Изобретение относится к медицине, а именно к инфекционным болезням и терапии, и может быть использовано для прогнозирования степени тяжести заболевания COVID-19 у взрослых. Проводят у пациента клинический анализ крови и определяют уровень лейкоцитов. Проводят бактериологическое исследование кала и определяют соответствие нормальным показателям количества бактерий Clostridium spp., Lactobacillus spp., Staphylococcus hominis и Enterococcus faecium. На основании полученных данных определяют вероятности легкой, среднетяжелой и тяжелой степени тяжести COVID-19 по заданным формулам. Способ позволяет своевременно определить алгоритм ведения пациента с COVID-19 за счет возможности прогнозирования легкой, среднетяжелой и тяжелой степени тяжести течения заболевания путем оценки совокупности наиболее значимых показателей. 4 табл., 3 пр.
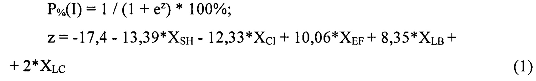
Способ прогнозирования степени тяжести COVID-19 у взрослых, включающий проведение бактериологического анализа кала и определение соответствия нормальным показателям количества Enterococcus faecium в кале, отличающийся тем, что дополнительно определяют уровень лейкоцитов в крови и соответствие нормальным показателям количества бактерий Clostridium spp., Lactobacillus spp., Staphylococcus hominis в кале, затем вычисляют вероятность легкой степени тяжести COVID-19 по формуле: P%(I) = 1 / (1 + еz) × 100%, где z = -17,4 – 13,39 × ХSH – 12,33 × XCl + 10,06 × XEF + 8,35 × XLB + 2 × XLC; вероятность среднетяжелой степени тяжести COVID-19 вычисляют по формуле: P%(II) = P%(I-II) – P%(I), где P%(I-II) = 1 / (1 + еz) × 100%, z = -34,89 – 13,39 × ХSH – 12,33 × XCl + 10,06 × XEF + 8,35 × XLB + 2 × XLC; вероятность тяжелого течения COVID-19 вычисляют по формуле: P%(III) = 100% - P%(I-II), при этом P%(I), P%(II), P%(III) – вероятность легкой, среднетяжелой и тяжелой степени тяжести COVID-19 соответственно; XSH - оценка соответствия количественных показателей Staphylococcus hominis норме: 0 - нормальные значения, 1 - значения выше нормы; XCl - оценка соответствия количественных показателей Clostridium spp. норме: 0 - нормальные значения, 1 - значения выше нормы; XEF - оценка соответствия количественных показателей Enterococcus faecium норме: 0 - нормальные значения, 1 - значения выше нормы; XLB - оценка соответствия количественных показателей Lactobacillus spp. норме: 0 - нормальные значения, 1 - значения ниже нормы; XLC - уровень лейкоцитов в крови, 109/л.
Изобретение относится к медицине, а именно к инфекционным болезням и терапии, и предназначено для прогнозирования степени тяжести заболевания COVID-19, вызванного вирусом SARS-CoV-2. На современном этапе COVID-19 стал вызовом системам здравоохранения. Он может протекать в тяжелой форме, с различными осложнениями и неблагоприятными последствиями для организма в последующем. Важно на начальном этапе болезни определиться с тактикой ведения пациента, чтобы избежать неблагоприятных последствий. В связи с этим становится очевидной важность прогнозирования степени тяжести COVID-19 общедоступными и недорогими методами. Уровень техники Известен способ прогнозирования степени тяжести заболевания COVID-19, вызванного коронавирусом 2 (SARS-CoV-2) на основе продолжительности заболевания в сутках, относительного содержания моноцитов, палочко-ядерных нейтрофилов и количественного содержания ферритина в крови [1]. Данный способ позволяет дифференцировать две степени тяжести COVID-19: легкую и либо среднюю, либо тяжелую. Недостатками метода являются: наличие субъективного показателя в виде продолжительности заболевания, которое не всегда можно узнать у пациента или вычислить и отсутствие возможности прогнозирования среднего и тяжелого течения COVID-19 по отдельности. Известен способ прогнозирования тяжести COVID-19 на основе частоты дыхательных движений в покое, температуры тела, сатурации кислорода в крови, необходимости в кислородной поддержке, уровня С-реактивного белка, Д-димера в крови, процента поражения легких по данным мультиспиральной компьютерной томографии. Шкала Оценки Клинического Состояния больных с COVID-19 [2]. Недостатком данного способа является отсутствие в его основе метода определения состава микробиоты кишечника, учитывая ряд исследований, показывающих прямую зависимость тяжести течения COVID-19 и изменения микробиоты кишечника [3, 4, 5]. Гуменюк, Л.Н., Голод, М.В., Силаева, Н.В., Сорокина, Л.Е., Ильясов, С.С., Андрощук, Н.А. и др. в статье: Изменения микробиоты кишечника и их связь с тяжестью заболевания и некоторыми показателями цитокинового профиля у пациентов с COVID-19 // Вестник РГМУ. 2022. №1. С.23-30. DOI: 10.24075/vrgmu.2022.006; описали способ прогнозирования тяжести COVID-19 путем использования шотган-секвенирования для определения состава микробиоты кишечника и Шкалы Оценки Клинического Состояния больных с COVID-19 (ШОКС-КОВИД). Установили сопряженность сниженного содержания бактерий В. dorei, F. prausnitzii и повышенного содержания бактерий Е. faecium с более высокими баллами по ШОКС-КОВИД. Недостатком данного способа является использование дорогостоящего и малодоступного метода определения состава микробиоты кишечника - шотган-секвенирования. Данный способ выбран нами в качестве прототипа. Целью изобретения является разработка способа лабораторно-микробиологического прогнозирования тяжести COVID-19. Новизна исследования - впервые оценены диагностические возможности использования данных бактериологического анализа кала и клинического анализа крови для прогнозирования степени тяжести COVID-19. На их основе, с помощью метода порядковой логистической регрессии, была построена прогностическая модель, определяющая вероятность каждой из степеней тяжести COVID-19 исходя из уровня лейкоцитов в крови и соответствия нормальным показателям количества бактерий рода Clostridium и Lactobacillus и видов Staphylococcus hominis и Enterococcus faecium. Способ позволяет своевременно прогнозировать степень тяжести заболевания и определиться с тактикой ведения пациента. Технический результат Предлагаемый нами способ прогнозирования степени тяжести COVID-19 позволяет прогнозировать три степени тяжести течения заболевания (легкую, среднетяжелую и тяжелую) на его ранней стадии на основе уровня лейкоцитов и состояния микробиоты кишечника с помощью общедоступного и недорогого бактериологического анализа кала вместо дорогостоящего шотган-секвенирования, что позволит лечащему врачу своевременно определить алгоритм ведения пациента. Раскрытие сущности изобретения Было проведено клинико-лабораторное и микробиологическое обследование 60 пациентов, госпитализированных с подтвержденной COVID-19. Медиана возраста пациентов составила 45 лет (Q1-Q3: 35-70). Диагноз заболевания у всех пациентов был верифицирован выявлением РНК SARS-CoV-2 с применением метода ОТ-ПЦР в режиме реального времени. Всем пациентам с COVID-19 при поступлении в стационар выполнен стандартный объем обследования и лечения. Для оценки состояния микробиоты кишечника пациентам выполнялось микробиологическое исследование кала. Забор кала осуществлялся до начала лечения антибактериальными препаратами в одноразовый стерильный контейнер с завинчивающейся крышкой и ложечкой. Для выделения и ориентировочной идентификации микроорганизмов использовались стандартные микробиологические методы исследования согласно Методическим рекомендациям «Методы бактериологического исследования условно патогенных микроорганизмов в клинической микробиологии» (Москва, 1991). Микроорганизмы были идентифицированы до вида при помощи системы VITEK MS, bioMerieux (Франция), представляющей собой масс-спектрометр с использованием технологии MALDI-TOF (времяпролетный спектрометр с матрикс-ассоциированной лазерной десорбцией/ионизацией) согласно Руководству пользователя по рабочему процессу VITEK MS. Клиническое применение Качественные и количественные изменения микробиоты кишечника оценивались согласно нормам качественного и количественного состава основной микрофлоры толстого кишечника у здоровых людей, описанных в Отраслевом стандарте "Протокол ведения больных. Дисбактериоз кишечника" (ОСТ 91500.11.0004-2003), указанные нормы представлены в табл. 1. С помощью метода порядковой логистической регрессии была получена прогностическая модель, позволяющая определить вероятность каждой из степеней тяжести COVID-19 исходя из данных бактериологического анализа кала и уровня лейкоцитов в крови, характеризуемая следующими оценками положения (табл. 2). Исходя из оценок положения, увеличение степени тяжести COVID-19 ожидалось при значениях количественных показателей Enterococcus faecium, превышающих норму, при значениях количественных показателей Lactobacillus spp. ниже нормы и при повышении уровня лейкоцитов в крови, при этом снижение степени тяжести COVID-19 ожидалось при значениях количественных показателей Clostridium spp. и Staphylococcus hominis выше нормы. Пороговые оценки параметров регрессии для зависимой переменной приведены в табл. 3. На основании полученных оценок параметров регрессии был разработан алгоритм расчета вероятности различных степеней тяжести COVID-19 на основе уровня лейкоцитов в крови и соответствия нормальным показателям количества следующих представителей кишечной микробиоты: бактерий Clostridium spp., Lactobacillus spp., Staphylococcus hominis и Enterococcus faecium, определяемого методом бактериологического анализа кала. В результате способ прогнозирования степени тяжести COVID-19 заключается в том, что у пациента с COVID-19 определяют уровень лейкоцитов в крови и соответствие нормальным показателям количества бактерий Clostridium spp., Lactobacillus spp., Staphylococcus hominis и Enterococcus faecium в кале, вычисляют вероятность легкой степени тяжести COVID-19 (I) по формуле (1): Вероятность среднетяжелой степени тяжести COVID-19 (II) вычисляют по формуле (3): Вероятность тяжелого течения COVID-19 (III) вычисляют по формуле (4): где P%(N) - вероятность определенной тяжести COVID-19, XSH - оценка соответствия количественных показателей Staphylococcus hominis норме (0 - нормальные значения, 1 - значения выше нормы), XCl - оценка соответствия количественных показателей Clostridium spp. норме (0 - нормальные значения, 1 - значения выше нормы), XEF - оценка соответствия количественных показателей Enterococcus faecium норме (0 - нормальные значения, 1 - значения выше нормы), XLB - оценка соответствия количественных показателей Lactobacillus spp. норме (0 - нормальные значения, 1 - значения ниже нормы), XLC - уровень лейкоцитов в крови (*109/л). Для определения точности разработанной с помощью метода порядковой логистической регрессии модели прогнозирования тяжести COVID-19 было осуществлено ее тестирование на другой выборке из 60 пациентов. В результате сопоставления ожидаемых и наблюдаемых частот отдельных значений зависимой переменной с помощью критерия согласия Пирсона была установлена высокая степень приближения, различия частот оказались статистически не значимыми (р=0,951). В соответствии со значением критерия псевдо-R2 Найджелкерка, факторы, вошедшие в модель, объясняли 100% дисперсии зависимой переменной. С помощью метода ранговой корреляции Спирмена между ожидаемыми и наблюдаемыми значениями степени тяжести COVID-19 была установлена статистически значимая корреляционная связь высокой тесноты по шкале Чеддока (р=0,814; р<0,001). Чувствительность разработанной модели при прогнозировании легкой степени тяжести COVID-19 составила 80,0% (16 случаев из 20), при прогнозировании среднетяжелой степени - 87,5% (28 случаев из 32), при прогнозировании тяжелой - 100,0%) (8 случаев из 8). Осуществление изобретения Способ реализуется следующим образом. Проводят у пациента клинический анализ крови и определяют уровень лейкоцитов. Проводят бактериологическое исследование кала на дисбиоз кишечника и определяют соответствие нормальным показателям количества бактерий Clostridium spp., Lactobacillus spp., Staphylococcus hominis и Enterococcus faecium, согласно табл. 4. Вычисляют вероятность легкой степени тяжести COVID-19 (I) по формуле (1): Вычисляют вероятность среднетяжелой степени тяжести COVID-19 (II) вычисляют по формуле (3): Вычисляют вероятность тяжелого течения COVID-19 (III) вычисляют по формуле (4): где P%(N) - вероятность определенной тяжести COVID-19, XSH - оценка соответствия количественных показателей Staphylococcus hominis норме (0 - нормальные значения, 1 - значения выше нормы), XCl - оценка соответствия количественных показателей Clostridium spp. норме (0 - нормальные значения, 1 - значения выше нормы), XEF - оценка соответствия количественных показателей Enterococcus faecium норме (0 - нормальные значения, 1 - значения выше нормы), XLB - оценка соответствия количественных показателей Lactobacillus spp. норме (0 - нормальные значения, 1 - значения ниже нормы), XLC - уровень лейкоцитов в крови (* 109/л). Способ иллюстрируется следующими примерами из клинической практики. Пример 1. У пациента 37 лет с COVID-19 на первые сутки болезни по данным клинического анализа крови определен уровень лейкоцитов в крови 12,3*109/л и взят кал на бактериологическое исследование на дисбактериоз. На третьи сутки заболевания по результатам бактериологического анализа кала получены следующие количественные показатели: Clostridium spp. - 107(выше нормы <=105); Lactobacillus spp. - 108 (соответствует норме 107- 108); Staphylococcus hominis - нет роста (соответствует норме <=104), Enterococcus faecium - 106 (соответствует норме - 105- 108). Вычислили вероятность легкой степени тяжести COVID-19 (I) по формуле (1): Вычисляют вероятность среднетяжелой степени тяжести COVID-19 (II) вычисляют по формуле (3): Вычисляют вероятность тяжелого течения COVID-19 (III) вычисляют по формуле (4): Впоследствии на основании комплекса клинико-лабораторных показателей у этого пациента была диагностирована легкая степень тяжести COVID-19. Температура тела не превышала 38°С, отсутствовала одышка, сатурация кислорода крови не опускалась ниже 95%, отсутствовали типичные для вирусного поражения изменения при компьютерной томографии легких. Пример 2. У пациента 27 лет с COVID-19 на вторые сутки болезни по данным клинического анализа крови определен уровень лейкоцитов в крови 14,2*109/л и взят кал на бактериологическое исследование на дисбактериоз. На четвертые сутки заболевания по результатам бактериологического анализа кала получены следующие количественные показатели: Clostridium spp. - нет роста (соответствует норме <=105); Lactobacillus spp. - 105 (ниже нормы 107-108); Staphylococcus hominis - 106 (выше нормы <=104), Enterococcus faecium - 106 (соответствует норме 105-108). Вычислили вероятность легкой степени тяжести COVID-19 (I) по формуле (1): Вычисляют вероятность среднетяжелой степени тяжести COVID-19 (II) вычисляют по формуле (3): Вычисляют вероятность тяжелого течения COVID-19 (III) вычисляют по формуле (4): У пациента на момент первичного осмотра не было показаний к госпитализации и степень тяжести COVID-19 оценивалась как легкая. Максимальная температура тела составляла 37,8 С, отсутствовала одышка, сатурация кислорода крови не опускалась ниже 95%, отсутствовали типичные для вирусного поражения изменения при компьютерной томографии легких. Впоследствии пациент повторно обратился в стационар и уже на основании комплекса клинико-лабораторных показателей была диагностирована средняя степень тяжести COVID-19. Максимальная температура тела составила 39,2°С, одышки не наблюдалось, сатурация кислорода крови не опускалась ниже 95%, при компьютерной томографии в легких присутствовали типичные для вирусного поражения изменения (10% КТ-1), уровень С-реактивного белка в сыворотке крови 60 мг/л. Соответственно при получении, согласно данной прогностической модели, высокой вероятности развития средней степени тяжести COVID-19 необходимо более тщательно проводить динамическое наблюдение, чтобы не пропустить ухудшения течения заболевания и развития пневмонии. Пример 3. У пациента 35 лет с COVID-19 на первые сутки болезни по данным клинического анализа крови определен уровень лейкоцитов в крови 11,52*109/л и взят кал на бактериологическое исследование на дисбактериоз. На третьи сутки заболевания по результатам бактериологического анализа кала получены следующие количественные показатели: Clostridium spp. - нет роста (соответствует норме <=105); Lactobacillus spp. - нет роста (ниже нормы 107-108); Staphylococcus hominis - нет роста (соответствует норме <=104), Enterococcus faecium - 1010 (выше нормы - 105-108). Вычислили вероятность легкой степени тяжести COVID-19 (I) по формуле (1): Вычисляют вероятность среднетяжелой степени тяжести COVID-19 (II) вычисляют по формуле (3): Вычисляют вероятность тяжелого течения COVID-19 (III) вычисляют по формуле (4): Полученная почти 100% вероятность наступления тяжелого течения COVID-19 обусловило ведение пациента по алгоритму, предназначенному для тяжелой формы COVID-19 с применением блокаторов цитокинового шторма. Впоследствии на основании комплекса клинико-лабораторных показателей у этого пациента была диагностирована тяжелая степень тяжести COVID-19. Максимальная температура тела составила 39,6°С, пациент жаловался на одышка, максимальная ЧДД составила 35 в минуту, минимальная сатурация кислорода крови составила 89%, пациент нуждался в кислородной поддержке, при компьютерной томографии в легких присутствовали типичные для вирусного поражения изменения (65% КТ-3), уровень С-реактивного белка в сыворотке крови 74 мг/л. Таким образом, предлагаемый способ позволяет прогнозировать три степени тяжести течения заболевания с чувствительностью при прогнозировании легкой степени тяжести COVID-19 - 80,0%, при прогнозировании среднетяжелой степени - 87,5%, при прогнозировании тяжелой - 100,0% на его ранней стадии на основе уровня лейкоцитов и состояния микробиоты кишечника с помощью общедоступного и недорогого бактериологического анализа кала вместо дорогостоящего шотган-секвенирования, что позволит лечащему врачу своевременно определить алгоритм ведения пациента. Использованные источники 1. Патент N 2754776 Российская Федерация, МПК G01N 33/49 (2006.01) G01N 33/90 (2006.01). Способ клинико-лабораторного прогнозирования тяжести COVID-19: заявл. 27.05.2021: опубликовано 07.09.2021 / Константинов Д.Ю., Недугов Г.В., Попова Л.Л., Лунина А.В., Любушкина А.В., Кирюхин А.И., Константинова Е.А. (Заявитель СГМУ. - 7 с.: ил. - Текст: непосредственный). 2. Мареев, В.Ю. Как оценивать результаты лечения больных с новой коронавирусной инфекцией (COVID-19)? Шкала Оценки Клинического Состояния (ШОКС-КОВИД) / В.Ю. Мареев, Ю.Л. Беграмбекова, Ю.В. Мареев // Кардиология. - 2020. - Т. 60, №11. - С.35-41. - DOI 10.18087/cardio.2020.11.n1439.-EDN JSUEXX. 3. Tang, Lingling, et al. "Clinical Significance of the Correlation between Changes in the Major Intestinal Bacteria Species and COVID-19 Severity." Engineering, vol. 6, no. 10, Oct. 2020, pp. 1178-84. DOI.org (Crossref), https://doi.org/10.1016/j.eng.2020.05.013. 4. Cao, Jiabao, et al. "Integrated Gut Virome and Bacteriome Dynamics in COVID-19 Patients." Gut Microbes, vol. 13, no. 1, Jan. 2021, p. 1887722. DOI.org (Crossref), https://doi.org/10.1080/19490976.2021.1887722. 5. Wu, Yongjian, et al. "Altered Oral and Gut Microbiota and Its Association with SARS-CoV-2 Viral Load in COVID-19 Patients during Hospitalization." Npj Biofilms and Microbiomes, vol. 7, no. 1, July 2021, p. 61. DOI.org (Crossref), https://doi.org/10.1038/s41522-021-00232-5.



























