Устройство для измерения объема аккомодации, содержащее диафрагму и тест-объект, отличающееся тем, что, с целью повышения точности измерения, диафрагма выполнена в виде решетки с периодом, равным 2/5 зрачка глаза.
Пикулева Н.М. О некоторых новых методах исследования функций зрительного анализатора. - Материалы IV съезда офтальмологов СССР. Т. 1, М., с. 35-37.
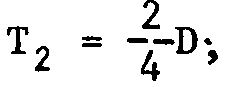
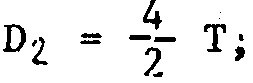
Изобретение относится к медицине, а именно к офтальмологии и может быть использовано при исследовании аккомодации глаза с диагностической целью. Целью изобретения является повышение точности измерения. На фиг. 1 изображена диафрагма; на фиг. 2 - решетка с периодом Т и различными величинами горизонтального диаметра зрачка: Устройство содержит тест-объект (не показан) и диафрагму, которая выполнена в виде диска 1 диаметром 38 мм из непрозрачного материала (пластмассы) черного цвета. В центре диска имеется воронкообразное углубление 2 с донышком 3 диаметром не менее 12 мм. Донышко представляет собой решетку с параллельными щелями и перемычками одинаковой ширины. Исследование осуществляют следующим образом. Измеряют диаметр зрачка исследуемого глаза. Одевают пробную очковую оправу (не показано). В линзодержатель перед исследуемым глазом вставляют диафрагму с Соответствующим периодом решетки, обращенную донышком к глазу. При этом щели должны располагаться вертикально. Второй глаз закрывается матовым стеклом или 50%-ным фильтром. Рассматривая глаз сквозь решетку, фиксируют устройство так, чтобы зрачок исследуемого глаза был в центре. Приставляют к краю орбиты проксиметр, на штанге которого находится тест-объект -вертикальная линия на светлом фоне. Исследование начинают с перемещения тест-объекта с дальнего конца штанги в направлении к исследуемому глазу со скоростью 1 см/с до того момента, когда линия начинает раздваиваться. В этот момент отмечают расстояние тест-объекта до исследуемого глаза. Затем тест-объект отодвигают от глаза до того момента, когда двоение вертикальной линии исчезает. Вторично отмечают расстояние между тест-объектом и глазом. Среднее из двух отсчетов соответствует искомому положению ближайшей точки ясного зрения. Для большей точности исследование повторяют 3 раза и вычисляют среднее арифметическое. Объем аккомодации вычисляют по формуле Дондерса где Р - отстояние ближайшей точки ясного зрения, м; R - величина клинической рефракции глаза, диоптрии (при гиперметропии со знаком "-", при миопии со знаком "+". Теоретические предпосылки использования предлагаемого устройства для исследования аккомодации глаза заключаются в том, что зрачок исследуемого глаза хорошо просматривается через решетку, что позволяет правильно ее центрировать. Кроме того, при случайном или намеренном смещении решетки до 4 мм, функция ее не исчезает, так как в любом случае зрачок перекрыт двумя или тремя щелями, и, если тест-объект находится не в области ясного зрения, то двойные изображения тест-объекта переходят в тройные, затем снова в двойные и т.д. При перемещении тест-объекта в область ясного зрения всегда будет одиночное изображение тест-объекта даже при смещении решетки. Смещение ее. по горизонтали на 3-4 мм является контрольной пробой, показывающей, где находится тест-объект: в области ясного зрения или вне ее. Таким образом исключаются грубые ошибки при определении ближайшей точки ясного зрения. Кроме того, важное преимущество решетки заключается в том, что освещенность сетчатки исследуемого глаза в 5 раз выше, чем при использовании известного устройства, а поле зрения расширяется до 80-90°. Все это позволяет точно и полно исследовать объем аккомодации глаза. Что касается двоения при исследовании с помощью предлагаемого устройства, то оно лучше воспринимается пациентом, так как изображения тест-объекта получаются гораздо ярче, чем те, которые получаются с помощью диафрагмы Шейнера. Оптимальный период решетки определен графически и экспериментально. Из фиг. 2 видно, что поперечное смещение решетки на величину Различные комбинации количества и ширины щелей при различных диаметрах зрачка и различном расположении решетки относительно зрачка приведены в табл. 1. Из фиг. 2 и табл. 1 очевидно, что при диаметре зрачка D1 появление одиночной щели дает одиночное изображение тест-объекта и мнимую ближайшую точку ясного зрения. При D2 может быть положение с 1 полной щелью и 2 неполными щелями. Последние дают слабые изображения тест-объекта, которые могут быть не замечены пациентом, что приведет к результату, аналогичному D1. При D3 область зрачка перекрывается 2 или 3 щелями, вследствие чего пациент может видеть два или три ярких изображения. При проекции на область зрачка 2 полных и 1 неполной щели третье изображение менее ярко, но в любом случае при нахождении тест-объекта вне области ясного зрения имеются не менее 2 ярких изображений. При D4 на область зрачка проецируются 3 полных щели либо 2 полных и 2 неполных. Следовательно, пациент видит 2 или 3 ярких изображения, но их яркость и угол разрешения меньше, чем при D3, так как при D4 щели уже, чем при D3. При D5 недостатки такие же, как и при D4. Следовательно, наиболее благоприятное деление зрачка решеткой при ширине его D3, т.е. при ширине, которая в 2,5 раза больше периода решетки. При проведении исследований изготовлены решетки с периодами: 2,0, 1,5 и 1,0 мм. Испытания этих решеток произведены на 5 пациентах. Предварительно измеряли диаметр зрачка. Подбирали лиц с диаметрами зрачка от 3,0 до 4,0 мм. Решетку устанавливали в пробную очковую оправу так, чтобы щели располагались вертикально В зависимости от диаметра зрачка пациенту ставилась соответствующая решетка. Комбинации различных диаметров зрачка и различных решеток давали следующие величины периодов: Количество и яркость изображений тест-объекта по ответам испытуемых при различных величинах периода решетки приведены в табл. 2. Из табл. 2, а также из предшествующих рассуждений следует, что период решетки, равный 2/5 диаметра зрачка, является оптимальным. Практически ширина зрачков у детей бывает около 4 мм, у взрослых - около 3 мм.. Поэтому целесообразно иметь два устройства с периодом решетки 1,6 и 1,2 мм. Пример. Больная Я., 19 лет. Диагноз - миомия слабой степени обоих глаз. Острота зрения правого глаза 0,17 с корр. сф. - 2,0, дптр=1,2; острота зрения левого глаза 0,17 с корр. сф. - 2,0, дптр=1,2. Рефракция обоих глаз после трехдневной атропинизации - миомия в 2,0 дптр. Глазное дно обоих глаз в норме. Исследование объема абсолютной аккомодации проведено в фотопических условиях через 3 недели после окончания атропинизации при естественном состоянии зрачков. Диаметр зрачка на каждом глазу около 4 мм. Испытуемой одели пробную очковую оправу. Левый глаз закрыли матовым стеклом. В линзодержатель перед правым глазом вставили предлагаемое устройство с периодом решетки равным - 1,5 мм, обращенное донышком к.глазу, таким образом, чтобы щели располагались вертикально и зрачок был в центре решетки. Испытуемая приставила к краю орбиты проксиметр, на штанге которого находился тест-объект - вертикальная линия на светлом фоне. Тест-объект начали приближать с дальнего конца штанги в направлении к глазу со скоростью 1 см/с. Испытуемая отметила момент раздвоения нити на расстоянии 8 см от глаза. Затем отодвинули тест-объект, испытуемая отметила момент исчезновения диплопии на расстоянии 9 см от глаза. Определили положение ближайшей точки ясного зрения Р1=8,5 см. Проведено еще два таких исследования на правом глазу. При втором исследовании Р2=8,1 см; при третьем исследовании Р3=8,3 см. Средняя величина из трех измерений Р 8,3 см. Вычислили объем аккомодации по формуле Дондерса А=10,05 дптр. Аналогичным образом произвели три исследования ближайшей точки ясного зрения на левом глазу. Средняя величина из трех измерений Р=8,47 мм. Вычислили объем аккомодации А=9,81 дптр. Проведена сравнительная оценка двух способов измерения объема аккомодации, с помощью предлагаемого устройства и с помощью известного, на 22 здоровых лицах (44 глаза) с эмметропией или слабой аметропией в возрасте от 5 до 16 лет. Исследование проводилось в фотопических условиях на каждом глазу по три раза с определением среднего значения. Объем аккомодации вычисляли по формуле Дондерса. Результаты измерений показали, что объем аккомодации при исследовании с помощью предлагаемого устройства больше, чем при исследовании с помощью диафрагмы Шейнера. Сравнение двух способов измерения в указанной группе было проведено двумя путями: путем сравнения средних значений объема аккомодации и путем сравнения дисперсий для выявления степени точности измерений. Средняя величина объема аккомодации при исследовании с помощью известного устройства 9,6 дптр (δ=2,43), при исследовании с помощью предлагаемого устройства - 10,8 дптр (δ=1,69). Сравнение средних значений показало, что они достоверно отличаются одно от другого (t=2,73, Р<0,001). Сравнение дисперсий с помощью критерия Фишера (F=2,09, Р<0,05) свидетельствует о том, что исследование объема аккомодации с помощью предлагаемого устройства является более точным, чем исследование с помощью. диафрагмы Шейнера. С целью проверки повторяемости результатов исследования проведено 30 измерений на каждом глазу у одного испытуемого двумя способами. Средние величины объема аккомодации, полученные на обоих глазах одного испытуемого двумя способами - с помощью предлагаемого устройства и диафрагмы Шейнера, приведены в табл. 3. Из табл. 3 следует, что при исследовании с помощью предлагаемого устройства объем аккомодации на обоих глазах больше, чем при исследовании с помощью известного устройства. Сравнение средних значений объема аккомодации на каждом глазу, полученных обоими способами, показывает, что различие между ними является существенным (для правого глаза t=5,26, Р<0,001; для левого - глаза t=14,08, Р<0,001). Сравнение дисперсий с помощью критерия Фишера (для правого глаза F=10,46, Р<0,001; для левого глаза F=9,27, Р<0,001) свидетельствует о большей точности измерения объема аккомодации с помощью предлагаемого устройства, чем с помощью диафрагмы Шейнера. Это подтверждается также тем, что средние величины объема аккомодации на обоих глазах с одинаковой остротой зрения и рефракцией, определенные с помощью предлагаемого устройства, примерно равны (10,02 и 9,85 дптр), в то время как при исследовании с помощью диафрагмы Шейнера они различаются (8,65 и 6,61, различие достоверно: t=6,18, Р<0,001). Таким образом, при исследовании с помощью предлагаемого устройства более полно выявляется объем аккомодации. Это объясняется тем, что решетка создает условия, более близкие к естественным (большая освещенность зрачка, более широкое поле зрения).
или или
открывает различное количество щелей в зрачке с различной их шириной. К испытуемому глазу приближали тест-объект - вертикальную нить (проволоку толщиной 0,05 мм) на светлом фоне яркостью 100 кд/м2 до получения двойных изображений. Спрашивали, сколько изображений нити видит испытуемый при небольшом поперечном сдвиге решетки.