патент
№ US 0009757818
МПК B23K35/36

Thermally decomposable polymer compositions for forming microelectronic assemblies

Авторы:
W. C. Peter Tsang Andrew Bell Hongshi Zhen
Все (12)
Правообладатель:
Все (3)
Номер заявки
15298824
Дата подачи заявки
20.10.2016
Опубликовано
12.09.2017
Страна
US
Дата приоритета
16.12.2025
Номер приоритета
Страна приоритета
Как управлять
интеллектуальной собственностью
Реферат

[0000]

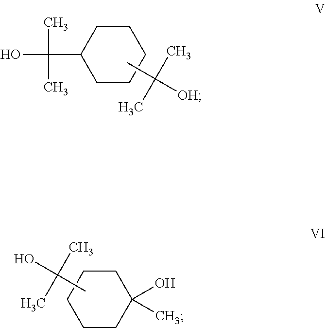
A thermally decomposable polymer composition comprising a polyester of a dicarboxylic acid and a tertiary cyclohexanediols of Formulae V and VI are disclosed, which are useful in the forming of microelectronic assemblies:

[0000]


a representative example of a dicarboxylic acid is an oxalic acid and representative example of thermally decomposable polyester is the polyester of the formula:

[0000]


wherein m is at least about 100.

Формула изобретения

1. A sacrificial polymer composition comprising:

a thermally decomposable polymer comprising repeating units derived from an ester of a dicarboxylic acid selected from the group consisting of oxalic acid, malonic acid, succinic acid, glutaric acid and adipic acid and a difunctional tertiary alcohol selected from the group consisting of a compound of formula V and a compound of formula VI:

a thermally activated base generator, said thermally activated base generator comprising a cation selected from formula 1, 2, or 3:

where each Reis independently selected from hydrogen, a methyl or ethyl group, a linear, branched or cyclic C3-C12alkyl group; a linear, branched or cyclic C3-C12heteroalkyl group having from 1 to 4 heteroatoms independently selected from nitrogen, oxygen or sulfur; a C6-C10aryl group; a C5-C10heteroaryl group having from 1 to 4 heteroatoms independently selected from nitrogen, oxygen or sulfur; or where two R1groups are taken together with any intervening atoms to form one or more cyclic alkyl or heteroalkyl groups as previously defined, and where for formula 1, at least one R1is hydrogen; and

a carrier solvent selected from acetophenone, α-angelicalactone, γ-butyrolactone, n-butyl acetate, diethylene glycol dimethyl ether, ethyl 3-ethoxypropionate, ethyl lactate, 2-heptanone, methyl isobutyl ketone, γ-octanoic lactone and combinations thereof.

2. The composition according to claim 1, wherein said difunctional tertiary alcohol is:

3. The composition according to claim 1, wherein said difunctional tertiary alcohol is:

4. The composition according to claim 1, wherein said polymer is of the formula:

wherein m is at least about 100.

5. The composition of claim 1, which comprises one or more additives of the formula 1, 2 or 3 selected from tetrabutylammonium acetate (Bu4N OAc), tetraethylammonium tosylate (Et4N OTs), pyridinium triflate (PyH OTf) or a compound of the formula:

Описание

CROSS REFERENCE TO RELATED APPLICATIONS

[0001]

This application is a divisional of U.S. application Ser. No. 14/647,330, filed May 26, 2015, now allowed, which is a national phase application of PCT Application No. PCT/US2013/074702, filed Dec. 12, 2013, and published as International Publication No. WO 2014/099614 A1 on Jun. 26, 2014, and which claims the benefit of U.S. Provisional Application No. 61/737,954, filed Dec. 17, 2012, all of which are incorporated herein by reference in their entirety.

TECHNICAL FIELD

[0002]

The present invention relates generally to polymer compositions useful in the forming of microelectronic assemblies, and more specifically to such compositions that encompass a thermally decomposable polymer and that provide both tackiness and solder fluxing.

BACKGROUND

[0003]

While assembled electronic circuitry has been dramatically reduced in size the use of soldering as a method for forming both an electrical and fixable attachment of electronic components to a substrate has remained quite prevalent. However, such attachments generally require that the electronic components be held in desired positions prior to completing the aforementioned fixable attachments.

[0004]

A number of solutions for holding components in such desired positions have been developed and used with some success. For example, it is known to use a tack agent to temporarily secure such components in desired positions while solder bond or solder ball connections are made through the application of heat. However, generally such tack agent remains as a contaminant that requires the assembly to be subjected to an extra processing step designed to remove such contamination. For some of the aforementioned solutions, a fluxing agent is provided separately from the tack agent, for example by applying such fluxing agent in a distinct application step, separate from the application of the tack agent. In other solutions the fluxing agent is provided in a combination with the tack agent, for example where a solder paste is used as the tack agent and fluxing agent is either added thereto or pre-reacted therewith.

[0005]

In still other solutions, a tack agent and a dicarboxylic acid fluxing agent additive are admixed where upon soldering, the tack agent either volatilizes or decomposes (see, U.S. Pat. No. 5,177,134). However, as a dicarboxylic acid fluxing agent is taught, it is likely that even small amounts of contamination from such dicarboxylic acid fluxing agent can remain and cause reliability issues if a separate cleaning step is not employed. In US Published Application No. 2009/0294515, embodiments where either specialized process equipment is required for fluxless solder bonding or a carboxylic acid fluxing agent are employed. Therefore new solutions that eliminate the need for such specialized equipment by providing both tacking properties and fluxing to achieve desirable solder reflow are needed.

DETAILED DESCRIPTION

[0006]

Exemplary embodiments in accordance with the present invention are described with reference to the Examples and Claims provided hereinafter. Such embodiments encompassing a polymer composition that provides both tacking properties and fluxing, as well as methods for using such polymer compositions for forming microelectronic and/or optoelectronic devices. Various modifications, adaptations or variations of such exemplary embodiments described herein may become apparent to those skilled in the art as such are disclosed. It will be understood that all such modifications, adaptations or variations that rely upon the teachings of the present invention, and through which these teachings have advanced the art, are considered to be within the scope of the present invention.

[0007]

As used herein, the articles “a,” “an,” and “the” include plural referents unless otherwise expressly and unequivocally limited to one referent.

[0008]

As used herein, the terms “microelectronic device” or “microelectronic assembly” will be understood to be inclusive of the terms “optoelectronic device” or “optoelectronic assembly”.

[0009]

As used herein, the term “thermal base generator” and similar terms, such as, “thermally activated base generator” and “thermal initiator” means a material that generates one or more bases after heating to an effective temperature.

[0010]

As used herein the terms “formulation” and “composition” are used interchangeably.

[0011]

As used herein, the terms “group” or “groups” when used in relation to a chemical compound and/or representative chemical structure/formula, mean an arrangement of one or more atoms.

[0012]

As used herein, molecular weight values of polymers, such as weight average molecular weights (Mw) and number average molecular weights (Mn), are determined by gel permeation chromatography using polystyrene standards for calibration.

[0013]

As used herein, polydispersity index (PDI) values represent a ratio of the weight average molecular weight (Mw) to the number average molecular weight (Mn) of the polymer (i.e., Mw/Mn).

[0014]

As used herein, and unless otherwise stated, polymer glass transition temperature (Tg) values are determined by differential scanning calorimetry, in accordance with American Society for Testing and Materials (ASTM) method number D3418.

[0015]

Unless otherwise indicated, all ranges or ratios disclosed herein are to be understood to encompass any and all subranges or subratios subsumed therein. For example, a stated range or ratio of “1 to 10” should be considered to include any and all subranges between (and inclusive of) the minimum value of 1 and the maximum value of 10; that is, all subranges or subratios beginning with a minimum value of 1 or more and ending with a maximum value of 10 or less, such as but not limited to, 1 to 6.1, 3.5 to 7.8, and 5.5 to 10.

[0016]

Other than in the operating examples, or where otherwise specifically indicated, all numbers expressing quantities of ingredients, reaction conditions, and so forth used in the specification and claims are to be understood as being modified in all instances by the term “about” to take into account the uncertainties associated with determining such values.

[0017]

As used herein the term “hydrocarbyl”, and similar terms, such as “hydrocarbyl group” or “hydrocarbylene”, means a radical of a group that contains carbon and hydrogen, non-limiting examples being alkyl, cycloalkyl, polycycloalkyl, aryl, aralkyl, alkaryl, alkenyl, cycloalkenyl, polycycloalkenyl, alkynyl, cycloalkynyl and polycycloalkynyl.

[0018]

The term “halohydrocarbyl” as used herein means a hydrocarbyl group where at least one hydrogen, covalently bonded to a carbon, has been replaced by a halogen. The term “perhalocarbyl” as used herein means a hydrocarbyl group where all such hydrogens have been replaced by a halogen.

[0019]

In addition, the term “heterohydrocarbyl” as used herein means a hydrocarbyl group where at least one carbon atom has been replaced with another atom such as oxygen, nitrogen, silicon and/or sulfur.

[0020]

As used herein, the term “alkyl” means a linear or branched acyclic or cyclic saturated hydrocarbon group having a carbon chain length of from C1to C25. Nonlimiting examples of suitable alkyl groups include methyl, ethyl, propyl, isopropyl, butyl, isobutyl, sec-butyl, tert-butyl, pentyl, neopentyl, hexyl, heptyl, octyl, nonyl, decyl, undecyl, dodecyl, tridecyl, tetradecyl, pentadecyl, hexadecyl, heptadecyl, octadecyl, nonadecyl, isocanyl, cyclopropyl, cyclobutyl, cyclopentyl, cyclohexyl, cycloheptyl and cyclooctyl. As used herein, the term “heterocycloalkyl” means a cycloalkyl group in which one or more carbons of the cyclic ring has been replaced with another atom, such as oxygen, nitrogen, silicon and/or sulfur. Representative heterocycloalkyl groups include but are not limited to tetrahydrofuranyl, tetrahydropyranyl, morpholinyl, and piperidinyl.

[0021]

As used herein, the term “alkylene” means a bivalent alkyl group, as described above, having a carbon chain length of from C1to C25, Representative alkylene groups include but are not limited to linear alkylene groups such as methylene (—CH2—), ethylene (—CH2—CH2—), propylene (—CH2—CH2—CH2—), and the like. Such groups include various branched alkylene groups, such as (—CHR—), (—CR2—), (—CHR—CH2—), (—CHR—CHR—), (—CR2—CH2—), (—CHR—CR2—), (—CHR—CH2—CH2—), and the like, where R is any hydrocarbyl or other suitable substituent as described herein.

[0022]

As used herein, the term “aryl” means aromatic groups that include, without limitation, phenyl, biphenyl, benzyl, xylyl, naphthalenyl, anthracenyl, and the like. As used herein, the term “heteroaryl” means an aryl group in which one or more carbons of the aromatic ring or rings has been replaced with a hetero atom, such as oxygen, nitrogen, silicon and/or sulfur. Representative heteroaryl groups include but are not limited to furanyl, pyranyl and pyridinyl.

[0023]

The terms “alkaryl” and “aralkyl” are used herein interchangeably and mean a linear or branched acyclic alkyl group substituted with at least one aryl group, for example, phenyl, and having an alkyl carbon chain length of C1to C25. It will further be understood that the above acyclic alkyl group can be a haloalkyl or perhaloalkyl group.

[0024]

As used herein, the term “alkenyl” means a linear or branched acyclic or cyclic hydrocarbon group having one or more double bonds and having an alkenyl carbon chain length of C2to C25. Non-limiting examples of alkenyl groups include, among others, vinyl, allyl, propenyl, butenyl, pentenyl, hexenyl, heptenyl, octenyl, nonenyl, decenyl, undecenyl, dodecenyl, tridecenyl, tetradecenyl, pentadecenyl, hexadecenyl, heptadecenyl, octadecenyl, nonadecenyl, and isocenyl, and the like.

[0025]

As used herein, the term “alkynyl” means a linear or branched acyclic or cyclic hydrocarbon group having one or more carbon-carbon triple bonds and having an alkynyl carbon chain length of C2to C25. Representative alkynyl groups, include but are not limited to, ethynyl, 1-propynyl, 2-propynyl, 1-butynyl, 2-butynyl, pentynyl, heptynyl, octynyl, nonynyl, decynyl, undecynyl, dodecynyl, tridecynyl, tetradecynyl, pentadecynyl, hexadecynyl, heptadecynyl, octadecynyl, nonadecynyl, isocynyl, and the like.

[0026]

As used herein, recitations of “linear or branched” groups, such as linear or branched alkyl, will be understood to include a methylene group, groups that are linear, such as linear C2-C25alkyl groups, and groups that are appropriately branched, such as branched C3-C25alkyl groups.

[0027]

The features that characterize embodiments of the present invention are pointed out with particularity in the claims, which form a part of this disclosure. These and other features of such embodiments, their operating advantages and uses will be more fully understood from the description of such embodiments herein below.

[0028]

Embodiments in accordance with the present invention provide sacrificial polymer compositions that encompass, among other things, the aforementioned sacrificial polymer, a solvent and an optional thermally activated base generator additive. With regard to the sacrificial polymer, these polymers encompass both commercially available poly(alkylene carbonates) (e.g. polyethylene carbonate and polypropylene carbonate from Novomer, Inc. of Waltham Mass., and polyethylene carbonate, polypropylene carbonate, polybutylene carbonate, polycyclohexylene carbonate and a polybutylene carbonate/polycyclohexylene carbonate blend from Empower Materials, Inc., of New Castle, Del.), as well as polyoxalates and other poly(dicarboxylic acid esters) and polymers derived from polycyclic 2,3-diol monomers in accordance with any of Formulae A-G, A1-F1 and D1a-F1a shown below. Such polymers referred to as polynorbornanediol carbonates.

[0029]

[0030]

For each monomer represented by Formulae A, B and C, n is independently 0, 1 or 2, each of R1, R2, R3and R4is independently selected from hydrogen or a hydrocarbyl group containing, without limitation, from 1 to 25 carbon atoms, each of R5and R6are independently selected from —(CH2)p—OH, where p is 0, 1, 2 or 3, and each of X and X′ is independently selected from —CH2—, —CH2—CH2— and —O—, where each X′ is, if present, oriented the same or opposite the orientation of X. For some embodiments in accordance with the present invention, p is 1, 2 or 3 for at least one of R5and R6. In some embodiments of the present invention, the sum of the p for R5and p for R6is either 1 or 3.

[0031]

As shown in Formulae A, B and C, each X group is depicted as extending upward out of the page. With Formula A, R5and R6are each also depicted as extending upward out of the page, and as such are cis- to one another and are exo-relative to the X group. Formula A, therefore is referred to as a polycyclic cis-exo 2,3-diol monomer. In Formula B, R5and R6are each depicted as extending downward into the page, and as such are cis- to one another and are endo-relative to the X group. Formula B, therefore, is referred to as a polycyclic cis-endo 2,3-diol monomer. For Formula C, R5is depicted as extending upward out of the page and is exo-relative to the X group, R6is depicted as extending downward into the page and is therefore endo-relative to the X group; additionally, R5and R6are trans-relative to one another. Formula C, therefore, is referred to as a polycyclic endo/exo 2,3-diol monomer or a polycyclic trans 2,3-diol monomer.

[0032]

Some of the polynorbornanediol carbonate embodiments as described above can encompass repeating units derived from polycyclic 2,3-diols selected from each of Formulae A, B and C or selected from any one or two of such formulae.

[0033]

When such a polynorbornanediol carbonate embodiment encompasses repeating units derived from two polycyclic 2,3-diol monomers represented by and selected from Formulae A, B and C, such embodiments will be understood to include mole percent ratios where any single mole percent is 1 and where any other single mole percent is 99. For example, the mole percent ratio of such repeating units include, but are not limited to 1 to 99, 10 to 90, 30 to 70, or any other subratio subsumed therein provided that the sum of the mole percents of such repeating units is 100 mole percent.

[0034]

Some of the polynorbornanediol carbonate embodiments of the present invention encompass monomers represented by and selected from each of Formula A, Formula B and Formula C. Such embodiments will be understood to include mole percent ratios where any single mole percent is 1 and where any other single mole percent is 98. For example, such mole percent ratios including, but are not limited to 1 to 1 to 98, 10 to 10 to 80, and 33.33 to 33.33 to 33.33, or any other subratio subsumed therein, provided that the sum of the mole percents is 100 mole percent.

[0035]

Therefore, it will be understood that the polynorbornanediol carbonate embodiments in accordance with the present invention can encompass repeating units of any one, two or three of the above described monomers represented by Formulae A, B and C. Further, it will be understood that R5and R6can be independently selected from —(CH2)p—OH, where p is 0, 1, 2 or 3. In some embodiments of the present invention, the sum of the p for R5and p for R6is either 1 or 3.

[0036]

Still further, it will be understood that for any of the aforementioned polynorbornanediol carbonate embodiments of the present invention, at least one of R1-R4of any one or more repeat units encompassed therein is a group independently selected from alkyl, cycloalkyl, heteroalkyl, heterocycloalkyl, aryl, heteroaryl and aralkyl, and the others of R1-R4, if any, that are not selected from such non-hydrogen groups, are each hydrogen. Examples of alkyl, cycloalkyl, heteroalkyl, heterocycloalkyl, aryl, heteroaryl and aralkyl groups from which each of R1-R4can be selected include, but are not limited to, those classes and examples as recited previously herein, which can optionally include one or more further substituents, such as, but not limited to: halohydrocarbyl substituents, such as but not limited to C1-C25linear or branched perfluoro alkyl groups, such as but not limited to, —CF3; carboxylic acid esters, such as but not limited to —COOR′, where R′ is a hydrocarbyl group; and ether groups, such as but not limited to —OR″, where R″ is a hydrocarbyl group.

[0037]

Further still, it will be understood that in some polynorbornanediol carbonate embodiments in accordance with the present invention repeating units are derived from the monomers represented by Formulae A, B and C, where n is 0; X is methylene, three of R1-R4, are each hydrogen; and one of R1-R4is both independently selected from an alkyl, cycloalkyl, heteroalkyl, heterocycloalkyl, aryl, heteroaryl or aralkyl group, and oriented exo relative to X. For purposes of illustration, such monomers can be represented by the following Formulae A1, B1 and C1.

[0038]

[0039]

Additionally, some polynorbornanediol carbonate embodiments in accordance with the present invention, encompasses repeat units derived from: (a) polycyclic 2,3-diol monomers represented by one or more of Formulae A, A1, B, B1, C and/or C1; and (b) one or more further diol monomers that are other than polycyclic 2,3-diol monomers represented by Formulae A, A1, B, B1, C and/or C1. Such further diol monomers, as will be described further herein, include, but are not limited to: (i) polycyclic diol monomers represented by at least one of Formulae D, E, F and G; (ii) cyclic diol monomers represented by at least one of Formulae I-XII; (iii) polycyclic diol monomers represented by at least one of Formulae XIIa-XIIc; (iv) further optional diol monomers, such as hydrocarbyls having two or more hydroxyl groups; and combinations thereof.

[0040]

Polynorbornanediol carbonate embodiments according to the present invention, encompass at least one repeat units derived from one or more of the polycyclic 2,3-diol monomers (a) represented by Formulae A-G, A1-F1 and D1a-F1a disclosed above and below. Additionally such polynorbornanediol carbonates can encompass one or more other diols (b) such as those represented by Formulae I-XIIc, disclosed below. Any one of the repeat units of such polycarbonates can be present in an amount of from 1 to 99 mole percent, or 5 to 95 mole percent, or 10 to 90 mole percent. The mole percents in each case being based on the total moles of repeating units derived from polycyclic 2,3-diol monomers (a), and other diols (b), provided that the sum of mole percents of repeating units is 100 mole percent.

[0041]

Such other diols (b) can be used for purposes of modifying the physical properties of the resulting polycarbonate polymer. For example, such other diols (b) can provide the resulting polycarbonate polymer with weak links that render the polycarbonate polymer more susceptible to depolymerization in the presence of an appropriate acid or base. Alternatively, or in addition to providing weak links, such other diols (b) can modify the Tgand/or the solubility of the resulting polycarbonate polymer.

[0042]

Some polymer embodiments of the present invention include repeat units derived from polycyclic diol monomers represented by the following Formulae D, E and F.

[0043]

[0044]

Independently for each further polycyclic diol monomer represented by Formulae D, E and F: m is 0, 1 or 2; Z and Z′ are each independently selected from —CH2—, —CH2—CH2— and —O—; Z* is —CH—; R7, R8, R9and R10are in each case independently selected from hydrogen, and a hydrocarbyl group; R11and R12are in each case independently selected from —(CH2)p—OH, where p for R11and R12is in each case independently selected from 0, 1, 2 or 3; and each Z′ is, if present, oriented the same or opposite the orientation of Z or Z*, respectively.

[0045]

With Formulae D, E and F, each Z group and Z* group is depicted as extending upward out of the page. With Formula D, each Z′, if present, has an orientation, independently for each m, that is the same or opposite relative to the orientation of Z. With Formulae E and F, each Z′, if present, has an orientation, independently for each m, that is the same or opposite relative to the orientation of Z*.

[0046]

The hydrocarbyl groups from which R7-R19can each be independently selected include, but are not limited to, those classes and examples recited previously herein. For each of Formulae D-F, in embodiments of the present invention, at least one of R7-R10is a group independently selected from an alkyl, cycloalkyl, heteroalkyl, heterocycloalkyl, aryl, heteroaryl and aralkyl group, and the other R7-R10group(s), if any, that are not selected from such non-hydrogen groups, are each hydrogen. Examples of alkyl, cycloalkyl, heteroalkyl, heterocycloalkyl, aryl, heteroaryl and aralkyl groups from which each of R7-R10can be selected include, but are not limited to, those classes and examples as recited previously herein with regard to R1-R4.

[0047]

In further embodiments, for each of Formulae D-F: m is 0; three of R7-R10are each hydrogen; and one of R7-R10is independently selected from alkyl, cycloalkyl, heteroalkyl, heterocycloalkyl, aryl, heteroaryl and aralkyl, and is oriented exo relative to Z or Z*. For purposes of illustration, with m=0, Z being —CH2—, R7, R8and R9each being hydrogen, R10being a non-hydrogen exo group, R11and R12each being —CH2OH for Formula D and —OH for Formulae E and F, Formulae D-F can be represented by the following Formulae D1, E1 and F1. For purposes of further illustration, with m=0, Z being —CH2—, R8, R9and R10each being hydrogen, R7being a non-hydrogen exo group, R11and R12each being —CH2OH for Formula D and —OH for Formulae E and F, Formulae D-F can be represented by the following Formulae D1a, E1a and F1a. It will be understood, that unless specifically stated, all Formulae presented herein are inclusive of the enantiomeric, and diastereomeric analogs thereof.

[0048]

[0049]

It should be noted that Formulae D, D1 and D1a represent spiro diol monomers in that each —(CH2)p—OH or —CH2—OH group is covalently bonded to the same carbon of the polycyclic structure.

[0050]

Some other polymer embodiments in accordance with the present invention include repeat units derived from polycyclic diol monomers represented by the following Formula G.

[0051]

[0052]

With the polycyclic diol represented by Formula G, Z, R11and R12are each as described previously herein with regard to Formulae D-F.

[0053]

Still other embodiments in accordance with the present invention can also include polymers formed from cyclic and acyclic diol monomers represented by the following Formulae I through XII.

[0054]

[0055]

For Formulae X and XI, R13is independently selected from C1-C6alkylene, such as but not limited to —CH2—, —CH2—CH2— and C3-C6linear alkylene or C3-C6branched alkylene.

[0056]

Additional polymer embodiments of the present invention include repeat units derived from the polycyclic monomers represented by Formulae XIIa, XIIb and XIIc.

[0057]

[0058]

Still further polyol monomers useful for embodiments in accordance with the present invention include, but are not limited to, hydrocarbyls having two or more hydroxyl groups, such as but not limited to 2, 3 or 4 hydroxyl groups. Examples of such further diol monomers include, but are not limited to: methyl, ethyl, C3-C25linear or branched alkylene diols, such as, 1,2-ethylenediol, 1,3-propylenediol and 1,2-propylenediol; and polyalkyleneglycols, such as di-, tri-, tetra- and higher ethyleneglycols, di-, tri, tetra- and higher propyleneglycols, and polytetrahydrofuran. Optional polyol monomers having more than two hydroxyl groups are typically present in small amounts, such as but not limited to less than 10 mole percent, or less than 5 mole percent, based on the total mole percent of hydroxyl functional monomers. Examples of polyol monomers having more than two hydroxyl groups include, but are not limited to, trimethylolpropane, pentaerythritol and di-trimethylolpropane.

[0059]

As previously mentioned, some embodiments in accordance with the present invention encompass commercially available alkylenecarbonate polymers (also referred to as poly(alkylene carbonates)) that are not derived from polyol monomers represented by any of the aforementioned formulae. Rather, such commercially available alkylenecarbonate polymers are represented by Formula M, shown below:

[0060]

[0061]

Where each Rais independently hydrogen or an optionally substituted group selected from the group consisting of a C1to C30aliphatic; C1to C30heteroaliphatic having 1-4 heteroatoms independently selected from the group consisting of nitrogen, oxygen, silicon and/or sulfur; 6- to 10-membered aryl; 5- to 10-membered heteroaryl having 1-4 heteroatoms independently selected from nitrogen, oxygen, silicon and/or sulfur; and 3- to 7-membered heterocyclic having 1-3 heteroatoms independently selected from nitrogen, oxygen, silicon and/or sulfur; and each of Rb, Rcand Rdis independently hydrogen or an optionally substituted group selected from the group consisting of C1to C12aliphatic; C1to C12heteroaliphatic having 1-4 heteroatoms independently selected from the group consisting of nitrogen, oxygen, silicon and/or sulfur; 6- to 10-membered aryl; 5- to 10-membered heteroaryl having 1-4 heteroatoms independently selected from nitrogen, oxygen, silicon and/or sulfur; and 3- to 7-membered heterocyclic having 1-3 heteroatoms independently selected from the group consisting of nitrogen, oxygen, silicon and/or sulfur; where any of (Raand Rc). (Rcand Rd) and (Raand Rb) can be taken together with intervening atoms to form one or more optionally substituted rings that can optionally contain one or more heteroatoms.

[0062]

Still further, some embodiments in accordance with the present invention are polymers that encompass repeating units derived from dicarboxylic acid ester. Such repeating units include, without limitation, esters of oxalic acid, malonic acid, succinic acid, glutaric acid, adipic acid, and the like. A few of such polyoxalate and polymalonate polymers are disclosed in U.S. Pat. No. 5,412,062, all of such polymers can be employed in this embodiment.

[0063]

Additionally, polymer embodiments that encompass repeating units derived from diglycolic acid esters have also been found to be useful. It is surprising to note that such diglycolic acid esters decompose readily when heated and also surprisingly provide fluxing property, thus these materials are self-fluxing sacrificial compositions. Further, as all of the small molecules generated in such a thermal process are expected to be volatile, it is believed that such polymers can deliver a sacrificial, self-fluxing composition. Therefore, the addition of an additive directed to providing fluxing can be reduced or even eliminated. Hence it will be understood that polymer embodiments that encompass repeating units derived from the above described dicarboxylic acid esters or diglycolic acid esters that further encompass repeating units derived from difunctional tertiary alcohols, such as the exemplary structures of Formulae V, VI and X shown above, are within the scope of the present invention, for example, a diglycolate polyester of formula K, where n is at least about 20 and can range from about 20 to 100 or more. Similarly, a representative polyoxalate ester, L is also shown, where m is at least about 100 and can range from about 100 to 500 or more. Further, it will be understood that some of such embodiments can also encompass a thermal base generator while other appropriate embodiments do not. That is to say that advantageously it has now been found that certain of the polymer compositions as described herein, such as for example, polydiglycolates, can self-flux and therefore can be used as such without the need for any other additives including thermal base generators or thermal acid generators. On the other hand, sacrificial compositions encompassing certain of the polyoxalates may need such additional additives.

[0064]

[0065]

Advantageously, it has now been found that embodiments containing the polydiglycolate, and/or polyoxalate compositions provide several hitherto unattainable advantages. Such non-limiting advantages include, without any limitation the following: a) the aforementioned compositions are generally neutral non-corrosive compositions, thus avoiding corrosive environments as generally encountered with most of the currently available compositions; b) even when additives are needed which are not free acids or bases but are active fluxing agents generated on demand (latent agents); and c) most advantageously the polydiglycolates are self-fluxing as discussed above. It is believed that there are additional advantages that can be obtained from these compositions which are readily apparent and appreciated by one skilled in the art.

[0066]

For non-limiting, illustrative purposes only, Synthetic Schemes 1-7 are provided to demonstrate art-recognized methods for preparing the various polycyclic 2,3-diol monomers discussed above. Thus the polycyclic cis-exo 2,3-diol monomer represented by Formula A can be prepared in accordance with the following Synthetic Scheme 1, in which n is 0, R1-R4are each hydrogen, X is —CH2—, and R5and R6are each —CH2OH.

[0067]

[0068]

With reference to Synthetic Scheme 1, endo-2,3-norbornene dicarboxylic acid anhydride (also referred to as endo-nadic anhydride) (1a) is exposed to a temperature of 140 to 210° C. for a sufficient period of time, such as from 15 minutes after melting to 24 hours, followed by repeated recrystallizations, such as 2 or more recrystallizations from ethyl acetate or toluene, so as to form 5-norbornene-cis-exo-2,3-dicarboxylic acid anhydride (also referred to as exo-nadic anhydride) (1b). Hydrogenation of exo-nadic anhydride (1b) in the presence of hydrogen gas (H2), palladium catalyst supported on porous carbon (Pd/C), and ethyl acetate (EtOAc), results in formation of exo-2,3-norbornane dicarboxylic acid anhydride (1c). Reduction of exo-2,3-norbornane dicarboxylic acid anhydride (1c) in the presence of lithium aluminum hydride (LiAlH4) and ethyl ether (Et2O) results in formation of cis-exo-2,3-norbornanedimethanol (A2).

[0069]

The polycyclic cis-endo 2,3-diol monomer represented by Formula B can be prepared in accordance with the following Synthetic Scheme 2, in which n is 0, R1-R4are each hydrogen, X is —CH2—, and R5and R6are each —CH2OH.

[0070]

[0071]

With reference to Synthetic Scheme 2, 5-norbornene-cis-endo-2,3-dicarboxylic acid anhydride (also referred to as endo-nadic anhydride) (1a) is hydrogenated in the presence of hydrogen gas (H2), palladium catalyst supported on porous carbon (Pd/C), and ethyl acetate (EtOAc), results in formation of endo-2,3-norbornane dicarboxylic acid anhydride (2a). Reduction of endo-2,3-norbornane dicarboxylic acid anhydride (2a) in the presence of lithium aluminum hydride (LiAlH4) and ethyl ether (Et2O) results in formation of cis-endo-2,3-norbornanedimethanol (B2).

[0072]

The polycyclic trans-endo-exo-2,3-diol monomer represented by Formula C can be prepared in accordance with the following Synthetic Scheme 3, which is provided for purposes of non-limiting illustration, in which n is 0, R1-R4are each hydrogen, X is —CH2—, and R5and R6are each —CH2OH.

[0073]

[0074]

With reference to Synthetic Scheme 3, cyclopentadiene (3a) and diethyl fumarate (3b) are reacted together by means of Diels-Alder reaction at reduced temperature, such as 0° C., so as to form trans-endo-exo-2,3-norbornene bis(ethylcarboxylate) (3c). Hydrogenation of trans-endo-exo-2,3-norbornene bis(ethylcarboxylate) (3c) in the presence of hydrogen gas (H2), palladium catalyst on porous carbon (Pd/C), and ethyl acetate (EtOAc), results in formation of trans-endo-exo-2,3-norbornane bis(ethylcarboxylate) (3d). Reduction of trans-endo-exo-2,3-norbornane bis(ethylcarboxylate) (3d) in the presence of lithium aluminum hydride (LiAlH4) and ethyl ether (Et2O) results in formation of trans-exo-endo-2,3-norbornanedimethanol (C2).

[0075]

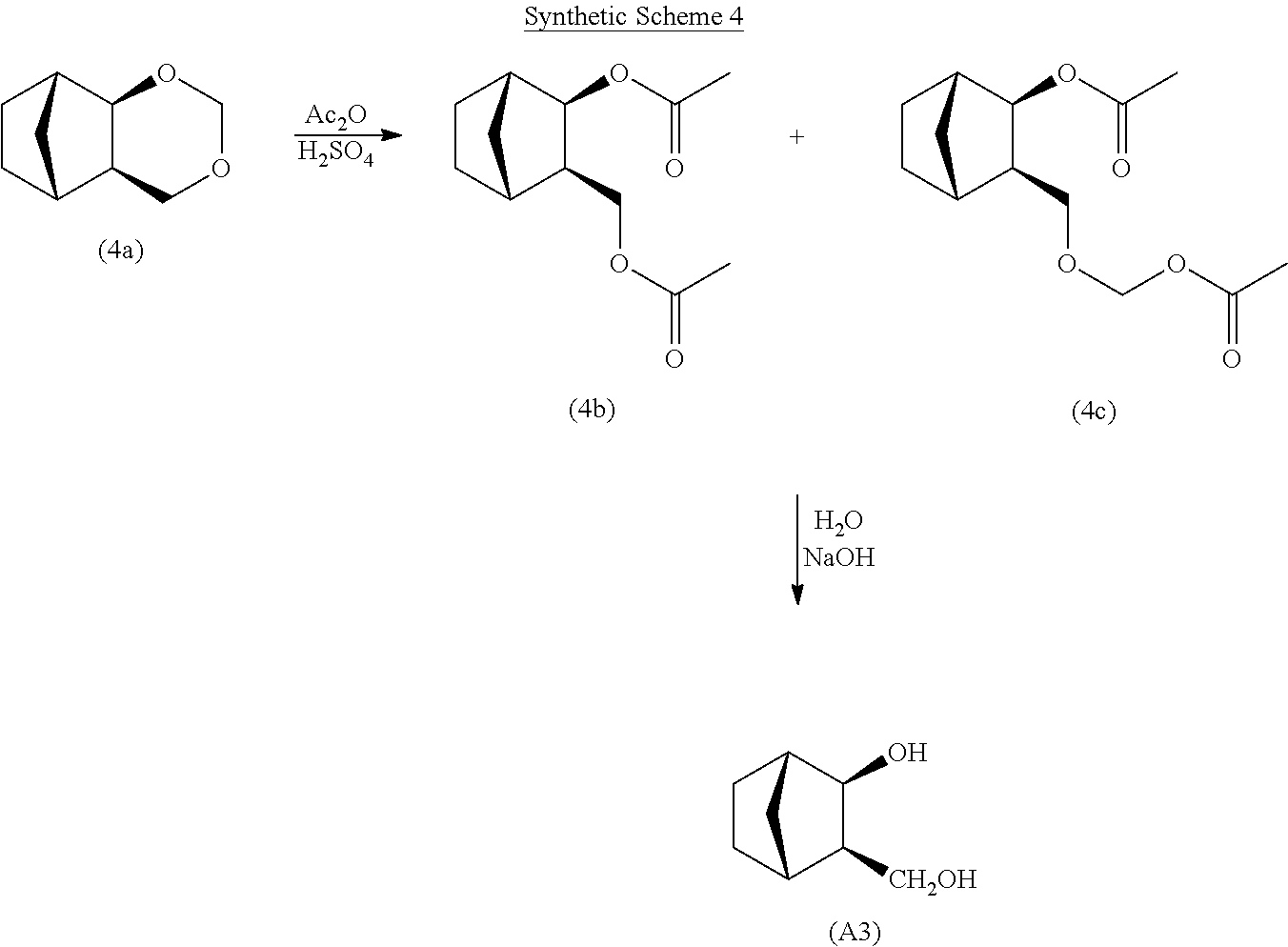
The polycyclic cis-exo-2,3-diol monomer represented by Formula A can be prepared in accordance with the following Synthetic Scheme 4, which is provided for purposes of non-limiting illustration, in which n is 0, R1-R4are each hydrogen, X is —CH2—, R5is —OH and R6is —CH2OH.

[0076]

[0077]

With reference to Synthetic Scheme 4, hexahydro-4H-5,8-methanobenzo[d]-exo-[1,3]dioxane (4a) is converted to cis-exo-(3-acetoxynorborn-2-yl)methyl acetate (4b) and cis-exo-((3-acetoxynorborn-2-yl)methoxy)methyl acetate (4c) in the presence of acetic anhydride (Ac2O) and a catalytic amount of sulfuric acid (H2SO4). The intermediates (4b) and (4c) are then converted to cis-exo-3-(hydroxymethyl)norbornan-2-ol (A3) in the presence of water and a catalytic amount of sodium hydroxide (NaOH).

[0078]

The polycyclic cis-endo-2,3-diol monomer represented by Formula B can be prepared in accordance with the following Synthetic Scheme 5, which is provided for purposes of non-limiting illustration, in which n is 0, R1-R4are each hydrogen, X is —CH2—, R5is —OH and R6is —CH2OH.

[0079]

[0080]

With reference to Synthetic Scheme 5, hexahydro-4H-5,8-methanobenzo[d]-endo-[1,3]dioxane (5a) is converted to cis-endo-(3-acetoxynorborn-2yl)methyl acetate (5b) and cis-endo-((3-acetoxynorborn-2-yl)methoxy)methyl acetate (5c) in the presence of acetic anhydride (Ac2O) and a catalytic amount of sulfuric acid (H2SO4). The intermediates (5b) and (5c) are then converted to cis-endo-3-(hydroxymethyl)norbornan-2-ol (B3) in the presence of water and a catalytic amount of sodium hydroxide (NaOH).

[0081]

The optional polycyclic diols represented by Formulae D, E, F and G can be prepared by art-recognized methods. For purposes of non-limiting illustration, the optional polycyclic diol represented by Formula F can be synthesized in accordance with the following Synthetic Scheme 6, where m is 0, R7-R10are each hydrogen, Z is —CH2—, R11is —OH and R12is —CH2OH.

[0082]

[0083]

With reference to Synthetic Scheme 6, 2,3-norbornene (6a) is converted to (2-(formyloxy)norborn-7-yl)-exo-methyl formate (6b) in the presence of formic acid (HCOOH) sulfuric acid (H2SO4) and formaldehyde (H2CO). Intermediate (6b) is then converted to 7-(hydroxymethyl)norbornan-2-exo-ol (F1) in the presence of sodium hydroxide (NaOH) and methanol (MeOH).

[0084]

Alkylenecarbonate polymer embodiments according to the present invention can be prepared by art-recognized methods. For example, the alkylenecarbonate polymers according to embodiments of the present invention can be prepared by a carbonyl halide route, in which one or more polycyclic 2,3-diol monomers are reacted with a carbonyl halide, X2C═O, in which each X is selected independently from a halo group. An example of a carbonyl halide includes, but is not limited to, phosgene, where each X is chloro (Cl). Alternatively, a carbonyl diimidazole route can be used, in which one or more polycyclic 2,3-diol monomers are reacted with N,N-carbonyldiimidazole.

[0085]

Typically, polymer embodiments prepared from the aforementioned diol monomers are polymerized via a carbonate route in which one or more polycyclic 2,3-diol monomers are reacted with a dialkyl carbonate, such as diethyl carbonate, a diaryl carbonate, such as diphenyl carbonate, and/or an alkyl-aryl carbonate. For purposes of non-limiting illustration of embodiments in accordance with the present invention, a polycarbonate polymer can be prepared in accordance with the following Synthetic Scheme 7.

[0086]

[0087]

With reference to Synthetic Scheme 7, cis-exo-2,3-norbornanedimethanol monomer (A2) is reacted with diphenyl carbonate (7a) in the presence of sodium carbonate, which results in formation of poly(cis-exo-2,3-norbornane dimethyl carbonate) (7b), in which y is the number of repeat units. The cis-exo-2,3-norbornanedimethanol monomer (A2), is a polycyclic 2,3-diol monomer according to Formula A, in which n is 0, R1-R4are each hydrogen, X is —CH—, and R5and R6are each —CH2OH.

[0088]

For polycarbonate polymer embodiments according to the present invention, the polycarbonates can be selected from homopolymers, such as homopolymers containing a single type of repeating unit derived from one of Formulae A, B or C, or random copolymers, or block copolymers, or alternating copolymers, which are alternatively referred to herein as random polymers, block polymers and alternating polymers. The random, block and alternating polycarbonate copolymer embodiments according to the present invention can include two or more types of repeating units derived from at least one of Formulae A, B or C.

[0089]

For some embodiments according to the present invention, the polycarbonates can have a wide range of molecular weights. For example, such polymers can have weight average molecular weight (Mw) values of from 2000 to 250,000, or from 8000 to 150,000, or from 9000 to 80,000; and polydispersity index (PDI) values (Mw/Mn) of greater than 1.0 and less than or equal to 4.0, such as, but without limitation, from 1.1 to 4.0, or from 1.2 to 2.0, or from 1.3 to 1.8.

[0090]

For some embodiments according to the present invention, the polycarbonates can have a wide range of glass transition temperature (Tg) values, such as but not limited to, Tgvalues of from −50° C. to 200° C., or from 25° C. to 180° C., or from 60° C. to 175° C.

[0091]

For some embodiments according to the present invention, the polycarbonates can be characterized with regard to the temperature at which the polymer decomposes, which can also be referred to as a decomposition temperature. For some embodiments, the decomposition temperature of the polycarbonates can be quantified with regard to their half-decomposition temperature (Td50), which is the temperature at which a 50 percent weight loss is observed. Half-decomposition temperatures are typically determined by means of thermogravimetric analysis (TGA). Half-decomposition temperatures can be determined for the polymer alone and for the polymer in the presence of additives, e.g., a thermally activated base generator after its activation.

[0092]

Embodiments in accordance with the present invention also provide sacrificial polymer compositions that encompass: a single type of polycarbonate having one or more types of carbonate repeat units as described previously herein and a thermally activated base generator. The sacrificial polymer composition embodiments according to the present invention can also encompass a single type of polycarbonate or a blend or mixture of two or more types of polycarbonates.

[0093]

For embodiments of the present invention, where the sacrificial polymer composition encompasses a single polycarbonate, such polymer can encompass any of the previously mentioned poly(alkylene carbonates) or be derived from polycyclic 2,3-diol monomers as described above and below. Where such polymer composition embodiments encompass two or more types of polymers, each of such polymers can be two or more distinct poly(alkylene carbonates) or two or more polymers derived from distinct polycyclic 2,3-diol monomers. Thus the sacrificial polymer composition embodiments in accordance with the present invention can encompass just a first polycarbonate having repeating units derived from polycyclic 2,3-diol monomers represented by one or both of Formulae A and B; or a combination of such first polycarbonate and a second polycarbonate having repeating units derived from polycyclic 2,3-diol monomers represented by Formula C. Additionally, such sacrificial polymer embodiments can encompass one or more of the aforementioned commercially available poly(alkylene carbonates).

[0094]

The thermally activated base generator used in the sacrificial composition embodiments in accordance with the present invention, generates a base upon heating to an effective temperature, where the generated base causes depolymerization of the sacrificial polymer. As used herein, the term “depolymerization” will be understood to mean that the sacrificial polymer is at least partially broken down into smaller units each having a molecular weight less than the molecular weight of the polymer prior to depolymerization. Such depolymerized units include, but are not limited to: the monomers from which the polymer was derived; polycarbonate oligomers; hydroxyl-terminated polycyclic carbonate oligomers; polycyclic carbonates; polycyclic ethers; cyclic carbonates, CO and/or CO2.

[0095]

For purposes of non-limiting illustration, the depolymerization of a polycarbonate or polycarbonate segment derived from a polycyclic 2,3-diol represented by Formula A, in which n is 0, X is —CH2—, and R1-R4are each hydrogen, so as to form polycyclic carbonates containing at least one carbonate linkage in the polycyclic ring, and/or polycyclic ethers containing at least one ether linkage in the polycyclic ring, and the depolymerization of a commercially available polypropylene carbonate are represented by the following Schemes 8a and 8b.

[0096]

[0097]

[0098]

The polycyclic carbonates and/or polycyclic ethers depicted in Schemes 8a and 8b are vaporized by concurrent or subsequent application of elevated temperature. For some embodiments of the present invention, the moieties created by the depolymerization, such as polycyclic carbonates and/or polycyclic ethers, permeate through an overcoat layer, as will be described in further detail herein.

[0099]

For some embodiments of the present invention, the polycarbonate polymer can encompass one or more monomer units derived from polycyclic diol monomer D. At least partial depolymerization of such polycarbonate polymers in the presence of a base, activated with an elevated temperature, can result in the formation of one or more polycyclic carbonate and/or polycyclic ether depolymerization units represented by the following Formulae D-DU1 and D-DU2, respectively.

[0100]

[0101]

With some embodiments, for each of Formulae D-DU1 and D-DU2, at least one p is at least 1. Vaporized depolymerization units represented by Formulae D-DU1 and D-DU2 can permeate through an overcoat layer, as will be described in further detail herein.

[0102]

The thermally activated base generators (TABG), described below, are encompassed in polymer composition embodiments of the present invention. Such TABGs include, but are not limited to, bases encompassing cations represented by any of Formulae 1, 2 or 3:

[0103]

[0104]

where each Reis independently selected from hydrogen, a methyl or ethyl group, a linear, branched or cyclic C3-C12alkyl group; a linear, branched or cyclic C3-C12heteroalkyl group having from 1 to 4 heteroatoms independently selected from nitrogen, oxygen or sulfur; a C6-C10aryl group; a C5-C10heteroaryl group having from 1 to 4 heteroatoms independently selected from nitrogen, oxygen or sulfur; or where two Regroups are taken together with any intervening atoms to form one or more cyclic alkyl or heteroalkyl groups as previously defined, and where for Formula 1, at least one Reis hydrogen. Exemplary tetra-alkyl ammonium bases include, among others, tetraethylammonium salt (Et4N+) and tetrabutylammonium salt (Bu4N+). The former being available as an acetate salt from Aldrich Specialty Chemicals as Catalog Number 205583 and from Fluka as Catalog Number 96607. The latter also being available from either Aldrich or Fluka as Catalog Numbers 335991 and 86835, respectively. As will be seen in the Examples, a proprietary amidine salt, CXC-1761, available from King Industries, was also evaluated as a TABG.

[0105]

The thermally activated base generators in accordance with the present invention are salts generally having a carboxylate anion. Such salts being characterized by releasing a free base when heated to an effective activation temperature, the free base then having sufficient basicity to cause depolymerization as shown in Scheme 8b. Referring now to Table A (derived from the Thesis of Xun Sun, entitled “Development of tetraphenylborate-based Photobase generators and sacrificial Polycarbonates for radiation curing and Photoresist applications”; Carleton University, Ottawa, Ontario, November 2008), below, the basicity of the released free bases 1,8-diazabicyclo[5.4.0]undec-7-ene (DBU), 1,5,7-triazabicyclo[4.4.0]dec-5-ene (TBD), expressed as pKameasured in acetonitrile, are at least 24.34 and both exhibit significant reduction of the decomposition temperature (Td) of a polypropylene carbonate. In contrast, the amines triethylamine (TEA) and phenylhydrazine (PhNHNH2), respectively, with pKa's of 18.8 and 12.33, exhibited only a small reduction in Td. Thus this reduction in PPC decomposition temperature is a measure of both basicity and the effectiveness of a specific TABG and can be employed to screen potential TABGs.

[0106]

TBD25.031750.3
DBU24.34800.7
TEA18.8100.9
PhNHNH212.33104.8

[0107]

Based on the aforementioned pKavalues, thermally generated bases useful for embodiments in accordance with the present invention encompass one or more of the following structures.

[0108]

[0109]

Representative structures of carboxylates, in their acid form, useful as the carboxylate anion of the TABG embodiments of the present invention are depicted below:

[0110]

[0111]

Exemplary TABG structures can then be shown as:

[0112]

[0113]

The amount of TABG useful in composition embodiments in accordance with the present invention is any amount that generates an effective amount of base to catalyze the depolymerization reaction, such amount can thus be referred to as an effective amount. For some embodiments, such amount is from 0.1 to 25 pphr inclusive, based on the weight of the polymer; in other embodiments from 0.5 to 15 pphr inclusive and in still other embodiments, from 1 to 12 pphr inclusive. It will be understood, that for some embodiments of the present invention, it can be advantageous to employ a mixture of TABGs where the effective amount of such mixture is inclusive of the ranges expressed above. Further, some polymer composition embodiments in accordance with the present invention encompass a mixture of a TABG and an effective amount of formic acid.

[0114]

For some embodiments according to the present invention, the sacrificial polymer composition can further include one or more solvents. Solvent can be present in an amount of from, for example, 10 to 99 percent by weight, or 40 to 90 percent by weight, or 50 percent to 80 percent by weight, based on the total weight of the sacrificial polymer composition. Examples of solvents that can be included in the sacrificial polymer composition include, but are not limited to, acetonitrile, acetophenone, α-angelicalactone, anisole, γ-butyrolactone, n-butyl acetate, cyclohexylbenzene, cyclohexanone, cyclopentanone, decahydronaphthalene, diethylene glycol dimethyl ether, N,N-dimethylacetamide, N,N-dimethylformamide, ethyl 3-ethoxypropionate, ethyl lactate, 2-heptanone, methyl isobutyl ketone, mesitylene, 2-methoxyethyl ether, 1-methyl-2-pyrrolidinone, 2-methyltetrahydrofuran, methyl tetrahydrofurfuryl ether, γ-octanoic lactone, propylene carbonate, propylene glycol monomethyl ether acetate, propylene glycol monomethyl ether, 1,2,3,4-tetrahydronaphthalene, and combinations thereof.

[0115]

As discussed previously herein with regard to polycarbonate embodiments of the present invention, sacrificial polymer composition embodiments according to the present invention can be characterized with regard to the temperature at which the composition decomposes or depolymerizes, which can be referred to as a decomposition temperature of the sacrificial polymer composition. The decomposition temperature of the sacrificial polymer composition can be quantified with regard to the Td50decomposition temperatures as described previously herein.

[0116]

In further accordance with embodiments of the present invention, there is also provided methods of forming useful microelectronic or optoelectronic devices or structures that make use of the aforementioned sacrificial polymer composition embodiments of the present invention.

[0117]

Referring first to the forming of such devices, some such device forming embodiments in accordance to the present invention encompass providing a first and a second substrate where each substrate has a surface that encompasses a plurality of first and second metal bumps or contact structures, respectively. It will be understood that each of the first and second substrates can be a microelectronic device such as a semiconductor chip or die so that a chip stack is formed, or that one of such substrates is a semiconductor chip and the other a substrate such as would be employed in forming a “flip-chip” assembly. Further, it will be understood that the aforementioned sacrificial polymer composition embodiments of the present invention is applied to one or both of the substrates and that such substrates are positioned and held to one another by the tack properties of such composition, where each of the aforementioned plurality of metal bumps, or structures, are appropriately aligned and held in such alignment by the tackiness of such sacrificial polymer composition such that electrical coupling can be subsequently made. Still further it will be understood that at least one of said first or second plurality of metal bumps encompasses solder such that upon heating the substrates and polymer composition to an effective temperature, the solder will reflow to provide the aforementioned electrical coupling while the polymer composition provides a fluxing property to enable or enhance such electrical solder coupling. Further still, it will be understood that the substrates and polymer composition will be held at such effective temperature for a time sufficient to complete the electrical coupling and to allow for the decomposition of the alkylene carbonate polymer encompassed in the polymer composition. It should be noted, that where the plurality of first and second metal bumps, or structures, mentioned above, such characterization is non-limiting and that some embodiments of the present invention can be characterized as having a plurality of first and second metallic contacts (or contact regions), where at least one of such pluralities encompasses solder or another bondable material.

[0118]

With respect to the method described above, the application of polymer composition embodiments can be accomplished by any suitable means. For example, printing, such as but not limited to, jet printing, which is similar to inkjet printing, or screen printing; dispensing, such as but not limited to, spot or line dispensing, spray coating, doctor blading or spin coating.

[0119]

With regard to the aforementioned effective temperature, such temperature will vary, at least, as a function of the specific TABG employed. Additionally such temperature can be a function of the use of the polymer composition within which it is encompassed and the structure that is being formed. For example, where a “flip-chip” structure is being made, such effective temperature is generally consistent with the reflow temperature of the solder, or other bondable material, selected for the electrical coupling. Whereas when a three-dimensional structure is being made, such effective temperature is a temperature less than the decomposition temperature of the overcoat layer. Still further, the effective temperature is also a function of the depolymerization temperature of the polycarbonate embodiment selected and the temperature at which the depolymerization products are removed. Therefore, some forming embodiments in accordance with the present invention can encompass a first effective temperature to activate the base generator and a second effective temperature to facilitate the removal of depolymerization products. Further still, the period of time where heating to an effective temperature is maintained can also vary as a function of the structure being formed, three-dimensional structures typically requiring more time at the effective temperature than “flip-chip” type structures, as well as the amount of the polymer composition used for such structure or device forming method. Advantageously, for embodiments according to the present invention, both the aforementioned three-dimensional space and the area between the electrically coupled substrates are essentially free of residue of the sacrificial polymer composition.

[0120]

While it will be seen in the Examples provided below, that the polymer composition embodiments in accordance with the present invention are effective tack and flux agents, such embodiments can also be employed for temporarily bonding a first substrate to a second substrate. Such bonding forming a multilayered structure that includes a first substrate, a second substrate, and a temporary bonding layer interposed between the first substrate and the second substrate. The temporary bonding layer, alternatively be referred to as a temporary adhesive layer, being formed from such a polymer composition embodiment. Further, it will be realized that such a multilayer structure is useful to provide a substrate surface for a process such as chemical mechanical polishing or the creation of through silicon vias (TSVs). When the TABG is activated, the sacrificial polymer is at least partially depolymerized allowing for the substrates to be debonded or separated from one another.

[0121]

Still further, the polymer composition embodiments in accordance with the present invention can be used in or in conjunction with still other applications where either a temporary or permanent bond is useful. Such applications including, but not limited to, applications in the field of microelectronics, such as but not limited to, flip-chip structures, microprocessor chips, communication chips, and optoelectronic chips; and the fields of microfluidics; sensors; and analytical devices, such as but not limited to, microchromatographic devices.

[0122]

The following examples are for illustrative purposes and are not intended to limit the scope of embodiments in accordance with the present invention in any way. It will be noted that the ratios of repeating units incorporated into the polymer backbones are given in molar weight percent.

EXAMPLES

[0123]

Polynorbornanediol carbonates according to embodiments of the present invention were prepared in accordance with the synthetic procedures described in the following Examples 1-5. Properties of the carbonates formed in the manner of Examples 1-3 are summarized in Tables 1a and 1b, below. In these tables, Tgvalues were determined by differential scanning calorimetry at a heating rate of 10° C./minute; the Td5, Td50and Td95values were determined by thermogravimetric analysis at a heating rate of 10° C./minute, and indicate respectively the temperatures at which 5 percent, 50 percent and 95 percent by weight of the polymer had decomposed; the chain-end phenyl group (End Ph) percent mole values indicate the theoretical amount of phenol, based on the initial amount of diphenyl carbonate raw material charged, that was not removed during polymerization; the mole percents were determined by1H NMR analysis, and indicate the percent of monomer units in the polymers derived from the particular cis-exo- or cis-endo-2,3-norbornanedimethanol monomer, the remainder corresponds to the percent of monomer units in the copolymer derived from the other monomer: 41% cis-endo-2,3-norbornanedimethanol (Example 1); 59% 1,3-cyclohexanediol (Example 2); and 59% 1,3-cyclohexanediol (Example 3); solubility was determined by attempting to dissolve a target resin content (RC, 20 wt. %) of the polymer in a process solvent, the designation “A” refers to anisole, and the designation “G” refers to γ-butyrolactone.

Polycarbonate Polymer Examples

Example 1

[0124]

The following were added to a suitably sized and outfitted multi-necked flask, including, for example, a thermocouple, heating mantle, mechanical stirrer, nitrogen sweep, and vacuum pump: 22.5 grams of cis-exo-2,3-norbornanedimethanol (144 millimoles or mmoles); 15.0 grams of cis-endo-2,3-norbornanedimethanol (96 mmoles); 51.3 grams of diphenyl carbonate (240 mmoles); and 12 milligrams (mg) of lithium hydride (1.5 mmoles). The contents of the flask were heated to and held at 120° C. under a nitrogen sweep for a period of time sufficient to convert the contents thereof to a liquid. The contents of the flask were then held at 120° C. for 2 hours with constant stirring and under a nitrogen sweep. The contents of the flask were then subjected to a reduced pressure of about 10 kPa, with constant stirring at 120° C. for 1 hour. The pressure within the flask was then further reduced to less than 0.5 kPa, and the contents subjected to continued stirring at 120° C. for 1.5 hours, followed by a 1.5 hour hold at 180° C.

[0125]

The contents of the flask were cooled and dissolved in a suitable amount of tetrahydrofuran, such as 800 ml, and filtered. The filtered solution was then added to and precipitated from an appropriate amount, such as 8 liters, of a liquid including methanol and distilled water in a volume ratio 9 to 1. The precipitated polymer was washed with an appropriate amount, such as 4 liters, of wash liquid including methanol and distilled water in a volume ratio 9 to 1, and then dried. About 30.7 grams of polycarbonate copolymer were obtained in a yield of about 70 percent. The polycarbonate copolymer was determined by gel permeation chromatograph (GPC) to have a weight average molecular weight (Mw) of 41,000, and a polydispersity index (PDI) of 1.70.

Example 2

[0126]

A polycarbonate copolymer according to embodiments of the present invention was prepared in accordance with the procedure described in Example 1 from the following: 20.5 grams of 1,3-cyclohexanediol (176 mmoles); 15.5 grams of cis-exo-2,3-norbornanedimethanol (99 mmoles); 56.6 grams of diphenyl carbonate (264 mmoles); and 13.2 mg of lithium hydride (1.7 mmoles). About 28.1 grams of polycarbonate copolymer were obtained in a yield of about 69 percent. The polycarbonate copolymer was determined by GPC to have a Mwof 47,000, and a PDI of 1.75.

Example 3

[0127]

A polycarbonate copolymer according to embodiments of the present invention was prepared in accordance with the procedure described in Example 1 from the following: 19.2 grams of 1,3-cyclohexanediol (165 mmoles); 14.5 grams of cis-endo-2,3-norbornanedimethanol (93 mmoles); 53 grams of diphenyl carbonate (248 mmoles); and 10.1 mg of lithium hydride (1.3 mmoles). About 28.7 grams of polycarbonate copolymer were obtained in a yield of about 76 percent. The polycarbonate copolymer was determined by GPC to have a Mwof 38,000, and a PDI of 1.61.

[0128]

(1)7041,0001.7089279291
(2)6847,0001.75112262285
(3)7438,0001.61117269293

[0129]

(1)29810exo = 59A: soluble
G: Insoluble
(2)30918exo = 41A: soluble
G: soluble
(3)31517endo = 41A: soluble
G: soluble

Example 4

[0130]

An appropriately sized reaction vessel equipped with a stir bar was charged with 10.0 g (43 mmol) of 5-exo-phenyl-cis-exo-2,3-norbornane dimethanol and 9.2 g (43 mmol) of diphenyl carbonate and 1.3 mg (0.16 mmol) of lithium hydride. A condensing arm was assembled, fitted to the reaction vessel and the vessel and condenser evacuated and refilled with nitrogen three times. The reaction flask was heated with stirring at 120° C. oil-bath temperature under nitrogen for 2 hours. The nitrogen source was removed, and the reaction was subjected to a partial vacuum of 75 Torr at 120° C. for 1 hour and allowed to cool to room temperature. The polymer solution in a mixture of methylene chloride and tetrahydrofuran was dropwise added to pure methanol during precipitation. After filtration and drying in a dynamic vacuum oven, 9.1 g white polymer was obtained. Polymer properties are summarized as follow: Mw=49 k, PDI=2.0, Tg=115° C., Td50=284° C.

Example 5

[0131]

With setup and handling procedures similar to Example 4, the monomers used in this experiment are 5.0 g (22 mmol) of 5-exo-phenyl-cis-endo-2,3-norbornane dimethanol and 4.6 g (22 mmol) of diphenyl carbonate. The catalyst lithium hydride used is 0.9 mg (0.11 mmol). Polymer solution in a mixture of methylene chloride and tetrahydrofuran was dropwise added to pure methanol during precipitation. After filtration and drying in a dynamic vacuum oven, 4.7 g white polymer was obtained. Polymer properties are summarized as follow: Mw=38 k, PDI=2.1, Tg=111° C., Td50=314° C.

[0000]

Equation 1. Structure and Function of Thermally Latent Base Generator (PT-393)

[0132]

[0133]

The photochemical decarboxylation mechanism of ketoprofen salts is known in photobase generators with protonated cations of DBU or DBN (See Journal of Photopolymer Science and Technology 2010, 23(1), 135-136 and Journal of Photopolymer Science and Technology 2009, 22(5), 663-666). While the concept in generation of a base (e.g., an amine) by photochemical decarboxylation has been well established for over 20 years (see Journal of Photopolymer Science and Technology 1990, 3(3), 419-422 and U.S. Pat. No. 5,545,509), it is equally known in the art that some molecules will not undergo spontaneous thermal decarboxylation (see Journal of Photopolymer Science and Technology 2006, 19(6), 683-684 and Journal of Photopolymer Science and Technology 1999, 12(2), 315-316). Observation of structures 1 and 2 in Equation 1 was confirmed by chemical ionization as PT-393 was heated in the absence of ultra-violet light, suggesting that a similar thermal decarboxylation process also takes place. As carbon dioxide is formed from the carboxylate group, a hydrogen is abstracted from the cation, thus releasing a base 1,5,7-triazabicyclo[4.4.0]dec-5-ene (TBD, 2) in-situ during reflow.

[0134]

Since the base 2 is only generated from PT-393 upon heating, the room temperature polymer formulation of PT-393 is stable for at least one month. It does not contain free acid or free base, and is a non-corrosive formulation. The strong base generated upon reflow serves as the solder flux agent by removing oxide or contaminants from the metal surface. The strong base also initiates base-catalyzed chain scission and unzipping of the polycarbonate (Scheme 8b) part of the composition initially used in fixturing the solder components. The cyclic species generated from the polymer are volatile and will vaporize together with the carrier solvent under typical reflow conditions at >230° C. Typical carrier solvents such as γ-butyrolactone, anisole, and cyclopentanone have boiling points below 210° C. PT-393 shows the profile of a latent additive in TGA with 5% weight loss temperature (Td5) at 229° C. and is expected to be fully removed under reflow.

Example 6

Preparation of PT-393

[0135]

2-(3-Benzoylphenyl)propanoic acid (ketoprofen, 8.00 g, 31.5 mmol) was dissolved in THF (100 mL) with magnetic stirring at room temperature. 1,5,7-Triazabicyclo[4.4.0]dec-5-ene (TBD, 4.38 g, 31.5 mmol) was slowly added as a dry powder to the clear THF solution—the temperature increase during this addition is minimal at the current level of dilution. The heterogeneous mixture was stirred vigorously at room temperature for 12 h, the turbidity gradually decreased over this period. The reaction mixture was filtered through Celite® filtering aid on a glass fit and the filtrate was concentrated to a viscous oil by rotary evaporation. Diethyl ether (15 mL) was added to the oily material and stirred for 30 min to remove unreacted ketoprofen and TBD. The top layer was removed with a Pasteur pipet and the ether wash was repeated twice. The supernatant from the last wash was kept in a closed vial at room temperature overnight and white crystals in mg scale were formed. The1H NMR of white crystals was similar to the crude mixture, and the white crystals were collected as seeds for subsequent bulk crystallization. THF (30 mL) was added to the washed bulk material and swirled until homogeneous. Diethyl ether was dropwise added to the THF solution until the end point where one additional drop of ether resulted in a turbid solution even after swirling. A few seed crystals were added to the clear THF/ether mixture at the end point. After 4 h at room temperature, a layer of small white crystals was formed on the bottom glass surface. The mixture was kept in a refrigerator for 18 h. The white crystalline material was collected by filtration on a glass frit, and washed with 2×5 mL diethyl ether. The white solid was dried under oil-pump vacuum (≦0.1 Torr) for at least 12 h to remove residual traces of solvent and give 8.5 g (69%) white solid, which is confirmed as the desired product PT-393 by1H NMR.

Example 7

Synthesis of exo-exo-2,3-Norbornanedicarboxylate Anhydride

[0136]

Exo-,exo-2,3-norbornenedicarboxylate anhydride (94.4%, 634.23 g, 3.87 mol) was split into ˜210 g portions and each dissolved via sonication and heat in 1.5-1.7 L ethyl acetate. Each portion was added to the 19 L Parr reactor and was followed with 3×400 mL ethyl acetate rinses. Total ethyl acetate used was 5.9 L. The Parr reactor had been pre-warmed to 30° C. to prevent recrystallization of the anhydride. 5% Pd/C (50% wet, 21.48 g) was added. The reactor was sealed and then pressurized with nitrogen three times. Then it was pressurized and flushed with hydrogen three times. The reactor was finally pressurized to 108 psi hydrogen and stirred at 230 rpm. After 19 min, the mixture was recharged from 17 to 105 psi. After 4 minutes, the reaction stabilized at 100 psi hydrogen. The mixture was allowed to stir at 100 to 86 psi and 26-31° C. overnight. NMR analysis revealed no more olefin remained. Four liters of dichloromethane was added to the reaction mixture. The reactor was drained and then rinsed with 3×2000 ml portions of dichloromethane. The reaction mixture and rinses were filtered through Celite to give a Pd/C-free clear filtrate. The filtrate was rotary evaporated at 20-70° C. to give 639 g hard solid (99.5% yield). GC analysis revealed 98.7% exo isomer and 0.9% endo isomer for 99.6% total isomer purity.

[0137]

Example 8

Synthesis of exo-, exo-2,3-Norbornanedimethanol

[0138]

Lithium aluminum hydride pellets (192.7 g, 5.08 mol) were added to 4000 ml anhydrous ether in a 4-neck 12 L flask fitted with mechanical stirrer, addition funnel, condenser with nitrogen inlet, and thermowell. The mixture was stirred overnight. Exo,exo-2,3-norbornanedicarboxylate anhydride (330.3 g) was dissolved in 850 ml DrySolve THF and added dropwise to the LAH slurry. Addition rate was adjusted to maintain a gentle reflux (up to 35° C.). When addition was complete, the addition funnel was recharged with 303.3 g exo-,exo-2,3-norbornanedicarboxylate anhydride in 1000 ml DrySolve THF. The fresh solution was added dropwise to maintain a gentle reflux (40.1° C.). Total exo,exo-2,3-norbornenedicarboxylate anhydride added was 633.6 g (3.81 mol). Total addition time was 11 hrs. GC analysis revealed 95% conversion with no unreacted starting material detected. The mixture was stirred overnight at room temperature. GC analysis showed 95.9% conversion. The reaction mixture was chilled to −12.4° C. and then 835 ml water was added dropwise. After 80 ml water had been added, the exotherm subsided and the remaining water was added quickly. The addition was complete after 2 h 20 min with the temperature ranging from −12.4° C. to +12.4° C. 1.25 L MTBE (methyl tert-butyl ether) was added. Then 1.05 L 10% aqueous H2SO4was added to coagulate and separate the lithium and aluminum salts. The ether-THF-MTBE phase was decanted and washed with 2×1 L brine to remove carry-over solids and to bring the pH to 7. The ether solution was dried over sodium sulfate, filtered, and rotary evaporated to give 355.4 (60% yield) of oil. GC analysis showed 97.0% of the dimethanol (8.490 min retention time) and 2.3% unknown component at 6.16 min retention time.

[0139]

Separation of the organic phase from the brine phase was obscured by the suspended solids. The brine washes were added back to the reactor to fluidize the remaining salts. The reactor flask was then rinsed with MTBE, which was added and thoroughly mixed with the brine mixture. No phase separation occurred. The brine mixture was filtered to remove the lithium and aluminum salts. This gave a clean separation of ˜1000 ml organic phase from the brine phase. The organic phase was dried over sodium sulfate, filtered, and rotary evaporated to give 149.9 g of the dimethanol. GC analysis showed 89.6% purity with major impurities of 2.7% and 5.3% at 6.134 and 7.222 min retention time respectively.

[0140]

The solid-free brine solutions were extracted with 400 ml and 800 ml MTBE. The MTBE extracts were dried over sodium sulfate, filtered, and rotary evaporated to give 25.8 of 92.1% of the dimethanol with 1.1% 6.144 min. retention time impurity and 6.6% 7.279 minute impurity.

[0141]

The lithium and aluminum salts were washed with 2 L MTBE. The MTBE extract was washed with brine to pH 7, then dried over sodium sulfate, decanted, and rotary evaporated to 22.1 g 93% of the dimethanol. This sample had 2.1% and 15.1% impurities at 6.136 and 7.269 minutes respectively. These last three extracts were combined for a total of 197.8 g and kept distinct from the primary extract of 355.4 g.

[0142]

The 355 g extract was vacuum distilled through a 12-inch Vigreaux column where Fractions 4 through 7 were combined to give 120 g of product with 99.0% purity; and Fractions 8 through 10 were combined to give 157 g of product with 99.5% purity. Yield was 47%.

Formulation Example 1

Formulation of PPC in GBL

[0143]

This set of procedures is generally applicable in exchanging the polymer solvent from acetone to any higher boiling solvent that is miscible with poly(propylene carbonate). Commercial poly(propylene carbonate) (PPC, Mw=40 k based on gel permeation chromatography measurements) was obtained in the form of a polymer solution in acetone. Gamma-butyrolactone (GBL) (451 g) is added to the commercial poly(propylene carbonate) with Mw=40 k in acetone (500 g, 36 wt. %). A first fraction of solvent (221 g) was removed under vacuum (25 mmHg) at 54° C. by rotary evaporation. A second fraction of solvent (281 g) was removed under vacuum (29 mmHg) at 75° C. by rotary evaporation. The acetone content of the remaining polymer solution was found to be below reportable limit (0.05 wt. %) by gas chromatography (If the acetone content was above reportable limit, the solvent addition and evaporation cycle was repeated until the acetone content in polymer solution was below reportable limit). The final polymer solution was filtered through a 1 μm capsule into a particle-free container in a cleanroom environment. The container is capped and sealed with stretch tape for storage. The resin content was determined by removing all the solvent from a measured initial weight of a polymer solution sample using a Fisher Isotemp vacuum oven at 105° C. for 5 hours. The final solid polymer weight was compared to the initial solution weight to determine the resin content, which was found to be 57 wt. %. The viscosity was determined with a Brookfield viscometer (Model DV I Prime) and found to be 20,000 cPs.

Formulation Example 2

PPC with a TABG in GBL

[0144]

In general, formulations of lower viscosity than the solvent exchanged sample as described in Formulation Example 1 are prepared by diluting the viscous polymer sample with the carrier solvent typically inserted with an additive. As an example, thermally activated base generator PT-393 (0.28 g) in GBL (total solution weight 12.0 g) is added to a sample solution (19 g, 49 wt. %) prepared following Example 1 to give a formulation of 30 wt. % with 3 parts per hundred resin (pphr) of the thermally activated base generator. The formulation is roller mixed for 12 h and filtered through a 0.2 μm capsule into a particle-free container in a cleanroom environment. The container is capped and sealed with stretch tape.

Formulation Example 2a

PPC with a TABG and Formic Acid in GBL

[0145]

Formulations with formic acid (FA) were prepared in an analogous manner to that of Formulation Example 2 but with the addition of formic acid. As an example, neat FA (0.96 g) was added to the polymer solution from Formulation Example 2. The solution was roller mixed for 12 h and filtered through a 0.2 μm capsule into a particle-free container in a cleanroom environment to give a formulation of 29 wt. % resin content with 3 pphr PT-393 and 3 wt. % FA.

Formulation Examples 3-31

Thermogravimetric Analyses of Formulated PPC

[0146]

The preparation procedures for the formulations in these examples are analogous to that of Formulation Example 2. For all the examples in this series, the data collected is summarized in Tables 3 and 3a, below.

[0147]

For each formulation the carrier solvent is GBL and Novomer polypropylene carbonate having a molecular weight of either 40,000 (40 k) or 160,000 (160 k) was used. In addition, the specific TABG employed for each formulation and its loading in parts per hundred of the polymer (pphr) are provided.

[0148]

Once the formulation was completed, it was spin-coated onto a four-inch silicon wafer at 1000 rpm. The coated wafer was then soft-baked for 5 minutes at 120° C. to give an approximately 5 μm thick film. Portions of the resultant uniform wafer film is lifted off the wafer, weighed into an aluminum pan (3 mg), and subjected to dynamic thermogravimetric analysis. The film material is heated at a ramp rate of 10° C./min from 25 to 500° C. while the temperature at a certain percent weight loss is recorded. The 50% weight loss temperature (Td50) is 154° C. A collection of Too data is summarized in Table 3. The Td50for unformulated poly(propylene carbonate) is 252° C. (also see Examples 18 and 31).

[0149]

Summary of Td50Data of Formulated PPC
Thermally
PolymerActivated BaseLoadingTd50
ExampleMwGenerator(pphr)(° C.)
340kPT-3935.0154
440kPT-3933.0163
540kPT-3932.0177
640kPT-3931.0183
740kPT-3931.0**123
840kPT-3930.5191
940kPT-3930.5**121
1040kPT-407M5.0179
1140kPT-407M3.0186
1240kCXC-17615.0255
1340kCXC-17613.0254
1440kEt4N OAc•4H2O1.0149
1540kEt4N OAc•4H2O0.75152
1640kEt4N OAc•4H2O0.5152
1740kEt4N OAc•4H2O0.25146
1840k252
19160k PT-3933.0177
20160k PT-3931.7188
21160k PT-3931.0200
22160k PT-3931.0**148
23160k PT-3930.5207
24160k PT-3930.5*163
25160k PT-407M3.0188
26160k CXC-17613.0255
27160k Et4N OAc•4H2O1.0162
28160k Et4N OAc•4H2O0.75165
29160k Et4N OAc•4H2O0.5175
30160k Et4N OAc•4H2O0.25183
31160k 252
*0.25 phr Et4N OAc•4H2O added;
**0.5 phr Et4N OAc•4H2O added

[0150]

Examples 18 and 31 were controls in that no TABG was added. As shown, both controls had a Too of 252° C. Significant lowering of the Td50is seen for all formulation except for those that used CXC-1761. Also the expected higher Td50of each higher Mwanalog and the lower Td50for the more highly TABG loaded analogs is seen. Unexpected, however, is the dramatic effect of the addition of a small amount of Et4N OAc.4H2O to each of Examples 7, 9, 22 and 24 as compared to the analogous samples without the tetraethylammonium salt.

[0151]

Since the polymer composition embodiments in accordance with the present invention are expected to be sacrificial materials that upon heating to an effective temperature will decompose leaving little or no residue, the following Examples, summarized in Table 4, report the percent decomposition of the various formulations.

Formulation Examples 32-53

Thermal Decomposition of Formulated PPC

[0152]

The formulation and wafer film preparation for this series of examples are similar to those described in Formulation Example 3 except the spin speed is increased to 3000 rpm for 2 μm thick film. The initial film thickness is measured by profilometry. The wafer film is subjected to thermal decomposition by heating each sample in an oven. The letter appearing adjacent to the Example Number is indicative of the heating cycle used for that Example. Thus for ‘a’ heat to 230° C. in less than or equal to 2 minutes and then holding the plate at that temperature for an additional 2 minutes; for ‘b’ heat to 240° C. and hold for 10 min; and for ‘c’ heat to 200° C. and hold for 10 min. For each Example the wafers were removed from the oven allow to cool to room temperature. Residue thickness of the residue on the wafer was subsequently measured and the percent material decomposed was calculated using the ratio of the residue thickness and the initial film thickness of the soft-baked sample. As it can be seen, all of the Examples demonstrated greater than 90% decomposition regardless of the initial film thickness, suggesting that the decomposition cycles employed were adequate and would require only minor experimentation to fine tune.

[0153]

Summary of Thermal Decomposition Data with Formulated PPC
ThermallyInitial film%
PolymerActivated BasethicknessLoadingDecom-
ExampleMwGenerator(μm)(pphr)posed
32a40kPT-3932.85.099.6
33a40kPT-3932.73.098.3
34b40kPT-3936.93.0>99.8
35b40kPT-3936.22.0>99.8
36b40kPT-3936.01.0>99.8
37b40kPT-3934.21.0**99.5
38b40kPT-3936.80.599.8
39b40kPT-3933.70.5**99.2
40c40kPT-3936.83.099.8
41c40kEt4N OAc•4H2O6.00.25>99.8
42c40kEt4N OAc•4H2O5.40.5>99.8
43a40k2.398.7
44b160k PT-3935.23.099.6
45b160k PT-3935.42.098.9
46b160k PT-3934.61.099.8
47b160k PT-3933.81.0**99.3
48b160k PT-3934.60.599.5
49b160k PT-3934.00.5*99.3
50c160k PT-3935.23.099.8
51c160k Et4N OAc•4H2O5.90.25>99.8
52c160k Et4N OAc•4H2O5.30.5>99.8
53b160k 4.490.6
*0.25 phr Et4N OAc•4H2O added;
**0.5 phr Et4N OAc•4H2O added

Formulation Examples 54-78

Solder Flux Evaluation of PPC Formulations

[0154]

The formulations in gamma-butyrolactone with a thermally activated base generator were prepared following procedures of Formulation Example 2, except that the formulation was dispensed as distinct spots with a 27-gauge needle onto a copper substrate (1.7 cm×3.4 cm) with a partly oxidized surface. A solder ball (Sn(99.3)Cu(0.7); 610 μm in diameter) was carefully transferred to the top of each of the spots on the copper substrate and then the entire plate mounted onto a device and heated to determine the amount of solder reflow. As the polymer composition embodiments in accordance with the present invention are directed to providing fluxing to enable solder interconnection between adjacent substrates, determining the amount of solder reflow by the method described above allows for the different TABG additives and their loading to be evaluated. For each example, the copper substrate was heated to 230° C. in less than or equal to 2 minutes and then held at that temperature for an additional 2 minutes before allowing the plate to return to room temperature. It was observed during the transfer of the plate carrying the carefully placed solder balls, that each spot of polymer composition held the solder ball placed thereon in position, thus demonstrating that such compositions are useful as a tacking agent. The diameter of the solder material was measured after reflow and as observed the controls, Examples 68 and 78 exhibited essentially no solder spread. Also, the low TABG loadings of Examples 66 and 69 for the Et4N OAc.4H2O TABG as compared to the higher loading for Examples 67 and 70 seem to indicate that the Et4N OAc.4H2O requires a higher concentration of TABG to achieve adequate solder spread. It should also be observed from Table 5, that both formic acid and Et4N OAc.4H2O as additives to PT-393 have little if any effect on the solder spread observed for those samples as compared to analogous samples without such additives.

[0155]

Summary of Solder Flux Data with PPC Formulations in GBL
Solder
Thermallydiameter after
PolymerActivated BaseLoadingthermal reflow
ExampleMwGenerator(pphr)(μm)
5440kPT-3930.51117
5540kPT-3930.5**1086
5640kPT-3931.01135
5740kPT-3931.0**1098
5840kPT-3932.01129
5940kPT-3933.01188
6040kPT-3935.01244
6140kPT-3935.0†1191
6240kPT-3935.0‡1209
6340kPT-3938.01209
6440kPT-407M3.01098
6540kPT-407M8.01111
6640kEt4N OAc•4H2O0.5612
6740kEt4N OAc•4H2O1.31086
6840k591
69160k Et4N OAc•4H2O0.5662
70160k Et4N OAc•4H2O1.31043
71160k PT-3930.5*1074
72160k PT-3931.0**1117
73160k PT-3933.01098
74160k PT-407M5.0982
75160k PT-407M8.01117
78160k 610
†3 wt. % formic acid added;
‡5 wt. % formic acid added;
*0.25 phr Et4N OAc•4H2O added;
**0.5 phr Et4N OAc•4H2O added

Formulation Examples 79-126

Storage Stability of PPC Formulations

[0156]

The formulations in anisole of both the 40K and 160K Mw PPC Novomer polymer, with the various TABGs, were prepared in the manner of Example 2. As an example, a formulation of Mw=40 k poly(propylene carbonate) with PT-393 as the additive at 3 pphr loading in gamma-butyrolactone is prepared and its Mw(Before) is determined by GPC. The formulation is kept at 25° C. for two weeks, and the Mw(After) is determined. The Mwratio in Table 6 is determined by Mw(After)/Mw(Before) to be 0.99. A Mwratio within the range of 0.95 to 1.05 is indicative that the formulation is stable for the stored period within experimental error. As shown, it was found that the stability of the compositions in Examples 95-102 were significantly worse than for the compositions that incorporated PT-393 as a TABG whether or not such compositions included formic acid (92 and 93) or the addition of Et4N OAc.4H2O (80a, 82a, 113 and 116). A list of storage stability data is summarized in Table 6.

[0157]

Summary of Storage Stability Data with PPC Formulations in GBL
Exam-
plePolymerAdditiveLoadingTempTimeMwRatio
 7940kPT-3930.52521.03
 8040kPT-3930.52551.01
 80a40kPT-3930.5**2521.00
 8140kPT-3931.02521.01
 8240kPT-3931.02551.01
 82a40kPT-3931.0**2521.02
 8340kPT-3932.02520.96
 8440kPT-3932.02550.99
 8540kPT-3933.02520.99
 8640kPT-3933.02540.96
 8740kPT-3933.02581.01
 8840kPT-3933.025241.04
 8940kPT-3935.02520.99
 9040kPT-3935.02540.98
 9140kPT-3935.02580.95
 9240kPT-3935.025240.96
 9340kPT-393/FA5.0/3.02521.01
 9440kPT-393/FA5.0/3.02581.01
 9540kPT-407M3.02520.98
 9640kPT-407M3.02550.99
 9840kPT-407M3.025160.85
 9940kPT-407M5.025160.75
10040kBu4N OAc1.52510.98
10140kBu4N OAc1.52520.77
10240kBu4N OAc1.52540.55
10340kEt4N OAc•4H2O0.252521.02
10440kEt4N OAc•4H2O0.252551.01
10540kEt4N OAc•4H2O0.52520.97
10640kEt4N OAc•4H2O0.52550.95
10740kEt4N OAc•4H2O0.752520.96
10840kEt4N OAc•4H2O0.752550.74
10940kEt4N OAc•4H2O1.02520.81
11040kEt4N OAc•4H2O1.02550.60
111160k PT-3930.52521.02
112160k PT-3930.52551.04
113160k PT-3930.5.2521.00
114160k PT-3931.02520.98
115160k PT-3931.02551.01
116160k PT-3931.0**2521.01
117160k PT-3932.02521.01
118160k PT-3932.02551.06
119160k PT-3933.02520.99
120160k PT-3933.02551.00
121160k Et4N OAc•4H2O0.252521.03
122160k Et4N OAc•4H2O0.252551.02
123160k Et4N OAc•4H2O0.752521.06
124160k Et4N OAc•4H2O0.752551.05
125160k Et4N OAc•4H2O1.02521.05
126160k Et4N OAc•4H2O1.02551.07
3 wt. % formic acid added;
*0.25 phr Et4N OAc•4H2O added;
**0.5 phr Et4N OA•4H2O added

Formulation Examples 127-129

Solder Flux Evaluation of Polynorbornanediol Carbonate Formulations

[0158]

Solid cis-exo-2,3-polynorbornane dimethyl carbonate polymer (3.0 g) is dissolved in anisole to give a 10.0 g base polymer solution with 30 wt. % resin content. A formulation of the indicated carbonate with the indicated TABG at a 3.0 pphr loading was prepared following procedures in Formulation Example 2 except that anisole was the solvent employed. As shown, each of Formulation Examples 127-129 demonstrate solder reflow, thus indicating the fluxing effect of the TABG employed. A list of solder flux data is summarized in Table 7.

[0159]

Summary of Solder Flux Data with Polynorbornanediol
Carbonate Formulations in Anisole
Solder
diameter after
Loadingthermal reflow
ExamplePolymerAdditive(pphr)(μm)
127cis-exo-2,3-PT-3933.0875
polynorbornane
dimethyl carbonate
128poly(norbornanePT-3933.01206
spirocarbonate)
129poly(norbornaneBu4N OAc1.51443
spirocarbonate)

Formulation Examples 130-131

Thermal Decomposition of Formulated Polynorbornanediol Carbonates

[0160]

The thermal decomposition of the polycarbonates of Formulation Examples 128 and 129 was evaluated. The wafer film preparation and thermal decomposition measurements for this series of examples was performed as previously described for Formulation Examples 31-53 except that a 3.9 μm thick film was generated, and only decomposition cycle ‘a’ was employed. The thermal decomposition data is summarized in Table 8.

[0161]

Summary of Thermal Decomposition Data of
Formulated Polynorbornanediol Carbonates
Initial film%
thicknessLoadingDecom-
ExamplePolymerAdditive(μm)(pphr)posed
130poly(norbornanePT-3933.93.099.5
spirocarbonate)
131poly(norbornaneBu4N3.81.593.4
spirocarbonate)OAc

Formulation Examples 132-133

Storage Stability of Formulated Polynorbornanediol Carbonates

[0162]

The formulations in anisole with additives are prepared following procedures of Formulation Examples 127-129. After preparation, the polymer Mw(Before) was determined by GPC. Each formulation was kept at 65° C. for one week, and the polymer Mw(After) was determined. The Mwratio in Table 9 was determined by Mw(After)/Mw(Before) to be 0.95. It is believed that a Mwratio within the range of 0.95 to 1.05 is indicative that the formulation is stable for the stored period within experimental error.

[0163]

Summary of Storage Stability Data of Formulated Polynorbornanediol
Carbonates
LoadingTemperatureTime
ExamplePolymerAdditive(pphr)(° C.)(week)MwRatio
132poly(norbornanePT-3933.06510.95
spirocarbonate)
133poly(norbornaneBu4N OAc1.56510.95
spirocarbonate)

Comparative Example

[0164]

A formulation of PPC (Mw=160,000) was prepared including a thermal acid generator (TAG), specifically DANFABA (dimethylanilinium tetrakis(pentafluorophenyOborate) at 3.9 pphr loading. As DANFABA has a formula weight of 800 (as compared to the formula weight of PT-393 of 393) this loading is about 10% higher loading that that of a PPC formulation encompassing a 1.7 pphr loading of PT-393. TGA analysis of the TAG containing formulation demonstrated a Td50of 206° C. while TABG formulation of Formulation Example 20 (shown in Table 3) demonstrated a Td50of 188° C.

[0165]

Given the lower Td50shown by Formulation Example 20, than for the TAG formulation, it should be clear that TABG's are at least as effective in reducing the decomposition of a PPC as is a TAG.

Polyoxalate Example

[0166]

Oxalyl chloride (11.40 g, 90 mmol) in anhydrous THF (80 mL) was added dropwise to a rigorously stirred solution of cis-p-menthane-1,8-diol (15.47 g, 90 mmol), pyridine (15.63 g, 198 mmol) in anhydrous THF (220 mL) at 0° C. in an appropriately sized and equipped reaction vessel. The reaction mixture was stirred at 0° C. for an additional 60 min after the addition of the oxalyl chloride was complete. The mixture was then warmed to room temperature, followed by reflux at 70° C. for 16 h. Suspending salt was removed by filtration and the filtrate added dropwise to a methanol-water mixture (MeOH:H2O=1:5 vol:vol). The precipitated polymer was washed with methanol and dried under vacuum to give a dry white polyoxalate polymer with Mw=33000, PDI=1.6, Td50=160° C. The structure of the polyoxalate polymer shown below.

[0167]

Formulation Example N1

Formulation of Polyoxalate in GBL

[0168]

The polyoxalate (1.5 g) was weighed in a scintillation vial. Commercial solvent gamma-butyrolactone (GBL) was added to the polymer until the final net weight of the mixture is 5.0 g to give a 30% total solid solution. The solution was roller mixed at room temperature for at least 12 hours. The final solution was passed through a 0.2 μm filter disc into a particle-free bottle prior to use.

Formulation Examples N2-N5

Solder Flux Evaluation of Polyoxalate Formulations

[0169]

The formulations in gamma-butyrolactone (GBL) with a thermally activated base generator are prepared following procedures of Formulation Example N1 except the thermally activated base generator indicated in Table X1 for each example was added prior to roller mixing. Dispense of formulations with a 27-gauge needle, and solder ball transfer onto dispensed spots followed procedures of Formulation Examples 54-78. For all the examples in this series, the data collected are summarized in Table X1 below.

[0170]

Summary of Solder Flux Data with
Polyoxalate Formulations in GBL
Solder
Thermallydiameter after
Activated BaseLoadingthermal reflow
ExampleGenerator(pphr)(μm)
N2Bu4N OAc1.51140
N3Et4N OTs5.01210
N4PT-3933.01120
N5PyH OTf5.01140

Formulation Examples N6-N8

Thermal Decomposition of Formulated Polyoxalate

[0171]

Thermal decomposition of Formulation Examples N2 to N5 was evaluated. The wafer film preparation and thermal decomposition measurements for this series of examples was performed as previously described for Formulation Examples 32-53 except only decomposition cycle ‘a’ was employed. The thermal decomposition data are summarized in Table X2.

[0172]

Summary of Thermal Decomposition
Data with Formulated Polyoxalate
ThermallyInitial film%
Activated BasethicknessLoadingDecom-
ExampleGenerator(μm)(pphr)posed
N6Bu4N OAc2.51.5>99.8
N7Et4N OTs2.35.099
N8PT-3932.63.0>99.8
N9PyH OTf2.45.0>99.8

Formulation Examples N10-N14

Storage Stability of Polyoxalate Formulations

[0173]

The formulations in GBL with additives are prepared following procedures of Formulation Example N2 except a polyoxalate polymer solution was used. After preparation, the polymer Mw(initial) was determined by GPC. Each formulation was kept at 25° C. for 4 weeks, and the polymer Mw(final) was determined. The Mwratio data summarized in Table X3 were determined by Mw(final)/Mw(initial). It is believed that a Mwratio within the range of 0.95 to 1.05 is indicative that the formulation is stable for the stored period within experimental error.

[0174]

Summary of Storage Stability Data with
Polyoxalate Formulations in GBL
LoadingMw
ExampleAdditive(pphr)Ratio
N10Bu4N OAc1.50.91
N11Et4N OTs5.00.95
N12PT-3933.01.00
N14PyH OTf5.00.96

Diglycolate Polyester Example

[0175]

Diglycolyl chloride (25.36 g, 148 mmol) in anhydrous THF (80 mL) was added dropwise to a rigorously stirred solution of cis-p-menthane-1,8-diol (24.80 g, 144 mmol), pyridine (24.60 g, 311 mmol) in anhydrous THF (220 mL) at 0° C. The reaction mixture was stirred at 0° C. for an additional 60 min after all addition. It was then warmed to room temperature, followed by reflux at 70° C. for 72 h. Suspending salt was removed by filtration. The filtrate was dropwise added to a methanol-water mixture (MeOH:H2O=3:2 wt:wt). The precipitated polymer was washed with methanol and dried under vacuum at 40° C. for 18 h to give a dry white diglycolate polyester with Mw=6800, Td50=198° C. The structure of the diglycolate polyester is shown below.

[0176]

Formulation Example N15

Solder Flux Evaluation of Diglycolate Polyester in GBL

[0177]

The polymer formulation in gamma-butyrolactone (GBL) was prepared similar to Example N1 except that the diglycolate polyester (0.45 g) was used to give a 1.0 g solution at 45% total solid. No other additives were used in this Example N15. Dispense of formulations with a 32-gauge needle, and solder ball transfer onto dispensed spots followed procedures of Formulation Examples 54-78. After thermal reflow, spread solder diameter was 1171 μm.

Formulation Example N16

Thermal Decomposition of Diglycolate Polyester

[0178]

Thermal decomposition of the diglycolate polyester was evaluated. The wafer film preparation and thermal decomposition measurements was performed as previously described for Formulation Examples 32-53 except the soft-bake temperature was 90° C. and only decomposition cycle ‘a’ was employed. With an initial film thickness of 2.3 μm, essentially no residue was observed after thermal decomposition (>99.8% decomposed).

[0179]

By now it should be realized that polymer composition embodiments in accordance with the present invention have been shown useful for use in the methods described herein. As presented herein, it is shown that the additives in such polymer composition embodiments significantly lower the decomposition temperature of a polymer composition absent such additives, provide fluxing to enhance electrical connectivity through a solder reflow process and exhibit excellent storage properties. In addition, it should be realized that polymer formulation embodiments that encompass a diglycolate polyester exhibit excellent solder spread without a thermally activated base generator additive. Thus such embodiments are self-fluxing.

[0180]

Further it should be realized that both poly(alkylene carbonates) and polynorbornanediol carbonates can be employed to form sacrificial polymer compositions that are effective as both tack and flux agents when such compositions encompass an appropriate thermally activated base generator (TABG). Still further, it should be realized that the selection of such an appropriate TABG is a function of, among other things, it being able to provide a degree of solder spread sufficient to allow for an effective solder connection to be formed between two substrates as described above. Additionally, such appropriate TABG must not result in polymer degradation, depolymerization or decomposition until such is desired. Thus the results shown in Tables 6 and 9 are indicative that some sacrificial polymer compositions can be made that have remarkable room temperature stability, while Tables 4 and 8 demonstrate that such stable polymer compositions are capable of being, essentially, completely depolymerized and or decomposed. Thus, it should be realized that sacrificial polymer composition embodiments that encompass TABGs, and the sacrificial polymers thereof, have been disclosed and described herein where such sacrificial polymers and compositions can be claimed as embodiments in accordance with the present invention.

[0181]

Still further, it should be realized that methods are provided for using such sacrificial polymer compositions for forming useful microelectronic or optoelectronic devices or structures thereof that make use of the aforementioned sacrificial polymer composition embodiments of the present invention. As previously described, some such device forming embodiments of the present invention encompass providing a first and a second substrate where each substrate has a surface that encompasses a plurality of first and second metal bumps or contact structures, respectively. It will be understood that each of the first and second substrates can be a microelectronic device such as a semiconductor chip or die so that a chip stack is formed, or that one of such substrates is a semiconductor chip and the other a substrate such as would be employed in forming a “flip-chip” assembly. Such substrates are positioned and held to one another by the tack properties of such composition, where each of the aforementioned plurality of metal bumps, or structures, are appropriately aligned and held in such alignment such that electrical coupling can subsequently be made upon heating the substrates and polymer composition to an effective temperature, the solder will reflow to provide the aforementioned electrical coupling, the polymer composition providing a fluxing property to enable or enhance such electrical solder coupling, and where said polymer composition is further depolymerized or decomposed to leave essentially no residue between said first and second substrates.

Как компенсировать расходы
на инновационную разработку
Похожие патенты