)methyl)thiazole-4-carboxamide; 2-(3-(pyridin-3-yl)pyrrolidin-1-yl)methyl)thiazole-4-carboxamide; 6-((4-acetylpiperazin-1-yl)methyl)picolinamide; 2-(1-benzamidoethyl)thiazole-4-carboxamide; 2-((4-(pentan-3-yl)piperazin-1-yl)methyl)thiazole-4-carboxamide; 6-(4-cyclopentylpiperazin-1-yl)methyl)picolinamide; 6-((4-(pentan-3-yl)piperazin-1-yl)methyl)picolinamide; 2-((2-(pyrrolidin-1-ylmethyl)morpholino)methyl)thiazole-4-carboxamide; tert-butyl 4-carbamoyl-3-cyclopropyl-1H-pyrazole-1-carboxylate; 6-((2-(pyrrolidin-1-ylmethyl)morpholino)methyl)picolinamide; 6-((3-phenylpiperidin-1-yl)methyl)picolinamide; 2-(((6S)-2,6-dimethylmorpholino)methyl)thiazole-4-carboxamide; 2-((3-(benzyloxy)piperidin-1-yl)methyl)thiazole-4-carboxamide; 2-((4-(2-morpholinoethyl)piperazin-1-yl)methyl)thiazole-4-carboxamide; 6-((4-(methylsulfonyl)piperazin-1-yl)methyl)picolinamide; 6-((2-(phenoxymethyl)morpholino)methyl)picolinamide; 6-((3-(benzyloxy)piperidin-1-yl)methyl)picolinamide, 6-((4-(2-morpholinoethyl)piperazin-1-yl)methyl)picolinamide; 2-((4-(4-fluorophenyl)piperazin-1-yl)methyl)thiazole-4-carboxamide; 2-(((2R,6R)-2,6-dimethylmorpholino)methyl)thiazole-4-carboxamide; 6-((4-(4-fluorophenyl)piperazin-1-yl)methyl)picolinamide; 2-(((2R,6S)-2,6-dimethylmorpholino)methyl)thiazole-4-carboxamide; 6-(((2R,6R)-2,6-dimethylmorpholino)methyl)picolinamide, 6-(((2R,6S)-2,6-dimethylmorpholino)methyl)picolinamide.

[0093]

Moreover especially preferably, R1can be derived from the following amines:

[0094]

1-ethyl-1H-pyrazol-4-amine; 1,5-dimethyl-1H-pyrazol-4-amine; 3-methyl-1H-pyrazol-4-amine; 2-(4-amino-1H-pyrazol-1-yl)ethan-1-ol, 1-propyl-1H-pyrazol-4-amine; 1-(2-fluoroethyl)-1H-pyrazol-4-amine; 1-ethyl-5-methyl-1H-pyrazol-4-amine; 5-methoxy-1-methyl-1H-pyrazol-4-amine; N5,1-dimethyl-1H-pyrazole-4,5-diamine; 5-chloro-1-methyl-1H-pyrazol-4-amine; 5-(fluoromethyl)-1-methyl-1H-pyrazol-4-amine; 3-(4-amino-1H-pyrazol-1-yl)propan-1-ol; 1-(2-methoxyethyl)-1H-pyrazol-4-amine; 1,3-dimethyl-1H-pyrazol-4-amine; 1-butyl-1H-pyrazol-4-amine; 5-methyl-1-propyl-1H-pyrazol-4-amine; 4-amino-1-methyl-1H-pyrazole-5-carbonitrile; 5-chloro-1-ethyl-1H-pyrazol-4-amine; 1-(2-fluoroethyl)-5-methyl-1H-pyrazol-4-amine; 1-isopropyl-1H-pyrazol-4-amine; 1-(difluoromethyl)-1H-pyrazol-4-amine; 3-(4-amino-1H-pyrazol-1-yl)propanenitrile; 1-ethyl-3-methyl-1H-pyrazol-4-amine; 1-cyclopropyl-1H-pyrazol-4-amine; 1-(2-methoxyethyl)-5-methyl-1H-pyrazol-4-amine; 1,3,5-trimethyl-1H-pyrazol-4-amine; 1-butyl-5-methyl-1H-pyrazol-4-amine; 1-(oxetan-3-yl)-1H-pyrazol-4-amine; 1-(cyclopropylmethyl)-1H-pyrazol-4-amine; 1-isopropyl-3-methyl-1H-pyrazol-4-amine; 1-(difluoromethyl)-3-methyl-1H-pyrazol-4-amine; 1-(difluoromethyl)-5-methyl-1H-pyrazol-4-amine; 3-methyl-1-propyl-1H-pyrazol-4-amine; 1-isopropyl-5-methyl-1H-pyrazol-4-amine; 5-cyclopropyl-1-methyl-1H-pyrazol-4-amine; 1-(2-fluoroethyl)-3-methyl-1H-pyrazol-4-amine; N5,N5,1-trimethyl-1H-pyrazole-4,5-diamine; 5-isopropyl-1-methyl-1H-pyrazol-4-amine; 3-(4-amino-5-methyl-1H-pyrazol-1-yl)propanenitrile; 1-(tetrahydrofuran-3-yl)-1H-pyrazol-4-amine; 3-methyl-1-(oxetan-3-yl)-1H-pyrazol-4-amine; 1-(2-methoxyethyl)-3-methyl-1H-pyrazol-4-amine; 1-(1-methoxypropan-2-yl)-1H-pyrazol-4-amine; 1-(2-methoxypropyl)-1H-pyrazol-4-amine; 5-cyclobutyl-1-methyl-1H-pyrazol-4-amine; 5-methyl-1-(oxetan-3-yl)-1H-pyrazol-4-amine; 1-(cyclopropylmethyl)-3-methyl-1H-pyrazol-4-amine; 5-chloro-1-cyclopropyl-1H-pyrazol-4-amine; 5-chloro-1-isopropyl-1H-pyrazol-4-amine; 1-(cyclopropylmethyl)-5-methyl-1H-pyrazol-4-amine; 1-(tetrahydro-2H-pyran-4-yl)-1H-pyrazol-4-amine; 1-(pyridin-2-yl)-1H-pyrazol-4-amine; 2-(4-amino-1H-pyrazol-1-yl)cyclopentanol; 1-(pyrimidin-5-yl)-1H-pyrazol-4-amine; 1-(tetrahydro-2H-pyran-3-yl)-1H-pyrazol-4-amine; 2-(4-amino-1H-pyrazol-1-yl)-N-methylacetamide; 1-(pyrimidin-2-yl)-1H-pyrazol-4-amine; 1-(piperidin-3-yl)-1H-pyrazol-4-amine; 3-(4-amino-3-methyl-1H-pyrazol-1-yl)propanenitrile; 5-methyl-1-(tetrahydrofuran-3-yl)-1H-pyrazol-4-amine; 3-methyl-1-(tetrahydrofuran-3-yl)-1H-pyrazol-4-amine; 3-isopropyl-1-methyl-1H-pyrazol-4-amine; 3-cyclopropyl-1-methyl-1H-pyrazol-4-amine; 5-chloro-1-(cyclopropylmethyl)-1H-pyrazol-4-amine; 5-chloro-1-(oxetan-3-yl)-1H-pyrazol-4-amine; 1-(4-amino-1H-pyrazol-1-yl)-2-methylpropan-2-ol; 1-(2,2,2-trifluoroethyl)-1H-pyrazol-4-amine; 2-(4-amino-1H-pyrazol-1-yl)-2-methylpropan-1-ol; 1-(pyridin-3-ylmethyl)-1H-pyrazol-4-amine; 1-(pyrimidin-2-ylmethyl)-1H-pyrazol-4-amine; 1-(pyrazin-2-ylmethyl)-1H-pyrazol-4-amine, 1-(pyrimidin-4-ylmethyl)-1H-pyrazol-4-amine; 1-(pyridazin-3-ylmethyl)-1H-pyrazol-4-amine; 1-(pyridin-2-ylmethyl)-1H-pyrazol-4-amine; 1-(3-methylpyridin-4-yl)-1H-pyrazol-4-amine; 3-methyl-1-(tetrahydro-2H-pyran-4-yl)-1H-pyrazol-4-amine; 5-methyl-1-(tetrahydro-2H-pyran-4-yl)-1H-pyrazol-4-amine; 5-methyl-1-phenyl-1H-pyrazol-4-amine; 3-methyl-1-phenyl-1H-pyrazol-4-amine; 1-(3-fluoropiperidin-4-yl)-1H-pyrazol-4-amine; 1-(2-methoxycyclopentyl)-1H-pyrazol-4-amine; 3-methyl-1-(pyridin-2-yl)-1H-pyrazol-4-amine; 3-cyclobutyl-1-methyl-1H-pyrazol-4-amine; 5-methyl-1-(tetrahydro-2H-pyran-3-yl)-1H-pyrazol-4-amine; 3-methyl-1-(pyrimidin-2-yl)-1H-pyrazol-4-amine; 3-methyl-1-(pyrimidin-5-yl)-1H-pyrazol-4-amine; 3-methyl-1-(tetrahydro-2H-pyran-3-yl)-1H-pyrazol-4-amine; 3-methyl-1-(piperidin-3-yl)-1H-pyrazol-4-amine; 2-(4-amino-5-methyl-1H-pyrazol-1-yl)-N-methylacetamide; 2-(4-amino-1H-pyrazol-1-yl)-2-methylpropanenitrile; 1-(methylsulfonyl)-1H-pyrazol-4-amine; 1-((3-methyloxetan-3-yl)methyl)-1H-pyrazol-4-amine; 1-(1-methoxy-2-methylpropan-2-yl)-1H-pyrazol-4-amine; 1-(4-amino-1H-pyrazol-1-yl)cyclopropanecarbonitrile; 1-(4-amino-1H-pyrazol-1-yl)-3-methylbutan-2-ol; 1′-methyl-1′H-[1,4′-bipyrazol]-4-amine; 2-(4-amino-1H-pyrazol-1-yl)pentan-3-ol; 1-(4-amino-3-methyl-1H-pyrazol-1-yl)-2-methylpropan-2-ol; 3-methyl-1-(2,2,2-trifluoroethyl)-1H-pyrazol-4-amine; 1-(2-methoxy-2-methylpropyl)-1H-pyrazol-4-amine; 1-(1-methylpyrrolidin-3-yl)-1H-pyrazol-4-amine; 5-chloro-1-(tetrahydro-2H-pyran-4-yl)-1H-pyrazol-4-amine; 5-methyl-1-(2,2,2-trifluoroethyl)-1H-pyrazol-4-amine; 1-(4-amino-5-methyl-1H-pyrazol-1-yl)-2-methylpropan-2-ol; 5-methyl-1-(pyrimidin-2-ylmethyl)-1H-pyrazol-4-amine; 5-methyl-1-(pyrazin-2-ylmethyl)-1H-pyrazol-4-amine; 5-methyl-1-(pyrimidin-4-ylmethyl)-1H-pyrazol-4-amine; 5-methyl-1-(pyridazin-3-ylmethyl)-1H-pyrazol-4-amine; 5-methyl-1-(pyridin-3-ylmethyl)-1H-pyrazol-4-amine; 5-methyl-1-(pyridin-2-ylmethyl)-1H-pyrazol-4-amine; 3-methyl-1-(pyrimidin-2-ylmethyl)-1H-pyrazol-4-amine; 3-methyl-1-(pyrazin-2-ylmethyl)-1H-pyrazol-4-amine; 3-methyl-1-(pyrimidin-4-ylmethyl)-1H-pyrazol-4-amine; 3-methyl-1-(pyridazin-3-ylmethyl)-1H-pyrazol-4-amine; 3-methyl-1-(pyridin-3-ylmethyl)-1H-pyrazol-4-amine; 3-methyl-1-(pyridin-2-ylmethyl)-1H-pyrazol-4-amine; 1-(1-methylpiperidin-4-yl)-1H-pyrazol-4-amine; 1-(4-fluorophenyl)-1H-pyrazol-4-amine; 3-(4-amino-1H-pyrazol-1-yl)-2,2-dimethylpropanenitrile; 1-(2-methylpyridin-4-yl)-1H-pyrazol-4-amine; 1-(ethylsulfonyl)-1H-pyrazol-4-amine; (R)-1-(2-methoxypropyl)-1H-pyrazol-4-amine; 1-(4-amino-1H-pyrazol-1-yl)cyclobutanecarbonitrile; 1-((1-methyl-1H-pyrazol-3-yl)methyl)-1H-pyrazol-4-amine; 1-(1-methylpiperidin-3-yl)-1H-pyrazol-4-amine; 3-methyl-1-(methylsulfonyl)-1H-pyrazol-4-amine; 2-(4-amino-1H-pyrazol-1-yl)-N,N-dimethylacetamide; 3-methyl-1-((3-methyloxetan-3-yl)methyl)-1H-pyrazol-4-amine; 1-(3-methoxycyclopentyl)-1H-pyrazol-4-amine; 2-(4-amino-3-methyl-1H-pyrazol-1-yl)cyclopentanol; 2-(4-amino-5-methyl-1H-pyrazol-1-yl)-2-methylpropanenitrile; 5-methyl-1-((3-methyloxetan-3-yl)methyl)-1H-pyrazol-4-amine; 1-(4-amino-3-chloro-1H-pyrazol-1-yl)-2-methylpropan-2-ol; 1-(4-amino-5-chloro-1H-pyrazol-1-yl)-2-methylpropan-2-ol; 1-(4-amino-5-methyl-1H-pyrazol-1-yl)-3-methylbutan-2-ol; 2-(4-amino-5-chloro-1H-pyrazol-1-yl)-2-methylpropan-1-ol; 5-methyl-1-(methylsulfonyl)-1H-pyrazol-4-amine; 1-(1-methoxy-2-methylpropan-2-yl)-5-methyl-1H-pyrazol-4-amine; 2-(4-amino-3-methyl-1H-pyrazol-1-yl)-N-methylacetamide; 1′,5-dimethyl-1′H-[1,4′-bipyrazol]-4-amine; 2-(4-amino-5-methyl-1H-pyrazol-1-yl)pentan-3-ol; 1-(4-chlorophenyl)-1 ii-pyrazol-4-amine; 5-(4-amino-1H-pyrazol-1-yl)piperidin-2-one; (S)-1-(1-methoxypropan-2-yl)-1H-pyrazol-4-amine; (S)-2-(4-amino-1H-pyrazol-1-yl)propanenitrile; 1-(1-(pyridin-2-yl)ethyl)-1H-pyrazol-4-amine; 1-(6-methylpyridin-2-yl)methyl)-1H-pyrazol-4-amine; (S)-2-(4-amino-5-methyl-1H-pyrazol-1-yl)propanenitrile; 1-(4-amino-5-methyl-1H-pyrazol-1-yl)cyclobutanecarbonitrile; 1-(4-fluorophenyl)-5-methyl-1H-pyrazol-4-amine; (R)-1-(2-methoxypropyl)-5-methyl-1H-pyrazol-4-amine; 5-methyl-1-(1-methylpiperidin-4-yl)-1H-pyrazol-4-amine; 1-(ethylsulfonyl)-5-methyl-1H-pyrazol-4-amine; 3-methyl-1-(3-methylpyridin-4-yl)-1H-pyrazol-4-amine; 2-(4-amino-5-chloro-1H-pyrazol-1-yl)-2-methylpropanenitrile; 3-(4-amino-5-methyl-1H-pyrazol-1-yl)-2,2-dimethylpropanenitrile; 1-(4-amino-5-chloro-1H-pyrazol-1-yl)cyclopropanecarbonitrile; 1-(3-fluoropiperidin-4-yl)-3-methyl-1H-pyrazol-4-amine; 1-(2-methoxycyclopentyl)-3-methyl-1H-pyrazol-4-amine; 5-methyl-1-((1-methyl-1H-pyrazol-3-yl)methyl)-1H-pyrazol-4-amine; 5-methyl-1-(1-methylpiperidin-3-yl)-1H-pyrazol-4-amine; 5-chloro-1-((3-methyloxetan-3-yl)methyl)-1H-pyrazol-4-amine; 2-(4-amino-3-ethyl-1H-pyrazol-1-yl)-2-methylpropanenitrile; 5-methyl-1-(2-methylpyridin-4-yl)-1H-pyrazol-4-amine; 4-(4-amino-1H-pyrazol-1-yl)benzonitrile; 1-(1-(2-fluoroethyl)piperidin-4-yl)-1H-pyrazol-4-amine; 2-(4-amino-1H-pyrazol-1-yl)-2-methylpropanamide; 1-(1-isopropylazetidin-3-yl)-1H-pyrazol-4-amine; 2-(4-amino-3-methyl-1H-pyrazol-1-yl)-2-methylpropanenitrile; 3-(4-amino-5-chloro-1H-pyrazol-1-yl)-2,2-dimethylpropanenitrile; 1-(4-chlorophenyl)-5-methyl-1H-pyrazol-4-amine; (S)-1-(1-methoxypropan-2-yl)-5-methyl-1H-pyrazol-4-amine; 5-(4-amino-5-methyl-1H-pyrazol-1-yl)piperidin-2-one; 1-(4-amino-3-methyl-1H-pyrazol-1-yl)cyclopropanecarbonitrile; 5-methyl-1-(1-(pyridin-2-yl)ethyl)-1H-pyrazol-4-amine; 3-methyl-1-(1-(pyridin-2-yl)ethyl)-1H-pyrazol-4-amine; 1-(1-methoxy-2-methylpropan-2-yl)-3-methyl-1H-pyrazol-4-amine; 1′,3-dimethyl-1′H-[1,4′-bipyrazol]-4-amine; 2-(4-amino-3-methyl-1H-pyrazol-1-yl)pentan-3-ol; 1-(4-amino-3-methyl-1H-pyrazol-1-yl)-3-methylbutan-2-ol; 5-methyl-1-((6-methylpyridin-2-yl)methyl)-1H-pyrazol-4-amine; 2-(4-amino-1H-pyrazol-1-yl)-N,2-dimethylpropanamide; 1-(isopropylsulfonyl)-1H-pyrazol-4-amine; 1-(cyclopropylsulfonyl)-1H-pyrazol-4-amine; 1-(3,5-difluorophenyl)-1H-pyrazol-4-amine; methyl 2-(4-amino-1H-pyrazol-1-yl)-2-methylpropanoate; 1-(3-fluoro-1-methylpiperidin-4-yl)-1H-pyrazol-4-amine; 1-(2,2-dimethyl-1,3-dioxan-5-yl)-1H-pyrazol-4-amine; 1-(2,6-dimethyltetrahydro-2H-pyran-4-yl)-1H-pyrazol-4-amine; 1-(4,4-difluorocyclohexyl)-1H-pyrazol-4-amine; 4-(4-amino-5-methyl-1H-pyrazol-1-yl)benzonitrile; 1-(1-(oxetan-3-yl)azetidin-3-yl)-1H-pyrazol-4-amine; 1-(4-amino-3-cyclopropyl-1H-pyrazol-1-yl)-2-methylpropan-2-ol; 1-(1-(2-fluoroethyl)piperidin-4-yl)-5-methyl-1H-pyrazol-4-amine; 1-(4-fluorophenyl)-3-methyl-1H-pyrazol-4-amine; (R)-1-(2-methoxypropyl)-3-methyl-1H-pyrazol-4-amine; (S)-1-(1-methoxypropan-2-yl)-3-methyl-1H-pyrazol-4-amine; 3-methyl-1-(1-methylpiperidin-4-yl)-1H-pyrazol-4-amine; 1-(ethylsulfonyl)-3-methyl-1H-pyrazol-4-amine; 2-(4-amino-3-methyl-1H-pyrazol-1-yl)-N,N-dimethylacetamide; (S)-2-(4-amino-3-methyl-1H-pyrazol-1-yl)propanenitrile; 2-(4-amino-3-chloro-1H-pyrazol-1-yl)-2-methylpropanenitrile; 3-(4-amino-3-methyl-1H-pyrazol-1-yl)-2,2-dimethylpropanenitrile; 1-(4-amino-3-methyl-1H-pyrazol-1-yl)cyclobutanecarbonitrile; 2-(4-amino-3-methyl-1H-pyrazol-1-yl)-2-methylpropanamide; 1-(3-methoxycyclopentyl)-3-methyl-1H-pyrazol-4-amine; 3-methyl-1-((1-methyl-1H-pyrazol-3-yl)methyl)-1H-pyrazol-4-amine; 3-methyl-1-(1-methylpiperidin-3-yl)-1H-pyrazol-4-amine; 1-(1-isopropylazetidin-3-yl)-5-methyl-1H-pyrazol-4-amine; 3-methyl-1-(2-methylpyridin-4-yl)-1H-pyrazol-4-amine; 2-(4-amino-1H-pyrazol-1-yl)-N-ethyl-2-methylpropanamide; 1-(1-ethyl-3-fluoropiperidin-4-yl)-1H-pyrazol-4-amine; 1-(sec-butylsulfonyl)-1H-pyrazol-4-amine; 1-(2-(1-methyl-1H-pyrazol-5-yl)propan-2-yl)-1H-pyrazol-4-amine; 5-(4-amino-1H-pyrazol-1-yl)-1-methylpiperidin-2-one; (R)-1-(1-methylpiperidin-3-yl)-1H-pyrazol-4-amine; 1-(cyclopropylsulfonyl)-3-methyl-1H-pyrazol-4-amine; 1-(2-(4-methyl-4H-1,2,4-triazol-3-yl)propan-2-yl)-1H-pyrazol-4-amine; methyl 2-(4-amino-5-methyl-1H-pyrazol-1-yl)-2-methylpropanoate; 1-(4-chlorophenyl)-3-methyl-1H-pyrazol-4-amine; 1-(isopropylsulfonyl)-5-methyl-1H-pyrazol-4-amine; 1-(isopropylsulfonyl)-3-methyl-1H-pyrazol-4-amine; 1-(3,5-difluorophenyl)-5-methyl-1H-pyrazol-4-amine; 1-(1-(2-methoxyethyl)piperidin-4-yl)-5-methyl-1H-pyrazol-4-amine; 2-(4-amino-5-methyl-1H-pyrazol-1-yl)-N,2-dimethylpropanamide; 5-(4-amino-3-methyl-1H-pyrazol-1-yl)piperidin-2-one; 3-(4-amino-3-chloro-1H-pyrazol-1-yl)-2,2-dimethylpropanenitrile; 1-(cyclopropylsulfonyl)-5-methyl-1H-pyrazol-4-amine; 1-(2,2-dimethyl-1,3-dioxan-5-yl)-3-methyl-1H-pyrazol-4-amine; 3-methyl-1-(1-(oxetan-3-yl)azetidin-3-yl)-1H-pyrazol-4-amine; 1-(4,4-difluorocyclohexyl)-3-methyl-1H-pyrazol-4-amine; 1-(2,6-dimethyltetrahydro-2H-pyran-4-yl)-5-methyl-1H-pyrazol-4-amine; 1-(4,4-difluorocyclohexyl)-5-methyl-1H-pyrazol-4-amine; 3-methyl-1-((6-methylpyridin-2-yl)methyl)-1H-pyrazol-4-amine; 1-(4-(4-amino-1H-pyrazol-1-yl)piperidin-1-yl)ethan-1-one; 1-(1-(oxetan-3-yl)piperidin-4-yl)-1H-pyrazol-4-amine; 1-(2-methyl-2-morpholinopropyl)-1H-pyrazol-4-amine; 1-(2-methyl-1-morpholinopropan-2-yl)-1H-pyrazol-4-amine; 4-(4-amino-3-methyl-1H-pyrazol-1-yl)benzonitrile; 4-(4-amino-1H-pyrazol-1-yl)tetrahydro-2H-thiopyran 1,1-dioxide; 1-(4-amino-1H-pyrazol-1-yl)-N-ethylcyclobutanecarboxamide; 1-(1-isobutylpiperidin-4-yl)-1H-pyrazol-4-amine; 3-methyl-1-(2-(1-methyl-1H-pyrazol-5-yl)propan-2-yl)-1H-pyrazol-4-amine; 1-(1-(2-fluoroethyl)piperidin-4-yl)-3-methyl-1H-pyrazol-4-amine; 5-chloro-1-(3-fluoro-1-methylpiperidin-4-yl)-1H-pyrazol-4-amine; 3-methyl-1-(2-(4-methyl-4H-1,2,4-triazol-3-yl)propan-2-yl)-1H-pyrazol-4-amine; 2-(4-amino-5-chloro-1H-pyrazol-1-yl)-N,2-dimethylpropanamide; (R)-5-methyl-1-(1-methylpiperidin-3-yl)-1H-pyrazol-4-amine; 1-(1-isopropylazetidin-3-yl)-3-methyl-1H-pyrazol-4-amine; 1-(sec-butylsulfonyl)-5-methyl-1H-pyrazol-4-amine; 2-(4-amino-5-ethyl-1H-pyrazol-1-yl)-N,2-dimethylpropanamide; 1-(3-fluoro-1-(oxetan-3-yl)piperidin-4-yl)-1H-pyrazol-4-amine; 1-(2-(4H-1,2,4-triazol-3-yl)propan-2-yl)-1H-pyrazol-4-amine; 1-(1-((1,3-dioxolan-2-yl)methyl)pyrrolidin-3-yl)-1H-pyrazol-4-amine; 1-(2-(1-methyl-1H-pyrazol-4-yl)propan-2-yl)-1H-pyrazol-4-amine; 1-(2-(1-methyl-1H-pyrazol-3-yl)propan-2-yl)-1H-pyrazol-4-amine; 2-(4-amino-3-methyl-1H-pyrazol-1-yl)-N,2-dimethylpropanamide; 2-(4-amino-1H-pyrazol-1-yl)-N,N,2-trimethylpropanamide; 1-(2-(5-methyl-1,3,4-oxadiazol-2-yl)propan-2-yl)-1H-pyrazol-4-amine; 1-(2-(1-methyl-1H-1,2,4-triazol-3-yl)propan-2-yl)-1H-pyrazol-4-amine; 1-(1-(2,2,2-trifluoroethyl)azetidin-3-yl)-1H-pyrazol-4-amine; 2-(4-amino-3-cyclopropyl-1H-pyrazol-1-yl)-2-methylpropanenitrile; 3-methyl-1-(2-methyl-1-morpholinopropan-2-yl)-1H-pyrazol-4-amine; 1-(3,5-difluorophenyl)-3-methyl-1H-pyrazol-4-amine; methyl 2-(4-amino-3-methyl-1H-pyrazol-1-yl)-2-methylpropanoate; 1-(1-(2-methoxyethyl)piperidin-4-yl)-3-methyl-1H-pyrazol-4-amine; 1-(4-amino-5-(trifluoromethyl)-1H-pyrazol-1-yl)-2-methylpropan-2-ol; 1-(4-amino-3-(trifluoromethyl)-1H-pyrazol-1-yl)-2-methylpropan-2-ol; 3-methyl-1-(2-methyl-2-morpholinopropyl)-1H-pyrazol-4-amine; 1-(4-amino-3-(tert-butyl)-1H-pyrazol-1-yl)-2-methylpropan-2-ol; 3-methyl-1-(1-(oxetan-3-yl)piperidin-4-yl)-1H-pyrazol-4-amine; 1-(3-fluoro-1-methylpiperidin-4-yl)-3-methyl-1H-pyrazol-4-amine; 1-(4-(4-amino-5-methyl-1H-pyrazol-1-yl)piperidin-1-yl)ethan-1-one; 2-(4-amino-5-ethyl-1H-pyrazol-1-yl)-N-ethyl-2-methylpropanamide; 1-(4-amino-5-methyl-1H-pyrazol-1-yl)-N-ethylcyclobutanecarboxamide; 5-chloro-1-(1-ethyl-3-fluoropiperidin-4-yl)-1H-pyrazol-4-amine; 1-(1-isobutylpiperidin-4-yl)-5-methyl-1H-pyrazol-4-amine; 1-(2,6-dimethyltetrahydro-2H-pyran-4-yl)-3-methyl-1H-pyrazol-4-amine; 5-methyl-1-(2-methyl-2-morpholinopropyl)-1H-pyrazol-4-amine; 4-(4-amino-5-methyl-1H-pyrazol-1-yl)tetrahydro-2H-thiopyran 1,1-dioxide; 5-methyl-1-(1-(oxetan-3-yl)piperidin-4-yl)-1H-pyrazol-4-amine; (R)-2-(4-amino-1H-pyrazol-1-yl)-N,N-dimethylpropanamide; 1-(1,3-dioxolan-2-yl)methyl)piperidin-4-yl)-1H-pyrazol-4-amine; 2-(4-amino-1H-pyrazol-1-yl)-N-isopropyl-2-methylpropanamide; 1-(2-(4H-1,2,4-triazol-3-yl)propan-2-yl)-3-methyl-1H-pyrazol-4-amine; 1-(1-(methylsulfonyl)azetidin-3-yl)-1H-pyrazol-4-amine; 2-(4-amino-3-methyl-1H-pyrazol-1-yl)-N-ethyl-2-methylpropanamide; 1-(1-((1,3-dioxolan-2-yl)methyl)pyrrolidin-3-yl)-5-methyl-1H-pyrazol-4-amine; 2-(4-amino-5-methyl-1H-pyrazol-1-yl)-N,N,2-trimethylpropanamide; 3-methyl-1-(1-(2,2,2-trifluoroethyl)azetidin-3-yl)-1H-pyrazol-4-amine; 1-(1-((1,3-dioxolan-2-yl)methyl)pyrrolidin-3-yl)-3-methyl-1H-pyrazol-4-amine; 5-methyl-1-(2-(1-methyl-1H-pyrazol-4-yl)propan-2-yl)-1H-pyrazol-4-amine; (R)-3-methyl-1-(1-methylpiperidin-3-yl)-1H-pyrazol-4-amine; 1-(sec-butylsulfonyl)-3-methyl-1H-pyrazol-4-amine; 1-(1-(2,2,2-trifluoroethyl)piperidin-4-yl)-1H-pyrazol-4-amine; 2-(4-amino-1H-pyrazol-1-yl)-N-(cyclopropylmethyl)-2-methylpropanamide; 2-(4-amino-1H-pyrazol-1-yl)-2-methyl-1-(pyrrolidin-1-yl)propan-1-one; 5-chloro-1-(3-fluoro-1-(oxetan-3-yl)piperidin-4-yl)-1H-pyrazol-4-amine; 1-(1-((1,3-dioxolan-2-yl)methyl)piperidin-4-yl)-5-methyl-1H-pyrazol-4-amine; 3-methyl-1-(1-(methylsulfonyl)azetidin-3-yl)-1H-pyrazol-4-amine; 1-(1-((1,3-dioxolan-2-yl)methyl)piperidin-4-yl)-3-methyl-1H-pyrazol-4-amine; 3-cyclopropyl-1-(cyclopropylsulfonyl)-1H-pyrazol-4-amine; 1-(4-(4-amino-3-methyl-1H-pyrazol-1-yl)piperidin-1-yl)ethan-1-one; 2-(4-amino-5-methyl-1H-pyrazol-1-yl)-N-isopropyl-2-methylpropanamide; (4-(4-amino-1H-pyrazol-1-yl)piperidin-1-yl)(cyclopropyl)methanone; 1-(4-(methylsulfonyl)phenyl)-1H-pyrazol-4-amine; 1-(4-(4-amino-1H-pyrazol-1-yl)piperidin-1-yl)-2-methylpropan-1-one; (R)-1-(1-(oxetan-3-yl)pyrrolidin-3-yl)-1H-pyrazol-4-amine; 4-(4-amino-1H-pyrazol-1-yl)-N,N-dimethylbenzamide; (R)-2-(4-amino-1H-pyrazol-1-yl)-1-(pyrrolidin-1-yl)propan-1-one; 1-(2-(5-methyl-4H-1,2,4-triazol-3-yl)propan-2-yl)-1H-pyrazol-4-amine; 3-methyl-1-(1-(2,2,2-trifluoroethyl)piperidin-4-yl)-1H-pyrazol-4-amine; 5-methyl-1-(1-(2,2,2-trifluoroethyl)piperidin-4-yl)-1H-pyrazol-4-amine; 1-(3-fluoro-1-(oxetan-3-yl)piperidin-4-yl)-3-methyl-1H-pyrazol-4-amine; (R)-2-(4-amino-5-methyl-1H-pyrazol-1-yl)-N,N-dimethylpropanamide; 3-methyl-1-(2-(1-methyl-1H-pyrazol-3-yl)propan-2-yl)-1H-pyrazol-4-amine; 2-(4-amino-5-methyl-1H-pyrazol-1-yl)-N-(cyclopropylmethyl)-2-methylpropanamide; 2-(4-amino-3-methyl-1H-pyrazol-1-yl)-N-(cyclopropylmethyl)-2-methylpropanamide; 2-(4-amino-5-methyl-1H-pyrazol-1-yl)-2-methyl-1-(pyrrolidin-1-yl)propan-1-one; 3-methyl-1-(2-(1-methyl-1H-pyrazol-4-yl)propan-2-yl)-1H-pyrazol-4-amine; 3-methyl-1-(2-(1-methyl-1H-1,2,4-triazol-3-yl)propan-2-yl)-1H-pyrazol-4-amine; 2-(4-amino-3-ethyl-1H-pyrazol-1-yl)-N-isopropyl-2-methylpropanamide; 3-methyl-1-(2-(5-methyl-1,3,4-oxadiazol-2-yl)propan-2-yl)-1H-pyrazol-4-amine; (R)-1-(1-(oxetan-3-yl)piperidin-3-yl)-1H-pyrazol-4-amine; 2-(4-amino-1H-pyrazol-1-yl)-N-(tert-butyl)-2-methylpropanamide; 5-methyl-1-(4-(methylsulfonyl)phenyl)-1H-pyrazol-4-amine; 3-methyl-1-(4-(methylsulfonyl)phenyl)-1H-pyrazol-4-amine; 1-(4-(4-amino-5-methyl-1H-pyrazol-1-yl)piperidin-1-yl)-2-methylpropan-1-one; 4-(4-amino-5-methyl-1H-pyrazol-1-yl)-N,N-dimethylbenzamide; (4-(4-amino-5-methyl-1H-pyrazol-1-yl)piperidin-1-yl)(cyclopropyl)methanone; (R)-2-(4-amino-5-methyl-1H-pyrazol-1-yl)-1-(pyrrolidin-1-yl)propan-1-one; (R)-5-methyl-1-(1-(oxetan-3-yl)pyrrolidin-3-yl)-1H-pyrazol-4-amine; (R)-3-methyl-1-(1-(oxetan-3-yl)pyrrolidin-3-yl)-1H-pyrazol-4-amine; (R)-2-(4-amino-3-methyl-1H-pyrazol-1-yl)-N,N-dimethylpropanamide; 2-(4-amino-1H-pyrazol-1-yl)-2-methyl-N-(2,2,2-trifluoroethyl)propanamide; (R)-5-methyl-1-(1-(oxetan-3-yl)piperidin-3-yl)-1H-pyrazol-4-amine; (R)-3-methyl-1-(1-(oxetan-3-yl)piperidin-3-yl)-1H-pyrazol-4-amine; 2-(4-amino-5-methyl-1H-pyrazol-1-yl)-N-(tert-butyl)-2-methylpropanamide; 2-(4-amino-3-methyl-1H-pyrazol-1-yl)-N-(tert-butyl)-2-methylpropanamide; (4-(4-amino-1H-pyrazol-1-yl)piperidin-1-yl)(1-methylcyclopropyl)methanone; 1-((1R,5R)-8-oxabicyclo[3.2.1]octan-3-yl)-1H-pyrazol-4-amine; 1-(4-(4-amino-3-methyl-1H-pyrazol-1-yl)piperidin-1-yl)-2-methylpropan-1-one; (4-(4-amino-3-methyl-1H-pyrazol-1-yl)piperidin-1-yl)(cyclopropyl)methanone; 4-(4-amino-3-methyl-1H-pyrazol-1-yl)-N,N-dimethylbenzamide; 2-(4-amino-5-methyl-1H-pyrazol-1-yl)-2-methyl-N-(2,2,2-trifluoroethyl)propanamide; 3-methyl-1-(2-(5-methyl-4H-1,2,4-triazol-3-yl)propan-2-yl)-1H-pyrazol-4-amine; 1-(4-(cyclopropylsulfonyl)phenyl)-1H-pyrazol-4-amine; (R)-2-(4-amino-3-methyl-1H-pyrazol-1-yl)-1-(pyrrolidin-1-yl)propan-1-one; (4-(4-amino-3-methyl-1H-pyrazol-1-yl)piperidin-1-yl)(1-methylcyclopropyl)methanone; 1-((1R,5R)-8-oxabicyclo[3.2.1]octan-3-yl)-3-methyl-1H-pyrazol-4-amine; (4-(4-amino-5-methyl-1H-pyrazol-1-yl)piperidin-1-yl)(1-methylcyclopropyl)methanone; 1-(4-(cyclopropylsulfonyl)phenyl)-3-methyl-1H-pyrazol-4-amine; 1-(4-(cyclopropylsulfonyl)phenyl)-5-methyl-1H-pyrazol-4-amine.

[0095]

Further preferred, R1can be derived from the following compounds (e.g. amines): thiazol-5-amine; isothiazol-4-amine; pyrimidin-5-amine; pyridazin-4-amine; 3-methylisothiazol-5-amine; 3-methylisoxazol-5-amine; 6-methylpyridin-3-amine; 2-fluoropyridin-4-amine; 4-iodo-3-methylisothiazol-5-amine; 2-methylpyridin-4-amine; 5-fluoropyridin-3-amine; 3-ethylisothiazol-5-amine; 5-methylpyridin-3-amine; 6-fluoropyridin-3-amine; 4-fluoro-3-methylisothiazol-5-amine; 3,4-dimethylisothiazol-5-amine; (5-aminoisothiazol-3-yl)methanol; 3-(aminomethyl)aniline; 6-ethylpyridin-3-amine; thieno[2,3-c]isothiazol-3-amine; 5-chloropyridin-3-amine; 3-(methoxymethyl)isothiazol-5-amine; 5-methoxypyridin-3-amine; thieno[3,2-c]isothiazol-3-amine; 4-bromo-3-methylisothiazol-5-amine; 2-ethylpyridin-4-amine; 4-chloro-3-methylisothiazol-5-amine; 2-methoxypyrimidin-5-amine; 2,3-dimethylaniline; thieno[2,3-b]pyridin-3-amine; pyrazolo[1,5-a]pyridin-3-amine; 2,3-dihydro-1H-inden-5-amine; 6-methoxy-5-methylpyridin-3-amine; isothiazolo[3,4-b]pyridin-3-amine; 6-ethoxypyridin-3-amine; benzo[c]isothiazol-3-amine; isothiazolo[3,4-b]pyrazin-3-amine; imidazo[1,2-a]pyridin-7-amine; 5-aminopicolinonitrile; thiazolo[5,4-b]pyridin-6-amine; p-toluidine; 3-methoxypyridine-2,6-diamine; benzo[b]thiophen-5-amine; thieno[3,2-c]pyridin-3-amine; 3-(4-aminophenyl)propan-1-ol; 4-(2-aminoethoxy)aniline; 4-(3-fluoropropyl)aniline; isoquinolin-7-amine; 1,5-naphthyridin-3-amine; quinolin-7-amine; 1,8-naphthyridin-4-amine; quinolin-3-amine; isoquinolin-6-amine; 3-cyclopropylisothiazol-5-amine; 2,6-dimethylpyridin-4-amine; 1,8-naphthyridin-3-amine; quinolin-4-amine; isoquinolin-5-amine; 1,6-naphthyridin-3-amine; 3-isopropylisothiazol-5-amine; quinazolin-6-amine; 3-cyclopropylisoxazol-5-amine; isoquinolin-8-amine; isoquinolin-4-amine; isochroman-7-amine; isochroman-6-amine; 2-(4-aminophenyl)acetonitrile; 5-amino-2-fluorobenzonitrile; quinolin-2-amine; 5-amino-2-methylbenzonitrile; 1,2,3,4-tetrahydroquinolin-6-amine; 3,4-diaminopicolinonitrile; 5,6-dimethoxypyridin-2-amine; 3-fluoro-5-methylaniline; pyrido[2,3-b]pyrazin-7-amine; 5-methoxyindolin-6-amine; 4-(prop-2-yn-1-yloxy)aniline; 3-(4-aminophenoxyl)propan-1-ol; N2,N2-dimethylpyridine-2,5-diamine; N2,N2-dimethylpyridine-2,4-diamine; 2-cyclopropylpyridin-4-amine; 6-cyclopropylpyridin-3-amine; (3-amino-5-iodophenyl)methanol; 3-bromo-5-methylaniline; 4-(4-aminophenyl)butan-1-ol; 2-(3-aminophenoxyl)acetonitrile; 2-(4-aminophenoxyl)acetonitrile; 3-(4-aminophenyl)propanenitrile; 4-(4-fluorobutyl)aniline; N1-(prop-2-yn-1-yl)benzene-1,4-diamine; 3-(prop-2-yn-1-yloxy)aniline; 4-amino-6-chloronicotinonitrile; 3-amino-5-bromopicolinonitrile; 3-fluoro-5-methoxyaniline; 3-chloro-5-fluoroaniline; 4-(difluoromethoxy)aniline; 6-(azetidin-1-yl)pyridin-3-amine; 5-aminopicolinic acid; 3,5-dibromoaniline; 2-(4-amino-2-methylphenoxy)acetonitrile; methyl 5-aminothiophene-2-carboxylate; 3-fluoro-4-(prop-2-yn-1-yloxy)aniline; 3-(4-amino-2-fluorophenyl)propanenitrile; 3-methyl-4-(prop-2-yn-1-yloxy)aniline; 2-(4-amino-2-fluorophenoxy)acetonitrile; 3-(4-amino-2-methylphenyl)propanenitrile; 4-(but-2-yn-1-yloxy)aniline; 1-methyl-1H-pyrrolo[2,3-b]pyridin-4-amine; 6-aminobenzo[d]thiazol-2-ol; 3-(difluoromethoxy)aniline; 1H-pyrrolo[3,2-b]pyridin-6-amine; 6-fluoroquinolin-3-amine; 3-(oxazol-2-yl)aniline; 8-fluoroquinolin-6-amine; 7-fluoroquinolin-3-amine; 8-fluoroquinolin-3-amine; 2,3-dibromo-4-methylaniline; 3-(tert-butyl)isothiazol-5-amine; 4-(oxazol-2-yl)aniline; 2-cyclobutoxypyridin-4-amine; 3-phenylisothiazol-5-amine; 3-phenylisoxazol-5-amine; 5-aminobicyclo[4.2.0]octa-1,3,5-triene-2-carbonitrile; 2-(4-amino-2-(hydroxymethyl)phenoxy)acetonitrile; 2-(4-amino-2-chlorophenoxy)acetonitrile; 3-chloro-4-(prop-2-yn-1-yloxy)aniline; 3-(4-amino-2-chlorophenyl)propanenitrile; 5-(1H-pyrazol-1-yl)pyridin-3-amine; 5-chlorothiazolo[5,4-d]pyrimidin-7-amine; 6-chloro-[1,2,4]triazolo[1,5-a]pyridin-8-amine; 5-(2H-1,2,3-triazol-2-yl)pyridin-3-amine; 5-(1H-imidazol-1-yl)pyridin-3-amine; 6-(1H-pyrazol-1-yl)pyridin-3-amine; 2-(1H-pyrazol-1-yl)pyridin-4-amine; 5-(thiazol-2-yl)pyridin-3-amine; 6-chloroimidazo[1,2-a]pyridin-8-amine; 6-amino-3,4-dihydroquinolin-2(1H)-one; 6-amino-2H-pyrido[3,2-b][1,4]oxazin-3(4H)-one; [2,3′-bipyridin]-5-amine; N2,N2,3-trimethylpyridine-2,5-diamine; 5-(pyrimidin-2-yl)pyridin-3-amine; 3-methyl-4-(pyrimidin-5-yl)isothiazol-5-amine; 2-(trifluoromethyl)pyridin-4-amine; 3-methyl-4-(pyridin-3-yl)isothiazol-5-amine; 3-(morpholinomethyl)isothiazol-5-amine; 5-(trifluoromethyl)pyridin-3-amine; 3-methyl-4-phenylisothiazol-5-amine; 6-(trifluoromethyl)pyridin-3-amine; 1-(3-aminobenzyl)urea; 2-(4-aminophenoxyl)propanenitrile; 2-(3-aminophenoxyl)acetamide; 4-aminopyridine-3-sulfonamide; 1-(4-aminobenzyl)urea; 5-aminobenzofuran-2-carbonitrile; 2-(4-aminophenoxyl)acetamide; 2-(4-aminophenyl)-2-oxoethanethial; 3-(2,3-dihydro-1H-1,2,3-triazol-1-yl)aniline; 4-amino-1-methylindolin-2-one; 3-amino-N′-(2-aminoethyl)picolinohydrazide; N3-(1-aminobutan-2-yl)pyridine-3,5-diamine; 2-amino-N,N-dimethylbenzamide; 4-(pyrimidin-4-yl)aniline; 3-(pyrimidin-4-yl)aniline; 1-isopropyl-1H-indol-4-amine; 6-bromo-5-methylimidazo[1,2-a]pyridin-8-amine; 4-amino-2,6-dibromophenol; 2,2′((4-aminophenyl)azanediyl)bis(ethan-1-ol); 4-(piperidin-4-yloxy)aniline; 1-(2-(piperazin-1-yl)ethyl)-1H-pyrazol-4-amine; 3-(5-aminopyridin-2-yl)oxazolidin-2-one; 2-(2-methylmorpholino)aniline; 3-(4-aminophenyl)oxazolidin-2-one; 5-amino-N,N-dimethylisothiazole-3-carboxamide; 3-(morpholinomethyl)aniline; 3-methyl-1H-pyrazolo[3,4-b]pyridin-5-amine; 3-bromo-5-(difluoromethyl)aniline; 1-(2-methoxyethyl)-1H-indazol-5-amine; 2-(4-amino-2,6-dimethylphenoxy)acetonitrile; 3-aminobenzyl methylcarbamate; 4-aminophenethyl carbamate; 1-(prop-2-yn-1-yl)-1H-indol-6-amine; N-(4-aminobenzyl)propionamide; 1-(4-aminophenethyl)urea; 2-(4-amino-2-fluorophenoxy)acetamide; 1-(prop-2-yn-1-yl)-1H-indol-5-amine; 2-(4-amino-2-methylphenoxy)acetamide; 2-(4-amino-2-methylphenoxy)propanenitrile; 2-((1-methylpyrrolidin-3-yl)oxy)aniline; methyl 2-(4-aminophenoxyl)acetate; 3-(1,4,5,6-tetrahydropyrimidin-2-yl)aniline; 3,5-diaminopicolinamide; 2-amino-N-cyclopropylbenzamide; 6-bromo-5-chloroimidazo[1,2-a]pyridin-8-amine; 2-methoxy-4-(piperazin-1-yl)aniline; 2-methoxy-4-(piperidin-4-yl)aniline; 2-methoxy-5-(piperazin-1-yl)aniline; 2-(5-aminoindolin-3-ylidene)acetonitrile; 4-(4-aminophenoxy)butanoic acid; 4-(2-(diethylamino)ethoxy)aniline; 2-(4-aminophenoxy)-2-methylpropan-1-ol; 4-(2-(piperazin-1-yl)ethyl)aniline; 6-(3-methylenemorpholino)pyridin-3-amine; 5-methoxy-6-morpholinopyridin-3-amine; 6-(3-methoxyazetidin-1-yl)pyridin-3-amine; 4-((3-aminopyridin-4-yl)amino)cyclohexanol; N2,N2-dimethylbenzo[d]oxazole-2,6-diamine; 6-(2,2,2-trifluoroethoxyl)pyridin-3-amine; 5-amino-N,N-dimethylpicolinamide; 3-amino-5-methylpyridine 1-oxide; 3-amino-N,N-dimethylbenzamide; 1-(4-aminophenyl)piperidin-2-one; 5-amino-1-methylindolin-2-one; 3-methyl-5-(thiazol-5-yl)aniline; 3-(1H-pyrazol-5-yl)aniline; 2-(4-amino-2-methoxyphenoxy)acetamide; 2-(4-amino-2-chlorophenoxy)acetamide; 2-(4-amino-2-fluorophenoxy)-N-methylacetamide; N-(4-aminophenyl)-2-cyanoacetamide; 4-aminophenethyl methylcarbamate; 1-(3-aminobenzyl)-3-ethylurea; 6-amino-4-methylquinolin-2-ol; 1-(3-methoxypropyl)-1H-indazol-5-amine; 2-(6-aminoindolin-3-ylidene)acetonitrile; 4-(pyridin-3-ylmethoxy)aniline; 2-(7-aminoindolin-3-ylidene)acetonitrile; 1-(4-aminobenzyl)-3-ethylurea; 2-(4-amino-2-(hydroxymethyl)phenoxy)acetamide; 2-(3-aminophenyl)-2H-1,2,3-triazol-4-ol; 3-(2-(methoxymethyl)pyrrolidin-1-yl)aniline; (2-aminophenyl)(pyrrolidin-1-yl)methanone; 3-amino-5-fluoropyridine 1-oxide; 2-(4-amino-3-methoxyphenyl)propane-1,3-diol; (3-aminophenyl)methanesulfonamide; 6-(2-(piperazin-1-yl)ethoxy)pyridin-3-amine; 4-(2-(piperazin-1-yl)ethoxy)aniline; 4-(2-ethyl-2H-tetrazol-5-yl)aniline; 1-(5-aminopyridin-2-yl)piperidin-3-ol; 4-(2-(piperidin-4-yl)ethoxy)aniline; 1-(5-aminopyridin-2-yl)piperidin-4-ol; 4-(3-(piperazin-1-yl)propyl)aniline; 5-fluoro-6-morpholinopyridin-3-amine; 1-(4-aminophenyl)piperidin-4-amine; (4-(4-amino-2-fluorophenyl)morpholin-3-yl)methanol; (5-aminopyridin-2-yl)(azetidin-1-yl)methanone; 4-((methylsulfonyl)methyl)aniline; 2-(azetidin-1-yl)benzo[d]oxazol-6-amine; (3-aminophenyl)(azetidin-1-yl)methanone; 3-bromo-5-(thiazol-5-yl)aniline; 4-(4-(aminomethyl)-1H-1,2,3-triazol-1-yl)aniline; 4-(4-aminophenyl)pyridin-2-amine; 6-amino-4-methyl-2H-benzo[b][1,4]thiazin-3(4H)-one; 1-(4-aminophenethyl)-3-ethylurea; 4-((1H-1,2,4-triazol-3-yl)methyl)aniline; 2-(4-aminophenoxyl)propanamide; 2-(4-amino-2-chlorophenoxy)-N-methylacetamide; 5-aminobenzofuran-2-carboxamide; 2-(5-amino-2,3-dimethoxyphenoxy)acetonitrile; 2-(4-aminophenoxy)-2-methylpropanenitrile; 4-((1H-1,2,3-triazol-4-yl)methyl)aniline; N1,N1-di(prop-2-yn-1-yl)benzene-1,4-diamine; 2-amino-6-methylbenzenesulfonamide; 1-isobutyl-1H-indol-4-amine; 6-bromo-5-ethylimidazo[1,2-a]pyridin-8-amine; 2-(4-amino-3-methoxybenzyl)propane-1,3-diol; 1-(4-aminophenyl)-N-methylmethanesulfonamide; prop-2-yn-1-yl(4-aminobenzyl)carbamate; 6-amino-5-fluoro-1,3-dihydrobenzo[c]isothiazole 2,2-dioxide; 6-(4-ethylpiperazin-1-yl)pyridin-3-amine; 4-(2-(1,4-diazepan-1-yl)ethoxy)aniline; 1-(2-(4-methylpiperazin-1-yl)ethyl)-1H-pyrazol-4-amine; (1-(4-aminophenyl)piperidin-3-yl)methanol; 4-(3-(piperazin-1-yl)propoxy)aniline; 2-(5-(4-aminophenyl)-2H-tetrazol-2-yl)ethan-1-ol; 4-(4-methoxypiperidin-1-yl)aniline; N2-methyl-N2-(tetrahydro-2H-pyran-4-yl)pyridine-2,5-diamine; 6-(4-methoxypiperidin-1-yl)pyridin-3-amine; 2,4,4a,5-tetrahydro-1H-benzo[b][1,4]oxazino[4,3-d][1,4]oxazin-8-amine; 6-(3-(ethoxymethyl)morpholino)pyridin-3-amine; (3-aminophenyl)(pyrrolidin-1-yl)methanone; 3-amino-4-methoxy-N,N-dimethylbenzamide; 5-amino-2-methoxy-N,N-dimethylbenzamide; (R)-2-methyl-2H-indol-4-amine; 4-(4-(aminomethyl)piperidin-1-yl)aniline; N2-cyclopropylquinoline-2,6-diamine; 4-amino-2-methoxybenzenesulfonamide; 2-(7-amino-1H-indol-3-yl)acetonitrile; 2-(5-amino-2H-indol-2-ylidene)acetonitrile; 5-amino-N,2-dimethylbenzenesulfonamide; 2-(4-amino-2,6-dimethylphenoxy)propanenitrile; N-(4-amino-2-chlorophenyl)-2-cyanoacetamide; 2-(6-amino-1H-indol-3-yl)acetonitrile; 4-((5-methyl-1,2,4-oxadiazol-3-yl)methoxy)aniline; 5-amino-2-methoxybenzenesulfonamide; 2-(5-amino-1H-indol-3-yl)acetonitrile; N-(3-aminobenzyl)cyclopropanecarboxamide; 6-amino-1,2-dihydrobenzo[b]cyclobuta[d]thiophene-1-carbonitrile; N-(4-aminobenzyl)cyclopropanecarboxamide; 2-(4-amino-2,6-dimethylphenoxy)acetamide; 4-((1-methylpiperidin-3-yl)oxy)aniline; 2-(4-amino-2-methylphenoxy)propanamide; 3-((1-methylpiperidin-3-yl)oxy)aniline; N-(4-amino-3-methylphenyl)acrylamide; 3-((1-methylpiperidin-4-yl)oxy)aniline; 2-(5-amino-1-methyl-1H-indol-3-yl)acetonitrile; 3-chloro-4-(trifluoromethyl)aniline; N-allyl-2-(4-aminophenoxyl)acetamide; 4-((5-methyl-1,3,4-oxadiazol-2-yl)methoxy)aniline; 2-amino-6-methoxybenzenesulfonamide; 2-amino-N,N-dimethylbenzenesulfonamide; 1-(6-amino-5-methoxyindolin-1-yl)ethan-1-one; N-(4-aminobenzyl)ethanesulfonamide; 5-amino-2-methylbenzenesulfonamide; N-(3-aminobenzyl)ethanesulfonamide; 4-(4-(2-aminoethyl)piperazin-1-yl)aniline; 4-(4-(2-fluoroethyl)piperazin-1-yl)aniline, 4-(4-(2-fluoroethyl)piperidin-1-yl)aniline; 2-(1-(5-aminopyridin-2-yl)piperidin-4-yl)ethan-1-ol; 2-(1-(4-aminophenyl)piperidin-3-yl)ethan-1-ol; 1-(2-(4-ethylpiperazin-1-yl)ethyl)-1H-pyrazol-4-amine; 1-(4-aminophenyl)piperidine-4-carbonitrile; 6-(1,4-diazabicyclo[3.2.2]nonan-4-yl)pyridin-3-amine; 6-(4-ethoxypiperidin-1-yl)pyridin-3-amine, 2-(4-(4-aminophenyl)morpholin-2-yl)ethan-1-ol; (R)-6-(3-methylmorpholino)pyridin-3-amine; 6-amino-4-propyl-2H-pyrido[3,2-b][1,4]oxazin-3(4H)-one; 4-(4-(methoxymethyl)piperidin-1-yl)aniline; 4-(4-ethoxypiperidin-1-yl)aniline; 5-amino-2-fluoro-N,N-dimethylbenzamide; 4-(4-amino-2-fluorophenyl)morpholin-3-one; 3-amino-4-fluoro-N,N-dimethylbenzamide; 3-amino-N-(isoxazol-3-yl)benzamide; 2-(5-amino-3-chloro-2-methyl-1H-indol-1-yl)ethan-1-ol; 3-chloro-2-methyl-1-propyl-1H-indol-5-amine; 5-amino-2-fluorobenzenesulfonamide; (4-aminophenyl)(thiomorpholino)methanone; 4-amino-2-methoxy-N-methylbenzenesulfonamide; 4-aminophenethyl dimethylcarbamate; S-(2-(4-aminophenyl)-2-oxoethyl) ethanethioate; 3-methyl-4-(pyridin-2-ylmethoxy)aniline; 2-((4-aminobenzyl)amino)butanamide; N-(4-aminophenyl)-2-cyano-N-methylacetamide; 4-(methylsulfonyl)benzene-1,3-diamine; (R)-4-((tetrahydrofuran-2-yl)methoxy)aniline; 2,4-dichloro-5-(2H-1,2,3-triazol-2-yl)aniline; (S)-3-(2-methylpyrrolidin-1-yl)aniline; N-(3-amino-4-methoxyphenyl)-2-(dimethylamino)acetamide; N-(4-aminophenethyl)ethanesulfonamide; 2-(1-(4-aminophenyl)piperidin-4-yl)acetonitrile; 4-(4-aminophenyl)-1-ethylpiperazin-2-one; 2-(4-(4-aminophenoxyl)piperidin-1-yl)ethan-1-ol; 1-(2-(4-aminophenoxyl)ethyl)piperidin-4-ol; 1-(3-(4-aminophenyl)propyl)piperidin-4-ol; 2-(4-(4-aminophenyl)-1,4-diazepan-1-yl)ethan-1-ol; 2-(4-(4-aminophenyl)piperazin-1-yl)acetonitrile; 3-(4-(4-aminophenyl)piperazin-1-yl)propan-1-ol; 3-(1-(4-aminophenyl)piperidin-4-yl)propan-1-ol; 2-(1-(5-aminopyridin-2-yl)piperidin-4-yl)acetonitrile; 2-(4-aminophenoxy)-2-methylpropanoic acid; 4-(2-(4-methylpiperazin-1-yl)ethoxy)aniline; (S)-6-(3-methylmorpholino)pyridin-3-amine; 6-amino-2,2-dimethyl-2H-pyrido[3,2-b][1,4]oxazin-3(4H)-one; 6-(2,2-dimethylmorpholino)pyridin-3-amine; (S)-2-(2-methylmorpholino)aniline; (S)-4-(3-methylmorpholino)aniline; dimethylmorpholino)aniline; 3-(difluoromethoxy)-4-morpholinoaniline; 3-isopropoxy-4-morpholinoaniline; (S)-1-(5-aminopyridin-2-yl)pyrrolidin-3-ol; dimethylmorpholino)pyridin-3-amine; 4-amino-2-chloro-N,N-dimethylbenzamide; 3-cyclopropyl-5-(thiazol-5-yl)aniline; 3-amino-N-phenylbenzamide; 5-amino-2-chlorobenzenesulfonamide; 3-amino-N-(prop-2-yn-1-yl)benzenesulfonamide; 3-amino-N-butylbenzenesulfonamide; 5-(3-methyl-1,2,4-oxadiazol-5-yl)bicyclo[4.2.0]octa-1,3,5-trien-2-amine; 2-(4-aminophenoxy)-2-methylpropanamide; 2-(6-amino-3-oxo-2H-benzo[b][1,4]oxazin-4-(3H)-yl)acetonitrile; 2-(6-amino-3-oxo-2H-benzo[b][1,4]thiazin-4-(3H)-yl)acetonitrile; 3-chloro-4-((1-methylpiperidin-3-yl)oxy)aniline; 4-amino-N-(prop-2-yn-1-yl)benzenesulfonamide; 6-amino-1H-indole-3-carboxamide; 3-chloro-4-((1-methylpiperidin-4-yl)oxy)aniline; (S)-(4-(4-aminophenyl)morpholin-3-yl)methanol; 1-(2,2,2-trifluoroethyl)indolin-4-amine; 2-(3-aminophenyl)-2H-1,2,3-triazole 1-oxide; 2-(pyrrolidin-1-ylsulfonyl)aniline; 2-(4-(4-aminophenethyl)piperazin-1-yl)ethan-1-ol; 4-(2-(4-aminophenoxyl)ethyl)piperazin-2-one; 4-(2-(4-ethylpiperazin-1-yl)ethoxy)aniline; (1-(2-(4-aminophenoxy)ethyl)piperidin-4-yl)methanol; (R)-6-(3-fluoropyrrolidin-1-yl)pyridin-3-amine; 1-(5-aminopyridin-2-yl)pyrrolidine-3-carboxamide; (R)-6-(2-methylmorpholino)pyridin-3-amine; (R)-4-(2-methylmorpholino)aniline; (R)-1-(5-aminopyridin-2-yl)pyrrolidin-3-ol; 5-fluoro-N2-(6-methylpyridin-3-yl)pyrimidine-2,4-diamine; (S)-(1-(5-aminopyridin-2-yl)pyrrolidin-3-yl)methanol; (3-amino-4-fluorophenyl)(pyrrolidin-1-yl)methanone; 5-amino-2-methoxy-3-methylbenzenesulfonamide; 2-(4-amino-2-fluorophenoxy)-N,N-dimethylacetamide; (4-aminophenyl)(pyridin-4-yl)methanolate; (R)-1-(4-aminophenyl)pyrrolidin-3-ol; (R)-3-methoxy-4-((tetrahydrofuran-2-yl)methoxy)aniline; 3-ethoxy-4-(4-ethylpiperazin-1-yl)aniline; 4-(((3-(ethylsulfonyl)propyl)amino)methyl)aniline; N-(6-amino-2,3-dihydro-1H-inden-1-yl)methanesulfonamide; N-(4-aminobenzyl)cyclopropanesulfonamide; 7-amino-3,4-dihydroisoquinoline-2(1H)-sulfonamide; 4-(2-oxa-7-azaspiro[3.5]nonan-7-ylmethyl)aniline; 2-(4-(2-(4-aminophenoxyl)ethyl)piperazin-1-yl)ethan-1-ol; 2-(5-(4-aminophenyl)-2H-tetrazol-2-yl)acetic acid; (6-(4-aminophenyl)-6-azaspiro[2.5]octan-1-yl)methanol; 4-(2-(diisopropylamino)ethoxy)aniline; 1-(4-aminophenethyl)-4-methylpiperidin-4-ol; 4-(2-((dimethylamino)methyl)morpholino)aniline; (S)-6-(2-methylmorpholino)pyridin-3-amine; 4-(4-isopropoxypiperidin-1-yl)aniline; 2-(pyridin-4-yl)-1H-benzo[d]imidazol-6-amine; N2-(1-((R)-tetrahydrofuran-2-yl)ethyl)pyridine-2,5-diamine; 6-(3-(diethylamino)pyrrolidin-1-yl)pyridin-3-amine; 6-(2-oxa-8-azaspiro[4.5]decan-8-yl)pyridin-3-amine; ethyl 4-(2-aminophenyl)piperazine-1-carboxylate; 4-(1-oxa-8-azaspiro[4.5]decan-8-yl)aniline; 4-(2-oxa-8-azaspiro[4.5]decan-8-yl)aniline; (R)-6-(3-methoxypyrrolidin-1-yl)pyridin-3-amine; 3,5-di(1H-pyrazol-1-yl)aniline; 3,5-di(1H-1,2,3-triazol-1-yl)aniline; 3-(1H-pyrazol-1-yl)-5-(2H-1,2,3-triazol-2-yl)aniline; 1-(5-aminopicolinoyl)azetidine-3-carbonitrile; 3-(1H-1,2,3-triazol-1-yl)-5-(2H-1,2,3-triazol-2-yl)aniline; 3,5-di(2H-1,2,3-triazol-2-yl)aniline; 7-amino-5-methyl-2H-benzo[e][1,2,4]thiadiazine 1,1-dioxide; N-(6-amino-3-methoxypyridin-2-yl)pivalamide; 5-amino-2-fluoro-3-methylbenzenesulfonamide; 4-(pyridin-3-ylmethyl)-4H-benzo[b][1,4]oxazin-7-amine; 2-(4-amino-2-chlorophenoxy)-N,N-dimethylacetamide; (R)-1-(4-aminophenyl)piperidin-3-ol; (S)-1-(4-aminophenyl)-3-methylpyrrolidin-3-ol; (R)-(1-(4-aminophenyl)pyrrolidin-3-yl)methanol; methyl 8-amino-6-bromoimidazo[1,2-a]pyridine-5-carboxylate; (S)-1-(4-aminophenyl)pyrrolidine-2-carboxamide; 5-(9-oxa-3,7-diazabicyclo[3.3.1]nonan-3-yl)-2-methoxyaniline; 1-(6-amino-5-methoxyindolin-1-yl)-2-(methylamino)ethan-1-one; 2-(4-(4-amino-3-methoxyphenyl)piperazin-1-yl)ethan-1-ol; 4-(9-oxa-3,7-diazabicyclo[3.3.1]nonan-3-yl)-2-methoxyaniline; N-(4-aminophenethyl)cyclopropanesulfonamide; 2-amino-1-(4-(4-aminophenyl)piperazin-1-yl)ethan-1-one; 3-(4-(4-aminophenyl)piperazin-1-yl)propane-1,2-diol; 2-(1-(5-aminopyridin-2-yl)piperidin-3-yl)acetic acid; 2-(1-(4-aminophenyl)piperidin-4-yl)acetic acid; 2-(1-(5-aminopyridin-2-yl)piperidin-4-yl)acetic acid; 2-(4-(4-aminophenyl)cyclohexyl)acetic acid; 1-(4-aminobenzyl)piperidine-4-carboxylic acid; 2-(4-(4-aminophenyl)piperidin-1-yl)acetic acid; 2-(1-(4-aminophenyl)piperidin-3-yl)acetic acid; 2-(1-(5-aminopyridin-2-yl)piperidin-4-yl)acetamide; 1-(2-(4-aminophenoxyl)ethyl)-4-methylpiperidin-4-ol; 2-(4-(5-aminopyridin-2-yl)piperazin-1-yl)acetic acid; 2-(1-(4-aminophenyl)piperidin-4-yl)acetamide; dimethylmorpholino)-5-methylpyridin-3-amine; 6-(2,2-dimethylmorpholino)-5-fluoropyridin-3-amine; 6-(4-(diethylamino)piperidin-1-yl)pyridin-3-amine; 6-(3-morpholinopyrrolidin-1-yl)pyridin-3-amine; N2-(1-((S)-tetrahydrofuran-2-yl)ethyl)pyridine-2,5-diamine; 4-(4,4-difluoropiperidin-1-yl)-3-fluoroaniline; 1-(4-aminophenyl)-N,N-diethylpiperidin-4-amine; (R)-6-(3-(ethylamino)pyrrolidin-1-yl)pyridin-3-amine; (R)-6-(2-(fluoromethyl)morpholino)pyridin-3-amine; (R)-6-(3-ethoxypyrrolidin-1-yl)pyridin-3-amine; 1-(4-(4-aminophenyl)piperidin-1-yl)propan-1-one; 3-morpholino-5-(1H-pyrazol-1-yl)aniline; 3-morpholino-5-(2H-1,2,3-triazol-2-yl)aniline; 3-(1H-pyrazol-1-yl)-5-(pyrimidin-2-yl)aniline; 3-(pyrimidin-2-yl)-5-(2H-1,2,3-triazol-2-yl)aniline; (5-aminopyridin-2-yl)(3,3-difluoroazetidin-1-yl)methanone; 3-(pyrimidin-2-yl)-5-(1H-1,2,4-triazol-1-yl)aniline; 3-amino-N-(3-fluorophenyl)benzamide; 5-amino-2-isopropylbenzenesulfonamide; 5-amino-3-chloro-2-methylbenzenesulfonamide; 5-amino-2-chloro-3-methylbenzenesulfonamide; 2-(4-amino-2,6-dimethylphenoxy)propanamide; 3-(piperidin-1-ylsulfonyl)aniline; 4-(4-aminobenzypthiomorpholine 1,1-dioxide; N-((3-aminophenyl)sulfonyl)propionamide; 2-(ethylsulfonyl)-1,2,3,4-tetrahydroisoquinolin-6-amine; N-((4-aminophenyl)sulfonyl)propionamide; (S)-1-(4-aminophenyl)-3-methylpiperidin-3-ol; (R)-(4-(4-aminophenyl)morpholin-2-yl)methanol; (R)-1-(4-amino-2-methoxyphenyl)pyrrolidin-3-ol; (S)-1-(5-aminopyridin-2-yl)-3-methylpiperidin-3-ol; (R)-(4-(5-aminopyridin-2-yl)morpholin-2-yl)methanol; (S)-3-methoxy-5-(2-methylpyrrolidin-1-yl)aniline; 1-(6-amino-5-methoxyindolin-1-yl)-2-(dimethylamino)ethan-1-one; 1-(4-(4-amino-3-methoxyphenyl)piperazin-1-yl)ethan-1-one; 1-(4-(4-amino-3-methoxyphenyl)piperidin-1-yl)ethan-1-one; 2-(1-(4-aminobenzyl)piperidin-4-yl)acetic acid; 3-(1-(4-aminophenyl)piperidin-4-yl)propanoic acid; 3-(4-(4-aminophenyl)piperazin-1-yl)propanoic acid; 2-(4-aminophenoxy)-1-(4-methylpiperazin-1-yl)ethan-1-one; 2-(4-(4-aminophenoxyl)piperidin-1-yl)acetic acid; 2-(4-(4-aminophenyl)-1,4-diazepan-1-yl)acetic acid; (S)-4-(2-(ethoxymethyl)morpholino)aniline; 4-(4-morpholinopiperidin-1-yl)aniline, 6-(4-morpholinopiperidin-1-yl)pyridin-3-amine; (S)-6-(2-(ethoxymethyl)morpholino)pyridin-3-amine; 3,5-di(pyrimidin-2-yl)aniline; 4-amino-N-methyl-N-(2,2,2-trifluoroethyl)benzamide; 3-morpholino-5-(pyrimidin-2-yl)aniline; 2′-amino-[1,1′-biphenyl]-4-sulfonamide; 3-amino-N-(3-chlorophenyl)benzamide; 3-amino-N-(4-chlorophenyl)benzamide; N-((5-amino-2-methylphenyl)sulfonyl)propionamide; 2-(4-amino-2-(1-(cyanomethyl)-1H-pyrazol-3-yl)phenoxy)acetonitrile; 5-amino-N,N-diethyl-2-methoxybenzenesulfonamide; (R)-1-(4-amino-2-methoxyphenyl)piperidin-3-ol; (S)-1-(4-amino-2-methoxyphenyl)-3-methylpyrrolidin-3-ol; (R)-1-(4-amino-2-ethoxyphenyl)pyrrolidin-3-ol; N-(4-aminobenzyl)pyridine-3-sulfonamide; 2-(4-aminophenoxy)-1-(4-ethylpiperazin-1-yl)ethan-1-one; 2-(4-(4-aminophenyl)piperazin-1-yl)-2-methylpropan-1-ol; 3-(4-(4-aminophenyl)piperazin-1-yl)-3-oxopropanenitrile; 7-(4-aminophenyl)-1,7-diazaspiro[3.5]nonan-2-one; 1-(2-(4-aminophenoxyl)ethyl)piperidine-4-carboxylic acid; 3-(4-(5-aminopyridin-2-yl)piperazin-1-yl)-3-oxopropanenitrile; (R)-6-(2-(ethoxymethyl)morpholino)pyridin-3-amine; N2-(6-(dimethylamino)pyridin-3-yl)-5-fluoropyrimidine-2,4-diamine; 4-morpholino-3-(trifluoromethoxy)aniline; 3-methyl-4-(2-oxa-8-azaspiro[4.5]decan-8-yl)aniline; 5-amino-N,N-dimethylisoindoline-2-sulfonamide; methyl 2-(((3-aminophenyl)sulfonyl)imino)acetate; 3-((4-aminophenoxy)methyl)-1H-1,2,4-triazol-5(4H)-one; (R)-(4-(4-amino-2-methoxyphenyl)morpholin-2-yl)methanol; 2-(2-(3-aminophenyl)-2H-1,2,3-triazol-4-yl)acetate; 4-amino-3-(pyrrolidin-1-ylsulfonyl)phenol; 4-fluoro-2-(pyrrolidin-1-ylsulfonyl)aniline; 1-(4-(4-amino-2-methylphenyl)piperazin-1-yl)ethan-1-one; N-(6-amino-2,3-dihydro-1H-inden-1-yl)cyclopropanesulfonamide; (S)—N-(6-amino-2,3-dihydro-1H-inden-1-yl)methanesulfonamide; 6-(4-aminophenyl)-6-azaspiro[2.5]octane-1-carboxylic acid; 2-(1-(4-aminophenyl)piperidin-4-yl)-N-(2-hydroxyethyl)acetamide; 6-(5-aminopyridin-2-yl)-6-azaspiro[2.5]octane-1-carboxylic acid; 2-(4-(2-(4-aminophenoxyl)ethyl)piperazin-1-yl)acetic acid; 2-(1-(2-(4-aminophenoxy)ethyl)piperidin-4-yl)acetic acid; 6-(4-aminophenyl)spiro[2.5]octane-1-carboxylic acid; 2-(4-(4-aminophenyl)-1,4-diazepan-1-yl)-2-methylpropan-1-ol; 2-(1-(4-aminophenyl)piperidin-4-yl)-2-methylpropanenitrile; 2-(4-(4-aminophenyl)piperazin-1-yl)-2-methylpropanenitrile; 4-((1S,4S)-2-oxa-5-azabicyclo[2.2.1]heptan-5-yl)aniline; (R)-3-(5-aminopyridin-2-yl)-4-isopropyloxazolidin-2-one; 6-((1S,4S)-2-oxa-5-azabicyclo[2.2.1]heptan-5-yl)pyridin-3-amine; 7-amino-N,N-dimethyl-3,4-dihydroisoquinoline-2(1H)-sulfonamide; 4-((1-methylpiperidin-4-yl)oxy)-3-(trifluoromethyl)aniline; 4-((4-methylpiperazin-1-yl)sulfonyl)aniline; 3-((4-methylpiperazin-1-yl)sulfonyl)aniline; (5-amino-2-methyl-7-oxabicyclo[4.2.0]octa-1(6),2,4-trien-8-yl)(morpholino)methanone; N-((5-amino-2-chlorophenyl)sulfonyl)acetamide; (R)-3-(4-aminophenyl)-1,4-dimethylpiperazin-2-one; 4-fluoro-2-(morpholinosulfonyl)aniline; 4-chloro-2-(pyrrolidin-1-ylsulfonyl)aniline; 4-(4-aminophenyl)-1-methylpiperidine 1-oxide; (3-aminobenzyl)(tert-butyl)carbamate; 2-(4-(4-amino-3-methoxyphenyl)piperazin-1-yl)-2-methylpropan-1-ol; 1-(4-(4-amino-3-methoxyphenyl)piperidin-1-yl)-2-hydroxyethan-1-one; 1-(4-(4-amino-3-methoxyphenyl)piperazin-1-yl)-2-hydroxyethan-1-one; (R)—N-(6-amino-2,3-dihydro-1H-inden-1-yl)methanesulfonamide; 6-(4-(2H-tetrazol-5-yl)methyl)piperidin-1-yl)pyridin-3-amine; 4-(4-((2H-tetrazol-5-yl)methyl)piperidin-1-yl)aniline; 4-((4-(2H-tetrazol-5-yl)piperidin-1-yl)methyl)aniline; 6-(4-aminobenzyl)-6-azaspiro[2.5]octane-1-carboxylic acid; 2-(1-(4-aminophenyl)piperidin-4-yl)cyclopropanecarboxylic acid; 2-(1-(3-(4-aminophenoxyl)propyl)piperidin-4-yl)acetic acid; (S)-3-(5-aminopyridin-2-yl)-4-isopropyloxazolidin-2-one; (6-amino-3-oxo-2H-pyrido[3,2-b][1,4]oxazin-4-(3H)-yl)methyl dihydrogen phosphate; (5-amino-2-(pyrrolidin-1-yl)phenyl)(pyrrolidin-1-yl)methanone; (4-aminophenyl)(1,1-dioxidothiomorpholino)methanone; 5-amino-2-(4-methylpiperazin-1-yl)benzenesulfonamide; 3-amino-N-(4-methylpiperidin-1-yl)benzenesulfonamide; tert-butyl (6-aminochroman-4-yl)carbamate; (S)-1-(4-aminophenyl)-N-methylpiperidine-3-carboxamide; 1-(4-(3-amino-4-methoxyphenyl)piperazin-1-yl)-2-(methylamino)ethan-1-one; 1-(4-(4-amino-3-methoxyphenyl)piperazin-1-yl)-2-(methylamino)ethan-1-one; 1-(4-(4-amino-3-methoxyphenyl)piperidin-1-yl)-2-(methylamino)ethan-1-one; 4-((4-((2H-tetrazol-5-yl)methyl)piperidin-1-yl)methyl)aniline; ethyl 6-(4-aminophenyl)-6-azaspiro[2.5]octane-1-carboxylate; 4-((2S,6R)-2,6-dimethylmorpholino)aniline; 6-((2S,6R)-2,6-dimethylmorpholino)pyridin-3-amine; 5-amino-2-methyl-N-(1-methylpiperidin-4-yl)benzenesulfonamide; 3-((1R,5S)-8-oxa-3-azabicyclo[3.2.1]octan-3-yl)aniline; 1-(4-(3-amino-4-methoxyphenyl)piperazin-1-yl)-2-(dimethylamino)ethan-1-one; 6-(2-(4-aminophenoxyl)ethyl)-6-azaspiro[2.5]octane-1-carboxylic acid; 1-(4-(4-aminophenyl)piperazin-1-yl)-2-hydroxy-2-methylpropan-1-one; 1-(4-(5-aminopyridin-2-yl)piperazin-1-yl)-2-hydroxy-2-methylpropan-1-one; 2-(4-(4-aminophenyl)piperazin-1-yl)-2-methylpropanoic acid; 2-(4-(2-(4-aminophenoxyl)ethyl)piperazin-1-yl)-2-methylpropanenitrile; 2-(1-(4-aminophenyl)piperidin-4-yl)-2-methylpropanoic acid; 6-(4-amino-2-fluorophenyl)-6-azaspiro[2.5]octane-1-carboxylic acid; ((2S,5S)-5-(4-aminophenoxyl)methyl)-1,4-dioxan-2-yl)methanol; 1-(1-(4-aminophenyl)piperidin-4-yl)-2-hydroxy-2-methylpropan-1-one; 2-(4-(4-aminophenyl)piperazin-1-yl)-2-methylpropanamide; 6-(4-aminophenyl)-6-azaspiro[2.5]octane-1-carboxylate; 4-((1S,4S)-2-oxa-5-azabicyclo[2.2.1]heptan-5-yl)-3-methylaniline; (S)-1-(3-(4-amino-3-methoxyphenyl)azetidin-1-yl)-2-hydroxypropan-1-one; 1-(4-(4-aminobenzyl)piperazin-1-yl)-2-hydroxy-2-methylpropan-1-one; 3-fluoro-5-(4,4,5,5-tetramethyl-1,3,2-dioxaborolan-2-yl)aniline; 3-methyl-5-(4,4,5,5-tetramethyl-1,3,2-dioxaborolan-2-yl)aniline; (R)-1-(3-(4-amino-3-methoxyphenyl)azetidin-1-yl)-2-hydroxypropan-1-one; 2-(1-(4-aminophenyl)piperidin-4-yl)-N,N-bis(2-hydroxyethyl)acetamide; tert-butyl 4-(4-aminobenzyl)piperazine-1-carboxylate; 2-((1s,4s)-4-(4-aminophenyl)cyclohexyl)acetic acid; 3-bromo-5-(4,4,5,5-tetramethyl-1,3,2-dioxaborolan-2-yl)aniline; 6-amino-2,2,4-trimethyl-2H-benzo[b][1,4]thiazin-3(4H)-one 1,1-dioxide; (S)-1-(4-(4-amino-3-methoxyphenyl)piperazin-1-yl)-2-hydroxypropan-1-one; (S)-1-(4-(4-amino-3-methoxyphenyl)piperidin-1-yl)-2-hydroxypropan-1-one; 1-(4-(2-(4-aminophenoxy)ethyl)piperazin-1-yl)-2-hydroxy-2-methylpropan-1-one; 2-((1r,4r)-4-(4-aminophenyl)cyclohexyl)acetic acid; 6-amino-4-(4-methoxybenzyl)-2-methyl-2H-benzo[b][1,4]oxazin-3 (4H)-one; (R)-1-(4-(4-amino-3-methoxyphenyl)piperidin-1-yl)-2-hydroxypropan-1-one; (R)-1-(4-(4-amino-3-methoxyphenyl)piperazin-1-yl)-2-hydroxypropan-1-one; (2R,5S)-5-((4-aminophenoxy)methyl)-1,4-dioxane-2-carboxylic acid; (6-amino-2,2-dimethyl-3-oxo-2H-pyrido[3,2-b][1,4]oxazin-4-(3H)-yl)methyl dihydrogen phosphate; 3-(difluoromethyl)-5-(4,4,5,5-tetramethyl-1,3,2-dioxaborolan-2-yl)aniline; 4-((5-(3-amino-5-methylphenyl)thiazol-2-yl)methyl)cyclohexanecarboxylic acid; (phosphonooxy)methyl 6-(4-aminophenyl)-6-azaspiro[2.5]octane-1-carboxylate; ethyl 4-((5-(3-amino-5-methylphenyl)thiazol-2-yl)methyl)cyclohexanecarboxylate; 4-((5-(3-amino-5-methylphenyl)thiazol-2-yl)(hydroxy)methyl)-3,3-dimethylcyclohexanol; (R)-6-amino-4-(4-methoxybenzyl)-2-methyl-2H-benzo[b][1,4]thiazin-3(4H)-one; ethyl 4-((5-(3-amino-5-methylphenyl)thiazol-2-yl)methylene)cyclohexanecarboxylate, 4-(amino(5-(3-amino-5-methylphenyl)thiazol-2-yl)methyl)cyclohexanecarboxylic acid; (5-(3-amino-5-methylphenyl)-4-(1,2-dioxaspiro[4.5]decan-8-yl)thiazol-2-yl)methanol; 4-((5-(3-amino-5-methylphenyl)thiazol-2-yl)(hydroxy)methyl)cyclohexanecarboxylic acid; 4-(5-(3-amino-5-methylphenyl)thiazol-2-yl)methyl)-4-hydroxycyclohexanecarboxylic acid; 5-(3-amino-5-methylphenyl)-4-(1,2-dioxaspiro[4.5]decan-8-yl)thiazole-2-carbaldehyde; methyl 4-((5-(3-amino-5-methylphenyl)thiazol-2-yl)(hydroxy)methyl)cyclohexanecarboxylate; 4-(1-(5-(3-amino-5-methylphenyl)thiazol-2-yl)-1-hydroxyethyl)-1-methylcyclohexanol; 4-(3-(5-(3-aminophenyl)thiazol-2-yl)-1-hydroxy-2-methylpropyl)cyclohexanecarboxylic acid; 4-((5-(3-amino-5-methylphenyl)thiazol-2-yl)(hydroxy)methyl)-4-hydroxycyclohexanecarboxylic acid; 4-(1-(5-(3-amino-5-methylphenyl)thiazol-2-yl)-1,2-dihydroxyethyl)cyclohexanecarboxylic acid; 4-(1-(5-(3-amino-5-methylphenyl)thiazol-2-yl)-2-fluoro-1-hydroxyethyl)cyclohexanecarboxylic acid; butyl 4-(1-(5-(3-aminophenyl)thiazol-2-yl)-1-hydroxyethyl)cyclohexanecarboxylate; 4-(1-(5-(3-aminophenyl)thiazol-2-yl)-1-hydroxy-2-methylpropyl)cyclohexanecarboxylic acid; 3-(1-(5-(3-amino-5-methylphenyl)thiazol-2-yl)-1-hydroxyethyl)bicyclo[3.1.0]hexane-6-carboxylic acid; 4-(5-(3-amino-5-methylphenyl)thiazol-2-yl)-2,2-dimethylcyclohex-3-enecarboxylate; 4-(3-(5-(3-amino-5-methylphenyl)thiazol-2-yl)-3,4-dihydroxybutyl)cyclohexanecarboxylic acid; 4-(1-(5-(3-amino-5-methylphenyl)thiazol-2-yl)-1-hydroxyethyl)cyclohexanecarboxylate; 4-(1-(5-(3-amino-5-methylphenyl)thiazol-2-yl)-3,4-dihydroxybutyl)cyclohexanecarboxylic acid; 7-(5-(3-amino-5-methylphenyl)thiazol-2-yl)-3-ethylbicyclo[4.1.0]heptane-3-carboxylate; butyl 4-(1-(5-(3-amino-5-methylphenyl)thiazol-2-yl)-1-hydroxyethyl)cyclohexanecarboxylate; 4-(1-(5-(3-amino-5-methylphenyl)thiazol-2-yl)-2,2,2-trifluoro-1-hydroxyethyl)cyclohexanecarboxylic acid; 3-(((tert-butyldimethylsilyl)oxy)methyl)-5-(4,4,5,5-tetramethyl-1,3,2-dioxaborolan-2-yl)aniline.

[0096]

Furthermore especially preferably, R1can be derived from the following compounds (e.g. amines):

[0097]

2-(4-amino-1H-pyrazol-1-yl)-2-methylpropanenitrile; 4-amino-1-methylpyridin-2(1H)-one; 1-(tert-butyl)-1H-pyrazol-4-amine; 1-(4-amino-1H-pyrazol-1-yl)cyclohexanecarbonitrile; 1-isopropyl-1H-pyrazol-4-amine; 1-(3-methoxypropyl)-1H-pyrazol-4-amine; 4-amino-1-(2-methoxyethyl)pyridin-2(1H)-one; (4-amino-3-methoxyphenyl)(morpholino)methanone; 1-isobutyl-1H-pyrazol-4-amine; 2-(4-amino-1H-pyrazol-1-yl)ethan-1-ol; 2-(4-amino-1H-pyrazol-1-yl)acetonitrile; 1-cyclopropyl-1H-pyrazol-4-amine; 3-amino-1-methylpyridin-2(1H)-one; 1-(tert-butyl)-1H-pyrazol-3-amine; 4-bromo-1-methyl-1H-pyrazol-3-amine; 1-(1-methoxy-2-methylpropan-2-yl)-1H-pyrazol-4-amine; 1-(2-methoxyethyl)-3-methyl-1H-pyrazol-4-amine; 1-(2-methoxyethyl)-5-methyl-1H-pyrazol-4-amine; 1-isopropyl-3-methyl-1H-pyrazol-4-amine; 1-isopropyl-5-methyl-1H-pyrazol-4-amine; 1-(1-(tert-butyl)piperidin-4-yl)-1H-pyrazol-4-amine; 3-methyl-1-(tetrahydro-2H-pyran-4-yl)-1H-pyrazol-4-amine; 5-methyl-1-(tetrahydro-2H-pyran-4-yl)-1H-pyrazol-4-amine; 4-amino-1-cyclopropylpyridin-2(1H)-one; 5-chloro-1-isopropyl-1H-pyrazol-4-amine; 1-isopropyl-3-methoxy-1H-pyrazol-4-amine; 1-(1-(tert-butyl)piperidin-4-yl)-3-methoxy-1H-pyrazol-4-amine; 1-isopropyl-5-methoxy-1H-pyrazol-4-amine; 1-(1-(tert-butyl)piperidin-4-yl)-5-methoxy-1H-pyrazol-4-amine; 5-chloro-1-(3-methoxypropyl)-1H-pyrazol-4-amine; 1-isopropyl-3,5-dimethyl-1H-pyrazol-4-amine; imidazo[1,2-a]pyridin-3-amine; 3-cyclopropyl-1-methyl-1H-pyrazol-5-amine; 3-(4-amino-3-methoxyphenyl)oxazolidin-2-one; 3-methoxy-1-(3-methoxypropyl)-1H-pyrazol-4-amine; 5-chloro-1-(2-methoxyethyl)-1H-pyrazol-4-amine; 1-(tert-butyl)-5-methyl-1H-pyrazol-4-amine; 6-amino-1,3-dimethylpyrimidine-2,4(1H,3H)-dione; 1-(2-fluoroethyl)-1H-pyrazol-4-amine; 5-chloro-1-(piperidin-4-yl)-1H-pyrazol-4-amine; 5-chloro-1-(tetrahydro-2H-pyran-4-yl)-1H-pyrazol-4-amine; 1-(4-amino-1H-pyrazol-1-yl)-2-methylpropan-2-ol; 2-fluoro-4-morpholinoaniline; 2,3-dimethylaniline; 2-methyl-4-morpholinoaniline; 2-methyl-4-(4-methylpiperazin-1-yl)aniline; 1-(2,2,2-trifluoroethyl)-1H-pyrazol-4-amine; 4-amino-1-isopropyl-1H-pyrazole-5-carbonitrile; 1-(2-methoxyethyl)-3-(trifluoromethyl)-1H-pyrazol-4-amine; 1-(2-methoxyethyl)-5-(trifluoromethyl)-1H-pyrazol-4-amine; 2-(4-amino-5-chloro-1H-pyrazol-1-yl)ethan-1-ol; 5-bromo-1-(2-methoxyethyl)-1H-pyrazol-4-amine; 5-fluoro-1-(2-methoxyethyl)-1H-pyrazol-4-amine; 2-methyl-3-morpholinoaniline; 5-ethynyl-1-(2-methoxyethyl)-1H-pyrazol-4-amine; 1-(2-methoxyethyl)-N5,N5-dimethyl-1H-pyrazole-4,5-diamine; 2-(4-(4-aminophenyl)piperazin-1-yl)ethan-1-ol; 1-(4-aminophenyl)piperidin-4-ol; 1-(pyrrolidin-3-yl)-1H-pyrazol-4-amine, 1-(1,3-dimethoxypropan-2-yl)-1H-pyrazol-4-amine; 2-(4-amino-1H-pyrazol-1-yl)-N,N-dimethylacetamide; tert-butyl 3-(4-amino-1H-pyrazol-1-yl)pyrrolidine-1-carboxylate; 1-(pyridin-2-yl)-1H-pyrazol-4-amine; 1-(3-methylbutan-2-yl)-1H-pyrazol-4-amine; 6-amino-4-methyl-2H-benzo[b][1,4]oxazin-3(4H)-one; 6-amino-4-ethyl-2H-benzo[b][1,4]oxazin-3(4H)-one; 1-(1-phenylethyl)-1H-pyrazol-4-amine; 3-ethylaniline; (7-amino-3,4-dihydroquinolin-1(2H)-yl)(cyclopropyl)methanone; 1-(tetrahydro-2H-pyran-3-yl)-1H-pyrazol-4-amine; 2-(4-amino-1H-pyrazol-1-yl)propanoic acid; 5-amino-1H-pyrazole-3-carboxylic acid; 2-aminophenol; 4,5-dimethoxybenzene-1,2-diamine; 4-(phenylthio)aniline; 6-amino-2H-benzo[b][1,4]oxazin-3(4H)-one; 6-amino-2H-benzo[b][1,4]thiazin-3(4H)-one; N-(5-amino-2-methoxyphenyl)acetamide; (5-amino-2-(4-methylpiperazin-1-yl)phenyl)methanol, 3,4-dihydro-2H-benzo[b][1,4]oxazin-6-amine; N-(2-(4-acetylpiperazin-1-yl)-5-aminophenyl)acetamide; 3-chloro-4-(4-methylpiperazin-1-yl)aniline; 4-amino-2,6-dichlorophenol; 3-ethoxy-4-methoxyaniline; 2-(4-amino-1H-pyrazol-1-yl)-2-methylpropanamide; 2-methyl-2H-tetrazol-5-amine; 1-methyl-1H-imidazol-4-amine; 1-(oxetan-3-yl)-1H-pyrazol-4-amine; 4-aminopyridin-2(1H)-one; 2-chloro-5-(methylsulfonyl)thiophen-3-amine; 5-methoxy-1-(3-methoxypropyl)-1H-pyrazol-4-amine; 1-(piperidin-4-yl)-1H-pyrazol-4-amine, 4-amino-1-isopropyl-1H-pyrazole-3-carbonitrile; 4-amino-1-(2-methoxyethyl)-1H-pyrazole-3-carbonitrile; 4-amino-1-(2-methoxyethyl)-1H-pyrazole-5-carbonitrile; 4-amino-1-isopropyl-1H-pyrazole-3-carboxamide; 4-amino-1-isopropyl-1H-pyrazole-5-carboxamide; 1-(2-methyl allyl)-1H-pyrazol-4-amine; 1-(2-methylprop-1-en-1-yl)-1H-pyrazol-4-amine; 1,2-dimethyl-1H-imidazol-5-amine; 1-(2-fluoroethyl)-3-methyl-1H-pyrazol-4-amine; 1-(2-fluoroethyl)-5-methyl-1H-pyrazol-4-amine; 2-isopropyl-1-methyl-1H-imidazol-5-amine; 1-(2-methoxy-2-methylpropyl)-1H-pyrazol-4-amine; 1-(4-amino-3-methyl-1H-pyrazol-1-yl)-2-methylpropan-2-ol; 1-(4-amino-5-methyl-1H-pyrazol-1-yl)-2-methylpropan-2-ol; 1-(pentan-3-yl)-1H-pyrazol-4-amine; N-(3-aminophenyl)acetamide; 3-(2-methylpyrrolidin-1-yl)aniline; benzene-1,2-diamine; 4-aminophenol; 1-(2-methoxycyclohexyl)-1H-pyrazol-4-amine.

[0098]

Further preferred, R1can be derived from the following compounds (e.g. amines):

[0099]

1-methyl-1H-pyrazol-5-amine; 1-ethyl-1H-pyrazol-3-amine; 4-methyl-1H-pyrazol-5-amine; 1-isopropyl-1H-pyrazol-5-amine; 1-isopropyl-1H-pyrazol-3-amine; 4-bromo-2-methoxyaniline; 6-chloro-4-methoxypyridin-3-amine; 3-cyclopropyl-1-methyl-1H-pyrazol-5-amine; 4-amino-3-methoxybenzonitrile; 5-amino-1-methyl-1H-pyrazole-3-carboxylic acid; 3-isopropyl-1-methyl-1H-pyrazol-5-amine; 4-amino-3-chlorobenzonitrile; 4-amino-3-methoxybenzoic acid; 4-amino-3-methoxy-2-methylbenzonitrile; 4-amino-2-fluoro-5-methoxybenzonitrile; 4-amino-5-methoxy-2-methylbenzonitrile; 4-amino-5-chloro-2-methylbenzonitrile; 4-bromo-2-chloro-5-methoxyaniline; 4-amino-3-methoxybenzamide; methyl 5-amino-1-methyl-1H-pyrazole-3-carboxylate; 4-methoxy-6-(thiazol-4-yl)pyridin-3-amine; 4-methoxy-6-(thiazol-5-yl)pyridin-3-amine; 4-methoxy-6-(oxazol-2-yl)pyridin-3-amine; 4-(isoxazol-4-yl)-2-methoxyaniline; 4-amino-3-ethoxybenzoic acid; 2-methoxy-4-(trifluoromethyl)aniline; 2-methoxy-4-morpholinoaniline; 2-methoxy-4-(1-methyl-1H-imidazol-5-yl)aniline; 2-chloro-4-(1-methyl-1H-tetrazol-5-yl)aniline; 2-methoxy-4-(1-methyl-1H-tetrazol-5-yl)aniline; 2-methoxy-4-(4-methyl-4H-1,2,4-triazol-3-yl)aniline; 2-methoxy-4-(1-methyl-1H-imidazol-2-yl)aniline; 2-methoxy-1H-methyl-1H-pyrazol-5-yl)aniline; 2-bromo-4-morpholinoaniline; (R)-1-(1-methoxypropan-2-yl)-5-methyl-1H-pyrazol-4-amine; 3-(5-amino-1-methyl-1H-pyrazol-3-yl)morpholine-4-carb aldehyde; 5-fluoro-2-methoxy-4-(oxetan-3-yl)aniline; 4-amino-3-methoxy-N-methylbenzamide; 4-amino-2-fluoro-5-methoxybenzoic acid; (R)-2-(4-amino-5-methyl-1H-pyrazol-1-yl)propanenitrile; (S)-1-(2-methoxypropyl)-5-methyl-1H-pyrazol-4-amine; 2-methoxy-4-(methylsulfonyl)aniline; 4-amino-2-chloro-5-methoxybenzoic acid; 2-ethoxy-4-(morpholinomethyl)aniline; 2-chloro-4-(methylsulfonyl)aniline; 2-methoxy-4-(1-methyl-1H-pyrazol-4-yl)aniline; 4-amino-5-chloro-2-methoxybenzoic acid; 2-chloro-4-(2H-tetrazol-5-yl)aniline; 2-methoxy-4-(2-methyl-2H-tetrazol-5-yl)aniline; 4-(2-fluoroethoxy)-6-morpholinopyridin-3-amine; 4-amino-N-ethyl-3-methoxybenzamide; 4-amino-3-methoxy-N,N-dimethylbenzamide; 4-amino-5-chloro-2-methoxybenzamide; 4-amino-3-(difluoromethoxy)benzoic acid; 4-amino-2-fluoro-5-methoxy-N-methylbenzamide; 6-amino-4-chloro-3-methylbenzo[d]oxazol-2(3H)-one; 6-amino-5-chloro-3-methylbenzo[d]oxazol-2(3H)-one; 5-amino-6-chloro-2-methylisoindolin-1-one; 5-amino-6-methoxy-2-methylisoindolin-1-one; 6-amino-5-methoxy-2-methylisoindolin-1-one; 1-(4-amino-3-isopropyl-1H-pyrazol-1-yl)-2-methylpropan-2-ol; 4-methyl-1-(1-methylpiperidin-4-yl)-1H-pyrazol-3-amine; 5-(4-amino-5-methyl-1H-pyrazol-1-yl)-1-methylpiperidin-2-one; 2-(2-fluoroethoxy)-4-(morpholinomethyl)aniline; 5-fluoro-2-methoxy-4-(1-methyl-1H-tetrazol-5-yl)aniline; 5-fluoro-2-methoxy-4-(5-methyl-1H-tetrazol-1-yl)aniline; 4-(3,5-dimethylisoxazol-4-yl)-2-methoxyaniline; 4-(1,5-dimethyl-1H-pyrazol-4-yl)-2-methoxyaniline; 4-(1,3-dimethyl-1H-pyrazol-4-yl)-2-methoxyaniline; 4-amino-N-isopropyl-3-methoxybenzamide; 4-amino-5-chloro-2-methoxy-N-methylbenzamide; (4-amino-3-methoxyphenyl)(azetidin-1-yl)methanone; 4-amino-N,N,3-trimethylbenzamide; 4-amino-N-cyclopropyl-3-methoxybenzamide; 6-amino-7-methoxy-2-methyl-1,2-dihydroisoquinolin-3(4H)-one; 5-amino-2-ethyl-4-methoxyisoindolin-1-one; 6-amino-7-methoxy-2-methylphthalazin-1(2H)-one; 8-amino-N-methyl-2,3-dihydrobenzo[b][1,4]dioxine-5-carboxamide; (R)-1-(1-methoxypropan-2-yl)-3-methyl-1H-pyrazol-4-amine; (S)-1-(2-methoxypropyl)-3-methyl-1H-pyrazol-4-amine; 5-fluoro-2-methoxy-4-(morpholinomethyl)aniline; 2-(2-fluoroethoxy)-4-(methylsulfonyl)aniline; 1-(4-amino-2-fluoro-5-methoxyphenyl)pyrrolidin-2-one; 2-chloro-5-methoxy-4-(1-methyl-1H-imidazol-2-yl)aniline; 2-chloro-4-(3-methyl-1,2,4-oxadiazol-5-yl)aniline; 2-chloro-4-(2-methyl-2H-tetrazol-5-yl)aniline; 2-chloro-5-methoxy-4-(1-methyl-1H-pyrazol-5-yl)aniline; 2-chloro-5-methoxy-4-(1-methyl-1H-imidazol-5-yl)aniline; 4-amino-N-(3-aminopropyl)-3-methoxybenzamide; 4-amino-3-methoxy-N-(2-methoxyethyl)benzamide; 5-ethoxy-2-fluoro-4-morpholinoaniline; (4-amino-3-methoxyphenyl)(pyrrolidin-1-yl)methanone; 4-amino-3-methoxy-N-(oxetan-3-yl)benzamide; 4-amino-N-(cyclopropylmethyl)-3-methoxybenzamide; 4-amino-N-(2,2-difluoroethyl)-3-methoxybenzamide; 6-amino-5-chlorobenzo[d]oxazol-2(3H)-one; 5-amino-4-methoxy-2-methylisoindolin-1-one; 8-amino-7-chloro-4-methyl-3,4-dihydrobenzo[f][1,4]oxazepin-5(2H)-one; 8-amino-N-ethyl-2,3-dihydrobenzo[b][1,4]dioxine-5-carboxamide; 5-(4-amino-3-methyl-1H-pyrazol-1-yl)-1-methylpiperidin-2-one; (5-amino-1-methyl-1H-pyrazol-3-yl)(morpholino)methanone; 2-methoxy-5-methyl-4-(methylsulfonyl)aniline; 4-(4-amino-2-fluoro-5-methoxyphenyl)morpholin-3-one; 1-(4-amino-2-fluoro-5-methoxyphenyl)piperidin-2-one; 5-fluoro-2-methoxy-4-(methylsulfonyl)aniline; 5-fluoro-2-methoxy-4-(5-methyl-1,3,4-oxadiazol-2-yl)aniline; 2-methoxy-4-(5-(methoxymethyl)-1H-tetrazol-1-yl)-5-methylaniline; 5-fluoro-2-methoxy-4-(3-methyl-1,2,4-oxadiazol-5-yl)aniline; (4-amino-3-methoxyphenyl)(morpholino)methanone; 4-amino-3-cyclobutoxybenzoic acid; 4-amino-N-ethyl-3-methoxy-N-methylbenzamide; (4-amino-3-methoxyphenyl)(piperidin-1-yl)methanone; (4-amino-3-methoxyphenyl)(2-methylpyrrolidin-1-yl)methanone; 4-amino-2-fluoro-5-methoxy-N,N-dimethylbenzamide; methyl 4-amino-3-(difluoromethoxy)benzoate; 4-amino-5-chloro-N-(2-hydroxyethyl)-2-methoxybenzamide; (4-amino-3-methoxyphenyl)(piperazin-1-yl)methanone; 6-amino-N,N-dimethylbenzofuran-2-carboxamide; 5-amino-6-chloro-1,3-dimethyl-1H-benzo[d]imidazol-2(3H)-one; (S)-5-methyl-1-(1-methylpiperidin-3-yl)-1H-pyrazol-4-amine; 5-fluoro-2-(2-fluoroethoxy)-4-(morpholinomethyl)aniline; 4-(ethylsulfonyl)-2-methoxy-5-methylaniline; 5-chloro-2-methoxy-4-(methylsulfonyl)aniline; 2-isopropoxy-4-(methylsulfonyl)aniline; 2-chloro-5-methoxy-4-(1-methyl-1H-pyrazol-4-yl)aniline; 2-chloro-5-methoxy-4-(5-methyl-1,3,4-oxadiazol-2-yl)aniline; (4-amino-3-hydroxyphenyl)(morpholino)methanone; 4-amino-5-chloro-2-methoxy-N,N-dimethylbenzamide; 4-amino-5-chloro-2-methoxy-N-(2-methoxyethyl)benzamide; 4-amino-3-methoxy-N-(tetrahydro-2H-pyran-3-yl)benzamide; (4-amino-3-ethoxyphenyl)(morpholino)methanone; 4-amino-N-(tert-butyl)-3-methoxybenzamide; 4-amino-N-isopropyl-3-methoxy-N-methylbenzamide; (4-amino-3-methoxyphenyl)(3-fluoroazetidin-1-yl)methanone; 4-amino-N,N-diethyl-3-methoxybenzamide; (4-amino-3-methylphenyl)(morpholino)methanone; 2-(4-amino-3-methoxyphenyl)-1-morpholinoethan-1-one; 4-amino-N-(3-aminopropyl)-5-chloro-2-methoxybenzamide; (4-amino-3-methoxyphenyl)(2-hydroxypiperidin-1-yl)methanone; (4-amino-3-methoxyphenyl)(2-methylpiperidin-1-yl)methanone; (4-amino-3-fluorophenyl)(morpholino)methanone; (4-amino-3-(2-fluoroethoxyl)phenyl)(morpholino)methanone; (4-amino-2-fluoro-5-hydroxyphenyl)(morpholino)methanone; 4-amino-5-(fluoromethoxy)-2-methoxy-N,N-dimethylbenzamide; 4-amino-5-chloro-N-cyclopropyl-2-methoxybenzamide; (4-amino-3-methoxyphenyl)(3-hydroxypyrrolidin-1-yl)methanone; (4-amino-3-chlorophenyl)(morpholino)methanone; (4-amino-3-bromophenyl)(morpholino)methanone; 4-amino-3-methoxy-N-(2-methoxyethyl)-N-methylbenzamide; 6-amino-5-methoxy-N,N-dimethylbenzofuran-3-carboxamide; 5-amino-6-methoxy-2-(oxetan-3-yl)isoindolin-1-one; 6-amino-5-methoxy-N,N-dimethylbenzofuran-2-carboxamide; (4-amino-2,5-dimethylphenyl)(morpholino)methanone; (4-amino-2,3-difluorophenyl)(morpholino)methanone; (4-amino-2,5-difluorophenyl)(morpholino)methanone; (4-amino-5-fluoro-2-methylphenyl)(morpholino)methanone; 8-amino-N-isopropyl-2,3-dihydrobenzo[b][1,4]dioxine-5-carboxamide; (4-amino-2-fluoro-5-methylphenyl)(morpholino)methanone; (S)-3-methyl-1-(1-methylpiperidin-3-yl)-1H-pyrazol-4-amine; (S)-2-(4-amino-5-methyl-1H-pyrazol-1-yl)-N,N-dimethylpropanamide; 5-fluoro-2-methoxy-4-(5-(methoxymethyl)-3-methyl-1H-pyrazol-1-yl)aniline; (4-amino-5-fluoro-2-(fluoromethoxy)phenyl)(pyrrolidin-1-yl)methanone; (4-amino-5-(fluoromethoxy)-2-methylphenyl)(pyrrolidin-1-yl)methanone; (4-amino-2-fluoro-5-methoxyphenyl)(morpholino)methanone; (4-amino-2-fluoro-5-(fluoromethoxy)phenyl)(pyrolidin-1-yl)methanone; (4-amino-3-methoxyphenyl)(4-methylpiperidin-1-yl)methanone; (4-amino-2-fluoro-3-methoxyphenyl)(morpholino)methanone; 4-amino-5-chloro-2-methoxy-N-(oxetan-3-yl)benzamide; (4-amino-3-methoxyphenyl)(4-fluoropiperidin-1-yl)methanone; 4-amino-5-chloro-N-(2-hydroxyethyl)-2-methoxy-N-methylbenzamide; (4-amino-5-fluoro-2-methoxyphenyl)(morpholino)methanone; (4-amino-3-methoxyphenyl)(4-hydroxypiperidin-1-yl)methanone; 4-amino-2-fluoro-5-methoxy-N-(2-methoxyethyl)-N-methylbenzamide; 4-amino-3-(2,2,2-trifluoroethoxyl)benzoic acid; 4-amino-5-chloro-N-(2-hydroxypropyl)-2-methoxybenzamide; (4-amino-5-chloro-2-methoxyphenyl)(pyrrolidin-1-yl)methanone; (4-amino-3-methoxyphenyl)(2-oxa-5-azabicyclo[2.2.1]heptan-5-yl)methanone; (4-amino-3-methoxyphenyl)(4-methylpiperazin-1-yl)methanone; (4-amino-3-methoxyphenyl)(3-methylpiperidin-1-yl)methanone; (4-amino-3-methoxyphenyl)(2-methylmorpholino)methanone; 5-amino-2-cyclopropyl-4-methoxyisoindolin-1-one; (4-amino-5-chloro-2-methylphenyl)(morpholino)methanone; (4-amino-3-chloro-2-fluorophenyl)(morpholino)methanone; (4-amino-5-chloro-2-hydroxyphenyl)(morpholino)methanone; (4-amino-5-methoxy-2-methylphenyl)(morpholino)methanone; (4-amino-3-methoxy-2-methylphenyl)(morpholino)methanone; (4-amino-5-chloro-2-fluorophenyl)(morpholino)methanone; (4-amino-2-chloro-5-methylphenyl)(morpholino)methanone; (4-amino-2-methoxy-5-methylphenyl)(morpholino)methanone; (4-amino-2-chloro-5-fluorophenyl)(morpholino)methanone; (8-amino-2,3-dihydrobenzo[b][1,4]dioxin-5-yl)(pyrrolidin-1-yl)methanone; (S)-5-methyl-1-(1-(oxetan-3-yl)pyrrolidin-3-yl)-1H-pyrazol-4-amine; (S)-3-methyl-1-(1-(oxetan-3-yl)pyrrolidin-3-yl)-1H-pyrazol-4-amine; 2-methoxy-4-(morpholinosulfonyl)aniline; N′-acetyl-4-amino-5-chloro-2-methoxybenzohydrazide; (4-amino-5-(fluoromethoxy)-2-methylphenyl)(morpholino)methanone; (4-amino-2-fluoro-5-(fluoromethoxy)phenyl)(morpholino)methanone; (4-amino-5-chloro-2-(fluoromethoxy)phenyl)(pyrrolidin-1-yl)methanone; (4-amino-5-(fluoromethoxy)-2-methoxyphenyl)(pyrrolidin-1-yl)methanone; (4-amino-3-methoxyphenyl)(3-(hydroxymethyl)morpholino)methanone; (4-amino-5-chloro-2-methoxyphenyl)(morpholino)methanone; (4-amino-2-chloro-5-methoxyphenyl)(morpholino)methanone; (4-amino-3-isopropoxyphenyl)(morpholino)methanone; (4-amino-3-methylphenyl)(4-hydroxypiperidin-1-yl)methanone; (4-amino-5-ethoxy-2-fluorophenyl)(morpholino)methanone; (4-amino-2-ethoxy-5-fluorophenyl)(morpholino)methanone; (4-amino-3-methoxyphenyl)(3-oxa-8-azabicyclo[3.2.1]octan-8-yl)methanone; (4-amino-3-methoxyphenyl)(3,3-dimethylmorpholino)methanone; 4-amino-5-chloro-2-methoxy-N-(2-methoxyethyl)-N-methylbenzamide; (4-amino-3-methoxyphenyl)(3,3-difluoroazetidin-1-yl)methanone; (4-amino-5-chloro-2-methoxyphenyl)(piperazin-1-yl)methanone; 4-amino-3-methoxy-N-(1-methylpiperidin-4-yl)benzamide; 4-amino-N-ethyl-2-fluoro-5-methoxy-N-(2-methoxyethyl)benzamide; (4-amino-3-(difluoromethoxy)phenyl)(morpholino)methanone; 5-amino-4-methoxy-2-(oxetan-3-yl)isoindolin-1-one; 5-amino-2-(2-hydroxypropan-2-yl)-4-methoxyisoindolin-1-one; (4-amino-5-ethoxy-2-methylphenyl)(morpholino)methanone; (4-amino-2,5-dimethoxyphenyl)(morpholino)methanone; (8-amino-2,3-dihydrobenzo[b][1,4]dioxin-5-yl)(morpholino)methanone; (7-amino-5-fluoro-2,3-dihydrobenzofuran-4-yl)(morpholino)methanone; (4-amino-5-bromo-2-methoxyphenyl)(morpholino)methanone; (S)-5-methyl-1-(1-(oxetan-3-yl)piperidin-3-yl)-1H-pyrazol-4-amine; (S)-3-methyl-1-(1-(oxetan-3-yl)piperidin-3-yl)-1H-pyrazol-4-amine; (S)-2-(4-amino-3-methyl-1H-pyrazol-1-yl)-N,N-dimethylpropanamide; 5-fluoro-2-methoxy-4-(1-(oxetan-3-yl)-1H-pyrazol-4-yl)aniline; 2-chloro-5-methoxy-4-(1,3,5-trimethyl-1H-pyrazol-4-yl)aniline; (4-amino-5-(2-fluoroethoxy)-2-methoxyphenyl)(pyrrolidin-1-yl)methanone; (4-amino-5-chloro-2-(fluoromethoxy)phenyl)(morpholino)methanone, (4-amino-5-(2-fluoroethoxy)-2-methylphenyl)(morpholino)methanone; (4-amino-2-fluoro-5-(2-fluoroethoxyl)phenyl)(morpholino)methanone; (4-amino-5-(fluoromethoxy)-2-methoxyphenyl)(piperidin-1-yl)methanone; (4-amino-3-methoxyphenyl)(2-oxa-6-azaspiro[3.3]heptan-6-yl)methanone; 2-(4-amino-2,5-dimethoxyphenyl)-1-morpholinoethan-1-one; (4-amino-5-chloro-2-ethoxyphenyl)(morpholino)methanone; (4-amino-3-cyclopropylphenyl)(morpholino)methanone; (4-amino-3-methoxyphenyl)(3,3-difluoropyrrolidin-1-yl)methanone; (R)-(4-amino-3-methoxyphenyl)(3-methylmorpholino)methanone; 4-amino-N-(tert-butyl)-5-chloro-2-methoxybenzamide; (4-amino-5-chloro-2-methoxyphenyl)(3-hydroxyazetidin-1-yl)methanone; 4-amino-N-(3,3-difluorocyclobutyl)-3-methoxybenzamide; (4-amino-5-chloro-2-methoxyphenyl)(1,4-oxazepan-4-yl)methanone; 5-amino-2-(2-hydroxy-2-methylpropyl)-6-methoxyisoindolin-1-one; (6-amino-5-methoxybenzofuran-3-yl)(morpholino)methanone; 4-amino-5-fluoro-N-(2-hydroxy-2-methylpropyl)-2-methoxybenzamide; 4-amino-2-fluoro-N-(2-hydroxy-2-methylpropyl-3-methoxybenzamide; 4-amino-2-fluoro-N-(1-(hydroxymethyl)cyclopropyl)-5-methoxybenzamide; 4-amino-2-fluoro-N-(1-hydroxy-2-methylpropan-2-yl)-5-methoxybenzamide; 4-amino-N-(2-hydroxy-2-methylpropyl)-5-methoxy-2-methylbenzamide; 4-amino-2-fluoro-N-(2-hydroxy-2-methylpropyl)-5-methoxybenzamide; 4-amino-2-fluoro-N-((1-hydroxycyclopropyl)methyl)-5-methoxybenzamide; (S)-2-(4-amino-5-methyl-1H-pyrazol-1-yl)-1-(pyrrolidin-1-yl)propan-1-one; (4-amino-3-methoxyphenyl)(4,4-difluoropiperidin-1-yl)methanone; (4-amino-3-methoxyphenyl)(4-ethylpiperazin-1-yl)methanone; (4-amino-3-methoxyphenyl)(3,3-difluoropiperidin-1-yl)methanone; (4-amino-3-methoxyphenyl)(8-oxa-3-azabicyclo[3.2.1]octan-3-yl)methanone; (4-amino-3-methoxyphenyl)(4-(hydroxymethyl)piperidin-1-yl)methanone; (4-amino-3-methoxyphenyl)(2,6-dimethylmorpholino)methanone; 4-amino-5-chloro-N-(2-hydroxy-2-methylpropyl)-2-methoxybenzamide; (4-amino-3-(cyclobutylmethoxy)phenyl)(morpholino)methanone; (4-amino-3-methoxyphenyl)(3,5-dimethylpiperidin-1-yl)methanone; (4-amino-3-methoxyphenyl)(4-methoxypiperidin-1-yl)methanone; (4-amino-2-fluoro-5-methoxyphenyl)(3-methoxypyrrolidin-1-yl)methanone; (S)-(4-amino-3-methoxyphenyl)(3-methylmorpholino)methanone; (4-amino-3-methoxyphenyl)(2-(hydroxymethyl)morpholino)methanone; (4-amino-5-chloro-2-methoxyphenyl)(3-hydroxypyrrolidin-1-yl)methanone; (4-amino-3-methoxyphenyl)(4,4-dimethylpiperidin-1-yl)methanone; (4-amino-3-cyclopropoxyphenyl)(morpholino)methanone; (4-amino-3-methoxyphenyl)(3-methoxypiperidin-1-yl)methanone; (4-amino-3-methoxyphenyl)(hexahydro-1H-pyrido[1,2-a]pyrazin-2(6H)-yl)methanone; (S)-(4-amino-3-methoxyphenyl)(3-fluoropyrrolidin-1-yl)methanone; 4-amino-5-chloro-2-methoxy-N-(1-methylcyclobutyl)benzamide; (4-amino-2,6-difluoro-3-methoxyphenyl)(morpholino)methanone; (4-amino-3-methoxyphenyl)(2,2-dimethylmorpholino)methanone; (S)-2-(4-amino-3-methyl-1H-pyrazol-1-yl)-1-(pyrrolidin-1-yl)propan-1-one; (R)-(4-amino-3-methoxyphenyl)(3-fluoropyrrolidin-1-yl)methanone; (4-amino-3-cyclobutoxyphenyl)(morpholino)methanone; (4-amino-3-methoxyphenyl)(4-(dimethylamino)piperidin-1-yl)methanone; (4-amino-5-chloro-2-methoxyphenyl)(3-methoxypyrrolidin-1-yl)methanone; 1-(4-amino-3-methoxybenzoyl)piperidine-4-carbonitrile; (4-amino-3-(oxetan-3-yloxy)phenyl)(morpholino)methanone; (4-amino-2-fluoro-3-isopropoxyphenyl)(morpholino)methanone; (4-amino-3-methoxyphenyl)(4-(2-hydroxyethyl)piperazin-1-yl)methanone; 1-(4-amino-2-fluoro-5-methoxybenzoyl)pyrrolidine-3-carbonitrile; (4-amino-5-chloro-2-methoxyphenyl)(4-hydroxypiperidin-1-yl)methanone; 4-amino-5-chloro-N-(1-cyanocyclopropyl)-2-methoxybenzamide; (R)-(4-amino-3-methoxyphenyl)(3-hydroxypyrrolidin-1-yl)methanone, (4-amino-3-methoxyphenyl)(4-isopropylpiperazin-1-yl)methanone; (4-amino-3-(cyclopropylmethoxy)phenyl)(morpholino)methanone; 4-amino-N-(4,4-difluorocyclohexyl)-3-methoxybenzamide; (4-amino-5-isopropoxy-2-methylphenyl)(morpholino)methanone; (4-amino-3-fluoro-2,6-dimethoxyphenyl)(morpholino)methanone; (S)-(4-amino-3-fluorophenyl)(3-fluoropyrrolidin-1-yl)methanone; 1-((1S,5S)-8-oxabicyclo[3.2.1]octan-3-yl)-3-methyl-1H-pyrazol-4-amine; (4-amino-3-methoxyphenyl)(4-cyclobutylpiperazin-1-yl)methanone; 1-(4-amino-5-chloro-2-methoxybenzoyl)pyrrolidine-3-carbonitrile; (4-amino-3-methoxyphenyl)(3-morpholinoazetidin-1-yl)methanone; 4-amino-5-chloro-2-methoxy-N-(1-methylpiperidin-4-yl)benzamide; (4-amino-3-methoxyphenyl)(2,2-diethylmorpholino)methanone, 1-(4-(4-amino-3-methoxybenzoyl)piperazin-1-yl)ethan-1-one; (4-amino-3-methoxyphenyl)(2-isobutylmorpholino)methanone; (4-amino-3-methoxyphenyl)(4-(oxetan-3-yl)piperazin-1-yl)methanone; (4-amino-5-chloro-2-methoxyphenyl)(2-(hydroxymethyl)morpholino)methanone; 4-amino-2-fluoro-N-(2-hydroxy-2-methylpropyl)-5-methoxy-N-methylbenzamide; (4-amino-3-(cyclopentyloxy)phenyl)(morpholino)methanone; (6-amino-5-methoxy-1-methyl-1H-indol-3-yl)(morpholino)methanone; (4-amino-5-chloro-2-(difluoromethoxy)phenyl)(morpholino)methanone; (S)-(4-amino-3-chlorophenyl)(3-fluoropyrrolidin-1-yl)methanone; (4-amino-5-(cyclopropylmethoxy)-2-methylphenyl)(morpholino)methanone; 4-amino-5-fluoro-N-(2-hydroxy-2-methylpropyl)-2-methoxy-N-methylbenzamide; (4-amino-3-chloro-2,6-dimethoxyphenyl)(morpholino)methanone; (4-amino-2-fluoro-5-methoxyphenyl)(hexahydropyrrolo[1,2-a]pyrazin-2(1H)-yl)methanone; (4-amino-2-fluoro-5-methoxyphenyl)(1-oxa-6-azaspiro[3.3]heptan-6-yl)methanone; (4-amino-2,5-dimethoxyphenyl)(3,3-difluoropyrrolidin-1-yl)methanone; (4-amino-3-methoxyphenyl)(3-(trifluoromethyl)pyrrolidin-1-yl)methanone; (4-amino-3-(trifluoromethoxy)phenyl)(morpholino)methanone; 4-amino-5-chloro-N-(2-hydroxy-2-methylpropyl)-2-methoxy-N-methylbenzamide; 1-(4-amino-5-chloro-2-methoxybenzoyl)piperidine-4-carbonitrile; (4-amino-3-(difluoromethoxy)phenyl)(4-hydroxypiperidin-1-yl)methanone; (4-amino-2-fluoro-5-methoxyphenyl)(2,2-dimethylmorpholino)methanone; (8-amino-2,3-dihydrobenzo[1)][1,4]dioxin-5-yl)(3,3-difluoropyrrolidin-1-yl)methanone; (S)-(4-amino-5-chloro-2-methylphenyl)(3-fluoropyrrolidin-1-yl)methanone; (4-amino-5-chloro-2-methoxyphenyl)(1-oxa-6-azaspiro[3.3]heptan-6-yl)methanone; (4-amino-5-chloro-2-methoxyphenyl)(3,3-difluoropyrrolidin-1-yl)methanone; (S)-(4-amino-5-methoxy-2-methylphenyl)(3-fluoropyrrolidin-1-yl)methanone; (4-amino-5-chloro-2-methoxyphenyl)(2-oxa-6-azaspiro[3.3]heptan-6-yl)methanone; (S)-(4-amino-5-fluoro-2-methoxyphenyl)(3-fluoropyrrolidin-1-yl)methanone; (S)-(4-amino-2-fluoro-5-methoxyphenyl)(3-fluoropyrrolidin-1-yl)methanone; 4-(4-amino-2-fluoro-5-methoxyphenyl)-N,N, 1-trimethyl-1H-pyrazole-5-carboxamide; (4-amino-5-(fluoromethoxy)-2-methoxyphenyl)(3,3-difluoropyrrolidin-1-yl)methanone; (4-amino-3-methoxyphenyl)(4-(2-hydroxypropan-2-yl)piperidin-1-yl)methanone; (4-amino-5-chloro-2-methoxyphenyl)(2,6-dimethylmorpholino)methanone; (4-amino-3-methoxyphenyl)(4-(tert-butyl)piperidin-1-yl)methanone; (S)-(4-amino-2-fluoro-5-methoxyphenyl)(2-(methoxymethyl)pyrrolidin-1-yl)methanone; (4-amino-5-chloro-2-methoxyphenyl)(4,4-difluoropiperidin-1-yl)methanone; (4-amino-3-(2,2,2-trifluoroethoxyl)phenyl)(morpholino)methanone; (4-amino-3-methoxyphenyl)(4-(piperidin-4-yl)piperazin-1-yl)methanone; (4-amino-3-methoxyphenyl)(3-(trifluoromethyl)piperidin-1-yl)methanone; (S)-(4-amino-5-chloro-2-methoxyphenyl)(3-fluoropyrrolidin-1-yl)methanone; 4-amino-5-chloro-2-methoxy-N-methyl-N-(1-methyl-1H-pyrazol-4-yl)benzamide; (4-amino-5-chloro-2-methoxyphenyl)(4-(2-methoxyethyl)piperazin-1-yl)methanone; 4-amino-2-fluoro-5-methoxy-N-methyl-N-(1-methylpiperidin-4-yl)benzamide; (4-amino-5-methoxy-2-(trifluoromethyl)phenyl)(morpholino)methanone; (4-amino-5-(2-fluoroethoxy)-2-methoxyphenyl)(3,3-difluoropyrrolidin-1-yl)methanone; (4-amino-5-chloro-2-methoxyphenyl)(4-(dimethylamino)piperidin-1-yl)methanone; (4-amino-3-methoxyphenyl)(4-(2,2,2-trifluoroethyl)piperazin-1-yl)methanone; (4-amino-5-methoxy-2-(trifluoromethoxy)phenyl)(morpholino)methanone; (4-(4-amino-3-methoxybenzoyl)piperazin-1-yl)(cyclopropyl)methanone; (4-amino-3-methoxyphenyl)(2,2,6,6-tetrafluoromorpholino)methanone; (4-amino-3-methoxyphenyl)(4-(methylsulfonyl)piperazin-1-yl)methanone; (4-amino-5-chloro-2-methoxyphenyl)(3-morpholinoazetidin-1-yl)methanone; (4-amino-5-chloro-2-methoxyphenyl)(4-(oxetan-3-yl)piperazin-1-yl)methanone; (4-amino-3-methoxyphenyl)(4-(1-methylpiperidin-4-yl)piperazin-1-yl)methanone; (4-amino-3-(cyclopentyloxy)phenyl)(2-oxa-6-azaspiro[3.3]heptan-6-yl)methanone; (6-amino-5-chloro-1-methyl-1H-indol-3-yl)(4-methylpiperazin-1-yl)methanone; (4-amino-2-fluoro-5-methoxyphenyl)(4-morpholinopiperidin-1-yl)methanone, (4-amino-3-methoxyphenyl)((3S,4S)-3,4-difluoropyrrolidin-1-yl)methanone; (6-amino-5-chloro-1-methyl-1H-indol-3-yl)(4-ethylpiperazin-1-yl)methanone; (4-amino-2-fluoro-3-methoxyphenyl)((1S,4S)-2-oxa-5-azabicyclo[2.2.1]heptan-5-yl)methanone; (4-amino-2-fluoro-5-methoxyphenyl)((1S,4S)-2-oxa-5-azabicyclo[2.2.1]heptan-5-yl)methanone; (4-amino-5-chloro-2-methoxyphenyl)((1S,4S)-2-oxa-5-azabicyclo[2.2.1]heptan-5-yl)methanone; (4-amino-2-fluoro-5-methoxyphenyl)((3S,4S)-3,4-difluoropyrrolidin-1-yl)methanone; (4-amino-2-fluoro-5-methoxyphenyl)((2S,6R)-2,6-dimethylmorpholino)methanone; (4-amino-2-fluoro-5-methoxyphenyl)((1R,5S)-8-oxa-3-azabicyclo[3.2.1]octan-3-yl)methanone; (4-amino-5-chloro-2-methoxyphenyl)((2S,6R)-2,6-dimethylmorpholino)methanone; (4-amino-5-chloro-2-methoxyphenyl)((3S,5R)-3,5-dimethylpiperazin-1-yl)methanone; (6-amino-5-chloro-1-methyl-1H-indol-3-yl)((1S,4S)-2-oxa-5-azabicyclo[2.2.1]heptan-5-yl)methanone.

[0100]

Especially preferred are compounds of formula (I) that are selected from: 9-fluoro-N-(4-(4-(4-methylpiperazin-1-yl)piperidin-1-yl)phenyl)-3H-pyrazolo[3,4-c]quinolin-4-amine; 9-fluoro-N-(3-fluoro-4-morpholinophenyl)-3H-pyrazolo[3,4-c]quinolin-4-amine; 8-methoxy-N-(4-(4-(4-methylpiperazin-1-yl)piperidin-1-yl)phenyl)-2H-pyrazolo[3,4-c]quinolin-4-amine; N-(4-fluoro-3-(methylsulfonyl)phenyl)-8-methoxy-2H-pyrazolo[3,4-c]quinolin-4-amine; N-(3-((dimethylamino)methyl)phenyl)-8-methoxy-2H-pyrazolo[3,4-c]quinolin-4-amine; (4-((8-methoxy-2H-pyrazolo[3,4-c]quinolin-4-yl)amino)phenyl)(4-(4-methylpiperazin-1-yl)piperidin-1-yl)methanone; (3-((8-methoxy-2H-pyrazolo[3,4-c]quinolin-4-yl)amino)phenyl)(morpholino)methanone; N-(3-(tert-butyl)phenyl)-8-methoxy-2H-pyrazolo[3,4-c]quinolin-4-amine; 9-fluoro-N-(4-morpholinophenyl)-3H-pyrazolo[3,4-c]quinolin-4-amine; N-(4-(4-cyclopropylpiperazin-1-yl)phenyl)-9-fluoro-3H-pyrazolo[3,4-c]quinolin-4-amine; 9-fluoro-N-(6-morpholinopyridin-3-yl)-3H-pyrazolo[3,4-c]quinolin-4-amine; 6-((8-methoxy-2H-pyrazolo[3,4-c]quinolin-4-yl)amino)-2,3-dihydrobenzo[b]thiophene 1,1-dioxide; 6-((8-methoxy-2H-pyrazolo[3,4-c]quinolin-4-yl)amino)benzo[b]thiophene 1,1-dioxide; (4-((9-methoxy-3H-pyrazolo[3,4-c]quinolin-4-yl)amino)phenyl)(morpholino)methanone; 9-methoxy-N-(4-(morpholinomethyl)phenyl)-3H-pyrazolo[3,4-c]quinolin-4-amine; 9-methoxy-N-(3-methoxy-4-morpholinophenyl)-3H-pyrazolo[3,4-c]quinolin-4-amine; 9-methoxy-N-(6-morpholinopyridin-3-yl)-3H-pyrazolo[3,4-c]quinolin-4-amine; N-(1,3-dihydroisobenzofuran-5-yl)-9-methoxy-3H-pyrazolo[3,4-c]quinolin-4-amine; 6-((9-methoxy-3H-pyrazolo[3,4-c]quinolin-4-yl)amino)-2,3-dihydrobenzo[b]thiophene 1,1-dioxide; 6-(9-methoxy-3H-pyrazolo[3,4-c]quinolin-4-yl)amino)benzo[b]thiophene 1,1-dioxide; 9-methoxy-N-(4-(4-(4-methylpiperazin-1-yl)piperidin-1-yl)phenyl)-3H-pyrazolo[3,4-c]quinolin-4-amine; 8-methoxy-N-(4-((4-(4-methylpiperazin-1-yl)piperidin-1-yl)methyl)phenyl)-2H-pyrazolo[3,4-c]quinolin-4-amine; 8-methoxy-N-(3-(morpholinomethyl)phenyl)-2H-pyrazolo[3,4-c]quinolin-4-amine; 2-(3-((8-methoxy-2H-pyrazolo[3,4-c]quinolin-4-yl)amino)phenyl)-2-methylpropanenitrile; 3-(4-((8-methoxy-2H-pyrazolo[3,4-c]quinolin-4-yl)amino)phenyl)oxazolidin-2-one; N-(5-cyclopropyl-1H-pyrazol-3-yl)-9-methoxy-3H-pyrazolo[3,4-c]quinolin-4-amine; N-(3-fluoro-4-morpholinophenyl)-9-methoxy-3H-pyrazolo[3,4-c]quinolin-4-amine; N-(3-((dimethylamino)methyl)phenyl)-9-methoxy-3H-pyrazolo[3,4-c]quinolin-4-amine; (4-((9-fluoro-3H-pyrazolo[3,4-c]quinolin-4-yl)amino)phenyl)(morpholino)methanone; 9-fluoro-N-(4-(morpholinomethyl)phenyl)-3H-pyrazolo[3,4-c]quinolin-4-amine; 9-fluoro-N-(3-methoxy-4-morpholinophenyl)-3H-pyrazolo[3,4-c]quinolin-4-amine; N-(4-fluoro-3-(methylsulfonyl)phenyl)-9-methoxy-3H-pyrazolo[3,4-c]quinolin-4-amine; 2-(3-((9-methoxy-3H-pyrazolo[3,4-c]quinolin-4-yl)amino)phenyl)-2-methylpropanenitrile; (2-fluoro-4-((8-methoxy-2H-pyrazolo[3,4-c]quinolin-4-yl)amino)phenyl)(morpholino)methanone; (4-((8-methoxy-2H-pyrazolo[3,4-c]quinolin-4-yl)amino)-2-nitrophenyl)(morpholino)methanone; 8-methoxy-N-(4-(oxazol-2-yl)phenyl)-2H-pyrazolo[3,4-c]quinolin-4-amine; 8-methoxy-N-(4-(oxazol-5-yl)phenyl)-2H-pyrazolo[3,4-c]quinolin-4-amine; N-(4-(4-(tert-butyl)piperazin-1-yl)phenyl)-9-methoxy-3H-pyrazolo[3,4-c]quinolin-4-amine; (4-((9-methoxy-3H-pyrazolo[3,4-c]quinolin-4-yl)amino)phenyl)(4-(4-methylpiperazin-1-yl)piperidin-1-yl)methanone; 3-(4-((9-methoxy-2H-pyrazolo[3,4-c]quinolin-4-yl)amino)phenyl)oxazolidin-2-one; 8-methoxy-N-(pyridazin-4-yl)-2H-pyrazolo[3,4-c]quinolin-4-amine; 8-methoxy-N-(3-(methylsulfonyl)-4-nitrophenyl)-2H-pyrazolo[3,4-c]quinolin-4-amine; 8-(methylthio)-N-(4-morpholinophenyl)-3H-pyrazolo[3,4-c]quinolin-4-amine; N-(3-(methylsulfonyl)phenyl)-8-(methylthio)-3H-pyrazolo[3,4-c]quinolin-4-amine; N-(3,4-dimethoxyphenyl)-8-(methylthio)-3H-pyrazolo[3,4-c]quinolin-4-amine; 1-(4-(4-(4-(8-(methylthio)-3H-pyrazolo[3,4-c]quinolin-4-yl)amino)phenyl)piperazin-1-yl)ethan-1-one; 7-((8-(methylthio)-3H-pyrazolo[3,4-c]quinolin-4-yl)amino)-3,4-dihydroquinolin-2(1H)-one; N-(4-((dimethylamino)methyl)phenyl)-8-(methylthio)-3H-pyrazolo[3,4-c]quinolin-4-amine; N-(2-methylisoindolin-5-yl)-8-(methylthio)-3H-pyrazolo[3,4-c]quinolin-4-amine; 6-fluoro-N-(4-morpholinophenyl)-3H-pyrazolo[3,4-c]quinolin-4-amine; 6-fluoro-N-(3-(methylsulfonyl)phenyl)-3H-pyrazolo[3,4-c]quinolin-4-amine; N-(3,4-dimethoxyphenyl)-6-fluoro-3H-pyrazolo[3,4-c]quinolin-4-amine; 1-(4-(4-((6-fluoro-3H-pyrazolo[3,4-c]quinolin-4-yl)amino)phenyl)piperazin-1-yl)ethan-1-one; 7-((6-fluoro-3H-pyrazolo[3,4-c]quinolin-4-yl)amino)-3,4-dihydroquinolin-2(1H)-one; 8-(methylsulfonyl)-N-(4-morpholinophenyl)-3H-pyrazolo[3,4-c]quinolin-4-amine; 8-methoxy-N-(2-(methylthio)-1H-benzo[d]imidazol-5-yl)-2H-pyrazolo[3,4-c]quinolin-4-amine; 9-methoxy-N-(4-(oxazol-5-yl)phenyl)-3H-pyrazolo[3,4-c]quinolin-4-amine; 9-methoxy-N-(4-(oxazol-2-yl)phenyl)-3H-pyrazolo[3,4-c]quinolin-4-amine; 9-methoxy-N-(4-(4-(methylsulfonyl)piperazin-1-yl)phenyl)-3H-pyrazolo[3,4-c]quinolin-4-amine; 4-(4-((9-methoxy-3H-pyrazolo[3,4-c]quinolin-4-yl)amino)phenyl)morpholin-3-one; (4-((9-methoxy-3H-pyrazolo[3,4-c]quinolin-4-yl)amino)phenyl)(pyrrolidin-1-yl)methanone; 1-(4-(4-((8-(methylsulfonyl)-3H-pyrazolo[3,4-c]quinolin-4-yl)amino)phenyl)piperazin-1-yl)ethan-1-one; N-(3,4-dimethoxyphenyl)-8-(methylsulfonyl)-3H-pyrazolo[3,4-c]quinolin-4-amine; (4-((8-(methylsulfonyl)-3H-pyrazolo[3,4-c]quinolin-4-yl)amino)phenyl)(morpholino)methanone; (4-methylpiperazin-1-yl)(4-((8-(methylsulfonyl)-3H-pyrazolo[3,4-c]quinolin-4-yl)amino)phenyl)methanone; 4-((8-(methylsulfonyl)-3H-pyrazolo[3,4-c]quinolin-4-yl)amino)benzamide; N-(4-(4-(4-methylpiperazin-1-yl)piperidin-1-yl)phenyl)-8-(methylsulfonyl)-3H-pyrazolo[3,4-c]quinolin-4-amine; 1-(4-((9-methoxy-3H-pyrazolo[3,4-c]quinolin-4-yl)amino)phenyl)pyrrolidin-2-one; (4-((9-methoxy-3H-pyrazolo[3,4-c]quinolin-4-yl)amino)phenyl)(4-methylpiperazin-1-yl)methanone; 8-cyclopropyl-N-(3,4-dimethoxyphenyl)-3H-pyrazolo[3,4-c]quinolin-4-amine; 5-((9-methoxy-3H-pyrazolo[3,4-c]quinolin-4-yl)amino)-2-morpholinobenzonitrile; N-(3,4-dimethoxyphenyl)-8-methyl-3H-pyrazolo[3,4-c]quinolin-4-amine; 1-(4-(4-((8-methyl-3H-pyrazolo[3,4-c]quinolin-4-yl)amino)phenyl)piperazin-1-yl)ethan-1-one; 8-methyl-N-(4-morpholinophenyl)-3H-pyrazolo[3,4-c]quinolin-4-amine; 8-methyl-N-(3-(methylsulfonyl)phenyl)-3H-pyrazolo[3,4-c]quinolin-4-amine; 3-(4-((8-(methylsulfonyl)-3H-pyrazolo[3,4-c]quinolin-4-yl)amino)phenyl)oxazolidin-2-one; 8-((8-(methylsulfonyl)-3H-pyrazolo[3,4-c]quinolin-4-yl)amino)-4,5-dihydro-1H-benzo[b]azepin-2(3H)-one; 8-(methylsulfonyl)-N-(3-(methylsulfonyl)phenyl)-3H-pyrazolo[3,4-c]quinolin-4-amine; 9-methoxy-N-(6-(4-methylpiperazin-1-yl)pyridin-3-yl)-3H-pyrazolo[3,4-c]quinolin-4-amine; N-(4-(4-(tert-butyl)piperazin-1-yl)phenyl)-8-(methylsulfonyl)-3H-pyrazolo[3,4-c]quinolin-4-amine; N-(6-(4-methylpiperazin-1-yl)pyridin-3-yl)-8-(methylsulfonyl)-3H-pyrazolo[3,4-c]quinolin-4-amine; N-cyclopropyl-8-methoxy-3H-pyrazolo[3,4-c]quinolin-4-amine; 8-methoxy-N-(1-methyl-1H-pyrazol-4-yl)-2H-pyrazolo[3,4-c]quinolin-4-amine; 5-(4-((8-methoxy-2H-pyrazolo[3,4-c]quinolin-4-yl)amino)phenyl)-1,3,4-oxadiazole-2-thiol; 8-methoxy-N-(1-(tetrahydro-2H-pyran-4-yl)-1H-pyrazol-4-yl)-2H-pyrazolo[3,4-c]quinolin-4-amine; 8-methoxy-N-(4-(4-morpholinopiperidin-1-yl)phenyl)-2H-pyrazolo[3,4-c]quinolin-4-amine; N5-(8-methoxy-2H-pyrazolo[3,4-c]quinolin-4-yl)-N2,N2-dimethylpyridine-2,5-diamine; 9-methyl-N-(3-(methylsulfonyl)phenyl)-3H-pyrazolo[3,4-c]quinolin-4-amine; 9-methyl-N-(4-morpholinophenyl)-3H-pyrazolo[3,4-c]quinolin-4-amine; 8-methoxy-N-(3-(methylsulfonyl)-4-morpholinophenyl)-2H-pyrazolo[3,4-c]quinolin-4-amine; 1-(4-(5-((8-methoxy-2H-pyrazolo[3,4-c]quinolin-4-yl)amino)pyridin-2-yl)piperazin-1-yl)ethan-1-one; 9-(methylsulfonyl)-N-(4-morpholinophenyl)-3H-pyrazolo[3,4-c]quinolin-4-amine; 1-(4-(4-((9-(methylsulfonyl)-3H-pyrazolo[3,4-c]quinolin-4-yl)amino)phenyl)piperazin-1-yl)ethan-1-one; (4-((9-(methylsulfonyl)-3H-pyrazolo[3,4-c]quinolin-4-yl)amino)phenyl)(morpholino)methanone; N-(4-(4-(tert-butyl)piperazin-1-yl)phenyl)-9-(methylsulfonyl)-3H-pyrazolo[3,4-c]quinolin-4-amine; 8-methoxy-N-(6-(4-(4-methylpiperazin-1-yl)piperidin-1-yl)pyridin-3-yl)-2H-pyrazolo[3,4-c]quinolin-4-amine; N-(4-(4-(4-methylpiperazin-1-yl)piperidin-1-yl)phenyl)-9-(methylsulfonyl)-3H-pyrazolo[3,4-c]quinolin-4-amine; 8-((9-(methylsulfonyl)-3H-pyrazolo[3,4-c]quinolin-4-yl)amino)-4,5-dihydro-1H-benzo[b]azepin-2(3H)-one; N-(3,4-dimethoxyphenyl)-9-(methylsulfonyl)-3H-pyrazolo[3,4-c]quinolin-4-amine; N-(6-(4-methylpiperazin-1-yl)pyridin-3-yl)-9-(methylsulfonyl)-3H-pyrazolo[3,4-c]quinolin-4-amine; 7-(methylsulfonyl)-N-(4-morpholinophenyl)-3H-pyrazolo[3,4-c]quinolin-4-amine; 9-methoxy-N-(1-(tetrahydro-2H-pyran-4-yl)-1H-pyrazol-4-yl)-3H-pyrazolo[3,4-c]quinolin-4-amine; 8-(methylsulfonyl)-N-(1-(tetrahydro-2H-pyran-4-yl)-1H-pyrazol-4-yl)-3H-pyrazolo[3,4-c]quinolin-4-amine, N-(1,5-dimethyl-1H-pyrazol-4-yl)-8-methoxy-2H-pyrazolo[3,4-c]quinolin-4-amine; N-(1,3-dimethyl-1H-pyrazol-4-yl)-8-methoxy-2H-pyrazolo[3,4-c]quinolin-4-amine; 2-((4-((9-(methylsulfonyl)-3H-pyrazolo[3,4-c]quinolin-4-yl)amino)phenyl)amino)ethan-1-ol; 9-(methylsulfonyl)-N-(3-(methylsulfonyl)phenyl)-3H-pyrazolo[3,4-c]quinolin-4-amine; 9-(methylsulfonyl)-N-(1-(tetrahydro-2H-pyran-4-yl)-1H-pyrazol-4-yl)-3H-pyrazolo[3,4-c]quinolin-4-amine; 8-methoxy-N-(1-(2-methoxyethyl)-1H-pyrazol-4-yl)-2H-pyrazolo[3,4-c]quinolin-4-amine; 8-methoxy-N-(1-(methylsulfonyl)-1H-pyrazol-4-yl)-2H-pyrazolo[3,4-c]quinolin-4-amine; 8-methoxy-N-(1-(1-methylpiperidin-4-yl)-1H-pyrazol-4-yl)-2H-pyrazolo[3,4-c]quinolin-4-amine; 1-(4-(4-((8-methoxy-2H-pyrazolo[3,4-c]quinolin-4-yl)amino)-1H-pyrazol-1-yl)piperidin-1-yl)ethan-1-one; N-(1-(2-methoxyethyl)-1H-pyrazol-4-yl)-8-(methylsulfonyl)-3H-pyrazolo[3,4-c]quinolin-4-amine; N-(1-(1-methylpiperidin-4-yl)-1H-pyrazol-4-yl)-8-(methylsulfonyl)-3H-pyrazolo[3,4-c]quinolin-4-amine; 1-(4-(4-((8-(methylsulfonyl)-3H-pyrazolo[3,4-c]quinolin-4-yl)amino)-1H-pyrazol-1-yl)piperidin-1-yl)ethan-1-one; 9-methoxy-N-(1-(2-methoxyethyl)-1H-pyrazol-4-yl)-2H-pyrazolo[3,4-c]quinolin-4-amine; 1-(4-(4-((9-methoxy-3H-pyrazolo[3,4-c]quinolin-4-yl)amino)-1H-pyrazol-1-yl)piperidin-1-yl)ethan-1-one; 9-methoxy-N-(1-(1-methylpiperidin-4-yl)-1H-pyrazol-4-yl)-3H-pyrazolo[3,4-c]quinolin-4-amine; 8-((7-(methylsulfonyl)-3H-pyrazolo[3,4-c]quinolin-4-yl)amino)-4,5-dihydro-1H-benzo[b]azepin-2(3H)-one; 7-(methylsulfonyl)-N-(1-(tetrahydro-2H-pyran-4-yl)-1H-pyrazol-4-yl)-3H-pyrazolo[3,4-c]quinolin-4-amine; 8-methoxy-N-(1-methyl-1H-1,2,3-triazol-4-yl)-2H-pyrazolo[3,4-c]quinolin-4-amine; 8-methoxy-N-(2-methyl-2H-1,2,3-triazol-4-yl)-2H-pyrazolo[3,4-c]quinolin-4-amine; 8-methoxy-N-(1-methyl-1H-pyrazol-3-yl)-2H-pyrazolo[3,4-c]quinolin-4-amine.

[0101]

Moreover especially preferred are compounds of formula (I) that are selected from: 5-(4-((8-methoxy-2H-pyrazolo[3,4-c]quinolin-4-yl)amino)phenyl)-1,3,4-oxadiazole-2-thiol; 8-methoxy-N-(1-(tetrahydro-2H-pyran-4-yl)-1H-pyrazol-4-yl)-2H-pyrazolo[3,4-c]quinolin-4-amine; 8-methoxy-N-(4-(4-morpholinopiperidin-1-yl)phenyl)-2H-pyrazolo[3,4-c]quinolin-4-amine; N5-(8-methoxy-2H-pyrazolo[3,4-c]quinolin-4-yl)-N2,N2-dimethylpyridine-2,5-diamine; 9-methyl-N-(3-(methylsulfonyl)phenyl)-3H-pyrazolo[3,4-c]quinolin-4-amine; 9-methyl-N-(4-morpholinophenyl)-3H-pyrazolo[3,4-c]quinolin-4-amine; 8-methoxy-N-(3-(methylsulfonyl)-4-morpholinophenyl)-2H-pyrazolo[3,4-c]quinolin-4-amine; 1-(4-(5-((8-methoxy-2H-pyrazolo[3,4-c]quinolin-4-yl)amino)pyridin-2-yl)piperazin-1-yl)ethan-1-one; 9-(methylsulfonyl)-N-(4-morpholinophenyl)-3H-pyrazolo[3,4-c]quinolin-4-amine; 1-(4-(4-((9-(methylsulfonyl)-3H-pyrazolo[3,4-c]quinolin-4-yl)amino)phenyl)piperazin-1-yl)ethan-1-one; (4-((9-(methylsulfonyl)-3H-pyrazolo[3,4-c]quinolin-4-yl)amino)phenyl)(morpholino)methanone; N-(4-(4-(tert-butyl)piperazin-1-yl)phenyl)-9-(methylsulfonyl)-3H-pyrazolo[3,4-c]quinolin-4-amine; 8-methoxy-N-(6-(4-(4-methylpiperazin-1-yl)piperidin-1-yl)pyridin-3-yl)-2H-pyrazolo[3,4-c]quinolin-4-amine; N-(4-(4-(4-methylpiperazin-1-yl)piperidin-1-yl)phenyl)-9-(methylsulfonyl)-3H-pyrazolo[3,4-c]quinolin-4-amine; 8-((9-(methylsulfonyl)-3H-pyrazolo[3,4-c]quinolin-4-yl)amino)-4,5-dihydro-1H-benzo[b]azepin-2(3H)-one; N-(3,4-dimethoxyphenyl)-9-(methylsulfonyl)-3H-pyrazolo[3,4-c]quinolin-4-amine; N-(6-(4-methylpiperazin-1-yl)pyridin-3-yl)-9-(methylsulfonyl)-3H-pyrazolo[3,4-c]quinolin-4-amine; 7-(methylsulfonyl)-N-(4-morpholinophenyl)-3H-pyrazolo[3,4-c]quinolin-4-amine; 9-methoxy-N-(1-(tetrahydro-2H-pyran-4-yl)-1H-pyrazol-4-yl)-3H-pyrazolo[3,4-c]quinolin-4-amine; 8-(methylsulfonyl)-N-(1-(tetrahydro-2H-pyran-4-yl)-1H-pyrazol-4-yl)-3H-pyrazolo[3,4-c]quinolin-4-amine; N-(1,5-dimethyl-1H-pyrazol-4-yl)-8-methoxy-2H-pyrazolo[3,4-c]quinolin-4-amine; N-(1,3-dimethyl-1H-pyrazol-4-yl)-8-methoxy-2H-pyrazolo[3,4-c]quinolin-4-amine; 2-((4-((9-(methylsulfonyl)-3H-pyrazolo[3,4-c]quinolin-4-yl)amino)phenyl)amino)ethan-1-ol; 9-(methylsulfonyl)-N-(3-(methylsulfonyl)phenyl)-3H-pyrazolo[3,4-c]quinolin-4-amine, 9-(methylsulfonyl)-N-(1-(tetrahydro-2H-pyran-4-yl)-1H-pyrazol-4-yl)-3H-pyrazolo[3,4-c]quinolin-4-amine; 8-methoxy-N-(1-(2-methoxyethyl)-1H-pyrazol-4-yl)-2H-pyrazolo[3,4-c]quinolin-4-amine; 8-methoxy-N-(1-(methylsulfonyl)-1H-pyrazol-4-yl)-2H-pyrazolo[3,4-c]quinolin-4-amine; 8-methoxy-N-(1-(1-methylpiperidin-4-yl)-1H-pyrazol-4-yl)-2H-pyrazolo[3,4-c]quinolin-4-amine; 1-(4-(4-((8-methoxy-2H-pyrazolo[3,4-c]quinolin-4-yl)amino)-1H-pyrazol-1-yl)piperidin-1-yl)ethan-1-one; N-(1-(2-methoxyethyl)-1H-pyrazol-4-yl)-8-(methylsulfonyl)-3H-pyrazolo[3,4-c]quinolin-4-amine; N-(1-(1-methylpiperidin-4-yl)-1H-pyrazol-4-yl)-8-(methylsulfonyl)-3H-pyrazolo[3,4-c]quinolin-4-amine; 1-(4-(4-((8-(methylsulfonyl)-3H-pyrazolo[3,4-c]quinolin-4-yl)amino)-1H-pyrazol-1-yl)piperidin-1-yl)ethan-1-one; 9-methoxy-N-(1-(2-methoxyethyl)-1H-pyrazol-4-yl)-2H-pyrazolo[3,4-c]quinolin-4-amine; 1-(4-(4-((9-methoxy-3H-pyrazolo[3,4-c]quinolin-4-yl)amino)-1H-pyrazol-1-yl)piperidin-1-yl)ethan-1-one; 9-methoxy-N-(1-(1-methylpiperidin-4-yl)-1H-pyrazol-4-yl)-3H-pyrazolo[3,4-c]quinolin-4-amine; 8-((7-(methylsulfonyl)-3H-pyrazolo[3,4-c]quinolin-4-yl)amino)-4,5-dihydro-1H-benzo[b]azepin-2(3H)-one; 7-(methylsulfonyl)-N-(1-(tetrahydro-2H-pyran-4-yl)-1H-pyrazol-4-yl)-3H-pyrazolo[3,4-c]quinolin-4-amine; 8-methoxy-N-(1-methyl-1H-1,2,3-triazol-4-yl)-2H-pyrazolo[3,4-c]quinolin-4-amine, 8-methoxy-N-(2-methyl-2H-1,2,3-triazol-4-yl)-2H-pyrazolo[3,4-c]quinolin-4-amine; 8-methoxy-N-(1-methyl-1H-pyrazol-3-yl)-2H-pyrazolo[3,4-c]quinolin-4-amine; 2-(4-((8-methoxy-2H-pyrazolo[3,4-c]quinolin-4-yl)amino)-1H-pyrazol-1-yl)-2-methylpropanamide; 8-methoxy-N-(2-methyl-2H-tetrazol-5-yl)-2H-pyrazolo[3,4-c]quinolin-4-amine; 8-methoxy-N-(1-methyl-1H-imidazol-4-yl)-2H-pyrazolo[3,4-c]quinolin-4-amine; N-(1-(1-methylpiperidin-4-yl)-1H-pyrazol-4-yl)-7-(methylsulfonyl)-3H-pyrazolo[3,4-c]quinolin-4-amine; 1-(4-(4-((7-(methylsulfonyl)-3H-pyrazolo[3,4-c]quinolin-4-yl)amino)-1H-pyrazol-1-yl)piperidin-1-yl)ethan-1-one; 7-(methylsulfonyl)-N-(1-(tetrahydro-2H-pyran-4-yl)-1H-pyrazol-4-yl)-3H-pyrazolo[3,4-c]quinolin-4-amine; N-(1-(2-methoxyethyl)-1H-pyrazol-4-yl)-7-(methylsulfonyl)-3H-pyrazolo[3,4-c]quinolin-4-amine; N-(1-(2-methoxyethyl)-1H-pyrazol-4-yl)-7-(methylthio)-3H-pyrazolo[3,4-c]quinolin-4-amine; 2-methyl-2-(4-((8-(methylsulfonyl)-3H-pyrazolo[3,4-c]quinolin-4-yl)amino)-1H-pyrazol-1-yl)propanenitrile; 8-(methylsulfonyl)-N-(1-(oxetan-3-yl)-1H-pyrazol-4-yl)-3H-pyrazolo[3,4-c]quinolin-4-amine, (2-fluoro-4-((7-(methylsulfonyl)-3H-pyrazolo[3,4-c]quinolin-4-yl)amino)phenyl)(morpholino)methanone; (2-fluoro-4-((8-(methylsulfonyl)-3H-pyrazolo[3,4-c]quinolin-4-yl)amino)phenyl)(morpholino)methanone; 4-((8-methoxy-2H-pyrazolo[3,4-c]quinolin-4-yl)amino)pyridin-2(1H)-one; 4-((8-methoxy-2H-pyrazolo[3,4-c]quinolin-4-yl)amino)-1-methylpyridin-2(1H)-one; N-(1-(3-methoxypropyl)-1H-pyrazol-4-yl)-8-(methylsulfonyl)-3H-pyrazolo[3,4-c]quinolin-4-amine; 1-(4-((8-(methylsulfonyl)-3H-pyrazolo[3,4-c]quinolin-4-yl)amino)-1H-pyrazol-1-yl)cyclohexanecarbonitrile; N-(1-isopropyl-1H-pyrazol-4-yl)-8-(methylsulfonyl)-3H-pyrazolo[3,4-c]quinolin-4-amine; N-(1-(tert-butyl)-1H-pyrazol-4-yl)-9-methoxy-3H-pyrazolo[3,4-c]quinolin-4-amine; N-(1-isopropyl-1H-pyrazol-4-yl)-9-methoxy-3H-pyrazolo[3,4-c]quinolin-4-amine; 9-methoxy-N-(1-(3-methoxypropyl)-1H-pyrazol-4-yl)-3H-pyrazolo[3,4-c]quinolin-4-amine; 2-(4-((9-methoxy-3H-pyrazolo[3,4-c]quinolin-4-yl)amino)-1H-pyrazol-1-yl)-2-methylpropanenitrile; 1-(4-((9-methoxy-3H-pyrazolo[3,4-c]quinolin-4-yl)amino)-1H-pyrazol-1-yl)cyclohexanecarbonitrile; 2-(4-((8-(methylsulfonyl)-3H-pyrazolo[3,4-c]quinolin-4-yl)amino)-1H-pyrazol-1-yl)ethan-1-ol; N-(1-isobutyl-1H-pyrazol-4-yl)-8-(methylsulfonyl)-3H-pyrazolo[3,4-c]quinolin-4-amine; N-(1-(tert-butyl)-1H-pyrazol-4-yl)-7-(methylsulfonyl)-3H-pyrazolo[3,4-c]quinolin-4-amine; N-(1-isopropyl-1H-pyrazol-4-yl)-7-(methylsulfonyl)-3H-pyrazolo[3,4-c]quinolin-4-amine; N-(1-(3-methoxypropyl)-1H-pyrazol-4-yl)-7-(methylsulfonyl)-3H-pyrazolo[3,4-c]quinolin-4-amine; 2-methyl-2-(4-((7-(methylsulfonyl)-3H-pyrazolo[3,4-c]quinolin-4-yl)amino)-1H-pyrazol-1-yl)propanenitrile; N-(1-isobutyl-1H-pyrazol-4-yl)-7-(methylsulfonyl)-3H-pyrazolo[3,4-c]quinolin-4-amine; 2-(4-((7-(methylsulfonyl)-3H-pyrazolo[3,4-c]quinolin-4-yl)amino)-1H-pyrazol-1-yl)ethan-1-ol; (3-methoxy-4-((7-(methylsulfonyl)-3H-pyrazolo[3,4-c]quinolin-4-yl)amino)phenyl)(morpholino)methanone; N-(1-(tert-butyl)-1H-pyrazol-4-yl)-8-(methylsulfonyl)-3H-pyrazolo[3,4-c]quinolin-4-amine; (3-methoxy-4-((8-(methylsulfonyl)-3H-pyrazolo[3,4-c]quinolin-4-yl)amino)phenyl)(morpholino)methanone; N-(1-cyclopropyl-1H-pyrazol-4-yl)-7-(methylsulfonyl)-3H-pyrazolo[3,4-c]quinolin-4-amine; N-(1-isobutyl-1H-pyrazol-4-yl)-9-methoxy-3H-pyrazolo[3,4-c]quinolin-4-amine; 2-(4-((9-methoxy-3H-pyrazolo[3,4-c]quinolin-4-yl)amino)-1H-pyrazol-1-yl)ethan-1-ol; (3-methoxy-4-((9-methoxy-3H-pyrazolo[3,4-c]quinolin-4-yl)amino)phenyl)(morpholino)methanone; N-(1-cyclopropyl-1H-pyrazol-4-yl)-9-methoxy-3H-pyrazolo[3,4-c]quinolin-4-amine; 1-methyl-3-((8-(methylsulfonyl)-3H-pyrazolo[3,4-c]quinolin-4-yl)amino)pyridin-2(1H)-one; N-(1-cyclopropyl-1H-pyrazol-4-yl)-8-(methylsulfonyl)-3H-pyrazolo[3,4-c]quinolin-4-amine; 9-methoxy-N-(1-(1-methoxy-2-methylpropan-2-yl)-1H-pyrazol-4-yl)-3H-pyrazolo[3,4-c]quinolin-4-amine; 9-methoxy-N-(1-(2-methoxyethyl)-3-methyl-1H-pyrazol-4-yl)-3H-pyrazolo[3,4-c]quinolin-4-amine; N-(1-(1-(tert-butyl)piperidin-4-yl)-1H-pyrazol-4-yl)-9-methoxy-3H-pyrazolo[3,4-c]quinolin-4-amine; 9-methoxy-N-(3-methyl-1-(tetrahydro-2H-pyran-4-yl)-1H-pyrazol-4-yl)-3H-pyrazolo[3,4-c]quinolin-4-amine; N-(1-(1-methoxy-2-methylpropan-2-yl)-1H-pyrazol-4-yl)-8-(methylsulfonyl)-3H-pyrazolo[3,4-c]quinolin-4-amine; N-(1-(2-methoxyethyl)-3-methyl-1H-pyrazol-4-yl)-8-(methylsulfonyl)-3H-pyrazolo[3,4-c]quinolin-4-amine; N-(1-(2-methoxyethyl)-5-methyl-1H-pyrazol-4-yl)-8-(methylsulfonyl)-3H-pyrazolo[3,4-c]quinolin-4-amine; N-(1-(1-(tert-butyl)piperidin-4-yl)-1H-pyrazol-4-yl)-8-(methylsulfonyl)-3H-pyrazolo[3,4-c]quinolin-4-amine; N-(1-(tert-butyl)-1H-pyrazol-3-yl)-8-(methylsulfonyl)-3H-pyrazolo[3,4-c]quinolin-4-amine; N-(1-isopropyl-3-methyl-1H-pyrazol-4-yl)-8-(methylsulfonyl)-3H-pyrazolo[3,4-c]quinolin-4-amine; N-(1-isopropyl-5-methyl-1H-pyrazol-4-yl)-8-(methylsulfonyl)-3H-pyrazolo[3,4-c]quinolin-4-amine; N-(5-methyl-1-(tetrahydro-2H-pyran-4-yl)-1H-pyrazol-4-yl)-8-(methylsulfonyl)-3H-pyrazolo[3,4-c]quinolin-4-amine; N-(3-methyl-1-(tetrahydro-2H-pyran-4-yl)-1H-pyrazol-4-yl)-8-(methylsulfonyl)-3H-pyrazolo[3,4-c]quinolin-4-amine; N-(1-isopropyl-3-methyl-1H-pyrazol-4-yl)-8-(methylsulfonyl)-3H-pyrazolo[3,4-c]quinolin-4-amine; N-(1-isopropyl-5-methyl-1H-pyrazol-4-yl)-8-(methylsulfonyl)-3H-pyrazolo[3,4-c]quinolin-4-amine; N-(1-isopropyl-5-methyl-1H-pyrazol-4-yl)-9-methoxy-3H-pyrazolo[3,4-c]quinolin-4-amine; N-(1-isopropyl-3-methyl-1H-pyrazol-4-yl)-9-methoxy-3H-pyrazolo[3,4-c]quinolin-4-amine; N-(1-(2-fluoroethyl)-1H-pyrazol-4-yl)-8-(methylsulfonyl)-3H-pyrazolo[3,4-c]quinolin-4-amine; N-(1-isopropyl-3-methyl-1H-pyrazol-4-yl)-9-methoxy-3H-pyrazolo[3,4-c]quinolin-4-amine; N-(1-isopropyl-5-methyl-1H-pyrazol-4-yl)-9-methoxy-3H-pyrazolo[3,4-c]quinolin-4-amine; N-(1-isopropyl-3-methoxy-1H-pyrazol-4-yl)-9-methoxy-3H-pyrazolo[3,4-c]quinolin-4-amine; N-(1-(1-(tert-butyl)piperidin-4-yl)-3-methoxy-1H-pyrazol-4-yl)-9-methoxy-3H-pyrazolo[3,4-c]quinolin-4-amine; N-(1-isopropyl-3-methoxy-1H-pyrazol-4-yl)-8-(methylsulfonyl)-3H-pyrazolo[3,4-c]quinolin-4-amine; N-(1-isopropyl-5-methoxy-1H-pyrazol-4-yl)-8-(methylsulfonyl)-3H-pyrazolo[3,4-c]quinolin-4-amine; N-(1-(1-(tert-butyl)piperidin-4-yl)-3-methoxy-1H-pyrazol-4-yl)-8-(methylsulfonyl)-3H-pyrazolo[3,4-c]quinolin-4-amine; N-(1-(1-(tert-butyl)piperidin-4-yl)-5-methoxy-1H-pyrazol-4-yl)-8-(methylsulfonyl)-3H-pyrazolo[3,4-c]quinolin-4-amine; N-(2-chloro-5-(methylsulfonyl)thiophen-3-yl)-8-(methylsulfonyl)-3H-pyrazolo[3,4-c]quinolin-4-amine; N-(3-methoxy-1-(3-methoxypropyl)-1H-pyrazol-4-yl)-8-(methylsulfonyl)-3H-pyrazolo[3,4-c]quinolin-4-amine; N-(5-methoxy-1-(3-methoxypropyl)-1H-pyrazol-4-yl)-8-(methylsulfonyl)-3H-pyrazolo[3,4-c]quinolin-4-amine; N-(5-chloro-1-isopropyl-1H-pyrazol-4-yl)-8-(methylsulfonyl)-3H-pyrazolo[3,4-c]quinolin-4-amine; N-(1-isopropyl-3,5-dimethyl-1H-pyrazol-4-yl)-9-methoxy-3H-pyrazolo[3,4-c]quinolin-4-amine; N-(5-chloro-1-(3-methoxypropyl)-1H-pyrazol-4-yl)-9-methoxy-3H-pyrazolo[3,4-c]quinolin-4-amine; 9-methoxy-N-(1-(piperidin-4-yl)-1H-pyrazol-4-yl)-3H-pyrazolo[3,4-c]quinolin-4-amine; N-(5-chloro-1-(3-methoxypropyl)-1H-pyrazol-4-yl)-8-(methylsulfonyl)-3H-pyrazolo[3,4-c]quinolin-4-amine; N-(1-isopropyl-3,5-dimethyl-1H-pyrazol-4-yl)-8-(methylsulfonyl)-3H-pyrazolo[3,4-c]quinolin-4-amine; N-(3-cyclopropyl-1-methyl-1H-pyrazol-5-yl)-8-(methylsulfonyl)-3H-pyrazolo[3,4-c]quinolin-4-amine; 3-(3-methoxy-4-((8-(methylsulfonyl)-3H-pyrazolo[3,4-c]quinolin-4-yl)amino)phenyl)oxazolidin-2-one; N-(5-chloro-1-(2-methoxyethyl)-1H-pyrazol-4-yl)-9-methoxy-3H-pyrazolo[3,4-c]quinolin-4-amine; N-(5-chloro-1-(2-methoxyethyl)-1H-pyrazol-4-yl)-8-(methylsulfonyl)-3H-pyrazolo[3,4-c]quinolin-4-amine; N-(5-chloro-1-(2-methoxyethyl)-1H-pyrazol-4-yl)-7-(methylsulfonyl)-3H-pyrazolo[3,4-c]quinolin-4-amine; N-(1-isopropyl-5-methyl-1H-pyrazol-4-yl)-7-(methylsulfonyl)-3H-pyrazolo[3,4-c]quinolin-4-amine; 6-((9-methoxy-3H-pyrazolo[3,4-c]quinolin-4-yl)amino)-1,3-dimethylpyrimidine-2,4(1H,3H)-dione; 1-isopropyl-4-((8-(methylsulfonyl)-3H-pyrazolo[3,4-c]quinolin-4-yl)amino)-1H-pyrazole-3-carbonitrile; 1-isopropyl-4-((8-(methyl sulfonyl)-3H-pyrazolo[3,4-c]quinolin-4-yl)amino)-1H-pyrazole-5-carbonitrile; 1-(2-methoxyethyl)-4-((8-(methylsulfonyl)-3H-pyrazolo[3,4-c]quinolin-4-yl)amino)-1H-pyrazole-3-carbonitrile; 1-(2-methoxyethyl)-4-((8-(methylsulfonyl)-3H-pyrazolo[3,4-c]quinolin-4-yl)amino)-1H-pyrazole-5-carbonitrile; 1-isopropyl-4-((8-(methyl sulfonyl)-3H-pyrazolo[3,4-c]quinolin-4-yl)amino)-1H-pyrazole-3-carboxamide; 1-isopropyl-4-((8-(methylsulfonyl)-3H-pyrazolo[3,4-c]quinolin-4-yl)amino)-1H-pyrazole-5-carboxamide; 1,3-dimethyl-6-((8-(methylsulfonyl)-3H-pyrazolo[3,4-c]quinolin-4-yl)amino)pyrimidine-2,4(1H,3H)-dione; N-(1-(2-fluoro ethyl)-1H-pyrazol-4-yl)-9-methoxy-3H-pyrazolo[3,4-c]quinolin-4-amine; N-(5-chloro-1-(piperidin-4-yl)-1H-pyrazol-4-yl)-9-methoxy-3H-pyrazolo[3,4-c]quinolin-4-amine; N-(5-chloro-1-(tetrahydro-2H-pyran-4-yl)-1H-pyrazol-4-yl)-9-methoxy-3H-pyrazolo[3,4-c]quinolin-4-amine; 1-(4-((9-methoxy-3H-pyrazolo[3,4-c]quinolin-4-yl)amino)-1H-pyrazol-1-yl)-2-methylpropan-2-ol; 9-methoxy-N-(1-(2,2,2-trifluoroethyl)-1H-pyrazol-4-yl)-3H-pyrazolo[3,4-c]quinolin-4-amine; 9-methoxy-N-(1-(2-methylallyl)-1H-pyrazol-4-yl)-3H-pyrazolo[3,4-c]quinolin-4-amine; 9-methoxy-N-(1-(2-methylprop-1-en-1-yl)-1H-pyrazol-4-yl)-3H-pyrazolo[3,4-c]quinolin-4-amine; N-(1,2-dimethyl-1H-imidazol-5-yl)-8-(methyl sulfonyl)-3H-pyrazolo[3,4-c]quinolin-4-amine; 8-(methyl sulfonyl)-N-(1-(2,2,2-trifluoroethyl)-1H-pyrazol-4-yl)-3H-pyrazolo[3,4-c]quinolin-4-amine; 2-methyl-1-(4-((8-(methylsulfonyl)-3H-pyrazolo[3,4-c]quinolin-4-yl)amino)-1H-pyrazol-1-yl)propan-2-ol; N-(1-(2-methylprop-1-en-1-yl)-1H-pyrazol-4-yl)-8-(methyl sulfonyl)-3H-pyrazolo[3,4-c]quinolin-4-amine; N-(1-(2-methylallyl)-1H-pyrazol-4-yl)-8-(methylsulfonyl)-3H-pyrazolo[3,4-c]quinolin-4-amine; N-(5-chloro-1-(tetrahydro-2H-pyran-4-yl)-1H-pyrazol-4-yl)-8-(methylsulfonyl)-3H-pyrazolo[3,4-c]quinolin-4-amine; 1-isopropyl-4-((9-methoxy-3H-pyrazolo[3,4-c]quinolin-4-yl)amino)-1H-pyrazole-5-carboxamide; 9-methoxy-N-(1-(2-methoxyethyl)-3-(trifluoromethyl)-1H-pyrazol-4-yl)-3H-pyrazolo[3,4-c]quinolin-4-amine; 9-methoxy-N-(1-(2-methoxyethyl)-5-(trifluoromethyl)-1H-pyrazol-4-yl)-3H-pyrazolo[3,4-c]quinolin-4-amine; N-(1-(2-fluoroethyl)-3-methyl-1H-pyrazol-4-yl)-8-(methylsulfonyl)-3H-pyrazolo[3,4-c]quinolin-4-amine; N-(1-(2-fluoroethyl)-5-methyl-1H-pyrazol-4-yl)-8-(methylsulfonyl)-3H-pyrazolo[3,4-c]quinolin-4-amine; N-(1-(2-methoxyethyl)-3-(trifluoromethyl)-1H-pyrazol-4-yl)-8-(methylsulfonyl)-3H-pyrazolo[3,4-c]quinolin-4-amine; N-(1-(2-methoxyethyl)-5-(trifluoromethyl)-1H-pyrazol-4-yl)-8-(methylsulfonyl)-3H-pyrazolo[3,4-c]quinolin-4-amine; 1-(2-methoxyethyl)-4-((8-(methylsulfonyl)-3H-pyrazolo[3,4-c]quinolin-4-yl)amino)-1H-pyrazole-5-carbonitrile; 1-(2-methoxyethyl)-4-((8-(methylsulfonyl)-3H-pyrazolo[3,4-c]quinolin-4-yl)amino)-1H-pyrazole-3-carbonitrile; N-(5-bromo-1-(2-methoxyethyl)-1H-pyrazol-4-yl)-9-methoxy-3H-pyrazolo[3,4-c]quinolin-4-amine; N-(5-fluoro-1-(2-methoxyethyl)-1H-pyrazol-4-yl)-9-methoxy-3H-pyrazolo[3,4-c]quinolin-4-amine, N4-(9-methoxy-3H-pyrazolo[3,4-c]quinolin-4-yl)-1-(2-methoxyethyl)-N5,N5-dimethyl-1H-pyrazole-4,5-diamine; N-(2-isopropyl-1-methyl-1H-imidazol-5-yl)-9-methoxy-3H-pyrazolo[3,4-c]quinolin-4-amine; N-(5-bromo-1-(2-methoxyethyl)-1H-pyrazol-4-yl)-8-(methylsulfonyl)-3H-pyrazolo[3,4-c]quinolin-4-amine; 1-(2-methoxyethyl)-N5,N5-dimethyl-N4-(8-(methylsulfonyl)-3H-pyrazolo[3,4-c]quinolin-4-yl)-1H-pyrazole-4,5-diamine; N-(5-methyl-1-(tetrahydro-2H-pyran-4-yl)-1H-pyrazol-4-yl)-8-(methylsulfonyl)-3H-pyrazolo[3,4-c]quinolin-4-amine; N-(1-(2-methoxyethyl)-5-methyl-1H-pyrazol-4-yl)-8-(methylsulfonyl)-3H-pyrazolo[3,4-c]quinolin-4-amine; N-(2-methyl-3-morpholinophenyl)-8-(methylsulfonyl)-3H-pyrazolo[3,4-c]quinolin-4-amine; N-(2-isopropyl-1-methyl-1H-imidazol-5-yl)-8-(methylsulfonyl)-3H-pyrazolo[3,4-c]quinolin-4-amine; N-(1-isobutyl-1H-pyrazol-4-yl)-8-methoxy-3H-pyrazolo[3,4-c]quinolin-4-amine; N-(1-(tert-butyl)-1H-pyrazol-4-yl)-8-methoxy-3H-pyrazolo[3,4-c]quinolin-4-amine; 8-methoxy-N-(1-(3-methoxypropyl)-1H-pyrazol-4-yl)-3H-pyrazolo[3,4-c]quinolin-4-amine; 6,8-dimethoxy-N-(4-morpholinophenyl)-3H-pyrazolo[3,4-c]quinolin-4-amine; 6,8-dimethoxy-N-(1-(tetrahydro-2H-pyran-4-yl)-1H-pyrazol-4-yl)-3H-pyrazolo[3,4-c]quinolin-4-amine; 6,8-dimethoxy-N-(1-(3-methoxypropyl)-1H-pyrazol-4-yl)-3H-pyrazolo[3,4-c]quinolin-4-amine; N-(1-(2-fluoroethyl)-1H-pyrazol-4-yl)-8-methoxy-3H-pyrazolo[3,4-c]quinolin-4-amine; N-(1-isopropyl-1H-pyrazol-4-yl)-8-methoxy-3H-pyrazolo[3,4-c]quinolin-4-amine; N-(1-cyclopropyl-1H-pyrazol-4-yl)-8-methoxy-3H-pyrazolo[3,4-c]quinolin-4-amine, N-(1-isopropyl-1H-pyrazol-4-yl)-6,8-dimethoxy-3H-pyrazolo[3,4-c]quinolin-4-amine; N-(1-(1-(tert-butyl)piperidin-4-yl)-1H-pyrazol-4-yl)-6,8-dimethoxy-3H-pyrazolo[3,4-c]quinolin-4-amine; 1-(4-((8-methoxy-3H-pyrazolo[3,4-c]quinolin-4-yl)amino)phenyl)piperidin-4-ol; 2-(4-(4-((8-methoxy-3H-pyrazolo[3,4-c]quinolin-4-yl)amino)phenyl)piperazin-1-yl)ethan-1-ol; 1-(4-((8-methoxy-3H-pyrazolo[3,4-c]quinolin-4-yl)amino)-1H-pyrazol-1-yl)-2-methylpropan-2-ol; N-(1-(tert-butyl)-1H-pyrazol-4-yl)-8-methoxy-3H-pyrazolo[3,4-c]quinolin-4-amine; N-(1-(1-(tert-butyl)piperidin-4-yl)-1H-pyrazol-4-yl)-8-methoxy-3H-pyrazolo[3,4-c]quinolin-4-amine; 2-(4-((8-methoxy-3H-pyrazolo[3,4-c]quinolin-4-yl)amino)-1H-pyrazol-1-yl)-2-methylpropanenitrile; N-(3,4-dimethoxyphenyl)-7-(methylsulfonyl)-3H-pyrazolo[3,4-c]quinolin-4-amine; 2-(4-(4-((7-(methylsulfonyl)-3H-pyrazolo[3,4-c]quinolin-4-yl)amino)phenyl)piperazin-1-yl)ethan-1-ol; 6-methoxy-N-(4-morpholinophenyl)-3H-pyrazolo[3,4-c]quinolin-4-amine; N-(1-isopropyl-1H-pyrazol-4-yl)-6-methoxy-3H-pyrazolo[3,4-c]quinolin-4-amine; 6-methoxy-N-(1-(3-methoxypropyl)-1H-pyrazol-4-yl)-3H-pyrazolo[3,4-c]quinolin-4-amine; 6-methoxy-N-(1-(tetrahydro-2H-pyran-4-yl)-1H-pyrazol-4-yl)-3H-pyrazolo[3,4-c]quinolin-4-amine; (4-((6,8-dimethoxy-3H-pyrazolo[3,4-c]quinolin-4-yl)amino)phenyl)(morpholino)methanone; 2-(4-(4-((8-(methylsulfonyl)-3H-pyrazolo[3,4-c]quinolin-4-yl)amino)phenyl)piperazin-1-yl)ethan-1-ol; N-(1-(1-(tert-butyl)piperidin-4-yl)-1H-pyrazol-4-yl)-8-(methylsulfonyl)-3H-pyrazolo[3,4-c]quinolin-4-amine; 2-(4-((8-methoxy-2H-pyrazolo[3,4-c]quinolin-4-yl)amino)-1H-pyrazol-1-yl)-N,N-dimethylacetamide; 8-methoxy-N-(1-(pyrrolidin-3-yl)-1H-pyrazol-4-yl)-2H-pyrazolo[3,4-c]quinolin-4-amine; N-(1-(1,3-dimethoxypropan-2-yl)-1H-pyrazol-4-yl)-8-methoxy-2H-pyrazolo[3,4-c]quinolin-4-amine; 8-methoxy-N-(1-(tetrahydro-2H-pyran-3-yl)-1H-pyrazol-4-yl)-2H-pyrazolo[3,4-c]quinolin-4-amine; N-(1-(2-methoxy-2-methylpropyl)-1H-pyrazol-4-yl)-8-(methylsulfonyl)-3H-pyrazolo[3,4-c]quinolin-4-amine; 1-(4-((8-(methylsulfonyl)-3H-pyrazolo[3,4-c]quinolin-4-yl)amino)phenyl)piperidin-4-ol; 2-methyl-1-(4-((8-(methylsulfonyl)-3H-pyrazolo[3,4-c]quinolin-4-yl)amino)-1H-pyrazol-1-yl)propan-2-ol; 4-ethyl-6-((8-methoxy-2H-pyrazolo[3,4-c]quinolin-4-yl)amino)-2H-benzo[b][1,4]oxazin-3 (4H)-one; 8-methoxy-N-(1-(pyridin-2-yl)-1H-pyrazol-4-yl)-2H-pyrazolo[3,4-c]quinolin-4-amine; 8-methoxy-N-(1-(1-phenyl ethyl)-1H-pyrazol-4-yl)-2H-pyrazolo[3,4-c]quinolin-4-amine; 8-methoxy-N-(1-(3-methylbutan-2-yl)-1H-pyrazol-4-yl)-2H-pyrazolo[3,4-c]quinolin-4-amine; 6-((8-methoxy-2H-pyrazolo[3,4-c]quinolin-4-yl)amino)-4-methyl-2H-benzo[b][1,4]oxazin-3 (4H)-one; 8-(methylsulfonyl)-N-(1-(tetrahydro-2H-pyran-3-yl)-1H-pyrazol-4-yl)-2H-pyrazolo[3,4-c]quinolin-4-amine; N-(1-(3-methylbutan-2-yl) 1H-pyrazol-4-yl)-8-(methylsulfonyl)-2H-pyrazolo[3,4-c]quinolin-4-amine; 2-methyl-1-(3-methyl-4-((8-(methylsulfonyl)-2H-pyrazolo[3,4-c]quinolin-4-yl)amino)-1H-pyrazol-1-yl)propan-2-ol; 2-methyl-1-(5-methyl-4-((8-(methylsulfonyl)-2H-pyrazolo[3,4-c]quinolin-4-yl)amino)-1H-pyrazol-1-yl)propan-2-ol; 8-(methylsulfonyl)-N-(1-(pyrrolidin-3-yl)-1H-pyrazol-4-yl)-2H-pyrazolo[3,4-c]quinolin-4-amine; 4-methyl-6-((8-(methylsulfonyl)-2H-pyrazolo[3,4-c]quinolin-4-yl)amino)-2H-benzo[b][1,4]oxazin-3(4H)-one; 2-methyl-1-(4-((7-(methylsulfonyl)-3H-pyrazolo[3,4-c]quinolin-4-yl)amino)-1H-pyrazol-1-yl)propan-2-ol; 8-(methylsulfonyl)-N-(1-(pentan-3-yl)-1H-pyrazol-4-yl)-2H-pyrazolo[3,4-c]quinolin-4-amine; N-(3-((8-(methylsulfonyl)-2H-pyrazolo[3,4-c]quinolin-4-yl)amino)phenyl)acetamide; N-(2-methoxy-5-((8-(methylsulfonyl)-2H-pyrazolo[3,4-c]quinolin-4-yl)amino)phenyl)acetamide; N-(3-ethylphenyl)-8-(methylsulfonyl)-2H-pyrazolo[3,4-c]quinolin-4-amine; 2-(4-((8-(methylsulfonyl)-2H-pyrazolo[3,4-c]quinolin-4-yl)amino)-1H-pyrazol-1-yl)propanoic acid; 5-((8-(methylsulfonyl)-2H-pyrazolo[3,4-c]quinolin-4-yl)amino)-1H-pyrazole-3-carboxylic acid; 2-((8-(methylsulfonyl)-2H-pyrazolo[3,4-c]quinolin-4-yl)amino)phenol; (S)—N-(3-(2-methylpyrrolidin-1-yl)phenyl)-8-(methylsulfonyl)-2H-pyrazolo[3,4-c]quinolin-4-amine; (S)-8-methoxy-N-(3-(2-methylpyrrolidin-1-yl)phenyl)-2H-pyrazolo[3,4-c]quinolin-4-amine; 2-(4-((9-methoxy-3H-pyrazolo[3,4-c]quinolin-4-yl)amino)-1H-pyrazol-1-yl)-N,N-dimethylacetamide; N-(1-(1,3-dimethoxypropan-2-yl)-1H-pyrazol-4-yl)-9-methoxy-3H-pyrazolo[3,4-c]quinolin-4-amine; 8-(methylsulfonyl)-N-(1-(pyridin-2-yl)-1H-pyrazol-4-yl)-2H-pyrazolo[3,4-c]quinolin-4-amine; 4-ethyl-6-((8-(methylsulfonyl)-2H-pyrazolo[3,4-c]quinolin-4-yl)amino)-2H-benzo[b][1,4]oxazin-3(4H)-one; 6-((8-(methylsulfonyl)-2H-pyrazolo[3,4-c]quinolin-4-yl)amino)-2H-benzo[b][1,4]oxazin-3(4H)-one; 6-((8-(methylsulfonyl)-2H-pyrazolo[3,4-c]quinolin-4-yl)amino)-2H-benzo[b][1,4]thiazin-3(4H)-one; 7-((8-(methylsulfonyl)-2H-pyrazolo[3,4-c]quinolin-4-yl)amino)-3,4-dihydroquinolin-2(1H)-one; N1-(8-(methylsulfonyl)-2H-pyrazolo[3,4-c]quinolin-4-yl)benzene-1,2-diamine; 2-(4-((8-methoxy-2H-pyrazolo[3,4-c]quinolin-4-yl)amino)-1H-pyrazol-1-yl)propanoic acid; 7-bromo-N-(1-(tetrahydro-2H-pyran-4-yl)-1H-pyrazol-4-yl)-2H-pyrazolo[3,4-c]quinolin-4-amine; 4-((8-(methylsulfonyl)-2H-pyrazolo[3,4-c]quinolin-4-yl)amino)phenol; cyclopropyl(7-((8-(methylsulfonyl)-2H-pyrazolo[3,4-c]quinolin-4-yl)amino)-3,4-dihydroquinolin-1(2H)-yl)methanone; 4,5-dimethoxy-N1-(8-(methylsulfonyl)-2H-pyrazolo[3,4-c]quinolin-4-yl)benzene-1,2-diamine; N-(2-(4-acetylpiperazin-1-yl)-5-((8-(methylsulfonyl)-2H-pyrazolo[3,4-c]quinolin-4-yl)amino)phenyl)acetamide; N-(1-((1R,2S)-2-methoxycyclohexyl)-1H-pyrazol-4-yl)-8-(methylsulfonyl)-2H-pyrazolo[3,4-c]quinolin-4-amine; 5-((8-(methylsulfonyl)-2H-pyrazolo[3,4-c]quinolin-4-yl)amino)-2-morpholinobenzonitrile, 6-bromo-N-(1-(tetrahydro-2H-pyran-4-yl)-1H-pyrazol-4-yl)-3H-pyrazolo[3,4-c]quinolin-4-amine.

[0102]

The present invention further provides pharmaceutical compositions comprising one or more compounds of formula (I) as defined herein or a pharmaceutically acceptable ester, prodrug, hydrate, solvate or salt thereof, optionally in combination with a pharmaceutically acceptable carrier.

[0103]

It is a further object of the present invention to provide a compound of formula (I) as defined herein or a pharmaceutical composition as defined herein for the preparation of a medicament for the treatment of one or more diseases mentioned herein.

[0104]

Preferably the compounds of the present invention may be used for the treatment and/or prevention of the following conditions:

[0105]

respiratory tract/obstructive airways diseases and disorders including:

[0106]

rhinorrhea, tracheal constriction, airway contraction, acute-, allergic, atrophic rhinitis or chronic rhinitis (such as rhinitis caseosa, hypertrophic rhinitis, rhinitis purulenta, rhinitis sicca), rhinitis medicamentosa, membranous rhinitis (including croupous, fibrinous and pseudomembranous rhinitis), scrofulous rhinitis, perennial allergic rhinitis, seasonal rhinitis (including rhinitis nervosa (hay fever) and vasomotor rhinitis), pollinosis, asthma (such as bronchial, atopic, allergic, intrinsic, extrinsic, exercise-induced, cold air-induced, occupational, bacterial infection-induced, and dust asthma particularly chronic or inveterate asthma (e.g. late asthma and airways hyper-responsiveness)), bronchitis (including chronic, acute, arachidic, catarrhal, croupus, phthinoid and eosinophilic bronchitis), cardiobronchitis, pneumoconiosis, chronic inflammatory disease of the lung which result in interstitial fibrosis, such as interstitial lung disease (ILD) (e.g., idiopathic pulmonary fibrosis, or ILD associated with rheumatoid arthritis, or other autoimmune conditions), acute lung injury (ALI), adult respiratory distress syndrome (ARDS), chronic obstructive pulmonary, airways or lung disease (CORD, COAD, COLD or COPD, such as irreversible COPD), chronic sinusitis, conjunctivitis (e.g. allergic conjunctivitis), cystic fibrosis, extrinsic allergic alveolitis (like farmer's lung and related diseases), fibroid lung, hypersensitivity lung diseases, hypersensitivity pneumonitis, idiopathic interstitial pneumonia, nasal congestion, nasal polyposis, otitis media, and cough (chronic cough associated with inflammation or iatrogenic induced), pleurisy, pulmonary congestion, emphysema, bronchiectasis, sarcoidosis, lung fibrosis, including cryptogenic fibrosing alveolitis, fibrosis complicating anti-neoplastic therapy and chronic infection, including tuberculosis and aspergillosis and other fungal infections, vasculitic and thrombotic disorders of the lung vasculature, and pulmonary hypertension, acute viral infection including the common cold, and infection due to respiratory syncytial virus, influenza, coronavirus (including SARS) and adenovirus, allergic bronchopulmonary mycosis, emphysema, diffuse panbronchiolitis, systemic anaphylaxis or hypersensitivity responses, drug allergies (e.g., to penicillin, cephalosporins), insect sting allergies, and food related allergies which may have effects remote from the gut (such as migraine, rhinitis and eczema), anaphylactic shock, vascular spasms;

[0107]

bone and joint related diseases and disorders including:

[0108]

osteoporosis, arthritis (including rheumatic, infectious, autoimmune, chronic, malignant), seronegative spondyloarthropathies (such as ankylosing spondylitis, rheumatoid spondylitis, psoriatic arthritis, enthesopathy, Bechet's disease, Marie-Striimpell arthritis, arthritis of inflammatory bowel disease, and Reiter's disease), systemic sclerosis, osteoarthritis, osteoarthrosis, both primary and secondary to e.g. congenital hip dysplasia, cervical and lumbar spondylitis, and low back and neck pain, Still's disease, reactive arthritis and undifferentiated spondarthropathy, septic arthritis and other infection-related arthropathies and bone disorders such as tuberculosis, including Pott's disease and Poncet's syndrome, acute and chronic crystal-induced synovitis including urate gout, calcium pyrophosphate deposition disease, and calcium apatite related tendon, bursar and synovial inflammation, primary and secondary Sjogren's syndrome, systemic sclerosis and limited scleroderma, mixed connective tissue disease, and undifferentiated connective tissue disease, inflammatory myopathies including, polymalgia rheumatica, juvenile arthritis including idiopathic inflammatory arthritides of whatever joint distribution and associated syndromes, other joint disease (such as intervertebral disc degeneration or temporomandibular joint degeneration), rheumatic fever and its systemic complications, vasculitides including giant cell arteritis, Takayasu's arteritis, polyarteritis nodosa, microscopic polyarteritis, and vasculitides to associated with viral infection, hypersensitivity reactions, cryoglobulins, paraproteins, low back pain, Familial Mediterranean fever, Muckle-Wells syndrome, and Familial Hibenian Fever, Kikuchi disease, drug-induced arthalgias, tendonititides, polychondritis, and myopathies, osteoporosis, osteomalacia like osteoporosis, osteopenia, osteogenesis imp erfects, osteopetrosis, osteofibrosis, osteonecrosis, Paget's disease of bone, hypophosphatemia, Felty's syndrome, Still's disease, slack of artificial joint implant, sprain or strain of muscle or joint, tendinitis, fasciitis, periarthritis humeroscapularis, cervico-omo-brachial syndrome, tenosynovitis;

[0109]

skin and eye related diseases and disorders including:

[0110]

glaucoma, ocular hypertension, cataract, retinal detachment, psoriasis (including psoriasis vulgaris, pustular psoriasis, arthritic psoriasis, erythroderma psoriaticum), palmoplantar pustulosis, xerodoma, eczematous diseases (like atopic dermatitis, ultraviolet radiation dermatitis, contact dermatitis, and seborrheic dermatitis), phytodermatitis, photodermatitis, cutaneous eosinophilias, chronic skin ulcers, cutaneous lupus erythematosus, contact hypersensitivity/allergic contact dermatitis (including sensitivity to poison ivy, sumac, or oak), and eosinophilic folliculitis (Ofuji's disease), pruritus, drug eruptions, urticaria (acute or chronic, allergic or non-allergic), acne, erythema, dermatitis herpetiformis, scleroderma, vitiligo, lichen planus, lichen sclerosus et atrophica, pyodenna gangrenosum, skin sarcoid, pemphigus, ocular pemphigus, pemphigoid, epidennolysis bullosa, angioedema, vasculitides, toxic erythemas, cutaneous eosinophilias, alopecia areata, male-pattern baldness, Sweet's syndrome, Stevens-Johnson syndrome, Weber-Christian syndrome, erythema multiforme, cellulitis, botl, infective and non infective, panniculitis, cutaneous Lymphomas, non-melanoma skin cancer and other dysplastic lesions, blepharitis, iritis, anterior and posterior uveitis, choroiditis, autoimmune, degenerative or inflammatory disorders affecting the retina, ophthalmitis including sympathetic ophthalmitis, sarcoidosis, xerosis infections including viral, fungal, and bacterial, allergic conjunctivitis, increased fibrosis, keloids, keloplasty, post-surgical scars, epidermolysis bullosa, dry eye, ocular inflammation, allergic conjunctivitis, vernal conjunctivitis, vernal keratoconjunctivitis, and giant papillary conjunctivitis, ocular angiogenesis, cornea damage and scar, all forms of macular degeneration, macular edema, macular dystrophy, abnormal wound healing, scleritis, episcleritis, pachydermia, peripheral ulcerative keratitis, fungal keratitis, herpetic keratitis, invasive aspergillosis; conical cornea, dystorphia epithelialis corneae, severe intraocular inflammation;

[0111]

gastrointestinal tract and abdominal related diseases and disorders including:

[0112]

celiac/coeliac disease (e.g. celiac sprue), cholecystitis, enteritis (including infectious, ischemic, radiation, drug-induced, and eosinophilic gastroenteritis), eosinophilic esophagitis, eosinophilic gastrointestinal inflammation, allergen induced diarrhea, enteropathy associated with seronegative arthropathies, gastritis, autoimmune atrophic gastritis, ischemic bowel disease, inflammatory bowel disease (Crohn's disease and ulcerative colitis), colitis, Mooren's ulcer, irritable bowel syndrome, necrotizing enterocolitis, gut ischemia, glossitis, gingivitis, periodontitis, oesophagitis, including reflex, proctitis, fibrosis and cirrhosis of the liver, pancreatitis, both acute and chronic, pancreatic fibrosis, pancreatic sclerosis, pancreatolithiasis, hepatic cirrhosis, hepatitis (congestive, autoimmune, acute, fulminant, chronic, drug-induced, alcoholic, lupoid, steatohepatitis and chronic viral), fatty liver, primary biliary cirrhosis, hepatic porphyria, and gastrointestinal related allergic disorders, spastic colon, diverticulitis, gastroenteric bleeding, Behcet's disease; partial liver resection, acute liver necrosis (e.g. necrosis caused by toxins, viral hepatitis, shock or anoxia), hemolytic uremic syndrome;

[0113]

hematological disorders including:

[0114]

anemias, coagulation, myeloproliferative disorders, hemorrhagic disorders, leukopenia, eosinophilic disorders, leukemias (e.g. myelogenous, lymphomas, plasma cell dyscrasias, disorders of the spleen, Banti's disease, hemophilia, purpura (including idiopathic thrombocytopenic purpura), Wiskott-Aldrich syndrome;

[0115]

metabolic disorders including:

[0116]

obesity, amyloidosis, disturbances of the amino and acid metabolism like branched chain disease, hyperaminoacidemia, hyperaminoaciduria, disturbances of the metabolism of urea, hyperammonemia, mucopolysaccharidoses e.g. Maroteaux-Lamy syndrome, storage disease like glycogen storage diseases and lipid storage diseases, glycogenosis I diseases like Cori's disease, malabsorption diseases like intestinal carbohydrate malabsorption, oligosaccharidase deficiency like maltase-, lactase-, sucrase-insufficiency, disorders of the metabolism of fructose, disorders of the metabolism of galactose, galactosaemia, disturbances of carbohydrate utilization like diabetes, hypoglycemia, disturbances of pyruvate metabolism, hypolipidemia, hypolipoproteinemia, hyperlipidemia, hyperlipoproteinemia, carnitine or carnitine acyltransferase deficiency, disturbances of the porphyrin metabolism, porphyrins, disturbances of the purine metabolism, lysosomal diseases, metabolic diseases of nerves and nervous systems like gangliosidoses, sphingolipidoses, sulfatidoses, leucodystrophies, Lesch-Nyhan syndrome;

[0117]

cerebellar dysfunction, disturbances of brain metabolism like:

[0118]

dementia, Alzheimer's disease, Huntington's chores, Parkinson's disease, Pick's disease, toxic encepha-lopathy, demyelinating neuropathies like inflammatory neuropathy, Guillain-Barre syndrome; Meniere's disease and radiculopathy, primary and secondary metabolic disorders associated with hormonal defects like any disorder stemming from either an hyperfunction or hypofunction of some hormone-secreting endocrine gland and any combination thereof. Sipple's syndrome, pituitary gland dysfunction and its effects on other endocrine glands, such as the thyroid, adrenals, ovaries, and testes, acromegaly, hyper- and hypothyroidism, euthyroid goiter, euthyroid sick syndrome, thyroiditis, and thyroid cancer, over or underproduction of the adrenal steroid hormones, adrenogenital syndrome, Cushing's syndrome, Addison's disease of the adrenal cortex, Addison's pernicious anemia, primary and secondary aldosteronism, diabetes insipidus, diabetes mellitus, carcinoid syndrome, disturbances caused by the dysfunction of the parathyroid glands, pancreatic islet cell dysfunction, diabetes, disturbances of the endocrine system of the female like estrogen deficiency, resistant ovary syndrome; muscle weakness, myotonia. Duchenne's and other muscular dystrophies, dystrophia myotonica of Steinert, mitochondrial myopathies like I disturbances of the catabolic metabolism in the muscle, carbohydrate and lipid storage myopathies, glycogenoses, myoglobinuria, malignant hyperthermia, polymyalgia rheumatics, dermatomyositis, multiple myositis, primary myocardial disease, cardiomyopathy; disorders of the ectoderm, neurofibromatosis, scleroderma and polyar teritis, Louis-Bar syndrome, von Hippel-Lindau disease, Sturge-Weber syndrome, tuberous sclerosis, amyloidosis, porphyria; sexual dysfunction of the male and female; confused states and seizures due to inappropriate secretion of antidiuretic hormone from the pituitary gland, Liddle's syndrome, Bartter's syndrome, Fanconi's I syndrome, and renal electrolyte wasting;

[0119]

transplant rejection related conditions including:

[0120]

acute and chronic allograft rejection following solid organ transplant, for example, transplantation of kidney, heart, liver, lung, and cornea, chronic graft versus host disease, skin graft rejection, and bone marrow transplant rejection, immunosuppresion;

[0121]

genitourinary related conditions including:

[0122]

nephritis (interstitial, acute interstitial (allergic), and glomerulonephritis), nephrotic syndrome, cystitis including acute and chronic (interstitial) cystitis and Hunner's ulcer, acute and chronic urethritis, prostatitis, epididymitis, oophoritis, salpingitis, vulvo vaginitis, vulvovaginal candidiasis, Peyronie's disease, and erectile dysfunction, renal disease, renal fibrosis, nephropyelitis, secondary contracted kidney, steroid dependent and steroid-resistant nephrosis, Goodpasture's syndrome;

[0123]

CNS related diseases and disorders including:

[0124]

neurodegenerative diseases, Alzheimer's disease and other cementing disorders including CJD and nvCJD, amyloidosis, and other demyelinating syndromes, cerebral atherosclerosis and vasculitis, temporal arteritis, myasthenia gravis, acute and chronic so pain (acute, intermittent or persistent, whether of central or peripheral origin) including post-operative, visceral pain, headache, migraine, neuralgia (including trigeminal), atypical facial pain, joint and bone pain, pain arising from cancer and tumor invasion, neuropathic pain syndromes including diabetic, post-herpetic, and HIV-associated neuropathies, neurosarcoidosis, to brain injuries, cerebrovascular diseases and their consequences, Parkinson's disease, corticobasal degeneration, motor neuron disease, dementia, including ALS (Amyotrophic-lateral sclerosis), multiple sclerosis, traumatic brain injury, stroke, post-stroke, post-traumatic brain injury, and small-vessel cerebrovascular disease, dementias, vascular dementia, dementia with Lewy bodies, frontotemporal dementia and Parkinsonism linked 1 to chromosome 17, frontotemporal dementias, including Pick's disease, progressive supranuclear palsy, corticobasal degeneration, Huntington's disease, thalamic degeneration, HIV dementia, schizophrenia with dementia, and Korsakoffs psychosis, within the meaning of the definition are also considered to be CNS disorders central and peripheral nervous system complications of malignant, infectious or autoimmune processes, algesia, cerebral infarction, attack, cerebral ischemia, head injury, spinal cord injury, myelopathic muscular atrophy, Shy-Drager syndrome, Reye's syndrome, progressive multifocal leukoencephalopathy, normal pressure hydrocephalus, sclerosing panencephalitis, frontal lobe type dementia, acute anterior poliomyelitis (poliomyelitis), poliomyelitis neurosis, viral encephalitis, allergic encephalomyelitis, epileptic encephalopathies, Creutzfeldt-Jakob disease, Kuru disease, bovine spongiform encephalopathy (mad cow disease), scrapie, epilepsy, cerebral amyloid angiopathy, depression, mania, manic-depressive psychosis, hereditary cerebellar ataxia, peripheral neuropathy, Nasu-Hakola syndrome, Machado-Joseph disease;

[0125]

inflammatory or immunological diseases or disorders including:

[0126]

general inflammation (of the ocular, nasal, pulmonary, and gastrointestinal passages), mastocytosis/mast cell disorders (cutaneous, systemic, mast cell activation syndrome, and pediatric mast cell diseases), mastitis (mammary gland), vaginitis, vasculitis (e.g., necrotizing, cutaneous, and hypersensitivity vasculitis), Wegener granulamatosis, myyositis (including polyinyositis, dermatomyositis), basophil related diseases including basophilic leukemia and basophilic leukocytosis, and eosinophil related diseases such as Churg-Strauss syndrome, eosinophilic granuloma, lupus erythematosus (such as, systemic lupus erythematosus, subacute cutaneous lupus erythematosus, and discoid lupus erythematosus), chronic thyroiditis, Hashimoto's thyroiditis, Grave's disease, type I diabetes, complications arising from diabetes mellitus, other immune disorders, eosinophilia fasciitis, hyper IgE syndrome, Addison's disease, antiphospholipid syndrome, immunodeficiency disease, acquired immune deficiency syndrome (AIDS), leprosy, Sezary syndrome, paraneoplastic syndromes, and other autoimmune disorders, fervescence, myositis, nervous diseases selected from multiple myositis, bursitis, Evans syndrome, leukotriene B4-mediated diseases, idiopathic hypoparathyroidism, nephrotic syndrome lupus, immunosuppression;

[0127]

cardiovascular diseases and disorders including:

[0128]

congestive heart failure, myocardial infarction, ischemic diseases of the heart, all kinds of atrial and ventricular arrhythmias, hypertension, cerebral trauma, occlusive vascular disease, stroke, cerebrovascular disorder, atherosclerosis, restenosis, affecting the coronary and peripheral is circulation, pericarditis, myocarditis, inflammatory and auto-immune cardiomyopathies including myocardial sarcoid, endocarditis, valvulitis, and aortitis including infective (e.g. syphilitic), hypertensive vascular diseases, peripheral vascular diseases, and atherosclerosis, vasculitides, disorders of the proximal and peripheral veins including phlebitis and thrombosis, including deep vein thrombosis and complications of varicose veins, aortic aneurism, periarteritis nodosa, cardiac fibrosis, post-myocardial infarction, idiopathic cardiomyopathy; angioplasty;

[0129]

oncological diseases and disorders including:

[0130]

common cancers (prostrate, breast, lung, ovarian, pancreatic, bowel and colon, abdomen, stomach (and any other digestive system cancers), liver, pancreas, peritoneum, endocrine glands (adrenal, parathyroid, pituitary, testicles, ovary, thymus, thyroid), eye, head, neck, nervous system (central and peripheral), lymphatic system, blood, pelvic, skin, bone, soft tissue, spleen, thoracic, urogenital, and brain tumors), breast cancer, genitourinary cancer, lung cancer, gastrointestinal cancer, epidermoid cancer, melanoma, ovarian cancer, pancreas cancer, neuroblastoma, malignancies affecting the bone marrow (including the leukaemias) and lymphoproliferative systems, such as Hodgkin's and non-Hodgkin's lymphoma, B-cell lymphoma, follicular lymphoma, metastatic disease and tumour recurrences, and paraneoplastic syndromes, as well as hypergammaglobulinemia, lymphoproliferative diseases, disorders, and/or conditions, paraproteinemias, purpura (including idiopathic thrombocytopenic purpura), Waldenstron's Macroglobulinemia, Gaucher's Disease, histiocytosis, retinoblastoma and any other hyperproliferative disease, sarcomata, cachexia, tumor growth, tumor invasion, metastasis, AIDS-related lymphomas, malignant immunoproliferative diseases, multiple myeloma and malignant plasma cell neoplasms, lymphoid leukemia, acute or chronic myeloid leukemia, acute or chronic lymphocytic leukemia, monocytic leukemia, other leukemias of specified cell type, leukemia of unspecified cell type, other and unspecified malignant neoplasms of lymphoid, haematopoietic and related tissues, for example diffuse large cell lymphoma, T-cell lymphoma or cutaneous T-cell lymphoma). Myeloid cancer includes e.g. acute or chronic myeloid leukaemia, keratoleukoma and

[0131]

other diseases and disorders including:

[0132]

pain, migraine, sleep disorders, fever, sepsis, idiopathic thrombocytopenia pupura, post-operative adhesions, flushing, ischemic/reperfusion injury in the heart, brain, peripheral limbs, bacterial infection, viral infection, fungal infection, thrombosis, endotoxin shock, septic shock, thermal regulation including fever, Raynaud's disease, gangrene, diseases requiring anti-coagulation therapy, congestive heart failure, mucus secretion disorders, pulmonary hypotension, prostanoid-induced smooth muscle contract associated with dysmenorrhea and premature labor, premature delivery, reperfusion injury, burn, thermal injury, hemorrhage or traumatic shock, menstrual pain, menstrual cramp, dysmenorrhea, periodontosis, rickettsial infectious disease, protozoal disease, reproduction disease, toothache, pain after tooth extraction, Herpes zoster, Herpes simplex, retroperitoneal fibrosis, various radiation injuries and the like.

[0133]

The present invention furthermore provides a method of treatment of a disease mediated by kinase-activity comprising the administration, to a patient in need thereof, of a therapeutically effective amount of a compound or a pharmaceutical composition described herein. Preferably, the kinase is selected from SYK (Spleen Tyrosine Kinase), LRRK2 (Leucine-rich repeat kinase 2) and/or Myosin light chain kinase (MYLK or MLCK) or mutants thereof. Further preferably, said treatment is systemic. Moreover preferably, said administration is topical. Moreover preferably, said topical administration is to the skin, the eye or intranasal or by inhalation.

[0134]

Preferably, the disease is selected from the group consisting of an inflammatory disease, an autoimmune disease, an allergic disorder, and an ocular disorder.

[0135]

Especially preferably, the disease is selected from the group consisting of pruritus, eczema, asthma, rhinitis, dry eye, ocular inflammation, allergic conjunctivitis, vernal conjunctivitis, vernal keratoconjunctivitis, giant papillary conjunctivitis, fungal keratitis and uveitis.

[0136]

A therapeutically effective amount of a compound in accordance with this invention means an amount of compound that is effective to prevent, alleviate or ameliorate symptoms of disease or prolong the survival of the subject being treated. Determination of a therapeutically effective amount is within the skill in the art.

[0137]

The therapeutically effective amount or dosage of a compound according to this invention can vary within wide limits and may be determined in a manner known in the art. Such dosage may be adjusted to the individual requirements in each particular case including the specific compound being administered, the route of administration, the condition being treated, as well as the patient being treated.

[0138]

Examples of pharmacologically acceptable salts of sufficiently basic compounds of formula (I) are salts of physiologically acceptable mineral acids like hydrochloric, hydrobromic, sulfuric and phosphoric acid; or salts of organic acids like methanesulfonic, p-toluenesulfonic, lactic, acetic, trifluoroacetic, citric, succinic, fumaric, maleic and salicylic acid. Further, a sufficiently acidic compound of formula (I) may form alkali or earth alkali metal salts, for example sodium, potassium, lithium, calcium or magnesium salts; ammonium salts; or organic base salts, for example methylamine, dimethylamine, trimethylamine, triethylamine, ethylenediamine, ethanolamine, choline hydroxide, meglumin, piperidine, morpholine, tris-(2-hydroxyethyl)amine, lysine or arginine salts; all of which are also further examples of salts of formula (I). Compounds of formula (I) may be solvated, especially hydrated. The hydratization/hydration may occur during the process of production or as a consequence of the hygroscopic nature of the initially water free compounds of formula (I). The solvates and/or hydrates may e.g. be present in solid or liquid form.

[0139]

It should be appreciated that certain compounds of formula (I) may have tautomeric forms from which only one might be specifically mentioned or depicted in the following description, different geometrical isomers (which are usually denoted as cis/trans isomers or more generally as (E) and (Z) isomers) or different optical isomers as a result of one or more chiral carbon atoms (which are usually nomenclatured under the Cahn-Ingold-Prelog or RIS system). All these tautomeric forms, geometrical or optical isomers (as well as racemates and diastereomers) and polymorphous forms are included in the invention. Since the compounds of formula (I) may contain asymmetric C-atoms, they may be present either as achiral compounds, mixtures of diastereomers, mixtures of enantiomers or as optically pure compounds. The present invention comprises both all pure enantiomers and all pure diastereomers, and also the mixtures thereof in any mixing ratio.

[0140]

According to a further embodiment of the present invention, one or more hydrogen atoms of the compounds of the present invention may be replaced by deuterium. Deuterium modification improves the metabolic properties of a drug with little or no change in its intrinsic pharmacology. Deuterium substitution at specific molecular positions improves metabolic stability, reduces formation of toxic metabolites and/or increases the formation of desired active metabolites. Accordingly, the present invention also encompasses the partially and fully deuterated compounds of formula (I). The term hydrogen also encompasses deuterium.

[0141]

The therapeutic use of compounds according to formula (I), their pharmacologically acceptable salts, solvates and hydrates, respectively, as well as formulations and pharmaceutical compositions also lie within the scope of the present invention.

[0142]

The pharmaceutical compositions according to the present invention preferably comprise at least one compound of formula (I) as an active ingredient and, optionally, carrier substances and/or adjuvants.

[0143]

The present invention also relates to pro-drugs which are composed of a compound of formula (I) and at least one pharmacologically acceptable protective group which will be cleaved off under physiological conditions, such as an alkoxy-, arylalkyloxy-, acyl-, acyloxymethyl group (e.g. pivaloyloxymethyl), an 2-alkyl-, 2-aryl- or 2-arylalkyl-oxycarbonyl-2-alkylidene ethyl group or an acyloxy group as defined herein, e.g. ethoxy, benzyloxy, acetyl or acetyloxy or, especially for a compound of formula (I), carrying a hydroxy group (—OH): a sulfate, a phosphate (—OPO3or —OCH2OPO3) or an ester of an amino acid. Especially preferred are pro-drugs of the hydroxy group of a compound of formula (I).

[0144]

As used herein, the term pharmaceutically acceptable ester especially refers to esters which hydrolyze in vivo and include those that break down readily in the human body to leave the parent compound or a salt thereof. Suitable ester groups include, for example, those derived from pharmaceutically acceptable aliphatic carboxylic acids, particularly alkanoic, alkenoic, cycloalkanoic and alkanedioic acids, in which each alkyl or alkenyl moiety advantageously has not more than 6 carbon atoms. Examples of particular esters include, but are not limited to, formates, acetates, propionates, butyrates, acrylates and ethylsuccinates.

[0145]

Preferably, the present invention also relates to a prodrug, a biohydrolyzable ester, a biohydrolyzable amide, a polymorph, tautomer, stereoisomer, metabolite, N-oxide, biohydrolyzable carbamate, biohydrolyzable ether, physiologically functional derivative, atropisomer, or in vivo-hydrolysable precursor, diastereomer or mixture of diastereomers, chemically protected form, affinity reagent, complex, chelate and a stereoisomer of the compounds of formula (I).

[0146]

As mentioned above, therapeutically useful agents that contain compounds of formula (I), their solvates, salts or formulations are also comprised in the scope of the present invention. In general, compounds of formula (I) will be administered by using the known and acceptable modes known in the art, either alone or in combination with any other therapeutic agent.

[0147]

For oral administration such therapeutically useful agents can be administered by one of the following routes: oral, e.g. as tablets, dragees, coated tablets, pills, semisolids, soft or hard capsules, for example soft and hard gelatine capsules, aqueous or oily solutions, emulsions, suspensions or syrups, parenteral including intravenous, intramuscular and subcutaneous injection, e.g. as an injectable solution or suspension, rectal as suppositories, by inhalation or insufflation, e.g. as a powder formulation, as microcrystals or as a spray (e.g. liquid aerosol), transdermal, for example via an transdermal delivery system (TDS) such as a plaster containing the active ingredient or intranasal. For the production of such tablets, pills, semisolids, coated tablets, dragees and hard, e.g. gelatine, capsules the therapeutically useful product may be mixed with pharmaceutically inert, inorganic or organic excipients as are e.g. lactose, sucrose, glucose, gelatine, malt, silica gel, starch or derivatives thereof, talc, stearinic acid or their salts, dried skim milk, and the like. For the production of soft capsules one may use excipients as are e.g. vegetable, petroleum, animal or synthetic oils, wax, fat, polyols. For the production of liquid solutions, emulsions or suspensions or syrups one may use as excipients e.g. water, alcohols, aqueous saline, aqueous dextrose, polyols, glycerin, lipids, phospholipids, cyclodextrins, vegetable, petroleum, animal or synthetic oils. Especially preferred are lipids and more preferred are phospholipids (preferred of natural origin; especially preferred with a particle size between 300 to 350 nm) preferred in phosphate buffered saline (pH=7 to 8, preferred 7.4). For suppositories one may use excipients as are e.g. vegetable, petroleum, animal or synthetic oils, wax, fat and polyols. For aerosol formulations one may use compressed gases suitable for this purpose, as are e.g. oxygen, nitrogen and carbon dioxide. The pharmaceutically useful agents may also contain additives for conservation, stabilization, e.g. UV stabilizers, emulsifiers, sweetener, aromatizers, salts to change the osmotic pressure, buffers, coating additives and antioxidants.

[0148]

In general, in the case of oral or parenteral administration to adult humans weighing approximately 80 kg, a daily dosage of about 10 mg to about 10,000 mg, preferably from about 20 mg to about 1,000 mg, should be appropriate, although the upper limit may be exceeded when indicated. The daily dosage can be administered as a single dose or in divided doses, or for parenteral administration, it may be given as continuous infusion or subcutaneous injection.

[0149]

The present invention refers furthermore to compounds of formulas (II), (Ma) and/or (Mb) wherein R2and n are defined as above and PG is a protecting group.

[0150]

[0151]

Protecting groups are known to a person skilled in the art and e.g. described in P. J. Kocienski, Protecting Groups, Georg Thieme Verlag, Stuttgart, 1994 and in T. W. Greene, P. G. M. Wuts, Protective Groups in Organic Synthesis, John Wiley & Sons, New York, 1999.

[0152]

Preferably, PG is a 4-methoxy benzyl group or a Carboxybenzyl (Cbz or Z) group; especially preferably, PG is a 4-methoxy benzyl group.

[0153]

Preferred compounds of formula (II) are: 4-chloro-9-fluoro-2H-pyrazolo[3,4-c]quinoline; 4-chloro-8-methoxy-2H-pyrazolo[3,4-c]quinoline; 4-chloro-9-methoxy-2H-pyrazolo[3,4-c]quinoline; 4-chloro-8-(methylthio)-2H-pyrazolo[3,4-c]quinoline; 4-chloro-7-(methylthio)-2H-pyrazolo[3,4-c]quinoline; 4-chloro-9-(methylthio)-2H-pyrazolo[3,4-c]quinoline; 4-chloro-6-fluoro-2H-pyrazolo[3,4-c]quinoline; 4-chloro-8-(methylsulfonyl)-2H-pyrazolo[3,4-c]quinoline; 4-chloro-8-iodo-2H-pyrazolo[3,4-c]quinoline; 4-chloro-8-methyl-2H-pyrazolo[3,4-c]quinoline; 4-chloro-9-methyl-2H-pyrazolo[3,4-c]quinoline; 4-chloro-9-(methylsulfonyl)-2H-pyrazolo[3,4-c]quinoline; 4-chloro-7-(methylsulfonyl)-2H-pyrazolo[3,4-c]quinoline.

[0154]

Further preferred compounds of formula (II) are: 4-chloro-7-(methylthio)-2H-pyrazolo[3,4-c]quinoline; 4-chloro-6,8-dimethoxy-2H-pyrazolo[3,4-c]quinoline; 4-chloro-6-methoxy-2H-pyrazolo[3,4-c]quinoline; 7-bromo-4-chloro-2H-pyrazolo[3,4-c]quinoline; 6-bromo-4-chloro-2H-pyrazolo[3,4-c]quinoline.

[0155]

Preferred compounds of formula (IIIa) and (IIIb) are: 4-chloro-9-fluoro-2-(4-methoxybenzyl)-2H-pyrazolo[3,4-c]quinoline; 4-chloro-8-methoxy-2-(4-methoxybenzyl)-2H-pyrazolo[3,4-c]quinoline; 4-chloro-9-methoxy-2-(4-methoxybenzyl)-2H-pyrazolo[3,4-c]quinoline; 4-chloro-2-(4-methoxybenzyl)-8-(methylthio)-2H-pyrazolo[3,4-c]quinoline; 4-chloro-2-(4-methoxybenzyl)-7-(methylthio)-2H-pyrazolo[3,4-c]quinoline; 4-chloro-2-(4-methoxybenzyl)-9-(methylthio)-2H-pyrazolo[3,4-c]quinoline; 4-chloro-6-fluoro-2-(4-methoxybenzyl)-2H-pyrazolo[3,4-c]quinoline; 4-chloro-2-(4-methoxybenzyl)-8-(methylsulfonyl)-2H-pyrazolo[3,4-c]quinoline; 4-chloro-8-iodo-2-(4-methoxybenzyl)-2H-pyrazolo[3,4-c]quinoline; 4-chloro-2-(4-methoxybenzyl)-8-methyl-2H-pyrazolo[3,4-c]quinoline; 4-chloro-2-(4-methoxybenzyl)-9-methyl-2H-pyrazolo[3,4-c]quinoline; 4-chloro-2-(4-methoxybenzyl)-9-(methylsulfonyl)-2H-pyrazolo[3,4-c]quinoline; 4-chloro-2-(4-methoxybenzyl)-7-(methylsulfonyl)-2H-pyrazolo[3,4-c]quinoline.

[0156]

Further preferred compounds of formula (IIIa) and (IIIb) are: 4-chloro-2-(4-methoxybenzyl)-7-(methylthio)-2H-pyrazolo[3,4-c]quinoline; 4-chloro-6,8-dimethoxy-2-(4-methoxybenzyl)-2H-pyrazolo[3,4-c]quinoline; 4-chloro-6-methoxy-2-(4-methoxybenzyl)-2H-pyrazolo[3,4-c]quinoline; 7-bromo-4-chloro-2-(4-methoxybenzyl)-2H-pyrazolo[3,4-c]quinoline; 6-bromo-4-chloro-2-(4-methoxybenzyl)-2H-pyrazolo[3,4-c]quinoline.

[0157]

General Synthesis

[0158]

The following routes may be used to provide chloride intermediates (herein, R′ preferably corresponds to R2in formula (I)). These chloride intermediates may then be used in an amination reaction with various amines and a subsequent deprotection to provide the final products:

[0159]

Cyclisation:

[0160]

[0161]

(1H-Indol-3-yl)-oxo-acetic acid ethyl ester (or alternatively methyl ester) is reacted with (4-methoxybenzyl)-hydrazine hydrochloride. This results in the formation of 2-(4-Methoxy-benzyl)-2,5-dihydro-pyrazolo[3,4-c]quinolin-4-one.

[0162]

In the same way using hydrazine hydrate or hydrazine hydrochloride the corresponding none protected tricycles could be synthesized.

[0163]

Chlorination:

[0164]

The provided amides, using e.g. the above routes, may be used in a chlorination step:

[0165]

[0166]

2-(4-Methoxy-benzyl)-2,5-dihydro-pyrazolo[3,4-c]quinolin-4-one is suspended in POCl3. The reaction mixture is heated resulting in the formation of 4-Chloro-2-(4-methoxy-benzyl)-2H-pyrazolo[3,4-e]quinoline.

[0167]

Amination:

[0168]

[0169]

4-Chloro-2-(4-methoxy-benzyl)-2H-pyrazolo[3,4-c]quinoline is reacted with the corresponding amine to result in the formation of the protected final product.

[0170]

Deprotection:

[0171]

[0172]

In a final step the para-methoxy-benzyl protection group is removed with TFA to provide final product for biological characterisation.

EXAMPLES

[0173]

Materials and Methods

[0174]

Biological Assays—Protein Kinase Assays

[0175]

Syk Assay

[0176]

In the assay OMNIA® KINASE ASSAY by Invitrogen Corporation (Carlsbad) the effect of invention of a compound on the phosphorylation is determined by measurement of fluorescence intensity of a chelation-enhanced fluorophore called SOX. Upon phosphorylation of the peptide by the kinase of interest, Mg2+ is chelated to form a bridge between the SOX moiety and the phosphate group that is transferred to the specific tyrosine on the peptide. The fluorescence intensity is directly proportional to the amount of peptide phosphorylation.

[0177]

To the wells of an 384 well small volume plate (Greiner, Frickenhausen) are added (i) the compound under test in 5% DMSO/distilled water (2 μl), (ii) 16 μl of the master mix containing ATP, DTT, Kinase Reaction Buffer, Omina Peptide Substrate Tyr 7 resulting in a final concentration of 1 mM ATP, 0.2 mM DTT and 10 μM Peptide Substrate.

[0178]

The Master Mix and the assay plate was incubated to reaction temperature before the measurement (30° C.). The reaction was started with addition of (iii) 2 μl 4 μg/ml SYK kinase (Invitrogen, Carlsbad). During measurement fluorescence intensity readings were collected using a TECAN M1000 at a wavelength of λex 360/λem 485 nm every 30 s for 30 minutes. The reaction velocity was plotted versus the inhibitor concentration to determine the IC50 using XLFit 5.0 (IDBS, Guildford) to fit to a sigmoidal dose response curve.

[0179]

The ATP dependency was determined according to Lai C-J-, Wu JC A Simple Kinetic Method for Rapid Mechanistic Analysis of Reversible Enzyme Inhibitors. Assays and Drug Dev. Technologies. 2003; 1(4):527-535. To demonstrate a competition effect of the test compounds towards ATP the corresponding test compound was used at the 50% inhibitory concentration. Assay conditions as described previously were maintained. ATP concentrations used was 1000, 333, 100, 33.3, 10, 3.3, 1 μM.

[0180]

LRRK2—LRRK2 G2019S—Assay

[0181]

In the assay LanthaScreen™ Eu Kinase Binding Assay by Invitrogen Corporation (Carlsbad) the effect of invention of a compound on the phosphorylation is determined by measurement of fluorescence intensity emission ratio based on the binding and displacement of a proprietary, Alexa Fluor® 647-labeled, ATP-competitive kinase inhibitor scaffold (kinase tracer) to the kinase of interest. Binding of the tracer to the kinase is detected using a europium-labeled anti-tag antibody, which binds to the kinase of interest. Simultaneous binding of both the tracer and antibody to the kinase results in a high degree of FRET (fluorescence resonance energy transfer) from the europium (Eu) donor fluorophore to the Alexa Fluor® 647 acceptor fluorophore on the kinase tracer. Binding of an inhibitor to the kinase competes for binding with the tracer, resulting in a loss of FRET. The fluorescence intensity ratio is directly proportional to the amount of peptide phosphorylation. To the wells of an 384 well small volume plate (Greiner, Frickenhausen) are added (i) the compound under test in 5% DMSO/distilled water (5 μl) 5 μl of the kinase antibody mixture resulting in a final concentration 5 nM LRRK2 or their mutants, 2 nM EU-Anti-GST antibody in 1× kinase buffer A. The reaction was started with addition of (iii) 5 μl resulting in a final concentration of 10 nM tracer 236. The assay plate was incubated at RT for 1 h and fluorescence intensity readings were collected using a TECAN M1000 at two wavelengths of λex 340/λem 615 nm and λex 340/λem 665 nm with a delay time of 100 μs and an integration time of 200 μs after 60 minutes. The emission ratio was calculated by division of the acceptor/tracer emission (665 nM) by the antibody/donor emission (615 nM). The inhibitor concentration was plotted versus the emission ratio to determine the IC50 using XLFit 5.0 (IDBS, Guildford) to fit to a sigmoidal dose response curve with a variable slope.

[0182]

General Procedures for Synthesis of Compounds

[0183]

Chromatography

[0184]

The compound verification via analytical HPLC-MS was done after purification using the following instrumentation, column and method:

[0185]

Analytical Method for Compound Purity

[0186]

Instrumentation:

[0187]

Agilent MSD 1100

[0188]

Analytical Methods:

[0189]

Solvents:

[0190]

A: acetonitrile

[0191]

B: H2O

[0192]

C: 2% HCOOH in acetonitrile

[0193]

D: 0.1% NEt3 in acetonitrile

[0194]

The following analytical methods were used:

[0195]

Method A

[0196]

Column ODS-AQ from YMC 2.1×50 mm 3 μm particle size, incl. GuardCol 2.1×10 mm, 3 μm particle size

[0197]

thermostated @ 40° C.

[0198]

Gradient:

[0199]

090500.6
10.010500.6
13.010500.6
14.090500.6

[0200]

Stop time @ 15 min

[0201]

MS: ESI positive, Mass scan from 100 to 800

[0202]

gradient fragmentation: 50 to 125V

[0203]

UV: detection @ 220 and 254 nm

[0204]

Method B

[0205]

Column YMC ODS-AQ 2.1×50 mm, 3 μm particle size

[0206]

incl. GuardCol 2.1×10 mm, 3 μm particle size

[0207]

thermostated @40° C.

[0208]

Gradient:

[0209]

099500.6
2.510500.6
410500.6
4.599500.6
699500.6

[0210]

Stoptime@7 min

[0211]

MS: ESI positive, Mass scan from 100 to 800

[0212]

gradient fragmentation: 50 to 125V

[0213]

UV: detection @ 220 and 254 nm

[0214]

Purification and Characterisation:

[0215]

The resulting crude reaction products were purified in an automatic process using a semi-preparative HPLC-MS with mass-triggered sampling of the desired peak:

[0216]

Purification Via Semi-Preparative HPLC-MS

[0217]

Instrumentation:

[0218]

2× Varian PrepStar SD-1

[0219]

1× Dionex P580 Pump 1 Channel(MakeUP I)

[0220]

1× Dionex AXP-MS (MakeUP II)

[0221]

1× Dionex MSQ

[0222]

1× Dionex UVD 340V Prep Flow Cell

[0223]

Gilson 215 Liquid Handler

[0224]

Column:

[0225]

SunFire Prep C18 OBD 5 μm 19×50 mm

[0226]

Typical Method:

[0227]

Column Flow: 30 ml/min

[0228]

Solvent A: methanol, 0.3% acetic acid

[0229]

Solvent B: water, 0.3% acetic acid

[0230]

Typical Time Table for Gradient:

[0231]

0.030.0070.00
10.0100.000.00
14.0100.000.00
14.430.0070.00
16.430.0070.00

[0232]

Detection:

[0233]

UV 254 nm, Mass Spectrometer Detector (API-ES, positive)

[0234]

Compound Preparation

[0235]

Where the preparation of starting materials is not described, these are commercially available, known in the literature, or readily obtainable by those skilled in the art using standard procedures. Where it is stated that compounds were prepared analogously to earlier examples or intermediates, it will be appreciated by the skilled person that the reaction time, number of equivalents of reagents and temperature can be modified for each specific reaction and that it may be necessary or desirable to employ different workup or purification techniques. Where reactions are carried out using microwave irradiation, the microwave used is an Initiator 60 supplied by Biotage. The actual power supplied varies during the course of the reaction in order to maintain a constant temperature.

[0236]

Abbreviations

[0237]

DCM=Dichloromethane

[0238]

DMF=N,N-Dimethylformamide

[0239]

THF=Tetrahydrofuran

[0240]

MeOH=Methanol

[0241]

TFA=Trifluoroacetic acid

[0242]

TEA=Triethylamine

[0243]

Lithium bis(trimethylsilyl)amide

[0244]

rm=Reaction mixture

[0245]

rt=Room temperature

[0246]

AcOH=Acetic acid

[0247]

MeCN=Acetonitrile

[0248]

EtOH=Ethanol

[0249]

EtOAc=Ethyl Acetate

[0250]

LCMS=Mass spectrometry directed high pressure liquid chromatography

[0251]

UV=Ultraviolet

[0252]

DMSO=Dimethylsulphoxide

INTERMEDIATES

Intermediate 1

[0000]

  • 4-chloro-8-methoxy-2-(4-methoxybenzyl)-2H-pyrazolo[3,4-c]quinoline

[0254]

5-methoxy-(1H-Indol-3-yl)-oxo-acetic acid ethyl ester (10 mmol) was suspended in EtOH (25 mL) and HOAc (3 mL). The p-methoxybenzyl hydrazine hydrochloride (11.5 mmol) was added. The mixture was refluxed for 24 h, then stirred for 16 h at rt. The reaction was monitored by LCMS. The mixture was concentrated, resuspended in EtOH (10 mL). The solid product was collected by filtration, washed with EtOH and Et2O. The filtrated was concentrated and portioned between EtOAc and water. The organic layer was dried (Na2SO4), filtrated and concentrated. The material was pure enough for further reactions. 8-Methoxy-2-(4-Methoxy-benzyl)-2,5-dihydro-pyrazolo[3,4-c]quinolin-4-one (4.4 mmol) was suspended in POCl3. The mixture was heated to 100° C. After 0.5 h LCMS showed reaction completion. The mixture was cooled to rt, and stirred overnight. The mixture was concentrated to dryness, cooled to 0° C., and quenched with ice/water. The mixture was extracted with DCM. The organic layer was washed with NaHCO3sat. aq. and water, dried (Na2SO4) filtered and concentrated.

[0255]

The product was used without further purification.

[0256]

The following intermediates 2-10, and 14-18 were synthesised using the corresponding method described in the synthesis of Intermediate 1:

Intermediate 2

[0000]

  • 4-chloro-6-fluoro-2-(4-methoxybenzyl)-2H-pyrazolo[3,4-c]quinoline

Intermediate 3

[0000]

  • 4-chloro-9-fluoro-2-(4-methoxybenzyl)-2H-pyrazolo[3,4-c]quinoline

Intermediate 4

[0000]

  • 4-chloro-9-methoxy-2-(4-methoxybenzyl)-2H-pyrazolo[3,4-c]quinoline

Intermediate 5

[0000]

  • 4-chloro-2-(4-methoxybenzyl)-8-methyl-2H-pyrazolo[3,4-c]quinoline

Intermediate 6

[0000]

  • 4-chloro-2-(4-methoxybenzyl)-9-methyl-2H-pyrazolo[3,4-c]quinoline

Intermediate 7

[0000]

  • 4-chloro-2-(4-methoxybenzyl)-7-(methylthio)-2H-pyrazolo[3,4-c]quinoline

Intermediate 8

[0000]

  • 4-chloro-2-(4-methoxybenzyl)-8-(methylthio)-2H-pyrazolo[3,4-c]quinoline

Intermediate 9

[0000]

  • 4-chloro-2-(4-methoxybenzyl)-9-(methylthio)-2H-pyrazolo[3,4-c]quinoline

Intermediate 10

[0000]

  • 4-chloro-8-iodo-2-(4-methoxybenzyl)-2H-pyrazolo[3,4-c]quinoline

Intermediate 14

[0000]

  • 4-chloro-2-(4-methoxybenzyl)-7-(methylthio)-2H-pyrazolo[3,4-c]quinoline

Intermediate 15

[0000]

  • 4-chloro-6,8-dimethoxy-2-(4-methoxybenzyl)-2H-pyrazolo[3,4-c]quinoline

Intermediate 16

[0000]

  • 4-chloro-6-methoxy-2-(4-methoxybenzyl)-2H-pyrazolo[3,4-c]quinoline

Intermediate 17

[0000]

  • 7-bromo-4-chloro-2-(4-methoxybenzyl)-2H-pyrazolo[3,4-c]quinoline

Intermediate 18

[0000]

  • 6-bromo-4-chloro-2-(4-methoxybenzyl)-2H-pyrazolo[3,4-c]quinoline

Intermediate 11

[0000]

  • 4-chloro-2-(4-methoxybenzyl)-7-(methylsulfonyl)-2H-pyrazolo[3,4-c]quinoline

[0272]

7-(methylsulfonyl)-2-(4-Methoxy-benzyl)-2,5-dihydro-pyrazolo[3,4-c]quinolin-4-one (10 mmol) was dissolved in 250 mL DCM and cooled to 0° C. in an ice bath. 3-Chloro-benzenecarboperoxoic acid (1.1 eq., 11 mmol) was carefully added. The ice bath was removed. After 24 h the solvent was evaporated and the resulting solid was supended in 2M aqueous NaOH, filtered and dried. The material was pure enough for further reactions. 7-(methyl sulfonyl)-2-(4-Methoxy-benzyl)-2,5-dihydro-pyrazolo[3,4-c]quinolin-4-one (4.4 mmol) was suspended in POCl3. The mixture was heated to 100° C. After 0.5 h LCMS showed reaction completion. The mixture was cooled to rt, and stirred overnight. The mixture was concentrated to dryness, cooled to 0° C., and quenched with ice/water. The mixture was extracted with DCM. The organic layer was washed with NaHCO3sat. aq. and water, dried (Na2SO4) filtered and concentrated.

[0273]

The product was used without further purification.

[0274]

Intermediate 12 and 13 were synthesised using the corresponding method described in the synthesis of Intermediate 11.

Intermediate 12

[0000]

  • 4-chloro-2-(4-methoxybenzyl)-8-(methylsulfonyl)-2H-pyrazolo[3,4-e]quinoline

Intermediate 13

[0000]

  • 4-chloro-2-(4-methoxybenzyl)-9-(methylsulfonyl)-2H-pyrazolo[3,4-e]quinoline

Products

Example 1

[0000]

  • 9-fluoro-N-(4-(4-(4-methylpiperazin-1-yl)piperidin-1-yl)phenyl)-3H-pyrazolo[3,4-c]quinolin-4-amine

[0278]

4-chloro-9-fluoro-2-(4-methoxybenzyl)-2H-pyrazolo[3,4-c]quinoline (0.16 mmol) and 4-(4-(4-methylpiperazin-1-yl)piperidin-1-yl)aniline (2 eq., 0.3 mmol) were suspended in MeOH (dry, 3 mL) in a microwave vial (2-5 mL), HCl in dioxane (4M, 3 drops) was added. The reaction mixture was irradiated in a microwave reactor for 5 min at 140° C. The reaction mixture was evaporated and used without further purification. The residue was dissolved in TFA (3 mL). The reaction mixture was irradiated in a microwave reactor for 5 min at 140° C. The reaction mixture was concentrated and purified by semi-preparative HPLC-MS and freeze dried from water/t-BuOH 4/1.

[0279]

exact mass: 459.3025 g/mol

[0280]

HPLC-MS: analytical method A

[0281]

rt: 2.90 min—found mass: 460.2 (m/z+H)

[0282]

The following examples were synthesized according to the protocol of Example 1:

Example 2

[0000]

  • 9-fluoro-N-(3-fluoro-4-morpholinophenyl)-3H-pyrazolo[3,4-c]quinolin-4-amine;

Example 3

[0000]

  • 8-methoxy-N-(4-(4-(4-methylpiperazin-1-yl)piperidin-1-yl)phenyl)-2H-pyrazolo[3,4-c]quinolin-4-amine;

Example 4

[0000]

  • N-(4-fluoro-3-(methylsulfonyl)phenyl)-8-methoxy-2H-pyrazolo[3,4-c]quinolin-4-amine;

Example 5

[0000]

  • N-(3-((dimethylamino)methyl)phenyl)-8-methoxy-2H-pyrazolo[3,4-c]quinolin-4-amine

Example 6

[0000]

  • (4-((8-methoxy-2H-pyrazolo[3,4-c]quinolin-4-yl)amino)phenyl)(4-(4-methylpiperazin-1-yl)piperidin-1-yl)methanone

Example 7

[0000]

  • (3-((8-methoxy-2H-pyrazolo[3,4-c]quinolin-4-yl)amino)phenyl)(morpholino)methanone

Example 8

[0000]

  • N-(3-(tert-butyl)phenyl)-8-methoxy-2H-pyrazolo[3,4-c]quinolin-4-amine

Example 9

[0000]

  • 9-fluoro-N-(4-morpholinophenyl)-3H-pyrazolo[3,4-c]quinolin-4-amine

Example 10

[0000]

  • N-(4-(4-cyclopropylpiperazin-1-yl)phenyl)-9-fluoro-3H-pyrazolo[3,4-c]quinolin-4-amine

Example 11

[0000]

  • 9-fluoro-N-(6-morpholinopyridin-3-yl)-3H-pyrazolo[3,4-c]quinolin-4-amine

Example 12

[0000]

  • 6-((8-methoxy-2H-pyrazolo[3,4-c]quinolin-4-yl)amino)-2,3-dihydrobenzo[b]thiophene 1,1-dioxide

Example 13

[0000]

  • 6-((8-methoxy-2H-pyrazolo[3,4-c]quinolin-4-yl)amino)benzo[b]thiophene 1,1-dioxide

Example 14

[0000]

  • (4-((9-methoxy-3H-pyrazolo[3,4-c]quinolin-4-yl)amino)phenyl)(morpholino)methanone

Example 16

[0000]

  • 9-methoxy-N-(3-methoxy-4-morpholinophenyl)-3H-pyrazolo[3,4-c]quinolin-4-amine

Example 17

[0000]

  • 9-methoxy-N-(6-morpholinopyridin-3-yl)-3H-pyrazolo[3,4-c]quinolin-4-amine

Example 18

[0000]

  • N-(1,3-dihydroisobenzofuran-5-yl)-9-methoxy-3H-pyrazolo[3,4-c]quinolin-4-amine

Example 19

[0000]

  • 6-((9-methoxy-3H-pyrazolo[3,4-c]quinolin-4-yl)amino)-2,3-dihydrobenzo[b]thiophene 1,1-dioxide

Example 20

[0000]

  • 6-((9-methoxy-3H-pyrazolo[3,4-c]quinolin-4-yl)amino)benzo[b]thiophene 1,1-dioxide

Example 21

[0000]

  • 9-methoxy-N-(4-(4-(4-methylpiperazin-1-yl)piperidin-1-yl)phenyl)-3H-pyrazolo[3,4-c]quinolin-4-amine

Example 24

[0000]

  • 2-(3-((8-methoxy-2H-pyrazolo[3,4-c]quinolin-4-yl)amino)phenyl)-2-methylpropanenitrile

Example 25

[0000]

  • 3-(4-((8-methoxy-2H-pyrazolo[3,4-c]quinolin-4-yl)amino)phenyl)oxazolidin-2-one

Example 26

[0000]

  • N-(5-cyclopropyl-1H-pyrazol-3-yl)-9-methoxy-3H-pyrazolo[3,4-c]quinolin-4-amine

Example 27

[0000]

  • N-(3-fluoro-4-morpholinophenyl)-9-methoxy-3H-pyrazolo[3,4-c]quinolin-4-amine

Example 28

[0000]

  • N-(3-((dimethylamino)methyl)phenyl)-9-methoxy-3H-pyrazolo[3,4-c]quinolin-4-amine

Example 29

[0000]

  • (4-(9-fluoro-3H-pyrazolo[3,4-c]quinolin-4-yl)amino)phenyl)(morpholino)methanone

Example 31

[0000]

  • 9-fluoro-N-(3-methoxy-4-morpholinophenyl)-3H-pyrazolo[3,4-c]quinolin-4-amine

Example 32

[0000]

  • N-(4-fluoro-3-(methylsulfonyl)phenyl)-9-methoxy-3H-pyrazolo[3,4-c]quinolin-4-amine

Example 33

[0000]

  • 2-(3-(9-methoxy-3H-pyrazolo[3,4-c]quinolin-4-yl)amino)phenyl)-2-methylpropanenitrile

Example 34

[0000]

  • (2-fluoro-4-((8-methoxy-2H-pyrazolo[3,4-c]quinolin-4-yl)amino)phenyl)(morpholino)methanone

Example 35

[0000]

  • (4-((8-methoxy-2H-pyrazolo[3,4-c]quinolin-4-yl)amino)-2-nitrophenyl)(morpholino)methanone

Example 36

[0000]

  • 8-methoxy-N-(4-(oxazol-2-yl)phenyl)-2H-pyrazolo[3,4-c]quinolin-4-amine

Example 37

[0000]

  • 8-methoxy-N-(4-(oxazol-5-yl)phenyl)-2H-pyrazolo[3,4-c]quinolin-4-amine

Example 38

[0000]

  • N-(4-(4-(tert-butyl)piperazin-1-yl)phenyl)-9-methoxy-3H-pyrazolo[3,4-c]quinolin-4-amine

Example 39

[0000]

  • (4-((9-methoxy-3H-pyrazolo[3,4-c]quinolin-4-yl)amino)phenyl)(4-(4-methylpiperazin-1-yl)piperidin-1-yl)methanone

Example 40

[0000]

  • 3-(4-((9-methoxy-2H-pyrazolo[3,4-c]quinolin-4-yl)amino)phenyl)oxazolidin-2-one

Example 41

[0000]

  • 8-methoxy-N-(pyridazin-4-yl)-2H-pyrazolo[3,4-c]quinolin-4-amine

Example 42

[0000]

  • 8-methoxy-N-(3-(methylsulfonyl)-4-nitrophenyl)-2H-pyrazolo[3,4-c]quinolin-4-amine

Example 43

[0000]

  • 8-(methylthio)-N-(4-morpholinophenyl)-3H-pyrazolo[3,4-c]quinolin-4-amine

Example 44

[0000]

  • N-(3-(methylsulfonyl)phenyl)-8-(methylthio)-3H-pyrazolo[3,4-c]quinolin-4-amine

Example 45

[0000]

  • N-(3,4-dimethoxyphenyl)-8-(methylthio)-3H-pyrazolo[3,4-c]quinolin-4-amine

Example 46

[0000]

  • 1-(4-(4-((8-(methylthio)-3H-pyrazolo[3,4-c]quinolin-4-yl)amino)phenyl)piperazin-1-yl)ethan-1-one

Example 47

[0000]

  • 7-(8-(methylthio)-3H-pyrazolo[3,4-c]quinolin-4-yl)amino)-3,4-dihydroquinolin-2(1H)-one

Example 48

[0000]

  • N-(4-((dimethylamino)methyl)phenyl)-8-(methylthio)-3H-pyrazolo[3,4-c]quinolin-4-amine

Example 49

[0000]

  • N-(2-methylisoindolin-5-yl)-8-(methylthio)-3H-pyrazolo[3,4-c]quinolin-4-amine

Example 50

[0000]

  • 6-fluoro-N-(4-morpholinophenyl)-3H-pyrazolo[3,4-c]quinolin-4-amine

Example 51

[0000]

  • 6-fluoro-N-(3-(methylsulfonyl)phenyl)-3H-pyrazolo[3,4-c]quinolin-4-amine

Example 52

[0000]

  • N-(3,4-dimethoxyphenyl)-6-fluoro-3H-pyrazolo[3,4-c]quinolin-4-amine

Example 53

[0000]

  • 1-(4-(4-((6-fluoro-3H-pyrazolo[3,4-c]quinolin-4-yl)amino)phenyl)piperazin-1-yl)ethan-1-one

Example 54

[0000]

  • 7-((6-fluoro-3H-pyrazolo[3,4-c]quinolin-4-yl)amino)-3,4-dihydroquinolin-2(1H)-one

Example 55

[0000]

  • 8-(methylsulfonyl)-N-(4-morpholinophenyl)-3H-pyrazolo[3,4-c]quinolin-4-amine

Example 56

[0000]

  • 8-methoxy-N-(2-(methylthio)-1H-benzo[d]imidazol-5-yl)-2H-pyrazolo[3,4-c]quinolin-4-amine

Example 57

[0000]

  • 9-methoxy-N-(4-(oxazol-5-yl)phenyl)-3H-pyrazolo[3,4-c]quinolin-4-amine

Example 58

[0000]

  • 9-methoxy-N-(4-(oxazol-2-yl)phenyl)-3H-pyrazolo[3,4-c]quinolin-4-amine

Example 59

[0000]

  • 9-methoxy-N-(4-(4-(methylsulfonyl)piperazin-1-yl)phenyl)-3H-pyrazolo[3,4-c]quinolin-4-amine

Example 60

[0000]

  • 4-(4-((9-methoxy-3H-pyrazolo[3,4-c]quinolin-4-yl)amino)phenyl)morpholin-3-one

Example 61

[0000]

  • (4-((9-methoxy-3H-pyrazolo[3,4-c]quinolin-4-yl)amino)phenyl)(pyrrolidin-1-yl)methanone

Example 62

[0000]

  • 1-(4-(4-((8-(methylsulfonyl)-3H-pyrazolo[3,4-c]quinolin-4-yl)amino)phenyl)piperazin-1-yl)ethan-1-one

Example 63

[0000]

  • N-(3,4-dimethoxyphenyl)-8-(methylsulfonyl)-3H-pyrazolo[3,4-c]quinolin-4-amine

Example 64

[0000]

  • (4-((8-(methylsulfonyl)-3H-pyrazolo[3,4-c]quinolin-4-yl)amino)phenyl)(morpholino)methanone

Example 65

[0000]

  • (4-methylpiperazin-1-yl)(4-(8-(methylsulfonyl)-3H-pyrazolo[3,4-c]quinolin-4-yl)amino)phenyl)methanone

Example 66

[0000]

  • 4-(8-(methylsulfonyl)-3H-pyrazolo[3,4-c]quinolin-4-yl)amino)benzamide

Example 67

[0000]

  • N-(4-(4-(4-methylpiperazin-1-yl)piperidin-1-yl)phenyl)-8-(methylsulfonyl)-3H-pyrazolo[3,4-c]quinolin-4-amine

Example 68

[0000]

  • 1-(4-((9-methoxy-3H-pyrazolo[3,4-c]quinolin-4-yl)amino)phenyl)pyrrolidin-2-one

Example 69

[0000]

  • (4-((9-methoxy-3H-pyrazolo[3,4-c]quinolin-4-yl)amino)phenyl)(4-methylpiperazin-1-yl)methanone

Example 71

[0000]

  • 5-((9-methoxy-3H-pyrazolo[3,4-c]quinolin-4-yl)amino)-2-morpholinobenzonitrile

Example 72

[0000]

  • N-(3,4-dimethoxyphenyl)-8-methyl-3H-pyrazolo[3,4-c]quinolin-4-amine

Example 73

[0000]

  • 1-(4-(4-((8-methyl-3H-pyrazolo[3,4-c]quinolin-4-yl)amino)phenyl)piperazin-1-yl) ethan-1-one

Example 74

[0000]

  • 8-methyl-N-(4-morpholinophenyl)-3H-pyrazolo[3,4-c]quinolin-4-amine

Example 75

[0000]

  • 8-methyl-N-(3-(methylsulfonyl)phenyl)-3H-pyrazolo[3,4-c]quinolin-4-amine

Example 76

[0000]

  • 3-(4-((8-(methylsulfonyl)-3H-pyrazolo[3,4-c]quinolin-4-yl)amino)phenyl)oxazolidin-2-one

Example 77

[0000]

  • 8-(8-(methylsulfonyl)-3H-pyrazolo[3,4-c]quinolin-4-yl)amino)-4,5-dihydro-1H-benzo[b]azepin-2(3H)-one

Example 78

[0000]

  • 8-(methylsulfonyl)-N-(3-(methylsulfonyl)phenyl)-3H-pyrazolo[3,4-c]quinolin-4-amine

Example 79

[0000]

  • 9-methoxy-N-(6-(4-methylpiperazin-1-yl)pyridin-3-yl)-3H-pyrazolo[3,4-c]quinolin-4-amine

Example 80

[0000]

  • N-(4-(4-(tert-butyl)piperazin-1-yl)phenyl)-8-(methylsulfonyl)-3H-pyrazolo[3,4-c]quinolin-4-amine

Example 81

[0000]

  • N-(6-(4-methylpiperazin-1-yl)pyridin-3-yl)-8-(methylsulfonyl)-3H-pyrazolo[3,4-c]quinolin-4-amine

Example 82

[0000]

  • N-cyclopropyl-8-methoxy-3H-pyrazolo[3,4-c]quinolin-4-amine

Example 83

[0000]

  • 8-methoxy-N-(1-methyl-1H-pyrazol-4-yl)-2H-pyrazolo[3,4-c]quinolin-4-amine

Example 84

[0000]

  • 5-(4-((8-methoxy-2H-pyrazolo[3,4-c]quinolin-4-yl)amino)phenyl)-1,3,4-oxadiazole-2-thiol

Example 85

[0000]

  • 8-methoxy-N-(1-(tetrahydro-2H-pyran-4-yl)-1H-pyrazol-4-yl)-2H-pyrazolo[3,4-c]quinolin-4-amine

Example 86

[0000]

  • 8-methoxy-N-(4-(4-morpholinopiperidin-1-yl)phenyl)-2H-pyrazolo[3,4-c]quinolin-4-amine

Example 87

[0000]

  • N5-(8-methoxy-2H-pyrazolo[3,4-c]quinolin-4-yl)-N2,N2-dimethylpyridine-2,5-diamine

Example 88

[0000]

  • 9-methyl-N-(3-(methylsulfonyl)phenyl)-3H-pyrazolo[3,4-c]quinolin-4-amine

Example 89

[0000]

  • 9-methyl-N-(4-morpholinophenyl)-3H-pyrazolo[3,4-c]quinolin-4-amine

Example 90

[0000]

  • 8-methoxy-N-(3-(methylsulfonyl)-4-morpholinophenyl)-2H-pyrazolo[3,4-c]quinolin-4-amine

Example 91

[0000]

  • 1-(4-(5-((8-methoxy-2H-pyrazolo[3,4-c]quinolin-4-yl)amino)pyridin-2-yl)piperazin-1-yl)ethan-1-one

Example 92

[0000]

  • 9-(methylsulfonyl)-N-(4-morpholinophenyl)-3H-pyrazolo[3,4-c]quinolin-4-amine

Example 93

[0000]

  • 1-(4-(4-((9-(methylsulfonyl)-3H-pyrazolo[3,4-c]quinolin-4-yl)amino)phenyl)piperazin-1-yl)ethan-1-one

Example 94

[0000]

  • (4-((9-(methylsulfonyl)-3H-pyrazolo[3,4-c]quinolin-4-yl)amino)phenyl)(morpholino)methanone

Example 95

[0000]

  • N-(4-(4-(tert-butyl)piperazin-1-yl)phenyl)-9-(methylsulfonyl)-3H-pyrazolo[3,4-c]quinolin-4-amine

Example 96

[0000]

  • 8-methoxy-N-(6-(4-(4-methylpiperazin-1-yl)piperidin-1-yl)pyridin-3-yl)-2H-pyrazolo[3,4-c]quinolin-4-amine

Example 97

[0000]

  • N-(4-(4-(4-methylpiperazin-1-yl)piperidin-1-yl)phenyl)-9-(methylsulfonyl)-3H-pyrazolo[3,4-c]quinolin-4-amine

Example 98

[0000]

  • 8-(9-(methylsulfonyl)-3H-pyrazolo[3,4-c]quinolin-4-yl)amino)-4,5-dihydro-1H-benzo[b]azepin-2(3H)-one

Example 99

[0000]

  • N-(3,4-dimethoxyphenyl)-9-(methylsulfonyl)-3H-pyrazolo[3,4-c]quinolin-4-amine

Example 100

[0000]

  • N-(6-(4-methylpiperazin-1-yl)pyridin-3-yl)-9-(methylsulfonyl)-3H-pyrazolo[3,4-c]quinolin-4-amine

Example 101

[0000]

  • 7-(methylsulfonyl)-N-(4-morpholinophenyl)-3H-pyrazolo[3,4-c]quinolin-4-amine

Example 102

[0000]

  • 9-methoxy-N-(1-(tetrahydro-2H-pyran-4-yl)-1H-pyrazol-4-yl)-3H-pyrazolo[3,4-c]quinolin-4-amine

Example 103

[0000]

  • 8-(methylsulfonyl)-N-(1-(tetrahydro-2H-pyran-4-yl)-1H-pyrazol-4-yl)-3H-pyrazolo[3,4-c]quinolin-4-amine

Example 104

[0000]

  • N-(1,5-dimethyl-1H-pyrazol-4-yl)-8-methoxy-2H-pyrazolo[3,4-c]quinolin-4-amine

Example 105

[0000]

  • N-(1,3-dimethyl-1H-pyrazol-4-yl)-8-methoxy-2H-pyrazolo[3,4-c]quinolin-4-amine

Example 106

[0000]

  • 2-(4-(9-(methylsulfonyl)-3H-pyrazolo[3,4-c]quinolin-4-yl)amino)phenyl)amino)ethan-1-ol

Example 107

[0000]

  • 9-(methylsulfonyl)-N-(3-(methylsulfonyl)phenyl)-3H-pyrazolo[3,4-c]quinolin-4-amine

Example 108

[0000]

  • 9-(methylsulfonyl)-N-(1-(tetrahydro-2H-pyran-4-yl)-1H-pyrazol-4-yl)-3H-pyrazolo[3,4-c]quinolin-4-amine

Example 109

[0000]

  • 8-methoxy-N-(1-(2-methoxyethyl)-1H-pyrazol-4-yl)-2H-pyrazolo[3,4-c]quinolin-4-amine

Example 110

[0000]

  • 8-methoxy-N-(1-(methylsulfonyl)-1H-pyrazol-4-yl)-2H-pyrazolo[3,4-c]quinolin-4-amine

Example 111

[0000]

  • 8-methoxy-N-(1-(1-methylpiperidin-4-yl)-1H-pyrazol-4-yl)-2H-pyrazolo[3,4-c]quinolin-4-amine

Example 112

[0000]

  • 1-(4-(4-((8-methoxy-2H-pyrazolo[3,4-c]quinolin-4-yl)amino)-1H-pyrazol-1-yl)piperidin-1-yl)ethan-1-one

Example 113

[0000]

  • N-(1-(2-methoxyethyl)-1H-pyrazol-4-yl)-8-(methylsulfonyl)-3H-pyrazolo[3,4-c]quinolin-4-amine

Example 114

[0000]

  • N-(1-(1-methylpiperidin-4-yl)-1H-pyrazol-4-yl)-8-(methylsulfonyl)-3H-pyrazolo[3,4-c]quinolin-4-amine

Example 115

[0000]

  • 1-(4-(4-((8-(methylsulfonyl)-3H-pyrazolo[3,4-c]quinolin-4-yl)amino)-1H-pyrazol-1-yl)piperidin-1-yl)ethan-1-one

Example 116

[0000]

  • 9-methoxy-N-(1-(2-methoxyethyl)-1H-pyrazol-4-yl)-2H-pyrazolo[3,4-c]quinolin-4-amine

Example 117

[0000]

  • 1-(4-(4-((9-methoxy-3H-pyrazolo[3,4-c]quinolin-4-yl)amino)-1H-pyrazol-1-yl)piperidin-1-yl)ethan-1-one

Example 118

[0000]

  • 9-methoxy-N-(1-(1-methylpiperidin-4-yl)-1H-pyrazol-4-yl)-3H-pyrazolo[3,4-c]quinolin-4-amine

Example 119

[0000]

  • 8-((7-(methylsulfonyl)-3H-pyrazolo[3,4-c]quinolin-4-yl)amino)-4,5-dihydro-1H-benzo[b]azepin-2(3H)-one

Example 120

[0000]

  • 7-(methylsulfonyl)-N-(1-(tetrahydro-2H-pyran-4-yl)-1H-pyrazol-4-yl)-3H-pyrazolo[3,4-c]quinolin-4-amine

Example 121

[0000]

  • 8-methoxy-N-(1-methyl-1H-1,2,3-triazol-4-yl)-2H-pyrazolo[3,4-c]quinolin-4-amine

Example 122

[0000]

  • 8-methoxy-N-(2-methyl-2H-1,2,3-triazol-4-yl)-2H-pyrazolo[3,4-c]quinolin-4-amine

Example 123

[0000]

  • 8-methoxy-N-(1-methyl-1H-pyrazol-3-yl)-2H-pyrazolo[3,4-c]quinolin-4-amine

Example 124

[0000]

  • 5-(4-((8-methoxy-2H-pyrazolo[3,4-c]quinolin-4-yl)amino)phenyl)-1,3,4-oxadiazole-2-thiol

Example 125

[0000]

  • 8-methoxy-N-(1-(tetrahydro-2H-pyran-4-yl)-1H-pyrazol-4-yl)-2H-pyrazolo[3,4-c]quinolin-4-amine

Example 126

[0000]

  • 8-methoxy-N-(4-(4-morpholinopiperidin-1-yl)phenyl)-2H-pyrazolo[3,4-c]quinolin-4-amine

Example 127

[0000]

  • N5-(8-methoxy-2H-pyrazolo[3,4-c]quinolin-4-yl)-N2,N2-dimethylpyridine-2,5-diamine

Example 128

[0000]

  • 9-methyl-N-(3-(methylsulfonyl)phenyl)-3H-pyrazolo[3,4-c]quinolin-4-amine

Example 129

[0000]

  • 9-methyl-N-(4-morpholinophenyl)-3H-pyrazolo[3,4-c]quinolin-4-amine

Example 130

[0000]

  • 8-methoxy-N-(3-(methylsulfonyl)-4-morpholinophenyl)-2H-pyrazolo[3,4-c]quinolin-4-amine

Example 131

[0000]

  • 1-(4-(5-((8-methoxy-2H-pyrazolo[3,4-c]quinolin-4-yl)amino)pyridin-2-yl)piperazin-1-yl)ethan-1-one

Example 132

[0000]

  • 9-(methylsulfonyl)-N-(4-morpholinophenyl)-3H-pyrazolo[3,4-c]quinolin-4-amine

Example 133

[0000]

  • 1-(4-(4-((9-(methylsulfonyl)-3H-pyrazolo[3,4-c]quinolin-4-yl)amino)phenyl)piperazin-1-yl)ethan-1-one

Example 134

[0000]

  • (4-((9-(methylsulfonyl)-3H-pyrazolo[3,4-c]quinolin-4-yl)amino)phenyl)(morpholino)methanone

Example 135

[0000]

  • N-(4-(4-(tert-butyl)piperazin-1-yl)phenyl)-9-(methylsulfonyl)-3H-pyrazolo[3,4-c]quinolin-4-amine

Example 136

[0000]

  • 8-methoxy-N-(6-(4-(4-methylpiperazin-1-yl)piperidin-1-yl)pyridin-3-yl)-2H-pyrazolo[3,4-c]quinolin-4-amine

Example 137

[0000]

  • N-(4-(4-(4-methylpiperazin-1-yl)piperidin-1-yl)phenyl)-9-(methylsulfonyl)-3H-pyrazolo[3,4-c]quinolin-4-amine

Example 138

[0000]

  • 8-((9-(methylsulfonyl)-3H-pyrazolo[3,4-c]quinolin-4-yl)amino)-4,5-dihydro-1H-benzo[b]azepin-2(3H)-one

Example 139

[0000]

  • N-(3,4-dimethoxyphenyl)-9-(methylsulfonyl)-3H-pyrazolo[3,4-c]quinolin-4-amine

Example 140

[0000]

  • N-(6-(4-methylpiperazin-1-yl)pyridin-3-yl)-9-(methylsulfonyl)-3H-pyrazolo[3,4-c]quinolin-4-amine

Example 141

[0000]

  • 7-(methylsulfonyl)-N-(4-morpholinophenyl)-3H-pyrazolo[3,4-c]quinolin-4-amine

Example 142

[0000]

  • 9-methoxy-N-(1-(tetrahydro-2H-pyran-4-yl)-1H-pyrazol-4-yl)-3H-pyrazolo[3,4-c]quinolin-4-amine

Example 143

[0000]

  • 8-(methylsulfonyl)-N-(1-(tetrahydro-2H-pyran-4-yl)-1H-pyrazol-4-yl)-3H-pyrazolo[3,4-c]quinolin-4-amine

Example 144

[0000]

  • N-(1,5-dimethyl-1H-pyrazol-4-yl)-8-methoxy-2H-pyrazolo[3,4-c]quinolin-4-amine

Example 145

[0000]

  • N-(1,3-dimethyl-1H-pyrazol-4-yl)-8-methoxy-2H-pyrazolo[3,4-c]quinolin-4-amine

Example 146

[0000]

  • 2-(4-(9-(methylsulfonyl)-3H-pyrazolo[3,4-c]quinolin-4-yl)amino)phenyl)amino)ethan-1-ol

Example 147

[0000]

  • 9-(methylsulfonyl)-N-(3-(methylsulfonyl)phenyl)-3H-pyrazolo[3,4-c]quinolin-4-amine

Example 148

[0000]

  • 9-(methylsulfonyl)-N-(1-(tetrahydro-2H-pyran-4-yl)-1H-pyrazol-4-yl)-3H-pyrazolo[3,4-c]quinolin-4-amine

Example 149

[0000]

  • 8-methoxy-N-(1-(2-methoxyethyl)-1H-pyrazol-4-yl)-2H-pyrazolo[3,4-c]quinolin-4-amine

Example 150

[0000]

  • 8-methoxy-N-(1-(methylsulfonyl)-1H-pyrazol-4-yl)-2H-pyrazolo[3,4-c]quinolin-4-amine

Example 151

[0000]

  • 8-methoxy-N-(1-(1-methylpiperidin-4-yl)-1H-pyrazol-4-yl)-2H-pyrazolo[3,4-c]quinolin-4-amine

Example 152

[0000]

  • 1-(4-(4-((8-methoxy-2H-pyrazolo[3,4-c]quinolin-4-yl)amino)-1H-pyrazol-1-yl)piperidin-1-yl)ethan-1-one

Example 153

[0000]

  • N-(1-(2-methoxyethyl)-1H-pyrazol-4-yl)-8-(methylsulfonyl)-3H-pyrazolo[3,4-c]quinolin-4-amine

Example 154

[0000]

  • N-(1-(1-methylpiperidin-4-yl)-1H-pyrazol-4-yl)-8-(methylsulfonyl)-3H-pyrazolo[3,4-c]quinolin-4-amine

Example 155

[0000]

  • 1-(4-(4-((8-(methylsulfonyl)-3H-pyrazolo[3,4-c]quinolin-4-yl)amino)-1H-pyrazol-1-yl)piperidin-1-yl)ethan-1-one

Example 156

[0000]

  • 9-methoxy-N-(1-(2-methoxyethyl)-1H-pyrazol-4-yl)-2H-pyrazolo[3,4-c]quinolin-4-amine

Example 157

[0000]

  • 1-(4-(4-((9-methoxy-3H-pyrazolo[3,4-c]quinolin-4-yl)amino)-1H-pyrazol-1-yl)piperidin-1-yl)ethan-1-one

Example 158

[0000]

  • 9-methoxy-N-(1-(1-methylpiperidin-4-yl)-1H-pyrazol-4-yl)-3H-pyrazolo[3,4-c]quinolin-4-amine

Example 159

[0000]

  • 8-(7-(methylsulfonyl)-3H-pyrazolo[3,4-c]quinolin-4-yl)amino)-4,5-dihydro-1H-benzo[b]azepin-2(3H)-one

Example 160

[0000]

  • 7-(methylsulfonyl)-N-(1-(tetrahydro-2H-pyran-4-yl)-1H-pyrazol-4-yl)-3H-pyrazolo[3,4-c]quinolin-4-amine

Example 161

[0000]

  • 8-methoxy-N-(1-methyl-1H-1,2,3-triazol-4-yl)-2H-pyrazolo[3,4-c]quinolin-4-amine

Example 162

[0000]

  • 8-methoxy-N-(2-methyl-2H-1,2,3-triazol-4-yl)-2H-pyrazolo[3,4-c]quinolin-4-amine

Example 163

[0000]

  • 8-methoxy-N-(1-methyl-1H-pyrazol-3-yl)-2H-pyrazolo[3,4-c]quinolin-4-amine

Example 164

[0000]

  • 2-(4-((8-methoxy-2H-pyrazolo[3,4-c]quinolin-4-yl)amino)-1H-pyrazol-1-yl)-2-methylpropanamide

Example 165

[0000]

  • 8-methoxy-N-(2-methyl-2H-tetrazol-5-yl)-2H-pyrazolo[3,4-c]quinolin-4-amine

Example 166

[0000]

  • 8-methoxy-N-(1-methyl-1H-imidazol-4-yl)-2H-pyrazolo[3,4-c]quinolin-4-amine

Example 167

[0000]

  • N-(1-(1-methylpiperidin-4-yl)-1H-pyrazol-4-yl)-7-(methylsulfonyl)-3H-pyrazolo[3,4-c]quinolin-4-amine

Example 168

[0000]

  • 1-(4-(4-((7-(methylsulfonyl)-3H-pyrazolo[3,4-c]quinolin-4-yl)amino)-1H-pyrazol-1-yl)piperidin-1-yl)ethan-1-one

Example 169

[0000]

  • 7-(methylsulfonyl)-N-(1-(tetrahydro-2H-pyran-4-yl)-1H-pyrazol-4-yl)-3H-pyrazolo[3,4-c]quinolin-4-amine

Example 170

[0000]

  • N-(1-(2-methoxyethyl)-1H-pyrazol-4-yl)-7-(methylsulfonyl)-3H-pyrazolo[3,4-c]quinolin-4-amine

Example 171

[0000]

  • N-(1-(2-methoxyethyl)-1H-pyrazol-4-yl)-7-(methylthio)-3H-pyrazolo[3,4-c]quinolin-4-amine

Example 172

[0000]

  • 2-methyl-2-(4-((8-(methylsulfonyl)-3H-pyrazolo[3,4-c]quinolin-4-yl)amino)-1H-pyrazol-1-yl)propanenitrile

Example 173

[0000]

  • 8-(methylsulfonyl)-N-(1-(oxetan-3-yl)-1H-pyrazol-4-yl)-3H-pyrazolo[3,4-c]quinolin-4-amine

Example 174

[0000]

  • (2-fluoro-4-((7-(methylsulfonyl)-3H-pyrazolo[3,4-c]quinolin-4-yl)amino)phenyl)(morpholino)methanone

Example 175

[0000]

  • (2-fluoro-4-((8-(methylsulfonyl)-3H-pyrazolo[3,4-c]quinolin-4-yl)amino)phenyl)(morpholino)methanone

Example 176

[0000]

  • 4-((8-methoxy-2H-pyrazolo[3,4-c]quinolin-4-yl)amino)pyridin-2(1H)-one

Example 177

[0000]

  • 4-((8-methoxy-2H-pyrazolo[3,4-c]quinolin-4-yl)amino)-1-methylpyridin-2(1H)-one

Example 178

[0000]

  • N-(1-(3-methoxypropyl)-1H-pyrazol-4-yl)-8-(methylsulfonyl)-3H-pyrazolo[3,4-c]quinolin-4-amine

Example 179

[0000]

  • 1-(4-((8-(methylsulfonyl)-3H-pyrazolo[3,4-c]quinolin-4-yl)amino)-1H-pyrazol-1-yl)cyclohexanecarbonitrile

Example 180

[0000]

  • N-(1-isopropyl-1H-pyrazol-4-yl)-8-(methylsulfonyl)-3H-pyrazolo[3,4-c]quinolin-4-amine

Example 181

[0000]

  • N-(1-(tert-butyl)-1H-pyrazol-4-yl)-9-methoxy-3H-pyrazolo[3,4-c]quinolin-4-amine

Example 182

[0000]

  • N-(1-isopropyl-1H-pyrazol-4-yl)-9-methoxy-3H-pyrazolo[3,4-c]quinolin-4-amine

Example 183

[0000]

  • 9-methoxy-N-(1-(3-methoxypropyl)-1H-pyrazol-4-yl)-3H-pyrazolo[3,4-c]quinolin-4-amine

Example 184

[0000]

  • 2-(4-((9-methoxy-3H-pyrazolo[3,4-c]quinolin-4-yl)amino)-1H-pyrazol-1-yl)-2-methylpropanenitrile

Example 185

[0000]

  • 1-(4-((9-methoxy-3H-pyrazolo[3,4-c]quinolin-4-yl)amino)-1H-pyrazol-1-yl)cyclohexanecarbonitrile

Example 186

[0000]

  • 2-(4-((8-(methylsulfonyl)-3H-pyrazolo[3,4-c]quinolin-4-yl)amino)-1H-pyrazol-1-yl)ethan-1-ol

Example 187

[0000]

  • N-(1-isobutyl-1H-pyrazol-4-yl)-8-(methylsulfonyl)-3H-pyrazolo[3,4-c]quinolin-4-amine

Example 188

[0000]

  • N-(1-(tert-butyl)-1H-pyrazol-4-yl)-7-(methylsulfonyl)-3H-pyrazolo[3,4-c]quinolin-4-amine

Example 189

[0000]

  • N-(1-isopropyl-1H-pyrazol-4-yl)-7-(methylsulfonyl)-3H-pyrazolo[3,4-c]quinolin-4-amine

Example 190

[0000]

  • N-(1-(3-methoxypropyl)-1H-pyrazol-4-yl)-7-(methylsulfonyl)-3H-pyrazolo[3,4-c]quinolin-4-amine

Example 191

[0000]

  • 2-methyl-2-(4-((7-(methylsulfonyl)-3H-pyrazolo[3,4-c]quinolin-4-yl)amino)-1H-pyrazol-1-yl)propanenitrile

Example 192

[0000]

  • N-(1-isobutyl-1H-pyrazol-4-yl)-7-(methylsulfonyl)-3H-pyrazolo[3,4-c]quinolin-4-amine

Example 193

[0000]

  • 2-(4-((7-(methylsulfonyl)-3H-pyrazolo[3,4-c]quinolin-4-yl)amino)-1H-pyrazol-1-yl)ethan-1-ol

Example 194

[0000]

  • (3-methoxy-4-(7-(methylsulfonyl)-3H-pyrazolo[3,4-c]quinolin-4-yl)amino)phenyl)(morpholino)methanone

Example 195

[0000]

  • N-(1-(tert-butyl)-1H-pyrazol-4-yl)-8-(methylsulfonyl)-3H-pyrazolo[3,4-c]quinolin-4-amine

Example 196

[0000]

  • (3-methoxy-4-((8-(methylsulfonyl)-3H-pyrazolo[3,4-c]quinolin-4-yl)amino)phenyl)(morpholino)methanone

Example 197

[0000]

  • N-(1-cyclopropyl-1H-pyrazol-4-yl)-7-(methylsulfonyl)-3H-pyrazolo[3,4-c]quinolin-4-amine

Example 198

[0000]

  • N-(1-isobutyl-1H-pyrazol-4-yl)-9-methoxy-3H-pyrazolo[3,4-c]quinolin-4-amine

Example 199

[0000]

  • 2-(4-((9-methoxy-3H-pyrazolo[3,4-c]quinolin-4-yl)amino)-1H-pyrazol-1-yl)ethan-1-ol

Example 200

[0000]

  • (3-methoxy-4-((9-methoxy-3H-pyrazolo[3,4-c]quinolin-4-yl)amino)phenyl)(morpholino)methanone

Example 201

[0000]

  • N-(1-cyclopropyl-1H-pyrazol-4-yl)-9-methoxy-3H-pyrazolo[3,4-c]quinolin-4-amine

Example 202

[0000]

  • 1-methyl-3-((8-(methylsulfonyl)-3H-pyrazolo[3,4-c]quinolin-4-yl)amino)pyridin-2(1H)-one

Example 203

[0000]

  • N-(1-cyclopropyl-1H-pyrazol-4-yl)-8-(methylsulfonyl)-3H-pyrazolo[3,4-c]quinolin-4-amine

Example 204

[0000]

  • 9-methoxy-N-(1-(1-methoxy-2-methylpropan-2-yl)-1H-pyrazol-4-yl)-3H-pyrazolo[3,4-c]quinolin-4-amine

Example 205

[0000]

  • 9-methoxy-N-(1-(2-methoxyethyl)-3-methyl-1H-pyrazol-4-yl)-3H-pyrazolo[3,4-c]quinolin-4-amine

Example 206

[0000]

  • N-(1-(1-(tert-butyl)piperidin-4-yl)-1H-pyrazol-4-yl)-9-methoxy-3H-pyrazolo[3,4-c]quinolin-4-amine

Example 207

[0000]

  • 9-methoxy-N-(3-methyl-1-(tetrahydro-2H-pyran-4-yl)-1H-pyrazol-4-yl)-3H-pyrazolo[3,4-c]quinolin-4-amine

Example 208

[0000]

  • N-(1-(1-methoxy-2-methylpropan-2-yl)-1H-pyrazol-4-yl)-8-(methylsulfonyl)-3H-pyrazolo[3,4-c]quinolin-4-amine

Example 209

[0000]

  • N-(1-(2-methoxyethyl)-3-methyl-1H-pyrazol-4-yl)-8-(methylsulfonyl)-3H-pyrazolo[3,4-c]quinolin-4-amine

Example 210

[0000]

  • N-(1-(2-methoxyethyl)-5-methyl-1H-pyrazol-4-yl)-8-(methylsulfonyl)-3H-pyrazolo[3,4-c]quinolin-4-amine

Example 211

[0000]

  • N-(1-(1-(tert-butyl)piperidin-4-yl)-1H-pyrazol-4-yl)-8-(methylsulfonyl)-3H-pyrazolo[3,4-c]quinolin-4-amine

Example 212

[0000]

  • N-(1-(tert-butyl)-1H-pyrazol-3-yl)-8-(methylsulfonyl)-3H-pyrazolo[3,4-c]quinolin-4-amine

Example 213

[0000]

  • N-(1-isopropyl-3-methyl-1H-pyrazol-4-yl)-8-(methylsulfonyl)-3H-pyrazolo[3,4-c]quinolin-4-amine

Example 214

[0000]

  • N-(1-isopropyl-5-methyl-1H-pyrazol-4-yl)-8-(methylsulfonyl)-3H-pyrazolo[3,4-c]quinolin-4-amine

Example 215

[0000]

  • N-(5-methyl-1-(tetrahydro-2H-pyran-4-yl)-1H-pyrazol-4-yl)-8-(methylsulfonyl)-3H-pyrazolo[3,4-c]quinolin-4-amine

Example 216

[0000]

  • N-(3-methyl-1-(tetrahydro-2H-pyran-4-yl)-1H-pyrazol-4-yl)-8-(methylsulfonyl)-3H-pyrazolo[3,4-c]quinolin-4-amine

Example 217

[0000]

  • N-(1-isopropyl-3-methyl-1H-pyrazol-4-yl)-8-(methylsulfonyl)-3H-pyrazolo[3,4-c]quinolin-4-amine

Example 218

[0000]

  • N-(1-isopropyl-5-methyl-1H-pyrazol-4-yl)-8-(methylsulfonyl)-3H-pyrazolo[3,4-c]quinolin-4-amine

Example 219

[0000]

  • N-(1-isopropyl-5-methyl-1H-pyrazol-4-yl)-9-methoxy-3H-pyrazolo[3,4-c]quinolin-4-amine

Example 220

[0000]

  • N-(1-isopropyl-3-methyl-1H-pyrazol-4-yl)-9-methoxy-3H-pyrazolo[3,4-c]quinolin-4-amine

Example 221

[0000]

  • N-(1-(2-fluoroethyl)-1H-pyrazol-4-yl)-8-(methylsulfonyl)-3H-pyrazolo[3,4-c]quinolin-4-amine

Example 222

[0000]

  • N-(1-isopropyl-3-methyl-1H-pyrazol-4-yl)-9-methoxy-3H-pyrazolo[3,4-c]quinolin-4-amine

Example 223

[0000]

  • N-(1-isopropyl-5-methyl-1H-pyrazol-4-yl)-9-methoxy-3H-pyrazolo[3,4-c]quinolin-4-amine

Example 224

[0000]

  • N-(1-isopropyl-3-methoxy-1H-pyrazol-4-yl)-9-methoxy-3H-pyrazolo[3,4-c]quinolin-4-amine

Example 225

[0000]

  • N-(1-(1-(tert-butyl)piperidin-4-yl)-3-methoxy-1H-pyrazol-4-yl)-9-methoxy-3H-pyrazolo[3,4-c]quinolin-4-amine

Example 226

[0000]

  • N-(1-isopropyl-3-methoxy-1H-pyrazol-4-yl)-8-(methylsulfonyl)-3H-pyrazolo[3,4-c]quinolin-4-amine

Example 227

[0000]

  • N-(1-isopropyl-5-methoxy-1H-pyrazol-4-yl)-8-(methylsulfonyl)-3H-pyrazolo[3,4-c]quinolin-4-amine

Example 228

[0000]

  • N-(1-(1-(tert-butyl)piperidin-4-yl)-3-methoxy-1H-pyrazol-4-yl)-8-(methylsulfonyl)-3H-pyrazolo[3,4-c]quinolin-4-amine

Example 229

[0000]

  • N-(1-(1-(tert-butyl)piperidin-4-yl)-5-methoxy-1H-pyrazol-4-yl)-8-(methylsulfonyl)-3H-pyrazolo[3,4-c]quinolin-4-amine

Example 230

[0000]

  • N-(2-chloro-5-(methylsulfonyl)thiophen-3-yl)-8-(methylsulfonyl)-3H-pyrazolo[3,4-c]quinolin-4-amine

Example 231

[0000]

  • N-(3-methoxy-1-(3-methoxypropyl)-1H-pyrazol-4-yl)-8-(methylsulfonyl)-3H-pyrazolo[3,4-c]quinolin-4-amine

Example 232

[0000]

  • N-(5-methoxy-1-(3-methoxypropyl)-1H-pyrazol-4-yl)-8-(methylsulfonyl)-3H-pyrazolo[3,4-c]quinolin-4-amine

Example 233

[0000]

  • N-(5-chloro-1-isopropyl-1H-pyrazol-4-yl)-8-(methylsulfonyl)-3H-pyrazolo[3,4-c]quinolin-4-amine

Example 234

[0000]

  • N-(1-isopropyl-3,5-dimethyl-1H-pyrazol-4-yl)-9-methoxy-3H-pyrazolo[3,4-c]quinolin-4-amine

Example 235

[0000]

  • N-(5-chloro-1-(3-methoxypropyl)-1H-pyrazol-4-yl)-9-methoxy-3H-pyrazolo[3,4-c]quinolin-4-amine

Example 236

[0000]

  • 9-methoxy-N-(1-(piperidin-4-yl)-1H-pyrazol-4-yl)-3H-pyrazolo[3,4-c]quinolin-4-amine

Example 237

[0000]

  • N-(5-chloro-1-(3-methoxypropyl)-1H-pyrazol-4-yl)-8-(methylsulfonyl)-3H-pyrazolo[3,4-c]quinolin-4-amine

Example 238

[0000]

  • N-(1-isopropyl-3,5-dimethyl-1H-pyrazol-4-yl)-8-(methylsulfonyl)-3H-pyrazolo[3,4-c]quinolin-4-amine

Example 239

[0000]

  • N-(3-cyclopropyl-1-methyl-1H-pyrazol-5-yl)-8-(methylsulfonyl)-3H-pyrazolo[3,4-c]quinolin-4-amine

Example 240

[0000]

  • 3-(3-methoxy-4-((8-(methylsulfonyl)-3H-pyrazolo[3,4-c]quinolin-4-yl)amino)phenyl)oxazolidin-2-one

Example 241

[0000]

  • N-(5-chloro-1-(2-methoxyethyl)-1H-pyrazol-4-yl)-9-methoxy-3H-pyrazolo[3,4-c]quinolin-4-amine

Example 242

[0000]

  • N-(5-chloro-1-(2-methoxyethyl)-1H-pyrazol-4-yl)-8-(methylsulfonyl)-3H-pyrazolo[3,4-c]quinolin-4-amine

Example 243

[0000]

  • N-(5-chloro-1-(2-methoxyethyl)-1H-pyrazol-4-yl)-7-(methylsulfonyl)-3H-pyrazolo[3,4-c]quinolin-4-amine

Example 244

[0000]

  • N-(1-isopropyl-5-methyl-1H-pyrazol-4-yl)-7-(methylsulfonyl)-3H-pyrazolo[3,4-c]quinolin-4-amine

Example 245

[0000]

  • 6-((9-methoxy-3H-pyrazolo[3,4-c]quinolin-4-yl)amino)-1,3-dimethylpyrimidine-2,4-(1H,3H)-dione

Example 246

[0000]

  • 1-isopropyl-4-((8-(methylsulfonyl)-3H-pyrazolo[3,4-c]quinolin-4-yl)amino)-1H-pyrazole-3-carbonitrile

Example 247

[0000]

  • 1-isopropyl-4-((8-(methylsulfonyl)-3H-pyrazolo[3,4-c]quinolin-4-yl)amino)-1H-pyrazole-5-carbonitrile

Example 248

[0000]

  • 1-(2-methoxyethyl)-4-((8-(methylsulfonyl)-3H-pyrazolo[3,4-c]quinolin-4-yl)amino)-1H-pyrazole-3-carbonitrile

Example 249

[0000]

  • 1-(2-methoxyethyl)-4-((8-(methylsulfonyl)-3H-pyrazolo[3,4-c]quinolin-4-yl)amino)-1H-pyrazole-5-carbonitrile

Example 250

[0000]

  • 1-isopropyl-4-((8-(methylsulfonyl)-3H-pyrazolo[3,4-c]quinolin-4-yl)amino)-1H-pyrazole-3-carboxamide

Example 251

[0000]

  • 1-isopropyl-4-((8-(methylsulfonyl)-3H-pyrazolo[3,4-c]quinolin-4-yl)amino)-1H-pyrazole-5-carboxamide

Example 252

[0000]

  • 1,3-dimethyl-6-((8-(methylsulfonyl)-3H-pyrazolo[3,4-c]quinolin-4-yl)amino)pyrimidine-2,4-(1H,3H)-dione

Example 253

[0000]

  • N-(1-(2-fluoroethyl)-1H-pyrazol-4-yl)-9-methoxy-3H-pyrazolo[3,4-c]quinolin-4-amine

Example 254

[0000]

  • N-(5-chloro-1-(piperidin-4-yl)-1H-pyrazol-4-yl)-9-methoxy-3H-pyrazolo[3,4-c]quinolin-4-amine

Example 255

[0000]

  • N-(5-chloro-1-(tetrahydro-2H-pyran-4-yl)-1H-pyrazol-4-yl)-9-methoxy-3H-pyrazolo[3,4-c]quinolin-4-amine

Example 256

[0000]

  • 1-(4-((9-methoxy-3H-pyrazolo[3,4-c]quinolin-4-yl)amino)-1H-pyrazol-1-yl)-2-methylpropan-2-ol

Example 257

[0000]

  • 9-methoxy-N-(1-(2,2,2-trifluoroethyl)-1H-pyrazol-4-yl)-3H-pyrazolo[3,4-c]quinolin-4-amine

Example 258

[0000]

  • 9-methoxy-N-(1-(2-methylallyl)-1H-pyrazol-4-yl)-3H-pyrazolo[3,4-c]quinolin-4-amine

Example 259

[0000]

  • 9-methoxy-N-(1-(2-methylprop-1-en-1-yl)-1H-pyrazol-4-yl)-3H-pyrazolo[3,4-c]quinolin-4-amine

Example 260

[0000]

  • N-(1,2-dimethyl-1H-imidazol-5-yl)-8-(methylsulfonyl)-3H-pyrazolo[3,4-c]quinolin-4-amine

Example 261

[0000]

  • 8-(methylsulfonyl)-N-(1-(2,2,2-trifluoroethyl)-1H-pyrazol-4-yl)-3H-pyrazolo[3,4-c]quinolin-4-amine

Example 262

[0000]

  • 2-methyl-1-(4-((8-(methylsulfonyl)-3H-pyrazolo[3,4-c]quinolin-4-yl)amino)-1H-pyrazol-1-yl)propan-2-ol

Example 263

[0000]

  • N-(1-(2-methylprop-1-en-1-yl)-1H-pyrazol-4-yl)-8-(methylsulfonyl)-3H-pyrazolo[3,4-c]quinolin-4-amine

Example 264

[0000]

  • N-(1-(2-methylallyl)-1H-pyrazol-4-yl)-8-(methylsulfonyl)-3H-pyrazolo[3,4-c]quinolin-4-amine

Example 265

[0000]

  • N-(5-chloro-1-(tetrahydro-2H-pyran-4-yl)-1H-pyrazol-4-yl)-8-(methylsulfonyl)-3H-pyrazolo[3,4-c]quinolin-4-amine

Example 266

[0000]

  • 1-isopropyl-4-(9-methoxy-3H-pyrazolo[3,4-c]quinolin-4-yl)amino)-1H-pyrazole-5-carboxamide

Example 267

[0000]

  • 9-methoxy-N-(1-(2-methoxyethyl)-3-(trifluoromethyl)-1H-pyrazol-4-yl)-3H-pyrazolo[3,4-c]quinolin-4-amine

Example 268

[0000]

  • 9-methoxy-N-(1-(2-methoxyethyl)-5-(trifluoromethyl)-1H-pyrazol-4-yl)-3H-pyrazolo[3,4-c]quinolin-4-amine

Example 269

[0000]

  • N-(1-(2-fluoroethyl)-3-methyl-1H-pyrazol-4-yl)-8-(methylsulfonyl)-3H-pyrazolo[3,4-c]quinolin-4-amine

Example 270

[0000]

  • N-(1-(2-fluoroethyl)-5-methyl-1H-pyrazol-4-yl)-8-(methylsulfonyl)-3H-pyrazolo[3,4-c]quinolin-4-amine

Example 271

[0000]

  • N-(1-(2-methoxyethyl)-3-(trifluoromethyl)-1H-pyrazol-4-yl)-8-(methylsulfonyl)-3H-pyrazolo[3,4-c]quinolin-4-amine

Example 272

[0000]

  • N-(1-(2-methoxyethyl)-5-(trifluoromethyl)-1H-pyrazol-4-yl)-8-(methylsulfonyl)-3H-pyrazolo[3,4-c]quinolin-4-amine

Example 273

[0000]

  • 1-(2-methoxyethyl)-4-(8-(methylsulfonyl)-3H-pyrazolo[3,4-c]quinolin-4-yl)amino)-1H-pyrazole-5-carbonitrile

Example 274

[0000]

  • 1-(2-methoxyethyl)-4-((8-(methylsulfonyl)-3H-pyrazolo[3,4-c]quinolin-4-yl)amino)-1H-pyrazole-3-carbonitrile

Example 275

[0000]

  • N-(5-bromo-1-(2-methoxyethyl)-1H-pyrazol-4-yl)-9-methoxy-3H-pyrazolo[3,4-c]quinolin-4-amine

Example 276

[0000]

  • N-(5-fluoro-1-(2-methoxyethyl)-1H-pyrazol-4-yl)-9-methoxy-3H-pyrazolo[3,4-c]quinolin-4-amine

Example 277

[0000]

  • N4-(9-methoxy-3H-pyrazolo[3,4-c]quinolin-4-yl)-1-(2-methoxyethyl)-N5,N5-dimethyl-1H-pyrazole-4,5-diamine

Example 278

[0000]

  • N-(2-isopropyl-1-methyl-1H-imidazol-5-yl)-9-methoxy-3H-pyrazolo[3,4-c]quinolin-4-amine

Example 279

[0000]

  • N-(5-bromo-1-(2-methoxyethyl)-1H-pyrazol-4-yl)-8-(methylsulfonyl)-3H-pyrazolo[3,4-c]quinolin-4-amine

Example 280

[0000]

  • 1-(2-methoxyethyl)-N5,N5-dimethyl-N4-(8-(methylsulfonyl)-3H-pyrazolo[3,4-c]quinolin-4-yl)-1H-pyrazole-4,5-diamine

Example 281

[0000]

  • N-(5-methyl-1-(tetrahydro-2H-pyran-4-yl)-1H-pyrazol-4-yl)-8-(methylsulfonyl)-3H-pyrazolo[3,4-c]quinolin-4-amine

Example 282

[0000]

  • N-(1-(2-methoxyethyl)-5-methyl-1H-pyrazol-4-yl)-8-(methylsulfonyl)-3H-pyrazolo[3,4-c]quinolin-4-amine

Example 283

[0000]

  • N-(2-methyl-3-morpholinophenyl)-8-(methylsulfonyl)-3H-pyrazolo[3,4-e]quinolin-4-amine

Example 284

[0000]

  • N-(2-isopropyl-1-methyl-1H-imidazol-5-yl)-8-(methylsulfonyl)-3H-pyrazolo[3,4-c]quinolin-4-amine

Example 285

[0000]

  • N-(1-isobutyl-1H-pyrazol-4-yl)-8-methoxy-3H-pyrazolo[3,4-c]quinolin-4-amine

Example 286

[0000]

  • N-(1-(tert-butyl)-1H-pyrazol-4-yl)-8-methoxy-3H-pyrazolo[3,4-c]quinolin-4-amine

Example 287

[0000]

  • 8-methoxy-N-(1-(3-methoxypropyl)-1H-pyrazol-4-yl)-3H-pyrazolo[3,4-c]quinolin-4-amine

Example 288

[0000]

  • 6,8-dimethoxy-N-(4-morpholinophenyl)-3H-pyrazolo[3,4-c]quinolin-4-amine

Example 289

[0000]

  • 6,8-dimethoxy-N-(1-(tetrahydro-2H-pyran-4-yl)-1H-pyrazol-4-yl)-3H-pyrazolo[3,4-c]quinolin-4-amine

Example 290

[0000]

  • 6,8-dimethoxy-N-(1-(3-methoxypropyl)-1H-pyrazol-4-yl)-3H-pyrazolo[3,4-c]quinolin-4-amine

Example 291

[0000]

  • N-(1-(2-fluoroethyl)-1H-pyrazol-4-yl)-8-methoxy-3H-pyrazolo[3,4-c]quinolin-4-amine

Example 292

[0000]

  • N-(1-isopropyl-1H-pyrazol-4-yl)-8-methoxy-3H-pyrazolo[3,4-c]quinolin-4-amine

Example 293

[0000]

  • N-(1-cyclopropyl-1H-pyrazol-4-yl)-8-methoxy-3H-pyrazolo[3,4-c]quinolin-4-amine

Example 294

[0000]

  • N-(1-isopropyl-1H-pyrazol-4-yl)-6,8-dimethoxy-3H-pyrazolo[3,4-c]quinolin-4-amine

Example 295

[0000]

  • N-(1-(1-(tert-butyl)piperidin-4-yl)-1H-pyrazol-4-yl)-6,8-dimethoxy-3H-pyrazolo[3,4-c]quinolin-4-amine

Example 296

[0000]

  • 1-(4-((8-methoxy-3H-pyrazolo[3,4-c]quinolin-4-yl)amino)phenyl)piperidin-4-ol

Example 297

[0000]

  • 2-(4-(4-((8-methoxy-3H-pyrazolo[3,4-c]quinolin-4-yl)amino)phenyl)piperazin-1-yl)ethan-1-ol

Example 298

[0000]

  • 1-(4-((8-methoxy-3H-pyrazolo[3,4-c]quinolin-4-yl)amino)-1H-pyrazol-1-yl)-2-methylpropan-2-ol

Example 299

[0000]

  • N-(1-(tert-butyl)-1H-pyrazol-4-yl)-8-methoxy-3H-pyrazolo[3,4-c]quinolin-4-amine

Example 300

[0000]

  • N-(1-(1-(tert-butyl)piperidin-4-yl)-1H-pyrazol-4-yl)-8-methoxy-3H-pyrazolo[3,4-c]quinolin-4-amine

Example 301

[0000]

  • 2-(4-((8-methoxy-3H-pyrazolo[3,4-c]quinolin-4-yl)amino)-1H-pyrazol-1-yl)-2-methylpropanenitrile

Example 302

[0000]

  • N-(3,4-dimethoxyphenyl)-7-(methylsulfonyl)-3H-pyrazolo[3,4-c]quinolin-4-amine

Example 303

[0000]

  • 2-(4-(4-((7-(methylsulfonyl)-3H-pyrazolo[3,4-c]quinolin-4-yl)amino)phenyl)piperazin-1-yl)ethan-1-ol

Example 304

[0000]

  • 6-methoxy-N-(4-morpholinophenyl)-3H-pyrazolo[3,4-c]quinolin-4-amine

Example 305

[0000]

  • N-(1-isopropyl-1H-pyrazol-4-yl)-6-methoxy-3H-pyrazolo[3,4-c]quinolin-4-amine

Example 306

[0000]

  • 6-methoxy-N-(1-(3-methoxypropyl)-1H-pyrazol-4-yl)-3H-pyrazolo[3,4-c]quinolin-4-amine

Example 307

[0000]

  • 6-methoxy-N-(1-(tetrahydro-2H-pyran-4-yl)-1H-pyrazol-4-yl)-3H-pyrazolo[3,4-c]quinolin-4-amine

Example 308

[0000]

  • (4-((6,8-dimethoxy-3H-pyrazolo[3,4-c]quinolin-4-yl)amino)phenyl)(morpholino)methanone

Example 309

[0000]

  • 2-(4-(4-((8-(methylsulfonyl)-3H-pyrazolo[3,4-c]quinolin-4-yl)amino)phenyl)piperazin-1-yl)ethan-1-ol

Example 310

[0000]

  • N-(1-(1-(tert-butyl)piperidin-4-yl)-1H-pyrazol-4-yl)-8-(methylsulfonyl)-3H-pyrazolo[3,4-c]quinolin-4-amine

Example 311

[0000]

  • 2-(4-((8-methoxy-2H-pyrazolo[3,4-c]quinolin-4-yl)amino)-1H-pyrazol-1-yl)-N,N-dimethylacetamide

Example 312

[0000]

  • 8-methoxy-N-(1-(pyrrolidin-3-yl)-1H-pyrazol-4-yl)-2H-pyrazolo[3,4-c]quinolin-4-amine

Example 313

[0000]

  • N-(1-(1,3-dimethoxypropan-2-yl)-1H-pyrazol-4-yl)-8-methoxy-2H-pyrazolo[3,4-c]quinolin-4-amine

Example 314

[0000]

  • 8-methoxy-N-(1-(tetrahydro-2H-pyran-3-yl)-1H-pyrazol-4-yl)-2H-pyrazolo[3,4-c]quinolin-4-amine

Example 315

[0000]

  • N-(1-(2-methoxy-2-methylpropyl)-1H-pyrazol-4-yl)-8-(methylsulfonyl)-3H-pyrazolo[3,4-c]quinolin-4-amine

Example 316

[0000]

  • 1-(4-((8-(methylsulfonyl)-3H-pyrazolo[3,4-c]quinolin-4-yl)amino)phenyl)piperidin-4-ol

Example 317

[0000]

  • 2-methyl-1-(4-((8-(methylsulfonyl)-3H-pyrazolo[3,4-c]quinolin-4-yl)amino)-1H-pyrazol-1-yl)propan-2-ol

Example 318

[0000]

  • 4-ethyl-6-((8-methoxy-2H-pyrazolo[3,4-c]quinolin-4-yl)amino)-2H-benzo[b][1,4]oxazin-3(4H)-one

Example 319

[0000]

  • 8-methoxy-N-(1-(pyridin-2-yl)-1H-pyrazol-4-yl)-2H-pyrazolo[3,4-c]quinolin-4-amine

Example 320

[0000]

  • 8-methoxy-N-(1-(1-phenylethyl)-1H-pyrazol-4-yl)-2H-pyrazolo[3,4-c]quinolin-4-amine

Example 321

[0000]

  • 8-methoxy-N-(1-(3-methylbutan-2-yl)-1H-pyrazol-4-yl)-2H-pyrazolo[3,4-c]quinolin-4-amine

Example 322

[0000]

  • 6-((8-methoxy-2H-pyrazolo[3,4-c]quinolin-4-yl)amino)-4-methyl-2H-benzo[b][1,4]oxazin-3(4H)-one

Example 323

[0000]

  • 8-(methylsulfonyl)-N-(1-(tetrahydro-2H-pyran-3-yl)-1H-pyrazol-4-yl)-2H-pyrazolo[3,4-c]quinolin-4-amine

Example 324

[0000]

  • N-(1-(3-methylbutan-2-yl)-1H-pyrazol-4-yl)-8-(methylsulfonyl)-2H-pyrazolo[3,4-c]quinolin-4-amine

Example 325

[0000]

  • 2-methyl-1-(3-methyl-4-((8-(methylsulfonyl)-2H-pyrazolo[3,4-c]quinolin-4-yl)amino)-1H-pyrazol-1-yl)propan-2-ol

Example 326

[0000]

  • 2-methyl-1-(5-methyl-4-((8-(methylsulfonyl)-2H-pyrazolo[3,4-c]quinolin-4-yl)amino)-1H-pyrazol-1-yl)propan-2-ol

Example 327

[0000]

  • 8-(methylsulfonyl)-N-(1-(pyrrolidin-3-yl)-1H-pyrazol-4-yl)-2H-pyrazolo[3,4-c]quinolin-4-amine

Example 328

[0000]

  • 4-methyl-6-((8-(methylsulfonyl)-2H-pyrazolo[3,4-c]quinolin-4-yl)amino)-2H-benzo[b][1,4]oxazin-3(4H)-one

Example 329

[0000]

  • 2-methyl-1-(4-((7-(methylsulfonyl)-3H-pyrazolo[3,4-c]quinolin-4-yl)amino)-1H-pyrazol-1-yl)propan-2-ol

Example 330

[0000]

  • 8-(methylsulfonyl)-N-(1-(pentan-3-yl)-1H-pyrazol-4-yl)-2H-pyrazolo[3,4-c]quinolin-4-amine

Example 331

[0000]

  • N-(3-(8-(methylsulfonyl)-2H-pyrazolo[3,4-c]quinolin-4-yl)amino)phenyl)acetamide

Example 332

[0000]

  • N-(2-methoxy-5-((8-(methylsulfonyl)-2H-pyrazolo[3,4-c]quinolin-4-yl)amino)phenyl)acetamide

Example 333

[0000]

  • N-(3-ethylphenyl)-8-(methylsulfonyl)-2H-pyrazolo[3,4-c]quinolin-4-amine

Example 334

[0000]

  • 2-(4-((8-(methylsulfonyl)-2H-pyrazolo[3,4-c]quinolin-4-yl)amino)-1H-pyrazol-1-yl)propanoic acid

Example 335

[0000]

  • 5-(8-(methylsulfonyl)-2H-pyrazolo[3,4-c]quinolin-4-yl)amino)-1H-pyrazole-3-carboxylic acid

Example 336

[0000]

  • 2-((8-(methylsulfonyl)-2H-pyrazolo[3,4-c]quinolin-4-yl)amino)phenol

Example 337

[0000]

  • (S)—N-(3-(2-methylpyrrolidin-1-yl)phenyl)-8-(methylsulfonyl)-2H-pyrazolo[3,4-c]quinolin-4-amine

Example 338

[0000]

  • (S)-8-methoxy-N-(3-(2-methylpyrrolidin-1-yl)phenyl)-2H-pyrazolo[3,4-c]quinolin-4-amine

Example 339

[0000]

  • 2-(4-((9-methoxy-3H-pyrazolo[3,4-c]quinolin-4-yl)amino)-1H-pyrazol-1-yl)-N,N-dimethylacetamide

Example 340

[0000]

  • N-(1-(1,3-dimethoxypropan-2-yl)-1H-pyrazol-4-yl)-9-methoxy-3H-pyrazolo[3,4-c]quinolin-4-amine

Example 341

[0000]

  • 8-(methylsulfonyl)-N-(1-(pyridin-2-yl)-1H-pyrazol-4-yl)-2H-pyrazolo[3,4-c]quinolin-4-amine

Example 342

[0000]

  • 4-ethyl-6-((8-(methylsulfonyl)-2H-pyrazolo[3,4-c]quinolin-4-yl)amino)-2H-benzo[b][1,4]oxazin-3(4H)-one

Example 343

[0000]

  • 6-((8-(methylsulfonyl)-2H-pyrazolo[3,4-c]quinolin-4-yl)amino)-2H-benzo[b][1,4]oxazin-3(4H)-one

Example 344

[0000]

  • 6-((8-(methylsulfonyl)-2H-pyrazolo[3,4-c]quinolin-4-yl)amino)-2H-benzo[b][1,4]thiazin-3(4H)-one

Example 345

[0000]

  • 7-((8-(methylsulfonyl)-2H-pyrazolo[3,4-c]quinolin-4-yl)amino)-3,4-dihydroquinolin-2(1H)-one

Example 346

[0000]

  • N1-(8-(methylsulfonyl)-2H-pyrazolo[3,4-c]quinolin-4-yl)benzene-1,2-diamine

Example 347

[0000]

  • 2-(4-((8-methoxy-2H-pyrazolo[3,4-c]quinolin-4-yl)amino)-1H-pyrazol-1-yl)propanoic acid

Example 348

[0000]

  • 7-bromo-N-(1-(tetrahydro-2H-pyran-4-yl)-1H-pyrazol-4-yl)-2H-pyrazolo[3,4-c]quinolin-4-amine

Example 349

[0000]

  • 4-((8-(methylsulfonyl)-2H-pyrazolo[3,4-c]quinolin-4-yl)amino)phenol

Example 350

[0000]

  • cyclopropyl(7-(8-(methylsulfonyl)-2H-pyrazolo[3,4-c]quinolin-4-yl)amino)-3,4-dihydroquinolin-1(2H)-yl)methanone

Example 351

[0000]

  • 4,5-dimethoxy-N1-(8-(methylsulfonyl)-2H-pyrazolo[3,4-c]quinolin-4-yl)benzene-1,2-diamine

Example 352

[0000]

  • N-(2-(4-acetylpiperazin-1-yl)-5-((8-(methylsulfonyl)-2H-pyrazolo[3,4-c]quinolin-4-yl)amino)phenyl)acetamide

Example 353

[0000]

  • N-(1-((1R,2S)-2-methoxycyclohexyl)-1H-pyrazol-4-yl)-8-(methylsulfonyl)-2H-pyrazolo[3,4-c]quinolin-4-amine

Example 354

[0000]

  • 5-((8-(methylsulfonyl)-2H-pyrazolo[3,4-c]quinolin-4-yl)amino)-2-morpholinobenzonitrile

Example 355

[0000]

  • 6-bromo-N-(1-(tetrahydro-2H-pyran-4-yl)-1H-pyrazol-4-yl)-3H-pyrazolo[3,4-c]quinolin-4-amine

Example 15

9-methoxy-N-(4-(morpholinomethyl)phenyl)-3H-pyrazolo[3,4-c]quinolin-4-amine

[0632]

4-chloro-9-methoxy-2-(4-methoxybenzyl)-2H-pyrazolo[3,4-c]quinoline (0.16 mmol) and (4-amino-phenyl)-morpholin-4-yl-methanone (2 eq., 0.3 mmol) were suspended in MeOH (dry, 3 mL) in a microwave vial (2-5 mL), HCl in dioxane (4M, 3 drops) was added. The reaction mixture was irradiated in a microwave reactor for 5 min at 140° C. The reaction mixture was evaporated and used without further purification. The residue was dissolved in TFA (3 mL). The reaction mixture was irradiated in a microwave reactor for 5 min at 140° C. The reaction mixture was concentrated and dissolved in THF (dry) LiAlH4powder was added (excess, 2 by 2 eq) until completion of reaction is observed (by LCMS). The reaction was quenched with water (1 mL per gram LiAlH4), then NaOH (ca. 15% aq., 1 mL per g LiAlH4), water (3 mL per gram LiALH4). The mixture was filtered, washed with THF, MeOH, MeCN (ca. 10 mL each). The reaction mixture was concentrated and purified by semi-preparative HPLC-MS and freeze dried from water/t-BuOH 4/1.

[0633]

exact mass: 389.2203 g/mol

[0634]

HPLC-MS: analytical method B

[0635]

rt: 2.20 min—found mass: 390.2 (m/z+H)

[0636]

The following examples were synthesized according to the protocol of Example 15:

Example 22

[0000]

  • 8-methoxy-N-(4-(4-(4-methylpiperazin-1-yl)piperidin-1-yl)methyl)phenyl)-2H-pyrazolo[3,4-c]quinolin-4-amine

Example 23

[0000]

  • 8-methoxy-N-(3-(morpholinomethyl)phenyl)-2H-pyrazolo[3,4-c]quinolin-4-amine

Example 30

[0000]

  • 9-fluoro-N-(4-(morpholinomethyl)phenyl)-3H-pyrazolo[3,4-c]quinolin-4-amine

Example 70

[0640]

8-cyclopropyl-N-(3,4-dimethoxyphenyl)-3H-pyrazolo[3,4-c]quinolin-4-amine 4-chloro-8-iodo-2-(4-methoxybenzyl)-2H-pyrazolo[3,4-c]quinoline (0.16 mmol) and 3,4-dimethoxyaniline (2 eq., 0.3 mmol) were suspended in MeOH (dry, 3 mL) in a microwave vial (2-5 mL), HCl in dioxane (4M, 3 drops) was added. The reaction mixture was irradiated in a microwave reactor for 5 min at 140° C. The reaction mixture was evaporated and used without further purification. The reaction mixture was dissolved in 4 ml toluene. Cyclopropylboronic acid (1.3 eq.), potassium phosphate (6 eq.), tricyclohexylphosphine (0.2 eq.) and Palladiumacetate (0.1 eq.) was added. The mixture was heated in a microwave reactor for 30 min at 120° C. The reaction mixture was evaporated and used without further purification. The residue was dissolved in TFA (3 mL). The reaction mixture was irradiated in a microwave reactor for 5 min at 140° C. The reaction mixture was concentrated and purified by semi-preparative HPLC-MS and freeze dried from water/t-BuOH 4/1.

[0641]

exact mass: 360.1883 g/mol

[0642]

HPLC-MS: analytical method A

[0643]

rt: 4.97 min—found mass: 361.4 (m/z+H)

[0000]

Biological Data

[0000]

SYK Activities:

[0000]

IC50 lower than 10 nM:

[0000]

Example 47; Example 55; Example 62; Example 67; Example 77; Example 114; Example 115; Example 154; Example 155; Example 172; Example 173; Example 180; Example 203; Example 211; Example 221; Example 310; Example 312; Example 327; Example 344; Example 349;

[0000]

IC50 between 10 nM and 100 nM:

[0644]

Example 48; Example 64; Example 65; Example 66; Example 80; Example 103; Example 111; Example 112; Example 113; Example 118; Example 119; Example 120; Example 143; Example 151; Example 152; Example 153; Example 158; Example 159; Example 160; Example 167; Example 168; Example 169; Example 178; Example 179; Example 182; Example 184; Example 186; Example 187; Example 189; Example 190; Example 192; Example 193; Example 195; Example 197; Example 206; Example 208; Example 236; Example 261; Example 262; Example 263; Example 264; Example 287; Example 292; Example 293; Example 295; Example 297; Example 301; Example 303; Example 309; Example 314; Example 315; Example 316; Example 317; Example 323; Example 324; Example 329; Example 332; Example 334; Example 348; Example 352; Example 354; Example 355;
IC50 between 100 nM and 1000 nM:
Example 1; Example 3; Example 6; Example 10; Example 21; Example 22; Example 46; Example 49; Example 54; Example 56; Example 57; Example 73; Example 74; Example 76; Example 78; Example 79; Example 81; Example 83; Example 85; Example 86; Example 98; Example 101; Example 102; Example 108; Example 109; Example 116; Example 117; Example 125; Example 126; Example 138; Example 141; Example 142; Example 148; Example 149; Example 156; Example 157; Example 170; Example 171; Example 175; Example 183; Example 188; Example 191; Example 196; Example 198; Example 199; Example 201; Example 204; Example 218; Example 224; Example 226; Example 227; Example 228; Example 229; Example 231; Example 232; Example 233; Example 246; Example 247; Example 248; Example 249; Example 253; Example 256; Example 257; Example 258; Example 259; Example 285; Example 286; Example 288; Example 289; Example 290; Example 291; Example 294; Example 298; Example 299; Example 300; Example 302; Example 307; Example 311; Example 313; Example 321; Example 328; Example 331; Example 333; Example 339; Example 340; Example 341; Example 353;
LRRK2 Activities:
IC50 lower than 10 nM:
Example 40; Example 47; Example 77; Example 102; Example 103; Example 114; Example 115; Example 116; Example 117; Example 118; Example 120; Example 142; Example 143; Example 154; Example 155; Example 156; Example 157; Example 158; Example 160; Example 178; Example 181; Example 182; Example 183; Example 184; Example 185; Example 186; Example 187; Example 193; Example 195; Example 199; Example 201; Example 203; Example 204; Example 208; Example 211; Example 213; Example 214; Example 218; Example 219; Example 220; Example 223; Example 224; Example 226; Example 227; Example 233; Example 247; Example 253; Example 254; Example 255; Example 256; Example 257; Example 261; Example 262; Example 263; Example 264; Example 265; Example 269; Example 270; Example 286; Example 287; Example 299; Example 301; Example 309; Example 310; Example 324; Example 327; Example 340; Example 348; Example 353; Example 37; Example 92; Example 132; Example 179; Example 198; Example 206; Example 221; Example 236; Example 258; Example 259; Example 180;
IC50 between 10 nM and 100 nM:
Example 1; Example 3; Example 6; Example 9; Example 14; Example 15; Example 16; Example 17; Example 18; Example 19; Example 20; Example 21; Example 26; Example 27; Example 32; Example 34; Example 38; Example 39; Example 43; Example 44; Example 46; Example 48; Example 49; Example 55; Example 57; Example 59; Example 61; Example 62; Example 63; Example 64; Example 65; Example 66; Example 67; Example 68; Example 69; Example 71; Example 73; Example 74; Example 76; Example 78; Example 79; Example 80; Example 81; Example 83; Example 84; Example 85; Example 93; Example 98; Example 101; Example 108; Example 109; Example 111; Example 112; Example 113; Example 124; Example 125; Example 133; Example 138; Example 141; Example 148; Example 149; Example 151; Example 152; Example 153; Example 168; Example 169; Example 172; Example 173; Example 175; Example 188; Example 189; Example 190; Example 191; Example 192; Example 196; Example 197; Example 200; Example 205; Example 207; Example 209; Example 210; Example 215; Example 216; Example 217; Example 222; Example 225; Example 228; Example 229; Example 230; Example 231; Example 232; Example 235; Example 237; Example 241; Example 242; Example 243; Example 244; Example 246; Example 248; Example 249; Example 266; Example 271; Example 272; Example 273; Example 274; Example 275; Example 276; Example 279; Example 281; Example 285; Example 288; Example 289; Example 290; Example 292; Example 293; Example 296; Example 297; Example 298; Example 300; Example 305; Example 308; Example 311; Example 312; Example 313; Example 314; Example 315; Example 316; Example 317; Example 319; Example 321; Example 323; Example 328; Example 331; Example 332; Example 333; Example 334; Example 339; Example 342; Example 343; Example 344; Example 349; Example 352;
IC50 between 100 nM and 1000 nM:
Example 2; Example 4; Example 5; Example 7; Example 10; Example 11; Example 12; Example 13; Example 22; Example 23; Example 24; Example 25; Example 28; Example 29; Example 30; Example 31; Example 33; Example 35; Example 36; Example 45; Example 50; Example 53; Example 56; Example 58; Example 60; Example 72; Example 86; Example 87; Example 88; Example 89; Example 90; Example 91; Example 94; Example 95; Example 96; Example 97; Example 99; Example 100; Example 104; Example 105; Example 106; Example 107; Example 119; Example 122; Example 126; Example 127; Example 128; Example 129; Example 130; Example 131; Example 134; Example 135; Example 136; Example 137; Example 139; Example 140; Example 144; Example 145; Example 146; Example 147; Example 159; Example 162; Example 164; Example 167; Example 170; Example 171; Example 174; Example 194; Example 202; Example 234; Example 239; Example 240; Example 250; Example 251; Example 267; Example 268; Example 282; Example 302; Example 303; Example 304; Example 306; Example 307; Example 318; Example 320; Example 322; Example 325; Example 326; Example 329; Example 335; Example 336; Example 337; Example 347; Example 350;

Как компенсировать расходы
на инновационную разработку
Похожие патенты