патент
№ US 0008524775
МПК A61K31/19

Sulfoperoxycarboxylic acids, their preparation and methods of use as bleaching and antimicrobial agents (PSOA)

Авторы:
Junzhong Li Richard Staub David D. McSherry
Все (18)
Правообладатель:
Все (3)
Номер заявки
13647799
Дата подачи заявки
09.10.2012
Опубликовано
03.09.2013
Страна
US
Дата приоритета
15.12.2025
Номер приоритета
Страна приоритета
Как управлять
интеллектуальной собственностью
Чертежи 
6
Реферат

The present invention relates to novel sulfoperoxycarboxylic acid compounds, and methods for making and using them. The sulfoperoxycarboxylic compounds of the invention are storage stable, water soluble and have low to no odor. Further, the compounds of the present invention can be formed from non-petroleum based renewable materials. The compounds of the present invention can be used as antimicrobials, and bleaching agents. The compounds of the present invention are also suitable for use as coupling agents.

Формула изобретения

1. An aqueous, antimicrobial bleaching composition wherein the composition comprises:

(a) one or more of the following:

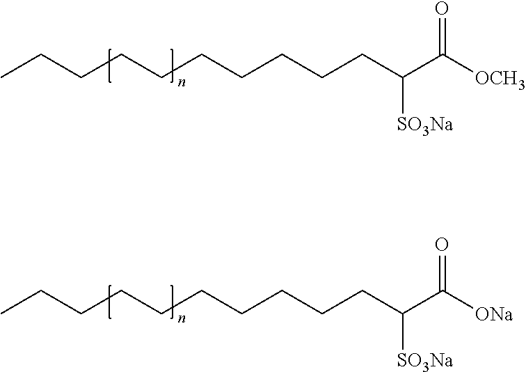
or salts or esters thereof; or

or salts or esters thereof;

(b) a C1to C4carboxylic acid;

(c) a C5to C11carboxylic acid; and

(d) an oxidizing agent

wherein the pH of the composition is about 7 to about 14.

2. The composition of claim 1, wherein the C1to C4carboxylic acid is acetic acid.

3. The composition of claim 1, wherein the C5to C11carboxylic acid is octanoic acid.

4. The composition of claim 1, wherein the composition is stable at 122° F. for at least about 4 weeks.

5. The composition of claim 1, wherein the oxidizing agent comprises hydrogen peroxide.

6. The composition of claim 1, further comprising a stabilizing agent.

7. The composition of claim 6, wherein the stabilizing agent is selected from the group consisting of organic amino polyphosphonic acid complexing agents, organic hydroxyl polyphosphonic acid complexing agents, and mixtures thereof.

8. The composition of claim 6, wherein the stabilizing agent is selected from the group consisting of carboxylic acids, hydroxycarboxylic acids, aminocarboxylic acids, heterocyclic carboxylic acids and mixtures thereof.

9. The composition of claim 1, wherein the composition is substantially phosphorous free.

10. An aqueous, antimicrobial bleaching composition, wherein the composition comprises:

(a) about 1 wt % to about 5 wt % of a compound including one or more of the following:

(b) about 1 wt % to about 10 wt % of the C1to C4carboxylic acid;

(c) about 1 wt % to about 10 wt % of the C5to C11carboxylic acid; and

(d) about 10 wt % to about 30 wt % of the oxidizing agent.

11. The composition of claim 10, wherein the C1to C4carboxylic acid is acetic acid.

12. The composition of claim 10, wherein the C5to C11carboxylic acid is octanoic acid.

13. The composition of claim 10, wherein the composition is stable at 122° F. for at least about 4 weeks.

14. The composition of claim 10, wherein the oxidizing agent comprises hydrogen peroxide.

15. The composition of claim 10, further comprising a stabilizing agent.

16. The composition of claim 15, wherein the stabilizing agent is selected from the group consisting of organic amino polyphosphonic acid complexing agents, organic hydroxyl polyphosphonic acid complexing agents, and mixtures thereof.

17. The composition of claim 15, wherein the stabilizing agent is selected from the group consisting of carboxylic acids, hydroxycarboxylic acids, aminocarboxylic acids, heterocyclic carboxylic acids and mixtures thereof.

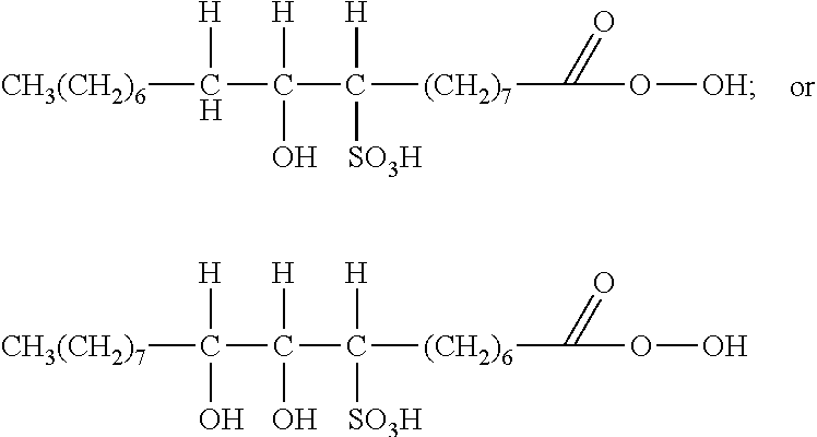
Описание

CROSS REFERENCE TO RELATED APPLICATIONS

[0001]

This application is a Continuation application of U.S. Ser. No. 12/413,189 filed Mar. 27, 2009, which claims priority to U.S. Provisional Application Ser. No. 61/040,444, filed on Mar. 28, 2008 and entitled “SULFOPEROXYCARBOXYLIC ACIDS, THEIR PREPARATION AND METHODS OF USE AS BLEACHING AND ANTIMICROBIAL AGENTS.” The entire contents of this patent application is hereby expressly incorporated herein by reference including, without limitation, the specification, claims, and abstract, as well as any figures, tables, or drawings thereof.

FIELD OF THE INVENTION

[0002]

The present invention relates to novel sulfoperoxycarboxylic acid compounds, compositions, and methods of making and using these compounds.

BACKGROUND

[0003]

Peroxycarboxylic acids are known for use as antimicrobials and bleaching agents. However, conventional peroxycarboxylic acids have inherent disadvantages of limited storage stability, and water solubility. Further, most peroxycarboxylic acids have an unpleasant odor. Thus, a need exists for storage stable, low or no odor, water soluble peroxycarboxylic acid compounds and compositions that also possess antimicrobial and bleaching properties.

SUMMARY

[0004]

In some aspects, the present invention relates to novel sulfoperoxycarboxylic acids, and methods for making them. The compounds of the invention are storage stable, have low or no-odor, and are water soluble. Further, the compounds of the present invention can be derived from non-petroleum based, renewable oils.

[0005]

In some aspects, the present invention provides methods for using the compounds of the present invention as bleaching and/or antimicrobial agents. In some aspects, the present invention provides methods for using the compounds of the invention as coupling agents. In some aspects, the present invention provides methods for using the compounds of the present invention as low foaming bleach hydrotopes for tunnel washers, and for side loading washing machines.

[0006]

In some embodiments, the compounds and compositions of the present invention are suitable for use as low temperature bleaches, e.g., at about 40 degrees Celsius. In some embodiments, the compounds of the present invention are suitable for use as pH optimized peroxygen bleaches, in combination with alkaline detergents. In some embodiments, the present invention includes a method for using the compounds and compositions of the present invention as color safe, textile tolerant bleaches for textiles, e.g., wools and cotton.

BRIEF DESCRIPTION OF THE DRAWINGS

[0007]

FIG. 1 is a graphical depiction of the stability profile of peroxyoctanoic acid over time when contacted with different test solutions.

[0008]

FIG. 2 is a graphical depiction of the stability of an exemplary composition of the present invention over time at an elevated temperature.

[0009]

FIG. 3 is a graphical depiction of the ability of selected compositions of the present invention to stabilize percarboxylic acids over time.

[0010]

FIG. 4 is a graphical depiction of the bleaching performance of compositions of the present invention compared to commercially available bleaching agents.

[0011]

FIG. 5 is a graphical depiction of the stability profile of peroxyoctanoic acid in combination with exemplary compositions of the present invention.

[0012]

FIG. 6 is a graphical depiction of the coupling capabilities of a selected composition of the present invention.

DETAILED DESCRIPTION

[0013]

The present invention relates to sulfoperoxycarboxylic acids of Formula I, and methods of making and using them. Unlike conventional peroxycarboxylic acids, the sulfoperoxycarboxylic acids of the present invention are low-odor, water soluble, and storage stable. The compounds of the present invention can be used as a pure solid powder, or blended with additional functional ingredients, for example, chelators, buffers, or other cleaning agents. They can also be incorporated into liquid formulas. The compounds and compositions of the present invention have many uses including, but not limited to, antimicrobials, bleaches, and coupling agents.

[0014]

So that the invention maybe more readily understood, certain terms are first defined.

[0015]

As used herein, “weight percent,” “wt-%,” “percent by weight,” “% by weight,” and variations thereof refer to the concentration of a substance as the weight of that substance divided by the total weight of the composition and multiplied by 100. It is understood that, as used here, “percent,” “%,” and the like are intended to be synonymous with “weight percent,” “wt-%,” etc.

[0016]

As used herein, the term “about” refers to variation in the numerical quantity that can occur, for example, through typical measuring and liquid handling procedures used for making concentrates or use solutions in the real world; through inadvertent error in these procedures; through differences in the manufacture, source, or purity of the ingredients used to make the compositions or carry out the methods; and the like. The term “about” also encompasses amounts that differ due to different equilibrium conditions for a composition resulting from a particular initial mixture. Whether or not modified by the term “about”, the claims include equivalents to the quantities.

[0017]

It should be noted that, as used in this specification and the appended claims, the singular forms “a,” “an,” and “the” include plural referents unless the content clearly dictates otherwise. Thus, for example, reference to a composition containing “a compound” includes a composition having two or more compounds. It should also be noted that the term “or” is generally employed in its sense including “and/or” unless the content clearly dictates otherwise.

[0018]

As used herein, the phrases “objectionable odor,” “offensive odor,” or “malodor,” refer to a sharp, pungent, or acrid odor or atmospheric environment from which a typical person withdraws if they are able to. Hedonic tone provides a measure of the degree to which an odor is pleasant or unpleasant. An “objectionable odor,” “offensive odor,” or “malodor” has an hedonic tone rating it as unpleasant as or more unpleasant than a solution of 5 wt-% acetic acid, propionic acid, butyric acid, or mixtures thereof.

[0019]

As used herein, the term “microorganism” refers to any noncellular or unicellular (including colonial) organism. Microorganisms include all prokaryotes. Microorganisms include bacteria (including cyanobacteria), spores, lichens, fungi, protozoa, virinos, viroids, viruses, phages, and some algae. As used herein, the term “microbe” is synonymous with microorganism.

[0020]

As used herein, the phrase “food product” includes any food substance that might require treatment with an antimicrobial agent or composition and that is edible with or without further preparation. Food products include meat (e.g. red meat and pork), seafood, poultry, produce (e.g., fruits and vegetables), eggs, living eggs, egg products, ready to eat food, wheat, seeds, roots, tubers, leafs, stems, corns, flowers, sprouts, seasonings, or a combination thereof. The term “produce” refers to food products such as fruits and vegetables and plants or plant-derived materials that are typically sold uncooked and, often, unpackaged, and that can sometimes be eaten raw.

[0021]

As used herein, the phrase “plant” or “plant product” includes any plant substance or plant-derived substance. Plant products include, but are not limited to, seeds, nuts, nut meats, cut flowers, plants or crops grown or stored in a greenhouse, house plants, and the like. Plant products include many animal feeds.

[0022]

As used herein, the phrase “meat product” refers to all forms of animal flesh, including the carcass, muscle, fat, organs, skin, bones and body fluids and like components that form the animal. Animal flesh includes, but is not limited to, the flesh of mammals, birds, fishes, reptiles, amphibians, snails, clams, crustaceans, other edible species such as lobster, crab, etc., or other forms of seafood. The forms of animal flesh include, for example, the whole or part of animal flesh, alone or in combination with other ingredients. Typical forms include, for example, processed meats such as cured meats, sectioned and formed products, minced products, finely chopped products, ground meat and products including ground meat, whole products, and the like.

[0023]

As used herein the term “poultry” refers to all forms of any bird kept, harvested, or domesticated for meat or eggs, and including chicken, turkey, ostrich, game hen, squab, guinea fowl, pheasant, quail, duck, goose, emu, or the like and the eggs of these birds. Poultry includes whole, sectioned, processed, cooked or raw poultry, and encompasses all forms of poultry flesh, by-products, and side products. The flesh of poultry includes muscle, fat, organs, skin, bones and body fluids and like components that form the animal. Forms of animal flesh include, for example, the whole or part of animal flesh, alone or in combination with other ingredients. Typical forms include, for example, processed poultry meat, such as cured poultry meat, sectioned and formed products, minced products, finely chopped products and whole products.

[0024]

As used herein, the phrase “poultry debris” refers to any debris, residue, material, dirt, offal, poultry part, poultry waste, poultry viscera, poultry organ, fragments or combinations of such materials, and the like removed from a poultry carcass or portion during processing and that enters a waste stream.

[0025]

As used herein, the phrase “food processing surface” refers to a surface of a tool, a machine, equipment, a structure, a building, or the like that is employed as part of a food processing, preparation, or storage activity. Examples of food processing surfaces include surfaces of food processing or preparation equipment (e.g., slicing, canning, or transport equipment, including flumes), of food processing wares (e.g., utensils, dishware, wash ware, and bar glasses), and of floors, walls, or fixtures of structures in which food processing occurs. Food processing surfaces are found and employed in food anti-spoilage air circulation systems, aseptic packaging sanitizing, food refrigeration and cooler cleaners and sanitizers, ware washing sanitizing, blancher cleaning and sanitizing, food packaging materials, cutting board additives, third-sink sanitizing, beverage chillers and warmers, meat chilling or scalding waters, autodish sanitizers, sanitizing gels, cooling towers, food processing antimicrobial garment sprays, and non-to-low-aqueous food preparation lubricants, oils, and rinse additives.

[0026]

As used herein, the term “ware” refers to items such as eating and cooking utensils, dishes, and other hard surfaces such as showers, sinks, toilets, bathtubs, countertops, windows, mirrors, transportation vehicles, and floors. As used herein, the term “warewashing” refers to washing, cleaning, or rinsing ware. Ware also refers to items made of plastic. Types of plastics that can be cleaned with the compositions according to the invention include but are not limited to, those that include polycarbonate polymers (PC), acrilonitrile-butadiene-styrene polymers (ABS), and polysulfone polymers (PS). Another exemplary plastic that can be cleaned using the compounds and compositions of the invention include polyethylene terephthalate (PET).

[0027]

As used herein, the phrase “air streams” includes food anti-spoilage air circulation systems. Air streams also include air streams typically encountered in hospital, surgical, infirmity, birthing, mortuary, and clinical diagnosis rooms.

[0028]

As used herein, the term “waters” includes food process or transport waters. Food process or transport waters include produce transport waters (e.g., as found in flumes, pipe transports, cutters, slicers, blanchers, retort systems, washers, and the like), belt sprays for food transport lines, boot and hand-wash dip-pans, third-sink rinse waters, and the like. Waters also include domestic and recreational waters such as pools, spas, recreational flumes and water slides, fountains, and the like.

[0029]

As used herein, the phrase “health care surface” refers to a surface of an instrument, a device, a cart, a cage, furniture, a structure, a building, or the like that is employed as part of a health care activity. Examples of health care surfaces include surfaces of medical or dental instruments, of medical or dental devices, of electronic apparatus employed for monitoring patient health, and of floors, walls, or fixtures of structures in which health care occurs. Health care surfaces are found in hospital, surgical, infirmity, birthing, mortuary, and clinical diagnosis rooms. These surfaces can be those typified as “hard surfaces” (such as walls, floors, bed-pans, etc.), or fabric surfaces, e.g., knit, woven, and non-woven surfaces (such as surgical garments, draperies, bed linens, bandages, etc.), or patient-care equipment (such as respirators, diagnostic equipment, shunts, body scopes, wheel chairs, beds, etc.), or surgical and diagnostic equipment. Health care surfaces include articles and surfaces employed in animal health care.

[0030]

As used herein, the term “instrument” refers to the various medical or dental instruments or devices that can benefit from cleaning with a composition according to the present invention.

[0031]

As used herein, the phrases “medical instrument,” “dental instrument,” “medical device,” “dental device,” “medical equipment,” or “dental equipment” refer to instruments, devices, tools, appliances, apparatus, and equipment used in medicine or dentistry. Such instruments, devices, and equipment can be cold sterilized, soaked or washed and then heat sterilized, or otherwise benefit from cleaning in a composition of the present invention. These various instruments, devices and equipment include, but are not limited to: diagnostic instruments, trays, pans, holders, racks, forceps, scissors, shears, saws (e.g. bone saws and their blades), hemostats, knives, chisels, rongeurs, files, nippers, drills, drill bits, rasps, burrs, spreaders, breakers, elevators, clamps, needle holders, carriers, clips, hooks, gouges, curettes, retractors, straightener, punches, extractors, scoops, keratomes, spatulas, expressors, trocars, dilators, cages, glassware, tubing, catheters, cannulas, plugs, stents, scopes (e.g., endoscopes, stethoscopes, and arthoscopes) and related equipment, and the like, or combinations thereof.

[0032]

As used herein, “agricultural” or “veterinary” objects or surfaces include animal feeds, animal watering stations and enclosures, animal quarters, animal veterinarian clinics (e.g. surgical or treatment areas), animal surgical areas, and the like.

[0033]

As used herein, the term “phosphorus-free” or “substantially phosphorus-free” refers to a composition, mixture, or ingredient that does not contain phosphorus or a phosphorus-containing compound or to which phosphorus or a phosphorus-containing compound has not been added. Should phosphorus or a phosphorus-containing compound be present through contamination of a phosphorus-free composition, mixture, or ingredients, the amount of phosphorus shall be less than 0.5 wt %. More preferably, the amount of phosphorus is less than 0.1 wt-%, and most preferably the amount of phosphorus is less than 0.01 wt %.

[0034]

For the purpose of this patent application, successful microbial reduction is achieved when the microbial populations are reduced by at least about 50%, or by significantly more than is achieved by a wash with water. Larger reductions in microbial population provide greater levels of protection.

[0035]

As used herein, the term “sanitizer” refers to an agent that reduces the number of bacterial contaminants to safe levels as judged by public health requirements. In an embodiment, sanitizers for use in this invention will provide at least a 99.999% reduction (5-log order reduction). These reductions can be evaluated using a procedure set out in Germicidal and Detergent Sanitizing Action of Disinfectants, Official Methods of Analysis of the Association of Official Analytical Chemists, paragraph 960.09 and applicable sections, 15th Edition, 1990 (EPA Guideline 91-2). According to this reference a sanitizer should provide a 99.999% reduction (5-log order reduction) within 30 seconds at room temperature, 25±2° C., against several test organisms.

[0036]

As used herein, the term “disinfectant” refers to an agent that kills all vegetative cells including most recognized pathogenic microorganisms, using the procedure described in A.O.A.C. Use Dilution Methods, Official Methods of Analysis of the Association of Official Analytical Chemists, paragraph 955.14 and applicable sections, 15th Edition, 1990 (EPA Guideline 91-2). As used herein, the term “high level disinfection” or “high level disinfectant” refers to a compound or composition that kills substantially all organisms, except high levels of bacterial spores, and is effected with a chemical germicide cleared for marketing as a sterilant by the Food and Drug Administration. As used herein, the term “intermediate-level disinfection” or “intermediate level disinfectant” refers to a compound or composition that kills mycobacteria, most viruses, and bacteria with a chemical germicide registered as a tuberculocide by the Environmental Protection Agency (EPA). As used herein, the term “low-level disinfection” or “low level disinfectant” refers to a compound or composition that kills some viruses and bacteria with a chemical germicide registered as a hospital disinfectant by the EPA.

[0037]

As used in this invention, the term “sporicide” refers to a physical or chemical agent or process having the ability to cause greater than a 90% reduction (1-log order reduction) in the population of spores of Bacillus cereus or Bacillus subtilis within 10 seconds at 60° C. In certain embodiments, the sporicidal compositions of the invention provide greater than a 99% reduction (2-log order reduction), greater than a 99.99% reduction (4-log order reduction), or greater than a 99.999% reduction (5-log order reduction) in such population within 10 seconds at 60° C.

[0038]

Differentiation of antimicrobial “-cidal” or “-static” activity, the definitions which describe the degree of efficacy, and the official laboratory protocols for measuring this efficacy are considerations for understanding the relevance of antimicrobial agents and compositions. Antimicrobial compositions can effect two kinds of microbial cell damage. The first is a lethal, irreversible action resulting in complete microbial cell destruction or incapacitation. The second type of cell damage is reversible, such that if the organism is rendered free of the agent, it can again multiply. The former is termed microbiocidal and the later, microbistatic. A sanitizer and a disinfectant are, by definition, agents which provide antimicrobial or microbiocidal activity. In contrast, a preservative is generally described as an inhibitor or microbistatic composition

[0039]

As used herein, the term “alkyl” or “alkyl groups” refers to saturated hydrocarbons having one or more carbon atoms, including straight-chain alkyl groups (e.g., methyl, ethyl, propyl, butyl, pentyl, hexyl, heptyl, octyl, nonyl, decyl, etc.), cyclic alkyl groups (or “cycloalkyl” or “alicyclic” or “carbocyclic” groups) (e.g., cyclopropyl, cyclopentyl, cyclohexyl, cycloheptyl, cyclooctyl, etc.), branched-chain alkyl groups (e.g., isopropyl, tert-butyl, sec-butyl, isobutyl, etc.), and alkyl-substituted alkyl groups (e.g., alkyl-substituted cycloalkyl groups and cycloalkyl-substituted alkyl groups).

[0040]

Unless otherwise specified, the term “alkyl” includes both “unsubstituted alkyls” and “substituted alkyls.” As used herein, the term “substituted alkyls” refers to alkyl groups having substituents replacing one or more hydrogens on one or more carbons of the hydrocarbon backbone. Such substituents may include, for example, alkenyl, alkynyl, halogeno, hydroxyl, alkylcarbonyloxy, arylcarbonyloxy, alkoxycarbonyloxy, aryloxy, aryloxycarbonyloxy, carboxylate, alkylcarbonyl, arylcarbonyl, alkoxycarbonyl, aminocarbonyl, alkylaminocarbonyl, dialkylaminocarbonyl, alkylthiocarbonyl, alkoxyl, phosphate, phosphonato, phosphinato, cyano, amino (including alkyl amino, dialkylamino, arylamino, diarylamino, and alkylarylamino), acylamino (including alkylcarbonylamino, arylcarbonylamino, carbamoyl and ureido), imino, sulfhydryl, alkylthio, arylthio, thiocarboxylate, sulfates, alkylsulfinyl, sulfonates, sulfamoyl, sulfonamido, nitro, trifluoromethyl, cyano, azido, heterocyclic, alkylaryl, or aromatic (including hetero aromatic) groups.

[0041]

In some embodiments, substituted alkyls can include a heterocyclic group. As used herein, the term “heterocyclic group” includes closed ring structures analogous to carbocyclic groups in which one or more of the carbon atoms in the ring is an element other than carbon, for example, nitrogen, sulfur or oxygen. Heterocyclic groups may be saturated or unsaturated. Exemplary heterocyclic groups include, but are not limited to, aziridine, ethylene oxide (epoxides, oxiranes), thiirane (episulfides), dioxirane, azetidine, oxetane, thietane, dioxetane, dithietane, dithiete, azolidine, pyrrolidine, pyrroline, oxolane, dihydrofuran, and furan.

[0000]

Compounds of the Invention

[0042]

The present invention relates, at least in part, to sulfoperoxycarboxylic acids, compositions thereof, and the use thereof in a variety of bleaching, disinfecting and cleaning applications. The sulfoperoxycarboxylic acids of the present invention are also useful as coupling agents. Further, certain compounds of the present invention can be derived from non-petroleum based, renewable oils, e.g., castor, toll, soybean, canola, olive, peanut, tallow, rapeseed, and palm oils.

[0043]

As used herein, the term “sulfoperoxycarboxylic acid” or “sulfonated peroxycarboxylic acid” refers to the peroxycarboxylic acid form of a sulfonated carboxylic acid. The sulfoperoxycarboxylic acids of the present invention can be used alone, or can be combined with additional ingredients. In some embodiments, compositions of the present invention can include one or more of the sulfoperoxycarboxylic acids of the present invention.

[0044]

Peroxycarboxylic (or percarboxylic) acids generally have the formula R(CO3H)n, where, for example, R is an alkyl, arylalkyl, cycloalkyl, aromatic, or heterocyclic group, and n is one, two, or three, and named by prefixing the parent acid with peroxy. Percarboxylic acids can be made by the direct, acid catalyzed equilibrium action of hydrogen peroxide with the carboxylic acid, by autooxidation of aldehydes, or from acid chlorides, and hydrides, or carboxylic anhydrides with hydrogen or sodium peroxide. The R group can be saturated or unsaturated as well as substituted or unsubstituted.

[0045]

The chemical structures herein are drawn according to the conventional standards known in the art. Thus, where an atom, such as a carbon atom, as drawn appears to have an unsatisfied valency, then that valency is assumed to be satisfied by a hydrogen atom, even though that hydrogen atom is not necessarily explicitly drawn. The structures of some of the compounds of this invention include stereogenic carbon atoms. It is to be understood that isomers arising from such asymmetry (e.g., all enantiomers and diastereomers) are included within the scope of this invention unless indicated otherwise. That is, unless otherwise stipulated, any chiral carbon center may be of either (R)- or (S)-stereochemistry. Such isomers can be obtained in substantially pure form by classical separation techniques and by stereochemically-controlled synthesis. Furthermore, alkenes can include either the E- or Z-geometry, where appropriate. In addition, the compounds of the present invention may exist in unsolvated as well as solvated forms with acceptable solvents such as water, THF, ethanol, and the like. In general, the solvated forms are considered equivalent to the unsolvated forms for the purposes of the present invention.

[0046]

In some aspects, the present invention pertains to sulfoperoxycarboxylic acids of Formula I:

[0047]

[0048]

wherein R1 is hydrogen, or a substituted or unsubstituted alkylene group;

[0049]

R2 is a substituted or unsubstituted alkylene group;

[0050]

X is hydrogen, a cationic group, or an ester forming moiety;

[0051]

or salts or esters thereof.

[0052]

In some embodiments, R1is a substituted or unsubstituted Cmalkyl group; X is hydrogen a cationic group, or an ester forming moiety; R2is a substituted or unsubstituted Cnalkyl group; m=1 to 10; n=1 to 10; and m+n is less than 18, or salts, esters or mixtures thereof.

[0053]

In some embodiments, R1 is hydrogen. In other embodiments, R1 is a substituted or unsubstituted alkylene group. In some embodiments, R1 is a substituted or unsubstituted alkylene group that does not include a cyclic alkylene group. In some embodiments, R1 is a substituted alkylene group. In some embodiments, R1 is an unsubstituted C1-C9 alkylene group. In some embodiments, R1 is an unsubstituted C7 or C8 alkylene. In other embodiments, R1 is a substituted C8-C10 alkylene group. In some embodiments, R1 is a substituted C8-C10 alkylene group is substituted with at least 1, or at least 2 hydroxyl groups. In still yet other embodiments, R1 is a substituted C1-C9 alkylene group. In some embodiments, R1 is a substituted C1-C9 substituted alkylene group is substituted with at least 1 SO3H group.

[0054]

In other embodiments, R1is a C9-C10substituted alkylene group. In some embodiments, R1is a substituted C9-C10alkylene group wherein at least two of the carbons on the carbon backbone form a heterocyclic group. In some embodiments, the heterocyclic group is an epoxide group.

[0055]

In some embodiments, R2 is a substituted C1 to C10 alkylene group. In some embodiments, R2 is a substituted C8-C10 alkylene. In some embodiments, R2 is an unsubstituted C6-C9 alkylene. In other embodiments, R2 is a C8 to C10 alkylene group substituted with at least one hydroxyl group. In some embodiments, R2 is a C10 alkylene group substituted with at least two hydroxyl groups. In other embodiments, R2 is a C8 alkylene group substituted with at least one SO3H group. In some embodiments, R2 is a substituted C9 group, wherein at least two of the carbons on the carbon backbone form a heterocyclic group. In some embodiments, the heterocyclic group is an epoxide group. In some embodiments, R1 is a C8-C9 substituted or unsubstituted alkylene 10, and R2 is a C7-C8 substituted or unsubstituted alkylene.

[0056]

In some embodiments, the compound of the invention is selected from the group consisting of:

[0057]


and mixtures and derivatives thereof.

[0058]

In other embodiments, the compound of the invention is selected from the group consisting of:

[0059]


and mixtures and derivatives thereof.
Compounds of the invention are also shown in Table 1 below.

[0060]

Sulfonated Peroxyacid Compounds
IDStructure/Name of Compound
A
B
C
D
E
F
G
H
I
J
K
L
M
N
O

[0061]

In some embodiments, the starting material for the preparation of the compounds of the present invention is a sulfonated fatty acid. Without wishing to be bound by any particular theory, it is thought that the sulfo-group is inert in an oxidative environment. Further, it is thought that the hydrophility of the sulfo-group is not as impacted by pH as other substituents. In some embodiments, the sulfonated percarboxylic acids of the present invention are formed from commercially available sulfonated fatty acids. In other embodiments, the compounds of the present invention are formed from commercially available non-sulfonated fatty acids, which can be sulfonated. In some embodiments, the starting fatty acid will be sulfonated prior to conversion to a peroxycarboxylic acid. In other embodiments, the starting fatty acid will be sulfonated at the same time or after the formation of the peroxycarboxylic acid. Sulfonated fatty acids suitable for use in forming compounds of the present invention include, but are not limited to, 11-sulfoundecanoic acid, 10,11-disulfoundecanoic acid, sulfonated oleic acid, sulfonated linoleic acid, sulfonated palmitoleic acid and sulfonated stearic acid.

[0062]

Without wishing to be bound by any particular theory, it is thought that the peracid formed from certain commercially available sulfonated oleic acid starting materials includes a mixture of the compounds of the present invention. It is thought that this is due, in part, to the nature of the sulfonated oleic acid starting material. That is, it is thought that because the sulfonated oleic acid starting material is derived from naturally occurring sources, it is not chemically pure, i.e., does not contain only one form of the sulfonated oleic acid. Thus, without wishing to be bound by any particular theory it is thought that sulfonated peroleic acid formed can include (hereinafter referred to as the “sulfonated peroleic acid product”) a mixture of Compounds A, N, I, and O as the primary components. Without wishing to be bound by any particular theory it is thought that in some embodiments, the sulfonated peroleic acid product includes about 20-25 wt % Compound A (10-Hydroxy-9-sulfooctadecaneperoxoic acid) about 20-25 wt % Compound N (10,11-dihydroxy-9-sulfooctadecaneperoxoic acid), about 20-25 wt % Compound I (9-Hydroxy-10-sulfooctadecaneperoxoic acid), and about 20-25 wt % Compound O (8,9-dihydroxy-10-sulfooctadecaneperoxoic acid). The remainder of the product is thought to include about 5 to about 10 wt % of a mixture of these compounds.

[0063]

The sulfoperoxyacids can be formed using a variety of reaction mechanisms. For example, in some embodiments, the peracids are formed by the direct acid catalyzed equilibrium action of hydrogen peroxide with the starting materials.

[0064]

In some embodiments, the sulfonated carboxylic acids for use in forming the compounds of the present invention are not sulfonated at the a position. It has been found that having the sulfonate group at the a position of the fatty acid prohibits the oxidation and/or perhydrolysis of the carboxylic acid group to form the corresponding peroxycarboxylic acid. Without wishing to be bound by any particular theory, it is thought that the α-sulfo group makes the carboxylic acid group on the fatty acid electronically deficient, and thus oxidation and/or perhydrolysis and formation of the corresponding percarboxylic acid does not occur.

[0000]

Sulfonated Peroxycarboxylic Acid Compositions

[0065]

In some aspects, the present invention relates to compositions including a sulfonated peroxycarboxylic acid compound, or mixture thereof, of Formula I. The compositions of the present invention can be used as bleaching compositions for a variety of substrates and surfaces, e.g., textiles, hard surfaces. The compositions of the present invention can also be used as disinfectant or antimicrobial compositions. Further, compounds of the present invention can be used as coupling agents in compositions for various applications, e.g., food contact sanitizing, hard surface disinfection, textile disinfection. In some embodiments, compositions containing compounds of the present invention can be multipurpose. That is, the compositions of the present invention can, for example, act as both antimicrobials and bleaches, or as both coupling agents, and bleaching agents.

[0066]

The compositions of the present invention also show enhanced stability compared to conventional peroxygen containing compositions. In some embodiments, the compositions of the present invention are stable for at least about 1 year at room temperature. In some embodiments, the compositions of the present invention are stable at about 100° F. for at least 30 days. In other embodiments, the compositions of the present invention are stable at about 140° F. for at least 30 days. For example, 11-sulfoundecanoic peroxyacid (Compound D) is stable as a powder system at about 140° F. for at least 30 days.

[0067]

The compositions of the present invention have no or low odor. For example, in some embodiments, compositions of the present invention have an odor less unpleasant than (e.g., as measured by an hedonic tone rating) than 5, 4, 3, 2, or 1 wt-% acetic acid in water. In other embodiments, the compositions of the present invention have no odor detectable by a user.

[0068]

In some embodiments, the compositions of the present invention include a sulfonated peracid or mixture thereof of Formula I, and at least one additional ingredient. Additional ingredients suitable for use with the compositions of the present invention include, but are not limited to, oxidizing agents, carboxylic acids, surfactants, stabilizing agents (e.g., metal chelators), and mixtures thereof. The compounds and compositions of the invention can also be used in conjunction with conventional cleaning agents, e.g., alkaline detergents.

[0069]

In some embodiments, the compositions of the present invention can be used as a sanitizing composition for articles cleaned using a clean in place (CIP) technique. Such compositions can include an oxidizing agent, a stabilizing agent, an acidulant and a surfactant or mixture thereof, in the following concentrations.

[0070]

Oxidizing Agent0.1-102-85-7
Stabilizing Agent0.1-100.5-5  1-2
Acidulant  0-5010-4020-30
Surfactant  0-5010-4025-35

[0071]

In other embodiments, the compositions of the present invention can be used as a textile disinfectant/sanitizer. Such compositions can include oxidizing agent, stabilizing agent and a carboxylic acid in the following concentrations.

[0072]

Oxidizing Agent10-7525-6030-50
Stabilizing Agent0.1-10 0.5-5  2-4
Carboxylic Acid 1-4010-3020-25

[0073]

Oxidizing Agents

[0074]

In some aspects, the compositions of the present invention include a compound of Formula I. In some embodiments, the compositions of the present invention further include at least one oxidizing agent. In some embodiments, the compositions of the present invention are substantially free of an oxidizing agent. When present, the present composition can include any of a variety of oxidizing agents, for example, hydrogen peroxide. The oxidizing agent can be present at an amount effective to convert a sulfonated carboxylic acid to a sulfonated peroxycarboxylic acid. In some embodiments, the oxidizing agent can also have antimicrobial activity. In other embodiments, the oxidizing agent is present in an amount insufficient to exhibit antimicrobial activity.

[0075]

In some embodiments, the compositions of the present invention include about 0.001 wt % oxidizing agent to about 99 wt % oxidizing agent. In other embodiments, the compositions of the present invention include about 1 wt % to about 60 wt % oxidizing agent. In some embodiments, the compositions of the invention include about 50 wt % to about 80 wt % oxidizing agent. In other embodiments, the compositions of the invention include about 15 wt % to about 30 wt % oxidizing agent. In yet other embodiments, the compositions of the present invention include about 25 wt % oxidizing agent. It is to be understood that all ranges and values between these ranges and values are encompassed by the present invention.

[0076]

Examples of inorganic oxidizing agents include the following types of compounds or sources of these compounds, or alkali metal salts including these types of compounds, or forming an adduct therewith: hydrogen peroxide, urea-hydrogen peroxide complexes or hydrogen peroxide donors of: group 1 (IA) oxidizing agents, for example lithium peroxide, sodium peroxide; group 2 (IIA) oxidizing agents, for example magnesium peroxide, calcium peroxide, strontium peroxide, barium peroxide; group 12 (IIB) oxidizing agents, for example zinc peroxide; group 13 (IIIA) oxidizing agents, for example boron compounds, such as perborates, for example sodium perborate hexahydrate of the formula Na2[B2(O2)2(OH)4].6H2O (also called sodium perborate tetrahydrate); sodium peroxyborate tetrahydrate of the formula Na2B2(O2)2[(OH)4].4H2O (also called sodium perborate trihydrate); sodium peroxyborate of the formula Na2[B2(O2)2(OH)4] (also called sodium perborate monohydrate); group 14 (IVA) oxidizing agents, for example persilicates and peroxycarbonates, which are also called percarbonates, such as persilicates or peroxycarbonates of alkali metals; group 15 (VA) oxidizing agents, for example peroxynitrous acid and its salts; peroxyphosphoric acids and their salts, for example, perphosphates; group 16 (VIA) oxidizing agents, for example peroxysulfuric acids and their salts, such as peroxymonosulfuric and peroxydisulfuric acids, and their salts, such as persulfates, for example, sodium persulfate; and group VIIa oxidizing agents such as sodium periodate, potassium perchlorate. Other active inorganic oxygen compounds can include transition metal peroxides; and other such peroxygen compounds, and mixtures thereof.

[0077]

In some embodiments, the compositions of the present invention employ one or more of the inorganic oxidizing agents listed above. Suitable inorganic oxidizing agents include ozone, hydrogen peroxide, hydrogen peroxide adduct, group IIIA oxidizing agent, or hydrogen peroxide donors of group VIA oxidizing agent, group VA oxidizing agent, group VIIA oxidizing agent, or mixtures thereof. Suitable examples of such inorganic oxidizing agents include percarbonate, perborate, persulfate, perphosphate, persilicate, or mixtures thereof.

[0078]

Carboxylic and Percarboxylic Acids

[0079]

In some embodiments, the compositions of the present invention include at least one sulfoperoxycarboxylic acid of the present invention, and at least one carboxylic and/or percarboxylic acid. In some embodiments, the compositions of the present invention include at least two, at least three, or at least four or more carboxylic and/or percarboxylic acids.

[0080]

In some embodiments, the carboxylic acid for use with the compositions of the present invention includes a C1to C22carboxylic acid. In some embodiments, the carboxylic acid for use with the compositions of the present invention is a C5to C11carboxylic acid. In some embodiments, the carboxylic acid for use with the compositions of the present invention is a C1to C4carboxylic acid. Examples of suitable carboxylic acids include, but are not limited to, formic, acetic, propionic, butanoic, pentanoic, hexanoic, heptanoic, octanoic, nonanoic, decanoic, undecanoic, dodecanoic, as well as their branched isomers, lactic, maleic, ascorbic, citric, hydroxyacetic, neopentanoic, neoheptanoic, neodecanoic, oxalic, malonic, succinic, glutaric, adipic, pimelic subric acid, and mixtures thereof.

[0081]

In some embodiments, the compositions of the present invention include about 0.1 wt % to about 80 wt % of a carboxylic acid. In other embodiments, the compositions of the present invention include about 1 wt % to about 60 wt % of a carboxylic acid. In yet other embodiments, the compositions of the present invention include about 20 wt %, about 30 wt %, or about 40 wt % of a carboxylic acid. In some embodiments, the compositions of the present invention include about 5 wt % to about 10 wt % of acetic acid. In other embodiments, the compositions of the present invention include about 5 wt % to about 10 wt % of octanoic acid. In other embodiments, the compositions of the present invention include a combination of octanoic acid and acetic acid.

[0082]

In some embodiments, the compositions of the present invention include a compound of Formula I, and at least one peroxycarboxylic acid. Peroxycarboxylic acids useful in the compositions and methods of the present invention include peroxyformic, peroxyacetic, peroxypropionic, peroxybutanoic, peroxypentanoic, peroxyhexanoic, peroxyheptanoic, peroxyoctanoic, peroxynonanoic, peroxydecanoic, peroxyundecanoic, peroxydodecanoic, or the peroxyacids of their branched chain isomers, peroxylactic, peroxymaleic, peroxyascorbic, peroxyhydroxyacetic, peroxyoxalic, peroxymalonic, peroxysuccinic, peroxyglutaric, peroxyadipic, peroxypimelic and peroxysubric acid and mixtures thereof. In some embodiments, the compositions of the invention utilize a combination of several different peroxycarboxylic acids. For example, in some embodiments, the composition includes one or more C1to C4peroxycarboxylic acids and one or more C5to C11peroxycarboxylic acids. In some embodiments, the C1to C4peroxycarboxylic acid is peroxyacetic acid and the C5to C11acid is peroxyoctanoic acid.

[0083]

In some embodiments, the compositions of the present invention include peroxyacetic acid. Peroxyacetic (or peracetic) acid is a peroxycarboxylic acid having the formula: CH3COOOH. Generally, peroxyacetic acid is a liquid having an acrid odor at higher concentrations and is freely soluble in water, alcohol, ether, and sulfuric acid. Peroxyacetic acid can be prepared through any number of methods known to those of skill in the art including preparation from acetaldehyde and oxygen in the presence of cobalt acetate. A solution of peroxyacetic acid can be obtained by combining acetic acid with hydrogen peroxide. A 50% solution of peroxyacetic acid can be obtained by combining acetic anhydride, hydrogen peroxide and sulfuric acid.

[0084]

In some embodiments, the compositions of the present invention include peroxyoctanoic acid, peroxynonanoic acid, or peroxyheptanoic acid. In some embodiments, the compositions include peroxyoctanoic acid. Peroxyoctanoic (or peroctanoic) acid is a peroxycarboxylic acid having the formula, for example, of n-peroxyoctanoic acid: CH3(CH2)6COOOH. Peroxyoctanoic acid can be an acid with a straight chain alkyl moiety, an acid with a branched alkyl moiety, or a mixture thereof. Peroxyoctanoic acid can be prepared through any number of methods known to those of skill in the art. A solution of peroxyoctanoic acid can be obtained by combining octanoic acid and hydrogen peroxide and a hydrotrope, solvent or carrier.

[0085]

In some embodiments, the compositions of the present invention include about 0.1 wt % to about 90 wt % of one or more peroxycarboxylic acids. In other embodiments, the compositions of the present invention include about 1 wt % to about 25 wt % of one or more peroxycarboxylic acids. In yet other embodiments, the compositions of the present invention include about 5 wt % to about 10 wt % of one or more peroxycarboxylic acids. In some embodiments, the compositions of the present invention include about 1 wt % to about 25 wt % of peroxyacetic acid. In other embodiments, the compositions of the present invention include about 0.1 wt % to about 10 wt % of peroxyoctanoic acid. In still yet other embodiments, the compositions of the present invention include a mixture of about 5 wt % peroxyacetic acid, and about 1.5 wt % peroxyoctanoic acid.

[0086]

Surfactants

[0087]

In some embodiments, the compositions of the present invention include a surfactant. Surfactants suitable for use with the compositions of the present invention include, but are not limited to, nonionic surfactants, anionic surfactants, and zwitterionic surfactants. In some embodiments, the compositions of the present invention include about 10 wt % to about 50 wt % of a surfactant. In other embodiments the compositions of the present invention include about 15 wt % to about 30% of a surfactant. In still yet other embodiments, the compositions of the present invention include about 25 wt % of a surfactant. In some embodiments, the compositions of the present invention include about 100 ppm to about 1000 ppm of a surfactant.

[0088]

Nonionic Surfactants

[0089]

Suitable nonionic surfactants suitable for use with the compositions of the present invention include alkoxylated surfactants. Suitable alkoxylated surfactants include EO/PO copolymers, capped EO/PO copolymers, alcohol alkoxylates, capped alcohol alkoxylates, mixtures thereof, or the like. Suitable alkoxylated surfactants for use as solvents include EO/PO block copolymers, such as the Pluronic and reverse Pluronic surfactants; alcohol alkoxylates, such as Dehypon LS-54 (R-(EO)5(PO)4) and Dehypon LS-36 (R-(EO)3(PO)6); and capped alcohol alkoxylates, such as Plurafac LF221 and Tegoten EC11; mixtures thereof, or the like.

[0090]

Semi-Polar Nonionic Surfactants

[0091]

The semi-polar type of nonionic surface active agents are another class of nonionic surfactant useful in compositions of the present invention. Semi-polar nonionic surfactants include the amine oxides, phosphine oxides, sulfoxides and their alkoxylated derivatives.

[0092]

Amine oxides are tertiary amine oxides corresponding to the general formula:

[0093]


wherein the arrow is a conventional representation of a semi-polar bond; and, R1, R2, and R3may be aliphatic, aromatic, heterocyclic, alicyclic, or combinations thereof. Generally, for amine oxides of detergent interest, R1is an alkyl radical of from about 8 to about 24 carbon atoms; R2and R3are alkyl or hydroxyalkyl of 1-3 carbon atoms or a mixture thereof; R2and R3can be attached to each other, e.g. through an oxygen or nitrogen atom, to form a ring structure; R4is an alkylene or a hydroxyalkylene group containing 2 to 3 carbon atoms; and n ranges from 0 to about 20. An amine oxide can be generated from the corresponding amine and an oxidizing agent, such as hydrogen peroxide.

[0094]

Useful water soluble amine oxide surfactants are selected from the octyl, decyl, dodecyl, isododecyl, coconut, or tallow alkyl di-(lower alkyl) amine oxides, specific examples of which are octyldimethylamine oxide, nonyldimethylamine oxide, decyldimethylamine oxide, undecyldimethylamine oxide, dodecyldimethylamine oxide, iso-dodecyldimethyl amine oxide, tridecyldimethylamine oxide, tetradecyldimethylamine oxide, pentadecyldimethylamine oxide, hexadecyldimethylamine oxide, heptadecyldimethylamine oxide, octadecyldimethylaine oxide, dodecyldipropylamine oxide, tetradecyldipropylamine oxide, hexadecyldipropylamine oxide, tetradecyldibutylamine oxide, octadecyldibutylamine oxide, bis(2-hydroxyethyl)dodecylamine oxide, bis(2-hydroxyethyl)-3-dodecoxy-1-hydroxypropylamine oxide, dimethyl-(2-hydroxydodecyl)amine oxide, 3,6,9-trioctadecyldimethylamine oxide and 3-dodecoxy-2-hydroxypropyldi-(2-hydroxyethyl)amine oxide.

[0095]

Anionic Surfactants

[0096]

Anionic sulfate surfactants suitable for use in the present compositions include alkyl ether sulfates, alkyl sulfates, the linear and branched primary and secondary alkyl sulfates, alkyl ethoxysulfates, fatty oleyl glycerol sulfates, alkyl phenol ethylene oxide ether sulfates, the C5-C17acyl-N—(C1-C4alkyl) and —N—(C1-C2hydroxyalkyl) glucamine sulfates, and sulfates of alkylpolysaccharides such as the sulfates of alkylpolyglucoside, and the like. Also included are the alkyl sulfates, alkyl poly(ethyleneoxy) ether sulfates and aromatic poly(ethyleneoxy) sulfates such as the sulfates or condensation products of ethylene oxide and nonyl phenol (usually having 1 to 6 oxyethylene groups per molecule).

[0097]

Anionic sulfonate surfactants suitable for use in the present compositions also include alkyl sulfonates, the linear and branched primary and secondary alkyl sulfonates, and the aromatic sulfonates with or without substituents.

[0098]

Anionic carboxylate surfactants suitable for use in the present compositions include carboxylic acids (and salts), such as alkanoic acids (and alkanoates), ester carboxylic acids (e.g. alkyl succinates), ether carboxylic acids, and the like. Such carboxylates include alkyl ethoxy carboxylates, alkyl aryl ethoxy carboxylates, alkyl polyethoxy polycarboxylate surfactants and soaps (e.g. alkyl carboxyls). Secondary carboxylates useful in the present compositions include those which contain a carboxyl unit connected to a secondary carbon. The secondary carbon can be in a ring structure, e.g. as in p-octyl benzoic acid, or as in alkyl-substituted cyclohexyl carboxylates. The secondary carboxylate surfactants typically contain no ether linkages, no ester linkages and no hydroxyl groups. Further, they typically lack nitrogen atoms in the head-group (amphiphilic portion). Suitable secondary soap surfactants typically contain 11-13 total carbon atoms, although more carbons atoms (e.g., up to 16) can be present. Suitable carboxylates also include acylamino acids (and salts), such as acylgluamates, acyl peptides, sarcosinates (e.g. N-acyl sarcosinates), taurates (e.g. N-acyl taurates and fatty acid amides of methyl tauride), and the like.

[0099]

Suitable anionic surfactants include alkyl or alkylaryl ethoxy carboxylates of the following formula:
R—O—(CH2CH2O)n(CH2)m—CO2X  (3)
in which R is a C8to C22alkyl group or

[0100]


in which R1is a C4-C16alkyl group; n is an integer of 1-20; m is an integer of 1-3; and X is a counter ion, such as hydrogen, sodium, potassium, lithium, ammonium, or an amine salt such as monoethanolamine, diethanolamine or triethanolamine. In some embodiments, n is an integer of 4 to 10 and m is 1. In some embodiments, R is a C8-C16alkyl group. In some embodiments, R is a C12-C14alkyl group, n is 4, and m is 1.

[0101]

In other embodiments, R is

[0102]


and R1is a C6-C12alkyl group. In still yet other embodiments, R1is a C9alkyl group, n is 10 and m is 1.

[0103]

Such alkyl and alkylaryl ethoxy carboxylates are commercially available. These ethoxy carboxylates are typically available as the acid forms, which can be readily converted to the anionic or salt form. Commercially available carboxylates include, Neodox 23-4, a C12-13alkyl polyethoxy (4) carboxylic acid (Shell Chemical), and Emcol CNP-110, a C9alkylaryl polyethoxy (10) carboxylic acid (Witco Chemical). Carboxylates are also available from Clariant, e.g. the product Sandopan® DTC, a C13alkyl polyethoxy (7) carboxylic acid.

[0104]

Amphoteric Surfactants

[0105]

Amphoteric, or ampholytic, surfactants contain both a basic and an acidic hydrophilic group and an organic hydrophobic group. These ionic entities may be any of anionic or cationic groups described herein for other types of surfactants. A basic nitrogen and an acidic carboxylate group are the typical functional groups employed as the basic and acidic hydrophilic groups. In a few surfactants, sulfonate, sulfate, phosphonate or phosphate provide the negative charge.

[0106]

Amphoteric surfactants can be broadly described as derivatives of aliphatic secondary and tertiary amines, in which the aliphatic radical may be straight chain or branched and wherein one of the aliphatic substituents contains from about 8 to 18 carbon atoms and one contains an anionic water solubilizing group, e.g., carboxy, sulfo, sulfato, phosphato, or phosphono. Amphoteric surfactants are subdivided into two major classes known to those of skill in the art and described in “Surfactant Encyclopedia” Cosmetics & Toiletries, Vol. 104 (2) 69-71 (1989). The first class includes acyl/dialkyl ethylenediamine derivatives (e.g. 2-alkyl hydroxyethyl imidazoline derivatives) and their salts. The second class includes N-alkylamino acids and their salts. Some amphoteric surfactants can be envisioned as fitting into both classes.

[0107]

Amphoteric surfactants can be synthesized by methods known to those of skill in the art. For example, 2-alkyl hydroxyethyl imidazoline is synthesized by condensation and ring closure of a long chain carboxylic acid (or a derivative) with dialkyl ethylenediamine. Commercial amphoteric surfactants are derivatized by subsequent hydrolysis and ring-opening of the imidazoline ring by alkylation—for example with chloroacetic acid or ethyl acetate. During alkylation, one or two carboxy-alkyl groups react to form a tertiary amine and an ether linkage with differing alkylating agents yielding different tertiary amines.

[0108]

Long chain imidazole derivatives having application in the present invention generally have the general formula:

[0109]


wherein R is an acyclic hydrophobic group containing from about 8 to 18 carbon atoms and M is a cation to neutralize the charge of the anion, generally sodium. Commercially prominent imidazoline-derived amphoterics that can be employed in the present compositions include for example: Cocoamphopropionate, Cocoamphocarboxy-propionate, Cocoamphoglycinate, Cocoamphocarboxy-glycinate, Cocoamphopropyl-sulfonate, and Cocoamphocarboxy-propionic acid. Amphocarboxylic acids can be produced from fatty imidazolines in which the dicarboxylic acid functionality of the amphodicarboxylic acid is diacetic acid and/or dipropionic acid.

[0110]

The carboxymethylated compounds (glycinates) described herein above frequently are called betaines. Betaines are a special class of amphoteric discussed herein below in the section entitled, Zwitterion Surfactants.

[0111]

Long chain N-alkylamino acids are readily prepared by reaction RNH2, in which R=C8-C18straight or branched chain alkyl, fatty amines with halogenated carboxylic acids. Alkylation of the primary amino groups of an amino acid leads to secondary and tertiary amines. Alkyl substituents may have additional amino groups that provide more than one reactive nitrogen center. Most commercial N-alkylamine acids are alkyl derivatives of beta-alanine or beta-N(2-carboxyethyl) alanine Examples of commercial N-alkylamino acid ampholytes having application in this invention include alkyl beta-amino dipropionates, RN(C2H4COOM)2and RNHC2H4COOM. In an embodiment, R can be an acyclic hydrophobic group containing from about 8 to about 18 carbon atoms, and M is a cation to neutralize the charge of the anion.

[0112]

Suitable amphoteric surfactants include those derived from coconut products such as coconut oil or coconut fatty acid. Additional suitable coconut derived surfactants include as part of their structure an ethylenediamine moiety, an alkanolamide moiety, an amino acid moiety, e.g., glycine, or a combination thereof; and an aliphatic substituent of from about 8 to 18 (e.g., 12) carbon atoms. Such a surfactant can also be considered an alkyl amphodicarboxylic acid. These amphoteric surfactants can include chemical structures represented as: C12-alkyl-C(O)—NH—CH2—CH2—N+(CH2—CH2—CO2Na)2—CH2—CH2—OH or C12-alkyl-C(O)—N(H)—CH2—CH2—N+(CH2—CO2Na)2—CH2—CH2—OH. Disodium cocoampho dipropionate is one suitable amphoteric surfactant and is commercially available under the tradename Miranol™ FBS from Rhodia Inc., Cranbury, N.J. Another suitable coconut derived amphoteric surfactant with the chemical name disodium cocoampho diacetate is sold under the tradename Mirataine™ JCHA, also from Rhodia Inc., Cranbury, N.J.

[0113]

A typical listing of amphoteric classes, and species of these surfactants, is given in U.S. Pat. No. 3,929,678 issued to Laughlin and Heuring on Dec. 30, 1975. Further examples are given in “Surface Active Agents and Detergents” (Vol. I and II by Schwartz, Perry and Berch).

[0114]

Zwitterionic Surfactants

[0115]

Zwitterionic surfactants can be thought of as a subset of the amphoteric surfactants and can include an anionic charge. Zwitterionic surfactants can be broadly described as derivatives of secondary and tertiary amines, derivatives of heterocyclic secondary and tertiary amines, or derivatives of quaternary ammonium, quaternary phosphonium or tertiary sulfonium compounds. Typically, a zwitterionic surfactant includes a positive charged quaternary ammonium or, in some cases, a sulfonium or phosphonium ion; a negative charged carboxyl group; and an alkyl group. Zwitterionics generally contain cationic and anionic groups which ionize to a nearly equal degree in the isoelectric region of the molecule and which can develop strong “inner-salt” attraction between positive-negative charge centers. Examples of such zwitterionic synthetic surfactants include derivatives of aliphatic quaternary ammonium, phosphonium, and sulfonium compounds, in which the aliphatic radicals can be straight chain or branched, and wherein one of the aliphatic substituents contains from 8 to 18 carbon atoms and one contains an anionic water solubilizing group, e.g., carboxy, sulfonate, sulfate, phosphate, or phosphonate. Betaine and sultaine surfactants are exemplary zwitterionic surfactants for use herein.

[0116]

A general formula for these compounds is:

[0117]


wherein R1contains an alkyl, alkenyl, or hydroxyalkyl radical of from 8 to 18 carbon atoms having from 0 to 10 ethylene oxide moieties and from 0 to 1 glyceryl moiety; Y is selected from the group consisting of nitrogen, phosphorus, and sulfur atoms; R2is an alkyl or monohydroxy alkyl group containing 1 to 3 carbon atoms; x is 1 when Y is a sulfur atom and 2 when Y is a nitrogen or phosphorus atom, R3is an alkylene or hydroxy alkylene or hydroxy alkylene of from 1 to 4 carbon atoms and Z is a radical selected from the group consisting of carboxylate, sulfonate, sulfate, phosphonate, and phosphate groups.

[0118]

Examples of zwitterionic surfactants having the structures listed above include: 4-[N,N-di(2-hydroxyethyl)-N-octadecylammonio]-butane-1-carboxylate; 5-[S-3-hydroxypropyl-S-hexadecylsulfonio]-3-hydroxypentane-1-sulfate; 3-[P,P-diethyl-P-3,6,9-trioxatetracosanephosphonio]-2-hydroxypropane-1-phosphate; 3-[N,N-dipropyl-N-3-dodecoxy-2-hydroxypropyl-ammonio]-propane-1-phosphonate; 3-(N,N-dimethyl-N-hexadecylammonio)-propane-1-sulfonate; 3-(N,N-dimethyl-N-hexadecylammonio)-2-hydroxy-propane-1-sulfonate; 4-[N,N-di(2(2-hydroxyethyl)-N(2-hydroxydodecyl)ammonio]-butane-1-carboxylate; 3-[S-ethyl-S-(3-dodecoxy-2-hydroxypropyl)sulfonio]-propane-1-phosphate; 3-[P,P-dimethyl-P-dodecylphosphonio]-propane-1-phosphonate; and S[N,N-di(3-hydroxypropyl)-N-hexadecylammonio]-2-hydroxy-pentane-1-sulfate. The alkyl groups contained in said detergent surfactants can be straight or branched and saturated or unsaturated.

[0119]

The zwitterionic surfactant suitable for use in the present compositions includes a betaine of the general structure:

[0120]


These surfactant betaines typically do not exhibit strong cationic or anionic characters at pH extremes nor do they show reduced water solubility in their isoelectric range. Unlike “external” quaternary ammonium salts, betaines are compatible with anionics. Examples of suitable betaines include coconut acylamidopropyldimethyl betaine; hexadecyl dimethyl betaine; C12-14acylamidopropylbetaine; C8-14acylamidohexyldiethyl betaine; 4-C14-16acylmethylamidodiethylammonio-1-carboxybutane; C16-18acylamidodimethylbetaine; C12-16acylamidopentanediethylbetaine; and C12-16acylmethylamidodimethylbetaine.

[0121]

Sultaines useful in the present invention include those compounds having the formula (R(R1)2N+R2SO3−, in which R is a C6-C18hydrocarbyl group, each R1is typically independently C1-C3alkyl, e.g. methyl, and R2is a C1-C6hydrocarbyl group, e.g. a C1-C3alkylene or hydroxyalkylene group.

[0122]

A typical listing of zwitterionic classes, and species of these surfactants, is given in U.S. Pat. No. 3,929,678 issued to Laughlin and Heuring on Dec. 30, 1975. Further examples are given in “Surface Active Agents and Detergents” (Vol. I and II by Schwartz, Perry and Berch).

[0123]

In an embodiment, the compositions of the present invention include a betaine. For example, the compositions can include cocoamidopropyl betaine.

[0124]

Other Additional Ingredients

[0125]

In some embodiments, the compositions of the present invention can include other additional ingredients. Additional ingredients suitable for use with the compositions of the present invention include, but are not limited to, acidulants, stabilizing agents, e.g., chelating agents or sequestrants, buffers, detergents, wetting agents, defoaming agents, thickeners, foaming agents solidification agents, aesthetic enhancing agents (i.e., colorants, odorants, or perfumes) and other cleaning agents. These additional ingredients can be preformulated with the compositions of the invention or added to the system before, after, or substantially simultaneously with the addition of the compositions of the present invention. Additionally, the compositions can be used in conjunction with one or more conventional cleaning agents, e.g., an alkaline detergent.

[0126]

Acidulants

[0127]

In some embodiments, the compositions of the present invention include an acidulant. The acidulant can act as a catalyst for conversion of carboxylic acid to peroxycarboxylic acid. The acidulant can be effective to form a concentrate composition with pH of about 1 or less. The acidulant can be effective to form a use composition with pH of about 5, about 5 or less, about 4, about 4 or less, about 3, about 3 or less, about 2, about 2 or less, or the like. In some embodiments, an acidulant can be used to lower the pH of an alkaline cleaning solution to a pH of about 10, about 10 or less, about 9, about 9 or less, about 8, about 8 or less, about 7, about 7 or less, about 6, or about 6 or less. In an embodiment, the acidulant includes an inorganic acid. Suitable inorganic acids include, but are not limited to, sulfuric acid, sodium bisulfate, phosphoric acid, nitric acid, hydrochloric acid. In some embodiments, the acidulant includes an organic acid. Suitable organic acids include, but are not limited to, methane sulfonic acid, ethane sulfonic acid, propane sulfonic acid, butane sulfonic acid, xylene sulfonic acid, benzene sulfonic acid, formic acid, acetic acid, mono, di, or tri-halocarboyxlic acids, picolinic acid, dipicolinic acid, and mixtures thereof. In some embodiments, the compositions of the present invention are free or substantially free of a phosphorous based acid.

[0128]

In some embodiments, acidulant selected can also function as a stabilizing agent. Thus, the compositions of the present invention can be substantially free of an additional stabilizing agent.

[0129]

In certain embodiments, the present composition includes about 0.5 to about 80 wt-% acidulant, about 1 to about 50 wt %, about 5 to about 30 wt-% acidulant, or about 7 to about 14 wt-% acidulant. It is to be understood that all values and ranges between these values and ranges are encompassed by the compositions of the present invention.

[0130]

Stabilizing Agents

[0131]

In some embodiments, the compositions of the present invention include one or more stabilizing agents. The stabilizing agents can be used, for example, to stabilize the peracid and hydrogen peroxide and prevent the premature oxidation of this constituent within the composition of the invention.

[0132]

In some embodiments, an acidic stabilizing agent can be used. Thus, in some embodiments, the compositions of the present invention can be substantially free of an additional acidulant.

[0133]

Suitable stabilizing agents include, for example, chelating agents or sequestrants. Suitable sequestrants include, but are not limited to, organic chelating compounds that sequester metal ions in solution, particularly transition metal ions. Such sequestrants include organic amino- or hydroxy-polyphosphonic acid complexing agents (either in acid or soluble salt forms), carboxylic acids (e.g., polymeric polycarboxylate), hydroxycarboxylic acids, aminocarboxylic acids, or heterocyclic carboxylic acids, e.g., pyridine-2,6-dicarboxylic acid (dipicolinic acid).

[0134]

In some embodiments, the compositions of the present invention include dipicolinic acid as a stabilizing agent. Compositions including dipicolinic acid can be formulated to be free or substantially free of phosphorous. It has also been observed that the inclusion of dipicolinic acid in a composition of the present invention aids in achieving the phase stability of the compositions, compared to other conventional stabilizing agents, e.g., 1-hydroxy ethylidene-1,1-diphosphonic acid (CH3C(PO3H2)2OH) (HEDP).

[0135]

In other embodiments, the sequestrant can be or include phosphonic acid or phosphonate salt. Suitable phosphonic acids and phosphonate salts include HEDP; ethylenediamine tetrakis methylenephosphonic acid (EDTMP); diethylenetriamine pentakis methylenephosphonic acid (DTPMP); cyclohexane-1,2-tetramethylene phosphonic acid; amino[tri(methylene phosphonic acid)]; (ethylene diamine[tetra methylene-phosphonic acid)]; 2-phosphene butane-1,2,4-tricarboxylic acid; or salts thereof, such as the alkali metal salts, ammonium salts, or alkyloyl amine salts, such as mono, di, or tetra-ethanolamine salts; picolinic, dipicolinic acid or mixtures thereof. In some embodiments, organic phosphonates, e.g, HEDP are included in the compositions of the present invention.

[0136]

Commercially available food additive chelating agents include phosphonates sold under the trade name DEQUEST® including, for example, 1-hydroxyethylidene-1,1-diphosphonic acid, available from Monsanto Industrial Chemicals Co., St. Louis, Mo., as DEQUEST® 2010; amino(tri(methylenephosphonic acid)), (N[CH2PO3H2]3), available from Monsanto as DEQUEST® 2000; ethylenediamine[tetra(methylenephosphonic acid)] available from Monsanto as DEQUEST® 2041; and 2-phosphonobutane-1,2,4-tricarboxylic acid available from Mobay Chemical Corporation, Inorganic Chemicals Division, Pittsburgh, Pa., as Bayhibit AM.

[0137]

The sequestrant can be or include aminocarboxylic acid type sequestrant. Suitable aminocarboxylic acid type sequestrants include the acids or alkali metal salts thereof, e.g., amino acetates and salts thereof. Suitable aminocarboxylates include N-hydroxyethylaminodiacetic acid; hydroxyethylenediaminetetraacetic acid, nitrilotriacetic acid (NTA); ethylenediaminetetraacetic acid (EDTA); N-hydroxyethyl-ethylenediaminetriacetic acid (HEDTA); diethylenetriaminepentaacetic acid (DTPA); and alanine-N,N-diacetic acid; and the like; and mixtures thereof.

[0138]

The sequestrant can be or include a polycarboxylate. Suitable polycarboxylates include, for example, polyacrylic acid, maleic/olefin copolymer, acrylic/maleic copolymer, polymethacrylic acid, acrylic acid-methacrylic acid copolymers, hydrolyzed polyacrylamide, hydrolyzed polymethacrylamide, hydrolyzed polyamide-methacrylamide copolymers, hydrolyzed polyacrylonitrile, hydrolyzed polymethacrylonitrile, hydrolyzed acrylonitrile-methacrylonitrile copolymers, polymaleic acid, polyfumaric acid, copolymers of acrylic and itaconic acid, phosphino polycarboxylate, acid or salt forms thereof, mixtures thereof, and the like.

[0139]

In certain embodiments, the present composition includes about 0.01 to about 10 wt-% stabilizing agent, about 0.4 to about 4 wt-% stabilizing agent, about 0.6 to about 3 wt-% stabilizing agent, about 1 to about 2 wt-% stabilizing agent. It is to be understood that all values and ranges within these values and ranges are encompassed by the present invention.

[0140]

Wetting or Defoaming Agents

[0141]

Also useful in the compositions of the invention are wetting and defoaming agents. Wetting agents function to increase the surface contact or penetration activity of the antimicrobial composition of the invention. Wetting agents which can be used in the composition of the invention include any of those constituents known within the art to raise the surface activity of the composition of the invention.

[0142]

Generally, defoamers which can be used in accordance with the invention include silica and silicones; aliphatic acids or esters; alcohols; sulfates or sulfonates; amines or amides; halogenated compounds such as fluorochlorohydrocarbons; vegetable oils, waxes, mineral oils as well as their sulfonated or sulfated derivatives; fatty acids and/or their soaps such as alkali, alkaline earth metal soaps; and phosphates and phosphate esters such as alkyl and alkaline diphosphates, and tributyl phosphates among others; and mixtures thereof.

[0143]

In some embodiments, the compositions of the present invention can include antifoaming agents or defoamers which are of food grade quality given the application of the method of the invention. To this end, one of the more effective antifoaming agents includes silicones. Silicones such as dimethyl silicone, glycol polysiloxane, methylphenol polysiloxane, trialkyl or tetralkyl silanes, hydrophobic silica defoamers and mixtures thereof can all be used in defoaming applications. Commercial defoamers commonly available include silicones such as Ardefoam® from Armour Industrial Chemical Company which is a silicone bound in an organic emulsion; Foam Kill® or Kresseo® available from Krusable Chemical Company which are silicone and non-silicone type defoamers as well as silicone esters; and Anti-Foam A® and DC-200 from Dow Corning Corporation which are both food grade type silicones among others. These defoamers can be present at a concentration range from about 0.01 wt-% to 20 wt-%, from about 0.01 wt-% to 5 wt-%, or from about 0.01 wt-% to about 1 wt-%.

[0144]

Thickening or Gelling Agents

[0145]

The compositions of the present invention can include any of a variety of known thickeners. Suitable thickeners include natural gums such as xanthan gum, guar gum, or other gums from plant mucilage; polysaccharide based thickeners, such as alginates, starches, and cellulosic polymers (e.g., carboxymethyl cellulose); polyacrylates thickeners; and hydrocolloid thickeners, such as pectin. In an embodiment, the thickener does not leave contaminating residue on the surface of an object. For example, the thickeners or gelling agents can be compatible with food or other sensitive products in contact areas. Generally, the concentration of thickener employed in the present compositions or methods will be dictated by the desired viscosity within the final composition. However, as a general guideline, the viscosity of thickener within the present composition ranges from about 0.1 wt-% to about 5 wt-%, from about 0.1 wt-% to about 1.0 wt-%, or from about 0.1 wt-% to about 0.5 wt-%.

[0146]

Solidification Agent

[0147]

The present compositions can include a solidification agent, which can participate in maintaining the compositions in a solid form. In some embodiments, the solidification agent can form and/or maintain the composition as a solid. In other embodiments, the solidification agent can solidify the composition without unacceptably detracting from the eventual release of the sulfonated peroxycarboxylic acid. The solidification agent can include, for example, an organic or inorganic solid compound having a neutral inert character or making a functional, stabilizing or detersive contribution to the present composition. Suitable solidification agents include solid polyethylene glycol (PEG), solid polypropylene glycol, solid EO/PO block copolymer, amide, urea (also known as carbamide), nonionic surfactant (which can be employed with a coupler), anionic surfactant, starch that has been made water-soluble (e.g., through an acid or alkaline treatment process), cellulose that has been made water-soluble, inorganic agent, poly(maleic anhydride/methyl vinyl ether), polymethacrylic acid, other generally functional or inert materials with high melting points, mixtures thereof, and the like;

[0148]

Suitable glycol solidification agents include a solid polyethylene glycol or a solid polypropylene glycol, which can, for example, have molecular weight of about 1,400 to about 30,000. In certain embodiments, the solidification agent includes or is solid PEG, for example PEG 1500 up to PEG 20,000. In certain embodiments, the PEG includes PEG 1450, PEG 3350, PEG 4500, PEG 8000, PEG 20,000, and the like. Suitable solid polyethylene glycols are commercially available from Union Carbide under the tradename CARBOWAX.

[0149]

Suitable amide solidification agents include stearic monoethanolamide, lauric diethanolamide, stearic diethanolamide, stearic monoethanol amide, cocodiethylene amide, an alkylamide, mixtures thereof, and the like. In an embodiment, the present composition can include glycol (e.g., PEG) and amide.

[0150]

Suitable nonionic surfactant solidification agents include nonylphenol ethoxylate, linear alkyl alcohol ethoxylate, ethylene oxide/propylene oxide block copolymer, mixtures thereof, or the like. Suitable ethylene oxide/propylene oxide block copolymers include those sold under the Pluronic tradename (e.g., Pluronic 108 and Pluronic F68) and commercially available from BASF Corporation. In some embodiments, the nonionic surfactant can be selected to be solid at room temperature or the temperature at which the composition will be stored or used. In other embodiments, the nonionic surfactant can be selected to have reduced aqueous solubility in combination with the coupling agent. Suitable couplers that can be employed with the nonionic surfactant solidification agent include propylene glycol, polyethylene glycol, mixtures thereof, or the like.

[0151]

Suitable anionic surfactant solidification agents include linear alkyl benzene sulfonate, alcohol sulfate, alcohol ether sulfate, alpha olefin sulfonate, mixtures thereof, and the like. In an embodiment, the anionic surfactant solidification agent is or includes linear alkyl benzene sulfonate. In an embodiment, the anionic surfactant can be selected to be solid at room temperature or the temperature at which the composition will be stored or used.

[0152]

Suitable inorganic solidification agents include phosphate salt (e.g., alkali metal phosphate), sulfate salt (e.g., magnesium sulfate, sodium sulfate or sodium bisulfate), acetate salt (e.g., anhydrous sodium acetate), Borates (e.g., sodium borate), Silicates (e.g., the precipitated or fumed forms (e.g., Sipernat 50® available from Degussa), carbonate salt (e.g., calcium carbonate or carbonate hydrate), other known hydratable compounds, mixtures thereof, and the like. In an embodiment, the inorganic solidification agent can include organic phosphonate compound and carbonate salt, such as an E-Form composition.

[0153]

In some embodiments, the compositions of the present invention can include any agent or combination of agents that provide a requisite degree of solidification and aqueous solubility can be included in the present compositions. In other embodiments, increasing the concentration of the solidification agent in the present composition can tend to increase the hardness of the composition. In yet other embodiments, decreasing the concentration of solidification agent can tend to loosen or soften the concentrate composition.

[0154]

In some embodiments, the solidification agent can include any organic or inorganic compound that imparts a solid character to and/or controls the soluble character of the present composition, for example, when placed in an aqueous environment. For example, a solidifying agent can provide controlled dispensing if it has greater aqueous solubility compared to other ingredients in the composition. Urea can be one such solidification agent. By way of further example, for systems that can benefit from less aqueous solubility or a slower rate of dissolution, an organic nonionic or amide hardening agent may be appropriate.

[0155]

In some embodiments, the compositions of the present invention can include a solidification agent that provides for convenient processing or manufacture of the present composition. For example, the solidification agent can be selected to form a composition that can harden to a solid form under ambient temperatures of about 30 to about 50° C. after mixing ceases and the mixture is dispensed from the mixing system, within about 1 minute to about 3 hours, or about 2 minutes to about 2 hours, or about 5 minutes to about 1 hour.

[0156]

The compositions of the present invention can include solidification agent at any effective amount. The amount of solidification agent included in the present composition can vary according to the type of composition, the ingredients of the composition, the intended use of the composition, the quantity of dispensing solution applied to the solid composition over time during use, the temperature of the dispensing solution, the hardness of the dispensing solution, the physical size of the solid composition, the concentration of the other ingredients, the concentration of the cleaning agent in the composition, and other like factors. Suitable amounts can include about 1 to about 99 wt-%, about 1.5 to about 85 wt-%, about 2 to about 80 wt-%, about 10 to about 45 wt-%, about 15% to about 40 wt-%, about 20% to about 30 wt-%, about 30% to about 70%, about 40% to about 60%, up to about 50 wt-%, about 40% to about 50%

[0157]

Carrier

[0158]

In some embodiments, the compositions of the present invention include a carrier. The carrier provides a medium which dissolves, suspends, or carries the other components of the composition. For example, the carrier can provide a medium for solubilization, suspension, or production of a sulfonated peroxycarboxylic acid and for forming an equilibrium mixture. The carrier can also function to deliver and wet the composition of the invention on an object. To this end, the carrier can contain any component or components that can facilitate these functions.

[0159]

In some embodiments, the carrier includes primarily water which can promote solubility and work as a medium for reaction and equilibrium. The carrier can include or be primarily an organic solvent, such as simple alkyl alcohols, e.g., ethanol, isopropanol, n-propanol, benzyl alcohol, and the like. Polyols are also useful carriers, including glycerol, sorbitol, and the like.

[0160]

Suitable carriers include glycol ethers. Suitable glycol ethers include diethylene glycol n-butyl ether, diethylene glycol n-propyl ether, diethylene glycol ethyl ether, diethylene glycol methyl ether, diethylene glycol t-butyl ether, dipropylene glycol n-butyl ether, dipropylene glycol methyl ether, dipropylene glycol ethyl ether, dipropylene glycol propyl ether, dipropylene glycol tert-butyl ether, ethylene glycol butyl ether, ethylene glycol propyl ether, ethylene glycol ethyl ether, ethylene glycol methyl ether, ethylene glycol methyl ether acetate, propylene glycol n-butyl ether, propylene glycol ethyl ether, propylene glycol methyl ether, propylene glycol n-propyl ether, tripropylene glycol methyl ether and tripropylene glycol n-butyl ether, ethylene glycol phenyl ether (commercially available as DOWANOL EPH™ from Dow Chemical Co.), propylene glycol phenyl ether (commercially available as DOWANOL PPH™ from Dow Chemical Co.), and the like, or mixtures thereof. Additional suitable commercially available glycol ethers (all of which are available from Union Carbide Corp.) include Butoxyethyl PROPASOL™, Butyl CARBITOL™ acetate, Butyl CARBITOL™, Butyl CELLOSOLVE™ acetate, Butyl CELLOSOLVE™, Butyl DIPROPASOL™, Butyl PROPASOL™, CARBITOL™ PM-600, CARBITOL™ Low Gravity, CELLOSOLVE™ acetate, CELLOSOLVE™, Ester EEP™, FILMER IBT™, Hexyl CARBITOL™, Hexyl CELLOSOLVE™, Methyl CARBITOL™, Methyl CELLOSOLVE™ acetate, Methyl CELLOSOLVE™, Methyl DIPROPASOL™ Methyl PROPASOL™ acetate, Methyl PROPASOL™, Propyl CARBITOL™, Propyl CELLOSOLVE™, Propyl DIPROPASOL™ and Propyl PROPASOL™.

[0161]

In some embodiments, the carrier makes up a large portion of the composition of the invention and may be the balance of the composition apart from the sulfonated peroxycarboxylic acid, oxidizing agent, additional ingredients, and the like. The carrier concentration and type will depend upon the nature of the composition as a whole, the environmental storage, and method of application including concentration of the sulfonated peroxycarboxylic acid, among other factors. Notably the carrier should be chosen and used at a concentration which does not inhibit the efficacy of the sulfonated peroxycarboxylic acid in the composition of the invention for the intended use, e.g., bleaching, sanitizing, disinfecting.

[0162]

In certain embodiments, the present composition includes about 5 to about 90 wt-% carrier, about 10 to about 80 wt % carrier, about 20 to about 60 wt % carrier, or about 30 to about 40 wt % carrier. It is to be understood that all values and ranges between these values and ranges are encompassed by the present invention.

[0000]

Use Compositions

[0163]

The compositions of the present invention include concentrate compositions and use compositions. For example, a concentrate composition can be diluted, for example with water, to form a use composition. In an embodiment, a concentrate composition can be diluted to a use solution before to application to an object. For reasons of economics, the concentrate can be marketed and an end user can dilute the concentrate with water or an aqueous diluent to a use solution.

[0164]

The level of active components in the concentrate composition is dependent on the intended dilution factor and the desired activity of the sulfonated peroxycarboxylic acid compound. Generally, a dilution of about 1 fluid ounce to about 10 gallons of water to about 10 fluid ounces to about 1 gallon of water is used for aqueous compositions of the present invention. In some embodiments, higher use dilutions can be employed if elevated use temperature (greater than 25° C.) or extended exposure time (greater than 30 seconds) can be employed. In the typical use locus, the concentrate is diluted with a major proportion of water using commonly available tap or service water mixing the materials at a dilution ratio of about 3 to about 40 ounces of concentrate per 100 gallons of water.

[0165]

In some embodiments, when used in a laundry application, the concentrated compositions can be diluted at a dilution ratio of about 0.1 g/L to about 100 g/L concentrate to diluent, about 0.5 g/L to about 10.0 g/L concentrate to diluent, about 1.0 g/L to about 4.0 g/L concentrate to diluent, or about 1.0 g/L to about 2.0 g/L concentrate to diluent.

[0166]

In other embodiments, a use composition can include about 0.01 to about 10 wt-% of a concentrate composition and about 90 to about 99.99 wt-% diluent; or about 0.1 to about 1 wt-% of a concentrate composition and about 99 to about 99.9 wt-% diluent.

[0167]

Amounts of an ingredient in a use composition can be calculated from the amounts listed above for concentrate compositions and these dilution factors. In some embodiments, for example when used in a laundry application, the concentrated compositions of the present invention are diluted such that the sulfopercarboxylic acid is present at from about 20 ppm to about 80 ppm. In other embodiments, the concentrated compositions of the present invention are diluted such that the sulfopercarboxylic acid is present at about 20 ppm, about 40 ppm, about 60 ppm, about 80 ppm, about 500 ppm, about 1000 ppm, or about 10,000 to about 20,000 ppm. It is to be understood that all values and ranges between these values and ranges are encompassed by the present invention.

[0000]

Methods Employing the Sulfoperoxycarboxylic Acid Compounds and Compositions

[0168]

In some aspects, the present invention includes methods of using the sulfoperoxycarboxylic acid compounds and compositions of the present invention. In some embodiments, these methods employ the antimicrobial and/or bleaching activity of the sulfoperoxycarboxylic acid. For example, the invention includes a method for reducing a microbial population, a method for reducing the population of a microorganism on skin, a method for treating a disease of skin, a method for reducing an odor, and/or a method for bleaching. These methods can operate on an article, surface, in a body or stream of water or a gas, or the like, by contacting the article, surface, body, or stream with a sulfoperoxycarboxylic acid compound or composition of the invention. Contacting can include any of numerous methods for applying a compound or composition of the invention, such as spraying the compounds or compositions, immersing the article in the compounds or compositions, foam or gel treating the article with the compounds or composition, or a combination thereof.

[0169]

In some aspects, a composition of the present invention includes an amount of sulfoperoxycarboxylic acid of the present invention effective for killing one or more of the food-borne pathogenic bacteria associated with a food product, including, but not limited to, Salmonella typhimurium, Salmonella javiana, Campylobacter jejuni, Listeria monocytogenes, and Escherichia coli O157:H7, yeast, and mold. In some embodiments, the compositions of the present invention include an amount of sulfoperoxycarboxylic acid effective for killing one or more of the pathogenic bacteria associated with a health care surfaces and environments including, but not limited to, Salmonella typhimurium, Staphylococcus aureus, methicilin resistant Staphylococcus aureus, Salmonella choleraesurus, Pseudomonas aeruginosa, Escherichia coli, mycobacteria, yeast, and mold. The compounds and compositions of the present invention have activity against a wide variety of microorganisms such as Gram positive (for example, Listeria monocytogenes or Staphylococcus aureus) and Gram negative (for example, Escherichia coli or Pseudomonas aeruginosa) bacteria, yeast, molds, bacterial spores, viruses, etc. The compounds and compositions of the present invention, as described above, have activity against a wide variety of human pathogens. The present compounds and compositions can kill a wide variety of microorganisms on a food processing surface, on the surface of a food product, in water used for washing or processing of food product, on a health care surface, or in a health care environment.

[0170]

The compounds of the invention can be used for a variety of domestic or industrial applications, e.g., to reduce microbial or viral populations on a surface or object or in a body or stream of water. The compounds can be applied in a variety of areas including kitchens, bathrooms, factories, hospitals, dental offices and food plants, and can be applied to a variety of hard or soft surfaces having smooth, irregular or porous topography. Suitable hard surfaces include, for example, architectural surfaces (e.g., floors, walls, windows, sinks, tables, counters and signs); eating utensils; hard-surface medical or surgical instruments and devices; and hard-surface packaging. Such hard surfaces can be made from a variety of materials including, for example, ceramic, metal, glass, wood or hard plastic. Suitable soft surfaces include, for example paper; filter media; hospital and surgical linens and garments; soft-surface medical or surgical instruments and devices; and soft-surface packaging. Such soft surfaces can be made from a variety of materials including, for example, paper, fiber, woven or nonwoven fabric, soft plastics and elastomers. The compounds of the invention can also be applied to soft surfaces such as food and skin (e.g., a hand). The present compounds can be employed as a foaming or nonfoaming environmental sanitizer or disinfectant.

[0171]

The compounds and compositions of the invention can be included in products such as sterilants, sanitizers, disinfectants, preservatives, deodorizers, antiseptics, fungicides, germicides, sporicides, virucides, detergents, bleaches, hard surface cleaners, hand soaps, waterless hand sanitizers, and pre- or post-surgical scrubs.

[0172]

The compounds can also be used in veterinary products such as mammalian skin treatments or in products for sanitizing or disinfecting animal enclosures, pens, watering stations, and veterinary treatment areas such as inspection tables and operation rooms. The present compounds can be employed in an antimicrobial foot bath for livestock or people. The compounds of the present invention can also be employed as an antimicrobial teat dip.

[0173]

In some aspects, the compounds of the present invention can be employed for reducing the population of pathogenic microorganisms, such as pathogens of humans, animals, and the like. The compounds exhibit activity against pathogens including fungi, molds, bacteria, spores, and viruses, for example, S. aureus, E. coli, Streptococci, Legionella, Pseudomonas aeruginosa, mycobacteria, tuberculosis, phages, or the like. Such pathogens can cause a variety of diseases and disorders, including mastitis or other mammalian milking diseases, tuberculosis, and the like. The compounds of the present invention can reduce the population of microorganisms on skin or other external or mucosal surfaces of an animal. In addition, the present compounds can kill pathogenic microorganisms that spread through transfer by water, air, or a surface substrate. The compounds need only be applied to the skin, other external or mucosal surfaces of an animal water, air, or surface.

[0174]

In some embodiments, the compounds and compositions of the present invention can be used to reduce the population of prions on a surface. Prions are proteinaceous infections particles free of nucleic acid. Prions are known to cause several brain diseases including kuru, Creutzfeldt-Jakob disease, Gerstmann-Straussler-Scheinker disease, and fatal familial insomnia in humans; scrapie in sheep; bovine spongiform encephalopathy (Mad Cow Disease) in cattle; transmissible mink encephalopathy in mink; chronic wasting disease in deer and elk; and feline spongiform encephalopathy in cats. These diseases lead to symptoms including dementia, ataxia, behavioral disturbances, dizziness, involuntary movement, and death. Prions can be transmitted by exposure to infected tissue and brain tissue, spinal cord tissue, pituitary tissue, and eye tissue in particular. In some embodiments, the compounds and compositions of the present invention can be used to reduce a population of prions according to a method as described in U.S. Pat. No. 7,470,655, the entire contents of which are hereby incorporated by reference.

[0175]

The antimicrobial compounds can also be used on foods and plant species to reduce surface microbial populations; used at manufacturing or processing sites handling such foods and plant species; or used to treat process waters around such sites. For example, the compounds can be used on food transport lines (e.g., as belt sprays); boot and hand-wash dip-pans; food storage facilities; anti-spoilage air circulation systems; refrigeration and cooler equipment; beverage chillers and warmers, blanchers, cutting boards, third sink areas, and meat chillers or scalding devices. The compounds of the invention can be used to treat produce transport waters such as those found in flumes, pipe transports, cutters, slicers, blanchers, retort systems, washers, and the like. Particular foodstuffs that can be treated with compounds of the invention include eggs, meats, seeds, leaves, fruits and vegetables. Particular plant surfaces include both harvested and growing leaves, roots, seeds, skins or shells, stems, stalks, tubers, corms, fruit, and the like. The compounds may also be used to treat animal carcasses to reduce both pathogenic and non-pathogenic microbial levels.

[0176]

The antimicrobial compounds can also be used to treat waste water where both its antimicrobial function and its oxidant properties can be utilized. Aside from the microbial issues surrounding waste water, it is often rich in malodorous compounds of reduced sulfur, nitrogen or phosphorous. A strong oxidant such as the present invention converts these compounds efficiently to their odor free derivatives e.g. the sulfates, phosphates and amine oxides. These same properties are very useful in the pulp and paper industry where the property of bleaching is also of great utility.

[0177]

In some aspects, the compounds of the present invention can be employed for epoxidations. The polymer industry is a major consumer of peracids, especially peroxyacetic acid but the typical equilibrium peroxyacetic acid also includes some strong acid residues which are problematic for the epoxide derivatives. A stable peracid isolate is therefore potentially of great utility in this industry.

[0178]

In some aspects, the compounds and compositions of the present invention are useful in the cleaning or sanitizing of containers, processing facilities, or equipment in the food service or food processing industries. The compounds and compositions have particular value for use on food packaging materials and equipment, and especially for cold or hot aseptic packaging. Examples of process facilities in which the compound of the invention can be employed include a milk line dairy, a continuous brewing system, food processing lines such as pumpable food systems and beverage lines, etc. Food service wares can be disinfected with the compound of the invention. For example, the compounds can also be used on or in ware wash machines, low temperature ware wash machines, dishware, bottle washers, bottle chillers, warmers, third sink washers, cutting areas (e.g., water knives, slicers, cutters and saws) and egg washers. Particular treatable surfaces include packaging such as cartons, bottles, films and resins; dish ware such as glasses, plates, utensils, pots and pans; ware wash and low temperature ware wash machines; exposed food preparation area surfaces such as sinks, counters, tables, floors and walls; processing equipment such as tanks, vats, lines, pumps and hoses (e.g., dairy processing equipment for processing milk, cheese, ice cream and other dairy products); and transportation vehicles. Containers include glass bottles, PVC or polyolefin film sacks, cans, polyester, PEN or PET bottles of various volumes (100 ml to 2 liter, etc.), one gallon milk containers, paper board juice or milk containers, etc.

[0179]

The compounds and compositions can also be used on or in other industrial equipment and in other industrial process streams such as heaters, cooling towers, boilers, retort waters, rinse waters, aseptic packaging wash waters, and the like. The compounds can be used to treat microbes and odors in recreational waters such as in pools, spas, recreational flumes and water slides, fountains, and the like.

[0180]

A filter containing the compound can reduce the population of microorganisms in air and liquids. Such a filter can remove water and air-born pathogens such as Legionella.

[0181]

The present compounds can be employed for reducing the population of microbes, fruit flies, or other insect larva on a drain or other surface.

[0182]

The compounds of the present invention can also be employed by dipping food processing equipment into the use solution, soaking the equipment for a time sufficient to sanitize the equipment, and wiping or draining excess solution off the equipment, The compound may be further employed by spraying or wiping food processing surfaces with the use solution, keeping the surfaces wet for a time sufficient to sanitize the surfaces, and removing excess solution by wiping, draining vertically, vacuuming, etc.

[0183]

The compounds of the present invention may also be used in a method of sanitizing hard surfaces such as institutional type equipment, utensils, dishes, health care equipment or tools, and other hard surfaces.

[0184]

The antimicrobial compounds can be applied to microbes or to soiled or cleaned surfaces using a variety of methods. These methods can operate on an object, surface, in a body or stream of water or a gas, or the like, by contacting the object, surface, body, or stream with a compound of the invention. Contacting can include any of numerous methods for applying a compound, such as spraying the compound, immersing the object in the compound, foam or gel treating the object with the compound, or a combination thereof.

[0185]

A concentrate or use concentration of a compound of the present invention can be applied to or brought into contact with an object by any conventional method or apparatus for applying an antimicrobial or cleaning compound to an object. For example, the object can be wiped with, sprayed with, foamed on, and/or immersed in the compound, or a use solution made from the compound. The compound can be sprayed, foamed, or wiped onto a surface; the compound can be caused to flow over the surface, or the surface can be dipped into the compound. Contacting can be manual or by machine. Food processing surfaces, food products, food processing or transport waters, and the like can be treated with liquid, foam, gel, aerosol, gas, wax, solid, or powdered stabilized compounds according to the invention, or solutions containing these compounds.

[0186]

Laundry Applications

[0187]

In some aspects, the compounds can also be employed in sanitizing articles, e.g., textiles, which have become contaminated. The articles are contacted with the compounds of the invention at use temperatures in the range of about 4° C. to 80° C., for a period of time effective to sanitize, disinfect, and/or sterilize the articles. In some embodiments, the compounds of the present invention can be used to bleach and/or sanitize articles at a temperature of about 30° C. to about 50° C. or about 40° C. For example, in some embodiments, the compounds of the present invention can be injected into the wash or rinse water of a laundry machine and contacted with contaminated fabric for a time sufficient to sanitize the fabric. In some embodiments, the contaminated fabric is contacted with the compounds and compositions of the present invention for about 5 to about 30 minutes. Excess solution can then be removed by rinsing or centrifuging the fabric.

[0188]

In some aspects, the compounds of the present invention can be used as a bleaching agent to whiten or lighten or remove stains from a substrate, e.g., hard surface, or fabric. The compounds of the present invention can be used to bleach or remove stains from any conventional textile, including but not limited to, cotton, poly-cotton blends, wool, and polyesters. The compounds of the present invention are also textile tolerant, i.e., they will not substantially degrade the textile to which they are applied. The compounds of the present invention can be used to remove a variety of stains from a variety of sources including, but not limited to, lipstick, pigment/sebum, pigment/lanolin, soot, olive oil, mineral oil, motor oil, blood, make-up, red wine, tea, ketchup, and combinations thereof.

[0189]

In some embodiments, the compounds of the present invention can be used as a low odor, acidic bleaching agent. In some embodiments, the compounds of the present invention can be used as a low odor bleaching agent at a neutral pH, i.e., about 7. In some embodiments, the compounds of the present invention can be used at an alkaline pH, e.g., about 8, 9, or 10. In still yet other embodiments, the compounds of the present invention can be used as an all in one sour, bleaching and sterilant product.

[0190]

The compounds and compositions of the present invention can be used alone to treat the articles, e.g., textiles, or can be used in conjunction with conventional detergents suitable for the articles to be treated. The compounds and compositions of the invention can be used with conventional detergents in a variety of ways, for example, the compounds and compositions of the invention can be formulated with a conventional detergent. In other embodiments, the compounds and compositions of the invention can be used to treat the article as a separate additive from a conventional detergent. When used as a separate additive, the compounds and compositions of the present invention can contact the article to be treated at any time. For example, the compounds and compositions of the invention can contact the article before, after, or substantially simultaneously as the articles are contacted with the selected detergent.

[0191]

In some embodiments, when used as a bleaching and/or sanitizing/disinfecting agent for a laundry application, a compound or mixture of compounds of the present invention will be present in a composition at about 5 ppm to about 1000 ppm. In other embodiments, when used as a bleaching and/or sanitizing/disinfecting agent for a laundry application, a compound or mixture of compounds of the present invention will be present in a composition at about 25 ppm to about 100 ppm. In other embodiments, when used as a bleaching and/or sanitizing/disinfecting agent in a laundry application, a compound or mixture thereof of the present invention will be present at about 20, about 40, about 60, or about 80 ppm. In still yet other embodiments, a compound or mixture of compounds of the present invention itself will be used as a bleaching agent, i.e., the compound or mixture of compounds will be present in a composition at about 100 wt %.

[0000]

Clean in Place

[0192]

Other hard surface cleaning applications for the compounds of the present invention include clean-in-place systems (CIP), clean-out-of-place systems (COP), washer-decontaminators, sterilizers, textile laundry machines, ultra and nano-filtration systems and indoor air filters. COP systems can include readily accessible systems including wash tanks, soaking vessels, mop buckets, holding tanks, scrub sinks, vehicle parts washers, non-continuous batch washers and systems, and the like. CIP systems include the internal components of tanks, lines, pumps and other process equipment used for processing typically liquid product streams such as beverages, milk, juices.

[0193]

Generally, the actual cleaning of the in-place system or other surface (i.e., removal of unwanted offal therein) is accomplished with a different material such as a formulated detergent which is introduced with heated water. After this cleaning step, the instant composition would be applied or introduced into the system at a use solution concentration in unheated, ambient temperature water. CIP typically employ flow rates on the order of about 40 to about 600 liters per minute, temperatures from ambient up to about 70° C., and contact times of at least about 10 seconds, for example, about 30 to about 120 seconds. The present composition can remain in solution in cold (e.g., 40° F./4° C.) water and heated (e.g., 140° F./60° C.) water. Although it is not normally necessary to heat the aqueous use solution of the present composition, under some circumstances heating may be desirable to further enhance its activity. These materials are useful at any conceivable temperatures.

[0194]

A method of sanitizing substantially fixed in-place process facilities includes the following steps. The use solution of the invention is introduced into the process facilities at a temperature in the range of about 4° C. to 60° C. After introduction of the use solution, the solution is held in a container or circulated throughout the system for a time sufficient to sanitize the process facilities (e.g., to kill undesirable microorganisms). After the surfaces have been sanitized by means of the present composition, the use solution is drained. Upon completion of the sanitizing step, the system optionally may be rinsed with other materials such as potable water. The composition can be circulated through the process facilities for 10 minutes or less.

[0195]

The present method can include delivering the present composition via air delivery to the clean-in-place or other surfaces such as those inside pipes and tanks This method of air delivery can reduce the volume of solution required.

[0000]

Contacting a Food Product with the Sulfoperoxycarboxylic Acid Compounds

[0196]

In some aspects, the present invention provides methods for contacting a food product with a sulfoperoxycarboxylic acid compounds or composition employing any method or apparatus suitable for applying such a compound or composition. For example, in some embodiments, the food product is contacted by a compound of the present invention with a spray of the compound, by immersion in the compound, by foam or gel treating with the compound. Contact with a spray, a foam, a gel, or by immersion can be accomplished by a variety of methods known to those of skill in the art for applying antimicrobial agents to food. Contacting the food product can occur in any location in which the food product might be found, such as field, processing site or plant, vehicle, warehouse, store, restaurant, or home. These same methods can also be adapted to apply the compounds of the present invention to other objects.

[0197]

The present methods require a certain minimal contact time of the compound with food product for occurrence of significant antimicrobial effect. The contact time can vary with concentration of the use compound, method of applying the use compound, temperature of the use compound, amount of soil on the food product, number of microorganisms on the food product, type of antimicrobial agent, or the like. The exposure time can be at least about 5 to about 15 seconds. In some embodiments, the exposure time is about 15 to about 30 seconds. In other embodiments, the exposure time is at least about 30 seconds.

[0198]

In some embodiments, the method for washing a food product employs a pressure spray including a compound of the present invention. During application of the spray solution on the food product, the surface of the food product can be moved with mechanical action, e.g., agitated, rubbed, brushed, etc. Agitation can be by physical scrubbing of the food product, through the action of the spray solution under pressure, through sonication, or by other methods. Agitation increases the efficacy of the spray solution in killing micro-organisms, perhaps due to better exposure of the solution into the crevasses or small colonies containing the micro-organisms. The spray solution, before application, can also be heated to a temperature of about 15 to 20° C., for example, about 20 to 60° C. to increase efficacy. The spray stabilized compound can be left on the food product for a sufficient amount of time to suitably reduce the population of microorganisms, and then rinsed, drained, or evaporated off the food product.

[0199]

Application of the material by spray can be accomplished using a manual spray wand application, an automatic spray of food product moving along a production line using multiple spray heads to ensure complete contact, or other spray apparatus. One automatic spray application involves the use of a spray booth. The spray booth substantially confines the sprayed compound to within the booth. The production line moves the food product through the entryway into the spray booth in which the food product is sprayed on all its exterior surfaces with sprays within the booth. After a complete coverage of the material and drainage of the material from the food product within the booth, the food product can then exit the booth. The spray booth can include steam jets that can be used to apply the stabilized compounds of the invention. These steam jets can be used in combination with cooling water to ensure that the treatment reaching the food product surface is less than 65° C., e.g., less than 60° C. The temperature of the spray on the food product is important to ensure that the food product is not substantially altered (cooked) by the temperature of the spray. The spray pattern can be virtually any useful spray pattern.

[0200]

Immersing a food product in a liquid stabilized compound of the present invention can be accomplished by any of a variety of methods known to those of skill in the art. For example, the food product can be placed into a tank or bath containing the stabilized compound. Alternatively, the food product can be transported or processed in a flume of the stabilized compound. The washing solution can be agitated to increase the efficacy of the solution and the speed at which the solution reduces micro-organisms accompanying the food product. Agitation can be obtained by conventional methods, including ultrasonics, aeration by bubbling air through the solution, by mechanical methods, such as strainers, paddles, brushes, pump driven liquid jets, or by combinations of these methods. The washing solution can be heated to increase the efficacy of the solution in killing micro-organisms. After the food product has been immersed for a time sufficient for the desired antimicrobial effect, the food product can be removed from the bath or flume and the stabilized compound can be rinsed, drained, or evaporated off the food product.

[0201]

In other embodiments, a food product can be treated with a foaming version a the compound of the present invention. The foam can be prepared by mixing foaming surfactants with the washing solution at time of use. The foaming surfactants can be nonionic, anionic or cationic in nature. Examples of useful surfactant types include, but are not limited to the following: alcohol ethoxylates, alcohol ethoxylate carboxylate, amine oxides, alkyl sulfates, alkyl ether sulfate, sulfonates, including, for example, alkyl aryl sulfonates, quaternary ammonium compounds, alkyl sarcosines, betaines and alkyl amides. The foaming surfactant is typically mixed at time of use with the washing solution. Use solution levels of the foaming agents is from about 50 ppm to about 2.0 wt-%. At time of use, compressed air can be injected into the mixture, then applied to the food product surface through a foam application device such as a tank foamer or an aspirated wall mounted foamer.

[0202]

In some embodiments, a food product can be treated with a thickened or gelled version of a compound of the present invention. In the thickened or gelled state the washing solution remains in contact with the food product surface for longer periods of time, thus increasing the antimicrobial efficacy. The thickened or gelled solution will also adhere to vertical surfaces. The compound or the washing solution can be thickened or gelled using existing technologies such as: xanthan gum, polymeric thickeners, cellulose thickeners, or the like. Rod micelle forming systems such as amine oxides and anionic counter ions could also be used. The thickeners or gel forming agents can be used either in the concentrated product or mixing with the washing solution, at time of use. Typical use levels of thickeners or gel agents range from about 100 ppm to about 10 wt-%.

[0000]

Methods for Beverage, Food, and Pharmaceutical Processing

[0203]

The sulfoperoxycarboxylic acid compounds of the present invention can be used in the manufacture of beverage, food, and pharmaceutical materials including fruit juice, dairy products, malt beverages, soybean-based products, yogurts, baby foods, bottled water products, teas, cough medicines, drugs, and soft drinks The compounds of the present invention can be used to sanitize, disinfect, act as a sporicide for, or sterilize bottles, pumps, lines, tanks and mixing equipment used in the manufacture of such beverages. Further, the sulfoperoxycarboxylic acid antimicrobial compounds of the present invention can be used in aseptic, cold filling operations in which the interior of the food, beverage, or pharmaceutical container is sanitized or sterilized prior to filling. In such operations, a container can be contacted with the sanitizing sulfoperoxycarboxylic acid compound, typically using a spray, dipping, or filling device to intimately contact the inside of the container with the sulfoperoxycarboxylic acid compound, for a sufficient period of time to reduce microorganism populations within the container. The container can then be emptied of the amount of sanitizer or sterilant used. After emptying, the container can be rinsed with potable water or sterilized water and again emptied. After rinsing, the container can be filled with the beverage, food, or pharmaceutical. The container can then be sealed, capped or closed and then packed for shipment for ultimate sale. The sealed container can be autoclaved or retorted for added microorganism kill.

[0204]

In food, beverage, or pharmaceutical manufacturing, fungal microorganisms of the genus Chaetomium or Arthrinium, and spores or bacteria of the genus Bacillus spp. can be a significant problem in bottling processes, particularly in cold aseptic bottling processes. The sulfoperoxycarboxylic acid compounds of the present invention can be used for the purpose of controlling or substantially reducing (by more than a 5 log10reduction) the number of Chaetomium or Arthrinium or Bacillus microorganisms in beverage or food or pharmaceutical bottling lines using cold aseptic bottling techniques.

[0205]

In such techniques, metallic, aluminum or steel cans can be filled, glass bottles or containers can be filled, or plastic (PET or PBT or PEN) bottles, and the like can be filled using cold aseptic filling techniques. In such processes, the sulfoperoxycarboxylic acid materials of the invention can be used to sanitize the interior of beverage containers prior to filling with the carbonated (or noncarbonated) beverage. Typical carbonated beverages in this application include, but are not limited to, cola beverages, fruit beverages, ginger ale beverages, root beer beverages, iced tea beverages which may be non-carbonated, and other common beverages considered soft drinks. The sulfoperoxycarboxylic acid materials of the invention can be used to sanitize both the tanks, lines, pumps, and other equipment used for the manufacture and storage of the soft drink material and also used in the bottling or containers for the beverages. In an embodiment, the sulfoperoxycarboxylic acid sanitizing materials are useful for killing both bacterial and fungal microorganisms that can be present on the surfaces of the production equipment and beverage containers.

[0206]

The sulfoperoxycarboxylic acid compounds of the present invention can effectively kill microorganisms (e.g., >1 log10or up to about 5 log10reduction in 30 seconds) from a concentration level of at least about 50 ppm, for example, about 150, about 500 ppm or about 1000 ppm of a sulfoperoxycarboxylic acid compound. In an embodiment, the sulfoperoxycarboxylic acid compound, excluding water, would be present at a concentration of about 0.001 to about 1 wt-%, for example, about 0.01 to about 0.15 wt-%, or about 0.05 to about 0.1 wt-%.

[0207]

All acid, salt, base and other ionic and non-ionic forms of the compounds described are included as compounds of the invention. For example, if a compound is shown as an acid herein, the salt forms of the compound are also included. Likewise, if a compound is shown as a salt, the acid and/or basic forms are also included.

[0208]

Those skilled in the art will recognize, or be able to ascertain using no more than routine experimentation, numerous equivalents to the specific procedures, embodiments, claims, and examples described herein. Such equivalents are considered to be within the scope of this invention and covered by the claims appended hereto. The contents of all references, patents, and patent applications cited throughout this application are hereby incorporated by reference. The invention is further illustrated by the following examples, which should not be construed as further limiting.

EXAMPLES

[0209]

Some of the following Examples were performed using a sulfonated peroleic acid product. Without wishing to be bound by any particular theory, it is thought that the peracid formed from a commercially available sulfonated oleic acid starting material includes a mixture of the compounds of the present invention. It is thought that this is due, in part, to the nature of the sulfonated oleic acid starting material. That is, it is thought that because the sulfonated oleic acid starting material is derived from naturally occurring sources, it is not chemically pure, i.e., does not contain only one form of the sulfonated oleic acid. Thus, without wishing to be bound by any particular theory it is thought that sulfonated peroleic acid (hereinafter referred to as the “sulfonated peroleic acid product”) used in these examples included a mixture of about 20-25 wt % Compound A (10-Hydroxy-9-sulfooctadecaneperoxoic acid) about 20-25 wt % Compound N (10,11-dihydroxy-9-sulfooctadecaneperoxoic acid), about 20-25 wt % Compound I (9-Hydroxy-10-sulfooctadecaneperoxoic acid), and about 20-25 wt % Compound O (8,9-dihydroxy-10-sulfooctadecaneperoxoic acid). The remainder of the peracid composition is thought to include about 5 to about 10 wt % of a mixture of these compounds.

Example 1

Use of a Sulfoperoxycarboxylic Acid as a Coupler Under High Level Disinfection Application Conditions

[0210]

Peroxyoctanoic acid (POOA) stability experiments were performed under high level disinfection (HLD) conditions to evaluate the stability of a composition of the present invention including a sulfonated peroleic acid product, compared with known commercially available disinfectants.

[0211]

Octave FS®, a peroxyoctanoic containing product, commercially available from Ecolab Inc. was tested against Formulas A, B, and C, and mixtures thereof. Formula A was a mixture of: 2.5 wt % Dequest 2010 (commercially available from thermPhos), peracid grade; 61 wt % hydrogen peroxide (35%); 2.50 wt % sulfuric acid (98%); 6.0 wt % octanoic acid, 19 wt % Hostapur SAS (40%) (commercially available from Clariant); and 9.00 wt % SXS-40 (commercially available from Stepan Company). Formula B was a mixture of about 20 wt % of the sulfonated peroleic acid product, about 10% peroctanoic acid, about 15 wt % octanoic acid, and about 0.5 wt % hydrogen peroxide. Formula C was a mixture of about 25 wt % of the sulfonated peroleic acid product, and about 0.50 wt % hydrogen peroxide. Mixtures of Formulas A, B, and C were also tested. The test solutions were diluted with DI water to make a solution with about 1000 ppm POOA present at a pH of about 6.5. The table below shows the five solutions tested, and the amount of sulfonated peroleic acid product, POOA, and hydrogen peroxide available in ppm in each of the solutions as tested.

[0212]

Test solution composition
#1#2#3#4#5
Octave FS ® (wt %)10.000000
Formula A (wt %)04.2000
Formula B (wt %)000.880.550.33
Formula C (wt %)000.220.550.77
Final weight with100100100100100
added DI water (g)
Sulfonated peroleic00231824592554
acid product (ppm)
POOA (ppm)10001000800500300
H2O280508928555555

[0213]

The samples were stored at 40° C. and the amount of POOA present was measured by high performance liquid chromatography at the selected times. The following table shows the results of the HPLC analysis of the samples at various times.

[0214]

Test solution
12345
POOAPOOAPOOAPOOAPOOA
Time(ppm)(ppm)(ppm)(ppm)(ppm)
(hrs)
0490870700470290
6310730590400250
240120350240150
48010240160100
720018013080
9 days002000

[0215]

These results are also graphically depicted in FIG. 1. As can be seen from the table above, and FIG. 1, the test solutions including a compound of the present invention, i.e., test solutions 3, 4, and 5, lost less POOA over the course of the first 24 hours compared to the other two test solutions. Even after 48 hours, a greater amount of POOA remained in the test solutions including a compound of the present invention, than in the other solutions tested. For each of the test solutions including a compound of the present invention, it was shown that the loss of POOA in the solutions was not linear, and that the decomposition rate of POOA slowed down dramatically at higher ratios of the sulfonated peroleic acid product to POOA.

[0216]

Another stability study was performed to evaluate the stability of a composition of the present invention at an elevated temperature, i.e., 100° F. A solution including about 2 wt % of the sulfonated peroleic acid product, and about 55 wt % H2O2, among other ingredients, was used. The amount of the sulfonated peroleic acid product and H2O2was measured over the course of 48 days. The results are shown in FIG. 2. As can be seen in this figure, the peracid compound, the sulfonated peroleic acid product maintained its activity over the course of the trial, even at this accelerated temperature.

[0217]

Yet another stability study was performed to evaluate the stability of peroxyoctanoic acid when contacted by a compound of the present invention, i.e., the sulfonated peroleic acid product, under ambient conditions. For this study, the pH was constant at about 6 to about 6.5. Three different formulas were tested for this study: Formula D included about 5 grams of a mixture of the sulfonated peroleic acid product, peroxyoctanoic acid, hydrogen peroxide and sodium cumene sulfate, among other ingredients; Formula E included about 0.5 g of a mixture of the sulfonated peroleic acid product, and peroxyoctanoic acid; and Formula F included Octave®, commercially available from Ecolab Inc. The amount of active peroxyoctanoic acid available at various times over the course of 15 days was measured. The results are shown in the table below.

[0218]

0590640570
1550590500
4470480360
6420400240
8410360160
1136027070
1431023030

[0219]

These results are also graphically depicted in FIG. 3. As can be seen in this table, and figure, the formulas including a compound of the present invention, i.e., Formulas D and E, retained a higher level of POOA over the course of 15 days. Thus, without wishing to be bound by any particular theory it is thought that the addition of a composition including compounds of the present invention acts to stabilize other percarboxylic acids present in the composition.

Example 2

Use of a Sulfoperoxycarboxylic Acid as a Bleaching Agent

[0220]

The use of a compound of the present invention as a bleaching agent was evaluated. The soil removal ability of the cleaning composition was determined by washing with artificially soiled fabric swatches. The soiled swatches were purchased from a manufacturer or distributor (e.g. Test Fabrics, Inc., West Pittston, Pa.). Soil types such as olive oil, sebum, makeup, wine are characteristic of natural soils found in laundry applications.

[0221]

Soiled swatches were washed with the cleaning composition in a device such as a Terg-o-tometer (United States Testing Co., Hoboken, N.J.). The Terg-o-tometer is a laboratory washing device that consists of multiple pots that reside in a single temperature-controlled water bath, with overhead agitators under time and speed control. Wash test parameters include: wash temperature, wash duration, pH, mechanical agitation, dose of cleaning composition, water hardness, wash formula, and cloth/liquor ratio. After completing the appropriate exposure times the fabric samples were removed. The test chemistries were immediately flushed, and the swatches rinsed with cold synthetic 5 grain water until 5 cycles of fills and rinses were complete. The swatches were then laid flat and dried overnight on white polyester-cotton towels before reflectance readings were taken using a spectrophotometer, e.g., Hunter Color Quest XE (reflectance) Spectrophotometer.

[0222]

To determine the percent (%) soil removal (SR), e.g., bleaching ability, the reflectance of the fabric sample was measured on a spectrophotometer. The “L value” is a direct reading supplied by the spectrophotometer. L generally is indicative of broad visible spectrum reflectance, where a value of 100% would be absolute white. The % soil removal is calculated from the difference between the initial (before washing) lightness (L) value and the final L value (after washing):
SR=((Lfinal−Linitial)/(96−Linitial))×100%

[0223]

A bleach test was run comparing a composition including a sulfonated peroleic acid product with the following commercially available bleaching/cleaning compositions: Ozonit®, and Oxysan® both available from Ecolab Inc. Ozonit® represents a 4.5% peroxyacetic acid product while Oxysan® represents a 0.6% peroxyoctanoic acid product. Formula A was a composition including about 2 wt % of sulfonated peroleic acid product, about 5 wt % peroxyacetic acid and about 1.5 wt % of peroxyoctanoic acid. Formula A was used at a concentration of 1200 ppm and further treated in two of the three cases with additional acetic acid to produce lowered pH test solutions. Ozonit® was used at a concentration of 2000 ppm. Oxysan® was tested at concentrations of 1272 and 2545 ppm. All of the wash solutions were further treated with Detergent MP® and TurboCharge II®, both available from Ecolab Inc and used at 500 and 750 ppm respectively. The bath/wash temperature was maintained at 100° F. Detergent MP® and TurboCharge II provide a common alkaline builder detergent base. The results from the bleaching test are shown in the table below.

[0224]

Conc. of
Stain Removal (%) from CottonBleach
Bleach TypeTeaRed WineKetchup(mg/L)pH
Ozonit ®29592720009.50
Oxysan ®21661912728.00
1X Oxysan ®33692725458.00
Formula A, pH 8.037733810008.00
Formula A, pH 8.538724110008.50
Formula A, pH 9.034693610009.00

[0225]

As can be seen from this table, the compositions of Formula A achieved a higher percent stain removal than the commercially available solutions tested at all pH levels tested, especially in the cases of ketchup which represents a hydrophobic stain.

[0226]

Formula A was also tested using a full scale Wash Wheel Bleach Test. The test was run with a commercial 35 lb side loading washing machine (UniMac UX35PVXR). Multipaneled pre-stained test sheets (Ecomon No. 1 & Ecomon No. 4 included 14 bleachable and 12 pigment/unbleachable stained panels) were added to the otherwise empty machine before initiating a 20 minute washing program (typically at 40° C.). The chemistries were added in a 30 second staggered sequence via the overhead dispensing cups once the machine was filled with 48 L of 5 grain synthetic soft water. The initial chemistry added was the alkaline detergent product (about 84 g of Turboemulsion, commercially available from Ecolab Inc.). The bleaching chemistry was then added ˜30 seconds after the surfactant-caustic blend and a 20 minute wash cycle was begun. After the wash cycle the machine was drained and 3 rinse cycles were executed. The sheets were retrieved and air dried at 70° F., overnight before measuring each swatch panel's reflectance with a Hunter Color Quest XE (reflectance) Spectrophotometer (UV filter “IN”). The results are shown in the table below.

[0227]

5Stain
L Reflectance ValuesRemoval, %
InitialTE +TE +
stained3Turboemulsion6FormulaTE +FormulaTE +
swatchonlyA4OzonitAOzonit
Bleachable Stains
Tea on CO80.6480.6791.6288.9471.4854.01
Tea on PES/CO80.4379.2491.1788.2868.9650.40
Red Wine on CO73.6685.9493.0392.0686.7282.36
Red Wine on PES/CO, aged73.8282.9891.7190.6780.6775.97
Coffee on CO78.9290.7293.1092.7083.0480.70
Coffee on PES/CO79.7792.2793.6293.2885.3483.26
Black currant juice on CO64.4088.3793.5492.8292.2289.94
Black currant juice on63.5785.0293.3092.0791.6887.89
PES/CO
Blood on CO IEC 456, aged46.2589.5190.6091.4889.1490.91
Blood on CO IEC 456, not49.3693.0693.8193.8895.3095.45
aged
Blood/Milk/Ink on CO45.2661.0051.1051.8911.5113.06
Cocoa on CO IEC 456, not75.2283.7683.4783.2739.7238.74
aged
Blood/Milk/Soot on CO58.8786.3769.8770.5429.6231.44
Egg/Soot on CO62.8776.3676.0975.8139.8939.05
average/1466.6583.9586.1585.5568.9565.23
Unbleachable Stains
Pigment/Lanolin on CO71.9880.9078.6380.5527.7035.68
Pigment/Lanolin on PES/66.6582.3873.2881.7222.6051.35
CO
Pigment/Sebum on CO73.1987.7084.0286.7647.4959.48
Pigment/Sebum on PES/70.6487.9777.8286.7428.3363.49
CO
Soot/Olive Oil on CO47.9369.9062.4564.8730.2135.23
Soot/Olive Oil on PES/CO40.7762.8956.2358.5727.9932.23
Soot/Mineral Oil on CO59.7672.3568.9371.8025.3033.21
Soot/Mineral Oil on PES/55.6280.1573.8978.7845.2557.36
CO
Used Motor Oil on CO65.9173.0670.9971.7716.8919.47
Used Motor Oil on PES/CO61.1068.2764.0866.018.5314.08
Makeup on CO84.8190.0689.5090.1441.9447.63
Makeup on PES/CO85.1692.5791.9192.1462.2464.42
average/1270.8586.0181.4984.6232.0442.80
Notes:
3Turboemulsion (TE) is a commercially available all-in-one emulsion of alkaline metal chelators emulsified with a surfactant blend made by Ecolab, Inc. and was used in this test at 1750 ppm.
4Ozonit is a Peracetic acid-Hydrogen peroxide bleach disinfectant used at a concentration of 2000 ppm. Ozonit is a blend of Peracetic acid and Hydrogen peroxide made by Ecolab, Inc..
5The “Stain Removal, %” was calculated using the following formula: SR = ((Lfinal − Linitial)/(96 − Linitial)) × 100% CO: Cotton; PES/CO: Polyester-Cotton blend

[0228]

As can be seen from this table, Formula A averages superior bleaching to Ozonit®. Although the superiority on these “bleachable” stains is only 3.7 points (5.4%), on those stains which better resist wash removal e.g. tea, the difference was as many as 17 points (24%) higher.

[0229]

Another full scale wash testing was conducted using a wash wheel (full size side loading washing machine), but rather than individual soiled swatches this test utilized multipaneled sheets combining 14 “bleachable” stained swatches (Ecomon 4) and a second sheet which combined 12 “unbleachable” pigment/hydrocarbon stained swatches (Ecomon 1). These panels are custom made for Ecolab by wfk Testgewebe Gmbh of Bruggen, Germany. This extensive bleach test utilized a design experiment which varied concentrations sometimes simultaneously with temperatures etc. Following completion of the specified wash time, all Ecomon sheets were rinsed thoroughly, dried and their broad spectrum light reflectivities were measured, again with UV filtering to removal possible interference from optical brightener effects. Unlike the tergotometer data, the % stain removal wasn't calculated but was rather directly measured from the reflectance instrument (Minolta CM-2610d Spektrophotometer). A “Y” value representing broad spectrum reflectivity was reported. The higher the “Y” value, the whiter the material, and therefore, the greater the bleaching or stain removal.

[0230]

In this test, Formula A was compared to Ozonit®, Ozonit Super® (a 15% peroxyacetic acid product available from Ecolab) and Oxysan® these were variously combined with the following commercially available alkaline-builder cleaning agents: Triplex Emulsion®, available from Ecolab Inc.; Turbo Usona®, available from Ecolab Inc.; Ozonit Super®, available from Ecolab Inc.; and Oxysan®, available from Ecolab Inc. The results are shown in the tables below.

[0231]

Bleaching Results
Black
BlackCurrant
TeaTeaRed WineRed WineCoffeeCoffeeCurrantJuice
ononon COon PES/COononJuiceon
ProcedureCOPES/COagedagedCOPES/COon COPES/COAve.
1.5 ml/l72.770.075.474.680.284.682.584.178.0
2Triplex
Emulsion +
1 ml/l Formula A
Conditions:
15′ 40° C.
1.5 ml/l80.679.682.580.583.586.085.586.183.0
Triplex
Emulsion +
2 ml/l Formula A
Conditions:
15′ 40° C.
1.5 ml/l82.683.184.380.984.386.086.286.384.2
Triplex
Emulsion +
2.5 ml/l
Formula A
Conditions:
20′ 40° C.
1.5 ml/l78.579.082.282.184.886.286.786.583.3
Triplex
Emulsion +
1 ml/l Ozonit
Super
Conditions:
10′ 70° C.
4 ml/l3Turbo80.880.581.579.081.184.282.080.881.2
Usona + 2 ml/l
4Ozonit
Performance
Conditions:
20′ 40° C.
4 ml/l Turbo79.277.978.976.379.983.377.675.978.6
Usona + 4 ml/l
5Oxysan
Conditions:
20′ 40° C.
4 ml/l Turbo82.281.782.180.582.685.282.682.682.4
Usona + 2 ml/l
Formula A
Conditions:
15′ 40° C.
LSD1.831.92.41.10.81.71.81.9

[0232]

Bleaching results
1.5 ml/l4 ml/l
1.5 ml/l1.5 ml/l1.5 ml/lTriplex3Turbo4 ml/l4 ml/l
2TriplexTriplexTriplexEmulsion +Usona +TurboTurbo
Emulsion +Emulsion +Emulsion +1 ml/l2 ml/lUsona +Usona +
1 ml/l2 ml/l2.5 ml/lOzonit4Ozonit4 ml/l2 ml/l
Formula AFormula AFormula ASuperPerformance5OxysanFormula A
Conditions:Conditions:Conditions:Conditions:Conditions:Conditions:Conditions:
15′ 40° C.15′ 40° C.20′ 40° C.10′ 70° C.20′ 40° C.20′ 40° C.15′ 40° C.LSD
Pigment/54.355.656.867.357.556.654.86.1
Lanolin
on
CO
Pigment/53.451.448.860.646.144.946.25.8
Lanolin
on
PES/CO
Pigment/68.359.759.667.560.158.060.96.7
Sebum
on
CO
Pigment/66.054.254.773.453.250.554.36.3
Sebum
on
PES/CO
Soot/47.742.532.246.924.725.124.37.8
Olive
Oil
on
CO
Soot/33.828.524.238.415.714.413.09.6
Olive
Oil
on
PES/CO
Soot/36.934.336.034.033.430.630.64.5
Min. Oil
on
CO
Soot/42.443.935.846.631.032.737.78.2
Min. Oil
on
PES/CO
Used42.743.942.646.044.044.946.32.6
Motor
Oil
on
CO
Used37.734.733.736.432.233.533.81.6
Motor
Oil
on
PES/CO
Make75.374.175.784.173.372.473.54
up
on
CO
Make79.877.976.886.675.774.076.93.8
up
on
PES/CO
Lipstick87.687.487.387.785.986.987.31.4
on
CO
Lipstick3.0470618
on
PES/CO
Average53.250.148.157.345.644.846.05.6
Notes:
1Y-value refers to a reflectance value calculated by the Minolta CM-2610d Spektrophotometer. It is very similar to the L-value calculated by the Hunter Lab's Spectrophotometers.
2Triplex Emulsion is a commercially available all-in-one emulsion of alkaline metal chelators emulsified with a surfactant blend made by Ecolab, Inc. (Europe).
3Turbo Usona is a commercially available all-in-one emulsion of alkaline metal chelators emulsified with a surfactant blend made by Ecolab, Inc. (Europe).
4Ozonit Super is a Peracetic acid-Hydrogen peroxide bleach disinfectant, made by Ecolab, Inc. (Europe).
5Oxysan is a Peracetic acid-Hydrogen peroxide bleach disinfectant which also contains Peroxyoctanoic acid, and is made by Ecolab, Inc. (Europe). CO: Cotton PES/CO: Polyester-Cotton blend

[0233]

As can be seen from these results, overall the samples washed with compositions of the present invention, i.e., Formula A, achieved similar bleaching compared with commercially available bleaching agents.

Example 3

Use of a Sulfoperoxycarboxylic Acid as a Bleaching Agent

[0234]

A bleach test was run comparing a composition including a sulfoperoxycarboxylic acid of the present invention, i.e., 11-sulfoundecaneperoxoic acid (Compound D) with the following commercially available bleaching/cleaning compositions: Tsunami 100®, available from Ecolab Inc.; Oxonia Active®, available from Ecolab Inc.; hydrogen peroxide (35%); and PAP-70®, available from Solvay. These chemistries were used as is except for pH adjustments to pH 8 using sodium bicarbonate, and pH 12 by the addition of sodium hydroxide, in 5 grain hardwater.

[0235]

Fabric swatches soiled with tea, blood, or wine were used for this example. The soil swatches were washed using the same experimental procedure described above in Example 2. However, for this example, the soil swatches were washed for 10 minutes at 120° F. The pH of the wash solution for all samples was about 9. The percent soil removal (SR) was determined according to the method described above in Example 2. The following table shows the results of this study.

[0236]

Removal of Tea Stains
Composition91201037135056
Including
Compound D
Tsunami9120103477056
100 ®
Oxonia9120102741056
Active ®
H2O2(35%)9120102434056
PAP-7091201063138656
Water91201011056
(control)
Removal of Blood Stains
Composition91201090135056
Including
Compound D
Tsunami9120108177056
100 ®
Oxonia9120108041056
Active ®
H2O2(35%)9120108234056
PAP-7091201088138656
Water9120103600
(control)
Removal of Red Wine Stains
Composition91201062135056
including
Compound D
Tsunami9120105777056
100 ®
Oxonia9120104141056
Active ®
H2O2(35%)9120104534056
PAP-7091201074138656
Water91201036056
(control)

[0237]

As can be seen from this table, with respect to tea stains, the PAP-70® composition achieved the greatest soil removal. The composition containing a compound of the present invention achieved the next highest percent soil removal. With respect to blood stains, the composition containing the sulfoperoxycarboxylic acid of the present invention achieved the greatest soil removal. However, all concentrated oxidizers performed well in removing the blood stains. With respect to the red wine stains, the sulfoperoxycarboxylic acid of the present invention performed well compared to the PAP-70®.

Example 4

Stability Studies

[0238]

The stability of a sulfoperoxycarboxylic acid of the present invention, i.e., 11-sulfoundecaneperoxoic acid (Compound D), was compared to that of phthalimidoperoxyhexanoic acid (PAP). The stability data for the PAP sample were taken from U.S. Pat. No. 5,994,284, assigned to Clariant GmbH. Samples of the compound of the present invention were stored for four (4) weeks at various temperatures. The loss of active oxygen was measured by titrimetry. The results are shown in the table below.

[0239]

Compound D4Room Temp.0.78
Compound D4387.9
Compound D45015.7
PAP4251.4
PAP4402.0
PAP45012.0

[0240]

As can be seen from this table, the compound of the present invention was more stable, i.e., lost less active oxygen, at room temperature, i.e., about 23° C., than the PAP at 25° C.

Example 5

Bleaching Performance of Various Formulas of the Present Invention

[0241]

A test was run to compare the bleaching properties of compositions of the present invention with the following commercially available bleaching agents: Ozonit®, available from Ecolab Inc.; and PAP®, available from Clariant. The following compositions of the present invention were used: Formula A, which included about 25 wt % of the sulfonated peroleic acid product, about 70 wt % H2O2(35%), and about 5 wt % HEDP 60; Formula B which included about 24 wt % of a mixture of the sulfonated peroleic acid product and peroxyoctanoic acid, about 72 wt % H2O2(35%), and about 4 wt % HEDP 60; and Formula C which included about 20 wt % of a mixture of the sulfonated peroleic acid product and peroxyoctanoic acid, about 62 wt % H2O2(35%), about 4 wt % HEDP 60, and about 13 wt % acetic acid. These formulas were compared with the commercially available bleaching agents at 40° C. at a pH of between 7 to 8. The Ozonit® was also tested at 60° C.

[0242]

To measure the bleaching ability of the formulations, a bleaching test as described in Example 2 was performed. The results are shown in FIG. 4. As can be seen in this figure, Formulas A, B and C had far superior bleaching ability compared to Ozonit® at 40° C. When the Ozonit® was used at 60° C., Formulas A, B, and C had very similar bleaching ability. Formula C also had similar bleaching performance compared to the PAP. Thus, Formulas A, B, and C showed equal, if not better, bleaching properties compared to known commercially available bleaching agents at 40° C.

Example 6

Antimicrobial Studies

[0243]

(a) Bactericidal Efficacy

[0244]

An experiment was performed to determine the bactericidal efficacy of a composition according to the present invention, with and without a surfactant, as compared to other commercially available products. Formula A included about 1190 ppm of a sulfonated peroleic acid product, as well as peroxyoctanoic acid, and peracetic acid. The surfactant used for this example was Turboemulsion® (TE), commercially available from Ecolab Inc. The compositions were tested against Clostridium difficile ATCC 9689, MRSA ATCC 33592, Enterococcus hirae ATCC 10541, Escheria coli ATCC 11229, and Pseudomonas aeruginosa ATCC 15442, at 5 and 60 minute exposure times. The commercially available compositions, Ozonit®, and PAP were also tested. The following formulations were tested:

[0245]

Formula A1190 ppmSterile0.194 g Formula A +7.59
withMilliQ170 μL TE/100 g
surfactantWater
Formula A1190 ppm0.194 g Formula A/8.53
without100 g
Surfactant
PAP ®1820 ppm0.182 g PAP +8.50
1.5 g TE/100 g
Ozonit ®20000.200 g Ozonit +7.21
1.5 g TE/100 g

[0246]

The test method followed was according to European Standard EN 13704: Quantitative Suspension Test for the Evaluation of Sporicidal Activity of Chemical Disinfectants and Antiseptics Used in Food, Industrial, Domestic and Institutional Areas. Generally, a test suspension of bacterial spores in a solution of interfering substance, simulating clean conditions, was added to a prepared sample of the test formulation diluted in hard water. The mixture was maintained at the specific temperature and time desired. At this contact time, an aliquot is taken; the sporicidal action in this portion was immediately neutralized or suppressed by a validated method. The number of surviving bacterial spores in each sample was determined and the reduction in viable counts was calculated.

[0247]

The disinfectant properties of each of the formulations at 5 minutes at 40° C. is shown below in Table 12.

[0248]

System
Formula AFormula A
withwithout
TestSurfactantPAPOzonitSurfactant
MRSA>6.66>6.66>6.66>6.66
Enterococcus hirae>6.26>6.26>6.26>6.26
ATCC 10541
Escherichia coli>6.74>6.74>6.74>6.74
ATCC 11229
Pseudomonas aeruginosa>6.32>6.32>6.32>6.32
ATCC 15442
Clostridium difficile>3.871.172.573.09
ATCC 9689

[0249]

As can be seen from this table, the compositions of the present invention that were tested were as effective as a disinfectant as the commercially available formulations tested. Further, with respect to Clostridium difficile, the compositions of the present invention were more effective than the commercially available products tested.

[0250]

(b) Stability and Sporicidal Efficacy at 14 Days

[0251]

A test was run to determine the stability and sporicidal efficacy of a composition of the present invention against spores. The composition tested included the sulfonated peroleic acid product, and an amount of peroxyoctanoic acid. The test method used was the European Standard EN 13704: Quantitative Suspension Test for the Evaluation of Sporicidal Activity of Chemical Disinfectants and Antiseptics Used in Food, Industrial, Domestic and Institutional Areas, described above. The table below shows the results of this study.

[0252]

DI Water
pH 6.5
B. subtilisC. difficile
Clean Conditions
20° C.
60 min60 min
Log reduction 3.84Log reduction 2.71

[0253]

A composition including 30 ppm peroxyoctanoic acid was also tested. The composition of peroxyoctanoic acid alone did not result in a reduction.

[0254]

FIG. 5 shows the stability impact that the compound of the present invention used, i.e., the sulfonated peroleic acid product, had on the amount of POOA over time during this study. As can be seen from this figure, the amount of POOA available over time was higher with the sample of POOA that was stabilized using a composition of the present invention, compared to a sample of POOA that was not stabilized using a composition of the present invention.

[0255]

(c) Synergistic Effect of a Composition of the Present Invention with a Known Sanitizes

[0256]

For this study, the ASME 1052-96: Standard Test Method for Efficacy of Antimicrobial Agents against Viruses in Suspension was used. A composition including 1000 ppm peroxyacetic acid (POAA) was tested alone, and in combination with sulfonated peroleic acid product.

[0257]

The POAA solution alone did not display complete inactivation of Poliovirus Type 1 after an exposure time of four minutes. The reductions in viral titer were ≦0.75 and ≦0.50 log 10. When the POAA solution was tested with 1000 ppm of the sulfonated peroleic acid product, the solution displayed complete inactivation of Poliovirus Type 1 after an exposure time of a few minutes, and was therefore efficacious against the virus. The reduction in viral titer was ≧5.75 log 10.

[0258]

(d) Synergistic Effect of a Compound of the Present Invention with Peroxyoctanoic Acid

[0259]

For this study, the MS 103: Quantitative Tuberculocidal Test was used. The sulfonated peroleic acid product was tested alone, and in combination with peroxyoctanoic acid at various concentrations against Mycobacterium bovis BCG. The compositions were tested at a pH of 6.5 at room temperature. The results are shown in the table below.

[0260]

1000 ppm Sulfonated Peroleic2.5min4.46
Acid Product5min5.11
300 ppm POOA2.5min3.48
5min<4.31
1000 ppm Sulfonated Peroleic2.5min>7.31
Acid Product and 300 ppm POOA5min>7.31
1000 ppm Sulfonated Peroleic2.5min≧7.31
Acid Product and 150 ppm POOA5min>7.31

[0261]

As can be seen from this table, the samples treated with both a composition of the present invention including the sulfonated peroleic acid product, and POOA had a higher log reduction of Mycobacterium bovis BCG than those samples treated with either the sulfonated peroleic acid product or POOA alone. Although it was found that the samples treated with just the sulfonated peroleic acid product did have a higher log reduction of bacteria than the samples treated with just POOA.

[0262]

(e) Use of a Compound of the Invention as a Hospital Disinfectant

[0263]

For this test, the AOAC Official Method 955.15—Testing Disinfectant Against Staphylococcus aureus and the AOAC Official Method 964.02—Testing Disinfectants Against Pseudomonas aeruginosa were used. The composition used included the sulfonated peroleic acid product, and peroxyoctanoic acid (POOA), at various concentrations. The following chart summarizes the test procedure used, and the results.

[0264]

Dilution (Volume
TestDesiredof Test System/Test
SubstanceConcentrationDiluentTotal Volume)pH
Sulfonated1000 ppm400 ppm2.910 g Sulfonated6.5
Peroleic AcidSulfonatedSyntheticPeroleic Acid
Product +Peroleic AcidHardProduct + 0.2345 g
POOAProductWaterPOOA/1500 g
300 ppm
POOA
1000 ppm0.1852 g Sulfonated6.5
SulfonatedPeroleic Acid
Peroleic AcidProduct + 0.4690 g
ProductPOOA/1500 g
150 ppm
POOA
# Negative
Tubes/#
Carriers
Test systemTest SubstanceTested
Staphylococcus aureus1000 ppm Sulfonated Peroleic60/60
ATCC 6538Acid Product + 300 ppm POOA
Staphylococcus aureus1000 ppm Sulfonated Peroleic60/60
ATCC 6538Acid Product + 150 ppm POOA
Pseudomonas aeruginosa1000 ppm Sulfonated Peroleic60/60
ATCC 15442Acid Product + 300 ppm POOA
Pseudomonas aeruginosa1000 ppm Sulfonated Peroleic60/60
ATCC 15442Acid Product + 150 ppm POOA

[0265]

As can be seen from this table, the compositions tested were effective against each of the test systems.

Example 7

Coupling Abilities of Compounds of the Present Invention

[0266]

The ability of a composition of the present invention including the sulfonated peroleic acid product to couple octanoic acid was compared to the coupling abilities of two known commercially available coupling agents, NAS and linear alkylbenzene sulphonate (LAS).

[0267]

The results can be seen in FIG. 6. As can be seen from this figure, one gram of the sulfonated peroleic acid product was able to couple twice as much octanoic acid compared to the other coupling agents tested.

Example 8

Formation of Sulfonated Carboxylic Acids and their Percarboxylic Salts

[0268]

A study was run to determine the effect of the position of the sulfonate group on the carboxylic acid in forming a peracid. Specifically, a study was run to determine whether having the sulfonate group at the α position prohibits the oxidation and/or perhydrolysis of the carboxylic acid group to form the corresponding peroxycarboxylic acid.

[0269]

Commercially available sulfonated fatty acid salts (methyl esters) are predominantly α sulfonated, including, for example, Alpha-Step PC-48 (commercially available from the Stepan Comp.), Alpha-Step MC-48 (MC-48)(commercially available from the Stepan Comp.), Alpha-Step BSS-45 (commercially available from the Stepan Comp.), and MES (commercially available from the Lion Corporation). Structurally, these compounds are sodium alphasulfo methyl C12-C18esters and disodium alphasulfo C12-C18fatty acid salts. Their structures are shown below:

[0270]

[0271]

Sulfonated oleic acid is another commercially available sulfonated fatty acid. These compounds are mainly 8-sulfo-octadecenoic acid salts, with a minority of 9-sulfo-10-hydroxy-octadecanoic acid salts. They are not sulfonated at the α position. The structures of these types of compounds are shown below:

[0272]

[0273]

α-sulfonated fatty acids were prepared by the hydrolysis of the mixture of α-sulfonated fatty acid methyl ester and the acid (MC-48). To a beaker containing 25 g of MC-48, 12 g of 50% NaOH solution was added. The mixture was stirred at ambient temperatures for 3 hours. The mixture was then acidified by adding H2SO4(50%) until the pH of the mixture reached about 0-1. The white solid precipitate was filtered, washed with cold water, and dried. The white solid powder yield was evaluated using13C NMR (DMSO-d6). The methyl group of the methyl ester in the raw material was not observed, indicating complete hydrolysis.

[0274]

In order to try and form the peracid using an acid catalyzed hydroxide reaction the following reaction was performed. 0.5 g of the MC-48 derived fatty acid sulfonate, as prepared above, was weighed into a 50 ml beaker. To this beaker, 30 g of H2O2(35%) was added. then, 5 g of H2SO4(985) was slowly added, producing a clear solution. After sitting at 50° C. for 24 hours, the solution was analyzed to determine the presence of a peracid.

[0275]

To determine the presence of a peracid, a kinetic iodometric titration similar to the method disclosed in Sully and Williams (“The Analysis of Per-Acids and Hydrogen Peroxide,” The Analyst, 87:1037, p. 653 (August 1962)) was used. This method has demonstrated a lower detection limit of about 0.3 ppm for POAA. Given the molecular weight ratio of POAA to the perspective percarboxylic acid of PC-48, the detection limit was estimated to be about 1.4 ppm (3.93×10−6M). No peracid formation was observed. This is equivalent to a percarboxylic acid formation constant (Keq) less than 0.002, suggesting substantially no peracid was formed.

[0276]

Alternatively, formation of the peracid was determined using13C NMR (D20). Using this technique, no carbonyl resonance signal from the peracid was observed.

[0277]

Other α-sulfonated fatty acid sources such as Alpha-Step PC-48 and Alpha-Step BSS-45 were also reacted with H2O2in a similar manner, and in both cases, no corresponding peracids were detected.

[0278]

Non-α-sulfonated fatty acids were also tested to determine the likelihood of peracid formation. For the sulfonated oleic acid discussed above, the measured formation constant was 1.42. The sulfonated undecenoic acid was collected as a stable solid powder, so the formation constant was not measured. Although the formation constant of the peracid of sulfonated oleic acid is significantly lower than that of the most common commercialized peracid, peroxyacetic acid (Keq=2.70), it is still high enough to make practical yields.

[0279]

Overall, without wishing to be bound by any particular theory, it is thought that the α-sulfo group prohibits the oxidation and/or perhydrolysis of the carboxylic acid group by H2O2to the corresponding peracid. This may in part be due to its strong electron withdrawing effects.

Example 9

Clean in Place Sanitizing Compositions

[0280]

A study was run to determine the efficacy of compositions of the present invention as sanitizers used in a clean in place cleaning method. A composition including about 5.85 wt % of the sulfonated peroleic acid product, and about 11.6% hydrogen peroxide, about 1 wt % of a chelating agent, about 12.75 wt % of H2SO4, about 13.6 wt % NAS-FAL (sodium octane sulfonate), and about 1.5 wt % of SXS (commercially available from the Stepan Company) was prepared. Synthetic hard water was used to dilute the test composition to the desired peracid concentration. The peracid was tested at concentrations of 1000 ppm, 750 ppm and 500 ppm. The pH of the use solutions were as follows:

[0281]

500 ppm peracid1.65
 750 ppm1.46
1000 ppm1.38

[0282]

The use solutions were tested against Staphylococcus aureus ATCC 6538 and Pseudomonas aeruginosa ATCC 15442. The organic soil used was 5% Fetal Bovine Serum. The exposure time of the test was 5 minutes at a temperature of 20±1° C. A neutralizer screen was also performed as part of the testing to verify that the neutralizer adequately neutralized the product and was not detrimental to the tested organisms. The plates were incubated at 35° C. for 48 hours with the test systems prior to exposure to the peracids. The results are shown in the table below.

[0283]

Test Substance# Negative Tubes/# Carriers Tested
Staphylococcus aureus ATCC 6538
1000 ppm Peracid Composition60/60
Pseudomonas aeruginosa ATCC 15442
1000 ppm Peracid Composition60/60
Test Controls
ControlTest SystemResults
Negative Carrier1 negative of 1 tested
Positive CarrierStaphylococcus aureus ATCC 65381 positive of 1 tested
Positive CarrierPseudomonas aeruginosa ATCC 154421 positive of 1 tested
Organic Soil1 negative of 1 tested
Neutralization (1000 ppm)Staphylococcus aureus ATCC 65386 positive of 6 tested
Neutralization (1000 ppm)Pseudomonas aeruginosa ATCC 154426 positive of 6 tested
Culture EnumerationStaphylococcus aureus ATCC 65389.0 × 108CFU/mL
Culture EnumerationPseudomonas aeruginosa ATCC 154421.0 × 109CFU/mL
Carrier EnumerationStaphylococcus aureus ATCC 65381.0 × 106CFU/mL
1.0 × 107CFU/Carrier
Carrier EnumerationPseudomonas aeruginosa ATCC 154422.3 × 106CFU/mL
2.3 × 107CFU/Carrier
Test Substance# Negative Tubes/# Carriers Tested
Staphylococcus aureus ATCC 6538
500 ppm Peracid Composition59/60
750 ppm Peracid Composition60/60
Pseudomonas aeruginosa ATCC 15442
500 ppm Peracid Composition58/60
750 ppm Peracid Composition60/60
Test Controls
ControlTest SystemResults
Negative Carrier1 negative of 1 tested
Positive CarrierStaphylococcus aureus ATCC 65381 positive of 1 tested
Positive CarrierPseudomonas aeruginosa ATCC 154421 positive of 1 tested
Organic Soil1 negative of 1 tested
NeutralizationStaphylococcus aureus ATCC 65383 positive of 3 tested
NeutralizationPseudomonas aeruginosa ATCC 154423 positive of 3 tested
Culture EnumerationStaphylococcus aureus ATCC 65381.0 × 109CFU/mL
Culture EnumerationPseudomonas aeruginosa ATCC 154421.0 × 109CFU/mL
Carrier EnumerationStaphylococcus aureus ATCC 65387.2 × 105CFU/mL
7.2 × 106CFU/Carrier
Carrier EnumerationPseudomonas aeruginosa ATCC 154422.0 × 106CFU/mL
2.0 × 107CFU/Carrier

[0284]

As can be seen from these results, the use solutions tested were effective disinfectants against both Staphylococcus aureus, and Pseudomonas aeruginosa at the concentrations tested.

[0285]

Another study was run to determine the sanitizing efficacy of the test solution against Staphylococcus aureus ATCC 6538 and Escherichia coli ATCC 11229 after a 30 second exposure time. For this experiment the solutions were diluted to have a concentration of 50 ppm, 75 ppm or 100 ppm of the sulfonated peroleic acid product. The pH of the use solutions were as follows:

[0286]

50 ppm peracid2.70
 75 ppm2.47
100 ppm2.30

[0287]

The use solutions were tested against Staphylococcus aureus ATCC 6538 and Escherichia coli ATCC 11229. The exposure time was 30 seconds at a temperature of 25±1° C. A neutralizer screen was also performed as part of the testing to verify that the neutralizer adequately neutralized the product and was not detrimental to the tested organisms. The plates were incubated at 35° C. for 48 hours with the test systems prior to exposure to the peracids. The results are shown in the table below.

[0288]

Average
Test SystemCFU/mLLog10GrowthLog10Growth
Staphylococcus aureus107 × 106, 109 × 1068.03, 8.048.04
ATCC 6538
Escherichia coli138 × 106, 151 × 1068.14, 8.188.16
ATCC 11229
SurvivorsAverage
Test Substance(CFU/mL)Log10GrowthLog10GrowthLog Reduction
Staphylococcus aureus ATCC 6538
50 ppm Peracid28 × 101, 20 × 1012.45, 2.302.385.66
Composition
75 ppm Peracid 0 × 101, 100 × 101<1.00, 3.00  <2.00>6.04
Composition
100 ppm Peracid0 × 101, 0 × 101<1.00, <1.00<1.00>7.04
Composition
Escherichia coli ATCC 11229
50 ppm Peracid0 × 101, 2 × 101<1.00, 1.30  <1.15>7.01
Composition
75 ppm Peracid0 × 101, 0 × 101<1.00, <1.00<1.00>7.16
Composition
100 ppm Peracid0 × 101, 0 × 101<1.00, <1.00<1.00>7.16
Composition

[0289]

As can be seen from these results the use solutions tested were effective sanitizers against both Staphylococcus aureus and Escherichia coli. The test solution containing 100 ppm of the sulfonated peroleic acid product was the most effective sanitizer.

Example 10

Foam Properties of Selected Compositions of the Present Invention

[0290]

A study was performed to determine the foam properties of selected compositions of the present invention, compared to compositions including commercially available surfactants. The following compositions were prepared: Formula A included 50 ppm of the sulfonated peroleic acid product at a pH of 2.48; Formula B included 50 ppm of the sulfonated peroleic acid product at a pH6.75; Formula C included 64 ppm of a commercially available sulfonated oleic acid (SOA)(Lankropol OPA (50%) available from Akzo Nobel) at a pH of 2.48; Formula D included 64 ppm of a commercially available sulfonated oleic acid (Lankropol OPA (50%) available from Akzo Nobel) at a pH of 6.56; Formula E included 128 ppm of a commercially available sulfonated oleic acid (Lankropol OPA (50%) available from Akzo Nobel) at a pH of 2.48; Formula F included 128 ppm of a commercially available sulfonated oleic acid (Lankropol OPA (50%) available from Akzo Nobel) at a pH of 7.20; and Formula G included 93 ppm of sodium octane sulfonate (NAS) (commercially available from Ecolab) at a pH of 2.48. The foam heights were determined using the following method. First 3000 ml of each formula was prepared and gently poured into Glewwe cylinder. A ruler was attached to the side of the cylinder, and the solution was level with the bottom of the ruler. The pump was turned on. Foam height was estimated by reading the average level of foaming according to the ruler. Foam height readings were taken versus time with a stopwatch or timer. The pump was turned off and height of the foam was recorded at various times. The results are shown in the table below.

[0291]

Pump On Time (sec)Pump Off Time (sec)
30603003060300
FoamFoamFoamFoamFoamFoam
HeightHeightHeightHeightHeightHeight
Sample(inches)(inches)(inches)(inches)(inches)(inches)
Formula A2.53.85.53.52.00.5
Formula B1.52.02.50.2<0.1NA
Formula C4.06.29.28.78.55.5
Formula D3.14.5109.88.54.0
Formula E2.64.58.58.28.05.0
Formula F0.150.150.2<0.1<0.1<0.1
Formula G1.01.01.20.40.2<0.1

[0292]

As can be seen from these results, the formulas including compositions of the present invention, i.e., Formulas A and B had much lower foam heights than Formulas C and D which included the non-peracid form of the sulfonated material, i.e., sulfonated oleic acid. The reduced foam height of the compositions of the present invention is useful when using the compositions in applications where the production of foam is detrimental to the application, for example, in a clean in place cleaning and/or sanitizing application.

Example 11

Laundry Sanitizing Compositions

[0293]

A study was run to determine the ability of a composition of the present invention to sanitize laundry. A composition containing the sulfonated peroleic acid product was tested against the commercially available cleaning compositions Ozonit®, commercially available from Ecolab Inc., and PAP-70®, available from Solvay. The compositions were tested against Staphylococcus aureus ATCC 6538 and Pseudomonas aeruginosa ATCC 15442 at 104° F. for 6 minutes. The test method was as follows. Fabric samples that had been rinsed with boiling water containing 300 grams sodium carbonate and 1.5 grams of a non-ionic wetting agent (e.g., Triton X-100), followed by a cold water rinse until all visible traces of the wetting agent were removed, were obtained. The fabric samples were allowed to completely dry. The fabric samples were then autoclaved to sterilize them.

[0294]

The test substances were then prepared, and the fabric samples were inoculated with the test substances. The inoculated swatches were then dried. The samples were then secured in a laundrometer and agitated in wash water. The wash water was removed from the chamber of the laundrometer, and the wash water and fabric samples are evaluated for the reduction of the tested microorganism population.

[0295]

The results are shown in the table below.

[0296]

System
Composition
including Sulfonated
TestPeroleic Acid ProductPAP-70 ®Ozonit ®
Sanitizer Screen>3.82>3.82NA
Disinfectant (Cloth9 negative/9 negative/5 negative/
Carrier Screen)9 total9 total9 total

[0297]

As can be seen from these results, both the composition of the present invention tested showed a greater than 3 log reduction in both the wash water and fabric carriers against P. aeruginosa and on the fabric carriers against S. aureus.

[0298]

The present invention also relates to novel compounds and the synthesis thereof. Accordingly, the following examples are presented to illustrate how some of those compounds may be prepared.

[0299]

Synthesis of Selected Compounds of the Invention

[0000]

Preparation of the Sulfonated Peroleic Acid Product.

[0300]

417.8 g of OA5-R (Intertrade Organic's, 40% active Sulfonated Oleic acid) was added to a 2-L beaker immersed in a large ice-bath, to which was subsequently added, 66.4 g of Dequest 2010 (60% active Hydroxyethylenediphosphonic acid, Monsanto) and 535 g of Hydrogen peroxide (46% active, Solvay-Interox). The beaker was fitted with a magnetic stir bar and the solution was stirred aggressively while adding 940 g of sulfuric acid (96% active, Mallinkrodt). The rate of the sulfuric acid addition was controlled to produce a 120° F. exotherm in the reaction solution, and while this was occasionally exceeded by several degrees F., it wasn't allowed to exceed 125° F. Several minutes after completing the sulfuric acid addition, the ice bath was removed and the heterogenous solution was stirred for 72 hours allowing the temperature to equilibrate to ambient (70° F.) conditions.

[0301]

Several hours after discontinuing the stirring, the two phase reaction solution was added to a separatory funnel and the upper and lower phase were separated. 239.4 g of upper phase were collected and the upper phase was further purified by centrifugation at 3000 rpm for 10 minutes. The final upper phase yield was 206 g (theoretical yield 174 g) and titrated as 55% Peroxyacid based upon an assumed molecular weight of 380. In addition the upper phase contained 1.8% Hydrogen peroxide. A centrifuged lower phase sample titrated as 13% Peroxyacid (MW 380) and 8.8% hydrogen peroxide.

[0302]

Synthesis of 11-Sulfoundecanoic Acid and 10,11-Disulfoundecanoic Acid

[0303]

[0304]

11-Sulfoundecanoic Acid:

[0305]

Deionized water (150 ml), isopropyl alcohol (200 ml) and 11-undecylenic acid (28.56 g, 0.155 mol) were placed in a 1.0 liter flask equipped with stirrer, additional funnel, reflux condenser, thermometer and a gas inlet tube. To the additional funnel was added a premix which contained 15.2 g (0.08 mol) of sodium metabisulfite and 1.28 g of NaOH in 55 g of water. The whole device was purged with nitrogen gently. After heating to reflux (82° C.), a small portion of t-butyl perbenzoate (out of total amount of 0.5 g, 2.5 mmol) was added to the flask. Then the sodium metabisulfite/NaOH premix was added continuously over a five hour period to the reaction solution through an addition funnel. The remaining t-butyl perbenzoate was also added in small portions during this time.

[0306]

The solvent was then removed under reduced pressure using a rotavapour, and the residue washed with acetone, and dried, yielding 31.0 g of white solid. NMR analysis of the solid indicated no presence of the residual raw materials. The white solid obtained was dissolved in hot water (100 ml, 75° C.), and neutralized to pH 5.5 with NaOH. Then 2.0 g of 50% H2O2was added to the solution. The solution was then allowed to cool down to room temperature, and the solid precipitated was filtered, washed with cold water, and dried, affording 21.0 g of white solid, characterized as pure 11-sulfoundecanoic acid.13C NMR (D2O): 180, 51, 34, 28-29 (multiple), 27.5, 24.5, 24 ppm. MS (ESI): 265.1 (M+-H).

[0307]

10,11-Disulfoundecanoic Acid:

[0308]

this compound was obtained as a byproduct from the 11-Sulfoundecanoic acid reaction as described above. The filtrate, after collecting 11-sulfoundecanoic acid through filtration, was concentrated to ˜50 ml when precipitate start to form. The mixture was cooled down in the refrigerator, and the additional solid formed was filtered, washed with a small amount of ice water, and dried, yielding 5.0 g of white solid.13C NMR (D2O): 184, 57, 51.5, 37.5, 28-29 (multiple), 27.5, 26, 24 ppm. MS (ESI): 345.0.

[0309]

Synthesis of 11-Sulfoundecaneperoxoic Acid (Compound D) and 10,11-Disulfoundecaneperoxoic Acid (Compound E)

[0310]

11-Sulfoperoxyundecanoic Acid:

[0311]

[0312]

1.3 g of 11-sulfoundecanoic acid was dissolved in 2.5 g of 98% sulfuric acid. To this solution (the temperature of the solution did not exceed 60° C.) 1.5 g of 50% H2O2was added, and the resulting mixture was stirred at room temperature for 1.5 hr. At this point, a white solid precipitated from the solution. The mixture was reheated to 50° C. with a water bath until the solution was clear. The solution was then stirred at room temperature for 0.5 hr, and cooled down in the freezer. Then 20 ml of ice water was added to the mixture, and the solid filtered, washed with ice water, and dried under vacuum, yielding 0.6 g of a white solid.13C NMR (D2O): 176, 51.5, 30.5, 27.5-29 (multiple), 24.5, 24 ppm. MS (ESI): 281.5 (M+-H). Available oxygen (iodometric): 5.41% (theoretical: 5.64%).

[0313]

10,11-Disulfoundecaneperoxoic Acid (Compound E):

[0314]

[0315]

To 1.5 g of 10,11-disulfoundecanoic acid was added 2.5 g of 96% H2SO4, and the mixture was stirred at room temperature. Then 1.0 g of 50% H2O2was added slowly (the temperature not exceeding 60° C.) to the mixture, and after addition, the mixture was heated to 50° C. with water bath, and the solution stirred for 2.0 hrs. The solution was then cooled down in the freezer, and 20 ml of ice water was added with stirring. The solid precipitated was filtered, washed with ice water, and dried under vacuum, affording 1.0 g of white solid.13C NMR (D2O): 175.5, 57, 30.5, 27.5-29 (multiple), 24.5, 24 ppm. Available oxygen (iodometric): 4.10% (theoretical: 4.41%).

[0316]

Synthesis of 9/10-Sulfostearic Acid (Sulfonated Stearic Acid)

[0317]

[0318]

Deionized water (150 ml), isopropyl alcohol (200 ml) and oleic acid (43.78 g, 0.155 mol) were placed in a 1.0 liter flask equipped with stirrer, additional funnel, reflux condenser, thermometer and a gas inlet tube. To the additional funnel was added a premix which contained 15.2 g (0.08 mol) of sodium metabisulfite (Na2S2O5) and 1.28 g of NaOH in 55 g of water. The whole device was bubbled gently with nitrogen. After heating to reflux (82° C.), a small portion of t-butyl perbenzoate (out of total amount of 0.5 g, 2.5 mmol) was added to the flask. Then the Na2S2O5/NaOH premix was added through the addition funnel continuously over the course of five hours. The remaining t-butyl perbenzoate was also added in portions during this time.

[0319]

The solvent was then removed under reduced pressure using rotavapour. To the residue was added 100 ml of DI water, the pH of the solution was adjusted to 2.5 with H2SO4. The resulting mixture/solution was transferred to a separation funnel, and the top oily layer (non reacted oleic acid) was removed. The aqueous layer was extracted with petroleum ether (2×50 ml), and after removal of the water, afforded 12.5 g of white waxy solid.13C NMR (D2O): 179, 60, 34.5, 32, 28.5-30 (multiple), 24.5, 22.5, 14 ppm. MS (ESI): 363.4 (M+-H).

[0320]

Preparation of 9/10-Sulfoperoxystearic Acid (in Formulation)

[0321]

To a 2.0 g mixture of 9 or 10-Sulfostearic acid was added 2.0 g of 50% H2O2. The mixture was stirred at room temperature until all the solid was dissolved. Then, 2.0 g of 75% H3PO4was added, and the resulting solution was stirred at room temperature overnight. No attempt was made to isolate the pure 9 or 10-sulfoperoxystearic acid from solution.13C NMR (D2O) of the solution showed a peracid peak (COOOH) at 174 ppm and the parent the carboxylic acid peak at 178 ppm. The iodometric titration (QATM-202) indicated 18.96% of sulfoperoxystearic acid.

Как компенсировать расходы
на инновационную разработку
Похожие патенты