1.
Соединение формулы I 2. Соединение по п.1, в котором R1 и R2 каждый независимо выбирают из водорода, галогена или С1-4алкила; R3 и R4
каждый независимо выбирают из водорода, галогена или C1-4алкила; R5 является водородом, гидрокси, галогеном или амино; R6 является радикалом формулы (b-1) или (b-2),
где R16 является водородом или С1-4алкилом и R17 является С1-4алкилом; R7 является водородом или С1-4алкилом, если пунктирная линия не
является связью; R8 является водородом; С1-4алкилом или Het1CH2, и R9 является водородом. 3. Соединение по любому из пп.1 - 3 в
котором Х является кислородом, R1 представляет 3-хлор, R2 является водородом, R3 представляет 4-хлор, R4 является водородом, R5 является
водородом, С1-2алкилом, галогеном или амино; R6 является радикалом формулы (b-1) или (b-2), где R16 является водородом и R17 является С1-2алкилом;
и R7 является водородом или C1-2алкилом, если пунктирная линия не является связью; R8 является водородом; C1-2алкилом или Het1CH2; и
R9 является водородом. 4. Соединение по п.1, представляющее собой: 5. Фармацевтическая композиция, включающая фармацевтически приемлемый носитель и, в качестве активного ингредиента, терапевтически эффективное количество
соединения по любому из пп.1 - 4. 6. Способ получения фармацевтической композиции по п.5, в котором терапевтически активное количество соединения по любому из пп.1 - 4 тщательно
смешивают с фармацевтически приемлемым носителем. 7. Соединение формулы IX 8. Соединение по любому из пп.1 - 4 полезное в качестве лекарственного средства. 9. Способ получения соединения формулы I в котором 10. Способ получения соединения формулы XI по п.7, в котором промежуточное соединение формулы X циклизуют в присутствии аммониевой соли и подходящего основания;
его фармацевтически приемлемым кислотно-аддитивным солям и
стереохимическим изомерным формы, где пунктирная линия является необязательной связью; Х является кислородом или серой; R1 и R2 каждый независимо является водородом, гидрокси,
галогеном, циано, C1-6алкилом, тригалометилом, тригалометокси, С2-6алкенилом, C1-6алкилокси, гидроксиС1-6алкилокси, C1-6алкилокси, C1-6
алкилокси, C1-6алкилоксикарбонилом, аминоС1-6алкилокси, моно- или ди(C1-6алкил)аминоС1-6алкилокси, Аr1, Аr1C1-6алкилом,
Аr1окси или Аr1С1-6алкилокси; R3 и R4 каждый независимо является водородом, галогеном, циано, C1-6алкилом, С1-6алкилокси,
Аr1окси, C1-6алкилтио, ди(C1-6алкил)амино, тригалометилом или тригалометокси; R5 является водородом, галогеном, C1-6алкилом, циано, галоС1-6алкилом, гидроксиС1-6алкилом, цианоС16алкилом, аминоС1-6алкилом, С1-6алкилоксиС1-6алкилом, С1-6алкилтиоС1-6алкилом,
аминокарбонилС1-6алкилом, С1-6алкилоксикарбонилС1-6алкилом, C1-6алкилкарбонилС1-6алкилом, C1-6алкилоксикарбонилом, моно- или ди(C1-6алкил)аминоС1-6алкилом, Аr1, Аr1С1-6алкилоксиС1-6алкилом; или радикалом формулы
-O-R10 (а-1),
-S-R10 (а-2),
-N-R11R12 (а-3),
где R10 является водородом, C1-6алкилом, C1-6алкилкарбонилом, Аr1, Ar1
C1-6алкилoм, С1-6алкилоксикарбонилС1-6алкилом или радикалом формулы -Alk-OR13 или -Alk-NR14R15;
R11 является
водородом, C1-6алкилом, Аr1 или Аr1С1-6алкилом;
R12 является водородом, C1-6алкилом, C1-6алкилкарбонилом, C1-6алкилоксикарбонилом, C1-6алкиламинокарбонилом, Аr1, Ar1C1-6алкилом, С1-6алкилкарбонилС1-6алкилом, Аr1карбонилом,
Ar1C1-6алкилкарбонилом, аминокарбонилкарбонилом, C1-6алкилоксиС1-6алкилкарбонилом, гидрокси, C1-6алкилокси, аминокарбонилом, ди(C1-6
алкил)аминоС1-6алкилкарбонилом, амино, C1-6алкиламино, C1-6алкилкарбониламино или радикалом формулы -Alk-OR13 или -Alk-NR14R15;
где Alk является C1-6алкандиилом;
R13 является водородом, C1-6алкилом, C1-6алкилкарбонилом, гидроксиС1-6алкило, Аr1 или
Аr1С1-6алкилом;
R14 является водородом, C1-6алкилом, Аr1 или Аr1C1-6алкилом;
R15 является
водородом, C1-6алкилом, C1-6алкилкарбонилом, Аr1 или Аr1C1-6алкилом;
R6 является радикалом формулы
где
R16 является водородом, галогеном, Аr1, C1-6алкилом, гидроксиС1-6алкилом, С1-6алкилоксиС1-6алкилом, C1-6алкилокси, C1-6алкилтио, амино, C1-6алкилоксикарбонилом, С1-6алкилтиоС1-6алкилом, C1-6алкилS(О)C1-6алкилом или C1-6алкилS(О)2
С1-6алкилом;
R17 является водородом, C1-6алкилом или ди(С1-4алкил)аминосульфонилом;
R7 является водородом или C1-6
алкилом при условии, что пунктирная линия не является связью;
R8 является водородом, С1-6алкилом или Аr2CН2 или Het1CH2;
R9 является водородом, C1-6алкилом, C1-6алкилокси или галогеном; или
R8 и R9 вместе образуют двухвалентный радикал формулы
-СН=СН- (с-1),
-CH2-CH2- (с-2),
-СН2-СН2-СН2- (с-3),
-СН2-O- (с-4) или
-СН2-СН2-O (с-5);
Аr1 является фенилом; или фенилом, замещенным 1 или 2 заместителями, независимо выбранными из галогена, C1-6алкила, C1-6алкилокси или
трифторметила;
Аr2 является фенилом; или фенилом, замещенным 1 или 2 заместителями, независимо выбранными из галогена, C1-6алкила, C1-6алкилокси или
трифторметила; и
Het1 является пиридинилом; пиридинилом, замещенным 1 или 2 заместителями, независимо выбранными из галогена, C1-6алкила, C1-6алкилокси или
трифторметила.
6-[амино(4-хлорфенил)(1-метил-1Н-имидазол-5-ил)метил] -4-(3-хлорфенил)-1-метил-2-(1Н)-хиназолинон;
или
6-[амино(4-хлорфенил)(1-метил-1Н-имидазол-5-ил)метил] -4-(3-хлорфенил)3,4-дигидро-1,3-диметил-2-(1Н)-хиназолинон; их стереоизомерные формы или фармацевтически приемлемые
кислотно-аддитивные соли.
его
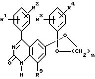
кислотно-аддитивная соль или стереохимически изомерная форма, где n равно 2 или 3 и R1, R2, R3, R4 и R9 такие, как определены в п.1.
а) промежуточное соединение формулы
III N-алкилируют промежуточным соединением формулы II в реакционно-инертном растворителе и, необязательно, в присутствии подходящего основания с получением соединения формулы I-а;
b) промежуточное соединение формулы IV подвергают взаимодействию с соединение формулы V с получением
соединения формулы I-а;
с) промежуточный кетон формулы VI подвергают взаимодействию с
промежуточным соединением формулы III-1 или III-2 в присутствии подходящего сильного основания и в присутствии подходящего производного силана, необязательно, с последующим удалением защитной группы
PG с получением либо соединения формулы I-b-1 либо соединения формулы I-b-2;
где в представленных выше схемах реакции пунктирная линия и радикалы X, R1, R2,
R3, R4, R5, R6, R7, R8, R9 и R16 определены в п.1 и W является подходящей уходящей группой;
d) или,
соединения формулы I превращают друг в друга по известным в данной области техники реакциям превращения; или, при желании, соединение формулы I превращают в фармацевтически приемлемую
кислотно-аддитивную соль, или, наоборот, кислотно-аддитивную соль соединения формулы I превращают в свободное основание при помощи щелочи; и, при желании, получают их стереохимически изомерные
формы.
где в указанной выше схеме реакции n равно 2 или 3 и R1, R2, R3, R4 и R9 определены в п.1,
или, соединения формулы XI превращают друг в друга по известным в данной области техники реакциям превращения; или, при желании, соединение формулы
XI превращают в фармацевтически приемлемую кислотно-аддитивную соль, или, наоборот, кислотно-аддитивную соль соединения формулы XI превращают в свободное основание при помощи щелочи; и, при желании,
получают их стереохимически изомерные формы.