патент
№ US 0007932343
МПК C08G77/42

Biomaterial

Авторы:
Niall Behan Ashutosh Kumar BEHAN NIALL
Все (6)
Правообладатель:
Все (3)
Номер заявки
12488047
Дата подачи заявки
19.06.2009
Опубликовано
26.04.2011
Страна
US
Дата приоритета
15.12.2025
Номер приоритета
Страна приоритета
Как управлять
интеллектуальной собственностью
Чертежи 
8
Реферат

The present invention provides a triblock copolymer and a viscoelastic biostable foam comprising the same.

Формула изобретения

1. A viscoelastic biostable foam comprising a triblock copolymer of formula residue I

wherein:

each represents a point of attachment to a urethane or urea linkage;

each of X and Y is independently an ether, an ester, a carbonate, or a fluorohydrocarbon, or mixture thereof;

each of R1, R2, R3, R4, R5and R6is independently selected from one or more of R, OR, —CO2R, a fluorinated hydrocarbon, a polyether, a polyester or a fluoropolymer

each R is independently hydrogen, an optionally substituted C1-20aliphatic group, or an optionally substituted group selected from phenyl, 8-10 membered bicyclic aryl, a 4-8 membered monocyclic saturated or partially unsaturated heterocyclic ring having 1-2 heteroatoms independently selected from nitrogen, oxygen, or sulphur, or 5-6 membered monocyclic or 8-10 membered bicyclic heteroaryl group having 1-4 heteroatoms independently selected from nitrogen, oxygen, or sulfur;

each of m n and p is independently 2 to 100; and

each of L1and L2is independently a bivalent C1-20hydrocarbon chain wherein 1-4 methylene units of the hydrocarbon chain are optionally and independently replaced by —O—, —S—, —N(R)—, —C(O)—, —C(O)N(R)—, —N(R)C(O)—, —SO2— —SO2N(R)—, —N(R)SO2—, —OC(O)—, —C(O)O—, or a bivalent cycloalkylene, arylene, heterocyclene, or heteroarylene, provided that neither of L1nor L2comprises a urea or urethane moiety.

2. The viscoelastic biostable film according to claim 1 wherein the triblock copolymer residue is selected from:

3. The viscoelastic biostable foam according to claim 1, wherein at least one of (a), (b), (c), (d), (e), (f), (g) or (h) applies:

(a) said foam is stable to gastric fluid for at least 3 months, for at least 4 months, for at least 5 months, for at least 6 months, for at least 7 months, for at least 8 months, for at least 9 months, for at least 10 months, for at least 11 months, or for at least one year,

(b) said foam takes up less than about 5%, less than about 10%, less than about 15%, less than about 20%, less than about 25%, or less than about 30% by weight of water at equilibrium,

(c) said foam has an elongation capacity of about 200-1200%,

(d) said foam has a tensile strength of about 0.1 to about 1.0 MPa,

(e) said foam has a density of 0.1 to 1.5 g/cm3,

(f) said foam has a density of 0.3 to 1.2 g/cm3,

(g) said foam has a density of 0.8 to 0.9 g/cm3, or

(h) said foam has a density of 0.5 to 0.6 g/cm3.

4. The viscoelastic biostable foam according to claim 1, wherein X is selected from ethylene oxide, difluoromethyl ethylene oxide, trifluoromethyl ethylene oxide, propylene oxide, difluoromethyl propylene oxide, propylene oxide, trifluoromethyl propylene oxide, butylene oxide, tetramethylene ether glycol, tetrahydrofuran, oxymethylene, ether ketone, etherether ketone, dimethylsiloxane, diethylsiloxane, methyl phenyl siloxane, diphenyl siloxane, methyl di-fluoroethyl siloxane, methyl tri-fluoroethyl siloxane, phenyl di-fluoroethyl siloxane, phenyl tri-fluoroethyl siloxane, ethylene terephthalate, ethylene terephthalate ionomer, ethylene naphthalate, methylene naphthalate, butylene teraphalate, butylene naphthalate, or polycarbonate.

5. The viscoelastic biostable foam according to claim 4, wherein Y is selected from ethylene oxide, difluoromethyl ethylene oxide, trifluoromethyl ethylene oxide, propylene oxide, difluoromethyl propylene oxide, propylene oxide, trifluoromethyl propylene oxide, butylene oxide, tetramethylene ether glycol, tetrahydrofuran, oxymethylene, ether ketone, etherether ketone, dimethylsiloxane, diethylsiloxane, methyl phenyl siloxane, diphenyl siloxane, methyl di-fluoroethyl siloxane, methyl tri-fluoroethyl siloxane, phenyl di-fluoroethyl siloxane, phenyl tri-fluoroethyl siloxane, ethylene terephthalate, ethylene terephthalate ionomer, ethylene naphthalate, methylene naphthalate, butylene teraphalate, butylene naphthalate, or polycarbonate.

6. The viscoelastic biostable foam according to claim 5, wherein X and Y are the same and selected from ethylene oxide, difluoromethyl ethylene oxide, trifluoromethyl ethylene oxide, propylene oxide, difluoromethyl propylene oxide, propylene oxide, trifluoromethyl propylene oxide, butylene oxide, tetramethylene ether glycol, tetrahydrofuran, oxymethylene, ether ketone, etherether ketone, dimethylsiloxane, diethylsiloxane, methyl phenyl siloxane, diphenyl siloxane, methyl di-fluoroethyl siloxane, methyl tri-fluoroethyl siloxane, phenyl di-fluoroethyl siloxane, phenyl tri-fluoroethyl siloxane, ethylene terephthalate, ethylene terephthalate ionomer, ethylene naphthalate, methylene naphthalate, butylene teraphalate, butylene naphthalate, or polycarbonate.

7. The viscoelastic biostable foam according to claim 1, wherein X and Y are both the same.

8. The viscoelastic biostable foam according to claim 1 wherein X and Y are both an ether.

9. The viscoelastic biostable foam according to claim 1, wherein X and Y are both propylene oxide.

10. The viscoelastic biostable foam according to claim 1, wherein

(a) m and p are each independently between 2 and 50 and n is between 2 and 20,

(b) m and p are each independently between 2 and 30 and n is between 2 and 20, or

(c) each of m, n, and p are 8-16.

11. The viscoelastic biostable foam according to claim 1, wherein

(a) one or more of R1, R2, R3, R4, R5and R6is independently an optionally substituted C1-6alkyl,

(b) each of R1, R2, R3, R4, R5and R6is independently methyl, ethyl, propyl, isopropyl, cyclopropyl, butyl, isobutyl, or cyclobutyl,

(c) each of R1, R2, R3, R4, R5and R6is independently mono-, di-, tri, or perfluorinated methyl, ethyl, propyl, butyl, or phenyl, or

(d) each of R1, R2, R3, R4, R5and R6is independently methyl, ethyl, propyl, trifluoromethyl, trifluoroethyl, or trifluoropropyl.

12. The viscoelastic biostable foam according to claim 1 wherein at least one of (a), (b), (c), (d), (e) or (f) applies:

(a) each of L1and L2is independently a bivalent C1-20alkylene chain,

(b) each of L1and L2is independently a bivalent C1-10alkylene chain,

(c) each of L1and L2is independently a bivalent methylene, ethylene, propylene, or butylene chain,

(d) each of L1and L2is independently —OCH2—, —OCH2CH2—, —OCH2CH2CH2—, or —OCH2CH2CH2CH2—,

(e) each of L1and L2is independently a bivalent C1-6alkylene chain wherein at least one methylene unit of the chain is replaced by —O— and at least one methylene unit of the chain is replaced by a bivalent arylene, or

(f) each of L1and L2is independently —OCH2-phenylene-, —OCH2CH2-phenylene-, —OCH2CH2-phenylene-CH2—, or —OCH2CH2CH2CH2-phenylene-.

Описание

CROSS-REFERENCE TO RELATED APPLICATIONS

[0001]

The present application claims the benefit of U.S. provisional patent application Nos. 61/074,400, filed Jun. 20, 2008, and 61/181,043, filed May 26, 2009, the entire contents of both of which are incorporated herein by reference.

BACKGROUND OF THE INVENTION

[0002]

Polyurethane and polyurea polymers are well known in the art and have been in use for decades. With a wide variety of potential chemical structures and properties these polymers have found applications in many diverse fields. In recent years polyurethanes have been extensively used in biomedical applications due to their accepted biocompatibility.

[0003]

The structure of a polyurethane polymer can be generally described as a co-polymer with a soft segment and a hard segment. The hard segment generally has stiffer bonds than the soft segment, which is reflected in a higher glass transition temperature (Tg). The stiffness of the hard segment can be attributed to the presence of a urethane/urea group or oligomer. The molecular weight ratio of hard segment to soft segment has a critical impact on the mechanical properties of the final polymer as does the chemical nature of either segment.

[0004]

Historically, in the preparation of polyurethane polymers, chemists have used poly ethers as soft segments due to the mobility of their chains. Typical poly ether polymers are polyethylene oxide (PEO), polypropylene oxide (PPO) or the higher homologues.

[0005]

PEO and to a much lesser extent PPO can facilitate additional hydrogen bonding between segments thus yielding improved mechanical characteristics. Reduction in the ability of the soft segment to hydrogen bond with the hard segment has generally lead to poor tensile strengths.

[0006]

Polyethers also impart significant hydrophilicity to polyurethanes but the effect decreases with higher polyether homologues. The propensity for these materials to undergo hydrolytic, oxidative and enzymatic degradation increases with hydrophilicity.

[0007]

In more recent years alternative polymers have been used as soft segments to improve the biostability of polyurethanes but the mechanical properties of these have been limited.

[0008]

The hard segment of a polyurethane polymer is the region rich in urethane or urea linkages formed from the reaction of diisocyanate molecules. These may be a single urethane or urea linkage or may be multiple repeat units covalently bound via urethane or urea bonds.

[0009]

Diisocyanates can be divided into aromatic type and aliphatic type. The aromatic type is the preferred molecule. Aromatic diisocyanates yield bonds that have restricted rotation and thus low mobility due to their bulky nature. Such aromatic systems provide stiff chains to function as hard segments, which mechanically reinforce a polymer improving greatly the tensile properties of the polymer.

[0010]

Aliphatic diisocyanates on the other hand typically form bonds of greater mobility thus resulting in hard segments which do not contribute greatly to the mechanical properties on the final polymer.

[0011]

In recent years biostable polyurethanes have received a lot of attention and there are now several commercial products of this type that are designed for implantation in the body. These products tend to be solid elastomers of varying hardness.

[0012]

In order to achieve improvements in biostability varying proportions of the conventional and chemically labile polyether soft segments have been substituted with more robust molecules. Examples of improved soft segment molecules include polyolefins, polycarbonates and polysiloxanes.

[0013]

However, incorporation of such alternative soft segments into polyurethane formulations, reduces the ability of the soft segment to form hydrogen and other intermolecular bonds with neighbouring chains. This limits the elongation and tensile properties of the final material. In addition, because many of the new biostable soft segments are hydrophobic they induce incompatibility with aqueous reagents. Because foam formation in polyurethane chemistry involves reaction with water (water blowing) such reactions are not reliable currently with hydrophobic soft segments.

[0014]

In summary, there is an emerging trend towards more biostable commercial polyurethane materials utilising unconventional soft segments. However, all of the emerging materials are elastomers and no foams are available. In addition, because many of the newer soft segment materials do not hydrogen bond well they lack mechanical characteristics which are desirable for some applications.

SUMMARY OF THE INVENTION

[0015]

According to certain embodiments of the invention there is provided a triblock copolymer having a residue of formula I:

[0016]


wherein the copolymers are chemically interspersed (bound) between urethane and/or urea linkages and wherein each of X, Y, m, n, p, L1, L2, R1, R2, R3, R4, R5, and R6is as defined and described herein.

[0017]

In certain embodiments, the present invention provides a polyurethane/urea foam comprising a triblock copolymer of formula I as defined and described herein.

[0018]

In some embodiments, the present invention provides a pre-formed soft segment for a polyurethane/urea foam wherein the soft segment is of formula I as defined and described herein.

BRIEF DESCRIPTION OF THE DRAWINGS

[0019]

FIG. 1 is an illustration of prior art polymers with urea and urethane linkages interspersed between homopolymer soft segments;

[0020]

FIG. 2 is an illustration of a polyurethane/urea foam according to the invention with urea and urethane linkages interspersed between triblock copolymer soft segments;

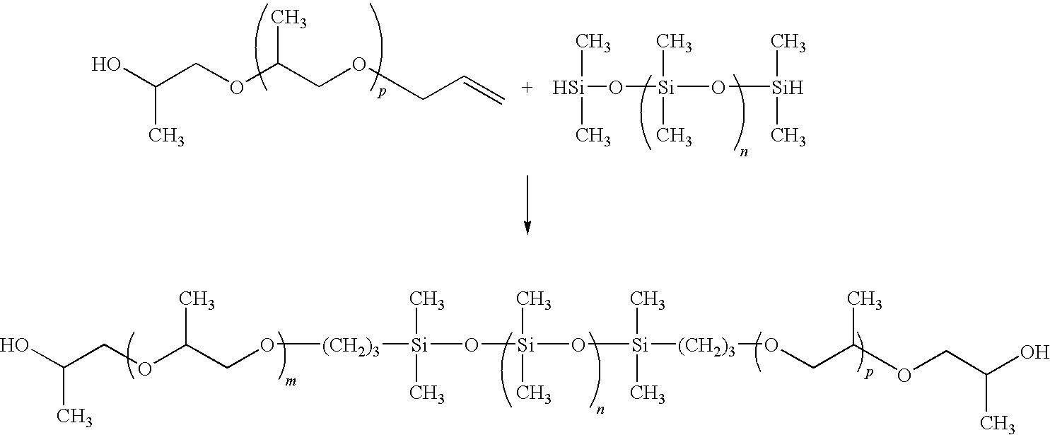
[0021]

FIG. 3 is an illustration of a siloxane and polypropylene oxide based triblock copolymer in different forms;

[0022]

FIG. 4 is a graph of comparative mechanical properties of homo (VF130309) and triblock copolymer (VF230209A) soft segments;

[0023]

FIG. 5 is a graph of comparative mechanical properties of homo (VF190309) and triblock copolymer (VF090309) soft segments; and

[0024]

FIG. 6 is a graph illustrating the mechanical performance of triblock co-polymer soft segments versus homopolymer soft segment during accelerated aging in simulated gastric fluid.

[0025]

FIG. 7 depicts a gastric yield pressure test apparatus as utilized in Example 10.

[0026]

FIG. 8A and FIG. 8B depict results of accelerated stability of a valve prepared from a viscoelastic foam of the present invention.

DETAILED DESCRIPTION OF CERTAIN EMBODIMENTS

1. General Description

[0027]

Use of polyethers as soft segments in polyurethane foams is know to result in soft elastic and viscoelastic materials due to the dynamic reinforcing effect of hydrogen bonding. Conversely, use of non-hydrogen bonding hydrophobic soft segments results in harder, less elastic material. Blending of such hydrophobic and hydrophilic homopolymer soft segments as shown in FIG. 1 via urethane/urea linkages is known in the art to achieve mechanical properties appropriate to specific applications.

[0028]

Acid catalysed hydrolytic degradation occurs at urethane linkages within polyurethane materials. These urethane/urea linkages are therefore the ‘weak-links’ of the polyurethane material. It follows that the intrinsic hydrophilicity of the polyurethane material will affect the rate of hydrolysis through modulation of water uptake. Thus, such materials are incompatible with use in a gastric environment (i.e., a highly acidic aqueous environment).

[0029]

Thus, in some embodiments, the present invention provides a multiblock co-polymer that is biomimetic and hydrolytically stable in a gastric environment. Such multiblock copolymer residues are of formula I:

[0030]


wherein:

  • each represents a point of attachment to a urethane or urea linkage;
  • each of X and Y is independently a polymer or co-polymer chain formed from one or more of a polyether, a polyester, a polycarbonate, or a fluoropolymer;
  • each of R1, R2, R3, R4, R5and R6is independently selected from one or more of R, OR, —CO2R, a fluorinated hydrocarbon, a polyether, a polyester or a fluoropolymer;
  • each R is independently hydrogen, an optionally substituted C1-20aliphatic group, or an optionally substituted group selected from phenyl, 8-10 membered bicyclic aryl, a 4-8 membered monocyclic saturated or partially unsaturated heterocyclic ring having 1-2 heteroatoms independently selected from nitrogen, oxygen, or sulphur, or 5-6 membered monocyclic or 8-10 membered bicyclic heteroaryl group having 1-4 heteroatoms independently selected from nitrogen, oxygen, or sulfur;
  • each of m n and p is independently 2 to 100; and
  • each of L1and L2is independently a bivalent C1-20hydrocarbon chain wherein 1-4 methylene units of the hydrocarbon chain are optionally and independently replaced by —O—, —S—, —N(R)—, —C(O)—, —C(O)N(R)—, —N(R)C(O)—, —SO2—, —SO2N(R)—, —N(R)SO2—, —OC(O)—, —C(O)O—, or a bivalent cycloalkylene, arylene, heterocyclene, or heteroarylene, provided that neither of L1nor L2comprises a urea or urethane moiety.

2. Definitions

[0037]

Compounds of this invention include those described generally above, and are further illustrated by the classes, subclasses, and species disclosed herein. As used herein, the following definitions shall apply unless otherwise indicated. For purposes of this invention, the chemical elements are identified in accordance with the Periodic Table of the Elements, CAS version, Handbook of Chemistry and Physics, 75thEd. Additionally, general principles of organic chemistry are described in “Organic Chemistry”, Thomas Sorrell, University Science Books, Sausalito: 1999, and “March's Advanced Organic Chemistry”, 5thEd., Ed.: Smith, M. B. and March, J., John Wiley & Sons, New York: 2001, the entire contents of which are hereby incorporated by reference.

[0038]

As described herein, compounds of the invention may optionally be substituted with one or more substituents, such as are illustrated generally above, or as exemplified by particular classes, subclasses, and species of the invention. It will be appreciated that the phrase “optionally substituted” is used interchangeably with the phrase “substituted or unsubstituted.” In general, the term “substituted”, whether preceded by the term “optionally” or not, refers to the replacement of hydrogen radicals in a given structure with the radical of a specified substituent. Unless otherwise indicated, an optionally substituted group may have a substituent at each substitutable position of the group, and when more than one position in any given structure may be substituted with more than one substituent selected from a specified group, the substituent may be either the same or different at every position. Combinations of substituents envisioned by this invention are preferably those that result in the formation of stable or chemically feasible compounds. The term “stable”, as used herein, refers to compounds that are not substantially altered when subjected to conditions to allow for their production, detection, and preferably their recovery, purification, and use for one or more of the purposes disclosed herein. In some embodiments, a stable compound or chemically feasible compound is one that is not substantially altered when kept at a temperature of 40° C. or less, in the absence of moisture or other chemically reactive conditions, for at least a week.

[0039]

The term “aliphatic” or “aliphatic group”, as used herein, denotes a hydrocarbon moiety that may be straight-chain (i.e., unbranched), branched, or cyclic (including fused, bridging, and spiro-fused polycyclic) and may be completely saturated or may contain one or more units of unsaturation, but which is not aromatic. Unless otherwise specified, aliphatic groups contain 1-20 carbon atoms. In some embodiments, aliphatic groups contain 1-10 carbon atoms. In other embodiments, aliphatic groups contain 1-8 carbon atoms. In still other embodiments, aliphatic groups contain 1-6 carbon atoms, and in yet other embodiments aliphatic groups contain 1-4 carbon atoms. Suitable aliphatic groups include, but are not limited to, linear or branched, alkyl, alkenyl, and alkynyl groups, and hybrids thereof such as (cycloalkyl)alkyl, (cycloalkenyl)alkyl or (cycloalkyl)alkenyl.

[0040]

The term “lower alkyl” refers to a C1-4straight or branched alkyl group. Exemplary lower alkyl groups are methyl, ethyl, propyl, isopropyl, butyl, isobutyl, and tert-butyl.

[0041]

The term “lower haloalkyl” refers to a C1-4straight or branched alkyl group that is substituted with one or more halogen atoms.

[0042]

The term “heteroatom” means one or more of oxygen, sulfur, nitrogen, phosphorus, or silicon (including, any oxidized form of nitrogen, sulfur, phosphorus, or silicon; the quaternized form of any basic nitrogen or; a substitutable nitrogen of a heterocyclic ring, for example N (as in 3,4-dihydro-2H-pyrrolyl), NH (as in pyrrolidinyl) or NR+ (as in N-substituted pyrrolidinyl)).

[0043]

The term “unsaturated”, as used herein, means that a moiety has one or more units of unsaturation.

[0044]

As used herein, the term “bivalent C1-8[or C1-6] saturated or unsaturated, straight or branched, hydrocarbon chain”, refers to bivalent alkylene, alkenylene, and alkynylene chains that are straight or branched as defined herein.

[0045]

The term “alkylene” refers to a bivalent alkyl group. An “alkylene chain” is a polymethylene group, i.e., —(CH2)n—, wherein n is a positive integer, preferably from 1 to 6, from 1 to 4, from 1 to 3, from 1 to 2, or from 2 to 3. A substituted alkylene chain is a polymethylene group in which one or more methylene hydrogen atoms are replaced with a substituent. Suitable substituents include those described below for a substituted aliphatic group.

[0046]

The term “alkenylene” refers to a bivalent alkenyl group. A substituted alkenylene chain is a polymethylene group containing at least one double bond in which one or more hydrogen atoms are replaced with a substituent. Suitable substituents include those described below for a substituted aliphatic group.

[0047]

The term “halogen” means F, Cl, Br, or I.

[0048]

The term “aryl” used alone or as part of a larger moiety as in “aralkyl”, “aralkoxy”, or “aryloxyalkyl”, refers to monocyclic or bicyclic ring systems having a total of five to fourteen ring members, wherein at least one ring in the system is aromatic and wherein each ring in the system contains 3 to 7 ring members. The term “aryl” may be used interchangeably with the term “aryl ring”.

[0049]

As described herein, compounds of the invention may contain “optionally substituted” moieties. In general, the term “substituted”, whether preceded by the term “optionally” or not, means that one or more hydrogens of the designated moiety are replaced with a suitable substituent. Unless otherwise indicated, an “optionally substituted” group may have a suitable substituent at each substitutable position of the group, and when more than one position in any given structure may be substituted with more than one substituent selected from a specified group, the substituent may be either the same or different at every position. Combinations of substituents envisioned by this invention are preferably those that result in the formation of stable or chemically feasible compounds. The term “stable”, as used herein, refers to compounds that are not substantially altered when subjected to conditions to allow for their production, detection, and, in certain embodiments, their recovery, purification, and use for one or more of the purposes disclosed herein.

[0050]

Suitable monovalent substituents on a substitutable carbon atom of an “optionally substituted” group are independently halogen; —(CH2)0-4R; —(CH2)0-4OR; —O—(CH2)0-4C(O)OR; —(CH2)0-4CH(OR)2; —(CH2)0-4SR; —(CH2)0-4Ph, which may be substituted with R; —(CH2)0-4O(CH2)0-1Ph which may be substituted with R; —CH═CHPh, which may be substituted with R; —NO2; —CN; —N3; —(CH2)0-4N(R)2; —(CH2)0-4N(R)C(O)R; —N(R)C(S)R; —(CH2)0-4N(R)C(O)NR2; —N(R)C(S)NR2; —(CH2)0-4N(R)C(O)OR; —N(R)N(R)C(O)R; —N(R)N(R)C(O)NR2; —N(R)N(R)C(O)OR; —(CH2)0-4C(O)R; —C(S)R; —(CH2)0-4C(O)OR; —(CH2)0-4C(O)SR; —(CH2)0-4C(O)OSiR3; —(CH2)0-4OC(O)R; —OC(O)(CH2)0-4SR—, SC(S)SR; —(CH2)0-4SC(O)R; —(CH2)0-4C(O)NR2; —C(S)NR2; —C(S)SR; —SC(S)SR, —(CH2)0-4OC(O)NR2; —C(O)N(OR)R; —C(O)C(O)R; —C(O)CH2C(O)R; —C(NOR)R; —(CH2)0-4SSR; —(CH2)0-4S(O)2R; —(CH2)0-4S(O)2OR; —(CH2)0-4OS(O)2R; —S(O)2NR2; —(CH2)0-4S(O)R; —N(R)S(O)2NR2; —N(R)S(O)2R; —N(OR)R; —C(NH)NR2; —P(O)2R; —P(O)R2; —OP(O)R2; —OP(O)(OR)2; SiR3; —(C1-4straight or branched alkylene)O—N(R)2; or —(C1-4straight or branched alkylene)C(O)O—N(R)2, wherein each R may be substituted as defined below and is independently hydrogen, C1-6aliphatic, —CH2Ph, —O(CH2)0-1Ph, or a 5-6-membered saturated, partially unsaturated, or aryl ring having 0-4 heteroatoms independently selected from nitrogen, oxygen, or sulfur, or, notwithstanding the definition above, two independent occurrences of R, taken together with their intervening atom(s), form a 3-12-membered saturated, partially unsaturated, or aryl mono- or bicyclic ring having 0-4 heteroatoms independently selected from nitrogen, oxygen, or sulfur, which may be substituted as defined below.

[0051]

Suitable monovalent substituents on R (or the ring formed by taking two independent occurrences of R together with their intervening atoms), are independently halogen, —(CH2)0-2R, -(haloR), —(CH2)0-2OH, —(CH2)0-2OR, —(CH2)0-2CH(OR)2; —O(haloR), —CN, —N3, —(CH2)0-2C(O)R, —(CH2)0-2C(O)OH, —(CH2)0-2C(O)OR, —(CH2)0-2SR, —(CH2)0-2SH, —(CH2)0-2NH2, —(CH2)0-2NHR, —(CH2)0-2NR2, —NO2, —SiR3, —OSiR3, —C(O)SR, —(C1-4straight or branched alkylene)C(O)OR, or —SSR wherein each R is unsubstituted or where preceded by “halo” is substituted only with one or more halogens, and is independently selected from C1-4aliphatic, —CH2Ph, —O(CH2)0-1Ph, or a 5-6-membered saturated, partially unsaturated, or aryl ring having 0-4 heteroatoms independently selected from nitrogen, oxygen, or sulfur. Suitable divalent substituents on a saturated carbon atom of R include ═O and ═S.

[0052]

Suitable divalent substituents on a saturated carbon atom of an “optionally substituted” group include the following: ═O, ═S, ═NNR*2, ═NNHC(O)R*, ═NNHC(O)OR*, ═NNHS(O)2R*, ═NR*, ═NOR*, —O(C(R*2))2-3O—, or —S(C(R*2))2-3S—, wherein each independent occurrence of R* is selected from hydrogen, C1-6aliphatic which may be substituted as defined below, or an unsubstituted 5-6-membered saturated, partially unsaturated, or aryl ring having 0-4 heteroatoms independently selected from nitrogen, oxygen, or sulfur. Suitable divalent substituents that are bound to vicinal substitutable carbons of an “optionally substituted” group include: —O(CR*2)2-3O—, wherein each independent occurrence of R* is selected from hydrogen, C1-6aliphatic which may be substituted as defined below, or an unsubstituted 5-6-membered saturated, partially unsaturated, or aryl ring having 0-4 heteroatoms independently selected from nitrogen, oxygen, or sulfur.

[0053]

Suitable substituents on the aliphatic group of R* include halogen, —R, -(haloR), —OH, —OR, —O(haloR), —CN, —C(O)OH, —C(O)OR, —NH2, —NHR, —NR2, or —NO2, wherein each R is unsubstituted or where preceded by “halo” is substituted only with one or more halogens, and is independently C1-4aliphatic, —CH2Ph, —O(CH2)0-1Ph, or a 5-6-membered saturated, partially unsaturated, or aryl ring having 0-4 heteroatoms independently selected from nitrogen, oxygen, or sulfur.

[0054]

Suitable substituents on a substitutable nitrogen of an “optionally substituted” group include —R, —NR2, —C(O)R, —C(O)OR, —C(O)C(O)R, —C(O)CH2C(O)R, —S(O)2R, —S(O)2NR2, —C(S)NR2, —C(NH)NR2, or —N(R)S(O)2R; wherein each R is independently hydrogen, C1-6aliphatic which may be substituted as defined below, unsubstituted —OPh, or an unsubstituted 5-6-membered saturated, partially unsaturated, or aryl ring having 0-4 heteroatoms independently selected from nitrogen, oxygen, or sulfur, or, notwithstanding the definition above, two independent occurrences of R, taken together with their intervening atom(s) form an unsubstituted 3-12-membered saturated, partially unsaturated, or aryl mono- or bicyclic ring having 0-4 heteroatoms independently selected from nitrogen, oxygen, or sulfur.

[0055]

Suitable substituents on the aliphatic group of R are independently halogen, —R, -(haloR), —OH, —OR, —O(haloR), —CN, —C(O)OH, —C(O)OR, —NH2, —NHR, —NR2, or —NO2, wherein each R is unsubstituted or where preceded by “halo” is substituted only with one or more halogens, and is independently C1-4aliphatic, —CH2Ph, —O(CH2)0-1Ph, or a 5-6-membered saturated, partially unsaturated, or aryl ring having 0-4 heteroatoms independently selected from nitrogen, oxygen, or sulfur.

3. Description of Exemplary Embodiments

[0056]

A. Multiblock Copolymers

[0057]

As described generally above, one embodiment of the present invention provides a triblock copolymer having a residue of formula I:

[0058]


wherein the copolymers are chemically interspersed (bound) between urethane and/or urea linkages (i.e., at the bond designated with ) and wherein each of X, Y, m, n, p, L1, L2, R1, R2, R3, R4, R5, and R6is as defined and described herein.

[0059]

As defined generally above, the each of X and Y groups of formula I is independently a polymer or co-polymer chain formed from one or more of a polyether, a polyester, a polycarbonate, and a fluoropolymer.

[0060]

Examples of polymer or co-polymer chains represented by X and/or Y include: poly(ethylene oxide), poly(difluoromethyl ethylene oxide), poly(trifluoromethyl ethylene oxide), poly(propylene oxide), poly(difluoromethyl propylene oxide), poly(propylene oxide), poly(trifluoromethyl propylene oxide), poly(butylene oxide), poly(tetramethylene ether glycol), poly(tetrahydrofuran), poly(oxymethylene), poly(ether ketone), poly(etherether ketone) and copolymers thereof, poly(dimethylsiloxane), poly(diethylsiloxane) and higher alkyl siloxanes, poly(methyl phenyl siloxane), poly(diphenyl siloxane), poly(methyl di-fluoroethyl siloxane), poly(methyl tri-fluoroethyl siloxane), poly(phenyl di-fluoroethyl siloxane), poly(phenyl tri-fluoroethyl siloxane) and copolymers thereof, poly(ethylene terephthalate) (PET), poly(ethylene terephthalate ionomer) (PETI), poly(ethylene naphthalate) (PEN), poly(methylene naphthalate) (PTN), poly(butylene teraphalate) (PBT), poly(butylene naphthalate) (PBN), polycarbonate.

[0061]

In certain embodiments, the present invention provides a pre-formed soft segment for a polyurethane/urea foam

[0062]

In some embodiments X is a polyether and Y is a polyether. More specifically in one case X and Y are both poly(propylene oxide).

[0063]

In certain embodiments, m and p are each independently between 2 and 50 and n is between 2 and 20. In some embodiments, m and p are each independently between 2 and 30 and n is between 2 and 20.

[0064]

As defined generally above, each of R1, R2, R3, R4, R5and R6is independently selected from one or more of R, OR, —CO2R, a fluorinated hydrocarbon, a polyether, a polyester or a fluoropolymer. In some embodiments, one or more of R1, R2, R3, R4, R5and R6is —CO2R. In some embodiments, one or more of R1, R2, R3, R4, R5and R6is —CO2R wherein each R is independently an optionally substituted C1-6aliphatic group. In certain embodiments, one or more of R1, R2, R3, R4, R5and R6is —CO2R wherein each R is independently an unsubstituted C1-6alkyl group. Exemplary such groups include methanoic or ethanoic acid as well as methacrylic acid and other acrylic acids.

[0065]

In certain embodiments, one or more of R1, R2, R3, R4, R5and R6is independently R. In some embodiments, one or more of R1, R2, R3, R4, R5and R6is an optionally substituted C1-6aliphatic group. In certain embodiments, one or more of R1, R2, R3, R4, R5and R6is an optionally substituted C1-6alkyl. In other embodiments, one or more of R1, R2, R3, R4, R5and R6is an optionally substituted group selected from phenyl, 8-10 membered bicyclic aryl, a 4-8 membered monocyclic saturated or partially unsaturated heterocyclic ring having 1-2 heteroatoms independently selected from nitrogen, oxygen, or sulphur, or 5-6 membered monocyclic or 8-10 membered bicyclic heteroaryl group having 1-4 heteroatoms independently selected from nitrogen, oxygen, or sulphur. Exemplary such R1, R2, R3, R4, R5and R6groups include methyl, ethyl, propyl, isopropyl, cyclopropyl, butyl, isobutyl, cyclobutyl, phenyl, pyridyl, morpholinyl, pyrrolidinyl, imidazolyl, and cyclohexyl.

[0066]

In certain embodiments, one or more of R1, R2, R3, R4, R5and R6is independently —OR. In some embodiments, one or more of R1, R2, R3, R4, R5and R6is —OR wherein R is an optionally substituted C1-6aliphatic group. In certain embodiments, one or more of R1, R2, R3, R4, R5and R6is —OR wherein R is C1-6alkyl. In other embodiments, one or more of R1, R2, R3, R4, R5and R6is —OR wherein R is an optionally substituted group selected from phenyl, 8-10 membered bicyclic aryl, a 4-8 membered monocyclic saturated or partially unsaturated heterocyclic ring having 1-2 heteroatoms independently selected from nitrogen, oxygen, or sulphur, or 5-6 membered monocyclic or 8-10 membered bicyclic heteroaryl group having 1-4 heteroatoms independently selected from nitrogen, oxygen, or sulphur. Exemplary such R1, R2, R3, R4, R5and R6groups include -Omethyl, -Oethyl, -Opropyl, -Oisopropyl, -Ocyclopropyl, -Obutyl, -Oisobutyl, -Ocyclobutyl, -Ophenyl, -Opyridyl, -Omorpholinyl, -Opyrrolidinyl, -Oimidazolyl, and -Ocyclohexyl.

[0067]

In certain embodiments, one or more of R1, R2, R3, R4, R5and R6is independently R wherein each R is a C1-6aliphatic group substituted with one or more halogens. In some embodiments, each R is C1-6aliphatic substituted with one, two, or three halogens. In other embodiments, each R is a perfluorinated C1-6aliphatic group. Examples of fluorinated hydrocarbons represented by R1, R2, R3, R4, R5and R6include mono-, di-, tri, or perfluorinated methyl, ethyl, propyl, butyl, or phenyl. In some embodiments, each of R1, R2, R3, R4, R5and R6is trifluoromethyl, trifluoroethyl, or trifluoropropyl.

[0068]

In certain embodiments, one or more of R1, R2, R3, R4, R5and R6is independently a polyether. Examples of polyethers represented by R1, R2, R3, R4, R5and R6include poly(ethylene oxide), poly(difluoromethyl ethylene oxide), poly(trifluoromethyl ethylene oxide), poly(propylene oxide), poly(difluoromethyl propylene oxide), poly(propylene oxide), poly(trifluoromethyl propylene oxide), poly(butylene oxide), poly(tetramethylene ether glycol), poly(tetrahydrofuran), poly(oxymethylene), poly(ether ketone), poly(etherether ketone) and copolymers thereof.

[0069]

In certain embodiments, one or more of R1, R2, R3, R4, R5and R6is independently a polyester. Examples of polyesters represented by R1, R2, R3, R4, R5and R6include poly(ethylene terephthalate) (PET), poly(ethylene terephthalate ionomer) (PETI), poly(ethylene naphthalate) (PEN), poly(methylene naphthalate) (PTN), poly(butylene teraphalate) (PBT), poly(butylene naphthalate) (PBN), polycarbonate.

[0070]

In certain embodiments, one or more of R1, R2, R3, R4, R5and R6is independently a fluoropolymer. Examples of fluoropolymers represented by R1, R2, R3, R4, R5and R6include poly(tetrafluoroethylene), poly(methyl di-fluoroethyl siloxane), poly(methyl tri-fluoroethyl siloxane), poly(phenyl di-fluoroethyl siloxane).

[0071]

In some embodiments, R1, R2, R3, R4, R5and R6is independently hydrogen, hydroxyl, carboxylic acids such as methanoic or ethanoic acid as well as methacrylic acid and other acrylic acids. Alkyl or aryl hydrocarbons such as methyl, ethyl, propyl, butyl, phenyl and ethers thereof. Fluorinated hydrocarbons such as mono-, di-, tri, or perfluorinated methyl, ethyl, propyl, butyl, phenyl. Polyether such as Poly(ethylene oxide), poly(difluoromethyl ethylene oxide), poly(trifluoromethyl ethylene oxide), poly(propylene oxide), poly(difluoromethyl propylene oxide), poly(propylene oxide), poly(trifluoromethyl propylene oxide), poly(butylene oxide), poly(tetramethylene ether glycol), poly(tetrahydrofuran), poly(oxymethylene), poly(ether ketone), poly(etherether ketone) and copolymers thereof. Polyesters such as Poly(ethylene terephthalate) (PET), poly(ethylene terephthalate ionomer) (PETI), poly(ethylene naphthalate) (PEN), poly(methylene naphthalate) (PTN), Poly(Butylene Teraphalate) (PBT), poly(butylene naphthalate) (PBN), polycarbonate and fluoropolymer such as Poly(tetrafluoroethylene), poly(methyl di-fluoroethyl siloxane), poly(methyl tri-fluoroethyl siloxane), poly(phenyl di-fluoroethyl siloxane)

[0072]

In some embodiments, m and p are between 2 and 50 and n is between 2 and 20. In certain embodiments, m and o are between 2 and 30 and n is between 2 and 20.

[0073]

As defined generally above, each of L1and L2is independently a bivalent C1-20hydrocarbon chain wherein 1-4 methylene units of the hydrocarbon chain are optionally and independently replaced by —O—, —S—, —N(R)—, —C(O)—, —C(O)N(R)—, —N(R)C(O)—, —SO2—, —SO2N(R)—, —N(R)SO2—, —OC(O)—, —C(O)O—, or a bivalent cycloalkylene, arylene, heterocyclene, or heteroarylene, provided that neither of L1nor L2comprises a urea or urethane moiety. In some embodiments, each of L1and L2is independently a bivalent C1-20alkylene chain. In certain embodiments, each of L1and L2is independently a bivalent C1-10alkylene chain. In certain embodiments, each of L1and L2is independently a bivalent C1-6alkylene chain. In certain embodiments, each of L1and L2is independently a bivalent C1-4alkylene chain. Exemplary such L1and L2groups include methylene, ethylene, propylene, butylene or higher bivalent alkanes.

[0074]

In some embodiments, each of L1and L2is independently a bivalent C1-20alkylene chain wherein one methylene unit of the chain is replaced by —O—. In some embodiments, each of L1and L2is independently a bivalent C1-10alkylene chain wherein one methylene unit of the chain is replaced by —O—. In some embodiments, each of L1and L2is independently a bivalent C1-6alkylene chain wherein one methylene unit of the chain is replaced by —O—. In some embodiments, each of L1and L2is independently a bivalent C1-4alkylene chain wherein one methylene unit of the chain is replaced by —O—. Exemplary such L1and L2groups include —OCH2—, —OCH2CH2—, —OCH2CH2CH2—, —OCH2CH2CH2CH2—, or higher bivalent alkylene ethers.

[0075]

In some embodiments, each of L1and L2is independently a bivalent C1-20alkylene chain wherein at least one methylene unit of the chain is replaced by —O— and at least one methylene unit of the chain is replaced by a bivalent arylene. In some embodiments, each of L1and L2is independently a bivalent C1-10alkylene chain wherein at least one methylene unit of the chain is replaced by —O— and at least one methylene unit of the chain is replaced by a bivalent arylene. In some embodiments, each of L1and L2is independently a bivalent C1-6alkylene chain wherein at least one methylene unit of the chain is replaced by —O— and at least one methylene unit of the chain is replaced by a bivalent arylene. In some embodiments, each of L1and L2is independently a bivalent C1-4alkylene chain wherein at least one methylene unit of the chain is replaced by —O— and at least one methylene unit of the chain is replaced by a bivalent arylene. Exemplary such L1and L2groups include —OCH2-phenylene-, —OCH2CH2-phenylene-, —OCH2CH2-phenylene-CH2—, —OCH2CH2CH2CH2-phenylene-, and the like.

[0076]

One of ordinary skill in the art would understand that a polyurethane results from the reaction of a diisocyanate and a hydroxyl group. Similarly, a polyurea results from the reaction of a diisocyanate and an amine. Each of these reactions is depicted below.

[0077]

[0078]

Thus, it is readily apparent that provided compounds of formula I can be functionalized with end groups suitable for forming urethane and/or urea linkages. In certain embodiments, the present invention provides a compound of formula II:

[0079]


wherein:

  • each of Rxand Ryis independently —OH, —NH2, a protected hydroxyl or a protected amine;
  • each of X and Y is independently a polymer or co-polymer chain formed from one or more of a polyether, a polyester, a polycarbonate, and a fluoropolymer;
  • each of R1, R2, R3, R4, R5and R6is independently selected from one or more of R, OR, —CO2R, a fluorinated hydrocarbon, a polyether, a polyester or a fluoropolymer;
  • each R is independently hydrogen, an optionally substituted C1-20aliphatic group, or an optionally substituted group selected from phenyl, 8-10 membered bicyclic aryl, a 4-8 membered monocyclic saturated or partially unsaturated heterocyclic ring having 1-2 heteroatoms independently selected from nitrogen, oxygen, or sulphur, or 5-6 membered monocyclic or 8-10 membered bicyclic heteroaryl group having 1-4 heteroatoms independently selected from nitrogen, oxygen, or sulfur;
  • each of m n and p is independently 2 to 100; and
  • each of L1and L2is independently a bivalent C1-20hydrocarbon chain wherein 1-4 methylene units of the hydrocarbon chain are optionally and independently replaced by —O—, —S—, —N(R)—, —C(O)—, —C(O)N(R)—, —N(R)C(O)—, —SO2—, —SO2N(R)—, —N(R)SO2—, —OC(O)—, —C(O)O—, or a bivalent cycloalkylene, arylene, heterocyclene, or heteroarylene, provided that neither of L1nor L2comprises a urea or urethane moiety.

[0086]

In some embodiments, each of X, Y, m, n, p, L1, L2, R1, R2, R3, R4, R5, and R6is as defined and described herein.

[0087]

As defined generally above, each of Rxand Ryis independently —OH, —NH2, a protected hydroxyl or a protected amine. In some embodiments, both of Rxand Ryare —OH. In other embodiments, both of Rxand Ryare —NH2. In some embodiments one of Rxand Ryis —OH and the other is —NH2.

[0088]

In some embodiments, each of Rxand Ryis independently a protected hydroxyl or a protected amine. Such protected hydroxyl and protected amine groups are well known to one of skill in the art and include those described in detail in Protecting Groups in Organic Synthesis, T. W. Greene and P. G. M. Wuts, 3rd edition, John Wiley & Sons, 1999, the entirety of which is incorporated herein by reference. Exemplary protected amines include methyl carbamate, ethyl carbamante, 9-fluorenylmethyl carbamate (Fmoc), 9-(2-sulfo)fluorenylmethyl carbamate, 9-(2,7-dibromo)fluoroenylmethyl carbamate, 2,7-di-t-butyl-[9-(10,10-dioxo-10,10,10,10-tetrahydrothioxanthyl)]methyl carbamate (DBD-Tmoc), 4-methoxyphenacyl carbamate (Phenoc), 2,2,2-trichloroethyl carbamate (Troc), 2-trimethylsilylethyl carbamate (Teoc), 2-phenylethyl carbamate (hZ), 1-(1-adamantyl)-1-methylethyl carbamate (Adpoc), 1,1-dimethyl-2-haloethyl carbamate, 1,1-dimethyl-2,2-dibromoethyl carbamate (DB-t-BOC), 1,1-dimethyl-2,2,2-trichloroethyl carbamate (TCBOC), 1-methyl-1-(4-biphenylyl)ethyl carbamate (Bpoc), 1-(3,5-di-t-butylphenyl)-1-methylethyl carbamate (t-Bumeoc), 2-(2′- and 4′-pyridyl)ethyl carbamate (Pyoc), 2-(N,N-dicyclohexylcarboxamido)ethyl carbamate, t-butyl carbamate (BOC), 1-adamantyl carbamate (Adoc), vinyl carbamate (Voc), allyl carbamate (Alloc), 1-isopropylallyl carbamate (Ipaoc), cinnamyl carbamate (Coc), 4-nitrocinnamyl carbamate (Noc), 8-quinolyl carbamate, N-hydroxypiperidinyl carbamate, alkyldithio carbamate, benzyl carbamate (Cbz), p-methoxybenzyl carbamate (Moz), p-nitobenzyl carbamate, p-bromobenzyl carbamate, p-chlorobenzyl carbamate, 2,4-dichlorobenzyl carbamate, 4-methylsulfinylbenzyl carbamate (Msz), 9-anthrylmethyl carbamate, diphenylmethyl carbamate, 2-methylthioethyl carbamate, 2-methylsulfonylethyl carbamate, 2-(p-toluenesulfonyl)ethyl carbamate, [2-(1,3-dithianyl)]methyl carbamate (Dmoc), 4-methylthiophenyl carbamate (Mtpc), 2,4-dimethylthiophenyl carbamate (Bmpc), 2-phosphonioethyl carbamate (Peoc), 2-triphenylphosphonioisopropyl carbamate (Ppoc), 1,1-dimethyl-2-cyanoethyl carbamate, m-chloro-p-acyloxybenzyl carbamate, p-(dihydroxyboryl)benzyl carbamate, 5-benzisoxazolylmethyl carbamate, 2-(trifluoromethyl)-6-chromonylmethyl carbamate (Tcroc), m-nitrophenyl carbamate, 3,5-dimethoxybenzyl carbamate, o-nitrobenzyl carbamate, 3,4-dimethoxy-6-nitrobenzyl carbamate, phenyl(o-nitrophenyl)methyl carbamate, phenothiazinyl-(10)-carbonyl derivative, N′-p-toluenesulfonylaminocarbonyl derivative, N′-phenylaminothiocarbonyl derivative, t-amyl carbamate, S-benzyl thiocarbamate, p-cyanobenzyl carbamate, cyclobutyl carbamate, cyclohexyl carbamate, cyclopentyl carbamate, cyclopropylmethyl carbamate, p-decyloxybenzyl carbamate, 2,2-dimethoxycarbonylvinyl carbamate, o-(N,N-dimethylcarboxamido)benzyl carbamate, 1,1-dimethyl-3-(N,N-dimethylcarboxamido)propyl carbamate, 1,1-dimethylpropynyl carbamate, di(2-pyridyl)methyl carbamate, 2-furanylmethyl carbamate, 2-iodoethyl carbamate, isoborynl carbamate, isobutyl carbamate, isonicotinyl carbamate, p-(p′-methoxyphenylazo)benzyl carbamate, 1-methylcyclobutyl carbamate, 1-methylcyclohexyl carbamate, 1-methyl-1-cyclopropylmethyl carbamate, 1-methyl-1-(3,5-dimethoxyphenyl)ethyl carbamate, 1-methyl-1-(p-phenylazophenyl)ethyl carbamate, 1-methyl-1-phenylethyl carbamate, 1-methyl-1-(4-pyridyl)ethyl carbamate, phenyl carbamate, p-(phenylazo)benzyl carbamate, 2,4,6-tri-t-butylphenyl carbamate, 4-(trimethylammonium)benzyl carbamate, 2,4,6-trimethylbenzyl carbamate, formamide, acetamide, chloroacetamide, trichloroacetamide, trifluoroacetamide, phenylacetamide, 3-phenylpropanamide, picolinamide, 3-pyridylcarboxamide, N-benzoylphenylalanyl derivative, benzamide, p-phenylbenzamide, o-nitophenylacetamide, o-nitrophenoxyacetamide, acetoacetamide, (N′-dithiobenzyloxycarbonylamino)acetamide, 3-(p-hydroxyphenyl)propanamide, 3-(o-nitrophenyl)propanamide, 2-methyl-2-(o-nitrophenoxy)propanamide, 2-methyl-2-(o-phenylazophenoxy)propanamide, 4-chlorobutanamide, 3-methyl-3-nitrobutanamide, o-nitrocinnamide, N-acetylmethionine derivative, o-nitrobenzamide, o-(benzoyloxymethyl)benzamide, 4,5-diphenyl-3-oxazolin-2-one, N-phthalimide, N-dithiasuccinimide (Dts), N-2,3-diphenylmaleimide, N-2,5-dimethylpyrrole, N-1,1,4,4-tetramethyldisilylazacyclopentane adduct (STABASE), 5-substituted 1,3-dimethyl-1,3,5-triazacyclohexan-2-one, 5-substituted 1,3-dibenzyl-1,3,5-triazacyclohexan-2-one, 1-substituted 3,5-dinitro-4-pyridone, N-methylamine, N-allylamine, N-[2-(trimethylsilyl)ethoxy]methylamine (SEM), N-3-acetoxypropylamine, N-(1-isopropyl-4-nitro-2-oxo-3-pyroolin-3-yl)amine, quaternary ammonium salts, N-benzylamine, N-di(4-methoxyphenyl)methylamine, N-5-dibenzosuberylamine, N-triphenylmethylamine (Tr), N-[(4-methoxyphenyl)diphenylmethyl]amine (MMTr), N-9-phenylfluorenylamine (PhF), N-2,7-dichloro-9-fluorenylmethyleneamine, N-ferrocenylmethylamino (Fcm), N-2-picolylamino N′-oxide, N-1,1-dimethylthiomethyleneamine, N-benzylideneamine, N-p-methoxybenzylideneamine, N-diphenylmethyleneamine, N-[(2-pyridyl)mesityl]methyleneamine, N-(N′,N′-dimethylaminomethylene)amine, N,N′-isopropylidenediamine, N-p-nitrobenzylideneamine, N-salicylideneamine, N-5-chlorosalicylideneamine, N-(5-chloro-2-hydroxyphenyl)phenylmethyleneamine, N-cyclohexylideneamine, N-(5,5-dimethyl-3-oxo-1-cyclohexenyl)amine, N-borane derivative, N-diphenylborinic acid derivative, N-[phenyl(pentacarbonylchromium- or tungsten)carbonyl]amine, N-copper chelate, N-zinc chelate, N-nitroamine, N-nitrosoamine, amine N-oxide, diphenylphosphinamide (Dpp), dimethylthiophosphinamide (Mpt), diphenylthiophosphinamide (Ppt), dialkyl phosphoramidates, dibenzyl phosphoramidate, diphenyl phosphoramidate, benzenesulfenamide, o-nitrobenzenesulfenamide (Nps), 2,4-dinitrobenzenesulfenamide, pentachlorobenzenesulfenamide, 2-nitro-4-methoxybenzenesulfenamide, triphenylmethylsulfenamide, 3-nitropyridinesulfenamide (Npys), p-toluenesulfonamide (Ts), benzenesulfonamide, 2,3,6,-trimethyl-4-methoxybenzenesulfonamide (Mtr), 2,4,6-trimethoxybenzenesulfonamide (Mtb), 2,6-dimethyl-4-methoxybenzenesulfonamide (Pme), 2,3,5,6-tetramethyl-4-methoxybenzenesulfonamide (Mte), 4-methoxybenzenesulfonamide (Mbs), 2,4,6-trimethylbenzenesulfonamide (Mts), 2,6-dimethoxy-4-methylbenzenesulfonamide (iMds), 2,2,5,7,8-pentamethylchroman-6-sulfonamide (Pmc), methanesulfonamide (Ms), β-trimethylsilylethanesulfonamide (SES), 9-anthracenesulfonamide, 4-(4′,8′-dimethoxynaphthylmethyl)benzenesulfonamide (DNMBS), benzylsulfonamide, trifluoromethylsulfonamide, and phenacylsulfonamide.

[0089]

Exemplary hydroxyl protecting groups include methyl, methoxylmethyl (MOM), methylthiomethyl (MTM), t-butylthiomethyl, (phenyldimethylsilyl)methoxymethyl (SMOM), benzyloxymethyl (BOM), p-methoxybenzyloxymethyl (PMBM), (4-methoxyphenoxy)methyl (p-AOM), guaiacolmethyl (GUM), t-butoxymethyl, 4-pentenyloxymethyl (POM), siloxymethyl, 2-methoxyethoxymethyl (MEM), 2,2,2-trichloroethoxymethyl, bis(2-chloroethoxy)methyl, 2-(trimethylsilyl)ethoxymethyl (SEMOR), tetrahydropyranyl (THP), 3-bromotetrahydropyranyl, tetrahydrothiopyranyl, 1-methoxycyclohexyl, 4-methoxytetrahydropyranyl (MTHP), 4-methoxytetrahydrothiopyranyl, 4-methoxytetrahydrothiopyranyl S,S-dioxide, 1-[(2-chloro-4-methyl)phenyl]-4-methoxypiperidin-4-yl (CTMP), 1,4-dioxan-2-yl, tetrahydrofuranyl, tetrahydrothiofuranyl, 2,3,3a,4,5,6,7,7a-octahydro-7,8,8-trimethyl-4,7-methanobenzofuran-2-yl, 1-ethoxy ethyl, 1-(2-chloroethoxy)ethyl, 1-methyl-1-methoxy ethyl, 1-methyl-1-benzyloxy ethyl, 1-methyl-1-benzyloxy-2-fluoroethyl, 2,2,2-trichloroethyl, 2-trimethylsilylethyl, 2-(phenylselenyl)ethyl, t-butyl, allyl, p-chlorophenyl, p-methoxyphenyl, 2,4-dinitrophenyl, benzyl, p-methoxybenzyl, 3,4-dimethoxybenzyl, o-nitrobenzyl, p-nitrobenzyl, p-halobenzyl, 2,6-dichlorobenzyl, p-cyanobenzyl, p-phenylbenzyl, 2-picolyl, 4-picolyl, 3-methyl-2-picolyl N-oxido, diphenylmethyl, p,p′-dinitrobenzhydryl, 5-dibenzosuberyl, triphenylmethyl, α-naphthyldiphenylmethyl, p-methoxyphenyldiphenylmethyl, di(p-methoxyphenyl)phenylmethyl, tri(p-methoxyphenyl)methyl, 4-(4′-bromophenacyloxyphenyl)diphenylmethyl, 4,4′,4″-tris(4,5-dichlorophthalimidophenyl)methyl, 4,4′,4″-tris(levulinoyloxyphenyl)methyl, 4,4′,4″-tris(benzoyloxyphenyl)methyl, 3-(imidazol-1-yl)bis(4′,4″-dimethoxyphenyl)methyl, 1,1-bis(4-methoxyphenyl)-1′-pyrenylmethyl, 9-anthryl, 9-(9-phenyl)xanthenyl, 9-(9-phenyl-10-oxo)anthryl, 1,3-benzodithiolan-2-yl, benzisothiazolyl S,S-dioxido, trimethylsilyl (TMS), triethylsilyl (TES), triisopropylsilyl (TIPS), dimethylisopropylsilyl (IPDMS), diethylisopropylsilyl (DEIPS), dimethylthexylsilyl, t-butyldimethylsilyl (TBDMS), t-butyldiphenylsilyl (TBDPS), tribenzylsilyl, tri-p-xylylsilyl, triphenylsilyl, diphenylmethylsilyl (DPMS), t-butylmethoxyphenylsilyl (TBMPS), formate, benzoylformate, acetate, chloroacetate, dichloroacetate, trichloroacetate, trifluoroacetate, methoxyacetate, triphenylmethoxyacetate, phenoxyacetate, p-chlorophenoxyacetate, 3-phenylpropionate, 4-oxopentanoate (levulinate), 4,4-(ethylenedithio)pentanoate (levulinoyldithioacetal), pivaloate, adamantoate, crotonate, 4-methoxycrotonate, benzoate, p-phenylbenzoate, 2,4,6-trimethylbenzoate (mesitoate), alkyl methyl carbonate, 9-fluorenylmethyl carbonate (Fmoc), alkyl ethyl carbonate, alkyl 2,2,2-trichloroethyl carbonate (Troc), 2-(trimethylsilyl)ethyl carbonate (TMSEC), 2-(phenylsulfonyl)ethyl carbonate (Psec), 2-(triphenylphosphonio) ethyl carbonate (Peoc), alkyl isobutyl carbonate, alkyl vinyl carbonate alkyl allyl carbonate, alkyl p-nitrophenyl carbonate, alkyl benzyl carbonate, alkyl p-methoxybenzyl carbonate, alkyl 3,4-dimethoxybenzyl carbonate, alkyl o-nitrobenzyl carbonate, alkyl p-nitrobenzyl carbonate, alkyl S-benzyl thiocarbonate, 4-ethoxy-1-napththyl carbonate, methyl dithiocarbonate, 2-iodobenzoate, 4-azidobutyrate, 4-nitro-4-methylpentanoate, o-(dibromomethyl)benzoate, 2-formylbenzenesulfonate, 2-(methylthiomethoxy)ethyl, 4-(methylthiomethoxy)butyrate, 2-(methylthiomethoxymethyl)benzoate, 2,6-dichloro-4-methylphenoxyacetate, 2,6-dichloro-4-(1,1,3,3-tetramethylbutyl)phenoxyacetate, 2,4-bis(1,1-dimethylpropyl)phenoxy acetate, chlorodiphenylacetate, isobutyrate, monosuccinoate, (E)-2-methyl-2-butenoate, o-(methoxycarbonyl)benzoate, α-naphthoate, nitrate, alkyl N,N,N′,N′-tetramethylphosphorodiamidate, alkyl N-phenylcarbamate, borate, dimethylphosphinothioyl, alkyl 2,4-dinitrophenylsulfenate, sulfate, methanesulfonate (mesylate), benzylsulfonate, and tosylate (Ts). For protecting 1,2- or 1,3-diols, the protecting groups include methylene acetal, ethylidene acetal, 1-t-butylethylidene ketal, 1-phenylethylidene ketal, (4-methoxyphenyl)ethylidene acetal, 2,2,2-trichloroethylidene acetal, acetonide, cyclopentylidene ketal, cyclohexylidene ketal, cycloheptylidene ketal, benzylidene acetal, p-methoxybenzylidene acetal, 2,4-dimethoxybenzylidene ketal, 3,4-dimethoxybenzylidene acetal, 2-nitrobenzylidene acetal, methoxymethylene acetal, ethoxymethylene acetal, dimethoxymethylene ortho ester, 1-methoxyethylidene ortho ester, 1-ethoxyethylidine ortho ester, 1,2-dimethoxyethylidene ortho ester, α-methoxybenzylidene ortho ester, 1-(N,N-dimethylamino)ethylidene derivative, α-(N,N′-dimethylamino)benzylidene derivative, 2-oxacyclopentylidene ortho ester, di-t-butylsilylene group (DTBS), 1,3-(1,1,3,3-tetraisopropyldisiloxanylidene) derivative (TIPDS), tetra-t-butoxydisiloxane-1,3-diylidene derivative (TBDS), cyclic carbonates, cyclic boronates, ethyl boronate, and phenyl boronate.

[0090]

One of ordinary skill in the art will appreciate that the choice of hydroxyl and amine protecting groups can be such that these groups are removed at the same time (e.g., when both protecting groups are acid labile or base labile). Alternatively, such groups can be removed in a step-wise fashion (e.g., when one protecting group is removed first by one set of removal conditions and the other protecting group is removed second by a different set of removal conditions). Such methods are readily understood by one of ordinary skill in the art.

[0091]

In certain embodiments, the present invention provides a compound of any of formulae II-a, II-b, II-c, and II-d:

[0092]


wherein each of X, Y, m, n, p, L1, L2, R1, R2, R3, R4, R5, and R6is as defined and described herein.

[0093]

Exemplary triblock copolymers of the present invention are set forth below:

[0094]


wherein each of m, n, and p is as defined and described herein.

[0095]

In some embodiments, the present invention provides a polymer foam, comprising:

    • (a) one or more triblock copolymer residues of formula I:

[0097]

    • wherein each of X, Y, m, n, p, L1, L2, R1, R2, R3, R4, R5, and R6is as defined and described herein; and
    • (b) wherein the copolymers are chemically interspersed (bound) between urethane and/or urea linkages (i.e., at the bond designated with ).

[0100]

The invention further provides a pre-formed soft segment of the formula I as defined above. In some embodiments, the present invention provides a polyurethane/urea foam comprising a soft segment triblock copolymer of formula I.

[0101]

In some embodiments, the present invention provides a viscoelastic biostable water blown foam, comprising:

    • (a) one or more triblock copolymer residues of formula I:

[0103]

    • wherein each of X, Y, m, n, p, L1, L2, R1, R2, R3, R4, R5, and R6is as defined and described herein; and
    • (b) wherein the copolymers are chemically interspersed (bound) between urethane and/or urea linkages (i.e., at the bond designated with ).

[0106]

It has been surprisingly found that polyurethanes and/or polyureas comprising a triblock copolymer of the present invention are stable to gastric fluid. Such polyurethanes and polyureas prepared using triblock copolymers of the present invention are viscoelastic and stable to gastric fluid. In some embodiments, a provided viscoelastic material is a foam.

[0107]

In certain embodiments, a provided biostable foam is stable to gastric fluid. In some embodiments, a provided biostable foam is stable to gastric fluid for at least one year. In some embodiments, a provided biostable foam is stable to gastric fluid for at least 3 months, for at least 4 months, for at least 5 months, for at least 6 months, for at least 7 months, for at least 8 months, for at least 9 months, for at least 10 months, for at least 11 months, or for at least one year. Methods for determining stability of a provided biostable foam are known in the art utilizing simulated gastric fluid and include those described in detail in the Exemplification, infra.

[0108]

In some embodiments, a provided viscoelastic foam, comprising a triblock co-polymer of the present invention, is characterized in that the foam takes up less than about 30% by weight of water at equilibrium. In certain embodiments, a provided viscoelastic foam takes up less than about 5%, less than about 10%, less than about 15%, less than about 20%, less than about 25%, or less than about 30% by weight of water at equilibrium. One of ordinary skill in the art will appreciate that such chemical stability (i.e., in gastric fluid and therefore at very low pH) and hyrophobicity (i.e., water uptake of less than about 30% by weight) are characterisitics that differ dramatically from known siloxane polymers that are utilized in, e.g., the manufacture of contact lenses. For example, siloxane polymer that are utilized in, e.g., the manufacture of contact lenses require a water uptake of 50-120%).

[0109]

As described above, the present invention provides a viscoelastic foam comprising a triblock copolymer of the present invention. It was surprisingly found that a provided foam has a high elongation capacity and the ability to recover very slowly following elongation. Indeed, it was found that a provided viscoelastic foam has an elongation capacity of about 200-1200%. In some embodiments, a provided viscoelastic foam has an elongation capacity of about 500%.

[0110]

In some embodiments, a provided viscoelastic foam has a tensile strength of about 0.1 to about 1.0 MPa. In certain embodiments, a provided viscoelastic foam has a tensile strength of about 0.25 to about 0.5 MPa.

[0111]

In some embodiments, a provided viscoelastic foam has a Young's Modulus of about 0.1 to about 0.6 MPa. In certain embodiments, a provided viscoelastic foam has a Young's Modulus of about 0.1 to about 0.5 MPa.

[0112]

One of ordinary skill in the art will appreciate that, depending upon the physical characteristics required for a particular use of a provided foam, a foam of varying densities can be prepared. For example, a valve having a thinner wall would require a foam having a higher density than a similar valve having a thicker wall in order to result in each valve having a similar physical characteristic (e.g., tensile strength, and the like). Thus, in certain embodiments, a provided viscoelastic foam has a density of 0.1 to 1.5 g/cm3. In certain embodiments, a provided viscoelastic foam has a density of 0.3 to 1.2 g/cm3. In certain embodiments, a provided viscoelastic foam has a density of 0.8 to 0.9 g/cm3. In some embodiments, a provided viscoelastic foam has a density of 0.5 to 0.6 g/cm3.

[0113]

In certain embodiments, the present invention provides polyether-siloxane and polyether-fluorosiloxane polyurethane materials with a greatly reduced number of weak-links as illustrated by FIG. 2 and FIG. 3. This was achieved by preforming the soft segment prior to the polyurethane reaction. In the examples below a triblock copolymer based on polydimethyl siloxane and polypropylene oxide was used but it will be appreciated that other triblock copolymers such as those formed from polysiloxanes and poly(ethylene oxide), poly(difluoromethyl ethylene oxide), poly(trifluoromethyl ethylene oxide), poly(propylene oxide), poly(difluoromethyl propylene oxide), poly(propylene oxide), poly(trifluoromethyl propylene oxide), poly(butylene oxide), poly(tetramethylene ether glycol), poly(tetrahydrofuran), poly(oxymethylene), poly(ether ketone), poly(etherether ketone) and copolymers thereof, poly(dimethylsiloxane), poly(diethylsiloxane) and higher alkyl siloxanes, poly(methyl phenyl siloxane), poly(diphenyl siloxane), poly(methyl di-fluoroethyl siloxane), poly(methyl tri-fluoroethyl siloxane), poly(phenyl di-fluoroethyl siloxane), poly(phenyl tri-fluoroethyl siloxane) and copolymers thereof, poly(ethylene terephthalate) (PET), poly(ethylene terephthalate ionomer) (PETI), poly(ethylene naphthalate) (PEN), poly(methylene naphthalate) (PTN), poly(butylene teraphalate) (PBT), poly(butylene naphthalate) (PBN) and polycarbonate could be used.

[0114]

Referring to FIG. 2, copolymers of the form ABA, ABC and BAB were produced from homopolymers of polysiloxane and polypropylene oxide which were covalently linked using bonds less labile than urethane/urea. The molecular weight and chemical characteristics of such homopolymers were tailored to achieve a pre-soft-segment with the appropriate balance of hydrophilicity/hydrophobicity. Without wishing to be bound by any particular theory, it is believe that by using a non-urethane linked tri-block copolymer instead of the constituent homopolymers as soft segments that the mechanical characteristics and hydrolytic stability of the resulting material is substantially improved.

[0115]

In some embodiments, the present invention provides a foam comprising a copolymer of the present invention. Such foams offer specific advantages over solid elastomers, especially for gastrointestinal device applications. These advantages include enhanced biostability in the gastric environment, compressibility, viscoelasticity and high ‘surface area to volume ratio’. The foam formulations of the invention can mimic mechanical characteristics of the native gastrointestinal tissue.

[0116]

A biostable water blown foam was prepared from heterogenous reagents.

[0117]

The prior art describes polyurethane foams that are prepared by the sequential reaction of polymer chains to one another resulting in a high molecular weight solid material. In all cases the polymeric precursors described in the art are linked together by urethane/urea linkages as illustrated in FIG. 1. However, each urethane/urea linkage is a possible site for degradation.

[0118]

In the invention we have prepared a biostable polyurethane/urea foam with much fewer ‘weak links’ by using co-polymer precursors as shown in FIG. 2.

[0119]

Polyurethane reactions have historically been carried out in a single phase due to ease of processing. However, we have made novel materials by combining physically heterogenous reaction pre-cursors together to form a stable two-phase dispersion (‘water-in-oil’) which was then reacted to form a foam.

EXEMPLIFICATION

[0120]

In two specific examples X and Y are both polyethers namely poly(propylene oxide) (PPO). These were formulated into copolymers with poly(dimethylsiloxane) (PDMS) and poly(trifluoropropyl methylsiloxane) respectively in varying ratios as described by the following formulae:

[0121]

[0122]

The formulations contained a number of other components including:

[0000]

Branching Agent—DEOA

[0123]

[0124]

Diethanolamine (DEOA) is used as a branching agent although it is sometimes known as a crosslinking agent. The molecular weight of DEOA is 105.14 g/mol. The effect of the DEOA is to influence softness and elasticity of the end polymer.

[0000]

Gelling Catalyst—Bismuth Neodecanoate (BICAT)

[0125]

[0126]

Bismuth neodecanoate is supplied as BiCat 8108M from Shepherd. It has a molecular weight of 722.75 g/mol. This catalyst is used to facilitate the complete reaction between isocyanate and hydroyl or amine functional groups.

[0000]

Blowing Catalyst—DABCO 33-lv

[0127]

[0128]

DABCO is a common blowing catalyst for reaction between NCO and H2O. It has a molecular weight of 112.17 g/mol. This catalyst has the effect, in combination with H2O, of manipulating the foam rise characteristics.

Example 1

Synthesis of Aliphatic Linked Fluorosiloxane Based Triblock Copolymer Pre-Soft-Segment

[0129]

This is a 2 step process. In the first step silanol terminated poly(trifluoropropyl methyl siloxane) is converted into its dihydride derivative. In the next step, this dihydride derivative is reacted with the allyl terminated poly(propylene glycol).

[0000]

The synthetic procedure is as follows:

[0000]

Step 1:

[0130]

[0131]

To a 4 neck separable flask fitted with mechanical stirrer, was added 40 g of Silanol terminated poly(trifluoropropyl methylsiloxane) (FMS-9922 from Gelest Inc.) and this was mixed with 50 ml of toluene and fitted with a continuous flush of Nitrogen. To the reaction mixture 7.57 g of dimethyl chlorosilane (DMCS, from Sigma Aldrich) was added slowly over about 20 minutes keeping the temperature of the mixture constant at 30° C. With each addition of dimethyl chlorosilane, the mixture became hazy but cleared in a short period of time. Once the addition of dimethyl chlorosilane was complete, the mixture was heated to 90° C. for 3 hours. The reaction was then washed with excess water several times to reduce the acidity of the mixture. The resulting mixture was dried over silica gel, filtered and vacuumed to remove solvent and traces of water at 65° C. overnight. A clear fluid was then obtained with a very strong Si—H band in infra red spectroscopy (IR) at 2130 cm−1, which confirms the reaction. GPC analysis showed the molecular weight to be 1200 g/mol.

[0000]

Step 2:

[0132]

[0133]

To 90 ml of reagent grade toluene in a 4 neck separable flask fitted with mechanical stirrer, 46.67 g of Allyl terminated poly(propylene glycol) (MW=700 g/mol, Jiangsu GPRO Group Co.) was added and then heated to reflux. Then 40 g of Hydride terminated FMS-9922 was dissolved in 50 ml of reagent grade toluene and the temperature raised to around 90° C. To the reaction mixture 2 drops of hexachloroplatinic(IV) acid (0.01M H2PtCl6from Sigma) solution in isopropanol (by Merck) was then added. After this catalyst solution had been added, the mixture was refluxed for 1 hour and the solvent distilled off in order to get the final product. The reaction was followed by H-NMR and gel permeation chromatography (GPC) confirmed the final molecular weight to be 2700 g/mol.

[0134]

Resulting polymer block ratios
Stoiciometric ratios for reaction product:
Polymer block
POF—SiOPO
mnp
Ratio119.711

Example 2

Synthesis of Aliphatic Linked Dimethylsiloxane Based Triblock Copolymer Pre-Soft-Segment

[0135]

To 130 ml of reagent grade toluene in a separable flask fitted with a mechanical stirrer, was added 64 g of allyl terminated poly(propylene glycol) (MW=700 g/mol, Jiangsu GPRO Co.) and both were mixed and heated to reflux. Then 40 g of hydride terminated poly(dimethyl siloxane) (Silmer H Di 10 by Siltech Corp.) was dissolved in 50 ml reagent grade toluene and the temperature raised to around 90° C. To this reaction mixture 2 drops of hexachloroplatinic(IV) acid (0.01M H2PtCl6from Sigma) solution in isopropanol was added. After this catalyst solution was added, the mixture was refluxed for 1 hour and then the solvent was distilled off in order to get the final product. The reaction was followed with H-NMR and gel permeation chromatography (GPC) confirmed the final molecular weight of the product to be 2300 g/mol.

[0136]

[0137]

Polymer block ratios
Stoiciometric ratios for reaction product:
Polymer block
POSiOPO
mnp
Ratio111111

Example 3

Synthesis of Aromatic Linked Siloxane Based Triblock Copolymer Pre-Soft-Segment

[0138]

[0139]

To a 100 ml separable flask fitted with a mechanical stirrer, 15 g of hydroxy terminated polydimethyl siloxane (DMS-S14 from Gelest Inc.) was added along with 5.36 g of di-chloro p-xylene (from Sigma) and 0.0089 g of Copper(II) acetylacetonate (Cu(Acac)2from Sigma). The reaction mixture was refluxed at 110° C. for 5 hrs. At this point, 19.77 g of hydroxy terminated poly(propylene glycol) (from Sigma) was added dropwise and the reaction mixture was then refluxed for another 15 hr. The progress of reaction was followed by1H-NMR and the final molecular weight, determined by gel permeation chromatography (GPC), was 3000 g/mol.

[0140]

1H-NMR analysis: Solvent used for1H-NMR analysis is CDCl3.

[0141]

Aromatic H=7.25-7.45 ppm, —CH2=4.5-4.6 ppm, —CH3(of PPO)=1-1.4 ppm, —CH2(of PPO)=3.2-3.8 ppm, —OH (of PPO)=3.8-4 ppm, —CH3(silanol)=0.5-0.8 ppm.

[0142]

Resulting polymer block ratios
Stoiciometric ratios for reaction product:
Polymer block
POSiOPO
mnp
Ratio1415.514

Example 4

Synthesis of Aromatic Linked Fluorosiloxane Based Triblock Copolymer Pre-Soft-Segment

[0143]

[0144]

To a 100 ml separable flask fitted with a mechanical stirrer, 15 g of hydroxy terminated polytrifluoromethyl siloxane (FMS-9922, Gelest inc.) was added along with 5.9 g of di-chloro p-xylene and 0.0098 g of copper(II) acetylacetonate (Cu(Acac)2from Sigma). The reaction mixture was re fluxed at 110° C. for 5 hrs. At this point, 21.75 g of hydroxy terminated poly(propylene glycol) (from Sigma) was added dropwise to the reaction mixture. The reaction was refluxed for another 15 hr. The progress of reaction was followed by1H-NMR analysis and the molecular weight, determined by gel permeation chromatography (GPC), was 3100 g/mol.

[0145]

1H-NMR analysis: Solvent used for H-NMR analysis is CDCl3.

[0146]

Aromatic1H=7.25-7.45 ppm, —CH2=4.5-4.6 ppm, —CH3(of PPO)=1-1.4 ppm, —CH2(of PPO)=3.2-3.8 ppm, —OH (of PPO)=3.8-4 ppm, —CH3(silanol)=0.5-0.8 ppm.

[0147]

Polymer block ratios
Stoiciometric ratios for reaction product:
Polymer block
POFSiOPO
mnp
Ratio149.214

Example 5

Preparation of Water Blown Foam

[0148]

The pre-soft segments prepared can be described as having polymer block ratios which are numerically represented by the letters m, n and o for the constituents PO/SiO/PO respectively. The triblock copolymers prepared in Examples 1 and 2 with specific m, n, o ratios were formulated into polyurethane/urea foams as illustrated by Table 7.

[0149]

The process for preparing the foam was a two-step procedure. The following describes the method of manufacture of the first product in Table 7. The same procedure was used to prepare other foams as described by Table 8.

  • Step 1) Firstly a mixture was made with 0.041 g of DABCO LV-33 (Airproducts), 0.120 g of bismuth neodecanoate (Bicat 8108M from Shepherd chemicals), 0.467 g of diethanol amine (DEOA, from Sigma), 7.917 g of synthesized block co-polymer, 0.200 g water and 0.1 g of surfactant (Niax L-618 from Airproducts) in a plastic flat bottomed container. This is then thoroughly mixed manually for 30 sec until a homogenous mixture was obtained.
  • Step 2) To the above mixture, 15 g of a diisocyanate prepolymer (PPT 95A Airproducts) was added. This was then thoroughly mixed by a mechanical stirrer for about 5 seconds. The material was then molded and cured at 70° C. for 2.5 hours and post cured at 50° C. for another 3 hours.

[0152]

Formulation details for foam
Polymer block
Formulation(PO/SiO/PO)
IdentificationRatio m:n:pDABCOBICATDEOAH2O
VF230209A11:11:110.03250.0150.401.0
VF090309B11:9:11 0.03250.0150.401.0

Example 6

Comparative Example of Formulation of Water Blown Foam from Triblock Copolymer Pre-Soft Segment and Individual Homopolymers

[0153]

Polyurethane/urea polymer foams from Example 5 were compared to foams made from the stoiciometric equivalent homopolymer soft segments. The foams with homopolymer based soft segments (VF130309 and VF190309) shown in FIG. 4 were produced as follows (VF130309):

  • Step 1) Firstly a mixture was made with 0.041 g of DABCO LV-33 (Airproducts), 0.120 g of bismuth neodecanoate (Bicat 8108M from Shepherd chemicals), 0.467 g of diethanol amine (DEOA, from Sigma), 3.056 g of poly(dimethyl siloxane) diol (DMS-s14 Gelest Inc.), 1.633 g of polypropylene oxide (Mw=700 g/mol), 0.200 g water and 0.1 g of surfactant (Max L-618 from Airproducts). These were added to a plastic flat bottomed container and were thoroughly mixed manually for 30 sec until a homogenous mixture was obtained.
  • Step 2) To the above mixture, 15 g of a diisocyanate prepolymer (PPT 95A Airproducts) was added. This was then thoroughly mixed by a mechanical stirrer for 5 seconds. The material was then molded and cured at 70° C. for 2.5 hours and post cured at 50° C. for another 3 hours.

[0156]

The foams in this example were made into dumbell shapes for tensile testing. FIGS. 4 and 5 illustrate the difference in mechanical behaviour between the comparative materials indicating a favourable lowering in modulus for the triblock copolymer pre-soft-segments.

Example 7

Comparative Stability of Triblock Copolymer Soft Segment Versus Homopolymer Soft Segment

[0157]

Tensile test specimens were prepared in the same manner to the materials used in Example 4 and were subjected to accelerated aging in simulated gastric fluid (as per United States Pharmacopeia, “USP”). The materials produced with the pre-synthesised triblock copolymer soft segments resulted in substantially improved mechanical stability in gastric fluid as compared to the urethane/urea linked homopolymer equivalent as illustrated in FIG. 5. This facilitates the use of such materials for prolonged periods in digestive and more specifically gastric environments.

Example 8

Preparation of Water Blown Foams

[0158]

Several water blown polyurethane/urea foams were also produced with varying PO/EO/SiO polymer block ratios. The process for preparing the foam as described above was used.

[0159]

Water blown formulations incorporating siloxane containing copolymer
pre-soft-segments.
Polymer block
ratio
(PO/EO/SiO)
m:n:pDABCOBICATDEOAH2O
41.5:8.3:0.50.1140.0220.222.72
40.2:7.8:0.50.1140.0220.222.72
37.5:7:0.50.1140.0220.222.72
33.5:5.7:0.50.1140.0220.222.72
29.6:4.4:0.50.1140.0220.222.72
21.6:1.8:0.50.1140.0220.222.72
19:1:0.50.1140.0220.222.72
29.6:4.5:1.10.1140.0220.222.72

[0160]

The results from the formulations described in Table 6 are shown in Table 7.

[0161]

Results from mechanical testing of foams from Table 5
Polymer block ratio (PO/EO/SiO)
m:n:p% ElongationTensile Strength (N)
41.5:8.3:0.52330.46
40.2:7.8:0.52430.31
37.5:7:0.52370.3
33.5:5.7:0.52600.23
29.6:4.4:0.53200.23
21.6:1.8:0.54970.23
19:1:0.54620.22
29.6:4.5:1.14370.29

Example 9

Use Example

[0162]

Devices for use in the gastrointestinal system have historically not been made from specifically designed materials. Off the shelf materials used for application in the corrosive environment of the stomach have limited biostability and generally lose their functionality after a short time.

[0163]

The foam of the invention can be used for production of a valve of the type described in our US2007-0198048A, the entire contents of which are incorporated herein by reference. The valve has an open position and a closed position. The valve will have a proximal end and a distal end. The valve material can open from the proximal direction when the action of swallowing (liquid or solid) stretches an orifice by between 100% and 3000% in circumference. The open orifice optionally closes non-elastically over a prolonged period of time, thus mimicking the body's natural response. The duration taken to close may be between 2 and 15 sec. The material can stretch to between 100%-300%> from the distal direction when gas, liquid or solids exceeds a pre-determined force of between 25 cmH2O and 60 cmH2O. In some embodiments, the material absorbs less than 15% of its own mass of water at equilibrium. In some embodiments, the material loses (leaches) less than 3% of it's own mass at equilibrium in water or alcohol. In some embodiments, the material loses less than 10% of its tensile strength when immersed in a simulated gastric fluid at pH 1.2 for 30 days. In some embodiments, the valve material loses less than 25% of its % elongation when immersed in a simulated gastric fluid at pH 1.2 for 30 days.

Example 10

Valve Functional Testing

[0164]

The healthy lower esophageal sphincter (LES) remains closed until an individual induces relaxation of the muscle by swallowing and thus allowing food to pass in the antegrade direction. Additionally when an individual belches or vomits they generate enough pressure in the stomach in the retrograde direction to overcome the valve. An anti-reflux valve must enable this functionality when placed in the body, thus a simple functional test is carried out to assess performance.

[0165]

It has been reported that post fundoplication patients have yield pressures between 22-45 mmHg and that most of the patients with gastric yield pressure above 40 mmHg experienced problems belching. See Yield pressure, anatomy of the cardia and gastro-oesophageal reflux. Ismail, J. Bancewicz, J. Barow British Journal of Surgery. Vol: 82, 1995, pages: 943-947. Thus, in order to facilitate belching but prevent reflux, an absolute upper GYP value of 40 mmHg (550 mmH2O) is reasonable. It was also reported that patients with visible esophagitis all have gastric yield pressure values under 15 mmHg, therefore, there is good reason to selectively target a minimum gastric yield pressure value that exceeds 15 mmHg. See Id. An appropriate minimum gastric yield pressure value would be 15 mmHg+25% margin of error thus resulting in a minimum effective valve yield pressure value of 18.75 mmHg or 255 mmH2O.

[0166]

The test apparatus consists of a 1 m high vertical tube as shown in FIG. 7, to which is connected a peristaltic pump and a fitting that is designed to house the valve to be tested.

[0167]

The valve to be tested is placed in a water bath at 37° C. for 30 minutes to allow its temperature to equilibrate. Once the temperature of the valve has equilibrated it is then installed into the housing such that the distal closed end of the valve faces the inside of the test apparatus. The pump is then switched on at a rate of 800 ml/min to begin filling the vertical tube. The rising column of water exerts a pressure that forces the valve shut initially. As the pressure in the column rises the valve reaches a point where it everts and allows the water to flow through. This point, known as the yield pressure, is then recorded and the test repeated four times.

Example 11

Rationale for Accelerated Aging of Material

[0000]

Clinical Condition being Simulated

[0168]

The lower oesophagus of a normal patient can be exposed to the acidic contents of the stomach periodically without any adverse side effects. However, patients with gastro esophageal reflux disease experience damage to the mucosa of the lower oesophagus due to increased exposure to the gastric contents. Exposure of the lower oesophagus to acidic gastric contents is routinely measured in the clinic using dedicated pH measurement equipment. A typical procedure involves measuring pH over a 24-hour period. The levels of acid exposure in pathological reflux disease patients is summarised in Table 8 from six clinical references. See DeMeester T R, Johnson L F, Joseph G J, et al. Patterns of Gastroesophageal Reflux in Health and Disease Ann. Surg. October 1976 459-469; Pandolfino J E, Richter J E, Ours T, et al. Ambulatory Esophageal pH Monitoring Using a Wireless System Am. J. Gastro 2003; 98:4; Mahmood Z, McMahon B P, Arfin Q, et al. Results of endoscopic gastroplasty for gastroesophageal reflux disease: a one year prospective follow-up Gut 2003; 52:34-9; Park P O, Kjellin T, Appeyard M N, et al. Results of endoscopic gastroplasty suturing for treatment of GERD: a multicentre trial Gastrointest endosc 2001; 53:AB115; Filipi C J, Lehman G A, Rothstein R I, et al. Transoral flexible endoscopic suturing for treatment of GERD: a multicenter trial Gastrointest endosc 2001; 53 416-22; and Arts J, Slootmaekers S Sifrim D, et al. Endoluminal gastroplication (Endocinch) in GERD patient's refractory to PPI therapy Gastroenterology 2002; 122:A47.

[0169]

Summary of acid exposure in patients with reflux disease
InvestigatorNumber of patientsDetails% 24 h < pH 4
DeMeester54Combined refluxers13.5
Pandolfino41Gerd6.5
Mahmood21Gerd11.11
Park142Gerd8.5
Filipi64Gerd9.6
Arts20Gerd17
Average11.035

Key Clinical Parameters

[0170]

Considering that the lower oesophagus is exposed to the acidic pH exposure time for an average of 11% of the measurement period, an accelerated aging methodology can easily be conceived. Constant exposure of a test material to the gastric contents (or USP Simulated Gastric Fluid—Reference USP Pharmacopeia) would represent an almost 10-fold increase in the rate of aging. Thus the time required to simulate one year of exposure of the lower oesophagus to the gastric contents is described by equation 1.

[0171]

(11.035100)×365days=40.28daysEquation1
Clinical Rationale

[0172]

Immersion of test specimens in USP Simulated gastric fluid for 40.27 days at 37° C. will approximate one year's exposure of the lower oesophagus to acidic gastric contents in a GERD patient's scenario.

[0173]

1year40.28 days
2years80.56 days
3years120.84 days 

[0174]

Results of accelerated stability of a valve prepared from a viscoelastic foam of the present invention are depicted in FIGS. 8A and 8b.

[0175]

While we have described a number of embodiments of this invention, it is apparent that our basic examples may be altered to provide other embodiments that utilize the compounds and methods of this invention. Therefore, it will be appreciated that the scope of this invention is to be defined by the appended claims rather than by the specific embodiments that have been represented by way of example.

Как компенсировать расходы
на инновационную разработку
Похожие патенты