заявка
№ RU 94021788
МПК G01N11/12

СПОСОБ ИЗМЕРЕНИЯ ВЯЗКОСТИ И ПЛОТНОСТИ ЖИДКОСТИ

Авторы:
Грузнов Л.П. Грузнов М.Л. Грузнов Е.Л.
Все (4)
Номер заявки
94021788/25
Дата подачи заявки
08.06.1995
Опубликовано
10.04.1996
Страна
RU
Как управлять
интеллектуальной собственностью
Чертежи 
1
Реферат

[51]

Изобретение относится к способам измерения физико-химических характеристик жидких сред, в частности их вязкости и плотности. Целью изобретения является улучшение метрологических характеристик за счет осуществления измерения при ограниченных по величине скоростях движения зонда. Для достижения поставленной цели осуществляют разгон зонда до обусловленной по величине и направлению скорости, измеряют в требуемые моменты времени tj, ti текущие значения высот hj, занятых зондом, и горизонтальной составляющей пути li, пройденного зондом, или для обусловленных высот hj и пути li измеряют времена их достижения, рассчитывают необходимые промежуточные величины, в частности средние значения составляющих скорости движения зонда на соответствующих участках вертикальной Vj и горизонтальной Vi составляющих траектории движения, на основании закона о сохранении энергии и второго закона Ньютона получают формулы для расчета плотности и вязкости жидкости и рассчитывают для каждого направления движения измеренные значения плотности и вязкости жидкости, а результирующие значения вязкости и плотности жидкости оценивают как средние или средневзвешенные значения от их значений по направлениям движения. 1 ил.

Формула изобретения

ФОРМУЛА ИЗОБРЕТЕНИЯ.

1. Способ измерения вязкости и плотности жидкости, включающий движение в жидкости зонда радиусом R и плотностью материала ρз определение времени погружения и мгновенной скорости или ускорения в трех точках либо время погружения и пройденный путь в четырех точках, определение по полученным данным постоянной времени Т ускоренного движения зонда и вычисление вязкости жидкости по соотношению и ее плотность, отличающийся тем, что, с целью улучшения метрологических характеристик измерения за счет осуществления измерения при ограниченных по величине скоростях движения зонда, осуществляют разгон зонда до обусловленной по величине и направлению скорости, измеряют в требуемые моменты времени tj,ti текущие значения высот hj, занятых зондом, и горизонтальной составляющей пути, пройденного зондом, li или для обусловленных значений высот hj и пути li и измеряют времена их достижения, рассчитывают необходимые промежуточные величины, в частности, средние значения составляющих скорости движения зонда на соответствующих участках вертикальной Vj и горизонтальной Vi составляющих траектории движения, на основании закона о сохранении энергии и второго закона Ньютона получают формулы для расчета плотности и вязкости жидкости и рассчитывают для каждого направления движения измеренные значения плотности ρж и вязкости η жидкости, а результирующие значения вязкости и плотности жидкости оценивают как средние или средневзвешенные значения от их значений по направлениям движения.

Источники информации:
1. Г. Барр. Вискозиметрия, ГОНТИ-НКТП, 1938.

2. Макаров В. Н. Грузнов М.Л. и др. Датчик параметров жидкости. Авт. свид. N 1124200.

3. Макаров В. Н. Грузнов М.Л. и др. Измеритель вязкости жидкости. Авт. свид. N 1408301.

4. Грузнов М. Л. и др. Способ измерения вязкости и плотности жидкости. Авт. свид. N 1837208.

Описание

[1]

Изобретение относится к способам измерения физико-химических характеристик жидких сред, в частности, их вязкости и плотности.

[2]

Известен способ "падающих шариков" измерения вязкости жид кости, согласно которому о вязкости жидкой среды судят по равно мерной скорости погружения в ней шарового зонда известного ради уса и с известной плотностью материала [1]
Однако недостатком известного способа является ограниченность его функциональных возможностей, поскольку с его помощью нельзя измерить плотность исследуемой жидкости. Более того, для измерения даже вязкости жидкости при его применении требуется предварительное измерение плотности жидкости какими-либо дополнительными техническими средствами.

[3]

Известен способ [2] расширяющий функциональные возможности способа "падающих шариков". При его использовании измеряются равномерные скорости погружения одновременно двух шаровых зондов, имеющих различающиеся плотности материалов. На основе закона Стокса получают систему из двух линейных уравнений, в которой неизвестными величинами являются вязкость и плотность исследуемой жидкости. Результаты измерения получают в результате решения полученной системы уравнений.

[4]

Недостатком известного способа [2] является относительно низкая точность измерения, обусловленная большими скоростями погружения каждого из зондов.

[5]

Известен способ [3] реализованный в устройстве, в котором и вязкость и плотность жидкости измеряют с помощью одного шарового зонда, совершающего в процессе измерения возвратно-поступа тельное движение в исследуемой жидкости по вертикали. Измеряют равномерные скорости погружения и всплытия зонда при воздействии на него известных и измеряемых сил. По результатам замеров измеряемые величины рассчитываются как неизвестные переменные получаемой системы из двух линейных уравнений.

[6]

Недостатком известного способа [3] является то, что им обуславливается введение в состав технических средств измерителя гибкого троса, перекинутого через блок и связанного с зондом и противовесом. Наличие сил трения в блоке и сил вязкого трения, возникающих в процессе перемещения троса в жидкости, которые могут очень существенно случайным образом изменяться во времени, не позволяют получить высокую точность измерения.

[7]

Известен способ измерения вязкости и плотности жидкости [ 4 включающий погружение в жидкости зонда радиусом R и плотностью материала ρз и определение вязкости и плотности жидкости. На участке экспоненциального движения зонда определяют время погружения и мгновенную скорость и ускорение зонда в трех точках либо время погружения и пройденный путь в четырех точках, определяют по полученным данным постоянную времени T ускоренного движения и скорость равномерного погружения Vp и вычисляют вязкость жидкости по соотношению
и ее плотность по формуле

где g ускорение свободного падения.

[8]

Однако недостатком известного способа [4] является то, что достаточно часто оказывается, что равномерная скорость свободного погружения шарового зонда по величине превышает значение, при котором закон Стокса перестает быть справедливым. В этих условиях применение известного способа приводит к недопустимо большой погрешности измерения.

[9]

Целью изобретения является повышение метрологических характеристик измерения за счет измерения при ограниченных по величине скоростях движения зонда.

[10]

Для достижения поставленной цели разгоняют зонд до скорости из обусловленного диапазона значений и при наличии направленной вверх вертикальной составляющей скорости обеспечивают его свободное всплытие до точки начала погружения без достижения поверхности жидкости, измеряют времена ti и высоты hi положения зонда в выбираемых точках траектории движения зонда и на основании закона сохранения энергии и второго закона Ньютона составляют математические выражения, по которым рассчитывают измеряемые вязкость и плотность жидкости.

[11]

При первоначальном всплытии зонда измерение времен ti и высот hi продолжают в выбираемых точках на участке погружения зонда и на основании закона о сохранении энергии и второго закона Ньютона составляют математические выражения, по которым рассчитывают измеряемые вязкость и плотность жидкости по данным замеров на участке погружения.

[12]

Обобщают результаты замеров на различных участках траектории движения зонда или путем выбора результирующего значения по участку, обеспечивающему наиболее высокую точность измерения, или в виде их среднего, или в виде средневзвешенного от значений соответствующих параметров по участкам.

[13]

Заявляемое техническое решение отличается от прототипа тем, что при его применении шаровой зонд первоначально разгоняется до задаваемой скорости и далее совершается его свободное движение, в том числе криволинейное, без достижения поверхности жидкости. После выполнения необходимых замеров расчет изморенных значений вязкости и плотности жидкости осуществляют по соотношениям, полученным на основании закона сохранения энергии и второго закона Ньютона. Осуществляют обобщение результатов замеров по параметрам
Наличие в предлагаемом способе новых операций и новых процедур их выполнения по сравнением с прототипом позволяет утверждать, что заявляемое техническое решение соответствует критерию "новизна" изобретения. Поскольку признаки, отличающие заявляемое техническое решение от прототипа не выявлены и в других технических решениях данной области техники и в смежных областях, то следовательно они обеспечивают заявляемому техническому решению соответствие критерию "существенные отличия".

[14]

В основе предложения лежат следующие закономерности.

[15]

При строго горизонтальном движении зонда на основе закона сохранения энергии справедлив баланс потерь кинетической энергии зонда Wi и работы, затраченной зондом на преодоление сопротивления вязкой жидкости, Ai т.е. соотношение:
Wi=Ai (1)
Соотношение (1) может быть представлено и в следующем виде:
(2)
где R- радиус зонда;
ρз -плотность материала зонда;
Vi-начальное значение горизонтальной составляющей скорости движения зонда на i-ом участке горизонтальной составляющей траектории его движения;
Vi+1- конечное значение горизонтальной составляющей скорости движения зонда на i-ом участке горизонтальной составляющей его движения;
η измеряемая вязкость жидкости;
li-начальное значение горизонтальной составляющей i-го участка траектории движения зонда;
li+1- конечное значение этого участка;
среднее значение горизонтальной составляющей скорoсти движения зонда на i-ом участке.

[16]

Баланс снижения кинетической энергии зонда и работы, совершенной зондом при преодолении сопротивления вязкой жидкости на всем участке горизонтальной составляющей траектории движения зонда, характеризуется соотношением:
(3)
где: n общее число участков анализируемой траектории.

[17]

Вынесем из-под знака суммы величины, которые не зависят от индекса i:
(4)
После преобразования выражения [4] получим следующее соотношение для расчета вязкости жидкости:
(5)
При строго горизонтальной скорости движения зонда на основе второго закона Ньютона получим иное выражение, на основе которого может быть рассчитана вязкость исследуемой жидкости. Сам закон в рассматриваемом случае имеет вид:
m•a=Fc (6)
где: m масса шарового зонда;
a его ускорение; Fc сила воздействия вязкой жидкости, препятствующая движению зонда.

[18]

С учетом параметров зонда, заменив ускорение на производную от скорости по времени, и противоположность направлений ускорения и скорости в рассматриваемом случае, приведем уравнение (6) к следующему виду:

где: V мгновенная скорость движения зонда (ее горизонтальная составляющая).

[19]

Полученное дифференциальное уравнение может быть преобразовано следующим образом:

Введем обозначение

С учетом выражения (9) дифференциальное уравнение (8) имеет вид:

Интегрирование левой и правой частей дифференциального уравнения (10) приводит к выражению:

Преобразуем выражение (11) к следующему виду:

Подстановкой в уравнение (12) начальных условий движения зонда t 0, V= V0 получаем C=V0.

[20]

Таким образом, значение горизонтальной составляющей скорости движения шарового зонда в момент времени t может быть рассчитано по формуле:

Производная от скорости по времени в выражении (13) представляет собою выражение для расчета мгновенного ускорения зонда:

Интеграл от скорости по времени в выражении (13) является выражением для расчета мгновенного значения пути, пройденного зондом:

Постоянная времени интегрирования С определяется с учетом начальных условий t=0, L L0. Подстановка этих значений в уравнение (15) позволяет получить C L0+V0•T.

[21]

Таким образом, выражение для расчета пути, проходимого зондом за время t при скорости, определяемой соотношением (13), имеет вид:

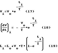
Выражения (13), (14) и (15) заслуживают внимания по той причине, что ими обеспечивается возможность расчета значения постоянной времени Т экспоненты, характеризующей изменение скорости зонда во времени. Задаваясь значением времени ti и измеряя соответственно скорость, ускорение или путь Vi, и Li, подстановкой этих значений в указанные выражения мы получаем уравнения, характеризующие взаимосвязь других входящих в уравнения величин:

Уравнения (17) и (18) содержат неизвестные начальную скорость V0 и постоянную времени Т экспоненты, а уравнение (19) дополнительно содержит третью неизвестную начальный путь, пройденный зондом. Следовательно для получения разрешимых систем нелинейных уравнений, необходимо выполнить измерение двух значений времени t1 и t2 и двух значений соответственно cкорости V1 и V2 или двух значений ускорений и зонда. В случае применения уравнения (19) необходимо для трех значений времени t1, t2 и t3 измерить пройденные пути L1, L2 и L3.

[22]

Решение получаемых систем нелинейных уравнений известными методами позволяет определить и начальную скорость зонда, и его начальное положение и значение постоянной времени экспоненты Т.

[23]

В свою очередь определение постоянной времени Т позволяет непосредственно рассчитать вязкость жидкости по преобразованному уравнению (9):

При строго вертикальном погружении зонда в соответствии с законом сохранения энергии уменьшение его потенциальной энергии Uj в связи с уменьшением его высоты должно быть равным приращению кинетической энергии Wj, приобретаемой зондом за счет увеличения его скорости, и работы Aj, совершаемой зондом при преодолении сопротивления вязкой жидкости в процессе погружения, т. е. должно иметь место равенство:
Uj Wj + Aj (21)
В развернутом виде равенство (21) представляется следующим образом:

где: ρж плотность исследуемой жидкости;
g ускорение свободного падения;
Vj начальное значение вертикальной составляющей скорости движения зонда на j-ом участке вертикальной составляющей траектории погружения;
Vj+1 конечное значение вертикальной составляющей скорости погружения на том же участке;
hj начальное значение j-го участка вертикальной составляющей траектории движения зонда;
hj+1 конечное значение j-го участка вертикальной составляющей траектории движения зонда.

[24]

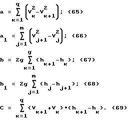
Анализируемая траектория движения включает в себя m участков. На основании выражения (22) получаем следующие суммы, в которых величины, не зависящие от индекса j, вынесены за знаки сумм:

Путем преобразования выражения (23) получаем следующее выражение для расчета измеряемой вязкости жидкости:

При строго вертикальном погружении зонда в соответствии с вторым законом Ньютона получим другое выражение, на основе которого может быть рассчитана вязкость измеряемой жидкости:
m•a Pз Fc Fв (25)
где: Pз вес шарового зонда;
Fв действующая на зонд выталкивающая сила. В развернутом виде равенство (25) может быть представлено следующим образом:

При равномерной скорости погружения зонда (ускорение равно нулю) левая часть уравнения (26) также равна нулю. После очевидных преобразований получаем:

Уравнение (27) может быть преобразовано к следующему виду:

Представляя ускорение в виде производной от скорости по времени, на основании соотношений (26) и (29) получаем следующее дифференциальное уравнение:

Разделяя переменные этого уравнения и вводя постоянную под знак дифференциала (что не нарушает справедливость дифференциального уравнения) преобразуем его к виду:

С учетом обозначения (9) его можно переписать следующим образом:

Интегрирование левой и правой частей этого уравнения позволяет получить следующее решение:

Потенцирование уравнения (33) преобразует его к следующему виду:
V-Vр=C•e-t/T. (34)
Значение постоянной интегрирования С находится при начальных условиях t= 0 и V V0. Получаем: V0 + Vp C (35)
Следовательно зависимость мгновенного значения скорости погружения зонда характеризуется уравнением:
V=Vр-(Vр-Vo)•e-t/T. (36)
Соответственно для мгновенного значения ускорения зонда при погружении получается соотношение:

Интегрирование уравнения (36) приводит к следующему выражению:
L=Vр•t+T•(Vр-Vo)•e-t/T+C. (38)
Находя постоянную интегрирования С из начальных условий, что при t 0; L L0 и подставляя результат в (38), получаем следующую зависимость расстояния, проходимого зондом при погружении, от времени:
L=Lo+Vр•t-T•(Vр-Vo )•(1-e-t/T). (39)
Как следует из выражений (36) и (37), они содержат три неизвестные величины: скорость равномерного погружения Vp, начальную скорость погружения V0 и постоянную времени экспоненты Т. Уравнение (39) кроме этого содержит неизвестную величину начального пути L0. Для определения значений этих величин, следовательно, необходимо произвести измерения в различающиеся моменты времени t1, t2, t3 и t44 соответственно трех значений скорости погружения зонда V1, V2 и V3, или трех значений его ускорения или четырех значений пройденного при погружении пути L1, L2, L3 и L4 позволит получить подстановкой их в уравнения (36), (37) и (38) получить системы нелинейных уравнений, решение которых известными способами позволит определить все неизвестные величины.

[25]

Из этих величин нас прежде всего интересует постоянная времени экспоненты Т, поскольку в этом случае имеется возможность рассчитать измеряемое значение вязкости жидкости по выражению (9).

[26]

При строго вертикальном движении зонда вверх на основании закона сохранения энергии справедлив баланс потерь кинетической энергии зондом Wj на j-ом участке вертикальной составляющей траектории его движения и суммы работы Aj, выполненной зондом при преодолении сопротивления вязкой жидкости на данном участке движения, и приращения потенциальной энергии зонда на этом участке Uj:
Wj Aj + Uj (40)
то есть
Учитывая, что баланс (40) справедлив для каждого из участков вертикальной составляющей движения зонда при всплытии, справедливым оказывается и следующее равенство (постоянные величины, не зависящие от индекса j вынесены за знаки сумм):

После преобразования выражения (42), получим следующее соотношение для измеряемой вязкости жидкости:

И наконец, при строго вертикальном всплытии зонда в соответствии с вторым законом Ньютона справедливо следующее равенство:
m • a Fв Pз -Fc (44), которое может быть представлено следующим образом:

Остается справедливым равенство (29). Представляя ускорение в виде производной от скорости по времени с учетом равенства (29) уравнение (45) преобразуем к виду:

Проведя в уравнении (46) необходимые преобразования с учетом обозначения для T (9),получим:

Введем под знак дифференциала скорости в производной вместо V выражение V+Vp (при этом справедливость дифференциального выражения не изменится) и разделим входящие в уравнение переменные:

Интегрирование левой и правой частей полученного дифференциального уравнения приводит к следующему решению:

Потенцирование правой и левой частей выражения (49) приводит к соотношению:
V+Vр=C•e-t/T. (50)
Значения входящих в соотношение (50) неизвестных Vp и C находим, исходя из начальных условий. Подстановка в уравнение (50) значений t=0 и V V0 приводит его к следующему виду:
Vo+Vр=C. (51)
Второе уравнение, необходимое для определения неизвестных может (быть получено при учете, что t tm скорость зонда равна нулю V=0. В результате получаем:
Vр=C•e-tм/T. (52)
Вычитая из левой и правой частей уравнения (51) соответственно левую и правую части уравнения (52), находим уравнение для расчета величины С:

Подстановкой уравнения (53) в уравнение (52) получаем выражение для расчета Vp:

Подстановка равенств (53) и (54) в уравнение (50) приводит к соотношению для расчета мгновенной скорости всплывающего зонда:

Дифференцируя уравнение (55) по времени получаем формулу для расчета ускорения всплывающего зонда:

Интегрирование уравнения (55) позволяет получить формулу для расчета высоты всплытия зонда:

Постоянная времени интегрирования может быть найдена с учетом, что при t tm имеем h hм

Из этого уравнения находим:

Таким образом, выражение для расчета текущего значения высоты зонда при всплытии может быть рассчитано формуле:

Как следует из выражений (55) и (56) в них входят две неизвестные переменные V0 и T, а в уравнение (60) входят еще две неизвестные переменные tм и hм, которые могут быть определены и экспериментально. Для расчета переменных V0 и T необходимо в какие-то моменты времени t1 и t2 измерить или высоты зонда h1 и h2, или его скорости V1 и V2, или ускорения и
Подстановка пар значений в уравнения (55),(56), или (60) позволит получать системы из двух нелинейных уравнений с двумя неизвестными, решение которых позволит определить все неизвестные переменные. Из них внимание прежде всего заслуживает постоянная времени экспоненты Т, по которой по формуле (9) может быть рассчитана измеряемая вязкость жидкости.

[27]

Измеряемая плотность жидкости может быть рассчитана на основании любого из уравнений для расчета вязкоcти жидкости, полученного с применением закона о сохранении энергии. Именно в эти уравнения непосредственно одной из переменных входит плотность жидкости. Требуемый результат может быть получен, если каждое из двух уравнений получено на основе закона сохранения энергии, или одно из уравнений основано на законе о сохранении энергии, а второе на основе второго закона Ньютона. Ранее получены уравнения для расчета вязкости для следующих различающихся режимов измерения:
1. В процессе погружения зонда и на основе закона сохранения энергии.

[28]

2. В процессе погружения зонда и на основе второго закона Ньютона.

[29]

3. В процессе всплытия зонда и на основе закона о сохранении энергии.

[30]

4. В процессе всплытия зонда и на основе второго закона Ньютона.

[31]

5. При горизонтальном движении зонда под действием известных сил и на основании закона о сохранении энергии.

[32]

6. При горизонтальном движении зонда под действием известных сил и на основе второго закона Ньютона.

[33]

К этим основным движениям сводятся и другие виды движений, в частности, если зонд движется под углом к горизонту и в процессе движения всплытие сменяется погружением при сохранении горизонтального движения.

[34]

Если при измерении происходит погружение зонда, то плотность жидкости может быть рассчитана по математическому выражению, полученному на основе формул для расчета вязкости жидкости (20) (второй закон Ньютона) и (24) (закон сохранения энергии). Приравнивая правые части этих формул получаем равенство:

Преобразование равенства (61) позволяет получить следующую формулу для расчета измеряемой плотности жидкости:

При выводе формулы для расчета измеряемой плотности жидкости могут быть приравнены правые части формул (43) и (24). Такое сочетание соответствует последовательному всплытию и погружению зонда и использованию закона о сохранении энергии:

где: к индекс участка вертикальной составляющей траектории всплытия зонда;
g количество участков всплытия.

[35]

Преобразование равенства (63) приводит к следующей формуле для расчета измеряемой плотности жидкости:

где:


Можно приравнять и правые части формул (24) и (5), что соответствует одновременному погружению и горизонтальному движению зонда, т.е. движению под углом к горизонту, которые получены на основе закона о сохранении энергии:

В результате преобразования равенства (71) получается следующая формула для расчета измеряемой плотности жидкости:

Можно приравнять правые части формул (43) и (20). Это соответствует вертикальному всплытию при выводе формул соответственно на основании закона о сохранении энергии и второго закона Ньютона:

Преобразование равенства (73) приводит к следующему соотношению для расчета измеряемой плотности жидкости

При разработке измерителей вязкости и плотности жидкостей могут быть использованы при заключительных расчетах и другие соотношения, полученные путем анализа изморенных характеристик свободного движения зонда в исследуемой жидкости под действием известных сил на основе закона сохранения энергии и второго закона Ньютона.

[36]

Предлагаемый способ может быть реализован с помощью устройства, структурная схема которого представлена на рисунке (фиг. 1).

[37]

В состав устройства входят (фиг. I): шаровой зонд 1, воспринимающий воздействие исследуемой жидкости; ускоритель 2, обеспечивающий разгон зонда 1 до обусловленной скорости в начале измерения; первая группа фотодатчиков 3, каждый из которых выдает сигнал в момент времени достижения зондом 1 заданной точки горизонтальной составляющей траектории движения; вторая группа фотодатчиков 4, каждый из которых выдает сигнал в момент времени достижения зондом 1 заданной точки вертикальной составляющей траектории движения; вычислительный блок 5, управляющий работой элементов устройства, измеряющий и запоминающий моменты времени выдачи сигналов датчиками 3 и 4, а также рассчитывающий измеренные значения вязкости и плотности жидкости в конце измерения; первый осветитель 6 и второй осветитель 7, направляющие световые потоки требуемой интенсивности соответственно на первую и вторую группы фотодатчиков 3 и 4 во время измерения.

[38]

Цифрой 8 на рисунке (фиг. 1) обозначена исследуемая жидкость, внутри которой свободно движется шаровой зонд 1.

[39]

Устройство работает следующим образом (фиг. 1).

[40]

Перед началом измерения в память вычислительного блока 5 вводится программа проведения эксперимента по измерению вязкости и плотности жидкости, а также измеренные значения радиуса применяе- мого шарового зонда I и плотности его материала. Зонд 1 размещается на ускорителе 2.

[41]

Процесс измерения начинается с подачи напряжения с выхода вычислительного блока 5 на входы ускорителя 2, первой и второй групп фотодатчиков 3 и 4 и на первый и второй осветители 6 и 7. При поступлении управляющего напряжения на вход, ускоритель 2 срабатывает, разгоняя зонд 1 до некоторой начальной скорости, имеющей обусловленное числовое значение и направленной под углом к горизонту вверх. При поступлении управляющего напряжения на первый и второй осветители 5 и 6 они включаются в работу и излучают световые поток и заданной интенсивности, сфокусированные в направлении первой и второй групп фотодатчиков 3 и 4. Подача управляющего напряжения на первую и вторую группы фотодатчиков 3 и 4 переводит их в рабочее состояние, в котором их внутреннее сопротивление может иметь лишь два значение: минимальное, если фотодатчики освещены, т. е. не находятся в тени зонда 1, и максимальное, если световой поток не падает на фотодатчики, т.е. они находятся в тени зонда 1.

[42]

Вертикальная составляющая скорости шарового зонда 1 вызывает его всплытие до некоторой максимальной высоты. Шаровой зонд 1 в процессе всплытия последовательно затеняет фотодатчики 4 второй группы, переходя от расположенного на меньшей высоте к расположенному более высоко. В момент перекрытия светового потока, падающего на тот или иной фотодатчик 4 второй группы, сопротивление фотодатчика изменяется от минимального до максимального, а на выходе его формируется перепад напряжения, который передается на собственный для фотодатчика 4 второй группы вход инициативных сигналов вычислительного блока 5. При этом вычислительный блок 5 переходит к обработке поступившего сигнала, в процессе которой измеряет по внутреннему таймеру время поступления сигнала и фиксирует адрес фотодатчика 4 второй группы, с которого поступил очередной сиг- нал. По адресу поступившего сигнала с использованием содержащихся в программе управления измерением данных, вычислительный блок 5 определяет высоту подъема в измеренный момент времени. Оцененные высота подъема hj и момент времени ее достижения tj записываются в специальный массив памяти вычислительного блока 5.

[43]

В процессе всплытия зонда 1 одновременно происходит его движение в горизонтальном направлении, что фиксируется фотодатчиками 3 первой группы. В момент перекрытия светового потока, падающего на тот или иной фотодатчик 3 первый группы, на его выходе также формируется перепад напряжения, который передается на собственный вход для каждого фотодатчика 3 первой группы вход инициативных сигналов вычислительного блока 5. Обрабатывая этот сигнал, вычислительный блок 5 измеряет время по внутреннему таймеру и фиксирует адрес фотодатчика 3 первой группы, с которого поступил очередной сигнал. По адресу поступившего сигнала с использованием содержащихся в программе управления измерением данных вычислительный блок 5 определяет длину пути, пройденного зондом 1 к измеренному моменту времени. Оцененные длина пройденного пути li и измеренное значение времени ti записываются в другой специальный массив памяти вычислительного блока 5.

[44]

Измерение может продолжаться и после того, как зонд 1 достигнет точки максимального всплытия, которая должна располагаться на заведомо большей по глубине установленного минимального значения по отношению к поверхности жидкости. После этого наступит момент времени, когда начнется погружение зонда 1, что также будет обнаружено фотодатчиками 4 второй группы. При погружении эти фотодатчики будут затеняться в обратной последовательности, каждый раз выдавая при этом сигналы на собственные инициативные входы вычислительного блока 5. В процессе обработки этих сигналов (с учетом того, что тень зонда 1 надвигается на фотодатчики 4 второй группы с противоположной стороны). По внутреннему таймеру измеряется время поступления сигнала и фиксируется адрес фотодатчика 4 второй группы, с которого поступил очередной сигнал. По адресу поступившего сигнала с использованием содержащихся в программе управления измерением данных, вычислительный блок 5 определяет глубину погружения зонда 1 в измеренный момент времени. Оцененные глубина погружения hк и момент времени ее достижения tк записываются в специальный массив памяти вычислительного блока 5 (третий массив).

[45]

Процесс измерения заканчивается после погружения зонда на заданную глубину, о чем свидетельствуют сигналы, поступающие с соответствующих фотодатчиков 4 второй группы.

[46]

После этого вычислительный блок 5 отключает управляющее напряжение от собственного выхода, тем самым выключая ускоритель 2, фотодатчики первой и второй групп 3 и 4 и первый и второй осветители 6 и 7.

[47]

Далее вычислительный блок 5 приступает к обработке полученной информации. С этой целью предварительно рассчитываются средние скорости движения зонда 1 вдоль вертикальной и горизонтальной составляющих траектории, причем для любого участка составляющих траектории j,i средняя скорость движения рассчитывается по соотношениям

На заключительной стадии расчетов измеренное значение плотности исследуемой жидкости может быть найдено по соответствующей из следующих формул: (62), (64), (72) и (74).

[48]

Значение вязкости исследуемой жидкости может быть рассчитано по формулам: (5), (20), (24) и (43).

[49]

Как видим, предлагаемым способом полностью достигается поставленная цель предполагаемого изобретения. Уже на стадии разработки измерителя вязкости и плотности жидкости, реализующего предлагаемый способ, прежде всего определяется ориентировочно траектория движения зонда 1 в жидкости. С этой целью, в частности, может задаваться начальная скорость зонда 1 или в виде ее точного значения или в виде ограничений по величине и направлению. При этом уже на стадии разработки, с учетом допустимого диапозона изменения измеряемой вязкости и плотности жидкости, задается такая скорость зонда 1 в жидкости, при котором ее наибольшая величина не превышает заданное допустимое значение, при котором заведомо выполняется закон Стокса.

[50]

Очевидна простота реализации способа. Стандартными являются операции, выполняемые вычислительным блоком 5. Требуют определенной математической подготовки процедуры, связанные с выводом упрощенных формул для расчета вязкости и плотности жидкости, но основные из них приведены в описании. ЫЫЫ1

Как компенсировать расходы
на инновационную разработку
Похожие патенты