Disclosed are novel colorant compounds which contain one or more ethylenically-unsaturated (vinyl), photopolymerizable radicals which may be copolymewrized (or cured) with ethylenically-unsaturated monomers to produce colored compositions such as colored acrylic coatings and polymers, e.g., coatings and polymers produced from acrylate and methacrylate esters, colored polystyrenes, and similar colored polymeric materials derived from other ethylenically-unsaturated monomers. The present invention also pertains to processes for the preparation of certain of the photopolymerizable colorant compounds.
1. Photopolymerizable colorant compounds having Formula II: wherein
A, is a mono-, di-, tri- or tetravalent anthraquinone, anthrapyridone, or anthrapyridine chromophore; Y is —R1—O-Q, the photopolymerizable group —CH2—C6H4-p-C(R2)═CH2or Q; R is hydrogen, C1–C6alkyl, aryl and C3–C8cycloalkyl; R1is C2–C8alkylene, —(—CH2CH2O—)m—CH2CH2— or 1,4-cyclohexylenedimethylene; R2is hydrogen or C1–C6alkyl; n is 1 to 4; m is 1–3; Q is a photopolymerizable group selected from an organic radical having the formula:
wherein
R3is hydrogen or C1–C6alkyl; R4is selected from hydrogen; C1–C6alkyl; phenyl; phenyl substituted with one or more groups selected from C1–C6alkyl, C1–C6alkoxy, —N(C1–C6alkyl)2, nitro, cyano, C2–C6alkoxycarbonyl, —C2–C6alkanoyloxy or halogen; 1- or 2-naphthyl; 1- or 2-naphthyl substituted with C1–C6alkyl or C1–C6alkoxy; 2- or 3-thienyl; 2- and 3-thienyl substituted with C1–C6alkyl or halogen; 2- and 3-furyl; and 2- and 3-furyl substituted with C1–C6alkyl; R5and R6are independently selected from hydrogen, C1–C6alkyl, substituted C1–C6alkyl; aryl; or R5and R6may be combined to represent a —(—CH2—)3-5-radical; R7is hydrogen or C1–C6alkyl, substituted C1–C6alkyl, C3–C8alkenyl, C3–C8cycloalkyl or aryl; and R8is hydrogen, C1–C6alkyl or aryl. 2. Photopolymerizable colorant compounds according to 3. Photopolymerizable colorant compounds according to 4. Process for the preparation of the photopolymerization colorants defined in with 4-chloromethylstyrene compounds having the structure ClCH2-C6H4-p-C(R2)═CH2in the presence of a base. 5. Process for the preparation of the colored photopolymerizable compounds defined in (a) reacting colored acidic compounds having the structures: with at least about n molecular equivalents of ethylene or propylene carbonate for each molecular equivalent of acidic compound to produce the 2-hydroxyalkyl derivatives of said acidic compound;
(b) reacting said colored 2-hydroxyalkyl derivatives with about n molecular equivalents of one or more acylating agents having the structures:
6. Process according to (a) reacting a colored acidic trlazolylthio compound having the structure: with at least about n molecular equivalents of ethylene or propylene carbonate to produce a hydroxyalkyl compound having the formula wherein R′ is hydrogen or methyl, and (b) reacting the hydroxyalkyl compund produced in step (a) with about n molecular equivalents of one or more of acylating agents Ib through IXb.
—COC(R3)═CH—R4 Ia
—CONHCOC(R3)═CH—R4 IIa
—CONH—C1–C6-alkylene OCOC(R3)═CH—R4 IIIa
ClCOC(R3)═CH—R4or O[COC(R3)═CH—R4]2, Ib
O═C═N—COC(R3)═CH—R4, IIb
O═C═N—C1–C6alkylene OCOC(R3)═CH—R4, IIIb
This application is a divisional application of U.S. application Ser. No. 09/920,904 filed Aug. 2, 2001, which has now issued as U.S. Pat. No. 6,727,372, and which claims the benefit of U.S. Provisional Application Ser. No. 60/223,521, filed Aug. 7, 2000. This invention pertains to certain novel colorant compounds which contain one or more ethylenically-unsaturated (vinyl), photopolymerizable radicals which may be copolymerized (or cured) with ethylenically-unsaturated monomers to produce colored compositions such as colored acrylic polymers, e.g., polymers produced from acrylate and methacrylate esters, colored polystyrenes, and similar colored polymeric materials derived from other ethylenically-unsaturated monomers. The present invention also pertains to processes for preparing certain of the photopolymerizable colorant compounds. It is known (J.S.D.C., April 1977, pp 114–125) to produce colored polymeric materials by combining a reactive polymer such terepolymers having epoxy groups or polyacryloyl chloride with anthraquinone dyes containing nucleophilic reactive groups such as amino or hydroxy groups; to graft acryloylaminoanthraquinone dyes to the backbone of vinyl or divinyl polymers; and to polymerize anthraquinone dyes containing certain olefinic groups to produce polymeric dyes/pigments. U.S. Pat. No. 4,115,056 describes the preparation of blue, substituted 1,4-diaminoanthraquinone dyes containing one acryloyloxy group and and the use of the dyes in coloring various fibers, especially polyamide fibers. U.S. Pat. No. 4,943,617 discloses liquid crystalline copolymers containing certain blue, substituted 1,5-diamino-4,8-dihydroxyanthraquinone dyes containing an olefinic group copolymerized therein to provide liquid crystal copolymers having high dichromism. U.S. Pat. No. 5,055,602 describes the preparation of certain substituted 1,4-diaminoanthraquinone dyes containing polymerizable acryloyl and methacryloyl groups and their use in coloring polyacrylate contact lens materials by copolymerizing. U.S. Pat. No. 5,362,812 discloses the conversion of a variety of dye classes, including anthraquinones, into polymeric dyes by (a) polymerizing 2-alkenylazlactones and reacting the polymer with dyes containing nucleophilic groups and by (b) reacting a nucleophilic dye with an alkenylazlactone and then polymerizing the free radically polymerizable dyes thus produced. The polymeric dyes are reported to be useful for photoresist systems and for colorproofing. U.S. Pat. No. 5,367,039 discloses a process for preparing colored vinyl polymers suitable for inks, paints, toners and the like by emulsion polymerization of a vinyl monomer with reactive anthraquinone dyes prepared by functionalizing certain anthraquinone dyes with methacryloyl groups. The preparation of a variety of dyes, including some anthraquinones, which contain photopolymerizable groups and their use for color filters suitable for use in liquid crystal television sets, color copying machines, photosensitive resist resin compositions, and the like are described in U.S. Pat. No. 5,578,419. The first embodiment of the present invention concerns colorant compounds having Formulas I and II: A, is a mono-, di-, tri- or tetravalent chromophore; X is —R1—O-Q or the phtopolymerizable group —CH2—C6H4-p-C(R2)═CH2; Y is —R1—O-Q, —CH2—C6H4-p-C(R2)═CH2or Q; R is selected from hydrogen, C1–C6alkyl, aryl and C3–C8cycloalkyl; R1is selected from C2–C8alkylene, —(—CH2CH2O—)m—CH2CH2— and 1,4-cyclohexylenedimethylene; R2is selected from hydrogen and C1–C6alkyl; n is 1 to 4; m is 1–3; Q is a photopolymerizable group selected from an organic radical having the formulae:
R3is selected from hydrogen or C1–C6alkyl; R4is selected from hydrogen; C1–C6alkyl; phenyl; phenyl substituted with one or more groups selected from C1–C6alkyl, C1–C6alkoxy, —N(C1–C6alkyl)2, nitro, cyano, C2–C6alkoxycarbonyl, C2–C6alkanoyloxy and halogen; 1- and 2-naphthyl; 1- and 2-naphthyl substituted with C1–C6alkyl or C1–C6alkoxy; 2- and 3-thienyl; 2- and 3-thienyl substituted with C1–C6alkyl or halogen; 2- and 3-furyl; and 2- and 3-furyl substituted with C1–C6alkyl; R5and R6are independently selected from hydrogen, C1–C6alkyl, substituted C1–C6alkyl; aryl; or R5and R6may be combined to represent a —(—CH2—)3-5— radical; R7is selected from hydrogen or a group selected from C1–C6alkyl, substituted C1–C6alkyl, C3–C8alkenyl, C3–C8cycloalkyl and aryl; and R8is selected from hydrogen, C1–C6alkyl and aryl. The colorant compounds have good color strength, good solubility in the reactive monomers and good light-fastness. Certain of the colorant compounds exhibit outstanding thermal stability. A second embodiment of the present invention concerns a process for preparing photopolymerizable colorants having Formula I, wherein X is a p-vinylbenzyl radical having the formula —CH2—C6H4-p-C(R2)═CH2which comprises reacting colored acidic compounds having the structure: A third embodiment of the present invention concerns a process for preparing photopolymerization colorants having Formula II, wherein Y is a p-vinylbenzyl radical having the formula —CH2—C6H4-p-C(R2)═CH2which comprises reacting colored acidic compounds having the structure A fourth embodiment of the invention concerns a process for preparing colored photopolymerizable compounds having Formula I and Formula II, respectively, wherein X and Y are —CH2CH2—O-Q or —CH2CH(CH3)—O-Q, which comprises the steps of (a) reacting a colored acidic compounds having the structures: (b) reaction of said colored hydroxyalkyl derivatives with about n molecular equivalents of one or more acylating agents having the structures
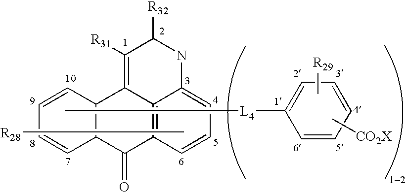
A fifth embodiment of the present invention concerns a process for preparing compounds of Structure II, wherein Y is a photopolymerizable group Q which comprises reacting colored acidic compounds having the structure: A sixth embodiment of the present invention pertains to a coating composition comprising (i) one or more polymerizable vinyl compounds, (ii) one or more of the colorant compounds having Formulas I and II described above, and (iii) a photoinitiator. A seventh embodiment of the present invention pertains to a polymeric composition, typically a coating, comprising a polymer of one or more acrylic acid esters, one or more methacrylic acid esters and/or other polymerizable vinyl compounds, having copolymerized therein one or more of the colorant compounds having Formulas I and II described above. In formulas I and II, A represents a mono-, di-, tri- or tetravalent residue of a chromophore, i.e., a colored compound, including residues which in combination with —CO2X produces a chromophore. Examples of the chromophoric residues which A may represent include anthraquinone, anthrapyridone (3H-dibenz-[f,ij]-isoquinoline-2,7-dione, anthrapyrimidine (7H-dibenz-[f,ij]-isoquinoline-7-one), anthrapyrimidine (7H-benzo[e]-perimidine-7-one), anthrapyrimidone, isothiazoloanthrone, azo, bis-azo, methine, bis-methine, coumarin (2-H-1-benzopyran-2-one), 3-aryl-2,5-dioxypyrroline, 3-aryl-5-dicyanomethylene-2-oxypyrroline, perinone, quinophthalone, phthalocyanine, metal phthalocyanine, nitroarylamine or a 2,5-diarylaminoterephthalic ester chromophore. The terms “C1–C6-alkyl” and “C1–C8-alkyl” are used herein to denote a straight- or branched-chain, saturated, aliphatic hydrocarbon radical containing one to six, and one to eight, carbon atoms. The term “substituted C1–C6-alkyl” is used to denote a C1–C6-alkyl group substituted with one or more groups, preferably one to three groups, selected from the group consisting of hydroxy, halogen, cyano, aryl, aryloxy, arylthio, C1–C6alkylthio, C3–C8-cycloalkyl, C2–C6-alkanoyloxy and —(—O—R9—)p—R10wherein R9is selected from the group consisting of C1–C6alkylene, C1–C6-alkylene-arylene, cyclohexylene, arylene, C1–C6-alkylene-cyclohexylene and C1–C6-alkylene-cyclohexylene-C1–C6-alkylene, R10is selected from the group consisting of hydrogen, hydroxy, carboxy, C2–C6-alkanoyloxy, C2–C6-alkoxycarbonyl, aryl and C3–C8-cycloalkyl; and p is 1, 2, or 3. The terms “C1–C6-alkylene”, “C2–C4-alkylene” and “C2–C8-alkylene” are used to denote straight- or branched-chain, divalent, aliphatic hydrocarbon radicals containing one to six, two to four, and two to eight carbons, respectively. These divalent radicals may be substituted with one to three groups selected from C1–C6-alkoxy, C2–C6-alkoxycarbonyl, C2–C6-alkanoyloxy, hydroxy, aryl and halogen. The term “C3–C8-alkenyl” is used to denote an aliphatic hydrocarbon radical containing at least one double bond. The term “C3–C8-alkynyl” is used to denote an aliphatic hydrocarbon radical containing at least one triple bond and three to eight carbon atoms. The term “C3–C8-cycloalkyl” is used to denote a saturated, carbocyclic, hydrocarbon radical having three to eight carbon optionally substituted with one to three C1–C6-alkyl group(s). The term “C3–C8-cycloalkylene” is used to denote a divalent, carbocyclic hydrocarbon radical which contains three to eight carbon atoms, preferably five or six carbons. The term “aryl” as used herein denotes phenyl and phenyl substituted with one to three substituents selected from C1–C6-alkyl, substituted C1–C6-alkyl, C1–C6-alkoxy, halogen, carboxy, cyano, C2–C6-alkanoyloxy, C1–C6-alkylthio, C1–C6-alkylsulfonyl, trifluoromethyl, hydroxy, optionally substituted sulfamoyl, C2–C6-alkoxycarbonyl, C2–C6-alkanoylamino and —O—R11, S—R11, —SO2—R11, —NHSO2R11and —NHCO2R11, wherein R11is phenyl or phenyl substituted with one to three groups selected from C1–C6-alkyl, C1–C6-alkoxy and halogen. The term “arylene” as used herein denotes includes 1,2-, 1,3- and 1,4-phenylene and such divalent radicals substituted with one to three groups selected from C1–C6-alkyl, C1–C6-alkoxy and halogen. The term “halogen” is used to include fluorine, chlorine, bromine, and iodine. The term “optionally substituted sulfamoyl” is used to describe the group having the structure —SO2N(R12)R13, wherein R12and R13are independently selected from hydrogen, C1–C6-alkyl, substituted C1–C6-alkyl, C3–C8-alkenyl, C3–C8-cycloalkyl, aryl and heteroaryl. The terms “C1–C6-alkoxy”, “C2–C6-alkoxycarbonyl”, “C2–C6-alkanoyl”, “C2–C6-alkanoyloxy” and “C2–C6-alkanoylamino” are used to denote radicals corresponding to the structures —OR14, —CO2R14, —COR14, —OCOR14and NHCOR14, respectively, wherein R14is C1–C6-alkyl or substituted C1–C6-alkyl. The term “heteroaryl” as used herein denotes a 5- or 6-membered aromatic ring containing one to three hetero atom selected from oxygen, sulfur and nitrogen. Examples of such heteroaryl groups are thienyl, furyl, pyrrolyl, imidazolyl, pyrazolyl, thiazolyl, isothiazolyl, oxazolyl, isoxazolyl, triazolyl, thiadiazolyl, oxadiazolyl, tetrazolyl, pyridyl, pyrimidyl, benzoxazolyl, benothiazolyl, benzimidazolyl, indolyl and the like and these optionally substituted with one to three groups selected from C1–C6-alkyl, C1–C6-alkoxy, substituted C1–C6-alkyl, halogen, C1–C6-alkylthio, aryl, arylthio, aryloxy, C2–C6-alkoxycarbonyl and C2–C6-alkanoylamino. The preferred azo dyes of the invention encompassed by Formula I have the following general Formula XIII:
Another group of preferred azo dye of the invention encompassed by Formula II have the general Formula XIV:
Typical coupler residues represented by Z above in Formula XIII include the groups having the structures: Typical coupler residue represented by Z1is Formula XIV include those mentioned immediately above Z except that the photopolymerizable group which may be present as a substituent or on R15, R16, R17, R22, or R23is the triazolyl group having the formula: The preferred methine, bis-methine, 3-aryl-2,5-dioxypyrroline, 3-aryl-5-dicyanomethylene-2-oxypyrroline and coumarin compounds of Formula I have the following general Formulas XV, XVI, XVII, XVIII and XIX respectively; Examples of the anthraquinone (Formulas XX a–e), anthrapyridone (3H-dibenz-[f,ij]-isoquinoline-2-7-dione) (Formulas XXI a–e) and anthrapyridine (7H-dibenz-[f,ij]-isoquinoline-7-one) (Formulas XXII a–e) colorants include the compounds having the structures set forth below: Some of the preferred colorants encompassed by Formula I wherein A is a quinophthalone chromophore have the following Formula XXIII: Some of the preferred nitroarylamine colorants encompassed by Formula I wherein A is a nitroarylamine chromophore have the following Formula (XXIV): Some of the preferred colorants encompassed by Formula I wherein A is a perinone chromophore correspond to Formulae XXV–XXIX: Preferred colorants of Formula I containing the 2,5-diarylamino terephthalate chromophore have Formula XXX The preferred photopolymerizable colorant compounds of the present invention are those of Structures I and II where X and Y, respectively, are selected from —CH2CH2OQ, —CH2CH(CH3)OQ, —(CH2CH2O)2-3—CH2CH2OQ, —CH2C(CH3)2CH2OQ, and —CH2—C6H10—CH2OQ, and A is an anthraquinone, anthrapyridone or 2,5-diarylaminoterephthalate chromophore residue. The photopolymerizable colorants having Formula I and II where X and Y are the photopolymerizable p-vinylbenzyl groups radical having the formula —CH2—C6H4-p-C(R2)═CH2are prepared in general by reacting colored acidic compounds having Formulae III and IV with a 4-chloromethylstyrene V, respectively, as follows: The photopolymerizable dyes having Formulae I and II, where X and Y are —R1—O-Q are, in general, prepared by first reacting colored acidic acidic compounds having Formulae III and IV with an alkylating agent containing one or more hydroxy groups having Formula VIII as follows: Intermediate colored acidic compounds III and IV are disclosed in U.S. Pat. Nos. 3,689,501; 3,816,392; 4,359,570; 4,403,092; 4,617,373; 4,740,581; 4,745,173; 4,804,719; 4,892,922; 5,030,708; 5,102,980; 5,194,571; 5,274,072; 5,281,659; 5,372,864; 5,962,557 and WO 98/23690, wherein particularly useful diacidic intermediate colorants are disclosed. The azo dyes above which correspond to Formula XIII and Formula XIV may be prepared by reacting azo dyes containing one to four carboxy groups or one to four 1H-1,2,4-triazol-3-ylthio groups, respectively, to incorporate the photopolymerizable groups as described above. Alternatively, the photopolymerizable groups may be incorporated into the diazotiazable amine and/or coupler portion prior to the synthesis of the azo dyes of Formula XIII and XIV. Typical aromatic amine coupling components(HZ) which contain photopolymerizable groups and are useful in preparing colorants of Formula XIII have the following structures: Typical aromatic amine coupling components (HZ1) which contain copolymerizable groups and are useful in preparing colorants of Formula XIV have the following structures: Colorants of Formula XV, XVII and XVIII which correspond to colorants containing the methine, 3-aryl-2,5-dioxypyrroline and 3-aryl-5-dicyanomethylene-2-oxypyrroline chromophores, respectively, may be prepared by reacting the intermediate aromatic moiety R25H, as defined previously, which contains one or more photopolymerizable groups with either (a) Vilsmeier complex (e.g., from POCl3/DMF), followed by reaction with the active methylene compound, A third alternative preparative method for azo colorants having Formula XIII and XIV involves the reaction of electron rich coupler precursors containing at least one —CO2H or 1(H)-1,2,4-triazolyl-3-ylthio group, respectively, with hydroxyalkylating agents to introduce —CO2—R1—OH and As is known to those skilled in the art, the 1(H)-1,2,4-triazolyl moiety of Formula II is a mixture of isomers having the structures: The copolymerizable dye compounds provided by the present invention and the preparation thereof are further illustrated by the following examples. A mixture of 1,5-bis-(2-carboxyphenylthio) anthraquinone (U.S. Pat. No. 4,359,570, Example 1) (5.13 g, 0.01 mol), potassium carbonate (2.84 g, 0.02 mol) and N,N-dimethylformamide (DMF, 100 mL) was stirred and heated to about 100° C. To the stirred mixture, was added 4-vinylbenzyl chloride (Aldrich, 3.76 g, 0.022 m). Thin-layer chromatography (TLC) using a 50/50 mixture of tetrahydrofuran(THF)/cyclohexane after heating the reaction mixture at about 105° C. for 30 min. showed only one spot with no starting material or mono-reacted product being observed. The reaction mixture was heated for an additional 20 minutes and the yellow dye precipitated by the addition of a mixture of methanol and water. The solid dye was collected by filtration, washed with water and then with a little methanol. The yield of air-dried product was 6.85 g (92% of the theoretical yield). Field desorption mass spectrometry (FDMS) supported the following structure: A mixture of 1,5-bis-(2-carboxyanilino) anthraquinone (U.S. Pat. No. 4,359,570, Example 2) (4.78 g, 0.01 mol), potassium carbonate (2.76 g, 0.02 mol) and DMF (100 mL) was stirred and heated to about 90° C. and 4-vinylbenzyl chloride (Aldrich, 3.76 g, 0.022 mol) was added and heating and stirring continued at about 100° C. for 60 min. TLC (50/50 THF/cyclohexane) showed complete reaction. Methanol (120 mL) was added gradually with stirring to precipitate the red product, which was collected by filtration, washed with water and then dried in air (yield—6.18 g, 87% of the theoretical yield). FDMS supports the following structure: A mixture of 1,5-bis-(isobutylamino)-4,8-bis-(2-carboxyphenylthio) anthraquinone (U.S. Pat. No. 6,197,223, Example 2) (6.54 g, 0.01 mol), potassium carbonate (2.76 g, 0.02 m) and DMF (150 mL) was stirred and heated to about 100° C. To the stirred reaction mixture was added 4-vinylbenzyl chloride (3.76 g, 0.02 mol). The reaction mixture was heated at 95–100° C. for about 60 minutes The reaction mixture was cooled and the gummy product was drowned out by the addition of methanol/water. The liquid was decanted off and the product triturated with methanol. The resulting dark blue solid was collected by filtration, washed with methanol and dried in air (yield—6.95 g, 78% of the theoretical yield). FDMS supported the following structure: A mixture of 1,5-bis-(2-carboxyphenylthio)-4,8-bis-(4-tolylthio)-anthraquinone (U.S. Pat. No. 6,197,223) (7.56 g, 0.01 mol), potassium carbonate (K2CO3) and DMF (300 mL) was stirred and heated to about 100° C. and then 4-vinylbenzyl chloride (3.84 g, 0.025 mol) was added. The reaction mixture was heated and stirred at about 100° C. for 60 minutes. TLC (50/50 THF/cyclohexanol) showed complete reaction. After cooling, the sticky product was obtained by drowning the reaction mixture with methanol/water. The red product solidified upon standing in contact with methanol and was collected by filtration and dried in air (yield—7.67 g, 78% of the theoretical yield). FDMS supported the following structure: A mixture of 1,5-bis-[(1H)-1,2,4-triazol-3ylthio)]anthraquinone (U.S. Pat. No. 3,689,501) (4.06 g, 0.01 mol), potassium carbonate (2.76 g, 0.02 mol) and DMF (100 mL) was stirred and heated to about 100° C. and 4-vinylbenzyl chloride (3.76 g, 0.022 mol) was added. TLC (50/50 THF/cyclohexane) still showed some mono-substituted product after heating the reaction mixture for 2 hrs. Additional quantities of 4-vinylbenzyl chloride (4.14 g) and potassium chloride (1.38 g) were added and heating continued for another hour to complete the reaction. A gummy yellow solid was produced by drowning the cooled reaction mixture with water. The product was washed by decantation with water and then dissolved in DMF. The DMF solution was drowned gradually into cold water with good stirring and the yellow solid was collected by filtration and dried in air (3.46 g, 54% of the theoretical yield). FDMS supported the following structure: A mixture of 1,5-bis-(2-carboxyphenylthio) anthraquinone (U.S. Pat. No. 4,359,570, Example 1) (30.6 g, 0.06 mol), ethylene carbonate (88.0 g, 1.0 mol), ethylene glycol (50 mL) and pulverized potassium iodide (5.2 g) was heated and stirred at about 125° C. for about 2.0 hours and then allowed to cool. The reaction mixture was drowned into cold water (150 mL) with stirring. The yellow solid was collected by filtration, washed with warm water and dried in air (yield—35.2 g, 97.8% of the theoretical yield). FDMS supported the following structure: A mixture of the product of Example 6a (6.0 g, 0.01 mol), DMF (25 mL) and 3-isopropenyl-∝,∝-dimethylbenzyl isocyanate (6 mL, 0.03 mol) was heated and stirred, under nitrogen at about 95–100° C. for about 48 hours. Triethylamine (0.5 mL) was added and heating continued for an additional 48 hours. Water (60 mL) was added portionwise to the hot reaction mixture with stirring. After allowing to cool to room temperature, the yellow product was collected to filtration, washed with water and dried in air. Essentially a quantitative yield of the following product was obtained: The dye of Example 6a above (2.0 g, 3.33 mmol) and toluene (20 mL) were mixed and stirred while most of the toluene was removed under reduced pressure. DMF (50 mL), 4-(dimethylamino)pyridine (DMAP, 82 mg), triethylamine (1.4 mL), hydroquinone (50 mg) and methacrylic anhydride (1.53 g, 9.99 mmol) were added and the reaction mixture stirred at room temperature for 15 hours. The yellow functionalized dye which was precipitated by drowning into water (200 mL) and allowing to stand for several days was collected by filtration, washed with water and 1:1 methanol: water and dried in vacuo. The yield was 2.23 g (91% of the theoretical yield). FDMS supported the following structure: A mixture of 1,5-bis-(carboxyanilino) anthraquinone (U.S. Pat. No. 4,359,570, Example 2) (59.75 g, 0.125 mol), ethylene carbonate (165 g, 1.875 mol), ethylene glycol (550 mL) and pulverized potassium iodide (11.3 g) was heated at 120–125° C. for 6.5 hours and the mixture allowed to cool. Methanol (400 mL) was added to the stirred reaction mixture. The red solid was collected by filtration, washed with water and dried in air (yield—69.5 g, 98.2% of the theoretical yield). FDMS supported the following structure: A portion (2.0 g, 3.53 mmol) of the dye of Example 8a above was mixed with toluene (10 mL) and most of the toluene removed under vacuum. DMF (50 mL), DMAP (86 mg), triethylamine (1.5 mL), hydroquinone (20 mg) and methacrylic anhydride (1.63 g, 10.6 mmol) were added and the resulting solution was stirred for 15 hours at room temperature. The reaction mixture was drowned into water (200) and allowed to stand at room temperature for several days. The functionalized red dye was collected by filtration, washed with water and dried in vacuo (yield—2.10 g. 85% of the theoretical yield). FDMS supported the following structure: A portion (2.0 g, 3.53 mmol) of the dye from Example 8a above was mixed with toluene and stirred while most of the toluene was removed under reduced pressure. DMF (50 mL), DMAP (86 mg), triethylamine (1.5 mL), hydroquinone (20 mg) and crotonic anhydride (1.63 g, 10.6 mmol) were added and the reaction mixture was stirred for 24 hours. The functionalized red dye was isolated by drowning into water (200 mL), allowing the mixture to stand for a little while and then collecting by filtration. After washing with water the dye was dried in vacuo (yield—2.11 g, 85% of the theoretical yield). FDMS supported the following structure: A mixture of a portion (2.0 g, 3.33 mmol) of the dye of Example 6a above and toluene (10 mL) was stirred and most of the toluene removed under vacuum. DMF (50 mL), DMAP (86 mg) triethylamine (1.4 mL), hydroquinone (20 mg) and crotonic anhydride (7.54 g, 9.99 mmol) were added. The reaction mixture was stirred at room temperature for 24 hours and drowned into water (200 mL) with stirring. The mixture was allowed to stand awhile and the functionalized yellow dye was collected by filtration, washed with water and dried in vacuo (yield 2.01 g, 82% of the theoretical yield). FDMS supported the following structure: A mixture of 1-chloroanthraquinone (97.2 g, 0.40 mol), thiosalicylic acid (61.6 g, 0.40 mol), potassium acetate (80 g, 0.80 mol), cuprous chloride (0.5 g) and 2-ethoxyethanol (500 ml) was stirred and heated at reflux (130–135° C.) for 6.5 hours. After allowing to cool, the reaction product was collected by filtration and washing with methanol. The still moist cake was slurried in water (750 ml) and the mixture acidified by the addition of concentrated hydrochloric acid (75 ml). The mixture was stirred at ambient temperature for thirty minutes and the yellow product was collected by filtration, washed with water, washed with a little methanol and dried in air (yield—110.6 g, 76.87% of the theoretical yield). Field desorption mass spectrometry (FDMS) supported the following structure: A mixture of 1-(2-carboxyphenylthio) arthraquinone (Example 11a) (3.60 g, 0.01 mol), potassium carbonate (1.38 g, 0.01 mol) and N,N-dimethylformamide (DMF), (70 ml) was heated and stirred. At 70° C., 4-vinylbenzyl chloride (1.87 g, 0.011 mol) was added and the reaction mixture was heated to about 100° C. After being heated at about 100° C. for forty minutres, the reaction mixture was allowed to cool and then was drowned with stirring into water (200 ml). After standing overnight at room temperature the yellow solid was collected by filtration, washed with water and dried in air. The yield of product was 4.40 g, 92% of the theoretical yield. FDMS analysis supported the following structure: A mixture of thiosalicylic acid (4.63 g, 0.03 mol), potassium carbonate (8.70 g, 0.06 mol) and DMF (75 ml) was heated and stirred at 100° C. for two hours. This mixture was allowed to cool to room temperature and added to a stirred mixture of 1,5-dichloro-4,8-dinitroanthraquinone (5.51 g, 0.015 mol) and DMF (150 ml) which had been cooled to about 0° C. A slight exotherm of 2–3° C. was observed. The mixture was stirred at about 0–5° C. for thirty minutes and then allowed to stand overnight at room temperature. A second mixture of thiosalicylic acid (4.63 g, 0.03 mol), potassium carbonate (8.73 g, 0.06 mol) and DMF (40 ml), which had been stirred for 1.5 hours at room temperature, was added to the previously described mixture. After being heated and stirred at about 100° C. for five hours, the reaction mixture was cooled to room temperature and drowned into water (600 ml) with stirring. After the mixture was acidified by the addition of glacial acetic acid, the dark red product was collected by filtration, washed with water and air dried. (yield—10.70 g, 87.3% of the theorectical yield). FDMS supported the following structure: A mixture of 1,4,5,8-tetra(2-carboxyphenylthio) anthraquinone (1.22 g, 1.5 mmol) (Example 12a), potassium carbonate (0.83 g, 6.0 mmol) and DMF (20 ml) was stirred and 4-vinylbenzyl chloride (1.01 g, 6.6 mmol) was added. The reaction mixture was heated at about 100° C. for thirty minutes. After cooling to room temperature, the mixture was drowned into methanol. The dark red solid was collected by filtration, washed with methanol and dried in air. The yield of product was 1.58 g, 82% of the theoretical yield. FDMS supported the following structure: A mixture of brominated diaminoanthrarufin (3.49 g, 0.01 mol), thiosalicylic acid (3.08 g, 0.02 mol), potassium carbonate (5.53 g, 0.04 mol), cuprous chloride (0.30 g) and DMF (50 ml) was heated at 95–100° C. for about six hours. The reaction mixture was cooled and then drowned into acetone (400 ml). The solid potassium salt of the product was collected by filtration and then redissolved in hot water (300 ml). The free acid was obtained by acidification with glacial acetic acid, collecting by filtration, washing with water and drying in air (yield 3.40 g). FDMS showed the product to be a mixture of mono-and bis-(2-carboxyphenylthio) substituted diamino-anthrarufin having the following structure: A mixture of a portion of the product from Example 13a (0.85 g), potassium carbonate (0.34 g) and DMF (20 ml) was stirred and heated to about 100° C. and 4-vinylbenzyl chloride (0.38 g) was added. The reaction mixture was stirred at about 100° C. for about thirty minutes, cooled to room temperature and then drowned into methanol (200 ml). The dark blue product was collected by filtration, washed with methanol, water and then again with methanol to promote drying. The air-dried product weighed (0.69 g). FDMS showed the product to have the following structure: A mixture of 1,8-diamino-2,7-dibromo-4,5-dihydroxyanthraquinone (2.14 g, 0.005 mol), thiosalicylic acid (1.69 g, 0.011 mol), potassium carbonate (3.0 g), cuprous chloride (0.30 g) and DMF (45.0 ml) was heated at steam bath temperature for about 6.0 hours. The reaction mixture was cooled and drowned into acetone (500 ml). The resulting solid was collected by filtration and the acetone-wet material was dissolved in warm water. Acetic acid was added to precipitate the diacid product which was collected by filtration, washed with water and dried in air (yield—2.60 g). A mixture of 1,8-diamino-4,5-dihydroxy-2,7-bis(carboxyphenylthio) anthraquinone (1.15 g, 2.0 mmol), (from Example 14a) potassium carbonate (0.56 g, 4.0 mmol) and DMF (20 ml) was heated to about 100° C. and 4-vinylbenzyl chloride (0.68 g, 4.4 mml) was added. Stirring and heating were continued at about 100° C. for four hours. The product was isloated by drowning into water and collecting the product by filtration. The product comprises primarily the compound having the following expected structure: A mixture of 1-cyano-6(3′,5′-dicarboxyphenylamino)-3-methyl-3H-dibenz[f,lj]isoquinoline-2,7-dione (Example 119a of U.S. Pat. No. 6,197,223) (4.65 g, 0.01 mol), potassium carbonate (0.02 mol) and DMF (100 ml) was stirred and heated in about 90° C. and 4-vinylbenzyl chloride (3.73 g 0.022 mol) was added. After being heated at about 110° C. for 3.0 hours, thin-layer chromatography (90/10 THF/cyclohexane) showed the reaction to be complete and the reaction mixture was cooled to room temperature. Methanol (100 ml) was added with stirring to the reaction mixture. After being allowed to stand overnight at room temperature, the product was collected by filtration, washed with methanol and dried in air (yield—3.80 g, 54% of the theoretical yield) and has the structure: A mixture of 6-bromo-1-cyano-3H-dibenz[f,ij]isoquinoline-2,7-dione (3.65 g, 0.01 mol) thiosalicylic acid (1.54 g, 0.01 mol), potassium carbonate (2.76 g, 0.02 mol) and DMF (60 ml) was stirred and heated at about 95–100° C. for 1.5 hours. After allowing to cool, the reaction mixture was drowned into water (100 ml) and the mixture acidified by the addition of glacial acetic acid. The red solid was collected by filtration, washed with water and dried in air. The yield of product was 4.38 g (100% of the theoretical yield). FDMS supported the following expected structure: The carboxy anthrapyridone dye of Example 16a (4.38 g, 0.01 mol), potassium carbonate (1.38 g, 0.01 mol) and DMF (100 ml) were stirred together and heated to about 100° C. for 30 minutes. After cooling, water (100 ml) was added dropwise to the stirred reaction mixture. The precipitated red product was collected by filtration, washed with water and dried in air (yield—4.92 g, 89% of the theoretical yield). FDMS supported the following structure: An absorption maximum was observed at 523 nm in the UV-visible light absorption spectrum in DMF as solvent. A mixture of 2,5-dianilinoterephthalic acid (3.48 g, 0.01 mol), potassium carbonate (2.76 g) and DMF (100 ml) was stirred and heated to 100° C. and 4-vinylbenzyl chloride (3.76 g, 0.11 mol) was added. Heating was continued for 1.0 hour and then the cooled reacting mixture was treated with 200 ml of water which was added dropwise. The orange product was collected by filtration, washed with water and dried in air (yield—5.58 g, 96% of the theoretical yield). FDMS supported the following expected structure: A mixture of 1,5-bis-[(1H)-1,2,4-triazolythio]anthraquinone (8.12 g, 0.02 mol), ethylene carbonate (29.4 g, 0.33 mol), ethylene glycol (30 ml) and pulverized potassium iodide (2.0 g) was heated and stirred at 125° C. for 3.5 hours. The reaction mixture was allowed to cool and water (100 ml) was added dropwise with stirring. The yellow product (1,5-bis-[[1(2-hydroxy-ethyl)-1,2,4-triazolyl-3-yl]thio]anthraquinone) was collected by filtration, washed with water and dried in air (yield 0 6.8 g, 69% of the theoretical yield). A mixture of a portion (1.0 g, 0.0020 mol) of the product from Example 18a, DMF (25 ml), hydroquinone (10 mg), 4-(dimethylamino)-pyridine (49 mg) and methacrylic anhydride (0.91 ml) was stirred at room temperature and triethylamine (0.85 ml) was added dropwise. The reaction mixture was stirred at room temperature for 24 hours and then drowned into water. The yellow product was collected by filtration, washed with water and dried in air (yield—0.85 g, 67% of the theoretical yield). FDMS supported the following expected structure: A mixture of 1,5-bis-(cyclohexylamino)-4,8-bis-(2′-carboxyphenylthio) anthraquinone (49.5 g, 0.07 mol), ethylene carbonate (149 g, 1.69 mol), pulverized potassium iodide (42 g) and ethylene glycol (300 ml) was heated and stirred to 100° C. and held at about 110° C. for about 1.0 hour (some foaming resulted). Heating and stirring were continued at 125° C. for about 2.5 hours and the cooled reaction mixture was then drowned into 2500 ml of methanol. Some water was added to the methanol solution so further precipitate the blue solid, which was collected by filtration, washed with water and dried in air (yield—36.3 g, 62% of the theoretical yield). FDMS showed that the structure was that of the starting material for Example 19b. A mixture of a portion of the 1,5-bis(cyclohexylamino)-4,8-bis-[2′-hydroxyethoxycarbonyl)-phenylthio]anthraquinone from Example 19a (1.0 g, 0.00126 mol), DMF (25 ml), hydroquinone (10 mg), DMAP (30.8 mg) and methacrylic anhydride (0.563 ml) was stirred and triethylamine (0.527 ml) was added dropwise. The reaction mixture was stirred for 24 hours at room temperature and then drowned into water (50 ml). The blue product was collected by filtration, washed with water and dried in air (yield—0.65 g, 56% of the theoretical yield). FDMS supported the following expected structure: A mixture of 3-acetamido-N,N-bis-(4-carboxybenzyl)aniline (12.5, 0.03 mol) (prepared as described in Example 91b of U.S. Pat. No. 6,197,223), ethylene carbonate 44 g, 0.50 mol), ethylene glycol (60 ml) and pulverized potassium iodide (2.68 g) was stirred and heated at 120–125° C. for 4.0 hours. Water (150 ml) was added drop wise with stirring to the cooled reaction mixture. The resulting solid was collected by filtration, washed with water and dried in air (yield—12.9 g, 85% of the theoretical yield). FDMS supported the following structure: A mixture of 5-amino-4-cyano-3-methylisothiazole (1.39 g, 0.01 mol) and water (17.5 ml) was stirred and cooled in an ice bath. Concentrated sulfuric acid (8.3 ml) was added portionwise below about 40° C. Nitrosyl sulfuric acid (40%) (3.2 g, 0.01 mol) was then added with stirring below about 3° C. The orange solution was stirred at −2° C. to +2° C. for 2.0 hours and then added to a chilled solution of a portion (5.0 g, 0.01 mol) of the coupler from Example 20a dissolved in water (100 ml) containing concentrated sulfuric acid (10 ml) and 1:5 acid (1 part propionic acid:5 parts acetic acid by weight) (50 ml). The coupling mixture was kept cold and the mineral acid neutralized by the addition of ammonium acetate with stirring. After being allowed to stand for about 1.0 hour with occasional stirring, the coupling mixture was drowned by the addition of water. The solid dye was collected by filtration, washed with water and dried in air. After being reslurried in hot methanol and allowing to cool, the dye was collected by filtration, washed with methanol, and dried in air (yield—3.9 g, 59% of the theoretical yield). FDMS supported the following structure: A portion of the azo dye from Example 20b (0.50 g), DMF (25 ml), hydroquinone (5 mg) DMAP (19 mg) and methacrylic anhydride (0.34 ml) were mixed and stirred and triethylamine (0.32 ml) was added drop wise. After being stirred at room temperature for 24 hours, the reaction mixture was drowned into water, collected by filtration, washed with water and dried in air (yield—0.5 g). FDMS supported the following expected structure: To p-dioxane (600 ml) was added N-(α-cyanoacetyl)piperidine (30.4 g, 0.20 mol) and the solution was stirred and cooled to about 5° C., at which temperature phosphorous oxychloride (30.6 g, 0.2 mol) was added drop-wise while keeping the temperature below 5° C. While stirring the reaction mixture at about 30° C., 1-amino-4-bromoanthraquinone (58.6 g, 0.194 mol) was added portion-wise. The reaction mixture was then heated at about 95° C. for 12 hours and then drowned into ice/water mixture. A 20% aqueous solution of sodium carbonate was added gradually until a pH of about 9 was obtained. The red product was collected by filtration washed with water are dried in air (66.3 g, 82% of the theoretical yield). A portion (20.0 g, 0.050 mol) of the 6-bromo-1-cyano-2-piperidino-7H-dibenz[f,ij]-isoquinoline-7-one which was prepared in Example 21a, ethylene glycol (500 ml), dimethyl 5-aminoisophthalate (20.0 g, 0.1 mol), potassium acetate (10.0 g) and cupric acetate (10.0 g) were mixed and stirred and heated gradually to about 180° C. and held for 1.5 hours, whereupon the reaction mixture was cooled and drowned into water (800 ml). The product was collected by filtration, washed with water and dried in air (yield—46.0 g). FDMS indicated that the product consisted largely of the following structure: A mixture of a portion (2.0 g, 0.0033 mol) of the product of Example 21b, DMF (25 ml), hydroquinone (20 mg), DMAP (80.6 mg) and methacrylic anhydride (1.47 ml) were mixed and stirred while triethylamine (1.4 ml) was added drop-wise. Stirring was continued at room temperature for 24 hours. The reaction mixture then was poured into methanol (50 ml) and then water (100 ml) was added to precipitate the product, which was collected by filtration, washed with water and dried in air (yield—2.2 g, 90% of the theoretical yield). FDMS indicated that the product consisted primarily of the compound having the expected structure: To 40% nitrosylsulfuric acid (9.6 g, 0.03 mol-100% basis) was added 1:5 acid (15 ml) with stirring at below 25° C. While cooling further, 2-chloro-4-nitroaniline (5.18 g, 0.03 mol) was added portion wise below about 8° C. Stirring was continued at about 3–8° C. for 2 hours. The diazotization reaction mixture was filtered through a fritted glass funnel to remove a few coarse particles of undissolved 2-chloro-4-nitroaniline. The diazonium salt solution was added to a chilled solution of 3-acetamido-N,N-bis-(4-carboxybenzyl) aniline (12.6 g, 0.03 mol) dissolved in 1:5 acid (120 ml) at below about 10° C. with stirring. The coupling mixture was neutralized by the portion-wise addition of ammonium acetate until neutral to Congo Red test paper and then stirred for about 1.0 hour at below 15° C. Cold water (500 ml) was added to the mixture. The solid red product was collected by filtration, washed with water and dried in air. After reslurrying in hot methanol, cooling, collecting by filtration, washing with methanol and drying in air 10.1 g (56% of the theoretical yield) of the product was obtained which had the following structure: A mixture of a portion (0.60 g, 0.001 mol) of the bis-carboxy azo compound from Example 22a, potassium carbonate (0.28 g), DMF (20 ml) and 4-vinylbenzyl chloride (0.35 mol, 0.0022 mol) was stirred at about 100° C. for 2.5 hours. After cooling the reaction mixture was diluted with methanol to precipitate the product which was collected by filtration, washed with methanol and then slurried in water to remove any salts. After being collected by filtration, washed with water and dried in air, 0.35 g (42% of the theoretical yield) of product was obtained. FDMS supported mostly the following structure: Thiosalicylic acid (46.3 g, 0.30 mol) was mixed with DMF (400 ml) and stirred. Potassium carbonate (82.8 g, 0.60 mol) was added and the reaction mixture was gradually heated to about 95–100° C., held for 1.5 hours. After being allowed to cool, the mixture was added portion wise to a stirred mixture of 1,5-dichloro-4,8-dinitroanthraquinone (54.9 g, 0.150 mol) and DMF (1.0 L). The reaction mixture was stirred at about 15 minutes at 10–15° C. Cooling was removed and stirring was continued at ambient temperature for 3 hours. A solution of 4-thiocresol (37.3 g, 0.3 mol) in DMF (250 ml) was added and then the whole reaction mixture was heated at about 95° C. for about 8 hours. After allowing to cool, the reaction mixture was drowned into a mixture of concentrated HCl (100 ml) water (1900 ml) and some crushed ice. The product was collected by filtration washed with water and dried in air (yield 109.8 g). A mixture of 1,5-bis(2-carboxyphenylthio)-4,8-bis-(4-tolythio)-anthraquinone produced as described in Example 23a (3.78 g, 0.005 mol), ethylene carbonate (5.28 g, 0.06 mol), ethylene glycol (25 ml) and pulverized potassium iodide (1.5 g) was heated and stirred at about 125° C. for 4.0 hours. After being allowed to cool, the product was precipitated by the addition of methanol. The solid was collected by filtration, washed with methanol, and dried in air (yield—2.94 g, 70% of the theoretical yield). FDMS showed that the product consisted primarily of a compound having the structure: A portion (0.5 g, 0.00059 mol) of the product from Example 23b, DMF (10 ml), DMAP (14.4 mg), hydroquinone (5 mg) and methacrylic anhydride (0.265 ml) were mixed and stirred at room temperature while triethylamine (0.248 ml) was added dropwise. Stirring was continued at room temperature for 24 hours. Methanol (50 ml) was added to the reaction mixture and then the product was precipitated by the addition of water (75 ml). The solid was collected by filtration, washed with water, and dried in air (yield—0.47 g, 81% of the theoretical yield). FDMS supported the following structure: A mixture of 2,5-dianilinoterephthalic acid (20.90 g, 0.06 ml), ethylene carbonate (63.40 g, 0.72 mol), ethylene glycol (65 ml) and pulverized potassium iodide (17.5 g) was stirred and heated under nitrogen to about 120° C. Considerable foaming occurred at about 120° C. but soon subsided and the temperature was increased to about 125° C. and stirring continued for 3.5 hours. The reaction mixture was cooled and methanol (100 ml) was added to the reaction mixture dropwise. The orange solid which crystallized was collected by filtration, washed with water and dried in water (yield—14.4 g, 55% of the theoretical yield). FDMS showed that the product was the bis-(2-hydroxyethyl) ester having the formula: The orange diol colorant as prepared in Example 24a (50.0 g, 0.115 mol), acetone (150 ml), DMAP (2 g), t-butylhydroquinone (1 g) and triethylamine (50 g) were mixed together and the mixture was stirred and heated to 40° C. and methacrylic anhydride (50 g) was added dropwise. A slight exotherm was observed and heating was continued for 1.0 hours. The reaction solution was allowed to cool and water (150 ml) was added drop wise over about 30 minutes to precipitate the product which was collected by filtration, washed with water and dried at about 60–70° C. under vacuum. The yield of bright orange solid was 45.0 g, 66% of the theoretical yield. FDMS supported the following structure: Additional examples of the colorant compounds which contain one or more ethylenically-unsaturated (vinyl), photopolymerizable radicals according to the present invention are set forth in the examples of Tables I–XIV. These compounds may be prepared by procedures analogous to those described in the preceding examples and/or by published techniques. The functionalized dyes or colorants which contain vinyl or substituted vinyl groups are polymerizable or copolymerizable, preferably by free radical mechanisms, said free radicals being generated by exposure to UV light by methods known in the art of preparing UV-cured resins. Polymerization can be facilitated by the addition of photoinitiators. The colored polymeric materials normally are prepared by dissolving the functionalized colorants containing copolymerizable groups in a polymerizable vinyl monomer with or without another solvent and then combining with an oligomeric or polymeric material which contains one or more vinyl or substituted vinyl groups. The eighth embodiment of the present invention is a coating composition comprising (i) one or more polymerizable vinyl compounds, i.e., vinyl compounds which are copolymerizable with the dye compounds described herein, (ii) one or more of the dye compounds described above, and (iii) at least one photoinitiator. The polymerizable vinyl compounds useful in the present invention contain at least one unsaturated group capable of undergoing polymerization upon exposure to UV radiation in the presence of a photoinitiator, i.e., the coating compositions are radiation-curable. Examples of such polymerizable vinyl compounds include acrylic acid, methacrylic acid and their anhydrides; crotonic acid; itaconic acid and its anhydride; cyanoacrylic acid and its esters; esters of acrylic and methacrylic acids such as allyl, methyl, ethyl, n-propyl, isopropyl, butyl, tetrahydrofurfuryl, cyclohexyl, isobornyl, n-hexyl, n-octyl, isooctyl, 2-ethylhexyl, lauryl, stearyl, and benzyl acrylate and methacrylate; and diacrylate and dimethacrylate esters of ethylene and propylene glycols, 1,3-butylene glycol, 1,4-butanediol, diethylene and dipropylene glycols, triethylene and tripropylene glycols, 1,6-hexanediol, neopentyl glycol, polyethylene glycol, and polypropylene glycol, ethoxylated bisphenol A, ethoxylated and propoxylated neopentyl glycol; triacrylate and trimethacrylate esters of tris-(2-hydroxyethyl)isocyanurate, trimethylolpropane, ethoxylated and propoxylated trimethylolpropane, pentaerythritol, glycerol, ethoxylated and propoxylated glycerol; tetraacrylate and tetramethacrylate esters of pentaerythritol and ethoxylated and propoxylated pentaerythritol; acrylonitrile; vinyl acetate; vinyl toluene; styrene; N-vinyl pyrrolidinone; alpha-methylstyrene; maleate/fumarate esters; maleic/fumaric acid; crotonate esters, and crotonic acid. The polymerizable vinyl compounds useful in the present invention include polymers which contain unsaturated groups capable of undergoing polymerization upon exposure to UV radiation in the presence of a photoinitiator. The preparation and application of these polymerizable vinyl compounds are well known to those skilled in the art as described, for example, in The coating compositions of the present invention optionally may contain one or more added organic solvents if desired to facilitate application and coating of the compositions onto the surface of substrates. Typical examples of suitable solvents include, but are not limited to ketones, alcohols, esters, chlorinated hydrocarbons, glycol ethers, glycol esters, and mixtures thereof. Specific examples include, but are not limited to acetone, 2-butanone, 2-pentanone, ethyl acetate, propyl acetate, isopropyl acetate, butyl acetate, isobutyl acetate, ethylene glycol diacetate, ethyl 3-ethoxypropionate, methyl alcohol, ethyl alcohol, propyl alcohol, isopropyl alcohol, butyl alcohol, ethylene glycol, propylene glycol, ethylene glycol monomethyl ether, ethylene glycol monoethyl ether, ethylene glycol monopropyl ether, ethylene glycol monobutyl glycol, diethylene glycol monomethyl ether, diethylene glycol monoethyl ether, diethylene glycol monobutyl ether, propylene glycol monomethyl ether, diethylene glycol monobutyl ether acetate, diethylene glycol monoethyl ether acetate, ethylene glycol monobutyl ether acetate, propylene glycol monomethyl ether acetate, methylene chloride, chloroform, and mixtures thereof. The amount of added or extraneous solvent which may be present in our novel coating compositions may be in the range of about 1 to 70 weight percent, more typically about 1 to 25 weight percent, based on the total weight of the coating composition. Certain polymerizable vinyl monomers may serve as both reactant and solvent. These contain at least one unsaturated group capable of undergoing polymerization upon exposure to UV radiation in the presence of a photoinitiator. Specific examples include, but are not limited to: methacrylic acid, acrylic acid, ethyl acrylate and methacrylate, methyl acrylate and methacrylate, hydroxyethyl acrylate and methacrylate, diethylene glycol diacrylate, trimethylolpropane triacrylate, 1,6 hexanediol di(meth)acrylate, neopentyl glycol diacrylate and methacrylate, vinyl ethers, divinyl ethers such as diethyleneglycol divinyl ether, 1,6-hexanediol divinyl ether, cyclohexanedimethanol divinyl ether, 1,4-butanediol divinyl ether, triethyleneglycol divinyl ether, trimethylolpropane divinyl ether, and neopentyl glycol divinyl ether, vinyl esters, divinyl esters such as divinyl adipate, divinyl succinate, divinyl glutarate, divinyl 1,4-cyclohexanedicarboxylate, divinyl 1,3-cyclohexanedicarboxylate, divinyl isophthalate, and divinyl terephthalate, N-vinyl pyrrolidone, and mixtures thereof. In addition, the compositions of the present invention may be dispersed in water rather than dissolved in a solvent to facilitate application and coating of the substrate surface. In the water-dispersed compositions of the present invention a co-solvent is optionally used. Typical examples of suitable cosolvents include but are not limited to acetone, 2-butanone, methanol, ethanol, isopropyl alcohol, ethylene glycol monomethyl ether, ethylene glycol monoethyl ether, ethylene glycol monopropyl ether, and ethylene glycol monobutyl ether, ethylene glycol, and propylene glycol. Typical examples of water-soluble ethylenically unsaturated solvents include but are not limited to: methacrylic acid, acrylic acid, N-vinyl pyrrolidone, 2-ethoxyethyl acrylate and methacrylate, polyethylene glycol dimethacrylate, polypropylene glycol monoacrylate and monomethacrylate, and mixtures thereof. The amount of suitable aqueous organic solvent (i.e., organic solvent and water) in the dispersed coating compositions of the present invention is about 10 to about 90 weight percent, preferably about 75 to about 90 weight percent of the total coating composition. The coating compositions of the present invention contain one or more of the reactive vinyl dye compounds described herein. The concentration of the dye compound or compounds may be from about 0.005 to 30.0, preferably from about 0.05 to 15.0, weight percent based on the weight of the polymerizable vinyl compound(s) present in the coating composition, i.e., component (i) of the coating compositions. The coating compositions of the present invention normally contain a photoinitiator. The amount of photoinitiator typically is about 1 to 15 weight percent, preferably about 3 to about 5 weight percent, based on the weight of the polymerizable vinyl compound(s) present in the coating composition. Typical photoinitiators include benzoin and benzoin ethers such as marketed under the tradenames ESACURE BO, EB1, EB3, and EB4 from Fratelli Lamberti; VICURE 10 and 30 from Stauffer; benzil ketals such as 2,2-dimethoxy-1,2-diphenylethan-1-one (IRGACURE 651), 2-hydroxy-2-methyl-1-phenylpropan-1-one (IRGACURE 1173), 2-methyl-2-morpholino-1-(p-methylthiophenyl)propan-1-one (IRGACURE 907), alpha-hydroxyalkylphenones such as (1-hydroxycyclohexyl)(phenyl)methanone (IRGACURE 184), 2-benzyl-2-(dimethylamino)-1-(4-morpholinophenyl)butan-1-one (IRGACURE 369), 2-hydroxy-2-methyl-1-phenylpropan-1-one IRGACURE 1173) from Ciba Geigy, Uvatone 8302 by Upjohn; alpha, alpha-dialkoxyacetophenone derivatives such as DEAP and UVATONE 8301 from Upjohn; DAROCUR 116, 1173, and 2959 by Merck; and mixtures of benzophenone and tertiary amines In pigmented coating compositions, the rate of cure can be improved by the addition of a variety of phosphine oxide photoinitiaters such as bis(2,4,6-trimethylbenzoyl)-phenylphosphine oxide (Irganox 819), Irgacure 819, 1700, and 1700 and phosphine oxide mixtures such as a 50/50 by weight mixtures of IRGACURE 1173 and 2,4,6-trimethylbenzoyldiphenylphosphine oxide (DAROCUR 4265) from Ciba. Further details regarding such photoinitiators and curing procedures may be found in the published literature such as U.S. Pat. No. 5,109,097, incorporated herein by reference. Depending upon the thickness of the coating (film), product formulation, photoinitiator type, radiation flux, and source of radiation, exposure times to ultraviolet radiation of about 0.5 second to about 30 minutes (50–5000 mJ/square cm) typically are required for curing. Curing also can occur from solar radiation, i.e., sunshine. The coating compositions of the present invention may contain one or more additional components typically present in coating compositions. Examples of such additional components include leveling, rheology, and flow control agents such as silicones, fluorocarbons or cellulosics; flatting agents; pigment wetting and dispersing agents; surfactants; ultraviolet (UV) absorbers; UV light stabilizers; tinting pigments; defoaming and antifoaming agents; anti-settling, anti-sag and bodying agents; anti-skinning agents; anti-flooding and anti-floating agents; fungicides and mildewcides; corrosion inhibitors; thickening agents; and/or coalescing agents. The coating compositions of the present invention also may contain non-reactive modifying resins. Typical non-reactive modifying resins include homopolymers and copolymers of acrylic and methacrylic acid; homopolymers and copolymers of alkyl esters of acrylic and methacrylic acid such as methyl, ethyl, n-propyl, isopropyl, butyl, tetrahydrofurfuryl, cyclohexyl, isobornyl, n-hexyl, n-octyl, isooctyl, 2-ethylhexyl, lauryl, stearyl, and benzyl acrylate and methacrylate; acrylated and methacrylated urethane, epoxy, and polyester resins, silicone acrylates, cellulose esters such as cellulose acetate butyrates, cellulose acetate, propionates, nitrocellulose, cellulose ethers such as methyl cellulose, ethyl cellulose, hydroxypropyl cellulose, and hydroxypropyl methyl cellulose. Typical plasticizers include alkyl esters of phthalic acid such as dimethyl phthalate, diethyl phthalate, dipropyl phthalate, dibutyl phthalate, and dioctyl phthalate; citrate esters such as triethyl citrate and tributyl citrate; triacetin and tripropionin; and glycerol monoesters such as Eastman 18-04, 18-07, 18-92 and 18-99 from Eastman Chemical Company. Specific examples of additional additives can be found in The ninth embodiment of the present invention pertains to a polymeric composition, typically a polymeric coating, comprising a polymer of one or more acrylic acid esters, one or more methacrylic acid esters and/or other polymerizable vinyl compounds, having copolymerized therein one or more of the dye compounds described above. The colored polymeric compositions provided by our invention may be prepared from the coating compositions described above and typically contain from about 0.005 to 30.0 weight percent, preferably from about 05 to 15.0 weight percent, of the reactive or polymerized residue of one or more of the vinyl dye compounds described herein based on the weight of the composition or coating. The novel polymeric coatings may have a thickness of about 2.5 to 150 microns, more typically about 15 to 65 microns. The polymeric coatings of the present invention typically have a solvent resistance of at least 100 MEK double rubs using ASTM Procedure D-3732; preferably a solvent resistance of at least about 200 double rubs. Such coatings also typically have a pencil hardness of greater than or equal to F using ASTM Procedure D-3363; preferably a pencil hardness of greater than or equal to H. The coating compositions can be applied to substrates with conventional coating equipment. The coated substrates are then exposed to radiation such as ultraviolet light in air or in nitrogen which gives a cured finish. Mercury vapor or Xenon lamps are applicable for the curing process. The coatings of the present invention can also be cured by electron beam. The radiation-curable coating compositions of this invention are suitable as adhesives and coatings for such substrates as metals such as aluminum and steel, plastics, glass, wood, paper, and leather. On wood substrates the coating compositions may provide both overall transparent color and grain definition. Various aesthetically-appealing effects can be achieved thereby. Due to reduced grain raising and higher film thicknesses, the number of necessary sanding steps in producing a finished wood coating may be reduced when using the colored coating compositions of the invention rather than conventional stains. Coating compositions within the scope of our invention may be applied to automotive base coats where they can provide various aesthetically-appealing effects in combination with the base coats and color differences dependent on viewing angle (lower angles create longer path lengths and thus higher observed color intensities). This may provide similar styling effects as currently are achieved with metal flake orientation in base coats. Various additional pigments, plasticizers, and stabilizers may be incorporated to obtain certain desired characteristics in the finished products. These are included in the scope of the invention. Coating, Curing, and Testing Procedures: Samples of formulations were used to coat glass plates using a knife blade. The wet film thickness was about 15 to 75 microns (0.6 to 3.0 mils). The solvent was evaporated to give a clear, somewhat tacky film. Prior to exposure to UV radiation, each film was readily soluble in organic solvents. The dried film on the glass plate was exposed to UV radiation from a 200 watt per inch medium pressure mercury vapor lamp housed in an American Ultraviolet Company instrument using a belt speed of 25 ft. per minute. One to five passes under the lamp resulted in a crosslinked coating with maximum hardness and solvent resistance. Each cured coating (film) may be evaluated for Konig Pendulum Hardness (ASTM D4366 DIN 1522), solvent resistance by the methyl ethyl ketone double-rub test, and solubility in acetone before and after exposure to UV radiation. The damping time for Konig Pendulum Hardness on uncoated glass is 250 seconds; coatings with hardness above 100 seconds are generally considered hard coatings. The methyl ethyl ketone (MEK) double rub test is carried out in accordance with ASTM Procedure D-3732 by saturating a piece of cheese cloth with methyl ethyl ketone, and with moderate pressure, rubbing the coating back and forth. The number of double rubs is counted until the coating is removed. The acetone solubility test is carried out by immersing a dry, pre-weighed sample of the cured film in acetone for 48 hours at 25° C. The film is removed, dried for 16 hours at 60° C. in a forced-air oven, and reweighed. The weight percent of the insoluble film remaining is calculated from the data. The coatings and coating compositions provided by the present invention and the preparation thereof are further illustrated by the following examples. A colored, photopolymerizable composition was prepared by thoroughly mixing 0.5 g the yellow dye of Example 7 with a coating composition consisting of 20 g Jägalux UV1500 polyester acrylate, 10 g of bisphenol A epoxy acrylate, 9 g dipropyleneglycol diacrylate (DPGDA), 7 g trimethylolpropane triacrylate (TMPTA), and 4 g of Darocure 1173 photoinitiator using a small Cowles mixer until the components were completely dispersed. The resulting coating composition containing 1% of the yellow dye was drawn down with a wire wound rod to provide a 25.4 micron (1 mil) thick coating on an oak wood panel. This panel was passed through a UV cure machine at a speed of 6.1 meters per minute (20 feet/minute) using a lamp with an intensity of 118.1 watts per cm (300 watts per inch). The same coating solutions were applied to glass panels and cured under the same conditions of exposure. Konig Pendulum Hardness measurements (ASTM D4366 DIN 1522) were conducted on the coated glass panels and indicated no significant loss of hardness due to incorporation of the dye; hardness was 86 Konig seconds compared with 82 seconds for a reference coating, which contained no polymerizable dye. Adhesion of the coating to an oak wood panel was measured using the crosshatch adhesion method according to ASTM method D 3359 (ISO 2409). A right angle lattice pattern (6 lines in each direction) is cut into the coating, penetrating to the substrate, creating 25 squares with each side of the squares measuring 1 mm. A 2.5 cm (1 inch) wide piece of tape is applied to the lattice, pressure is applied, and then the tape is pulled from the substrate. If the edges are smooth and none of the squares are detached, the adhesion is 100% (ASTM rating 5B). On the wood panel a 5B rating was achieved for both the reference and the dye-containing coatings. Chemical resistance was tested with MEK double rubs on glass. Both the reference, which contained no polymerizable dye, and the coatings, which contained polymerizable dyes, withstood more than 300 MEK double rubs. No dye color was observed on the white cheesecloth of the MEK rub test, which is an indication that the dyes cannot be extracted from the coatings with solvents and demonstrates complete incorporation of the dye into the polymer matrix of the cured film. A colored, photopolymerizable composition was prepared by thoroughly mixing 0.5 g the red dye of Example 8b with a coating composition consisting of 20 g Jägalux UV1500 polyester acrylate, 10 g of bisphenol A epoxy acrylate, 9 g dipropyleneglycol diacrylate (DPGDA), 7 g trimethylolpropane triacrylate (TMPTA), and 4 g of Darocure 1173 photoinitiator in a small Cowles mixer until the components were completely dispersed. The resulting coating composition, which contained 1% of the red dye, was drawn down with a wire wound rod to provide a 25.4 micron (1 mil) thick coating on an oak wood panel. This panel was passed through a UV cure machine at a speed of 6.1 meters per minute (20 feet/minute) using a lamp with an intensity of 118.1 watts per cm (300 watts per inch). The same coating solutions were applied to glass panels and cured under the same conditions of exposure. Konig Pendulum Hardness measurements conducted on the coated glass panels showed no significant loss of hardness due to incorporation of the dye; hardness was 76 Konig seconds compared with 82 seconds for a reference coating which contained no polymerizable dye. The invention has been described in detail with particular reference to preferred embodiments thereof, but it will be understood that variations and modifications can be effected within the spirit and scope of the invention.CROSS REFERENCE TO RELATED APPLICATION
FIELD OF THE INVENTION
BACKGROUND AND PRIOR ART
BRIEF SUMMARY OF THE INVENTION
wherein
—COC(R3)═CH—R4 Ia
—CONHCOC(R3)═CH—R4 IIa
—CONH–C1–C6-alkylene OCOC(R3)═CH—R4 IIIa
—COCH═CH—CO2R7 Va
wherein
with the compounds having the structure ClCH2—C6H4-p-C(R2)═CH2in the presence of base, wherein A, R2and n are as defined previously.
with 4-chloromethylstyrene compounds having the structure ClCH2—C6H4-p-C(R2)═CH2in the presence of a base, wherein A, R, R2and n are defined above.
respectively, with at least about n molecular equivalents of ethylene or propylene carbonate for each molecular equivalent of acidic compounds to produce the 2-hydroxyalkyl derivatives of said acidic compounds followed by:
ClCOC(R3)═CH—R4or O[COC(R3)═CH—R4]2, Ib
O═C═N—COC(R3)═CH—R4, IIb
O═C═N—C1–C6alkylene OCOC(R3)═CH—R4, IIIb
wherein A, n, Q, R, R3, R4, R5, R6, R8are defined previously.
with at least about n molecular equivalents of one or more acylating agents Ib through IXb described above wherein A, R, n and Q are defined above.
DETAILED DESCRIPTION
D-N═N-Z XIII
wherein D is the residue of an aromatic or heteroaromatic, diazotizable amine which has been diazotized and coupled with an electron rich coupling component H-Z and is preferably derived from the aromatic and heteroaromatic classes of unsubstituted and substituted anilines, 1-naphthylamines, 1-aminoanthraquinones, 4-aminoazobenzenes, 2-aminothiazoles, 2-aminobenzothiazoles, 3-amino-2,1-benzisothiazoles, 2-aminothieno [2,3-d]thiazoles, 5-aminopyrazoles, 4-aminopyrazoloisothiazoles, 2-amino-1,3,4-thiadiazoles, 5-amino-1,2,3-thiadiazoles, 5-amino-1,2,3-triazoles, 2-amino-1,3,4-triazoles, 2(5) aminoimidazoles, 3-aminopyridines, 2(3)aminothiophenes, 2(3)aminobenzo [5]thiophenes, 2-aminothieno[3,2-5]thiophenes, 3-aminothieno[2,3]-isothiazoles, 3-amino-7-benz-2,1-isothiazoles, 3-aminoisothiazolo[3,4-d]pyridines, 3(4)-aminophthalimides and 5(6) amino-1,2-benzisothiazolon-1,1-dioxides; wherein the substituuents which are present on D are selected from C1–C6-alkyl; C1–C6-alkoxy; C3–C8-cycloalkyl; halogen; C2–C6-alkoxycarbonyl;
C2–C6-alkanoyloxy; formyl; C2–C6-alkanoyl; dicyanovinyl; thiocyano; trifluoromethyl; trifluoroacetyl; cyano; carbamoyl; —CONHC1–C6-alkyl; —CON(C1–C6-alkyl)2; —CONH aryl; sulfamoyl; —SO2NHC1—C6-alkyl; —SO2N(C1–C6-alkyl)2; —SO2NHaryl; —SO2NHC3–C8-cycloalkyl; —CONHC3–C8-cycloalkyl; aryl; aroyl; heteroaryl; NHSO2C1–C6alkyl; N(C1–C6-alkyl) SO2C1–C6-alkyl; NHSO2aryl; NHCO2C1–C6-alkyl; NHCONH C1–C6-alkyl; NHCONH aryl; —N—(C1–C6-alkyl)-aryl; arylazo; aryloxy; arylthio; C3–C8-cycloalkoxy; heteroarylazo; heteroarylthio; arylsulfonyl; tricyanovinyl; aryloxysulfonyl; C1–C6-alkylsulfonyl; fluorosulfonyl; trifluoromethylsulfonyl; hydroxy; nitro and —CH═AM wherein AM is the residue of an active methylene compound; —CO2X and
wherein -L- is a linking group selected from —O—, —S— and —SO2— and X is as defined previously; Z is the residue of an electron rich coupling component selected from the classes of anilines, 1,2,3,4-tetrahydroquinolines, aminonaphthylamines, benzomorpholines (3,4-dihydro-2H-1,4-benzoxazines), pyrazolones, pyrazoles, 3-cyano-6-hydroxy-2-pyridones, 2,3-dihydroindoles, indoles, 4-hydroxycoumarins, 4-hydroxy-2-quinolones, imidazo[2,1-b]-thiazoles, 2,6-diamino-3-cyanopyridines; 5,5-dimethyl-1,3-cyclohexanedione (dimedone), phenols, naphthols and 2,4-pentanediones; wherein the azo compounds of Formula XIII contain a total of from one to four photopolymerizable groups (—CO2X), wherein said group(s) may be positioned on moiety D and/or moiety Z.
D1-N═N-Z1 XIV
wherein D1is the residue of an aromatic or hereroaromatic amine which has been diazotized and coupled with an electron rich coupling component HZ1, wherein D1is derived from the same optionally substituted aromatic amines and heteroaromanic amines as described for Formula XIII above, except that the photopolymerizable group which may be present on D1, is a triazolyl radical having the formula:
instead of —CO2X or
and wherein R and Y are as previously defined; Z1is the residue of a coupling component selected from the same classes as described above for Z in Formula XIII and which may be substituted with the group
with the provision that the azo compounds of Formula XIV contain a total of from one to four photopolymerizable groups
wherein said groups(s) may be positioned on moiety D1and/or moiety Z1.
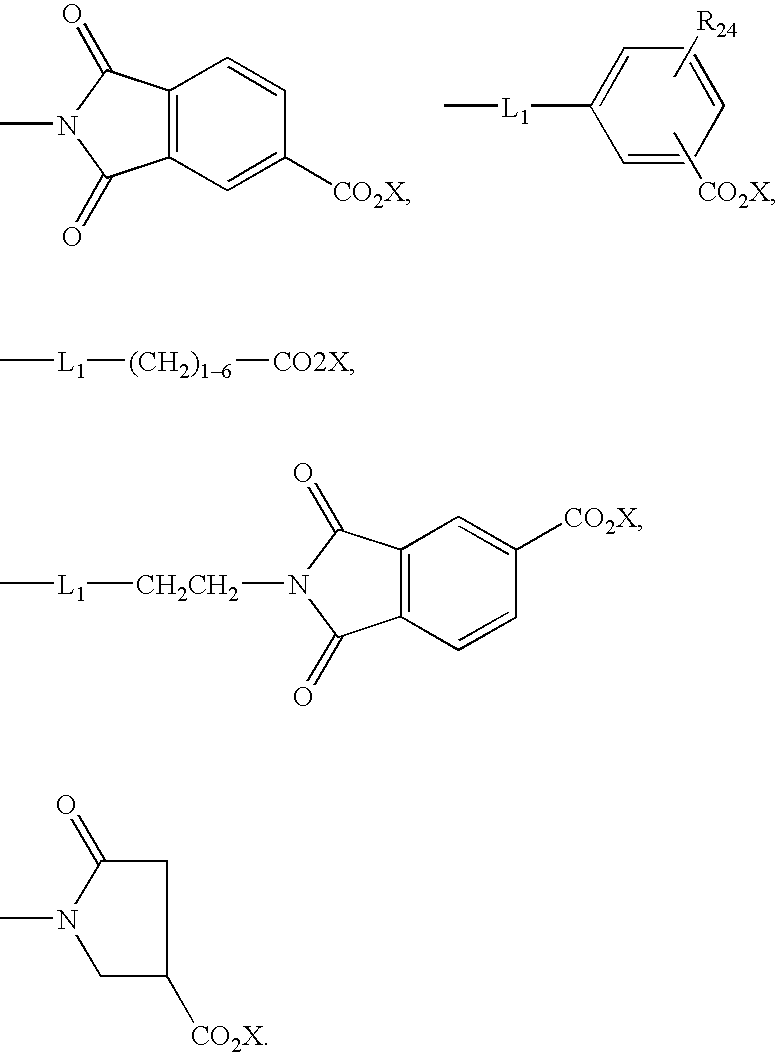
wherein R15is hydrogen or 1–2 groups selected from C1–C6-alkyl, C1–C6-alkoxy, halogen, NHCOR22, NHCO2R22, NHCON(R22) R23and NHSO2R23, wherein R22is selected from hydrogen, C1–C6-alkyl, C3–C8-cycloalkyl and aryl, R23is selected from C1–C6-alkyl, C3–C8-cycloalkyl and aryl, wherein each C1–C6alkyl group in R22and R23may be further substituted with one or more groups selected from C1–C6-alkoxy, hydroxy, C3–C8-cycloalkyl, aryl, aryloxy, arylthio, cyano, succinimido, —CO2X,
wherein —CO2X is a photopolymerizable group as described above; L1is selected from a covalent bond, —O—, —S—, —SO2—, —CO2—, —SO2NH—, —CONH— and —SO2N(C1–C6-alkyl)-; wherein each aryl group in R22and R23in the definition of R15may be substituted with at least one photopolymerizable —CO2X group; wherein R24represents hydrogen or 1–2 groups selected from —CO2X, C1–C6-alkyl, C1–C6-alkoxy and halogen; R16and R17are independently selected from hydrogen; C3–C8-cycloalkyl; C3–C8-alkenyl; C3–C8-alkynyl; C1–C6-alkyl and C1–C6-alkyl substituted with one or more groups selected from —CO2X,
C3–C8-cycloalkyl, aryl, hydroxy, cyano, —OC2H4OH, —SCH2CH2OH, halogen, —OC1–C6-alkyl, —S C1–C6-alkyl, —O aryl, —S aryl, —SO2aryl, —SO2C1–C6-alkyl, —S heteroaryl, 2-pyrrolidino, phthalimidino, phthalimdo, succinimido, glutarimido, o-benzoic sulfimido, —NHCOC1–C6-alkyl, —NHCOH, —NHSO2C1–C6-alkyl, —NHSO2aryl, —NHCOaryl, —NHCO2C1–C6-alkyl, —SO2NH2, —CONH2, —SO2NH—C1–C6-alkyl, —SO2N(C1–C6-alkyl)2, —CO2C1–C6-alkyl, —CONH C1–C6-alkyl, —CO2-aryl, —CON—(C1–C6-alkyl)2, —CONH-aryl, —CON—(C1–C6-alkyl)aryl, —SO2N(C1–C6-alkyl)aryl, —OCOC—C1–C6-alkyl, —OCOaryl, —OCO2C1–C6-alkyl; groups of the formulae:
wherein Y2is selected from 1,2-phenylene; 1,2-phenylene substituted with C1–C6alkyl, C1–C6-alkoxy, halogen, CO2C1–C6-alkyl or nitro; C2–C4alkylene; —OCH2—; —SCH2—; —CH2OCH2—; —CH2SCH2—; —NHCH2—; —NHCH2CH2—N(C1–C6-alkyl)CH2—; —N(C1–C6-alkyl)CH2CH2; —NHC(aryl)2, and wherein R16and R17may be combined with themselves or another element to which they are attached to form a radical Z having the formula:
wherein L3is selected from a covalent bond, —O—, —S—, —CH2—, —SO2—, —N(COC1–C6-alkyl)-, —N(SO2C1–C6-alkyl)-, —N(COaryl)- and —N(SO2aryl)-; R18, R19and R20are independently selected from hydrogen and C1–C6-alkyl; R21is selected from hydrogen, C1–C6-alkyl and aryl.
instead of those listed.
wherein R25is an electron rich aromatic residue selected from the following:
wherein R16, R17, R18, R19, R20and R21are as defined for Z previously in Formula XIII; wherein R16′ is selected from the same groups as R16; wherein R26is selected from cyano, C1–C6-alkoxycarbonyl, C1–C6-alkylsulfonyl, arylsulfonyl, aryl, heteroaryl, formyl, C1–C6-alkanoyl or —CH═AM; wherein R27is hydrogen or cyano; wherein AM is the residue of an active methylene compound selected from malononitrile, α-cyanoaceticacid esters, malonic acid esters, α-cyanoacetic acid amides, α-C1–C6-alkylsulfonyl-acetonitriles, α-arylsulfonylacetonitriles, α-C1–C6-alkanoylacetonitriles, α-arylsulfonylacetonitriles, α-C1–C6-alkanoylacetonitriles, α-arylacetonitriles, α-hereroacylacetonitriles, bis(heteroaryl) methanes, 1,3-indanediones, 2-furanones, benzo-2-furanones, benzo (b) thieno-3-xlidene propanedinitrile-5,5-dioxides, 1,3-bis(dicyanomethylene)indanes, barbituric acid, 5-pyrazolones, dimedone, 3-oxo-2,3-dihydro-1-benzothiophene-1,1-dioxides, aryl C(CH3)═C(CN)2and NC CH2CO2X, R28; wherein —CO2X is a photopolymerizable group as previouly defined.
wherein R28is hydrogen or represents 1–4 groups selected from amino; C1–C8-alkylamino; C1–C8-alkylamino substituted with one or more groups selected from hydroxy, cyano, halogen, aryl, heteroaryl, C3–C8-cycloalkyl, furyl, C1–C6-alkoxy, C1–C6-alkylthio, arylthio, aryloxy, —(OCH2CH2—)1-3OR′, wherein R′ is selected from hydrogen, C1–C6-alkyl and C2–C6-alkanoyloxy; C3–C8-cycloalkylamino; C3–C8-alkenylamino; C3–C8-alkynylamino; arylamino; furfurylamino; C1–C6-alkoxy; —(OCH2CH2—)1-3OR′, wherein R′ is as defined previously; halogen; hydroxy; C1–C6-alkylthio; arylthio; aryl; aryloxy; arylsulfonyl C2–C6-alkanoyl; aroyl; C2–C6-alkanoyloxy; C2–C6-alkoxycarbonyl; heteroaryl; heteroarylthio; cyano; nitro; trifluoromethyl; thiocyano; —SO2C1–C6-alkyl; —SO2NH2; —SO2NHC1–C6-alkyl; —SO2N(C1–C6alkyl)2; —SO2N(C1–C6alkyl)aryl; —SO2NHaryl; —CONH2; CONHC1–C6-alkyl; —CON(C1–C6-alkyl)2; —CONHaryl; —CON(C1–C6-alkyl)aryl; C1–C6-alkyl; tetrahydrofurfurylamino; 4-(hydroxymethyl)cyclohexylmethylamino; and
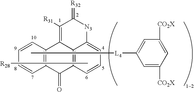
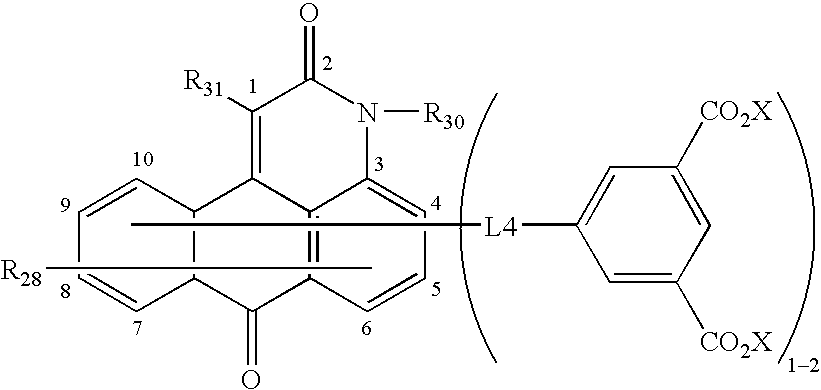
R29is hydrogen or 1–2 groups selected from C1–C6-alkyl, halogen and C1–C6-alkoxy; R30is selected from hydrogen, C1–C8-alkyl, substituted C1–C8-alkyl as defined previously in the definition of R28, aryl and C3–C8-cycloalkyl; R31is selected from hydrogen, cyano, C1–C6-alkoxy, C1–C6-alkylthio, aryl, aryloxy, arylamino, arylthio, heteroaryl, heteroarylthio, halogen, C2–C6-alkoxycarbonyl, aroyl; C1–C6-alkylsulfonyl, arylsulfonyl and C1–C6-alkylamino; R32is selected from hydrogen, C1–C6-alkyl, aryl and —N(R33)R34, wherein R33and R34are independently selected from hydrogen; C1–C6-alkyl; C1–C6-alkyl substituted with C2–C6-alkanoyloxy, aryl and C3–C8-cycloalkyl; aryl; C3–C8-cycloalkyl; wherein R33and R34may be combined to produce divalent radicals such as —(CH2)—4-6and —CH2CH2-L6-CH2CH2—, wherein L6is selected from —O—, —S—, —SO2— and —N(R34)—, wherein R34′ is selected from hydrogen, C1–C6-alkyl, aryl, aroyl, C1–C6-alkanoyl, C1–C6-alkylsulfonyl and aryl-sulfonyl; L4and L5are selected from —O—, —S—, —SO2—, —CON(R33)— and —SO2N(R33)—.
wherein R35is selected from hydrogen, bromine, arylthio, heteroarylthio, arylsulfonyl,
wherein X and R24are as defined above.
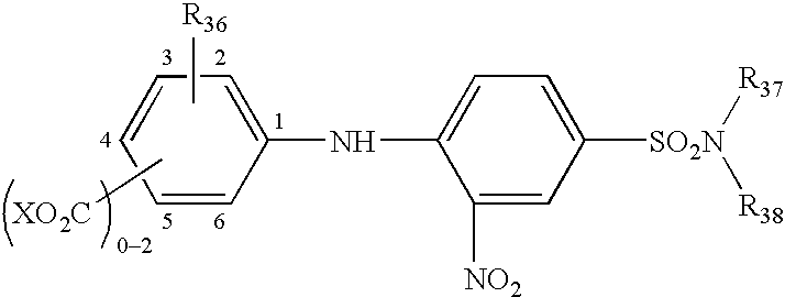
wherein R36is selected from hydrogen, halogen, C1–C6-alkyl and C1–C6-alkoxy; R37and R38are independently selected from hydrogen; C1–C6-alkyl; C3–C6-cycloalkyl; C3–C8-cycloalkyl; C3–C8-cycloalkyl, C2–C6-alkanoyloxy; aryl and
wherein R39is hydrogen or 1–4 groups selected from C1–C6-alkyl, C1–C6-alkoxy, amino, CO2X, C1–C6-alkylamino, C3–C8-cycloalkylamino, arylamino, arylthio, hereroarylthio and
wherein L7is selected from —S—, —O— and —NH—, with the provision that one to four —CO2X groups be present.
wherein R40is hydrogen or —CO2X or represents 1–3 groups selected from C1–C6-alkyl, C1–C6-alkoxy, halogen, and —NHC2–C6-alkanoylamino.
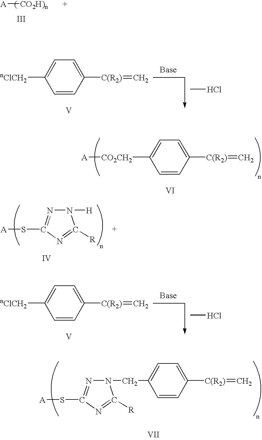
wherein A, n, R and R2are as defined previously, to produce colored compounds VI and VII. The reactions of the colored acidic compounds having Formulae III and IV with the 4-chloromethylstyrenes V are carried out in the presence of a polar aprotic solvent such as N,N-dimethylformamide (DMF), N-methyl-2-pyrrolidinone (NMP), N,N-dimethylacetamide (DMAC), sulfolane, etc. in the presence of one or more bases such as an alkali metal carbonate, an alkali metal bicarbonate, a trialkylamine, a cyclic nitrogen compounds such as 1,8-diazabicyclo[5.4.0]undec-7-ene (PBU), 1,5-diazabicyclo[4.3.0]non-5-ene (DBN), and the like. The reaction may under some reaction conditions be facilitated by the presence of a catalytic amount of an alkali metal bromide, alkali metal iodide and/or a conventional phase transfer catalysts, e.g., a tetraalkylammonium halide such as a chloride or bromide. The reactions are usually carried out between about 50° C. to about 150° C., preferably from about 90° C. to about 125° C.
wherein A, n, R and R1are as defined previously and Z is halogen, to produce an intermediate hydroxy compound IX and X. Reaction conditions used for preparing compounds IX and X are those described in the preparation of VI and VII above. Although intermediate hydroxy compounds IX and X where R1is —CH2CH2— or —CH2CH(CH3)— may be prepared as described above by using the corresponding 2-bromo- or chloro-alkanol, the preferred route uses ethylene or propylene carbonate which avoids the use of toxic haloalkanols according to the following equations:
wherein R′ is hydrogen or methyl, to produce hydroxyalkyl derivatives XI and XII. These reactions are facilitated by the presence of catalytic amounts of alkali halides, teraalkylammonium halides or tetraalkylammonium hydroxides. The reactions may be carried out by heating the intermediate colored diacids III and IV with at least molar equivalent amounts of alkylene carbonate. Excess alkylene carbonate also may be useful as the solvent or a co-solvent for the reaction. In particular, ethylene and propylene glycol have been found to be effective co-solvents for the preparation of XI and XII. Compounds IX and X (or XI and XII) are then acylated with one of acylating agents Ib through IXb described above to introduce the desired Q groups to prepare photopolymerizable compounds having Formulae I and II. Q groups Ia–IXa are introduced by reacting hydroxy compounds IX and X with acylating agents Ib–IXb, respectively.
In the structures for coupling components HZ and HZ1above, R15, R16, R18, R19, R20, R24, X and Y have the meaning previously ascribed to them.
to produce colorants of Formula XV, XVII, and XVIII, respectively, wherein R16′ is hydrogen. Compounds of Formula XVII and XVIII, wherein R16is hydrogen, can be further reacted to introduce photopolymerizable groups if desired.
groups. These couplers then are reacted with the desired diazonium salts to produce azo dye containing the hydroxy groups which are then reacted further to introduce the photopolymerizable Q groups into the final colorant. Similarly, this method may be employed in the preparation of the colorants having Formulae XV, XVI and XVII by reacting the acidic colored intermediates containing the methine, 3-aryl-2,5-dioxypyrroline or 3-aryl-5-dicyano methylene-2-oxypyrroline chromophores, respectively, to introduce the photopolymerizable group after the chromophore is formed.
but that the isomer shown in Formula II probably predominates.
COLORANT EXAMPLES
Example 1
An absorption maximum at 447 nm was observed in the UV-visible absorption spectrum in DMF.
Example 2
Example 3
Absorption maxima at 600 nm and 645 nm were observed in the UV-visible absorption spectra in DMF.
Example 4
An absorption maximum was observed at 520 nm in the UV-visible absorption in DMF.
Example 5
An absorption maximum at 420 nm was observed in the UV-visible absorption spectrum in DMF.
Example 6a
Example 6b
Example 7
An absorption maximum at 444 nm was observed in the UV-visible absorption spectrum in DMF.
Example 8a
Example 8b
An absorption maximum at 525 nm was observed in DMF solution in the UV-visible absorption spectrum.
Example 9
An absorption maximum at 522 nm in DMF solution was observed in the UV-visible light absorption spectrum.
Example 10
An absorption maximum at 446 nm was observed in DMF in the UV-visible light absorption spectrum.
Example 11a
Example 11b
An absorption maximum at 425 nm was observed in the UV-visible light absorption spectrum in DMF.
Example 12a
Example 12b
An absorption maximum at 543 nm was observed in the UV-visible light absorption spectrum in DMF solvent.
Example13a
Example 13b
wherein the monosubstitued product was the major predominate structure present. An absorption maximum at 641 nm was observed in the UV-visible light absorption spectrum.
Example 14a
Example 14b
When the product was dissolved in DMF a bright cyan color was obtained.
Example 15
A bright violet color was obtained when the product was dissolved in DMF.
Example 16a
Example 16b
Example 17
An absorption maximum was observed at 471 nm in the UV-visible light absorption spectrum in DMF as solvent.
Example 18a
Example 18b
An absorption maximum at 422 nm was observed UV-visible spectrum in DMF as solvent.
Example 19a
Example 19b
Absorption maxima at 603 nm and 646 nm were observed in the UV-visible absorption spectrum in DMF solution.
Example 20a—Preparation of Azo Dye Coupler
Example 20b—Preparation of Intermediate Azo Dye
An absorption maximum was observed at 543 nm in the UV-Visible light absorption spectrum in DMF solution.
Example 20c
An absorption maximum was observed at 543 nm in the UV-visible absorption spectrum in DMF solution.
Example 21a
Example 21b
Example 21c
The product had a magenta color when dissolved in DMF.
Example 22a
Example 22b
Example 23a
Example 23b
Example 23c
The product produced a bright red color when dissolved in DMF.
Example 24a
Example 24b
Azo Colorants of Formula XIII Example No. D R15 R16 R17 25 4-NO2-phenyl H —CH2—C6H4-4-CO2—CH2CH2— —CH2—C6H4-4-CO2—CH2CH2— OCOC(CH3)═CH2 OCOC(CH3)═CH2 26 2-Cl-4-NO2-phenyl 3-CH3 —CH2—C6H4-4-CO2—CH2CH2— —CH2—C6H4-4-CO2—CH2CH2— OCOC(CH3)═CH2 OCOC(CH3)═CH2 27 2-Br-4-CN-phenyl 3-NHCOCH3 —CH2—C6H4-4-CO2—CH2CH2— —CH2—C6H4-4-CO2—CH2CH2— OCOC(CH3)═CH2 OCOC(CH3)═CH2 28 2,6-di-CN-4-NO2-phenyl 3-NHCOCH3 —CH2—C6H4-4-CO2—CH2CH2— —CH2—C6H4-4-CO2—CH2CH2— OCOC(CH3)═CH2 OCOC(CH3)═CH2 29 2-Br-4,6-di-NO2-phenyl 2-OCH3-5-NHCOCH3 —CH2—C6H4-4-CO2—CH2CH2— —CH2—C6H4-4-CO2—CH2CH2— OCOC(CH3)═CH2 OCOC(CH3)═CH2 30 2-Cl-4-CH3SO2-phenyl 3-NHCOCH3 —C2H5 —CH2—C6H4-4-CO2—CH2CH2— OCOC(CH3)═CH2 31 2-CN-4-CH3SO2-phenyl 3-NHCOCH3 —C2H5 —CH2—C6H4-4-CO2—CH2CH2— OCOC(CH3)═CH2 32 2-CN-4-CH3SO2-phenyl 3-CH3 —C2H5 —CH2CH2O—C6H3-3,5-bis- (—CO2CH2—C6H4-4-CH═CH2) 33 2-Br-4-NO2-phenyl 3-NHCOCH3 —CH2—C6H4-4-(CO2—CH2— —CH2—C6H4-4-(CO2—CH2— C6H4-4-CH═CH2) C6H4-4-CH═CH2) 34 5-C2H5S-1,3,4- 3-NHCOCH3 —CH2—C6H4-4-(CO2—CH2— —CH2—C6H4-4-(CO2—CH2— thiadiazol-2-yl C6H4-4-CH═CH2) C6H4-4-CH═CH2) 35 6-CH3SO2- 3-NHCOCH3 —CH2—C6H4-4-(CO2—CH2— —CH2—C6H4-4-(CO2—CH2— benzothiazol-2-yl C6H4-4-CH═CH2) C6H4-4-CH═CH2) 36 5,6-di-Cl- 3-NHCOCH3 —CH2—C6H4-4-(CO2—CH2— —CH2—C6H4-4-(CO2—CH2— benzothiazol-2-yl C6H4-4-CH═CH2) C6H4-4-CH═CH2) 37 5-NO2-benzothiazol-2-yl 3-NHCOCH3 —CH2—C6H4-4-(CO2—CH2— —CH2—C6H4-4-(CO2—CH2— C6H4-4-CH═CH2) C6H4-4-CH═CH2) 38 4-Br-3-CH3-iso- 3-NHCOCH3 —CH2—C6H4-4-(CO2—CH2— —CH2—C6H4-4-(CO2—CH2— thiazol-5-yl C6H4-4-CH═CH2) C6H4-4-CH═CH2) 39 3-CH3-4-CN-iso- 3-NHCOCH3 —CH2—C6H4-4-(CO2—CH2— —CH2—C6H4-4-(CO2—CH2— thiazol-5-yl C6H4-4-CH═CH2) C6H4-4-CH═CH2) 40 3-SCH3-1,2,4- H —CH2CH2—CO2—CH2CH2— —CH2CH2—CO2—CH2CH2— thiadiazol-5-yl OCO(CH3)═CH2 OCO(CH3)═CH2 41 5-NO2-thiazol-2-yl 3-CH3 —CH2CH2—C6H4-2-(CO2— —C2H5 CH2—C6H4-4-CH═CH2) 42 2-CH3CO-4-NO2- 3-NHCOCH3 —CH2CH2S—C6H4-2-(CO2— —CH2CH2S—C6H4-2-(CO2— thien-5-yl CH2CH2—C6H4-4-CH═CH2) CH2CH2—C6H4-4-CH═CH2) 43 4-CH3CO-2-NO2- 3-CH3 —CH2CH2S—C6H4-2-(CO2— —CH2CH2S—C6H4-2-(CO2— thien-5-yl CH2—C6H4-4-CH═CH2) CH2—C6H4-4-CH═CH2) 44 2,4-di-CH3O2C-4- H —CH2CH2O—C6H4-2-(CO2— —C2H5 CH3-thien-5-yl CH2CH2OCO—CH═CH2) 45 5-NO2-benziso- 3-NHCOC2H5 —CH2—C6H4-4-(CO2— —C2H5 thiazol-3-yl CH2CH2CH2OCO═CH2) 46 4-phthalimidyl 3-NHCOCH3 —CH2CH2SO2—C6H4-2-(CO2— CH2—CH(CH3)—OCO—CH═CH2) 47 4-Br-N-C2H5-5-phthalimidyl 3-CH3 —C2H5 Methine Colorants of Formula XV Example No. AM R15 R16 R17 48 ═C(CN)CN H —C2H5 —CH2—C6H4-4-(CO2—CH2CH2— OCOC(CH3)CH═CH2) 49 ═C(CN)SO2CH3 3-CH3 —CH2—C6H4-4-(CO2—CH2CH2— —CH2—C6H4-4-(CO2—CH2CH2— OCOC(CH3)CH═CH2) OCOC(CH3)CH═CH2) 50 ═C(CN)CO2CH3 3-CH3 —CH2CH2O—C6H3-3,5-bis- —C2H5 (—CO2CH2—C6H4-4-CH═CH2) 51 ═C(CN)CONH2 3-CH3 —C2H5 —CH2CH2S—C6H4-2(CO2— CH2C6H4-4-CH═CH2) 52 ═C(CN)CO2C2H5 3-CH3 —CH2C6H5 —CH2—C6H4-4-(CO2—CH2— C6H4-4-CH═CH2) 53 ═C(CN)CN 3-CH3 —C2H5 54 ═C(CN)CO2CH3 3-CH3 —CH2CH2S—C6H4-2-(CO2— —CH3 CH2—C6H4-4-CH═CH2) 55 ═C(CN)CN 2,5-di-OCH3 —CH2—C6H4-4-(CO2—CH2CH2— —CH2CH2O—C6H4-2-(CO2— OCOC(CH3)CH═CH2) CH2CH2—OCO—CH═CH2) 56 ═C(CN)CO2C2H5 H —CH2CH2—CO2CH2—C6H4— —CH2CH2—CO2CH2—C6H4— 4-CH═CH2 4-CH═CH2 3-Aryl-2,5-Dioxypyrroline Colorants of Formula XVII Example No. R15 R16 R16′ R17 57 H —CH2CH3 H —CH2—C6H4-4-(CO2—CH2CH2— OCOC(CH3)═(CH2) 58 H —CH2CH3 —CH3 —C6H4-4-(CO2—CH2—C6H4-4-CH═CH2) 59 H —CH2—C6H4-4-(CO2—CH2—C6H4— —C2H5 —CH2—C6H4-4-(CO2—CH2—C6H4— 4-CH═CH2) 4-CH═CH2) 60 H —CH2CH2S—C6H4-2-(CO2—CH2CH2— —CH2C6H5 —CH2CH2S—C6H4-2-(CO2—CH2CH2— OCOC(CH3)═CH2) OCOC(CH3)═CH2) 61 H —CH2CH2O—C6H3-3,5-bis-(—CO2CH2— H —C2H5 C6H4-4-CH═CH2) 62 —CH3 —CH2—C6H4-4-(CO2—CH2CH2— R16 —C2H5 OCOCH═CH2) ANTHRAQUINONE COLORANTS OF FORMULA XXa Example No. R28 L4 X 63 H 1-NH— —CH2—C6H4-4-CH═CH2 64 H 2,7-di-S— —CH2—C6H4-4-CH═CH2 65 H 1,5-di-NH— —CH2—C6H4-4-CH═CH2 66 H 1,8-di-NH— —CH2—C6H4-4-CH═CH2 67 H 1,5-di-S— —CH2—C6H4-4-CH═CH2 68 H 1,5-di-S— —CH2CH(CH3)OCOC(CH3)═CH2 69 H 1,5-di-NH— —CH2—CH(OH)CH2—OCONH— CH2CH2OCOCH═CH2 70 1-NH2-2-Br 4-NH —CH2—C6H4-4-C(CH3)═CH2 71 1-NH2-2-SO2C6H5 4-NH —CH2CH(CH3)OCOCH═CH2 72 1-NH2-2-S—C6H5 4-NH —CH2CH2CH2OCOC(CH3)═CH2 73 1-NH2-2-CN 4-NH —(CH2)4—OCONHCOC(CH3)═CH2 74 1-NHCH3 4-NH —CH2C(CH3)2CH2OCOC(CH3)═CH2 75 1-NHCH2CH(CH3)2 4-S— —CH2—C6H10-4-(CH2OCOC(CH3)═CH2) 76 1-NH2-4-OH 2-O— —(CH2)4—OCOCH═CH2 77 H 1,4-di-S— —CH2-1,4-C6H4CH═CH2 78 1-NH2-4-NHC6H5 2-S— —CH2CH2OCONHC(CH3)2—C6H4- 3-C(CH3)═CH2 79 1-NH2, 4-S-benzo- 2-SO2— —CH2—1,4-C6H4—CH═CH2 thiazol-2-yl 80 1,5-di-S—C6H5 4,8-di-S— —CH2CH(CH3)—OCOC(CH3)═CH2 81 1,8-di-NH2-4,5- 2,7-di-O— —CH2CH2OCH2CH2OCOC(CH3)═CH2 di-OH 82 1,8-di-NH2-4,5-di-OH 2,5-di-S— 83 1,8-di-OH 4,5-di-S— —CH2CH2(OCH2CH2)3OCOC(CH3)═CH2 Anthraquinone Colorants of Formula XXb Example No. R28 R29 L4 —CO2X 84 H H 1-S— 2′-CO2CH2CH(CH3)OCOC(CH3)═CH2 85 H H 1,5-di-NH— 2′-CO2CH2CH(CH3)OCOCH═CH2 86 H 4′-Br 1,5-di-NH— 2′-CO2CH2CH(CH3)OCONHC(CH3)2—C6H4 3-C(CH3)═CH2 87 H H 1,5-di-S— 3′-CO2CH2CH2OCOC(CH3)═CH2 88 H H 1,8-di-S— 4′-CO2CH2CH2CH2OCOCH═CH—CO2H 89 H 2′-CH3 1,4-di-S— 4′—CO2CH2—C6H4-4-CH═CH2 90 H H 1,4,5,8-tetra-S— 2′-CO2CH2CH(CH3)OCOC(CH3)═CH2 91 1,5-di-NH— H 4,8-di-S— 2′-CO2CH2CH(CH3)OCOC(CH3)═CH2 C6H11 92 1-NH2-2-Br H 4-NH— 2′-CO2CH2CH(CH3)OCOC(CH3)═CH2 93 1-NH2-2-OCH3 H 4-S— 2′-CO2CH2—C6H4-4-C(CH3)═CH2 94 1-NH2-2- H 4-NH— 2′-CO2CH2CH(CH3)OCOC(CH3)═CH2 SO2C6H5 95 1-NH2-4- H 2-O— 4′CO2CH2CH(OH)CH2OCOCH═CH2 NHSO2CH3 96 1-NH2-2-CF3 H 4-S— 3′-CO2CH2—C6H4-4-CH═CH2 97 1,4-di-OH H 2-S— 2′-CO2(CH2)6OCOC(CH3)═CH2 98 1,8-di-NH2-4,5- H 2,7-di-S— 2′-CO2CH2CH(CH3)OCOC(CH3)═CH2 di-OH 99 5,8-di-S-C6H5 H 1,4-di-S— 2′CO2CH2CH(CH3)OC-1,3-C6H4—CH═CH2 100 1,4-bis-(2,6- H 6,7-di-S— 2′-CO2CH2CH(CH3)OCOC(CH3)═CH2 diethylanilino) ANTHRAQUINONE COLORANTS OF FORMULA XXe Example No. R28 Position R Y 101 H 1- H —CH2—C6H4-4-CH═CH2 102 H 1,8-di H —CH2CH2OCOC(CH3)═CH2 103 H 1,4,5,8-tetra H —CH2CH2OCOCH═CH2 104 4,5-bis-(—SC6H4-4-CH3) 1,8-di —CH3 —CH2CH2OCOC(CH3)═CH2 105 H 1,5-di —C6H5 —CH2CH(CH3)OCOCH═CH2 106 1-NH2-2-Br 4- H —CH2—C6H4-4-CH═CH2 107 1-NH2 2,4-di H —CH2CH2OCOC(CH3)═CH2 108 1-NH2-4-OH 2- H —CH2CH2OCONHC(CH3)2— C6H4-3-C(CH3)═CH2 109 1,8-di-NH2-4,5-di-OH 2,7-di H —CH2CH2OCOC(CH3)═CH2 110 1,4-bis-(2,6-diethyl- 6,7-di H —(CH2)6—OCOC(CH3)═CH2 anilino) 111 1,4-bis-(2,4,6-tri- 6,7-di H —CONHCOC(CH3)═CH2 methylanilino) Position = Position of triazolythio radical(s): on anthraquinone nucleaus of Formula XXe. Anthrapyridone Colorants of Formula XXIa Example No. R28 R30 R31 L4 X 112 H —CH3 H -6-NH— —CH2—C6H4-4-CH═CH2 113 H —CH3 H -6-NH— —CH2CH2OCOC(CH3)═CH2 114 H —CH3 H -6-NH— —CH2CH2OCOCNHC(CH3)2—C6H4- 4-C(CH3)═CH2 115 H —CH3 —CN -6-NH— —CH2CH(CH3)OCOC(CH3)═CH2 116 H —CH3 —CN -6-NH— —CH2CH(OH)CH2OCOCH═CH2 117 H —C4H9-n —CO2C2H5 -6-NH— —CH2—C6H4-4-CH═CH2 118 H —CH3 —CO2C2H5 -6-NH— —CH2CH2OCONHCOC(CH3)═CH2 119 4-Br H —CO2C2H5 -6-NH— —CH2CH2CH2OCOC(CH3)═CH2 120 4-SO2C6H5 H —CO2C2H5 -6-NH— —CH2—C6H4-4-CH═CH2 121 4-S—C6H5 H —CO2C2H5 -6-NH— 122 4-CH3 H —COCH3 -6-NH— —CH2CH2OCH2CH2OCOCH═CH2 123 4-OC6H5 H —COC6H5 -6-NH— —CH2—C6H4-4-CH═CH2 124 H —CH3 —CO2C2H5 4,6-di-S— —CH2—C6H4-4-CH═CH2 125 6-NHC6H5 —CH3 —CO2C2H5 4-O— —CH2—C6H4-4-CH═CH2 126 6-NHC6H5 —CH3 —CO2C2H5 4-S— —CH2CH2OCOC(CH3)═CH2 127 H —C6H5 —CN 6-S— —CH2CH2OCNH(CH2)6— OCO(CH3)═CH2 Anthrapyridone Colorants of Formula XXIb Example No. R28 R29 R30 R31 L4 —CO2X 128 H H —CH3 H 6-NH— 2′-CO2CH2—C6H4-4-CH═CH2 129 H H —CH3 H 6-S— 2′-CO2CH2—C6H4-4-CH═CH2 130 H 4′-Br —CH3 H 6-NH— 2′-CO2CH2CH2OCOC(CH3)═CH2 131 H 2′-CH3 —CH3 H 6-NH— 4′-CO2CH2CH(CH3)— OCOC(CH3)═CH2 132 H H —CH3 —CO2C2H5 4-S-,6-NH— 2′-CO2CH2CH2OCH2CH2— OCOCH═CH2 133 H H —CH3 —CO2C2H5 6-S— 4′-CO2CH2—C6H4-4-CH═CH2 134 4-Br H H —CO2C2H5 6-NH— 3′-CO2CH2CH2OCOC(CH3)═CH2 135 4-SO2-CH3 H H —CO2C2H5 6-NH— 2′-CO2CH2—C6H10-4- (CH2OCOCH═CH2) 136 4-S—C6H11 H H —CO2C2H5 6-NH— 2′-CO2CH2C(CH3)2CH2— OCOC(CH3)═CH2 137 H H H 2-benzoxazolyl 6-NH— 2′-CO2CH2CH2OCOC(CH3)═CH2 138 H H H 2-benzothiazolyl 6-NH— 2′-CO2CH2CH2OCOC(CH3)═CH2 139 H H —C6H11 —SC6H5 6-NH— 2′-CO2CH2CH2OCOC(CH3)═CH2 140 H H —CH2C6H5 —SO2C6H5 6-NH— 2′-CO2CH2CH2OCOC(CH3)═CH2 141 H H —CH2CH2—OCH3 —Cl 6-NH— 2′-CO2CH2CH2OCOC(CH3)═CH2 Anthrapyridine Colorants of Formula XXIIa Example No. R28 R31 R32 L4 X 142 H —CN —N(CH3)2 6-NH— —CH21,4-C6H4—CH═CH2 143 H —CN —N(C2H5)2 6-NH— —CH2CH2OCOC(CH3)═CH2 144 H —CN —N(CH3)C6H5 6-NH— —CH2CH(CH3)OCOCH═CH2 145 H —CN Piperidino 6-NH— —CH2CH2OCNHC(CH3)2—C6H4- 3-C(CH3)═CH2 146 H —CN Morpholino 6-NH— —CH2C(CH3)2CH2OCOC (CH3)═CH2 147 H —CN Pyrrolidino 4-S,6-NH —CH2CH2OCO—C6H4-4-CH═CH2 148 H —CN —N(CH2CH2OCH3)2 4-S-,6-NH —CH2CH2OCOC(CH3)2— NHCOC(CH3)═CH2 149 H —CN —N(CH3)C6H11 6-S— —CH2CH2OCOCH═CH—CO2H 150 H —CN —N(CH3)C2H5 4,6-di-S— —(CH2)6OCOCH═CH—CO2C2H5 151 4-Br —CN —N(C2H5)C6H5 6-NH —CH2—C6H10-4-(CH2OCO CH═CH2) 152 4-SO2—C6H5 —CN —N(CH3)2 4-NH —CH2CH(OH)CH2OCOCH═CH2 153 4-CF3 —CN —N(CH3)2 6-NH —CH2CH2(OCH2CH2)3OCOCH═CH2 154 H H H 6-NH —CH2CH(CH3)OCOC(CH3)═CH2 155 H C6H5 CH3 6-NH —CH2CH(CH3)CH2OCOCH═CH2 Anthrapyridine Colorants of Formula XXIIb Example No. R28 R29 R31 R32 L4 —CO2X 156 H H —CN Piperidino -6-NH 2′-CO2CH2-1,4-C6H4—CH═CH2 157 H 4′-Br —CN Morpholino -6-NH 2′-CO2CH2CH2OCOC(CH3)═CH2 158 H 4′-CH3 —CN Pyrrolidino -6-NH 3′-CO2CH2CH(CH3)OCOCH═CH2 159 H H —CN —N(CH3)2 -6-NH 4′-CO2(CH2)3OCOC(CH3)═CH2 160 H H —CN —N(CH3)C6H5 -4-S-6-NH— 2′-CO2CH2CH2OCOC(CH3)═CH2 161 4-Br H —CN —N(CH3)C2H5 6-S— 2′-CO2CH2-1,4-C6H4—CH═CH2 162 4-SO2CH3 H —CN —N(CH3)C6H11 4-SO2-6-NH— 2′CO2CH2C(CH3)2CH2— OCOC(CH3)═CH2 163 4-CN H —CN —N(CH2CH2—OC2H5)2 6-NH— 3′-CO2CH2CH2OCOCH═CH—CO2H 164 4-OCH3 H —CN —N(C2H5)C6H5 6-NH— 4′-CO2CH2—C6H4-4-CH═CH2 165 6-NHC6H5 H —CN —N(C2H5)2 4-S— 2′CO2CH2—C6H4-4-C(CH3)═CH2 166 4-SO2—N(CH3)2 H —CN —N(C2H5)2 4-S— 2′CO2CH2—C6H4-4-C(CH3)═CH2 167 4-CH3 H —CN —N(C2H5)2 4-S— 2′CO2CH2—C6H10-4- (OCOC(CH3)═CH2) 168 H H —CO2CH3 —N(C2H5)2 6-NH— 2′CO2CH2CH2OCH2CH2— OCOCH═CH2 169 H H H —C6H5 6-NH— 2′CO2CH2CH(OH)CH2— OCOCH═CH2 170 H H —CH3 H 6-NH— 2′CO2CH2CH(OH)CH2— OCOCH═CH2 171 H H —C6H5 —CH3 6-NH— 2′CO2CH2CH(OH)CH2— OCOCH═CH2 Quinophthalone Colorants of Formula XXIII Example No. R35 X 172 H —CH2CH2OCOC(CH3)═CH2 173 H —CH2CH2OCONHC(CH3)2—C6H4-3-C(CH3)═CH2 174 H —CH2CH(CH3)OCOCH═CH2 175 H —CH2CH(OH)CH2OCOC(CH3)═CH2 176 Br —CH2CH2OCOC(CH3)═CH2 177 Br —CH2CH2OCONHC(CH3)2—C6H4-3-C(CH3)CH2 178 Br —CH2—C6H4-4-CH═CH2 179 —SO2C6H5 —CH2CH2OCOC(CH3)═CH2 180 —SO2—C6H4-4-CH3 —CH2CH2OCONHCOC(CH3)═CH2 181 —S—C6H4—CH3 —CH2C(CH3)2CH2OCOC(CH3)═CH2 182 2-benzothiazolyl —CH2—C6H10-4-(CH2OCOC(CH3)═CH2) 183 2-benzoxazolyl —CH2CH2O—C6H4-4- (OCH2CH2OCOC(CH3)═CH2) 184 1,2,4-triazol-3-ylthio —CH2—C6H4-4-(CH2OCOCH═CH2) 185 —S—C6H4-2-(CO2CH2CH2OCOCH═CH2) —CH2CH2OCOCH═CH2 Nitroarylamine Colorants of Formula XXIV Example No. R36 R37 R38 CO2X)0–2
186 H —CH3 —CH3 4-CO2CH2CH2OCOC(CH3)═CH2 187 H —CH2CH3 —CH2CH3 3-CO2CH2CH(CH3)OCOCH═CH2 188 H —CH2CH3 —CH3 3,5-di-CO2CH2CH2— OCOC(CH3)═CH2 189 H —C6H5 —CH3 2,5-di-CO2(CH2)6OCOC(CH3)═CH2 190 H —C4H9-n H 2-CO2CH2—C6H4-4-CH═CH2 191 H —C6H11 H 2-CO2CH2CH2OCONHC(CH3)2— C6H4-3-C(CH3)═CH2 192 H —C6H5 H 2-CO2CH2CH2OCOCH═CH—CO2H 193 H —C6H4-2-(CO2CH2CH2— H H OCOCH═CH2) 194 H —C6H3-3,5-bis(CO2CH2— H H C6H4—CH═CH2) 195 H —C6H4-2-(CO2CH2CH2— H 2-(CO2CH2CH2OCOC(CH3)═CH2) OCOC(CH3)═CH2) Diarylamino Terephthlate Colorants of Formula XXIX Example No. R40 X 196 H —CH2C(CH3)2CH2OCOC(CH3)═CH2 197 H —CH2—C6H10-4-(CH2—OCOCH═CH2) 198 H —CH2CH2(OCH2CH2)2OCOC(CH3)═CH2 199 H —CH2CH(CH3)OCOC(CH3)═CH2 200 H —CH2CH(OH)CH2OCOCH═CH2 201 H —CH2CH2OCONHC(CH3)2—C6H4-3-C(CH3)═CH2 202 H —CH2CH2OCONHCOC(CH3)═CH2 203 4-CH3 —CH2CH2OCOC(CH3)═CH2 204 4-Cl —CH2—C6H4-4-CH═CH2 205 4-Br —CH2CH(CH3)OCOCH═CH2 206 3-C2H5 —CH2CH2OCONH(CH2)6OCOC(CH3)═CH2 207 4-C6H5 —CH2CH2OCOCH═CH—C6H5 208 2-CH3 —CH2CH2OCOCH═CH—CH3 209 2,5-di-CH3 —CH2CH2OCOCH═CH—CO2H 210 4-OC2H5 —CH2CH2OCOC(CH3)2NHCOC(CH3)═CH2 EXAMPLE 211 EXAMPLE 212 EXAMPLE 213 EXAMPLE 213 EXAMPLE 214 EXAMPLE 215 2(3),16(17)-di-[CO2CH2CH2—OCOC(CH3)═CH2]-PcCu Pc = phthalocyanine EXAMPLE 216 2(3),9(10),16(17),23(24)-Tetra[2′-CO2CH2CH2—O—COC(CH3)═CH2)phenoxy]-PcCu PC = Phthalocyanine COATING EXAMPLES
Example 217
Example 218