патент
№ US 0007335405
МПК C09K19/52

Nematic liquid crystal mixtures for use in bistable display devices

Авторы:
Jean-Claude Dubois Didier Gallaire Stephane Joly
Все (18)
Правообладатель:
Все (3)
Номер заявки
11397506
Дата подачи заявки
03.04.2006
Опубликовано
26.02.2008
Страна
US
Дата приоритета
20.01.2026
Номер приоритета
Страна приоритета
Как управлять
интеллектуальной собственностью
Чертежи 
3
Реферат

A method of using a liquid crystal composition in a bistable liquid crystal device having a weak zenithal anchoring comprising at least 40% by weight of compounds with strong molecular polarisability and strong dipole moment.

Формула изобретения

1. In a bistable liquid crystal device comprising

a liquid crystal composition being situated between two substrates, forming a cell,

electrode structures with alignment layers on the inner side of said substrates, whereby at least one alignment layer comprises a weak zenithal anchoring characterised by a breaking voltage Uλ/2<25 Volts for a cell with thickness d such that Δnd=275 nm (value measured at T=20° C.), that permits the compounds of said liquid crystal composition to adopt at least two different stable states and to switch between the two stable states when suitable electric signal is applied to said electrodes,

the improvement wherein said liquid crystal composition has:

a nematic—isotropic liquid transition temperature (TN-1) greater than or equal to +50° C.,

a positive dielectric anisotropy larger than or equal to 8×10−11F/m (value measured at a temperature of +20° C.)

and said liquid crystal composition includes:

a) at least 40% by weight of compounds with strong molecular polarisability (Δ∈>10) and strong dipole moment (μ>1D), however with weak zenithal anchoring, chosen from among compounds with the following formulas (AI, AII, AIII and AIV):

in which:R1is a —CN or a —NCS polar group or a fluorine atom,

R2represents an alkyl chain containing 1 to 12 carbon atoms,

R3is an alkyl chain containing 1 to 12 carbon atoms or a cycloaliphatic radical,

Z1is a —C≡C—group or a single bond,

Z2and Z3are identical or different, and are —COO—groups or single bonds, and X1is a fluorine or hydrogen atom;

b) 0 to 50% by weight of compounds with weak anchoring chosen from among compounds with the following formulas (BI, El and FI):

in which:

R4and R5are identical or different and are selected from the group constituted by cycloaliphatic radicals, and R—, or RO—, or R—COO—radicals, where R represents an alkyl chain with 1 to 12 carbon atoms,

R6represents an alkyl chain with 1 to 12 carbon atoms or an alkoxy group with 1 to 12 carbon atoms,

Z4is a —C∈C—group, a —CH2-CH2—group, a —COO—group or a single bond and X1is a fluorine or an hydrogen atom;

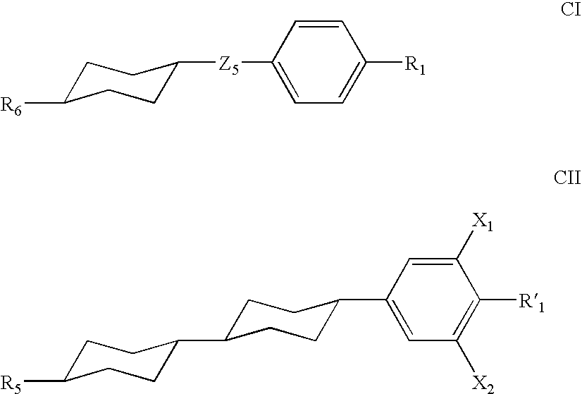
c) 0 to about 20% by weight of compounds comprising dipoles chosen from among compounds with the following formulas (CI and CII):

in which:

R1is a —CN group, a —NCS group or a fluorine atom,

R′1is a —CN group, a —NCS group or a fluorine atom or a radical —OR, wherein R is an alkyl chain containing 1 to 12 carbon atoms possibly substituted by fluorine atom(s),

R5is an alkyl chain containing 1 to 12 carbon atoms,

R6is an alkyl chain or an alkoxy chain containing 1 to 12 carbon atoms,

Z5is a —CH2-CH2—group, a —COO—group or a single bond,

X1and X2are identical or different, and are a fluorine or an hydrogen atom;

d) 0 to 5% by weight of compounds with the following formulas (DI and DII):

where:

R1is a —CN or a —NCS polar group or a fluorine atom,

R2is an alkyl chain containing 1 to 12 carbon atoms,

Z2is a —COO—group or a single bond,

X1and X2are identical or different, and are a fluorine or hydrogen atoms.

2. The bistable liquid-crystal device according to claim 1, which is of the anchoring breaking type.

3. The bistable liquid-crystal device according to claim 1, wherein the device uses two stable textures, one uniform or slightly twisted texture in which the molecules are at least approximately parallel to each other, and the other that differs from the first by a twist of +/−180°.

4. The bistable liquid crystal device according to claim 1, wherein the switch between the two stable textures is obtained by breaking the zenithal anchoring on at least one of the alignment layers.

5. The bistable liquid crystal device according to claim 1, wherein the anchoring on both augment layers is monostable.

6. The bistable liquid crystal device according to claim 1, wherein in said formulae AII and AIV, R3represents a cycloaliphatic radical containing an alkyl chain with 1 to 12 carbon atoms.

7. The bistable liquid crystal device according to claim 1, wherein in said formulae BI, EI, FI and CII R4and/or R5represents a cycloaliphatic radical containing an alkyl chain with 1 to 12 carbon atoms.

8. The bistable liquid crystal device according to claim 1, wherein said composition comprises between 60% and 90% by weight of compounds with formulas AI, AII, AII and AIV.

9. The bistable liquid crystal device according to claim 1, wherein said composition does not contain compounds with the CI or CII formula.

10. The bistable liquid crystal device according to claim 1, wherein said composition does not contain contains practically no compounds with the DI or DII formula.

11. The bistable liquid crystal device according to claim 1, wherein in said composition:

the compounds with formula AI are chosen from the group including 4-ethyl-4′-cyanobiphenyl, 4-propyl-4′-cyanobiphenyl, 4-butyl-4′-cyanobiphenyl, 4-pentyl-4′-cyanobiphenyl, 4-hexyl-4′-cyanobiphenyl, 4-heptyl-4′-cyanobiphenyl, 4-octyl-4′-cyanobiphenyl, 4-nonyl-4′-cyanobiphenyl, 4-decyl-4′-cyanobiphenyl, 4-undecyl-4′-cyanobiphenyl, 4-butyl-thiocyanatophenyl, 4-butylphenylethynylene 3′-fluoro-4′-cyanophenyl, 4-pentyiphenylethynylene-3′-fluoro-4′-thiocyanatophenyl and 4-butoxyphenylethynylene-3′-fluoro-4′-thiocyanatophenyl,

the compounds with formula AII are chosen from the group comprising 4-cyanobiphenyl-4′-pentylbenzoate, 3-fluoro-4-cyanophenyl-4′-trans -pentyl-phenylbenzoate, 3-fluoro-4-cyanophenyl-4′-trans-pentyl-cyclohexyl-phenyl-carboxy -benzoate, 4-pentyl-4′-cyanoterphenyl and 4-pentyl 3′fluoro-4′-cyanoterphenyl, 4-cyanobiphenyl-4′-ethyl-benzoate, 4-cyanobiphenyl-4′-propyl-benzoate, 4-cyanobiphenyl-4′-butyl-benzoate, 4-cyanobiphenyl-4′-hexyl-benzoate and 4-pentyl-trans-cyclohexyl-benzoate-4′-phenyl-carboxylate of 4-cyano-3-fluoro-benzene,

the compounds with formula AIII are chosen from the group comprising 4-(5-propyl-[1.3]dioxane-2-yl)-cyanobenzene and 4-(5-pentyl-[1.3]dioxane -2-yl)-cyanobenzene,

the compounds with formula AIV are chosen from the group comprising 4-cyanophenyl-4′-trans-propyl-cyclohexyl-benzoate, 4-cyanophenyl-4′-trans-butyl-cyclohexyl-benzoate, 4-cyanophenyl-4′-trans-pentyl-cyclohexyl-benzoate, 3-fluoro-4-cyanophenyl-4′-trans-ethyl-cyclohexyl-benzoate, 3-fluoro-4-cyanophenyl-4′-trans-propyl-cyclohexyl benzoate, 3-fluoro-4-cyanophenyl-4′-trans-butyl-cyclohexyl-benzoate, 3-fluoro-4-cyanophenyl-4′-trans-pentyl-cyclohexyl-benzoate, 3-fluoro-4-cyanophenyl-4′-trans-ethyl-cyclohexyl-carboxy-benzoate, 3-fluoro-4-cyanophenyl-4′-trans-propyl-cyclohexyl-carboxy-benzoate, 3-fluoro-4-cyanophenyl-4′-trans-butyl-cyclohexyl-carboxy-benzoate, 3-fluoro-4-cyanophenyl-4′-trans-pentyl-cyclohexyl-carboxy-benzoate, 4cyanophenyl-4′-ethylbenzoate, 4cyanophenyl-4′-propylbenzoate, 4-cyanophenyl-4′-butylbenzoate, 4-cyanophenyl-4′-pentylbenzoate, 4-cyanophenyl-4′-hexylbenzoate, 4-cyanophenyl-4′-octylbenzoate, 3-fluoro-4-cyanophenyl-4′-ethylbenzoate, 3-fluoro-4-cyanophenyl-4′-propylbenzoate, 3-fluoro-4-cyanophenyl-4′-butylbenzoate, 3-fluoro-4-cyanophenyl-4′-pentylbenzoate, 4-fluorophenyl-4′-trans-propyl-cyclohexyl-benzoate and 3-fluoro-4-thiocyanatophenyl-4′-trans-butyl-cyclohexyl benzoate.

12. The bistable liquid crystal device according to claim 1, wherein in said composition the compounds with formula BI are chosen from the group comprising 4,4′-Bis-(4-propylcyclohexyl)-3-fluorobiphenyl, 4,4′-Bis-(4-propylcyclohexyl)biphenyl, 4′-(4-pentyl-cyclohexyl)-4-(4-propyl-cyclohexyl)-biphenyl, 4′-methyl-4-pentyl-biphenyl, 4-pentylphenyl-4′-propylphenylcarboxylate, 4-pentyiphenyl-4′-pentyiphenylcarboxylate, 4-propylphenyl-4′-methoxyphenylcarboxylate, 4-ethylphenylethynylene-4′-ethylphenyl,4-propylphenylthynylene-4′-methylphenyl, 4-propylphenylethynylene-4′-butylphenyl, 4-hexyloxyphenylthynylene-4′-hexyloxyphenyl, 4-heptylphenylthynylene-4′-propoxyphenyl, 4-pentylcarboxyphenythynylene-4′-methoxyphenyl, 4-hexylcarboxyphenylthynylene-4′-methoxyphenyl, 4-heptylcarboxyphenylthynylene-4′methoxyphenyl, 4-octylcarboxyphenyithynylene-4′-methoxyphenyl, 4-nonylcarboxyphenylthynylene-4′-methoxyphenyl, 4-butylcarboxyphenylthynylene-4′-propoxyphenyl, 4-butylcarboxyphenylthynylene -4′-hexyloxyphenyl, 4-pentylcarboxyphenylthynylene-4′-hexyloxyphenyl, 4-ethylcarboxyphenylthynylene-4′-ethylcarboxyphenyl, 4-butylcarboxyphenyithynylene-4′-butylcarboxyphenyl, 4-hexylcarboxyphenylthynylene-4′-hexylcarboxyphenyl, 4-octylcarboxyphenylthynylene-4′-octylcarboxyphenyl, 4′-ethyl-4-(4-propyl-cyclohexyl)-biphenyl, 4′-ethyl-4-(4-pentyl-cyclohexyl)-biphenyl, 4′-propyl-4-(4-heptyl-cyclohexyl-carboxylate)-biphenyl, 4′-ethyl-4-(4-pentyl-cyclohexyl)-3-fluorobiphenyl, 4-propylphenyl-4′-propylcyclohexyiphenylcarboxylate, 4-propylphenyl-4′-pentylcyclohexylbenzoate, 4-(trans-propyl-cyclohexyl)-phenylethynylene-4′-ethyiphenyl and 4-(trans-pentyl-cyclohexyl)-phenylethynylene-4′-ethylphenyl.

13. The bistable liquid crystal device according to claim 1, wherein in said composition the compound with formula EI is 4-pentylphenyl-4′-trans-pentylcyclohexylenecarboxylate, 4-methylphenyl-4′-trans-propylcyclohexylenecarboxylate, 4-propylphenyl-4′-trans propylcyclohexylenecarboxylate, 4-pentyiphenyl-4′-trans-propylcyclohexylenecarboxylate, 4-methylphenyl-4′-trans-pentylcyclohexylenecarboxylate, 4-propylphenyl-4′-trans pentylcyclohexylenecarboxylate, 4-ethyl-4′-trans-propylcyclohexyl-phenyl, 4-propyl-4′-trans-heptylcyclohexyl-phenyl and 4-propylphenyl-4′-trans-pentylcyclohexylenecyclohexylenecarboxylate.

14. The bistable liquid crystal device according to claim 1, wherein in said composition the compound with formula FI is 4-methoxy-4′-propyl-bicyclohexyl.

15. The bistable liquid crystal device according to claim 1, wherein said composition comprises the following:

13.0AI4-pentyl-4′-cyanobiphenyl
13.0AI4-heptyl-4′-cyanobiphenyl
6.3AIV3-fluoro-4-cyanophenyl-4′-ethylbenzoate
10.8AIV3-fluoro-4-cyanophenyl-4′-propylbenzoate
12.1AIV3-fluoro-4-cyanophenyl-4′-butylbenzoate
12.1AIV3-fluoro-4-cyanophenyl-4′-pentylbenzoate
14.0EI4-pentylphenyl-4′-
pentylcyclohexylcarboxylate
8.6AIV4-cyanophenyl-4′-trans-butyl-
cyclohexylbenzoate
4.2AIV3-fluoro-4-cyanophenyl-4′-trans-pentyl-
cyclohexylbenzoate
3.9BI4,4′-Bis (4-propyl-cyclohexyl)-3-
fluorobiphenyl
2.7BI4,4′-Bis (4-propyl-cyclohexyl)-biphenyl.

16. The bistable liquid crystal device according to claim 1, wherein said composition comprises the following:

13A.I4-pentyl-4′-cyanobiphenyl
12A.I4-heptyl-4′-cyanobiphenyl
7A.IV3-fluoro-4-cyanophenyl-4′-ethylbenzoate
5A.IV3-fluoro-4-cyanophenyl-4′-propylbenzoate
5A.IV3-fluoro-4-cyanophenyl-4′-butylbenzoate
8A.IV4-cyanophenyl-4′-ethylbenzoate
10A.IV4-cyanophenyl-4′-butylbenzoate
7A.IV3-fluoro-4-cyanophenyl-4′-trans-ethyl-
cyclohexylbenzoate
7A.IV3-fluoro-4-cyanophenyl-4′-trans-propyl-
cyclohexylbenzoate
3A.IV3-fluoro-4-cyanophenyl-4′-trans-butyl-
cyclohexylbenzoate
16E.I4-pentylphenyl-4′-
pentylcyclohexylenecarboxylate
4B.I4,4′-bis-(4-propyl-cyclohexyl)-biphenyl
3B.I4′-(4-pentyl-cyclohexyl)-4-(4-propyl-
cyclohexyl)-biphenyl.

Описание

CROSS-REFERENCE TO RELATED APPLICATIONS

[0001]

This application is a Continuation-In-Part of application Ser. No. 10/788,193, filed on Feb. 25, 2004 now U.S. Pat. No. 7,115,307.

BACKGROUND

[0002]

1. Field

[0003]

The invention is directed to the use of a liquid crystal composition suitable for a bistable liquid crystal device, and specially a bistable liquid crystal device with anchoring breaking, and a bistable liquid crystal device with anchoring breaking comprising the liquid crystal composition.

[0004]

2. Background

[0005]

Liquid crystal display (LCD) devices are increasingly used in display applications for which there are constraints on the volume, weight or electricity consumption. Therefore, they are found in all sorts of mobile applications, for example laptop computers, electronic books, personal assistants and mobile phones.

[0000]

1) Practical Definition of Azimuthal and Zenithal Anchoring

[0006]

The anchoring and anchoring breaking concepts for liquid crystal molecules on surfaces are highly technical, and they can be defined. The orientation of the liquid crystal molecules by surfaces is called anchoring. The source of anchoring is anisotropy of the interaction between the liquid crystal and the surface. Anchoring can be characterised by its efficiency and by the preferential direction imposed by the surface on adjacent liquid crystal molecules. This direction, called the easy axis, is defined by the azimuth angle φ0and the zenithal angle θ0, (see FIG. 1). The nematic director, in other words the average direction of liquid crystal molecules, is drawn towards the easy axis through the surface. If there is no external influence, the liquid crystal director is oriented parallel to the easy axis to minimise the interaction energy with the surface. This energy (anchoring energy) may be written as follows as a first approximation (A. Rapini and M. Papoular, J. Phys. (Fr) C4, 30, 54-56 (1969)):

[0007]

g(θ,φ)=Wz2sin2(θ-θ0)+Wa2sin2(φ-φ0)(1)

[0008]

where θ and φ are the zenithal angle and the azimuth angle of the nematic director on the surface, Wzand Waare the surface densities of the zenithal and azimuth anchoring energies. To simplify the description, we will call them anchoring energies. On most solid surfaces, the zenithal anchoring energy is one or two orders of magnitude higher than the azimuthal anchoring energy. The azimuthal anchoring energy depends mainly on anisotropy induced on the surface by treatments, and in this case the nature of the materials is not as important

[0009]

If the orientation of the director in the volume is different from the direction of the easy axis, the texture is deformed. The surface energy is no longer zero and the result is also a volume energy, characterised by an elasticity factor K that depends on the deformation. The surface energy can be characterised by its extrapolation length that is the ratio between the bulk elasticity factor and the anchoring energy.

[0010]

The extrapolation length of the azimuthal anchoring is denoted Laz=K22/Waz. In practice, a azimuthal anchoring is considered as being strong if Laz<150 nm.

[0011]

The extrapolation length of the zenithal anchoring is denoted Lz=K33/Wz. In practice, a zenithal anchoring is considered as being strong if Lz<15 nm and weak if Lz>25 mm.

[0012]

Azimuthal and zenithal values are given in EP0859970 and U.S. Pat. No. 6,237,017, which are herein incorporated by reference.

[0000]

2) Anchoring of Molecules in “Classical” Displays

[0013]

In their simplest form, electrically controlled display devices comprise a liquid crystal material confined between two plates, at least one of which is transparent. Each of these plates is provided with an electrode on its internal face and was subjected to a surface treatment that orients the liquid crystal. It is said that this treatment anchors the molecules on the walls of the cell. By applying a potential difference exceeding a voltage called the Fréedericksz threshold voltage between the electrodes of the two plates, the orientation of the liquid crystal varies under the action of the electric field. Due optical anisotropy of the liquid crystal, these orientation variations change the optical properties of the display depending on the amplitude of the applied field.

[0014]

All these displays called “classical” displays have a common characteristic; when the external electric field is switched off, the displayed information disappears more of less quickly. The anchoring (zenithal and azimuthal) is strong, it fixes the orientation of the molecules close to the plates, and keeps them almost parallel to the plates while the field is applied. When the field is switched off, these fixed molecules reorient the other molecules according to the equilibrium texture. The elasticity of the liquid crystal, associated with the strong anchoring of molecules onto the plates, makes the deformation created by the field, and therefore all information, disappear.

[0015]

A large amount of work has been done to improve the performances of these classical displays by optimising the physical properties of the liquid crystal including the temperature range, viscosity, elasticity, birefringence, dielectric anisotropy, Fréedericksz threshold voltage, etc. It is almost impossible for a pure product to satisfy all requirements. This is why mixtures comprising more than about ten components are generally used in display devices to optimise all “volume” properties of the liquid crystal [Handbook of Liquid Crystals (1998) Wiley-VCH Weinheim].

[0016]

Furthermore, for these classical devices, the anchoring condition is not very strict, all that is necessary is that both anchorings should be “strong”, in other words larger than a limiting value (Laz<250 nm and Lz<15 nm). Research has been done on this problem in obtaining strong anchoring, but it can be considered to be almost solved at the moment. Several known polymer families arranged in the surface layer on plates provide strong anchoring adapted to classical displays [Liquid Crystals—Applications and Uses (1990) World Scientific Publishing Co. Pte. Ltd Singapore].

[0017]

The strong azimuthal anchoring is obtained industrially by brushing the polymer film covering the plate. On most brushed polymers, the zenithal anchoring is one or two order of magnitude higher than the azimuthal anchoring. So classical LC displays have both strong azimuthal and zenithal anchoring.

[0000]

3) Bistable Nematic Displays

[0018]

A new generation of nematic displays called “bistable” nematic displays appeared a few years ago; they operate by switching between two stable states in the absence of a field. The external electric field is only applied for the time necessary to switch the texture of the liquid crystal from one state to the other. If there is no electric control signal, the display remains in its existing state. Due to its operating principle, this type of display consumes an amount of energy proportional to the number of image changes; thus when the frequency of image changes drops, the power necessary for operation of the display tends towards zero. This type of display is developing quickly due to expansion of the market for mobile devices.

[0019]

For example, ZBD display uses a grating on one of the plate giving a bistable anchoring (G. P. Bryan-Brown et al., Nature, 399, 338 (1999)). With such a surface, the director of the liquid crystal molecules has two possible stable configurations with different pretilt angles, one high and one low, in the same azimutal plane.

[0000]

4) Bistable Displays with Anchoring Breaking

[0020]

Two bistable nematic displays with anchoring breaking using bistable surfaces have been proposed by the Orsay Solid State Physics Laboratory, one selects the stable state after switching by a flexoelectric effect (patent application FR 90 07847), and the other by an electro-chiral effect (patent application FR 90 01066).

[0021]

Two bistable nematic displays with anchoring breaking on monostable surfaces are being developed at the moment: The BINEM® display developed by the NEMOPTIC Company in France (patent applications FR 95 13201 and FR 96 04447 and U.S. Pat. No. 6,327,017) or the SBiND display developed by the LICET Company in Italy (patent application EP 0 773 468 and U.S. Pat. No. 5,995,173 and patent application JP 9 274 205).

[0000]

5) Description of the Bistable Liquid Crystal Device with Anchoring Breaking Called BINEM®

[0022]

The bistable Binem device comprises a liquid crystal layer being situated between two substrate, forming a cell, one substrate called “master plate”, the other one called “slave plate”. Electrodes positioned on the inner side of the substrates allow electrical command signals to be applied to the liquid crystal layer situated between them for switching from one stable texture to the other. On the electrodes, alignment layers (for example polymer films) are deposited. The anchoring force is a characteristic of the interaction between the liquid crystal and the alignment layer. On the master plate of a BiNem device, the molecule zenithal anchoring is strong, on the slave plate the molecule zenithal anchoring is weak. The anchoring of the molecules on theses surfaces is monostable (FIG. 2), meaning that there is an unique alignment direction.

[0023]

Switching of the BINEM® bistable display by anchoring breaking is diagrammatically shown in FIG. 2; it uses two textures, one uniform or slightly twisted texture T0in which the molecules are approximately parallel to each other, and the other T180that differs from the first by a twist of +/−180°. The nematic is chiralised with a spontaneous pitch p0, chosen to be close to four times the thickness of the cell to equalise the energies of the two textures. In the absence of a field, these are minimum energy states; the cell is bistable. In the presence of a strong field, an almost homeotropic texture (H) is obtained, and zenithal anchoring of the molecules is broken on at least one of the plates; neighbouring molecules are normal to it. At the end of the control pulse, the cell returns to one of the two textures depending on the rate at which molecules close to the surface, for which anchoring is not broken, return to an equilibrium. A slow return will lead to state T0by elastic coupling between molecules close to the two surfaces, and a fast return will lead to state T180° by hydrodynamic coupling.

[0000]

6) Characterisation of Anchoring Breaking

[0024]

The orientation of liquid crystal molecules may be modified by external, electrical or magnetic fields. For example, for an electric field normal to the surface, positive anisotropic molecules are oriented along the field (θ=0°) in the body of a cell in which they would be flat (θ≅90°) in the absence of a field. On the surface, the director zenithal angle reduces continuously as a function of the field, and θ becomes zero if the field exceeds the critical field Ec. It is said that the anchoring is broken, since the director close to the surface is no longer affected by an anchoring torque or an electric torque. The critical field is:

[0025]

EC=WzK33Δɛ(2)
where Wzis the zenithal anchoring energy, K33is the bending elasticity factor and Δ∈ the dielectric anisotropy.

[0026]

This critical field is the field that must be applied to switch anchoring breaking devices. It is also the order of magnitude of the field necessary to change the orientation of the director close to surfaces in the case of devices in which breaking is not necessary. Mixtures with a high value of Δ∈ and high elasticity but a weak anchoring energy are necessary to obtain a device control field compatible with the control electronics.

[0027]

In practice, the useful magnitude in the case of anchoring breaking displays is the voltage necessary to break them, therefore the critical field multiplied by the thickness of the cell. Cells of bistable displays are usually thick enough so that their birefringence is equal to the half wavelength of light at the centre of their passband. We will characterise zenithal anchoring using the voltage Uλ/2at the terminals of a birefringence cell λ/2 for the yellow sodium line, when the field close to the surface is equal to the critical anchoring breaking field:

[0028]

Uλ/2=λWz2ΔnK33Δɛ=λ2ΔnLzK33Δɛ(3)

[0029]

In this relation, λ=589 nm is the wavelength of sodium, Wz, Lz, Δn, K33and Δ∈ are parameters of the liquid crystal mixture, in particular its zenithal anchoring energy, its zenithal anchoring extrapolation length, its birefringence for the sodium line, its bending elasticity constant and its dielectric anisotropy, respectively.

[0030]

The inventors consider that zenithal anchoring is weak when the breaking voltage Uλ/2can be supplied, within the temperature range, by inexpensive electronic circuits. In practice, this can be represented by the empirical rule stating that anchoring is weak if Uλ/2<25 volts.

[0000]

7) Nematic Mixtures for Displays with Anchoring Breaking

[0031]

Displays with anchoring breaking that we have just mentioned and in general all bistable displays using switching on the surface, require weak and well-defined zenithal anchoring of the liquid crystal on it. Molecules on plates can then be aligned under the action of a reasonable breaking field compatible with the control circuits. Remember that the breaking field that aligns molecules attached to the surfaces is obviously greater than the field corresponding to the Fréedericksz threshold voltage which simply rotates molecules at the centre of the cells, and has almost no influence on the orientation of molecules close to the plates. Operation of anchoring breaking displays depends very closely on the “surface” properties of the nematic mixture. These physical properties (angles and anchoring force) characterise interaction of the liquid crystal with the alignment substrate.

[0032]

Liquid crystals used by promoters of bistable nematic displays often belong to the cyanobiphenyls family, and they cannot be used to make devices operating within a wide temperature range. Furthermore, weak anchoring is often obtained on plates covered by mineral materials deposited by evaporation, this process being much more expensive than the usual polymer treatments. Normal materials and industrial surface treatments used for classical displays result in very strong anchoring and therefore cannot be used directly for bistable displays.

[0033]

Thus, the production of bistable displays for practical, industrial or general public applications requires liquid crystal mixtures with a new property, namely weak zenithal anchoring. They also need to maintain more classical but essential volume properties; they must remain nematic within a wide temperature range and their mechanical, electrical and optical properties must be adjustable to satisfy the needs of the different bistable displays.

[0000]

a) The Necessary Bulk Properties

[0034]

The following gives a summary description of the volume properties of liquid crystal materials adapted to bistable displays.

[0035]

In general, pure products are nematic within a restricted temperature range. The maximum value of this temperature range ΔTNis limited by TN-1, the nematic liquid crystal ⇄ isotropic liquid transition temperature, and the minimum value is limited by TX-N, the transition temperature towards more ordered liquid crystal phases or vitreous or crystalline solid phases.
ΔTN=TN-1−TX-N

[0036]

A wide temperature range is necessary for most applications, typically of the order of 50° C. to 80° C. centred on the ambient temperature (20° C.). In order to optimise the temperature range, the liquid crystal materials used must be composed of several components chosen from among chemical families with nematic ranges sufficiently offset in temperature and for which the distribution of molecular lengths hinders crystallisation. In practice, the number of components may be as high as a dozen to adjust the various mixture volume properties, while giving the required temperature range.

[0037]

A good optical contrast of the display requires clearly defined birefringence of the mixture. The cell thickness for bistable displays with anchoring breaking is small; strongly birefringent mixtures are necessary (Δn=0.15 to 0.2). The mixture must include a high proportion of very anisotropic materials. The value of birefringence is critical but its adjustment is easy since birefringences of the different components of the mixture are added in proportion to their concentrations.

[0038]

The display switching time is proportional to the viscosity of the material and is inversely proportional to its elasticity. In mixtures, it is known that highly anisotropic materials give high elastic constants, and also a high viscosity. The viscosity of the mixture may be reduced by slightly anisotropic additives with low viscosity that hinder the dimerisation of anisotropic materials. This will be essential to obtain response times of a few milliseconds necessary for applications, at low temperature.

[0039]

Thus, nematic liquid crystals for displays with anchoring breaking should be mixtures composed of several mesomorphic materials; this is the only known method of obtaining the different volume properties necessary. Their diversity must not hinder the essential new property; weak zenithal anchoring. Furthermore for some applications, and particularly in the case of materials for BINEM® displays, it will be necessary to add a chiral additive to the mixture to obtain an infinite bistability.

[0000]

b) Criterion of the Influence of the Liquid Crystal Material on the Anchor

[0040]

The zenithal anchoring energy depends on treatments and the nature of the surface, the temperature and the liquid crystal material used. The inventors studied the influence of the material on zenithal anchoring, eliminating the influence of other parameters as far as possible.

[0041]

The surfaces used in practice in liquid crystal cells also provide a non-zero azimuth anchoring. Most applications require that the azimuth direction of molecules on each plate is well defined so that the texture has the required optical properties. This azimuth anchoring is obtained industrially by brushing the polymer film covering the plate. The inventors discovered that the influence of brushing on the zenithal anchoring can be neglected as a first approximation.

[0042]

The nature of the surface can make the zenithal anchoring energy vary by an order of magnitude. NEMOPTIC has developed polyvinyl chloride copolymer films (patent application FR 00 16135) on which the zenithal anchoring of pentyl-cyanobiphenyl (5CB) is weak (Lz>25 nm at +20° C.). On the other hand, polyimides used in classical displays give strong zenithal anchoring. For example, on a commercial polyimide orientation film (Nissan SE140), zenithal anchoring of 5CB is very strong (Lz≅7 nm to +20° C.). However the inventors have demonstrated that usually the surfaces that give the weakest anchoring for one liquid crystal will also give the weakest anchoring for many other liquid crystals. The inventors chose two surfaces with very different natures as being standard surfaces and they tested the zenithal anchoring energy of the liquid crystals studied for these two surfaces, to minimise the effect of the nature of the surface. These surfaces were chosen from surfaces for which the anchoring energy of 5CB is weak; a film of silicon monoxide (SiO) evaporated obliquely under vacuum and a brushed polymer film.

[0043]

The SiO film is obtained by evaporation at 75°, it is 6 nm thick and at 20° C. it provides weak zenithal anchoring of the 5CB (Lz=31.3 nm which gives Uλ/2=14 volts according to equation (3)).

[0044]

The brushed polymer film is denoted BP11, it is copolymer film of polyvinyl chloride prepared using the process described in patent application FR 00 16135. It provides weak zenithal anchoring of 5CB at 20° C. (Lz=27.5 nm, therefore Uλ/2=16 volts).

[0045]

When the temperature decreases, the anchoring energy increases for all surface-liquid crystal pairs. This behaviour is explained by the reinforcement of the nematic order at low temperature, this order being transmitted close to the surface. The graph in FIG. 3 shows the critical breaking field Ecof the 5CB nematic on our two reference surfaces as a function of the birefringence Δn that is proportional to the order parameter (S). It is observed that the breaking thresholds depend more strongly on the nematic order on the polymer than on the silicon monoxide. The value of the parameter α for the approximation EC˜Sα is equal to approximately 4 (4.36±0.15) for the brushed polymer and 2 (2.15±0.1) for silicon monoxide. To enable comparisons, measurements will be made at the same reduced temperature Tred=(TN-1−T)/TN-1=0.9 (T is the Kelvin measurement temperature, and TN-1is the temperature of the isotropic nematic transition).

[0046]

The inventors chose the value of the breaking voltage Uλ/2at a reduced temperature 0.9 on the two surfaces that they took as being standard surfaces, as a criterion for comparison of the zenithal anchoring of a material. In the following, zenithal anchoring will be considered as being weak when Uλ/2is less than 25 V.

[0000]

Limitation of Commercial Mixtures for Bistable Displays Using Anchoring Breaking

[0047]

Using the criterion defined above, the inventors demonstrated that most commercial liquid crystal mixtures have strong anchoring; therefore they cannot be used to make bistable nematic displays with anchoring breaking.

[0048]

Table 1 shows the critical voltage and the extrapolation length for different commercial products (MERCK) on a silicon monoxide film. Measurements were made at reduced temperature Tred=0.9.

[0049]

MLC-665035.510.7
MLC-6806-10037.716.5
ZLI-108342.915.5
ZLI-113251.013
MLC-6809-00053.514.2
ZLI-111560.713
MLC-668660.815
MLC-6846-00073.014
MLC-482284.59.7
MLC-6848-10086.07.6
MLC-13300-00090.810
MLC-6846-10095.28.2
MLC-6012104.710.3
MLC-6848-000108.27.2
MLC-6625>119<14
MLC-6849-100>1207.0
MLC-12000-100>137<10
MLC-50512137.4

[0050]

It can be seen that anchoring of all these mixtures is strong despite their strong dielectric anisotropy since their critical breaking voltage Uλ/2is greater than 30 volts.

BRIEF DESCRIPTION OF THE DRAWINGS

[0051]

The features, aspects, and advantages of the invention will become more thoroughly apparent from the following detailed description, appended claims, and accompanying drawings in which:

[0052]

FIG. 1 is a diagram of a zenithal angle and an azimuth angle.

[0053]

FIG. 2 is a schematic diagram of a bistable device showing anchoring of molecules on a master plate and a slave plate.

[0054]

FIG. 3 is a graph illustrating a critical breaking field of a nematic on two reference surfaces.

DETAILED DESCRIPTION

[0000]

1) Study of Pure Compounds—Simple Mixtures

[0055]

In order to make mixtures adapted to bistable displays, the inventors restarted the study from the beginning, measuring the anchoring of nematic pure compounds. They were able to select families of compounds with weak zenithal anchorings.

[0056]

It is unfortunately difficult to predict the properties of mixtures starting from these results. So far, laws for variation of the anchoring energy of nematic mixtures as a function of the anchoring energy and the concentration of each of its compounds are unknown. In this problem, the important parameter is the value of concentrations of the different compounds close to the surface. These concentrations may be very different from bulk concentrations due to the segregation phenomenon. However, the inventors have identified some general trends by studying binary, ternary or more complex mixtures of materials for which they have determined anchoring energies.

[0057]

Usually, in a given family of compounds and therefore for materials with similar chemical formulas in which the only difference is the length of the terminal alkyl chains, anchoring energies vary little from one material to another. When these materials are mixed, the anchoring energy of the mixture is the weighted average of the anchoring energies of the constituents of the mixture.

[0058]

There are a few families with which hybrid mixtures can be made. The simple law of the weighted average may still be valid for mixtures containing materials chosen from among two families of this type. For example, it is possible to combine cyanobiphenyls and cyanophenylbenzoates to obtain mixtures for which the anchoring energy is weak and is proportional to concentrations of compounds.

[0000]

a) “Poisons”

[0059]

The inventors have discovered that some products, even when added in low quantities in the nematic mixture, enormously reinforce the zenithal anchoring. These products are genuine “poisons” for a mixture to be used in a display with anchoring breaking. For these products, the anchoring depends on the concentration of the “poison”, according to a very strongly non-linear law. Table 2 shows the critical breaking voltage of pentylcyanobiphenyl and of pentylcyanobiphenyl doped with about 20% of different “poisons”. The measurements are made using the previously defined criterion; at the reduced temperature Tred=0.9 on planar cells with λ/2 optical delay.

[0060]

Examples of “poisons”: nematic products that strongly increase the
breaking voltage Uλ/2when added to the reference nematic (5CB)
Poison
concentration
(% weight in theTN-I/Uλ/2/volts at
5CB)Nematic product (5CB + poison)° C.Tred= 0.9
reference4-pentyl-4′-cyanobiphenyl (pure+35.014
5CB)
20%5CB + 4-trans-+37.720
propylcyclohexylcyanobenzene
20%5CB + 4-pentyl-4′-+44.626
cyanobicyclohexane
20%5CB + 4-+36.337
propylcyclohexyl-4′-
thiocyanobenzene
20%5CB + 4-+72.0>40
cyanobiphenyl-4′-
pentylcyclohexane

[0061]

The inventors found that materials in the same chemical family as the “poisons” in table 2 also reinforce anchoring. There must only be a small proportion of them in mixtures for bistable displays.

[0062]

More generally, poisons have common characteristics, which provided a means of making correlations between their molecular structure and their anchoring properties. The inventors thus discovered several classes of materials that increase anchoring and that must only be present in small quantities, or must be avoided altogether in mixtures for bistable nematic displays.

[0063]

Examples of “poisons” are products belonging to class D. Their formulas are:

[0064]

[0065]

where:

[0066]

R1is a —CN—, —NCS, —F or —CF3polar group,

[0067]

R5is an R— or —RCOO— group, where R represents an alkyl chain containing 1 to 12 carbon atoms,

[0068]

Z3and Z4are identical or different, and are —C≡C—, —CH2—CH2— groups or simple bonds, and

[0069]

X1and X2are identical or different, and are atoms of fluorine, chlorine or hydrogen.

[0070]

Other examples of products which may be poisons are products belonging to class C. Their formulas are:

[0071]

[0072]

where:

[0073]

R1is a —CN, —NCS, —F or —CF3polar group,

[0074]

R5is an R— or —RCOO— group, where R represents an alkyl chain containing 1 to 12 carbon atoms,

[0075]

Z1and Z2are identical or different, and are —C≡C—, —CH2—CH2—, —COO—, —OCO— groups or simple bonds, and

[0076]

X1and X2are identical or different, and are fluorine, chlorine or hydrogen atoms.

[0000]

b) Indispensable Favourable Products

[0077]

Conversely, the inventors discovered favourable products that can reduce the zenithal anchoring energy of a mixture, sometimes in a strongly non-linear manner. A small concentration may be sufficient to significantly lower the energy. Table 3 contains the critical breaking voltage of pentyl-cyanobiphenyl and of pentyl-cyanobiphenyl doped with about 20% of these materials. The measurements were made at a reduced temperature Tred=0.9 on planar cells with an optical delay λ/2.

[0078]

Examples of nematic products that reduce the breaking voltage (Uλ/2)
when added to the reference nematic (5CB). Favourable products.
Concentration
(% weightNematic productUλ/2/volts at
in the 5CB)(5CB + additive)TN-I/° C.Tred= 0.9
reference4-pentyl-4′-cyanobiphenyl+35.014
(pure 5CB)
19%5CB + 4-butylphenyl-4′-+38.310
propylphenyl-ethyne
20%5CB + 4-pentyl-4′-−73.511
cyanoterphenyl
20%5CB + 3-fluoro-4-+30.812
cyanophenyl-4′-
pentylbenzoate
19%5CB + 5-pentyl-(1.3-+37.512
dioxane)-4′-cyanophenyl
20%5CB + 1-ethyl-4-+14.513
propylcyclohexylbenzene
20%5CB + 4-butyl-4′-+32.513.5
thiocyanobiphenyl

[0079]

The inventors found that materials in the same chemical families as favourable products given in the example in table 3 are also favourable. Said products belong to class A and have the following formulae

[0080]

[0081]

where:

[0082]

R1is a —CN—, —NCS, —F or —CF3polar group,

[0083]

R2is an R—, RO— or —RCOO— group, where R represents an alkyl chain containing 1 to 12 carbon atoms,

[0084]

R3is an R—, RO— or RCOO— group, where R is an alkyl chain containing 1 to 12 carbon atoms or a cycloaliphatic radical possibly containing an alkyl chain with 1 to 12 carbon atoms,

[0085]

Z1and Z2are identical or different, and are —C≡C—, —CH2—CH2—, —COO—, —OCO— groups or simple bonds,

[0086]

and X1and X2are identical or different, and are fluorine, chlorine or hydrogen atoms.

[0087]

Other products belonging to classes B, E and F can further be added (more sophisticated mixtures). They have the following formulae

[0088]


in which:

[0089]

R3and R4are identical or different, and are R—, RO— or —RCOO— groups, where R represents an alkyl chain with 1 to 12 carbon atoms or a cycloaliphatic radical that may carry an alkyl chain with 1 to 12 carbon atoms,

[0090]

Z1and Z2are identical or different, and are —C≡C—, —CH2—CH2—, —COO—, —OCO— groups, or simple bonds, and

[0091]

X1and X2are identical or different, and are atoms of fluorine, chlorine or hydrogen,

[0092]

X3and X4are identical or different, and are hydrogen or halogen atoms, particularly fluorine or chlorine, or R— or RO— groups where R is an alkyl chain with 1 to 12 carbon atoms.

[0000]

2) LC Mixtures of the Invention

[0093]

a) Different Classes of LC with Weak Zenithal Anchoring can be Mixed Together Following the Invention and Have the Following Formulas:

[0094]

[0095]

where:

[0096]

R1is a —CN— or a —NCS polar group or a fluorine atom, preferably a —CN group,

[0097]

R2represents an alkyl chain containing 1 to 12 carbon atoms,

[0098]

R3is an alkyl chain containing 1 to 12 carbon atoms or a cycloaliphatic radical possibly containing an alkyl chain with 1 to 12 carbon atoms,

[0099]

Z1is a —C≡C— group or a simple bond, preferably a simple bond,

[0100]

Z2and Z3are identical or different, and are —COO— groups or simple bonds,

[0101]

and X1is a fluorine or hydrogen atom.

[0102]

Class AI includes the cyano-biphenyls family, materials that are used to demonstrate the feasibility of several bistable displays. All components belonging to class AI have molecules with two cycles and with very few exceptions (for example a few tolanes), and isotropic nematic transition temperatures of less than +50° C. Consequently, it is difficult to make an optimised mixture from AI products only. All mixtures containing this class only have weak anchoring and good coupling with the field, but their temperature ranges are insufficient for practical applications.

[0103]

For example, adding 41% of heptyl-cyanobiphenyl into pentyl-cyanobiphenyl increases the nematic range (TX-N=−2° C. and TN-1=+37.5° C.) while making almost no change to the breaking voltage (Uλ/2=14.7 V at Tred=09). The transition temperature TN-1remains less than 50° C.; therefore it is too low for most applications.

[0104]

Another example, the addition of 30% of butyl-thiocyanobyphenyl, increases the range of pentyl-cyanobiphenyl (TX-N=+15° C. and TN-1=+31° C.) while lowering the anchoring breaking thresholds (Uλ/2=13.5 V at Tred=0.9). The binary mixture thus created has weaker anchoring than the mixture of cyanobiphenyls but its transition temperature TN-1is always less than 50° C.

[0105]

Class AII comprises longer molecules (with three or four cycles); their nematic range is greater than 100° C. Their benefit in a mixture comprising components in class AI provides a means of extending the nematic range towards high temperatures by increasing the transition temperature TN-1without changing the anchoring energy, or even while reducing it. The mixture of pentyl-cyanobiphenyl and pentyl-cyanoterphenyl (20%) is one example of this: TX-N=+5° C., TN-1=+73.5° C. and Uλ/2=11 V at Tred=0.9.

[0106]

Class AIII is formed by phenyl-dioxanes, and they have properties very similar to the properties of materials in class AI. They are polar like these materials, and their nematic range is close to ambient temperature. However, their optical anisotropy is much weaker than that of materials in class AI. They can thus be used to adjust the birefringence of the mixture without changing the other properties. A typical value for birefringence of a cyanophenyl-dioxane is equal to 0.09, compared with 0.18 for a cyanobiphenyl. The breaking threshold of a mixture with equal proportions of 5-propyl-(1.3-dioxane)-4′-cyanophenyl and 5-pentyl-(1.3-dioxane)-4′-cyanophenyl (TX-N=+20° C., TN-1=+42° C.) is equal to Uλ/2=20 V at Tred=0.9. Note that the optimum thickness of the display for this mixture with weak birefringence is twice as much as in the case of cyano-biphenyl. The breaking voltage for a cell with the same thickness as cyano-biphenyl would be 10 V.

[0107]

Molecules of class AIV materials can include two or three cycles. The temperature range varies considerably from one family to another in this class. Mixtures containing only materials in this class have wide temperature ranges.

[0108]

These materials are very polar and their dielectric anisotropy can be as much as 3×10−10F/m. Their coupling with the electric field is thus very strong, which reduces the values of the breaking fields. For example, a mixture of 18% of 3-fluoro-4-cyanophenyl-4′-ethyl-benzoate, 36% of 3-fluoro-4-cyanophenyl-4′-butyl-benzoate, 18% of 3-fluoro-4-cyanophenyl-4′-pentyl-benzoate, and 28% of 3-fluoro-4-cyanophenyl-4′-trans-pentyl-cyclohexyl-carboxy-benzoate TX-N=−25° C., TN-1=+61° C.) has very weak zenithal anchoring breaking thresholds: Uλ/2=10.8 V at Tred=0.9. This mixture can give the temperature range necessary with materials from a single class (AIV). However, note that this mixture is too viscous for most applications.

[0109]

Thus, in conclusion, the inventors found four classes of nematic materials with terminal polar groups with weak anchorings. Their strong dielectric anisotropy results in a high coupling with the electric field and enables switching when they are used in bistable nematic displays. The different molecular structures in the four classes control their nematic domains with temperature ranges in the Celsius scale varying from more than a hundred degrees down to negative temperatures. Compounds in these four classes can be combined to obtain mixtures with a very wide temperature range. To avoid crystallites of compounds of high temperature classes at low temperature, it is also important to mix materials in the same family, for each class; their different aliphatic chains thus will hinder crystallisation.

[0110]

Anchoring properties, dielectric anisotropy and the wide nematic temperature range of the mixtures obtained with these four classes enable the production of bistable nematic displays.

[0111]

b) Materials for More Sophisticated Mixtures

[0112]

If we use only class A compounds with terminal polar groups one obtain mixtures with very high birefringence and very high viscosity. Even the phenyl-dioxanes mentioned above are incapable of reducing birefringence to below 0.09.

[0113]

The inventors have discovered material classes that can complement the recipe for mixtures made using materials in classes A, so as to optimise adaptation of the viscosity and birefringence of mixtures. These classes have the following formulas:

[0114]


in which:

[0115]

R4and R5are identical or different and are chosen from the group constituted by cycloaliphatic radicals that may carry an alkyl chain with 1 to 12 carbon atoms, R—, RO—, or R—COO— radicals, where R represents an alkyl chain with 1 to 12 carbon atoms, preferably R4and R5(identical or different) are a cyclohexyl radical, which may be substituted by a C1-C12alkyl, or an alkyl chain with 1 to 12 carbon atoms,

[0116]

R6represents an alkyl chain with 1 to 12 carbon atoms or an alkoxy group with 1 to 12 carbon atoms,

[0117]

Z4is a —C≡C— group, a —CH2—CH2— group, a —COO— group or a simple bond, and X1is a fluorine or hydrogen atom.

[0118]

As regards compound EI, Z4preferably represents a —COO— radical.

[0119]

The inventors have shown that compounds in these classes mixed with compounds A keep the anchoring weak and can make it even weaker. These compounds strongly reduce the viscosity of the mixture and thus increase the display rate. However, since they are not polar, the materials in these classes reduce the dielectric anisotropy, and therefore coupling with the electric field. They can thus increase the value of the breaking threshold. Compounds with formula B make the anchoring weaker, prolong the nematic phase at fairly high temperatures and reduce viscosity by preventing dimerisation of A compounds. Compounds with formula E make zenithal anchoring weaker and improve miscibility of F compounds in the mixture. Compounds with the F formula strongly reduce the viscosity.

[0120]

Products belonging to classes DI and DII are to be used in small proportions. Their formulas are:

[0121]

[0122]

where:

[0123]

R1is a —CN— or a —NCS polar group or a fluorine atom, preferably R1is a —CN— group,

[0124]

R2is an alkyl chain containing 1 to 12 carbon atoms,

[0125]

Z2is a —COO— group or a simple bond, preferably a simple bond,

[0126]

X1and X2are identical or different, and are a fluorine or hydrogen atoms, preferably X1and X2are both hydrogen atoms.

[0127]

The inventors have demonstrated that these materials are “poisons” for weak zenithal anchoring. The mixtures of weak zenithal anchoring property should not contain more than a small proportion of compounds of this class, preferably less than 5% by weight.

[0128]

Products belonging to classes CI and CII reinforce anchoring to a lesser extent, but should also be avoided. Their formulas are:

[0129]

[0130]

in which:

[0131]

R1is a —CN group, a —NCS group or a fluorine atom

[0132]

R′1is a —CN group, a —NCS group or a fluorine atom or a radical —OR, wherein R is an alkyl chain containing 1 to 12 carbon atoms possibly substituted by fluorine atom(s),

[0133]

R2is an alkyl chain containing 1 to 12 carbon atoms,

[0134]

R6is an alkyl chain or an alkoxy chain containing 1 to 12 carbon atoms,

[0135]

Z5is a radical chosen from the group consisting of a —CH2—CH2— group, a —COO— group and a simple bond,

[0136]

X1and X2are identical or different, and are a fluorine or hydrogen atom.

[0137]

R1preferably represents a —CN group or a fluorine atom. R′1preferably represents

    • a fluorine atom or
    • a radical —OR, wherein R is an alkyl chain containing 1 to 12 carbon atoms possibly substituted by fluorine atom(s), preferably difluoromethoxy radical.

[0140]

It is important that mixtures should only contain a very small proportion of compounds of these classes, preferably less than 20% by weight, or even not at all, so that they can maintain weak zenithal anchoring.

[0141]

The inventors demonstrated that the materials DI, DII, CI and CII are “poisons” for the weak zenithal anchoring. However, it should be mentioned that they do have some attractive properties; apart from the fact that they widen the temperature range of the mixture, they all have terminal polar groups, which enables strong coupling with the field. Their viscosity is sometimes low and they then increase the switching speed.

[0000]

Use of the Liquid Crystal Mixtures

[0142]

The inventors made nematic mixtures with weak zenithal anchoring energy using the liquid crystal classes following the invention. These mixtures can give a weaker zenithal anchoring within a wide temperature range. The proportions of the various compounds in the mixtures can be adjusted depending of the mechanical, electrical and optical properties necessary to optimize the different bistable displays.

[0143]

The nematic liquid crystal mixture is used in a bistable liquid crystal device having a weak zenithal anchoring on at least one of these plates, characterised by a breaking voltage Uλ/2<25 volts for a cell with thickness d such that Δn d=275 nm (value measured at a temperature of +20° C.). Said composition involves particular compounds for which the relative proportions are determined to obtain a mixture that possesses the following simultaneously:

    • the new property of having weak zenithal anchoring of the liquid crystal mixture on at least one of the plates of the bistable display. This anchoring is characterised by a breaking voltage Uλ/2<25 volts for a cell with thickness d such that Δn d=295 nm (value measured at a temperature of +20° C.),
    • preferably, a nematic-isotropic liquid transition temperature (TN-1) of the liquid crystal mixture greater than or equal to +50° C.,
    • a nematic range ΔTNof the liquid crystal mixture greater than or equal to 50° C., and
    • a positive dielectric anisotropy larger than or equal to 8×10−11F/m, value measured at a temperature of +20° C.

[0148]

The composition according to the invention is made by mixing at least 40% by weight, and preferably at least 50% by weight and more preferably between 60% and 90% by weight, of compounds chosen from among compounds with formulas AI, AII, AIII and AIV (group A), which is essential to provide a high dielectric anisotropy of the mixture. The use of materials in these different classes also contributes to widening the nematic temperature range.

[0149]

The mixture may contain up to 50%, and preferably between 10% and 50% by weight, of compounds with weak anchoring chosen from among compounds with formulas BI, EI and FI, which can reduce the viscosity and birefringence of the mixture if necessary.

[0150]

It must contain less than 20% by weight and preferably none of the compounds chosen from among the compounds with CI and CII formulas to prevent an increase in the anchoring energy. They must only be added for precise applications, for example in which the viscosity has to be reduced without reducing the dielectric anisotropy.

[0151]

In particular, the mixture must not contain more than 5% by weight, and preferably none of the compounds with formula DI and DII that strongly increase zenithal anchoring.

[0152]

Compounds with formulas AI to AIV, BI, CI and CII, DI and DII, EII, FI are known (Handbook of Liquid Crystals (1998) WILEY-VCH Weinheim), but their use to make mixtures with weak zenithal anchoring suitable for bistable nematic displays has never been described.

[0153]

In one advantageous embodiment of the invention:

    • the compounds with formula AI are chosen from the group including 4-ethyl-4′-cyanobiphenyl, 4-propyl-4′-cyanobiphenyl, 4-butyl-4′-cyanobiphenyl, 4-pentyl-4′-cyanobiphenyl, 4-hexyl-4′-cyanobiphenyl, 4-heptyl-4′-cyanobiphenyl, 4-octyl-4′-cyanobiphenyl, 4-nonyl-4′-cyanobiphenyl, 4-decyl-4′-cyanobiphenyl, 4-undecyl-4′-cyanobiphenyl, 4-butyl-thiocyanatophenyl, 4-butylphenylethynylene-3′-fluoro-4′-cyanophenyl, 4-pentylphenylethynylene-3′-fluoro-4′-thiocyanatophenyl and 4-butoxyphenylethynylene-3′-fluoro-4′-thiocyanatophenyl.
    • the compounds with formula AII are chosen from the group comprising 4-cyanobiphenyl-4′-pentylbenzoate, 3-fluoro-4-cyanophenyl-4′-trans-pentyl-phenylbenzoate, 3-fluoro-4-cyanophenyl-4′-trans-pentyl-cyclohexyl-phenyl-carboxy-benzoate, 4-pentyl-4′-cyanoterphenyl and 4-pentyl-3′-fluoro-4′-cyanoterphenyl, 4-cyanobiphenyl-4′-ethyl-benzoate, 4-cyanobiphenyl-4′-propyl-benzoate, 4-cyanobiphenyl-4′-butyl-benzoate, 4-cyanobiphenyl-4′-hexyl-benzoate and 4-pentyl-trans-cyclohexyl-benzoate-4′-phenyl-carboxylate of 4-cyano-3-fluoro-benzene.
    • the compounds with formula AIII are chosen from the group comprising 4-(5-propyl-[1.3]dioxane-2-yl)-cyanobenzene and 4-(5-pentyl-[1.3]dioxane-2-yl)-cyanobenzene.
    • the compounds with formula AIV are chosen from the group comprising 4-cyanophenyl-4′-trans-propyl-cyclohexyl-benzoate, 4-cyanophenyl-4′-trans-butyl-cyclohexyl-benzoate, 4-cyanophenyl-4′-trans-pentyl-cyclohexyl-benzoate, 3-fluoro-4-cyanophenyl-4′-trans-ethyl-cyclohexyl-benzoate, 3-fluoro-4-cyanophenyl-4′-trans-propyl-cyclohexyl-benzoate, 3-fluoro-4-cyanophenyl-4′-trans-butyl-cyclohexyl-benzoate, 3-fluoro-4-cyanophenyl-4′-trans-pentyl-cyclohexyl-benzoate, 3-fluoro-4-cyanophenyl-4′-trans-ethyl-cyclohexyl-carboxy-benzoate, 3-fluoro-4-cyanophenyl-4′-trans-propyl-cyclohexyl-carboxy-benzoate, 3-fluoro-4-cyanophenyl-4′-trans-butyl-cyclohexyl-carboxy-benzoate, 3-fluoro-4-cyanophenyl-4′-trans-pentyl-cyclohexyl-carboxy-benzoate, 4-cyanophenyl-4′-ethylbenzoate, 4-cyanophenyl-4′-propylbenzoate, 4-cyanophenyl-4′-butylbenzoate, 4-cyanophenyl-4′-pentylbenzoate, 4-cyanophenyl-4′-hexylbenzoate, 4-cyanophenyl-4′-octylbenzoate, 3-fluoro-4-cyanophenyl-4′-ethylbenzoate, 3-fluoro-4-cyanophenyl-4′-propylbenzoate, 3-fluoro-4-cyanophenyl-4′-butylbenzoate, 3-fluoro-4-cyanophenyl-4′-pentylbenzoate, 4-fluorophenyl-4′-trans-propyl-cyclohexyl-benzoate and 3-fluoro-4-thiocyanatophenyl-4′-trans-butyl-cyclohexyl-benzoate.
    • the compounds with formula BI are chosen from the group comprising 4,4′-Bis-(4-propylcyclohexyl)-3-fluorobiphenyl, 4,4′-Bis-(4-propylcyclohexyl)-biphenyl, 4′-(4-pentyl-cyclohexyl)-4-(4-propyl-cyclohexyl)-biphenyl, 4′-methyl-4-pentyl-biphenyl, 4-pentylphenyl-4′-propylphenylcarboxylate, 4-pentylphenyl-4′-pentylphenylcarboxylate, 4-propylphenyl-4′-methoxyphenylcarboxylate, 4-ethylphenylethynylene-4′-ethylphenyl, 4-propylphenylthynylene-4′-methylphenyl, 4-propylphenylthynylene-4′-butylphenyl, 4-hexyloxyphenylthynylene-4′-hexyloxyphenyl, 4-heptylphenylthynylene-4′-propoxyphenyl, 4-pentylcarboxyphenylthynylene-4′-methoxyphenyl, 4-hexylcarboxyphenylthynylene-4′-methoxyphenyl, 4-heptylcarboxyphenylthynylene-4′-methoxyphenyl, 4-octylcarboxyphenylthynylene-4′-methoxyphenyl, 4-nonylcarboxyphenylthynylene-4′-methoxyphenyl, 4-butylcarboxyphenylthynylene-4′-propoxyphenyl, 4-butylcarboxyphenylthynylene-4′-hexyloxyphenyl, 4-pentylcarboxyphenylthynylene-4′-hexyloxyphenyl, 4-ethylcarboxyphenylthynylene-4′-ethylcarboxyphenyl, 4-butylcarboxyphenylthynylene-4′-butylcarboxyphenyl, 4-hexylcarboxyphenylthynylene-4′-hexylcarboxyphenyl, 4-octylcarboxyphenylthynylene-4′-octylcarboxyphenyl, 4′-ethyl-4-(4-propyl-cyclohexyl)-biphenyl, 4′-ethyl-4-(4-pentyl-cyclohexyl)-biphenyl, 4′-propyl-4-(4-heptyl-cyclohexyl-carboxylate)-biphenyl, 4′-ethyl-4-(4-pentyl-cyclohexyl)-3-fluorobiphenyl, 4-propylphenyl-4′-propylcyclohexylphenylcarboxylate, 4-propylphenyl-4′-pentylcyclohexylbenzoate, 4-(trans-propyl-cyclohexyl)-phenylethynylene-4′-ethylphenyl and 4-(trans-pentyl-cyclohexyl)-phenylethynylene-4′-ethylphenyl.
    • the compound with formula EI may for example be 4-pentylphenyl-4′-trans-pentylcyclohexylenecarboxylate, 4-methylphenyl-4′-trans-propylcyclohexylenecarboxylate, 4-propylphenyl-4′-trans-propylcyclohexylenecarboxylate, 4-pentylphenyl-4′-trans-propylcyclohexylenecarboxylate, 4-methylphenyl-4′-trans-pentylcyclohexylenecarboxylate, 4-propylphenyl-4′-trans-pentylcyclohexylenecarboxylate, 4-ethyl-4′-trans-propylcyclohexyl-phenyl, 4-propyl-4′-trans-heptylcyclohexyl-phenyl and 4-propylphenyl-4′-trans-pentylcyclohexylenecyclohexylenecarboxylate.
    • the compound with formula FI may for example be 4-methoxy-4′-propyl-bycyclohexyl.

[0161]

Compositions according to the invention may be prepared by any method known to those skilled in the art. For example, after assembling the compounds, the mixture will be homogenised in an isotropic phase by magnetic stirring in a water bath under a neutral atmosphere.

[0162]

The liquid crystal compositions for use in a bistable liquid crystal device according to the invention may optionally further contain one or more further additives known to the skilled person and described in literature. Examples of those further additives are stabilizers, chiral dopants and pleochromatic dyes. If used, they are contained in usual concentrations. The total concentration of said further additives in the range from 0 to 15 weight %, preferably in the range from 0.01 to 10 weight %, especially preferred not more than 6 weight %, based on the total weight of the composition. The concentration of each single additive is usually in the range from 0.01 to 3 weight %, if present. The concentration of said further additives and likewise constituents of the liquid crystal composition are not taken into account for the specification of the concentration of the other compounds comprised in the liquid crystal composition.

[0163]

As chiral dopants for example cholesterylnonanoate (CN), R/S-811, R/S-1011 and R/S-2011 or CB15 (Merck KGaA, Darmstadt, Germany) may be used. Althought S-811 might be a preferred dopant, the specific choice of the dopants is not a critical issue. The preferred concentration of S-811 is about 1.45%, preferably between 1.4% and 1.5%.

[0164]

The liquid crystal composition for use in the bistable nematic devices with weak zenithal anchoring of the invention may also contain one or more light stabilizers and/or additives like pleochromatic dyes known in the states of the art. As stabilizer, 2,4,6-tri-tert-butylphenol may be used at a preferred concentration ranging from about 0.01% to about 0.2%. This addition does not modify the physical properties of the liquid crystal composition.

[0165]

The following dopants may optionally be present in the liquid crystal compositions for use in the bistable nematic devices with weak zenithal anchoring of the invention.

[0166]

[0167]

The following stabilizers may optionally be present in the liquid crystal compositions for use in the bistable nematic devices with weak anchoring of the invention.

[0168]

[0169]

The compositions of the invention are used in a bistable liquid crystal device having a weak zenithal anchoring on at least one of these plates, having a breaking voltage Uλ/2<25 volts for a cell with thickness d such that Δn d=275 nm (value measured at a temperature of +20° C.).

[0170]

The compositions of the invention are particularly appropriate for use in a bistable liquid crystal device comprising a liquid crystal composition being situated between two substrates, forming a cell, and electrode structures with alignment layers on the inner side of said substrates, whereby at least one alignment layer comprises a weak zenithal anchoring characterised by a breaking voltage Uλ/2<25 Volts for a cell with thickness d such that Δnd=275 nm (value measured at T=20° C.), that permits the compounds of said liquid crystal composition to adopt at least two different stable states and to switch between the two stable states when suitable electric signal is applied to said electrodes.

[0171]

The device is preferably of the anchoring breaking type.

[0172]

In particular, the device uses two stable textures, one uniform or slightly twisted texture in which the molecules are at least approximately parallel to each other, and the other that differs from the first by a twist of +/−180°. The switch between the two stable textures is preferably obtained by breaking the zenithal anchoring on at least one of it the substrates. Moreover, the anchoring on both aligment layers is monostable.

[0173]

Another purpose of this invention is a bistable liquid-crystal device which contains these liquid-crystal mixtures. This bistable liquid crystal device preferably comprises

    • a liquid crystal composition between two substrates to form a cell,
      • electrode structures with alignment layers on the inner side of said substrates, whereby at least one alignment layer comprises a weak zenithal anchoring characterised by a breaking voltage Uλ/2<25 Volts for a cell with thickness d such that Δnd=275 nm (value measured at T=20° C.), that permits the compounds of said liquid crystal composition to adopt at least two different stable states and to switch between the two stable states when suitable electric signal is applied to said electrodes,
    • wherein the liquid crystal composition is as defined above.

[0177]

The compounds according to the invention are particularly preferably used in displays of the BINEM® type.

[0178]

According to a preferred embodiment of the invention, in this display, the device uses two textures, one uniform or slightly twisted texture in which the molecules are at least approximately parallel to each other, and the other that differs from the first by a twist of +/−180°. The switching between these two textures is preferably made by breaking the anchoring on at least one of the substrates.

Illustrative Embodiment

[0179]

The following examples illustrate the invention without limiting its scope.

[0180]

The first five examples of mixtures were made solely from products belonging to the four A chemical classes. They show that the inventors have made mixtures with weak anchoring (Uλ/2≅10 V) with these products. Compounds chosen from these various classes are necessary for the mixture to have the very wide indicated temperature range.

EXAMPLE 1

[0181]

6.4AI4-ethyl-4′-cyanobiphenyl
4.1AI4-propyl-4′-cyanobiphenyl
35.7AI4-pentyl-4′-cyanobiphenyl
19.1AI4-heptyl-4′-cyanobiphenyl
3.6AIV4-cyanophenyl-4′-ethylbenzoate
2.9AIV4-cyanophenyl-4′-propylbenzoate
5.1AIV4-cyanophenyl-4′-pentylbenzoate
18.4AIV3-fluoro-4-cyanophenyl-4′-trans-pentyl-
cyclohexyl-carboxy-benzoate
4.7AII3-fluoro-4-cyanophenyl-4′-trans-pentyl-
cyclohexyl-phenyl-carboxy-benzoate
TN-I= +67° C.;
TX-N< −20° C.;
ΔTN> 87° C.
Uλ/2= 15.5 V at Tred= 0.9;
Uλ/2= 19.1 V at T = 20° C.

EXAMPLE 2

[0182]

23.1AI4-pentyl-4′-cyanobiphenyl
16.1AI4-heptyl-4′-cyanobiphenyl
7.2AIV4-cyanophenyl-4′-ethylbenzoate
7.2AIV4-cyanophenyl-4′-propylbenzoate
13.1AIV4-cyanophenyl-4′-butylbenzoate
14.5AIV4-cyanophenyl-4′-pentylbenzoate
12.6AII3-fluoro-4-cyanophenyl-4′-pentyl-
phenylbenzoate
6.2AII3-fluoro-4-cyanophenyl-4′-trans-pentyl-
cyclohexyl-phenyl-carboxy-benzoate
TN-I= +67° C.;
TX-N< −20° C.;
ΔTN> 87° C.
Uλ/2= 10.8 V at Tred= 0.9;
Uλ/2= 15.2 V at T = 20° C.

EXAMPLE 3

[0183]

23.7AI4-pentyl-4′-cyanobiphenyl
16.5AI4-heptyl-4′-cyanobiphenyl
6.9AIV3-fluoro-4-cyanophenyl-4′-ethylbenzoate
6.9AIV3-fluoro-4-cyanophenyl-4′-propylbenzoate
12.8AIV3-fluoro-4-cyanophenyl-4′-butylbenzoate
13.9AIV3-fluoro-4-cyanophenyl-4′-pentylbenzoate
13.2AII4-cyanobiphenyl-4′-pentylbenzoate
6.1AII3-fluoro-4-cyanophenyl-4′-trans-pentyl-
cyclohexyl-phenyl-carboxy-benzoate
TN-I= +62° C.;
TX-N< −20° C.;
ΔTN> 82° C.
Uλ/2= 10.1 V at Tred= 0.9;
Uλ/2= 13.4 V at T = 20° C.

EXAMPLE 4

[0184]

21.8AI4-pentyl-4′-cyanobiphenyl
15.2AI4-heptyl-4′-cyanobiphenyl
7.3AIV3-fluoro-4-cyanophenyl-4′-ethylbenzoate
7.3AIV3-fluoro-4-cyanophenyl-4′-propylbenzoate
13.3AIV3-fluoro-4-cyanophenyl-4′-butylbenzoate
14.7AIV3-fluoro-4-cyanophenyl-4′-pentylbenzoate
13.7AII3-fluoro-4-cyanophenyl-4′-
pentylphenylbenzoate
6.7AII4-pentyl-trans-cyclohexyl-benzoate-4′-
phenyl-carboxylate of 4 cyano-3-
fluorobenzene
TN-I= +61° C.;
TX-N< −20° C.;
ΔTN> 81° C.
Uλ/2= 12.6 V at Tred= 0.9;
Uλ/2= 14.2 V at T = 20° C.

EXAMPLE 5

[0185]

8.5AI4-ethyl-4′-cyanobiphenyl
4.2AI4-butyl-4′-cyanobiphenyl
29.8AI4-pentyl-4′-cyanobiphenyl
3.5AI4-pentyl-4′-cyanobiphenyl
8AIV3-fluoro-4-cyanophenyl-4′-ethylbenzoate
16AIV3-fluoro-4-cyanophenyl-4′-butylbenzoate
8AIV3-fluoro-4-cyanophenyl-4′-pentylbenzoate
14AII3-fluoro-4-cyanophenyl-4′-pentyl-
phenylbenzoate
4AIV3-fluoro-4-cyanophenyl-4′-trans-pentyl-
cyclohexylbenzoate
4AIV3-fluoro-4-cyanophenyl-4′-trans-cyclohexyl-
carboxybenzoate
TN-I= +74° C.;
TX-N< −21° C.;
ΔTN> 95° C.
Uλ/2= 10.1 V at Tred= 0.9;
Uλ/2= 11.2 V at T = 20° C.

[0186]

For some applications, the birefringence of the previous mixtures may be too high (Δn≅0.2). The addition of materials belonging to B chemical classes using the groups X1, X2, X3or X4provides a means of adjusting the birefringence to 0.15. The following examples show that there is a risk of reducing the temperature range.

EXAMPLE 6

[0187]

12.2AI4-ethyl-4′-cyanobiphenyl
7.0AI4-propyl-4′-cyanobiphenyl
29.2AI4-pentyl-4′-cyanobiphenyl
15.9AI4-heptyl-4′-cyanobiphenyl
6.7AIII4-(5-propyl-[1.3] dioxane-2-yl)-
cyanobenzene
10.7AIII4-(5-pentyl-[1.3] dioxane-2-yl)-
cyanobenzene
4.2BI4,4′-Bis-(4-propyl-cyclohexyl)-3-
fluorobiphenyl
6.1BI4,4′-Bis-(propyl-cyclohexyl)-biphenyl
8.0BI4′-(4-pentyl-cyclohexyl)-4-(4-propyl-
cyclohexyl)-biphenyl
TN-I= +76° C.;
TX-N= +17° C.;
ΔTN= 59° C.
Uλ/2= 13.6 V at Tred= 0.9;
Uλ/2= 18.4 V at T = 20° C.

EXAMPLE 7

[0188]

23.2AI4-pentyl-4′-cyanobiphenyl
16.1AI4-heptyl-4′-cyanobiphenyl
7.2AIV3-fluoro-4-cyanophenyl-4′-ethylbenzoate
7.2AIV3-fluoro-4-cyanophenyl-4′-propylbenzoate
13.2AIV3-fluoro-4-cyanophenyl-4′-butylbenzoate
14.5AIV3-fluoro-4-cyanophenyl-4′-pentylbenzoate
12.7AII4-cyanobiphenyl-4′-pentylbenzoate
5.9BI4,4′-Bis-(4-propyl-cyclohexyl)-biphenyl
TN-I= +61° C.;
TX-N= +5° C.;
ΔTN= 56° C.
Uλ/2= 10.1 V at Tred= 0.9;
Uλ/2= 13.2 V at T = 20° C.

EXAMPLE 8

[0189]

22.6AI4-pentyl-4′-cyanobiphenyl
15.7AI4-heptyl-4′-cyanobiphenyl
7.3AIV3-fluoro-4-cyanophenyl-4′-ethylbenzoate
7.3AIV3-fluoro-4-cyanophenyl-4′-propylbenzoate
13.2AIV3-fluoro-4-cyanophenyl-4′-butylbenzoate
14.7AIV3-fluoro-4-cyanophenyl-4′-pentylbenzoate
13.2AII3-fluoro-4-cyanophenyl-4′-pentyl-5-
phenylbenzoate
6.0BI4,4′-Bis (4-propyl-cyclohexyl)-biphenyl
TN-1= +58° C.;
TX-N< −10° C.;
ΔTN> 68° C..
Uλ/2= 10.9 V at Tred= 0.9;
Uλ/2= 12.9 V at T = 20° C..

EXAMPLE 9

[0190]

23.8AI4-pentyl-4′-cyanobiphenyl
16.5AI4-heptyl-4′-cyanobiphenyl
7.2AIV3-fluoro-4-cyanophenyl-4′-ethylbenzoate
7.2AIV3-fluoro-4-cyanophenyl-4′-propylbenzoate
13.3AIV3-fluoro-4-cyanophenyl-4′-butylbenzoate
14.5AIV3-fluoro-4-cyanophenyl-4′-pentylbenzoate
11.6AII3-fluoro-4-cyanophenyl-4′-pentyl-
phenylbenzoate
5.9BI4,4′-Bis(4-propyl-cyclohexyl)-biphenyl
TN-1= +55° C.;
TX-N< −10° C.;
ΔTN> 65° C..
Uλ/2= 11.9 V at Tred= 0.9;
Uλ/2= 12.8 V at T = 20° C..

[0191]

In the following example, the inventors introduced a compound in class E to restore a very wide range of temperature, despite the presence of B materials useful to adjust the birefringence.

EXAMPLE 10

[0192]

13.0AI4-pentyl-4′-cyanobiphenyl
13.0AI4-heptyl-4′-cyanobiphenyl
6.3AIV3-fluoro-4-cyanophenyl-4′-ethylbenzoate
10.8AIV3-fluoro-4-cyanophenyl-4′-propylbenzoate
12.1AIV3-fluoro-4-cyanophenyl-4′-butylbenzoate
12.1AIV3-fluoro-4-cyanophenyl-4′-pentylbenzoate
14.0EI4-pentylphenyl-4′-pentylcyclohexylcarboxylate
8.6AIV4-cyanophenyl-4′-trans-butyl-cyclohexylbenzoate
4.2AIV3-fluoro-4-cyanophenyl-4′-trans-pentyl-
cyclohexylbenzoate
3.9BI4,4′-Bis (4-propyl-cyclohexyl)-3-fluorobiphenyl
2.7BI4,4′-Bis (4-propyl-cyclohexyl)-biphenyl
TN-1= +61° C.;
TX-N< −16° C.;
ΔTN> 77° C..
Uλ/2= 12.8 V at Tred= 0.9;
Uλ/2= 14.2 V at T = 20° C..

[0193]

The last example is particularly interesting; it confirms the difference between mixtures optimised for displays with anchoring breaking and mixtures optimised for conventional displays. Mixtures with weak anchoring are necessary to lower the consumption and price of control electronics for anchoring breaking displays (Uλ/2<25V (surface property)); with classical displays, the same result is obtained by lowering the Fréedericksz threshold voltage (volume property).

[0194]

Example 11 shows that these two properties are not directly related. This mixture only contains 50% of polar materials. Its dielectric anisotropy and its optical birefringence are significantly less than corresponding values in other examples.

[0195]

This makes its Fréedericksz threshold increase significantly (1 V instead of 0.6 V). It would be considered as being average for a conventional display. It is better than the other examples for an anchoring breaking display; its anchoring is identical but its weak birefringence means that a thicker cell can be used, which is therefore easier to make.

EXAMPLE 11

[0196]

14.3AI4-pentyl-4′-cyanobiphenyl
10.4AI4-heptyl-4′-cyanobiphenyl
3.0AIV3-fluoro-4-cyanophenyl-4′-ethylbenzoate
4.9AIV3-fluoro-4-cyanophenyl-4′-propylbenzoate
5.8AIV3-fluoro-4-cyanophenyl-4′-butylbenzoate
6.4AIV3-fluoro-4-cyanophenyl-4′-pentylbenzoate
5.4A.II4-pentyl-trans-cyclohexyl-benzoate-4′-phenyl-
carboxylate of 4-cyano-3-fluorobenzene
5.4A.II4-pentyl-trans-cyclohexyl-benzoate-4′-phenyl-
carboxylate of 4-cyano-3-fluorobenzene
8.4E.I4-pentylphenyl-4′-propylcyclohexylenecarboxylate
5.2E.I4-pentylphenyl-4′-pentylcyclohexylenecarboxylate
12.1B.I4-pentylphenyl-4′-propylphenylcarboxylate
7.5B.I4-pentylphenyl-4′-pentylphenylcarboxylate
4.2B.I4,4′-Bis-(4-propyl-cyclohexyl)-biphenyl
4.1B.I4-propylcyclohexyl-4′-pentylcyclohexyl biphenyl
4.1B.I4-propylphenylethynylene-4′-butyl phenyl
4.2B.I4-hexylcarboxyphenylethynylene-4′-hexylcarboxyl
phenyl
TN-1= +58 C.;
TX-N< −3° C.;
ΔTN= 61° C..
Uλ/2= 15.7 V at Tred= 0.9;
Uλ/2= 16.3 V at T = 20° C..

Other examples are given below.

EXAMPLE 12

[0197]

22A IV4-cyanophenyl-4′-ethylbenzoate
32A IV4-cyanophenyl-4′-butylbenzoate
11A IV4-cyanophenyl-4′-pentylbenzoate
25A IV4-cyanophenyl-4′-hexylbenzoate
4A IV4-cyanophenyl-4′-trans-propyl-cyclohexylbenzoate
4A IV4-cyanophenyl-4′-trans-butyl-cyclohexylbenzoate
2A IV4-cyanophenyl-4′-trans-pentyl-cyclohexylbenzoate
TN-1= 59.8° C.;
Uλ/2= 20.4 V at T = 20° C.

EXAMPLE 13

[0198]

17A IV3-fluoro-4-cyanophenyl-4′-ethylbenzoate
34A IV3-fluoro-4-cyanophenyl-4′-butylbenzoate
17A IV3-fluoro-4-cyanophenyl-4′-pentylbenzoate
10A IV3-fluoro-4-cyanophenyl-4′-trans-propyl-
cyclohexylbenzoate
12A IV3-fluoro-4-cyanophenyl-4′-trans-butyl-
cyclohexylbenzoate
10A IV3-fluoro-4-cyanophenyl-4′-trans-pentyl-
cyclohexylbenzoate
TN-1= 59.6° C.;
Uλ/2= 8.9 V at T = 20° C.

EXAMPLE 14

[0199]

18A. I4-ethyl-4′-cyanobiphenyl
9A. I4-pentyl-4′-cyanobiphenyl
64A. I4-heptyl-4′-cyanobiphenyl
9A. II4-pentyl-4′cyanoterphenyl
TN-1= 51.1° C.;
Uλ/2= 15.8 V at T = 20° C.

EXAMPLE 15

[0200]

42A.I4-pentyl-4′-cyanobiphenyl
28A.I4-heptyl-4′-cyanobiphenyl
10A.IV3-fluoro-4-cyanophenyl-4′-butylbenzoate
5A.IV3-fluoro-4-cyanophenyl-4′-pentylbenzoate
15A.IV3-fluoro-4-cyanophenyl-4′-trans-butyl-
cyclohexylbenzoate
TN-1= 50° C.;
Uλ/2= 13.2 V at T = 20° C.

EXAMPLE 16

[0201]

5A.II4-propyl-3′-fluoro-4′-cyanoterphenyl
47A.III4-(5-propyl-[1.3] dioxane-2-yl)-cyanobenzene
48A.III4-(5-pentyl-[1.3] dioxane-2-yl)-cyanobenzene
TN-1= 50.7° C.
Uλ/2= 6.3 V at T = 20° C.

EXAMPLE 17

[0202]

3A.II4-cyanobiphenyl-4′-propyl-benzoate
4A.II4-cyanobiphenyl-4′-butyl-benzoate
22A.IV4-cyanophenyl-4′-ethylbenzoate
34A.IV4-cyanophenyl-4′-butylbenzoate
11A.IV4-cyanophenyl-4′-pentylbenzoate
26A.IV4-cyanophenyl-4′-hexylbenzoate
TN-1= 56.7° C.
Uλ/2= 21.1 V at T = 20° C.

EXAMPLE 18

[0203]

47A.III4-(5-propyl-[1.3] dioxane-2-yl)-cyanobenzene
47A.III4-(5-pentyl-[1.3] dioxane-2-yl)-cyanobenzene
6A.IV3-fluoro-phenyl-4′-trans-propyl-cyclohexylbenzoate
TN-1= 51° C.
Uλ/2= 7.7 V at T = 20° C.

EXAMPLE 19

[0204]

39A.I4-pentyl-4′-cyanobiphenyl
26A.I4-heptyl-4′-cyanobiphenyl
7A.II4-pentyl-4′cyanoterphenyl
14A.III4-(5-propyl-[1.3] dioxane-2-yl)-cyanobenzene
14A.III4-(5-pentyl-[1.3] dioxane-2-yl)-cyanobenzene
TN-1= 50.8° C.;
Uλ/2= 9.3 V at T = 20° C.

EXAMPLE 20

[0205]

45A.I4-pentyl-4′-cyanobiphenyl
30A.I4-heptyl-4′-cyanobiphenyl
7A.II3-fluoro-4-cyanophenyl-4′-pentyl-
phenylbenzoate
4A.II4-pentyl-trans-cyclohexyl-benzoate-4′-
phenyl-carboxylate of 4-cyano-3-fluoro-
benzene
7A.IV3-fluoro-4-cyanophenyl-4′-propylbenzoate
7A.IV3-fluoro-4-cyanophenyl-4′-pentylbenzoate
TN-1= 50.6° C.;
Uλ/2= 15 V at T = 20° C.

EXAMPLE 21

[0206]

15A.I4-pentyl-4′-cyanobiphenyl
10A.I4-heptyl-4′-cyanobiphenyl
34A.34-(5-propyl-[1.3] dioxane-2-yl)-cyanobenzene
34A.34-(5-pentyl-[1.3] dioxane-2-yl)-cyanobenzene
7A.IV4-fluoro-phenyl-4′-trans-propyl-
cyclohexylbenzoate
TN-1= 50.6° C.;
Uλ/2= 8.7 V at T = 20° C.

EXAMPLE 22

[0207]

9A.I4-ethyl-4′-cyanobiphenyl
4A.I4-pentyl-4′-cyanobiphenyl
32A.I4-heptyl-4′-cyanobiphenyl
3A.II4-pentyl-4′cyanoterphenyl
22A.III4-(5-propyl-[1.3] dioxane-2-yl)-cyanobenzene
22A.III4-(5-pentyl-[1.3] dioxane-2-yl)-cyanobenzene
3A.IV4-cyanophenyl-4′-trans-propyl-cyclohexylbenzoate
4A.IV4-cyanophenyl-4′-trans-butyl-cyclohexylbenzoate
1A.IV4-cyanophenyl-4′-trans-pentyl-cyclohexylbenzoate
TN-1= 56.1° C.;
Uλ/2= 10.4 V at T = 20° C.

EXAMPLE 23

[0208]

2A.I4-cyanobiphenyl-4′-propyl-benzoate
2A.I4-cyanobiphenyl-4′-butyl-benzoate
15A.IV4-cyanophenyl-4′-ethylbenzoate
22A.IV4-cyanophenyl-4′-butylbenzoate
7A.IV4-cyanophenyl-4′-pentylbenzoate
17A.IV4-cyanophenyl-4′-hexylbenzoate
14B.I4-pentylphenyl-4′-propylphenylcarboxylate
10B.I4-pentylphenyl-4′-pentylphenylcarboxylate
6B.I4-propylphenyl-4′-propylcyclohexylbenzoate
5B.I4-propylphenyl-4′-pentylcyclohexylbenzoate
TN-1= 59° C.;
Uλ/2= 24 V at T = 20° C.

EXAMPLE 24

[0209]

23A.I4-pentyl-4′-cyanobiphenyl
17A.I4-heptyl-4′-cyanobiphenyl
10A.IV3-fluoro-4-cyanophenyl-4′-ethylbenzoate
5A.IV3-fluoro-4-cyanophenyl-4′-propylbenzoate
5A.IV3-fluoro-4-cyanophenyl-4′-butylbenzoate
16A.IV3-fluoro-4-cyanophenyl-4′-trans-butyl-
cyclohexylbenzoate
8E.I4-methylphenyl-4′-propylcyclohexylenecarboxylate
8E.I4-methylphenyl-4′-pentylcyclohexylenecarboxylate
8E.I4-pentylphenyl-4′-pentylcyclohexylenecarboxylate
TN-1= 50.9° C.
Uλ/2= 13.6 V at T = 20° C.

EXAMPLE 25

[0210]

35A.III4-(5-propyl-[1.3] dioxane-2-yl)-cyanobenzene
35A.III4-(5-pentyl-[1.3] dioxane-2-yl)-cyanobenzene
4A.IV4-cyanophenyl-4′-trans-propyl-cyclohexylbenzoate
4.5A.IV4-cyanophenyl-4′-trans-butyl-cyclohexylbenzoate
1.5A.IV4-cyanophenyl-4′-trans-pentyl-cyclohexylbenzoate
20F.I4-methoxy-4′-propyl-bycyclohexyl
TN-1= 51.6° C.
Uλ/2= 9.1 V at T = 20° C.

EXAMPLE 26

[0211]

20A.IV3-fluoro-4-cyanophenyl-4′-ethylbenzoate
12A.IV3-fluoro-4-cyanophenyl-4′-propylbenzoate
12A.IV3-fluoro-4-cyanophenyl-4′-butylbenzoate
5A.IV3-fluoro-4-cyanophenyl-4′-trans-propyl-
cyclohexylbenzoate
8A.IV3-fluoro-4-cyanophenyl-4′-trans-butyl-
cyclohexylbenzoate
8A.IV3-fluoro-4-cyanophenyl-4′-trans-pentyl-
cyclohexylbenzoate
3B.I4-propylphenyl-4′-propylcyclohexylbenzoate
3B.I4-propylphenyl-4′-pentylcyclohexylbenzoate
4B.I4-(trans-propyl-cyclohexyl)-phenylethynylene-
4′-ethylphenyl
1B.I4-(trans-pentyl-cyclohexyl)-phenylethynylene-
4′-ethylphenyl
24E.I4-propyl-4′-trans-heptylcyclohexyl-phenyl
TN-1= 59.3° C.;
Uλ/2= 10.1 V at T = 20° C.

EXAMPLE 27

[0212]

13A.I4-ethyl-4′-cyanobiphenyl
7A.I4-pentyl-4′-cyanobiphenyl
45A.I4-heptyl-4′-cyanobiphenyl
12B.I4′-ethyl-4-(4-propyl-cyclohexyl)-biphenyl
4B.I4′-ethyl-4-(4-pentyl-cyclohexyl)-biphenyl
6B.I4′-ethyl-4-(4-pentyl-cyclohexyl)-3-fluorobiphenyl
13F.I4-methoxy-4′-propyl-bycyclohexyl
TN-1= 54.7° C.;
Uλ/2= 20 V at T = 20° C.

EXAMPLE 28

[0213]

27A.III4-(5-propyl-[1.3] dioxane-2-yl)-
cyanobenzene
27A.III4-(5-pentyl-[1.3] dioxane-2-yl)-
cyanobenzene
11A.IV4-fluoro-phenyl-4′-trans-propyl-
cyclohexylbenzoate
8E.I4-methylphenyl-4′-
propylcyclohexycarboxylate
8E.I4-methylphenyl-4′-
pentylcyclohexycarboxylate
8E.I4-pentylphenyl-4′-
pentylcyclohexylenecarboxylate
11F.I4-methoxy-4′-propyl-bycyclohexyl
TN-1= 52.6° C.;
Uλ/2= 11.9 V at T = 20° C.

EXAMPLE 29

[0214]

6A.I4-ethyl-4′-cyanobiphenyl
3A.I4-pentyl-4′-cyanobiphenyl
17A.I4-heptyl-4′-cyanobiphenyl
3A.II4-pentyl-4′cyanoterphenyl
15A.III4-(5-propyl-[1.3] dioxane-2-yl)-
cyanobenzene
15A.III4-(5-pentyl-[1.3] dioxane-2-yl)-
cyanobenzene
2A.IV4-cyanophenyl-4′-trans-propyl-
cyclohexylbenzoate
3A.IV4-cyanophenyl-4′-trans-butyl-
cyclohexylbenzoate
1A.IV4-cyanophenyl-4′-trans-pentyl-
cyclohexylbenzoate
5B.I4-propylphenylthynylene-4′-methylphenyl
3B.I4,4′-bis-(4-propyl-cyclohexyl)-biphenyl
3B.I4′-(4-pentyl-cyclohexyl)-4-(4-propyl-
cyclohexyl)-biphenyl
5E.I4-ethyl-4′-trans-propylcyclohexyl-phenyl
4E.I4-propyl-4′-trans-heptylcyclohexyl-phenyl
6E.I4-methylphenyl-4′-
propylcyclohexylenecarboxylate
5E.I4-methylphenyl-4′-
pentylcyclohexylenecarboxylate
4F.I4-methoxy-4′-propyl-bycyclohexyl
TN-1= 56.6° C.
Uλ/2= 8.3 V at T = 20° C.

EXAMPLE 30

[0215]

13A.I4-pentyl-4′-cyanobiphenyl
12A.I4-heptyl-4′-cyanobiphenyl
7A.IV3-fluoro-4-cyanophenyl-4′-ethylbenzoate
5A.IV3-fluoro-4-cyanophenyl-4′-propylbenzoate
5A.IV3-fluoro-4-cyanophenyl-4′-butylbenzoate
8A.IV4-cyanophenyl-4′-ethylbenzoate
10A.IV4-cyanophenyl-4′-butylbenzoate
7A.IV3-fluoro-4-cyanophenyl-4′-trans-ethyl-
cyclohexylbenzoate
7A.IV3-fluoro-4-cyanophenyl-4′-trans-propyl-
cyclohexylbenzoate
3A.IV3-fluoro-4-cyanophenyl-4′-trans-butyl-
cyclohexylbenzoate
16E.I4-pentylphenyl-4′-
pentylcyclohexylenecarboxylate
4B.I4,4′-bis-(4-propyl-cyclohexyl)-biphenyl
3B.I4′-(4-pentyl-cyclohexyl)-4-(4-propyl-
cyclohexyl)-biphenyl
TN-1= 72.3° C.
Uλ/2= 16.5 V at T = 20° C.

We demonstrate with the following examples that C and D compounds can be added in the LC mixture. However, the amount of said compund is a decisive parameter to obtain a weak zenithal anchoring.
As regards compound C, up to 20% by weight can be added.
As regards compound D, a maximal amount of about 5% by weight is preferred.

EXAMPLE 31

[0216]

16A.I4-ethyl-4′-cyanobiphenyl
8A.I4-pentyl-4′-cyanobiphenyl
58A.I4-heptyl-4′-cyanobiphenyl
8A.II4-pentyl-4′cyanoterphenyl
10C.I4-(4-pentyl-cyclohexyl)-cyanophenyl
TN-1= 51.4° C.;
Uλ/2= 18.5 V at T = 20° C.

Therefore, when the amount of coumpound CI is below 20% by weight, the value of Uλ/2at T=20° C. is in the claimed range. The composition has a weak zenithal anchoring energy.

EXAMPLE 32

[0217]

13A.I4-ethyl-4′-cyanobiphenyl
6A.I4-pentyl-4′-cyanobiphenyl
45A.I4-heptyl-4′-cyanobiphenyl
6A.II4-pentyl-4′cyanoterphenyl
30C.I4-(4-pentyl-cyclohexyl)-cyanophenyl
TN-1= 51.7° C.;
Uλ/2= 29.7 V at T = 20° C.

Therefore, when the amount of coumpound CI is above 20% by weight, the value of Uλ/2at T=20° C. is too high. The composition has therefore not a weak zenithal anchoring energy.

EXAMPLE 33

[0218]

12A.I4-ethyl-4′-cyanobiphenyl
7A.I4-pentyl-4′-cyanobiphenyl
45A.I4-heptyl-4′-cyanobiphenyl
6A.II4-pentyl-4′cyanoterphenyl
10A.III4-(5-propyl-[1.3] dioxane-2-yl)-
cyanobenzene
10A.III4-(5-pentyl-[1.3] dioxane-2-yl)-
cyanobenzene
7C.II1,2,3-trifluoro-5-(trans-propyl-bicyclohexyl)-
phenyl
3C.II1-difluoromethoxy-2,6-difluoro-4-(trans-
propyl-bicyclohexyl)-phenyl
TN-1= 53.2° C.;
Uλ/2= 15.9 V at T = 20° C.

Therefore, when the amount of coumpound CII is below 20% by weight, the value of Uλ/2at T=20° C. is in the claimed range. The composition has a weak zenithal anchoring energy.

EXAMPLE 34

[0219]

8A.I4-ethyl-4′-cyanobiphenyl
5A.I4-butyl-4′-cyanobiphenyl
33A.I4-pentyl-4′-cyanobiphenyl
4A.II4-pentyl-4′cyanoterphenyl
10A.III4-(5-propyl-[1.3] dioxane-2-yl)-
cyanobenzene
10A.III4-(5-pentyl-[1.3] dioxane-2-yl)-
cyanobenzene
20C.II1,2,3-trifluoro-5-(trans-propyl-bicyclohexyl)-
phenyl
10C.II1-difluoromethoxy-2,6-difluoro-4-(trans-
propyl-bicyclohexyl)-phenyl
TN-1= 57.2° C.;
Uλ/2= 30.4 V at T = 20° C.

Therefore, when the amount of coumpound CII is above 20% by weight, the value of Uλ/2at T=20° C. is too high. The composition has therefore not a weak zenithal anchoring energy.

EXAMPLE 35

[0220]

18A.I4-ethyl-4′-cyanobiphenyl
8A.I4-pentyl-4′-cyanobiphenyl
60A.I4-heptyl-4′-cyanobiphenyl
7A.II4-pentyl-4′cyanoterphenyl
2B.I4,4′-bis-(4-propyl-cyclohexyl)-biphenyl
2B.I4′-(4-pentyl-cyclohexyl)-4-(4-propyl-cyclohexyl)-
biphenyl
3D.I4-(4-pentyl-cyclohexyl)-cyanobiphenyl
TN-1= 59.4° C.;
Uλ/2= 19.2 V at T = 20° C.

Therefore, when the amount of coumpound DI is below 5% by weight, the value of Uλ/2at T=20° C. is in the claimed range. The composition has a weak zenithal anchoring energy.

EXAMPLE 36

[0221]

18A.I4-ethyl-4′-cyanobiphenyl
8A.I4-pentyl-4′-cyanobiphenyl
60A.I4-heptyl-4′-cyanobiphenyl
6A.II4-pentyl-4′cyanoterphenyl
8D.I4-(4-pentyl-cyclohexyl)-cyanobiphenyl
TN-1= 57.7° C.;
Uλ/2= 28.7 V at T = 20° C.

Therefore, when the amount of compound DI is above 5% by weight, the value of Uλ/2at T=20° C. is too high. The composition has therefore not a weak zenithal anchoring energy.

EXAMPLE 37

[0222]

2A.II4-cyanobiphenyl-4′-propyl-benzoate
2A.II4-cyanobiphenyl-4′-butyl-benzoate
15A.IV4-cyanophenyl-4′-ethylbenzoate
22A.IV4-cyanophenyl-4′-butylbenzoate
7A.IV4-cyanophenyl-4′-pentylbenzoate
17A.IV4-cyanophenyl-4′-hexylbenzoate
14B.I4-pentylphenyl-4′-propylphenylcarboxylate
10B.I4-pentylphenyl-4′-pentylphenylcarboxylate
4B.I4-propylphenyl-4′-propylcyclohexylbenzoate
4B.I4-propylphenyl-4′-pentylcyclohexylbenzoate
3D.II4-cyano-4′-pentyl-bicyclohexyl
TN-1= 56.6° C.;
Uλ/2= 23.1 V at T = 20° C.

Therefore, when the amount of coumpound DII is below 5% by weight, the value of Uλ/2at T=20° C. is in the claimed range. The composition has a weak zenithal anchoring energy.

EXAMPLE 38

[0223]

2A.II4-cyanobiphenyl-4′-ethylbenzoate
15A.IV4-cyanophenyl-4′-ethylbenzoate
20A.IV4-cyanophenyl-4′-butylbenzoate
7A.IV4-cyanophenyl-4′-pentylbenzoate
16A.IV4-cyanophenyl-4′-hexylbenzoate
14B.I4-pentylphenyl-4′-propylphenylcarboxylate
10B.I4-pentylphenyl-4′-pentylphenylcarboxylate
4B.I4-propylphenyl-4′-propylcyclohexylbenzoate
4B.I4-propylphenyl-4′-pentylcyclohexylbenzoate
8D.II4-cyano-4′-pentyl-bicyclohexyl
TN-1= 55.8° C.;
Uλ/2= 39.6 V at T = 20° C.

Therefore, when the amount of coumpound DII is above 5% by weight, the value of Uλ/2at T=20° C. is too high. The composition has therefore not a weak zenithal anchoring energy.

EXAMPLE 39

[0224]

13AI4-pentyl-4′-cyanobiphenyl
12AI4-heptyl-4′-cyanobiphenyl
7AIV3-fluoro-4-cyanophenyl-4′-ethylbenzoate
5AIV3-fluoro-4-cyanophenyl-4′-propylbenzoate
5AIV3-fluoro-4-cyanophenyl-4′-butylbenzoate
8AIV4-cyanophenyl-4′-ethylbenzoate
10AIV4-cyanophenyl-4′-butylbenzoate
7AIV3-fluoro-4-cyanophenyl-4′-trans-ethyl-
cyclohexylbenzoate
7AIV3-fluoro-4-cyanophenyl-4′-trans-propyl-
cyclohexylbenzoate
3AIV3-fluoro-4-cyanophenyl-4′-trans-butyl-
cyclohexylbenzoate
16EI4-pentylphenyl-4′-
pentylcyclohexylcarboxylate
4BI4,4′-Bis (4-propyl-cyclohexyl)-biphenyl
3BI4′-(4-pentyl-cyclohexyl)-4-(4-propyl-
cyclohexyl)-biphenyl
TN-1= 71.3° C.;
Uλ/2= 16.8 V at T = 20° C.

Как компенсировать расходы
на инновационную разработку
Похожие патенты