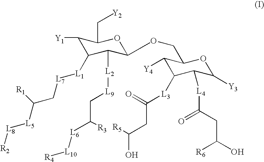
Compounds, particularly, glucopyranosyl lipid adjuvant (GLA) compounds, having the following structure (I) are provided: or a pharmaceutically acceptable salt thereof, wherein L1, L2, L3, L4, L5, L6, L7, L8, L9, L10, Y1, Y2, Y3, Y4, R1, R2, R3, R4, R5, R6, are as defined herein. Pharmaceutical compositions, vaccine compositions, and related methods for inducing or enhancing immune responses, are also provided.
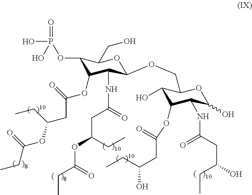
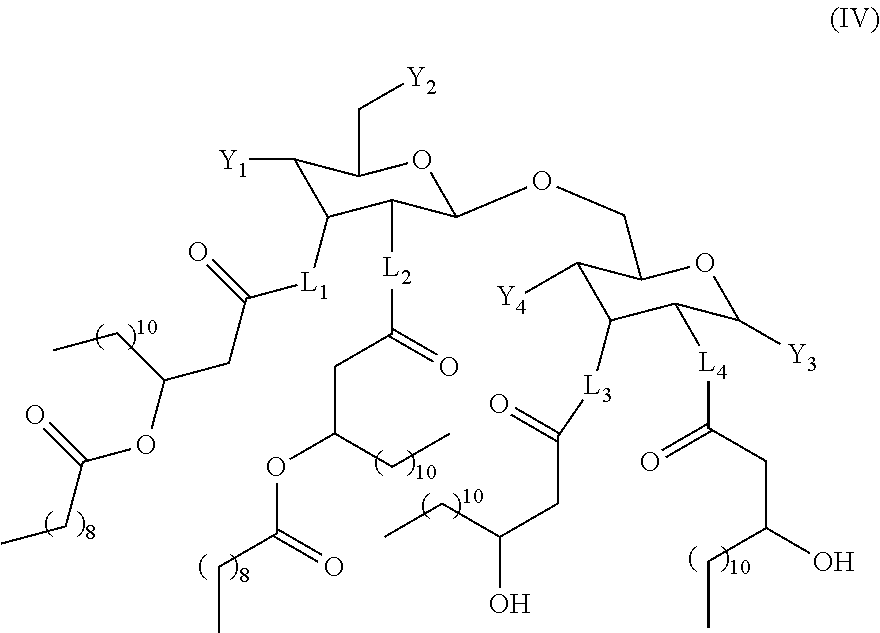
1. A GLA compound having the following structure (IV): or a pharmaceutically acceptable salt thereof, wherein: L1, L2, L3, and L4are the same or different and independently —O—, —NH— or —(CH2)—; Y1is an acid functional group; Y2and Y3are the same or different and independently —OH, —SH, or an acid functional group; and Y4is —OH or —SH. 2. A GLA compound according to 3. A GLA compound according to 4. A GLA compound according to 5. A GLA compound having the following structure (IX): or a pharmaceutically acceptable salt thereof. 6. A vaccine composition comprising a compound in combination with an antigen or a recombinant expression vector encoding an antigen, wherein the compound has the following structure (IV): or a pharmaceutically acceptable salt thereof, wherein: L1, L2, L3, and L4are the same or different and independently —O—, —NH— or —(CH2)—; Y1is an acid functional group; Y2and Y3are the same or different and independently —OH, —SH, or an acid functional group; and Y4is —OH or —SH. 7. The vaccine composition of 8. The vaccine composition of 9. A method of eliciting or enhancing an antigen-specific immune response in a subject, the method comprising administering to the subject a vaccine composition of 10. A pharmaceutical composition comprising a compound and pharmaceutically acceptable carrier or excipient, wherein the compound has the following structure (IV): or a pharmaceutically acceptable salt thereof, wherein: L1, L2, L3, and L4are the same or different and independently —O—, —NH— or —(CH2)—; Y1is an acid functional group; Y2and Y3are the same or different and independently —OH, —SH, or an acid functional group; and Y4is —OH or —SH. 11. A method for stimulating a non-specific immune response in a subject comprising administering to the subject a pharmaceutical composition of 12. The vaccine composition of 13. The vaccine composition of 14. The vaccine composition of or a pharmaceutically acceptable salt thereof. 15. The pharmaceutical composition of 16. The pharmaceutical composition of 17. The pharmaceutical composition of or a pharmaceutically acceptable salt thereof. 18. The vaccine composition of 19. The method of or a pharmaceutically acceptable salt thereof. 20. The method of or a pharmaceutically acceptable salt thereof.
This application claims the benefit under 35 U.S.C. §119(e) of U.S. Provisional Patent Application No. 61/184,703 filed Jun. 5, 2009, which is incorporated herein by reference in its entirety. 1. Field of the Invention The present invention relates to the field of pharmaceutical and vaccine compositions. More specifically, embodiments described herein relate to pharmaceutical and vaccine compositions, as well as related prophylactic and therapeutic methods, wherein the compositions comprise a glucopyranosyl lipid adjuvant (GLA) as described herein. 2. Description of the Related Art The immune system of higher organisms has been characterized as distinguishing foreign agents (or “non-self”) agents from familiar or “self” components, such that foreign agents elicit immune responses while “self” components are ignored or tolerated. Immune responses have traditionally been characterized as either humoral responses, in which antibodies specific for antigens are produced by differentiated B lymphocytes known as plasma cells, or cell mediated responses, in which various types of T lymphocytes act to eliminate antigens by a number of mechanisms. For example, CD4+ helper T cells that are capable of recognizing specific antigens may respond by releasing soluble mediators such as cytokines to recruit additional cells of the immune system to participate in an immune response. Also, CD8+ cytotoxic T cells that are also capable of specific antigen recognition may respond by binding to and destroying or damaging an antigen-bearing cell or particle. It is known in the immunological arts to provide certain vaccines according to a variety of formulations, usually for the purpose of inducing a desired immune response in a host. Several strategies for eliciting specific immune responses through the administration of a vaccine to a host include immunization with heat-killed or with live, attenuated infectious pathogens such as viruses, bacteria or certain eukaryotic pathogens; immunization with a non-virulent infective agent capable of directing the expression of genetic material encoding the antigen(s) to which an immune response is desired; and immunization with subunit vaccines that contain isolated immunogens (such as proteins) from a particular pathogen in order to induce immunity against the pathogen. (See, e.g., Liu, 1998 It has long been known that enterobacterial lipopolysaccharide (LPS) is a potent stimulator of the immune system, although its use in adjuvants has been curtailed by its toxic effects. A non-toxic derivative of LPS, monophosphoryl lipid A (MPL), produced by removal of the core carbohydrate group and the phosphate from the reducing-end glucosamine, has been described by Ribi et al (1986, Immunology and Immunopharmacology of Bacterial Endotoxins, Plenum Publ. Corp., NY, p 407-419). A further detoxified version of MPL results from the removal of the acyl chain from the 3-position of the disaccharide backbone, and is called 3-O-deacylated monophosphoryl lipid A (3D-MPL). It can be purified and prepared by the methods taught in GB 2122204B, which reference also discloses the preparation of diphosphoryl lipid A, and 3-O-deacylated variants thereof. For example, 3D-MPL has been prepared in the form of an emulsion having a small particle size less than 0.2 μm in diameter, and its method of manufacture is disclosed in WO 94/21292. Aqueous formulations comprising monophosphoryl lipid A and a surfactant have been described in WO9843670A2. Bacterial lipopolysaccharide-derived adjuvants to be formulated in adjuvant combinations may be purified and processed from bacterial sources, or alternatively they may be synthetic. For example, purified monophosphoryl lipid A is described in Ribi et al 1986 (supra), and 3-O-deacylated monophosphoryl or diphosphoryl lipid A derived from Accordingly, there is a need for improved vaccines, and in particular for vaccines that beneficially contain high-purity, chemically defined adjuvant components that exhibit lot-to-lot consistency and that can be manufactured efficiently on an industrial scale without introducing unwanted or structurally undefined contaminants. The present invention provides compositions and methods for such vaccines, and offers other related advantages. The present invention in its several aspects is directed to compounds, compositions and methods that advantageously employ certain synthetic glucopyranosyl lipid adjuvants (GLA) as immunomodulators or adjuvants. Therefore, according to one aspect of the invention described herein, there are provided GLA compounds having a structure according to the following formula (I): The GLA compounds of the present invention have utility over a broad range of therapeutic applications where induction of specific or non-specific immune responses is desired. For example, in certain aspects of the invention, there are provided vaccine compositions comprising one or more GLA compounds as set forth herein in combination with an antigen. Such vaccine compositions may be advantageously used in methods for stimulating antigen-specific immune responses in subjects in need thereof. In other aspects of the invention, there are provided pharmaceutical compositions comprising one or more GLA compounds as set forth herein, wherein the compositions are substantially devoid of antigen. Such pharmaceutical compositions may be advantageously used in methods for stimulating non-specific immune responses in subjects in need thereof, for example in the treatment of infection, seasonal rhinitis and the like. These and other aspects of the present invention will become evident upon reference to the following detailed description and attached drawings. In addition, various references are set forth herein which describe in more detail certain aspects of this invention, and are therefore incorporated by reference in their entireties. Monophosphoryl lipid A (MPL) and other related adjuvants are known to mediate their effects, at least in part, by acting as agonists of Toll-like receptors (TLR). The glucopyranosyl lipid adjuvant (GLA) compounds of the present invention were rationally designed based upon 3D structural considerations in relation to TLR receptor stimulation. More specifically, according to the present invention, by selectively defining the acyl chain lengths of the GLA compounds of the invention such that they achieve a “flat” bottom in the three dimensional structure of the compounds, an improved fit may be achieved within the binding site of a TLR receptor, thereby resulting in enhanced TLR stimulation and enhanced immunostimulatory properties. In addition, the solubility of the GLA compounds of the invention (e.g., in aqueous solutions) is advantageously improved due to the shortened acyl chain lengths, thereby facilitating efficient and effective compound formulation. Furthermore, because the acyl chain lengths are tailored to make the molecule three dimensionally “flat” along the bottom of the molecule, the compounds can be more effectively incorporated within vesicles, e.g., for liposomal formulations. Further still, compounds of the invention provide advantageous profiles of potency relative to toxicity. For example, the compounds of the invention may be used over a broad and relatively high range of dosages for achieving a desired level of activity (e.g., adjuvant activity), while nevertheless remaining substantially non-toxic to human cells and to human patients, as assayed, for example, by the levels of tumor necrosis factor produced from human cells over a range of concentrations, which quickly rises and levels off unlike other more toxic TLR4 agonists such as lipopolysaccharide. This cell based assay should be predictive of lower inflammatory markers like C-reactive protein involved in adverse events in human pharmacology. The favorable potency vs. toxicity profile for the compounds of the invention may be particularly important, for example, when administering to children whose tolerance to cytokines may be lower, or when the compounds are used in formulations targeted at a large population where more leveled responses will translate into more consistent clinical outcomes for people with a varied responsiveness to TLR agonism. Similarly, regulatory approval will be simplified since target dosing will be more forgiving and manufacturing simplified when the range of active pharmaceutical ingredient need not be controlled at as strict a tolerance level. Therefore, the present invention in its many embodiments provides compounds, vaccine compositions, adjuvant compositions, pharmaceutical compositions and related formulations and methods that include synthetic GLA compounds as described herein. The GLA compounds represent synthetic immunomodulators which, advantageously relative to adjuvants of the prior art, and in particular, relative to natural product adjuvants, can be prepared in substantially homogeneous form. Moreover, the GLA compounds of the invention can be prepared efficiently and economically through large-scale synthetic chemical manufacturing, unlike natural product-derived adjuvants. Because a synthetic adjuvant that is chemically synthesized from defined starting materials to obtain a chemically defined product exhibits qualitative and quantitative batch-to-batch consistency, the GLA compounds of the invention offer benefits including improved product quality control. As described herein, GLA compounds, compositions and methods for their use include in some embodiments the use of GLA by itself with a pharmaceutically acceptable carrier or excipient for immunological adjuvant activity (e.g., non-specific immunostimulatory activity), including “adjuvanting” in which GLA administration to a subject may be wholly independent of, and/or separated temporally and/or spatially from, administration to the subject of one or more antigens against which elicitation or enhancement of an immune response (e.g., an antigen-specific response) in the subject is desired. Other embodiments include the use of GLA in a vaccine composition that also includes one or a plurality of antigens to which an immune response elicited or enhanced by such a vaccine is desired. As described herein, these vaccine compositions may in certain related embodiments also include one or more toll-like receptor (TLR) agonist and/or one or a plurality of one or more of a co-adjuvant, an imidazoquinoline immune response modifier, and a double stem loop immune modifier (dSLIM). In other related embodiments, a vaccine composition as provided herein may comprise GLA and one or more recombinant expression constructs each comprising a promoter operably linked to a nucleic acid sequence encoding the antigen against which elicitation or enhancement of an immune response (e.g., an antigen-specific response) in the subject is desired. GLA As noted above, because GLA is a chemically synthesized adjuvant it can be prepared in substantially homogeneous form, which refers to a GLA preparation that is at least 80%, preferably at least 85%, more preferably at least 90%, more preferably at least 95% and still more preferably at least 96%, 97%, 98% or 99% pure with respect to the GLA molecule. GLA compounds of the present invention have the following formula (I): L1, L2, L3, L4, L5and L6are the same or different and independently —O—, —NH— or —(CH2)—; L7, L8, L9, and L10are the same or different and independently absent or —C(═O)—; Y1is an acid functional group; Y2and Y3are the same or different and independently —OH, —SH, or an acid functional group; Y4is —OH or —SH; R1, R3, R5and R6are the same or different and independently C8-13alkyl; and R2and R4are the same or different and independently C6-11alkyl. As used herein, the above terms have the following meaning: “Alkyl” means a straight chain or branched, noncyclic or cyclic, unsaturated or saturated aliphatic hydrocarbon containing from 1 to 20 carbon atoms, and in certain preferred embodiments containing from 11 to 20 carbon atoms. Representative saturated straight chain alkyls include methyl, ethyl, n-propyl, n-butyl, n-pentyl, n-hexyl, and the like, including undecyl, dodecyl, tridecyl, tetradecyl, pentadecyl, hexadecyl, heptadecyl, octadecyl, etc.; while saturated branched alkyls include isopropyl, sec-butyl, isobutyl, tert-butyl, isopentyl, and the like. Representative saturated cyclic alkyls include cyclopropyl, cyclobutyl, cyclopentyl, cyclohexyl, and the like; while unsaturated cyclic alkyls include cyclopentenyl and cyclohexenyl, and the like. Cyclic alkyls are also referred to herein as “homocycles” or “homocyclic rings.” Unsaturated alkyls contain at least one double or triple bond between adjacent carbon atoms (referred to as an “alkenyl” or “alkynyl”, respectively). Representative straight chain and branched alkenyls include ethylenyl, propylenyl, 1-butenyl, 2-butenyl, isobutylenyl, 1-pentenyl, 2-pentenyl, 3-methyl-1-butenyl, 2-methyl-2-butenyl, 2,3-dimethyl-2-butenyl, and the like; while representative straight chain and branched alkynyls include acetylenyl, propynyl, 1-butynyl, 2-butynyl, 1-pentynyl, 2-pentynyl, 3-methyl-1-butynyl, and the like. “C8-13alkyl” and “C6-11alkyl” mean an alkyl as defined above, containing from 8-13 or 6-11 carbon atoms, respectively. “Acid functional group” means a functional group capable of donating a proton in aqueous media (i.e. a Brønsted-Lowry acid). After donating a proton, the acid functional group becomes a negatively charged species (i.e. the conjugate base of the acid functional group). Examples of acid functional groups include, but are not limited to: —OP(═O)(OH)2(phosphate), —OS(═O)(OH)2(sulfate), —OS(OH)2(sulfite), —C(═O)OH (carboxylate), —OC(═O)CH(NH2)CH2C(═O)OH (aspartate), —OC(═O)CH2CH2C(═O)OH (succinate), and —OC(═O)CH2OP(═O)(OH)2(carboxymethylphosphate). In more specific embodiments, the present invention provides GLA compounds of formula (I), wherein L5and L6are both —O— and L7, L8, L9, and L10are each —C(═O)—, and the GLA compounds have the following formula (II): In more specific embodiments, the present invention provides GLA compounds of formula (II), wherein R1, R3, R5and R6are each Cxalkyl, where x is constant and is selected from an integer from 8-13, and R2and R4are both Cx-2alkyl, and the GLA compounds have the following formula (III): In other more specific embodiments, the present invention provides GLA compounds of formula (III), wherein x is selected from an integer from 10-12. In other more specific embodiments, the present invention provides GLA compounds of formula (III), wherein x is 11, and the GLA compounds have the following structure (IV): In still other specific embodiments, the invention provides GLA compounds of formula (II), wherein Y1is —OP(═O)(OH)2and Y2, Y3and Y4are each —OH, and the GLA compounds have the following formula (V): In other specific embodiments, the invention provides GLA compounds of formula (II), wherein L1and L3are both —O— and L2and L4are both —NH—, and the GLA compounds have the following formula (VI): In yet more specific embodiments, the invention provides GLA compounds of formula (II), wherein Y1is —OP(O)(OH)2, Y2, Y3and Y4are each —OH, L1and L3are both —O—, and L2and L4are both —NH—, and the GLA compounds have the following formula (VII): In still other specific embodiments, the present invention provides GLA compounds of formula (II), wherein Y1is —OP(O)(OH)2, Y2, Y3and Y4are each —OH, L1and L3are both —O—, L2and L4are both —NH—, R1, R3, R5and R6each are Cxalkyl where x is constant and is selected from an integer from 8-13, and R2and R4are both Cx-2alkyl, and the GLA compounds have the following formula (VIII): In more specific embodiments of formula (VIII), x is 11, and the invention provides a GLA compound having the following structure (IX): As mentioned above, the present invention provides GLA compounds. The GLA compounds of the present invention may be prepared by known organic synthesis techniques, including the methods described in more detail in the Examples. In general, the GLA compounds of structure (I) may be prepared by the following Reaction Schemes, wherein all substituents are as defined above unless indicated otherwise. The sugar backbone of representative GLA compounds can be prepared generally according to Reaction Scheme 1, wherein G1, G2, G3, G4, G5, G6, G7, G8, G9, and G10are either the same or different and independently an appropriate protecting group or hydrogen. An appropriate sugar, such as (i), can be purchased or prepared according to methods known to those skilled in the art. The functional groups of sugar (i) can then be fully protected using methods known to those skilled in the art to obtain (ii). In this respect, one skilled in the art will recognize that an appropriate orthogonal protecting group strategy which allows for selective deprotection of the sugar functional groups may be employed. Suitable protecting groups include, but are not limited to silylethers, benzyl ethers, allyloxycarbonyl, acetals, Fmoc, azide, and the like. Deprotection of G1results in free alcohol (iii) which can then be coupled with protected sugar (iv) using appropriate coupling conditions, for example CCl3CN/NaH, to obtain the desired sugar backbone (v). Representative GLA compound tail pieces, wherein L5and L6are both —O— and L7, L8, L9, and L10are each —C(═O)—, can be prepared generally according to Reaction Scheme 2, wherein G11represents an appropriate protecting group. Acid compounds of structure (vi) can be purchased or prepared according to methods known to those skilled in the art. Reaction of (vi) with an appropriate reagent, such as methyl hydrogen malonate, yields ketoester (vii). Reduction of (vii) yields alcohol (viii). One skilled in the art will recognize that under appropriate conditions the keto group of (vii) may be reduced stereospecifically as exemplified in the Examples. Saponification of (viii) yields acid (ix) which can be subsequently protected to yield (x). Treatment of (x) with acid chloride (xi) yields (xii) which upon deprotection yields (xiii). Compounds (ix) and (xiii) may both be converted to a suitably protected acid chloride derivative by methods known to those skilled in the art and attached to the GLA compound sugar backbone as shown in Reaction Scheme 3 below. Although Reaction Scheme 2 depicts synthesis of a GLA compound tail piece comprising R1and R2, it should be understood that other tail pieces comprising other alkyl groups (e.g. R3, R4, R5, and R6) may also be prepared by an analogous method. Other tail pieces with different L5, L6, L7, L8, L9, and L10groups may also be prepared by analogous methods. Representative GLA compounds can be prepared generally according to Reaction Scheme 3, wherein G12and G13are the same or different and independently represent an appropriate protecting group. Removal of the G5protecting group of (v) followed by reaction with acid chloride (xiv) produces (xv). Similarly, removal of the G8protecting group from (xv) followed by reaction with acid chloride (xvi) results in (xvii). Deprotection of (xvii) and reaction with acid chloride (xviii) yields (xix). Removal of G9and reaction with (xx) then produces the protected GLA compound (xxi). Global deprotection of (xxi) results in a compound of structure (II). Although Reaction Scheme 3 depicts the synthesis of a compound of structure (II), one skilled in the art will recognize that analogous methods may be employed to produce any compound of structure (I). In addition, one skilled in the art will also recognize that with selection of the appropriate protecting groups, the final deprotection results in the desired compound. The compounds of the present invention may generally be utilized as the free base or free acid. Alternatively, the compounds of this invention may be used in the form of acid or base addition salts. Acid addition salts of the free amino compounds of the present invention may be prepared by methods well known in the art, and may be formed from organic and inorganic acids. Suitable organic acids include maleic, fumaric, benzoic, ascorbic, succinic, methanesulfonic, acetic, oxalic, propionic, tartaric, salicylic, citric, gluconic, lactic, mandelic, cinnamic, aspartic, stearic, palmitic, glycolic, glutamic, and benzenesulfonic acids. Suitable inorganic acids include hydrochloric, hydrobromic, sulfuric, phosphoric, and nitric acids. Similarly, base addition salts of the acid compounds of the present invention may be prepared by methods well known in the art, and may be formed from organic and inorganic bases. Suitable organic bases include, but are not limited to, triethylamine and pyridine. Suitable inorganic bases include, but are not limited to, sodium hydroxide, potassium hydroxide, sodium carbonate, potassium carbonate, and ammonia. Thus, the term “pharmaceutically acceptable salt” of structure (I) is intended to encompass any and all acceptable salt forms. In addition, prodrugs are also included within the context of this invention. Prodrugs are any covalently bonded carriers that release a compound of structure (I) in vivo when such prodrug is administered to a patient. Prodrugs are generally prepared by modifying functional groups in a way such that the modification is cleaved, either by routine manipulation or in vivo, yielding the parent compound. Prodrugs include, for example, compounds of this invention wherein hydroxy, amine or sulfhydryl groups are bonded to any group that, when administered to a patient, cleaves to form the hydroxy, amine or sulfhydryl groups. Thus, representative examples of prodrugs include (but are not limited to) acetate, formate and benzoate derivatives of alcohol and amine functional groups of the compounds of structure (I). Further, in the case of a carboxylic acid (COOH), esters may be employed, such as methyl esters, ethyl esters, and the like. With regard to stereoisomers, the compounds of structure (I) may have chiral centers and may occur as racemates, racemic mixtures and as individual enantiomers or diastereomers. All such isomeric forms are included within the present invention, including mixtures thereof. Furthermore, some of the crystalline forms of the compounds of structure (I) may exist as polymorphs, which are included in the present invention. In addition, some of the compounds of structure (I) may also form solvates with water or other organic solvents. Such solvates are similarly included within the scope of this invention. Antigen An antigen, for use in certain embodiments of the herein described vaccine compositions and methods employing GLA, may be any target epitope, molecule (including a biomolecule), molecular complex (including molecular complexes that contain biomolecules), subcellular assembly, cell or tissue against which elicitation or enhancement of immunoreactivity in a subject is desired. Frequently, the term antigen will refer to a polypeptide antigen of interest. However, antigen, as used herein, may also refer to a recombinant construct which encodes a polypeptide antigen of interest (e.g, an expression construct). In certain preferred embodiments the antigen may be, or may be derived from, or may be immunologically cross-reactive with, an infectious pathogen and/or an epitope, biomolecule, cell or tissue that is associated with infection, cancer, autoimmune disease, allergy, asthma, or any other condition where stimulation of an antigen-specific immune response would be desirable or beneficial. Preferably and in certain embodiments the vaccine formulations of the present invention contain an antigen or antigenic composition capable of eliciting an immune response against a human or other mammalian pathogen, which antigen or antigenic composition may include a composition derived from a virus such as from HIV-1, (such as tat, nef, gp120 or gp160), human herpes viruses, such as gD or derivatives thereof or Immediate Early protein such as ICP27 from HSV1 or HSV2, cytomegalovirus (esp. Human) (such as gB or derivatives thereof), Rotavirus (including live-attenuated viruses), Epstein Barr virus (such as gp350 or derivatives thereof), Varicella Zoster Virus (such as gpI, II and IE63), or from a hepatitis virus such as hepatitis B virus (for example Hepatitis B Surface antigen or a derivative thereof), hepatitis A virus, hepatitis C virus and hepatitis E virus, or from other viral pathogens, such as paramyxoviruses: Respiratory Syncytial virus (such as F and G proteins or derivatives thereof), parainfluenza virus, measles virus, mumps virus, human papilloma viruses (for example HPV6, 11, 16, 18, etc.), flaviviruses (e.g., Yellow Fever Virus, Dengue Virus, Tick-borne encephalitis virus, Japanese Encephalitis Virus) or Influenza virus (whole live or inactivated virus, split influenza virus, grown in eggs or MDCK cells, or whole flu virosomes (as described by Gluck, In certain other preferred embodiments the vaccine formulations of the present invention contain an antigen or antigenic composition capable of eliciting an immune response against a human or other mammalian pathogen, which antigen or antigenic composition may include a composition derived from one or more bacterial pathogens such as In certain other preferred embodiments the vaccine formulations of the present invention contain an antigen or antigenic composition capable of eliciting an immune response against a human or other mammalian pathogen, which antigen or antigenic composition may include a composition derived from one or more parasites (See, e.g., John, D. T. and Petri, W. A., Other preferred specific antigens for Certain preferred antigens for Derivatives of Hepatitis B Surface antigen are well known in the art and include, inter alia, those PreS1, Pars2 S antigens set forth described in European Patent applications EP-A414 374; EP-A-0304 578, and EP 198474. In one preferred aspect the vaccine formulation of the invention comprises the HIV-1 antigen, gp120, especially when expressed in CHO cells. In a further embodiment, the vaccine formulation of the invention comprises gD2t as hereinabove defined. In a preferred embodiment of the present invention vaccines containing the claimed adjuvant comprise antigen derived from the Human Papilloma Virus (HPV) considered to be responsible for genital warts (HPV 6 or HPV 11 and others), and the HPV viruses responsible for cervical cancer (HPV16, HPV18 and others). Particularly preferred forms of genital wart prophylactic, or therapeutic, vaccine comprise L1 particles or capsomers, and fusion proteins comprising one or more antigens selected from the HPV 6 and HPV 11 proteins E6, E7, L1, and L2. Certain preferred forms of fusion protein include L2E7 as disclosed in WO 96/26277, and proteinD(1/3)-E7 disclosed in GB 9717953.5 (PCT/EP98/05285). A preferred HPV cervical infection or cancer, prophylaxis or therapeutic vaccine, composition may comprise HPV 16 or 18 antigens. For example, L1 or L2 antigen monomers, or L1 or L2 antigens presented together as a virus like particle (VLP) or the L1 alone protein presented alone in a VLP or capsomer structure. Such antigens, virus like particles and capsomer are per se known. See for example WO94/00152, WO94/20137, WO94/05792, and WO93/02184. Additional early proteins may be included alone or as fusion proteins such as E7, E2 or preferably F5 for example; particularly preferred embodiments include a VLP comprising L1 E7 fusion proteins (WO 96/11272). Particularly preferred HPV 16 antigens comprise the early proteins E6 or F7 in fusion with a protein D carrier to form Protein D-E6 or E7 fusions from HPV 16, or combinations thereof; or combinations of E6 or E7 with L2 (WO 96/26277). Alternatively the HPV 16 or 18 early proteins E6 and E7, may be presented in a single molecule, preferably a Protein D-E6/E7 fusion. Such vaccine may optionally contain either or both E6 and E7 proteins front HPV 18, preferably in the form of a Protein D-E6 or Protein D-E7 fusion protein or Protein D E6/E7 fusion protein. The vaccine of the present invention may additionally comprise antigens from other HPV strains, preferably from strains HPV 31 or 33. Vaccines of the present invention further comprise antigens derived from parasites that cause Malaria. For example, preferred antigens from TRAP antigens are described in the International Patent Application No. PCT/GB89/00895 published as WO 90/01496. A preferred embodiment of the present invention is a Malaria vaccine wherein the antigenic preparation comprises a combination of the RTS,S and TRAP antigens. Other plasmodia antigens that are likely candidates to be components of a multistage Malaria vaccine are Accordingly, certain herein disclosed embodiment contemplate an antigen that is derived from at least one infectious pathogen such as a bacterium, a virus or a fungus, including an Actinobacterium such as For example, in GLA-containing vaccine embodiments containing antigens derived from Compositions and methods are known in the art for identifying subjects having, or suspected of being at risk for having, an infection with an infectious pathogen as described herein. For example, the bacterium Although tuberculosis can generally be controlled using extended antibiotic therapy, such treatment is not sufficient to prevent the spread of the disease and concerns exist regarding the potential selection for antibiotic-resistant strains. Infected individuals may be asymptomatic, but contagious, for some time. In addition, although compliance with the treatment regimen is critical, patient behavior is difficult to monitor. Some patients do not complete the course of treatment, which can lead to ineffective treatment and the development of drug resistance. (e.g., U.S. Pat. No. 7,087,713) Currently, vaccination with live bacteria is the most efficient method for inducing protective immunity against tuberculosis. The most common While macrophages have been shown to act as the principal effectors of Existing compounds and methods for diagnosing tuberculosis or for inducing protective immunity against tuberculosis include the use of polypeptides that contain at least one immunogenic portion of one or more Malaria was eliminated in many parts of the world in the 1960s, but the disease still persists and new strains of the disease are emerging that are resistant to existing drugs. Malaria is a major public health problem in more than 90 countries. Nine out of ten cases of malaria occur in sub-Saharan Africa. More than one third of the world's population is at risk, and between 350 and 500 million people are infected with malaria each year. Forty-five million pregnant women are at risk of contracting malaria this year. Of those individuals already infected, more than 1 million of those infected die each year from what is a preventable disease. The majority of those deaths are children in Africa. Malaria is usually transmitted when a person is bitten by an infected female An in vitro diagnostic method for malaria in an individual is known, comprising placing a tissue or a biological fluid taken from an individual in contact with a molecule or polypeptide composition, wherein said molecule or polypeptide composition comprises one or more peptide sequences bearing all or part of one or more T epitopes of the proteins resulting from the infectious activity of Expression and purification of a recombinant Polynucleotides have been described in the art that encode species-specific A recombinant Diagnostic methods for the detection of human malaria infections to identify a subject having or suspected of being at risk for having an infection with a malaria infectious pathogen are thus known according to these and related disclosures. Specifically, for example, blood samples are combined with a reagent containing 3-acetyl pyridine adenine dinucleotide (APAD), a substrate (e.g. a lactate salt or lactic acid), and a buffer. The reagent is designed to detect the presence of a unique glycolytic enzyme produced by the malaria parasite. This enzyme is known as parasite lactic acid dehydrogenase (PLDH). PLDH is readily distinguishable from host LDH using the above-described reagent. Combination of the reagent with a parasitized blood sample results in the reduction of APAD. However, APAD is not reduced by host LDH. The reduced APAD may then be detected by various techniques, including spectral, fluorimetric, electrophoretic, or colorimetric analysis. Detection of the reduced APAD in the foregoing manner provides a positive indication of malaria infection (e.g., U.S. Pat. No. 5,124,141). In another methodology for diagnosing malaria, a polypeptide comprising a characteristic amino acid sequence derived from the Leishmaniasis is a widespread parasitic disease with frequent epidemics in the Indian subcontinent, Africa, and Latin America and is a World Health Organization priority for vaccine development. A complex of different diseases, Visceral leishmaniasis is the most dangerous of the three manifestations of the disease. It is estimated that about 500,000 new cases of the visceral form (kala-azar or “the killing disease”) occur each year. More than 200 million people are currently at risk for contracting visceral leishmaniasis. Over 90 percent of visceral leishmaniasis cases occur in India, Bangladesh, Sudan, Brazil, and Nepal. Most of the deaths occur in children. Those with the cutaneous forms are often left permanently disfigured. About 40 million people around the world are infected with HIV, the virus that causes AIDS. Around 3 million people die of the disease each year, 95 percent of them in the developing world. Each year, close to 5 million people become infected with HIV. Currently, sub-Saharan African carries the highest burden of disease, but it is quickly spreading to other countries such as India, China, and Russia. The epidemic is growing most rapidly among minority populations. In the United States there have been more than 950,000 cases of AIDS reported since 1981. AIDS hits people during their most productive years. Women, for both biological and social reasons, have an increased risk for HIV/AIDS. AIDS is caused by human immunodeficiency virus (HIV), which kills and damages cells of the body's immune system and progressively destroys the body's ability to fight infections and certain cancers. HIV is spread most commonly by having unprotected sex with an infected partner. The most robust solution to the problem is preventing the virus from spreading. Making a safe, effective, and affordable HIV vaccine is one way to reach this goal. Across the world, fewer than one in five people at high risk for HIV infection have access to effective prevention. Methods for diagnosing HIV infections are known, including by virus culture, PCR of definitive nucleic acid sequences from patient specimens, and antibody tests for the presence of anti-HIV antibodies in patient sera, (see e.g., U.S. Pat. Nos. 6,979,535, 6,544,728, 6,316,183, 6,261,762, 4,743,540.) According to certain other embodiments as disclosed herein, the vaccine compositions and related formulations and methods of use may include an antigen that is derived from a cancer cell, as may be useful for the immunotherapeutic treatment of cancers. For example, the adjuvant formulation may finds utility with tumor rejection antigens such as those for prostate, breast, colorectal, lung, pancreatic, renal or melanoma cancers. Exemplary cancer or cancer cell-derived antigens include MAGE 1, 3 and MAGE 4 or other MAGE antigens such as those disclosed in WO99/40188, PRAME, BAGE, Lage (also known as NY Eos 1) SAGE and HAGE (WO 99/53061) or GAGE (Robbins and Kawakami, 1996 Other tumor-specific antigens are suitable for use with GLA according to certain presently disclosed embodiments include, but are not restricted to, tumor-specific or tumor-associated gangliosides such as GM2, and GM3or conjugates thereof to carrier proteins; or an antigen for use in a GLA vaccine composition for eliciting or enhancing an anti-cancer immune response may be a self peptide hormone such as whole length Gonadotrophin hormone releasing hormone (GnRH, WO 95/20600), a short 10 amino acid long peptide, useful in the treatment of many cancers. In another embodiment prostate antigens are used, such as Prostate specific antigen (PSA), PAP, PSCA (e.g., Other tumor associated antigens useful in the context of the present invention include: Plu-1 ( The herein disclosed embodiments pertaining to GLA-containing vaccine compositions comprising a cancer antigen will be useful against any cancer characterized by tumor associated antigen expression, such as HER-2/neu expression or other cancer-specific or cancer-associated antigens. Diagnosis of cancer in a subject having or suspected of being at risk for having cancer may be accomplished by any of a wide range of art-accepted methodologies, which may vary depending on a variety of factors including clinical presentation, degree of progression of the cancer, the type of cancer, and other factors. Examples of cancer diagnostics include histopathological, histocytochemical, immunohistocytochemical and immunohistopathological examination of patient samples (e.g., blood, skin biopsy, other tissue biopsy, surgical specimens, etc.), PCR tests for defined genetic (e.g., nucleic acid) markers, serological tests for circulating cancer-associated antigens or cells bearing such antigens, or for antibodies of defined specificity, or other methodologies with which those skilled in the art will be familiar. See, e.g., U.S. Pat. Nos. 6,734,172; 6,770,445; 6,893,820; 6,979,730; 7,060,802; 7,030,232; 6,933,123; 6,682,901; 6,587,792; 6,512,102; 7,078,180; 7,070,931; JP5-328975; Waslylyk et al., 1993 Vaccine compositions and methods according to certain embodiments of the present invention may also be used for the prophylaxis or therapy of autoimmune diseases, which include diseases, conditions or disorders wherein a host's or subject's immune system detrimentally mediates an immune response that is directed against “self” tissues, cells, biomolecules (e.g., peptides, polypeptides, proteins, glycoproteins, lipoproteins, proteolipids, lipids, glycolipids, nucleic acids such as RNA and DNA, oligosaccharides, polysaccharides, proteoglycans, glycosaminoglycans, or the like, and other molecular components of the subjects cells and tissues) or epitopes (e.g., specific immunologically defined recognition structures such as those recognized by an antibody variable region complementarity determining region (CDR) or by a T cell receptor CDR. Autoimmune diseases are thus characterized by an abnormal immune response involving either cells or antibodies, that are in either case directed against normal autologous tissues. Autoimmune diseases in mammals can generally be classified in one of two different categories: cell-mediated disease (i.e., T-cell) or antibody-mediated disorders. Non-limiting examples of cell-mediated autoimmune diseases include multiple sclerosis, rheumatoid arthritis, Hashimoto thyroiditis, type I diabetes mellitus (Juvenile onset diabetes) and autoimmune uvoretinitis. Antibody-mediated autoimmune disorders include, but are not limited to, myasthenia gravis, systemic lupus erythematosus (or SLE), Graves' disease, autoimmune hemolytic anemia, autoimmune thrombocytopenia, autoimmune asthma, cryoglobulinemia, thrombic thrombocytopenic purpura, primary biliary sclerosis and pernicious anemia. The antigen(s) associated with: systemic lupus erythematosus is small nuclear ribonucleic acid proteins (snRNP); Graves' disease is the thyrotropin receptor, thyroglobulin and other components of thyroid epithelial cells (Akamizu et al., 1996; Kellerman et al., 1995; Raju et al., 1997; and Texier et al., 1992); pemphigus is cadherin-like pemphigus antigens such as desmoglein 3 and other adhesion molecules (Memar et al., 1996: Stanley, 1995; Plott et al., 1994; and Hashimoto, 1993); and thrombic thrombocytopenic purpura is antigens of platelets. (See, e.g., U.S. Pat. No. 6,929,796; Gorski et al. (Eds.), Autoimmunity plays a role in more than 80 different diseases, including type 1 diabetes, multiple sclerosis, lupus, rheumatoid arthritis, scleroderma, and thyroid diseases. Vigorous quantitative estimates of morbidity for most autoimmune diseases are lacking. Most recent studies done in the late 1990s reveal that autoimmune diseases are the third most common major illness in the United States; and the most common autoimmune diseases affect more than 8.5 million Americans. Current estimates of the prevalence of the disease range from 5 to 8 percent of the United States population. Most autoimmune diseases disproportionately affect women. Women are 2.7 times more likely than men to acquire an autoimmune disease. Women are more susceptible to autoimmune diseases; men appear to have higher levels of natural killer cell activity than do women. (Jacobsen et al, Autoimmune diseases occur when the immune system mistakes self tissues for nonself and mounts an inappropriate attack. The body can be affected in different ways from autoimmune diseases, including, for example, the gut (Crohn's disease) and the brain (multiple sclerosis). It is known that an autoantibody attacks self-cells or self-tissues to injure their function and as a result causes autoimmune diseases, and that the autoantibody may be detected in the patient's serum prior to the actual occurrence of an autoimmune disease (e.g., appearance of clinical signs and symptoms). Detection of an autoantibody thus permits early discovery or recognition of presence or risk for developing an autoimmune disease. Based on these findings, a variety of autoantibodies against autoantigens have been discovered and the autoantibodies against autoantigens have been measured in clinical tests (e.g., U.S. Pat. Nos. 6,919,210, 6,596,501, 7,012,134, 6,919,078) while other autoimmune diagnostics may involve detection of a relevant metabolite (e.g., U.S. Pat. No. 4,659,659) or immunological reactivity (e.g., U.S. Pat. Nos. 4,614,722 and 5,147,785, 4,420,558, 5,298,396, 5,162,990, 4,420,461, 4,595,654, 5,846,758, 6,660,487). In certain embodiments, the compositions of the invention will be particularly applicable in treatment of the elderly and/or the immunosuppressed, including subjects on kidney dialysis, subjects on chemo-therapy and/or radiation therapy, transplant recipients, and the like. Such individuals generally exhibit diminished immune responses to vaccines and therefore use of the compositions of the invention can enhance the immune responses achieved in these subjects. In other embodiments, the antigen or antigens used in the compositions of the invention include antigens associated with respiratory diseases, such as those caused or exacerbated by bacterial infection (e.g. pneumococcal), for the prophylaxis and therapy of conditions such as chronic obstructive pulmonary disease (COPD). COPD is defined physiologically by the presence of irreversible or partially reversible airway obstruction in patients with chronic bronchitis and/or emphysema (Am J Respir Crit Care Med. 1995 November; 152(5 Pt 2):577-121). Exacerbations of COPD are often caused by bacterial (e.g. pneumococcal) infection (Clin Microbiol Rev. 2001 April; 14(2):336-63). In a particular embodiment, a composition of the invention comprises a GLA adjuvant, as described herein, in combination with the Pneumococcal vaccine Prevnar® (Wyeth). In still other embodiments, the compositions of the invention, comprising GLA as described herein, are used in the treatment of allergic conditions. For example, in a particular embodiment, the compositions are used in allergy desensitization therapy. Such therapy involves the stimulation of the immune system with gradually increasing doses of the substances to which a person is allergic, wherein the substances are formulated in compositions comprising GLA. In specific embodiments, the compositions are used in the treatment of allergies to food products, pollen, mites, cats or stinging insects (e.g., bees, hornets, yellow jackets, wasps, velvet ants, fire ants). TLR As described herein, certain embodiments of the present invention contemplate vaccine compositions and immunological adjuvant compositions, including pharmaceutical compositions, that include, in addition to the GLA compound(s) of the invention, one or more toll-like receptor agonist (TLR agonist). Toll-like receptors (TLR) include cell surface transmembrane receptors of the innate immune system that confer early-phase recognition capability to host cells for a variety of conserved microbial molecular structures such as may be present in or on a large number of infectious pathogens. (e.g., Armant et al., 2002 Induction of TLR-mediated signal transduction to potentiate the initiation of immune responses via the innate immune system may be effected by TLR agonists, which engage cell surface TLR. For example, lipopolysaccharide (LPS) may be a TLR agonist through TLR2 or TLR4 (Tsan et al., 2004 For example, and by way of background (see, e.g., U.S. Pat. No. 6,544,518) immunostimulatory oligonucleotides containing unmethylated CpG dinucleotides (“CpG”) are known as being adjuvants when administered by both systemic and mucosal routes (WO 96/02555, EP 468520, Davis et al., The preferred oligonucleotides for use in adjuvants or vaccines of the present invention preferably contain two or more dinucleotide CpG motifs separated by at least three, more preferably at least six or more nucleotides. The oligonucleotides of the present invention are typically deoxynucleotides. In a preferred embodiment the internucleotide in the oligonucleotide is phosphorodithioate, or more preferably a phosphorothioate bond, although phosphodiester and other internucleotide bonds are within the scope of the invention including oligonucleotides with mixed internucleotide linkages. Methods for producing phosphorothioate oligonucleotides or phosphorodithioate are described in U.S. Pat. Nos. 5,666,153, 5,278,302 and WO95/26204. Examples of preferred oligonucleotides have sequences that are disclosed in the following publications; for certain herein disclosed embodiments the sequences preferably contain phosphorothioate modified internucleotide linkages: CPG 7909: Cooper et al., “CPG 7909 adjuvant improves hepatitis B virus vaccine seroprotection in antiretroviral-treated HIV-infected adults.” CpG 10101: Bayes et al., “Gateways to clinical trials.” Vollmer J., “Progress in drug development of immunostimulatory CpG oligodeoxynucleotide ligands for TLR9.” Expert Opinion on Biological Therapy. 2005 May; 5(5): 673-682 Alternative CpG oligonucleotides may comprise variants of the preferred sequences described in the above-cited publications that differ in that they have inconsequential nucleotide sequence substitutions, insertions, deletions and/or additions thereto. The CpG oligonucleotides utilized in certain embodiments of the present invention may be synthesized by any method known in the art (e.g., EP 468520). Conveniently, such oligonucleotides may be synthesized utilizing an automated synthesizer. The oligonucleotides are typically deoxynucleotides. In a preferred embodiment the internucleotide bond in the oligonucleotide is phosphorodithioate, or more preferably phosphorothioate bond, although phosphodiesters are also within the scope of the presently contemplated embodiments. Oligonucleotides comprising different internucleotide linkages are also contemplated, e.g., mixed phosphorothioate phosphodiesters. Other internucleotide bonds which stabilize the oligonucleotide may also be used. Co-Adjuvant Certain embodiments as provided herein include vaccine compositions and immunological adjuvant compositions, including pharmaceutical compositions, that contain, in addition to GLA compound(s), at least one co-adjuvant, which refers to a component of such compositions that has adjuvant activity but that is other than GLA. A co-adjuvant having such adjuvant activity includes a composition that, when administered to a subject such as a human (e.g., a human patient), a non-human primate, a mammal or another higher eukaryotic organism having a recognized immune system, is capable of altering (i.e., increasing or decreasing in a statistically significant manner, and in certain preferred embodiments, enhancing or increasing) the potency and/or longevity of an immune response. (See, e.g., Powell and Newman, “Vaccine design—The Subunit and Adjuvant Approach”, 1995, Plenum Press, New York) In certain embodiments disclosed herein GLA and a desired antigen, and optionally one or more co-adjuvants, may so alter, e.g., elicit or enhance, an immune response that is directed against the desired antigen which may be administered at the same time as GLA or may be separated in time and/or space (e.g., at a different anatomic site) in its administration, but certain invention embodiments are not intended to be so limited and thus also contemplate administration of GLA in a composition that does not include a specified antigen but which may also include one or more of a TLR agonist, a co-adjuvant, an imidazoquinline immune response modifier, and a double stem loop immune modifier (dSLIM). Accordingly and as noted above, co-adjuvants include compositions other than GLA that have adjuvant effects, such as saponins and saponin mimetics, including QS21 and QS21 mimetics (see, e.g., U.S. Pat. No. 5,057,540; EP 0 362 279 B1; WO 95/17210), alum, plant alkaloids such as tomatine, detergents such as (but not limited to) saponin, polysorbate 80, Span 85 and stearyl tyrosine, one or more cytokines (e.g., GM-CSF, IL-2, IL-7, IL-12, TNF-alpha, IFN-gamma), an imidazoquinoline immune response modifier, and a double stem loop immune modifier (dSLIM, e.g., Weeratna et al., 2005 Detergents including saponins are taught in, e.g., U.S. Pat. No. 6,544,518; Lacaille-Dubois, M and Wagner H. (1996 Escin is another detergent related to the saponins for use in the adjuvant compositions of the embodiments herein disclosed. Escin is described in the Merck index (12thEd.: entry 3737) as a mixture of saponin occurring in the seed of the horse chestnut tree, Other co-adjuvants for use according to certain herein disclosed embodiments include a block co-polymer or biodegradable polymer, which refers to a class of polymeric compounds with which those in the relevant art will be familiar. Examples of a block co-polymer or biodegradable polymer that may be included in a GLA vaccine composition or a GLA immunological adjuvant include Pluronic® L121 (BASF Corp., Mount Olive, N.J.; see, e.g., Yeh et al., 1996 Certain embodiments contemplate GLA vaccines and GLA immunological adjuvants that include an oil, which in some such embodiments may contribute co-adjuvant activity and in other such embodiments may additionally or alternatively provide a pharmaceutically acceptable carrier or excipient. Any number of suitable oils are known and may be selected for inclusion in vaccine compositions and immunological adjuvant compositions based on the present disclosure. Examples of such oils, by way of illustration and not limitation, include squalene, squalane, mineral oil, olive oil, cholesterol, and a mannide monooleate. Immune response modifiers such as imidazoquinoline immune response modifiers are also known in the art and may also be included as co-adjuvants in certain presently disclosed embodiments. Certain preferred imidazoquinoline immune response modifiers include, by way of non-limiting example, resiquimod (R848), imiquimod and gardiquimod (Hemmi et al., 2002 As also noted above, one type of co-adjuvant for use with GLA as described herein may be the aluminum co-adjuvants, which are generally referred to as “alum.” Alum co-adjuvants are based on the following: aluminum oxy-hydroxide; aluminum hydroxyphosphoate; or various proprietary salts. Vaccines that use alum co-adjuvants may include vaccines for tetanus strains, HPV, hepatitis A, inactivated polio virus, and other antigens as described herein. Alum co-adjuvants are advantageous because they have a good safety record, augment antibody responses, stabilize antigens, and are relatively simple for large-scale production. (Edelman 2002 Other co-adjuvants that may be combined with GLA for effective immune stimulation include saponins and saponin mimetics, including QS21 and structurally related compounds conferring similar effects and referred to herein as QS21 mimetics. QS21 has been recognized as a preferred co-adjuvant. QS21 may comprise an HPLC purified non-toxic fraction derived from the bark of Quillaja GLA may also in certain embodiments be combined with “immunostimulatory complexes” known as ISCOMS (e.g., U.S. Pat. Nos. 6,869,607, 6,846,489, 6,027,732, 4,981,684), including saponin-derived ISCOMATRIX®, which is commercially available, for example, from Iscotec (Stockholm, Sweden) and CSL Ltd. (Parkville, Victoria, Australia). Recombinant Expression Construct According to certain herein disclosed embodiments, the GLA vaccine composition may contain at least one recombinant expression construct which comprises a promoter operably linked to a nucleic acid sequence encoding an antigen. In certain further embodiments the recombinant expression construct is present in a viral vector, such as an adenovirus, adeno-associated virus, herpesvirus, lentivirus, poxvirus or retrovirus vector. Compositions and methods for making and using such expression constructs and vectors are known in the art, for the expression of polypeptide antigens as provided herein, for example, according to Ausubel et al. (Eds.), Current Protocols in Molecular Biology, 2006 John Wiley & Sons, NY. Non-limiting examples of recombinant expression constructs generally can be found, for instance, in U.S. Pat. Nos. 6,844,192; 7,037,712; 7,052,904; 7,001,770; 6,106,824; 5,693,531; 6,613,892; 6,875,610; 7,067,310; 6,218,186; 6,783,981; 7,052,904; 6,783,981; 6,734,172; 6,713,068; 5,795,577 and 6,770,445 and elsewhere, with teachings that can be adapted to the expression of polypeptide antigens as provided herein, for use in certain presently disclosed embodiments. Immune Response The invention thus provides compositions for altering (i.e., increasing or decreasing in a statistically significant manner, for example, relative to an appropriate control as will be familiar to persons skilled in the art) immune responses in a host capable of mounting an immune response. As will be known to persons having ordinary skill in the art, an immune response may be any active alteration of the immune status of a host, which may include any alteration in the structure or function of one or more tissues, organs, cells or molecules that participate in maintenance and/or regulation of host immune status. Typically, immune responses may be detected by any of a variety of well known parameters, including but not limited to in vivo or in vitro determination of: soluble immunoglobulins or antibodies; soluble mediators such as cytokines, lymphokines, chemokines, hormones, growth factors and the like as well as other soluble small peptide, carbohydrate, nucleotide and/or lipid mediators; cellular activation state changes as determined by altered functional or structural properties of cells of the immune system, for example cell proliferation, altered motility, induction of specialized activities such as specific gene expression or cytolytic behavior; cellular differentiation by cells of the immune system, including altered surface antigen expression profiles or the onset of apoptosis (programmed cell death); or any other criterion by which the presence of an immune response may be detected. Immune responses may often be regarded, for instance, as discrimination between self and non-self structures by the cells and tissues of a host's immune system at the molecular and cellular levels, but the invention should not be so limited. For example, immune responses may also include immune system state changes that result from immune recognition of self molecules, cells or tissues, as may accompany any number of normal conditions such as typical regulation of immune system components, or as may be present in pathological conditions such as the inappropriate autoimmune responses observed in autoimmune and degenerative diseases. As another example, in addition to induction by up-regulation of particular immune system activities (such as antibody and/or cytokine production, or activation of cell mediated immunity) immune responses may also include suppression, attenuation or any other down-regulation of detectable immunity, which may be the consequence of the antigen selected, the route of antigen administration, specific tolerance induction or other factors. Determination of the induction of an immune response by the vaccines of the present invention may be established by any of a number of well known immunological assays with which those having ordinary skill in the art will be readily familiar. Such assays include, but need not be limited to, to in vivo or in vitro determination of: soluble antibodies; soluble mediators such as cytokines, lymphokines, chemokines, hormones, growth factors and the like as well as other soluble small peptide, carbohydrate, nucleotide and/or lipid mediators; cellular activation state changes as determined by altered functional or structural properties of cells of the immune system, for example cell proliferation, altered motility, induction of specialized activities such as specific gene expression or cytolytic behavior; cellular differentiation by cells of the immune system, including altered surface antigen expression profiles or the onset of apoptosis (programmed cell death). Procedures for performing these and similar assays are widely known and may be found, for example in Lefkovits ( Detection of the proliferation of antigen-reactive T cells may be accomplished by a variety of known techniques. For example, T cell proliferation can be detected by measuring the rate of DNA synthesis, and antigen specificity can be determined by controlling the stimuli (such as, for example, a specific desired antigen- or a control antigen-pulsed antigen presenting cells) to which candidate antigen-reactive T cells are exposed. T cells which have been stimulated to proliferate exhibit an increased rate of DNA synthesis. A typical way to measure the rate of DNA synthesis is, for example, by pulse-labeling cultures of T cells with tritiated thymidine, a nucleoside precursor which is incorporated into newly synthesized DNA. The amount of tritiated thymidine incorporated can be determined using a liquid scintillation spectrophotometer. Other ways to detect T cell proliferation include measuring increases in interleukin-2 (IL-2) production, Ca2+flux, or dye uptake, such as 3-(4,5-dimethylthiazol-2-yl)-2,5-diphenyl-tetrazolium. Alternatively, synthesis of lymphokines (such as interferon-gamma) can be measured or the relative number of T cells that can respond to a particular antigen may be quantified. Detection of antigen-specific antibody production may be achieved, for example, by assaying a sample (e.g., an immunoglobulin containing sample such as serum, plasma or blood) from a host treated with a vaccine according to the present invention using in vitro methodologies such as radioimmunoassay (RIA), enzyme linked immunosorbent assays (ELISA), equilibrium dialysis or solid phase immunoblotting including Western blotting. In preferred embodiments ELISA assays may further include antigen-capture immobilization of the target antigen with a solid phase monoclonal antibody specific for the antigen, for example, to enhance the sensitivity of the assay. Elaboration of soluble mediators (e.g., cytokines, chemokines, lymphokines, prostaglandins, etc.) may also be readily determined by enzyme-linked immunosorbent assay (ELISA), for example, using methods, apparatus and reagents that are readily available from commercial sources (e.g., Sigma, St. Louis, Mo.; see also R & D Systems 2006 Catalog, R & D Systems, Minneapolis, Minn.). Any number of other immunological parameters may be monitored using routine assays that are well known in the art. These may include, for example, antibody dependent cell-mediated cytotoxicity (ADCC) assays, secondary in vitro antibody responses, flow immunocytofluorimetric analysis of various peripheral blood or lymphoid mononuclear cell subpopulations using well established marker antigen systems, immunohistochemistry or other relevant assays. These and other assays may be found, for example, in Rose et al. (Eds.), Accordingly it is contemplated that the vaccine and adjuvant compositions provided herein will be capable of eliciting or enhancing in a host at least one immune response that is selected from a TH1-type T lymphocyte response, a TH2-type T lymphocyte response, a cytotoxic T lymphocyte (CTL) response, an antibody response, a cytokine response, a lymphokine response, a chemokine response, and an inflammatory response. In certain embodiments the immune response may comprise at least one of production of one or a plurality of cytokines wherein the cytokine is selected from interferon-gamma (IFN-γ), tumor necrosis factor-alpha (TNF-α), production of one or a plurality of interleukins wherein the interleukin is selected from IL-1, IL-2, IL-3, IL-4, IL-6, IL-8, IL-10, IL-12, IL-13, IL-16, IL-18 and IL-23, production one or a plurality of chemokines wherein the chemokine is selected from MIP-1a, MIP-113, RANTES, CCL4 and CCL5, and a lymphocyte response that is selected from a memory T cell response, a memory B cell response, an effector T cell response, a cytotoxic T cell response and an effector B cell response. See, e.g., WO 94/00153; WO 95/17209; WO 96/02555; U.S. Pat. No. 6,692,752; U.S. Pat. No. 7,084,256; U.S. Pat. No. 6,977,073; U.S. Pat. No. 6,749,856; U.S. Pat. No. 6,733,763; U.S. Pat. No. 6,797,276; U.S. Pat. No. 6,752,995; U.S. Pat. No. 6,057,427; U.S. Pat. No. 6,472,515; U.S. Pat. No. 6,309,847; U.S. Pat. No. 6,969,704; U.S. Pat. No. 6,120,769; U.S. Pat. No. 5,993,800; U.S. Pat. No. 5,595,888; Smith et al., 1987 J Biol. Chem. 262:6951; Kriegler et al., 1988 Cell 53:45 53; Beutler et al., 1986 Nature 320:584; U.S. Pat. No. 6,991,791; U.S. Pat. No. 6,654,462; U.S. Pat. No. 6,375,944. Pharmaceutical Compositions Pharmaceutical compositions generally comprise at least one GLA compound of the invention, and may further comprise one or more components as provided herein that are selected, for example, from antigen, TLR agonist, co-adjuvant (including optionally a cytokine, an imidazoquinoline immune response modifier and/or a dSLIM), and/or a recombinant expression construct, in combination with a pharmaceutically acceptable carrier, excipient or diluent. Therefore, in certain aspects, the present invention is drawn to GLA “monotherapy” wherein GLA, as described herein, is formulated in a composition that is substantially devoid of other antigens, and is administered to a subject in order to stimulate an immune e response, e.g., a non-specific immune response, for the purpose of treating or preventing a disease or other condition, such as for treating an infection by an organism, for treating seasonal rhinitis, or the like. In one embodiment, for example, the compositions and methods of the invention employ a GLA compound for stimulating an immune response in a subject. In another embodiment, the GLA is in the form of a spray, optionally provided in a kit. The GLA may be preferably formulated in a stable emulsion. In one particular embodiment, for example, a composition is provided comprising a GLA compound of the invention in a stable emulsion substantially devoid of other antigens. In certain other embodiments, the pharmaceutical composition is a vaccine composition that comprises both GLA and an antigen and may further comprise one or more components, as provided herein, that are selected from TLR agonist, co-adjuvant (including, e.g., a cytokine, an imidazoquinoline immune response modifier and/or a dSLIM) and the like and/or a recombinant expression construct, in combination with a pharmaceutically acceptable carrier, excipient or diluent. Illustrative carriers will be nontoxic to recipients at the dosages and concentrations employed. For GLA-plus-nucleic acid-based vaccines, or for vaccines comprising GLA plus an antigen, about 0.001 μg/kg to about 100 mg/kg body weight will generally be administered, typically by the intradermal, subcutaneous, intramuscular or intravenous route, or by other routes. In a more specific embodiment, the dosage is about 0.001 μg/kg to about 1 mg/kg. In another specific embodiment, the dosage is about 0.001 to about 50 μg/kg. In another specific embodiment, the dosage is about 0.001 to about 15 μg/kg. In another specific embodiment, the amount of GLA administered is about 0.01 μg/dose to about 5 mg/dose. In another specific embodiment, the amount of GLA administered is about 0.1 μg/dose to about 1 mg/dose. In another specific embodiment, the amount of GLA administered is about 0.1 μg/dose to about 100 μg/dose. In another specific embodiment, the GLA administered is about 0.1 μg/dose to about 10 μg/dose. It will be evident to those skilled in the art that the number and frequency of administration will be dependent upon the response of the host. “Pharmaceutically acceptable carriers” for therapeutic use are well known in the pharmaceutical art, and are described, for example, in “Pharmaceutically acceptable salt” refers to salts of the compounds of the present invention derived from the combination of such compounds and an organic or inorganic acid (acid addition salts) or an organic or inorganic base (base addition salts). The compositions of the present invention may be used in either the free base or salt forms, with both forms being considered as being within the scope of the present invention. The pharmaceutical compositions may be in any form which allows for the composition to be administered to a patient. For example, the composition may be in the form of a solid, liquid or gas (aerosol). Typical routes of administration include, without limitation, oral, topical, parenteral (e.g., sublingually or buccally), sublingual, rectal, vaginal, and intranasal (e.g., as a spray). The term parenteral as used herein includes iontophoretic (e.g., U.S. Pat. Nos. 7,033,598; 7,018,345; 6,970,739), sonophoretic (e.g., U.S. Pat. Nos. 4,780,212; 4,767,402; 4,948,587; 5,618,275; 5,656,016; 5,722,397; 6,322,532; 6,018,678), thermal (e.g., U.S. Pat. Nos. 5,885,211; 6,685,699), passive transdermal (e.g., U.S. Pat. Nos. 3,598,122; 3,598,123; 4,286,592; 4,314,557; 4,379,454; 4,568,343; 5,464,387; UK Pat. Spec. No. 2232892; U.S. Pat. Nos. 6,871,477; 6,974,588; 6,676,961), microneedle (e.g., U.S. Pat. Nos. 6,908,453; 5,457,041; 5,591,139; 6,033,928) administration and also subcutaneous injections, intravenous, intramuscular, intrasternal, intracavernous, intrathecal, intrameatal, intraurethral injection or infusion techniques. In a particular embodiment, a composition as described herein (including vaccine and pharmaceutical compositions) is administered intradermally by a technique selected from iontophoresis, microcavitation, sonophoresis or microneedles. The pharmaceutical composition is formulated so as to allow the active ingredients contained therein to be bioavailable upon administration of the composition to a patient. Compositions that will be administered to a patient take the form of one or more dosage units, where for example, a tablet may be a single dosage unit, and a container of one or more compounds of the invention in aerosol form may hold a plurality of dosage units. For oral administration, an excipient and/or binder may be present. Examples are sucrose, kaolin, glycerin, starch dextrins, sodium alginate, carboxymethylcellulose and ethyl cellulose. Coloring and/or flavoring agents may be present. A coating shell may be employed. The composition may be in the form of a liquid, e.g., an elixir, syrup, solution, emulsion or suspension. The liquid may be for oral administration or for delivery by injection, as two examples. When intended for oral administration, preferred compositions contain one or more of a sweetening agent, preservatives, dye/colorant and flavor enhancer. In a composition intended to be administered by injection, one or more of a surfactant, preservative, wetting agent, dispersing agent, suspending agent, buffer, stabilizer and isotonic agent may be included. A liquid pharmaceutical composition as used herein, whether in the form of a solution, suspension or other like form, may include one or more of the following carriers or excipients: sterile diluents such as water for injection, saline solution, preferably physiological saline, Ringer's solution, isotonic sodium chloride, fixed oils such as squalene, squalane, mineral oil, a mannide monooleate, cholesterol, and/or synthetic mono or digylcerides which may serve as the solvent or suspending medium, polyethylene glycols, glycerin, propylene glycol or other solvents; antibacterial agents such as benzyl alcohol or methyl paraben; antioxidants such as ascorbic acid or sodium bisulfite; chelating agents such as ethylenediaminetetraacetic acid; buffers such as acetates, citrates or phosphates and agents for the adjustment of tonicity such as sodium chloride or dextrose. The parenteral preparation can be enclosed in ampoules, disposable syringes or multiple dose vials made of glass or plastic. An injectable pharmaceutical composition is preferably sterile. In a particular embodiment, a pharmaceutical or vaccine composition of the invention comprises a stable aqueous suspension of less than 0.2 um and further comprises at least one component selected from the group consisting of phospholipids, fatty acids, surfactants, detergents, saponins, fluorodated lipids, and the like. In another embodiment, a composition of the invention is formulated in a manner which can be aerosolized. It may also be desirable to include other components in a vaccine or pharmaceutical composition, such as delivery vehicles including but not limited to aluminum salts, water-in-oil emulsions, biodegradable oil vehicles, oil-in-water emulsions, biodegradable microcapsules, and liposomes. Examples of additional immunostimulatory substances (co-adjuvants) for use in such vehicles are also described above and may include N-acetylmuramyl-L-alanine-D-isoglutamine (MDP), glucan, IL-12, GM-CSF, gamma interferon and IL-12. While any suitable carrier known to those of ordinary skill in the art may be employed in the pharmaceutical compositions of this invention, the type of carrier will vary depending on the mode of administration and whether a sustained release is desired. For parenteral administration, such as subcutaneous injection, the carrier preferably comprises water, saline, alcohol, a fat, a wax or a buffer. For oral administration, any of the above carriers or a solid carrier, such as mannitol, lactose, starch, magnesium stearate, sodium saccharine, talcum, cellulose, glucose, sucrose, and magnesium carbonate, may be employed. Biodegradable microspheres (e.g., polylactic galactide) may also be employed as carriers for the pharmaceutical compositions of this invention. Suitable biodegradable microspheres are disclosed, for example, in U.S. Pat. Nos. 4,897,268 and 5,075,109. In this regard, it is preferable that the microsphere be larger than approximately 25 microns. Pharmaceutical compositions (including GLA vaccines and GLA immunological adjuvants) may also contain diluents such as buffers, antioxidants such as ascorbic acid, low molecular weight (less than about 10 residues) polypeptides, proteins, amino acids, carbohydrates including glucose, sucrose or dextrins, chelating agents such as EDTA, glutathione and other stabilizers and excipients. Neutral buffered saline or saline mixed with nonspecific serum albumin are exemplary appropriate diluents. Preferably, product may be formulated as a lyophilizate using appropriate excipient solutions (e.g., sucrose) as diluents. As described above, in certain embodiments the subject invention includes compositions capable of delivering nucleic acid molecules encoding desired antigens. Such compositions include recombinant viral vectors (e.g., retroviruses (see WO 90/07936, WO 91/02805, WO 93/25234, WO 93/25698, and WO 94/03622), adenovirus (see Berkner, In addition to direct in vivo procedures, ex vivo procedures may be used in which cells are removed from a host, modified, and placed into the same or another host animal. It will be evident that one can utilize any of the compositions noted above for introduction of antigen-encoding nucleic acid molecules into tissue cells in an ex vivo context. Protocols for viral, physical and chemical methods of uptake are well known in the art. Accordingly, the present invention is useful for enhancing or eliciting, in a host, a patient or in cell culture, an immune response. As used herein, the term “patient” refers to any warm-blooded animal, preferably a human. A patient may be afflicted with an infectious disease, cancer, such as breast cancer, or an autoimmune disease, or may be normal (i.e., free of detectable disease and/or infection). A “cell culture” is any preparation containing immunocompetent cells or isolated cells of the immune system (including, but not limited to, T cells, macrophages, monocytes, B cells and dendritic cells). Such cells may be isolated by any of a variety of techniques well known to those of ordinary skill in the art (e.g., Ficoll-hypaque density centrifugation). The cells may (but need not) have been isolated from a patient afflicted with cancer, and may be reintroduced into a patient after treatment. In certain embodiments a liquid composition intended for either parenteral or oral administration should contain an amount of GLA vaccine composition such that a suitable dosage will be obtained. Typically, this amount is at least 0.01 wt % of an antigen in the composition. When intended for oral administration, this amount may be varied to be between 0.1 and about 70% of the weight of the composition. Preferred oral compositions contain between about 4% and about 50% of the antigen. Preferred compositions and preparations are prepared so that a parenteral dosage unit contains between 0.01 to 1% by weight of active composition. The pharmaceutical composition may be intended for topical administration, in which case the carrier may suitably comprise a solution, emulsion, ointment or gel base. The base, for example, may comprise one or more of the following: petrolatum, lanolin, polyethylene glycols, beeswax, mineral oil, diluents such as water and alcohol, and emulsifiers and stabilizers. Thickening agents may be present in a pharmaceutical composition for topical administration. If intended for transdermal administration, the composition may include a transdermal patch or iontophoresis device. Topical formulations may contain a concentration of the antigen (e.g., GLA-antigen vaccine composition) or GLA (e.g., immunological adjuvant composition; GLA is available from Avanti Polar Lipids, Inc., Alabaster, Ala.; e.g., product number 699800) of from about 0.1 to about 10% w/v (weight per unit volume). The composition may be intended for rectal administration, in the form, e.g., of a suppository which will melt in the rectum and release the drug. The composition for rectal administration may contain an oleaginous base as a suitable nonirritating excipient. Such bases include, without limitation, lanolin, cocoa butter and polyethylene glycol. In the methods of the invention, the vaccine compositions/adjuvants may be administered through use of insert(s), bead(s), timed-release formulation(s), patch(es) or fast-release formulation(s). Also contemplated in certain embodiments are kits comprising the herein described GLA vaccine compositions and/or GLA immunological adjuvant compositions, which may be provided in one or more containers. In one embodiment all components of the GLA vaccine compositions and/or GLA immunological adjuvant compositions are present together in a single container, but the invention embodiments are not intended to be so limited and also contemplate two or more containers in which, for example, a GLA immunological adjuvant composition is separate from, and not in contact with, the antigen component. By way of non-limiting theory, it is believed that in some cases administration only of the GLA immunological adjuvant composition may be performed beneficially, whilst in other cases such administration may beneficially be separated temporally and/or spatially (e.g., at a different anatomical site) from administration of the antigen, whilst in still other cases administration to the subject is beneficially conducted of a GLA vaccine composition as described herein and containing both antigen and GLA, and optionally other herein described components as well. A container according to such kit embodiments may be any suitable container, vessel, vial, ampule, tube, cup, box, bottle, flask, jar, dish, well of a single-well or multi-well apparatus, reservoir, tank, or the like, or other device in which the herein disclosed compositions may be placed, stored and/or transported, and accessed to remove the contents. Typically such a container may be made of a material that is compatible with the intended use and from which recovery of the contained contents can be readily achieved. Preferred examples of such containers include glass and/or plastic sealed or re-sealable tubes and ampules, including those having a rubber septum or other sealing means that is compatible with withdrawal of the contents using a needle and syringe. Such containers may, for instance, by made of glass or a chemically compatible plastic or resin, which may be made of, or may be coated with, a material that permits efficient recovery of material from the container and/or protects the material from, e.g., degradative conditions such as ultraviolet light or temperature extremes, or from the introduction of unwanted contaminants including microbial contaminants. The containers are preferably sterile or sterilizable, and made of materials that will be compatible with any carrier, excipient, solvent, vehicle or the like, such as may be used to suspend or dissolve the herein described vaccine compositions and/or immunological adjuvant compositions and/or antigens and/or recombinant expression constructs, etc. Emulsion systems may also be used in formulating compositions of the present invention. For example, many single or multiphase emulsion systems have been described. Oil in water emulsion adjuvants per se have been suggested to be useful as adjuvant composition (EP 0 399 843B), also combinations of oil in water emulsions and other active agents have been described as adjuvants for vaccines (WO 95/17210; WO 98/56414; WO 99/12565; WO 99/11241). Other oil emulsion adjuvants have been described, such as water in oil emulsions (U.S. Pat. No. 5,422,109; EP 0 480 982 B2) and water in oil in water emulsions (U.S. Pat. No. 5,424,067; EP 0 480 981 B). The oil emulsion adjuvants for use in the present invention may be natural or synthetic, and may be mineral or organic. Examples of mineral and organic oils will be readily apparent to the man skilled in the art. In a particular embodiment, a composition of the invention comprises an emulsion of oil in water wherein the GLA is incorporated in the oil phase. In another embodiment, a composition of the invention comprises an emulsion of oil in water wherein the GLA is incorporated in the oil phase and wherein an additional component is present, such as a co-adjuvant, TLR agonist, or the like, as described herein. In order for any oil in water composition to be suitable for human administration, the oil phase of the emulsion system preferably comprises a metabolizable oil. The meaning of the term metabolizable oil is well known in the art. Metabolizable can be defined as “being capable of being transformed by metabolism” (Dorland's illustrated Medical Dictionary, W. B. Saunders Company, 25th edition (1974)). The oil may be any vegetable oil, fish oil, animal oil or synthetic oil, which is not toxic to the recipient and is capable of being transformed by metabolism. Nuts (such as peanut oil), seeds, and grains are common sources of vegetable oils. Synthetic oils are also part of this invention and can include commercially available oils such as NEOBEE® and others. Squalene (2,6,10,15,19,23-Hexamethyl-2,6,10,14,18,22-tetracosahexaene), for example, is an unsaturated oil which is found in large quantities in shark-liver oil, and in lower quantities in olive oil, wheat germ nil, rice bran oil, and yeast, and is a particularly preferred oil for use in this invention. Squalene is a metabolizable oil virtue of the fact that it is an intermediate in the biosynthesis of cholesterol (Merck index, 10th Edition, entry no. 8619). Particularly preferred oil emulsions are oil in water emulsions, and in particular squalene in water emulsions. In addition, the most preferred oil emulsion adjuvants of the present invention comprise an antioxidant, which is preferably the oil .alpha.-tocopherol (vitamin E, EP 0 382 271 B1). WO 95/17210 and WO 99/11241 disclose emulsion adjuvants based on squalene, alpha-tocopherol, and TWEEN® 80, optionally formulated with the immunostimulants QS21 and/or 3D-MPL (which are discussed above). WO 99/12565 discloses an improvement to these squalene emulsions with the addition of a sterol into the oil phase. Additionally, a triglyceride, such as tricaprylin (C27H5006), may be added to the oil phase in order to stabilize the emulsion (WO 98/56414). The size of the oil droplets found within the stable oil in water emulsion are preferably less than 1 micron, may be in the range of substantially 30-600 nm, preferably substantially around 30-500 nm in diameter, and most preferably substantially 150-500 nm in diameter, and in particular about 150 nm in diameter as measured by photon correlation spectroscopy. In this regard, 80% of the oil droplets by number should be within the preferred ranges, more preferably more than 90% and most preferably more than 95% of the oil droplets by number are within the defined size ranges The amounts of the components present in the oil emulsions of the present invention are conventionally in the range of from 2 to 10% oil, such as squalene; and when present, from 2 to 10% alpha tocopherol; and from 0.3 to 3% surfactant, such as polyoxyethylene sorbitan monooleate. Preferably the ratio of oil:alpha tocopherol is equal or less than 1 as this provides a more stable emulsion. Span 85 may also be present at a level of about 1%. In some cases it may be advantageous that the vaccines of the present invention will further contain a stabilizer. The method of producing oil in water emulsions is well known to the person skilled in the art. Commonly, the method comprises the mixing the oil phase with a surfactant such as a PBS/TWEEN80® solution, followed by homogenization using a homogenizer. For instance, a method that comprises passing the mixture once, twice or more times through a syringe needle would be suitable for homogenizing small volumes of liquid. Equally, the emulsification process in a microfluidizer (M110S microfluidics machine, maximum of 50 passes, for a period of 2 minutes at maximum pressure input of 6 bar (output pressure of about 850 bar)) could be adapted to produce smaller or larger volumes of emulsion. This adaptation could be achieved by routine experimentation comprising the measurement of the resultant emulsion until a preparation was achieved with oil droplets of the required diameter. The following Examples are offered by way of illustration and not by way of limitation. Sodium azide (2.78 g, 42.7 mmol) was dissolved in water (7 mL) and toluene (7 mL). The mixture was cooled to 0° C. under vigorous stirring. Triflic anhydride (4.57 mL, 27.2 mmol) was added dropwise, and the mixture was stirred for 30 min at 0° C. The temperature was raised to 10° C., and the biphasic mixture was stirred for 2 h. A saturated aqueous solution of sodium hydrogencarbonate was added dropwise until gas evolution had ceased. The two phases were separated, and the aqueous layer was extracted with toluene (2×7 mL). The combined organic layers were used in the subsequent diazo transfer reaction. Glucose amine 1 (2.04 g, 9.45 mmol), sodium hydrogencarbonate (3.21 g, 38.22 mmol), and copper(II) sulfate pentahydrate (90.5 mg, 0.362 mmol) were dissolved in water (12.3 mL). The triflic azide stock solution prepared above (21 mL) was added, followed by the addition of methanol (81 mL) to yield a homogeneous system. The blue mixture was stirred vigorously at room temperature. Complete consumption of the amine was monitored by TLC (ninhydrin stain) and is also indicated by a color change of the mixture from blue to green. The solvents were removed in vacuo with a rotary evaporator keeping the temperature strictly below 25° C. The residue was purified by chromatography on silica gel (120 g RediSep column, eluting with a gradient of 0% through 40% methanol/dichloromethane over 50 min, 85 mL/min) to give product 2 (1.93 g, 99%) as a colorless liquid.1H NMR (300 MHz, CD3OD) (mixture of diastereomers 1/1) δ 5.18 (d, J=3.4 Hz, 0.5H), 4.51 (d, J=8.0 Hz, 0.5H), 3.89-3.63 (m, 3H), 3.32-3.26 (m, 2H), 3.11-3.06 (m, 1H). To a solution of compound 2 (2.00 g, 9.75 mmol) in DMF (40 mL) was added benzaldehyde dimethyl acetal (1.65 g, 10.8 mmol) and camphorsulfonic acid (90 mg). The flask was connected to a vacuum system, and the mixture was heated at 50° C. in an oil bath. After 3 h, the mixture was concentrated using a rotary evaporator. The residue was re-dissolved in diethyl ether (50 mL) and Et3N (2 mL) followed by saturated sodium bicarbonate (50 mL). The aqueous layer was extracted with diethyl ether (3×50 mL). The combined organic extracts were dried over sodium sulfate and filtered. After the removal of solvents using a rotary evaporator, the residue was purified by chromatography on silica gel (120 g RediSep column, eluting with a gradient of 0% through 100% ethyl acetate/hexanes over 50 min, 85 mL/min) to give product 3 (2.58 g, 90%) as a colorless liquid.1H NMR (300 MHz, CD3OD) δ 7.49-7.32 (m, 5H), 5.58 (s, 1H), 4.64 (d, J=3.8 Hz, 1H), 4.25-341 (m, 5H), 3.23-3.20 (m, 1H). t-Butyldimethylsilyl chloride (820 mg, 5.44 mmol) was added to a mixture of compound 3 (1.45 g, 4.94 mmol) and imidazole (768 mg, 11.3 mmol) in CH2Cl2(40 mL) at 0° C. After the solution was stirred overnight, saturated sodium bicarbonate (20 mL) was added, and the mixture was extracted with diethyl ether (3×30 mL). The combined organic layers were dried over Na2SO4, filtered, and concentrated in vacuo. The residue was purified by flash column chromatography (80 g RediSep column, eluting with a gradient of 0% through 70% ethyl acetate/hexanes over 40 min, 60 mL/min) to yield product 4 (1.5 g, 74%) as a colorless solid.1H NMR (300 MHz, CDCl3) δ 7.46-7.43 (m, 2H), 7.35-7.32 (m, 3H), 5.48 (s, 1H), 4.59 (d, J=7.6 Hz, 1H), 4.23 (dd, J=10.2, 5.0 Hz, 1H), 3.73 (t, J=10.2 Hz, 1H), 3.56-3.51 (m, 2H), 3.31-3.28 (m, 2H), 2.72 (d, J=2.2 Hz, 1H), 0.91 (s, 9H), 0.14 (s, 3H), 0.13 (s, 3H). To a solution of compound 4 (1.50 g, 3.68 mmol) and tetramethylethylenediamine (TMEDA) (0.78 mL, 5.2 mmol) in dichloromethane (DCM) (50 mL) at 0° C. was added allyl chloroformate (0.78 mL, 7.3 mmol) dropwise. The mixture was allowed to warm to room temperature, and the mixture was stirred at room temperature for 10 h. The mixture was diluted with DCM (50 mL) and washed with saturated aqueous NaHCO3(2×100 mL) and brine (2×50 mL). The combined organic layers were dried over Na2SO4, filtered, and concentrated in vacuo. The residue was purified by flash column chromatography (80 g RediSep column, eluting with a gradient of 0% through 50% ethyl acetate/hexanes over 40 min, 60 mL/min) to yield product 5 (1.57 g, 87%) as a colorless solid. Rf=0.40 (hexanes/ethyl acetate, 3/1, v/v).1H NMR (300 MHz, CDCl3) δ 7.44-7.41 (m, 2H), 7.35-7.32 (m, 3H), 5.98-5.85 (m, 1H), 5.48 (s, 1H), 5.38-5.22 (m, 2H), 4.88 (t, J=11.4 Hz, 1H), 4.72-4.64 (m, 3H), 4.32-4.27 (m, 1H), 3.81-3.65 (m, 2H), 3.50-3.42 (m, 2H), 0.94 (s, 9H), 0.18 (s, 3H), 0.17 (s, 3H). A suspension of compound 5 (320 mg, 0.651 mmol) and molecular sieves (4 Å, 200 mg) in THF (5 mL) was stirred at room temperature for 1 h, and then NaCNBH3(246 mg, 3.91 mmol) was added. A solution of hydrogen chloride (2 M in diethyl ether) was added dropwise to this mixture until the mixture became acidic (˜5 mL, pH=5). After being stirred another 0.5 h, the reaction mixture was quenched with solid NaHCO3, diluted with diethyl ether (100 mL), and washed with saturated aqueous NaHCO3(2×100 mL) and brine (2×50 mL). The organic layer was dried over Na2SO4, filtered, concentrated in vacuo, and the residue was purified by flash column chromatography (40 g RediSep column, eluting with a gradient of 0% through 100% ethyl acetate/hexanes over 40 min, 40 mL/min) to yield product 6 (273 mg, 85%) as a colorless solid. Rf=0.42 (hexanes/ethyl acetate, 4/1, v/v).1H NMR (300 MHz, CDCl3) δ 7.39-7.34 (m, 5H), 5.99-5.89 (m, 1H), 5.40-5.26 (m, 2H), 4.67-4.56 (m, 5H), 3.72-3.70 (m, 3H), 3.48-3.46 (m, 2H), 3.37 (dd, J=9.6, 8.4 Hz, 1H), 3.01 (broad s, 1H), 0.94 (s, 9H), 0.17 (s, 6H). To a solution of compound 6 (5.47 g, 11.1 mmol) and 1H-tetrazole (3 wt % in acetonitrile, 35.5 mmol, 104 mL) was added N,N-diethyl-1,5-dihydro-3H-2,4,3-benzodioxaphosphepin-3-amine (5.3 g, 22 mmol). After the reaction mixture was stirred at room temperature for 15 min, it was cooled to −20° C., stirred for another 10 min at that temperature, and then mCPBA (8.40 g, 50-55 wt %, 24.4 mmol) was added. The reaction mixture was stirred at −20° C. for 20 min, and concentrated in vacuo. The residue was redissolved in DCM (30 mL) and washed with saturated aqueous NaHCO3(40 mL). The aqueous layer was extracted with DCM (3×50 mL). The combined organic layers were dried over Na2SO4, filtered, and concentrated in vacuo. The residue was purified by flash column chromatography (120 g RediSep column, eluting with a gradient of 0% through 100% ethyl acetate/hexanes over 60 min, 85 mL/min) to yield product 7 (4.85 g, 65%) as a pale yellow oil. Rf=0.40 (hexanes/ethyl acetate, 1/1, v/v).1H NMR (300 MHz, CDCl3) δ 7.35-7.18 (m, 9H), 5.98-5.85 (m, 1H), 5.41-5.05 (m, 6H), 4.64 (t, J=10.1 Hz, 1H), 4.58-4.52 (m, 6H), 3.83 (d, J=9.0 Hz, 1H), 3.72-3.61 (m, 2H), 3.41 (dd, J=10.5, 7.4 Hz, 1H), 0.92 (s, 9H), 0.16 (s, 3H), 0.15 (s, 3H). Acetic acid (0.30 mL, 5.2 mmol) was added dropwise to a stirred suspension of 7 (700 mg, 1.04 mmol) and zinc powder (676 mg, 10.4 mmol) in DCM (15 mL). The reaction mixture was stirred at room temperature for 4 h, after which it was diluted with ethyl acetate (50 mL). The solids were removed by filtration and washed with ethyl acetate (2×10 mL). The combined filtrates were washed with saturated aqueous NaHCO3(2×40 mL) and brine (2×40 mL). The organic phase was dried (MgSO4) and filtered, and the filtrate was concentrated in vacuo to afford the crude intermediate amine as a pale yellow oil. Rf=0.21 (hexanes/ethyl acetate, 1/1, v/v). 9-Fluorenylmethyloxycarbonyl chloride (Fmoc-Cl) (323 mg, 1.25 mmol) was added to a stirred solution of the crude amine and diisopropylethylamine (DIPEA) (0.22 mL, 1.3 mmol) in DCM (15 mL) at 0° C. The reaction mixture was warmed and stirred at room temperature for 5 h, after which it was diluted with DCM (40 mL) and washed with brine (2×50 mL). The organic phase was dried (MgSO4) and filtered. The filtrate was concentrated in vacuo. The residue was purified by silica gel column chromatography (40 g RediSep column, eluting with a gradient of 0% through 100% ethyl acetate/hexanes over 30 min, 40 mL/min) to give product 8 (337 mg, 73% over two steps) as a white solid. Rf=0.54 (hexanes/ethyl acetate, 1/1, v/v).1H NMR (300 MHz, CDCl3) δ 7.78-7.20 (m, 17H), 5.92-5.82 (m, 1H), 5.49-5.16 (m, 8H), 4.69-4.06 (m, 5H), 4.49-4.28 (m, 2H), 3.88-3.61 (m, 3H), 3.60-3.51 (m, 2H), 3.32 (broad s, 1H), 0.94 (s, 9H), 0.14 (s, 3H), 0.10 (s, 3H). Hydrogen fluoride/pyridine (6 mL, 0.2 mol) was added dropwise to a stirred solution of 8 (6.00 g, 6.88 mmol) in THF (50 mL). The reaction mixture was stirred at room temperature for 12 h, after which it was diluted with diethyl ether (100 mL), and then washed with saturated aqueous NaHCO3(2×40 mL) and brine (2×40 mL). The organic phase was dried (MgSO4) and filtered. The filtrate was concentrated in vacuo. The residue was purified by silica gel column chromatography (120 g RediSep column, eluting with a gradient of 0% through 80% ethyl acetate/hexanes over 60 min, 85 mL/min) to give product 9 (4.34 g, 83%) as a pale yellow oil.1H NMR (300 MHz, CDCl3) δ 7.75-7.20 (m, 17H), 5.92-5.82 (m, 1H), 5.27-5.06 (m, 9H), 4.59-4.55 (m, 5H), 4.41-4.39 (m, 1H), 4.25-4.01 (m, 5H), 3.85-3.65 (m, 2H). A suspension of 10 (see preparation below) (350 mg, 0.172 mmol), zinc (1.3 g, 21 mmol), and acetic acid (0.70 mL, 12 mmol) in DCM (20 mL) was stirred at room temperature for 12 h. The mixture was diluted with diethyl ether. The solids were removed by filtration, and the residue was washed with diethyl ether (2×10 mL). The combined filtrates were washed with saturated aqueous NaHCO3(2×15 mL) and brine (2×15 mL). The organic phase was dried (MgSO4) and filtered. The filtrate was concentrated in vacuo, and the residue was purified by silica gel column chromatography (12 g RediSep column, eluting with a gradient of 0% through 60% ethyl acetate/hexanes over 35 min, 30 mL/min) to afford product 11 (220 mg, 64%) as a pale yellow syrup. Rf=0.29 (hexanes/ethyl acetate, 5/2, v/v).1H NMR (300 MHz, CDCl3) δ 7.37-7.24 (m, 20H), 6.20 (d, J=7.2 Hz, 1H), 5.59 (t, J=9.6 Hz, 1H), 5.31 (m, 1H), 5.12-4.97 (m, 6H), 4.62-4.44 (m, 7H), 4.05-3.24 (m, 9H), 2.68-2.12 (m, 9H), 1.64-1.59 (m, 13H), 1.27 (broad m, 95H), 0.94 (m, 25H), 0.13 (s, 6H). HRMS (m/z) (pos) calcd for C117H193N2O20PSi, 2005.37; found, 2006.3729 [M+H]+. To a solution of amine 11 (93 mg, 0.046 mmol) in DCM (10 mL) was added pyridine (21 mg, 0.27 mmol), (R)-3-(4-methoxybenzyloxy)tetradecanoyl chloride (see preparation below, compound 35) (40 mg, 0.12 mmol), and 4-dimethylaminopyridine (DMAP) (1 mg) at room temperature, and the mixture was stirred overnight. The mixture was transferred to a separatory funnel and diluted with diethyl ether (20 mL) and saturated sodium bicarbonate (20 mL). The aqueous layer was extracted with diethyl ether (3×20 mL). The combined organic extracts were dried over sodium sulfate, filtered and concentrated under reduced pressure. The residue was purified by chromatography on silica gel (12 g RediSep column, eluting with a gradient of 0% through 80% ethyl acetate/hexanes over 35 min, 30 mL/min) to give the product 12 (81 mg, 74%) as a colorless liquid. Rf=0.34 (hexanes/ethyl acetate, 3/2, v/v).1H NMR (300 MHz, CDCl3) δ 7.34-7.20 (m, 20H), 6.89-6.86 (m, 4H), 6.15 (t, J=9.0 Hz, 1H), 5.57-5.55 (m, 1H), 5.31-4.99 (m, 8H), 4.57-4.44 (m, 11H), 4.06-3.33 (m, 15H), 2.63-2.57 (m, 5H), 2.33-2.27 (m, 9H), 1.57 (m, 8H), 1.27 (broad m, 112H), 0.88-0.82 (m, 27H), 0.08 (s, 3H), 0.04 (s, 3H). HRMS (m/z) (pos) calcd for C139H227N2O23PSi, 2351.62; found, 2352.6343 [M+H]+. A suspension of 12 (10 mg, 0.0042 mmol) and Pd-black (15.0 mg) in anhydrous THF (5 mL) was shaken under an atmosphere of H2(50 psi) at room temperature for 30 h. The catalyst was removed by filtration. The residue was washed with THF (2×1 mL). The solution was cooled to −40° C. and neutralized with ammonia in methanol (0.1 mL, 7 M) and concentrated without heating in vacuo. The residue was purified by chromatography (12 g RediSep column, eluting with chloroform/methanol/water 8/2/0.1 for 30 min, 30 mL/min) to afford 13a (4 mg, 54%) as a colorless film. The product was re-dissolved in water and methanol (v/v, 1/1, 2 mL) and lyophilized to obtain the product 13a as a white powder.1H NMR (500 MHz, CDCl3) δ 6.00-5.00 (m, 1H), 4.50-3.50 (m, 2H), 3.00-2.00 (m, 3H), 2.00-1.00 (m, 50H), 0.81 (m, 18H). MS (Multimode, neg) calcd for C96H181N2O22P, 1745.28; found, 1745.0 [M−H]−. A suspension of 12 (27 mg, 0.011 mmol) and Pd-black (41.0 mg) in anhydrous THF (12 mL) was shaken under an atmosphere of H2(50 psi) at room temperature for 30 h. The catalyst was removed by filtration. The residue was washed with THF (2×3 mL). The solution was neutralized with triethylamine (TEA) (0.1 mL) and concentrated without heating in vacuo. The combined filtrates were concentrated in vacuo and purified by chromatography on silica (12 g RediSep column, eluting with chloroform/methanol/water 8/2/0.1 30 min, 30 mL/min) to afford 13b (5 mg, 25%) as a colorless film. The product was re-dissolved in water and methanol (v/v, 1/1, 2 mL) and lyophilized to obtain the product 13b as a white powder.1H NMR (500 MHz, CDCl3) δ 5.17 (broad, 2H), 4.23-3.62 (m, 5H), 3.11-3.07 (q, J=2.8 Hz, 2H), 2.51-2.12 (m, 6H), 1.56-1.00 (m, 69H), 0.92-0.84 (m, 18H). MS (Multimode, neg) calcd for C96H181N2O22P, 1745.28; found, 1744.1 [M−H]−. Compound 9 (89 mg, 0.12 mmol) was dissolved in anhydrous DCM (3 mL). Trichloroacetonitrile (1.0 mL) was added followed by sodium hydride (1.0 mg, 60% in mineral oil). After 15 min, TLC indicated the presence of 9, so an additional quantity of sodium hydride (1 mg, 60% in mineral oil) was added. After 15 min, TLC indicated that the reaction was complete. The mixture was concentrated under vacuum and loaded onto a SiO2column which was pretreated with Et3N and eluted with 50% ethyl acetate/hexanes to provide the trichloroacetimidate intermediate (76.9 mg, 71%) which was used without further purification. A suspension of trichloroacetimidate (76.9 mg, 0.0852 mmol), acceptor 14 (see preparation below) (52.34 mg, 0.1277 mmol), and molecular sieves (4 Å, 500 mg) in DCM (5.0 mL) was stirred at room temperature for 1 h. The mixture was cooled (−60° C.), and TMSOTf (1.54 μL, 0.0851 mmol) was added. After the reaction mixture was stirred for 30 min, it was quenched with solid NaHCO3. The solids were removed by filtration, and the filtrate was concentrated in vacuo. The residue was purified by silica gel column chromatography (hexanes/ethyl acetate, 2:1 (v/v)) to give 15 (55 mg, 40%) as a colorless solid.1H NMR (500 MHz, CD3COCD3) δ 7.86-7.22 (m, 22H), 6.98 (d, J=9.0 Hz, 1H), 5.85 (m, 1H), 5.41 (t, J=9.0 Hz, 1H), 5.38-5.21 (m, 3H), 5.10-5.02 (m, 3H), 4.91 (d, J=11.0 Hz, 2H), 4.72-4.46 (m, 7H), 4.23-4.15 (m, 4H), 3.93-3.80 (m, 4H), 3.69-3.66 (m, 1H), 3.54 (br s, 3H), 3.20 (dd, J1=8.0 Hz, J2=8.0 Hz, 1H), 0.95 (s, 9H), 0.17 (s, 6H);13C NMR (125 MHz, CD3COCD3) δ 207.00, 156.61, 155.51, 145.22, 144.82, 142.06, 142.01, 139.98, 139.57, 136.68, 136.62, 133.02, 132.94, 129.85, 129.83, 129.15, 129.05, 128.95, 128.91, 128.82, 128.61, 128.49, 128.41, 128.21, 128.17, 128.0, 127.92, 126.19, 126.09, 125.98, 120.79, 118.60, 118.52, 101.41, 97.57, 78.78, 78.10, 76.84, 75.98, 75.88, 75.43, 75.30, 75.17, 74.70, 74.07, 70.63, 69.76, 69.64, 69.27, 69.15, 69.10, 69.02, 68.97, 67.73, 67.17, 57.29, 54.94, 26.11, 18.51; HR MS (m/z) calcd for C59H69N4O16PSi [M+H]+, 1149.4293; found, 1149.4238. 1,8-Diazabicylco[5.4.0]undec-7-ene (220 μL, 1.47 mmol) was added dropwise to a solution of 15 (800 mg, 0.696 mmol) in DCM (10 mL). The reaction mixture was stirred at room temperature for 1 h, after which it was concentrated in vacuo. The residue was purified by silica gel column chromatography (DCM/methanol, 100:1 through 100:3 (v/v)) to afford the free amine (648 mg, 99%) as a colorless syrup.1H NMR (500 MHz, CDCl3) δ 7.36-7.17 (m, 14H), 5.96-5.88 (m, 1H), 5.40-5.06 (m, 7H), 4.84-4.50 (m, 9H), 4.21 (d, J=13.5 Hz, 1H), 4.15-4.11 (m, 1H), 3.82 (m, 1H), 3.79-3.42 (m, 5H), 3.34-3.19 (m, 2H), 2.96-2.90 (m, 1H), 2.34 (d, J=4.5 Hz, 1H), 0.90 (s, 9H), 0.13 (s, 6H). HRMS (m/z) calcd for C44H59N4O14PSi [M+H]+, 927.3613; found, 927.3569. N,N-Dicyclohexylcarbodiimide (DCC) (230 mg, 1.11 mmol) was added to a stirred solution of (R)-3-dodecanoyl-tetradecanoic acid (see preparation below, compound 40) (381 mg, 0.81 mmol) in DCM (10 mL). After the reaction mixture was stirred for 10 min, the free amine (648 mg, 0.699 mmol) in DCM (10 mL) was added, and stirring was continued for another 12 h. The insoluble materials were removed by filtration, and the residue was washed with DCM (2×2 mL). The combined filtrates were concentrated in vacuo, and the residue was purified by silica gel column chromatography (hexanes/ethyl acetate, 2:1 (v/v)) to give 16 (450 mg, 47%) as a white solid.1H NMR (500 MHz, CDCl3) δ 7.35-7.17 (m, 14H), 5.94-5.86 (m, 2H), 5.47 (t, J=9.0, 10.5 Hz, 1H), 5.37 (d, J=2.5 Hz, 1H), 5.34 (d, J=2.5 Hz, 1H), 5.24 (d, J=13.5 Hz, 1H), 5.13-4.97 (m, 6H), 4.75 (d, J=11.0 Hz, 1H), 4.66-4.49 (m, 7H), 4.00 (d, J=17.0 Hz, 2H), 3.83 (d, J=10.5 Hz, 1H), 3.75-3.56 (m, 4H), 3.49-3.36 (m, 5H), 3.20 (m, 1H), 2.42-2.17 (m, 4H), 1.93 (d, J=11.5 Hz, 1H), 1.70 (m, 2H), 1.23 (br s, 36H), 0.92 (s, 9H), 0.89-0.86 (m, 6H), 0.14 (s, 6H); HRMS (m/z) calcd for C72H111N4O17PSi [M+H]+, 1363.7529; found, 1363.7487. A mixture of (R)-3-benzyloxytetradecanoic acid (see preparation below, compound 33) (120 mg, 0.540 mmol) and DCC (171 mg, 0.830 mmol) in DCM (5 mL) was stirred at room temperature for 10 min, and then disaccharide 16 (451 mg, 0.331 mmol) in DCM (5 mL) and DMAP (25 mg, 0.21 mmol) were added. The reaction mixture was stirred at room temperature for 14 h, after which the solids were removed by filtration. The residue was washed with DCM (2×4 mL). The combined filtrates were concentrated in vacuo, and the residue was purified by silica gel column chromatography (hexanes/ethyl acetate, 4:1 (v/v)) to give 17 (540 mg, 97%) as a white solid. Rf=0.41 (hexanes/ethyl acetate, 2:1 (v/v)).1H NMR (500 MHz, CDCl3) δ 7.33-7.15 (m, 19H), 5.94-5.85 (m, 2H), 5.47 (t, J=9.5 Hz, 1H), 5.37 (d, J=17.5 Hz, 1H), 5.22 (d, J=10.0 Hz, 1H), 5.10-4.95 (m, 7H), 4.62-4.43 (m, 10H), 4.0-3.96 (m, 3H), 3.90-3.81 (m, 2H), 3.74-3.67 (m, 3H), 3.56-3.42 (m, 6H), 3.33-3.27 (m, 1H), 2.60-2.21 (m, 6H), 1.24 (br s, 54H), 0.91 (s, 9H), 0.87-0.84 (m, 9H), 0.14 (s, 6H). HRMS (m/z) calcd for C93H143N4O19PSi [M+H]+, 1679.9931; found, 1679.9934. Tetrakis(triphenylphosphine)palladium (228 mg, 0.198 mmol) was added to a solution of 17 (1.66 g, 0.980 mmol), n-BuNH2(0.19 mL, 1.97 mmol), and HCOOH (74.5 μL, 1.98 mmol) in THF (20 mL). After the reaction mixture was stirred at room temperature for 20 min, it was diluted with DCM (40 mL), and washed successively with water (40 mL), saturated aqueous NaHCO3(2×40 mL), and brine (40 mL). The organic phase was dried (MgSO4) and filtered. The filtrate was concentrated in vacuo. The residue was purified by silica gel column chromatography (hexanes/ethyl acetate, 4:3 (v/v)) to give compound 18 (1.43 g, 91%). Rf=0.5 (hexanes/ethyl acetate, 1:1 (v/v)).1H NMR (500 MHz, CDCl3) δ 7.33-7.11 (m, 19H), 6.2 (d, J=7.5 Hz, 1H), 5.46 (t, J=9.0 Hz, 1H), 5.04-4.90 (m, 9H), 4.55-4.38 (m, 8H), 3.92 (d, J=10.0 Hz, 1H), 3.84-3.76 (m, 1H), 3.75-3.7 (m, 4H), 3.53-3.44 (m, 2H), 3.43-3.32 (m, 2H), 3.25-3.20 (m, 1H), 2.61-2.10 (m, 12H), 1.23 (br s, 54H), 0.90 (s, 9H), 0.88-0.84 (m, 9H), 0.12 (s, 6H). HRMS (m/z) calcd for C89H139N4O17PSi [M+H]+, 1595.972; found, 1595.9713. A solution of (R)-3-(p-methoxy)benzyloxy-tetradecanoic acid (see preparation below, compound 34, 424 mg, 1.16 mmol) and DCC (369 mg, 1.79 mmol) in DCM (15 mL) was stirred at room temperature for 10 min, and the alcohol 18 (1.43 g, 0.896 mmol) in DCM (10 mL) and DMAP (54.72 mg, 0.4479 mmol) were added. The reaction mixture was stirred for another 14 h, after which the solids were removed by filtration and washed with DCM (2×5 mL). The combined filtrates were concentrated in vacuo. The residue was purified by silica gel column chromatography (hexanes/ethyl acetate, 4:1 (v/v)) to afford 19 (1.15 g, 66%) as a white solid. Rf=0.46 (hexanes/ethyl acetate, 2:1 (v/v)).1H NMR (500 MHz, CDCl3) δ 7.38-6.79 (m, 23H), 5.73 (d, J=8.0 Hz, 1H), 5.55 (t, J=9.5 Hz, 1H), 5.20-4.88 (m, 8H), 4.66-4.47 (m, 12H), 4.33 (d, J=12.5 Hz, 1H), 4.0-3.66 (m, 12H), 3.61-3.40 (m, 5H), 3.36-3.27 (m, 3H), 2.67 (d, J=6.0 Hz, 2H), 2.60-2.22 (m, 6H), 1.27 (br s, 72H), 0.93 (s, 9H), 0.92-0.87 (m, 12H), 0.16 (s, 6H). HRMS (m/z) calcd for C111H173N4O20PSi [M+H]+, 1942.2228; found, 1942.2289. To a stirred solution of 19 (1.15 g, 0.592 mmol) in a mixture of DCM and H2O (11 mL, 10:1 (v/v)) was added 2,3-Dichloro-5,6-dicyano-1,4-benzoquinone (DDQ) (202 mg, 0.890 mmol). The reaction mixture was stirred at room temperature for 1 h, after which it was diluted with DCM. The mixture was washed with brine (20 mL), dried (MgSO4), and concentrated in vacuo. The residue was purified by silica gel column chromatography (hexanes/ethyl acetate, 3:1 (v/v)) to give the alcohol as a colorless syrup (1.01 g, 94%). Rf=0.50 (hexanes/ethyl acetate, 5:3 (v/v)). Myristoyl chloride (0.74 mL, 2.7 mmol) was added to a solution of the alcohol (1.01 g, 0.554 mmol), and pyridine (0.35 mL, 4.33 mmol) in DCM (20 mL). After the reaction mixture was stirred at room temperature for 12 h, it was diluted with DCM and washed with saturated aqueous NaHCO3(2×40 mL) and brine (40 mL). The organic phase was dried (MgSO4) and filtered. The filtrate was concentrated in vacuo. The residue was purified by silica gel column chromatography (hexanes/ethyl acetate, 4:1 (v/v)) to afford 10 (680 mg, 57%) as a white solid. Rf=0.46 (hexanes/ethyl acetate, 5:2 (v/v)).1H NMR (500 MHz, CDCl3) δ 7.37-7.24 (m, 19H), 6.23 (d, J=7.5 Hz, 1H), 5.58 (t, J1=J2=9.5 Hz, 1H), 5.32-5.27 (m, 1H), 5.16-4.99 (m, 6H), 4.78-4.44 (m, 7H), 4.03 (d, J=10.5 Hz, 1H), 3.99-3.20 (m, 10H), 2.65-2.21 (m, 10H), 1.61-1.51 (m, 10H), 1.27 (br s, 94H), 1.21 (br s, 25H), 0.12 (s, 6H). Compound 15 (1.23 g, 1.07 mmol) was acylated in a manner similar to the synthesis of compound 16 (Example 14) using (DCC, 430 mg, 2.08 mmol), required lipid (Compound 40, Example 36, 630 mg, 1.59 mmol), and triethylamine (161 mg, 1.59 mmol) to provide 20 (1.05 g, 81%) as a colorless oil.1H NMR (500 MHz, CDCl3) δ 7.35-7.17 (m, 14H), 5.91-5.86 (m, 2H), 5.47 (t, J=9.0, 10.5 Hz, 1H), 5.34 (d, J=17 Hz, 1H), 5.24 (d, J=10.5 Hz, 1H), 5.10-4.98 (m, 8H), 4.75 (d, J=11.5 Hz, 1H), 4.66-4.49 (m, 8H), 4.00 (d, J=11.0 Hz, 2H), 3.83 (d, J=11.0 Hz, 1H), 3.75-3.69 (m, 2H), 3.49-3.36 (m, 4H), 3.20 (m, 1H), 2.40-2.26 (m, 4H), 1.24 (br s, 32H), 0.92 (s, 9H), 0.89-0.86 (m, 6H), 0.14 (s, 6H); MS (Multimode, pos) m/z=1307 [M+H]+. Compound 20 (1.43 g, 1.18 mmol) was acylated in a manner similar to the synthesis of compound 17 (Example 15) using (DCC, 453 mg, 2.20 mmol), required lipid (477 mg, 1.43 mmol), and N,N-dimethyl-4-aminopyridine (67 mg, 0.548 mmol) to provide 21 (1.60 g, 83%) as a colorless oil.1H NMR (500 MHz, CDCl3) δ 7.33-7.15 (m, 19H), 5.94-5.85 (m, 2H), 5.48 (t, J=9.0 Hz, 1H), 5.34 (d, J=17.5 Hz, 1H), 5.22 (d, J=10.0 Hz, 1H), 5.12-4.96 (m, 7H), 4.63-4.46 (m, 11H), 3.97 (d, J=10.5 Hz, 1H), 3.89-3.85 (m, 2H), 3.74-3.68 (m, 3H), 3.55-3.52 (m, 2H), 3.47-3.41 (m, 1H), 3.28 (m, 1H), 2.61-2.22 (m, 8H), 1.59-1.52 (m, 6H), 1.98 (m, 2H), 1.23 (br s, 44H), 0.90 (s, 9H), 0.88-0.84 (m, 9H), 0.12 (s, 6H); MS (Multimode, pos) m/z=1625 [M+H]+. Compound 21 (1.60 g, 0.985 mmol) was reacted in a manner analagous to the synthesis of compound 18 (Example 16). Accordingly, tetrakis(triphenylphosphine)palladium, (227 mg, 0.196 mmol), formic acid (74 μL, 1.97 mmol), and n-butylamine (144 mg, 1.97 mmol) to provide 22 (1.25 g, 82%) as a yellow solid.1H NMR (500 MHz, CDCl3) δ7.33-7.15 (m, 19H), 6.20 (d, J=7.5 Hz, 1H), 5.38-4.95 (m, 6H), 4.86 (d, J=8.0 Hz, 1H), 4.60-4.46 (m, 10H), 3.97-3.71 (m, 8H), 3.68-3.48 (m, 5H), 3.31-3.27 (m, 3H), 2.62-2.55 (m, 2H), 2.50-2.42 (m, 3H), 2.40-2.22 (m, 5H), 1.23 (br s, 44H), 0.90 (s, 9H), 0.88-0.84 (m, 9H), 0.12 (s, 6H); MS (Multimode, pos) m/z=1539 [M+H]+. Compound 22 (1.25 g, 0.811 mmol) was acylated in a manner similar to the synthesis of compound 19 (Example 17) using (DCC, 335 mg, 1.62 mmol), required lipid (Compound 34, Example 32, 386 mg, 1.06 mmol), and N,N-dimethyl-4-aminopyridine (50 mg, 0.41 mmol) to provide 23 (440 mg, 29%) as a colorless oil.1H NMR (500 MHz, CDCl3) δ 7.38-6.79 (m, 23H), 5.71 (d, J=7.5 Hz, 1H), 5.55 (t, J=9.5 Hz, 1H), 5.06-4.85 (m, 9H), 4.66-4.45 (m, 12H), 3.97 (d, J=11.0 Hz, 1H), 3.90-3.69 (m, 9H), 3.60-3.55 (m, 3H), 3.37-3.29 (m, 2H), 2.65 (d, J=7.5 Hz, 2H), 2.61-2.55 (m, 1H), 2.48-2.42 (m, 1H), 2.35-2.21 (m, 3H), 2.11-2.05 (m, 1H), 1.62-1.59 (m, 8H), 1.27 (br s, 62H), 0.93 (s, 9H), 0.92-0.87 (m, 12H), 0.16 (s, 6H); MS (Multimode, pos) m/z=1886 [M+H]+. Compound 23 (446 mg, 0.236 mmol) was first deprotected using DDQ (80 mg, 0.35 mmol) following the procedure for intermediate 10 for Target A. This intermediate (343 mg, 0.194 mmol) was then acylated in a manner similar to the synthesis of compound 10 for Target A using decanoyl chloride (185 mg, 0.970 mmol) and pyridine (123 mg, 1.55 mmol) to provide 24 (343 mg, 76%) as a colorless oil.1H NMR (500 MHz, CDCl3) δ 7.39-7.22 (m, 14H), 6.15 (d, J=7.5 Hz, 1H), 5.54 (t, J=9.5 Hz, 1H), 5.28-5.24 (m, 1H), 5.14-4.96 (m, 8H), 4.60-4.45 (m, 10H), 3.99 (d, J=10.5 Hz, 1H), 3.90-3.85 (m, 1H), 3.80-3.65 (m, 4H), 3.55 (m, 3H), 3.46-3.39 (m, 1H), 3.32-3.27 (m, 1H), 2.66-2.53 (m, 3H), 2.46-2.41 (m, 1H), 2.35-2.18 (m, 7H), 1.61-1.51 (m, 10H), 1.26 (br s, 78H), 0.95 (s, 9H), 0.92-0.90 (m, 15H), 0.19 (s, 3H), 0.18 (s, 3H). A suspension of 24 (296 mg, 0.154 mmol), zinc (100 mg, 1.52 mmol), and acetic acid (53 μL, 0.93 mmol) in DCM (10 mL) was stirred at room temperature for 12 h, after which it was diluted with ethyl acetate (25 mL). The solids were removed by filtration and washed with ethyl acetate (2×25 mL), and the combined filtrates were washed with saturated aqueous NaHCO3(2×100 mL) and brine (200 mL). The organic phase was dried (Na2SO4) and filtered. The filtrate was concentrated in vacuo. The residue was purified by silica gel column chromatography (hexanes/ethyl acetate, 2.5:1 (v/v)) to afford the amine as a pale yellow syrup (245 mg, 84%).1H NMR (500 MHz, CDCl3) δ 7.39-7.22 (m, 14H), 6.15 (d, J=7.5 Hz, 1H), 5.54 (t, J=9.5 Hz, 1H), 5.29-5.23 (m, 1H), 5.13-4.93 (m, 8H), 4.62-4.30 (m, 9H), 4.00 (d, J=10.5 Hz, 1H), 3.88-3.65 (m, 6H), 3.56-3.53 (m, 2H), 3.46-3.41 (m, 1H), 2.66-2.58 (m, 4H), 2.54-2.45 (m, 2H), 2.35-2.17 (m, 7H), 1.64-1.42 (m, 12H), 1.26 (br s, 78H), 0.87 (s, 24H), 0.13 (s, 6H). The amine was added to a stirred solution of (R)-3-benzyloxytetradecanoyl chloride (228 mg, 0.646 mmol), DMAP (15.79 mg, 0.1292 mmol), and pyridine (83 μL, 1.0 mmol) in DCM (5.0 mL). The reaction mixture was stirred for 14 h. The mixture was diluted with CH2Cl2and was washed with saturated NaHCO3/brine dried under Na2SO4and concentrated under vacuum. The residue was purified by silica gel TLC chromatography (hexanes/ethyl acetate, 3.5:1 (v/v)) to give 25 (450 mg, >100%) as a white solid. Rf=0.54 (hexanes/ethyl acetate, 2:1 (v/v)).1H NMR (500 MHz, CDCl3) δ 7.39-7.22 (m, 19H), 6.14-6.10 (m, 2H), 5.57 (t, J=9.5 Hz, 1H), 5.29-5.24 (m, 1H), 5.13-4.93 (m, 7H), 4.61-4.41 (m, 10H), 4.00 (d, J=10.5 Hz, 1H), 3.89-3.79 (m, 8H), 3.72-3.66 (m, 4H), 3.57-3.35 (m, 3H), 2.73-2.57 (m, 10H), 2.39-2.15 (m, 10H), 1.71-1.64 (m, 7H), 1.26 (br s, 93H), 0.88 (s, 24H), 0.83 (s, 9H). Hydrogen fluoride/pyridine (1.12 mL, 43.1 mmol) was added dropwise to a stirred solution of 25 (450 mg, 0.204 mmol) in THF (5 mL). The reaction mixture was stirred at room temperature for 14 h. The mixture was diluted with ethyl acetate (100 mL) and washed with saturated aqueous NaHCO3(2×80 mL) and brine. The organic phase was dried (Na2SO4) and filtered. The filtrate was concentrated in vacuo. The residue was purified by silica gel column chromatography (hexanes/ethyl acetate, 3:1 through 4:3 (v/v)) to give 26 (180 mg, 42%) as a white solid.1H NMR (500 MHz, CDCl3) δ 7.39-7.19 (m, 19H), 6.31 (d, J=7.0 Hz, 1H), 6.24 (d, J=9.5 Hz, 1H), 5.57-5.48 (m, 2H), 5.40 (t, J=9.5 Hz, 1H), 5.28-5.21 (m, 1H), 5.14-4.96 (m, 8H), 4.68-4.41 (m, 12H), 4.23-4.19 (m, 1H), 4.13-4.06 (m, 1H), 3.94-3.66 (m, 9H), 3.38-3.28 (m, 2H), 2.67-2.58 (m, 3H), 2.44-2.20 (m, 11H), 1.58 (br s, 12H), 1.26 (br s, 93H), 0.91-0.81 (m, 18H). Compound 26 (180 mg, 0.0858 mmol) was dissolved in anhydrous THF (15 mL). Palladium black (0.225 g) was added to the mixture and was hydrogenated under 50 psi hydrogen atmosphere overnight. The mixture was filtered through a bed of diatomaceous earth. The filtrate was cooled to −40° C. and a solution of ammonia in methanol (1.8 mL, 4 M) was added. The mixture was concentrated under vacuum without heating. The residue was purified by silica gel chromatography eluting with a mixture of chloroform/methanol/water, 80:20:1 (v/v) to give the desired compound (IX) (102 mg, 73%). Analysis by TLC and1H NMR showed the presence of grease and a faint close running spot (TLC in CH2Cl2/CMA, 4:1). The residue was subjected to chromatography (12 g RediSep column, eluted with a gradient of isocratic CH2Cl2for 5 column volumes (CVs), a gradient through 25% CMA over 10 CVs, isocratic for 10 CVs, a gradient though 100% CMA over 10 CVs, isocratic at 100% CMA for 10 CVs, 20 mL/min) to give the desired product (57 mg, 25%). TLC analysis of the combined and concentrated fractions still indicated a very small amount of impurity running just above the desired product. The residue was re-purified by silica gel chromatography (two 12 g RediSep columns in series, same gradient as above) to provide 8.9 mg of the desired product pure by TLC and 11.9 mg of slightly impure product after dissolving in methanol/water/chloroform and freeze-drying. Total yield (20.8 mg, 14%) as an off white solid. Rf=0.40 CMA.1H NMR (500 MHz, CDCl3) δ 5.40-5.30 (br s, 2H), 4.10-4.00 (m, 4H), 3.70-3.60 (m, 4H), 2.83-2.76 (m, 1H), 2.75-2.20 (m, 13H), 2.10-1.90 (broad, 9H), 1.40-1.00 (broad, 106H), 0.90-0.70 (broad, 18H). MS (Multimode, Neg) m/z=1632 [M−H]−. To a suspension of magnesium ethoxide (10.82 g, 94.61 mmol) in 1,4-dioxane (100 mL) was added methyl hydrogen malonate (25.0 g, 189 mmol) in 1,4-dioxane (100 mL). The resulting slurry was stirred overnight. The mixture was concentrated in vacuo. In a separate flask, lauric acid (28, 20.85 g, 104.1 mmol) was dissolved in 1,4-dioxane (50 mL) and a solution of CU (16.88 g, 104.1 mmol) in 1,4-dioxane (150 mL) was added at room temperature. The resulting solution was stirred overnight. The mixture was then transferred to the methyl magnesium malonate flask. The resulting suspension was refluxed overnight. The mixture was concentrated in vacuo. The residue was redissolved in DCM (300 mL) and filtered through a silica plug (10 g). The solvent was evaporated under reduced pressure. The residue was purified by silica gel column chromatography (360 g RediSep column, eluting with a gradient of 0% through 30% ethyl acetate/hexanes over 80 min, 100 mL/min) to afford product 29 (17 g, 61%) as a pale yellow syrup. A slurry of methyl 3-oxotetradecanoate (29, 29.0 g, 113 mmol) in methanol (120 mL) was purged in a 300 mL high pressure reactor glass sleeve with N2for 10 minutes. Dichloro-R-2,2′-bis(diphenylphosphino)-1,1′-binaphthyl ruthenium (897 mg, 1.10 mmol) was added. The mixture was placed in a Parr 5500 series compact reactor. The reactor was charged with H2(60 psi) and vented 3 times. The reactor was charged with H2(60 psi) and stirred (1200 rpm) and heated to 50° C. for 20 h. The reactor was cooled to room temperature, and the resulting orange solution was concentrated in vacuo. The residue was purified by silica gel chromatography (120 g RediSep column, eluting with a gradient of 0% through 40% ethyl acetate/hexanes over 60 min, 85 mL/min) to provide product 30 (28.5 g, 97% yield) as a white solid. To a solution of compound 30 (2.8 g, 10.83 mmol) and benzyl trichloroacetimidate (3.4 g, 14 mmol) in DCM (100 mL) was added trifluoromethanesulfonic acid (0.24 mL, 2.7 mmol) dropwise at 0° C. The resulting mixture was stirred at 0° C. for 6 h and warmed to room temperature. The mixture was washed with a saturated solution of NaHCO3(300 mL) and water (300 mL) and the organic layer dried over Na2SO4. The drying agent was removed by filtration, and the solvents removed using a rotary evaporator. The residue was purified by chromatography on silica gel (80 g RediSep column, eluting with a gradient of 0% through 30% ethyl acetate/hexanes over 60 min, 60 mL/min) to give the product 31 (1.2 g, 32%) as a colorless liquid.1H NMR (300 MHz, CDCl3) δ 7.30-7.05 (m, 5H), 4.51 (s, 2H), 3.90-3.80 (m, 1H), 3.70 (s, 3H), 2.58-2.45 (m, 2H), 1.80-1.60 (m, 2H), 1.50-1.20 (m, 18H), 0.85 (t, J=5.8 Hz, 3H). Ester 31 (1.3 g, 3.73 mmol) was dissolved in THF/MeOH/CH3CN mixture (v/v/v, 1/1/1, 90 mL). Lithium hydroxide monohydrate (235 mg, 5.6 mmol) as a solution in water (30 mL) was added, and the mixture stirred overnight. The solvent amount was reduced in vacuo to about 30 mL. To the remaining aqueous solution was added 1 M hydrochloric acid to bring the pH down to 3. The aqueous layer was extracted with diethyl ether (3×40 mL). The combined organic extracts were dried over sodium sulfate. The drying agent was removed by filtration, and the solvents removed using a rotary evaporator. The residue was purified by chromatography on silica gel (40 g RediSep column, eluting with a gradient of 0% through 50% ethyl acetate/hexanes over 40 min, 40 mL/min) to give the product 33 (990 mg, 79%) as a colorless liquid.1H NMR (300 MHz, CDCl3) δ 7.30-7.05 (m, 5H), 4.51 (s, 2H), 3.90-3.80 (m, 1H), 2.58-2.45 (m, 2H), 1.80-1.60 (m, 2H), 1.50-1.20 (m, 18H), 0.85 (t, J=5.8 Hz, 3H). To a solution of compound 30 (3.50 g, 12.9 mmol) and 4-methoxybenzyl trichloroacetimidate (4.65 g, 17.3 mmol) in DCM (100 mL) was added camphorsulfonic acid (450 mg, 1.92 mmol). The mixture was stirred overnight at room temperature. The mixture was washed with a saturated solution of NaHCO3(300 mL) and water (300 mL) and dried over Na2SO4. The drying agent was removed by filtration and the solvents removed using a rotary evaporator. The residue was purified by chromatography on silica gel (120 g RediSep column, eluting with a gradient of 0% through 30% ethyl acetate/hexanes over 70 min, 85 mL/min) to give the product 32 (4.01 g, 81%) as a colorless liquid. Ester 32 (4.01 g, 10.4 mmol) was dissolved in THF/MeOH/CH3CN mixture (v/v/v, 1/1/1, 90 mL). Lithium hydroxide monohydrate (874 mg, 20.8 mmol) as a solution in water (30 mL) was added, and the mixture stirred overnight. The solvent amount was reduced in vacuo to about 30 mL. To the remaining aqueous solution was added hydrochloric acid (1 M) to bring the pH down to 3. The aqueous layer was extracted with diethyl ether (3×40 mL). The combined organic extracts were dried over sodium sulfate. The drying agent was removed by filtration and the solvents removed using a rotary evaporator. The residue was purified by chromatography on silica gel (120 g RediSep column, eluting with a gradient of 0% through 50% ethyl acetate/hexanes over 60 min, 85 mL/min) to give the product 34 (3.37 g, 89%) as a colorless liquid.1H NMR (300 MHz, CDCl3) δ 7.22 (d, J=6.1 Hz, 2H), 6.82 (d, J=6.1 Hz, 2H), 4.46 (s, 2H), 3.81 (m, 1H), 3.75 (s, 3H), 2.65-2.49 (m, 2H), 1.80-1.60 (m, 2H), 1.50-1.20 (m, 18H), 0.85 (t, J=5.8 Hz, 3H). To a solution of acid 34 (500 mg, 1.37 mmol) in DCM (5 mL) was added dimethylformamide (DMF) (100 mg, 1.37 mmol), and the resulting mixture was cooled to −10° C. Oxalyl chloride (174 mg, 1.37 mmol) in DCM (5 mL) was added dropwise. The solution was allowed to warm to room temperature over 1 h. After TLC analysis showed no acid present, the mixture was concentrated in vacuo and used without further purification. To a solution of (R)-3-hydroxytetradecanoic acid (36, see preparation below) (9.55 g, 39.1 mmol) and triethylamine (5.90 g, 58.6 mmol) in ethyl acetate (500 mL) was added 2-bromoacetophenone (7.90 g, 39.1 mmol) at room temperature. The mixture was stirred at room temperature for 14 h. The precipitate was removed by filtration, and the filtrate was concentrated in vacuo. The residue was purified by silica gel chromatography (120 g RediSep column, eluting with a gradient of 0% through 30% ethyl acetate/hexanes over 50 min, 85 mL/min) to give the product 37 (10.2 g, 72% yield) as a white solid. To a solution of 37 (4.80 g, 13.2 mmol) and pyridine (2.10 g, 26.5 mmol) in DCM (100 mL) at 0° C. was added decanoyl chloride (38, 2.8 g, 4.8 mmol). The mixture was stirred for 14 h allowing the temperature of the mixture to rise to room temperature. The mixture was washed with a saturated solution of NaHCO3(100 mL) and brine (100 mL) and dried over Na2SO4. The drying agent was removed by filtration and the solvents removed using a rotary evaporator. The residue was purified by chromatography on silica gel (120 g RediSep column, eluting with a gradient of 0% through 40% ethyl acetate/hexanes over 50 min, 85 mL/min) to give the product 39 (6.68 g, 97%) as a colorless liquid. Ester 39 (10.15 g, 20.77 mmol) was dissolved in acetic acid (100 mL). Zinc (15.5 g, 237 mmol) was added, and the mixture heated to reflux for 4 h. The acetic acid was removed under vacuum and the residue azeotroped with toluene to dryness. The residue was purified by chromatography on silica gel (120 g RediSep column, eluting with a gradient of 0% through 60% ethyl acetate/hexanes over 50 min, 85 mL/min) to give the product 40 (7.2 g, 89%) as a colorless liquid.1H NMR (300 MHz, CDCl3) δ 5.23-5.19 (m, 1H), 2.62-2.55 (m, 2H), 2.34-2.25 (m, 2H), 1.65-1.58 (m, 2H), 1.28-1.20 (m, 32H), 0.85 (m, 6H). A slurry of methyl 3-oxotetradecanoate (41, 5.27 g, 20.6 mmol) in methanol (30 mL) in a 300 mL high pressure reactor glass sleeve was sparged with N2for 10 minutes. Dichloro-R-2,2′-bis(diphenylphosphino)-1,1′-binaphthylruthenium (142 mg, 1.1 mmol) was added and the mixture was placed in a Parr 5500 series compact reactor. The reactor was charged with H2(60 psi) and vented three times. The reactor was then charged with a final portion of H2(60 psi) stirred (600 rpm) and heated to 50° C. for 20 h. The reactor was then cooled to room temperature and the mixture concentrated in vacuo. The resulting residue was purified by silica gel chromatography, eluting with a gradient of 0% through 50% ethyl acetate/hexanes to provide 42 (3.97 g, 74%) as an off-white solid.1H NMR (CDCl3) δ 4.00-3.98 (m, 1H), 3.71 (s, 3H), 2.82 (d, J=6.5 Hz, 1H), 2.62-2.30 (m, 2H), 1.54-1.39 (m, 3H), 1.27 (br s, 17H), (m, 20H), 0.86 (t, J=7.0 Hz, 3H). Lithium hydroxide monohydrate (1.98 g, 47.2 mmol) was added to a solution of (R)-methyl 3-hydroxytetradecanoate (42, 8.17 g, 31.5 mmol) in THF (66 mL) and water (66 mL) and stirred at room temperature for 2 h. The mixture was then diluted with diethyl ether (1 L) and the pH adjusted to ˜3 with a solution of hydrochloric acid (1 N). The solution was then extracted with diethyl ether (200 mL), and the organic fractions were combined and dried over Na2SO4. Na2SO4was removed by filtration and the filtrate was concentrated in vacuo to provide (R)-3-hydroxytetradecanoic acid (36, 7.59 g, 98%) as an off-white solid.1H NMR (CDCl3) δ 3.99-3.94 (m, 1H), 2.45-2.39 (m, 2H), 1.47 (br s, 3H), 1.29 (br s, 17H), 0.89 (t, J=7.0 Hz, 3H). Myristoyl chloride (45, 8.83 g, 35.8 mmol) was added to a solution of (R)-2-oxo-2-phenylethyl 3-hydroxytetradecanoate (37, prepared according to Example 34, 10.8 g, 29.8 mmol) in pyridine (40 mL). The reaction mixture was stirred at room temperature for 14 h. The mixture was then concentrated in vacuo, and the residual pyridine removed by dissolving the residue in toluene (100 mL) and concentrating in vacuo. The resulting residue was purified by silica gel chromatography, eluting with a gradient of 0% through 20% ethyl acetate/hexanes, to provide 46 (16.31 g, 83%) as a colorless oil.1H NMR (CDCl3) δ 7.90 (m, 2H), 7.64-7.57 (m, 1H), 7.50-7.45 (m, 2H), 5.33 (s, 2H), 5.31-5.27 (m, 1H), 2.80-2.70 (m, 2H), 2.33-2.26 (t, J=4.5 Hz, 2H), 1.65-1.58 (m, 2H), 1.31-1.21 (m, 40H), 0.85 (t, J=10.0 Hz, 6H). Zinc dust (24.42 g, 373.3 mmol) was added to a solution of 46 (16.28 g, 28.42 mmol) in acetic acid (150 mL). The mixture was then heated to reflux (115° C.) for 3 h. The mixture was then concentrated in vacuo, and the residual pyridine removed by dissolving the residue in toluene (100 mL) and concentrating in vacuo. The resulting residue was by silica gel chromatography, eluting with a gradient of 0% through 30% ethyl acetate/hexanes to provide (R)-benzyl 3-(tetradecanoyloxy)tetradecanoic acid (47, 11.14 g, 86% yield) as a colorless oil.1H NMR (CDCl3) δ 5.29-5.18 (m, 1H), 2.62-2.55 (m, 2H), 2.34-2.25 (m, 2H), 1.65-1.58 (m, 3H), 1.28-1.20 (m, 40H), 0.85 (m, 6H). Compound 4 (prepared according to Example 3, 1.32 g, 3.36 mmol) was dissolved in a solution of BH3(1 M) in THF (18.1 mL, 18.1 mmol). After the mixture was stirred at 0° C. for 5 min, dibutylboron triflate (1 M in DCM, 3.62 mL, 3.62 mmol) was added dropwise, and the reaction mixture was stirred at 0° C. for another 1 h. Subsequently, triethylamine (0.5 mL) and methanol (˜0.5 mL) were added until the evolution of H2gas had ceased. The solvents were evaporated in vacuo, and the residue was co-evaporated with methanol (3×50 mL). The residue was purified by silica gel column chromatography (hexanes/ethyl acetate, 8:1 (v/v)) to give 14 (0.67 g, 49%) as a colorless oil. Rf=0.40 (hexanes/ethyl acetate, 3:1 (v/v)).1H NMR (500 MHz, CDCl3) δ 7.32-7.31 (m, 5H), 4.81 (d, J=11.4 Hz, 1H), 4.70 (d, J=11.4 Hz, 1H), 4.55 (d, J=7.5 Hz, 1H), 3.84 (m, 1H), 3.70 (dd, 1H, J=12.0, 1.5 Hz, 1H), 3.49-3.43 (m, 2H), 3.33 (br s, 1H), 3.22-3.17 (m, 1H), 0.92 (s, 9H), 0.14 (s, 6H). This example demonstrates in vivo Th1-type immunostimulant activity for an illustrative GLA compound of the invention having the following structure (IX): Compound IX was used in a vaccine containing a One week after each injection, mice were bled to evaluate antigen-specific antibody (IgG1 and IgG2c) responses. Three weeks after the last immunization mice were sacrificed and spleens collected to analyze T cell-dependent IFN-γ cytokine responses to in vitro antigen stimulation by ELISPOT according to published methods (Id.). IFN-γ cytokine responses have been associated with a TH1 protective phenotype against All animals responded equivalently to ConA, a potent cell activator and mitogen. ID83+Compound IX vaccination induced robust ID83 antigen-specific cytokine responses, while little or no such responses were observed in the ID83+water or ID83+SE control groups. Similar levels of IFN-γ secreting cells were elicited in splenocytes purified from mice immunized with ID83+Compound IX or ID83+GLA-SE upon restimulation with the ID83 component antigens, Rv2608, Rv1813and Rv3620. In conclusion, Compound IX in a stable oil formulation with This example demonstrates in vivo Th1- and Th2-type immunostimulant activity of Compound IX in a vaccine containing a Mice (four C57BL/6 animals per group) were immunized three times at three-week intervals with the ID83 antigen (8 μg per animal for each immunization) used alone or formulated in a stable emulsion containing Compound IX (10 μg per animal for each immunization). Sera were collected by bleeding animals one week after each immunization, and serum levels of IgG1 and IgG2c antibodies specific for ID83 were examined by ELISA according to published methods (Id.) Predominance of either IgG1 or IgG2c antibody isotype is associated with TH2 or TH1 responses, respectively. It has been demonstrated that a TH1 response is necessary for protection against As shown in This example demonstrates the immunostimulatory activity of Compound IX in human cells. Compound IX was tested in vitro using HEK 293 cells (InvivoGen) with expression vectors encoding 1) TLR4, MD-2, and CD14, or 2) TLR2 and TLR6 to define compound activity and dependence on TLR4, and to exclude activation of TLR2. These HEK 293 cell lines were further stably transfected with the NF-kB reporter vector pNifty-2 such that alkaline phosphatase is secreted into the growth media upon activation of the TLR signaling pathway. Transfected cell lines were plated at 5×104cells per well in a 96-well plates and stimulated for 16-24 hours cultured in medium containing serial dilutions of Compound IX and other adjuvants. Secreted alkaline phosphatase activity was measured in the culture media using QUANTIBlue® assay (InvivoGen). The data was measured as enhancement of NF-kB above the PBS negative control. Using this assay, Compound IX showed greater than two-fold enhancement of NF-kB at concentrations as low as 0.1 μg/ml ( In this example, human whole blood cells were stimulated with Compound IX and ELISA assays were performed to detect the induction of immunostimulatory cytokines. Serial dilutions (1:5) of Compound IX and other adjuvants were performed with phosphate buffered saline in a 96 well plate for a total of 7 dilutions. 100 μl of freshly drawn human blood from two different donors were mixed and incubated with 100 μl of adjuvant dilutions. Following a 20 hour incubation, plates were centrifuged and supernatants (˜70 μl) were collected, avoiding red blood cells, and stored at −20° C. prior performing MIP-1-α and TNF-α ELISAs using standard biochemical procedures. The results of these experiments further confirmed that Compound IX has immunostimulatory activity in primary human blood cells ( All of the above U.S. patents, U.S. patent application publications, U.S. patent applications, foreign patents, foreign patent applications and non-patent publications referred to in this specification and/or listed in the Application Data Sheet, are incorporated herein by reference, in their entirety. From the foregoing it will be appreciated that, although specific embodiments of the invention have been described herein for purposes of illustration, various modifications may be made without deviating from the spirit and scope of the invention. Accordingly, the invention is not limited except as by the appended claims.CROSS-REFERENCE TO RELATED APPLICATION
BACKGROUND OF THE INVENTION
BRIEF SUMMARY OF THE INVENTION
or a pharmaceutically acceptable salt thereof, wherein L1, L2, L3, L4, L5, L6, L7, L8, L9, L10, Y1, Y2, Y3, Y4, R1, R2, R3, R4, R5, R6, are as defined herein.
BRIEF DESCRIPTION OF THE SEVERAL VIEWS OF THE DRAWING(S)
DETAILED DESCRIPTION OF THE INVENTION
or a pharmaceutically acceptable salt thereof, wherein:
GLA Compounds
EXAMPLES
Example 1
2-AZIDO-2-DEOXY-D-GLUCOPYRANOSIDE (2)
Example 2
2-AZIDO-2-DEOXY-4,6-O-BENZYLIDENE-D-GLUCOPYRANOSIDE (3)
Example 3
TERT-BUTYLDIMETHYLSILYL-2-AZIDO-4,6-O-BENZYLIDENE-2-DEOXY-β-D-GLUCOPYRANOSIDE (4)
Example 4
TERT-BUTYLDIMETHYLSILYL-3-O-ALLYLOXYCARBONYL-2-AZIDO-4,6-O-BENZYLDIDINE-2-DEOXY-D-GLUCOPYRANOSIDE (5)
Example 5
TERT-BUTYLDIMETHYLSILYL-3-O-ALLYLOXYCARBONYL-2-AZIDO-6-O-BENZYL-2-DEOXY-D-GLUCOPYRANOSIDE (6)
Example 6
TERT-BUTYLDIMETHYLSILYL-3-O-ALLYLOXYCARBONYL-2-AZIDO-6-O-BENZYL-2-DEOXY-4-O-(1,5-DIHYDRO-3-OXO-3λ5-3H-2,4,3-BENZODIOXAPHOSPHEPIN-3-YL)-D-GLUCOPYRANOSIDE (7)
Example 7
TERT-BUTYLDIMETHYLSILYL-3-O-ALLYLOXYCARBONYL-6-O-BENZYL-2-DEOXY-4-O-(1,5-DIHYDRO-3-OXO-3λ5-3H-2,4,3-BENZODIOXAPHOSPHEPIN-3-YL)-2-(9-FLUORENYLMETHOXYCARBONYLAMINO)-D-GLUCOPYRANOSIDE (8)
Example 8
3-O-ALLYLOXYCARBONYL-6-O-BENZYL-2-DEOXY-4-O-(1,5-DIHYDRO-3-OXO-3λ5-3H-2,4,3-BENZODIOXAPHOSPHEPIN-3-YL)-2-(9-FLUORENYLMETHOXYCARBONYLAMINO)-D-GLUCOPYRANOSIDE (9)
Example 9
TERT-BUTYLDIMETHYLSILYL-6-O-{3-O-ALLYLOXYCARBONYL-6-O-BENZYL-2-DEOXY-4-O-(1,5-DIHYDRO-3-OXO-3λ5-3H-2,4,3-BENZODIOXAPHOSPHEPIN-3-YL)-2-[(R)-3-DODECANOYLOXY-TETRADECANOYLAMINO]-β-D-GLUCOPYRANOSYL}-2-AZIDO-4-O-BENZYL-3-O—[(R)-3-BENZYLOXY-DODECANOYL]-2-DEOXY-β-D-GLUCOPYRANOSIDE (11)
Example 10
TERT-BUTYLDIMETHYLSILYL-6-O-{3-O-ALLYLOXYCARBONYL-6-O-BENZYL-2-DEOXY-4-O-(1,5-DIHYDRO-3-OXO-3λ5-3H-2,4,3-BENZODIOXAPHOSPHEPIN-3-YL)-2-[(R)-3-DODECANOYLOXY-TETRADECANOYLAMINO]-β-D-GLUCOPYRANOSYL}-4-O-BENZYL-3-O—[(R)-3-BENZYLOXY-DODECANOYL]-2-[(R)-3-4-METHOXYBENZYLOXY-TETRADECANOYL]-2-DEOXY-β-D-GLUCOPYRANOSIDE (12)
Example 11
Lipid A (13a)
Example 12
Lipid A (13b)
Example 13
TERT-BUTYLDIMETHYLSILYL-6-O-[3-O-ALLYLOXYCARBONYL-6-O-BENZYL-2-DEOXY-4-O-(1,5-DIHYDRO-3-OXO-3λ5-3H-2,4,3-BENZODIOXAPHOSPHEPIN-3-YL)-2-(9-FLUORENYLMETHOXYCARBONYLAMINO)-β-D-GLUCOPYRANOSYL]-2-AZIDO-4-O-BENZYL-2-DEOXY-β-D-GLUCOPYRANOSIDE (15)
Example 14
TERT-BUTYLDIMETHYLSILYL-6-O-{3-O-ALLYLOXYCARBONYL-6-O-BENZYL-2-DEOXY-4-O-(1,5-DIHYDRO-3-OXO-3λ5-3H-2,4,3-BENZODIOXAPHOSPHEPIN-3-YL)-2-[(R)-3-DODECANOYLOXY-TETRADECANOYLAMINO]-β-D-GLUCOPYRANOSYL}-2-AZIDO-4-O-BENZYL-2-DEOXY-β-D-GLUCOPYRANOSIDE (16)
Example 15
TERT-BUTYLDIMETHYLSILYL-6-O-{3-O-ALLYLOXYCARBONYL-6-O-BENZYL-2-DEOXY-4-O-(1,5-DIHYDRO-3-OXO-3λ5-3H-2,4,3-BENZODIOXAPHOSPHEPIN-3-YL)-2-[(R)-3-DODECANOYLOXY-TETRADECANOYLAMINO]-β-D-GLUCOPYRANOSYL}-2-AZIDO-4-O-BENZYL-3-O—[(R)-3-BENZYLOXY-TETRADECANOYL]-2-DEOXY-β-D-GLUCOPYRANOSIDE (17)
Example 16
TERT-BUTYLDIMETHYLSILYL-6-O-{6-O-BENZYL-2-DEOXY-4-O-(1,5-DIHYDRO-3-OXO-3λ5-3H-2,4,3-BENZODIOXAPHOSPHEPIN-3-YL)-2-[(R)-3-DODECANOYLOXY-TETRADECANOYLAMINO]-β-D-GLUCOPYRANOSYL}-2-AZIDO-4-O-BENZYL-3-O—[(R)-3-BENZYLOXY-TETRADECANOYL]-2-DEOXY-β-D-GLUCOPYRANOSIDE (18)
Example 17
TERT-BUTYLDIMETHYLSILYL-6-O-{6-O-BENZYL-2-DEOXY-4-O-(1,5-DIHYDRO-3-OXO-3λ5-3H-2,4,3-BENZODIOXAPHOSPHEPIN-3YL)-2-[(R)-3-DODECANOYLOXY-TETRADECANOYLAMINO]-3-O—[(R)-3-(P-METHOXY)BENZYLOXYTETRADECANOYL]-β-D-GLUCOPYRANOSYL}-2-AZIDO-4-O-BENZYL-3-O—[(R)-3-BENZYLOXY-TETRADECANOYL]-2-DEOXY-β-D-GLUCOPYRANOSIDE (19)
Example 18
TERT-BUTYLDIMETHYLSILYL-6-O-{6-O-BENZYL-2-DEOXY-4-O-(1,5-DIHYDRO-3-OXO-3λ5-3H-2,4,3-BENZODIOXAPHOSPHEPIN-3YL)-2-[(R)-3-DODECANOYLOXY-TETRADECANOYLAMINO]-3-O—[(R)-3-TETRADECANOYLOXY-TETRADECANOYL]-β-D-GLUCOPYRANOSYL}-2-AZIDO-4-O-BENZYL-3-O—[(R)-3-BENZYLOXY-TETRADECANOYL]-2-DEOXY-β-D-GLUCOPYRANOSIDE (10)
Example 19
TERT-BUTYLDIMETHYLSILYL-6-O-{3-O-ALLYLOXYCARBONYL-6-O-BENZYL-2-DEOXY-4-O-(1,5-DIHYDRO-3-OXO-3λ5-3H-2,4,3-BENZODIOXAPHOSPHEPIN-3-YL)-2-[(R)-3-DECANOYLOXY-TETRADECANOYLAMINO]-β-D-GLUCOPYRANOSYL}-2-AZIDO-4-O-BENZYL-2-DEOXY-β-D-GLUCOPYRANOSIDE (20)
Example 20
TERT-BUTYLDIMETHYLSILYL-6-O-{3-O-ALLYLOXYCARBONYL-6-O-BENZYL-2-DEOXY-4-O-(1,5-DIHYDRO-3-OXO-3λ5-3H-2,4,3-BENZODIOXAPHOSPHEPIN-3-YL)-2-[(R)-3-DECANOYLOXY-TETRADECANOYLAMINO]-β-D-GLUCOPYRANOSYL}-2-AZIDO-4-O-BENZYL-3-O—[(R)-3-BENZYLOXY-TETRADECANOYL]-2-DEOXY-β-D-GLUCOPYRANOSIDE (21)
Example 21
TERT-BUTYLDIMETHYLSILYL-6-O-{6-O-BENZYL-2-DEOXY-4-O-(1,5-DIHYDRO-3-OXO-3λ5-3H-2,4,3-BENZODIOXAPHOSPHEPIN-3-YL)-2-[(R)-3-DODECANOYLOXY-TETRADECANOYLAMINO]-β-D-GLUCOPYRANOSYL}-2-AZIDO-4-O-BENZYL-3-O—[(R)-3-BENZYLOXY-TETRADECANOYL]-2-DEOXY-β-D-GLUCOPYRANOSIDE (22)
Example 22
TERT-BUTYLDIMETHYLSILYL-6-O-{6-O-BENZYL-2-DEOXY-4-O-(1,5-DIHYDRO-3-OXO-3λ5-3H-2,4,3-BENZODIOXAPHOSPHEPIN-3-YL)-2-[(R)-3-DECANOYLOXY-TETRADECANOYLAMINO]-3-O—[(R)-3-(P-METHOXY)BENZYLOXYTETRADECANOYL]-β-D-GLUCOPYRANOSYL}-2-AZIDO-4-O-BENZYL-3-O—[(R)-3-BENZYLOXY-TETRADECANOYL]-2-DEOXY-β-D-GLUCOPYRANOSIDE (23)
Example 23
TERT-BUTYLDIMETHYLSILYL-6-O-{6-O-BENZYL-2-DEOXY-4-O-(1,5-DIHYDRO-3-OXO-3λ5-3H-2,4,3-BENZODIOXAPHOSPHEPIN-3-YL)-2-[(R)-3-DECANOYLOXY-TETRADECANOYLAMINO]-3-O—[(R)-3-DECANOYLOXY-TETRADECANOYL]-β-D-GLUCOPYRANOSYL}-2-AZIDO-4-O-BENZYL-3-O—[(R)-3-BENZYLOXY-TETRADECANOYL]-2-DEOXY-β-D-GLUCOPYRANOSIDE (24)
Example 24
TERT-BUTYLDIMETHYLSILYL-6-O-{6-O-BENZYL-2-DEOXY-4-O-(1,5-DIHYDRO-3-OXO-3λ5-3H-2,4,3-BENZODIOXAPHOSPHEPIN-3-YL)-2-[(R)-3-DECANOYLOXY-TETRADECANOYLAMINO]-3-O—[(R)-3-DECANOYLOXY-TETRADECANOYL]-β-D-GLUCOPYRANOSYL}-4-O-BENZYL-3-O—[(R)-3-BENZYLOXYTETRADECANOYL]-2-[(R)-3-BENZYLOXY-TETRADECANOYLAMINO]-2-DEOXY-β-D-GLUCOPYRANOSIDE (25)
Example 25
6-O-{6-O-BENZYL-2-DEOXY-4-O-(1,5-DIHYDRO-3-OXO-3λ5-3H-2,4,3-BENZODIOXAPHOSPHEPIN-3-YL)-2-[(R)-3-DECANOYLOXY-TETRADECANOYLAMINO]-3-O—[(R)-3-DECANOYLOXY-TETRADECANOYL]-β-D-GLUCOPYRANOSYL}-4-O-BENZYL-3-O—[(R)-3-BENZYLOXY-TETRADECANOYL]-2-[(R)-3-BENZYLOXY-TETRADECANOYLAMINO]-2-DEOXY-α-D-GLUCOPYRANOSE (26)
Example 26
(3R)-((2R,3S,4R,5S)-3-((R)-3-(DECANOYLOXY)TETRADECANAMIDO)-2-(((3S,4R,5S)-3,6-DIHYDROXY-5-((R)-3-HYDROXYTETRADECANAMIDO)-4-((R)-3-HYDROXYTETRADECANOYLOXY)TETRAHYDRO-2H-PYRAN-2-YL)METHOXY)-6-(HYDROXYMETHYL)-5-(PHOSPHONOOXY)TETRAHYDRO-2H-PYRAN-4-YL)3-(DECANOYLOXY)TETRADECANOATE (IX)
Example 27
METHYL 3-OXOTETRADECANOATE (29)
Example 28
(R)-METHYL 3-HYDROXYTETRADECANOATE (30)
Example 29
(R)-METHYL 3-(BENZYLOXY)TETRADECANOATE (31)
Example 30
(R)-3-(BENZYLOXY)TETRADECANOIC ACID (33)
Example 31
(R)-METHYL 3-(4-METHOXYBENZYLOXY)TETRADECANOATE (32)
Example 32
(R)-3-(4-METHOXYBENZYLOXY)TETRADECANOIC ACID (34)
Example 33
(R)-3-(4-METHOXYBENZYLOXY)TETRADECANOYL CHLORIDE (35)
Example 34
(R)-2-OXO-2-PHENYLETHYL 3-HYDROXYTETRADECANOATE (37)
Example 35
(R)-2-OXO-2-PHENYLETHYL-3-DECANOYLOXYTETRADECANOATE (39)
Example 36
(R)-3-(DECANOYLOXY)TETRADECANOIC ACID (40)
Example 37
(R)-METHYL 3-HYDROXYTETRADECANOATE (39)
Example 38
(R)-3-HYDROXYTETRADECANOIC ACID (36)
Example 39
(R)-2-OXO-2-PHENYLETHYL-3-TETRADECANOYLOXYTETRADECANOATE (46)
Example 40
(R)-3-(TETRADECANOYLOXY)TETRADECANOIC ACID (47)
Example 41
TERT-BUTYLDIMETHYLSILYL-2-AZIDO-4-O-BENZYL-2-DEOXY-β-D-GLUCOPYRANOSIDE (47)
Example 42
Induction of Th1-Type Immune Response In Vivo
Example 43
Induction of Th1- and Th2-Type Immune Responses In Vivo
Example 44
Induction of TLR4-Dependent Immunostimulation in Human Cells
Example 45
Induction of Immunostimulatory Cytokines in Human Blood Cells