патент
№ US 0006228854
МПК A61K38/00

Selective factor Xa inhibitors

Авторы:
Robert Scarborough Bing-Yan Zhu SCARBOROUGH ROBERT
Все (6)
Правообладатель:
Все (3)
Номер заявки
09132257
Дата подачи заявки
11.08.1998
Опубликовано
08.05.2001
Страна
US
Дата приоритета
15.12.2025
Номер приоритета
Страна приоритета
Как управлять
интеллектуальной собственностью
Реферат

Novel compounds, their salts and compositions related thereto having activity against mammalian factor Xa are disclosed. The compounds are useful in vitro or in vivo for preventing or treating coagulation disorders.

Формула изобретения

1. A compound having the formula:

Wherein:

R1and R2are independently selected from the group consisting of H, C1-6alkyl, C3-8cycloalkyl, C1-3alkylaryl, C1-3alkyl-C3-8cycloalkyl and aryl;

R3is H, C1-6alkyl, or R2and R3are taken together to form a carbocyclic ring;

r is an integer from 0-4;

s is an integer from 0-1;

t is an integer from 0-4;

A is selected from the group consisting of R8, —NR8R9,

where R8, R9, R10and R11are independently selected from the group consisting of H, —OH, C1-6alkyl, aryl and C1-4alkylaryl; R12is selected from the group consisting of H, C1-6alkyl, aryl and C1-4alkylaryl, or can be taken together with R10or R11to form a 5-6 membered ring; and R13is selected from the group consisting of H, C1-6alkyl, aryl and C1-4alkylaryl, or can be taken together with R11to form a 5-6 membered ring;

D is selected from the group consisting of a direct link, C3-8cycloalkyl, C1-6alkenyl, C1-6alkenylaryl, aryl and a five to ten membered heterocyclic ring system containing 1-4 heteroatoms selected from the group consisting of N, O and S;

E is selected from the group consisting of a direct link, —CO—, —SO2—, —O—CO—, —NR14—SO2— and —NR14—CO—, where R14is selected from the group consisting of H, —OH, C1-6alkyl, aryl and C1-4alkylaryl;

G is selected from the group consisting of a direct link, C3-8cycloalkyl, aryl, and a five to ten membered heterocyclic ring system containing 1-4 heteroatoms selected from the group consisting of N, O and S;

J is selected from the group consisting of R15, —NR15R16,

where R15, R16, R17and R18are independently selected from the group consisting of H, —OH, C1-6alkyl, aryl and C1-4alkylaryl; R19is selected from the group consisting of H, C1-6alkyl, aryl and C1-4alkylaryl, or can be taken together with R17or R18to form a 5-6 membered ring; and R20is selected from the group consisting of H, C1-6alkyl, aryl and C1-4alkylaryl, or can be taken together with R18to form a 5-6 membered ring; with the proviso that when J is R15, then G must contain at least one N atom;

K′, K″, K′″ and K″″ are each —CH—;

Q is selected from the group consisting of H,

where R21and R22are independently selected from the group consisting of H, C1-3alkyl and aryl; and T is selected from the group consisting of H, —COOR23,CONR23R24, —CF3, —CF2CF3and a group having the formula:

where: R23and R24are independently selected from the group consisting of H, C1-6alkyl, aryl and C1-4alkylaryl; U′ and U″ are independently selected from the group consisting of —O—, —S—, —N— and —NH—; with the proviso that at least one of U′ or U″ is —N— or —NH—; R25is selected from the group consisting of H, C1-6alkyl, C2-6alkenyl, C0-6alkylaryl, C2-6alkenylaryl, C0-6allkylheterocyclo, C2-6alkenylheterocyclo, —CF3and —CF2CF3; V is selected from the group consisting of —S—, —SO—, —SO2—, —O— and —NR26—, where R26is selected from the group consisting of H, C1-6alkyl and benzyl; and W is selected from the group consisting of:

a C6-10heterocyclic ring system substituted by R29and R30and containing 1-4 heteroatoms selected from N, S and O; where: a is an integer from 0-2; R27and R28are independently selected from the group consisting of H, C1-6alkyl, aryl, C1-6alkylaryl, —COOR3, —CONR31R32, —CN and —CF3; and R2and R30are independently selected from the group consisting of H, C1-6alkyl, aryl, C1-6alkylaryl, C1-4alkyloxy, halogen, —NO2, —NR31R32, —NR31COR32, —OR31—COR3, COOR31, —CONR31R32, —CN, —CF3, —SO2NR31R32and C1-6alkyl-OR31; where R31and R32are independently selected from the group consisting of H, C1-6alkyl, C1-3alkylaryl and aryl;

or all pharmaceutically acceptable salts or optical isomers thereof.

2. The compound of claim 1 wherein R1is selected from the group consisting of H and C1-6alkyl.

3. The compound of claim 2 wherein R1is selected from the group consisting of H and methyl.

4. The compound of claim 3 wherein R1is H.

5. The compound of claim 1 wherein R2is selected from the group consisting of H and C1-6alkyl.

6. The compound of claim 5 wherein R2is selected from the group consisting of H and methyl.

7. The compound of claim 6 wherein R2is H.

8. The compound of claim 1 wherein R3is H.

9. The compound of claim 1 wherein the integer “r” is 3.

10. The compound of claim 1 wherein the integer “s” is 0.

11. The compound of claim 1 wherein the integer “t” is from 0-1.

12. The compound of claim 1 wherein R8, R9, R10and R11are independently selected from the group consisting of H and C1-6alkyl.

13. The compound of claim 12 wherein R8, R9, R10and R11are independently selected from the group consisting of H and methyl.

14. The compound of claim 1 wherein R12is H, C1-6alkyl or taken together with R10or R11to form a 5-6 membered ring.

15. The compound of claim 14 wherein R12is H or methyl.

16. The compound of claim 1 wherein R13is H, C1-6alkyl or taken together with R10to form a 5-6 membered ring.

17. The compound of claim 16 wherein R13is H or methyl.

18. The compound of claim 1 wherein D is selected from the group consisting of a direct link, C3-8cycloalkyl, aryl and a five to ten membered heterocyclic ring system containing 1-4 heteroatoms selected from the group consisting of N, O and S.

19. The compound of claim 1 wherein E is a direct link, —CO— or —SO2—.

20. The compound of claim 1 wherein G is a direct link.

21. The compound of claim 1 wherein R15, R16, R17, R18, R19and R20are independently selected from the group consisting of H and C1-6alkyl.

22. The compound of claim 21 wherein R15R16, R17, R18, R19and R20are independently selected from the group consisting of H and methyl.

23. The compound of claim 1 wherein Y is a direct link, C1-6alkyl, C3-8cycloalkyl, aryl, or a five to ten membered heterocyclic ring system.

24. The compound of claim 23 wherein Y is aryl or a five to ten membered heterocyclic ring system.

25. The compound of claim 1 wherein Z is a direct link, —CO— or —SO2—.

26. The compound of claim 1 wherein the integer “d” is 0.

27. The compound of claim 1 wherein the integer “e” is 0-2.

28. The compound of claim 1 wherein Q is:

29. The compound of claim 28 wherein R21is H.

30. The compound of claim 29 wherein R22is H.

31. The compound of claim 28 wherein T is H, —COOR23, —CONR23R24or a group having the formula:

32. The compound of claim 31 wherein R23is H.

33. The compound of claim 31 wherein R24is C1-4alkylaryl.

34. The compound of claim 31 wherein V is —S—, —O— or —NR26—.

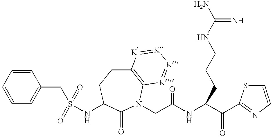
35. The compound of claim 34 wherein R26is H or methyl.

36. The compound of claim 35 wherein R26is H.

37. The compound of claim 31 wherein W is selected from the group consisting of:

38. The compound of claim 37 wherein W is:

39. The compound of claim 38 wherein R29and R30are independently selected from the group consisting of H, —O—R31, —COOR31, CONR31R32or —CF3.

40. The compound of claim 39 wherein R29is H.

41. The compound of claim 40 wherein R30is H.

42. The compound of claim 1 wherein W is:

and R27is H.

43. The compound of claim 42 wherein is H.

44. The compound of claim 1 wherein T is:

U′ is O, U″ is N and R25is —CF3or CF2CF3.

45. A compound having the formula:

R1is selected from the group consisting of H, C1-6akyl, C3-8cycloalkyl, C1-3alkylaryl,

C1-3alkyl-C3-8cycloalkyl and aryl;

r is an integer from 0-4;

t is an integer from 0-4;

A is selected from the group consisting of R8, —NR8R9,

where R8, R9, R10and R11are independently selected from the group consisting of H, —OH, C1-6alkyl, aryl and C1-6alkylaryl; R12is selected from the group consisting of H, C1-6alkyl, aryl and C1-6alkylaryl, or can be taken together with R10or R11to form a 5-6 membered ring; and R13is selected from the group consisting of H, C1-6alkyl, aryl and C1-4alkylaryl, or can be taken together with R11to form a 5-6 membered ring;

D is selected from the group consisting of a direct link, C3-8cycloalkyl, C1-6alkenyl, C1-6alkenylaryl, aryl and a five to ten membered heterocyclic ring system containing 1-4 heteroatoms selected from the group consisting of N, O and S;

E is selected from the group consisting of a direct link, —CO—, —SO2—, —O—CO—, —NR14SO2— and —NR14—CO—, where R14is selected from the group consisting of H, —OH, C1-6alkyl, aryl and C1-4alkylaryl;

G is selected from the group consisting of a direct link, C3-8cycloalkyl, and a five to ten membered heterocyclic ring system containing 1-4 heteroatoms selected from the group consisting of N, O and S;

J is selected from the group consisting of R15, —NR15R16,

where R15, R16, R17and R18are independently selected from the group consisting of H, —OH, C1-6alkyl, aryl and C1-6alkylaryl; R19is selected from the group consisting of H, C1-6alkyl, aryl and C1-4alkylaryl, or can be taken together with R17or R18to form a 5-6 membered ring; and R20is selected from the group consisting of H, C1-6alkyl, aryl and C1-6alkylaryl, or can be taken together with R18to form a 5-6 membered ring; with the proviso that when J is R15, then G must contain at least one N atom;

—L— is —CH2—;

T is selected from the group consisting of H, —COOR23, —CONR23R24, —CF3, —CF2CF3and a group having the formula:

where: R23and R24are independently selected from the group consisting of H, C1-6alkyl, aryl and C1-4alkylaryl; U′ and U″ are independently selected from the group consisting of —O—, —S—, —N— and —NH—; with the proviso that at least one of U′ or U″ is —N— or —NH—; R25is selected from the group consisting of H, C1-6all, C2alkenyl, C0-6alkylaryl, C2-6alkenylaryl, C0-6alkylheterocyclo, C2-6alkenylheterocyclo, —CF3and —CF2CF3; V is selected from the group consisting of —S—, —SO—, —SO2—, —O— and —NR26—, where R26is selected from the group consisting of H, C1-6alkyl and benzyl; and W is selected from the group consisting of:

a C6-10heterocyclic ring system substituted by R29and R30and containing 1-4 heteroatoms selected from N, S and O; where: a is an integer from 0-2; R27and R28are independently selected from the group consisting of H, C1-6alkyl, aryl, C1-6alkylaryl, —COOR31, —CONR31R32, —CN and —CF3; and R29and R30are independently selected from the group consisting of H, C1-6alkyl, aryl, C1-6alkylaryl, C1-4alkyloxy, halogen, —NO2, —NR31R32, —NR31COR32, —OR31, —OCOR31, COOR31, —CONR31R32, —CN, —CF3, —SO2NR31R32and C1-6alkyl-OR31; where R31and R32are independently selected from the group consisting of H, C1-6alkyl, C1-3alkylaryl and aryl;

or all pharmaceutically acceptable salts and optical isomers thereof.

46. A compound having the formula:

t is an integer from 0-4;

A is selected from the group consisting of R8, —NR8R9,

where R8, R9, R10and R11are independently selected from the group consisting of H, —OH, C1-4alkyl, aryl and C1-4alkylaryl; R12is selected from the group consisting of H, C1-6alkyl, aryl and C1-4alkylaryl, or can be taken together with R10or R11to form a 5-6 membered ring; and R13is selected from the group consisting of H, C1-6alkyl, aryl and C1-4alkylaryl, or can be taken together with R11to form a 5-6 membered ring;

D is selected from the group consisting of a direct link, C3-8cycloalkyl, C1-6alkenyl, C1-6alkenylaryl, aryl and a five to ten membered heterocyclic ring system containing 1-4 heteroatoms selected from the group consisting of N, O and S;

E is selected from the group consisting of a direct link, —CO—, —SO2—, —O—CO—, —NR14—SO2— and —NR14—CO—, where R14is selected from the group consisting of H, —OH, C1-6alkyl, aryl and C1-4alkylaryl;

L is —CH2—;

T is selected from the group consisting of H, —COOR23, —CONR23R24, —CF3, —CF2CF3and a group having the formula:

where: R23and R24are independently selected from the group consisting of H, C1-6alkyl, aryl and C1-4alkylaryl; U′ and U″ are independently selected from the group consisting of —O—, —S—, —N— and —NH—; with the proviso that at least one of U′ or U″ is —N— or —NH—; R25is selected from the group consisting of H, C1-6alkyl, C2-6alkenyl, C0-6alkylaryl, C2-6alkenylaryl, C0-6lylheterocyclo, C2-6alkenylheterocyclo, —CF3and —CF2CF3; V is selected from the group consisting of —S—, —SO—, —SO2—, —O— and —NR26—, where R26is selected from the group consisting of H, C1-6alkyl and benzyl; and W is selected from the group consisting of:

a C6-10heterocyclic ring system substituted by R29and R30and containing 1-4 heteroatoms selected from N, S and O; where: a is an integer from 0-2; R27and Re are independently selected from the group consisting of H, C1-6alkyl, aryl, C1-6alkylaryl, —COOR31, —CONR31R32, —CN and CF3; and Randnd R3are independently selected from the group consisting of H, C1-6allkyl, aryl, C1-6alkylaryl, C1-6alkyloxy, halogen, —NO2, —NR31R32, —NR31COR32, —OR31, —OCOR3, —COOR31, —CONR31R32, —CN, CF3, —SO2NR31R32and C1-6alkyl-OR31; where R31and R32are independently selected from the group consisting of H, C1-6alkyl, C1-3alkylaryl and aryl;

or all pharmaceutically acceptable salts or optical isomers thereof.

47. A pharmaceutical composition for preventing or treating a condition in a mammal characterized by undesired thrombosis comprising a pharmaceutically acceptable carrier and the compound of claim 1.

48. A method for preventing or treating a condition in a mammal characterized by undesired thrombosis comprising administering to said mammal a therapeutically effective amount of the compound of claim 1.

49. The method of claim 48, wherein the condition is selected from the group consisting of: the treatment or prevention of unstable angina, refractory angina, myocardial infarction, transient ischemic attacks, thrombotic stroke, embolic stroke, disseminated intravascular coagulation including the treatment of septic shock, deep venous thrombosis in the prevention of pulmonary embolism or the treatment of reocclusion or restenosis of reperfused coronary arteries, deep venous thrombosis, pulmonary embolism, myocardial infarction, stroke, thromboembolic complications of surgery and peripheral arterial occlusion, occlusive coronary thrombus formation resulting from either thrombolytic therapy or percutaneous transluminal coronary angioplasty, thrombus formation in the venous vasculature and disseminated intravascular coagulopathy.

50. A method for inhibiting the coagulation of biological samples, comprising the administration of the compound of claim 1.

Описание

[1]

This application claims priority of copending provisional application Ser. No. 60/084,184 filed on Aug. 11, 1997, which is incorporation herein by reference.

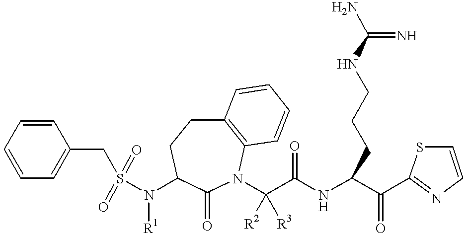
FIELD OF THE INVENTION

[2]

This invention relates to a novel class of fused bicyclic lactam compounds which are potent and highly selective inhibitors of factor Xa or factor Xa when assembled in the prothrombinase complex. These compounds show selectivity for factor Xa versus other proteases of the coagulation (e.g. thrombin, fVIIa, fIXa) or the fibrinolytic cascades (e.g. plasminogen activators, plasmin).

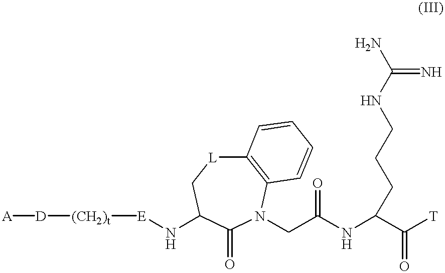
BACKGROUND OF THE INVENTION

[3]

Blood coagulation protects mammalian species when the integrity of the blood vessel wall is damaged and uncontrolled loss of blood threatens survival. Coagulation, resulting in the clotting of blood, is an important component of hemostasis. Under normal hemostatic circumstances, there is maintained an acute balance of clot formation and clot removal (fibrinolysis). The blood coagulation cascade involves the conversion of a variety of inactive enzymes (zymogens) into active enzymes, which ultimately convert the soluble plasma protein fibrinogen into an insoluble matrix of highly cross-linked fibrin. (See Davie, et al., “The Coagulation Cascade: Initiation, Maintenance and Regulation” Biochemistry 30:10363-10370 (1991)). Blood platelets which adhere to damaged blood vessels are activated and incorporated into the clot and thus play a major role in the initial formation and stabilization of hemostatic “plugs”. In certain diseases of the cardiovascular system, deviations from normal hemostasis push the balance of clot formation and clot dissolution towards life-threatening thrombus formation when thrombi occlude blood flow in coronary vessels (myocardial infarctions) or limb and pulmonary veins (venous thrombosis). Although platelets and blood coagulation are both involved in thrombus formation, certain components of the coagulation cascade are primarily responsible for the amplification or acceleration of the processes involved in platelet aggregation and fibrin deposition.

[4]

A key enzyme in the coagulation cascade, as well as in hemostasis, is thrombin. Thrombin is intimately involved in the process of thrombus formation, but under normal circumstances can also play an anticoagulant role in hemostasis through its ability to convert protein C into activated protein C in a thrombomodulin-dependent manner. Thrombin plays a central role in thrombosis through its ability to catalyze the penultimate conversion of fibrinogen into fibrin and through its potent platelet activation activity. Direct or indirect inhibition of thrombin activity has been the focus of a variety of recent anticoagulant strategies as reviewed by Claeson “Synthetic Peptides and Peptidomimetics as Substrates and Inhibitors of Thrombin and Other Proteases in the Blood Coagulation System”, Blood Coag. Fibrinol. 5:411-436 (1994). The major classes of anticoagulants currently used in the clinic directly or indirectly affect thrombin (i.e. heparins, low-molecular weight heparins and coumarins). Thrombin is generated at the convergence of the intrinsic and extrinsic coagulation pathways by the prothrombinase complex. The prothrombinase complex is formed when activated Factor X (factor Xa) and its non-enzymatic cofactor, factor Va assemble on phospholipid surfaces in a Ca+2-dependent fashion as reviewed by Mann, et al., “Surface-Dependent Reactions of the Vitamin K-Dependent Enzymes”, Blood 76:1-16 (1990). The prothrombinase complex converts the zymogen prothrombin into the active procoagulant thrombin.

[5]

The location of the prothrombinase complex at the convergence of the intrinsic and extrinsic coagulation pathways, and the significant amplification of thrombin generation (393,000-fold over uncomplexed factor Xa) mediated by the complex at a limited number of targeted catalytic units present at vascular lesion sites, suggests that inhibition of thrombin generation is an ideal method to block uncontrolled procoagulant activity. Unlike thrombin, which acts on a variety of protein substrates as well as at a specific receptor, factor Xa appears to have a single physiologic substrate, namely prothrombin.

[6]

Plasma contains an endogenous inhibitor of both the factor VIIa-tissue factor (TF) complex and factor Xa called tissue factor pathway inhibitor (TFPI). TFPI is a Kunitz-type protease inhibitor with three tandem Kunitz domains. TFPI inhibits the TF/fVIIa complex in a two-step mechanism which includes the initial interaction of the second Kunitz domain of TFPI with the active site of factor Xa, thereby inhibiting the proteolytic activity of factor Xa. The second step involves the inhibition of the TF/fVIIa complex by formation of a quaternary complex TF/fVIIa/TFPI/fXa as described by Girard, et al., “Functional Significance of the Kunitz-type Inhibitory Domains of Lipoprotein-associated Coagulation Inhibitor”, Nature 338:518-520 (1989).

[7]

Polypeptides derived from hematophagous organisms have been reported which are highly potent and specific inhibitors of factor Xa U.S. Pat. No. 4,588,587 awarded to Gasic, describes anticoagulant activity in the saliva of the Mexican leech, Haementeria officinalis. A principal component of this saliva is shown to be the polypeptide factor Xa inhibitor, antistasin, by Nutt, et al., “The Amino Acid Sequence of Antistasin, a Potent Inhibitor of Factor Xa Reveals a Repeated Internal Structure”, J. Biol. Chem. 263:10162-10167 (1988).

[8]

Another potent and highly specific inhibitor of Factor Xa, tick anticoagulant peptide, has been isolated from the whole body extract of the soft tick Ornithidoros moubata, as reported by Waxman, et al., “Tick Anticoagulant Peptide (TAP) is a Novel Inhibitor of Blood Coagulation Factor Xa”, Science 248:593-596 (1990).

[9]

Other polypeptide type inhibitors of factor Xa have been reported including the following citations by: Condra, et al., “Isolation and Structural Characterization of a Potent Inhibitor of Coagulation Factor Xa from the Leech Haementeria ghilianii”, Thromb. Haemost. 61:437-441 (1989); Blankenship, et al., “Amino Acid Sequence of Ghilanten: Anti-coagulant-antimetastatic Principle of the South American Leech, Haementeria ghilianii”, Biochem. Bionhys. Res. Commun. 166: 13841389 (1990); Brankamp, et al., “Ghilantens: Anticoagulants, Antimetastatic Proteins from the South American Leech Haementeria ghilianii”, J. Lab. Clin. Med. 115:89-97 (1990); Jacobs, et al., “Isolation and Characterization of a Coagulation Factor Xa Inhibitor from Black Fly Salivary Glands”, Thromb. Haemost. 64:235-238 (1990); Rigbi, et al., “Bovine Factor Xa Inhibiting Factor and Pharmaceutical Compositions Containing the Same”, European Patent Application, 352,903 (1990); Cox, “Coagulation Factor X Inhibitor From the Hundred-pace Snake Deinagkistrodon acutus venom”, Toxicon 31:1445-1457 (1993); Cappello, et al., “Ancylostoma Factor Xa Inhibitor: Partial Purification and its Identification as a Major Hookworin-derived Anticoagulant In Vitro”, J. Infect. Dis. 167:1474-1477 (1993); Seymour, et al., “Ecotin is a Potent Anticoagulant and Reversible Tight-binding Inhibitor of Factor Xa”, Biochernistry 33:3949-3958 (1994).

[10]

Factor Xa inhibitory compounds which are not large polypeptide-type inhibitors have also been reported including: Tidwell, et al., “Strategies for Anticoagulation With Synthetic Protease Inhibitors. Xa Inhibitors Versus Thrombin Inhibitors”, Thromb. Res. 19:339-349 (1980); Turner, et al., “p-Amidino Esters as Irreversible Inhibitors of Factor IXa and Xa and Thrombin”, Biochemistry 25:49294935 (1986); Hitomi, et al., “Inhibitory Effect of New Synthetic Protease Inhibitor (FUT-175) on the Coagulation System”, Haemostasis 15:164-168 (1985); Sturzebecher, et al., “Synthetic Inhibitors of Bovine Factor Xa and Thrombin. Comparson of Their Anticoagulant Efficiency”, Thromb. Res. 54:245-252 (1989); Kam, et al., “Mechanism Based Isocoumarin Inhibitors for Trypsin and Blood Coagulation Serine Proteases: New Anticoagulants”, Biochemistry 27:2547-2557 (1988); Hauptmann, et al., “Comparison of the Anticoagulant and Antithrombotic Effects of Synthetic Thrombin and Factor Xa Inhibitors”, Thromb. Haemost. 63:220223 (1990); Miyadera, et al., Japanese Patent Application JP 6327488 (1994); Nagahara, et al., “Dibasic (Amidinoaryl)propanoic Acid Derivatives as Novel Blood Coagulation Factor Xa Inhibitors”, J. Med. Chem. 37:1200-1207 (1994); Vlasuk, et aL, “Inhibitors of Thrombosis”, WO 93/15756; and Brunck, et al., “Novel Inhibitors of Factor Xa”, WO 94/13693. Al-obeidi, et al., “Factor Xa Inhibitors”, WO 95/29189, discloses pentapeptide X1-Y-I-R-X2 derivatives as factor Xa inhibitors. Said compounds are useful for inhibiting blood clotting in the treatment of thrombosis, stroke, and myocardial infarction.

SUMMARY OF THE INVENTION

[11]

The present invention relates to novel peptide mimetic analogs, their pharmaceutically acceptable isomers, salts, hydrates, solvates and prodrug derivatives.

[12]

In another aspect, the present invention includes pharmaceutical compositions comprising a pharmaceutically effective amount of the compounds of this invention and a pharmaceutically acceptable carrier. These compositions are useful as potent and specific inhibitors of blood coagulation in mammals.

[13]

In yet another aspect, the invention relates to methods of using these inhibitors as therapeutic agents for disease states in mammals which have disorders of coagulation such as in the treatment or prevention of unstable angina, refractory angina, myocardial infarction, transient ischemic attacks, thrombotic stroke, embolic stroke, disseminated intravascular coagulation including the treatment of septic shock, deep venous thrombosis in the prevention of pulmonary embolism or the treatment of reocclusion or restenosis of reperfused coronary arteries. These compositions may optionally include anticoagulants, antiplatelet agents, and thrombolytic agents.

[14]

In other aspects of the invention compounds are provided which are useful as diagnostic reagents.

[15]

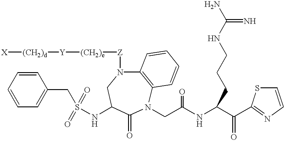
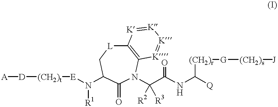
In preferred embodiments, the present invention provides compounds of general formula I:

[16]

Wherein:

[17]

R1and R2are independently selected from the group consisting of H, C1-6alkyl, C3-8cycloalkyl, C1-3alkylaryl, C1-3alkyl-C3-8cycloalkyl and aryl;

[18]

R3is H, C1-6alkyl, or R2and R3are taken together to form a carbocyclic ring;

[19]

r is an integer from 0-4;

[20]

s is an integer from 0-1;

[21]

t is an integer from 0-4;

[22]

A is selected from the group consisting of R8, —NR8R9,

[23]

where R8, R9, R10and R11are independently selected from the group consisting of H, —OH, C1-6alkyl, aryl and C1-4alkylaryl; R12is selected from the group consisting of H, C1-4alkyl, aryl and C1-4alkylaryl, or can be taken together with R10or R11to form a 5-6 membered ring; and R13is selected from the group consisting of H, C1-6alkyl, aryl and C1-4alkylaryl, or can be taken together with R11to form a 5-6 membered ring;

[24]

D is selected from the group consisting of a direct link, C3-8cycloalkyl, C1-6alkenyl, C1-6alkenylaryl, aryl and a five to ten membered heterocyclic ring system containing 1-4 heteroatoms selected from the group consisting of N, O and S;

[25]

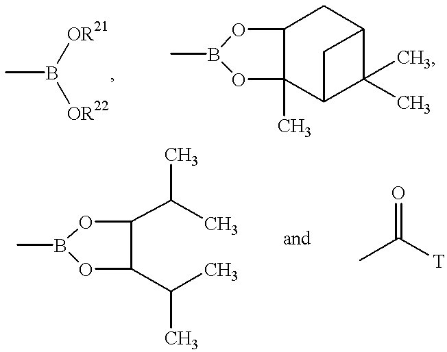
E is selected from the group consisting of a direct link, —CO—, —SO2—, —O—CO—, —NR14—SO2— and —NR14—CO—, where R14is selected from the group consisting of H, —OH, C1-6alkyl, aryl and C1-4alkylaryl;

[26]

G is selected from the group consisting of a direct link, C3-8cycloallyl, aryl, and a five to ten membered heterocyclic ring system containing 1-4 heteroatoms selected from the group consisting of N, O and S;

[27]

J is selected from the group consisting of R15,—NR15R16,

[28]

where R15, R16, R17and R18are independently selected from the group consisting of H, —OH, C1-6alkyl, aryl and C1-4alkylaryl; R19is selected from the group consisting of H, C1-6alkyl, aryl and C1-4alkylaryl, or can be taken together with R17or R18to form a 5-6 membered ring; and R20is selected from the group consisting of H, C1-6alkyl, aryl and C1-4alkylaryl, or can be taken together with R18to form a 5-6 membered ring; with the proviso that when J is R15, then G must contain at least one N atom;

[29]

K′, K″, K′″ and K″″ are independently selected from the group consisting of —CH—, —CR4—, —CR5— and —N—; with the proviso that no more than one of K′, K″, K′″ and K″″ are —CR4— and no more than one of K′, K″, K′″ and K″″ are —CR5—;

[30]

R4and R5are independently selected from the group consisting of C1-6alkyl, aryl, C1-6alkylaryl, C1-4alkyloxy, halogen, —NO2, —NR6R7, —NR6COR7, —OR6, —OCOR6, —COOR6, —CONR6R7, —CN, —CF3, —SO2NR67and C1-6alkyl —OR6;where R6and R7are independently selected from the group consisting of H, C1-6alkyl, C1-3alkylaryl and aryl;

[31]

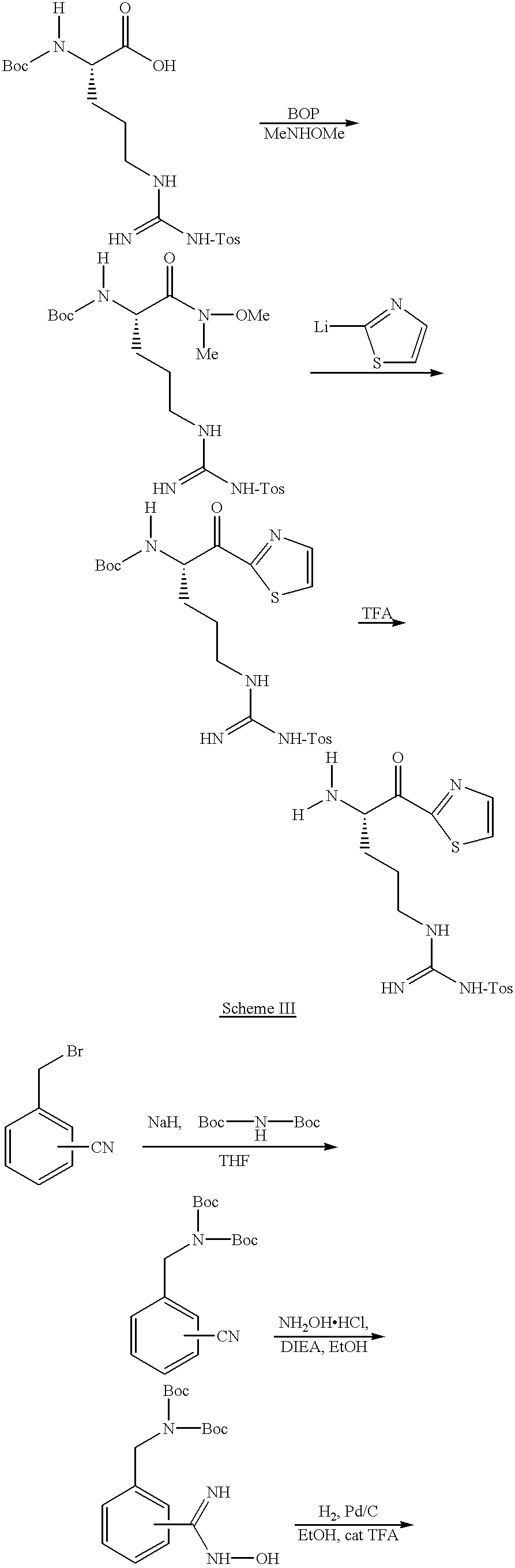
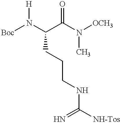
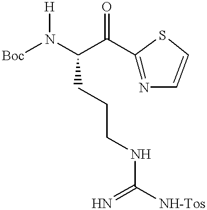
L is selected from the group consisting of —CH2—, —O—, —S—, —SO—, —SO2— and

[32]

where X is selected from the group consisting of R33, —NR33R34,

[33]

where R33, R34,R35and R36are independently selected from the group consisting of H, —OH, C1-6alkyl, aryl and C1-4alkylaryl; R37is selected from the group consisting of H, C1-6alkyl, aryl and C1-4alkylaryl, or can be taken together with R35or R36to form a 5-6 membered ring; and R38is selected from the group consisting of H, C1-6alkyl, aryl and C1-4alkylaryl, or can be taken together with R36to form a 5-6 membered ring; Y is selected from the group consisting of a direct link, C1-6alkyl, C3-8cycloalkyl, C1-4alkenyl, C1-6alkenylaryl, aryl, and a five to ten membered heterocyclic ring system containing 1-4 heteroatoms selected from the group consisting of N, O and S; Z is selected from the group consisting of a direct link, —CO—, —SO2—, —O—CO—, —NR39—SO2— and —NR39—CO—, where R39is selected from the group consisting of H, —OH, C1-6alkyl, aryl and C1-4alkylaryl; d is an integer from 0-1; and e is an integer from 0-6;

[34]

Q is selected from the group consisting of H,

[35]

where R21and R22are independently selected from the group consisting of H, C1-3alkyl and aryl; and T is selected from the group consisting of H, —COOR23, CONR23R24, —CF3, —CF2CF3and a group having the formula:

[36]

where: R23and R24are independently selected from the group consisting of H, C1-6alkyl, aryl and C1-4alkylaryl; U′ and U″ are independently selected from the group consisting of —O—, —S—, —N— and —NH—; with the proviso that at least one of U′ or U″ is —N— or —NH—; R25is selected from the group consisting of H, C1-6alkyl, C2-6alkenyl, C0-6alkylaryl, C2-6alkenylaryl, C0-6alkylheterocyclo, C2-6kenylheterocyclo, —CF3and —CF2CF3; V is selected from the group consisting of —S—, —SO—, —SO2—, —O— and —NR26—, where R26is selected from the group consisting of H, C1-6alkyl and benzyl; and W is selected from the group consisting of:

[37]

a C6-10heterocyclic ring system substituted by R29and R30and containing 1-4 heteroatoms selected from N, S and O; where: a is an integer from 0-2; R27and R28are independently selected from the group consisting of H, C1-6alkyl, aryl, C1-6allylaryl, —COOR31, —CONR31R32, —CN and —CF3; and R29and R30are independently selected from the group consisting of H, C1-6alkyl, aryl, C1-6alkylaryl, C1-4alkyloxy, halogen, —NO2, —NR31R32, —NR31COR32, —OR31, —OCOR31, —COOR31, —CONR31R32, —CN, —CF3, —SO2NR31R32and C1-6alakyl-OR31: where R31and R32are independently selected from the group consisting of H, C1-6alkyl, C1-3alkylaryl and aryl;

[38]

and all pharmaceutically acceptable salts and optical isomers thereof.

DETAILED DESCRIPTION OF THE INVENTION

Definitions

[39]

In accordance with the present invention and as used herein, the following terms are defined with the following meanings, unless explicitly stated otherwise.

[40]

The term “allyl” refers to saturated aliphatic groups including straight-chain, branched-chain, cyclic groups, and combinations thereof, having the number of carbon atoms specified, or if no number is specified, having up to 12 carbon atoms. The term “cycloalkyl” refers to a mono—, bi—, or tricyclic aliphatic ring having 3 to 12 carbon atoms, preferably 3 to 7 carbon atoms.

[41]

The term “alkenyl” refers to unsaturated aliphatic groups including straight-chain, branched-chain, cyclic groups, and combinations thereof, having at least one double bond and having the number of carbon atoms specified.

[42]

The term “aryl” refers to an unsubstituted or substituted aromatic ring(s), substituted with one, two or three substituents such as, by way of example and not limitation, C1-6alkoxy, C1-6alky, C1-6alkylamino, hydroxy, halogen, cyano (—CN), mercapto, nitro (—NO2), thioalkoxy, carboxaldehyde, carboxyl, carboalkoxy, carboxamide, —NR′R″, —NR′COR″, —OR, —OCOR, —COOR, CONR′R″, —CF3, —SO2NR′R″ and C1-6alkyl-OR; aryl, C1-6alkylaryl (where the R groups can be H, C1-6alkyl, C1-3alkylaryl and aryl), including but not limited to carbocyclic aryl, heterocyclic aryl, biaryl and triaryl groups and the like, all of which may be optionally substituted Preferred aryl groups include phenyl, halophenyl, C1-6alkylphenyl, naphthyl, biphenyl, phenanthrenyl, naphthacenyl, and aromatic heterocyclics or heteroaryls, the latter of which is an aryl group containing one to four heteroatoms selected from the group consisting of nitrogen, oxygen and sulfur. Aryl groups preferably have 5-14 carbon atoms making up the ring(s) structure, while heteroaryls preferably have 1-4 heteroatoms, with the remaining 4-10 atoms being carbon atoms.

[43]

The terms “heterocyclo” and “heterocyclic ring system” as used herein refer to any saturated or unsaturated mono- or bicyclic ring system, containing from one to four heteroatoms, selected from the group consisting of nitrogen, oxygen and sulfur. A typical heterocyclic ring system will have five to ten members, 1-4 of which are heteroatoms.

[44]

Typical examples of monocyclic ring systems include piperidinyl, pyrrolidinyl, pyridinyl, piperidonyl, pyrrolidonyl and thiazolyl, while examples of bicyclic ring systems include benzimidazolyl, benzothiazolyl and benzoxazolyl, all of which may be substituted.

[45]

The term “carbocyclic ring” as used herein refers to any saturated or unsaturated ring containing from three to six carbon atoms.

[46]

The terms “alkylaryl” and “alkenylaryl” as used herein refer to an alkyl group or alkenyl group, respectively, having the number of carbon atoms designated, appended to one, two, or three aryl groups. The term benzyl as used herein refers to —CH2—C6H5.

[47]

The term “alkyloxy” as used herein refers to an alkyl group linked to an oxygen atom, such as methoxy, ethoxy, and so forth.

[48]

The term “halogen” as used herein refer to Cl, Br, F or I substituents.

[49]

The term “direct link” as used herein refers to a bond directly linking the substituents on each side of the direct link. When two adjacent substituents are defined as each being a “direct link”, it is considered to be a single bond.

[50]

Two substituents are “taken together to form a 5-6 membered ring” means that an ethylene or a propylene bridge, respectively, is formed between the two substituents. The term “pharmaceutically acceptable salts” includes salts of compounds derived from the combination of a compound and an organic or inorganic acid. These compounds are useful in both free base and salt form. In practice, the use of the salt form amounts to use of the base form; both acid and base addition salts are within the scope of the present invention.

[51]

“Pharmaceutically acceptable acid addition salt” refers to those salts which retain the <biological effectiveness and properties of the free bases and which are not biologically or otherwise undesirable, formed with inorganic acids such as hydrochloric acid, hydrobromic acid, sulfuric acid, nitric acid, phosphoric acid and the like, and organic acids such as acetic acid, propionic acid, glycolic acid, pyruvic acid, oxalic acid, maleic acid, malonic acid, succinic acid, fumaric acid, tartaric acid, citric acid, benzoic acid, cinnamic acid, mandelic acid, methanesulfonic acid, ethanesulfonic acid, p-toluenesulfonic acid, salicylic acid and the like. “Pharmaceutically acceptable base addition salts” include those derived from inorganic bases such as sodium, potassium, lithium, ammonium, calcium, magnesium, iron, zinc, copper, manganese, and aluminum bases, and the like. Particularly preferred are the ammonium, potassium, sodium, calcium and magnesium salts. Salts derived from pharmaceutically acceptable organic nontoxic bases include salts of primary, secondary, and tertiary amines, substituted amines including naturally occurring substituted amines, cyclic amines and basic ion exchange resins, such as isopropylamine, trimethylamine, diethylamine, triethylamine, tripropylamine, ethanolamine, 2-diethylaminoethanol, trimethamine, dicyclohexylamine, lysine, arginine, histidine, caffeine, procaine, hydrabamine, choline, betaine, ethylenediamine, glucosamine, methylglucamine, theobrorine, purines, piperizine, piperidine, N-ethylpiperidine, polyamine resins and the like. Particularly preferred organic nontoxic bases are isopropylamine, diethylamine, ethanolamine, trimethamine, dicyclohexylamine, choline, and caffeine.

[52]

“Biological property” for the purposes herein means an in vivo effector or antigenic function or activity that is directly or indirectly performed by a compound of this invention. Effector functions include receptor or ligand binding, any enzyme activity or enzyme modulatory activity, any carrier binding activity, any hormonal activity, any activity in promoting or inhibiting adhesion of cells to an extracellular matrix or cell surface molecules, or any structural role. Antigenic functions include possession of an epitope or antigenic site that is capable of reacting with antibodies raised against it. The biological properties of the compounds of the present invention can be readily characterized by the methods described in Examples 11 and 12 and by such other methods as are well known in the art.

[53]

In addition, the following abbreviations are used in this application:

[54]

“Bn” refers to benzyl.

[55]

“Boc” refers to t-butoxycarbonyl.

[56]

“BOP” refers to benzotriazol-1-yloxy-tris-(dimethylamino) phosphonium hexafluorophosphate.

[57]

“Bu” refers to butyl.

[58]

“Cbz” refers to carbobenzyloxy.

[59]

“CbzOSu” refers to benzyloxycarboyl succinimide.

[60]

“DCM” refers to dichloromethane.

[61]

“DIEA” refers to diisopropylethylamine.

[62]

“DMF” refers to N,N-dimethylformamide.

[63]

“Et” refers to ethyl.

[64]

“EtOH” refers to ethanol.

[65]

“Et2O” refers to diethyl ether.

[66]

“EtOAc” refers to ethyl acetate.

[67]

“Fmoc” refers to 9-fluorenylmethyloxycarbonyl.

[68]

“HBTU” refers to O-(1H-benzotriazol-1-yl)-1,1,3,3-tetramethyl-uronium hexafluorophosphate.

[69]

“HF” refers to hydrogen fluoride.

[70]

“Me” refers to methyl.

[71]

“MeOH” refers to methanol.

[72]

“Ph” refers to phenyl.

[73]

“TEA” refers to triethylamine.

[74]

“TFA” refers to trifluoroacetic acid; “cat TFA” refers to catalytic TFA.

[75]

“THF” refers to tetrahydrofuran.

[76]

“Tos” refers to p-toluenesulfonyl.

[77]

In the compounds of this invention, carbon atoms bonded to four non-identical substituents are asymmetric. Accordingly, the compounds may exist as diastereoisomers, enantiomers or mixtures thereof The syntheses described herein may employ racemates, enantiomers or diastereomers as starting materials or intermediates. Diastereomeric products resulting from such syntheses may be separated by chromatographic or crystallization methods, or by other methods known in the art. Likewise, enantiomeric product mixtures may be separated using the same techniques or by other methods known in the art. Each of the asymmetric carbon atoms, when present in the compounds of this invention, may be in one of two configurations (R or S) and both are within the scope of the present invention. In the processes described above, the final products may, in some cases, contain a small amount of diastereomeric or enantiomeric products; however, these products do not affect their therapeutic or diagnostic application.

[78]

In all of the peptides of the invention, one or more amide linkages (—CO—NH—) may optionally be replaced with another linkage which is an isostere such as —CH2NH—, —CH2S—, —CH2—O—, —CH2CH2—, —CH═CH— (cis and trans), —COCH2—, —CH(OH)CH2—, —CH2SO—, and —CH2SO2.This replacement can be made by methods known in the art. The following references describe preparation of peptide analogs which include these alternative-linking moieties: Spatola, “Peptide Backbone Modifications” (general review) Vega Data, Vol. 1, Issue 3, (March 1983); Spatola, “Chemistry and Biochemistry of Amino Acids, Peptides and Proteins,” (general review) B. Weinstein, eds., Marcel Dekker, New York, p. 267 (1983); Morley, Trends Pharm. Sci. (general review) pp. 463-468 (1980); Hudson, et al., Int. J. Pept. Prot. Res. 14:177-185 (1979) (CH2NH—, —CH2CH2—); Spatola, et al., Life Sci. 38:1243-1249 (1986) (—CH2-S); Hann, J. Chem. Soc. Perkin Trans. I pp.307-314 (1982) (—CH═C—, cis and trans); Almquist, et al., J. Med. Chem. 23:1392-1398 (1980) (—COCH2—); Jennings-White, et al., Tetrahedron Lett. 23:2533 (—COCH2—) (1982); Szelke, et al., European Application EP 45665; CA:97:39405 (1982) (—CH(OH)CH2—); Holladay, et al., Tetrahedron Lett 24:4401-4404 (1983) (—CH(OH)CH2—); and Hruby, Life Sci. 31:189-199 (1982) (—CH2—S—).

PREFERRED EMBODIMENTS

[79]

This invention relates to a new class of class of fused bicyclic lactam compounds selected from those of general formula I which are potent and specific inhibitors of Xa, their pharmaceutically acceptable compositions thereof, and the methods of using them as therapeutic agents for disease states in mammals characterized by abnormal thrombosis:

[80]

Wherein:

[81]

R1and R2are independently selected from the group consisting of H, C1-6alkyl, C3-8cycloalkyl, C1-3alkylaryl, C1-3alkyl-C3-8cycloalkyl and aryl;

[82]

R3is H, C1-4alkyl, or R2and R3are taken together to form a carbocyclic ring;

[83]

r is an integer from 0-4;

[84]

s is an integer from 0-1;

[85]

t is an integer from 0-4;

[86]

A is selected from the group consisting of R8, —NR8R9,

[87]

where R8, R9, R10and R11are independently selected from the group consisting of H, —OH, C1-6alkyl, aryl and C1-4allylaryl; R12is selected from the group consisting of H, C1-6alkyl, aryl and C1-4alkylaryl, or can be taken together with R10or R11to form a 5-6 membered ring; and R13is selected from the group consisting of H, C1-6alkyl, aryl and C1-4alkylaryl, or can be taken together with R11to form a 5-6 membered zing;

[88]

D is selected from the group consisting of a direct link, C3-8cycloalkyl, C1-4alkenyl, C1-6alkenylaryl, aryl and a five to ten membered heterocyclic ring system containing 1-4 heteroatoms selected from the group consisting of N, O and S;

[89]

E is selected from the group consisting of a direct link, —CO—, —SO2—, —O—CO—, —NR14—SO2— and —NR14—CO—, where R14is selected from the group consisting of H, —OH, C1-6alkyl, aryl and C1-4alkylaryl;

[90]

G is selected from the group consisting of a direct link, C3-8cycloalkyl, aryl, and a five to ten membered heterocyclic ring system containing 1-4 heteroatoms selected from the group consisting of N, O and S;

[91]

J is selected from the group consisting of R15, —NR15R16,

[92]

where R15, R16, R17and R18are independently selected from the group consisting of H, —OH, C1-6alkyl, aryl and C1-4alkylaryl; R19is selected from the group consisting of H, C1-6alkyl, aryl and C1-4alkylaryl, or can be taken together with R17or R18to form a 5-6 membered ring; and R20is selected from the group consisting of H, C1-6akyl, axyl and C1-4alkylaryl, or can be taken together with R18to form a 5-6 membered ring; with the proviso that when J is R15, then G must contain at least one N atom;

[93]

K′, K″, K′″ and K″″ are independently selected from the group consisting of —CH—, —CR4—, —CR5— and —N—; with the proviso that no more than one of K′, K″, K′″ and K″″ are —CR4— and no more than one of K′, K′, K′″ and K″″ are —CR5—;

[94]

R4and R5are independently selected from the group consisting of C1-6alkyl, aryl, Cil6alkylaryl, C1-4alkyloxy, halogen, -NO2, —NR6R7,—NR6COR7, —OR6, —OCOR6, —COOR6, —CONR6R7,—CN, —CF3, —SO2NR6R7and C1-6alkyl-OR6; where R6and R7are independently selected from the group consisting of H, C1-6alkyl, C1-3alkylaryl and aryl;

[95]

L is selected from the group consisting of —CH2—, —O—, —S—, —SO—, —SO2— and

[96]

where X is selected from the group consisting of R33, —NR33R34,

[97]

where R33, R34,R35and R36are independently selected from the group consisting of H, —OH, C1-6alkyl, aryl and C1-4alkylaryl; R37is selected from the group consisting of H, C1-6alkyl, aryl and C1-4alkylaryl, or can be taken together with R35or R36to form a 5-6 membered ring; and R38is selected from the group consisting of H, C1-6alkyl, aryl and C1-4alkylaryl, or can be taken together with R36to form a 5-6 membered ring; Y is selected from the group consisting of a direct link, C1-6alkyl, C3-8cycloalkyl, C1-6alkenyl, C1-6alkenylaryl, aryl, and a five to ten membered heterocyclic ring system containing 1-4 heteroatoms selected from the group consisting of N, O and S; Z is selected from the group consisting of a direct link, —CO—, —SO2—, —O—, —NR39—SO2— and —NR39—CO—, where R39is selected from the group consisting of H, —OH, C1-6alkyl, aryl and C1-4alkylaryl; d is an integer from 0-1; and e is an integer from 0-6;

[98]

Q is selected from the group consisting of H,

[99]

where R21and R22are independently selected from the group consisting of H, C1-3alkyl and aryl; and T is selected from the group consisting of H, —COOR23,—CONR23R24, —CF3, —CF2CF3and a group having the formula:

[100]

where: R23and R24are independently selected from the group consisting of H, C1-6alkyl, aryl and C1-4alkylaryl; U′ and U″ are independently selected from the group consisting of —O—, —S—, —N— and —NH—; with the proviso that at least one of U′ or U″ is —N— or —NH—; R25is selected from the group consisting of H, C1-6alkyl, C2-6alkenyl, C0-6alkylaryl, C2-6alkenylaryl, C0-6alheterocyclo, C2-6allkenylheterocyclo, —CF3and —CF2CF3; V is selected from the group consisting of —S—, —SO—, —SO2—, —O— and —NR26—, where R26is selected from the group consisting of H, C1-6alkyl and benzyl; and W is selected from the group consisting of:

[101]

a C6-10heterocyclic ring system substituted by R29and R30and containing 1-4 heteroatoms selected from N, S and O; where: a is an integer from 0-2; R27and R28are independently selected from the group consisting of H, C1-6alkyl, aryl, C1-6alkylaryl, —COOR31, —CONR31R32, —CN and —CF3; and R29and R30are independently selected from the group consisting of H, C1-6alkyl, aryl, C1-6alkylaryl, C1-6alkyloxy, halogen, —NO2, —NR31R32, —NR31COR32, —OR31, —OCOR31, —COOR31, —CONR31R32, —CN, —CF3, —SO2NR31R32and C1-6alkyl-OR31; where R31and R32are independently selected from the group consisting of H, C1-6alkyl, C1-3alkylaryl and aryl;

[102]

and all pharmaceutically acceptable salts and optical isomers thereof.

[103]

A preferred embodiment of compounds of general structural formula I have the following stereochemistry:

[104]

Preferred R1and R2substituents are H and C1-6alkyl; more preferably H and methyl; most preferably H. R3is preferably H.

[105]

The integer “r” is preferably 3.

[106]

The integer “s” is preferably 0.

[107]

The integer “t” is preferably from 0-1.

[108]

In the various “A” substituents, it is preferred that R8, R9, R10and R11are independently selected from the group consisting of H and C1-6alkyl; and are more preferably independently selected from the group consisting of H and methyl. It is also preferred that R12is H, C1-6alkyl or taken together with R10or R11to form a 5-6 membered ring; and is more preferably H or methyl. It is also preferred that R13is H, C1-6alkyl or taken together with R10to form a 5-6 membered ring; and is more preferably H or methyl.

[109]

D is preferably selected from the group consisting of a direct link, C3-8cycloalkyl, aryl and a five to ten membered heterocyclic ring system containing 1-4 heteroatoms selected from the group consisting of N, O and S.

[110]

E is preferably a direct link, —CO— or —SO2—.

[111]

G is preferably a direct link.

[112]

In the “J” substituent, it is preferred that R15, R16, R17, R18, R19and R20are independently selected from the group consisting of H and C1-6alkyl, more preferably H and methyl. Preferably at least three of K′, K″, K′″ and K″″ are —CH—; more preferably K′, K″, K′″ and K″″ are all —CH—. When one of the K's are —CR4— or —CR5—, then R4or R5is preferably halogen.

[113]

L is preferably

[114]

When L is

[115]

in the various “X” substituents, it is preferred that R33, R34, R35and R36are independently selected from the group consisting of H and C1-6alkyl; and are more preferably independently selected from the group consisting of H and methyl. It is also preferred that R37is H, C1-6alkyl or taken together with R35or R36to form a 5-6 membered ring; and is more preferably H or methyl. It is also preferred that R38is H, C1-6alkyl or taken together with R36to form a 5-6 membered ring; and is more preferably H or methyl. Y is preferably a direct link, C1-6alkyl, C3-8cycloalkyl, aryl, or a five to ten membered heterocyclic ring system. More preferably, Y is aryl or a five to ten membered heterocyclic ring system. Z is preferably a direct link, —CO— or —SO2—. The integer “d” is preferably 0. The integer “e” is preferably 0-2.

[116]

Q is preferably:

[117]

where R21is preferably H and R22is preferably H.

[118]

T is preferably H, —COOR23, —CONR23R24or a group having the formula:

[119]

R23is preferably H. R24is preferably C1-4alkylaryl. V is preferably —S—, —O— or —NR26—, where R26is preferably H or methyl, more preferably H. W is preferably selected from the group consisting of:

[120]

W is more preferably

[121]

R29and R30are preferably independently selected from the group consisting of H, —O—R31, —COOR31, —CONR31R32or —CF3; more preferably H.

[122]

When W is:

[123]

then R27is preferably H and R28is preferably H.

[124]

When T is:

[125]

then U′ is preferably O, U″ is preferably N and R25is preferably —CF3or —CF2CF3.

[126]

In one preferred embodiment of the invention, s is 0; R2and R3are H; K′, K″, K′″ and K″″ are —CH—; and Q is —C(O)—T. This is also illustrated as a preferred group of compounds defined by the general structural formula II as:

[127]

A preferred embodiment of compounds of general structural formula II have the following stereochemistry:

[128]

In another preferred embodiment of the invention, s is 0; r is 3; R1, R2and R3are H; K′, K″, K′″ and K″″ are —CH—; G is a bond; J is:

[129]

where R15, R17, R18and R19are all H; and Q is —C(O)—T. This is also illustrated as a preferred group of compounds defined by the general structural formula III as:

[130]

A preferred embodiment of compounds of general structural formula III have the following stereochemistry:

[131]

This invention also encompasses all pharmaceutically acceptable isomers, salts, hydrates and solvates of the compounds of formulas I, II and III. In addition, the compounds of formulas I, II and III can exist in various isomeric and tautomeric forms, and all such forms are meant to be included in the invention, along with pharmaceutically acceptable salts, hydrates and solvates of such isomers and tautomers.

[132]

The compounds of this invention may be isolated as the free acid or base or converted to salts of various inorganic and organic acids and bases. Such salts are within the scope of this invention. Non-toxic and physiologically compatible salts are particularly useful although other less desirable salts may have use in the processes of isolation and purification.

[133]

A number of methods are useful for the preparation of the salts described above and are known to those skilled in the art. For example, the free acid or free base form of a compound of one of the formulas above can be reacted with one or more molar equivalents of the desired acid or base in a solvent or solvent mixture in which the salt is insoluble, or in a solvent like water after which the solvent is removed by evaporation, distillation or freeze drying. Alternatively, the free acid or base form of the product may be passed over an ion exchange resin to form the desired salt or one salt form of the product may be converted to another using the same general process.

[134]

This invention also encompasses prodrug derivatives of the compounds contained herein. The term “prodrug” refers to a pharmacologically inactive derivative of a parent drug molecule that requires biotransformation, either spontaneous or enzymatic, within the organism to release the active drug. Prodrugs are variations or derivatives of the compounds of this invention which have groups cleavable under metabolic conditions. Prodrugs become the compounds of the invention which are pharmaceutically active in vivo, when they undergo solvolysis under physiological conditions or undergo enzymatic degradation. Prodrug compounds of this invention may be called single, double, triple etc., depending on the number of biotransformation steps required to release the active drug within the organism, and indicating the number of functionalities present in a precursor-type form. Prodrug forms often offer advantages of solubility, tissue compatibility, or delayed release in the mammalian organism (see, Bundgard, Design of Prodrugs, pp. 7-9, 21-24, Elsevier, Amsterdam 1985 and Silverman, The Organic Chemistry of Drug Design and Drug Action, pp. 352-401, Academic Press, San Diego, Calif., 1992). Prodrugs commonly known in the art include acid derivatives well known to practitioners of the art, such as, for example, esters prepared by reaction of the parent acids with a suitable alcohol, or amides prepared by reaction of the parent acid compound with an amine, or basic groups reacted to form an acylated base derivative. Moreover, the prodrug derivatives of this invention may be combined with other features herein taught to enhance bioavailability.

[135]

The following structures are illustrative of the compounds of the present invention and are not intended to be limiting in any manner. It is to be noted that in the compounds of the invention, certain substituents are present between two other substituents. For example, D is positioned between A— and —(CH2)t—E—. Accordingly, substituents such as D are illustrated below as having two “dangling” bonds, the bond on the left representing a direct link to substituent A— and the bond on the right representing a direct link to —(CH2)t—E—. Therefore, the general formula of A—D—(CH2)t—E— where D is phenyl can be written as:

[136]

D, a phenyl group, would then be written as follows in the tables below:

[137]

Other substituents in the table below may also be presented as having one or two similar “dangling” bonds. It is understood that these represent direct links to the adjacent substituent(s). It is also understood that the compounds illustrated below can exist as other isomers, and the isomeric form illustrated herein is not intended to be limiting in any manner.

[138]

The invention encompasses compounds of general structural formula IV, where R1, R2and R3are H; r is 3; s is 0; G is a direct link; J is —NH—C(NH)NH2; K′, K″, K′″ and K″″ are —CH—; L is —CH2—; and Q is

[139]

(IV)
#ADtE
1H—2—SO2
2H3C—1—SO2
3H—1direct link
4H—1—CO—
5H3C—2—NHSO2
6H3C—direct link0—N(CH3)—
SO2
7H3C—direct link0—SO2
8H—2—NHCO—
9CH3CH22—NHCO—
100—SO2
11(CH3)2N—direct link3—SO2
12H—0—SO2
13direct link3—CO—
141—CO—
15H—direct link1—CO—
16H—1direct link
17HO—2direct link
18(CH3)3C—0—SO2
19H—2—SO2
20H—direct link0direct link
21H—0—SO2

[140]

The invention encompasses compounds of general structural formula V, where R1, R2and R3are H; t is 1; A is H; D is phenyl; E is —SO2—; K′, K″, K′″ and K″″ are —CH—; L is —CH2—; and Q is

[141]

(V)
#rGsJ
13direct link0
23direct link0
33direct link0
410
510
600—NH2
720—H
820—CH3
930—H
1000
114direct link0—NH2
1201—NH2

[142]

The invention encompasses compounds of general structural formula VI, where r is 3; s is 0; t is 1; A is H; D is phenyl; E is —SO2—; G is a direct link; J is —NH—C(NH)NH2; K′, K″, K′″ and K″″ are —CH—; L is —CH2—; and Q is

[143]

(VI)
#R1R2R3
1—CH3—H—H
2—H—CH3—H
3—H
4—H—H—H

[144]

The invention encompasses compounds of general structural formula VII, where R1, R2and R3are H; r is 3; s is 0; t is 1; A is H; D is phenyl; E is —SO2—; G is a direct link; J is —NH—C(NH)NH2; K′, K″, K′″ and K″″ are —CH—; and L is —CH2—:

[145]

(VII)
#Q
1—H
2
3
4
5
6
7—C(O)H
8—C(O)—COOH
9
10
11—C(O)—CF2CF3
12
13
14
15
16
17

[146]

The invention encompasses compounds of general structural formula VIII, where R1, R2and R3are H; r is 3; s is 0; t is 1; A is H; D is phenyl; E is —SO2—; G is a direct link; J is —NH—C(NH)NH2; L is —CH2—; and Q is

[147]

(VIII)
#K′K″K′′′K′′′′
1—CH——N——CH——CH—
2—C(Cl)——N——CH——CH—

[148]

The invention encompasses compound of general structural formula IX, where R1, R2and R3are H; r is 3; s is 0; t is 1; A is H; D is phenyl; E is —SO2—; G is a direct link; J is —NH—C(NH)NH2; K′, K″, K′″ and K″″ are —CH—; and Q is

[149]

(IX)
#L
1—O—
2—S—
3—SO—
4—SO2

[150]

The invention encompasses compound of general structural formula X, where R1, R2and R3are H; r is 3; s is 0; t is 1; A is H; D is phenyl; E is —SO2—; G is a direct link; J is —NH—C(NH)NH2; K′, K″, K′″ and K″″ are —CH—; and Q is

[151]

(X)
#XdYeZ
40direct link3—CO—
501direct link
60direct link—CO—
702direct link
9H2N—01—CO—
10H—0—CH2—C(CH3)20—O—CO—
11H—01—SO2
1200—CO—
13H—00—SO2
14H—00—SO2
15H—02—NH—SO2
16H3C—01—NH—SO2
17H3C—00—SO2
18H3C—00—SO2
1911—CO—
20H—02—N(CH3)—SO2
21H—02—N(OH)—CO—
22H—01—SO2

[152]

The invention encompasses compounds of general structural formula X, where R1, R2and R3are H; t is 1; A is H; D is phenyl; E is —SO2—; K′, K″, K′″ and K″″ are —CH—; L is —CH2—; and Q is H:

[153]

(X)
#rGsJ
100
200

[154]

As mentioned above, the compounds of this invention find utility as therapeutic agents for disease states in mammals which have disorders of coagulation such as in the treatment or prevention of unstable angina, refractory angina, myocardial infarction, transient ischemic attacks, thrombotic stroke, embolic stroke, disseminated intravascular coagulation including the treatment of septic shock, deep venous thrombosis in the prevention of pulmonary embolism or the treatment of reocclusion or restenosis of reperfused coronary arteries. Further, these compounds are useful for the treatment or prophylaxis of those diseases which involve the production and/or action of factor Xa/prothrombinase complex. This includes a number of thrombotic and prothrombotic states in which the coagulation cascade is activated which include but are not limited to, deep venous thrombosis, pulmonary embolism, myocardial infarction, stroke, thromboembolic complications of surgery and peripheral arterial occlusion.

[155]

Accordingly, a method for preventing or treating a condition in a mammal characterized by undesired thrombosis comprises administering to the mammal a therapeutically effective amount of a compound of this invention. In addition to the disease states noted above, other diseases treatable or preventable by the administration of compounds of this invention include, without limitation, occlusive coronary thrombus formation resulting from either thrombolytic therapy or percutaneous transluminal coronary angioplasty, thrombus formation in the venous vasculature, disseminated intravascular coagulopathy, a condition wherein there is rapid consumption of coagulation factors and systemic coagulation which results in the formation of life-threatening thrombi occurring throughout the microvasculature leading to widespread organ failure, hemorrhagic stroke, renal dialysis, blood oxygenation, and cardiac catheterization.

[156]

The compounds of the invention also find utility in a method for inhibiting the coagulation biological samples, which comprises the administration of a compound of the invention.

[157]

The compounds of the present invention may also be used in combination with other therapeutic or diagnostic agents. In certain preferred embodiments, the compounds of this invention may be coadministered along with other compounds typically prescribed for these conditions according to generally accepted medical practice such as anticoagulant agents, thrombolytic agents, or other antithrombotics, including platelet aggregation inhibitors, tissue plasminogen activators, urokinase, prourokinase, streptokinase, heparin, aspirin, or warfarin. The compounds of the present invention may act in a synergistic fashion to prevent reocclusion following a successful thrombolytic therapy and/or reduce the time to reperfusion. These compounds may also allow for reduced doses of the thrombolytic agents to be used and therefore minimize potential hemorrhagic side-effects. The compounds of this invention can be utilized in vivo, ordinarily in mammals such as primates, (e.g. humans), sheep, horses, cattle, pigs, dogs, cats, rats and mice, or in vitro.

[158]

The biological properties of the compounds of the present invention can be readily characterized by methods that are well known in the art, for example by the in vitro protease activity assays and in vivo studies to evaluate antithrombotic efficacy, and effects on hemostasis and hematological parameters, such as are illustrated in the examples.

[159]

Diagnostic applications of the compounds of this invention will typically utilize formulations in the form of solutions or suspensions. In the management of thrombotic disorders the compounds of this invention may be utilized in compositions such as tablets, capsules or elixirs for oral administration, suppositories, sterile solutions or suspensions or injectable administration, and the like, or incorporated into shaped articles. Subjects in need of treatment (typically mammalian) using the compounds of this invention can be administered dosages that will provide optimal efficacy. The dose and method of administration will vary from subject to subject and be dependent upon such factors as the type of mammal being treated, its sex, weight, diet, concurrent medication, overall clinical condition, the particular compounds employed, the specific use for which these compounds are employed, and other factors which those skilled in the medical arts will recognize.

[160]

Formulations of the compounds of this invention are prepared for storage or administration by mixing the compound having a desired degree of purity with physiologically acceptable carriers, excipients, stabilizers etc., and may be provided in sustained release or timed release formulations. Acceptable carriers or diluents for therapeutic use are well known in the pharmaceutical field, and are described, for example, in Remington's Pharmaceutical Sciences, Mack Publishing Co., (A. R. Gennaro edit. 1985). Such materials are nontoxic to the recipients at the dosages and concentrations employed, and include buffers such as phosphate, citrate, acetate and other organic acid salts, antioxidants such as ascorbic acid, low molecular weight (less than about ten residues) peptides such as polyarginine, proteins, such as serum albumin, gelatin, or immunoglobulins, hydrophilic polymers such as polyvinylpyrrolidinone, amino acids such as glycine, glutamic acid, aspartic acid, or arginine, monosaccharides, disaccharides, and other carbohydrates including cellulose or its derivatives, glucose, mannose or dextrins, chelating agents such as EDTA, sugar alcohols such as mannitol or sorbitol, counterions such as sodium and/or nonionic surfactants such as Tween, Pluronics or polyethyleneglycol.

[161]

Dosage formulations of the compounds of this invention to be used for therapeutic administration must be sterile. Sterility is readily accomplished by filtration through sterile membranes such as 0.2 micron membranes, or by other conventional methods. Formulations typically will be stored in lyophilized form or as an aqueous solution. The pH of the preparations of this invention typically will be 3-11, more preferably 5-9 and most preferably 7-8. It will be understood that use of certain of the foregoing excipients, carriers, or stabilizers will result in the formation of cyclic polypeptide salts. While the preferred route of administration is by injection, other methods of administration are also anticipated such as orally, intravenously (bolus andlor infusion), subcutaneously, intramuscularly, colonically, rectally, nasally, transdermally or intraperitoneally, employing a variety of dosage forms such as suppositories, implanted pellets or small cylinders, aerosols, microencapsulation, oral dosage formulations and topical formulations such as ointments, drops and dermal patches. The compounds of this invention are desirably incorporated into shaped articles such as implants which may employ inert materials such as biodegradable polymers or synthetic silicones, for example, Silastic, silicone rubber or other polymers commercially available.

[162]

The compounds of the invention may also be administered in the form of liposome delivery systems, such as small unilamellar vesicles, large unilamellar vesicles and multilamellar vesicles. Liposomes can be formed from a variety of lipids, such as cholesterol, stearylamine or phosphatidylcholines.

[163]

The compounds of this invention may also be delivered by the use of antibodies, antibody fragments, growth factors, hormones, or other targeting moieties, to which the compound molecules are coupled. The compounds of this invention may also be coupled with suitable polymers as targetable drug carriers. Such polymers can include polyvinylpyrrolidinone, pyran copolymer, polyhydroxy-propyl-methacrylamide-phenol, polyhydroxyethyl-aspartamide-phenol, or polyethyleneoxide-polylysine substituted with palmitoyl residues. Furthermore, compounds of the invention may be coupled to a class of biodegradable polymers useful in achieving controlled release of a drug, for example polylactic acid, polyglycolic acid, copolymers of polylactic and polyglycolic acid, polyepsilon caprolactone, polyhydroxy butyric acid, polyorthoesters, polyacetals, polydihydropyrans, polycyanoacrylates and cross linked or amphipathic block copolymers of hydrogels. Polymers and semipermeable polymer matrices may be formed into shaped articles, such as valves, stents, tubing, prostheses and the like.

[164]

Therapeutic compound liquid formulations generally are placed into a container having a sterile access port, for example, an intravenous solution bag or vial having a stopper pierceable by hypodermic injection needle.

[165]

Therapeutically effective dosages may be determined by either in vitro or in vivo methods. For each particular compound of the present invention, individual determinations may be made to determine the optimal dosage required. The range of therapeutically effective dosages will be influenced by the route of administration, the therapeutic objectives and the condition of the patient. For injection by hypodermic needle, it may be assumed the dosage is delivered into the body's fluids. For other routes of administration, the absorption efficiency must be individually determined for each compound by methods well known in pharmacology. Accordingly, it may be necessary for the therapist to titer the dosage and modify the route of administration as required to obtain the optimal therapeutic effect. The determination of effective dosage levels, that is, the dosage levels necessary to achieve the desired result, will be readily determined by one skilled in the art. Typically, applications of compound are commenced at lower dosage levels, with dosage levels being increased until the desired effect is achieved.

[166]

The compounds of the invention can be administered orally or parenterally in an effective amount within the dosage range of about 0.1 to 100 mg/kg, preferably about 0.5 to 50 mg/kg and more preferably about 1 to 20 mg/kg on a regimen in a single or 2 to 4 divided daily doses and/or continuous infusion.

[167]

Typically, about 5 to 500 mg of a compound or mixture of compounds of this invention, as the free acid or base form or as a pharmaceutically acceptable salt, is compounded with a physiologically acceptable vehicle, carrier, excipient, binder, preservative, stabilizer, dye, flavor etc., as called for by accepted pharmaceutical practice.

[168]

The amount of active ingredient in these compositions is such that a suitable dosage in the range indicated is obtained.

[169]

Typical adjuvants which may be incorporated into tablets, capsules and the like are binders such as acacia, corn starch or gelatin, and excipients such as microcrystalline cellulose, disintegrating agents like corn starch or alginic acid, lubricants such as magnesium stearate, sweetening agents such as sucrose or lactose, or flavoring agents. When a dosage form is a capsule, in addition to the above materials it may also contain liquid carriers such as water, saline, or a fatty oil. Other materials of various types may be used as coatings or as modifiers of the physical form of the dosage unit. Sterile compositions for injection can be formulated according to conventional pharmaceutical practice. For example, dissolution or suspension of the active compound in a vehicle such as an oil or a synthetic fatty vehicle like ethyl oleate, or into a liposome may be desired. Buffers, preservatives, antioxidants and the like can be incorporated according to accepted pharmaceutical practice.

Preparation of the Disclosed Compounds

[170]

The compounds of the present invention may be synthesized by either solid or liquid phase methods described and referenced in standard textbooks, or by a combination of both methods. These methods are well known in the art. See, Bodanszky, “The Principles of Peptide Synthesis”, Hafner, et al., Eds., Springer-Verlag, Berlin, 1984.

[171]

Starting materials used in any of these methods are commercially available from chemical vendors such as Aldrich, Sigma, Nova Biochemicals, Bachem Biosciences, and the like, or may be readily synthesized by known procedures.

[172]

Reactions are carried out in standard laboratory glassware and reaction vessels under reaction conditions of standard temperature and pressure, except where otherwise indicated. The reaction products are isolated and purified by conventional methods, typically by solvent extraction into a compatible solvent. The products may be further purified by column chromatography or other appropriate methods. Most compounds are purified by reversed-phase HPLC and characterized by ion-spray mass spectrometry.

[173]

During the synthesis of these compounds, the functional groups of the amino acid derivatives used in these methods are protected by blocking groups to prevent side reactions during the coupling procedure. Examples of suitable blocking groups and their use are described in “The Peptides: Analysis, Synthesis, Biology”, Academic Press, Vol. 3 (Gross, et al., Eds., 1981) and Vol. 9 (1987), the disclosures of which are incorporated herein by reference.

[174]

The compounds of this invention may be preferably prepared by coupling the carboxylic acid of formula (a) to the amine of formula (b) by the standard amide bond formation strategies:

[175]

The compounds of formula (b) wherein Q is H can be prepared by the methods disclosed in WO 96/01338; WO 96/24609; Feng, et al., WO 96/31504; and WO 96/32110, the disclosures of which are incorporated herein by reference.

[176]

The compounds of formula (b) wherein Q is a boron containing compound can be prepared by the methods disclosed in J. Org. Chem. 60:3717-3722 (1995) and de Nanteuil, et al., EP 688,788, the disclosures of which are incorporated herein by reference.

[177]

The compounds of formula (b) wherein Q is —C(O)—T, where T is H, may be prepared by the methods disclosed in WO 93115756, supra; Vlasuk, et al., WO 94/17817; Abelman, et al., WO 94/21673; Webb, et al., WO 94/08941; Veber, et al., WO 94/25051; Levy, et al., WO 95135312; Semple, et al., WO 95/35313; Abelman, et al., WO 95/28420; and Abelman, et al., WO 96/19493, the disclosures of which are incorporated herein by reference.

[178]

The compounds of formula (b) wherein Q is —C(O)—T, where T is —COOR23or —CONR23R24, may be prepared by the methods disclosed in WO 94/25051, supra, WO 94/08941, supra, and WO 94/21673, supra, the disclosures of which are incorporated herein by reference.

[179]

The compounds of formula (b) wherein Q is —C(O)—T, where T is —CF3or —CF2CF3, may be prepared by the methods disclosed in Schacht, et al., GB 2287027, the disclosure of which is incorporated herein by reference.

[180]

The compounds of formula lb) wherein Q is —C(O)—T, where T is:

[181]

and V is —S—, —O—, —SO— or —SO2— can be readily synthesized by the methods disclosed in Costanzo, et al., U.S. Pat. No. 5,523,308; Di Maio, et al., WO 96/19483; U.S. Pat. No. 5,164,371; J. Am. Chem. Soc. 114: 18541863 (1992); J. Med. Chem. 38:76-85 (1995); and J. Med. Chem. 37:3492-3502 (1994). Lastly, fragments where V is —NR21—, where R21is H, C1-6alkyl or benzyl, can be synthesized by techniques illustrated in J. Med. Chem. 37:3492-3502 (1994). All of these references are incorporated herein by reference.

[182]

The compounds of formula (b) wherein Q is —C(O)—T, where T is:

[183]

and U′ and U″ are the various substituents (—O—, —S—, —N—, —NH—) may be prepared by the methods disclosed in J. Med. Chem. 38: 1355-1371 (1995) and J. Med. Chem. 37: 2421-2436 (1994), the disclosures of which are incorporated herein by reference.

[184]

The starting compound of formula (a) is either a known compound or can be produced by known methods (Heitsch, et al., Canadian Patent No. 2,071,744; Sugihara, et al., Canadian Patent No. 2,126,026; Baker, et al., EP 365,992; U.S. Pat. No. 4,251,438; Carr, etal., U.S. Pat. No. 4,341,698; Goldman, et al., U.S. Pat. No. 5,120,718; Biswanath, et al., U.S. Pat. No. 5,164,388; Duggan, et al., U.S. Pat. No. 5,281,585; Sugihara, et al., U.S. Pat. No. 5,294,713; Bovy, et al, WO 95/06038; WO 95/35308; J. Chem. Soc. Perkin Trans. I 1687-1689 (1989); and Int. J. Peptide Protein Res. 37:468-475 (1991)) or can be prepared by the methods shown in the following reaction formulae.

[185]

The following reaction schemes are more specific illustrations of the above reaction formulae. The chemical reactions described in each scheme can easily be modified and combined with other techniques that are well known in the art to produce other compounds within the scope of the invention.

[186]

The reagent used in the fifth step of Schemes I and II can be synthesized as follows:

[187]

Without further elaboration, it is believed that one skilled in the art can utilize the present invention to its fullest extent. Therefore, the following preferred specific embodiments are to be construed as merely illustrative and do not limit the remainder of the disclosure in any way whatsoever.

EXAMPLE 1

[188]

Preparation of:

[189]

To a suspension of Boc-Arg(Tos)-OH (2 g, 4.7 mmol) in DMF (20 mL) at 0° C. was added MeNHOMe.HCl (1 g, 10.3 mmol), DIEA (6 mL) and BOP (2.5 g, 5.6 mmol). The solution was stirred at 0° C. for 10 hours. DMF was evaporated by vacuum. The oily residue was dissolved in EtOAc (200 mL) and water (20 mL). The organic layer was washed with sat. NaHCO3, water (20 mL), 1 M HCl (10 mL) and sat. NaCl (2×20 mL). The organic layer was dried over MgSO4, filtered and evaporated to give a suspension. The suspension was filtered, and the solid was washed with cold EtOAc (10 mL) and dried to give Boc-Arg(Tos)-N(Me)OMe, shown above, (1.5 g, 70% yield).

[190]

FAB-MS (M+H)+=472

EXAMPLE 2

[191]

Preparation of:

[192]

To a solution of thiazole (2.5 g, 29 mmol) in THF (25 mL) at −78° C. was added n-BuLi (1.6 M in hexane, 19 mL) dropwise. The mixture was stirred for 30 minutes. Then a solution of Boc-Arg(Tos)-N(Me)OMe, from Example 1, (1.7 g, 3.6 rumol) in THF (50 mL) was added to the lithiothiazole mixture at −78° C. The solution was stirred for 2 hours. 1M HCl (30 mL) was added to the reaction mixture and warmed to room temperature. The mixture was extracted with EtOAc (100 mL). The organic layer was washed with sat. NaCl (30 mL), dried over MgSO4, filtered and evaporated. The crude oily residue was purified by flash column chromatography over SiO2(50% EtOAc in CH2Cl2) to give Boc-Arg(Tos)-thiazole, shown above, (1.5 g, 84% yield) as a powder. DCI-MS (M+H)+=496

EXAMPLE 3

[193]

Preparation of:

[194]

To a solution of Boc-Arg(Tos)-thiazole from Example 2, (300 mg, 0.6 mmol) in CH2Cl2(10 mL) at 0° C., was added TFA (10 mL). The solution was stirred at 0C for 2 hours. The solvent and excess TFA were evaporated to give an oily residue which was then used directly without further purification.

EXAMPLE 4

[195]

Part 1 Preparation of methyl 2-(3-(((9H-9-fluorenylmethoxy)carbonyl)amino)-2-oxo-2,3,4,5-tetrahydro-1H-1-benzazepin-1-yl)acetate:

[196]

A solution of (R,S)Fmoc-3-amino-N-1-carboxymethyl-2,3,4,5-tetra-H1-H1-benzazepin-2-one from Neosystem Laboratorie (Strasbourg, France) (100 mg, 0.22 mmol) in MeOH at 0° C., was treated with excess amount of thionyl chloride (20 eq). The mixture was stirred at room temperature overnight and evaporated to give the title compound (100% yield). ES-MS (M+H)+=471.2.

[197]

Part 2 Preparation of methyl 2-(3-amino-2-oxo-2,3,4,5-tetrahydro-1H-1-benzazepin-1-yl)acetate:

[198]

A solution of the compound of Part 1 (104 mg, 0.22 mmol) in DMF (2 mL) was treated with piperidine (0.5 mL, 5 mmol) to make a final solution of 20% piperidine/DMF and stirred at room temperature overnight. The reaction mixture was evaporated in vacuo then acidified with 10% HCl and extracted with CH2Cl2. The aqueous layer was then neutralized with saturated NaHCO3and extracted with EtOAc. The organic layer was dried over Na2SO4and evaporated in vacuo to give title compound. ES-MS (M+H)+=249.0.

[199]

Part 3 Preparation of methyl 2-(3-((benzylsulfonyl)amino)-2-oxo-2,3,4,5-tetrahydro-1H-1-benzazepin-1-yl)acetate:

[200]

To a solution of the compound of Part 2 (0.2 mmol) and DIEA (0.092 mL, 0.5 mmol) in CH2Cl2(1 mL) at −78° C., was added α-toluenesulfonyl chloride (46 mg, 0.24 mmol). The mixture was stirred at −78° C. for three hours and evaporated in vacuo. The residue was dissolved in EtOAc and washed with H2O, sat. NaHCO3, sat NaCl, dried over Na2SO4and evaporated to give the title compound. ES-MS (M+H)+=403.1.

[201]

Part 4 Preparation of 2-(3-((benzylsulfonyl)amino)-2-oxo-2,3,4,5-tetrahydro-1H-1-benzazepin-1-yl)acetic acid:

[202]

A solution of the compound of Part 3 (30 mg, 0.075 mmol) in THF (1.5 mL) was treated with 2 N LiOH (0.075 mL, 0.15 mmol). The mixture was stirred at room temperature overnight. The organic solvent was evaporated in vacuo. The aqueous layer was acidified to pH 2-3 with 1N KHSO4and extracted with EtOAc. The organic layer was dried over Na2SO4and evaporated to give the title compound.

[203]

Part 5 Preparation of N1-((1S)4((imnino(((4-methylphenyl)sulfonyl)amino)methyl) amino)-1-(1,3-thiazol-2-ylcarbonyl)butyl)-2-(3-((benzylsulfonyl)amino)-2-oxo-2,3,4,5-tetrahydro-1H-1-benzazepin-1-y1)acetamide:

[204]

The compound of Part 4 (0.1 mmol) was dissolved in DMF (1.5 mL) and cooled to 0° C. The solution was neutralized with DIEA followed by addition of the compound of Example 3 (59 mg, 0.15 mmol) and coupling reagent HBTU (49 mg, 0.13 mmol). The solution was stirred at room temperature overnight. The reaction mixture was diluted in a mixture of EtOAc/H2O. The organic layer was washed with sat. NaHCO3, sat. NaCl, dried over Na2SO4and evaporated to give the title compound. ES-MS (M+H)+=766.4.

[205]

Part 6 Preparation of N1-((1S)4-((amino(imnino)methyl)amnino)-1-(1,3-thiazol-2-ylcarbonyl)butyl)-2-(3-(benzylsulfonyl)amino)-2-oxo-2,3,4,5-tetrahydro-1H-1-benzazepin-1-yl)acetamide (Compound V(1)):

[206]

The compound of Part 5 (93 mg, 0.12 mmol), anisole (1 mL) and ethyl methyl sulfide (two drops) were placed in HF-cleavage vessel and cooled under liquid N2. HF (10 mL) was then condensed and the mixture was stirred at -10IC for half hour and 0° C. for half hour. HF was removed under vacuum to give a gum-like residue. The residue was triturated with 50% Et2O in hexane (20 mL) and the solvent removed by filtration. The gum residue was dissolved in 0.1% aq. TFA (15 mL) and filtered through the above sintered funnel. The filtrate was lyophilized to give a powder which was purified by RP-HPLC to give the title compound as a white powder (71% yield). ES-MS (M+H)+=612.3.

EXAMPLE 5

[207]

Part 1 Preparation of methyl 2-(3-((methylsulfonyl)amino)-2-oxo-2,3,4,5-tetrahydro-1H-1-benzazepin-1-yl)acetate:

[208]

To a solution of the compound of Part 2 of Example 4 (40 mg, 0. 16 mmol) and DIEA (0.092 mL, 0.5 mmol) in CH2Cl2(2 mL) at −78° C., was added methanesulfonyl chloride (0.025 mL, 0.32 mmol). The mixture was stirred at −78° C. for four hours and evaporated in vacuo. The residue was dissolved in EtOAc and washed with H2O, sat. NaHCO3, sat. NaCl, dried over Na2SO4and evaporated to give the title compound (100% yield). ES-MS (M+H)+=327.2.

[209]

Part 2 Preparation of 2-(3-((methylsulfonyl)amnino)-2-oxo-2,3,4,5-tetrahydro-1H-1-benzazepin-1-yl)acetic acid:

[210]

A solution of the compound of Part 1 (35 mg, 0.1 mmol) in EtOH (2 mL) was treated with 2 N LiOH (0.2 mL, 0.4 mmol). The mixture was stirred at room temperature overnight. The organic solvent was evaporated in vacuo. The aqueous layer was acidified to pH 2-3 with 1N aq HCl, extracted with EtOAc and the organic layer was dried over Na2SO4and evaporated to give the title compound. ES-MS (M+H)+=313.0.

[211]

Part 3 Preparation of Nl-((1R)-4-((imino(((4-methylphenyl)sulfonyl)amino)methyl) amino)-1-(1,3-thiazol-2-ylcarbonyl)butyl)-2-(3-((methylsulfonyl)amino)-2-oxo-2,3,4,5-tetrahydro-1H-1-benzazepin-1-yl)cetamide:

[212]

The compound of Part 2 (0.16 mmol) was dissolved in DMF (2 mL) and cooled to 0° C. The solution was neutralized with DIEA followed by addition of the compound of Example 3 (76 mg, 0.192 mmol) and coupling reagent HBTU (73 mg, 0.192 mmol). The solution was stirred at room temperature for two days. The reaction mixture was diluted in a mixture of EtOAc/H2O. The organic layer was washed with sat. NaHCO3, sat. NaCl, dried over Na2SO4, and solvent evaporated to give the title compound. ES-MS (M+H)+=690.0.

[213]

Part 4 Preparation of N1-((1R)4-((amnino(imino)methyl)amino)-1-(1,3-thiazol-2-ylcarbonyl)butyl)-2-(3-((methylsulfonyl)amino)-2-oxo-2,3,4,5-tetrahydro-1H-1-benzazepin-1-yl)acetamide (Compound IV(7)):

[214]

The compound of Part 3, anisole (1 mL) and ethyl methyl sulfide (two drops) were placed in HF-cleavage vessel and cooled under liquid N2. HF (10 mL) was then condensed and the mixture was stirred at −10° C. for half hour and 0° C. for half hour. HF was removed under vacuum to give a gum-like residue. The residue was triturated with 50% Et2O in hexane (20 mL) and the solvent removed by filtration. The gum residue was dissolved in 0.1% aq. TFA (15 mL) and filtered through the above sintered funnel. The filtrate was lyophilized to give a powder which was purified by RP-HPLC to give the title compound as a white powder. ES-MS (M+H)+=536.1.

EXAMPLE 6

[215]

Part 1 Preparation of 9H-9-fluorenylmethyl N-1-(2-(((1R)4((imino(((4-methylphenyl)sulfonyl)amino)methyl)amino)-1-(1,3-thazol-2-ylcarbonylbutyl)amino)-2-oxoethyl)-2-oxo-2,3,4,5-tetrahydro-1H-1-benzazepin-3-yl)carbamate:

[216]

(R,S)Fmoc-3-amino-N-1-carboxymethyl-2,3,4,5-tetra-H1-H1-benzazepine-2-one from Neosystem Laboratorie (117 mg, 0.257 mmol) was dissolved in DMF (1.5 mL) and cooled to 0° C. The solution was neutralized with DIEA followed by addition of the compound of Example 3 (112 mg, 0.283 mmol) and coupling reagent HBTU (107 mg, 0.283 mmol). The solution was stirred overnight at room temperature. The reaction mixture was diluted in a mixture of EtOAc/H2O. The organic layer was washed with sat. NaHCO3, sat. NaCl, dried over Na2SO4, filtered and solvent evaporated to give the title compound (89% yield). ES-MS (M+H)+=834A.

[217]

Part 2 Preparation of N1-((1R)4((imino(((4-methylphenyl)sulfonyl)amino)methyl)amino)-1-(1,3-thiazol-2-ylcarbonyl)butyl)-2-(3-amino-2-oxo-2,3,4,5-tetrahydro-1H-1-benzazepin-1-yl)acetamide:

[218]

A solution of the compound of Part 1 (180 mg, 0.216 mmol) in DMF (2 mL) was treated with piperidine (0.5 mL, 5 mmol) to make a final solution of 20% piperidine/DMF and stirred at room temperature overnight. The reaction mixture was evaporated in vacuo then acidified with 10% HCl and extracted with CH2C1-2. The aqueous layer was then neutralized with sat. NaHCO3and extracted with EtOAc, dried over Na2SO4and evaporated in vacuo to give title compound (100% yield). ES-MS (M+F)+=612.3.

[219]

Part 3 Preparation of N1-((1R)4((amino(imino)methyl)amino)-1-(1,3-thiazol-2-ylcarbonyl)butyl)-2-3-amino-2-oxo-2,3,4,5-tetrahydro-1 H-1-benzazepin-1-yl)acetamide (Compound IV(20)):

[220]

The compound of Part 2, anisole (1 mL) and ethyl methyl sulfide (two drops) were placed in HF-cleavage vessel and cooled under liquid N2. HF (10 mL) was then condensed and the mixture was stirred at −10° C. for half hour and 0° C. for half hour. HF was removed under vacuum to give a gum-like residue. The residue was triturated with 50% Et2O in hexane (20 mL) and the solvent removed by filtration. The gum residue was dissolved in 0.1% aq. TFA (15 mL) and filtered through the above sintered funnel. The filtrate was lyophilized to give a powder which was purified by RP-HPLC to give the title compound as a white powder. ES-MS (M+H)+=458.1.

EXAMPLE 7

[221]

Part 1 Preparation of methyl 2-(2-oxo-3-((2-phenylacetyl)aniino)-2,3,4,5-tetrahydro-1H-1-benzazepin-1-yl)acetate:

[222]

To a solution of the compound of Part 2 of Example 4 (45 mg, 0.18 mmol) and DIEA (0.092 mL, 0.5 mmol) in DMF (2 mL) at −78° C., was slowly added diluted phenyl acetyl chloride (0. 15 mL, 0.738 mmol in 0.5 mL DMF). The mixture was stirred at −78° C. for 1 hour and at 0° C. for 3 hours. The reaction mixture was diluted in a mixture of EtOAc/H2O. The organic layer was washed with sat NaHCO3, sat. NaCl, dried over Na2SO4, and solvent evaporated to give the title compound (100% yield). ES-MS (M+H)+=367.1.

[223]

Part 2 Preparation of 2-(2oxo-3-(2-phenylacetyl)amino)-2,3,4,5-tetrahydro-1H-1-benzazepin-1-yl)acetic acid:

[224]

A solution of the compound of Part 1 (98 mg, 0.18 mmol) in THF (1 mL) was treated with 2 N LiOH (0.36 ml, 0.72 mmol). The mixture was stirred at room temperature overnight. The organic solvent was evaporated in vacuo. The aqueous layer was acidified to pH 2-3 with 1N aq HCl and extracted with EtOAc. The organic layer was dried over Na2SO4and evaporated to give the title compound (95% yield). ES-MS (M+H)+=353.0.

[225]

Part 3 Preparation of N1-((1R)4-((imino(((4methylphenyl)sulfonyl)amino)methyl) amino)-1-(1,3-thiazol-2-ylcarbonyl)butyl)2-(2-oxo-3-((2-phenylacetyl)amino)-2,3,4,5-tetrahydro-1 H-1-benzazepin-1-yl)acetamnide:

[226]

The compound of Part 2 (0.17 mmol) was dissolved in DMF (2 mL) and cooled to 0° C. The solution was neutralized with DIEA followed by addition of the compound of Example 3 (79 mg, 0.2 mmol) and coupling reagent HBTU (76 mg, 0.2 mmol). The solution was stirred at room temperature overnight. The reaction mixture was diluted in a mixture of EtOAc/H2O. The organic layer was washed with sat. NaHCO3, sat. NaCl, dried over Na2SO4, and solvent evaporated to give the title compound (75% yield). ES-MS (M+H)+=730.1.

[227]

Part 4 Preparation of N1-((1R)-4-((amino(imino)methyl)amino)-1-(1,3-thiazol-2-ylcarbonyl)butyl)-2-(2-oxo-3-((2-phenylacetyl)arnino)-2,3,4,5-tetrahydro-1H-1-benzazepin-1-yl)acetamide (Compound IV(4)):

[228]

The compound of Part 3 (93 mg, 0.13 mmol), anisole (1 mL) and ethyl methyl sulfide (two drops) were placed in HF-cleavage vessel and cooled under liquid N2. HF (10 mL) was then condensed and the mixture was stirred at −10° C. for half hour and 0° C. for half hour. HF was removed under vacuum to give a gum-like residue. The residue was triturated with 50% Et2O in hexane (20 mL) and the solvent removed by filtration. The gum residue was dissolved in 0.1% aq. TEA (15 mL) and filtered through the above sintered funnel. The filtrate was lyophilized to give a powder which was purified by RP-HPLC to give the title compound as a white powder. ES-MS (M+H)+=576.0.

EXAMPLE 8

[229]

Part 1 Preparation of methyl 2-(3-(acetylamino)-2-oxo-2,3,4,5-tetrahydro-1H-1-benzazepin-1-yl)acetate:

[230]

To a solution of the compound of Part 2 of Example 4 (45 mg, 0.18 mmol) and DIEA (0.092 mL, 0.5 mmol) in DMF (2 mL) at −78° C., was slowly added diluted acetyl chloride (0.051 mL, 0.72 mmol in 0.5 mL DMF). The mixture was stirred at −78° C. for 1 hour and at 0° C. for 3 hours. The reaction mixture was diluted in a mixture of EtOAc/H2O. The organic layer was washed with sat. NaHCO3, sat. NaCl, dried over Na2SO4, and solvent evaporated to give the title compound (94% yield). ES-MS (M+H)+=291.0.

[231]

Part 2 Preparation of 2-(3-acetylamino)-2-oxo-2,3,4,5-tetrahydro-1H-1-benzazepin-1-yl)acetic acid:

[232]

A solution of the compound of Part 1 (49 mg, 0.17 mmol) in THF (1 mL) was treated with 2 N LiOH (0.34 ml, 0.68 mmol). The mixture was stirred at room temperature overnight. The organic solvent was evaporated in vacuo. The aqueous layer was acidified to pH 2-3 with 1N aq HCl, extracted with EtOAc and the organic layer was dried over Na2SO4and evaporated to give the title compound (95% yield). ES-MS (M+H)+=276.9.

[233]

Part 3 Preparation of N1-(1R)-4-((imino(((4-methylphenyl)sulfonyl)amino)methyl)amino)-1-(1,3-thiazol-2-ylcarbonyl)butyl)-2-(3-(acetylamino)-2-oxo-2,3,4,5-etrahydro-1 H-1-benzazepin-1-yl)acetamide:

[234]

The compound of Part 2 (45 mg, 0.16 mmol) was dissolved in DMF (2 mL) and cooled to 0° C. The solution was neutralized with DIEA followed by addition of the compound of Example 3 (75 mg, 0.19 mmol) and coupling reagent HBTU (72 mg, 0.19 mmol). The solution was stirred at room temperature overnight. The reaction mixture was diluted in a mixture of EtOAc/H2O. The organic layer was washed with sat. NaHCO3, sat. NaCl, dried over Na2SO4, and solvent evaporated to give the title compound (67% yield). ES-MS (M+H)+=654.1.

[235]

Part 4 Preparation of N1-((1R)-4-((amino(imino)methyl)amino)-1-(1,3-thiazol-2-ylcarbonyl)butyl)-2-(3-(acetylamino)-2-oxo-2,3,4,5-tetrahydro-H-1-benzazepin-1-yl)acetamide (Compound IV(15)):

[236]

The compound of Part 3 (70 mg, 0.1 mmol), anisole (1 mL) and ethyl methyl sulfide (two drops) were placed in HF-cleavage vessel and cooled under liquid N2. HF (10 mL) was then condensed and the mixture was stirred at −10° C. for half hour and 0° C. for half hour. HF was removed under vacuum to give a gum-like residue. The residue was triturated with 50% Et2O in hexane (20 mL) and the solvent removed by filtration. The gum residue was dissolved in 0.1% aq. TFA (15 mL) and filtered through the above sintered funnel. The filtrate was lyophilized to give a powder which was purified by RP-HPLC to give the title compound as a white powder (60% yield). ES-MS (M+H)+=500.1.

EXAMPLE 9

[237]

Part 1 Preparation of tert-butyl ((tert-butoxycarbonyl)(4-cyanobenzyl)amino) methanoate:

[238]

To a stirred suspension of sodium hydride (2.2 g, 56 mmol; 60% dispension in mineral oil) in THF (100 mL) was added 2-bromo-p-tolunitrile (10 g, 51 mmol). To this mixture was slowly added a solution of di-t-butyl iminodicarboxylate (12.2 g, 56 mmol). After stirring for 20 hrs, the reaction mixture was diluted with a mixture of EtOAc (300 mL) and water (150 mL). The organic phase was dried over Na2SO4, and solvent evaporated to give the title compound as a solid (100% yield).

[239]

Part 2 Preparation of tert-butyl((tert-butoxycarbonyl)(4-((hydroxyamino)(imino) methyl)benzyl)aamino)methanoate:

[240]

A solution of the compound of Part 1 (6.21 g, 18.7 mmol), hydroxylamine hydrochloride (1.82g, 26.2 mmol), DIEA (5.25 mL, 30.1 mmol) in absolute ethanol (100 mL) was heated up to 50-60° C. and stirred for 3 hrs. The solution was cooled with stirring to 25° C. and a white precipitate was formed and collected by filtration to give the title compound (96% yield). ES-MS (M+H)+=366.2.

[241]

Part 3 Preparation of tert-butyl((4-(amino(imino)methyl)benzyl)(tert-butoxycarbonyl) amino)methanoate:

[242]

A solution of the compound of Part 2 (4.55 g, 12.5 mmol) in absolute ethanol (200 mL) containing 1% TFA was treated with 5% Pd/C (0.9 g, 20% by weight). The mixture was hydrogenated at 48 psi for 24 hrs. The mixture was filtered through Celite to remove A the catalyst and the filtrate was evaporated under reduced pressure to give the title compound as a white solid (100% yield). ES-MS (M+H)+=350.1.

[243]

Part 4 Preparation of tert-butyl((4-((((benzyloxy)carbonyl)amino)(imino)methyl) benzyl)(tert-butoxycarbonyl)amino)methanoate:

[244]

To a solution of the compound of Part 3 (3.1 g, 8.88 mmol) and TEA (2.48 mL, 17.76 mmol) in DMF (40 mL) was added N-(benzyloxycarbonyloxy)succinimide (2.43g, 9.77 mmol). The mixture was stirred at room temperature overnight. The reaction mixture was diluted in a mixture of EtOAc/H2O. The organic layer was further washed with H20, sat. NaCl, dried over Na2SO4, and solvent evaporated to give the title compound (93% yield). ES-MS (M+H)+=484.1.

[245]

Part 5 Preparation of benzyl N-((4-(((2-3-((benzylsulfonyl)amino)-2-oxo-2,3,4,5-tetrahydro-1H-1-benzazepin-1-yl)acetyl)amino)methyl)phenyl)(imino)methyl) carbamate:

[246]

The compound of Part 4 (150 mg, 0.31 mmol) was treated with 4M HCl/dioxane (5 mL). The mixture was stirred at room temperature for 30 minutes then solvent evaporated to give a white solid which was then dissolved in DMF (2 mL), neutralized with DIEA and cooled to 0C. To the cooled solution mixture were added the compound of Example 4 Part 4 (89.5 mg, 0.23 mmol) and coupling reagent HBTU (105 mg, 0.276 mmol). The solution was stirred at room temperature overnight. The reaction mixture was diluted in a is mixture of EtOAc/H2O. The organic layer was washed with H2O, sat. NaHCO3, sat. NaCl, dried over Na2SO4, and solvent evaporated to give the title compound (72% yield). ES-MS (M+H)+=654.1.

[247]

Part 6 Preparation of N 1-(4-(amino(imino)methyl)benzyl)-2-(3-((benzylsulfonyl) amino)-2-oxo-2,3,4,5-tetrahydro-1H-1-benzazepin-1-yl)acetamide (Compound X(1)):

[248]

A solution of the compound of Part 5 (108 mg, 0.165 mmol) in absolute ethanol (2 mL) was treated with TFA (catalytic amount) and 10% Pd/C (catalytic amount). The mixture was hydrogenated at 1 atm at room temperature overnight then filtered through Celite to remove the catalyst. The filtrate was evaporated under reduced pressure to give the title compound as a white solid (100% yield). ES-MS (M+H)+=520.0.

EXAMPLE 10

[249]

Part 1 Preparation of tert-butyl ((tert-butoxycarbonyl)(3-cyanobenzyl)amino) methanoate:

[250]

To a stirred suspension of sodium hydride (2.2 g, 56 mmol; 60% dispension in mineral oil) in THF (100 mL) was added 2-bromo-m-tolunitrile (10 g, 51 mmol). To this mixture was slowly added a solution of di-t-butyl iminodicarboxylate (12.2 g, 56 mmol). After stirring for 20 hrs, the reaction mixture was diluted with a mixture of EtOAc (300 mL) and water (150 mL). The organic phase was dried over Na2SO4, and solvent evaporated to give the title compound as a solid (100% yield).

[251]

Part 2 Preparation of tert-butyl((tert-butoxycarbonyl)(3-((hydroxyamino)(imino) methyl)benzyl)amino)methanoate:

[252]

A solution of the compound of Part 1 (8.13 g, 24.5 mmol), hydroxylamine hydrochloride (2.34 g, 33.7 mmol), DIEA (6.85 mL, 39.3 mmol) in absolute ethanol (100 mL) was heated up to 59° C. and stirred for 3 hrs. The solution was cooled with stirring to 25° C., and solvent evaporated. The mixture was diluted in EtOAc/H2O, the organic phase was dried over Na2SO4, and solvent evaporated to give the title compound (80% yield). ES-MS (M+H)+=366.0.

[253]

Part 3 Preparation of tert-butyl((3-(amino(imino)methyl)benzyl)(tert-butoxycarbonyl) amino)methanoate:

[254]

A solution of the compound of Part 2 (6.91 g, 18.9 mmol) in absolute ethanol (200 mL) containing 1% TFA was treated with 5% Pd/C (1.38 g, 20% by weight). The mixture was hydrogenated at 48 psi to completion, monitoring by TLC. The mixture was filtered through Celite to remove the catalyst and the filtrate was evaporated under reduced pressure to give the title compound as a white solid (100% yield). ES-MS (M+H)+=350.2.

[255]

Part 4 Preparation of tert-butyl((3-((((benzyloxy)carbonyl)amino)(imino)methyl) benzyl)(tert-butoxycarbonyl)amino)methanoate:

[256]

To a solution of the compound of Part 3 (6.35 g, 18.2 mmol) and TEA (5.1 mL, 36.4 mmol) in DMF (50 mL) was added N-(benzyloxycarbonyloxy)succinimide (5 g, 20 mmol). The mixture was stirred at room temperature overnight. The reaction mixture was diluted in a mixture of EtOAc/H2O. The organic layer was further washed with H2O, sat. NaHCO3, sat. NaCl, dried over Na2SO4, and solvent evaporated to give the title compound (99% yield). ES-MS (M+H)+=484.1.

[257]

Part 5 Preparation of benzyl N-((3-(((2-(3-((benzylsulfonyl)amino)-2-oxo-2,3,4,5-tetrahydro-1H-1-benzazepin-1-yl)acetyl)amino)methyl)phenyl)(imino)methyl) carbamate:

[258]

The compound of Part 4 (150 mg, 0.31 mmol) was treated with 4M HCl/dioxane (5 mL). The mixture was stirred at room temperature for 30 minutes then evaporated to give a white solid which was then dissolved in DMF (2mL), neutralized with DIEA and cooled to 0C. To the cooled solution mixture were added the compound of Example 4 Part 4 (89.5 mg, 0.23 mmol) and coupling reagent HBTU (105 mg, 0.276 mmol). The solution was stirred at room temperature overnight. The reaction mixture was diluted in a mixture of EtOAc/H2O. The organic layer was washed with H2O, sat. NaHCO3, sat. NaCl, dried over Na2SO4, and solvent evaporated to give the title compound (91% yield). ES-MS (M+H)+=654.0.

[259]

Part 6 Preparation of N1-(3-(amino(imino)methyl)benzyl)-2-(3-((benzylsulfonyl) amino)-2-oxo-2,3,4,5-tetrahydro-1H-1-benzazepin-1-yl)acetamide (Compound X(2)):

[260]

A solution of the compound of Part 5 (137 mg, 0.21 mmol) in absolute ethanol (2 mL) was treated with TFA (catalytic amount) and 10% Pd/C (catalytic amount). The mixture was hydrogenated at 1 atm at room temperature overnight then filtered through Celite to remove the catalyst The filtrate was evaporated under reduced pressure to give the title compound as a white solid (100% yield). ES-MS (M+H)+=520.0.

EXAMPLE 11

(Determination of IC50)

[261]

The compounds of the present invention are first dissolved in a buffer to give solutions containing concentrations such that assay concentrations range from 0-100 μM.

[262]

In assays for thrombin, prothrombinase and factor Xa, a synthetic chromogenic substrate would be added to a solution containing a test compound and the enzyme of interest and the residual catalytic activity of that enzyme would then be determined spectrophotometrically.

[263]

The IC50of a compound is determined from the substrate turnover. The IC50is the concentration of test compound giving 50% inhibition of the substrate turnover. Preferred compounds of the invention desirably have an IC50of less than 500 nM in the factor Xa assay, preferably less than 200 nM, and more preferably less than 100 nM. Preferred compounds of the invention desirably have an IC50of less than 4.0 μM in the prothrombinase assay, preferably less than 200 nM, and more preferably less than 10 nM. Preferred compounds of the invention desirably have an IC50of greater than 1.0 μM in the thrombin assay, preferably greater than 10.0 μM, and more preferably greater than 100.0 μM.

Amnidolytic Assays for Determining Protease Inhibition Activity

[264]

Factor Xa and thrombin assays are performed at room temperature, in 0.02 M Tris HCl buffer, pH 7.5, containing 0.15 M NaCl. The rates of hydrolysis of the paranitroanilide substrate S-2765 (Chromogenix) for factor Xa, and the substrate Chromozym TH (Boehringer Mannheim) for thrombin following preincubation of the enzyme with the test compound for 5 minutes at room temperature are determined using a Softmax 96-well plate reader (Molecular Devices), monitored at 405 nm to measure the time dependent appearance of p-nitroanilide.

[265]

The prothrombinase inhibition assay is performed in a plasma free system with modifications to the method as described by Sinha, et al., Thromb. Res., 75:427436 (1994). The activity of the prothrombinase complex is determined by measuring the time course of thrombin generation using the p-nitroanilide substrate Chromozym TH. The assay consists of a 5 minute preincubation of selected compounds to be tested as inhibitors with the complex formed from factor Xa (0.5 nM), factor Va (2 nM), phosphatidyl serine:phosphatidyl choline (25:75, 20 μM) in 20 mM Tris HCl buffer, pH 7.5, containing 0.15 M NaCl, 5 mM CaCl2and 0.1% bovine serum albumin. Aliquots from the complex-test compound mixture are added to prothrombin (1 nM) and Chromozym TH (0.1 mM). The rate of substrate cleavage is monitored at 405 nm for two minutes. Several concentrations of a given test compound are assayed in duplicate. A standard curve of thrombin generation by an equivalent amount of untreated complex is then used for determination of percent inhibition.

[266]

The compounds of the invention exhibited inhibitory activity in the Factor Xa assay described above. The preferred compounds of the invention have IC50values less than 100 nM.

EXAMPLE 12

[267]

The antithrombotic efficacy of the compounds of this invention can readily be evaluated using a series of studies in rabbits, as described below. These studies are also useful in evaluating a compounds effects on hemostasis and its the hematological parameters.

Antithrombotic Efficacy in a Rabbit Model of Venous Thrombosis

[268]

A rabbit deep vein thrombosis model as described by Hollenbach, et al., Thromb. Haemost. 71:357-362 (1994), is used to determine the in vivo antithrombotic activity of the compounds of the present invention. Rabbits are anesthetized with LM. injections of Ketamine, Xylazine, and Acepromazine cocktail.

[269]

A standardized protocol consists of insertion of a thrombogenic cotton thread and copper wire apparatus into the abdominal vena cava of the anesthetized rabbit. A non-occlusive thrombus is allowed to develop in the central venous circulation and inhibition of thrombus growth is then used as a measure of the antithrombotic activity of the compound being evaluated. Test agents or control saline are administered through a marginal ear vein catheter. A femoral vein catheter is used for blood sampling prior to and during steady state infusion of the compound being evaluated. Initiation of thrombus formation will begin immediately after advancement of the cotton thread apparatus into the central venous circulation. The compounds being evaluated are administered from time=30 minutes to time=150 minutes at which point the experiment is terminated. The rabbits are euthanized and the thrombus excised by surgical dissection and characterized by weight and histology. Blood samples are then analyzed for changes in hematological and coagulation parameters.

[270]

Although the invention has been described with reference to the disclosed embodiments, those skilled in the art will readily appreciate that the specific experiments detailed are only illustrative of the invention. It should be understood that various modifications can be made without departing from the spirit of the invention. Accordingly, the invention is limited only by the following claims.

Как компенсировать расходы
на инновационную разработку
Похожие патенты