патент
№ US 0008835095
МПК G03F7/004

Resist composition and method for producing resist pattern

Авторы:
Koji Ichikawa Hiromu Sakamoto Yuichi Mukai
Все (9)
Правообладатель:
Все (9)
Номер заявки
13405068
Дата подачи заявки
24.02.2012
Опубликовано
16.09.2014
Страна
US
Дата приоритета
16.12.2025
Номер приоритета
Страна приоритета
Как управлять
интеллектуальной собственностью
Реферат

A resist composition contains (A1) a resin having a structural unit represented by the formula (I), (A2) a resin being insoluble or poorly soluble in alkali aqueous solution, but becoming soluble in an alkali aqueous solution by the action of an acid, (B) an acid generator, and (D) at least one compound selected from the group consisting of a compound represented by the formula (II1) and a compound represented by the formula (II2), wherein R1, A1, R2, R6, X1, X2, R3, R4 and R5 are defined in the specification.

Формула изобретения

1. A resist composition comprising:

(A1) a resin having a structural unit represented by the formula (I),

(A2) a resin being insoluble or poorly soluble in alkali aqueous solution, but becoming soluble in an alkali aqueous solution by the action of an acid,

(B) an acid generator,

(D) a compound represented by the formula (II1), and

(E) a solvent;

wherein R1represents a hydrogen atom or a methyl group;

A1represents a C1to C6alkanediyl group;

R2represents a C1to C10hydrocarbon group having a fluorine atom,

wherein R6represents a C1to C4alkyl group, a C3to C18alicyclic hydrocarbon group or a C6to C14aromatic hydrocarbon group, one or more hydrogen atom contained in the alicyclic hydrocarbon group may be replaced by a hydroxy group, a C1to C4hydroxyalkyl group, a C1to C4fluorinated hydroxyalkyl group, a C1to C4alkoxyl group or a C2to C5acyloxy group, one or more hydrogen atom contained in the aromatic hydrocarbon group may be replaced by a fluorine atom, chlorine atom, a cyano group, a nitro group, a C1to C4alkyl group, a C1to C4alkoxyl group, a C2to C5acyl group, a C2to C5acyloxy group, a C2to C5alkoxycarbonyl group or a phenyl group, and one or more —CH2— contained in the alicyclic hydrocarbon group may be replaced by —O—, —CO— or —SO2—;

X1represents a single bond or a C1to C6alkanediyl group, and one or more —CH2— contained in the alkanediyl group may be replaced by —O— or —CO;

X2represents —O— or —N(Rd)—;

Rdrepresents a hydrogen atom or a C1to C4alkyl group;

R3, R4and R5independently represent a hydrogen atom, a C1to C4alkyl group or a C6to C14aromatic hydrocarbon group.

2. The resist composition according to claim 1, wherein R2in the formula (I) is a C1to C6fluorinated alkyl group.

3. The resist composition according to claim 1, wherein A1in the formula (I) is a C2to C4alkanediyl group.

4. The resist composition according to claim 1, wherein A1in the formula (I) is an ethylene group.

5. A method for producing resist pattern comprising steps of;

(1) applying the resist composition of claim 1 onto a substrate;

(2) drying the applied composition to form a composition layer;

(3) exposing the composition layer;

(4) heating the exposed composition layer, and

(5) developing the heated composition layer.

Описание

CROSS-REFERENCE TO RELATED APPLICATIONS

[0001]

This application claims priority to Japanese Application No. 2011-39455 filed on Feb. 25, 2011. The entire disclosures of Japanese Application No. 2011-39455 is incorporated hereinto by reference.

BACKGROUND OF THE INVENTION

[0002]

1. Field of the Invention

[0003]

The present invention relates to a resist composition and a method for producing resist pattern.

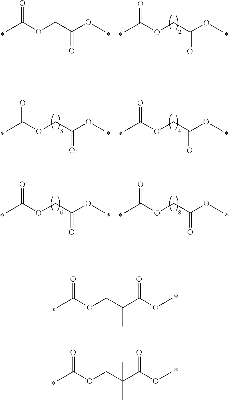
[0004]

2. Background Information

[0005]

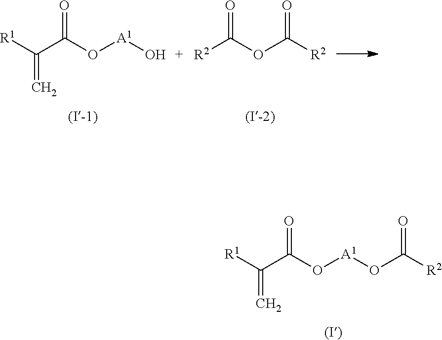
A resist composition which contains a resin having a polymer obtained by polymerizing a compound represented by the formula (u-A) and a compound represented by the formula (u-B), and a polymer obtained by polymerizing a compound represented by the formula (u-B), a compound represented by the formula (u-C) and a compound represented by the formula (u-D); an acid generator; and a solvent, is described in Patent document of JP-2010-197413A.

[0006]

[0007]

However, with the conventional resist composition, Exposure Latitude (EL) and the mask error factor (MEF) of the obtained resist pattern may be not always satisfied with, and number of the defect of the resist pattern to be produced from the resist composition may quite increase.

SUMMARY OF THE INVENTION

[0008]

The present invention provides following inventions of <1> to <6>.

[0009]

<1> A resist composition having;

[0010]

(A1) a resin having a structural unit represented by the formula (I),

[0011]

(A2) a resin being insoluble or poorly soluble in alkali aqueous solution, but becoming soluble in an alkali aqueous solution by the action of an acid,

[0012]

(B) an acid generator, and

[0013]

(D) at least one compound selected from the group consisting of a compound represented by the formula (II1) and a compound represented by the formula (II2),

[0014]

[0015]

wherein R1represents a hydrogen atom or a methyl group;

[0016]

A1represents a C1to C6alkanediyl group;

[0017]

R2represents a C1to C10hydrocarbon group having a fluorine atom,

[0018]

[0019]

wherein R6represents a C1to C12alkyl group, a C3to C18alicyclic hydrocarbon group or a C6to C14aromatic hydrocarbon group, one or more hydrogen atom contained in the alkyl group may be replaced by a fluorine atom, one or more hydrogen atom contained in the alicyclic hydrocarbon group may be replaced by a hydroxy group, a C1to C4hydroxyalkyl group, a C1to C4fluorinated hydroxyalkyl group, a C1to C4alkoxyl group or a C2to C5acyloxy group, one or more hydrogen atom contained in the aromatic hydrocarbon group may be replaced by a fluorine atom, chlorine atom, a cyano group, a nitro group, a C1to C4alkyl group, a C1to C4alkoxyl group, a C2to C5acyl group, a C2to C5acyloxy group, a C2to C5alkoxycarbonyl group or a phenyl group, and one or more —CH2— contained in the alicyclic hydrocarbon group may be replaced by —O—, —CO—, —N(Rd)—, —S— or —SO2—;

[0020]

X1represents a single bond or a C1to C10alkanediyl group, one or more hydrogen atom contained in the alkanediyl group may be replaced by a fluorine atom, and one or more —CH2— contained in the alkanediyl group may be replaced by —O— or —CO;

[0021]

X2represents —O— or —N(Rd)—;

[0022]

Rdrepresents a hydrogen atom or a C1to C4alkyl group;

[0023]

R3, R4and R5independently represent a hydrogen atom, a C1to C4alkyl group or a C6to C14aromatic hydrocarbon group.

[0024]

<2> The resist composition according to <1>, wherein R2in the formula (I) is a C1to C6fluorinated alkyl group.

[0025]

<3> The resist composition according to <1> or <2>, wherein A1in the formula (I) is a C2to C4alkanediyl group.

[0026]

<4> The resist composition according to any one of <1> to <3>, wherein A1in the formula (I) is an ethylene group.

[0027]

<5> The resist composition according to any one of <1> to <4>, which further comprises a solvent.

[0028]

<6> A method for producing resist pattern comprising steps of;

[0029]

(1) applying the resist composition of any one of <1> to <5> onto a substrate;

[0030]

(2) drying the applied composition to form a composition layer;

[0031]

(3) exposing the composition layer;

[0032]

(4) heating the exposed composition layer, and

[0033]

(5) developing the heated composition layer.

DETAILED DESCRIPTION OF THE PREFERRED EMBODIMENTS

[0034]

“(Meth)acrylic monomer” means at least one monomer having a structure of “CH2═CH—CO—” or “CH2═C(CH3)—CO—”, as well as “(meth)acrylate” and “(meth)acrylic acid” mean “at least one acrylate or methacrylate” and “at least one acrylic acid or methacrylic acid,” respectively.

[0000]

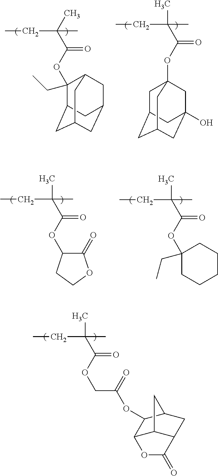
<Resist Composition>

[0035]

The resist composition of the present invention contains;

[0036]

(A) a resin (hereinafter may be referred to as “resin (A)”),

[0037]

(B) an acid generator (hereinafter may be referred to as “acid generator (B)”), and

[0038]

(D) at least one compound selected from the group consisting of a compound represented by the formula (II1) and a compound represented by the formula (II2) (hereinafter may be referred to as “compound (II)”).

[0039]

Further, the present resist composition preferably contains a solvent (hereinafter may be referred to as “solvent (E)”), as needed.

[0000]

<Resin (A)>

[0040]

The resin (A) includes;

[0041]

(A1) a resin having a structural unit represented by the formula (I), and

[0042]

(A2) a resin being insoluble or poorly soluble in alkali aqueous solution, but becoming soluble in an alkali aqueous solution by the action of an acid.

[0043]

Also, the resin (A) may contain a structural unit other than the resin (A1) and resin (A2).

[0000]

<Resin (A1)>

[0044]

The resin (A1) has a structural unit represented by the formula (I) (hereinafter may be referred to as “structural unit (I)”).

[0045]

[0046]

wherein R1represents a hydrogen atom or a methyl group;

[0047]

A1represents a C1to C6alkanediyl group;

[0048]

R2represents a C1to C10hydrocarbon group having a fluorine atom.

[0049]

In the formula (I), examples of the alkanediyl group of A1include a chain alkanediyl group such as methylene, ethylene, propane-1,3-diyl, propane-1,2-diyl, butane-1,4-diyl, pentane-1,5-diyl, hexane-1,6-diyl; a branched alkanediyl group such as 1-methylpropane-1,3-diyl, 2-methylpropane-1,3-diyl, 2-methylpropane-1,2-diyl, 1-methylbutane-1,4-diyl, 2-methylbutane-1,4-diyl groups.

[0050]

The hydrocarbon group of R2may be any of an aliphatic hydrocarbon group, an aromatic hydrocarbon group and a combination of two or more such groups. The aliphatic hydrocarbon group may be any of a chain and cyclic aliphatic hydrocarbon group, and a combination of two or more such groups. The aliphatic hydrocarbon group is preferably an alkyl group and an alicyclic group.

[0051]

Examples of the alkyl group include methyl, ethyl, n-propyl, iso-propyl, n-butyl, sec-butyl, tert-butyl, iso-butyl, n-pentyl, iso-pentyl, tert-pentyl, neo-pentyl, hexyl, octyl and 2-ethylhexyl groups.

[0052]

The alicyclic hydrocarbon group may be either monocyclic or polycyclic hydrocarbon group. Examples of the monocyclic alicyclic hydrocarbon group include cyclopropyl, cyclobutyl, cyclopentyl, cyclohexyl, methylcyclohexyl, dimethylcyclohexyl, cycloheptyl, cyclooctyl and cyclodecyl groups. Examples of the polycyclic alicyclic hydrocarbon group include decahydronaphtyl, adamantyl, 2-alkyladamantane-2-yl, 1-(adamantane-1-yl)alkane-1-yl, norbornyl, methylnorbornyl and isobornyl groups.

[0053]

The hydrocarbon group having a fluorine atom of R2is preferably an alkyl group having a fluorine atom and an alicyclic hydrocarbon group having a fluorine atom.

[0054]

Examples of the alkyl group having a fluorine atom include a fluorinated alkyl group such as difluoromethyl, trifluoromethyl, 1,1-difluoroethyl, 2,2-difluoroethyl, 1,1,1-trifluoroethyl, 2,2,2-trifluoroethyl, perfluoroethyl, 1,1,2,2-tetrafluoropropyl, 1,1,1,2,2-pentafluoropropyl, 1,1,2,2,3,3-hexafluoropropyl, perfluoroethylmethyl, 1-(trifluoromethyl)-1,2,2,2-tetratrifluoroethyl, perfluoropropyl, 1,1,2,2-tetrafluorobutyl, 1,1,2,2,3,3-hexafluorobutyl, 1,1,2,2,3,3,4,4-octafluorobutyl, perfluorobutyl, 1,1-bis(trifluoro)methyl-2,2,2-trifluoroethyl, 2-(perfluoropropyl)ethyl, 1,1,2,2,3,3,4,4-octafluoropentyl, 1,1,1,2,2,3,3,4,4-nonafluoropentyl, perfluoropentyl, 1,1,2,2,3,3,4,4,5,5-decafluoropentyl, 1,1-bis(trifluoromethyl)-2,2,3,3,3-pentafluoropropyl, 1,1,1,2,2,3,3,4,4-nonafluoropentyl, perfluoropentyl, 2-(perfluorobutyl)ethyl, 1,1,2,2,3,3,4,4,5,5-decafluorohexyl, 1,1,2,2,3,3,4,4,5,5,6,6-dodecafluorohexyl, perfluoropentylmethyl, perfluorohexyl, perfluoroheptyl and perfluorooctyl groups.

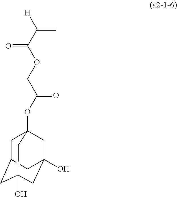
[0055]

Examples of the alicyclic hydrocarbon group having a fluorine atom include a fluorinated cycloalkyl group such as perfluoricyclohexyl and perfluoroadamanthyl groups.

[0056]

A1in the formula (I) is preferably a C2to C4alkanediyl group, and more preferably an ethylene group.

[0057]

R2is preferably a fluorinated alkyl group, and more preferably a C1to C6fluorinated alkyl group.

[0058]

Specific examples of the structural units (I) include as follows.

[0059]

[0060]

Also, examples of the structural units (I) include structural units in which a methyl group corresponding to R1in the structural units represented by the above is replaced by a hydrogen atom.

[0061]

The structural unit (I) is derived from a compound represented by the formula (I′), hereinafter may be referred to as “compound (I′)”.

[0062]

[0063]

wherein A1, R1and R2have the same definition of the above.

[0064]

The compound (I′) can be produced by a method below.

[0065]

[0066]

wherein A1, R1and R2have the same definition of the above.

[0067]

The compound (I′) can be obtained by reacting a compound represented by the formula (I′-1) with a compound represented by the formula (I′-2) in presence of a basic catalyst in a solvent. Preferred examples of the basic catalyst include pyridine. Preferred examples of the solvent include tetrahydrofuran.

[0068]

As the compound represented by the formula (I′-1), a marketed product may be used. The hydroxyethyl methacrylate can be used as a marketed product.

[0069]

The compound represented by the formula (I′-2) can be obtained by converting corresponding carboxylic acid, depending on the kinds of R2, into an anhydride. The heptafluoro butyric anhydride can be used as a marketed product.

[0070]

The resin (A1) may include a structural unit other than the structural unit (I).

[0071]

Examples of the structural unit other than the structural unit (I) include a structural unit derived from a monomer having an acid labile group described below (hereinafter may be referred to as “acid labile monomer (a1)”), a structural unit derived from a monomer not having an acid labile group described below (hereinafter may be referred to as “acid stable monomer”), a structural unit derived from a known monomer in this field, a structural unit represented by the formula (IIIA) described below. Among these, a structural unit represented by the formula (IIIA) is preferable.

[0072]

[0073]

wherein R11represents a hydrogen atom or a methyl group;

[0074]

ring W2represents a C6to C10hydrocarbon ring;

[0075]

A12represents —O—, *—CO—O— or * —O—CO—, * represents a bond to ring W2;

[0076]

R12represents a C1to C6hydrocarbon group having a fluorine atom.

[0077]

The hydrocarbon ring of W2may be an alicyclic hydrocarbon ring, and preferably a saturated alicyclic hydrocarbon ring.

[0078]

Examples of the saturated alicyclic hydrocarbon ring include a ring below.

[0079]

[0080]

As the ring W2, an adamantane ring and cyclohexane ring are preferable, and an adamantane ring is more preferable.

[0081]

Examples of the R2include a group below.

[0082]

[0083]

Examples of the structural unit represented by the formula (IIIA) include structural units below.

[0084]

[0085]

Also, examples of the structural units (IIIA) include structural units in which a methyl group corresponding to R11in the structural units represented by the above is replaced by a hydrogen atom.

[0086]

Among these, the structural unit (IIIA-1) and the structural unit (IIIA-1) in which a methyl group corresponding to R11in the structural units represented by the above is replaced by a hydrogen atom are preferable.

[0087]

The proportion of the structural unit (I) in the resin (A1) is generally 5 to 100 mol %, preferably 10 to 100 mol %, more preferably 50 to 100 mol %, still more preferably 80 to 100 mol %, and, in particular, preferably almost 100 mol %, with respect to the total structural units (100 mol %) constituting the resin (A1).

[0088]

Within the proportion of the structural unit (I), it is possible to produce a resist pattern with few defects.

[0089]

When the resin (A1) contains the structural unit (IIIA), the proportion thereof in the resin (A1) is generally 1 to 95 mol %, preferably 2 to 80 mol %, more preferably 5 to 70 mol %, still more preferably 5 to 50 mol %, and particularly preferably 5 to 30 mol %, with respect to the total structural units (100 mol %) constituting the resin (A1).

[0090]

For achieving the proportion of the structural unit (I) and/or the structural unit (IIIA) in the resin (A1) within the above range, the amount of the compound (I′) and/or a monomer giving the structural unit (IIIA) to be used can be adjusted with respect to the total amount of the monomer to be used when the resin (A1) is produced (the same shall apply hereinafter for corresponding adjustment of the proportion).

[0091]

The resin (A1) can be produced by a known polymerization method, for example, radical polymerization method, using at least one of the compound (I′) and/or at least one of the monomer giving the structural unit (IIIA), and optionally at least one of the acid labile monomer (a1), least one of the acid stable monomer and/or at least one of a known compound.

[0092]

The weight average molecular weight of the resin (A) is preferably 5,000 or more (more preferably 7,000 or more, and still more preferably 10,000 or more), and 80,000 or less (more preferably 50,000 or less, and still more preferably 30,000 or less).

[0093]

The weight average molecular weight is a value determined by gel permeation chromatography using polystyrene as the standard product. The detailed condition of this analysis is described in Examples.

[0000]

<Resin (A2)>

[0094]

The resin (A2) is a resin having properties which is insoluble or poorly soluble in alkali aqueous solution, but becomes soluble in an alkali aqueous solution by the action of an acid. Here “becomes soluble in an alkali aqueous solution by the action of an acid” means a resin that is insoluble or poorly soluble in aqueous alkali solution before contact with the acid, and becomes soluble in aqueous alkali solution after contact with an acid.

[0095]

Therefore, the resin (A2) is preferably a resin having at least one of the structural unit derived from an acid labile monomer (a1) described below.

[0096]

Also, the resin (A2) may include a structural unit other than the structural unit having the acid labile group as long as the resin (A2) has above properties.

[0097]

Examples of the structural unit other than the structural unit having the acid labile group include a structural unit derived from the acid stable monomer, the structural unit derived from a known monomer in this field, the structural units represented by the formula (I) and the formula (IIIA) described above.

[0098]

The resin (A2) may be a different resin from the resin (A1), or a resin which has the structural unit represented by the formula (I) and/or the formula (IIIA) described above so long as the resin (A2) has properties which is insoluble or poorly soluble in alkali aqueous solution, but becomes soluble in an alkali aqueous solution by the action of an acid.

[0000]

<Acid Labile Monomer (a1)>

[0099]

The “acid labile group” means a group which has an elimination group and in which the elimination group is detached by contacting with an acid resulting in forming a hydrophilic group such as a hydroxy or carboxy group. Examples of the acid labile group include a group represented by the formula (1) and a group represented by the formula (2). Hereinafter a group represented by the formula (1) may refer to as an “acid labile group (1)”, and a group represented by the formula (2) may refer to as an “acid labile group (2)”.

[0100]

[0101]

wherein Ra1to Ra3independently represent a C1to C8alkyl group or a C3to C20alicyclic hydrocarbon group, or Ra1and Ra2may be bonded together to form a C2to C20divalent hydrocarbon group, * represents a bond. In particular, the bond here represents a bonding site (the similar shall apply hereinafter for “bond”).

[0102]

[0103]

wherein Ra1′ and Ra2′ independently represent a hydrogen atom or a C1to C12hydrocarbon group, Ra3′ represents a C1to C20hydrocarbon group, or Ra2′ and Ra3′ may be bonded together to form a divalent C2to C20hydrocarbon group, and one or more —CH2— contained in the hydrocarbon group or the divalent hydrocarbon group may be replaced by —O— or —S—, * represents a bond.

[0104]

Examples of the alkyl group of Ra1to Ra3include methyl, ethyl, propyl, butyl, pentyl and hexyl groups.

[0105]

Examples of the alicyclic hydrocarbon group of Ra1to Ra3include monocyclic groups such as cyclopentyl, cyclohexyl, methylcyclohexyl, dimethylcyclohexyl, cycloheptyl, cyclooctyl groups; and polycyclic hydrocarbon groups such as decahydronaphtyl, adamantyl, norbornyl (i.e., bicyclo[2.2.1]hexyl), and methyl norbornyl groups as well as groups below.

[0106]

[0107]

The alicyclic hydrocarbon group of Ra1and Ra2preferably has 3 to 16 carbon atoms.

[0108]

When Ra1and Ra2is bonded together to form a C2to C20divalent hydrocarbon group, examples of the group-C(Ra1)(Ra2)(Ra3) include groups below. The divalent hydrocarbon group preferably has 3 to 12 carbon atoms.

[0109]

[0110]

Specific examples of the acid labile group (1) include, for example,

[0111]

1,1-dialkylalkoxycarbonyl group (a group in which Ra1to Ra3are alkyl groups, preferably tert-butoxycarbonyl group, in the formula (1)),

[0112]

2-alkyladamantane-2-yloxycarbonyl group (a group in which Ra1, Ra2and a carbon atom form adamantyl group, and Ra3is alkyl group, in the formula (1)), and

[0113]

1-(adamantine-1-yl)-1-alkylalkoxycarbonyl group (a group in which Ra1and Ra2are alkyl group, and Ra3is adamantyl group, in the formula (1)).

[0114]

The hydrocarbon group of Ra1′ to Ra3′ includes any of an alkyl group, an alicyclic hydrocarbon group and an aromatic hydrocarbon group.

[0115]

Examples of the aromatic hydrocarbon group include an aryl group such as phenyl, naphthyl, anthryl, p-methylphenyl, p-tert-butylphenyl, p-adamantylphenyl, tolyl, xylyl, cumenyl, mesityl, biphenyl, phenanthryl, 2,6-diethylphenyl and 2-methyl-6-ethylphenyl groups.

[0116]

Examples of the divalent hydrocarbon group which is formed by bonding with Ra2′ and Ra3′ include a group in which a hydrogen atom is removed from the hydrocarbon group of Ra2in the formula (I).

[0117]

At least one of Ra1′ and Ra2′ is preferably a hydrogen atom.

[0118]

Specific examples of the acid labile group (2) include a group below.

[0119]

[0120]

The acid labile monomer (a1) is preferably a monomer having an acid labile group and a carbon-carbon double bond, and more preferably a (meth)acrylic monomer having the acid labile group.

[0121]

Among the (meth)acrylic monomer having an acid labile group, it is preferably a monomer having a C5to C20alicyclic hydrocarbon group. When a resin which can be obtained by polymerizing monomers having bulky structure such as the alicyclic hydrocarbon group is used, the resist composition having excellent resolution tends to be obtained during the production of a resist pattern.

[0122]

Examples of the (meth)acrylic monomer having the acid labile group and a carbon-carbon double bond preferably include a monomer represented by the formula (a1-1) and a monomer represented by the formula (a1-2), below (hereinafter may be referred to as a “monomer (a1-1)” and a “monomer (a1-2)”). These may be used as a single monomer or as a combination of two or more monomers. The monomer (a1-1) induces a structural unit represented by the formula (a1-1), and the monomer (a1-2) induces a structural unit represented by the formula (a1-2) as described below (hereinafter may be referred to as the “structural unit (a1-1)” and the “structural unit (a1-2)”).

[0123]

[0124]

wherein La1and La2independently represent *—O— or *—O—(CH2)k1—CO—O—, k1 represents an integer of 1 to 7, * represents a bond to the carbonyl group;

[0125]

Ra4and Ra5independently represent a hydrogen atom or a methyl group;

[0126]

Ra6and Ra7independently represent a C1to C8alkyl group or a C3to C10alicyclic hydrocarbon group;

[0127]

m1 represents an integer 0 to 14;

[0128]

n1 represents an integer 0 to 10; and

[0129]

n1′ represents an integer 0 to 3.

[0130]

In the formula (a1-1) and the formula (a1-2), La1and La2are preferably *—O— or *—O—(CH2)k1′—CO—O—, here represents an integer of 1 to 4 and more preferably 1, and more preferably *—O.

[0131]

Ra4and Ra5are preferably a methyl group.

[0132]

Examples of the alkyl group of Ra6and Ra7include methyl, ethyl, propyl, butyl, pentyl, hexyl and octyl groups. Among these, the alkyl group of Ra6and Ra7preferably a C1to C6alkyl group,

[0133]

Examples of the alicyclic group of Ra6and Ra7include monocyclic hydrocarbon groups such as cyclopentyl, cyclohexyl, methylcyclohexyl, dimethylcyclohexyl, cycloheptyl, cyclooctyl groups; and polycyclic hydrocarbon groups such as decahydronaphtyl, adamantyl, norbornyl (i.e., bicyclo[2.2.1]hexyl), and methyl norbornyl groups as well as groups below. Among these, the alicyclic group of Ra6and Ra7preferably a C3to C8alicyclic hydrocarbon group, and more preferably a C3to C6alicyclic hydrocarbon group.

[0134]

[0135]

m1 is preferably an integer of 0 to 3, and more preferably 0 or 1.

[0136]

n1 is preferably an integer of 0 to 3, and more preferably 0 or 1.

[0137]

n1′ is preferably 0 or 1, and more preferably 1.

[0138]

Examples of the monomer (a1-1) include monomers described in JP 2010-204646A. Among these, the monomers are preferably monomers represented by the formula (a1-1-1) to the formula (a1-1-8), and more preferably monomers represented by the formula (a1-1-1) to the formula (a1-1-4) below.

[0139]

[0140]

Examples of the monomer (a1-2) include 1-ethylcyclopentane-1-yl (meth)acrylate, 1-ethylcyclohexane-1-yl (meth)acrylate, 1-ethylcycloheptane-1-yl (meth)acrylate, 1-methylcyclopentane-1-yl (meth)acrylate and 1-isopropylcyclopentane-1-yl (meth)acrylate. Among these, the monomers are preferably monomers represented by the formula (a1-2-1) to the formula (a1-2-6), and more preferably monomers represented by the formula (a1-2-3) and the formula (a1-2-4), and still more preferably monomer represented by the formula (a1-2-3) below.

[0141]

[0142]

When the resin (A2) contains the structural unit derived from the monomer (a1-1) and/or the structural unit derived from the monomer (a1-2), the total proportion thereof is generally 10 to 95 mol %, preferably 15 to 90 mol %, more preferably 20 to 85 mol %, with respect to the total structural units (100 mol %) of the resin (A2).

[0143]

Examples of a monomer having an acid-labile group (2) and a carbon-carbon double bond include a monomer represented by the formula (a1-5). Such monomer may be hereinafter referred to as “monomer (a1-5)”. When the resin (A2) has the structural unit derived from the monomer (a1-5), a resist pattern tends to be obtained with less defects.

[0144]

[0145]

wherein R31represents a hydrogen atom, a halogen atom or a C1to C6alkyl group that optionally has a halogen atom;

[0146]

L1, L2and L3independently represent *—O—, *—S— or *—O—(CH2)k1—CO—O—, k1 represents an integer of 1 to 7, * represents a bond to the carbonyl group (—CO—);

[0147]

s1 represents an integer of 0 to 4;

[0148]

s1′ represents an integer of 0 to 4;

[0149]

Z1represents a single bond or a C1to C6alkanediyl group, and one or more —CH2— contained in the alkanediyl group may be replaced by —O— or —CO—.

[0150]

In the formula (a1-5), R31is preferably a hydrogen atom, a methyl group or trifluoromethyl group;

[0151]

L1is preferably —O—;

[0152]

L2and L3are independently preferably *—O— or *—S—, and more preferably —O— for one and —S— for another;

[0153]

s1 is preferably 1;

[0154]

s1′ is preferably an integer of 0 to 2;

[0155]

Z1is preferably a single bond or —CH2—CO—O—.

[0156]

Examples of the compound represented by the formula (a1-5) include compounds below.

[0157]

[0158]

When the resin (A2) contains the structural unit derived from the monomer represented by the formula (a1-5), the proportion thereof is generally 1 to 50 mol %, preferably 3 to 45 mol %, and more preferably 5 to 40 mol %, with respect to the total structural units (100 mol %) constituting the resin (A2).

[0000]

<Acid Stable Monomer>

[0159]

As the acid stable monomer, a monomer having a hydroxy group or a lactone ring is preferable. When a resin containing the structural unit derived from a monomer having hydroxy group (hereinafter such acid stable monomer may be referred to as “acid stable monomer (a2)”) or a acid stable monomer having a lactone ring (hereinafter such acid stable monomer may be referred to as “acid stable monomer (a3)”) is used, the adhesiveness of resist to a substrate and resolution of resist tend to be improved.

[0000]

<Acid Stable Monomer (a2)>

[0160]

The acid stable monomer (a2), which has the hydroxy group, is preferably selected depending on the kinds of an exposure light source at producing the resist pattern.

[0161]

When KrF excimer laser lithography (248 nm), or high-energy irradiation such as electron beam or EUV light is used for the resist composition, using the acid stable monomer having a phenolic hydroxy group such as hydroxystyrene as the acid stable monomer (a2) is preferable.

[0162]

When ArF excimer laser lithography (193 nm), i.e., short wavelength excimer laser lithography is used, using the acid stable monomer having a hydroxy adamantyl group represented by the formula (a2-1) as the acid stable monomer (a2) is preferable.

[0163]

The acid stable monomer (a2) having the hydroxy group may be used as a single monomer or as a combination of two or more monomers.

[0164]

Examples of the acid stable monomer having hydroxy adamantyl include the monomer represented by the formula (a2-1).

[0165]

[0166]

wherein La3represents —O— or *—O—(CH2)k2—CO—O—;

[0167]

k2 represents an integer of 1 to 7;

    • represents a bind to —CO—;

[0169]

Ra14represents a hydrogen atom or a methyl group;

[0170]

Ra15and Ra16independently represent a hydrogen atom, a methyl group or a hydroxy group;

[0171]

o1 represents an integer of 0 to 10.

[0172]

In the formula (a2-1), La3is preferably —O—, —O—(CH2)f1—CO—O—, here f1 represents an integer of 1 to 4, and more preferably —O—.

[0173]

Ra14is preferably a methyl group.

[0174]

Ra15is preferably a hydrogen atom.

[0175]

Ra16is preferably a hydrogen atom or a hydroxy group.

[0176]

o1 is preferably an integer of 0 to 3, and more preferably an integer of 0 or 1.

[0177]

Examples of the acid stable monomer (a2-1) include monomers described in JP 2010-204646A. Among these, the monomers are preferably monomers represented by the formula (a2-1-1) to the formula (a2-1-6), more preferably monomers represented by the formula (a2-1-1) to the formula (a2-1-4), and still more preferably monomers represented by the formula (a2-1-1) and the formula (a2-1-3) below.

[0178]

[0179]

When the resin (A2) contains the acid stable structural unit derived from the monomer represented by the formula (a2-1), the proportion thereof is generally 3 to 40 mol %, preferably 5 to 35 mol %, more preferably 5 to 30 mol %, and still more preferably 5 to 20 mol %, with respect to the total structural units (100 mol %) constituting the resin (A2).

[0000]

<Acid Stable Monomer (a3)>

[0180]

The lactone ring included in the acid stable monomer (a3) may be a monocyclic compound such as β-propiolactone ring, γ-butyrolactone, δ-valerolactone, or a condensed ring with monocyclic lactone ring and other ring. Among these, γ-butyrolactone and condensed ring with γ-butyrolactone and other ring are preferable.

[0181]

Examples of the acid stable monomer (a3) having the lactone ring include monomers represented by the formula (a3-1), the formula (a3-2) and the formula (a3-3). These monomers may be used as a single monomer or as a combination of two or more monomers.

[0182]

[0183]

wherein La4to La6independently represent —O— or *—O—(CH2)k3—CO—O—;

[0184]

k3 represents an integer of 1 to 7, * represents a bind to —CO—;

[0185]

Ra18to Ra20independently represent a hydrogen atom or a methyl group;

[0186]

Ra21in each occurrence represents a C1to C4alkyl group;

[0187]

p1 represents an integer of 0 to 5;

[0188]

Ra22to Ra23in each occurrence independently represent a carboxyl group, cyano group, and a C1to C4alkyl group;

[0189]

q1 and r1 independently represent an integer of 0 to 3.

[0190]

In the formulae (a3-1) to (a3-3), La4to La6include the same group as described in La3above, and are independently preferably —O—, *—O—(CH2)k3′—CO—O—, here k3′ represents an integer of 1 to 4 (preferably 1), and more preferably —O—;

[0191]

Ra18to Ra21are independently preferably a methyl group.

[0192]

Ra22and Ra23are independently preferably a carboxyl group, cyano group or methyl group;

[0193]

p1 to r1 are independently preferably an integer of 0 to 2, and more preferably an integer of 0 or 1.

[0194]

Examples of the monomer (a3) include monomers described in JP 2010-204646A. Among these, the monomers are preferably monomers represented by the formula (a3-1-1) to the formula (a3-1-4), the formula (a3-2-1) to the formula (a3-2-4), the formula (a3-3-1) to the formula (a3-3-4), more preferably monomers represented by the formula (a3-1-1) to the formula (a3-1-2), the formula (a3-2-3) to the formula (a3-2-4), and still more preferably monomers represented by the formula (a3-1-1) and the formula (a3-2-3) below.

[0195]

[0196]

When the resin (A2) contains the structural units derived from the acid stable monomer (a3) having the lactone ring, the total proportion thereof is preferably 5 to 70 mol %, more preferably 10 to 65 mol %, still more preferably 15 to 60 mol %, with respect to the total structural units (100 mol %) constituting the resin (A2).

[0197]

When the resin (A2) is the copolymer of the acid labile monomer (a1) and the acid stable monomer, the proportion of the structural unit derived from the acid labile monomer (a1) is preferably 10 to 80 mol %, and more preferably 20 to 60 mol %, with respect to the total structural units (100 mol %) constituting the resin (A2).

[0198]

The proportion of the structural unit derived from the monomer having an adamantyl group (in particular, the monomer having the acid labile group (a1-1)) is preferably 15 mol % or more with respect to the structural units derived from the acid labile monomer (a1). As the mole ratio of the structural unit derived from the monomer having an adamantyl group increases within this range, the dry etching resistance of the resulting resist improves.

[0199]

The resin (A2) preferably is a copolymer of the acid labile monomer (a1) and the acid stable monomer. In this copolymer, the acid labile monomer (a1) is preferably at least one of the acid labile monomer (a1-1) having an adamantyl group and the acid labile monomer (a1-2) having a cyclohexyl group, and more preferably is the acid labile monomer (a1-1).

[0200]

The acid stable monomer is preferably the acid stable monomer (a2) having a hydroxy group and/or the acid stable monomer (a3) having a lactone ring. The acid stable monomer (a2) is preferably the monomer having the hydroxyadamantyl group (a2-1).

[0201]

The acid stable monomer (a3) is preferably at least one of the monomer having the γ-butyrolactone ring (a3-1) and the monomer having the condensed ring of the γ-butyrolactone ring and the norbornene ring (a3-2).

[0202]

The resin (A2) can be produced by a known polymerization method, for example, radical polymerization method, using at least one of the acid labile monomer (a1) and/or at least one of the acid stable monomer (a2) having a hydroxy group and/or at least one of the acid stable monomer (a3) having a lactone ring and/or at least one of a known compound.

[0203]

The weight average molecular weight of the resin (A2) is preferably 2,500 or more (more preferably 3,000 or more, and still more preferably 4,000 or more), and 50,000 or less (more preferably 30,000 or less, and still more preferably 15,000 or less).

[0204]

In the present resist composition, the weight ratio of the resins (A1)/(A2) (weight ratio) is preferably, for example, 0.01/10 to 5/10, more preferably 0.05/10 to 3/10, still more preferably 0.1/10 to 2/10, in particular, preferably 0.2/10 to 1/10.

[0000]

<Resin Other than Resin (A1) and Resin (A2)>

[0205]

The resist composition of the present invention may include a resin other than the resin (A1) and the resin (A2) described above. Such resin is a resin having a structural unit derived from the acid labile monomer, the acid stable monomer, as described above, and/or a known monomer in this field.

[0206]

When the resist composition of the present invention include a resin other than the resin (A1) and the resin (A2), the proportion thereof is generally 0.1 to 50 weight %, preferably 0.5 to 30 weight %, and more preferably 1 to 20 weight %, with respect to the total structural units (100 weight %) of the resin (A) in the resist composition.

[0207]

The proportion of the resin (A) can be adjusted with respect to the total solid proportion of the resist composition. For example, the resist composition of the present invention preferably contains 80 weight % or more and 99 weight % or less of the resin (A), with respect to the total solid proportion of the resist composition.

[0208]

In the specification, the term “solid proportion of the resist composition” means the entire proportion of all ingredients other than the solvent (E). For example, if the proportion of the solvent (E) is 90 weight %, the solid proportion of the resist composition is 10 weight %.

[0209]

The proportion of the resin (A) and the solid proportion of the resist composition can be measured with a known analytical method such as, for example, liquid chromatography and gas chromatography.

[0000]

<Acid Generator (B)>

[0210]

The acid generator (B) is classified into non-ionic-based or ionic-based acid generator. The present resist composition may be used either acid generators.

[0211]

Examples of the non-ionic-based acid generator include organic halogenated compounds; sulfonate esters such as 2-nitrobenzyl ester, aromatic sulfonate, oxime sulfonate, N-sulfonyl oxyimide, sulfonyl oxyketone and diazo naphthoquinone 4-sulfonate; sulfones such as disulfone, ketosulfone and sulfone diazomethane.

[0212]

Examples of the ionic acid generator includes onium salts containing onium cation (such as diazonium salts, phosphonium salts, sulfonium salts, iodonium salts).

[0213]

Examples of anion of onium salts include sulfonate anion, sulfonylimide anion and sulfonylmethyde anion.

[0214]

For the acid generator (B), compounds which generate an acid by radiation described in JP S63-26653-A, JP S55-164824-A, JP S62-69263-A, JP S63-146038-A, JP S63-163452-A, JP S62-153853-A, JP S63-146029-A, U.S. Pat. No. 3,779,778-B, U.S. Pat. No. 3,849,137-B, DE3,914,407-B and EP-126,712-A can be used.

[0215]

Also, as the acid generator (B), compounds formed according to conventional methods can be used

[0216]

The acid generator (B) is preferably a fluorine-containing acid generator represented by the formula (B1) as described below. In the acid generator (B1), electropositive Z+hereinafter may be referred to as “an organic cation”, and electronegative one in which the organic cation has been removed from the compound may be referred to as “sulfonate anion”.

[0217]

[0218]

wherein Q1and Q2independently represent a fluorine atom or a C1to C6perfluoroalkyl group;

[0219]

Lb1represents a single bond or an C1to C17divalent saturated hydrocarbon group, and one or more —CH2— contained in the divalent saturated hydrocarbon group may be replaced by —O— or —CO—;

[0220]

Y represents an optionally substituted C1to C18alkyl group or an optionally substituted C3to C18alicyclic hydrocarbon group, and one or more —CH2— contained in the alkyl group and alicyclic hydrocarbon group may be replaced by —O—, —CO— or —SO2—; and

[0221]

Z+ represents an organic cation.

[0222]

Examples of the perfluoroalkyl group of Q1and Q2include trifluoromethyl, perfluoroethyl, perfluoropropyl, perfluoro-isopropyl, perfluorobutyl, perfluoro-sec-butyl, perfluoro-tert-butyl, perfluoropentyl and perfluorohexyl groups.

[0223]

Among these, Q1and Q2independently are preferably trifluoromethyl or fluorine atom, and more preferably a fluorine atom.

[0224]

Examples of the a divalent saturated hydrocarbon group of Lb1include any of;

[0225]

a chain alkanediyl group such as methylene, ethylene, propane-1,3-diyl, propane-1,2-diyl, butane-1,4-diyl, pentane-1,5-diyl, hexane-1,6-diyl, heptane-1,7-diyl, octane-1,8-diyl, nonane-1,9-diyl, decane-1,10-diyl, undecane-1,11-diyl, dodecane-1,12-diyl, tridecane-1,13-diyl, tetradecane-1,14-diyl, pentadecane-1,15-diyl, hexadecane-1,16-diyl, heptadecane-1,17-diyl groups, methane-1,1-diyl, ethane-1,1-diyl, propan-1,1-diyl and propan-2,2-diyl groups;

[0226]

a branched chain alkanediyl group such as a group in which a chain alkanediyl group is bonded a side chain of a C1to C4alkyl group such as methyl, ethyl, propyl, isopropyl, butyl, sec-butyl and tert-butyl, for example, butan-1,3-diyl, 2-methylpropane-1,3-diyl, 2-methylpropane-1,2-diyl, pentane-1,4-diyl, 2-methylbutane-1,4-diyl groups;

[0227]

a mono-alicyclic hydrocarbon group such as a cyclialkanediyl group (e.g., cyclobutan-1,3-diyl, cyclopentan-1,3-diyl, cyclohexane-1,2-diyl, 1-methylhexane-1,2-diyl, cyclohexane-1,4-diyl, cyclooctan-1,2-diyl, cyclooctan-1,5-diyl groups);

[0228]

a poly-alicyclic hydrocarbon group such as norbornane-1,4-diyl, norbornane-2,5-diyl, adamantane-1,5-diyl and adamantane-2,6-diyl groups; and

[0229]

a combination of two or more groups.

[0230]

Examples of the saturated hydrocarbon group of Lb1in which one or more —CH2— contained in the saturated hydrocarbon group is replaced by —O— or —CO— include groups represented by the formula (b1-1) to the formula (b1-6) below. In the formula (b1-1) to the formula (b1-6), the group is represented so as to correspond with two sides of the formula (B1), that is, the left side of the group bonds to C(Q1)(Q2)- and the right side of the group bonds to —Y (examples of the formula (b1-1) to the formula (b1-6) are the same as above). * represents a bond.

[0231]

[0232]

wherein Lb2represents a single bond or a C1to C15divalent saturated hydrocarbon group;

[0233]

Lb3represents a single bond or a C1to C12divalent saturated hydrocarbon group;

[0234]

Lb4represents a C1to C13divalent saturated hydrocarbon group, the total number of the carbon atoms in Lb3and Lb4is at most 13;

[0235]

Lb5represents a C1to C15divalent saturated hydrocarbon group;

[0236]

Lb6and Lb7independently represent a C1to C15divalent saturated hydrocarbon group, the total number of the carbon atoms in Lb6and Lb7is at most 16;

[0237]

Lb8represents a C1to C14divalent saturated hydrocarbon group;

[0238]

Lb9and Lb10independently represent a C1to C11divalent saturated hydrocarbon group, the total number of the carbon atoms in Lb9and Lb10is at most 12.

[0239]

Among these, Lb1is preferably the groups represented by the formula (b1-1) to the formula (b1-4), more preferably the group represented by the formula (b1-1) or the formula (b1-2), and still more preferably the group represented by the formula (b1-1). In particular, the divalent group represented by the formula (b1-1) in which Lb2represents a single bond or —CH2— is preferable.

[0240]

Specific examples of the divalent group represented by the formula (b1-1) include groups below. In the formula below, * represent a bond.

[0241]

[0242]

Specific examples of the divalent group represented by the formula (b1-2) include groups below.

[0243]

[0244]

Specific examples of the divalent group represented by the formula (b1-3) include groups below.

[0245]

[0246]

Specific examples of the divalent group represented by the formula (b1-4) include a group below.

[0247]

[0248]

Specific examples of the divalent group represented by the formula (b1-51 include groups below.

[0249]

[0250]

Specific examples of the divalent group represented by the formula (b1-6) include groups below.

[0251]

[0252]

Examples of the alkyl group of Y include methyl, ethyl, 1-methylethyl, 1,1-dimethylethyl, 2,2-dimethylethyl, propyl, 1-methylpropyl, 2,2-dimethylpropyl, 1-ethylpropyl, butyl, 1-methylbutyl, 2-methylbutyl, 3-methylbutyl, 1-propylbutyl, pentyl, 1-methylpentyl, hexyl, 1,4-dimethylhexyl, heptyl, 1-methylheptyl, octyl, methyloctyl, methylnonyl, 2-ethylhexyl, nonyl, decyl, undecyl and dodecyl groups.

[0253]

The alkyl group of Y is preferably a C1to C6alkyl group.

[0254]

Examples of the alicyclic hydrocarbon group of Y include groups represented by the formula (Y1) to the formula (Y11).

[0255]

The alicyclic group of Y is preferably a C3to C12alicyclic hydrocarbon group.

[0256]

[0257]

Y may have a substituent.

[0258]

Examples of the substituent of Y include a halogen atom, a hydroxy group, an oxo group, a C1to C12alkyl group, a hydroxy group-containing C1to C12alkyl group, a C3to C16alicyclic hydrocarbon group, a C1to C12alkoxy group, a C6to C18aromatic hydrocarbon group, a C7to C21aralkyl group, a C2to C4acyl group, a glycidyloxy group or a —(CH2)j2—O—CO—Rb1group, wherein Rb1represents a C1to C16alkyl group, a C3to C16alicyclic hydrocarbon group or a C6to C18aromatic hydrocarbon group, j2 represents an integer of 0 to 4. The alkyl group, alicyclic hydrocarbon group, aromatic hydrocarbon group and the aralkyl group of the substituent may further have a substituent such as a C1to C6alkyl group, a halogen atom, a hydroxy group and an oxo group.

[0259]

Examples of the hydroxy group-containing alkyl group include hydroxymethyl and hydroxyethyl groups

[0260]

Examples of the aralkyl group include benzyl, phenethyl, phenylpropyl, naphthylmethyl and naphthylethyl groups.

[0261]

Examples of alicyclic hydrocarbon group of Y in which one or more —CH2— contained in the alicyclic hydrocarbon group is replaced by —O—, —CO— or —SO2— include groups represented by the formula (Y12) to the formula (Y26).

[0262]

Among these, the alicyclic hydrocarbon group is preferably any one of groups represented by the formula (Y1) to the formula (Y19), more preferably any one of groups represented by the formula (Y11), (Y14), (Y15) or (Y19), and still more preferably group represented by the formula (Y11) or (Y14).

[0263]

Examples of Y include the groups below.

[0264]

[0265]

When Y represents an alkyl group and Lb1represents a C1to C17divalent alicyclic hydrocarbon group, the —CH2— contained in the divalent alicyclic hydrocarbon group bonding Y is preferably replaced by an oxygen atom or carbonyl group. In this case, the —CH2— contained in the alkyl group constituting Y is not replaced by an oxygen atom or carbonyl group.

[0266]

Y is preferably an optionally substituted C3to C15alicyclic hydrocarbon group, more preferably an adamantyl group which is optionally substituted, for example, an oxo group and a hydroxy group, and still more preferably an adamantyl group, a hydroxyadamantyl group and an oxoadamantyl group.

[0267]

The sulfonate anion is preferably a sulfonate anions represented by the formula (b1-1-1) to the formula (b1-1-9) below. In the formula (b1-1-1) to the formula (b1-1-9), Q1, Q2and Lb2represents the same meaning as defined above. Rb2and Rb3independently represent a C1to C4alkyl group (preferably methyl group).

[0268]

[0269]

Specific examples of the sulfonate anion include sulfonate anions described in JP2010-204646A.

[0270]

Examples of the cation of the acid generator (B) include an organic onium cation, for example, organic sulfonium cation, organic iodonium cation, organic ammonium cation, benzothiazolium cation and organic phosphonium cation. Among these, organic sulfonium cation and organic iodonium cation are preferable, and aryl sulfonium cation is more preferable.

[0271]

Z+ of the formula (B1) is preferably represented by any of the formula (b2-1) to the formula (b2-4).

[0272]

[0273]

wherein Rb4, Rb5and Rb6independently represent a C1to C30hydrocarbon group, the hydrocarbon group is preferably a C1to C30alkyl group, a C3to C18alicyclic hydrocarbon group or a C6to C18aromatic hydrocarbon group, the alkyl group may be substituted with a hydroxy group, a C1to C12alkoxy group or a C6to C18aromatic hydrocarbon group, the alicyclic hydrocarbon group may be substituted with a halogen atom, a C2to C4acyl group and a glycidyloxy group, the aromatic hydrocarbon group may be substituted with a halogen atom, a hydroxy group, a C1to C18alkyl group, a C3to C18alicyclic hydrocarbon group or a C1to C12alkoxy group;

[0274]

Rb7and Rb8in each occurrence independently represent a hydroxy group, a C1to C12alkyl group or a C1to C12alkoxyl group;

[0275]

m2 and n2 independently represent an integer of 0 to 5;

[0276]

Rb9and Rb10independently represent a C1to C18alkyl group or a C3to C18alicyclic hydrocarbon group, or Rb9and Rb10may be bonded together with a sulfur atom bonded thereto to form a sulfur-containing 3-to 12-membered (preferably 3- to 7-membered) ring, and one or more —CH2— contained in the ring may be replaced by —O—, —S— or —CO—;

[0277]

Rb11represents a hydrogen atom, a C1to C18alkyl group, a C3to C18alicyclic hydrocarbon group or a C6to C18aromatic hydrocarbon group;

[0278]

Rb12represents a C1to C12alkyl group, a C3to C18alicyclic hydrocarbon group and a C6to C18aromatic hydrocarbon group, the aromatic hydrocarbon group may be substituted with a C1to C12alkyl group, a C1to C12alkoxy group, a C3to C18alicyclic hydrocarbon group or a C1to C12alkyl carbonyloxy group;

[0279]

Rb11and Rb12may be bonded together with —CH—CO— bonded thereto to form a 3- to 12-membered (preferably a 3- to 7-membered) ring, and one or more —CH2— contained in the ring may be replaced by —O—, —S— or —CO—;

[0280]

Rb13, Rb14, Rb15, Rb16, Rb17and Rb18in each occurrence independently represent a hydroxy group, a C1to C12alkyl group or a C1to C12alkoxy group;

[0281]

Lb11represents —S— or —O—;

[0282]

o2, p2, s2 and t2 independently represent an integer of 0 to 5;

[0283]

q2 or r2 independently represent an integer of 0 to 4;

[0284]

u2 represents an integer of 0 or 1.

[0285]

Examples of the alkyl group include methyl, ethyl, n-propyl, isopropyl, n-butyl, sec-butyl, tert-butyl, pentyl, hexyl, octyl and 2-ethylhexyl groups. In particular, the alkyl group of Rb9to Rb11is preferably a C1to C12alkyl group.

[0286]

Examples of the alicyclic hydrocarbon group include a monocyclic hydrocarbon groups such as cyclopropyl, cyclobutyl, cyclopentyl, cyclohexyl, cycloheptyl, cyclodecyl, 2-alkyladamantane-2-yl, 1-(adamatane-1-yl)-1-alkyl and isobornyl groups. In particular, the alicyclic hydrocarbon group of Rb9to Rb11is preferably a C3to C18alicyclic hydrocarbon group and more preferably a C4to C12alicyclic hydrocarbon group.

[0287]

Examples of the aromatic hydrocarbon group include phenyl, naphthyl, 4-methylphenyl, 4-ethylphenyl, 4-t-butylphenyl, 4-cyclohexylphenyl, 4-methoxyphenyl and biphenyl groups.

[0288]

Examples of the aromatic group substituted with an alkyl group typically represent an aralkyl group such as benzyl and phenethyl groups.

[0289]

Examples of the alkoxy group include methoxy, ethoxy, propoxy, butoxy, pentyloxy, hexyloxy, heptyloxy, octyloxy, decyloxy and dodecyloxy groups.

[0290]

Examples of the halogen atom include chlorine, bromine and iodine atoms.

[0291]

Examples of the acyl group include acetyl, propionyl and butyryl groups.

[0292]

Examples of the alkyl carbonyloxy group of the Rb12include methyl carbonyloxy, ethyl carbonyloxy, n-propyl carbonyloxy, isopropyl carbonyloxy, n-butyl carbonyloxy, sec-butyl carbonyloxy, tert-butyl carbonyloxy, pentyl carbonyloxy, hexyl carbonyloxy, octylcarbonyloxy and 2-ethylhexylcarbonyloxy groups.

[0293]

Examples of the ring having —CH—CO— and formed by Rb9and Rb10bonded together include thiolane-1-ium ring (tetrahydrothiophenium ring), thian-1-ium ring and 1,4-oxathian-4-ium ring.

[0294]

Examples of the ring having a sulfur atom and formed by Rb11and Rb12bonded together include oxocycloheptane ring, oxocyclohexane ring, oxonorbornane ring and oxoadamantane ring.

[0295]

Among the cations represented by the formula (b2-1) to the formula (b2-4), the cation represented by the formula (b2-1-1) is preferable, and triphenyl sulfonium cation (v2=w2=×2=0 in the formula (b2-1-1)), diphenyltolyl sulfonium cation (v2=w2=0, x2=1, and Rb21is a methyl group in the formula (b2-1-1)) and tritolyl sulfonium cation (v2=w2=×2=1, Rb19, Rb20and Rb21are a methyl group in the formula (b2-1-1)) are more preferable.

[0296]

[0297]

wherein Rb19, Rb20and Rb21in each occurrence independently represent a halogen atom, a hydroxy group, a C1to C12alkyl group, a C3to C18alicyclic hydrocarbon group or a C1to C12alkoxy group, and the alkyl group, the alicyclic hydrocarbon group and the alkoxy group may be substituted with a halogen group, a hydroxy group, a C1to C12alkoxy group, a C6to C18aromatic hydrocarbon group, a C2to C4acyl group or a glycidyloxy group;

[0298]

v2 to x2 independently represent an integer of 0 to 5.

[0299]

In the formula (b2-1-1), Rb19to Rb21independently preferably represent a halogen atom (and more preferably fluorine atom), a hydroxy group, a C1to C12alkyl group or a C1to C12alkoxy group; and

[0300]

v2 to x2 independently represent preferably 0 or 1.

[0301]

Specific examples of the organic cations represented by the formula (b2-1) to the formula (b2-4) include, for example, compounds described in JP2010-204646A.

[0302]

The acid generator (B1) is a compound in combination of the above sulfonate anion and an organic cation.

[0303]

The above sulfonate anion and the organic cation may optionally be combined, combinations which are any of anions represented by the formula (b1-1-1) to the formula (b1-1-9) and any of cations (b2-1-1), and combinations which are any of anions represented by the formula (b1-1-3) to the formula (b1-1-5) and any of cations (b2-3) are preferable.

[0304]

Preferred acid generators (B1) are represented by the formula (B1-1) to the formula (B1-17). Among these, the formulae (B1-1), (B1-2), (B1-6), (B1-11), (B1-12), (B1-13) and (B1-14) which contain triphenyl sulfonium cation, and the formulae (B1-3) and (B1-7) which contain tritolyl sulfonium cation are preferable.

[0305]

[0306]

The proportion of the acid generator (B) is preferably not less than 1 parts by weight (and more preferably not less than 3 parts by weight), and not more than 30 parts by weight (and more preferably not more than 25 parts by weight), with respect to 100 parts by weight of the resin (A2).

[0307]

In the resist composition of the present invention, the acid generator may be used as a single salt or as a combination of two or more salts.

Compound (II)

[0308]

The compound (II) is generally used as a quencher. The compound (II) is selected from the group consisting of a compound represented by the formula (II1) and a compound represented by the formula (II2) below.

[0309]

[0310]

wherein R6represents a C1to C12alkyl group, a C3to C18alicyclic hydrocarbon group or a C6to C14aromatic hydrocarbon group, one or more hydrogen atom contained in the alkyl group may be replaced by a fluorine atom, one or more hydrogen atom contained in the alicyclic hydrocarbon group may be replaced by a hydroxy group, a C1to C4hydroxyalkyl group, a C1to C4fluorinated hydroxyalkyl group, a C1to C4alkoxyl group or a C2to C5acyloxy group, one or more hydrogen atom contained in the aromatic hydrocarbon group may be replaced by a fluorine atom, chlorine atom, a cyano group, a nitro group, a C1to C4alkyl group, a C1to C4alkoxyl group, a C2to C5acyl group, a C2to C5acyloxy group, a C2to C5alkoxycarbonyl group or a phenyl group, and one or more —CH2— contained in the alicyclic hydrocarbon group may be replaced by —O—, —CO—, —N(Rd)—, —S— or —SO2—;

[0311]

X1represents a single bond or a C1to C10alkanediyl group, one or more hydrogen atom contained in the alkanediyl group may be replaced by a fluorine atom, and one or more —CH2— contained in the alkanediyl group may be replaced by —O— or —CO;

[0312]

X2represents —O— or —N(Rd)—;

[0313]

Rdrepresents a hydrogen atom or a C1to C4alkyl group;

[0314]

R3, R4and R5independently represent a hydrogen atom, a C1to C4alkyl group or a C6to C14aromatic hydrocarbon group.

[0315]

Examples of the hydroxyalkyl group of R6include alkyl groups having a hydroxy group such as hydroxymethyl, 2-hydroxyethyl, 2-hydroxypropyl, 3-hydroxypropyl, 2,3-dihydroxypropyl, 4-hydroxybutyl and 3,4-dihydroxybutyl groups.

[0316]

Examples of the fluorinated hydroxyalkyl group include alkyl groups having a fluoro group and a hydroxy group such as hydroxy difluoromethyl, hydroxy fluoroethyl, dihydroxy fluoroethyl, hydroxyfluoropropyl, dihydroxyfluoropropyl, hydroxyfluoroisopropyl, hydroxyfluorobutyl, hydroxyfluoro sec-butyl, hydroxyfluoro tert-butyl and dihydroxyfluorobutyl groups.

[0317]

Examples of the acyloxy group include acetyloxy, puropionyloxy and butyryloxy groups.

[0318]

Examples of the alkoxycarbonyl group include methoxycarbonyl and ethoxycarbonyl groups.

[0319]

Examples of R6include groups below. Among these, a group having an oxygen atom for R6is preferable.

[0320]

[0321]

Examples of the alkanediyl group of X1include methylene, ethylene, propane-1,2-diyl, 1-methylpropane-1,2-diyl, 2,2-dimethylpropane-1,3-diyl, octane-1,8-diyl, decane-1 and 10-diyl groups.

[0322]

Examples of the group in which one or more hydrogen atom is replaced by a fluorine atom and/or the group in which one or more —CH2— is replaced by —O— or —CO include groups below.

[0323]

[0324]

Examples of the compound (II1) include compounds below.

[0325]

[0326]

Examples of the compound (II2) include compounds below.

[0327]

[0328]

Among these, the compound (II) is preferably compound below.

[0329]

[0330]

The total proportion of the compound (II) is preferably 0.01 to 1 weight %, with respect to the total solid proportion of the resist composition.

[0000]

<Solvent (E)>

[0331]

The resist composition of the present invention preferably includes a solvent (E). The proportion of the solvent (E) 90 weight % or more, preferably 92 weight % or more, and more preferably 94 weight % or more, and also preferably 99 weight % or less and more preferably 99.9 weight % or less. The proportion of the solvent (D) can be measured with a known analytical method such as, for example, liquid chromatography and gas chromatography.

[0332]

Examples of the solvent (E) include glycol ether esters such as ethylcellosolve acetate, methylcellosolve acetate and propylene glycol monomethyl ether acetate; glycol ethers such as propylene glycol monomethyl ether; ethers such as diethylene glycol dimethyl ether; esters such as ethyl lactate, butyl acetate, amyl acetate and ethyl pyruvate; ketones such as acetone, methyl isobutyl ketone, 2-heptanone and cyclohexanone; and cyclic esters such as γ-butyrolactone. These solvents may be used as a single solvent or as a mixture of two or more solvents.

[0000]

<Basic Compound (C)>

[0333]

The resist composition of the present invention may contain a basic compound (C) which is different from the above compound (II). The basic compound (C) is a compound having a property to quench an acid, in particular, generated from the acid generator (B), and called “quencher”.

[0334]

As the basic compounds (C), nitrogen-containing basic compounds (for example, amine and basic ammonium salt) are preferable. The amine may be an aliphatic amine or an aromatic amine. The aliphatic amine includes any of a primary amine, secondary amine and tertiary amine. The aromatic amine includes an amine in which an amino group is bonded to an aromatic ring such as aniline, and a hetero-aromatic amine such as pyridine.

[0335]

Preferred basic compounds (C) include compounds presented by the formula (C1) to the formula (C8) as described below. Among these, the basic compound presented by the formula (C1-1) is more preferable.

[0336]

[0337]

wherein Rc1, Rc2and Rc3independently represent a hydrogen atom, a C1to C6alkyl group, C5to C10alicyclic hydrocarbon group or a C6to C10aromatic hydrocarbon group, one or more hydrogen atom contained in the alkyl group and alicyclic hydrocarbon group may be replaced by a hydroxy group, an amino group or a C1to C6alkoxyl group, one or more hydrogen atom contained in the aromatic hydrocarbon group may be replaced by a C1to C6alkyl group, a C1to C6alkoxyl group, a C5to C10alicyclic hydrocarbon group or a C6to C10aromatic hydrocarbon group.

[0338]

[0339]

wherein Rc2and Rc3have the same definition of the above;

[0340]

Rc4in each occurrence represents a C1to C6alkyl group, a C1to C6alkoxyl group, a C5to C10alicyclic hydrocarbon group or a C6to C10aromatic hydrocarbon group;

[0341]

m3 represents an integer 0 to 3.

[0342]

    • wherein Rc5, Rc6, Rc7and Rc8independently represent the any of the group as described in Rc1of the above;

[0344]

Rc9in each occurrence independently represents a C1to C6alkyl group, a C3to C6alicyclic hydrocarbon group or a C2to C6alkanoyl group;

[0345]

n3 represents an integer of 0 to 8.

[0346]

Examples of the alkanoyl group include acetyl group, 2-methylacetyl group, 2,2-dimethylacetyl group, propionyl group, butylyl group, isobutylyl group, pentanoyl group, and 2,2-dimethylpropionyl group.

[0347]

[0348]

wherein Rc10, Rc11, Rc12, Rc13and Rc16independently represent the any of the groups as described in Rc1;

[0349]

Rc14, Rc15and Rc17in each occurrence independently represent the any of the groups as described in Rc4;

[0350]

o3 and p3 represent an integer of 0 to 3;

[0351]

Lc1represents a divalent C1to C6alkanediyl group, —CO—, —C(═NH)—, —S— or a combination thereof.

[0352]

[0353]

wherein Rc18, Rc19and Rc20in each occurrence independently represent the any of the groups as described in Rc4;

[0354]

q3, r3 and s3 represent an integer of 0 to 3;

[0355]

Lc2represents a single bond, a C1to C6alkanediyl group, —CO—, —C(═NH)—, —S— or a combination thereof.

[0356]

Specific examples of the amine represented by the formula (C1) include 1-naphtylamine and 2-naphtylamine, aniline, diisopropylaniline, 2-, 3- or 4-methylaniline, 4-nitroaniline, N-methylaniline, N,N-dimethylaniline, diphenylamine, hexylamine, heptylamine, octylamine, nonylamine, decylamine, dibutylamine, dipentylamine, dihexylamine, diheptylamine, dioctylamine, dinonylamine, didecylamine, triethylamine, trimethylamine, tripropylamine, tributylamine, tripentylamine, trihexylamine, triheptylamine, trioctylamine, trinonylamine, tridecylamine, methyldibutylamine, methyldipentylamine, methyldihexylamine, methyldicyclohexylamine, methyldiheptylamine, methyldioctylamine, methyldinonylamine, methyldidecylamine, ethyldibutylamine, ethyldipentylamine, ethyldihexylamine, ethyldiheptylamine, ethyldioctylamine, ethyldinonylamine, ethyldidecylamine, dicyclohexylmethylamine, tris[2-(2-methoxyethoxy)ethyl]amine, triisopropanolamine, ethylene diamine, tetramethylene diamine, hexamethylene diamine, 4,4′-diamino-1,2-diphenylethane, 4,4′-diamino-3,3′-dimethyldiphenylmethane and 4,4′-diamino-3,3′-diethyldiphenylmethane.

[0357]

Among these, diisopropylaniline is preferable, particularly 2,6-diisopropylaniline is more preferable as the basic compounds (C) contained in the present resist composition.

[0358]

Specific examples of the compound represented by the formula (C2) include, for example, piperadine.

[0359]

Specific examples of the compound represented by the formula (C3) include, for example, morpholine.

[0360]

Specific examples of the compound represented by the formula (C4) include, for example, piperidine, a hindered amine compound having piperidine skeleton described in JP H11-52575-A.

[0361]

Specific examples of the compound represented by the formula (C5) include, for example, 2,2′-methylenebisaniline.

[0362]

Specific examples of the compound represented by the formula (C6) include, for example, imidazole and 4-methylimidazole.

[0363]

Specific examples of the compound represented by the formula (C7) include, for example, pyridine and 4-methylpyrizine.

[0364]

Specific examples of the compound represented by the formula (C8) include, for example, 1,2-di(2-pyridyl)ethane, 1,2-di(4-pyridyl)ethane, 1,2-di(2-pyridyl)ethene, 1,2-di(4-pyridyl)ethene, 1,3-di(4-pyridyl)propane, 1,2-di(4-pyridyloxy)ethane, di(2-pyridyl)ketone, 4,4′-dipyridyl sulfide, 4,4′-dipyridyl disulfide, 2,2′-dipyridylamine, 2,2′-dipicolylamine and bipyridine.

[0365]

Examples of the ammonium salt include tetramethylammonium hydroxide, tetraisopropylammonium hydroxide, tetrabutylammonium hydroxide, tetrahexylammonium hydroxide, tetraoctylammonium hydroxide, phenyltrimethyl ammonium hydroxide, 3-(trifluoromethyl)phenyltrimethylammonium hydroxide, tetra-n-butyl ammonium salicylate and choline.

[0366]

The proportion of the basic compound (C) is preferably 0.01 to 5 weight %, more preferably 0.01 to 3 weight %, and still more preferably 0.01 to 1 weight % with respect to the total solid proportion of the resist composition.

[0000]

<Other Ingredient (Hereinafter May be Referred to as “Other Ingredient (F)”>

[0367]

The resist composition can also include small amounts of various additives such as sensitizers, dissolution inhibitors, surfactants, stabilizers, and dyes, as needed.

[0000]

<Preparing the Resist Composition>

[0368]

The present resist composition can be prepared by mixing the resin (A), the acid generator (B) and the compound (II), and the basic compound (C), the solvent (E) and the other ingredient (F) as needed. There is no particular limitation on the order of mixing. The mixing may be performed in an arbitrary order. The temperature of mixing may be adjusted to an appropriate temperature within the range of 10 to 40° C., depending on the kinds of the resin and solubility in the solvent (E) of the resin. The time of mixing may be adjusted to an appropriate time within the range of 0.5 to 24 hours, depending on the mixing temperature. There is no particular limitation to the tool for mixing. An agitation mixing may be adopted.

[0369]

After mixing the above ingredients, the present resist compositions can be prepared by filtering the mixture through a filter having about 0.003 to 0.2 pore diameter.

[0000]

<Method for Producing Resist Pattern>

[0370]

The method for producing resist pattern of the present invention includes the steps of:

[0371]

(1) applying the resist composition of the present invention onto a substrate;

[0372]

(2) drying the applied composition to form a composition layer;

[0373]

(3) exposing the composition layer;

[0374]

(4) heating the exposed composition layer, and

[0375]

(5) developing the heated composition layer.

[0376]

Applying the resist composition onto the substrate can generally be carried out through the use of a resist application device, such as a spin coater known in the field of semiconductor microfabrication technique. The thickness of the applied resist composition layer can be adjusted by controlling the variable conditions of the resist application device. These conditions can be selected based on a pre-experiment carried out beforehand. The substrate can be selected from various substrates intended to be microfabricated. The substrate may be washed, and an organic antireflection film may be formed on the substrate by use of a commercially available antireflection composition, before the application of the resist composition.

[0377]

Drying the applied composition layer, for example, can be carried out using a heating device such as a hotplate (so-called “prebake”), a decompression device, or a combination thereof. Thus, the solvent evaporates from the resist composition and a composition layer with the solvent removed is formed. The condition of the heating device or the decompression device can be adjusted depending on the kinds of the solvent used. The temperature in this case is generally within the range of 50 to 200° C. Moreover, the pressure is generally within the range of 1 to 1.0×105Pa.

[0378]

The composition layer thus obtained is generally exposed using an exposure apparatus or a liquid immersion exposure apparatus. The exposure is generally carried out through a mask that corresponds to the desired pattern. Various types of exposure light source can be used, such as irradiation with ultraviolet lasers such as KrF excimer laser (wavelength: 248 nm), ArF excimer laser (wavelength: 193 nm), F2excimer laser (wavelength: 157 nm), or irradiation with far-ultraviolet wavelength-converted laser light from a solid-state laser source (YAG or semiconductor laser or the like), or vacuum ultraviolet harmonic laser light or the like. Also, the exposure device may be one which irradiates electron beam or extreme-ultraviolet light (EUV).

[0379]

After exposure, the composition layer is subjected to a heat treatment (so-called “post-exposure bake”) to promote the deprotection reaction. The heat treatment can be carried out using a heating device such as a hotplate. The heating temperature is generally in the range of 50 to 200° C., preferably in the range of 70 to 150° C.

[0380]

The composition layer is developed after the heat treatment, generally with an alkaline developing solution and using a developing apparatus. The development here means to bring the composition layer after the heat treatment into contact with an alkaline solution. Thus, the exposed portion of the composition layer is dissolved by the alkaline solution and removed, and the unexposed portion of the composition layer remains on the substrate, whereby producing a resist pattern. Here, as the alkaline developing solution, various types of aqueous alkaline solutions used in this field can be used. Examples include aqueous solutions of tetramethylammonium hydroxide and (2-hydroxyethyl)trimethylammonium hydroxide (common name: choline).

[0381]

After the development, it is preferable to rinse the substrate and the pattern with ultrapure water and to remove any residual water thereon.

[0000]

<Application>

[0382]

The resist composition of the present invention is useful as the resist composition for excimer laser lithography such as with ArF, KrF or the like, and the resist composition for electron beam (EB) exposure lithography and extreme-ultraviolet (EUV) exposure lithography, as well as liquid immersion exposure lithography.

[0383]

The resist composition of the present invention can be used in semiconductor microfabrication and in manufacture of liquid crystals, thermal print heads for circuit boards and the like, and furthermore in other photofabrication processes, which can be suitably used in a wide range of applications.

EXAMPLES

[0384]

The present invention will be described more specifically by way of examples, which are not construed to limit the scope of the present invention.

[0385]

All percentages and parts expressing the content or amounts used in the Examples and Comparative Examples are based on weight, unless otherwise specified.

[0386]

The composition ratio of the resin (the copolymerization ratio of the structural unit derived from each monomer used in the preparation with respect to the resin) was calculated by measuring the amount of the unreacted monomer in the reacted solution after the completion of the reaction through liquid chromatography, and calculating the amount of the monomer use in the polymerization from the obtained results.

[0387]

The weight average molecular weight is a value determined by gel permeation chromatography.

[0388]

Column: TSK gel Multipore HXL-M×3+guardcolumn (Tosoh Co. Ltd.)

[0389]

Eluant: tetrahydrofuran

[0390]

Flow rate: 1.0 mL/min

[0391]

Detecting device: RI detector

[0392]

Column temperature: 40° C.

[0393]

Injection amount: 100 μL

[0394]

Standard material for calculating molecular weight: standard polysthylene (Toso Co. ltd.)

Synthesis Example 1

Synthesis of Compound Represented by the Formula (K)

[0395]

[0396]

10.00 parts of a compound (K-2), 40.00 parts of tetrahydrofuran and 7.29 parts of pyridine were mixed, and stirred for 30 minutes at 23° C. The obtained mixture was cooled to 0° C. To this mixture was added 33.08 parts of a compound (K-1) over 1 hour while maintaining at the same temperature. The temperature of the mixture was then elevated to about 23° C., and the mixture was stirred for 3 hour at the same temperature. To the obtained reactant, 361.51 parts of ethyl acetate and 20.19 parts of 5% of hydrochloric acid solution was added to obtain a mixture, the mixture was stirred for 30 minutes at 23° C. The obtained solution was allowed to stand, and then separated to recover an organic layer. To the recovered organic layer, 81.42 parts of a saturated sodium hydrogen carbonate was added, and the obtained solution was stirred for 30 minutes at 23° C., allowed to stand, and then separated to recover the organic layer. To the recovered organic layer was added 90.38 parts of ion-exchanged water, and the obtained solution was stirred for 30 minutes at 23° C., allowed to stand, and then separated to wash the organic layer with water. These washing operations were repeated for 5 times. The obtained organic layer was concentrated, resulting in 23.40 parts of the compound (K).

[0397]

MS (mass spectroscopy): 326.0 (molecular peak)

Synthesis Example 2

Synthesis of Compound Represented by the Formula (H)

[0398]

[0399]

88.00 parts of a compound (H-2), 616.00 parts of methyl isobutyl ketone and 60.98 parts of pyridine were mixed, and stirred for 30 minutes at 23° C. The obtained mixture was cooled to 0° C. To this mixture was added 199.17 parts of a compound (H-1) over 1 hour while maintaining at the same temperature. The temperature of the mixture was then elevated to about 10° C., and the mixture was stirred for 1 hour at the same temperature. Thus obtained reactant was added to 1446.22 parts of n-heptane and 703.41 parts of 2% of hydrochloric acid solution to obtain a mixture, the mixture was stirred for 30 minutes at 23° C. The obtained solution was allowed to stand, and then separated to recover an organic layer. To the recovered organic layer, 337.64 parts of 2% of hydrochloric acid solution was added to obtain a mixture, and the mixture was stirred for 30 minutes at 23° C. The obtained solution was allowed to stand, and then separated to recover an organic layer. To the recovered organic layer, 361.56 parts of ion-exchanged water was added, and the obtained solution was stirred for 30 minutes at 23° C., allowed to stand, and then separated to wash the organic layer with water. To the obtained organic layer, 443.92 parts of 10% of potassium carbonate was added, and the obtained solution was stirred for 30 minutes at 23° C., allowed to stand, and then separated to recover the organic layer. These washing operations were repeated for 2 times. To the obtained organic layer, 361.56 parts of ion-exchanged water was added, and the obtained solution was stirred for 30 minutes at 23° C., allowed to stand, and then separated to wash the organic layer with water. These washing operations were repeated for 5 times. The obtained organic layer was concentrated, resulting in 163.65 parts of the compound (H).

[0400]

MS (mass spectroscopy): 276.0 (molecular ion peak)

Synthesis Example 3

Synthesis of Compound Represented by the Formula (L)

[0401]

[0402]

30.00 parts of a compound (L-2), 210.00 parts of methyl isobutyl ketone and 18.00 parts of pyridine were mixed, and stirred for 30 minutes at 23° C. The obtained mixture was cooled to 0° C. To this mixture was added 48.50 parts of a compound (L-1) over 1 hour while maintaining at the same temperature. The temperature of the mixture was then elevated to about 5° C., and the mixture was stirred for 1 hour at the same temperature. To the obtained reactant, 630 parts of ethyl acetate, 99.68 parts of 5% of hydrochloric acid solution and 126 parts of ion-exchanged water was added to obtain a mixture, the mixture was stirred for 30 minutes at 23° C. The obtained solution was allowed to stand, and then separated to recover an organic layer. To the recovered organic layer, 86.50 parts of 10% of potassium carbonate solution was added to obtain a mixture, and the mixture was stirred for 30 minutes at 23° C. The obtained solution was allowed to stand, and then separated to recover an organic layer. These washing operations were repeated for two times. To the recovered organic layer, 157.50 parts of ion-exchanged water was added, and the obtained solution was stirred for 30 minutes at 23° C., allowed to stand, and then separated to wash the organic layer with water. These washing operations were repeated for five times. The obtained organic layer was concentrated, resulting in 27.61 parts of the compound (L).

[0403]

MS (mass spectroscopy): 354.1 (molecular ion peak)

Synthesis Example 4

Synthesis of Compound Represented by the Formula (M)

[0404]

[0405]

27.34 parts of a compound (M−2), 190.00 parts of methyl isobutyl ketone and 18.00 parts of pyridine were mixed, and stirred for 30 minutes at 23° C. The obtained mixture was cooled to 0° C. To this mixture was added 48.50 parts of a compound (M-1) over 1 hour while maintaining at the same temperature. The temperature of the mixture was then elevated to about 5° C., and the mixture was stirred for 1 hour at the same temperature. Thus obtained reactant was added to 570 parts of ethyl acetate, 99.68 parts of 5% of hydrochloric acid solution and 126 parts of ion-exchanged water to obtain a mixture, the mixture was stirred for 30 minutes at 23° C. The obtained solution was allowed to stand, and then separated to recover an organic layer. To the recovered organic layer, 86.50 parts of 10% of potassium carbonate solution was added to obtain a mixture, and the mixture was stirred for 30 minutes at 23° C. The obtained solution was allowed to stand, and then separated to recover an organic layer. These washing operations were repeated for two times. To the recovered organic layer, 150 parts of ion-exchanged water was added, and the obtained solution was stirred for 30 minutes at 23° C., allowed to stand, and then separated to wash the organic layer with water. These washing operations were repeated for five times. The obtained organic layer was concentrated, resulting in 23.89 parts of the compound (M).

[0406]

MS (mass spectroscopy): 340.1 (molecular ion peak)

Synthesis Example 5

Synthesis of a Compound D-1

[0407]

[0408]

7 parts of the compound represented by the formula (D-1-a) and 70 parts of methylene chloride was mixed, and 16.85 parts of the compound represented by the formula (D-1-b) (trade name: carbonyl imidazole, Tokyo Chemical Industry Co., LTD) was added to the obtained mixture, and stirred for 1 hour at 23° C. After that, 30 parts of ion-exchanged water was added thereto, stirred, and separated to obtain an organic layer. These operations were repeated five times. The obtained organic layer was concentrated, whereby giving 9.23 parts of the compound (D-1).

[0409]

Mass: 168.1

Synthesis Example 6

Synthesis of a Compound D-2

[0410]

[0411]

10.00 parts of the compound represented by the formula (D-2-a) and 70 parts of methylene chloride was mixed, and 9.79 parts of the compound represented by the formula (D-1-b) (trade name: carbonyl imidazole, Tokyo Chemical Industry Co., LTD) was added to the obtained mixture, and stirred for 1 hour at 23° C. After that, 30 parts of ion-exchanged water was added thereto, stirred, and separated to obtain an organic layer. These operations were repeated five times. The obtained organic layer was concentrated to obtain concentrate. 100 parts of tert-butyl methyl ether was added to the obtained concentrate, stirred, filtrate, and dried, whereby giving 12.05 parts of the compound (D-2).

[0412]

Mass: 276.2

Synthesis Example 7

Synthesis of a Compound D-3

[0413]

[0414]

10.00 parts of the compound represented by the formula (D-3-a) and 70 parts of methylene chloride was mixed, and 18.95 parts of the compound represented by the formula (D-1-b) (trade name: carbonyl imidazole, Tokyo Chemical Industry Co., LTD) was added to the obtained mixture, and stirred for 1 hour at 23° C. After that, 30 parts of ion-exchanged water was added thereto, stirred, and separated to obtain an organic layer. These operations were repeated five times. The obtained organic layer was concentrated, whereby giving 10.25 parts of the compound (D-3).

[0415]

Mass: 188.1

Synthesis Example 8

Synthesis of a Compound D-4

[0416]

[0417]

10.00 parts of the compound represented by the formula (D-4-a) and 70 parts of methylene chloride was mixed, and 19.15 parts of the compound represented by the formula (D-1-b) (trade name: carbonyl imidazole, Tokyo Chemical Industry Co., LTD) was added to the obtained mixture, and stirred for 1 hour at 23° C. After that, 30 parts of ion-exchanged water was added thereto, stirred, and separated to obtain an organic layer. These operations were repeated five times. The obtained organic layer was concentrated, whereby giving 9.81 parts of the compound (D-4).

[0418]

Mass: 187.1

Synthesis Example 9

Synthesis of a Compound D-5

[0419]

[0420]

14.47 parts of the compound represented by the formula (D-5-a) and 100 parts of methylene chloride was mixed, and 16.85 parts of the compound represented by the formula (D-5-b) (trade name: carbonyl imidazole, Tokyo Chemical Industry Co., LTD) was added to the obtained mixture, and stirred for 1 hour at 23° C. After that, 30 parts of ion-exchanged water was added thereto, stirred, and separated to obtain an organic layer. These operations were repeated five times. The obtained organic layer was concentrated, whereby giving 13.36 parts of the compound (D-5).

[0421]

Mass: 247.1

Synthesis Example 10

Synthesis of a Compound D-6

[0422]

[0423]

20.00 parts of the compound represented by the formula (D-6-a) and 140 parts of methylene chloride was mixed, and 21.46 parts of the compound represented by the formula (D-6-b) (trade name: carbonyl imidazole, Tokyo Chemical Industry Co., LTD) was added to the obtained mixture at 23° C., and stirred for 1 hour at 23° C. After that, 50 parts of ion-exchanged water was added thereto, stirred, and separated to obtain an organic layer. These operations were repeated six times. The obtained organic layer was concentrated, 120 part of tert-butyl methyl ether was added to the concentrate, the obtained mixture was filtrated, and dried, whereby giving 30.15 parts of the compound (D-6).

[0424]

Mass: 260.2

Synthesis Example 11

Synthesis of a Compound D-7

[0425]

[0426]

20.00 parts of the compound represented by the formula (D75-a) and 140 parts of methylene chloride was mixed, and 21.46 parts of the compound represented by the formula (D-7-b) (trade name: carbonyl imidazole, Tokyo Chemical Industry Co., LTD) was added to the obtained mixture at 23° C., and stirred for 1 hour at 23° C. After that, 50 parts of ion-exchanged water was added thereto, stirred, and separated to obtain an organic layer. These operations were repeated six times. The obtained organic layer was concentrated, whereby giving 29.92 parts of the compound (D-7).

[0427]

Mass: 260.1

Synthesis Example 12

Synthesis of a Compound D-8

[0428]

[0429]

20.00 parts of the compound represented by the formula (D-8-a) and 140 parts of methylene chloride was mixed, and 21.46 parts of the compound represented by the formula (D-8-b) (trade name: carbonyl imidazole, Tokyo Chemical Industry Co., LTD) was added to the obtained mixture at 23° C., and stirred for 1 hour at 23° C. After that, 50 parts of ion-exchanged water was added thereto, stirred, and separated to obtain an organic layer. These operations were repeated six times. The obtained organic layer was concentrated, whereby giving 29.26 parts of the compound (D-8).

[0430]

Mass: 260.2

Synthesis Example 13

Synthesis of a Compound D-9

[0431]

[0432]

10.00 parts of the compound represented by the formula (D-9-a) and 100 parts of methylene chloride was mixed, and 13.70 parts of the compound represented by the formula (D-9-b) (trade name: carbonyl imidazole, Tokyo Chemical Industry Co., LTD) was added to the obtained mixture at 23° C., and stirred for 1 hour at 23° C. After that, 30 parts of ion-exchanged water was added thereto, stirred, and separated to obtain an organic layer. These operations were repeated six times. The obtained organic layer was concentrated, whereby giving 15.30 parts of the compound (D99).

[0433]

Mass: 224.2

Synthesis Example 14

Synthesis of a Compound D-10

[0434]

[0435]

20.00 parts of the compound represented by the formula (D-10-a) and 200 parts of methylene chloride was mixed, and 19.15 parts of the compound represented by the formula (D-10-b) (trade name: carbonyl imidazole, Tokyo Chemical Industry Co., LTD) was added to the obtained mixture at 23° C., and stirred for 1 hour at 23° C. After that, 30 parts of ion-exchanged water was added thereto, stirred, and separated to obtain an organic layer. These operations were repeated six times. The obtained organic layer was concentrated, whereby giving 29.31 parts of the compound (D-10).

[0436]

Mass: 280.2

Synthesis Example 15

Synthesis of a Compound D-11

[0437]

[0438]

10.00 parts of the compound represented by the formula (D-11-a) and 100 parts of methylene chloride was mixed, and 24.06 parts of the compound represented by the formula (D-11-b) (trade name: carbonyl imidazole, Tokyo Chemical Industry Co., LTD) was added to the obtained mixture, and stirred for 1 hour at 23° C. After that, 30 parts of ion-exchanged water was added thereto, stirred, and separated to obtain an organic layer. These operations were repeated six times. The obtained organic layer was concentrated, whereby giving 21.72 parts of the compound (D-11).

[0439]

Mass: 168.1

Synthesis Example 16

Synthesis of a Compound D-12

[0440]

[0441]

10.00 parts of the compound represented by the formula (D-12-a) and 100 parts of methylene chloride was mixed, and 8.28 parts of the compound represented by the formula (D-12-b) (trade name: carbonyl imidazole, Tokyo Chemical Industry Co., LTD) was added to the obtained mixture, and stirred for 2 hours at 23° C. After that, 40 parts of ion-exchanged water was added thereto, stirred, and separated to obtain an organic layer. These operations were repeated six times. The obtained organic layer was concentrated, whereby giving 12.54 parts of the compound (D-12).

[0442]

Mass: 309.2

Synthesis Example 17

Synthesis of a Compound D-13

[0443]

[0444]

10.00 parts of the compound represented by the formula (D-13-a) and 120 parts of methylene chloride was mixed, and 14.78 parts of the compound represented by the formula (D-13-b) (trade name: carbonyl imidazole, Tokyo Chemical Industry Co., LTD) was added to the obtained mixture, and stirred for 2 hours at 23° C. After that, 40 parts of ion-exchanged water was added thereto, stirred, and separated to obtain an organic layer. These operations were repeated six times. The obtained organic layer was concentrated, whereby giving 14.89 parts of the compound (D-13).

[0445]

Mass: 209.1

Synthesis Example 18

Synthesis of a Compound D-14

[0446]

[0447]

10.00 parts of the compound represented by the formula (D-14-a) and 120 parts of methylene chloride was mixed, and 4.13 parts of the compound represented by the formula (D-14-b) (trade name: carbonyl imidazole, Tokyo Chemical Industry Co., LTD) was added to the obtained mixture, and stirred for 2 hours at 23° C. After that, 30 parts of ion-exchanged water was added thereto, stirred, and separated to obtain an organic layer. These operations were repeated five times. The obtained organic layer was concentrated, whereby giving 11.24 parts of the compound (D-14).

[0448]

Mass: 526.0

Synthesis Example 19

Synthesis of a Compound D-15

[0449]

[0450]

20.00 parts of the compound represented by the formula (D-15-a) and 240 parts of methylene chloride was mixed, and 30.71 parts of the compound represented by the formula (D-15-b) (trade name: carbonyl imidazole, Tokyo Chemical Industry Co., LTD) was added to the obtained mixture, and stirred for 2 hours at 23° C. After that, 60 parts of ion-exchanged water was added thereto, stirred, and separated to obtain an organic layer. These operations were repeated six times. The obtained organic layer was concentrated, whereby giving 34.45 parts of the compound (D-15).

[0451]

Mass: 210.1

Synthesis Example 20

Synthesis of a Compound D-16

[0452]

[0453]

8.00 parts of the compound represented by the formula (D-16-a) and 120 parts of methylene chloride was mixed, and 19.52 parts of the compound represented by the formula (D-16-b) (trade name: carbonyl imidazole, Tokyo Chemical Industry Co., LTD) was added to the obtained mixture, and stirred for 2 hours at 23° C. After that, 40 parts of ion-exchanged water was added thereto, stirred, and separated to obtain an organic layer. These operations were repeated six times. The obtained organic layer was concentrated, whereby giving 17.65 parts of the compound (D-16).

[0454]

Mass: 334.2

Synthesis Example 21

Synthesis of a Compound D-17

[0455]

[0456]

10.00 parts of the compound represented by the formula (D-17-a) and 120 parts of methylene chloride was mixed, and 9.38 parts of the compound represented by the formula (D-17-b) (trade name: carbonyl imidazole, Tokyo Chemical Industry Co., LTD) was added to the obtained mixture, and stirred for 2 hours at 23° C. After that, 100 parts of ethyl acetate was added thereto, stirred, and filtrated, whereby giving 14.30 parts of the compound (D-17).

[0457]

Mass: 284.1

Synthesis Example 22

Synthesis of a Compound D-18

[0458]

[0459]

10.00 parts of the compound represented by the formula (D-18-a) and 100 parts of methylene chloride was mixed, and 12.61 parts of the compound represented by the formula (D-18-b) (trade name: carbonyl imidazole, Tokyo Chemical Industry Co., LTD) was added to the obtained mixture, and stirred for 1 hour at 23° C. After that, 30 parts of ion-exchanged water was added thereto, stirred, and separated to obtain an organic layer. These operations were repeated six times. The obtained organic layer was concentrated, whereby giving 15.81 parts of the compound (D-18).

[0460]

Mass: 296.2

Synthetic Example of the Resin

[0461]

The monomers used the synthesis of the resin are shown below.

[0462]

Synthetic Example 23

Synthesis of Resin A1-1

[0463]

Monomer (H) was used, and dioxane was added thereto in an amount equal to 1.5 times by weight of the total amount of monomers to obtain a solution. Azobisisobutyronitrile and azobis(2,4-dimethylvaleronitrile) was added as an initiator to obtain a solution in an amount of 0.7 mol % and 2.1 mol % respectively with respect to the entire amount of monomers, and the resultant mixture was heated for about 5 hours at 75° C. After that, the obtained reacted mixture was poured into a large amount of methanol/water mixed solvent to precipitate a resin. Thus obtained resin was dissolved in another dioxane to obtain a solution, and the solution was poured into a mixture of methanol/water mixed solvent to precipitate a resin. The obtained resin was filtrated. These operations were repeated for two times, resulting in a 77% yield of copolymer having a weight average molecular weight of about 18000. This copolymer, which had the structural units of the following formula, was referred to Resin A1-1.

[0464]

Synthetic Example 24

Synthesis of Resin A1-2

[0465]

Monomer (K) and monomer (I) were mixed together with a mole ratio of Monomer (K):monomer (I)=90:10, and dioxane was added thereto in an amount equal to 1.5 times by weight of the total amount of monomers to obtain a solution. Azobisisobutyronitrile and azobis(2,4-dimethylvaleronitrile) was added as an initiator to obtain a solution in an amount of 1 mol % and 3 mol % respectively with respect to the entire amount of monomers, and the resultant mixture was heated for about 5 hours at 72° C. After that, the obtained reacted mixture was poured into a large amount of n-heptane to precipitate a resin. The obtained resin was filtrated, resulting in a 70% yield of copolymer having a weight average molecular weight of about 13000. This copolymer, which had the structural units of the following formula, was referred to Resin A1-2.

[0466]

Synthetic Example 25

Synthesis of Resin A1-3

[0467]

Monomer (L) was used, and dioxane was added thereto in an amount equal to 1.5 times by weight of the total amount of monomers to obtain a solution. Azobisisobutyronitrile and azobis(2,4-dimethylvaleronitrile) was added as an initiator to obtain a solution in an amount of 0.7 mol % and 2.1 mol % respectively with respect to the entire amount of monomers, and the resultant mixture was heated for about 5 hours at 75° C. After that, the obtained reacted mixture was poured into a large amount of methanol/water mixed solvent to precipitate a resin. Thus obtained resin was dissolved in another dioxane to obtain a solution, and the solution was poured into a mixture of methanol/water mixed solvent to precipitate a resin. The obtained resin was filtrated. These operations were repeated for two times, resulting in a 73% yield of copolymer having a weight average molecular weight of about 19000. This copolymer, which had the structural units of the following formula, was referred to Resin A1-3.

[0468]

Synthetic Example 26

Synthesis of Resin A1-4

[0469]

Monomer (M) was used, and dioxane was added thereto in an amount equal to 1.5 times by weight of the total amount of monomers to obtain a solution. Azobisisobutyronitrile and azobis(2,4-dimethylvaleronitrile) was added as an initiator to obtain a solution in an amount of 0.7 mol % and 2.1 mol % respectively with respect to the entire amount of monomers, and the resultant mixture was heated for about 5 hours at 75° C. After that, the obtained reacted mixture was poured into a large amount of methanol/water mixed solvent to precipitate a resin. Thus obtained resin was dissolved in another dioxane to obtain a solution, and the solution was poured into a mixture of methanol/water mixed solvent to precipitate a resin. The obtained resin was filtrated. These operations were repeated for two times, resulting in a 76% yield of copolymer having a weight average molecular weight of about 18000. This copolymer, which had the structural units of the following formula, was referred to Resin A1-4.

[0470]

Synthetic Example 27

Synthesis of Resin A2-1

[0471]

Monomer (D), monomer (E), monomer (B), monomer (C) and monomer (F) were mixed together with a mole ratio of monomer (D):monomer (E):monomer (B):monomer (C):monomer (F)=50:5:4:33:8, and dioxane was added thereto in an amount equal to 1.2 times by weight of the total amount of monomers to obtain a solution. Azobisisobutyronitrile and azobis(2,4-dimethylvaleronitrile) was added as an initiator to obtain a solution in an amount of 1.8 mol % and 5.4 mol % respectively with respect to the entire amount of monomers, and the resultant mixture was heated for about 5 hours at 75° C. After that, the obtained reacted mixture was poured into a mixture of a large amount of methanol and water to precipitate a resin. The obtained resin was filtrated. Thus obtained resin was dissolved in another dioxane to obtain a solution, and the solution was poured into a large amount of a mixture of methanol and water to precipitate a resin. The obtained resin was filtrated. These operations were repeated two times, resulting in a 71% yield of copolymer having a weight average molecular weight of about 4700. This copolymer, which had the structural units of the following formula, was referred to Resin A2-1. The mole ratio of each structural unit is structural unit (D):structural unit (E):structural unit (B):structural unit (C):structural unit (F)=40.6:5.1:4.8:39.7:9.8.

[0472]

Synthetic Example 28

Synthesis of Resin A2-2

[0473]

Monomer (A), monomer (E), monomer (B), monomer (C) and monomer (F) were mixed together with a mole ratio of monomer (A):monomer (E):monomer (B):monomer (C):monomer (F)=45:5:9:33:8, and dioxane was added thereto in an amount equal to 1.2 times by weight of the total amount of monomers to obtain a solution. Azobisisobutyronitrile and azobis(2,4-dimethylvaleronitrile) was added as an initiator to obtain a solution in an amount of 2.0 mol % and 6.0 mol % respectively with respect to the entire amount of monomers, and the resultant mixture was heated for about 5 hours at 75° C. After that, the obtained reacted mixture was poured into a mixture of a large amount of methanol and water to precipitate a resin. The obtained resin was filtrated. Thus obtained resin was dissolved in another dioxane to obtain a solution, and the solution was poured into a mixture of methanol and water to precipitate a resin. The obtained resin was filtrated. These operations were repeated two times, resulting in a 80% yield of copolymer having a weight average molecular weight of about 4200. This copolymer, which had the structural units of the following formula, was referred to Resin A2-2. The mole ratio of each structural unit is structural unit (A):structural unit (E):structural unit (B):structural unit (C):structural unit (F)=35.2:5.4:9.8:39.8:9.8.

[0474]

Synthetic Example 29

Synthesis of Resin A2-3

[0475]

Monomer (A), monomer (B) and monomer (C) were mixed together with a mole ratio of monomer (A):monomer (B):monomer (C)=50:25:25, and dioxane was added thereto in an amount equal to 1.5 times by weight of the total amount of monomers to obtain a solution. Azobisisobutyronitrile and azobis(2,4-dimethylvaleronitrile) was added as an initiator to obtain a solution in an amount of 1.0 mol % and 3.0 mol % respectively with respect to the entire amount of monomers, and the resultant mixture was heated for about 8 hours at 80° C. After that, the obtained reacted mixture was poured into a mixture of a large amount of methanol and water (methanol:water=4:1, weight ratio) to precipitate a resin. The obtained resin was filtrated. Thus obtained resin was dissolved in another dioxane to obtain a solution, and the solution was poured into a large amount of mixture of methanol and water to precipitate a resin. The obtained resin was filtrated. These operations were repeated three times, resulting in a 60% yield of copolymer having a weight average molecular weight of about 9200. This copolymer, which had the structural units of the following formula, was referred to Resin A2-3.

[0476]

Synthetic Example 30

Synthesis of Resin A2-4

[0477]

Monomer (A), monomer (E), monomer (B), monomer (F) and monomer (C) were mixed together with a mole ratio of monomer (A):monomer (E):monomer (B):monomer (F):monomer (C)=30:14:6:20:30, and dioxane was added thereto in an amount equal to 1.5 times by weight of the total amount of monomers to obtain a solution. Azobisisobutyronitrile and azobis(2,4-dimethylvaleronitrile) was added as an initiator to obtain a solution in an amount of 1 mol % and 3 mol % respectively with respect to the entire amount of monomers, and the resultant mixture was heated for about 5 hours at 75° C. After that, the obtained reacted mixture was poured into a mixture of a large amount of methanol and water to precipitate a resin. The obtained resin was filtrated. Thus obtained resin was dissolved in another dioxane to obtain a solution, and the solution was poured into a mixture of methanol and water to precipitate a resin. The obtained resin was filtrated. These operations were repeated two times, resulting in a 78% yield of copolymer having a weight average molecular weight of about 7200. This copolymer, which had the structural units of the following formula, was referred to Resin A2-4.

[0478]

Synthetic Example 31

Synthesis of Resin A2-5

[0479]

Monomer (A), monomer (N), monomer (B), monomer (F) and monomer (C) were mixed together with a mole ratio of monomer (A):monomer (N):monomer (B):monomer (F):monomer (C)=30:14:6:20:30, and dioxane was added thereto in an amount equal to 1.5 times by weight of the total amount of monomers to obtain a solution. Azobisisobutyronitrile and azobis(2,4-dimethylvaleronitrile) was added as an initiator to obtain a solution in an amount of 1 mol % and 3 mol % respectively with respect to the entire amount of monomers, and the resultant mixture was heated for about 5 hours at 75° C. After that, the obtained reacted mixture was poured into a mixture of a large amount of methanol and water to precipitate a resin. The obtained resin was filtrated. Thus obtained resin was dissolved in another dioxane to obtain a solution, and the solution was poured into a mixture of methanol and water to precipitate a resin. The obtained resin was filtrated. These operations were repeated two times, resulting in a 78% yield of copolymer having a weight average molecular weight of about 7200. This copolymer, which had the structural units of the following formula, was referred to Resin A2-5.

[0480]

Synthetic Example 32

Synthesis of Resin X1

[0481]

Monomer (G), monomer (C) and monomer (B) were mixed together with a mole ratio of monomer (G):monomer (C):monomer (B)=35:45:20, and dioxane was added thereto in an amount equal to 1.5 times by weight of the total amount of monomers to obtain a solution. Azobisisobutyronitrile and azobis(2,4-dimethylvaleronitrile) was added as an initiator to obtain a solution in an amount of 1.0 mol % and 3.0 mol % respectively with respect to the entire amount of monomers, and the resultant mixture was heated for about 5 hours at 75° C. After that, the obtained reacted mixture was poured into a mixture of a large amount of methanol and water to precipitate a resin. The obtained resin was filtrated. Thus obtained resin was dissolved in another dioxane to obtain a solution, and the solution was poured into a mixture of methanol and water to precipitate a resin. The obtained resin was filtrated. These operations were repeated 2 times, resulting in a 75% yield of copolymer having a weight average molecular weight of about 7000. This copolymer, which had the structural units of the following formula, was referred to Resin X1. The mole ratio of each structural unit is structural unit (G):structural unit (C):structural unit (B)=34.7:45.4:19.9.

[0482]

Synthetic Example 33

Synthesis of Resin X2

[0483]

Monomer (J) and monomer (G) were mixed together with a mole ratio of monomer (J):monomer (G)=80:20, and dioxane was added thereto in an amount equal to 1.5 times by weight of the total amount of monomers to obtain a solution. Azobisisobutyronitrile and azobis(2,4-dimethylvaleronitrile) was added as an initiator to obtain a solution in an amount of 0.5 mol % and 1.5 mol % respectively with respect to the entire amount of monomers, and the resultant mixture was heated for about 5 hours at 70° C. After that, the obtained reacted mixture was poured into a mixture of a large amount of methanol and water to precipitate a resin. The obtained resin was filtrated. Thus obtained resin was dissolved in another dioxane to obtain a solution, and the solution was poured into a mixture of methanol and ion-exchanged water to precipitate a resin. The obtained resin was filtrated. These operations were repeated 2 times, resulting in a 70% yield of copolymer having a weight average molecular weight of about 28000. This copolymer, which had the structural units of the following formula, was referred to Resin X2. The mole ratio of each structural unit is structural unit (J):structural unit (G)=80.2:19.8.

[0484]


(Preparing Resist Composition)

[0485]

Resist compositions were prepared by mixing and dissolving each of the components shown in Table 1, and then filtrating through a fluororesin filter having 0.2 μm pore diameter.

[0486]

(Unit: parts)
AcidCompoundBP/PEB
ResinGenerator(E)(° C./° C.)
Ex.
1A1-1/A2-1 = 0.7/10B1 = 1.6D-1 = 0.0595/85
2A1-1/A2-2 = 0.7/10B1 = 1.6D-1 = 0.05110/105
3A1-2/A2-1 = 0.3/10B1 = 1.6D-1 = 0.0595/85
4A1-2/A2-2 = 0.3/10B1 = 1.6D-1 = 0.05110/105
5A1-1/A2-3 = 0.7/10B1 = 1.6D-1 = 0.05110/105
6A1-1/A2-1 = 0.7/10B1 = 1.6D-2 = 0.0895/85
7A1-1/A2-1 = 0.7/10B1 = 1.6D-3 = 0.0695/85
8A1-1/A2-1 = 0.7/10B1 = 1.6D-4 = 0.0695/85
9A1-1/A2-1 = 0.7/10B1 = 1.6D-5 = 0.0595/85
10A1-1/X1 = 0.7/10B2/B3 =D-1 = 0.05120/115
1.0/0.1
11A1-1/A2-1 = 0.7/10B1 = 1.6D-6 = 0.0595/85
12A1-1/A2-1 = 0.7/10B1 = 1.6D-7 = 0.0595/85
13A1-1/A2-1 = 0.7/10B1 = 1.6D-8 = 0.0595/85
14A1-1/A2-1 = 0.7/10B1 = 1.6D-9 = 0.0595/85
15A1-1/A2-1 = 0.7/10B1 = 1.6D-10 = 0.0595/85
16A1-1/A2-1 = 0.7/10B1 = 1.6D-11 = 0.0595/85
17A1-1/A2-1 = 0.7/10B1 = 1.6D-12 = 0.0595/85
18A1-1/A2-1 = 0.7/10B1 = 1.6D-13 = 0.0595/85
19A1-1/A2-1 = 0.7/10B1 = 1.6D-14 = 0.0595/85
20A1-1/A2-1 = 0.7/10B1 = 1.6D-15 = 0.0595/85
21A1-1/A2-1 = 0.7/10B1 = 1.6D-16 = 0.0595/85
22A1-1/A2-1 = 0.7/10B1 = 1.6D-17 = 0.0595/85
23A1-1/A2-1 = 0.7/10B1 = 1.6D-18 = 0.0595/85
24A1-1/A2-4 = 0.7/10B1 = 1.6D-15 = 0.05110/105
25A1-1/A2-5 = 0.7/10B1 = 1.6D-15 = 0.05110/105
26A1-3/A2-5 = 0.7/10B1 = 1.6D-15 = 0.05110/105
27A1-4/A2-5 = 0.7/10B1 = 1.6D-15 = 0.05110/105
Comparative
Example
1X2/X1 = 0.3/10B2/B3 =120/115
1.0/0.1

<Resin>

[0487]

Resin prepared by the Synthetic Examples

[0000]

<Acid Generator>

[0488]

B1: this was prepared by a method according to the method described in the Examples of JP2010-152341A

[0489]

[0490]

B2: this was prepared by a method according to the method described in the Examples of WO2008/99869A and JP2010-26478A

[0491]

[0492]

B3: this was prepared by a method according to the method described in the Examples of JP2005-221721A

[0493]


<Qencher>

[0494]

C1: 2,6-diisopropylaniline (obtained from Tokyo Chemical Industry Co., LTD)

[0495]


<Solvent of Resist Composition>

[0496]

Propylene glycol monomethyl ether acetate265 parts
Propylene glycol monomethyl ether20 parts
2-Heptanone20 parts
γ-butyrolactone3.5 parts

(Producing Resist Pattern)

[0497]

A composition for an organic antireflective film (“ARC-29”, by Nissan Chemical Co. Ltd.) was applied onto silicon wafers and baked for 60 seconds at 205° C. to form a 78 nm thick organic antireflective film on each of the silicon wafers.

[0498]

The above resist compositions were then applied thereon by spin coating so that the thickness of the resulting composition layer became 85 nm after drying.

[0499]

The obtained wafers were then pre-baked for 60 seconds on a direct hot plate at the temperatures given in the “PB” column in Table 1 to form a composition layer.

[0500]

Line and space patterns were then exposed through stepwise changes in exposure quantity using an ArF excimer laser stepper for immersion lithography (“XT: 1900Gi” by ASML Ltd.: NA=1.35, 3/42 annularX-Y polarization), on the wafers on which the composition layer had thus been formed. The ultrapure water was used as medium of immersion.

[0501]

After the exposure, post-exposure baking was carried out for 60 seconds at the temperatures given in the “PEB” column in Table 1.

[0502]

Then, puddle development was carried out with 2.38 wt % tetramethylammonium hydroxide aqueous solution for 60 seconds to obtain resist patterns.

[0503]

Effective sensitivity was represented as the exposure amount at which a 47 nm-line width and 90 nm-pitch mask size pattern resolved to a 51 nm-line pattern with the each resist film.

[0504]

The mask size pattern means a size of a pattern which is transferred onto the substrate through the exposure, and not a size of a translucent portion formed in the mask.

[0000]

(Exposure Margin Evaluation (EL))

[0505]

Exposure margin was evaluated from a graph in which the horizontal axis corresponds to the exposure amount within the range of an effective sensitivity ±10%, and the vertical axis corresponds to the a 47 nm-line width and 90 nm-pitch line pattern at its amount. In this evaluation,

[0506]

a “∘∘” was given when absolute value of the slope of the regression line obtained from the above plot was 1.1 nm/(mJ/cm2) or less;

[0507]

a “∘” was given when absolute value of the slope thereof was 1.5 nm/(mJ/cm2) or less and more than 1.1;

[0508]

a “x” was given when absolute value of a slope thereof was more than 1.5 nm/(mJ/cm2).

[0509]

The parenthetical number means exposure margin values (nm/(mJ/cm2)). Table 2 illustrates the results thereof.

[0000]

(Mask Error Factor (MEF) Evaluation)

[0510]

The resist patterns were formed by the same method described above except using masks in which mask sizes of the line patterns were 48 nm, 50 nm and 52 nm, respectively. The pitch width of the masks was 90 nm.

[0511]

The obtained results are plotted with the mask size being set as the horizontal axis and the line width of the line pattern formed using the mask being set as the vertical axis, and the slope of a regression line obtained from each plot was measured as the MEF.

[0512]

a “∘∘” oil was given when the slope was 2.3 or less,

[0513]

a “∘” was given when the slope was more than 2.3 and 3.0 or less,

[0514]

a “x” was given when the slope was more than 3.0.

[0515]

The parenthetical number means MEF values. Table 2 illustrates the results thereof.

[0000]

(Evaluation of Defects)

[0516]

The above resist compositions were applied on each of the 12-inch-silicon wafers by spin coating so that the thickness of the resulting film became 150 nm after drying.

[0517]

The obtained wafers were then pre-baked for 60 seconds on a direct hot plate at the temperatures given in the “PB” column in Table 1 to obtain a composition layer.

[0518]

The thus obtained wafers with the produced composition layers are rinsed with water for 60 seconds using a developing apparatus (ACT-12, Tokyo electron Co. Ltd.).

[0519]

Thereafter, the number of defects was counted using a defect inspection apparatus (KLA-2360, KLA-Tencor Co. Ltd.)

[0520]

Table 2 illustrates the results thereof.

[0521]

Ex.
1◯◯(1.05)(2.38)220
2◯◯(1.02)(2.49)220
3(1.18)(2.42)280
4(1.14)(2.51)270
5(1.28)(2.72)400
6(1.20)◯◯(2.29)280
7(1.27)(2.56)260
8(1.30)(2.62)240
9(1.25)(2.43)300
10(1.39)(2.70)460
11◯◯(1.12)(2.42)260
12◯◯(1.14)(2.43)240
13◯◯(1.03)(2.33)200
14◯◯(1.17)(2.42)240
15◯◯(1.18)(2.46)230
16◯◯(1.16)(2.49)260
17◯◯(1.02)(2.29)210
18◯◯(1.03)(2.40)220
19◯◯(1.15)(2.48)250
20◯◯(1.04)(2.31)240
21◯◯(1.03)(2.45)250
22◯◯(1.04)(2.28)230
23◯◯(1.09)(2.43)220
24◯◯(1.03)(2.28)200
25◯◯(1.02)(2.25)190
26◯◯(1.08)(2.41)130
27◯◯(1.05)(2.38)160
Comp. Ex.X(1.72)X(3.54)720

[0522]

According to the resist composition of the present invention, it is possible to produce a resist pattern with excellent exposure Latitude (EL) and the mask error factor (MEF) when producing the resist pattern, and with few defects in the pattern. Therefore, the present resist composition can be used for semiconductor microfabrication.

Как компенсировать расходы
на инновационную разработку
Похожие патенты