Multiheteroaryl compounds, their preparation, pharmaceutical compositions comprising these compounds, and their pharmaceutical use in the prevention and treatment of prostaglandin D2 mediated diseases and conditions that may be modulated by the inhibition of hematopoietic prostaglandin D synthase (H-PGDS).
1. A compound of Formula (I): wherein:
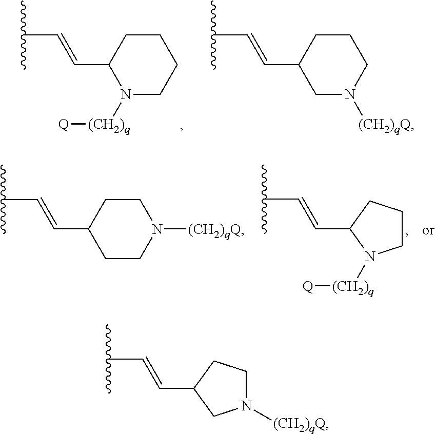
R1 is (C1-C6)-alkyl, (C3-C6)-cycloalkyl, phenyl, 2-pyridyl, 3-pyridyl, or 4-pyridyl; wherein each phenyl, 2-pyridyl, 3-pyridyl, or 4-pyridyl of R1 may be optionally substituted with no more than two of each or a combination of fluoro, hydroxy, —CH2OH, carboxy, carboxymethyl, or carboxyethyl; R2 is —(CH2)Z1 or —(CH2)nZ2; n is 0, 1, 2, 3, or 4; Z1 is hydrogen, OR3, C(O)R3, CO2R3, C(O)NR4R5, SO2NR4R5, SO2R3, (C1-C6)-alkyl, (C3-C6)-cycloalkyl, (C3-C6)-alkenyl, (C3-C6)-alkynyl, (C6-C14)-aryl, (CH2)pCF3, a five- to ten-membered heteroaryl, or a three- to ten-membered heterocycle; wherein any one nitrogen atom of any heterocycle containing one or more nitrogen atoms that may be substituted with a non-ring atom are substituted with —(CH2)qQ; Z2 is cyano, trifluoromethyl, (CF2)pCF3, SR3, NR4R5, N(H)C(O)R3, N(H)CO2R3, N(H)C(O)NR4R5, N(H)SO2R3, vinyl, or ethynyl when n is 1, 2, 3 or 4; Z2 may also be cyano, trifluoromethyl, (CF2)pCF3, SR3, NR4R5, N(H)C(O)R3, N(H)CO2R3, N(H)C(O)NR4R5, N(H)SO2R3, vinyl, or ethynyl when n is 0, except when R2 is covalently bonded to a U1, U2, U3, or U4 that is a nitrogen atom; R3 is hydrogen, (C1-C6)-alkyl, trifluoromethyl, (C3-C6)-alkenyl, (C3-C6)-alkynyl, (CH2)m(C3-C6)-cycloalkyl, (CH2)mphenyl, (CH2)m-(five- to ten-membered heteroaryl), or (CH2)m(three- to ten-membered heterocycle), wherein any one nitrogen atom of any heterocycle containing one or more nitrogen atoms that may be substituted with a non-ring atom are substituted with —(CH2)qQ; m is 0, 1, 2, 3, or 4; q is 0, 1, 2, 3, or 4; Q is hydrogen, (C1-C6)-alkyl, (CH2)pCF3, (C3-C6)- alkenyl, (C3-C6)-alkynyl, (C3-C6)-cycloalkyl, (C6-C14)-aryl, C(O)R3, CO2R3, C(O)NR4R5, a three- to six-membered heterocycle, or a five- to ten-membered heteroaryl when q is 0, 1, 2, 3, or 4; Q may also be cyano, trifluoromethyl, or SO2NR4R5 when q is 1, 2, 3, or 4; Q may also be hydroxy, (C1-C6)-alkoxy, sulfhydryl, —S—(C1-C6)-alkyl, or NR4R5 when q is 2, 3, or 4; p is 1, 2, or 3; R3 may also be vinyl or ethynyl when R3 is not covalently bonded to an N or O atom; R3 may also be vinyl or ethynyl when R3 is not covalently bonded to an S atom possessing a −2 (minus 2) oxidation state; R4 and R5 are independently hydrogen, (C1-C6)-alkyl, (C3-C6)-alkenyl, (C3-C6)-alkynyl, (CH2)m(C3-C6)-cycloalkyl, (CH2)mphenyl, (CH2)m-(three- to ten-membered heterocycyl), or (CH2)m-(five- to ten-membered heteroaryl); the NR4R5 group of any C(O)NR4R5, SO2NR4R5, NR4R5, or N(H)C(O)NR4R5 may also form a pyrrolidine, a piperidine, a morpholine, a thiomorpholine, or a thiomorpholine S-dioxide; the NR4R5 group of any C(O)NR4R5, SO2NR4R5, NR4R5, or N(H)C(O)NR4R5 may also form a piperazine ring, wherein the other nitrogen atom of the piperazine ring is substituted with hydrogen, (C1-C6)-alkyl, CH2CF3, (C3-C6)-cycloalkyl, CH2(C3-C6)-cycloalkyl, phenyl, benzyl, hydroxyethyl, or hydroxypropyl; phenyl or heteroaryl rings of Z1 and Z2 are optionally substituted with one-to-three of any one or combination of the following: halo, hydroxy, sulfhydryl, (C1-C3)-alkoxy, (C1-C3)-alkyl, (C1-C3)-alkylthio, trifluoromethyl, trifluoromethoxy, cyano, carboxy, carboxy (C1-C3)-alkyl, carbamoyl, or sulfamoyl; W is a covalent bond, O, S, SO, SO2, CH2, CHOH, or CO; U1, U2, U3, U4, and a carbon atom form a five-membered heteroaryl ring; wherein one of U1, U2, U3, and U4 of the five-membered heteroaryl ring is covalently bonded to the R2 group; wherein the U1, U2, U3, or U4 that is covalently bonded to the R2 group is a carbon atom or a nitrogen atom; wherein when the U1, U2, U3, or U4 that is covalently bonded to the R2 group is a nitrogen atom, one, two, or all of the other three of the group consisting of U1, U2, U3, and U4 is N and each remaining of the group consisting of U1, U2, U3, and U4 that is not N is C—R6; wherein when the U1, U2, U3, or U4 that is covalently bonded to the R2 group is a carbon atom, one of the other three of the group consisting of U1, U2, U3, and U4 is N—R6, O, or S, and each of remaining of the group consisting of U1, U2, U3, and U4 is C—R6 or N with the further proviso that when Z2 is SR3 and n is 0,then at most one of the other three of the group consisting of U1, U2, U3, and U4 is N-R6; Y2 is a CH2; Y1, Y2, Y3, a nitrogen atom, and two carbon atoms form a six-membered heteroaryl ring; wherein no more than one of the group consisting of Y1 and Y3 is N; and wherein all Y1 and Y3 that are not N are C—R6; each R6 is independently hydrogen, methyl, trifluoromethyl, or amino; and each R7 is independently hydrogen or methyl. 2. A compound of wherein:
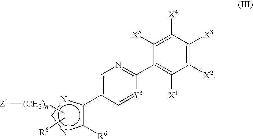
each X1, X2, X3, X4, and X5 is independently hydrogen or fluoro, with no more than two of X1, X2, X3, X4, and X5 being fluoro; Y3 is CH or N; each R6 is independently hydrogen, methyl, trifluoromethyl, or amino; n is 0, 1, 2, 3, or 4; Z1 is hydrogen, OR3, C(O)R3, CO2R3, C(O)NR4R5, SO2NR4R5, SO2R3, (C1-C6)-alkyl, (C3-C6)-cycloalkyl, (C3-C6)-alkenyl, (C3-C6)-alkynyl, (C6-C14)-aryl, (CH2)pCF3, a five- to ten-membered heteroaryl, or a three- to ten-membered heterocycle, wherein any one nitrogen atom of any heterocycle containing one or more nitrogen atoms that may be substituted with a non-ring atom are substituted with —(CH2)qQ; p is 1, 2, or 3; R3 is hydrogen, (C1-C6)-alkyl, trifluoromethyl, (C3-C6)-alkenyl, (C3-C6)-alkynyl, (CH2)m(C3-C6)-cycloalkyl, (CH2)mphenyl, (CH2)m-(five- to ten-membered heteroaryl), or (CH2)m-(three- to ten-membered heterocycle) wherein any one nitrogen atom of any heterocycle containing one or more nitrogen atoms that may be substituted with a non-ring atom are substituted with —(CH2)qQ; R4 and R5 are independently hydrogen, (C1-C6)-alkyl, (C3-C6)-alkenyl, (C3-C6)-alkynyl, (CH2)m(C3-C6)-cycloalkyl, (CH2)mphenyl, (CH2)m-(three- to ten-membered heterocycyl), (CH2)m-(five- to ten-membered heteroaryl); the NR4R5 group of any C(O)NR4R5, SO2NR4R5, NR4R5, or N(H)C(O)NR4R5 may also form a pyrrolidine, a piperidine, a morpholine, a thiomorpholine, or a thiomorpholine S-dioxide; the NR4R5 group of any C(O)NR4R5, SO2NR4R5, NR4R5, or N(H)C(O)NR4R5 may also form a piperazine ring, wherein the other nitrogen atom of the piperazine ring is substituted with hydrogen, (C1-C6)-alkyl, CH2CF3, (C3-C6)-cycloalkyl, CH2(C3-C6)-cycloalkyl, phenyl, benzyl, hydroxyethyl, or hydroxypropyl; m is 0, 1, 2, 3, or 4; q is 0, 1, 2, 3, or 4; Q is hydrogen, (C1-C6)-alkyl, (CH2)pCF3, (C3-C6)-alkenyl, (C3-C6)-alkynyl, (C3-C6)-cycloalkyl, (C6-C14)-aryl, C(O)R3, CO2R3, C(O)NR4R5, a three- to six-membered heterocycle, or a five- to ten-membered heteroaryl; Q may also be cyano, trifluoromethyl, or SO2NR4R5 when q is 1, 2, 3, or 4; Q may also be hydroxy, sulfhydryl, or NR4R5 when q is 2, 3, or 4; phenyl or heteroaryl rings of Z1 are optionally substituted with one-to-three of any one or combination of the following: halo, hydroxy, sulfhydryl, (C1-C3)-alkoxy, (C1-C3)-alkyl, (C1-C3)-alkylthio, trifluoromethyl, trifluoromethoxy, cyano, carboxy, carboxy(C1-C3)-alkyl, carbamoyl, or sulfamoyl; and R7 is hydrogen or methyl. 3. A compound of wherein:
each X1, X2, X3, X4, and X5 is independently hydrogen or fluoro, with no more than two of X1, X2, X3, X4, and X5 being fluoro; Y3 is CH or N; each R6 is independently hydrogen, methyl, trifluoromethyl, or amino; n is 0, 1, 2, 3, or 4; Z1 is hydrogen, OR3, C(O)R3, CO2R3, C(O)NR4R5, SO2NR4R5, SO2R3, (C1-C6)-alkyl, (C3-C6)-cycloalkyl, (C3-C6)-alkenyl, (C3-C6)-alkynyl, (C6-C14)-aryl, (CH2)pCF3, a five- to ten-membered heteroaryl, or a three- to ten-membered heterocycle; wherein any one nitrogen atom of any heterocycle containing one or more nitrogen atoms that may be substituted with a non-ring atom are substituted with —(CH2)qQ; R3 is hydrogen, (C1-C6)-alkyl, trifluoromethyl, (C3-C6)-alkenyl, (C3-C6)-alkynyl, (CH2)m(C3-C6)-cycloalkyl, (CH2)mphenyl, (CH2)m-(five- to ten-membered heteroaryl), or (CH2)m-(three- to ten-membered heterocycle); wherein any one nitrogen atom of any heterocycle containing one or more nitrogen atoms that may be substituted with a non-ring atom are substituted with —(CH2)qQ; R4 and R5 are independently hydrogen, (C1-C6)-alkyl, (C3-C6)-alkenyl, (C3-C6)-alkynyl, (CH2)m(C3-C6)-cycloalkyl, (CH2)mphenyl, (CH2)m-(three- to ten-membered heterocycyl), (CH2)m-(five- to ten-membered heteroaryl); the NR4R5 group of any C(O)NR4R5, SO2NR4R5, NR4R5, or N(H)C(O)NR4R5 may also form a pyrrolidine, a piperidine, a morpholine, a thiomorpholine, or a thiomorpholine S-dioxide; the NR4R5 group of any C(O)NR4R5, SO2NR4R5, NR4R5, or N(H)C(O)NR4R5 may also form a piperazine ring, wherein the other nitrogen atom of the piperazine ring is substituted with hydrogen, (C1-C6)-alkyl, CH2CF3,(C3-C6)-cycloalkyl, CH2(C3-C6)-cycloalkyl, phenyl, benzyl, hydroxyethyl, or hydroxypropyl; m is 0, 1, 2, 3, or 4; q is 0, 1, 2, 3, or 4; Q is hydrogen, (C1-C6)-alkyl, (CH2)pCF3, (C3-C6)-alkenyl, (C3-C6)-alkynyl, (C3-C6)-cycloalkyl, (C6-C14)-aryl, C(O)R3, CO2R3, C(O)NR4R5, a three- to six-membered heterocycle, or a five- to ten-membered heteroaryl; Q may also be cyano, trifluoromethyl, or SO2NR4R5 when q is 1, 2, 3, or 4; Q may also be hydroxy, (C1-C6)-alkoxy, sulfhydryl, —S—(C1-C6)-alkyl, or NR4R5 when q is 2, 3, or 4; p is 1, 2, or 3; phenyl or heteroaryl rings of Z1 are optionally substituted with one-to-three of any one or combination of the following: halo, hydroxy, sulfhydryl, (C1-C3)-alkoxy, (C1-C3)-alkyl, (C1-C3)-alkylthio, trifluoromethyl, trifluoromethoxy, cyano, carboxy, carboxy(C1-C3)-alkyl, carbamoyl, or sulfamoyl; and R7 is hydrogen or methyl. 4. A compound of wherein:
each X1, X2, X3, X4, and X5 is independently hydrogen or fluoro, with no more than two of X1, X2, X3, X4, and X5 being fluoro; Y3 is CH or N; each R6 is independently hydrogen, methyl, trifluoromethyl, or amino; n is 0, 1, 2, 3, or 4; Z1 is hydrogen, OR3, C(O)R3, CO2R3, C(O)NR4R5, SO2NR4R5, SO2R3, (C1-C6)-alkyl, (C3-C6)-cycloalkyl, (C3-C6)-alkenyl, (C3-C6)-alkynyl, (C6-C14)-aryl, (CH2)pCF3, a five- to ten-membered heteroaryl, or a three- to ten-membered heterocycle; wherein any one nitrogen atom of any heterocycle containing one or more nitrogen atoms that may be substituted with a non-ring atom are substituted with —(CH2)qQ; R3 is hydrogen, (C1-C6)-alkyl, trifluoromethyl, (C3-C6)-alkenyl, (C3-C6)-alkynyl, (CH2)m(C3-C6)-cycloalkyl, (CH2)mphenyl, (CH2)m-(five- to ten-membered heteroaryl), or (CH2)m-(three- to ten-membered heterocycle); wherein any one nitrogen atom of any heterocycle containing one or more nitrogen atoms that may be substituted with a non-ring atom are substituted with —(CH2)qQ; R4 and R5 are independently hydrogen, (C1-C6)-alkyl, (C3-C6)-alkenyl, (C3-C6)-alkynyl, (CH2)m(C3-C6)-cycloalkyl, (CH2)mphenyl, (CH2)m-(three- to ten-membered heterocycyl), (CH2)m(five- to ten-membered heteroaryl); the NR4R5 group of any C(O)NR4R5, SO2NR4R5, NR4R5, or N(H)C(O)NR4R5 may also form a pyrrolidine, a piperidine, a morpholine, a thiomorpholine, or a thiomorpholine S-dioxide; the NR4R5 group of any C(O)NR4R5, SO2NR4R5, NR4R5, or N(H)C(O)NR4R5 may also form a piperazine ring, wherein the other nitrogen atom of the piperazine ring is substituted with hydrogen, (C1-C6)-alkyl, CH2CF3, (C3-C6)-cycloalkyl, CH2(C3-C6)-cycloalkyl, phenyl, benzyl, hydroxyethyl, or hydroxypropyl; m is 0, 1, 2, 3, or 4; q is 0, 1, 2, 3, or 4; Q is hydrogen, (C1-C6)-alkyl, (CH2)pCF3, (C3-C6)-alkenyl, (C3-C6)-alkynyl, (C3-C6)-cycloalkyl, (C6-C14)-aryl, C(O)R3, CO2R3, C(O)NR4R5, a three- to six-membered heterocycle, or a five- to ten-membered heteroaryl; Q may also be cyano, trifluoromethyl, or SO2NR4R5 when q is 1, 2, 3, or 4; Q may also be hydroxy, (C1-C6)-alkoxy, sulfhydryl, —S—(C1-C6)-alkyl, or NR4R5 when q is 2, 3, or 4; p is 1, 2, or 3; phenyl or heteroaryl rings of Z1 are optionally substituted with one-to-three of any one or combination of the following: halo, hydroxy, sulfhydryl, (C1-C3)-alkoxy, (C1-C3)-alkyl, (C1-C3)-alkylthio, trifluoromethyl, trifluoromethoxy, cyano, carboxy, carboxy(C1-C3)-alkyl, carbamoyl, or sulfamoyl; and R7 is hydrogen or methyl. 5. A compound of 6. A compound of each X1, X3, X4, and X5 is hydrogen; X2 is hydrogen or fluoro; each R6 is independently hydrogen, methyl, or trifluoromethyl; n is 0, 1, or 2; Z1 is phenyl, 2-pyridyl, 3-pyridyl, 4-pyridyl, piperidin-4-yl, piperidin-3-yl, piperidin-3(R)-yl, piperidin-3(S)-yl, piperidin-2-yl, piperidin-2(R)-yl, piperidin-2(S)-yl, pyrrolidin-3-yl, pyrrolidin-3(R)-yl, pyrrolidin-3(S)-yl, pyrrolidin-2-yl, pyrrolidin-2(R)-yl, pyrrolidin-2(S)-yl, or azetidin-3-yl; the nitrogen atom of a piperidinyl, a pyrrolidinyl, or a azetidinyl ring is substituted with —(CH2)qQ; q is 0, 1, or 2; Q is hydrogen, (C1-C6)-alkyl, —CH2CF3, (C3-C6)-alkenyl, (C3-C6)-alkynyl, (C3-C6)-cycloalkyl, phenyl, naphthyl, C(O)R3, CO2R3, C(O)NR4R5, a three- to six-membered heterocycle, or a five- to ten-membered heteroaryl; R3 is hydrogen, (C1-C6)-alkyl, trifluoromethyl, (C3-C6)-alkenyl, (C3-C6)-alkynyl, (CH2)m(C3-C6)-cycloalkyl, (CH2)mphenyl, or (CH2)m-(five- to ten-membered heteroaryl); and m is 0, 1, or 2. 7. A compound of Z1 is phenyl, 2-pyridyl, 3-pyridyl, or 4-pyridyl; and wherein said phenyl or pyridyl rings of Z1 are optionally substituted with one or two of any one or combination of the following: halo, hydroxy, methoxy, methyl, or trifluoromethyl. 8. A compound of Z1 is phenyl; and wherein said phenyl ring of Z1 is substituted with one or two of any one or combination of the following: halo, hydroxy, methoxy, methyl, or trifluoromethyl. 9. A compound of 10. A compound of 11. A compound of 12. A compound of q is 0 or 1; Q is (C1-C4)-alkyl, —CH2CF3, (C3-C6)-cycloalkyl, phenyl, C(O)R3, CO2R3, C(O)NHR5, a five- to six-membered heterocycle, or a five- to ten-membered heteroaryl; R3 is hydrogen, (C1-C4)-alkyl, trifluoromethyl, (CH2)m(C3-C6)-cycloalkyl, (CH2)mphenyl, or (CH2)m-(five- to six-membered heteroaryl); and m is 0, 1, or 2. 13. A compound of q is 1; and Q is (C1-C4)-alkyl, —CH2CF3, (C3-C6)-cycloalkyl, phenyl, a five- to six-membered heterocycle, or a five- to ten-membered heteroaryl. 14. A compound of 15. A compound of 16. A compound of each X1, X3, X4, and X5 is hydrogen; X2 is hydrogen or fluoro; R6 is hydrogen, methyl, or trifluoromethyl; n is 0, 1, or 2; Z1 is phenyl, 2-pyridyl, 3-pyridyl, 4-pyridyl, piperidin-4-yl, piperidin-3-yl, piperidin-3(R)-yl, piperidin-3(S)-yl, piperidin-2-yl, piperidin-2(R)-yl, piperidin-2(S)-yl, pyrrolidin-3-yl, pyrrolidin-3(R)-yl, pyrrolidin-3(S)-yl, pyrrolidin-2-yl, pyrrolidin-2(R)-yl, pyrrolidin-2(S)-yl, or azetidin-3-yl; the nitrogen atom of a piperidinyl, a pyrrolidinyl, or a azetidinyl ring of Z1 is substituted with —(CH2)qQ; q is 0, 1, or 2; Q is hydrogen, (C1-C6)-alkyl, —CH2CF3, (C3-C6)-alkenyl, (C3-C6)-alkynyl, (C3-C6)-cycloalkyl, phenyl, naphthyl, C(O)R3, CO2R3, C(O)NR4R5, a three- to six-membered heterocycle, or a five- to ten-membered heteroaryl; R3 is hydrogen, (C1-C6)-alkyl, trifluoromethyl, (C3-C6)-alkenyl, (C3-C6)-alkynyl, (CH2)m(C3-C6)-cycloalkyl, (CH2)mphenyl, or (CH2)m-(five- to ten-membered heteroaryl); and m is 0, 1, or 2. 17. A compound of Z1 is phenyl, 2-pyridyl, 3-pyridyl, or 4-pyridyl; and said phenyl or pyridyl rings may be optionally substituted with one or two of any one or combination of the following: halo, hydroxy, methoxy, methyl, or trifluoromethyl. 18. A compound of Z1 is phenyl; and said phenyl ring of Z1 is substituted with one or two of any one or combination of the following: halo, hydroxy, methoxy, methyl, or trifluoromethyl. 19. A compound of 20. A compound of 21. A compound of 22. A compound of q is 0 or 1; Q is (C1-C4)-alkyl, —CH2CF3, (C3-C6)-cycloalkyl, phenyl, C(O)R3, CO2R3, C(O)NHR5, a five- to six-membered heterocycle, or a five- to ten-membered heteroaryl; R3 is hydrogen, (C1-C4)-alkyl, trifluoromethyl, (CH2)m(C3-C6)-cycloalkyl, (CH2)mphenyl, or (CH2)m-(five- to six-membered heteroaryl); and m is 0, 1, or 2. 23. A compound of q is 1; and Q is (C1-C4)-alkyl, —CH2CF3, (C3-C6)-cycloalkyl, phenyl, a five- to six-membered heterocycle, or a five- to ten-membered heteroaryl. 24. A compound of q is 0; Q is hydrogen, (C1-C6)-alkyl, (CH2)pCF3, (C3-C6)- alkenyl, (C3-C6)-alkynyl, (C3-C6)-cycloalkyl, (C6-C14)-aryl, C(O)R3, CO2R3, C(O)NHR5, a three- to six-membered heterocycle, or a five- to ten-membered heteroaryl; phenyl or heteroaryl rings are optionally substituted with one-to-three of any one or combination of the following: halo, hydroxy, sulfhydryl, (C1-C3)-alkoxy, (C1-C3)-alkyl, (C1-C3)-alkylthio, trifluoromethyl, trifluoromethoxy, cyano, carboxy, carboxy(C1-C3)-alkyl, carbamoyl, or sulfamoyl. 25. A compound of wherein:
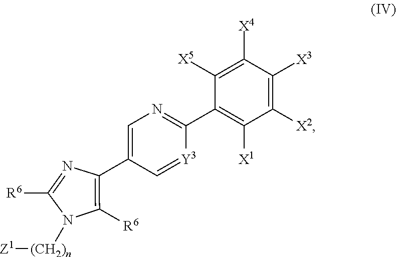
each X1, X2, X3, X4, and X5 is independently hydrogen or fluoro, with no more than two of X1, X2, X3, X4, and X5 being fluoro; n is 0, 1, 2, 3, or 4; Z1 is hydrogen, OR3, C(O)R3, CO2R3, C(O)NR4R5, SO2NR4R5, SO2R3, (C1-C6)-alkyl, (C3-C6)-cycloalkyl, (C3-C6)-alkenyl, (C3-C6)-alkynyl, (C6-C14)-aryl, (CH2)pCF3, a five- to ten-membered heteroaryl, or a three- to ten-membered heterocycle; wherein any one nitrogen atom of any heterocycle containing one or more nitrogen atoms that may be substituted with a non-ring atom are substituted with —(CH2)qQ; R3 is hydrogen, (C1-C6)-alkyl, trifluoromethyl, (C3-C6)-alkenyl, (C3-C6)-alkynyl, (CH2)m(C3-C6)-cycloalkyl, (CH2)mphenyl, (CH2)m-(five- to ten-membered heteroaryl), or (CH2)m(three- to ten-membered heterocycle), wherein any one nitrogen atom of any heterocycle containing one or more nitrogen atoms that may be substituted with a non-ring atom are substituted with —(CH2)qQ; m is 0, 1, 2, 3, or 4; q is 0, 1, 2, 3, or 4; Q is hydrogen, (C1-C6)-alkyl, (CH2)pCF3, (C3-C6)- alkenyl, (C3-C6)-alkynyl, (C3-C6)-cycloalkyl, (C6-C14)-aryl, C(O)R3, CO2R3, C(O)NR4R5, a three- to six-membered heterocycle, or a five- to ten-membered heteroaryl when q is 0, 1, 2, 3, or 4; Q may also be cyano, trifluoromethyl, or SO2NR4R5 when q is 1, 2, 3, or 4; Q may also be hydroxy, (C1-C6)-alkoxy, sulfhydryl, —S—(C1-C6)-alkyl, or NR4R5 when q is 2, 3, or 4; p is 1, 2, or 3; R3 may also be vinyl or ethynyl when R3 is not covalently bonded to an N or O atom; R3 may also be vinyl or ethynyl when R3 is not covalently bonded to an S atom possessing a −2 (minus 2) oxidation state; R4 and R5 are independently hydrogen, (C1-C6)-alkyl, (C3-C6)-alkenyl, (C3-C6)-alkynyl, (CH2)m(C3-C6)-cycloalkyl, (CH2)mphenyl, (CH2)m-(three- to ten-membered heterocycyl), or (CH2)m-(five- to ten-membered heteroaryl); the NR4R5 group of any C(O)NR4R5, SO2NR4R5, NR4R5, or N(H)C(O)NR4R5 may also form a pyrrolidine, a piperidine, a morpholine, a thiomorpholine, or a thiomorpholine S-dioxide; the NR4R5 group of any C(O)NR4R5, SO2NR4R5, NR4R5, or N(H)C(O)NR4R5 may also form a piperazine ring, wherein the other nitrogen atom of the piperazine ring is substituted with hydrogen, (C1-C6)-alkyl, CH2CF3, (C3-C6)-cycloalkyl, CH2(C3-C6)-cycloalkyl, phenyl, benzyl, hydroxyethyl, or hydroxypropyl; phenyl or heteroaryl rings of Z1 are optionally substituted with one-to-three of any one or combination of the following: halo, hydroxy, sulfhydryl, (C1-C3)-alkoxy, (C1-C3)-alkyl, (C1-C3)-alkylthio, trifluoromethyl, trifluoromethoxy, cyano, carboxy, carboxy(C1-C3)-alkyl, carbamoyl, or sulfamoyl; each R6 is independently hydrogen, methyl, trifluoromethyl, or amino; and each R7 is independently hydrogen or methyl. 26. A compound of wherein:
each X1, X2, X3, X4, and X5 is independently hydrogen or fluoro, with no more than two of X1, X2, X3, X4, and X5 being fluoro; n is 0, 1, 2, 3, or 4; Z1 is hydrogen, OR3, C(O)R3, CO2R3, C(O)NR4R5, SO2NR4R5, SO2R3, (C1-C6)-alkyl, (C3-C6)-cycloalkyl, (C3-C6)-alkenyl, (C3-C6)-alkynyl, (C6-C14)-aryl, (CH2)pCF3, a five- to ten-membered heteroaryl, or a three- to ten-membered heterocycle; wherein any one nitrogen atom of any heterocycle containing one or more nitrogen atoms that may be substituted with a non-ring atom are substituted with —(CH2)qQ; R3 is hydrogen, (C1-C6)-alkyl, trifluoromethyl, (C3-C6)-alkenyl, (C3-C6)-alkynyl, (CH2)m(C3-C6)-cycloalkyl, (CH2)mphenyl, (CH2)m-(five- to ten-membered heteroaryl), or (CH2)m(three- to ten-membered heterocycle), wherein any one nitrogen atom of any heterocycle containing one or more nitrogen atoms that may be substituted with a non-ring atom are substituted with —(CH2)qQ; m is 0, 1, 2, 3, or 4; q is 0, 1, 2, 3, or 4; Q is hydrogen, (C1-C6)-alkyl, (CH2)pCF3, (C3-C6)- alkenyl, (C3-C6)-alkynyl, (C3-C6)-cycloalkyl, (C6-C14)-aryl, C(O)R3, CO2R3, C(O)NR4R5, a three- to six-membered heterocycle, or a five- to ten-membered heteroaryl when q is 0, 1, 2, 3, or 4; Q may also be cyano, trifluoromethyl, or SO2NR4R5 when q is 1, 2, 3, or 4; Q may also be hydroxy, (C1-C6)-alkoxy, sulfhydryl, —S—(C1-C6)-alkyl, or NR4R5 when q is 2, 3, or 4; p is 1, 2, or 3; R3 may also be vinyl or ethynyl when R3 is not covalently bonded to an N or O atom; R3 may also be vinyl or ethynyl when R3 is not covalently bonded to an S atom possessing a −2 (minus 2) oxidation state; R4 and R5 are independently hydrogen, (C1-C6)-alkyl, (C3-C6)-alkenyl, (C3-C6)-alkynyl, (CH2)m(C3-C6)-cycloalkyl, (CH2)mphenyl, (CH2)m-(three- to ten-membered heterocycyl), or (CH2)m-(five- to ten-membered heteroaryl); the NR4R5 group of any C(O)NR4R5, SO2NR4R5, NR4R5, or N(H)C(O)NR4R5 may also form a pyrrolidine, a piperidine, a morpholine, a thiomorpholine, or a thiomorpholine S-dioxide; the NR4R5 group of any C(O)NR4R5, SO2NR4R5, NR4R5, or N(H)C(O)NR4R5 may also form a piperazine ring, wherein the other nitrogen atom of the piperazine ring is substituted with hydrogen, (C1-C6)-alkyl, CH2CF3, (C3-C6)-cycloalkyl, CH2(C3-C6)-cycloalkyl, phenyl, benzyl, hydroxyethyl, or hydroxypropyl; phenyl or heteroaryl rings of Z1 are optionally substituted with one-to-three of any one or combination of the following: halo, hydroxy, sulfhydryl, (C1-C3)-alkoxy, (C1-C3)-alkyl, (C1-C3)-alkylthio, trifluoromethyl, trifluoromethoxy, cyano, carboxy, carboxy(C1-C3)-alkyl, carbamoyl, or sulfamoyl; each R6 is independently hydrogen, methyl, trifluoromethyl, or amino; and each R7 is independently hydrogen or methyl. 27. A compound of wherein:
each X1, X2, X3, X4, and X5 is independently hydrogen or fluoro, with no more than two of X1, X2, X3, X4, and X5 being fluoro; n is 0, 1, 2, 3, or 4; Z1 is hydrogen, OR3, C(O)R3, CO2R3, C(O)NR4R5, SO2NR4R5, SO2R3, (C1-C6)-alkyl, (C3-C6)-cycloalkyl, (C3-C6)-alkenyl, (C3-C6)-alkynyl, (C6-C14)-aryl, (CH2)pCF3, a five- to ten-membered heteroaryl, or a three- to ten-membered heterocycle; wherein any one nitrogen atom of any heterocycle containing one or more nitrogen atoms that may be substituted with a non-ring atom are substituted with —(CH2)qQ; R3 is hydrogen, (C1-C6)-alkyl, trifluoromethyl, (C3-C6)-alkenyl, (C3-C6)-alkynyl, (CH2)m(C3-C6)-cycloalkyl, (CH2)mphenyl, (CH2)m-(five- to ten-membered heteroaryl), or (CH2)m(three- to ten-membered heterocycle), wherein any one nitrogen atom of any heterocycle containing one or more nitrogen atoms that may be substituted with a non-ring atom are substituted with —(CH2)qQ; m is 0, 1, 2, 3, or 4; q is 0, 1, 2, 3, or 4; Q is hydrogen, (C1-C6)-alkyl, (CH2)pCF3, (C3-C6)- alkenyl, (C3-C6)-alkynyl, (C3-C6)-cycloalkyl, (C6-C14)-aryl, C(O)R3, CO2R3, C(O)NR4R5, a three- to six-membered heterocycle, or a five- to ten-membered heteroaryl when q is 0, 1, 2, 3, or 4; Q may also be cyano, trifluoromethyl, or SO2NR4R5 when q is 1, 2, 3, or 4; Q may also be hydroxy, (C1-C6)-alkoxy, sulfhydryl, —S—(C1-C6)-alkyl, or NR4R5 when q is 2, 3, or 4; p is 1, 2, or 3; R3 may also be vinyl or ethynyl when R3 is not covalently bonded to an N or O atom; R3 may also be vinyl or ethynyl when R3 is not covalently bonded to an S atom possessing a −2 (minus 2) oxidation state; R4 and R5 are independently hydrogen, (C1-C6)-alkyl, (C3-C6)-alkenyl, (C3-C6)-alkynyl, (CH2)m(C3-C6)-cycloalkyl, (CH2)mphenyl, (CH2)m-(three- to ten-membered heterocycyl), or (CH2)m-(five- to ten-membered heteroaryl); the NR4R5 group of any C(O)NR4R5, SO2NR4R5, NR4R5, or N(H)C(O)NR4R5 may also form a pyrrolidine, a piperidine, a morpholine, a thiomorpholine, or a thiomorpholine S-dioxide; the NR4R5 group of any C(O)NR4R5, SO2NR4R5, NR4R5, or N(H)C(O)NR4R5 may also form a piperazine ring, wherein the other nitrogen atom of the piperazine ring is substituted with hydrogen, (C1-C6)-alkyl, CH2CF3, (C3-C6)-cycloalkyl, CH2(C3-C6)-cycloalkyl, phenyl, benzyl, hydroxyethyl, or hydroxypropyl; phenyl or heteroaryl rings of Z1 are optionally substituted with one-to-three of any one or combination of the following: halo, hydroxy, sulfhydryl, (C1-C3)-alkoxy, (C1-C3)-alkyl, (C1-C3)-alkylthio, trifluoromethyl, trifluoromethoxy, cyano, carboxy, carboxy(C1-C3)-alkyl, carbamoyl, or sulfamoyl; each R6 is independently hydrogen, methyl, trifluoromethyl, or amino; and each R7 is independently hydrogen or methyl. 28. A compound of 29. A compound of 30. A compound of wherein:
each X1, X2, X3, X4, and X5 is independently hydrogen or fluoro, with no more than two of X1, X2, X3, X4, and X5 being fluoro; n is 0, 1, 2, 3, or 4; Z1 is hydrogen, OR3, C(O)R3, CO2R3, C(O)NR4R5, SO2NR4R5, SO2R3, (C1-C6)-alkyl, (C3-C6)-cycloalkyl, (C3-C6)-alkenyl, (C3-C6)-alkynyl, (C6-C14)-aryl, (CH2)pCF3, a five- to ten-membered heteroaryl, or a three- to ten-membered heterocycle; wherein any one nitrogen atom of any heterocycle containing one or more nitrogen atoms that may be substituted with a non-ring atom are substituted with —(CH2)qQ; R3 is hydrogen, (C1-C6)-alkyl, trifluoromethyl, (C3-C6)-alkenyl, (C3-C6)-alkynyl, (CH2)m(C3-C6)-cycloalkyl, (CH2)mphenyl, (CH2)m-(five- to ten-membered heteroaryl), or (CH2)m(three- to ten-membered heterocycle), wherein any one nitrogen atom of any heterocycle containing one or more nitrogen atoms that may be substituted with a non-ring atom are substituted with —(CH2)qQ; m is 0, 1, 2, 3, or 4; q is 0, 1, 2, 3, or 4; Q is hydrogen, (C1-C6)-alkyl, (CH2)pCF3, (C3-C6)- alkenyl, (C3-C6)-alkynyl, (C3-C6)-cycloalkyl, (C6-C14)-aryl, C(O)R3, CO2R3, C(O)NR4R5, a three- to six-membered heterocycle, or a five- to ten-membered heteroaryl when q is 0, 1, 2, 3, or 4; Q may also be cyano, trifluoromethyl, or SO2NR4R5 when q is 1, 2, 3, or 4; Q may also be hydroxy, (C1-C6)-alkoxy, sulfhydryl, —S—(C1-C6)-alkyl, or NR4R5 when q is 2, 3, or 4; p is 1, 2, or 3; R3 may also be vinyl or ethynyl when R3 is not covalently bonded to an N or O atom; R3 may also be vinyl or ethynyl when R3 is not covalently bonded to an S atom possessing a −2 (minus 2) oxidation state; R4 and R5 are independently hydrogen, (C1-C6)-alkyl, (C3-C6)-alkenyl, (C3-C6)-alkynyl, (CH2)m(C3-C6)-cycloalkyl, (CH2)mphenyl, (CH2)m-(three- to ten-membered heterocycyl), or (CH2)m-(five- to ten-membered heteroaryl); the NR4R5 group of any C(O)NR4R5, SO2NR4R5, NR4R5, or N(H)C(O)NR4R5 may also form a pyrrolidine, a piperidine, a morpholine, a thiomorpholine, or a thiomorpholine S-dioxide; the NR4R5 group of any C(O)NR4R5, SO2NR4R5, NR4R5, or N(H)C(O)NR4R5 may also form a piperazine ring, wherein the other nitrogen atom of the piperazine ring is substituted with hydrogen, (C1-C6)-alkyl, CH2CF3, (C3-C6)-cycloalkyl, CH2(C3-C6)-cycloalkyl, phenyl, benzyl, hydroxyethyl, or hydroxypropyl; phenyl or heteroaryl rings of Z1 are optionally substituted with one-to-three of any one or combination of the following: halo, hydroxy, sulfhydryl, (C1-C3)-alkoxy, (C1-C3)-alkyl, (C1-C3)-alkylthio, trifluoromethyl, trifluoromethoxy, cyano, carboxy, carboxy(C1-C3)-alkyl, carbamoyl, or sulfamoyl; each R6 is independently hydrogen, methyl, trifluoromethyl, or amino; and each R7 is independently hydrogen or methyl. 31. A compound of wherein:
each X1, X2, X3, X4, and X5 is independently hydrogen or fluoro, with no more than two of X1, X2, X3, X4, and X5 being fluoro; n is 0, 1, 2, 3, or 4; Z1 is hydrogen, OR3, C(O)R3, CO2R3, C(O)NR4R5, SO2NR4R5, SO2R3, (C1-C6)-alkyl, (C3-C6)-cycloalkyl, (C3-C6)-alkenyl, (C3-C6)-alkynyl, (C6-C14)-aryl, (CH2)pCF3, a five- to ten-membered heteroaryl, or a three- to ten-membered heterocycle; wherein any one nitrogen atom of any heterocycle containing one or more nitrogen atoms that may be substituted with a non-ring atom are substituted with —(CH2)qQ; R3 is hydrogen, (C1-C6)-alkyl, trifluoromethyl, (C3-C6)-alkenyl, (C3-C6)-alkynyl, (CH2)m(C3-C6)-cycloalkyl, (CH2)mphenyl, (CH2)m-(five- to ten-membered heteroaryl), or (CH2)m(three- to ten-membered heterocycle), wherein any one nitrogen atom of any heterocycle containing one or more nitrogen atoms that may be substituted with a non-ring atom are substituted with —(CH2)qQ; m is 0, 1, 2, 3, or 4; q is 0, 1, 2, 3, or 4; Q is hydrogen, (C1-C6)-alkyl, (CH2)pCF3, (C3-C6)-alkenyl, (C3-C6)-alkynyl, (C3-C6)-cycloalkyl, (C6-C14)-aryl, C(O)R3, CO2R3, C(O)NR4R5, a three- to six-membered heterocycle, or a five- to ten-membered heteroaryl when q is 0, 1, 2, 3, or 4; Q may also be cyano, trifluoromethyl, or SO2NR4R5 when q is 1, 2, 3, or 4; Q may also be hydroxy, (C1-C6)-alkoxy, sulfhydryl, —S—(C1-C6)-alkyl, or NR4R5 when q is 2, 3, or 4; p is 1, 2, or 3; R3 may also be vinyl or ethynyl when R3 is not covalently bonded to an N or O atom; R3 may also be vinyl or ethynyl when R3 is not covalently bonded to an S atom possessing a −2 (minus 2) oxidation state; R4 and R5 are independently hydrogen, (C1-C6)-alkyl, (C3-C6)-alkenyl, (C3-C6)-alkynyl, (CH2)m(C3-C6)-cycloalkyl, (CH2)mphenyl, (CH2)m-(three- to ten-membered heterocycyl), or (CH2)m-(five- to ten-membered heteroaryl); the NR4R5 group of any C(O)NR4R5, SO2NR4R5, NR4R5, or N(H)C(O)NR4R5 may also form a pyrrolidine, a piperidine, a morpholine, a thiomorpholine, or a thiomorpholine S-dioxide; the NR4R5 group of any C(O)NR4R5, SO2NR4R5, NR4R5, or N(H)C(O)NR4R5 may also form a piperazine ring, wherein the other nitrogen atom of the piperazine ring is substituted with hydrogen, (C1-C6)-alkyl, CH2CF3, (C3-C6)-cycloalkyl, CH2(C3-C6)-cycloalkyl, phenyl, benzyl, hydroxyethyl, or hydroxypropyl; phenyl or heteroaryl rings of Z1 are optionally substituted with one-to-three of any one or combination of the following: halo, hydroxy, sulfhydryl, (C1-C3)-alkoxy, (C1-C3)-alkyl, (C1-C3)-alkylthio, trifluoromethyl, trifluoromethoxy, cyano, carboxy, carboxy (C1-C3)-alkyl, carbamoyl, or sulfamoyl; each R6 is independently hydrogen, methyl, trifluoromethyl, or amino; and each R7 is independently hydrogen or methyl. 32. A compound of 33. A compound of 34. A compound of wherein:
each X1, X2, X3, X4, and X5 is independently hydrogen or fluoro, with no more than two of X1, X2, X3, X4, and X5 being fluoro; n is 0, 1, 2, 3, or 4; Z1 is hydrogen, OR3, C(O)R3, CO2R3, C(O)NR4R5, SO2NR4R5, SO2R3, (C1-C6)-alkyl, (C3-C6)-cycloalkyl, (C3-C6)-alkenyl, (C3-C6)-alkynyl, (C6-C14)-aryl, (CH2)pCF3, a five- to ten-membered heteroaryl, or a three- to ten-membered heterocycle; wherein any one nitrogen atom of any heterocycle containing one or more nitrogen atoms that may be substituted with a non-ring atom are substituted with —(CH2)qQ; R3 is hydrogen, (C1-C6)-alkyl, trifluoromethyl, (C3-C6)-alkenyl, (C3-C6)-alkynyl, (CH2)m(C3-C6)-cycloalkyl, (CH2)mphenyl, (CH2)m-(five- to ten-membered heteroaryl), or (CH2)m(three- to ten-membered heterocycle), wherein any one nitrogen atom of any heterocycle containing one or more nitrogen atoms that may be substituted with a non-ring atom are substituted with —(CH2)qQ; m is 0, 1, 2, 3, or 4; q is 0, 1, 2, 3, or 4; Q is hydrogen, (C1-C6)-alkyl, (CH2)pCF3, (C3-C6)- alkenyl, (C3-C6)-alkynyl, (C3-C6)-cycloalkyl, (C6-C14)-aryl, C(O)R3, CO2R3, C(O)NR4R5, a three- to six-membered heterocycle, or a five- to ten-membered heteroaryl when q is 0, 1, 2, 3, or 4; Q may also be cyano, trifluoromethyl, or SO2NR4R5 when q is 1, 2, 3, or 4; Q may also be hydroxy, (C1-C6)-alkoxy, sulfhydryl, —S—(C1-C6)-alkyl, or NR4R5 when q is 2, 3, or 4; p is 1, 2, or 3; R3 may also be vinyl or ethynyl when R3 is not covalently bonded to an N or O atom; R3 may also be vinyl or ethynyl when R3 is not covalently bonded to an S atom possessing a −2 (minus 2) oxidation state; R4 and R5 are independently hydrogen, (C1-C6)-alkyl, (C3-C6)-alkenyl, (C3-C6)-alkynyl, (CH2)m(C3-C6)-cycloalkyl, (CH2)mphenyl, (CH2)m-(three- to ten-membered heterocycyl), or (CH2)m-(five- to ten-membered heteroaryl); the NR4R5 group of any C(O)NR4R5, SO2NR4R5, NR4R5, or N(H)C(O)NR4R5 may also form a pyrrolidine, a piperidine, a morpholine, a thiomorpholine, or a thiomorpholine S-dioxide; the NR4R5 group of any C(O)NR4R5, SO2NR4R5, NR4R5, or N(H)C(O)NR4R5 may also form a piperazine ring, wherein the other nitrogen atom of the piperazine ring is substituted with hydrogen, (C1-C6)-alkyl, CH2CF3, (C3-C6)-cycloalkyl, CH2(C3-C6)-cycloalkyl, phenyl, benzyl, hydroxyethyl, or hydroxypropyl; phenyl or heteroaryl rings of Z1 are optionally substituted with one-to-three of any one or combination of the following: halo, hydroxy, sulfhydryl, (C1-C3)-alkoxy, (C1-C3)-alkyl, (C1-C3)-alkylthio, trifluoromethyl, trifluoromethoxy, cyano, carboxy, carboxy(C1-C3)-alkyl, carbamoyl, or sulfamoyl; each R6 is independently hydrogen, methyl, trifluoromethyl, or amino; and each R7 is independently hydrogen or methyl. 35. A compound of 36. A compound of 37. A compound of wherein:
each X1, X2, X3, X4, and X5 is independently hydrogen or fluoro, with no more than two of X1, X2, X3, X4, and X5 being fluoro; W is a covalent bond, O, or CO; n is 0, 1, 2, 3, or 4; Z1 is hydrogen, OR3, C(O)R3, CO2R3, C(O)NR4R5, SO2NR4R5, SO2R3, (C1-C6)-alkyl, (C3-C6)-cycloalkyl, (C3-C6)-alkenyl, (C3-C6)-alkynyl, (C6-C14)-aryl, (CH2)pCF3, a five- to ten-membered heteroaryl, or a three- to ten-membered heterocycle; wherein any one nitrogen atom of any heterocycle containing one or more nitrogen atoms that may be substituted with a non-ring atom are substituted with —(CH2)qQ; R3 is hydrogen, (C1-C6)-alkyl, trifluoromethyl, (C3-C6)-alkenyl, (C3-C6)-alkynyl, (CH2)m(C3-C6)-cycloalkyl, (CH2)mphenyl, (CH2)m-(five- to ten-membered heteroaryl), or (CH2)m(three- to ten-membered heterocycle), wherein any one nitrogen atom of any heterocycle containing one or more nitrogen atoms that may be substituted with a non-ring atom are substituted with —(CH2)qQ; m is 0, 1, 2, 3, or 4; q is 0, 1, 2, 3, or 4; Q is hydrogen, (C1-C6)-alkyl, (CH2)pCF3, (C3-C6)- alkenyl, (C3-C6)-alkynyl, (C3-C6)-cycloalkyl, (C6-C14)-aryl, C(O)R3, CO2R3, C(O)NR4R5, a three- to six-membered heterocycle, or a five- to ten-membered heteroaryl when q is 0, 1, 2, 3, or 4; Q may also be cyano, trifluoromethyl, or SO2NR4R5 when q is 1, 2, 3, or 4; Q may also be hydroxy, (C1-C6)-alkoxy, sulfhydryl, —S—(C1-C6)-alkyl, or NR4R5 when q is 2, 3, or 4; p is 1, 2, or 3; R3 may also be vinyl or ethynyl when R3 is not covalently bonded to an N or O atom; R3 may also be vinyl or ethynyl when R3 is not covalently bonded to an S atom possessing a −2 (minus 2) oxidation state; R4 and R5 are independently hydrogen, (C1-C6)-alkyl, (C3-C6)-alkenyl, (C3-C6)-alkynyl, (CH2)m(C3-C6)-cycloalkyl, (CH2)mphenyl, (CH2)m-(three- to ten-membered heterocycyl), or (CH2)m-(five- to ten-membered heteroaryl); the NR4R5 group of any C(O)NR4R5, SO2NR4R5, NR4R5, or N(H)C(O)NR4R5 may also form a pyrrolidine, a piperidine, a morpholine, a thiomorpholine, or a thiomorpholine S-dioxide; the NR4R5 group of any C(O)NR4R5, SO2NR4R5, NR4R5, or N(H)C(O)NR4R5 may also form a piperazine ring, wherein the other nitrogen atom of the piperazine ring is substituted with hydrogen, (C1-C6)-alkyl, CH2CF3, (C3-C6)-cycloalkyl, CH2(C3-C6)-cycloalkyl, phenyl, benzyl, hydroxyethyl, or hydroxypropyl; phenyl or heteroaryl rings of Z1 are optionally substituted with one-to-three of any one or combination of the following: halo, hydroxy, sulfhydryl, (C1-C3)-alkoxy, (C1-C3)-alkyl, (C1-C3)-alkylthio, trifluoromethyl, trifluoromethoxy, cyano, carboxy, carboxy(C1-C3)-alkyl, carbamoyl, or sulfamoyl; each R6 is independently hydrogen, methyl, trifluoromethyl, or amino; and each R7 is independently hydrogen or methyl. 38. A compound of wherein:
each X1, X2, X3, X4, and X5 is independently hydrogen or fluoro, with no more than two of X1, X2, X3, X4, and X5 being fluoro; W is a covalent bond, O, or CO; n is 0, 1, 2, 3, or 4; Z1 is hydrogen, OR3, C(O)R3, CO2R3, C(O)NR4R5, SO2NR4R5, SO2R3, (C1-C6)-alkyl, (C3-C6)-cycloalkyl, (C3-C6)-alkenyl, (C3-C6)-alkynyl, (C6-C14)-aryl, (CH2)pCF3, a five- to ten-membered heteroaryl, or a three- to ten-membered heterocycle; wherein any one nitrogen atom of any heterocycle containing one or more nitrogen atoms that may be substituted with a non-ring atom are substituted with —(CH2)qQ; R3 is hydrogen, (C1-C6)-alkyl, trifluoromethyl, (C3-C6)-alkenyl, (C3-C6)-alkynyl, (CH2)m(C3-C6)-cycloalkyl, (CH2)mphenyl, (CH2)m-(five- to ten-membered heteroaryl), or (CH2)m(three- to ten-membered heterocycle), wherein any one nitrogen atom of any heterocycle containing one or more nitrogen atoms that may be substituted with a non-ring atom are substituted with —(CH2)qQ; m is 0, 1, 2, 3, or 4; q is 0, 1, 2, 3, or 4; Q is hydrogen, (C1-C6)-alkyl, (CH2)pCF3, (C3-C6)- alkenyl, (C3-C6)-alkynyl, (C3-C6)-cycloalkyl, (C6-C14)-aryl, C(O)R3, CO2R3, C(O)NR4R5, a three- to six-membered heterocycle, or a five- to ten-membered heteroaryl when q is 0, 1, 2, 3, or 4; Q may also be cyano, trifluoromethyl, or SO2NR4R5 when q is 1, 2, 3, or 4; Q may also be hydroxy, (C1-C6)-alkoxy, sulfhydryl, —S—(C1-C6)-alkyl, or NR4R5 when q is 2, 3, or 4; p is 1, 2, or 3; R3 may also be vinyl or ethynyl when R3 is not covalently bonded to an N or O atom; R3 may also be vinyl or ethynyl when R3 is not covalently bonded to an S atom possessing a −2 (minus 2) oxidation state; R4 and R5 are independently hydrogen, (C1-C6)-alkyl, (C3-C6)-alkenyl, (C3-C6)-alkynyl, (CH2)m(C3-C6)-cycloalkyl, (CH2)mphenyl, (CH2)m-(three- to ten-membered heterocycyl), or (CH2)m-(five- to ten-membered heteroaryl); the NR4R5 group of any C(O)NR4R5, SO2NR4R5, NR4R5, or N(H)C(O)NR4R5 may also form a pyrrolidine, a piperidine, a morpholine, a thiomorpholine, or a thiomorpholine S-dioxide; the NR4R5 group of any C(O)NR4R5, SO2NR4R5, NR4R5, or N(H)C(O)NR4R5 may also form a piperazine ring, wherein the other nitrogen atom of the piperazine ring is substituted with hydrogen, (C1-C6)-alkyl, CH2CF3, (C3-C6)-cycloalkyl, CH2(C3-C6)-cycloalkyl, phenyl, benzyl, hydroxyethyl, or hydroxypropyl; phenyl or heteroaryl rings of Z1 are optionally substituted with one-to-three of any one or combination of the following: halo, hydroxy, sulfhydryl, (C1-C3)-alkoxy, (C1-C3)-alkyl, (C1-C3)-alkylthio, trifluoromethyl, trifluoromethoxy, cyano, carboxy, carboxy(C1-C3)-alkyl, carbamoyl, or sulfamoyl; each R6 is independently hydrogen, methyl, trifluoromethyl, or amino; and each R7 is independently hydrogen or methyl. 39. A compound of 40. A compound of 41. A compound of wherein:
each X1, X2, X3, X4, and X5 is independently hydrogen or fluoro, with no more than two of X1, X2, X3, X4, and X5 being fluoro; W is a covalent bond, O, or CO; n is 0, 1, 2, 3, or 4; Z1 is hydrogen, OR3, C(O)R3, CO2R3, C(O)NR4R5, SO2NR4R5, SO2R3, (C1-C6)-alkyl, (C3-C6)-cycloalkyl, (C3-C6)-alkenyl, (C3-C6)-alkynyl, (C6-C14)-aryl, (CH2)pCF3, a five- to ten-membered heteroaryl, or a three- to ten-membered heterocycle; wherein any one nitrogen atom of any heterocycle containing one or more nitrogen atoms that may be substituted with a non-ring atom are substituted with —(CH2)qQ; R3 is hydrogen, (C1-C6)-alkyl, trifluoromethyl, (C3-C6)-alkenyl, (C3-C6)-alkynyl, (CH2)m(C3-C6)-cycloalkyl, (CH2)mphenyl, (CH2)m-(five- to ten-membered heteroaryl), or (CH2)m(three- to ten-membered heterocycle), wherein any one nitrogen atom of any heterocycle containing one or more nitrogen atoms that may be substituted with a non-ring atom are substituted with —(CH2)qQ; m is 0, 1, 2, 3, or 4; q is 0, 1, 2, 3, or 4; Q is hydrogen, (C1-C6)-alkyl, (CH2)pCF3, (C3-C6)- alkenyl, (C3-C6)-alkynyl, (C3-C6)-cycloalkyl, (C6-C14)-aryl, C(O)R3, CO2R3, C(O)NR4R5, a three- to six-membered heterocycle, or a five- to ten-membered heteroaryl when q is 0, 1, 2, 3, or 4; Q may also be cyano, trifluoromethyl, or SO2NR4R5 when q is 1, 2, 3, or 4; Q may also be hydroxy, (C1-C6)-alkoxy, sulfhydryl, —S—(C1-C6)-alkyl, or NR4R5 when q is 2, 3, or 4; p is 1, 2, or 3; R3 may also be vinyl or ethynyl when R3 is not covalently bonded to an N or O atom; R3 may also be vinyl or ethynyl when R3 is not covalently bonded to an S atom possessing a −2 (minus 2) oxidation state; R4 and R5 are independently hydrogen, (C1-C6)-alkyl, (C3-C6)-alkenyl, (C3-C6)-alkynyl, (CH2)m(C3-C6)-cycloalkyl, (CH2)mphenyl, (CH2)m-(three- to ten-membered heterocycyl), or (CH2)m-(five- to ten-membered heteroaryl); the NR4R5 group of any C(O)NR4R5, SO2NR4R5, NR4R5, or N(H)C(O)NR4R5 may also form a pyrrolidine, a piperidine, a morpholine, a thiomorpholine, or a thiomorpholine S-dioxide; the NR4R5 group of any C(O)NR4R5, SO2NR4R5, NR4R5, or N(H)C(O)NR4R5 may also form a piperazine ring, wherein the other nitrogen atom of the piperazine ring is substituted with hydrogen, (C1-C6)-alkyl, CH2CF3, (C3-C6)-cycloalkyl, CH2(C3-C6)-cycloalkyl, phenyl, benzyl, hydroxyethyl, or hydroxypropyl; phenyl or heteroaryl rings of Z1 are optionally substituted with one-to-three of any one or combination of the following: halo, hydroxy, sulfhydryl, (C1-C3)-alkoxy, (C1-C3)-alkyl, (C1-C3)-alkylthio, trifluoromethyl, trifluoromethoxy, cyano, carboxy, carboxy(C1-C3)-alkyl, carbamoyl, or sulfamoyl; each R6 is independently hydrogen, methyl, trifluoromethyl, or amino; and each R7 is independently hydrogen or methyl. 42. A compound of 43. A compound of 44. A compound of wherein:
each X1, X2, X3, X4, and X5 is independently hydrogen or fluoro, with no more than two of X1, X2, X3, X4, and X5 being fluoro; W is a covalent bond, O, or CO; n is 0, 1, 2, 3, or 4; Z1 is hydrogen, OR3, C(O)R3, CO2R3, C(O)NR4R5, SO2NR4R5, SO2R3, (C1-C6)-alkyl, (C3-C6)-cycloalkyl, (C3-C6)-alkenyl, (C3-C6)-alkynyl, (C6-C14)-aryl, (CH2)pCF3, a five- to ten-membered heteroaryl, or a three- to ten-membered heterocycle; wherein any one nitrogen atom of any heterocycle containing one or more nitrogen atoms that may be substituted with a non-ring atom are substituted with —(CH2)qQ; R3 is hydrogen, (C1-C6)-alkyl, trifluoromethyl, (C3-C6)-alkenyl, (C3-C6)-alkynyl, (CH2)m(C3-C6)-cycloalkyl, (CH2)mphenyl, (CH2)m-(five- to ten-membered heteroaryl), or (CH2)m(three- to ten-membered heterocycle), wherein any one nitrogen atom of any heterocycle containing one or more nitrogen atoms that may be substituted with a non-ring atom are substituted with —(CH2)qQ; m is 0, 1, 2, 3, or 4; q is 0, 1, 2, 3, or 4; Q is hydrogen, (C1-C6)-alkyl, (CH2)pCF3, (C3-C6)- alkenyl, (C3-C6)-alkynyl, (C3-C6)-cycloalkyl, (C6-C14)-aryl, C(O)R3, CO2R3, C(O)NR4R5, a three- to six-membered heterocycle, or a five- to ten-membered heteroaryl when q is 0, 1, 2, 3, or 4; Q may also be cyano, trifluoromethyl, or SO2NR4R5 when q is 1, 2, 3, or 4; Q may also be hydroxy, (C1-C6)-alkoxy, sulfhydryl, —S—(C1-C6)-alkyl, or NR4R5 when q is 2, 3, or 4; p is 1, 2, or 3; R3 may also be vinyl or ethynyl when R3 is not covalently bonded to an N or O atom; R3 may also be vinyl or ethynyl when R3 is not covalently bonded to an S atom possessing a −2 (minus 2) oxidation state; R4 and R5 are independently hydrogen, (C1-C6)-alkyl, (C3-C6)-alkenyl, (C3-C6)-alkynyl, (CH2)m(C3-C6)-cycloalkyl, (CH2)mphenyl, (CH2)m-(three- to ten-membered heterocycyl), or (CH2)m-(five- to ten-membered heteroaryl); the NR4R5 group of any C(O)NR4R5, SO2NR4R5, NR4R5, or N(H)C(O)NR4R5 may also form a pyrrolidine, a piperidine, a morpholine, a thiomorpholine, or a thiomorpholine S-dioxide; the NR4R5 group of any C(O)NR4R5, SO2NR4R5, NR4R5, or N(H)C(O)NR4R5 may also form a piperazine ring, wherein the other nitrogen atom of the piperazine ring is substituted with hydrogen, (C1-C6)-alkyl, CH2CF3, (C3-C6)-cycloalkyl, CH2(C3-C6)-cycloalkyl, phenyl, benzyl, hydroxyethyl, or hydroxypropyl; phenyl or heteroaryl rings of Z1 are optionally substituted with one-to-three of any one or combination of the following: halo, hydroxy, sulfhydryl, (C1-C3)-alkoxy, (C1-C3)-alkyl, (C1-C3)-alkylthio, trifluoromethyl, trifluoromethoxy, cyano, carboxy, carboxy(C1-C3)-alkyl, carbamoyl, or sulfamoyl; each R6 is independently hydrogen, methyl, trifluoromethyl, or amino; and each R7 is independently hydrogen or methyl. 45. A compound of wherein:
each X1, X2, X3, X4, and X5 is independently hydrogen or fluoro, with no more than two of X1, X2, X3, X4, and X5 being fluoro; W is a covalent bond, O, or CO; n is 0, 1, 2, 3, or 4; Z1 is hydrogen, OR3, C(O)R3, CO2R3, C(O)NR4R5, SO2NR4R5, SO2R3, (C1-C6)-alkyl, (C3-C6)-cycloalkyl, (C3-C6)-alkenyl, (C3-C6)-alkynyl, (C6-C14)-aryl, (CH2)pCF3, a five- to ten-membered heteroaryl, or a three- to ten-membered heterocycle; wherein any one nitrogen atom of any heterocycle containing one or more nitrogen atoms that may be substituted with a non-ring atom are substituted with —(CH2)qQ; R3 is hydrogen, (C1-C6)-alkyl, trifluoromethyl, (C3-C6)-alkenyl, (C3-C6)-alkynyl, (CH2)m(C3-C6)-cycloalkyl, (CH2)mphenyl, (CH2)m-(five- to ten-membered heteroaryl), or (CH2)m(three- to ten-membered heterocycle), wherein any one nitrogen atom of any heterocycle containing one or more nitrogen atoms that may be substituted with a non-ring atom are substituted with —(CH2)qQ; m is 0, 1, 2, 3, or 4; q is 0, 1, 2, 3, or 4; Q is hydrogen, (C1-C6)-alkyl, (CH2)pCF3, (C3-C6)- alkenyl, (C3-C6)-alkynyl, (C3-C6)-cycloalkyl, (C6-C14)-aryl, C(O)R3, CO2R3, C(O)NR4R5, a three- to six-membered heterocycle, or a five- to ten-membered heteroaryl when q is 0, 1, 2, 3, or 4; Q may also be cyano, trifluoromethyl, or SO2NR4R5 when q is 1, 2, 3, or 4; Q may also be hydroxy, (C1-C6)-alkoxy, sulfhydryl, —S—(C1-C6)-alkyl, or NR4R5 when q is 2, 3, or 4; p is 1, 2, or 3; R3 may also be vinyl or ethynyl when R3 is not covalently bonded to an N or O atom; R3 may also be vinyl or ethynyl when R3 is not covalently bonded to an S atom possessing a −2 (minus 2) oxidation state; R4 and R5 are independently hydrogen, (C1-C6)-alkyl, (C3-C6)-alkenyl, (C3-C6)-alkynyl, (CH2)m(C3-C6)-cycloalkyl, (CH2)mphenyl, (CH2)m-(three- to ten-membered heterocycyl), or (CH2)m-(five- to ten-membered heteroaryl); the NR4R5 group of any C(O)NR4R5, SO2NR4R5, NR4R5, or N(H)C(O)NR4R5 may also form a pyrrolidine, a piperidine, a morpholine, a thiomorpholine, or a thiomorpholine S-dioxide; the NR4R5 group of any C(O)NR4R5, SO2NR4R5, NR4R5, or N(H)C(O)NR4R5 may also form a piperazine ring, wherein the other nitrogen atom of the piperazine ring is substituted with hydrogen, (C1-C6)-alkyl, CH2CF3, (C3-C6)-cycloalkyl, CH2(C3-C6)-cycloalkyl, phenyl, benzyl, hydroxyethyl, or hydroxypropyl; phenyl or heteroaryl rings of Z1 are optionally substituted with one-to-three of any one or combination of the following: halo, hydroxy, sulfhydryl, (C1-C3)-alkoxy, (C1-C3)-alkyl, (C1-C3)-alkylthio, trifluoromethyl, trifluoromethoxy, cyano, carboxy, carboxy (C1-C3)-alkyl, carbamoyl, or sulfamoyl; each R6 is independently hydrogen, methyl, trifluoromethyl, or amino; and each R7 is independently hydrogen or methyl. 46. A compound of 47. A compound of 48. A compound of wherein:
each X1, X2, X3, X4, and X5 is independently hydrogen or fluoro, with no more than two of X1, X2, X3, X4, and X5 being fluoro; W is a covalent bond, O, or CO; n is 0, 1, 2, 3, or 4; Z1 is hydrogen, OR3, C(O)R3, CO2R3, C(O)NR4R5, SO2NR4R5, SO2R3, (C1-C6)-alkyl, (C3-C6)-cycloalkyl, (C3-C6)-alkenyl, (C3-C6)-alkynyl, (C6-C14)-aryl, (CH2)pCF3, a five- to ten-membered heteroaryl, or a three- to ten-membered heterocycle; wherein any one nitrogen atom of any heterocycle containing one or more nitrogen atoms that may be substituted with a non-ring atom are substituted with —(CH2)qQ; R3 is hydrogen, (C1-C6)-alkyl, trifluoromethyl, (C3-C6)-alkenyl, (C3-C6)-alkynyl, (CH2)m(C3-C6)-cycloalkyl, (CH2)mphenyl, (CH2)m-(five- to ten-membered heteroaryl), or (CH2)m(three- to ten-membered heterocycle), wherein any one nitrogen atom of any heterocycle containing one or more nitrogen atoms that may be substituted with a non-ring atom are substituted with —(CH2)qQ; m is 0, 1, 2, 3, or 4; q is 0, 1, 2, 3, or 4; Q is hydrogen, (C1-C6)-alkyl, (CH2)pCF3, (C3-C6)- alkenyl, (C3-C6)-alkynyl, (C3-C6)-cycloalkyl, (C6-C14)-aryl, C(O)R3, CO2R3, C(O)NR4R5, a three- to six-membered heterocycle, or a five- to ten-membered heteroaryl when q is 0, 1, 2, 3, or 4; Q may also be cyano, trifluoromethyl, or SO2NR4R5 when q is 1, 2, 3, or 4; Q may also be hydroxy, (C1-C6)-alkoxy, sulfhydryl, —S—(C1-C6)-alkyl, or NR4R5 when q is 2, 3, or 4; p is 1, 2, or 3; R3 may also be vinyl or ethynyl when R3 is not covalently bonded to an N or O atom; R3 may also be vinyl or ethynyl when R3 is not covalently bonded to an S atom possessing a −2 (minus 2) oxidation state; R4 and R5 are independently hydrogen, (C1-C6)-alkyl, (C3-C6)-alkenyl, (C3-C6)-alkynyl, (CH2)m(C3-C6)-cycloalkyl, (CH2)mphenyl, (CH2)m-(three- to ten-membered heterocycyl), or (CH2)m-(five- to ten-membered heteroaryl); the NR4R5 group of any C(O)NR4R5, SO2NR4R5, NR4R5, or N(H)C(O)NR4R5 may also form a pyrrolidine, a piperidine, a morpholine, a thiomorpholine, or a thiomorpholine S-dioxide; the NR4R5 group of any C(O)NR4R5, SO2NR4R5, NR4R5, or N(H)C(O)NR4R5 may also form a piperazine ring, wherein the other nitrogen atom of the piperazine ring is substituted with hydrogen, (C1-C6)-alkyl, CH2CF3, (C3-C6)-cycloalkyl, CH2(C3-C6)-cycloalkyl, phenyl, benzyl, hydroxyethyl, or hydroxypropyl; phenyl or heteroaryl rings of Z1 are optionally substituted with one-to-three of any one or combination of the following: halo, hydroxy, sulfhydryl, (C1-C3)-alkoxy, (C1-C3)-alkyl, (C1-C3)-alkylthio, trifluoromethyl, trifluoromethoxy, cyano, carboxy, carboxy(C1-C3)-alkyl, carbamoyl, or sulfamoyl; each R6 is independently hydrogen, methyl, trifluoromethyl, or amino; and each R7 is independently hydrogen or methyl. 49. A compound of 50. A compound of 51. A compound of wherein:
each X1, X2, X3, X4, and X5 is independently hydrogen or fluoro, with no more than two of X1, X2, X3, X4, and X5 being fluoro; W is a covalent bond, O, or CO; n is 0, 1, 2, 3, or 4; Z1 is hydrogen, OR3, C(O)R3, CO2R3, C(O)NR4R5, SO2NR4R5, SO2R3, (C1-C6)-alkyl, (C3-C6)-cycloalkyl, (C3-C6)-alkenyl, (C3-C6)-alkynyl, (C6-C14)-aryl, (CH2)pCF3, a five- to ten-membered heteroaryl, or a three- to ten-membered heterocycle; wherein any one nitrogen atom of any heterocycle containing one or more nitrogen atoms that may be substituted with a non-ring atom are substituted with —(CH2)qQ; R3 is hydrogen, (C1-C6)-alkyl, trifluoromethyl, (C3-C6)-alkenyl, (C3-C6)-alkynyl, (CH2)m(C3-C6)-cycloalkyl, (CH2)mphenyl, (CH2)m-(five- to ten-membered heteroaryl), or (CH2)m(three- to ten-membered heterocycle), wherein any one nitrogen atom of any heterocycle containing one or more nitrogen atoms that may be substituted with a non-ring atom are substituted with —(CH2)qQ; m is 0, 1, 2, 3, or 4; q is 0, 1, 2, 3, or 4; Q is hydrogen, (C1-C6)-alkyl, (CH2)pCF3, (C3-C6)- alkenyl, (C3-C6)-alkynyl, (C3-C6)-cycloalkyl, (C6-C14)-aryl, C(O)R3, CO2R3, C(O)NR4R5, a three- to six-membered heterocycle, or a five- to ten-membered heteroaryl when q is 0, 1, 2, 3, or 4; Q may also be cyano, trifluoromethyl, or SO2NR4R5 when q is 1, 2, 3, or 4; Q may also be hydroxy, (C1-C6)-alkoxy, sulfhydryl, —S—(C1-C6)-alkyl, or NR4R5 when q is 2, 3, or 4; p is 1, 2, or 3; R3 may also be vinyl or ethynyl when R3 is not covalently bonded to an N or O atom; R3 may also be vinyl or ethynyl when R3 is not covalently bonded to an S atom possessing a −2 (minus 2) oxidation state; R4 and R5 are independently hydrogen, (C1-C6)-alkyl, (C3-C6)-alkenyl, (C3-C6)-alkynyl, (CH2)m(C3-C6)-cycloalkyl, (CH2)mphenyl, (CH2)m-(three- to ten-membered heterocycyl), or (CH2)m-(five- to ten-membered heteroaryl); the NR4R5 group of any C(O)NR4R5, SO2NR4R5, NR4R5, or N(H)C(O)NR4R5 may also form a pyrrolidine, a piperidine, a morpholine, a thiomorpholine, or a thiomorpholine S-dioxide; the NR4R5 group of any C(O)NR4R5, SO2NR4R5, NR4R5, or N(H)C(O)NR4R5 may also form a piperazine ring, wherein the other nitrogen atom of the piperazine ring is substituted with hydrogen, (C1-C6)-alkyl, CH2CF3, (C3-C6)-cycloalkyl, CH2(C3-C6)-cycloalkyl, phenyl, benzyl, hydroxyethyl, or hydroxypropyl; phenyl or heteroaryl rings of Z1 are optionally substituted with one-to-three of any one or combination of the following: halo, hydroxy, sulfhydryl, (C1-C3)-alkoxy, (C1-C3)-alkyl, (C1-C3)-alkylthio, trifluoromethyl, trifluoromethoxy, cyano, carboxy, carboxy(C1-C3)-alkyl, carbamoyl, or sulfamoyl; each R6 is independently hydrogen, methyl, trifluoromethyl, or amino; and each R7 is independently hydrogen or methyl. 52. A compound of wherein:
each X1, X2, X3, X4, and X5 is independently hydrogen or fluoro, with no more than two of X1, X2, X3, X4, and X5 being fluoro; W is a covalent bond, O, or CO; n is 0, 1, 2, 3, or 4; Z1 is hydrogen, OR3, C(O)R3, CO2R3, C(O)NR4R5, SO2NR4R5, SO2R3, (C1-C6)-alkyl, (C3-C6)-cycloalkyl, (C3-C6)-alkenyl, (C3-C6)-alkynyl, (C6-C14)-aryl, (CH2)pCF3, a five- to ten-membered heteroaryl, or a three- to ten-membered heterocycle; wherein any one nitrogen atom of any heterocycle containing one or more nitrogen atoms that may be substituted with a non-ring atom are substituted with —(CH2)qQ; R3 is hydrogen, (C1-C6)-alkyl, trifluoromethyl, (C3-C6)-alkenyl, (C3-C6)-alkynyl, (CH2)m(C3-C6)-cycloalkyl, (CH2)mphenyl, (CH2)m-(five- to ten-membered heteroaryl), or (CH2)m(three- to ten-membered heterocycle), wherein any one nitrogen atom of any heterocycle containing one or more nitrogen atoms that may be substituted with a non-ring atom are substituted with —(CH2)qQ; m is 0, 1, 2, 3, or 4; q is 0, 1, 2, 3, or 4; Q is hydrogen, (C1-C6)-alkyl, (CH2)pCF3, (C3-C6)-alkenyl, (C3-C6)-alkynyl, (C3-C6)-cycloalkyl, (C6-C14)-aryl, C(O)R3, CO2R3, C(O)NR4R5, a three- to six-membered heterocycle, or a five- to ten-membered heteroaryl when q is 0, 1, 2, 3, or 4; Q may also be cyano, trifluoromethyl, or SO2NR4R5 when q is 1, 2, 3, or 4; Q may also be hydroxy, (C1-C6)-alkoxy, sulfhydryl, —S—(C1-C6)-alkyl, or NR4R5 when q is 2, 3, or 4; p is 1, 2, or 3; R3 may also be vinyl or ethynyl when R3 is not covalently bonded to an N or O atom; R3 may also be vinyl or ethynyl when R3 is not covalently bonded to an S atom possessing a −2 (minus 2) oxidation state; R4 and R5 are independently hydrogen, (C1-C6)-alkyl, (C3-C6)-alkenyl, (C3-C6)-alkynyl, (CH2)m(C3-C6)-cycloalkyl, (CH2)mphenyl, (CH2)m-(three- to ten-membered heterocycyl), or (CH2)m-(five- to ten-membered heteroaryl); the NR4R5 group of any C(O)NR4R5, SO2NR4R5, NR4R5, or N(H)C(O)NR4R5 may also form a pyrrolidine, a piperidine, a morpholine, a thiomorpholine, or a thiomorpholine S-dioxide; the NR4R5 group of any C(O)NR4R5, SO2NR4R5, NR4R5, or N(H)C(O)NR4R5 may also form a piperazine ring, wherein the other nitrogen atom of the piperazine ring is substituted with hydrogen, (C1-C6)-alkyl, CH2CF3,(C3-C6)-cycloalkyl, CH2(C3-C6)-cycloalkyl, phenyl, benzyl, hydroxyethyl, or hydroxypropyl; phenyl or heteroaryl rings of Z1 are optionally substituted with one-to-three of any one or combination of the following: halo, hydroxy, sulfhydryl, (C1-C3)-alkoxy, (C1-C3)-alkyl, (C1-C3)-alkylthio, trifluoromethyl, trifluoromethoxy, cyano, carboxy, carboxy(C1-C3)-alkyl, carbamoyl, or sulfamoyl; each R6 is independently hydrogen, methyl, trifluoromethyl, or amino; and each R7 is independently hydrogen or methyl. 53. A compound of 54. A compound of 55. A pharmaceutical composition comprising a compound of 56. A method of treating a disease or condition mediated at least in part by prostaglandin D2 produced by H-PGDS, in a subject in need of such treatment, wherein the disease or condition is allergy or allergic inflammation, comprising administering to the subject a therapeutically effective amount of a compound of 57. A pharmaceutical composition comprising a compound of
The present invention claims priority from U.S. Provisional Application No. 61/098,942 filed Sep. 22, 2008 entitled “Multiheterocyclic Compounds for the Treatment of Allergy, Inflammation, and Immune Disorders.” Multiheteroaryl compounds, their preparation, pharmaceutical compositions comprising these compounds, and their pharmaceutical use in the prevention and treatment of prostaglandin D2 mediated diseases and conditions that may be modulated by the inhibition of hematopoietic prostaglandin D synthase (H-PGDS). Allergic and inflammatory disorders such as allergic rhinitis, asthma, chronic obstructive pulmonary disease (COPD), allergic conjunctivitis, and atopic dermatitis affect roughly one-fifth of the world population. Symptoms arising from antigenic challenge, including bronchoconstriction, bronchial hyperactivity, sneezing, nasal discharge, and nasal congestion, have been shown to correspond with the release of multiple mediators from inflammatory cells. Current therapies that effectively treat some of these symptoms have arisen out of compound classes including antihistamines, leukotriene antagonists, and corticosteroids. Many existing medicines suffer from side effects such as headache, sleepiness, sedation, dyspepsia, hydrodipsia, pharyngitis, and oral candidiasis. In addition, many of these individual therapies, although treating some symptoms, may fail to address a broader range of symptoms that affect patient quality of life. Antihistamines, for example, treat some of the most unpleasant symptoms of allergy, but have little therapeutic benefit against nasal congestion. Immunological challenge results in the release of prostaglandin D2 (PGD2), the primary allergic and inflammatory mediator, from inflammatory cells. PGD2, a metabolite of arachidonic acid, activates both the DP1 (DP) and DP2 (CRTH2) receptors, which play a central role in airway inflammation (Spik, I., Brenuchon, C., Angeli, V., et al. Prostaglandin D synthase (PGDS) catalyzes the conversion of the common prostanoid precursor prostaglandin H2 (PGH2) to PGD2. Two distinct forms of PGDS, lipocalin PGDS (L-PGDS) and hematopoietic PGDS (H-PGDS) have been identified and characterized (Kapoor, M., Kojima, F., Yang, L., and Crofford, L. J. L-PGDS is a glutathione-independent 26 kDa secretory protein that is regarded as the major generator of PGD2 in the central nervous system. L-PGDS is involved in the regulation of sleep (Pinzar, E., Kanaoka, Y., lnui, T., Eguchi, N., Urade, Y., and Hayaishi, O. H-PGDS is a 26 kDa cytosolic protein that catalyzes the conversion of PGH2 to PGD2 in a glutathione-dependent manner. This sigma class glutathione S-transferase (GST) is localized in mast cells, antigen-presenting cells, and Th2 cells, and is involved in allergic and inflammatory response (Urade, Y., Mohri, I., Aritake, K., Inoue, T., Miyano, M. Structural Biology on the Lipo-network, 2006, 135-164; Kanaoka, Y., Urade, Y. H-PGDS inhibition provides a novel method for preventing and/or treating allergic and respiratory diseases or conditions through the suppression of PGD2 synthesis. Most current therapies function subsequent to mast cell activation and/or degranulation and the formation and release of PGD2. H-PGDS inhibitors, however, have been found to block the formation of PGD2 in vitro (Ikai, K., Ujihara, M., Fujii, K., Urade, Y. Evidence suggests that the modulation of H-PGDS activity should be of therapeutic benefit in indications related to elevated PGD2 levels. These indications include, but are not limited to, allergic rhinitis, perennial rhinitis, rhinorrhea, nasal congestion, nasal inflammation, all types of asthma, COPD, allergic conjunctivitis, arthritis, atopic dermatitis and other types of dermal inflammation, ocular inflammation, wound healing, dermal scarring, and muscular necrosis (i.e. Duchenne muscular dystrophy; Compounds have now been found that are inhibitors of H-PGDS, and at expected efficacious doses, do not significantly inhibit L-PGDS. The exemplary embodiments may be directed to multiheterocyclic (multiheteroaryl) compounds of structural formulas (I) or (II), respectively, that may be used to treat or prevent allergic, inflammatory, and/or immune disorders, including the prevention and treatment of prostaglandin D2 mediated diseases and conditions that may be modulated by the inhibition of hematopoietic prostaglandin D synthase (H-PGDS), wherein R1, R2, U1, U2, U3, U4, Y1, Y2, Y3, Y4, and W, are defined herein: Another aspect of the exemplary embodiments may be a pharmaceutical composition comprising a pharmaceutically effective amount of a compound according to either of formulas (I) or (II), or an equivalent thereof, or an N-oxide thereof, or a pharmaceutically acceptable salt or solvate thereof, in admixture with a pharmaceutically acceptable carrier. Another aspect of the exemplary embodiments may be directed to a method of treating immunological disorders, particularly allergic and/or inflammatory disorders, and more particularly disorders such as allergic rhinitis, asthma, chronic obstructive pulmonary disease (COPD), arthritis, dermal inflammation, ocular inflammation, wound healing, and dermal scarring in a patient in need thereof by administering to the patient a compound according to either formula (I) or (II), or a hydrate, solvate, or N-oxide thereof, or a pharmaceutically acceptable salt thereof. The exemplary embodiments may be directed bicyclic heteroaryl compounds of formulas (I) or (II), respectively, their preparation, pharmaceutical compositions comprising these compounds, and their pharmaceutical use in the prevention and treatment of prostaglandin D2 mediated diseases and conditions that may be modulated by the inhibition of hematopoietic prostaglandin D synthase (H-PGDS). The compound of formula (I), according to one exemplary embodiment, is shown below: R1 is (C1-C6)-alkyl, (C3-C6)-cycloalkyl, phenyl, 2-pyridyl, 3-pyridyl, or 4-pyridyl; wherein each phenyl, 2-pyridyl, 3-pyridyl, or 4-pyridyl of R1 may be optionally substituted with no more than two of each or a combination of fluoro, hydroxy, —CH2OH, carboxy, carboxymethyl, or carboxyethyl; R2 is —(CH2)nZ1 or —(CH2)nZ2; n is 0, 1, 2, 3, or 4; Z1 is hydrogen, OR3, C(O)R3, CO2R3, C(O)NR4R5, SO2NR4R5, SO2R3, (C1-C6)-alkyl, (C3-C6)-cycloalkyl, (C3-C6)-alkenyl, (C3-C6)-alkynyl, (C6-C14)-aryl, (CH2)pCF3, a five- to ten-membered heteroaryl, Z2 is cyano, trifluoromethyl, (CF2)pCF3, SR3, NR4R5, N(H)C(O)R3, N(H)CO2R3, N(H)C(O)NR4R5, N(H)SO2R3, vinyl, or ethynyl when n is 1, 2, 3 or 4; Z2 may also be cyano, trifluoromethyl, (CF2)pCF3, SR3, NR4R5, N(H)C(O)R3, N(H)CO2R3, N(H)C(O)NR4R5, N(H)SO2R3, vinyl, or ethynyl when n is 0, except when R2 is covalently bonded to a U1, U2, U3, or U4 that is a nitrogen atom; R3 is hydrogen, (C1-C6)-alkyl, trifluoromethyl, (C3-C6)-alkenyl, (C3-C6)-alkynyl, (CH2)m(C3-C6)-cycloalkyl, (CH2)mphenyl, (CH2)m-(five- to ten-membered heteroaryl), or (CH2)m(three- to ten-membered heterocycle), wherein any one nitrogen atom of any heterocycle containing one or more nitrogen atoms that may be substituted with a non-ring atom are substituted with —(CH2)qQ; m is 0, 1, 2, 3, or 4; q is 0, 1, 2, 3, or 4; Q is hydrogen, (C1-C6)-alkyl, (CH2)pCF3, (C3-C6)-alkenyl, (C3-C6)-alkynyl, (C3-C6)-cycloalkyl, (C6-C14)-aryl, C(O)R3, CO2R3, C(O)NR4R5, a three- to six-membered heterocycle, or a five- to ten-membered heteroaryl when q is 0, 1, 2, 3, or 4; Q may also be cyano, trifluoromethyl, or SO2NR4R5 when q is 1, 2, 3, or 4; Q may also be hydroxy, (C1-C6)-alkoxy, sulfhydryl, —S—(C1-C6)-alkyl, or NR4R5 when q is 2, 3, or 4; p is 1, 2, or 3; R3 may also be vinyl or ethynyl when R3 is not covalently bonded to an N or O atom; R3 may also be vinyl or ethynyl when R3 is not covalently bonded to an S atom possessing a −2 (minus 2) oxidation state; R4 and R5 are independently hydrogen, (C1-C6)-alkyl, (C3-C6)-alkenyl, (C3-C6)-alkynyl, (CH2)m(C3-C6)-cycloalkyl, (CH2)mphenyl, (CH2)m-(three- to ten-membered heterocycyl), or (CH2)m-(five- to ten-membered heteroaryl); the NR4R5 group of any C(O)NR4R5, SO2NR4R5, NR4R5, or N(H)C(O)NR4R5 may also form a pyrrolidine, a piperidine, a morpholine, a thiomorpholine, or a thiomorpholine S-dioxide; the NR4R5 group of any C(O)NR4R5, SO2NR4R5, NR4R5, or N(H)C(O)NR4R5 may also form a piperazine ring, wherein the other nitrogen atom of the piperazine ring is substituted with hydrogen, (C1-C6)-alkyl, CH2CF3, (C3-C6)-cycloalkyl, CH2(C3-C6)-cycloalkyl, phenyl, benzyl, hydroxyethyl, or hydroxypropyl; phenyl or heteroaryl rings of Z1 and Z2 are optionally substituted with one-to-three of any one or combination of the following: halo, hydroxy, sulfhydryl, (C1-C3)-alkoxy, (C1-C3)-alkyl, (Ci-C3)-alkylthio, trifluoromethyl, trifluoromethoxy, cyano, carboxy, carboxy(C1-C3)-alkyl, carbamoyl, or sulfamoyl; W is a covalent bond, O, S, SO, SO2, CH2, CHOH, CO, or NH; U1, U2, U3, U4, and a carbon atom form a five-membered heteroaryl ring; wherein one of U1, U2, U3, and U4 of the five-membered heteroaryl ring is covalently bonded to the R2 group; wherein the U1, U2, U3, or U4 that is covalently bonded to the R2 group is a carbon atom or a nitrogen atom; wherein when the U1, U2, U3, or U4 that is covalently bonded to the R2 group is a nitrogen atom, one, two, or all of the other three of the group consisting of U1, U2, U3, and U4 is N and each remaining of the group consisting of U1, U2, U3, and U4 that is not N is C—R6; wherein when the U1, U2, U3, or U4 that is covalently bonded to the R2 group is a carbon atom, one of the other three of the group consisting of U1, U2, U3, and U4 is N—R6, O, or S, and each of remaining of the group consisting of U1, U2, U3, and U4 is C—R6 or N; Y1, Y2, Y3, a nitrogen atom, and two carbon atoms form a six-membered heteroaryl ring; wherein no more than one of the group consisting of Y1, Y2, and Y3 is N; and wherein all Y1, Y2, and Y3 that are not N are C—R6; each R6 is independently hydrogen, methyl, trifluoromethyl, or amino; and each R7 is independently hydrogen or methyl; or an equivalent thereof, or an N-oxide thereof, or a pharmaceutically acceptable salt or solvate thereof. Another exemplary embodiment may be directed to a compound of formula (II): R1 is (C1-C6)-alkyl, (C3-C6)-cycloalkyl, phenyl, 2-pyridyl, 3-pyridyl, or 4-pyridyl; wherein each phenyl, 2-pyridyl, 3-pyridyl, or 4-pyridyl of R1 may be optionally substituted with no more than two of each or a combination of fluoro, hydroxy, —CH2OH, carboxy, carboxymethyl, or carboxyethyl; R2 is —(CH2)nZ1 or —(CH2)nZ2; n is 0, 1, 2, 3, or 4; Z1 is hydrogen, OR3, C(O)R3, CO2R3, C(O)NR4R5, SO2NR4R5, SO2R3, (C1-C6)-alkyl, (C3-C6)-cycloalkyl, (C3-C6)-alkenyl, (C3-C6)-alkynyl, (C6-C14)-aryl, (CH2)pCF3, a five- to ten-membered heteroaryl, Z2 is cyano, trifluoromethyl, (CF2)pCF3, SR3, NR4R5, N(H)C(O)R3, N(H)CO2R3, N(H)C(O)NR4R5, N(H)SO2R3, vinyl, or ethynyl when n is 1, 2, 3 or 4; Z2 may also be cyano, trifluoromethyl, (CF2)pCF3, SR3, NR4R5, N(H)C(O)R3, N(H)CO2R3, N(H)C(O)NR4R5, N(H)SO2R3, vinyl, or ethynyl when n is 0, except when R2 is covalently bonded to a U1, U2, U3, or U4 that is a nitrogen atom; R3 is hydrogen, (C1-C6)-alkyl, trifluoromethyl, (C3-C6)-alkenyl, (C3-C6)-alkynyl, (CH2)m(C3-C6)-cycloalkyl, (CH2)mphenyl, (CH2)m-(five- to ten-membered heteroaryl), or (CH2)m(three- to ten-membered heterocycle); wherein any one nitrogen atom of any heterocycle containing one or more nitrogen atoms that may be substituted with a non-ring atom are substituted with —(CH2)qQ; m is 0, 1, 2, 3, or 4; q is 0, 1, 2, 3, or 4; Q is hydrogen, (C1-C6)-alkyl, (CH2)pCF3, (C3-C6)-alkenyl, (C3-C6)-alkynyl, (C3-C6)-cycloalkyl, (C6-C14-aryl, C(O)R3, CO2R3, C(O)NR4R5, a three- to six-membered heterocycle, or a five- to ten-membered heteroaryl when q is 0, 1, 2, 3, or 4; Q may also be cyano, trifluoromethyl, or SO2NR4R5 when q is 1, 2, 3, or 4; Q may also be hydroxy, (C1-C6)-alkoxy, sulfhydryl, —S—(C1-C6)-alkyl, or NR4R5 when q is 2, 3, or 4; p is 1 , 2, or 3; R3 may also be vinyl or ethynyl when R3 is not covalently bonded to an N or O atom; R3 may also be vinyl or ethynyl when R3 is not covalently bonded to an S atom possessing a −2 (minus 2) oxidation state; R4 and R5 are independently hydrogen, (C1-C6)-alkyl, (C3-C6)-alkenyl, (C3-C6)-alkynyl, (CH2)m(C3-C6)-cycloalkyl, (CH2)mphenyl, (CH2)m-(three- to ten-membered heterocycyl), or (CH2)m-(five- to ten-membered heteroaryl); the NR4R5 group of any C(O)NR4R5, SO2NR4R5, NR4R5, or N(H)C(O)NR4R5 may also form a pyrrolidine, a piperidine, a morpholine, a thiomorpholine, or a thiomorpholine S-dioxide; the NR4R5 group of any C(O)NR4R5, SO2NR4R5, NR4R5, or N(H)C(O)NR4R5 may also form a piperazine ring, wherein the other nitrogen atom of the piperazine ring is substituted with hydrogen, (C1-C6)-alkyl, CH2CF3, (C3-C6)-cycloalkyl, CH2(C3-C6)-cycloalkyl, phenyl, benzyl, hydroxyethyl, or hydroxypropyl; phenyl or heteroaryl rings of Z1 and Z2 are optionally substituted with one-to-three of any one or combination of the following: halo, hydroxy, sulfhydryl, (C1-C3)-alkoxy, (C1-C3)-alkyl, (C1-C3)-alkylthio, trifluoromethyl, trifluoromethoxy, cyano, carboxy, carboxy(C1-C3)-alkyl, carbamoyl, or sulfamoyl; W is a covalent bond, O, S, SO, SO2, CH2, CHOH, CO, or NH; U1, U2, U3, U4, and a carbon atom form a five-membered heteroaryl ring; wherein one of U1, U2, U3, and U4 of the five-membered heteroaryl ring is covalently bonded to the R2 group; wherein the U1, U2, U3, or U4 that is covalently bonded to the R2 group is a carbon atom or a nitrogen atom; wherein when the U1, U2, U3, or U4 that is covalently bonded to the R2 group is a nitrogen atom, one, two, or all of the other three of the group consisting of U1, U2, U3, and U4 is N and each remaining of the group consisting of U1, U2, U3, and U4 that is not N is C—R6; wherein when the U1, U2, U3, or U4 that is covalently bonded to the R2 group is a carbon atom, one of the other three of the group consisting of U1, U2, U3, and U4 is N—R6, O, or S, and each of remaining of the group consisting of U1, U2, U3, and U4 is C—R6 or N; Y4 is O, S, or N—R7; each R6 is independently hydrogen, methyl, trifluoromethyl, or amino; and each R7 is independently hydrogen or methyl; or an equivalent thereof, or an N-oxide thereof, or a pharmaceutically acceptable salt or solvate thereof. A more specific subset of exemplary embodiments derived from formula (I) are shown below individually as formulas (III)-(XIX), respectively. One such exemplary embodiment may be directed to a compound of formula (III) each X1, X2, X3, X4, and X5 is independently hydrogen or fluoro, with no more than two of X1, X2, X3, X4, and X5 being fluoro; Y3 is CH or N; each R6 is independently hydrogen, methyl, trifluoromethyl, or amino; n is 0, 1, 2, 3, or 4; Z1 is hydrogen, OR3, C(O)R3, CO2R3, C(O)NR4R5, SO2NR4R5, SO2R3, (C1-C6)-alkyl, (C3-C6)-cycloalkyl, (C3-C6)-alkenyl, (C3-C6)-alkynyl, (C6-C14)-aryl, (CH2)pCF3, a five- to ten-membered heteroaryl, R3 is hydrogen, (C1-C6)-alkyl, trifluoromethyl, (C3-C6)-alkenyl, (C3-C6)-alkynyl, (CH2)m(C3-C6)-cycloalkyl, (CH2)mphenyl, (CH2)m-(five- to ten-membered heteroaryl), or (CH2)m-(three- to ten-membered heterocycle); wherein any one nitrogen atom of any heterocycle containing one or more nitrogen atoms that may be substituted with a non-ring atom are substituted with —(CH2)qQ; R4 and R5 are independently hydrogen, (C1-C6)-alkyl, (C3-C6)-alkenyl, (C3-C6)-alkynyl, (CH2)m(C3-C6)-cycloalkyl, (CH2)mphenyl, (CH2)m-(three- to ten-membered heterocycyl), (CH2)m-(five- to ten-membered heteroaryl); the NR4R5 group of any C(O)NR4R5, SO2NR4R5, NR4R5, or N(H)C(O)NR4R5 may also form a pyrrolidine, a piperidine, a morpholine, a thiomorpholine, or a thiomorpholine S-dioxide; the NR4R5 group of any C(O)NR4R5, SO2NR4R5, NR4R5, or N(H)C(O)NR4R5 may also form a piperazine ring, wherein the other nitrogen atom of the piperazine ring is substituted with hydrogen, (C1-C6)-alkyl, CH2CF3, (C3-C6)-cycloalkyl, CH2(C3-C6)-cycloalkyl, phenyl, benzyl, hydroxyethyl, or hydroxypropyl; m is 0, 1, 2, 3, or 4; q is 0, 1, 2, 3, or 4; Q is hydrogen, (C1-C6)-alkyl, (CH2)pCF3, (C3-C6)-alkenyl, (C3-C6)-alkynyl, (C3-C6)-cycloalkyl, (C6-C14)-aryl, C(O)R3, CO2R3, C(O)NR4R5, a three- to six-membered heterocycle, or a five- to ten-membered heteroaryl; Q may also be cyano, trifluoromethyl, or SO2NR4R5 when q is 1, 2, 3, or 4; Q may also be hydroxy, (C1-C6)-alkoxy, sulfhydryl, —S—(C1-C6)-alkyl, or NR4R5 when q is 2, 3, or 4; p is 1, 2, or 3; phenyl or heteroaryl rings of Z1 are optionally substituted with one-to-three of any one or combination of the following: halo, hydroxy, sulfhydryl, (C1-C3)-alkoxy, (C1-C3)-alkyl, (C1-C3)-alkylthio, trifluoromethyl, trifluoromethoxy, cyano, carboxy, carboxy(C1-C3)-alkyl, carbamoyl, or sulfamoyl; and R7 is hydrogen or methyl; or an equivalent thereof, or an N-oxide thereof, or a pharmaceutically acceptable salt or solvate thereof. Another exemplary embodiment may be directed to a compound of formula (IV): or an equivalent thereof, or an N-oxide thereof, or a pharmaceutically acceptable salt or solvate thereof, wherein n, Z1, R6, Y3, X1, X2, X3, X4, a X5 are as defined above for a compound of Formula (Ill). Another exemplary embodiment may be directed to a compound of formula (V): or an equivalent thereof, or an N-oxide thereof, or a pharmaceutically acceptable salt or solvate thereof, wherein n, Z1, R6, Y3, X1, X2, X3, X4, and X5 are as defined above for a compound of Formula (IV). Another exemplary embodiment may be directed to a compound of formula (VI): or an equivalent thereof, or an N-oxide thereof, or a pharmaceutically acceptable salt or solvate thereof, wherein each X1, X2, X3, X4, and X5 is independently hydrogen or fluoro, with no more than two of X1, X2, X3, X4, and X5 being fluoro; and wherein n, Z1, R6, and Y3 are as defined above for a compound of Formula (I). Another exemplary embodiment may be directed to a compound of formula (VII): or an equivalent thereof, or an N-oxide thereof, or a pharmaceutically acceptable salt or solvate thereof, wherein n, Z1, R6, Y3, X1, X2, X3, X4, and X5 are as defined above for a compound of Formula (VI). Another exemplary embodiment may be directed to a compound of formula (VIII): or an equivalent thereof, or an N-oxide thereof, or a pharmaceutically acceptable salt or solvate thereof, wherein n, Z1, R6, Y3, X1, X2, X3, X4, and X5 are as defined above for a compound of Formula (VI). Another exemplary embodiment may be directed to a compound of formula (IX): or an equivalent thereof, or an N-oxide thereof, or a pharmaceutically acceptable salt or solvate thereof, wherein each X1, X2, X3, X4, and X5 is independently hydrogen or fluoro, with no more than two of X1, X2, X3, X4, and X5 being fluoro; and wherein n, Z1, R6, and Y3 are as defined above for a compound of Formula (I). Another exemplary embodiment may be directed to a compound of formula (X): or an equivalent thereof, or an N-oxide thereof, or a pharmaceutically acceptable salt or solvate thereof, wherein n, Z1, R6, Y3, X1, X2, X3, X4, and X5 are as defined above for a compound of Formula (IX). Another exemplary embodiment may be directed to a compound of formula (XI): or an equivalent thereof, or an N-oxide thereof, or a pharmaceutically acceptable salt or solvate thereof, wherein n, Z1, R6, Y3, X1, X2, X3, X4, and X5 are as defined above for a compound of Formula (IX). Another exemplary embodiment may be directed to a compound of formula (XII): or an equivalent thereof, or an N-oxide thereof, or a pharmaceutically acceptable salt or solvate thereof, wherein W is a covalent bond, oxygen atom (O), or carbonyl group (CO), and wherein each X1, X2, X3, X4, and X5 is independently hydrogen or fluoro, with no more than two of X1, X2, X3, X4, and X5 being fluoro; and wherein n, Z1, R6, and Y3 are as defined above for a compound of Formula (I). Another exemplary embodiment may be directed to a compound of formula (XIII): or an equivalent thereof, or an N-oxide thereof, or a pharmaceutically acceptable salt or solvate thereof, wherein n, Z1, R6, Y3, W, X1, X2, X3, X4and X5 are as defined above for a compound of Formula (XII). Another exemplary embodiment may be directed to a compound of formula (XIV): or an equivalent thereof, or an N-oxide thereof, or a pharmaceutically acceptable salt or solvate thereof, wherein n, Z1, R6, Y3, W, X1, X2, X3, X4, and X5 are as defined above for a compound of Formula (XII). Another exemplary embodiment may be directed to a compound of formula (XV): or an equivalent thereof, or an N-oxide thereof, or a pharmaceutically acceptable salt or solvate thereof, wherein W is a covalent bond, oxygen atom (O), or carbonyl group (CO); and wherein each X1, X2, X3, X4, and X5 is independently hydrogen or fluoro, with no more than two of X1, X2, X3, X4, and X5 being fluoro; and wherein n, Z1, R6, and Y3 are as defined above for a compound of Formula (I). Another exemplary embodiment may be directed to a compound of formula (XVI): or an equivalent thereof, or an N-oxide thereof, or a pharmaceutically acceptable salt or solvate thereof, wherein n, Z1, R6, Y3, W, X1, X2, X3, X4, and X5 are as defined above for a compound of Formula (XV). Another exemplary embodiment may be directed to a compound of formula (XVII): or an equivalent thereof, or an N-oxide thereof, or a pharmaceutically acceptable salt or solvate thereof, wherein n, Z1, R6, Y3, W, X1, X2, X3, X4, and X5 are as defined above for a compound of Formula (XV). Another exemplary embodiment may be directed to a compound of formula (XVIII): or an equivalent thereof, or an N-oxide thereof, or a pharmaceutically acceptable salt or solvate thereof, wherein W is a covalent bond, oxygen atom (O), or carbonyl group (CO); and wherein each X1, X2, X3, X4, and X5 is independently hydrogen or fluoro, with no more than two of X1, X2, X3, X4, and X5 being fluoro; and wherein n, Z1, and Y3 are as defined above for a compound of Formula (I). Another exemplary embodiment may be directed to a compound of formula (XIX): or an equivalent thereof, or an N-oxide thereof, or a pharmaceutically acceptable salt or solvate thereof, wherein n, Z1, Y3, W, X1, X2, X3, X4, and X5 are as defined above for a compound of Formula (XVIII). Another exemplary embodiment may be directed to a compound of formula (I) or (II), wherein R1 is phenyl or 3-fluorophenyl; or an equivalent thereof, or an N-oxide thereof, or a pharmaceutically acceptable salt or solvate thereof. Another exemplary embodiment may be directed to a compound of formula (I) or (II), wherein R1 is phenyl; or an equivalent thereof, or an N-oxide thereof, or a pharmaceutically acceptable salt or solvate thereof. Another exemplary embodiment may be directed to a compound of formula (I) or (II), wherein R1 is 3-fluorophenyl; or an equivalent thereof, or an N-oxide thereof, or a pharmaceutically acceptable salt or solvate thereof. Another exemplary embodiment may be directed to a compound of formula (I) or (II), wherein R2 is 2-pyridyl, 3-pyridyl, or 4-pyridyl; or an equivalent thereof, or an N-oxide thereof, or a pharmaceutically acceptable salt or solvate thereof. Another exemplary embodiment may be directed to a compound of formula (I) or (II) wherein R2 is phenyl; or an equivalent thereof, or an N-oxide thereof, or a pharmaceutically acceptable salt or solvate thereof. Another exemplary embodiment may be directed to a compound of formula (I) or (II) wherein R2 is 3-fluorophenyl; or an equivalent thereof, or an N-oxide thereof, or a pharmaceutically acceptable salt or solvate thereof. Another exemplary embodiment may be directed to a compound of formula (I) wherein R2 is benzyl; or an equivalent thereof, or an N-oxide thereof, or a pharmaceutically acceptable salt or solvate thereof. Another exemplary embodiment may be directed to a compound of formula (I) or (II) wherein R2 is 2-pyridylmethyl, 3-pyridylmethyl, or 4-pyridylmethyl; or an equivalent thereof, or an N-oxide thereof, or a pharmaceutically acceptable salt or solvate thereof. Another exemplary embodiment may be directed to a compound of formula (I) or (II), wherein R2 is attached to a carbon atom of the adjacent aromatic ring and is Another exemplary embodiment may be directed to a compound of formula (I) or (II), wherein R2 is attached to a carbon atom of the adjacent aromatic ring and is Another exemplary embodiment may be directed to a compound of formula (I) or (II), wherein R2 is attached to a carbon atom of the adjacent aromatic ring and is Another exemplary embodiment may be directed to a compound of formula (I) or (II), wherein R2 is attached to a carbon atom of the adjacent aromatic ring and is Another exemplary embodiment may be directed to a compound of formula (I) or (II), wherein R2 is 4-piperidinyl, 3-piperidinyl, (3R)-piperidinyl, (3S)-piperidinyl, 3-pyrrolidinyl, (3R)-pyrrolidinyl, (3S)-pyrrolidinyl, or 3-azetidinyl; wherein the nitrogen atom of the piperidinyl, pyrrolidinyl, or azetidinyl ring is substituted with —(CH2)qQ; wherein q is 0, 1, 2, 3, or 4; wherein Q is hydrogen, (C1-C6)-alkyl, CH2CF3, (C3-C6)-alkenyl, (C3-C6)-alkynyl, (C3-C6)-cycloalkyl, (C6-C14)-aryl, C(O)R3, CO2R3, C(O)NR4R5, a three- to six-membered heterocycle, or a five- to ten-membered heteroaryl; wherein R3 is hydrogen, (C1-C6)-alkyl, trifluoromethyl, (C3-C6)-alkenyl, (C3-C6)-alkynyl, (CH2)m(C3-C6)-cycloalkyl, (CH2)mphenyl, or (CH2)m-(five- to ten-membered heteroaryl); wherein m is 0, 1, 2, 3, or 4; wherein R3 may further be vinyl or ethyl when not covalently bonded to an N or O atom, or an S atom possessing a −2 (minus two) oxidation state; wherein each R4 and R5 is independently hydrogen, (C1-C6)-alkyl, (C3-C6)-alkenyl, (C3-C6)-alkynyl, (CH2)m(C3-C6)-cycloalkyl, (CH2)mphenyl, (CH2)m-(three- to ten-membered heterocycyl), or (CH2)m-(five- to ten-membered heteroaryl); wherein the NR4R5 group of any C(O)NR4R5, SO2NR4R5, NR4R5, or N(H)C(O)NR4R5 may also form a pyrrolidine, a piperidine, a morpholine, a thiomorpholine, or a thiomorpholine S-dioxide; wherein the NR4R5 group of any C(O)NR4R5, SO2NR4R5, NR4R5, or N(H)C(O)NR4R5 may also form a piperazine ring, wherein the other nitrogen atom of the piperazine ring is substituted with hydrogen, (C1-C6)-alkyl, CH2CF3, (C3-C6)-cycloalkyl, CH2(C3-C6)-cycloalkyl, phenyl, benzyl, hydroxyethyl, or hydroxypropyl; or an equivalent thereof, or an N-oxide thereof, or a pharmaceutically acceptable salt or solvate thereof. Another exemplary embodiment may be directed to a compound of formula (I) or (II), wherein R2 is 4-piperidinyl, 3-piperidinyl, (3R)-piperidinyl, (3S)-piperidinyl, 3-pyrrolidinyl, (3R)-pyrrolidinyl, (3S)-pyrrolidinyl, or 3-azetidinyl; wherein the nitrogen atom of the piperidinyl, pyrrolidinyl, or azetidinyl ring is substituted with —CH2Q; wherein Q is phenyl or naphthyl; wherein the phenyl or naphthyl is optionally substituted with one-to-three of any one or combination of the following: halo, hydroxy, sulfhydryl, (C1-C6)-alkoxy, (C1-C6)-alkyl, (C1-C6)-alkylthio, trifluoromethyl, trifluoromethoxy, cyano, carboxy, carboxy(C1-C3)-alkyl, carbamoyl, or sulfamoyl; or an equivalent thereof, or an N-oxide thereof, or a pharmaceutically acceptable salt or solvate thereof. Another exemplary embodiment may be directed to a compound of formula (I) or (II), wherein R2 is 4-piperidinyl, 3-piperidinyl, (3R)-piperidinyl, (3S)-piperidinyl, 3-pyrrolidinyl, (3R)-pyrrolidinyl, (3S)-pyrrolidinyl, or 3-azetidinyl; wherein the nitrogen atom of the piperidinyl, pyrrolidinyl, or azetidinyl ring is substituted with benzyl; wherein the phenyl ring of the benzyl group is optionally substituted with one-to-three of any one or combination of the following: halo, hydroxy, sulfhydryl, (C1-C6)-alkoxy, (C1-C6)-alkyl, (C1-C6)-alkylthio, trifluoromethyl, trifluoromethoxy, cyano, carboxy, carboxy(C1-C3)-alkyl, carbamoyl, or sulfamoyl; or an equivalent thereof, or an N-oxide thereof, or a pharmaceutically acceptable salt or solvate thereof. Another exemplary embodiment may be directed to a compound of formula (I) or (II), wherein R2 is 4-piperidinyl, 3-piperidinyl, (3R)-piperidinyl, (3S)-piperidinyl, 3-pyrrolidinyl, (3R)-pyrrolidinyl, (3S)-pyrrolidinyl, or 3-azetidinyl; wherein the nitrogen atom of the piperidinyl, pyrrolidinyl, or azetidinyl ring is substituted with benzyl; wherein the phenyl ring of the benzyl group is optionally substituted with one or two of any halo, hydroxy, methoxy, methyl, trifluoromethyl, trifluoromethoxy, or cyano; or an equivalent thereof, or an N-oxide thereof, or a pharmaceutically acceptable salt or solvate thereof. Another exemplary embodiment may be directed to a compound of formula (I) or (II), wherein R2 is 4-piperidinyl; wherein the nitrogen atom of the piperidinyl ring is substituted with benzyl; or an equivalent thereof, or an N-oxide thereof, or a pharmaceutically acceptable salt or solvate thereof. Another exemplary embodiment may be directed to a compound of formula (I) or (II), wherein R2 is 4-piperidinyl, 3-piperidinyl, (3R)-piperidinyl, (3S)-piperidinyl, 3-pyrrolidinyl, (3R)-pyrrolidinyl, (3S)-pyrrolidinyl, or 3-azetidinyl; wherein the nitrogen atom of the piperidinyl, pyrrolidinyl, or azetidinyl ring is substituted with —(CH2)qQ; wherein q is 0 or 1; wherein Q is a five- to ten-membered heteroaryl ring; or an equivalent thereof, or an N-oxide thereof, or a pharmaceutically acceptable salt or solvate thereof. Another exemplary embodiment may be directed to a compound of formula (I) or (II), wherein R2 is 4-piperidinyl, 3-piperidinyl, (3R)-piperidinyl, (3S)-piperidinyl, 3-pyrrolidinyl, (3R)-pyrrolidinyl, (3S)-pyrrolidinyl, or 3-azetidinyl; wherein the nitrogen atom of the piperidinyl, pyrrolidinyl, or azetidinyl ring is substituted with —(CH2)qp; wherein q is 0 or 1; wherein Q is 2-pyridyl, 3-pyridyl, or 4-pyridyl; or an equivalent thereof, or an N-oxide thereof, or a pharmaceutically acceptable salt or solvate thereof. Another exemplary embodiment may be directed to a compound of formula (I) or (II), wherein R2 is 4-piperidinyl, 3-piperidinyl, (3R)-piperidinyl, (3S)-piperidinyl, 3-pyrrolidinyl, (3R)-pyrrolidinyl, (3S)-pyrrolidinyl, or 3-azetidinyl; wherein the nitrogen atom of the piperidinyl, pyrrolidinyl, or azetidinyl ring is substituted with —(CH2)qQ; wherein q is 0 or 1; wherein Q is 3-pyridazyl or 1-methyl-1H-tetrazol-5-yl; or an equivalent thereof, or an N-oxide thereof, or a pharmaceutically acceptable salt or solvate thereof. Another exemplary embodiment may be directed to a compound of formula (I) or (II), wherein R2 is 4-piperidinyl, 3-piperidinyl, (3R)-piperidinyl, (3S)-piperidinyl, 3-pyrrolidinyl, (3R)-pyrrolidinyl, (3S)-pyrrolidinyl, or 3-azetidinyl; wherein the nitrogen atom of the piperidinyl, pyrrolidinyl, or azetidinyl ring is substituted with —CH2CF3; or an equivalent thereof, or an N-oxide thereof, or a pharmaceutically acceptable salt or solvate thereof. Another exemplary embodiment may be directed to a compound of formula (I) or (II), wherein R2 is 4-piperidinyl; wherein the nitrogen atom of the piperidinyl ring is substituted with —CH2CF3; or an equivalent thereof, or an N-oxide thereof, or a pharmaceutically acceptable salt or solvate thereof. Another exemplary embodiment may be directed to a compound of formula (I) or (II), wherein R2 is 4-piperidinyl, 3-piperidinyl, (3R)-piperidinyl, (3S)-piperidinyl, 3-pyrrolidinyl, (3R)-pyrrolidinyl, (3S)-pyrrolidinyl, or 3-azetidinyl; wherein the nitrogen atom of the piperidinyl, pyrrolidinyl, or azetidinyl ring is substituted with (C1-C6)-alkyl; or an equivalent thereof, or an N-oxide thereof, or a pharmaceutically acceptable salt or solvate thereof. Another exemplary embodiment may be directed to a compound of formula (I) or (II), wherein R2 is 4-piperidinyl, 3-piperidinyl, (3R)-piperidinyl, (3S)-piperidinyl, 3-pyrrolidinyl, (3R)-pyrrolidinyl, (3S)-pyrrolidinyl, or 3-azetidinyl; wherein the nitrogen atom of the piperidinyl, pyrrolidinyl, or azetidinyl ring is substituted with —(CH2)qQ; wherein q is 0, 1, or 2; wherein Q is (C3-C6)-cycloalkyl; or an equivalent thereof, or an N-oxide thereof, or a pharmaceutically acceptable salt or solvate thereof. Another exemplary embodiment may be directed to a compound of formula (I) or (II), wherein R2 is 4-piperidinyl, 3-piperidinyl, (3R)-piperidinyl, (3S)-piperidinyl, 3-pyrrolidinyl, (3R)-pyrrolidinyl, (3S)-pyrrolidinyl, or 3-azetidinyl; wherein the nitrogen atom of the piperidinyl, pyrrolidinyl, or azetidinyl ring is substituted with C(O)NHR5; wherein R5 is (C1-C6)-alkyl or (C3-C6)-cycloalkyl; or an equivalent thereof, or an N-oxide thereof, or a pharmaceutically acceptable salt or solvate thereof. Another exemplary embodiment may be directed to a compound of formula (I) or (II), wherein R2 is 4-piperidinyl, 3-piperidinyl, (3R)-piperidinyl, (3S)-piperidinyl, 3-pyrrolidinyl, (3R)-pyrrolidinyl, (3S)-pyrrolidinyl, or 3-azetidinyl; wherein the nitrogen atom of the piperidinyl, pyrrolidinyl, or azetidinyl ring is substituted with C(O)NHR5; wherein R5 is methyl; or an equivalent thereof, or an N-oxide thereof, or a pharmaceutically acceptable salt or solvate thereof. Another exemplary embodiment may be directed to a compound of formula (I) or (II), wherein R2 is 4-piperidinyl, 3-piperidinyl, (3R)-piperidinyl, (3S)-piperidinyl, 3-pyrrolidinyl, (3R)-pyrrolidinyl, (3S)-pyrrolidinyl, or 3-azetidinyl; wherein the nitrogen atom of the piperidinyl, pyrrolidinyl, or azetidinyl ring is substituted with CO2R3; wherein R3 is (C1-C6)-alkyl or (C3-C6)-cycloalkyl; or an equivalent thereof, or an N-oxide thereof, or a pharmaceutically acceptable salt or solvate thereof. Another exemplary embodiment may be directed to a compound of formula (I) or (II), wherein R2 is 4-piperidinyl, 3-piperidinyl, (3R)-piperidinyl, (3S)-piperidinyl, 3-pyrrolidinyl, (3R)-pyrrolidinyl, (3S)-pyrrolidinyl, or 3-azetidinyl; wherein the nitrogen atom of the piperidinyl, pyrrolidinyl, or azetidinyl ring is substituted with C(O)R3; wherein R3 is (C1-C6)-alkyl, (CH2)m(C3-C6)-cycloalkyl, (CH2)mphenyl, (CH2)m(five- to ten-membered heteroaryl), (CH2)m(three- to ten-membered heterocycyl); or an equivalent thereof, or an N-oxide thereof, or a pharmaceutically acceptable salt or solvate thereof. Another exemplary embodiment may be directed to a compound of formula (I) or (II), wherein R2 is 4-piperidinyl, 3-piperidinyl, (3R)-piperidinyl, (3S)-piperidinyl, 3-pyrrolidinyl, (3R)-pyrrolidinyl, (3S)-pyrrolidinyl, or 3-azetidinyl; wherein the nitrogen atom of the piperidinyl, pyrrolidinyl, or azetidinyl ring is substituted with —(CH2)qQ; wherein q is 1, 2, 3, or 4; wherein Q is cyano, trifluoromethyl, or SO2NR4R5; wherein each R4 and R5 is independently hydrogen, (C1-C6)-alkyl, (C3-C6)-alkenyl, (C3-C6)-alkynyl, (CH2)m(C3-C6)-cycloalkyl, (CH2)mphenyl, (CH2)m-(three- to ten-membered heterocycyl), or (CH2)m-(five- to ten-membered heteroaryl); wherein m is 0, 1, 2, 3, or 4; wherein the NR4R5 group of any C(O)NR4R5, SO2NR4R5, NR4R5, or N(H)C(O)NR4R5 may also form a pyrrolidine, a piperidine, a morpholine, a thiomorpholine, or a thiomorpholine S-dioxide; wherein the NR4R5 group of any C(O)NR4R5, SO2NR4R5, NR4R5, or N(H)C(O)NR4R5 may also form a piperazine ring, wherein the other nitrogen atom of the piperazine ring is substituted with hydrogen, (C1-C6)-alkyl, CH2CF3, (C3-C6)-cycloalkyl, CH2(C3-C6)-cycloalkyl, phenyl, benzyl, hydroxyethyl, or hydroxypropyl; or an equivalent thereof, or an N-oxide thereof, or a pharmaceutically acceptable salt or solvate thereof. Another exemplary embodiment may be directed to a compound of formula (I) or (II), wherein R2 is 4-piperidinyl, 3-piperidinyl, (3R)-piperidinyl, (3S)-piperidinyl, 3-pyrrolidinyl, (3R)-pyrrolidinyl, (3S)-pyrrolidinyl, or 3-azetidinyl; wherein the nitrogen atom of the piperidinyl, pyrrolidinyl, or azetidinyl ring is substituted with —(CH2)qQ; wherein q is 2, 3, or 4; wherein Q is hydroxy, sulfhydryl, or NR4R5; wherein each R4 and R5 is independently hydrogen, (C1-C6)-alkyl, (C3-C6)-alkenyl, (C3-C6)-alkynyl, (CH2)m(C3-C6)-cycloalkyl, (CH2)mphenyl, (CH2)m-(three- to ten-membered heterocycyl), or (CH2)m-(five- to ten-membered heteroaryl); wherein m is 0, 1, 2, 3, or 4; wherein the NR4R5 group of any C(O)NR4R5, SO2NR4R5, NR4R5, or N(H)C(O)NR4R5 may also form a pyrrolidine, a piperidine, a morpholine, a thiomorpholine, or a thiomorpholine S-dioxide; wherein the NR4R5 group of any C(O)NR4R5, SO2NR4R5, NR4R5, or N(H)C(O)NR4R5 may also form a piperazine ring, wherein the other nitrogen atom of the piperazine ring is substituted with hydrogen, (C1-C6)-alkyl, CH2CF3, (C3-C6)-cycloalkyl, CH2(C3-C6)-cycloalkyl, phenyl, benzyl, hydroxyethyl, or hydroxypropyl; or an equivalent thereof, or an N-oxide thereof, or a pharmaceutically acceptable salt or solvate thereof. Another exemplary embodiment may be directed to a compound of formula (I) or (II) wherein W is a covalent bond; or an equivalent thereof, or an N-oxide thereof, or a pharmaceutically acceptable salt or solvate thereof. Another exemplary embodiment may be directed to a compound of formula (I) or (II) wherein W is O, S, SO, SO2, CH2, CHOH, CO, or NH; or an equivalent thereof, or an N-oxide thereof, or a pharmaceutically acceptable salt or solvate thereof. Another exemplary embodiment may be directed to a compound of formula (I) or (II) wherein W is O, S, SO, or SO2; or an equivalent thereof, or an N-oxide thereof, or a pharmaceutically acceptable salt or solvate thereof. Another exemplary embodiment may be directed to a compound of formula (I) or (II) wherein W is O or S; or an equivalent thereof, or an N-oxide thereof, or a pharmaceutically acceptable salt or solvate thereof. Another exemplary embodiment may be directed to a compound of formula (I) or (II) wherein W is O; or an equivalent thereof, or an N-oxide thereof, or a pharmaceutically acceptable salt or solvate thereof. Another exemplary embodiment may be directed to a compound of formula (I) or (II) wherein W is CHOH or CO; or an equivalent thereof, or an N-oxide thereof, or a pharmaceutically acceptable salt or solvate thereof. Another exemplary embodiment may be directed to a compound of formula (I) or (II) wherein W is CO; or an equivalent thereof, or an N-oxide thereof, or a pharmaceutically acceptable salt or solvate thereof. Another exemplary embodiment may be directed to a compound of formula (I) wherein: U1 is N; wherein U2 is C—R2; wherein U3 is N—R6 or S; wherein U4 is C—R6; wherein each R6 is independently hydrogen or methyl; and wherein R2 is as defined above for a compound of Formula (I); or an equivalent thereof, or an N-oxide thereof, or a pharmaceutically acceptable salt or solvate thereof. Another exemplary embodiment may be directed to a compound of formula (I) wherein U1 is N; wherein U2 is C—R2; wherein U3 is N—H; wherein U4 is C—R6, wherein R6 is hydrogen or methyl; and wherein R2 is as defined above for a compound of Formula (I); or an equivalent thereof, or an N-oxide thereof, or a pharmaceutically acceptable salt or solvate thereof. Another exemplary embodiment may be directed to a compound of formula (I) wherein U1 is N; wherein U2 is C—R2; wherein U3 is N—H; wherein U4 is C—H; wherein R2 is as defined above for a compound of Formula (I); or an equivalent thereof, or an N-oxide thereof, or a pharmaceutically acceptable salt or solvate thereof. Another exemplary embodiment may be directed to a compound of formula (I) wherein U1 is N; wherein U2 is C—R2; wherein U3 is N—H; wherein U4 is C—CH3; wherein R2 is as defined above for a compound of Formula (I); or an equivalent thereof, or an N-oxide thereof, or a pharmaceutically acceptable salt or solvate thereof. Another exemplary embodiment may be directed to a compound of formula (I) wherein U1 is N; wherein U2 is N—R6; wherein U3 is C—R2; wherein U4 is C—R6, wherein each R6 is independently hydrogen or methyl; and wherein R2 is as defined above for a compound of Formula (I); or an equivalent thereof, or an N-oxide thereof, or a pharmaceutically acceptable salt or solvate thereof. Another exemplary embodiment may be directed to a compound of formula (I) wherein U1 is N; wherein U2 is N—H; wherein U3 is C—R2; wherein U4 is C—R6, wherein R6 is hydrogen or methyl; and wherein R2 is as defined above for a compound of Formula (I);or an equivalent thereof, or an N-oxide thereof, or a pharmaceutically acceptable salt or solvate thereof. Another exemplary embodiment may be directed to a compound of formula (I) wherein U1 is N; wherein U2 is N—H; wherein U3 is C—R2; wherein U4 is C—H; wherein R2 is as defined above for a compound of Formula (I); or an equivalent thereof, or an N-oxide thereof, or a pharmaceutically acceptable salt or solvate thereof. Another exemplary embodiment may be directed to a compound of formula (I) wherein U1 is N; wherein U2 is N—H; wherein U3 is C—R2; wherein U4 is C—CH3; wherein R2 is as defined above for a compound of Formula (I); or an equivalent thereof, or an N-oxide thereof, or a pharmaceutically acceptable salt or solvate thereof. Another exemplary embodiment may be directed to a compound of formula (I) wherein each of Y1, Y2, and Y3 is C—H; or an equivalent thereof, or an N-oxide thereof, or a pharmaceutically acceptable salt or solvate thereof. Another exemplary embodiment may be directed to a compound of formula (I) wherein each of Y1 and Y2 is C—H and Y3 is N; or an equivalent thereof, or an N-oxide thereof, or a pharmaceutically acceptable salt or solvate thereof. Another exemplary embodiment may be a compound selected from the group consisting of: 2-phenyl-5-(2-phenyl-1H-imidazol-4-yl)pyrimidine; 5-(2-(2-fluorophenyl)-1H-imidazol-4-yl)-2-phenylpyrimidine; 5-(2-(3-fluorophenyl)-1H-imidazol-4-yl)-2-phenylpyrimidine; 5-(2-(4-fluorophenyl)-1H-imidazol-4-yl)-2-phenylpyrimidine; 2-phenyl-5-(2-(pyridin-2-yl)-1H-imidazol-4-yl)pyrimidine; 2-phenyl-5-(2-(pyridin-3-yl)-1H-imidazol-4-yl)pyrimidine; 2-phenyl-5-(2-(pyridin-4-yl)-1H-imidazol-4-yl)pyrimidine; 5-(2-benzyl-1H-imidazol-4-yl)-2-phenylpyrimidine; 5-(2-(2-fluorobenzyl)-1H-imidazol-4-yl)-2-phenylpyrimidine; 5-(2-(3-fluorobenzyl)-1H-imidazol-4-yl)-2-phenylpyrimidine; 5-(2-(4-fluorobenzyl)-1H-imidazol-4-yl)-2-phenylpyrimidine; 2-phenyl-5-(2-(pyridin-2-ylmethyl)-1H-imidazol-4-yl)pyrimidine; 2-phenyl-5-(2-(pyridin-3-ylmethyl)-1H-imidazol-4-yl)pyrimidine; 2-phenyl-5-(2-(pyridin-4-ylmethyl)-1H-imidazol-4-yl)pyrimidine; 5-(5-methyl-2-phenyl-1H-imidazol-4-yl)-2-phenylpyrimidine; 5-(1-methyl-2-phenyl-1H-imidazol-5-yl)-2-phenylpyrimidine; 5-(1-methyl-2-phenyl-1H-imidazol-4-yl)-2-phenylpyrimidine; 5-(5-methyl-2-(pyridin-3-yl)-1H-imidazol-4-yl)-2-phenylpyrimidine; 5-(1-methyl-2-(pyridin-3-yl)-1H-imidazol-5-yl)-2-phenylpyrimidine; and 5-(1-methyl-2-(pyridin-3-yl)-1H-imidazol-4-yl)-2-phenylpyrimidine; or an equivalent thereof, or an N-oxide thereof, or a pharmaceutically acceptable salt or solvate thereof. Another exemplary embodiment may be a compound selected from the group consisting of: 2-phenyl-5-(2-(1-(2,2,2-trifluoroethyl)piperidin-4-yl)-1H-imidazol-4-yl)pyrimidine; 5-(2-(1-benzylpiperidin-4-yl)-1H-imidazol-4-yl)-2-phenylpyrimidine; 5-(2-(1-benzylpiperidin-4-yl)-5-methyl-1H-imidazol-4-yl)-2-phenylpyrimidine; 5-(2-(1-benzylpiperidin-4-yl)-1-methyl-1H-imidazol-4-yl)-2-phenylpyrimidine; 5-(2-(1-benzylpiperidin-4-yl)-1-methyl-1H-imidazol-5-yl)-2-phenylpyrimidine; 5-(2-(1-(cyclopropylmethyl)piperidin-4-yl)-1H-imidazol-4-yl)-2-phenylpyrimidine; 3-(4-(4-(2-phenylpyrimidin-5-yl)-1H-imidazol-2-yl)piperidin-1-yl)pyridazine; 5-(2-(1-(1-methyl-1H-tetrazol-5-yl)piperidin-4-yl)-1H-imidazol-4-yl)-2-phenylpyrimidine; N-methyl-4-(4-(2-phenylpyrimidin-5-yl)-1H-imidazol-2-yl)piperidine-1-carboxamide; ethyl 4-(4-(2-phenylpyrimidin-5-yl)-1H-imidazol-2-yl)piperidine-1-carboxylate; tert-butyl 4-(4-(2-phenylpyrimidin-5-yl)-1H-imidazol-2-yl)piperidine-1-carboxylate; 1-(4-(4-(2-phenylpyrimidin-5-yl)-1H-imidazol-2-yl)piperidin-1-yl)butan-1-one; 2-phenyl-5-(2-((1-(2,2,2-trifluoroethyl)piperidin-4-yl)methyl)-1H-imidazol-4-yl)pyrimidine; 2-phenyl-5-(2-(1-(2,2,2-trifluoroethyl)piperidin-3-yl)-1H-imidazol-4-yl)pyrimidine; (R)-2-phenyl-5-(2-(1-(2,2,2-trifluoroethyl)piperidin-3-yl)-1H-imidazol-4-yl)pyrimidine; (S)-2-phenyl-5-(2-(1-(2,2,2-trifluoroethyl)piperidin-3-yl)-1H-imidazol-4-yl)pyrimidine; 5-(5-methyl-2-(1-(2,2,2-trifluoroethyl)piperidin-3-yl)-1H-imidazol-4-yl)-2-phenylpyrimidine; (R)-5-(5-methyl-2-(1-(2,2,2-trifluoroethyl)piperidin-3-yl)-1H-imidazol-4-yl)-2-phenylpyrimidine; (R)-5-(5-methyl-2-(1-(2,2,2-trifluoroethyl)piperidin-3-yl)-1H-imidazol-4-yl)-2-phenylpyrimidine; 5-(2-(1-benzylpiperidin-3-yl)-1H-imidazol-4-yl)-2-phenylpyrimidine; (R)-5-(2-(1-benzylpiperidin-3-yl)-1H-imidazol-4-yl)-2-phenylpyrimidine; (S)-5-(2-(1-benzylpiperidin-3-yl)-1H-imidazol-4-yl)-2-phenylpyrimidine; N-methyl-3-(4-(2-phenylpyrimidin-5-yl)-1H-imidazol-2-yl)piperidine-1-carboxamide; (R)-N-methyl-3-(4-(2-phenylpyrimidin-5-yl)-1H-imidazol-2-yl)pipendine-1-carboxamide; (S)-N-methyl-3-(4-(2-phenylpyrimidin-5-yl)-1H-imidazol-2-yl)piperidine-1-carboxamide; N-cyclopropyl-3-(4-(2-phenylpyrimidin-5-yl)-1H-imidazol-2-yl)piperidine-1-carboxamide; (R)-N-cyclopropyl-3-(4-(2-phenylpyrimidin-5-yl)-1H-imidazol-2-yl)piperidine-1-carboxamide; (S)-N-cyclopropyl-3-(4-(2-phenylpyrimidin-5-yl)-1H-imidazol-2-yl)piperidine-1-carboxamide; cyclopropyl(3-(4-(2-phenylpyrimidin-5-yl)-1H-imidazol-2-yl)piperidin-1-yl)methanone; (R)-cyclopropyl(3-(4-(2-phenylpyrimidin-5-yl)-1H-imidazol-2-yl)piperidin-1-yl)methanone; (S)-cyclopropyl(3-(4-(2-phenylpyrimidin-5-yl)-1H-imidazol-2-yl)piperidin-1-yl)methanone; 5-(2-(1-(cyclopropylmethyl)piperidin-3-yl)-1H-imidazol-4-yl)-2-phenylpyrimidine; (R)-5-(2-(1-(cyclopropylmethyl)piperidin-3-yl)-1H-imidazol-4-yl)-2-phenylpyrimidine; (S)-5-(2-(1-(cyclopropylmethyl)piperidin-3-yl)-1H-imidazol-4-yl)-2-phenylpyrimidine; 2-phenyl-5-(2-(1-(2,2,2-trifluoroethyl)piperidin-2-yl)-1H-imidazol-4-yl)pyrimidine; (S)-2-phenyl-5-(2-(1-(2,2,2-trifluoroethyl)piperidin-2-yl)-1H-imidazol-4-yl)pyrimidine; and (R)-2-phenyl-5-(2-(1-(2,2,2-trifluoroethyl)piperidin-2-yl)-1H-imidazol-4-yl)pyrimidine; or an equivalent thereof, or an N-oxide thereof, or a pharmaceutically acceptable salt or solvate thereof. Another exemplary embodiment may be a compound selected from the group consisting of: 2-phenyl-5-(2-(1-(2,2,2-trifluoroethyl)pyrrolidin-3-yl)-1H-imidazol-4-yl)pyrimidine; (R)-2-phenyl-5-(2-(1-(2,2,2-trifluoroethyl)pyrrolidin-3-yl)-1H-imidazol-4-yl)pyrimidine; (S)-2-phenyl-5-(2-(1-(2,2,2-trifluoroethyl)pyrrolidin-3-yl)-1H-imidazol-4-yl)pyrimidine; 5-(2-(1-benzylpyrrolidin-3-yl)-1H-imidazol-4-yl)-2-phenylpyrimidine; (R)-5-(2-(1-benzylpyrrolidin-3-yl)-1H-imidazol-4-yl)-2-phenylpyrimidine; (S)-5-(2-(1-benzylpyrrolidin-3-yl)-1H-imidazol-4-yl)-2-phenylpyrimidine; ethyl 3-(4-(2-phenylpyrimidin-5-yl)-1H-imidazol-2-yl)pyrrolidine-1-carboxylate; (R)-ethyl 3-(4-(2-phenylpyrimidin-5-yl)-1H-imidazol-2-yl)pyrrolidine-1-carboxylate; (S)-ethyl 3-(4-(2-phenylpyrimidin-5-yl)-1H-imidazol-2-yl)pyrrolidine-1-carboxylate; tert-butyl 3-(4-(2-phenylpyrimidin-5-yl)-1H-imidazol-2-yl)pyrrolidine-1-carboxylate; (R)-tert-butyl 3-(4-(2-phenylpyrimidin-5-yl)-1H-imidazol-2-yl)pyrrolidine-1-carboxylate; (S)-tert-butyl 3-(4-(2-phenylpyrimidin-5-yl)-1H-imidazol-2-yl)pyrrolidine-1-carboxylate; N-methyl-3-(4-(2-phenylpyrimidin-5-yl)-1H-imidazol-2-yl)pyrrolidine-1-carboxamide; (R)-N-methyl-3-(4-(2-phenylpyrimidin-5-yl)-1H-imidazol-2-yl)pyrrolidine-1-carboxamide; (S)-N-methyl-3-(4-(2-phenylpyrimidin-5-yl)-1H-imidazol-2-yl)pyrrolidine-1-carboxamide; 2-phenyl-5-(2-(1-(2,2,2-trifluoroethyl)pyrrolidin-2-yl)-1H-imidazol-4-yl)pyrimidine; (S)-2-phenyl-5-(2-(1-(2,2,2-trifluoroethyl)pyrrolidin-2-yl)-1H-imidazol-4-yl)pyrimidine; (R)-2-phenyl-5-(2-(1-(2,2,2-trifluoroethyl)pyrrolidin-2-yl)-1H-imidazol-4-yl)pyrimidine; 2-phenyl-5-(2-(1-(2,2,2-trifluoroethyl)azetidin-3-yl)-1H-imidazol-4-yl)pyrimidine; 5-(2-(1-benzylazetidin-3-yl)-1H-imidazol-4-yl)-2-phenylpyrimidine; 1-(3-(4-(2-phenylpyrimidin-5-yl)-1H-imidazol-2-yl)azetidin-1-yl)butan-1-one; 5-(5-methyl-2-(1-(2,2,2-trifluoroethyl)pyrrolidin-3-yl)-1H-imidazol-4-yl)-2-phenylpyrimidine; (R)-5-(5-methyl-2-(1-(2,2,2-trifluoroethyl)pyrrolidin-3-yl)-1H-imidazol-4-yl)-2-phenylpyrimidine; (S)-5-(5-methyl-2-(1-(2,2,2-trifluoroethyl)pyrrolidin-3-yl)-1H-imidazol-4-yl)-2-phenylpyrimidine; 5-(2-(1-benzylpyrrolidin-3-yl)-5-methyl-1H-imidazol-4-yl)-2-phenylpyrimidine; (R)-5-(2-(1-benzylpyrrolidin-3-yl)-5-methyl-1H-imidazol-4-yl)-2-phenylpyrimidine; and (S)-5-(2-(1-benzylpyrrolidin-3-yl)-5-methyl-1H-imidazol-4-yl)-2-phenylpyrimidine; or an equivalent thereof, or an N-oxide thereof, or a pharmaceutically acceptable salt or solvate thereof. Another exemplary embodiment may be a compound selected from the group consisting of: (E)-2-phenyl-5-(2-styryl-1H-imidazol-4-yl)pyrimidine; (E)-5-(2-(2-fluorostyryl)-1H-imidazol-4-yl)-2-phenylpyrimidine; (E)-5-(2-(3-fluorostyryl)-1H-imidazol-4-yl)-2-phenylpyrimidine; (E)-5-(2-(4-fluorostyryl)-1H-imidazol-4-yl)-2-phenylpyrimidine; (E)-2-phenyl-5-(2-(2-(pyridin-2-yl)vinyl)-1H-imidazol-4-yl)pyrimidine; (E)-2-phenyl-5-(2-(2-(pyridin-3-yl)vinyl)-1H-imidazol-4-yl)pyrimidine; (E)-2-phenyl-5-(2-(2-(pyridin-4-yl)vinyl)-1H-imidazol-4-yl)pyrimidine; (E)-2-(3-fluorophenyl)-5-(5-methyl-2-(2-(pyridin-3-yl)vinyl)-1H-imidazol-4-yl)pyrimidine; and (E)-2-(3-fluorophenyl)-5-(1-methyl-2-(2-(pyridin-3-yl)vinyl)-1H-imidazol-4-yl)pyrimidine; or an equivalent thereof, or an N-oxide thereof, or a pharmaceutically acceptable salt or solvate thereof. Another exemplary embodiment may be a compound selected from the group consisting of: 5-(2-phenethyl-1H-imidazol-4-yl)-2-phenylpyrimidine; 5-(2-(2-fluorophenethyl)-1H-imidazol-4-yl)-2-phenylpyrimidine; 5-(2-(3-fluorophenethyl)-1H-imidazol-4-yl)-2-phenylpyrimidine; 5-(2-(4-fluorophenethyl)-1H-imidazol-4-yl)-2-phenylpyrimidine; 2-phenyl-5-(2-(2-(pyridin-2-yl)ethyl)-1H-imidazol-4-yl)pyrimidine; 2-phenyl-5-(2-(2-(pyridin-3-yl)ethyl)-1H-imidazol-4-yl)pyrimidine; 2-phenyl-5-(2-(2-(pyridin-4-yl)ethyl)-1H-imidazol-4-yl)pyrimidine; 2-(3-fluorophenyl)-5-(5-methyl-2-(2-(pyridin-3-yl)ethyl)-1H-imidazol-4-yl)pyridine; and 5-(1-methyl-2-(2-(pyridin-3-yl)ethyl)-1H-imidazol-4-yl)-2-phenylpyrimidine; or an equivalent thereof, or an N-oxide thereof, or a pharmaceutically acceptable salt or solvate thereof. Another exemplary embodiment may be a compound selected from the group consisting of (E)-5-(2-(2-(1-benzylpiperidin-4-yl)vinyl)1H-imidazol-4-yl)-2-phenylpyrimidine; (E)-2-phenyl-5-(2-(2-(1-(2,2,2-trifluoroethyl)piperidin-3-yl)vinyl)-1H-imidazol-4-yl)pyrimidine; (S,E)-2-phenyl-5-(2-(2-(1-(2,2,2-trifluoroethyl)piperidin-3-yl)vinyl)-1H-imidazol-4-yl)pyrimidine; (R,E)-2-phenyl-5-(2-(2-(1-(2,2,2-trifluoroethyl)piperidin-3-yl)vinyl)-1H-imidazol-4-yl)pyrimidine; (E)-2-phenyl-5-(2-(2-(1-propylpiperidin-2-yl)vinyl)-1H-imidazol-4-yl)pyrimidine; (S,E)-2-phenyl-5-(2-(2-(1-propylpipendin-2-yl)vinyl)-1H-imidazol-4-yl)pyrimidine; (R,E)-2-phenyl-5-(2-(2-(1-propylpiperidin-2-yl)vinyl)-1H-imidazol-4-yl)pyrimidine; (E)-3-(2-(4-(2-(3-fluorophenyl)pyrimidin-5-yl)-5-methyl-1H-imidazol-2-yl)vinyl)-N-methylpyrrolidine-1-carboxamide; and (E)-5-(2-(2-(1-(cyclopropylmethyl)pyrrolidin-2-yl)vinyl)-1-methyl-1H-imidazol-4-yl)-2-(3-fluorophenyl)pyridine; or an equivalent thereof, or an N-oxide thereof, or a pharmaceutically acceptable salt or solvate thereof. Another exemplary embodiment may be a compound selected from the group consisting of: 5-(2-(2-(1-benzylpiperidin-4-yl)ethyl)-1H-imidazol-4-yl)-2-phenylpyrimidine; 2-phenyl-5-(2-(2-(1-(2,2,2-trifluoroethyl)piperidin-3-yl)ethyl)-1H-imidazol-4-yl)pyrimidine; (S)-2-phenyl-5-(2-(2-(1-(2,2,2-trifluoroethyl)piperidin-3-yl)ethyl)-1H-imidazol-4-yl)pyrimidine; (R)-2-phenyl-5-(2-(2-(1-(2,2,2-trifluoroethyl)piperidin-3-yl)ethyl)-1H-imidazol-4-yl)pyrimidine; 5-(2-(2-(1-isobutylpiperidin-2-yl)ethyl)-1H-imidazol-4-yl)-2-phenylpyrimidine; (S)-5-(2-(2-(1-isobutylpiperidin-2-yl)ethyl)-1H-imidazol-4-yl)-2-phenylpyrimidine; (R)-5-(2-(2-(1-isobutylpiperidin-2-yl)ethyl)-1H-imidazol-4-yl)-2-phenylpyrimidine; ethyl 3-(2-(4-(2-(3-fluorophenyl)pyrimidin-5-yl)-5-methyl-1H-imidazol-2-yl)ethyl)pyrrolidine-1-carboxylate; and 1-(2-(2-(4-(6-(3-fluorophenyl)pyridin-3-yl)-1-methyl-1H-imidazol-2-yl)ethyl)pyrrolidin-1-yl)butan-1-one; or an equivalent thereof, or an N-oxide thereof, or a pharmaceutically acceptable salt or solvate thereof. Another exemplary embodiment may be a compound selected from the group consisting of: 2-phenyl-5-(2-phenyl-1H-imidazol-4-yl)pyridine; 5-(2-(2-fluorophenyl)-1H-imidazol-4-yl)-2-phenylpyridine; 5-(2-(3-fluorophenyl)-1H-imidazol-4-yl)-2-phenylpyridine; 5-(2-(4-fluorophenyl)-1H-imidazol-4-yl)-2-phenylpyridine; 2-phenyl-5-(2-(pyridin-2-yl)-1H-imidazol-4-yl)pyridine; 2-phenyl-5-(2-(pyridin-3-yl)-1H-imidazol-4-yl)pyridine; 2-phenyl-5-(2-(pyridin-4-yl)-1H-imidazol-4-yl)pyridine; 5-(2-benzyl-1H-imidazol-4-yl)-2-phenylpyridin; 5-(2-(2-fluorobenzyl)-1H-imidazol-4-yl)-2-phenylpyridine; 5-(2-(3-fluorobenzyl)-1H-imidazol-4-yl)-2-phenylpyridine; 5-(2-(4-fluorobenzyl)-1H-imidazol-4-yl)-2-phenylpyridine; 2-phenyl-5-(2-(pyridin-2-ylmethyl)-1H-imidazol-4-yl)pyridine; 2-phenyl-5-(2-(pyridin-3-ylmethyl)-1H-imidazol-4-yl)pyridine; 2-phenyl-5-(2-(pyridin-4-ylmethyl)-1H-imidazol-4-yl)pyridine; 5-(5-methyl-2-phenyl-1H-imidazol-4-yl)-2-phenylpyridine; 5-(1-methyl-2-phenyl-1H-imidazol-5-yl)-2-phenylpyridine; 5-(1-methyl-2-phenyl-1H-imidazol-4-yl)-2-phenylpyridine; 5-(5-methyl-2-(pyridin-3-yl)-1H-imidazol-4-yl)-2-phenylpyridine; 5-(1-methyl-2-(pyridin-3-yl)-1H-imidazol-5-yl)-2-phenylpyridine; and 5-(1-methyl-2-(pyridin-3-yl)-1H-imidazol-4-yl)-2-phenylpyridine; or an equivalent thereof, or an N-oxide thereof, or a pharmaceutically acceptable salt or solvate thereof. Another exemplary embodiment may be a compound selected from the group consisting of: 2-phenyl-5-(2-(1-(2,2,2-trifluoroethyl)piperidin-4-yl)-1H-imidazol-4-yl)pyridine; 5-(5-methyl-2-(1-(2,2,2-trifluoroethyl)piperidin-4-yl)-1H-imidazol-4-yl)-2-phenylpyridine; 5-(2-(1-benzylpiperidin-4-yl)-1H-imidazol-4-yl)-2-phenylpyridine; 5-(2-(1-benzylpiperidin-4-yl)-5-methyl-1H-imidazol-4-yl)-2-phenylpyridine; 5-(2-(1-benzylpiperidin-4-yl)-1-methyl-1H-imidazol-4-yl)-2-phenylpyridine; 5-(2-(1-benzylpiperidin-4-yl)-1-methyl-1H-imidazol-5-yl)-2-phenylpyridine; 5-(2-(1-(cyclopropylmethyl)piperidin-4-yl)-1H-imidazol-4-yl)-2-phenylpyridine; 3-(4-(4-(6-phenylpyridin-3-yl)-1H-imidazol-2-yl)piperidin-1-yl)pyridazine; 5-(2-(1-(1-methyl-1H-tetrazol-5-yl)piperidin-4-yl)-1H-imidazol-4-yl)-2-phenylpyridine; N-methyl-4-(4-(6-phenylpyridin-3-yl)-1H-imidazol-2-yl)piperidine-1-carboxamide; ethyl 4-(4-(6-phenylpyridin-3-yl)-1H-imidazol-2-yl)piperidine-1-carboxylate; 1-(4-(4-(6-phenylpyridin-3-yl)-1H-imidazol-2-yl)piperidin-1-yl)butan-1-one; 2-phenyl-5-(2-((1-(2,2,2-trifluoroethyl)piperidin-4-yl)methyl)-1H-imidazol-4-yl)pyridine; 2-phenyl-5-(2-(1-(2,2,2-trifluoroethyl)piperidin-3-yl)-1H-imidazol-4-yl)pyridine; 5-(5-methyl-2-(1-(2,2,2-trifluoroethyl)piperidin-3-yl)-1H-imidazol-4-yl)-2-phenylpyridine; (R)-5-(5-methyl-2-(1-(2,2,2-trifluoroethyl)piperidin-3-yl)-1H-imidazol-4-yl)-2-phenylpyridine; (S)-5-(5-methyl-2-(1-(2,2,2-trifluoroethyl)piperidin-3-yl)-1H-imidazol-4-yl)-2-phenylpyridine; (R)-2-phenyl-5-(2-(1-(2,2,2-trifluoroethyl)piperidin-3-yl)-1H-imidazol-4-yl)pyridine; (S)-2-phenyl-5-(2-(1-(2,2,2-trifluoroethyl)piperidin-3-yl)-1H-imidazol-4-yl)pyridine; 5-(2-(1-benzylpiperidin-3-yl)-1H-imidazol-4-yl)-2-phenylpyridine; (R)-5-(2-(1-benzylpiperidin-3-yl)-1H-imidazol-4-yl)-2-phenylpyridine; (S)-5-(2-(1-benzylpiperidin-3-yl)-1H-imidazol-4-yl)-2-phenylpyridine; N-cyclopropyl-3-(4-(6-phenylpyridin-3-yl)-1H-imidazol-2-yl)piperidine-1-carboxamide; (R)-N-cyclopropyl-3-(4-(6-phenylpyridin-3-yl)-1H-imidazol-2-yl)piperidine-1-carboxamide; (S)-N-cyclopropyl-3-(4-(6-phenylpyridin-3-yl)-1H-imidazol-2-yl)piperidine-1-carboxamide; 2-phenyl-5-(2-(1-(2,2,2-trifluoroethyl)piperidin-2-yl)-1H-imidazol-4-yl)pyridine; (S)-2-phenyl-5-(2-(1-(2,2,2-trifluoroethyl)piperidin-2-yl)-1H-imidazol-4-yl)pyridine; and (R)-2-phenyl-5-(2-(1-(2,2,2-trifluoroethyl)piperidin-2-yl)-1H-imidazol-4-yl)pyridine; or an equivalent thereof, or an N-oxide thereof, or a pharmaceutically acceptable salt or solvate thereof. Another exemplary embodiment may be a compound selected from the group consisting of: 2-phenyl-5-(2-(1-(2,2,2-trifluoroethyl)pyrrolidin-3-yl)-1H-imidazol-4-yl)pyridine; (R)-2-phenyl-5-(2-(1-(2,2,2-trifluoroethyl)pyrrolidin-3-yl)-1H-imidazol-4-yl)pyridine; (S)-2-phenyl-5-(2-(1-(2,2,2-trifluoroethyl)pyrrolidin-3-yl)-1H-imidazol-4-yl)pyridine; 5-(5-methyl-2-(1-(2,2,2-trifluoroethyl)pyrrolidin-3-yl)-1H-imidazol-4-yl)-2-phenylpyridine; (R)-5-(5-methyl-2-(1-(2,2,2-trifluoroethyl)pyrrolidin-3-yl)-1H-imidazol-4-yl)-2-phenylpyridine; (S)-5-(5-methyl-2-(1-(2,2,2-trifluoroethyl)pyrrolidin-3-yl)-1H-imidazol-4-yl)-2-phenylpyridine; 5-(2-(1-benzylpyrrolidin-3-yl)-5-methyl-1H-imidazol-4-yl)-2-phenylpyridine; 5-(2-(1-benzylpyrrolidin-3-yl)-1-methyl-1H-imidazol-4-yl)-2-phenylpyridine; 5-(2-(1-benzylpyrrolidin-3-yl)-1-methyl-1H-imidazol-5-yl)-2-phenylpyridine; (R)-5-(2-(1-benzylpyrrolidin-3-yl)-5-methyl-1H-imidazol-4-yl)-2-phenylpyridine; (R)-5-(2-(1-benzylpyrrolidin-3-yl)-1-methyl-1H-imidazol-4-yl)-2-phenylpyridine; (R)-5-(2-(1-benzylpyrrolidin-3-yl)-1-methyl-1H-imidazol-5-yl)-2-phenylpyridine; (S)-5-(2-(1-benzylpyrrolidin-3-yl)-5-methyl-1H-imidazol-4-yl)-2-phenylpyridine; (S)-5-(2-(1-benzylpyrrolidin-3-yl)-1-methyl-1H-imidazol-4-yl)-2-phenylpyridine; (S)-5-(2-(1-benzylpyrrolidin-3-yl)-1-methyl-1H-imidazol-5-yl)-2-phenylpyridine; ethyl 3-(4-(6-phenylpyridin-3-yl)-1H-imidazol-2-yl)pyrrolidine-1-carboxylate; (R)-ethyl 3-(4-(6-phenylpyridin-3-yl)-1H-imidazol-2-yl)pyrrolidine-1-carboxylate; (S)-ethyl 3-(4-(6-phenylpyridin-3-yl)-1H-imidazol-2-yl)pyrrolidine-1-carboxylate; N-methyl-3-(4-(6-phenylpyridin-3-yl)-1H-imidazol-2-yl)pyrrolidine-1-carboxamide; (R)-N-methyl-3-(4-(6-phenylpyridin-3-yl)-1H-imidazol-2-yl)pyrrolidine-1-carboxamide; (S)-N-methyl-3-(4-(6-phenylpyridin-3-yl)-1H-imidazol-2-yl)pyrrolidine-1-carboxamide; 2-phenyl-5-(2-(1-(2,2,2-trifluoroethyl)pyrrolidin-2-yl)-1H-imidazol-4-yl)pyridine; (S)-2-phenyl-5-(2-(1-(2,2,2-trifluoroethyl)pyrrolidin-2-yl)-1H-imidazol-4-yl)pyridine; (R)-2-phenyl-5-(2-(1-(2,2,2-trifluoroethyl)pyrrolidin-2-yl)-1H-imidazol-4-yl)pyridine; 2-phenyl-5-(2-(1-(2,2,2-trifluoroethyl)azetidin-3-yl)-1H-imidazol-4-yl)pyridine; 5-(2-(1-benzylazetidin-3-yl)-1H-imidazol-4-yl)-2-phenylpyridine; and 1-(3-(4-(6-phenylpyridin-3-yl)-1H-imidazol-2-yl)azetidin-1-yl)butan-1-one; or an equivalent thereof, or an N-oxide thereof, or a pharmaceutically acceptable salt or solvate thereof. Another exemplary embodiment may be a compound selected from the group consisting of: 2-(3-fluorophenyl)-5-(2-phenyl-1H-imidazol-4-yl)pyrimidine; 2-(3-fluorophenyl)-5-(2-(2-fluorophenyl)-1H-imidazol-4-yl)pyrimidine; 2-(3-fluorophenyl)-5-(2-(3-fluorophenyl)-1H-imidazol-4-yl)pyrimidine; 2-(3-fluorophenyl)-5-(2-(4-fluorophenyl)-1H-imidazol-4-yl)pyrimidine; 2-(3-fluorophenyl)-5-(2-(pyridin-2-yl)-1H-imidazol-4-yl)pyrimidine; 2-(3-fluorophenyl)-5-(2-(pyridin-3-yl)-1H-imidazol-4-yl)pyrimidine; 2-(3-fluorophenyl)-5-(2-(pyridin-4-yl)-1H-imidazol-4-yl)pyrimidine; 5-(2-benzyl-1H-imidazol-4-yl)-2-(3-fluorophenyl)pyrimidine; 5-(2-(2-fluorobenzyl)-1H-imidazol-4-yl)-2-(3-fluorophenyl)pyrimidine; 5-(2-(3-fluorobenzyl)-1H-imidazol-4-yl)-2-(3-fluorophenyl)pyrimidine; 5-(2-(4-fluorobenzyl)-1H-imidazol-4-yl)-2-(3-fluorophenyl)pyrimidine; 2-(3-fluorophenyl)-5-(2-(pyridin-2-ylmethyl)-1H-imidazol-4-yl)pyrimidine; 2-(3-fluorophenyl)-5-(2-(pyridin-3-ylmethyl)-1H-imidazol-4-yl)pyrimidine; 2-(3-fluorophenyl)-5-(2-(pyridin-4-ylmethyl)-1H-imidazol-4-yl)pyrimidine; 2-(3-fluorophenyl)-5-(5-methyl-2-phenyl-1H-imidazol-4-yl)pyrimidine; 2-(3-fluorophenyl)-5-(1-methyl-2-phenyl-1H-imidazol-5-yl)pyrimidine; 2-(3-fluorophenyl)-5-(1-methyl-2-phenyl-1H-imidazol-4-yl)pyrimidine; 2-(3-fluorophenyl)-5-(5-methyl-2-(pyridin-3-yl)-1H-imidazol-4-yl)pyrimidine; 2-(3-fluorophenyl)-5-(1-methyl-2-(pyridin-3-yl)-1H-imidazol-5-yl)pyrimidine; and 2-(3-fluorophenyl)-5-(1-methyl-2-(pyridin-3-yl)-1H-imidazol-4-yl)pyrimidine; or an equivalent thereof, or an N-oxide thereof, or a pharmaceutically acceptable salt or solvate thereof. Another exemplary embodiment may be a compound selected from the group consisting of: 2-(3-fluorophenyl)-5-(2-(1-(2,2,2-trifluoroethyl)piperidin-4-yl)-1H-imidazol-4-yl)pyrimidine; 2-(3-fluorophenyl)-5-(5-methyl-2-(1-(2,2,2-trifluoroethyl)piperidin-4-yl)-1H-imidazol-4-yl)pyridine; 5-(2-(1-benzylpiperidin-4-yl)-1H-imidazol-4-yl)-2-(3-fluorophenyl)pyrimidine; 5-(2-(1-benzylpiperidin-4-yl)-5-methyl-1H-imidazol-4-yl)-2-(3-fluorophenyl)pyridine; 5-(2-(1-benzylpiperidin-4-yl)-1-methyl-1H-imidazol-4-yl)-2-(3-fluorophenyl)pyridine; 5-(2-(1-benzylpiperidin-4-yl)-1-methyl-1H-imidazol-5-yl)-2-(3-fluorophenyl)pyridine; 5-(2-(1-(cyclopropylmethyl)piperidin-4-yl)-1H-imidazol-4-yl)-2-(3-fluorophenyl)pyrimidine; 3-(4-(4-(2-(3-fluorophenyl)pyrimidin-5-yl)-1H-imidazol-2-yl)piperidin-1-yl)pyridazine; 2-(3-fluorophenyl)-5-(2-(1-(1-methyl-1H-tetrazol-5-yl)piperidin-4-yl)-1H-imidazol-4-yl)pyrimidine; 4-(4-(2-(3-fluorophenyl)pyrimidin-5-yl)-1H-imidazol-2-yl)-N-methylpiperidine-1-carboxamide; ethyl 4-(4-(6-(3-fluorophenyl)pyridin-3-yl)-1H-imidazol-2-yl)piperidine-1-carboxylate; 1-(4-(4-(6-(3-fluorophenyl)pyridin-3-yl)-1H-imidazol-2-yl)piperidin-1-yl)butan-1-one; 2-(3-fluorophenyl)-5-(2-((1-(2,2,2-trifluoroethyl)piperidin-4-yl)methyl)-1H-imidazol-4-yl)pyrimidine; 2-(3-fluorophenyl)-5-(2-(1-(2,2,2-trifluoroethyl)piperidin-3-yl)-1H-imidazol-4-yl)pyridine; (R)-2-(3-fluorophenyl)-5-(2-(1-(2,2,2-trifluoroethyl)piperidin-3-yl)-1H-imidazol-4-yl)pyridine; (S)-2-(3-fluorophenyl)-5-(2-(1-(2,2,2-trifluoroethyl)piperidin-3-yl)-1H-imidazol-4-yl)pyridine; 5-(2-(1-benzylpiperidin-3-yl)-1H-imidazol-4-yl)-2-(3-fluorophenyl)pyridine; (R)-5-(2-(1-benzylpiperidin-3-yl)-1H-imidazol-4-yl)-2-(3-fluorophenyl)pyridine; (S)-5-(2-(1-benzylpiperidin-3-yl)-1H-imidazol-4-yl)-2-(3-fluorophenyl)pyridine; N-cyclopropyl-3-(4-(6-(3-fluorophenyl)pyridin-3-yl)-1H-imidazol-2-yl)piperidine-1-carboxamide; (R)-N-cyclopropyl-3-(4-(6-(3-fluorophenyl)pyridin-3-yl)-1H-imidazol-2-yl)piperidine-1-carboxamide; (R)-N-carboxamide; (S)-N-cyclopropyl-3-(4-(6-(3-fluorophenyl)pyridin-3-yl)-1H-imidazol-2-yl)piperidine-1-carboxamide; 2-(3-fluorophenyl)-5-(2-(1-(2,2,2-trifluoroethyl)piperidin-2-yl)-1H-imidazol-4-yl)pyridine; (S)-2-(3-fluorophenyl)-5-(2-(1-(2,2,2-trifluoroethyl)piperidin-2-yl)-1H-imidazol-4-yl)pyridine; and (R)-2-(3-fluorophenyl)-5-(2-(1-(2,2,2-trifluoroethyl)piperidin-2-yl)-1H-imidazol-4-yl)pyridine; or an equivalent thereof, or an N-oxide thereof, or a pharmaceutically acceptable salt or solvate thereof. Another exemplary embodiment may be a compound selected from the group consisting of: 2-(3-fluorophenyl)-5-(2-(1-(2,2,2-trifluoroethyl)pyrrolidin-3-yl)-1H-imidazol-4-yl)pyridine; (R)-2-(3-fluorophenyl)-5-(2-(1-(2,2,2-trifluoroethyl)pyrrolidin-3-yl)-1H-imidazol-4-yl)pyridine; (S)-2-(3-fluorophenyl)-5-(2-(1-(2,2,2-trifluoroethyl)pyrrolidin-3-yl)-1H-imidazol-4-yl)pyridine; 5-(2-(1-benzylpyrrolidin-3-yl)-1H-imidazol-4-yl)-2-(3-fluorophenyl)pyridine; (R)-5-(2-(1-benzylpyrrolidin-3-yl)-1H-imidazol-4-yl)-2-(3-fluorophenyl)pyridine; (S)-5-(2-(1-benzylpyrrolidin-3-yl)-1H-imidazol-4-yl)-2-(3-fluorophenyl)pyridine; 5-(2-(1-benzylpyrrolidin-3-yl)-5-methyl-1H-imidazol-4-yl)-2-(3-fluorophenyl)pyridine; (R)-5-(2-(1-benzylpyrrolidin-3-yl)-5-methyl-1H-imidazol-4-yl)-2-(3-fluorophenyl)pyridine; (S)-5-(2-(1-benzylpyrrolidin-3-yl)-5-methyl-1H-imidazol-4-yl)-2-(3-fluorophenyl)pyridine; 5-(2-(1-benzylpyrrolidin-3-yl)-1-methyl-1H-imidazol-4-yl)-2-(3-fluorophenyl)pyridine; (R)-5-(2-(1-benzylpyrrolidin-3-yl)-1-methyl-1H-imidazol-4-yl)-2-(3-fluorophenyl)pyridine; (S)-5-(2-(1-benzylpyrrolidin-3-yl)-1-methyl-1H-imidazol-4-yl)-2-(3-fluorophenyl)pyridine; 5-(2-(1-benzylpyrrolidin-3-yl)-1-methyl-1H-imidazol-5-yl)-2-(3-fluorophenyl)pyridine; (R)-5-(2-(1-benzylpyrrolidin-3-yl)-1-methyl-1H-imidazol-5-yl)-2-(3-fluorophenyl)pyridine; (S)-5-(2-(1-benzylpyrrolidin-3-yl)-1-methyl-1H-imidazol-5-yl)-2-(3-fluorophenyl)pyridine; ethyl 3-(4-(2-(3-fluorophenyl)pyrimidin-5-yl)-1H-imidazol-2-yl)pyrrolidine-1-carboxylate; (R)-ethyl 3-(4-(2-(3-fluorophenyl)pyrimidin-5-yl)-1H-imidazol-2-yl)pyrrolidine-1-carboxylate; (S)-ethyl 3-(4-(2-(3-fluorophenyl)pyrimidin-5-yl)-1H-imidazol-2-yl)pyrrolidine-1-carboxylate; 3-(4-(6-(3-fluorophenyl)pyridin-3-yl)-1H-imidazol-2-yl)-N-methylpyrrolidine-1-carboxamide; (R)-3-(4-(6-(3-fluorophenyl)pyridin-3-yl)-1H-imidazol-2-yl)-N-methylpyrrolidine-1-carboxamide; (S)-3-(4-(6-(3-fluorophenyl)pyridin-3-yl)-1H-imidazol-2-yl)-N-methylpyrrolidine-1-carboxamide; 2-(3-fluorophenyl)-5-(2-(1-(2,2,2-trifluoroethyl)pyrrolidin-2-yl)-1H-imidazol-4-yl)pyridine; (S)-2-(3-fluorophenyl)-5-(2-(1-(2,2,2-trifluoroethyl)pyrrolidin-2-yl)-1H-imidazol-4-yl)pyridine; (R)-2-(3-fluorophenyl)-5-(2-(1-(2,2,2-trifluoroethyl)pyrrolidin-2-yl)-1H-imidazol-4-yl)pyridine; 2-(3-fluorophenyl)-5-(2-(1-(2,2,2-trifluoroethyl)azetidin-3-yl)-1H-imidazol-4-yl)pyridine; 5-(2-(1-benzylazetidin-3-yl)-1H-imidazol-4-yl)-2-(3-fluorophenyl)pyridine; 5-(2-(1-benzylazetidin-3-yl)-5-methyl-1H-imidazol-4-yl)-2-(3-fluorophenyl)pyridine; and 1-(3-(4-(6-(3-fluorophenyl)pyridin-3-yl)-1H-imidazol-2-yl)azetidin-1-yl)butan-1-one; or an equivalent thereof, or an N-oxide thereof, or a pharmaceutically acceptable salt or solvate thereof. Another exemplary embodiment may be a compound selected from the group consisting of: 2-phenoxy-5-(2-phenyl-1H-imidazol-4-yl)pyrimidine; 5-(2-(3-fluorophenyl)-1H-imidazol-4-yl)-2-phenoxypyrimidine; 2-phenoxy-5-(2-(pyridin-3-yl)-1H-imidazol-4-yl)pyrimidine; 5-(5-methyl-2-(pyridin-3-yl)-1H-imidazol-4-yl)-2-phenoxypyrimidine; 5-(1-methyl-2-(pyridin-3-yl)-1H-imidazol-4-yl)-2-phenoxypyrimidine; 5-(1-methyl-2-(pyridin-3-yl)-1H-imidazol-5-yl)-2-phenoxypyrimidine; 5-(2-(1-benzylpiperidin-4-yl)-5-methyl-1H-imidazol-4-yl)-2-phenoxypyrimidine; 5-(2-(1-benzylpiperidin-4-yl)-1-methyl-1H-imidazol-4-yl)-2-phenoxypyrimidine; 5-(2-(1-benzylpiperidin-4-yl)-1-methyl-1H-imidazol-5-yl)-2-phenoxypyrimidine; 5-(5-methyl-2-(pyridin-3-yl)-1H-imidazol-4-yl)-2-phenoxypyridine; 5-(1-methyl-2-(pyridin-3-yl)-1H-imidazol-4-yl)-2-phenoxypyridine; 5-(1-methyl-2-(pyridin-3-yl)-1H-imidazol-5-yl)-2-phenoxypyridine; 5-(2-(1-benzylpiperidin-4-yl)-5-methyl-1H-imidazol-4-yl)-2-phenoxypyridine; 5-(2-(1-benzylpiperidin-4-yl)-1-methyl-1H-imidazol-4-yl)-2-phenoxypyridine; 5-(2-(1-benzylpiperidin-4-yl)-1-methyl-1H-imidazol-5-yl)-2-phenoxypyridine; 5-(2-benzyl-1H-imidazol-4-yl)-2-phenoxypyrimidine; 2-phenoxy-5-(2-(1-(2,2,2-trifluoroethyl)piperidin-4-yl)-1H-imidazol-4-yl)pyrimidine; 5-(2-(1-benzylpiperidin-4-yl)-1H-imidazol-4-yl)-2-phenoxypyrimidine; 5-(2-(1-(cyclopropylmethyl)piperidin-4-yl)-1H-imidazol-4-yl)-2-phenoxypyrimidine; 3-(4-(4-(2-phenoxypyrimidin-5-yl)-1H-imidazol-2-yl)piperidin-1-yl)pyridazine; 5-(2-(1-(1-methyl-1H-tetrazol-5-yl)piperidin-4-yl)-1H-imidazol-4-yl)-2-phenoxypyrimidine; N-methyl-4-(4-(2-phenoxypyrimidin-5-yl)-1H-imidazol-2-yl)piperidine-1-carboxamide; 2-phenoxy-5-(2-((1-(2,2,2-trifluoroethyl)piperidin-4-yl)methyl)-1H-imidazol-4-yl)pyrimidine; ethyl 3-(4-(2-phenoxypyrimidin-5-yl)-1H-imidazol-2-yl)pyrrolidine-1-carboxylate; (R)-ethyl 3-(4-(2-phenoxypyrimidin-5-yl)-1H-imidazol-2-yl)pyrrolidine-1-carboxylate; (S)-ethyl 3-(4-(2-phenoxypyrimidin-5-yl)-1H-imidazol-2-yl)pyrrolidine-1-carboxylate; 5-(5-methyl-2-phenyl-1H-imidazol-4-yl)-2-phenoxypyrimidine; 5-(5-methyl-2-(1-(2,2,2-trifluoroethyl)piperidin-4-yl)-1H-imidazol-4-yl)-2-phenoxypyrimidine; and 5-(5-methyl-2-(1-(2,2,2-trifluoroethyl)piperidin-4-yl)-1H-imidazol-4-yl)-2-phenoxypyridine; or an equivalent thereof, or an N-oxide thereof, or a pharmaceutically acceptable salt or solvate thereof. Another exemplary embodiment may be a compound selected from the group consisting of: 2-phenyl-5-(5-phenyl-1H-pyrazol-3-yl)pyrimidine; 5-(5-(3-fluorophenyl)-1H-pyrazol-3-yl)-2-phenylpyrimidine; 2-phenyl-5-(5-(pyridin-3-yl)-1H-pyrazol-3-yl)pyrimidine; 5-(5-benzyl-1H-pyrazol-3-yl)-2-phenylpyrimidine; 2-phenyl-5-(5-(1-(2,2,2-trifluoroethyl)piperidin-4-yl)-1H-pyrazol-3-yl)pyrimidine; 5-(5-(1-benzylpiperidin-4-yl)-1H-pyrazol-3-yl)-2-phenylpyrimidine; 5-(5-(1-(cyclopropylmethyl)piperidin-4-yl)-1H-pyrazol-3-yl)-2-phenylpyrimidine; 3-(4-(3-(2-phenylpyrimidin-5-yl)-1H-pyrazol-5-yl)piperidin-1-yl)pyridazine; 5-(5-(1-(1-methyl-1H-tetrazol-5-yl)piperidin-4-yl)-1H-pyrazol-3-yl)-2-phenylpyrimidine; N-methyl-4-(3-(2-phenylpyrimidin-5-yl)-1H-pyrazol-5-yl)piperidine-1-carboxamide; 2-phenyl-5-(5-((1-(2,2,2-trifluoroethyl)piperidin-4-yl)methyl)-1H-pyrazol-3-yl)pyrimidine; ethyl 3-(3-(2-phenylpyrimidin-5-yl)-1H-pyrazol-5-yl)pyrrolidine-1-carboxylate; (R)-ethyl 3-(3-(2-phenylpyrimidin-5-yl)-1H-pyrazol-5-yl)pyrrolidine-1-carboxylate; (S)-ethyl 3-(3-(2-phenylpyrimidin-5-yl)-1H-pyrazol-5-yl)pyrrolidine-1-carboxylate; and 5-(4-methyl-5-phenyl-1H-pyrazol-3-yl)-2-phenylpyrimidine; or an equivalent thereof, or an N-oxide thereof, or a pharmaceutically acceptable salt or solvate thereof. Another exemplary embodiment may be a compound selected from the group consisting of: 3-(2-phenylpyrimidin-5-yl)-1H-pyrazole-5-carboxylic acid; methyl 3-(2-phenylpyrimidin-5-yl)-1H-pyrazole-5-carboxylate; ethyl 3-(2-phenylpyrimidin-5-yl)-1H-pyrazole-5-carboxylate; (4-methylpiperazin-1-yl)(3-(2-phenylpyrimidin-5-yl)-1H-pyrazol-5-yl)methanone; ethyl 3-(6-phenylpyridin-3-yl)-1H-pyrazole-5-carboxylate; (4-methylpiperazin-1-yl)(3-(6-phenylpyridin-3-yl)-1H-pyrazol-5-yl)methanone; ethyl 3-(2-(3-fluorophenyl)pyrimidin-5-yl)-1H-pyrazole-5-carboxylate; (3-(2-(3-fluorophenyl)pyrimidin-5-yl)-1H-pyrazol-5-yl)(4-methylpiperazin-1-yl)methanone; ethyl 3-(6-(3-fluorophenyl)pyridin-3-yl)-1H-pyrazole-5-carboxylate; (3-(6-(3-fluorophenyl)pyridin-3-yl)-1H-pyrazol-5-yl)(4-methylpiperazin-1-yl)methanone; ethyl 4-methyl-3-(2-phenylpyrimidin-5-yl)-1H-pyrazole-5-carboxylate; (4-methyl-3-(2-phenylpyrimidin-5-yl)-1H-pyrazol-5-yl)(4-methylpiperazin-1-yl)methanone; ethyl 1-methyl-3-(2-phenylpyrimidin-5-yl)-1H-pyrazole-5-carboxylate; (1-methyl-3-(2-phenylpyrimidin-5-yl)-1H-pyrazol-5-yl)(4-methylpiperazin-1-yl)methanone; ethyl 1-methyl-5-(2-phenylpyrimidin-5-yl)-1H-pyrazole-3-carboxylate; (1-methyl-5-(2-phenylpyrimidin-5-yl)-1H-pyrazol-3-yl)(4-methylpiperazin-1-yl)methanone; methyl 3-(2-phenoxypyrimidin-5-yl)-1H-pyrazole-5-carboxylate; ethyl 3-(2-phenoxypyrimidin-5-yl)-1H-pyrazole-5-carboxylate; (3-(2-benzoylpyrimidin-5-yl)-1H-pyrazol-5-yl)(4-methylpiperazin-1-yl)methanone; (3-(6-benzoylpyridin-3-yl)-1H-pyrazol-5-yl)(4-methylpiperazin-1-yl)methanone; and (4-methylpiperazin-1-yl)(3-(2-phenoxypyrimidin-5-yl)-1H-pyrazol-5-yl)methanone; or an equivalent thereof, or an N-oxide thereof, or a pharmaceutically acceptable salt or solvate thereof. Another exemplary embodiment may be a compound selected from the group consisting of: 2-phenyl-5-(1-(1-(2,2,2-trifluoroethyl)piperidin-4-yl)-1H-imidazol-4-yl)pyrimidine; 5-(1-(1-benzylpiperidin-4-yl)-1H-imidazol-4-yl)-2-phenylpyrimidine; 5-(1-(1-benzylpiperidin-4-yl)-1H-imidazol-4-yl)-2-phenylpyridine; 5-(1-(1-benzylpiperidin-4-yl)-1H-imidazol-4-yl)-2-phenoxypyrimidine; 5-(1-(1-benzylpiperidin-4-yl)-1H-imidazol-4-yl)-2-phenoxypyridine; 2-phenyl-5-(1-(pyridin-3-ylmethyl)-1H-imidazol-4-yl)pyrimidine; 5-(1-benzyl-1H-imidazol-4-yl)-2-phenylpyrimidine; tert-butyl 4-(2-methyl-4-(2-phenylpyrimidin-5-yl)-1H-imidazol-1-yl)piperidine-1-carboxylate; 5-(1-benzyl-2-methyl-1H-imidazol-4-yl)-2-phenylpyrimidine; 2-phenyl-5-(1-(pyridin-3-yl)-1H-imidazol-4-yl)pyrimidine; 2-(3-fluorophenyl)-5-(1-(pyridin-3-ylmethyl)-1H-imidazol-4-yl)pyrimidine; and N-cyclopropyl-3-(4-(2-(3-fluorophenyl)pyrimidin-5-yl)-1H-imidazol-1-yl)pyrrolidine-1-carboxamide; or an equivalent thereof, or an N-oxide thereof, or a pharmaceutically acceptable salt or solvate thereof. Another exemplary embodiment may be a compound selected from the group consisting of: 2-phenyl-5-(5-(pyridin-3-yl)-4H-1,2,4-triazol-3-yl)pyrimidine; 2-phenyl-5-(5-(pyridin-3-yl)-4H-1,2,4-triazol-3-yl)pyridine; 5-(1-methyl-5-(pyridin-3-yl)-1H-1,2,4-triazol-3-yl)-2-phenylpyrimidine; 5-(1-methyl-5-(pyridin-3-yl)-1H-1,2,4-triazol-3-yl)-2-phenylpyridine; 2-phenoxy-5-(5-(pyridin-3-yl)-4H-1,2,4-triazol-3-yl)pyrimidine; 2-phenoxy-5-(5-(pyridin-3-yl)-4H-1,2,4-triazol-3-yl)pyridine; 2-phenyl-5-(5-(1-(2,2,2-trifluoroethyl)piperidin-4-yl)-4H-1,2,4-triazol-3-yl)pyrimidine; and 2-phenyl-5-(5-(1-(2,2,2-trifluoroethyl)piperidin-4-yl)-4H-1,2,4-triazol-3-yl)pyridine; or an equivalent thereof, or an N-oxide thereof, or a pharmaceutically acceptable salt or solvate thereof. Another exemplary embodiment may be a compound selected from the group consisting of: (5-(2-(3-fluorophenyl)-1H-imidazol-4-yl)pyrimidin-2-yl)(phenyl)methanone; phenyl(5-(2-(pyridin-3-yl)-1H-imidazol-4-yl)pyrimidin-2-yl)methanone; (5-(2-(1-benzylpiperidin-4-yl)-1H-imidazol-4-yl)pyrimidin-2-yl)(phenyl)methanone; (5-(2-(3-fluorophenyl)-5-methyl-1H-imidazol-4-yl)pyrimidin-2-yl)(phenyl)methanone; (5-(5-methyl-2-(pyridin-3-yl)-1H-imidazol-4-yl)pyrimidin-2-yl)(phenyl)methanone; (5-(2-(1-benzylpiperidin-4-yl)-5-methyl-1H-imidazol-4-yl)pyrimidin-2-yl)(phenyl)methanone; (5-(2-(3-fluorophenyl)-1-methyl-1H-imidazol-4-yl)pyrimidin-2-yl)(phenyl)methanone; (5-(1-methyl-2-(pyridin-3-yl)-1H-imidazol-4-yl)pyrimidin-2-yl)(phenyl)methanone; and (5-(2-(1-benzylpiperidin-4-yl)-1-methyl-1H-imidazol-4-yl)pyrimidin-2-yl)(phenyl)methanone; or an equivalent thereof, or an N-oxide thereof, or a pharmaceutically acceptable salt or solvate thereof. Another exemplary embodiment may be a compound selected from the group consisting of: 4-methyl-2-phenyl-5-(2-(pyridin-3-yl)-1H-imidazol-5-yl)thiazole; 2-(3-fluorophenyl)-4-methyl-5-(2-(pyridin-3-yl)-1H-imidazol-5-yl)thiazole; 4-methyl-2-phenyl-5-(2-(1-(2,2,2-trifluoroethyl)piperidin-4-yl)-1H-imidazol-5-yl)thiazole; 4-methyl-2-phenyl-5-(2-(1-(pyridazin-3-yl)piperidin-1-yl)-1H-imidazol-5-yl)thiazole; 4-methyl-2-phenyl-5-(2-(1-(2,2,2-trifluoroethyl)piperidin-3-yl)-1H-imidazol-5-yl)thiazole; and 5-(2-(1-benzylpyrrolidin-3-yl)-1H-imidazol-5-yl)-4-methyl-2-phenylthiazole; or an equivalent thereof, or an N-oxide thereof, or a pharmaceutically acceptable salt or solvate thereof. The exemplary embodiments may also be directed to a method of preventing or treating a disease or condition mediated at least in part by prostaglandin D2 produced by H-PGDS, in a subject in need of such treatment, comprising administering to the subject a therapeutically effective amount of a compound of formula (I) or (II), or an equivalent thereof, or an N-oxide thereof, or a pharmaceutically acceptable salt or solvate thereof; the use of a compound of formula (I) or (II), or an equivalent thereof, or an N-oxide thereof, or a pharmaceutically acceptable salt or solvate thereof, for the manufacture of a medicament for preventing or treating a disease or condition mediated at least in part by prostaglandin D2 produced by H-PGDS; a compound of formula (I) or (II), or an equivalent thereof, or an N-oxide thereof, or a pharmaceutically acceptable salt or solvate thereof, for use as a medicament; a compound of formula (I) or (II), or an equivalent thereof, or an N-oxide thereof, or a pharmaceutically acceptable salt or solvate thereof, for use in the prevention or treatment of a disease or condition mediated at least in part by prostaglandin D2 produced by H-PGDS; a pharmaceutical composition comprising a compound of formula (I) or (II), or an equivalent thereof, or an N-oxide thereof, or a pharmaceutically acceptable salt or solvate thereof, and a pharmaceutically acceptable excipient; a pharmaceutical composition for the prevention and treatment of a disease or condition mediated at least in part by prostaglandin D2 produced by H-PGDS comprising a compound of formula (I) or (II), or an equivalent thereof, or an N-oxide thereof, or a pharmaceutically acceptable salt or solvate thereof. The diseases and conditions mediated at least in part by prostaglandin D2 produced by H-PGDS may include allergy and allergic inflammation. Diseases and conditions of this kind may be allergic respiratory conditions such as allergic rhinitis, nasal congestion, rhinorrhea, perennial rhinitis, nasal inflammation, asthma of all types, chronic obstructive pulmonary disease (COPD), chronic or acute bronchoconstriction, chronic bronchitis, small airways obstruction, emphysema, chronic eosinophilic pneumonia, adult respiratory distress syndrome, exacerbation of airways hyper-reactivity consequent to other drug therapy, airways disease that may be associated with pulmonary hypertension, acute lung injury, bronchiectasis, sinusitis, allergic conjunctivitis, or atopic dermatitis, particularly asthma or chronic obstructive pulmonary disease. Types of asthma may include atopic asthma, non-atopic asthma, allergic asthma, atopic bronchial IgE-mediated asthma, bronchial asthma, essential asthma, true asthma, intrinsic asthma caused by pathophysiologic disturbances, extrinsic asthma caused by environmental factors, essential asthma of unknown or inapparent cause, bronchitic asthma, emphysematous asthma, exercise-induced asthma, exertion asthma, allergen-induced asthma, cold air induced asthma, occupational asthma, infective asthma caused by bacterial, fungal, protozoal, or viral infection, non-allergic asthma, incipient asthma, wheezy infant syndrome, and bronchiolytis. Included in the use of the compounds of formula (I) and (II) for the treatment of asthma, may be palliative treatment for the symptoms and conditions of asthma such as wheezing, coughing, shortness of breath, tightness in the chest, shallow or fast breathing, nasal flaring (nostril size increases with breathing), retractions (neck area and between or below the ribs moves inward with breathing), cyanosis (gray or bluish tint to skin, beginning around the mouth), runny or stuffy nose, and headache. Other diseases and conditions that may be mediated, at least in part, by prostaglandin D2 produced by H-PGDS are arthritis (especially rheumatoid arthritis), irritable bowel diseases (such as Crohns disease and ulcerative colitis), irritable bowel syndrome, inflammatory pain, chronic pain, muscular necrosis (such as Duchenne muscular dystrophy), skin inflammation and irritation (such as eczema), niacin-induced skin flushing, cealic type disease (e.g. as a result of lactose intolerance), wound healing, and dermal scarring (Kapoor, M., Kojima, F., Yang, L., and Crofford, L. J. The exemplary embodiments may also be directed to any of the uses, methods, or compositions as defined above wherein the compound of formula (I) or (II), or an equivalent thereof, or an N-oxide thereof, or a pharmaceutically acceptable salt or solvate thereof, that is used in combination with another pharmacologically active compound. Specific combinations useful according to the exemplary embodiments may include combinations comprising a compound of formula (I) or (II), or an equivalent thereof, or an N-oxide thereof, or a pharmaceutically acceptable salt or solvate thereof., and (i) a glucocorticosteroid or DAGR (dissociated agonist of the corticoid receptor); (ii) a β2 agonist, an example of which is a long-acting β2 agonist; (iii) a muscarinic M3 receptor antagonist or anticholinergic agent; (iv) a histamine receptor antagonist or inverse agonist, which may be an H1 or an H3 antagonist or inverse agonist; (v) a 5-lipoxygenase inhibitor; (vi) a thromboxane inhibitor; (vii) an LTD4 inhibitor; (viii) a kinase inhibitor; or (ix) a vaccine. Generally, the compounds of the combination may be administered together as a formulation in association with one or more pharmaceutically acceptable excipients. Besides being useful for human treatment, compounds of formula (I) or (II) may also be useful for veterinary treatment of companion animals, exotic animals, and farm animals. When used in the present application, the following abbreviations have the meaning set out below: Ac is acetyl; ACN is acetonitrile; BBr3 is boron tribromide; Bn is benzyl; BnNH2 is benzylamine; BSA is bovine serum albumin; CH2Cl2 is dichloromethane; CHCl3 is chloroform; CDCl3 is deuterochloroform; dba is dibenzylideneacetone; DCC is N,N′-dicyclohexylcarbodiimide; DCM is dichloromethane; DME is 1,2-dimethoxyethane; DMF is N,N-dimethylformamide; DMSO is dimethyl sulfoxide; DBU is 1,8-diazabicyclo[5.4.0]undec-7-ene; EDC/EDAC is N-(3-dimethylaminopropyl)-N-ethylcarbodiimide hydrochloride; EDTA is ethylenediaminetetraacetic acid; EIA is enzyme immunoassay; Et is ethyl; Et3N is triethylamine; HCl is hydrogen chloride; HOBt is 1-hydroxybenzotriazole; Me is methyl; MTBE is methyl tert-butyl ether; NaOMe is sodium methoxide; NMP is 1-methyl-2-pyrrolidinone; PG represents a chemical protecting group; Ph is phenyl; Pd(PPh3)4 is tetrakis(triphenylphosphine)palladium; PhB(OH)2 is benzeneboronic acid, also known as phenylboronic acid; PhMe is toluene; rt is room temperature; TBAB is tetrabutylammonium bromide; t-Bu is tert-butyl; THF is tetrahydrofuran; TLC is thin layer chromatography; and Tris-HCl is 2-amino-2-(hydroxymethyl)-1,3-propanediol hydrochloride. Unless otherwise defined herein, scientific and technical terms used in connection with the exemplary embodiments shall have the meanings that are commonly understood by those of ordinary skill in the art. Further, unless otherwise required by context, singular terms shall include pluralities and plural terms shall include the singular. Generally, nomenclature used in connection with, and techniques of chemistry and molecular biology described herein are those well known and commonly used in the art. The phrase “therapeutically effective” is intended to qualify the amount of compound or pharmaceutical composition, or the combined amount of active ingredients in the case of combination therapy. This amount or combined amount may achieve the goal of treating the relevant condition. The term “treatment,” as used herein to describe the exemplary embodiments and unless otherwise qualified, means administration of the compound, pharmaceutical composition, or combination to effect preventative, palliative, supportive, restorative, or curative treatment. The term treatment encompasses any objective or subjective improvement in a subject with respect to a relevant condition or disease. The term “preventative treatment,” as used herein to describe the exemplary embodiments, means that the compound, pharmaceutical composition, or combination may be administered to a subject to inhibit or stop the relevant condition from occurring in a subject, particularly in a subject or member of a population that may be significantly predisposed to the relevant condition. The term “palliative treatment,” as used herein to describe the exemplary embodiments, means that the compound, pharmaceutical composition, or combination may be administered to a subject to remedy signs and/or symptoms of a condition, without necessarily modifying the progression of, or underlying etiology of, the relevant condition. The term “supportive treatment,” as used herein to describe the exemplary embodiments, means that the compound, pharmaceutical composition, or combination may be administered to a subject as part of a regimen of therapy, but that such therapy is not limited to administration of the compound, pharmaceutical composition, or combination. Unless otherwise expressly stated, supportive treatment may embrace preventative, palliative, restorative, or curative treatment, particularly when the compounds or pharmaceutical compositions are combined with another component of supportive therapy. The term “restorative treatment,” as used herein to describe the exemplary embodiments, means that the compound, pharmaceutical composition, or combination may be administered to a subject to modify the underlying progression or etiology of a condition. Non-limiting examples include an increase in forced expiratory volume in one second (FEV 1) for lung disorders, inhibition of progressive nerve destruction, reduction of biomarkers associated and correlated with diseases or disorders, a reduction in relapses, improvement in quality of life, and the like. The term “curative treatment,” as used herein to describe the exemplary embodiments, means that the compound, pharmaceutical composition, or combination may be administered to a subject for the purpose of bringing the disease or disorder into complete remission, or that the disease or disorder in undetectable after such treatment. The term “alkyl,” alone or in combination, means an acyclic radical, linear or branched, preferably containing from 1 to about 6 carbon atoms. Examples of such radicals include methyl, ethyl, n-propyl, isopropyl, n-butyl, isobutyl, sec-butyl, tert-butyl, pentyl, iso-amyl, hexyl, heptyl, octyl, and the like. Where no specific substitution is specified, alkyl radicals may be optionally substituted with groups consisting of hydroxy, sulfhydryl, methoxy, ethoxy, amino, cyano, chloro, and fluoro. Examples of such substituted alkyl radicals include chloroethyl, hydroxyethyl, cyanobutyl, aminopentyl and the like. The carbon atom content of various hydrocarbon-containing moieties is indicated by a prefix designating a lower and upper number of carbon atoms in the moiety, that is, the prefix Ci-Cj indicates a moiety of the integer “i” to the integer “j” carbon atoms, inclusive. Thus, for example, ‘(C1-C6)-alkyl’ refers to alkyl of one to six carbon atoms, inclusive. The terms “hydroxy” and “hydroxyl,” as used herein, mean an OH radical. The term “sulfhydryl,” as used herein, means an SH radical. The term “oxo” means a doubly bonded oxygen. The term “alkoxy” means a radical comprising an alkyl radical that is bonded to an oxygen atom, such as a methoxy radical. Preferred alkoxy radicals have one to about six carbon atoms. Examples of such radicals include methoxy, ethoxy, propoxy, isopropoxy, butoxy, and tert-butoxy. The term “aryl” means a fully unsaturated mono-or multi-ring cycloalkyl having a cyclic array of p-orbitals containing 4n+2 electrons, including, but not limited to, substituted or unsubstituted phenyl, naphthyl, or anthracenyl optionally fused to a carbocyclic radical wherein aryl may be optionally substituted with one or more substituents from the group consisting of halo, methoxy, ethoxy, (C1-C6)-alkyl, phenyl, O-phenyl, cyano, nitro, hydroxyl, sulfhydryl, or trifluoromethyl. The term “halo,” as used herein, means one of the following group consisting of fluoro, chloro, bromo, or iodo. The terms “heterocycle”, “heterocyclic ring system,” and “heterocyclyl” refer to a saturated or unsaturated mono- or multi-ring cycloalkyl wherein one or more carbon atoms is replaced by N, S, or O. The terms “heterocycle”, “heterocyclic ring system,” and “heterocyclyl” include fully saturated ring structures such as azetidinyl, piperazinyl, dioxanyl, tetrahydrofuranyl, oxiranyl, aziridinyl, morpholinyl, pyrrolidinyl, piperidinyl, thiazolidinyl, and others. The terms “heterocycle”, “heterocyclic ring system,” and “heterocyclyl” also include partially unsaturated ring structures such as dihydrofuranyl, pyrazolinyl, imidazolinyl, pyrrolinyl, chromanyl, dihydrothiphenyl, and others. A preferred non-aromatic heterocyclic group is a five- or six-membered saturated or partially unsaturated heterocyclic group containing one or two nitrogen or oxygen groups, optionally substituted by one or more of (C1-C6)-alkyl, (Ci-C6)-fluoroalkyl, (C3-C6)-cycloalkyl, hydroxy(C3-C6)-cycloalkyl, (C2-C6)-alkenyl, (C2-C6)-alkynyl, halo, oxo, hydroxyl, —(CH2)pOH, —OR8, —(CH2)pOR8, sulfhydryl, —(CH2)pSH, —SR8, —(CH2)pSR8, —NR8R9, —(CH2)pNR8R9, —CO2R8, —(CH2)pCO2R8, —CONR8R9, —(CH2)pCONR8R9, cyano, or —(CH2)pCN, wherein p is 1, 2, or 3 and each R8 and R9 is independently hydrogen or (C1-C6)-alkyl optionally substituted with —OH or —O—((C1-C6)-alkyl). Preferred examples of non-aromatic heterocyclic groups include azetidinyl, pyrrolidinyl, tetrahydrofuranyl, piperidinyl, piperazinyl and morpholinyl (optionally substituted as specified above). The term “heteroaryl” refers to an aromatic heterocyclic group. Heteroaryl is preferably: (a) a five-membered aromatic heterocyclic group containing either (i) 1-4 nitrogen atoms or (ii) 0-3 nitrogen atoms and 1 oxygen or 1 sulfur atom; (b) a six-membered aromatic heterocyclic group containing 1-3 nitrogen atoms; (c) a nine-membered bicyclic heterocyclic group containing either (i) 1-5 nitrogen atoms or (ii) 0-4 nitrogen atoms and 1 oxygen or 1 sulfur atom; or (d) a ten-membered bicyclic aromatic heterocyclic group containing 1-6 nitrogen atoms; each of said groups (a)-(d) being optionally substituted by one or more of (C1-C6)-alkyl, (C1-C6)-fluoroalkyl, (C3-C6)-cycloalkyl, hydroxy(C3-C6)-cycloalkyl, (C2-C6)-alkenyl, (C2-C6)-alkynyl, halo, oxo, hydroxyl, —(CH2)pOH, —OR8, —(CH2)pOR8, sulfhydryl, —(CH2)pSH, —SR8, —(CH2)pSR8, —NR8R9, —(CH2)pNR8R9, —CO2R8, —(CH2)pCO2R8, —CONR8R9, —(CH2)pCONR8R9,cyano, or —(CH2)pCN; wherein p is 1, 2, or 3 and each R8 and R9 is independently hydrogen or (C1-C6)-alkyl optionally substituted with —OH or —O—((C1-C6)-alkyl). Examples of “heteroaryl” include pyridyl, pyrimidinyl, pyridazinyl, pyrazinyl, thionyl, furanyl, pyrrolyl, pyrazolyl, imidazolyl, oxazolyl, isoxazolyl, thiazolyl, isothiazolyl, triazolyl, oxadiazolyl, thiadiazolyl, and tetrazolyl, optionally substituted as specified above. In “heterocycle” or “heteroaryl,” the point of attachment to the molecule of interest may be at a heteroatom or elsewhere within the ring. The term “cycloalkyl” means a mono- or multi-ringed cycloalkyl wherein each ring contains three to ten carbon atoms, preferably three to six carbon atoms. “Cycloalkyl” is preferably a monocyclic cycloalkyl containing from three to six carbon atoms. Examples include cyclopropyl, cyclobutyl, cyclopentyl, and cyclohexyl. The symbols The wavy line attached to a double bond, as denoted here: As used herein, the terms “co-administration,” “co-administered,” and “in combination with,” referring to a combination of a compound of formula (I) or (II) and one or more other therapeutic agents, is intended to mean, and does refer to and include the following:
The term “excipient” is used herein to describe any ingredient other than a compound of formula (I) or (II). The choice of excipient will to a large extent depend on factors such as the particular mode of administration, the effect of the excipient on solubility and stability, and the nature of the dosage form. The term “excipient” encompasses diluents, carrier, or adjuvant. Pharmaceutically acceptable salts of the compounds of formula (I) or (II) include the acid addition and base salts thereof. Suitable acid addition salts are formed by acids which form non-toxic salts. Examples include the acetate, adipate, aspartate, benzoate, besylate, bicarbonate/carbonate, bisulfate/sulfate, borate, camsylate, citrate, cyclamate, edisylate, esylate, formate, fumarate, gluceptate, gluconate, glucuronate, hexafluorophosphate, hibenzate, hydrochloride/chloride, hydrobromide/bromide, hydroiodide/iodide, isethionate, lactate, malate, maleate, malonate, mesylate, methylsulfate, naphthylate, 2-napsylate, nicotinate, nitrate, orotate, oxalate, palmitate, pamoate, phosphate/hydrogen phosphate/dihydrogen phosphate, propionate, pyroglutamate, saccharate, stearate, succinate, tannate, tartrate, tosylate, trifluoroacetate, naphthalene-1,5-disulfonic acid, and xinofoate salts. Suitable base salts are formed from bases which form non-toxic salts. Examples include the aluminum, arginine, benzathine, calcium, choline, diethylamine, diolamine, glycine, lysine, magnesium, meglumine, olamine, potassium, sodium, tromethamine, and zinc salts. Hemisalts of acids and bases may also be formed, for example, hemisulfate and hemicalcium salts. For a review on suitable salts, see Pharmaceutically acceptable salts of compounds of formulas (I) or (II) may be prepared by one or more of three methods:
All three reactions are typically carried out in solution. The resulting salt may precipitate out and be collected by filtration or may be recovered by evaporation of the solvent. The degree of ionization in the resulting salt may vary from completely ionized to almost non-ionized. The compounds of formula (I) or (II) may also exist in unsolvated and solvated forms. The term “solvate” is used herein to describe a molecular complex comprising the compound of formula (I) or (II), or a pharmaceutically acceptable salt thereof, and one or more pharmaceutically acceptable solvent molecules, for example, ethanol or water. The term “hydrate” is employed when said solvent is water. Also included herein are multi-component complexes other than salts and solvates wherein the compound of formula (I) or (II) and at least one other component are present in stoichiometric or non-stoichiometric amounts. The compounds of formula (I) or (II) may exist in a continuum of solid states ranging from fully amorphous to fully crystalline. The compounds of formula (I) or (II) may also exist in a mesomorphic state (mesophase or liquid crystal) when subjected to suitable conditions. The mesomorphic state is intermediate between the true crystalline state and the true liquid state (either melt or solution). Hereinafter all references to compounds of formula (I) or (II) (also referred to as compounds of the invention) include references to salts, solvates, multi-component complexes, and liquid crystals thereof and to solvates, multi-component complexes, and liquid crystals of salts thereof. Also included herein are all polymorphs and crystal habits of compounds of formula (I) or (II), prodrugs, and isomers thereof (including optical, geometric, and tautomeric isomers) and isotopically-labeled forms thereof. As indicated, so-called ‘prodrugs’ of the compounds of formulas (I) and (II) are also within the scope of the invention. Thus certain derivatives of a compound of formula (I) or (II) which may have little or no pharmacological activity themselves can, when administered into or onto the body, be converted into a compound of formula (I) or (II) having the desired activity, for example, by hydrolytic cleavage. Such derivatives are referred to as ‘prodrugs.’ Further information on the use of prodrugs may be found in Higuchi and W, Stella) and Prodrugs in accordance with the invention can, for example, be produced by replacing appropriate functionalities present in the compounds of formulas (I) and (II) with certain moieties known to those skilled in the art as ‘pro-moieties’ as described, for example, in Some examples of prodrugs in accordance with the exemplary embodiments include:
Further examples of replacement groups in accordance with the foregoing examples and examples of other prodrug types may be found in the aforementioned references. Moreover, certain compounds of formulas (I) and (II) may themselves act as prodrugs of other compounds of formulas (I) and (II), respectively. Also included within the scope of the invention are metabolites of compounds of formulas (I) and (II), that is, compounds formed in vivo upon administration of the drug. Also included within the scope of the invention are compounds of formulas (I) and (II) that are all pharmaceutically acceptable isotopically labeled compounds of formulas (I) and (II) wherein one or more atoms are replaced by atoms having the same atomic number, but an atomic mass or mass number different from the atomic mass or mass number which predominates in nature; for example, a compound of formula (I) or (II) for which one of the hydrogen atoms (1H) is replaced with a deuterium (D, or2H) or tritium (T, or3H) isotope. Another example includes a compound of formula (I) or (II) for which one of the carbon-12 atoms (12C) is replaced with a carbon-14 (14C) isotope. Isotopically labeled compounds of formulas (I) and (II) can generally be prepared by conventional techniques known to those ordinarily skilled in the art or by processes analogous to those described in the accompanying Examples using an appropriately isotopically labeled reagent in place of the non-labeled reagent previously employed. Also included within the scope of the invention are all stereoisomers, geometric isomers and tautomeric forms of the compounds of formulas (I) and (II), including compounds that exhibit more than one type of isomerism, and mixtures of one or more thereof. Cis/trans isomers may be separated by conventional techniques well known to those ordinarily skilled in the art; for example, chromatography and fractional crystallization. Conventional techniques for preparation and isolation of individual enantiomers include chiral synthesis from a suitable optically pure precursor or resolution of the racemate (or the racemate salt or derivative) using, for example, chiral high pressure liquid chromatography (HPLC). Alternatively, the racemate (or racemic precursor) may be reacted with a suitable optically active compound, for example, an alcohol, or, in the case where the compound of formula (I) or (II) contains an acidic or basic moiety, a base or an acid such as 1-phenethylamine or tartaric acid. The resulting diastereomeric mixture may be separated by chromatography and/or fractional crystallization and one or both of the diastereomers converted into the corresponding pure enantiomer(s) by means well known to those ordinarily skilled in the art. Compounds of the exemplary embodiments of formulas (I) and (II) may be administered orally, topically, transdermally, intranasally, by inhalation, directly into the bloodstream, into muscle, into an internal organ, into the eye, into the ear, into the rectum, or by other means. The compounds herein, their methods of preparation and their biological activity will appear more clearly from the examination of the following examples that are presented as an illustration only and are not to be considered as limiting the invention in its scope. Compounds herein are identified, for example, by the following analytical methods. Mass spectra (MS) methods include positive electrospray ionization (ESI+), negative electrospray ionization (ESI−), positive atmospheric pressure chemical ionization (APCI+), or negative atmospheric pressure chemical ionization (APCI−). 400 MHz proton nuclear magnetic resonance spectra (1H NMR) are recorded at ambient temperature using either a Bruker (300 MHz) or a Varian INOVA (400 MHz) nuclear magnetic resonance spectrometer. In the1H NMR chemical shifts (δ) are indicated in parts per million (ppm) with reference to tetramethylsilane (TMS) as the internal standard. Examples 1-13, 32-33, and 44 are imidazole compounds that may be prepared according to the general synthetic route illustrated in Scheme 1. Palladium-assisted coupling of 5-bromo-2-iodopyridine or 5-bromo-2-iodopyrimidine (1) with the appropriate arylboronic acid (2) provided the corresponding 2-aryl-5-bromopyridine or 2-aryl-5-bromopyrimidine intermediate (3). A subsequent palladium-assisted coupling of an intermediate (3) with a 1-benzyl-2-R2-substituted imidazole intermediate (4), which was prepared as illustrated in Scheme 2, provides the corresponding intermediate generally illustrated as structure (5). Debenzylation catalyzed with palladium on carbon affords the corresponding 5-(imidazol-4-yl)-pyridine or 5-(imidazol-4-yl)-pyrimidine (6). For each of the examples and schemes below, temperatures, measurements, and time references are approximations and are not intended to be limited to the actual values listed. A mixture consisting of 5-bromo-2-iodopyrimidine (Bridge Organics, 10.0 g, 35.1 mmol), benzene boronic acid (Alfa Aesar, 4.25 g, 35.1 mmol), tetrakis(triphenylphosphine)palladium (Strem, 0.405 g, 0.351 mmol), toluene (150 mL), and a 2 M aqueous sodium carbonate solution (35 mL) was stirred at 115° C. (degrees Celsius) under a nitrogen atmosphere for 16 hours. After cooling to room temperature, the mixture was partitioned between chloroform (250 mL) and brine (200 mL). The phases were separated and the organic phase was dried over anhydrous magnesium sulfate, and concentrated under reduced pressure to give an orange oil (9.1 g). The crude product was purified by flash silica column chromatography. Elution through a 500-g Analogix® flash silica cartridge with 100% hexanes afforded the title intermediate as a white solid (3.15 g, 38% yield). Rf 0.69 with 9:1 v/v hexanes-ethyl acetate;1H-NMR (400 MHz; CDCl3) δ 8.83 (s, 2H), 8.44-8.38 (m, 2H), 7.52-7.46 (m, 3H); MS (APCI+) m/z 236.9 (M+1). To a mixture consisting of 2-phenylimidazole (TCI America, 3.0 g, 21 mmol) and N,N-dimethylformamide (40 mL) was added 60% sodium hydride in mineral oil (0.92 g, 23 mmol). After stirring for one hour at room temperature, a solution consisting of benzyl bromide (Aldrich, 2.73 mL, 22.9 mmol) in N,N-dimethylformamide (5 mL) was added dropwise while stirring. After stirring at room temperatures for 12 hours the reaction was complete as observed by TLC. The reaction mixture was partitioned between ethyl acetate (150 mL) and water (100 mL). The phases were separated and the organic layer was washed with brine (150 mL), and was subsequently dried over anhydrous magnesium sulfate. Concentration under reduced pressure afforded the crude product as an orange oil (4.2 g). The product was purified by flash silica column chromatography. Elution through a 80-g Silicycle® flash silica cartridge with gradient of 5% to 30% ethyl acetate in hexanes afforded the title intermediate as a colorless oil (3.21 g, 66% yield). Rf 0.65 with 9:1 v/v dichloromethane-methanol;1H-NMR (400 MHz; CDCl3) δ 7.57-7.53 (m, 2H), 7.42-7.28 (m, 6H), 7.19 (d, 1H), 7.11-7.07 (m, 2H), 6.97 (d, 1H), 5.22 (s, 2H). To a mixture consisting of 5-bromo-2-phenylpyrimidine (1.2 g, 5.1 mmol), palladium (II) acetate (Strem, 0.048 g, 0.21 mmol), tris(2-furyl)phosphine (TCI America, 0.098 g, 0.43 mmol) and potassium carbonate (1.17 g, 8.52 mmol) was added a solution consisting of 1-benzyl-2-phenyl-1H-imidazole (1.0 g, 4.3 mmol) in N,N-dimethylformamide (10 mL). The reaction mixture was brought to reflux at 140° C. (degrees Celsius) while under a N2 atmosphere. After stirring for 16 hours at reflux the solution was cooled to room temperature. The reaction mixture was partitioned between ethyl acetate (250 mL) and saturated aqueous ammonium chloride (100 mL). The phases were separated and the organic layer was washed with brine (150 mL), and was subsequently dried over anhydrous magnesium sulfate. Concentration under reduced pressure affords the crude product as an orange oil (0.658 g). The product was purified by flash silica column chromatography. Elution through a 80-g Silicycle® flash silica cartridge with gradient of 5% to 30% ethyl acetate in hexanes afforded the title intermediate (0.495 g, 30% yield); Rf 0.38 with 1:1 v/v ethyl acetate-hexane;1H-NMR (400 MHz; CDCl3) δ 8.7 (s, 2H), 8.4 (m, 2H), 7.6 (m, 2H), 7.5-7.25 (m, 10H), 6.9 (m, 2H), 5.32 (s, 2H); MS (ESI+) m/z 389.2 (M+1); H-PGDS FPBA IC50: 15 μM. To a solution consisting of 5-(1-benzyl-2-phenyl-1H-imidazol-5-yl)-2-phenylpyrimidine (0.495 g, 1.27 mmol) in methanol (100 mL) was added ammonium formate (Aldrich, 0.804 g, 12.7 mmol) and 10% palladium on carbon (Alfa Aesar, 0.500 g). The reaction mixture was brought to reflux at 70° C. for 16 hours. After cooling the solution to room temperature, the crude reaction mixture was filtered over a bed of Celite, which was rinsed with additional methanol (300 mL). Concentration of the filtrate afforded an off-white solid. The product was purified by flash silica column chromatography. Elution through a 40-g Silicycle® flash silica cartridge with gradient of 100% dichloromethane to 5% methanol in dichloromethane afforded the title compound as a white solid (0.218 g, 57% yield); Rf 0.56 with 95:5 v/v dichloromethane-methanol; melting point 253° C.;1H-NMR (400 MHz; DMSO-d6) δ 9.3 (s, 2H), 8.4 (m, 2H), 8.05 (m, 3H), 7.55-7.35 (m, 6H); MS (ESI+) m/z 299.1 (M+1); H-PGDS FPBA IC50: 0.25 μM; H-PGDS inhibitor EIA IC50: 0.012 μM. Examples 2-12 were generally prepared according to the procedures described in Example 1. Exceptions are noted in each Example. The title compound was prepared by the method described in Example 1, except that commercially available 2-iodo-5-bromopyridine was used instead of 2-iodo-5-bromopyrimidine in Step A; Rf 0.53 with 95:5 v/v dichloromethane-methanol; melting point 206° C.;1H-NMR (400 MHz; DMSO-d6) δ 9.15 (s, 2H), 8.26 (dd, 2H), 8.14-7.94 (m, 5H), 7.52-7.34 (m, 5H); MS (ESI+) m/z 298.1 (M+1); H-PGDS FPBA IC50: 0.48 μM; H-PGDS inhibitor EIA IC50: 0.097 μM. The title compound was prepared by the method described in Example 1, Steps A-C, except that iodomethane was used instead of benzyl bromide in Step B; Rf 0.36 with 1:1 v/v ethyl acetate-hexane; melting point 211° C.;1H-NMR (400 MHz; DMSO-d6) δ 9.17 (s, 2H), 8.41 (m, 2H), 7.75 (dd, 2H), 7.6-7.27 (m, 7H); MS (ESI+) m/z 313.2 (M+1); H-PGDS FPBA IC50: 0.625 μM; H-PGDS inhibitor EIA IC50: 0.25 μM. The title compound was prepared by the method described in Example 1, except that commercially available 4-methyl-2-phenyl-1H-imidazole (TCI America) was used instead of 2-phenylimidazole in Step B; Rf 0.73 with 95:5 v/v dichloromethane-methanol; melting point 138° C.;1H-NMR (400 MHz; DMSO-d6) δ 9.28 (s, 2H), 8.52-8.46 (m, 2H), 8.05 (d, 2H), 7.64-7.52 (m, 5H), 7.44 (m, 1 H), 2.64 (s, 3H); MS (ESI+) m/z 313.0 (M+1); H-PGDS FPBA IC50: 0.45 μM; H-PGDS inhibitor EIA IC50: 0.082 μM. The title compound was prepared by the method described in Example 1, except that imidazole (Aldrich) was used instead of 2-phenylimidazole in Step B; Rf 0.13 with 95:5 v/v dichloromethane-methanol; melting point 216° C.;1H-NMR (400 MHz; DMSO-d6) δ 9.32 (s, 2H), 8.50-8.43 (m, 2H), 7.99 (s, 1H), 7.91 (s, 1H), 7.62-7.55 (m, 3H); MS (ESI+) m/z 223.0 (M+1); H-PGDS FPBA IC50: 5 μM. The title compound was prepared by the method described in Example 1, except that commercially available 3-flourobenzene boronic acid was used instead of benzeneboronic acid in Step A; Rf 0.61 with 95:5 v/v dichloromethane-methanol; melting point 240° C;1H-NMR (400 MHz; CDCl3) δ 8.97 (s, 2H), 7.99 (d, 1H), 7.90-7.85 (m, 1H), 7.80-7.75 (m, 2H), 7.31 (s, 1H), 7.22-7.07 (m, 4H), 6.89 (dt, 1H); MS (ESI+) m/z 317.1 (M+1); H-PGDS FPBA IC50: 0.28 μM; H-PGDS inhibitor EIA IC50: 0.047 μM. The title compound was prepared by the method described in Example 1, except that commercially available 3,4-dimethoxybenzene boronic acid was used instead of benzeneboronic acid in Step A; Rf 0.45 with 95:5 v/v dichloromethane-methanol; melting point 231° C.;1H-NMR (400 MHz; DMSO-d6) δ 9.23 (s, 2H), 8.06-7.94 (m, 5H), 7.48 (m, 2H), 7.38 (m, 1H), 7.08 (d, 1H), 3.84 (s, 3H), 3.82 (s, 3H); MS (ESI+) m/z 359.1 (M+1); H-PGDS FPBA IC50: 3.5 μM. In a flask containing 3-flourobenzonitrile (Matrix Scientific, 3.0 g, 25 mmol) was added methanol (30 mL) and sodium methoxide (Aldrich, 25% by wt. in methanol, 2.83 mL, 12.4 mmol). The reaction mixture was stirred for 1.5 hours and aminoacetaldehyde dimethyl acetal (Alfa Aesar, 2.60 g, 24.8 mmol) and acetic acid (2.83 mL, 49.5 mmol) were subsequently added and the solution was heated at reflux for one hour. After cooling to room temperature, methanol (25 mL) and 6 N HCl (8 mL) was added and the solution was heated at reflux for 16 hours. After cooling the solution to room temperature the residue was taken up in a 1:1 mixture (v/v) of water and ethyl acetate (50 mL). The aqueous layer was separated and the pH of this solution was adjusted to pH 9 with 2 N NaOH, upon which a white precipitate formed in solution. The solid was collected by filtration and dried under high vacuum to provide 2-(3-fluorophenyl)-1H-imidazole as an off-white solid (1.67 g, 41% yield, MS (ESI+) m/z 163.1 (M+1). To a mixture consisting of 2-(3-fluorophenyl)-1H-imidazole (0.80 g, 4.9 mmol) and N,N-dimethylformamide (10 mL) was added 60% sodium hydride in mineral oil (0.22 g, 5.4 mmol). After stirring for one hour at room temperature, a solution consisting of benzyl bromide (Aldrich, 0.65 mL, 5.4 mmol) in N,N-dimethylformamide (5 mL) was added dropwise while stirring. After stirring at room temperatures for 12 hours the reaction was complete as observed by TLC. The reaction mixture was partitioned between ethyl acetate (150 mL) and water (100 mL). The phases were separated and the organic layer was washed with brine (100 mL), and was subsequently dried over anhydrous magnesium sulfate. Concentration under reduced pressure afforded the crude product as a yellow oil. The product was purified by flash silica column chromatography. Elution through a 40-g Silicycle® flash silica cartridge with gradient of 10% to 30% ethyl acetate in hexane, and subsequently 5% methanol in dichloromethane afforded the title intermediate as a colorless oil (0.408 g, 32% yield); Rf 0.45 with 95:5 v/v dichloromethane-methanol; (ESI+) m/z 253.1 (M+1). The title compound was prepared by the method described in Example 1, except that 1-benzyl-2-(3-fluorophenyl)-1H-imidazole was used instead of 1-benzyl-2-phenyl-1H-imidazole in Step C; Rf 0.55 with 95:5 v/v dichloromethane-methanol; melting point 221° C.;1H-NMR (400 MHz; DMSO-d6) δ 9.31 (s, 2H), 8.44-8.37 (m, 2H), 8.14-8.06 (m, 1H), 7.88-7.77 (m, 2H), 7.58-7.48 (m, 4H), 7.23 (dt, 1H); MS (ESI+) m/z 317.1 (M+1); H-PGDS FPBA IC50: 0.188 μM; H-PGDS inhibitor EIA IC50: 0.004 μM. The title compound was prepared by the method described in Example 1, except that 2-(1-benzyl-1H-imidazol-2-yl)pyridine (prepared according to Example 8, Step A, except that commercially available 2-cyanopyridine was used instead of 3-fluorobenzonitrile) was used instead of 1-benzyl-2-phenyl-1H-imidazole in Step C; Rf 0.43 with 95:5 v/v dichloromethane-methanol; melting point 262° C.;1H-NMR (400 MHz; DMSO-d6) δ 9.33 (s, 2H), 8.63 (d, 1H), 8.43-8.37 (m, 2H), 8.16 (d, 1H), 8.06 (d, 1H), 7.94 (dt, 1H), 7.54-7.49 (m, 3H), 7.43-7.39 (m, 1H); MS (ESI+) m/z 300.1 (M+1); H-PGDS FPBA IC50: 0.125 μM; H-PGDS inhibitor EIA IC50: 0.053 μM. The title compound was prepared by the method described in Example 1, except that 3-(1-benzyl-1H-imidazol-2-yl)pyridine was used instead of 1-benzyl-2-phenyl-1H-imidazole in Step C. 3-(1-Benzyl-1H-imidazol-2-yl)pyridine was prepared by the method described in Example 8, Steps A and B except the commercially available 3-cyanopyridine was used instead of 3-fluorobenzonitrile; Rf 0.25 with 95:5 v/v dichloromethane-methanol; melting point 308° C;1H-NMR (400 MHz; DMSO-d6) δ 9.32 (s, 2H), 9.20 (d, 1H), 8.58 (dd, 1H), 8.44-8.31 (m, 3H), 8.12 (m, 1H), 7.57-7.46 (m, 4H); MS (ESI+) m/z 300.1 (M+1); H-PGDS FPBA IC50: 0.079 μM; H-PGDS inhibitor EIA IC50: 0.021 μM. The title compound was prepared by the method described in Example 1, except that (i) commercially available 3-flourobenzene boronic acid was used instead of benzeneboronic acid in Step A, and (ii) 3-(1-benzyl-1H-imidazol-2-yl)pyridine (prepared according to the method described in Example 8, Step A, except that commercially available 3-cyanopyridine was used instead of 3-fluorobenzonitrile) was used in place of the 1-benzyl-2-phenyl-1H-imidazole in Step C; Rf 0.35 with 95:5 v/v dichloromethane-methanol; melting point 309° C;1H-NMR (400 MHz; DMSO-d6) δ 9.40 (s, 2H), 9.27 (d,1H), 8.64 (dd, 1H), 8.40 (dt, 1H), 8.31 (dd, 1H), 8.23 (bs, 1H), 8.18-8.13 (m, 1H), 7.66-7.55 (m, 3H), 7.42 (dt, 1H); MS (ESI+) m/z 318.0 (M+1); H-PGDS FPBA IC50: 0.156 μM; H-PGDS inhibitor EIA IC50: 0.041 μM. The title compound was prepared by the method described in Example 1, except that (i) commercially available 3-pyridyl boronic acid was used instead of benzene boronic acid in Step A, and (ii) 3-(1-benzyl-1H-imidazol-2-yl)pyridine was used instead of 1-benzyl-2-phenyl-1H-imidazole in Step C. 3-(1-Benzyl-1H-imidazol-2-yl)pyridine was prepared by the method described in Example 8, Steps A and B except the commercially available 3-cyanopyridine was used instead of 3-fluorobenzonitrile; Rf 0.35 with 92.5:7.5 v/v dichloromethane-methanol; melting point 299° C.;1H-NMR (400 MHz; DMSO-d6) δ 9.52 (s, 1H), 9.35 (s, 2H), 9.21 (s, 1H), 8.72-8.65 (m, 2H), 8.60-8.56 (m, 1H), 8.37-8.32 (m, 1H), 8.15 (s, 1H), 7.58-7.50 (m, 2H); LC/MS (ESI+) m/z 301.1 (M+1); H-PGDS FPBA IC50: 1.3 μM. The title compound was prepared by the method described in Example 1, except that 4-(1-benzyl-1H-imidazol-2-yl)pyridine (prepared according to Example 8, Step A, except that commercially available 4-cyanopyridine was used instead of 3-fluorobenzonitrile) was used in place of the 1-benzyl-2-phenyl-1H-imidazole in Step C; Rf 0.26 with 95:5 v/v dichloromethane-methanol; melting point 300° C.;1H-NMR (400 MHz; DMSO-d6) δ 9.40 (s, 2H), 8.73 (d, 2H), 8.50-8.45 (m, 2H), 8.25 (bs, 1H), 8.00 (d, 2H), 7.62-7.55 (m, 4H); MS (ESI+) m/z 300.0 (M+1); H-PGDS FPBA IC50: 0.125 μM; H-PGDS inhibitor EIA IC50: 0.075 μM. Imidazole compounds of the exemplary embodiments may also be prepared using the general alternative synthetic route illustrated in Scheme 3. Examples 14-31 are imidazole compounds of the exemplary embodiments that were prepared at least in part according to the route illustrated in Scheme 3. Bromopyridines and bromopyrimidines of general structure 3 may be heated with tributyl(1-ethoxyvinyl)stannane in the presence of a palladium catalyst, such as palladium(II) acetate and a ligand, such as triphenylphosphine, in an organic solvent, such as 1,4-dioxane, to form the corresponding ketones of general structure 11, as shown in Scheme 3. Bromination of ketone 11 with a bromination reagent such as tetrabutylammonium tribromide provides the corresponding α-bromoketone of general structure 12. Reaction of an α-bromoketone 12 with a carboxylic acid bearing a desired R2 group or R2 group precursor in the presence of a base, such as cesium carbonate in a solvent, such as tetrahydrofuran (THF) or N,N-dimethylformamide (DMF), provides the corresponding ester-ketone intermediate with the general structure 13. Reaction of an ester-ketone 13 with ammonium acetate in a solvent, such as toluene, with heating, affords the corresponding imidazole compound of general structure 14. An alternative method, described in Scheme 4, may also be used to prepare ketone intermediates with the general structure 11. Aspects of this methodology may be found in patent application publication WO 2009/080523 (Scheme 2, Steps I and J) and in Han, Ki-Jong; Kim, Misoo; A stirring mixture consisting of palladium(II) acetate (215 mg, 0.32 mmol) and triphenylphosphine (335 mg, 1.28 mmol) in 1,4-dioxane (25 mL) was heated at 80° C. for 30 minutes. The dark reaction mixture was cooled to room temperature, and to this reaction mixture was added a solution consisting of 5-bromo-2-phenylpyrimidine (Example 1A, 3.0 g, 13 mmol) and tributyl(1-ethoxyvinyl)tin (4.74 mL, 14.0 mmol) in 1,4-dioxane (63 mL). The reaction mixture was stirred and heated at 75° C. overnight and was subsequently cooled to room temperature. The reaction progress was monitored by thin layer chromatography (95:5 v/v hexanes-ethyl acetate) until completion. The reaction mixture was treated with 1 N hydrochloric acid (19 mL) for one hour at room temperature and poured into a saturated aqueous sodium bicarbonate solution. The organic material was extracted two times with a mixture of ethyl acetate and hexanes, and the combined organic phase was washed sequentially with water and brine, and was dried over anhydrous magnesium sulfate, filtered through a well packed pad of magnesium sulfate, and concentrated under reduced pressure. The residue was dissolved in dichloromethane (30 mL) and diluted with hexanes (30 mL). The resulting precipitate was filtered to give the title intermediate (872 mg). The filtrate was applied to a 80-g silica column eluted with 1:1:9 v/v/v ethyl acetate-dichloromethane-hexanes to afford 1.01 g of additional title intermediate (1.88 g total, 74%); Rf 0.23 with 9:1 v/v hexanes-ethyl acetate solvent system;1H-NMR (400 MHz; DMSO-d6) δ 9.4 (s, 2H), 8.45-8.50 (m, 2H), 7.5-7.7 (m, 3H), 2.68 (s, 3H); MS (ESI+) m/z 199 (M+1). To an ice-cooled solution (0° C.) consisting of 2-phenylpyrimidine-5-carboxylic acid (prepared according to WO 2007/041634 Al Example 1, 2.10 g, 10.5 mmol) in dichloromethane (40 mL) was added triphosgene (1.55 g, 5.25 mmol) and triethylamine (7.3 mL, 52.45 mmol). Upon addition of triethylamine a yellow precipitate formed in solution. After stirring for five minutes in the ice bath, N,O-dimtheylhydroxylamine hydrochloride (1.02 g, 10.5 mmol) was added and the solution was allowed to slowly warm to room temperature over 30 minutes. The reaction was complete after stirring for three hours at room temperature. The crude solution was filtered and washed with excess dichloromethane. The filtrate was concentrated under reduced pressure to afford an orange solid. The crude product was purified by flash silica column chromatography. Elution through a 40-g Silicylce® flash silica cartridge with 10-30% ethyl acetate in hexanes afforded the title intermediate as a colorless oil (1.85 g, 72% yield); Rf 0.48 with 1:1 v/v hexanes-ethyl acetate;1H-NMR (400 MHz; CDCl3) δ 9.20 (s, 2H), 8.50 (dd, 2H), 7.55 (m, 3H), 3.62 (s, 3H), 3.42 (s, 3H); MS (APCI+) m/z 244.0 (M+1). A solution consisting of N-methoxy-N-methyl-2-phenylpyrimidine-5-carboxamide (Step I, 1.80 g, 7.39 mmol) in anhydrous THF (20 mL) was cooled in a −60° C. bath (ethanol, CO2(s)). Methylmagnesium chloride (Aldrich, 3.0 M in THF, 2.75 mL, 8.14 mmol) was subsequently added dropwise to the reaction mixture. The reaction mixture was stirred for 30 minutes in the −60° C. bath and was subsequently allowed to warm to room temperature over one hour. The crude reaction mixture was then poured into a separatory funnel that contained diethyl ether (200 mL) and saturated ammonium chloride (150 mL). The organic layer was separated and the aqueous layer was washed again with diethyl ether (100 mL). The combined organic layer was dried over anhydrous sodium sulfate, filtered, and concentrated under reduced pressure to afford a white solid as the crude product. The crude solid was triturated with a hexane-ethyl acetate (9:1 v/v) mixture (20 mL). The precipitate in solution was filtered to afford the title compound as a white solid (1.15 g, 78% yield); Rf 0.72 with 1:1 v/v hexanes-ethyl acetate;1H-NMR (400 MHz; CDCl3) δ 9.25 (s, 2H), 8.53 (dd, 2H), 7.58 (m, 3H), 2.63 (s, 3H); MS (APCI+) m/z 199.0 (M+1). To a solution consisting of 1-(2-phenylpyrimidin-5-yl)ethanone (Step A, 700 mg, 3.5 mmol) in dichloromethane (25 mL) was added tetrabutylammonium tribromide (1.87 g, 3.90 mmol). The reaction mixture was sealed with a screw top and warmed at 40° C. for 5 hours and allowed to cool to room temperature over a weekend. The pale yellow precipitate formed was collected on a filter and washed with 1:1 dichloromethane-hexane to afford the title intermediate (770 mg, 79%); Rf 0.31 with 9:1 v/v hexanes-ethyl acetate; MS (ESI+) m/z 279, 277 (M+1, Br isotopes). To a solution consisting of phenylacetic acid (27 mg, 0.20 mmol) and cesium carbonate (117 mg, 0.360 mmol) in tetrahydrofuran (1.5 mL) at room temperature was added 2-bromo-1-(2-phenylpyrimidin-5-yl)ethanone (Step B, 50 mg, 0.18 mmol). The reaction mixture was heated at 40° C. for one hour and cooled to room temperature. To the mixture was added water (10 mL) with vigorous stirring and the precipitate was filtered, washed with water, and dried on the suction filter to provide 2-oxo-2-(2-phenylpyrimidin-5-yl)ethyl 2-phenylacetate as a tan solid (34.5 mg, 57% yield) as an isolated intermediate. The tan solid was dissolved in toluene (4 mL) and freshly prepared ammonium acetate under toluene (300 mg wet with toluene) was added and the mixture was stirred vigorously and heated in a capped vial at 112° C. overnight. The brown reaction mixture was poured into aqueous sodium bicarbonate and extracted twice with ethyl acetate. The combined organic phase was dried over anhydrous magnesium sulfate, filtered, and concentrated under reduced pressure to dryness. The brown solid was dissolved in dichloromethane and chromatographed on a 4 g silica column eluted with 1:4:5 to 1:6:3 dichloromethane-ethyl acetate-hexane to afford the title compound as a tan solid; Rf 0.08 with 6:4 v/v hexanes-ethyl acetate and Rf 0.61 with 3:7 v/v hexanes-ethyl acetate; melting point 235° C.;1H-NMR (400 MHz; DMSO-d6) δ 9.21 (s, 2H), 8.3-8.5 (m, 2H), 7.82 (d, 1H), 7.5-7.6 (m, 3H), 7.2-7.4 (m, 5H), 4.08 (s, 2H); MS (ESI+) m/z 313 (M+1); H-PGDS FPBA IC50: 0.625 μM; H-PGDS inhibitor EIA IC50: 0.059 μM. To a solution consisting of trans-3-(3-pyridyl)acrylic acid (30 mg, 0.20 mmol) and cesium carbonate (117 mg, 0.360 mmol) in tetrahydrofuran (1.5 mL) was added 2-bromo-1-(2-phenylpyrimidin-5-yl)ethanone (Example 14, Step B, 50 mg, 0.18 mmol). The reaction mixture was warmed at 40° C. for 1.5 hours, cooled to room temperature, and stirred vigorously while water (15 mL) was added quickly. The precipitate was filtered, washed with water, and dried in high vacuum to give crude material (32.5 mg) that was dissolved in of toluene (4 mL). To this solution was added freshly prepared ammonium acetate under toluene (400 mg wet with toluene and acetic acid). The reaction mixture was heated at 112° C. overnight and subsequently cooled to room temperature. The brown precipitate was filtered and the mother liquor was concentrated under reduced pressure and chromatographed on silica (4 g) eluted with ethyl acetate. The product was purified by crystallization from methanol and water to afford the title compound (5.4 mg, 18% yield) as a tan crystalline-like solid; Rf 0.35 with 3:97 v/v ethanol-ethyl acetate; melting point 258° C.;1H-NMR (400 MHz; DMSO-d6) δ 9.29 (s, 2H), 8.78 (d, 1H), 8.45-8.55 (m, 1H), 8.40-8.45 (m, 2H), 8.07-8.12 (m, 1H), 8.03-8.07 (m, 1H), 7.5-7.6 (m, 3H), 7.38-7.44 (m, 2H), 7.29 (d, 1H); MS (ESI+) m/z 326 (M+1); H-PGDS FPBA IC50: 0.15 μM; H-PGDS inhibitor EIA IC50: 0.023 μM. The title compound was prepared by subjecting (E)-2-phenyl-5-(2-(2-(pyridin-3-yl)vinyl)-1H-imidazol-5-yl)pyrimidine (Example 15, 7 mg, 0.02 mmol) to hydrogenation using 10% palladium on carbon (dry, 1 mg) in ethanol (3 mL). After five days, the reaction mixture was filtered through Celite using ethanol to rinse. Evaporation provided the title compound as a brown solid (7 mg, quantitative yield); melting point 113° C.;1H-NMR (400 MHz; CD3OD) δ 9.16 (s, 2H), 8.39-8.44 (m, 4H), 7.64 (s, 1H), 7.52-7.53 (m, 5H)), 3.12-3.19 (m, 4H); LC/MS (ESI+) m/z 328; H-PGDS FPBA IC50: 0.3 μM. Piperidine-, pyrrolidine-, and azetidine-containing compounds of the exemplary embodiments (20a-c) may be prepared according to the general synthetic route illustrated in Scheme 3, wherein R2 is a carbon-bound piperidinyl, pyrrolidinyl, or azetidinyl group as shown in Scheme 5. An α-bromoketone intermediate 12 is reacted with a regioisomer of N-Boc-piperidine-carboxylic acid 17a, N-Boc-pyrrolidine-carboxylic acid 17b, or with N-Boc-azetidin-3-carboxylic acid 17c in the presence of a base, such as cesium carbonate, in a solvent, such as DMF to provide the corresponding ester-ketone intermediates 18a-c. Each intermediate 18a-c may be converted to its corresponding imidazole 19a-c in the presence of ammonium acetate in a solvent, such as toluene, with heating. Removal of the Boc group takes place in the presence of trifluoroacetic acid to afford amine compounds of general structure 20a-c. Examples 17-19, 21-22, 28, and 30 may be prepared according to this general route. To a solution consisting of 1-(tert-butoxycarbonyl)piperidine-4-carboxylic acid (170 mg, 0.74 mmol) in dimethylformamide (7 mL) was added cesium carbonate (459 mg, 1.44 mmol) and the reaction mixture was stirred for 15 minutes. To the reaction mixture was added 2-bromo-1-(2-phenylpyrimidin-5-yl)ethanone (Example 14, Step B, 200 mg, 0.72 mmol) and the mixture was stirred for two hours. Water was added to the reaction mixture and the organic material was extracted with ethyl acetate. The organic phase was dried over magnesium sulfate, filtered, and concentrated under reduced pressure to provide a yellow semi-solid (240 mg). The solid was dissolved in toluene, anhydrous ammonium acetate (1.1 g, 14 mmol) was added and the reaction mixture was heated at 112° C. for four hours. The reaction mixture was cooled to room temperature, diluted with water and the organic material was extracted two times with ethyl acetate. The combined organic phase was washed with 1:9 v/v brine-water, then brine, and dried over magnesium sulfate, filter, and concentrated under reduced pressure. The residue was chromatographed on silica (25 g) eluted with 1:1 v/v to 4:1 ethyl acetate-hexane to afford the title compound (139 mg) as a yellow solid; Rf 0.49 with 1:4 v/v hexanes-ethyl acetate;1H-NMR (400 MHz; DMSO-d6) δ 9.2 (s, 2H), 8.35-8.45 (m, 2H), 7.8 (s, 1H), 7.4-7.6 (m, 3H), 3.9-4.1 (m, 2.8-3.0 (m, 3H), 2.8-2.95 (m, 2H), 1.5-1.7 (M, 2H), 1.4 (m, 9H); MS (ESI+) m/z 406 (M+1); H-PGDS FPBA IC50: 0.15 μM. Solid tert-butyl 4-(4-(2-phenylpyrimidin-5-yl)-1H-imidazol-2-yl)piperidine-1-carboxylate (Example 17, 122 mg, 0.30 mmol) was treated with trifluoroacetic acid 2.0 mL) at room temperature for 15 minutes. Three times the reaction mixture was diluted with toluene and concentrated under reduced pressure to provide a dark semi-solid. The crude material was chromatographed on silica (12 g) eluted with 1:5:85 v/v acetic acid-methanol-dichloromethane. Some clean fractions were collected, concentrated, and the purified material was three times diluted with toluene and concentrated then promoted to solidify under hexane with scratching to afford the title compound (19 mg) as a light-pink acetate salt. The remaining fractions were collected, concentrated, three times diluted with toluene and concentrated to afford a semi-solid; Rf 0.17 with 1/10/90 v/v acetic acid/methanol/dichloromethane;1H-NMR (400 MHz; DMSO-d6) δ 9.20 (s, 2H), 8.6-8.8 (br d, 1H), 8.3-8.5 (m, 3H), 7.83 (s, 1H), 7.45-7.55 (m, 3H), 3.2-3.5 (m, 2H), 2.95-3.2 (m, 3H), 2.1-2.2 (m, 2H), 1.8-2.0 (m, 5H); MS (ESI+) m/z 306 (M+1); H-PGDS FPBA IC50: 1 μM. To a solution consisting of ethyl 1-benzylpiperidine-4-carboxylate (500 mg, 2.02 mmol) in ethanol (10 mL) was added 1 N sodium hydroxide (2.02 mL, 2.02 mmol) and the reaction mixture was stirred at room temperature overnight. Most of the ethanol was removed under reduced pressure and stirring was continued for six hours. Toluene was added to remove most of the water by azeotrope and the material was dried under high vacuum overnight to provide the title intermediate as a white solid. To a solution consisting of 2-bromo-1-(2-phenylpyrimidin-5-yl)ethanone (Example 14, Step B, 50 mg, 0.18 mmol) in tetrahydrofuran (1.5 mL) at room temperature was added sodium 1-benzylpiperidine-4-carboxylate (Step A, 48 mg, 0.20 mmol). The reaction mixture was warmed to 40° C. for one hour, and more sodium 1-benzylpiperidine-4-carboxylate (67 mg, 0.29 mmol) was added and warmed at 40° C. for two hours. The reaction mixture was cooled to room temperature, stirred vigorously while water (15 mL) was added quickly. The precipitate was filtered, washed with water and dried under high vacuum overnight to provide crude material (43.3 mg) that was dissolved in toluene (4 mL). To this solution was added freshly prepared ammonium acetate under toluene (400 mg wet with toluene and acetic acid). The reaction mixture was heated at 112° C. for 3.5 hours, cooled to room temperature, separated from the solidified ammonium acetate, concentrated under reduced pressure and chromatographed on silica (4 g) eluted with ethyl acetate and 1:9 v/v ethanol-ethyl acetate. The product was triturated under ethyl acetate/hexane/dichloromethane (0.3 mL) and filtered to the title compound (10 mg) as a tan crystalline-like solid; Rf 0.17 with 1:9 v/v ethanol-ethyl acetate; melting point 223° C.;1H-NMR (400 MHz; DMSO-d6) δ 9.20 (s, 2H), 8.35-8.45 (m, 2H), 7.80-7.82 (m, 1H), 7.5-7.6 (m, 4H), 7.3-7.4 (m, 4H), 7.2-7.3 (m, 1H), 3.5 (s, 2H), 2.7-2.9 (m, 2H), 2.65-2.8 (m, 1H), 2.0-2.2 (m, 2H), 1.85-1.95 (m, 2H), 1.7-1.85 (m, 2H); MS (ESI+) m/z 396 (M+1); H-PGDS FPBA IC50: 0.08 μM; H-PGDS inhibitor EIA IC50: 0.006 μM. The compounds of general structure 20a-c shown in Scheme 5 may be further derivatized to compounds of general structure 21a-c as illustrated in Scheme 6. A compound 20a, 20b, or 20c may be alkylated, acylated, or arylated by a number of methods known to those ordinarily skilled in the art to provide compounds 21a, 21b, and 21c, respectively, of the exemplary embodiments. In general, an amine intermediate 20a-c is reacted with an electrophile Q-(CH2)q-LG, wherein Q and q are as defined above and LG is a leaving group, such as chloro, bromo, iodo, O-tosyl, O-methanesulfonyl, or O-trifluoromethanesulfonyl in the presence of a base, such as triethylamine, cesium carbonate, or sodium tert-butoxide, in a solvent such as THF, DMF, dichloromethane, or toluene. Groups with the general structure Q-(C2)q— may further be derivatized or manipulated in order to convert the compound to another compound of the exemplary embodiment. Such conversions include, but are not limited to, oxidation, reduction, deprotection, homologation, alkylation, acylation, or arylation and may be carried out by methods known to those ordinarily skilled in the art. The preparations of Examples 20, 23, 24, 25B, 26, 27, 29, and 31 employ this general method. To a solution consisting of (±)-1-(tert-butoxycarbonyl)piperidine-3-carboxylic acid (42 mg, 0.18 mmol) in N,N-dimethylformamide (1.5 mL) was added cesium carbonate (117 mg, 0.36 mmol) and the reaction mixture was stirred for 15 minutes. To the reaction mixture was added 2-bromo-1-(2-phenylpyrimidin-5-yl)ethanone (Example 14, Step B, 50 mg, 0.18 mmol) and the mixture was stirred for 1.5 hours. Water was added to the vigorously stirred reaction mixture and the precipitate was filtered, washed with water and dried under high vacuum to provide a light green solid (42 mg). The solid (26 mg, 0.06 mmol) was dissolved in toluene, anhydrous ammonium acetate (146 mg, 1.9 mmol) was added and the reaction mixture was heated at 112° C. for four hours. The reaction mixture was cooled to room temperature and the liquid was separated from the solid and concentrated. The residue was chromatographed on silica (4 g) eluted with 1:4:5 v/v dichloromethane-ethyl acetate-hexane. Crystallization from methanol and water afforded the title compound (6.5 mg) as brown solid; Rf 0.29 with 1:1 v/v hexanes-ethyl acetate; melting point 130° C.;1H-NMR (400 MHz; DMSO-d6) δ 9.20 (s, 2H), 8.35-8,45 (m, 2H), 7.85 (d, 1H), 7.5-7.6 (m, 3H), 4.0-4.4 (br d, 1H), 3.85-4.0 (m, 1H), 2.9-3.2 (br s, 1H), 2.7-2.9 (m, 2H), 2.0-2.2 (m, 1H), 1.65-1.7 (m, 2H), 1.3-1.5 (m, 1H), 1.41 (s, 9H); MS (ESI+) m/z 406 (M+1); H-PGDS FPBA IC50: 0.2 μM. Solid (±)-tert-butyl 3-(4-(2-phenylpyrimidin-5-yl)-1H-imidazol-2-yl)piperidine-1-carboxylate (Example 21) was treated with 0.5 mL of trifluoroacetic acid at room temperature for 0.5 hour. Three times the reaction mixture was diluted with toluene and concentrated to give a dark semi-solid. The crude material was chromatographed on silica (4 g) eluted with 1:10:90 v/v acetic acid-methanol-dichloromethane. The clean fractions were collected, concentrated under reduced pressure, and the material was three times diluted with toluene and concentrated, then dried under high vacuum to afford the title compound as a pale yellow solid; Rf 0.17 with 1:10:90 v/v acetic acid-methanol-dichloromethane; melting point 140° C.;1H-NMR (400 MHz; DMSO-d6) δ 9.22 (s, 2H), 8.5-9.2 (br s, 2H), 8.35-8,45 (m, 2H), 7.9 (d, 1H), 7.4-7.5 (m, 3H), 3.4-3.6 (m, 2H), 3.2-3.4 (m, 2H), 2.9-3.1 (m, 1H), 2.0-2.2 (m, 1H), 1.6-1.9 (m, 3H); MS (ESI+) m/z 306 (M+1); H-PGDS FPBA IC50: 1.25 μM. To a solution consisting of (±)-2-phenyl-5-(2-(piperidin-3-yl)-1H-imidazol-4-yl)pyrimidine (Example 22, 40 mg, 0.13 mmol) in dimethylformamide (2 mL) was added cesium carbonate (85 mg, 0.26 mmol) followed by benzyl bromide (27 mg, 0.16 mmol). The reaction mixture was stirred at room temperature for one hour and diluted with water and the organic material was extracted twice with ethyl acetate. The combined organic phase was dried over magnesium sulfate, filtered, and concentrated under reduced pressure. The residue was dissolved in dichloromethane/ethyl acetate and chromatographed on silica (4 g) eluted with 1:9 v/v ethanol-ethyl acetate. The purified material was diluted with toluene and concentrated. Solidification of the product was promoted with scratching under dichloromethane and hexane to afford the title compound (20 mg) as a colorless solid; melting point 179° C.; Rf 0.19 with 1:9 v/v ethanol-ethyl acetate;1H-NMR (400 MHz; DMSO-d6) δ 12.1 (s, 1H), 9.18 (s, 2H), 8.2-8.4 (m, 2H), 7.8 (s, 1H), 7.4-7.6 (m, 4H), 7.22-7.35 (m, 4H), 7.18-7.22 (m, 4H), 3.4-3.6 (m, 2H), 2.9-3.0 (m, 2H), 2.7-2.9 (m, 1H), 2.02-2.1 (M, 1H), 1.9-2.1 (m, 2H), 1.62-1.8 (m, 1H), 1.5-1.62 (m, 2H); MS (ESI+) m/z 396 (M+1); H-PGDS FPBA IC50: 0.6 μM. To a room temperature solution of (±)-2,2,2-trifluoro-1-(3-(4-(2-phenylpyrimidin-5-yl)-1H-imidazol-2-yl)piperidin-1-yl)ethanone (18 mg, 0.04 mmol) in tetrahydrofuran (1 mL) was added borane-tetrahydrofuran (1M, 0.13 mL, 0.13 mmol). The reaction mixture was heated at 65° C. for four hours, cooled, treated carefully with 6 mL of 6N HCl and 2 mL of ethanol and heated at 65° C. for one hour. The cooled reaction mixture was extracted four times with ethyl acetate and the organic phase was dried over magnesium sulfate, filtered, and rotovapped. The residue was chromatographed on silica (4 g) and eluted with 1:20:80 to 5:30:70 triethylamine-isopropanol-hexanes to give the title compound as a bright yellow solid white solid; Rf 0.15 with 1:20:80 v/v triethylamine-isopropanol-hexanes; MS (ESI+) m/z 404 (M+1); H-PGDS FPBA IC50: 10 μM. To a suspension consisting of 2-phenyl-5-(2-(piperidin-3-yl)-1H-imidazol-4-yl)pyrimidine (Example 22, 40 mg, 0.13 mmol) in dichloromethane (2 mL) was added methyl isocyanate (9 mg, 0.16 mmol) and the reaction mixture was stirred for one hour. TLC (1:10:90 v/v acetic acid-methanol-dichloromethane) indicated no reaction. The mixture was diluted with tetrahydrofuran (2 mL) to provide a homogeneous solution, and methyl isocyanate (9 mg, 0.16 mmol) was added. The reaction mixture was stirred overnight and the precipitate was filtered to provide (±)-N-methyl-3-(1-(methylcarbamoyl)-4-(2-phenylpyrimidin-5-yl)-1H-imidazol-2-yl)piperidine-1-carboxamide (Example 25A, 10 mg) as a white solid; Rf 0.31 with 1:9 v/v ethanol-ethyl acetate;1H-NMR (400 MHz; DMSO-d6) δ 9.20 (s, 2H), 8.59 (br qt, 1H), 8.35-8.45 (m, 2H), 8.18 (s, 1H), 7.45-7.55 (m, 3H), 6.40 (br qt, 1H), 4.1-4.2 (m, 1H), 3.9-4.0 (m, 1H), 3.2-3.4 (m, 1H), 2.9-3.1 (m, 1H), 2.81 (d, 3H), 2.65-2.75 (m, 1H), 2.55 (d, 3H), 2.0-2.1 (m, 1H), 1.6-1.7 (m, 2H), 1.3-1.45 (m, 1H); MS (ESI+) m/z 420 (M+1); H-PGDS FPBA IC50: 0.62 μM. The filtrate was diluted with water. The organic material was extracted twice with ethyl acetate and the combined organic phase was washed with brine, dried over magnesium sulfate, filtered, and concentrated under reduced pressure. The crude material was purified on a silica column to afford (±)-N-methyl-3-(4-(2-phenylpyrimidin-5-yl)-1H-imidazol-2-yl)piperidine-1-carboxamide (Example 25B, 5.5 mg) as a solid; Rf 0.17 with 1:9 v/v ethanol-ethyl acetate;1H-NMR (400 MHz; DMSO-d6) δ 12.2 (s, 1H), 9.21 (s, 2H), 8.35-8.45 (m, 2H), 7.84-7.85 (m, 1H), 7.50-7.55 (m, 3H), 6.45 (br qt, 1H), 4.15-4.22 (m, 1H), 3.85-3.95 (m, 1H), 2.85-2.95 (m, 1H), 2.65-2.85 (m, 2H), 2.55 (d, 3H), 2.51 (d, 3H), 2.0-2.1 (m, 1H), 1.6-1.8 (m, 2H), 1.35-1.5 (m, 1H); MS (ESI+) m/z 363 (M+1); H-PGDS FPBA IC50: 0.3 μM. The title compound is prepared in the same manner as Example 27 except that cyclopropanecarbonyl chloride is used instead of trifluoroacetic anhydride. The reaction is carried out at 0° C. and allowed to warm to room temperature. The reaction mixture is diluted with water, extracted with ethyl acetate and the organic phase is dried over magnesium sulfate, filtered, and evaporated. The crude is purified on a silica column. To a 0° C. solution of 2-phenyl-5-(2-(piperidin-3-yl)-1H-imidazol-4-yl)pyrimidine (40 mg, 0.13 mmol) in tetrahydrofuran (2 mL) was added triethylamine (26 mg, 0.26 mmol) followed by trifluoroacetic anhydride (30 mg, 0.14 mmol) and the reaction mixture was stirred for 1 hour at 0° C. then allowed to warm to room temperature. To −78° C. solution of 2-phenyl-5-(2-(piperidin-3-yl)-1H-imidazol-4-yl)pyrimidine (40 mg, 0.13 mmol) in tetrahydrofuran (2 mL) was added triethylamine (26 mg, 0.26 mmol) followed by trifluoroacetic anhydride (30 mg, 0.14 mmol) and the reaction mixture was stirred and allowed to slowly warm to room temperature. The two reaction mixtures were combined, the volatile materials were removed, and the crude reaction mixture was treated with 0.5 mL of N-methylpiperazine at 50° C. for 1 hour. The addition of 30 mL of water caused a precipitate that was filtered and washed with water and dried in high vacuum. The crude solid was chromatographed on 4 g of silica eluted with ethyl acetate/hexane to give 30 mg of the title compound as a white solid. Rf 0.20 with 1:1 v/v hexanes-ethyl acetate;1H-NMR (400 MHz; DMSO-d6) δ 9.21 (s, 2H), 8.35-8.45 (m, 2H), 7.85-7.90 (m, 1H), 7.5-7.6 (m, 3H), 4.20-4.55 (m, 1H), 3.80-4.15 (m, 1H), 2.0-3.7 (m, 3H), 2.1-2.2 (m, 1H), 1.75-2.0 (m, 2H), 1.5-1.7 (m, 1H); MS (ESI+) m/z 402 (M+1); H-PGDS FPBA IC50: 0.09 μM. Additional elution of the column with 1/9 ethanol/ethyl acetate provided 6 mg of a white solid identified as 1-(3-(4-(2-phenylpyrimidin-5-yl)-1H-imidazol-2-yl)piperidin-1-yl)ethanone. Rf 0.17 with 1:9 v/v ethanol-ethyl acetate; MS (ESI+) m/z 348 (M+1); H-PGDS FPBA IC50: 0.09 μM. To a solution consisting of 1-(tert-butoxycarbonyl)pyrrolidine-3-carboxylic acid (159 mg, 0.74 mmol) in dimethylformamide (7 mL) was added cesium carbonate (459 mg, 1.44 mmol) and the reaction mixture was stirred for 15 minutes. To the reaction mixture was added 2-bromo-1-(2-phenylpyrimidin-5-yl)ethanone (Example 14, Step B, 200 mg, 0.72 mmol) and the mixture was stirred for two hours. Water was added to the reaction mixture and the organic material was extracted with ethyl acetate. The organic phase was dried over magnesium sulfate, filtered, and concentrated to afford a yellow semi-solid (250 mg). The solid was dissolved in toluene, anhydrous ammonium acetate (1.2 g, 15 mmol) was added and the reaction mixture was heated at 112° C. for four hours. The reaction mixture was cooled to room temperature, diluted with water and the organic material was extracted twice with ethyl acetate. The combined organic phase was washed with 1:9 v/v brine-water, then brine, and dried over magnesium sulfate, filtered, and concentrated under reduced pressure. The residue was chromatographed on silica (25 g). Elution with 1:1 v/v to 4:1 ethyl acetate-hexane afforded the title compound (83 mg) as a yellow solid; Rf 0.43 with 1:4 v/v hexanes-ethyl acetate; melting point 219° C.;1H-NMR (400 MHz; DMSO-d6) δ 9.18 (s, 2H), 8.3-8.4 (m, 2H), 7.24 (d, 1H), 7.45-7.55 (m, 3H), 3.6-3.7 (m, 1H), 3.4-3.6 (m, 3H), 3.2-3.4 (m, 3H, under water peak), 2.0-2.35 (m, 2H), 1.4 (m, 9H); MS (ESI+) m/z 392 (M+1); H-PGDS FPBA IC50: 0.15 μM. The title compound is prepared in the same manner as example 23 except that (±)-2-phenyl-5-(2-(pyrrolidin-3-yl)-1H-imidazol-5-yl)pyrimidine is used instead of (±)-2-phenyl-5-(2-(piperidin-3-yl)-1H-imidazol-4-yl)pyrimidine. The title compound was prepared according to the method described in Example 22, except that (±)-tert-butyl 3-(4-(2-phenylpyrimidin-5-yl)-1H-imidazol-2-yl)pyrrolidine-1-carboxylate (Example 28) was used instead of (±)-tert-butyl 3-(4-(2-phenylpyrimidin-5-yl)-1H-imidazol-2-yl)piperidine-1-carboxylate. MS (ESI+) m/z 292 (M+1); H-PGDS FPBA IC50: 2 μM. The title compound is prepared in the same manner as Example 25B except that (±)-2-phenyl-5-(2-(pyrrolidin-3-yl)-1H-imidazol-5-yl)pyrimidine is used instead of (±)-2-phenyl-5-(2-(piperidin-3-yl)-1H-imidazol-4-yl)pyrimidine and the reaction is done in tetrahydrofuran instead of a combination of dichloromethane and tetrahydrofuran. The title compound was prepared by the method described in Example 1, Steps A-C, except that commercially available 1-methylimidazole (Aldrich) was used instead of 2-phenylimidazole in Step B; Rf 0.31 with 95:5 v/v dichloromethane-methanol;1H-NMR (400 MHz; CDCl3) δ 8.87 (s, 2H), 8.48 (m, 2H), 7.63 (s, 1H), 7.54 (m, 3H), 7.28 (s, 1H); MS (ESI+) m/z 237.1 (M+1); melting point 144° C.; H-PGDS FPBA IC50: 7.6 μM. The title compound was prepared by the method described in Example 1, Steps A-C, except that imidazole was used instead of 2-phenylimidazole in Step B; Rf 0.18 with 100% ethyl acetate; melting point 140° C.;1H-NMR (400 MHz; DMSO-d6) δ 8.85 (s, 2H), 8.39 (m, 2H), 8.05 (s, 1H), 7.55 (m, 3H), 7.45-7.20 (m, 5H) 6.98 (dd, 2H), 5.43 (s, 2H); MS (ESI+) m/z 313.0 (M+1); H-PGDS FPBA IC50: 2 μM. To a solution of 4-Iodo-1-trityl-1H-imidazole (Synthonix, 2.0 g, 4.58 mmol) in THF (50 mL) at room temperature was added ethylmagnesium bromide (Aldrich, 1.0 M solution in THF, 5.5 mL, 5.50 mmol) under dry conditions. After stirring for 90 minutes, zinc chloride (Aldrich, 0.749. g, 5.50 mmol) was added to the reaction mixture. After stirring for an additional 90 minutes, tetrakis(triphenyl)phosphine)palladium (Strem, 0.529 g, 0.46 mmol) and 5-bromo-2-phenylpyrimidine (as prepared in Example 1, step A, 1.29 g, 5.50 mmol) were added to the reaction mixture. The reaction mixture was heated in a 70° C. oil bath overnight. Upon cooling, the reaction was diluted with dichloromethane and washed with 0.5 M EDTA buffer (at pH ˜9) (2×250 mL) followed by brine (150 mL). The organics were dried over sodium sulfate, filtered, and concentrated. The crude product was purified by flash silica column chromatography using an 80 g Silicycle® column (elution with 10-30% ethyl acetate in hexane) which afforded the desired intermediate, 2-phenyl-5-(1-trityl-1H-imidazol-4-yl)pyrimidine, as a white solid (1.38 g, 65%). Rf 0.87 with 95:5 v/v dichloromethane-methanol;1H-NMR (400 MHz; DMSO-d6) δ 9.29 (s, 2H), 8.42 (m, 2H), 7.92 (d, 1H), 7.62 (d, 1H), 7.56-7.43 (m, 13H), 7.24-7.22 (m, 6H); MS (ESI−) m/z 463.0 (M−1); H-PGDS FPBA IC50: >20 μM. The title intermediate is chemically equivalent to Example 5, 5-(1H-imidazol-5-yl)-2-phenylpyrimidine. An alternative preparation of this compound is presented in this step. To a solution consisting of 2-phenyl-5-(1-trityl-1H-imidazol-4-yl)pyrimidine (Step A, 0.786 g, 1.69 mmol) in ethanol (50 mL) was added concentrated aqueous hydrochloric acid (5 mL) at room temperature. The reaction mixture was heated in a 50° C. oil bath for 90 minutes. Upon cooling, the reaction was concentrated under vacuum to about half the original amount of solvent. Ethyl ether (30 mL) was added to the mixture and the product precipitate was collected by filtration. The solid was washed with excess ethyl ether and then dried under vacuum to afford the intermediate, 5-(1H-imidazol-4-yl)-2-phenylpyrimidine, as a white solid (0.336 g, 76%). Rf 0.14 with 95:5 v/v dichloromethane-methanol;1H-NMR (400 MHz; DMSO-d6) δ 9.49 (s, 2H), 9.41 (d, 1H), 8.49-8.44 (m, 3H), 7.61-7.58 (m, 3H); MS (ESI+) m/z 223.1 (M+1); H-PGDS FPBA IC50: 5 μM. To a solution consisting of 5-(1H-imidazol-4-yl)-2-phenylpyrimidine (Step B, 0.050 g, 0.193 mmol) in N,N-dimethylformamide (10 mL) was added potassium carbonate (0.133 g, 0.965 mmol) at room temperature under dry conditions. After heating the reaction mixture in an 80° C. oil bath for one hour, benzyl bromide (Aldrich, 0.039 g, 0.231 mmol) was added to the mixture. The solution was left stirring in an 80° C. oil bath for 24 hours. Upon cooling, the reaction was diluted with dichloromethane (100 mL) and washed with saturated aqueous ammonium chloride (50 mL), water (50 mL) and brine (50 mL). The organic layer was dried over sodium sulfate, filtered, and concentrated. The residue was chromatographed on silica. Elution through an 8-g Silicycle® flash silica cartridge with gradient of 100% dichloromethane to 5% methanol in dichloromethane afforded the title compound as a white solid (22 mg, 36%). Rf 0.56 with 95:5 v/v dichloromethane-methanol; melting point 195° C;1H-NMR (400 MHz; DMSO-d6) δ 9.25 (s, 2H), 8.44-8.42 (m, 2H), 8.03 (s, 2H), 7.56-7.54 (m, 3H), 7.45-7.36 (m, 5H), 5.38 (s, 2H); MS (ESI+) m/z 313.1 (M+1); H-PGDS FPBA IC50: 4 μM. The title compound is prepared by the method described in Example 34, Steps A-C, except that iodomethane is used instead of benzyl bromide in Step C. The title compound is prepared by the method described in Example 34, Steps A-C, except that 3-bromomethypyridine hydrobromide is used instead of benzyl bromide in Step C. The title compound was prepared by the method described in Example 34, Steps A-C, except that tert-butyl 4-(tosyloxy)piperidine-1-carboxylate is used instead of benzyl bromide in Step C. The nitrogen of the piperidine is deprotected and derivatized in the manner described in Examples 22 and 24, respectively. A mixture consisting of 5-bromo-2-iodopyrimidine (Bridge Organics, 1.01 g, 3.57 mmol), phenol (Aldrich, 3.35 g, 35.7 mmol), and potassium carbonate (Aldrich, 4.93 g, 35.7 mmol) was stirred neat at 165° C. under a nitrogen atmosphere for four hours. After cooling to room temperature, the mixture was partitioned between ethyl acetate (250 mL) and 1 N hydrochloric acid (4×200 mL). The organic layer was washed with 1 N hydrochloric acid until disappearance of color in the aqueous layer. The phases were separated and the organic phase was washed with water (100 mL) and brine (100 mL). The organic layer was dried over anhydrous magnesium sulfate and concentrated under reduced pressure to provide an orange oil (1.1 g). The product was purified by flash silica column chromatography. Elution through an 80-g Silicycle® flash silica cartridge with 10% ethyl acetate in hexanes afforded the title compound as a white solid (0.82 g, 92% yield); Rf 0.51 with 8:2 v/v hexanes-ethyl acetate;1H-NMR (400 MHz; CDCl3) δ 8.56 (s, 2H), 7.46-7.41 (m, 2H), 7.30-7.24 (m, 1H), 7.20-7.16 (m, 2H); MS (APCI+) m/z 252.9 (M+1). The title intermediate was prepared by the method described in Example 14, Step B, except that 5-bromo-2-phenoxypyrimidine was used instead of 5-bromo-2-phenylpyrimidine. The residue from the work up was dissolved in dichloromethane and diluted with hexane, was applied to an 80-g silica column eluted with 1:4 ethyl acetate-hexane to afford the title intermediate (690 mg, 65% yield); Rf 0.29 with 3:1 v/v hexanes-ethyl acetate solvent system;1H-NMR (400 MHz; DMSO-d6) δ 9.17 (s, 2H), 7.4-7.6 (m, 2H), 7.2-7.4 (m, 3H), 2.60 (s, 3H); MS (ESI+) m/z 215 (M+1). To a solution consisting of 1-(2-phenoxypyrimidin-5-yl)ethanone (Step B, 400 mg, 1.87 mmol) in dichloromethane (14 mL) was added tetrabutylammonium tribromide (990 mg, 2.05 mmol). The reaction mixture was sealed with a screw top and warmed at 40° C. overnight and allowed to cool to room temperature. Hexane (4 mL) was subsequently added. After three hours and little precipitation, additional (150 mg) tetrabutylammonium tribromide was added and the reaction mixture was stirred overnight at room temperature. The pale yellow precipitate that formed was collected on a filter and washed with 1:1 dichloromethane-hexane to afford the title intermediate (375 mg, 68%); Rf 0.43 with 3:1 v/v hexanes-ethyl acetate; MS (ESI+) m/z 295, 293 (M+1, Br isotopes). To a mixture consisting of benzoic acid (21 mg, 0.17 mmol) and cesium carbonate (112 mg, 0.34 mmol) in DMF (2.5 mL) was added 2-bromo-1-(2-phenoxypyrimidin-5-yl)ethanone (50 mg, 0.17 mmol). Upon stirring at room temperature (30 minutes), the solution became dark amber. The reaction mixture was combined with ethyl acetate and washed sequentially with water and brine. The organic layer was dried with sodium sulfate, filtered and concentrated under reduced pressure followed by concentration with toluene. The title intermediate was isolated as a dark yellow solid (40 mg, 70% yield); TLC (silica) Rf 0.44, 3:1 v/v hexanes-ethyl acetate. A mixture consisting of 2-oxo-2-(2-phenoxypyrimidin-5-yl)ethyl benzoate (Step A, 40 mg), freshly prepared ammonium acetate (315 mg wet with toluene), and toluene (4 mL) was heated in a capped vial to 112° C. overnight. The reaction mixture was poured into a 0.1 M aqueous sodium bicarbonate solution and extracted twice with ethyl acetate. The organic layer was washed with brine, dried with magnesium sulfate, filtered and concentrated under reduced pressure. The crude brown solid was purified by flash chromatography using a 4:1 to 1:1 hexanes-ethyl acetate gradient affording the title compound (11.2 mg, 29% yield) as a light tan solid; melting point 254° C.;1H-NMR (400 MHz; DMSO-d6) δ 9.05 (s, 2H), 7.96-8.02 (m, 2H), 7.85-7.92 (m, 2H), 7.42-7.54 (m, 4H), 7.35-7.41 (m, 1H), 7.20-7.29 (m, 2H); LC/MS (ESI+) m/z 315; H-PGDS FPBA IC50: 4 μM. The title intermediate was prepared according to the method described in Example 38, Step D except that phenylacetic acid was used instead of benzoic acid. The title intermediate was isolated as a dark yellow solid (47 mg); TLC (silica) Rf 0.64, 3:1 v/v hexanes-ethyl acetate. The title compound was prepared according to the procedure described in Example 27, Step E except that 2-oxo-2-(2-phenoxypyrimidin-5-yl)ethyl 2-phenylacetate was used instead of 2-oxo-2-(2-phenoxypyrimidin-5-yl)ethyl benzoate. The crude brown solid was purified by flash chromatography using a 4:1 to 1:1 hexanes-ethyl acetate gradient affording the title compound (9.9 mg, 23% yield) as a yellow solid; melting point 60° C.;1H-NMR (400 MHz; DMSO-d6) δ 8.97 (s, 2H), 7.71 (s, 1H), 7.48-7.52 (m, 2H), 7.25-7.37 (m, 8H), 4.09 (s, 2H); LC/MS (ESI+) m/z 329; H-PGDS FPBA IC50: 10 μM. To a mixture consisting of nicotinic acid (23 mg, 0.19 mmol) and cesium carbonate (115 mg, 0.35 mmol) in tetrahydrofuran (1.5 mL) was added 2-bromo-1-(2-phenoxypyrimidin-5-yl)ethanone (Example 38, Step C, 50 mg, 0.17 mmol). The stirring mixture was heated to 40° C. for one hour, after which time some starting material had not completely dissolved and the reaction was not completed as indicated by TLC. N,N-dimethylformamide (1.5 mL) was added and the reaction was stirred an additional two hours at room temperature. The work up of Example 38, Step D was followed. The title intermediate was isolated as a dark yellow solid (31 mg, 54% yield); TLC (silica) Rf 0.17, 1:1 hexanes-ethyl acetate. The title compound was prepared according to the procedure in Example 38, Step E, except that 2-oxo-2-(2-phenoxypyrimidin-5-yl)ethyl nicotinate, prepared in Step A of this example, was used instead of 2-oxo-2-(2-phenoxypyrimidin-5-yl)ethyl benzoate. The crude brown solid was purified by flash chromatography using a 1:9 to 0:1 hexanes-ethyl acetate gradient affording the title compound (7.1 mg, 24% yield) as a tan solid; melting point 236° C.;1H-NMR (400 MHz; DMSO-d6) δ 9.19 (s, 1H), 9.05 (s, 2H), 8.58-8.59 (m, 1H), 8.30-8.33 (m, 1H), 7.99 (s, 1H), 7.51-7.54 (m, 1H), 7.44-7.48 (m, 2H), 7.23-7.29 (m, 3H); LC/MS (ESI+) m/z 316; H-PGDS FPBA IC50: 0.625 μM; H-PGDS inhibitor EIA IC50: 0.37 μM. Diisopropyl 1-(tetrahydro-2H-pyran-2-yl)-1H-pyrazol-5-ylboronate (595 mg, 1.46 mmol) prepared according to the procedure described in the 2-Phenyl-5-(1-(tetrahydro-2H-pyran-2-yl)-1H-pyrazol-5-yl)pyrimidine (Step A, 51 mg) was added to a 1 N hydrochloric acid solution in methanol (5 mL). The solution was stirred at room temperature for two hours. MTBE (40 mL) was added to precipitate a white solid which was filtered and rinsed with MTBE and dried under high vacuum. The title compound was obtained as a white powder (11.4 mg, 27% yield); melting point 264-273° C.;1H-NMR (300 MHz; CD3OD) δ 10.0 (s, 1H), 9.29 (s, 2H), 8.44 (dd, 2H), 7.86 (d, 1H), 7.54 (m, 3H), 6.95 (d, 1H); MS (ESI+) m/z 223 (M+1); H-PGDS FPBA IC50: 2.4 μM. Oxazole (124 mg, 1.8 mmol) was dissolved in stirring tetrahydrofuran (20 mL) under nitrogen at −78° C. and treated with n-butyllithium (2.0 M in cyclohexane, 1.1 mL, 2.2 mmol) maintaining internal temperature below −60° C. After stirring ten minutes, ZnCl2 (0.48 g, 3.5 mmol) was added portionwise. The cooling bath was removed and the solution was allowed to reach room temperature. Tetrakis(triphenylphosphine)palladium(0) (30 mg, 5 mole %) and 5-bromo-2-phenylpyrimidine (309 mg, 1.30 mmol) were added and the mixture heated at 60° C. for four hours. Solvent was removed under reduced pressure and the mixture partitioned between saturated aqueous ammonium chloride and ethyl acetate. The organic phase was retained and additional ethyl acetate extractions of the aqueous phase performed. The combined extracts were dried with anhydrous sodium sulfate, the solution filtered, and solvent removed under reduced pressure. Purification by silica gel flash chromatography (9:1 to 7:3 v/v hexane-ethyl acetate) through a 12-g Silicycle® flash silica cartridge afforded the title compound as an off-white solid (17 mg, 6% yield); Rf 0.66 with 3:1 v/v hexane-ethyl acetate; melting point 175-177° C.;1H-NMR (300 MHz; DMSO-d6) δ 9.42 (s, 2H), 8.48 (dd, 2H), 8.41 (s, 1H), 7.56-7.62 (m, 3H), 7.54 (s, 1H); MS (ESI+) m/z 224 (M+1), (ESI−) m/z 222 (M−1); H-PGDS FPBA IC50: 7.8 μM. A mixture consisting of 2-phenylpyrimidine-5-carbonitrile (200 mg, 1.10 mmol), sodium azide (80 mg, 1.2 mmol) and ammonium chloride (66 mg, 1.2 mmol) in DMF (3 mL) was stirred at 100° C. for 24 hours. The reaction mixture was allowed to cool to room temperature. Upon addition of 1N hydrochloric acid (3 mL), a white solid precipitated. The precipitate was isolated by filtration and recrystallized from ethanol to afford the title compound as a white solid (123 mg, 50% yield); melting point 237° C.;1H-NMR (400 MHz; DMSO-d6) δ 9.51 (s, 2H), 8.51-8.53 (m, 2H), 7.61-7.65 (m, 3H); LC/MS (ESI+) m/z 225; H-PGDS FPBA IC50: 2.5 μM. The title intermediate was prepared by the method described in Example 1, Step C, except that (i) commercially available bromobenzene was used instead of 5-bromo-2-phenylpyrimidine, and (ii) 1-benzyl-1H-imidazole was used instead of 1-benzyl-2-phenyl-1H-imidazole. The product was purified by flash silica column chromatography. Elution through a 25-g Silicycle® flash silica cartridge with gradient of 0% to 5% methanol in dichloromethane afforded the title intermediate as a yellow solid (0.140 g, 60% yield); Rf 0.53 with 9:1 v/v dichloromethane-methanol;1H-NMR (400 MHz; CDCl3) δ 7.59 (s, 1H), 7.4-7.25 (m, 8H), 7.17 (s, 1H), 7.05 (d, 2H), 5.18 (s, 2H); MS (ESI+) m/z 235.1 (M+1). The title intermediate was prepared by the method described in Example 1, Step C, except that (i) 1-benzyl-5-phenyl-1H-imidazole was used instead of 1-benzyl-2-phenyl-1H-imidazole, (ii) copper iodide (2.0 molar equivalents) and N,N-dimethylacetamide (15 mL) was used instead of tris(2-furyl)phosphine, potassium carbonate, and N,N-dimethylformamide. The reaction mixture was brought to reflux (160° C.) under a nitrogen atmosphere overnight and then worked up in the same manner as described in Example 1, Step C to afford the title intermediate as a white solid (0.110 g, 35% yield); Rf 0.66 with 95:5 v/v dichloromethane-methanol;1H-NMR (400 MHz; CDCl3) δ 9.00 (s, 2H), 8.43 (m, 2H), 7.58-7.23 (m, 12H), 5.35 (s, 2H); MS (ESI+) m/z 389.1 (M+1); −PGDS FPBA IC50: 15 μM. The title compound was prepared by the method described in Example 1, Step D, except that 5-(1-benzyl-5-phenyl-1H-imidazol-2-yl)-2-phenylpyrimidine (this Example, Step B) was used instead of 5-(1-benzyl-2-phenyl-1H-imidazol-5-yl)-2-phenylpyrimidine. The title compound was isolated as a white solid (0.044 g, 62% yield); Rf 0.26 with 95:5 v/v dichloromethane-methanol; melting point 238° C.;1H-NMR (400 MHz; DMSO-d6) δ 9.40 (s, 2H), 8.43 (m, 2H), 7.99-7.84 (m, 2H), 7.58-7.20 (m, 8H); MS (ESI+) m/z 299.1 (M+1); H-PGDS FPBA IC50: 2.8 μM. A mixture consisting of methyl 2-phenylpyrimidine-5-carboxylate (214 mg, 1.00 mmol) and acetophenone (0.115 mL, 120 mg, 1.00 mmol) in diethyl ether (10 mL) under a nitrogen atmosphere at room temperature was stirred for ten minutes. Sodium methoxide (65 mg, 1.2 mmol) was subsequently added followed by methanol (1.0 mL). The solution was stirred overnight at room temperature. The off-white precipitate which had formed was collected by filtration and was washed with diethyl ether. The solid was dissolved in water and the pH adjusted to 3 using acetic acid. A solid precipitated and was collected by filtration and washed with water. The solid was dried under high vacuum and was subsequently dissolved in acetic acid (10 mL). To this solution was added hydrazine (0.4 mL) and the mixture was stirred at room temperature overnight. The mixture was filtered and solids washed with hexane. The crude solid was purified by silica gel flash chromatography (9:1 to 1:1 v/v hexane-ethyl acetate gradient) through a 25-g Silicycle® flash silica cartridge which gave the title compound as light yellow solid (8 mg, 3% yield); Rf 0.40 with 7:3 v/v hexane-ethyl acetate;1H-NMR (300 MHz; CDCl3) δ 9.38 (s, 2H), 8.45 (dd, 2H), 7.84 (br, 2H), 7.36-7.60 (m, 7H); MS (ESI+) m/z 299 (M+1); H-PGDS FPBA IC50: 1.5 μM. Silver carbonate (317 mg, 1.15 mmol), triphenylphosphine (16 mg, 0.06 mmol) and Pd(dppf)Cl2.CH2Cl2 (24 mg, 5 mole %) were stirred together at room temperature under nitrogen. 5-Bromo-2-phenylpyrimidine (163 mg, 0.69 mmol) was added followed by 2-phenyl-oxazole (84 mg, 0.58 mmol; prepared according to Ohnmacht, S. A. et al., To a solution consisting of 2-phenylpyrimidine-5-carboxylic acid (200 mg, 1.0 mmol) in thionyl chloride (10 mL) was added one drop of dry DMF. The solution was heated to reflux for four hours and was subsequently allowed to reach room temperature. Thionyl chloride was evaporated away under reduced pressure and to the residue was added toluene (2×30 mL), which was evaporated and the residue subjected to high vacuum to remove residual thionyl chloride. The residue and 2-amino-1-phenylethanone hydrochloride (172 mg, 1.0 mmol) were dissolved in dichloromethane (10 mL) followed by triethylamine (0.28 mL). The solution was stirred at room temperature for 18 hours. The mixture was diluted with dichloromethane and was washed with water. The organic phase was dried with anhydrous sodium sulfate, filtered, and concentrated. The residue was recrystallized from ethyl acetate to afford title intermediate as a white solid (183 mg, 57% yield); Rf 0.60 with 5% methanol in dichloromethane;1H-NMR (300 MHz; DMSO-d6) δ 9.33 (s, 2H), 8.48 (d, 2H), 8.07 (d, 2H), 7.70 (brt, 1H), 7.59 (m, 6H), 4.89 (d, 2H); MS (ESI−) m/z 316 (M−1). To a solution consisting of N-(2-oxo-2-phenylethyl)-2-phenylpyrimidine-5-carboxamide (Step A, 80 mg, 0.25 mmol) in POCl3 (1.0 mL) was added pyridine (2.0 mL). The solution was heated at 70° C. for six hours and was subsequently allowed to cool to room temperature. The solution was diluted with ethyl acetate (10 mL) and poured into a chilled saturated aqueous sodium bicarbonate solution (40 mL). After stirring for 15 minutes, the mixture was extracted with ethyl acetate (3×25 mL) and the combined organics were dried with anhydrous sodium sulfate, filtered, and concentrated. The residue was purified by silica gel flash chromatography (0-5% methanol in dichloromethane gradient) through a 40-g Silicycle® flash silica cartridge to afford the title compound as an off-white solid (49 mg, 65% yield); Rf 0.80 with 2% methanol in dichloromethane;1H-NMR (300 MHz; DMSO-d6) δ 9.52 (s, 2H), 8.48 (dd, 2H), 7.99 (s, 1H), 7.94 (dd, 2H), 7.43-7.60 (m, 6H); MS (ESI+) m/z 300 (M+1); H-PGDS FPBA IC50: >20 μM. A mixture consisting of 2-bromo-1-(2-phenylpyrimidin-5-yl)ethanone (Example 14, Step B, 50 mg, 0.18 mmol), thiobenzamide (TCl America, 25 mg, 0.18 mmol) and absolute ethanol (4 mL) in a capped scintillation vial was heated to near boiling for several minutes and was subsequently allowed to cool to room temperature. A white solid precipitated within minutes. The precipitate was collected by vacuum filtration. Light ethanol rinse, suction, and drying under high vacuum at room temperature afforded the title compound (26 mg, 46% yield) as an off-white solid; melting point 214.4-216.1° C.;1H-NMR (400 MHz; DMSO-d6) δ 9.54 (s, 2H), 8.54 (s, 1H), 8.47 (m, 2H), 8.08 (m, 2H), 7.62-7.54 (m, 6H); LC/MS (ESI+) m/z 316.1, (ESI−) m/z 337.2 (M−1+Na+); H-PGDS FPBA IC50: >20 μM. Triazole compounds of general structure 25 of the exemplary embodiments may be prepared according to the general synthetic route illustrated in Scheme 7. Examples 49 and 50 may be prepared using this general route. 2-Phenyl-pyrimidine-5-carbonitrile (Biofine International, 0.10 g, 0.55 mmol) and benzoic hydrazide (Aldrich, 0.075 g, 0.55 mmol) were dissolved in o-xylene (5 mL) and heated to 200° C. in a sealed pressure tube while stirring for 24 hours. After cooling to room temperature, the reaction mixture was heated to 200° C. in an open vessel under a stream of nitrogen for six hours. The remaining crude solid was dissolved in a minimal amount of 98:2 v/v dichloromethane-methanol and purified by flash silica column chromatography. Elution through a 40-g Analogix® flash silica cartridge with 100% dichloromethane to 2% methanol in dichloromethane afforded the title compound as a pale yellow solid (10 mg, 6% yield); Rf 0.1 with 98:2 v/v dichloromethane-methanol; melting point 280-282° C.;1H-NMR (400 MHz; CDCl3) δ 8.48-8.42 (m, 2H), 8.12-8.06 (m, 2H), 7.60-7.48 (m, 6H); MS (ESI+) m/z 300.1 (M+1); H-PGDS FPBA IC50: 1.0 μM; H-PGDS inhibitor EIA IC50: 0.084 μM. 2-Phenyl-pyrimidine-5-carbonitrile (Biofine International, 0.20 g, 1.10 mmol) and nicotinic hydrazide (Aldrich, 0.151 g, 1.10 mmol) were dissolved in o-xylene (5 mL) and heated to 200° C. under nitrogen atmosphere for seven hours as the o-xylene slowly boiled off. The remaining crude solid was dissolved in a minimal amount of 98:2 v/v dichloromethane-methanol and purified by flash silica column chromatography. Elution through a 40-g Analogix® flash silica cartridge with 100% dichloromethane to 5% methanol in dichloromethane afforded the title compound as a yellow solid (32 mg, 10% yield); Rf 0.27 with 95:5 v/v dichloromethane-methanol; melting point 322-333° C.;1H-NMR (400 MHz; CDCl3) δ 9.53 (s, 2H), 9.32 (d, 1H), 8.76-8.75 (m, 1H), 8.53-8.46 (m, 3H), 7.64-7.60 (m, 4H); MS (ESI+) m/z 301.1 (M+1); H-PGDS FPBA IC50: 1 μM. 2-Phenyl-5-(5-(pyridin-3-yl)-1H-1,2,4-triazol-3-yl)pyrimidine (25 mg, 0.08 mmol) was dissolved in DMF (2 mL). An excess of sodium hydride (150 mg, 60% dispersion in mineral oil) and an excess of iodomethane (1 mL) were added and the solution was stirred at room temperature for 2.5 hours. The reaction was quenched by the addition of water, diluted with ethyl acetate, and washed sequentially with water and brine. The crude residue was dissolved in a minimal amount of dichloromethane and purified by flash silica column chromatography. Elution through a 12-g Analogix® flash silica cartridge with 100% dichloromethane to 4% methanol in dichloromethane afforded the title compounds (2 mg, 8% yield); Rf 0.33 with 95:5 v/v dichloromethane-methanol; MS (ESI+) m/z 315.1 (M+1). To a solution consisting of 2-phenyl-5-(2H-tetrazol-5-yl)pyrimidine (25 mg, 0.111 mmol) in DMF (2.0 mL) was added tert-butyl 4-(tosyloxy)piperidine-1-carboxylate (40 mg, 0.111 mmol), synthesized from tert-butyl 4-hydroxypiperidine-1-carboxylate (PCT International Application No. WO 2007/060026), and sodium carbonate (85 mg, 0.45 mmol). The suspension was vigorously stirred for 24 hours and an additional molar equivalent of tert-butyl 4-(tosyloxy)piperidine-1-carboxylate was added and the reaction was heated for another 24 hours at 70° C. After cooling to room temperature, the crude reaction mixture was diluted with ethyl acetate, washed sequentially with 1 M sodium carbonate, 5% citric acid, and brine. After solvent evaporation, the remaining crude solid was dissolved in a minimal amount of dichloromethane and purified by flash silica column chromatography. Elution through a 40-g Analogix® flash silica cartridge with 100% dichloromethane to 2% methanol in dichloromethane provided the title compound as an off-white solid. The solid was further purified by triturating with methanol to afford the title compound as a white solid (15 mg, 33% yield); Rf 0.37 with 95:2 v/v dichloromethane-methanol; melting point 178-180° C.;1H-NMR (400 MHz; CDCl3) δ 9.47 (s, 2H), 8.52-8.49 (m, 2H), 7.52-7.50 (m, 3H), 4.96-4.95 (m, 2H), 4.23 (bs, 2H), 3.10-2.97 (m, 2H), 2.30-2.21 (m, 4H), 1.48 (s, 9H); MS (ESI+) m/z 408.2 (M+1). To a solution consisting of 1-(2-phenylpyrimidin-5-yl)ethanone (Example 14, Step A, 46 mg, 0.23 mmol) and methyl nicotinate (35 mg, 0.25 mmol) in tetrahydrofuran (1 mL) was added a solution consisting of potassium tert-butoxide in tetrahydrofuran (0.28 mL, 0.28 mmol). The reaction mixture was stirred overnight. Analysis of the reaction mixture by TLC (1:3 ethyl acetate-hexanes) showed the 1-(2-phenylpyrimidin-5-yl)ethanone was not consumed. To the reaction mixture was added methyl nicotinate (118 mg, 0.86 mmol) and sodium hydride (10 mg, 0.23 mmol, 60% dispersion), and the reaction mixture was heated at 50° C. for one hour. The reaction mixture was diluted with a saturated aqueous solution of ammonium chloride and sodium chloride and the organic material was extracted three times with ethyl acetate. The combined organic phase was dried over magnesium sulfate, filtered and concentrated to dryness to provide a crude material. To a solution consisting of this crude material in acetic acid was added excess hydrazine hydrate and the reaction mixture was heated at 50° C. for two hours followed by 80° C. overnight. The reaction mixture was diluted with saturated aqueous sodium bicarbonate and the organic material was extracted three times with ethyl acetate. The combined organic phase was dried over magnesium sulfate, filtered, and concentrated to dryness. The crude material was chromatographed on silica (4 g) eluted with 1:4:5 v/v dichloromethane-ethyl acetate-hexane to 1:6:4 to afford the title compound (10 mg) as a tan solid; H-PGDS FPBA IC50: 1.3 μM. A mixture consisting of 1-(2-phenoxypyrimidin-5-yl)ethanone (Example 38, Step B, 214 mg, 1.00 mmol) and diethyl oxalate (0.14 mL,150 mg, 1.0 mmol) in diethyl ether (10 mL) under a nitrogen atmosphere at room temperature was stirred for ten minutes. Sodium methoxide (65 mg, 1.2 mmol) was subsequently added followed by methanol (1.0 mL). The solution was stirred overnight at room temperature. The off-white precipitate which had formed was collected by filtration and washed with diethyl ether. The solid was dissolved in water and the pH adjusted to 3 using acetic acid. The solid precipitate which formed was filtered and washed with water. The solid was air dried to afford a mixture comprising both the ethyl and methyl esters. To a mixture consisting of the solid comprising ethyl 3-oxo-3-(2-phenoxypyrimidin-5-yl)propanoate (Step A, 1.00 mmol theory) in acetic acid (10 mL) was added hydrazine (0.40 mL, 410 mg, 13 mmol). The stirring mixture was heated to 60° C. for one hour and was subsequently cooled to room temperature and stirred overnight. The off-white solid which had precipitated was collected by filtration and washed with hexane. The solid was purified by silica gel flash chromatography using a 9:1 to 1:1 v/v hexane-ethyl acetate gradient through a 40-g Silicycle® flash silica cartridge to afford the title compound as a white solid (100 mg, 32% yield); Rf 0.50 with 1:1 v/v hexane-ethyl acetate;1H-NMR (300 MHz; DMSO-d6) δ 9.12 (s, 2H), 7.50 (s, 1H), 7.43 (dd, 2H), 7.20-7.28 (m, 3H), 4.26 (q, 2H), 1.25 (t, 3H); MS (ESI−) m/z 309 (M−1); H-PGDS FPBA IC50: 1.3 μM; H-PGDS inhibitor EIA IC50: 0.13 μM. The title compound was isolated from the chromatography of Example 54, Step B as white solid (52 mg, 17% yield); Rf 0.40 with 1:1 v/v hexane-ethyl acetate;1H-NMR (300 MHz; DMSO-d6) δ 9.08 (s, 2H), 7.50 (s, 1H), 7.46 (dd, 2H), 7.20-7.30 (m, 3H), 3.90 (s, 3H); MS (ESI−) m/z 309 (M−1); H-PGDS FPBA IC50: 2 μM. To a solution consisting of lithium hydroxide monohydrate (0.13 g, 3.0 mmol) dissolved in ethanol (10 mL)/water (5 mL) was added ethyl 5-(2-phenoxypyrimidin-5-yl)-1H-pyrazole-3-carboxylate (Example 54, 90 mg, 0.29 mmol) and the mixture was stirred at room temperature for 18 hours. Ethanol was removed under reduced pressure and the solution diluted with water and subsequently was acidified with acetic acid to precipitate product. The solid precipitate was filtered, washed with water, and dried under high vacuum to afford the title compound as a white solid (64 mg, 79% yield); Rf 0.15 with 2% methanol in dichloromethane;1H-NMR (300 MHz; DMSO-d6) δ 9.12 (s, 2H), 7.49 (dd, 2H), 7.25-7.43 (m, 4H); MS (ESI−) m/z 281 (M−1); H-PGDS FPBA IC50: 5 μM. To a solution consisting of 5-(2-phenoxypyrimidin-5-yl)-1H-pyrazole-3-carboxylic acid (Example 56, 60 mg, 0.21 mmol) in thionyl chloride (10 mL) was added one drop of dry DMF. The solution was heated to reflux for four hours and was subsequently allowed to cool to room temperature. Thionyl chloride was evaporated under reduced pressure and to the residue was added toluene (2×30 mL), which was evaporated and the residue subjected to high vacuum to remove residual thionyl chloride. The residue and 1-methylpiperazine (25 mg, 0.028 mL, 0.25 mmol) were dissolved in dichloromethane (10 mL) followed by the addition of triethylamine (0.14 mL). The solution was stirred at room temperature for 18 hours. The solvent was evaporated and the residue was purified by silica gel flash chromatography using 0-10% methanol in dichloromethane gradient through a 25-g Silicycle® flash silica cartridge to afford the title compound as a white solid (46 mg, 60% yield); Rf 0.30 with 6% methanol in dichloromethane;1H-NMR (300 MHz; CD3OD) δ 8.96 (s, 2H), 7.43 (m, 2H), 7.25 (m, 1H), 7.19 (d, 2H), 7.02 (s, 1H), 3.74-3.99 (br, 4H), 2.51 (br, 4H), 2.33 (s, 3H); MS (ESI−) m/z 363 (M−1); H-PGDS FPBA IC50: 0.65 μM; H-PGDS inhibitor EIA IC50: 0.42 μM. The title compound was prepared according to the procedure described in Example 48 except that 3-fluorothiobenzamide was used instead of thiobenzamide. The title compound was isolated (35.4 mg, 59% yield) as a white solid; melting point 228° C.;1H-NMR (400 MHz; DMSO-d6) δ 8.62 (s, 2H), 8.48-8.53 (m, 3H), 7.94-8.01 (m, 2H), 7.58-7.70 (m, 4H), 7.42-7.48 (m, 1H); LC/MS (ESI+) m/z 334; H-PGDS FPBA IC50: >20 μM. The title compound was prepared according to the procedure described in Example 48 except that thionicotinamide was used instead of thiobenzamide. The title compound was isolated (30.2 mg, 53% yield) as an off-white solid; melting point 319° C.;1H-NMR (400 MHz; DMSO-d6) δ 9.39 (s, 2H), 9.38 (s, 1H), 8.81-8.84 (m, 1H), 8.69 (s, 1H), 8.59-8.64 (m, 1H), 8.48-8.54 (m, 2H), 7.72-7.77 (m, 1H), 7.59-7.64 (m, 3H); LC/MS (ESI+) m/z 317; H-PGDS FPBA IC50: 1 μM; H-PGDS inhibitor EIA IC50: 0.15 μM. The title compound was prepared according to the procedure described in Example 48 except that 2-phenylthioacetamide was used instead of thiobenzamide. The title compound was isolated (26 mg, 51% yield) as a pale yellow solid; melting point 170° C.;1H-NMR (400 MHz; DMSO-d6) δ 9.45 (s, 2H), 8.45-8.50 (m, 2H), 8.36 (s, 1H), 7.57-7.62 (m, 3H), 7.31-7.48 (m, 5H), 4.50 (s, 2H); LC/MS (ESI+) m/z 330; H-PGDS FPBA IC50: >20 μM. The title intermediate was prepared according to the procedure described in Example 48 except that tert-butyl 4-(aminocarbothioyl)tetrahydropyridine-1(2H)-carboxylate was used instead of thiobenzamide. The product was isolated (27 mg) as an off-white solid; LC/MS shows a mixture of title intermediate ((ESI+) m/z 423) and title (deprotected) compound ((ESI+) m/z 323). A mixture consisting of title intermediate (23 mg) and trifluoroacetic acid (500 μL) was stirred at room temperature for 20 minutes. The trifluoroacetic acid was removed yielding an off-white oil. Trituration with ethanol produced an off-white solid which was subsequently filtered and washed with ethanol to afford the title compound (23.5 mg, 85% yield) as a white solid; melting point 290° C.;1H-NMR (400 MHz; DMSO-d6) δ 9.50 (s, 2H), 8.50-8.58 (m, 2H), 8.45 (s, 1H), 7.60-7.65 (m, 3H), 3.32-3.59 (m, 4H), 3.08-3.20 (m, 2H), 2.30-2.39 (m, 2H), 1.94-2.07 (m, 2H); LC/MS (ESI+) m/z 323; H-PGDS FPBA IC50: 5 μM. In a sealed tube, cesium carbonate (1.95 g, 6.00 mmol), tert-butyl-4-thiazolecarboxylate (556 mg, 3.00 mmol; prepared according to the procedure described in To a solution consisting of lithium hydroxide monohydrate (0.38 g, 9.0 mmol) dissolved in ethanol (20 mL)/water (10 mL) was added tert-butyl 2-(2-phenylpyrimidin-5-yl)thiazole-4-carboxylate (Example 62, 705 mg, 3.0 mmol) in dry DMF (11 mL) and the mixture stirred at room temperature for 18 hours. Ethanol was removed under reduced pressure and the solution diluted with water and subsequently extracted with diethyl ether (2×30 mL). The aqueous phase was acidified with 2 N hydrochloric acid to pH2. The solid precipitate was filtered, washed with water and dried under high vacuum to give the title compound as an off-white solid (371 mg, 87% yield); Rf 0.15 with 9:1 v/v dichloromethane-methanol;1H-NMR (300 MHz; DMSO-d6) δ 9.39 (s, 2H), 8.63 (s, 1H), 8.44 (dd, 2H), 7.55 (m, 3H); MS (ESI+) m/z 284 (M+1); H-PGDS FPBA IC50: 1.1 μM. To a solution consisting of 2-(2-phenylpyrimidin-5-yl)thiazole-4-carboxylic acid (Example 63, 80 mg, 0.28 mmol) in dichloromethane (10 mL) was added EDAC (75 mg, 0.39 mmol) and HOBt (53 mg, 0.39 mmol) at 0° C. To this mixture was added 3-methoxypropylamine (25 mg, 0.28 mmol) dissolved in dichloromethane (2 mL) and diisopropylethylamine (0.52 mL, 390 mg, 3.0 mmol). The solution was allowed to reach room temperature and stirred for 18 hours. The solvent was evaporated away under reduced pressure and the residue was purified by silica gel flash chromatography (1:1 v/v hexane-ethyl acetate to 100% ethyl acetate gradient) through a 25-g Silicycle® flash silica cartridge. The title compound was obtained as an off-white solid (21 mg, 21% yield); Rf 0.70 with 4:1 v/v ethyl acetate-hexane; melting point 134-136° C.;1H-NMR (300 MHz; CDCl3) δ 9.31 (s, 2H), 8.52 (dd, 2H), 8.20 (s, 1H), 7.88 (br t, 1H), 7.53 (m, 3H), 3.62 (t, 2H); 3.59 (t, 2H); 3.41 (s, 3H), 1.96 (m, 2H); MS (ESI+) m/z 355 (M+1); H-PGDS FPBA IC50: 3.4 μM. To a solution consisting of 2-(2-phenylpyrimidin-5-yl)thiazole-4-carboxylic acid (Example 63, 172 mg, 0.61 mmol) in thionyl chloride (10 mL) was added one drop of dry DMF. The solution was heated at reflux for four hours and was subsequently allowed to reach room temperature and stirred for 18 hours. The thionyl chloride was evaporated away under reduced pressure and to the residue was added toluene (2×30 mL), which was evaporated and the residue subjected to high vacuum to remove residual thionyl chloride. The residue was dissolved in dichloromethane (10 mL) and 4-(2-aminoethyl)morpholine (51 mg, 0.051 mL, 0.40 mmol) was added followed by diisopropylethylamine (0.10 mL). The solution was stirred at room temperature for 18 hours. The solvent was removed under reduced pressure and the residue partitioned between water and diethyl ether. The organics were dried with anhydrous sodium sulfate, filtered, and concentrated. The residue was purified by silica gel flash chromatography (100% dichloromethane to 9:1 v/v dichloromethane-methanol gradient) through a 40-g Silicycle® flash silica cartridge. The title compound was obtained as an off-white solid (63 mg, 61% yield); Rf 0.70 with 9:1 v/v dichloromethane-methanol;1H-NMR (300 MHz; CDCl3) δ 9.30 (s, 2H), 8.51 (m, 2H), 8.20 (s, 1H), 7.88 (br t, 1H), 7.53 (m, 3H), 3.77 (t, 4H); 3.61 (dt, 2H), 2.64 (t, 2H), 2.54 (t, 4H); MS (ESI+) m/z 396 (M+1); H-PGDS FPBA IC50: 2.5 μM. To a mixture consisting of 5-bromo-2-methylpyridine (Chem-Impex, 0.132 g, 0.770 mmol), palladium (II) acetate (Strem, 0.022 g, 0.032 mmol), tris(2-furyl)phosphine (TCl America, 0.015 g, 0.064 mmol) and potassium carbonate (0.177 g, 1.283 mmol) was added a solution consisting of 3-(1-benzyl-1H-imidazol-2-yl)pyridine (0.151 g, 0.642 mmol) in N,N-dimethylformamide (2 mL). The reaction mixture was brought to reflux at 140° C. while under a nitrogen atmosphere. After stirring for 16 hours at reflux the solution was cooled to room temperature. The reaction mixture was partitioned between ethyl acetate (120 mL) and saturated aqueous ammonium chloride (50 mL). The phases were separated and the organic layer was washed with brine (75 mL), and was subsequently dried over anhydrous magnesium sulfate. Concentration under reduced pressure afforded the crude product as an orange oil. The product was purified by flash silica column chromatography. Elution through a 80-g Silicycle® flash silica cartridge with gradient of 2% to 5% methanol in dichloromethane afforded the title intermediate (0.112 g, 53% yield); Rf 0.2 with 5:95 v/v methanol-dichloromethane; MS (APCl+) m/z 327.3 (M+1); H-PGDS FPBA IC50: >10 μM. To a solution consisting of 5-(1-benzyl-2-(pyridin-3-yl)-1H-imidazol-5-yl)-2-methylpyridine (0.112 g, 0.343 mmol) in methanol (27 mL) was added ammonium formate (Aldrich, 0.216 g, 12.7 mmol) and 10% palladium on carbon (Alfa Aesar, 0.135 g). The reaction mixture was brought to reflux at 70° C. for 16 hours. After cooling the solution to room temperature, the crude reaction mixture was filtered through a 45 μM syringe filter and was rinsed with additional methanol. Concentration of the filtrate afforded a yellow oil. The product was purified by flash silica column chromatography and eluted through a 25-g Silicycle® flash silica cartridge with 10:90 v/v methanol-dichloromethane. After combining all fractions containing product and removing the solvents, the title compound precipitated from dichloromethane as a white solid (0.013 g, 16% yield); Rf 0.50 with 90:10 v/v dichloromethane-methanol; melting point 237-239° C.;1H-NMR (400 MHz; MeOH-d4) δ 9.11 (d, 1H), 8.85 (d, 2H), 8.56 (dd, 1H), 8.36 (m, 1H) 8.13 (dd, 1H), 7.69 (s, 1H), 7.56 (m, 1H), 7.33 (d, 1H), 2.54 (s, 3H); MS (ESI+); H-PGDS FPBA IC50: >10 μM. The title compound is prepared by the method described in Example 1, except that (5-bromopyrimidin-2-yl)(phenyl)methanone (prepared according to the procedure described in WO 2008/121670 p. 94) is used instead of 5-bromo-2-phenylpyrimidine and 3-(1-benzyl-1H-imidazol-2-yl)pyridine is used instead of 1-benzyl-2-phenyl-1H-imidazole in Step C. To a solution consisting of phenyl(5-(2-(pyridin-3-yl)-1H-imidazol-5-yl)pyrimidin-2-yl)methanone (Example 67) dissolved in methanol is added sodium borohydride (1 molar equivalent) at 0° C. The mixture is allowed to reach room temperature and is stirred one hour. The mixture is partitioned between ethyl acetate and water and the organics washed with brine, dried (Na2SO4), filtered and concentrated to afford the title compound. The title compound is prepared in a similar manner as described in The title compound is prepared in a similar manner described above using Buchwald-Hartwig amination conditions or as described in PCT International Application 2006/058338, 1 Jun. 2006. In this case, a solution consisting of 2-phenyl-5-(2-(piperidin-4-yl)-1H-imidazol-4-yl)pyrimidine and 6-chloropyridazine 1-oxide (preparation of this reagent can be found in PCT International Application 2007/106670, 20 Sep. 2007 and The title compound was prepared by the method described in Example 1, except that (i) commercially available 5-bromo-4-methyl-2-phenylthiazole (Apollo Scientific) was used instead of 5-bromo-2-phenylpyrimidine in Step C, and (ii) 3-(1-benzyl-1H-imidazol-2-yl)pyridine was used instead of 1-benzyl-2-phenyl-1H-imidazole in Step C. 3-(1-Benzyl-1H-imidazol-2-yl)pyridine was prepared by the procedure described in Example 8, Steps A and B except the commercially available 3-cyanopyridine was used instead of 3-fluorobenzonitrile; Rf 0.34 with 95:5 v/v dichloromethane-methanol;1H-NMR (400 MHz; DMSO-d6) δ 8.87 (dd, 1H), 8.64-8.63 (dd, 1H), 7.94-7.91 (m, 1H), 7.86-7.84 (m, 2H), 7.43-7.22 (m, 8H), 6.83-6.81 (m, 2H), 5.25 (s, 2H), 2.31 (s, 3H); MS (ESI+) m/z 409.1 (M+1); H-PGDS FPBA IC50: >20 μM. The title compound is prepared from 5-(1-benzyl-2-(pyridin-3-yl-1H-imidazol-5-yl)-4-methyl-2-phenylthiazole (Example 71) in a similar manner as described in Tetrazole compounds with the general structures 24a and 24b of the exemplary embodiments may be prepared using the general synthetic route described in Scheme 8. The title compounds were prepared from 2-phenyl-5-(1H-tetrazol-5-yl)pyrimidine (Example 43, 20 mg, 0.022 mmol) using iodomethane (500 μL, 8.0 mmol), triethylamine (330 μL, 2.37 mmol) in acetonitrile (3 mL). The reaction was heated to 40° C. for three hours. The reaction mixture was concentrated and purified by column chromatography using a gradient of 100% dichloromethane to 1:99 v/v methanol-dichloromethane affording the title compounds as white solids (73% total yield); Example 73A: 10.3 mg; melting point 228° C.;1H-NMR (400 MHz; CDCl3) δ 9.49 (s, 2H), 8.51-8.54 (m, 2H), 7.52-7.54 (m, 3H), 4.47 (s, 3H); LC/MS (ESI+) m/z 239; H-PGDS FPBA IC50: 10 μM; Example 73B: 3.1 mg; melting point 238° C.;1H-NMR (400 MHz; CDCl3) δ 9.23 (s, 2H), 8.54-8.56 (m, 2H), 7.55-7.57 (m, 3H), 4.30 (s, 3H); LC/MS (ESI+) m/z 239; H-PGDS FPBA IC50: 20 μM. This assay essentially is available from Cayman Chemical Company as Catalog item #600007. The test data reported for the aforementioned Examples (H-PGDS FPBA IC50) were generated using a 96-well, instead of the 384-well, format. Detection analyte and H-PGDS-MBP fusion enzyme were incubated in the presence of reduced glutathione (5 mM) for 60-90 minutes at room temperature and FP was measured using a TECAN SAFIRE 2 plate reader equipped with absorbance, fluorescence, fluorescence polarization and FRET capabilities. Assays were performed in 96-well microtiter plates in 100 μL of total sample volume. Excitation and emission wavelengths appropriate for the employed detection analyte were used. (i). Detection Analyte: H-PGDS FP Fluorescent Probe—Green FP buffer concentrate (4× (200 mM Tris pH8.0, 200 mM KCl, 20 mM CHAPS, 40 mM DTT), Cayman Chemical Catalog No. 600028, 6 mL) was diluted with deionized water (18 mL) to provide 1×FP buffer (24 mL). A solution consisting of 2-(6-hydroxy-3-oxo-3H-xanthen-9-yl)-5-(2-(3-((2-phenylpyrimidine-5-carboxamido)methyl)phenylsulfonamido)ethylcarbamoyl)benzoic acid in absolute ethanol (20 μL, 100 ug/mL) was diluted with 1×FP buffer (180 μL) to provide the H-PGDS FP fluorescent probe—green reagent. (ii). Enzyme: H-PGDS-MBP Fusion H-PGDS-Maltose binding protein (MBP; 100 ul, 0.5mg/ml) fusion was diluted with 1×FP buffer (900 μL). (iii). HQL-79 FP Positive Control Twelve clean microfuge tubes were labeled A1 through A12. A 5 mM 4-(diphenylmethoxy)-1-[3-(1H-tetrazol-5-yl)propyl-piperidine (HQL-79) in dimethyl sulfoxide (DMSO) solution (Cayman Chemical Catalog No. 600027, 100 μL) was added to tube A12. Dimethyl sulfoxide (50 μL) was added to each of tubes A1 through A11. The HQL-79 control solution was serially diluted by removing 50 μL from tube A12 and placing it in tube A11 with subsequent thorough mixing of the contents of tube A11. Next, 50 μL was removed from tube A11 and was placed into tube A10 with subsequent thorough mixing of the contents of tube A10. This process was repeated for tubes A9 through A2. (iv). Glutathione (GSH) Solution A 100 mM aqueous (deionized water) glutathione solution (1,500 μL in vial) was obtained from Cayman Chemical Company (Catalog No. 600029). Into a 50 mL conical tube was added the H-PGDS 1×FP buffer (18.65 mL), H-PGDS FP fluorescent probe—green (138 μL), H-PGDS-MBP fusion dilution (880 μL), and glutathione solution (1,250 μL). The cocktail prepared was enough for either a standard 96-well, 384-well, or higher density plate. A test compound may be dissolved in DMSO, ethanol, or methanol at several concentrations when the titration endpoint is unknown. A final volume of 5 μL is added to each inhibitor well. (i). Apportionment of the Assay Cocktail Assay cocktail (95 μL) was added to each plate well. (ii). Preparation of Maximum Binding (100% Activity) Wells DMSO (5 μL) from microfuge tube A1 was added to each plate well A1 and B1. (iii). Apportionment of HQL-79 Positive Control Solution Positive control solution (5 μL) from microfuge tube A2 was added to each plate well A2 and B2. Positive control solution (5 μL) from microfuge tube A3 was added to each plate well A3 and B3. This procedure was continued until all the positive control standard dilutions were aliquoted. (iv). Apportionment of Test Compound Solutions Test compound solutions (5 μL) were added to the wells. Each test compound concentration was typically assayed in duplicate or triplicate. The IC50 for a particular test compound was obtained by performing a full concentration titration versus a full concentration titration of positive control. Comparison of a single concentration of a test compound to the maximum binding well provided an assessment of the relative affinity of the test compound for H-PGDS-MBP. (v). Incubation The plate was covered and incubated for 60-90 minutes at room temperature. The FP signal is stable for at least two hours. (vi). Plate Reading Plates were read with excitation and emission wavelengths of 470 nm and 530 nm (for detection analyte comprising the fluorescein fluorophore), respectively. The measurements were taken in the fluorescent polarization mode with the z-height set to the middle of the well and the G-factor set to 1.13 on a Tecan Safire 2 reader. The assay detects and measures PGD2 generated by H-PGDS. The prostanoid product is quantified via enzyme immunoassay (EIA) using a specific PGD2 antibody. The assay is carried out by the following steps:
The final 5000 fold diluted samples are analyzed following the protocol outlined in Cayman Chemical's commercially available PGD2 EIA kit (Cat. #512021). 50 μL of diluted sample is analyzed at least in duplicate in the EIA assay and the amount of PGD2 formed is quantified using a standard curve. Other exemplary embodiments of the invention will become apparent from the detailed description provided hereinafter. It should be understood that the detailed description and specific examples, while disclosing exemplary embodiments of the invention, are intended for purposes of illustration only and are not intended to limit the scope of the invention.CROSS REFERENCE TO RELATED APPLICATIONS
FIELD OF THE INVENTION
BACKGROUND OF THE INVENTION
SUMMARY OF THE INVENTION
DETAILED DESCRIPTION OF THE INVENTION
wherein:
or a three- to ten-membered heterocycle; wherein any one nitrogen atom of any heterocycle containing one or more nitrogen atoms that may be substituted with a non-ring atom are substituted with —(CH2)qQ;
wherein:
or a three- to ten-membered heterocycle; wherein any one nitrogen atom of any heterocycle containing one or more nitrogen atoms that may be substituted with a non-ring atom are substituted with —(CH2)qQ;
wherein:
or a three- to ten-membered heterocycle; wherein any one nitrogen atom of any heterocycle containing one or more nitrogen atoms that may be substituted with a non-ring atom are substituted with —(CH2)qQ;
or an equivalent thereof, or an N-oxide thereof, or a pharmaceutically acceptable salt or solvate thereof.
all of E-geometry; or an equivalent thereof, or an N-oxide thereof, or a pharmaceutically acceptable salt or solvate thereof.
all of E-geometry, or an equivalent thereof, or an N-oxide thereof, or a pharmaceutically acceptable salt or solvate thereof.
all of E-geometry; or an equivalent thereof, or an N-oxide thereof, or a pharmaceutically acceptable salt or solvate thereof.
denote the point of attachment of a substituent.
represents undefined double bond geometry, in that the symbol allows for either cis (Z) or trans (E) geometry.
EXAMPLES
H-PGDS H-PGDS FPBA IC50 Inhibitor EIA Ex. R6 R7 Y3 (μM) IC50 (μM) 1 H H N 0.25 0.012 2 H H CH 0.48 0.097 3 H Me N 0.625 0.25 4 Me H N 0.45 0.082 Example 1
Preparation of 2-phenyl-5-(2-phenyl-1H-imidazol-5-yl)pyrimidine
Step A: Preparation of 5-bromo-2-phenylpyrimidine
Step B: Preparation of 1-benzyl-2-phenyl-1H-imidazole
Step C: Preparation of 5-(1-benzyl-2-phenyl-1H-imidazol-5-yl)-2-phenylpyrimidine
Step D: Preparation of 2-phenyl-5-(2-phenyl-1H-imidazol-5-yl)pyrimidine
Example 2
Preparation of 2-phenyl-5-(2-phenyl-1H-imidazol-5-yl)pyridine
Example 3
Preparation of 5-(1-methyl-2-phenyl-1H-imidazol-5-yl)-2-phenylpyrimidine
Example 4
Preparation of 5-(4-methyl-2-phenyl-1H-imidazol-5-yl)-2-phenylpyrimidine
H-PGDS H-PGDS FPBA IC50 Inhibitor EIA Ex. R2 R1 (μM) IC50 (μM) 5 H Ph 5 6 Ph 3-F-Ph 0.28 0.047 7 Ph 3,4-diOMe-Ph 3.5 8 3-F-Ph Ph 0.188 0.004 9 2-pyridyl Ph 0.125 0.053 10 3-pyridyl Ph 0.079 0.021 11 3-pyridyl 3-F-Ph 0.156 0.041 12 3-pyridyl 3-pyridyl 1.3 13 4-pyridyl Ph 0.125 0.075 14 Bn Ph 0.625 0.059 15 Ph 0.15 0.023 16 Ph 0.3 17 Ph 0.15 18 Ph 1.0 19 Ph 0.08 0.006 20 Ph 0.45 21 Ph 0.20 22 Ph 1.25 23 Ph 0.6 24 Ph 10 25 Ph 0.3 26 Ph 27 Ph 0.09 28 Ph 0.15 29 Ph 30 Ph 2 31 Ph Example 5
Preparation of 5-(1H-imidazol-5-yl)-2-phenylpyrimidine
Example 6
Preparation of 2-(3-fluorophenyl)-5-(2-phenyl-1H-imidazol-5-yl)pyrimidine
Example 7
Preparation of 2-(3,4-dimethoxyphenyl)-5-(2-phenyl-1H-imidazol-5-yl)pyrimidine
Example 8
Preparation of 5-(2-(3-fluorophenyl)-1H-imidazol-5-yl)-2-phenylpyrimidine
Step A: Preparation of 2-(3-fluorophenyl)-1H-imidazole
Step B: Preparation of 1-benzyl-2-(3-fluorophenyl)-1H-imidazole
Step C: Preparation of 5-(2-(3-fluorophenyl)-1H-imidazol-5-yl)-2-phenylpyrimidine
Example 9
Preparation of 2-phenyl-5-(2-(pyridin-2-yl)-1H-imidazol-5-yl)pyrimidine
Example 10
Preparation of 2-phenyl-5-(2-(pyridin-3-yl)-1H-imidazol-5-yl)pyrimidine
Example 11
Preparation of 2-(3-fluorophenyl)-5-(2-(pyridin-3-yl )-1H-imidazol-5-yl)pyrimidine
Example 12
Preparation of 2-(pyridin-3-yl)-5-(2-(pyridin-3-yl)-1H-imidazol-5-yl)pyrimidine
Example 13
Preparation of 2-phenyl-5-(2-(pyridin-4-yl)-1H-imidazol-5-yl)pyrimidine
Example 14
Preparation of 5-(2-benzyl-1H-imidazol-5-yl)-2-phenylpyrimidine
Step A: Preparation of 1-(2-phenylpyrimidin-5-yl)ethanone
Alternative preparation of 1-(2-phenylpyrimidin-5-yl)lethanone
Step i: Preparation of N-methoxy-N-methyl-2-phenylpyrimidine-5-carboxamide
Step ii: Preparation of 1-(2-phenylpyrimidin-5-yl)ethanone
Step B: Preparation of 2-bromo-1-(2-phenylpyrimidin-5-yl)ethanone
Step C: Preparation of 5-(2-benzyl-1H-imidazol-5-yl)-2-phenylpyrimidine
Example 15
Preparation of (E)-2-phenyl-5-(2-(2-(pyridin-3-yl)vinyl)-1H-imidazol-5-yl)pyrimidine
Example 16
Preparation of 2-phenyl-5-(2-(2-(pyridin-3-yl)ethyl)-1H-imidazol-5-yl)pyrimidine
Example 17
Preparation of tert-butyl 4-(5-(2-phenylpyrimidin-5-yl)-1H-imidazol-2-yl)piperidine-1-carboxylate
Example 18
Preparation of 2-phenyl-5-(2-(piperidin-4-yl)-1H-imidazol-5-yl)pyrimidine
Example 19
Preparation of 5-(2-(1-benzylpiperidin-4-yl)-1H-imidazol-5-yl)-2-phenylpyrimidine
Step A: Preparation of sodium 1-benzylpiperidine-4-carboxylate
Step B: Preparation of 5-(2-(1-benzylpiperidin-4-yl)-1H-imidazol-4-yl)-2-phenylpyrimidine
Example 20
Preparation of (4-(4-(2-phenylpyrimidin-5-yl)-1H-imidazol-2-yl)piperidin-1-yl)(pyridin-3-yl)methanone
To a 0° C. solution of 2-phenyl-5-(2-(piperidin-4-yl)-1H-imidazol-4-yl)pyrimidine (76 mg, 0.25 mmol) in tetrahydrofuran (4 mL) was added triethylamine (51 mg, 0.50 mmol) followed by nicotinoyl chloride (49 mg, 0.27 mmol) and the reaction mixture was stirred for 1 hour at 0° C. then allowed to warm to room temperature. The reaction was diluted with water and the organic material extracted three times with ethyl acetate. The combined organic phase was dried over magnesium sulfate, filtered, and concentrated under reduced pressure. The crude solid was chromatographed on silica (4 g) and eluted with ethanol-ethyl acetate to give the title compound as a solid; melting point 234° C.; Rf 0.31 with 0.5/10/40/50 acetic acid-isopropanol-hexane-dichloromethane; MS (ESI+) m/z 411 (M+1); H-PGDS FPBA IC50: 0.45 μM.
Example 21
Preparation of (±)-tert-butyl 3-(5-(2-phenylpyrimidin-5-yl)-1H-imidazol-2-yl)piperidine-1-carboxylate
Example 22
Preparation of (±)-2-phenyl-5-(2-(piperidin-3-yl)-1H-imidazol-5-yl)pyrimidine
Example 23
Preparation of (±)-5-(2-(1-benzylpiperidin-3-yl)-1H-imidazol-5-yl)-2-phenylpyrimidine
Example 24
Preparation of 2,2,2-trifluoro-1-(3-(4-(2-phenylpyrimidin-5-yl)-1H-imidazol-2-yl)piperidin-1-yl)ethanol
Examples 25A and 25B
Preparation of (±)-N-methyl-3-(1-(methylcarbamoyl)-4-(2-phenylpyrimidin-5-yl)-1H-imidazol-2-yl)piperidine-1-carboxamide (Example 25A) and (±)-N-methyl-3-(5-(2-phenylpyrimidin-5-yl)-1H-imidazol-2-yl)piperidine-1-carboxamide (Example 25B)
Example 26
Preparation of (±)-cyclopropyl(3-(5-(2-phenylpyrimidin-5-yl)-1H-imidazol-2-yl)piperidin-1-yl)methanone
Example 27
Preparation of (±)-2,2,2-trifluoro-1-(3-(4-(2-phenylpyrimidin-5-yl)-1H-imidazol-2-yl)piperidin-1-yl)ethanone
Example 28
Preparation of (±)-tert-butyl 3-(5-(2-phenylpyrimidin-5-yl)-1H-imidazol-2-yl)pyrrolidine-1-carboxylate
Example 29
Preparation of (±)-5-(2-(1-benzylpyrrolidin-3-yl)-1H-imidazol-5-yl)-2-phenylpyrimidine
Example 30
Preparation of (±)-2-phenyl-5-(2-(pyrrolidin-3-yl)-1H-imidazol-5-yl)pyrimidine
Example 31
Preparation of (±)-N-methyl-3-(4-(2-phenylpyrimidin-5-yl)-1H-imidazol-2-yl)pyrrolidine-1-carboxamide
H-PGDS H-PGDS Inhibitor Ex. R7 FPBA IC50 (μM) EIA IC50 (μM) 5 H 5 32 Me 7.6 33 Bn 2 Example 32
Preparation of 5-(1-methyl-1H-imidazol-5-yl)-2-phenyl pyrimidine
Example 33
Preparation of 5-(1-benzyl-1H-imidazol-5-yl)-2-phenylpyrimidine
H-PGDS H-PGDS Inhibitor Ex. Z1-(CH2)n FPBA IC50 (μM) EIA IC50 (μM) 5 H (Z1 = H, n = 0) 5 34 Bn (Z1 = Ph, n = 1) 4 35 Me (Z1 = H, n = 1) 36 (3-pyridyl)-CH2— 37 Example 34
Preparation of 5-(1-benzyl-1H-imidazol-4-yl)-2-phenylpyrimidine
Step A: Preparation of 2-phenyl-5-(1-trityl-1H-imidazol-4-yl)pyrimidine
Step B: Preparation of 5-(1H-imidazol-4-yl)-2-phenylpyrmidine
Step C: Preparation of 5-(1-benzyl-1H-imidazol-4-yl)-2-phenylpyrimidine
Example 35
Preparation of 5-(1-methyl-1H-imidazol-4-yl)-2-phenylpyrimidine
Example 36
Preparation of 5-(1-benzyl-1H-imidazol-4-yl)-2-phenylpyrimidine
Example 37
Preparation of 2-phenyl-5-(1-(1-(2,2,2-trifluoroethyl)piperidin-4-yl)-1H-imidazol-4-yl)pyrimidine
H-PGDS FPBA IC50 H-PGDS Inhibitor EIA IC50 Ex. R2 (μM) (μM) 38 Ph 4 39 Bn 10 40 3-pyridyl 0.625 0.37 Example 38
Preparation of 2-phenoxy-5-(2-phenyl-1H-imidazol-5-yl)pyrimidine
Step A: Preparation of 5-bromo-2-phenoxypyrimidine
Step B: Preparation of 1-(2-phenoxypyrimidin-5-yl)methanone
Step C: Preparation of 2-bromo-1-(2-phenoxypyrimidin-5-yl)ethanone
Step D: Preparation of 2-oxo-2-(2-phenoxypyrimidin-5-yl)ethyl benzoate
Step E: Preparation of 2-phenoxy-5-(2-phenyl-1H-imidazol-5-yl)pyrimidine
Example 39
Preparation of 5-(2-benzyl-1H-imidazol-4-yl)-2-phenoxypyrimidine
Step A: Preparation of 2-oxo-2-(2-phenoxypyrimidin-5-yl)ethyl 2-phenylacetate
Step B: Preparation of 5-(2-benzyl-1H-imidazol-4-yl)-2-phenoxypyrimidine
Example 40
Preparation of 2-phenoxy-5-(2-(pyridin-3-yl)-1H-imidazol-4-yl)pyrimidine
Step A: Preparation of 2-oxo-2-(2-phenoxypyrimidin-5-yl)ethyl nicotinate
Step B: Preparation of 2-phenoxy-5-(2-(pyridin-3-yl)-1H-imidazol-4-yl)pyrimidine
H-PGDS H-PGDS FPBA IC50 Inhibitor EIA Ex. U1 U2 U3 U4 (μM) IC50 (μM) 5 NH CH N CH 5 41 NH N CH CH 2.4 42 O CH CH N 7.8 43 NH N N N 2.5 Example 41
Preparation of 2-phenyl-5-(1H-pyrazol-3-yl)pyrimidine hydrochloride
Step A: Preparation of 2-phenyl-5-(1-(tetrahydro-2H-pyran-2-yl)-1H-pyrazol-5-yl)pyrimidine
Step B: Preparation of 2-phenyl-5-(1H-pyrazol-3-yl)pyrimidine hydrochloride
Example 42
Preparation of 2-(2-phenylpyrimidin-5-yl)oxazole
Example 43
Preparation of 2-phenyl-5-(1H-tetrazol-5-yl)pyrimidine
H-PGDS H-PGDS FPBA IC50 Inhibitor EIA Ex. U1 U3 U4 (μM) IC50 (μM) 1 NH N CH 0.25 0.012 44 (Step B) NBn CH N 15 44 NH CH N 2.8 45 CH N NH 1.5 46 O N CH 125 47 O CH N >20 48 N S CH >20 49 NH N N 1.0 0.084 Example 44
Preparation of 2-phenyl-5-(5-phenyl-1H-imidazol-2-yl)pyrimidine
Step A: Preparation of 1-benzyl-5-phenyl-1H-imidazole
Step B: Preparation of 5-(1-benzyl-5-phenyl-1H-imidazol-2-yl)-2-phenylpyrimidine
Step C: Preparation of 2-phenyl-5-(5-phenyl-1H-imidazol-2-yl)pyrimidine
Example 45
Preparation of 2-phenyl-5-(3-phenyl-1H-pyrazol-5-yl)pyrimidine
Example 46
Preparation of 2-phenyl-5-(2-phenylpyrimidin-5-yl)oxazole
Example 47
Preparation of 5-phenyl-2-(2-phenylpyrimidin-5-yl)oxazole
Step A: Preparation of N-(2-oxo-2-phenylethyl)-2-phenylpyrimidine-5-carboxamide
Step B: Preparation of 5-Phenyl-2-(2-phenylpyrimidin-5-yl)oxazole
Example 48
Preparation of 2-phenyl-4-(2-phenylpyrimidin-5-yl)thiazole
Example 49
Preparation of 2-phenyl-5-(5-phenyl-4H-1,2,4-triazol-3-yl)pyrimidine
Example 50
Preparation of 2-phenyl-5-(5-(pyridin-3-yl)-1H-1,2,4-triazol-3-yl)pyrimidine
Example 51
Preparation of 5-(1-methyl-5-(pyridin-3-yl)-1H-1,2,4-triazol-3-yl)-2-phenylpyrimidine
Example 52
Preparation of tert-butyl 4-(5-(2-phenylpyrimidin-5-yl)-2H-tetrazol-2-yl)piperidine-1-carboxylate
H-PGDS H-PGDS FPBA Inhibitor IC50 EIA IC50 Ex. R2 W (μM) (μM) 41 H bond 2.4 45 Ph bond 1.5 53 3-pyridyl bond 1.3 54 CO2Et O 1.3 0.13 55 CO2Me O 2 56 CO2H O 5 57 O 0.65 0.42 Example 53
Preparation of 2-phenyl-5-(3-(pyridin-3-yl)-1H-pyrazol-5-yl)pyrimidine
Example 54
Preparation of ethyl 5-(2-phenoxypyrimidin-5-yl)-1H-pyrazole-3-carboxylate
Step A: Preparation of ethyl 3-oxo-3-(2-phenoxypyrimidin-5-yl)propanoate
Step B: Preparation of ethyl 5-(2-phenoxypyrimidin-5-yl)-1H-pyrazole-3-carboxylate
Example 55
Preparation of methyl 5-(2-phenoxypyrimidin-5-yl)-1H-pyrazole-3-carboxylate
Example 56
Preparation of 5-(2-phenoxypyrimidin-5-yl)-1H-pyrazole-3-carboxylic acid
Example 57
Preparation of (4-methylpiperazin-1-yl)(5-(2-phenoxypyrimidin-5-yl)-1H-pyrazol-3-yl)methanone
H-PGDS H-PGDS FPBA IC50 Inhibitor EIA Ex. R2 (μM) IC50 (μM) 48 Ph >20 58 3-F-Ph >20 59 3-pyridyl 1 0.15 60 PhCH2— >20 61 5 Example 58
Preparation of 2-(3-fluorophenyl)-4-(2-phenylpyrimidin-5-yl)thiazole
Example 59
Preparation of 4-(2-phenylpyrimidin-5-yl)-2-(pyridin-3-yl)thiazole
Example 60
Preparation of 2-benzyl-4-(2-phenylpyrimidin-5-yl)thiazole
Example 61
Preparation of 4-(4-(2-phenylpyrimidin-5-yl)thiazol-2-yl)piperidinium 2,2,2-trifluoroacetate
Step A: Preparation of tert-butyl 4-(4-(2-phenylpyrimidin-5-yl)thiazol-2-yl)piperidine-1-carboxylate
Step B: Preparation of 4-(4-(2-phenylpyrimidin-5-yl)thiazol-2-yl)piperidinium 2,2,2-trifluoroacetate
H-PGDS H-PGDS FPBA IC50 Inhibitor EIA Ex. R2 (μM) IC50 (μM) 62 CO2tBu 5.9 63 CO2H 1.1 64 3.4 65 2.5 Example 62
Preparation of 2 tert-butyl 2-(2-phenylpyrimidin-5-yl)thiazole-4-carboxylate
Example 63
Preparation of 2-(2-Phenylpyrimidin-5-yl)thiazole-4-carboxylic acid
Example 64
Preparation of N-(3-methoxypropyl)-2-(2-phenylpyrimidin-5-yl)thiazole-4-carboxamide
Example 65
Preparation of N-(2-morpholinoethyl)-2-(2-phenylpyrimidin-5-yl)thiazole-4-carboxamide
Example 66
Preparation of 2-methyl-5-(2-(pyridin-3-yl)-1H-imidazol-5-yl)pyridine
Step A: Preparation of 5-(1-benzyl-2-(pyridin-3-yl)-1H-imidazol-5-yl)-2-methylpyridine
Step B: Preparation of 2-methyl-5-(2-(pyridin-3-yl)-1H-imidazol-5-yl)pyridine
Example 67
Preparation of phenyl(5-(2-(pyridin-3-yl)-1H-imidazol-5-yl)pyrimidin-2-yl)methanone
Example 68
Preparation of phenyl(5-(2-(pyridin-3-yl)-1H-imidazol-5-yl)pyrimidin-2-yl)methanol
Example 69
Preparation of 2-phenyl-5-(2-(1-(pyridin-3-yl)piperidin-4-yl)-1H-imidazol-4-yl)pyrimidine
Example 70
Preparation of 3-(4-(4-(2-phenylpyrimidin-5-yl)-1H-imidazol-2-yl)piperidin-1-yl)pyridazine
Example 71
Preparation of 5-(1-benzyl-2-(pyridin-3-yl)-1H-imidazol-5-yl)-4-methyl-2-phenylthiazole
Example 72
Preparation of 4-methyl-2-phenyl-5-(2-(pyridin-3-yl)-1H-imidazol-5-yl)thiazole
Example 73
Preparation of 5-(2-methyl-2H-tetrazol-5-yl)-2-phenylpyrimidine (A) and 5-(1-methyl-1H-tetrazol-5-yl)-2-phenylpyrimidine (B)
Example 73A Example 73B
Example 74
H-PGDS Fluorescence Polarization Binding Assay
Step A: Preparation of Reagents
Step B: Preparation of Assay Cocktail
Step C: Preparation of Test Compound Solutions
Step D: Assay Protocol (96-Well Plate Format)
Example 75
H-PGDS Inhibitor Enzyme Immunoassay