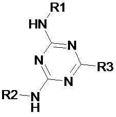
Изобретение относится к химии и фармакологии, а именно, к применению фармацевтической композиции для подавления репликации бета-коронавирусов. Указанная фармацевтическая композиция включает: (а) производное 1,3,5-триазин-2,4-диамина общей формулы I
, где R1 и R2 – арил без заместителя, R3 – гексаметилениминил; и (b) фармацевтически приемлемые добавки. Изобретение обеспечивает высокую эффективность подавления репликации бета-коронавирусов, включая SARS-CoV-2. 2 з.п. ф-лы, 1 табл., 7 пр.
1. Применение фармацевтической композиции для подавления репликации бета-коронавирусов, включающей (а) производное 1,3,5-триазин-2,4-диамина общей формулы I и (b) фармацевтически приемлемые добавки: где R1 и R2 представляют собой арил без заместителя, а R3 представляет собой гексаметилениминил. 2. Применение по п. 1, характеризующееся тем, что R1 представляет собой заместитель, выбранный из фенила, нафталин-2-ила; R2 представляет собой заместитель, выбранный из фенила, нафталин-2-ила; R3 представляет собой гексаметиленимин-1-ил-. 3. Применение по п. 1, характеризующееся тем, что композицию используют для подавления репликации SARS-CoV-2.
(I),
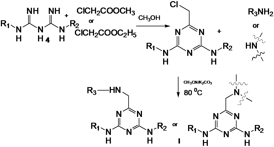
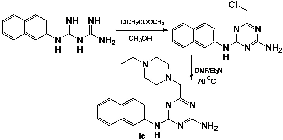
Область техники Группа изобретений относится к области фармакологии и медицины, а именно, к фармацевтической композиции, включающей известное соединение - производное 1,3,5-триазин-2,4-диамина формулы (I) для лечения заболеваний, вызванных бета-коронавирусами, включая SARS-CoV-2. Уровень техники Вспышка COVID-19, вызванная SARS-CoV-2, по всему миру и связанные с ней последствия, являются угрозой для общественного здравоохранения и экономики многих стран. Отсутствие специальной терапии против нового вируса требует поиска лекарственных средств, противодействующих инфекции. Коронавирусы (Coronaviridae) - это большое семейство РНК-содержащих вирусов, способных инфицировать человека и некоторых животных. Современная классификация включает четыре группы - альфа-, бета-, гамма- и дельта-коронавирусы [Helena Jane Maier, Erica Bickerton, Paul Britton / Coronaviruses: An Overview of Their Replication and Pathogenesis // Coronaviruses. - 2015; 1282: 1-23]. Род Betacoronavirus считается наиболее опасным для человека. У людей коронавирусы могут вызывать целый ряд заболеваний - от легких форм острой респираторной инфекции до тяжелого острого респираторного синдрома. В частности, три коронавируса из известных β-коронавирусов - SARS-CoV-1, MERS-CoV и SARS-CoV-2 (источник пандемии COVID-19), вызывают более тяжелые симптомы и приводят к более высокому уровню смертности. При этом отсутствуют специфические высокоэффективные терапевтические средства, проявляющие высокую биологическую активность в ингибировании репродукции бета-коронавируса. Во всем мире ведется интенсивный поиск терапевтических средств для профилактики и лечения COVID-19. В этой связи Всемирная организация здравоохранения и национальные министерства здравоохранения выпускают постоянно обновляющиеся методические рекомендации по профилактике, диагностике и лечению коронавирусной инфекции с использованием существующих терапевтических средств, ранее предназначенных для других вирусных инфекций (грипп, СПИД, Эбола и др.). Наиболее широкое распространение при лечении COVID-19 на сегодняшний день получил препарат Фавипиравир (ФВП) [https://static-0.rosminzdrav.ru/system/attachments/attaches/000/050/584/original/03062020_%D0%9CR_COVID-19_v7.pdf], где в качестве действующего вещества использован 6-фторо-3-гидрокси-2-пиразинкарбоксамид, а также Ремдесивир (РМД) [https://nypost.com/2020/05/01/fda-approves-remdesivir-as-emergeney-coronavirus-treatment/], и Апротинин (АПР) [A. Azimi.TMPRSS2 inhibitors, Bromhexine, Aprotinin, Camostat and Nafamostat as potential treatments for COVID-19 [pfile:///C:/Users/av/Downloads/ TMPRSS2inhibitors.pdf]. Известно применение даларгина (диацетата гексапепида) для лечения коронавирусной инфекции COVID-19 [Патент RU2728939, 2020], который входит в состав коммерчески доступных средств, используемых ранее для лечения язвенной болезни желудка и двенадцатиперстной кишки, панкреатита и панкреонекроза. Препарат может быть использован в форме ингаляций или инъекций, при этом лекарственное средство содержит даларгин в количестве от 0,1 до 50 мг в одной дозе. Известно применение статинов, используемых для снижения и контроля уровня холестерина, снижения смертности, вероятности развития и тяжести сердечно-сосудистых катастроф - таких, как инфаркт миокарда и инсульт, в терапии коронавирусной инфекции [Патент CN111603465, 2020; CN111632053, 2020; CN111588720, 2020; CN111617065, 2020; CN111588719, 2020]. Лекарственное средство находится в форме геля, мягкой капсулы, перорального препарата, инъекции, лиофилизированного порошка для инъекций или раствора для инфузии. Однако известные до сих пор соединения и средства, предлагаемые для лечения COVID-19, имеют несколько недостатков, которые препятствуют их широкому применению. Так, Фавипиравир показал в экспериментах на культурах клеток Vero E6 почти полную неспособность подавлять репликацию коронавируса SARS-CoV-2, так как его эффективная концентрация 50% подавления репликации этого коронавируса равна всего лишь EC50 = 61.88 μM, а индекс селективности (отношение цитотоксичности к EC50) весьма невысок SI > 6.46 [ M. Wang, R. Cao, L. Zhang, X. Yang, J. Liu, M. Xu, Z. Shi, Z. Hu, W. Zhong, G. Xiao / Remdesivir and chloroquine effectively inhibit the recently emerged novel coronavirus (2019-nCoV) in vitro // Cell Res. – 2020; 30; 269–271. https://doi.org/10.1038/s41422-020-0282-0; Carmen Gil, Tiziana Ginex, Inés Maestro, Vanesa Nozal, Lucía Barrado-Gil, Miguel Ángel Cuesta-Geijo, Jesús Urquiza, David Ramírez, Covadonga Alonso, Nuria E Campillo, Ana Martinez / COVID-19: Drug targets and potential treatments // J Med Chem. – 2020; 63(21); 12359-12386, doi: 10.1021/acs.jmedchem.0c00606]; кроме того, фавипиравир показал низкую эффективность лечения в клинических испытаниях, и для него нет пока надежных доказательств отсутствия побочных эффектов [Annoor Awadasseid, Yanling Wu, Yoshimasa Tanaka, Wen Zhang / Effective drugs used to combat SARS-CoV-2 infection and the current status of vaccines // Biomedicine & Pharmacotherapy. – 2021; 137111330; https://doi.org/10.1016/j.biopha.2021.111330]. То есть Фавипиравир обладает достаточно высокой цитотоксичностью, недостаточно эффективно подавляет репликацию коронавируса SARS-CoV-2, обладает низким индексом селективности. Известен ряд публикаций, в которых представлены данные о SARS – CoV, касающиеся пространственной атомистической модели его основной протеазы [Anand, K., Ziebuhr, J., Wadhwani, P., et al. / Coronavirus main proteinase (3CLpro) structure: basis for design of anti–SARS drugs // Science. – 2003; 300(5626), 1763–1767], экспериментальной кристаллической структуры [Yang, H., Yang, M., Ding, Y., et al. / The crystal structures of severe acute respiratory syndrome virus main protease and its complex with an inhibitor // Proceedings of the National Academy of Sciences of the United States of America. – 2003; 100(23), 13190–13195], и ключевой роли Mpro в репликации SARS – CoV и MERS – CoV [Anand, K., Yang, H., Bartlam, M., et al. / Coronavirus main proteinase: target for antiviral drug therapy // BT – Coronaviruses with Special Emphasis on First Insights Concerning SARS, pp. 173–199. Birkh¨auser Basel (2005)]. В 2003–2015 гг. были найдены обратимые и необратимые ингибиторы основной протеазы SARS – CoV [Pillaiyar, T., Manickam, M., Namasivayam, V., et al. / An Overview of Severe Acute Respiratory Syndrome-Coronavirus (SARS–CoV) 3CL Protease Inhibitors: Peptidomimetics and Small Molecule Chemotherapy // Journal of Medicinal Chemistry. – 2016; 59(14), 6595–6628], однако большинство из них были слабыми ингибиторами, и ни один из них не прошел клинических испытаний. Основная протеаза и несколько других белков SARS-CoV-2 были идентифицированы в качестве терапевтической мишени для препаратов против COVID – 19. Высококачественные 3D-структуры SARS – CoV – 2 Mpro в форме апо с различными ингибиторами депонированы в Protein Data Bank [Berman, H.M., Westbrook, J., Feng, Z., et al. / The Protein Data Bank // Nucleic Acids Research. – 2000; 28(1), 235–242]. Выявлено, что SARS-CoV-2 Mproимеет каталитическую диаду цистеин-гистидин: Cys145 и His41. Данные сведения были использованы при поиске соединений среди известных, в качестве основных ингибиторов протеазы SARS, которые можно было бы отнести к группе соединений-кандидатов, обладающих потенциальной противовирусной биологической активностью в отношении бета-коронавирусов для дальнейшей экспериментальной проверки. Недостатком всех вышеперечисленных соединений является их низкая эффективность связывания с указанной мишенью, быстрое снижение концентрации с периодом полувыведения около 1 часа и, как следствие, необходимость использования доставляемых препаратов в более высоких концентрациях, что может вызывать нежелательные реакции у пациентов, перечисленные ранее. Заявляемое изобретение основано на использовании известного соединения - производного 1,3,5-триазин-2,4-диамина, для лечения заболеваний, вызванных бета-коронавирусами, в т.ч. SARS-CoV-2, которое продемонстрировало ингибирование репликации бета-коронавирусов, и может быть рекомендовано для использования в терапии COVID - 19. Из уровня техники известны соединения, представляющие собой производные 1,3,5-триазино-2,4-диамина, и способы их получения, основанные на реакции замещения галогенов в положениях 2,4,6 триазинового цикла под действием N-нуклеофилов или замыкании триазинового кольца в реакции замещенных бигуанидинов с эфирами карбоновых кислот. 1,3,5-Триазино-2,4-диамины обладают широким спектром биологической активности. Так N,N1-бис-бензо[1,3]диоксол-5-ил-6-морфолин-4-ил-[1,3,5]триазин-2,4-диамины и N-бензо[1,3]диоксол-5-ил-6-морфолин-4-ил-[1,3,5]триазин-2,4-диамины проявляют активность в отношении вируса гриппа H1N1 [Патент UA100048, 2015, Патент UA86038, 2013]. 1,3,5-Триазино-2,4-диамины эффективны при лечении вируса иммунодефицита человека [Патент US6380194, 2002, Патент US6372729, 2002, Mibu, Nobuko; Yokomizo, Kazumi; Yuzuriha, Ai; Otsubo, Marie; Kawaguchi, Yuna; Sano, Marina; Sakai, Izumi; Nakayama, Keita; Zhou, Jian-Rong; Sumoto, Kunihiro / Heterocycles, 2017, vol. 94, Is. 9, p. 1653]. Введение в молекулу триазина заместителя, содержащего гидразиновый или гидразоновый фрагмент приводит к проявлению противотуберкулезной активности [Dave; Patel; Langalia; Thaker / Journal of the Indian Chemical Society, 1984, vol. 61, Is. 3, p. 237, Ahn, Yong-Mo; et al. Cell Chemical Biology, 2020, vol. 27, Is. 2, p. 172 - 185]. Вышесказанное подтверждает высокое биологическое действие производных 1,3,5-триазина. Наиболее близким к заявляемому (прототипом) является Фавипиравир [. Wang, R. Cao, L. Zhang, X. Yang, J. Liu, M. Xu, Z. Shi, Z. Hu, W. Zhong, G. Xiao / Remdesivir and chloroquine effectively inhibit the recently emerged novel coronavirus (2019-nCoV) in vitro // Cell Res. – 2020; 30; 269–271. https://doi.org/10.1038/s41422-020-0282-0], который по своей химической природе является шестичленным азотсодержащим гетероциклом, так же, как и заявляемые соединения. Однако необходимо отметить, что Фавипиравир недостаточно эффективно подавляет репликацию коронавируса SARS-CoV-2 (значения EC50=62,88), обладает достаточно высокой цитотоксичностью и низким индексом селективности. Соединения формулы I, существенно превосходят Фавипиравир по эффективности подавления репликации коронавируса SARS-CoV-2 (значения EC50=1,04-28,1) при сравнимых значениях индекса селективности и цитотоксичности. Технической проблемой, решаемой заявляемым изобретением, является поиск соединений для лечения заболеваний, вызванных бета-коронавирусом, включая SARS-CoV-2, вызвавшего пандемию COVID-19, характеризующихся высокой эффективностью за счет подавления репликации коронавируса, и обладающих низкой токсичностью. Раскрытие изобретения Техническим результатом изобретения является создание фармацевтической композиции, включающей производное 1,3,5-триазин-2,4-диамина для подавления репликации бета-коронавирусов, включая SARS-CoV-2, характеризующейся высокой эффективностью подавления репликации коронавируса в культуре клеток Vero E6 при низких значениях эффективной концентрации EC50(концентрация соединения, которая ингибирует репликацию вируса на 50% и более по сравнению с контролем) Технический результат достигается фармацевтической композицией, включающей терапевтически эффективное количество производного 1,3,5-триазино-2,4-диамина общей формулы (I) и фармацевтически приемлемые добавки для подавления репликации бета-коронавируса, включая SARS-CoV-2: где R1 и R2 представляют собой заместитель, выбранный из водорода; алкила (С1-С10) неразветвленного или разветвленного строения; арила без заместителей или замещенного по положениям 2,3,4,5,6; гетарила, представляющий собой азот- и/или серу и/или кислородсодержащий пяти- или шестичленный гетероцикл; R3 представляет собой заместитель, выбранный из водорода; или алкила (С1-С10), неразветвленного или разветвленного строения; или арила без заместителей или замещенного по положениям 2,3,4,5,6; или гетарила, где гетарил азот- и/или серу и/или кислородсодержащий пяти- или шестичленный гетероцикл; или алкилNH, где алкил (С1-С10) неразветвленного или разветвленного строения; или арилNH-, где арил без заместителей или замещенного по положениям 2,3,4,5,6; или гетарилNH-, где гетарил азот- и/или серу и/или кислородсодержащий пяти- или шестичленный гетероцикл; или пирролидин-1-ил, пиперидин-1-ил, морфолин-4-ил-, пиперазин-1-ил-, гомопиперазин-1-ил-, тетрагидрохинолин-1-ил-, тетрагидроизохинолин-2-ил-, гексаметилениминил; или R4СН2-, где R4 выбран из алкила (С1-С10), неразветвленного или разветвленного строения; арила без заместителей или замещенного по положениям 2,3,4,5,6; гетарила, где гетарил азот- и/или серу и/или кислородсодержащий пяти- или шестичленный гетероцикл; пирролидин-1-ила, пиперидин-1-ила, морфолин-4-ила-, пиперазин-1-ила-, гомопиперазин-1-ила-, тетрагидрохинолин-1-ила-, тетрагидроизохинолин-2-ила, гексаметилениминила . Предпочтительно, когда R1 представляет собой заместитель, выбранный из фенила, нафталин-2-ила; R2 представляет собой заместитель, выбранный из фенила, нафталин-2-ила; R3 представляет собой заместитель, выбранный из гексаметиленимин-1-ила-, 4-этилпиперидин-1-ила. Заявляемая композиция может быть использована в комплексной терапии заболеваний, вызванных бета-коронавирусами. При этом фармацевтическая композиция может быть представлена в виде единичной дозированной формы или в виде двух или более отдельных готовых фармацевтических форм для последовательного или одновременного введения. Соединение формулы I может быть использовано, как в чистом виде, так и в качестве активнодействующего компонента новых лекарственных форм против коронавирусов. Технический результат достигается также способом лечения заболеваний, вызванных бета-коронавирусом, включая SARS-CoV-2, заключающийся во введении фармацевтической композиции в терапевтически эффективном количестве, при этом частоту и длительность введения выбирают в зависимости от характера и степени выраженности заболевания. Заявляемое изобретение расширяет арсенал средств для лечения и профилактики заболеваний, вызванных коронавирусами. Осуществление изобретения Ниже приведены определения терминов, которые используются в описании настоящего изобретения. «Лекарственное средство (препарат)» - вещество (или смесь веществ в виде фармацевтической композиции), в виде таблеток капсул инъекций, мазей и др. готовых форм предназначенное для восстановления, исправления или изменения физиологических функций у человека и животных, а также для лечения и профилактики болезней, диагностики, анестезии, контрацепции, косметологии и прочего. «Фармацевтическая композиция» обозначает композицию, включающую в себя соединение формулы 1 и, по крайней мере, один из компонентов, выбранных из группы, состоящей из фармацевтически приемлемых и фармакологически совместимых наполнителей, растворителей, разбавителей, носителей, вспомогательных средств, средств доставки, консерванты, стабилизаторы, наполнители, измельчители, увлажнители, эмульгаторы, суспендирующие агенты, загустители, подсластители, отдушки, ароматизаторы. Пролонгированное действие композиции может быть обеспечено с помощью агентов, замедляющих абсорбцию активного начала, например, моностеарат алюминия и желатин. Примерами подходящих носителей, растворителей, разбавителей и средств доставки являются вода, этанол, полиспирты, а также их смеси, растительные масла (такие, как оливковое масло) и инъекционные органические сложные эфиры (такие, как этилолеат). Примерами наполнителей являются лактоза, молочный сахар, цитрат натрия, карбонат кальция, фосфат кальция и им подобные. Примерами измельчителей и распределяющих средств являются крахмал, алгиновая кислота и ее соли, силикаты. Примерами лубрикантов являются стеарат магния, лаурилсульфат натрия, тальк, а также полиэтиленгликоль с высоким молекулярным весом. Фармацевтическая композиция для перорального, сублингвального, внутримышечного, внутривенного, подкожного, одного или в комбинации с другим активным началом, может быть введена животным и людям в стандартной форме введения, в виде смеси с традиционными фармацевтическими носителями. Пригодные стандартные формы введения включают пероральные формы, такие как таблетки, желатиновые капсулы, пилюли, порошки, гранулы, пероральные растворы или суспензии, сублингвальные и трансбуккальные формы введения, аэрозоли, имплантаты, местные, трансдермальные, подкожные, внутримышечные, внутривенные, интраназальные формы введения. Термин «терапевтически эффективное количество» означает количество действующего вещества, которое (1) лечит или предупреждает конкретное заболевание, состояние или расстройство, (2) ослабляет, улучшает или устраняет один или более симптомов конкретного заболевания, состояния или расстройства, или (3) предупреждает или задерживает наступление одного или более симптомов конкретного заболевания, состояния или расстройства, изложенного в данном описании. Термин «терапевтически эффективное количество» означает такое количество соединения формулы (I), которое достаточно для того чтобы обеспечить желаемый терапевтический эффект. При этом суточная доза у взрослых обычно составляет 10 ~ 500 мг, предпочтительно - 50 ~ 300 мг. Поэтому во время приготовления из фармацевтической композиции лекарственного средства по настоящему изобретению в виде единиц дозировки необходимо учитывать вышеназванную эффективную дозировку, при этом каждая единичная дозировка препарата должна содержать 1 ~ 500 мг средства общей формулы I предпочтительно - 10 ~ 300 мг. В предпочтительном варианте, терапевтически эффективное количество составляет от 0,01 до 1 мг/кг веса тела субъекта. В соответствии с указаниями врача или фармацевта данные препараты могут приниматься несколько раз в течение определенных промежутков времени (предпочтительно – от одного до шести раз). При этом, дозировка средства, содержащего соединение общей формулы (I), у пациентов может корректироваться в зависимости от терапевтической эффективности и биодоступности активного ингредиента в организме, скорости их обмена и выведения из организма, а также в зависимости от возраста, пола и стадии заболевания пациента. Лекарственные средства могут вводиться перорально или парентерально (например, внутривенно, подкожно, внутрибрюшинно или местно). EC50, или концентрация полумаксимального ингибирования - показатель эффективности лиганда при ингибирующем биохимическом или биологическом взаимодействии. EC50является количественным индикатором, который показывает, сколько нужно лиганда-ингибитора для ингибирования биологического процесса на 50%, в том числе подавления репликации вируса в культуре клеток. IC50 – концентрация полумаксимального ингибирования белка-мишени в экспериментах с флюорогенным субстратом в тестовой системе белок-субстрат-ингибитор. ТC50 или CC50 – концентрация препарата, при которой наблюдается 50% гибель исследуемой клеточной культуры. SI – индекс селективности, отношение токсичности соединения и ингибирующей активности против бета-коронавируса (TC50 / IC50). Биологическая активность соединения формулы (I), заключающаяся в ингибировании репродукции бета-коронавируса, была предварительно выявлена при помощи метода молекулярного моделирования. На основании докинга были выявлены производные 1,3,5-триазино-2,4-диаминов с лучшими параметрами, которые в последующем нашли экспериментальные подтверждения их ингибирующей активности. Молекулярный докинг был реализован с использованием разработанной в МГУ имени М.В.Ломоносова программы SOL [Романов А.Н., Кондакова О.А., Григорьев Ф.В., Сулимов А.В., Лущекина С.В., Мартынов Я.Б., Сулимов В.Б. / Компьютерная разработка лекарств: программа докинга SOL // Вычислительные методы и программирование. – 2008; 9(2); 64-84; Sulimov V.B., Ilin I.S., Kutov D.C., Sulimov A.V. / Development of docking programs for Lomonosov supercomputer // Journal of the Turkish Chemical Society Section A: Chemistry. – 2020; 7 (1); 259-276], определяющей энергию связывания белок-лиганд, и получившей международное признание среди аналогичных программных продуктов [Alexey V. Sulimov, Danil C. Kutov, Igor V. Oferkin, Ekaterina V. Katkova, and Vladimir B. Sulimov / Application of the Docking Program SOL for CSAR Benchmark // J. Chem. Inf. Model. – 2013; 53; 1946−1956]. Выявленная группа соединений затем была дополнительно проверена с помощью квантово-химического полуэмпирического метода PM7 [Sulimov A.V., Kutov D.C., Taschilova A.S., Ilin I.S., Stolpovskaya N.V., Shikhaliev Kh S., Sulimov V.B. / In search of non-covalent inhibitors of SARS-CoV-2 main protease: Computer aided drug design using docking and quantum chemistry // Supercomputing Frontiers and Innovations. – 2020; 7 (3); 41-56] с континуальной моделью растворителя: дополнительная локальная оптимизация из найденного при докинге положения лиганда в белке и вычисление энтальпии связывания белок-лиганд. Для эксперимента были отобраны соединения, молекулы которых по данной мишени имели достаточно отрицательный скор докинга и достаточно отрицательную энтальпию связывания белок-лиганд. Именно среди этих соединений, отобранных на основании их высокой энергии связывания с главной протеазой коронавируса SARS-CoV-2, были обнаружены соединения, эффективно подавляющие репликацию этого коронавируса в культуре клеток Vero E6. Соединения N,N’-дифенил-6-гексаметиленимин-1-ил-1,3,5-триазин-2,4-диамин (Ia) и N,N’-нафталин-2-ил-6-гексаметиленимин-1-ил-1,3,5-триазин-2,4-диамин (Ib) не только подавляют репликацию коронавируса SARS-CoV-2 в культуре клеток Vero E6 с эффективной концентрацией EC50 = 1.04 и 18.19 μM, но и ингибируют главную протеазу коронавируса SARS-CoV-2 с эффективной ингибирующей концентрацией IC50 = 20.70 и 6.25 μM, соответственно. Отобранные соединения эффективно подавляют репликацию бета-коронавирусов в клеточных культурах. Далее представлено более подробное описание примеров осуществления данного изобретения с достижением заявленного результата. Приведенные ниже примеры иллюстрируют, но не ограничивают данное изобретение. Все используемые реагенты являются коммерчески доступными, контроль за ходом реакции осуществляли при помощи тонкослойной хроматографии (ТСХ), и время реакции указано только для иллюстрации; структуру и чистоту всех выделенных соединений подтверждали, по меньшей мере, одним из следующих методов: ТСХ (пластины для ТСХ с предварительно нанесенным силикагелем 60 F254 Merck), масс-спектрометрия или ядерный магнитный резонанс (NMR). Выход продукта приведен только для иллюстрации.1H NMR спектры были зарегистрированы на спектрометре Agilent MR 400+ (на рабочих частотах 400 и 100 MHz, соответственно) при нормальных условиях в растворах DMSO-D6если не указано иное, относительно тетраметилсилана (TMS) в качестве внутреннего стандарта, миллионных долях (м.д.). Хроматографический анализ проводился на приборе Agilent Technologies 1260 infinity с масс-детектором Agilent 6230 TOF LC/MS (времяпролетный детектор масс высокого разрешения), метод ионизации – двойное электрораспыление (dual-ESI). Запись и регистрация сигналов проводилась в положительной полярности; небулайзер (N2) 20 psig, газ-осушитель (N2) 6 мл/мин, 325 °C; диапазон обнаружения масс составляет 50-2000 Дальтон. Напряжение на капилляре 4.0 кВ, фрагментаторе +191 В, скиммере +66 В, OctRF 750 В. Условия хроматографирования: колонка Poroshell 120 EC-C18 (4.6 x 50 мм; 2.7 мкм). Градиентное элюирование: ацетонитрил/вода (0,1 % муравьиной кислоты); скорость потока 0.4 мл/мин. Программное обеспечение для обработки результатов исследований – MassHunter Workstation / Data Acquisition V.06.00. Температуры плавления определены на аппарате Stuart SMP30. Все процедуры, если не оговорено отдельно проводили при комнатной температуре или температуре окружающей среды, т.е. в диапазоне 20-25°С. Высушивание продуктов до постоянного веса проводили при температуре 35-45°С при атмосферном давлении или с использованием вакуум-сушильного шкафа при остаточном давлении 0,35±0,005 кг/см2(35±5 кПа). Для промывания осадков/фильтрата использовали дистиллированную воду, если не оговорено особо. Целевые 1,3,5-триазино-2,4-диамины I получены по известным методикам, описанным ранее [Патенты EP1479397, 2004 г; WO2016/133446, 2016; WO2018/122775, 2018; Saczewski, Bulakowska / Synthesis of 2,4-diamino-1,3,5-triazine analogues of methotrexate with potential antitumor activity // Polish Journal of Chemistry. – 2005; 79(4), 739]. Синтез осуществляли двумя вариантами. Первый вариант предполагает последовательное замещение хлора в цианурхлориде под действием различных N-нуклеофилов: алифатических аминов (алкил (С1-С10), неразветвленного или разветвленного строения), ароматических аминов (где арил – фенил или нафтил без заместителей или замещенного по положениям 2,3,4,5,6), гетероцикических аминов (где гетарил азот- и/или серу и/или кислородсодержащий пяти- или шестичленный гетероцикл), циклических аминов (пирролидин, пиперидин, морфолин, пиперазин, гомопиперазин, тетрагидрохинолин, тетрагидроизохинолин, гексаметиленимин) (Схема 1). Схема 1 Второй вариант заключается в гетероцилизации бигуанидинов, содержащих различные заместители у N1 и/или N5 (алкил (С1-С10), неразветвленного или разветвленного строения, арил без заместителей или замещенный по положениям 2,3,4,5,6; гетарил, где гетарил азот- и/или серу и/или кислородсодержащий пяти- или шестичленный гетероцикл), или их солей с эфирами алифатических карбоновых кислот (алкил (С1-С10), неразветвленного или разветвленного строения) (Схема 2). Схема 2 При использовании эфира монохлоруксусной кислоты реализуют дальнейшую модификацию 6-хлорметил-1,3,5-триазин-2,4-диаминов под действием различных аминов (алифатических аминов (алкил (С1-С10), неразветвленного или разветвленного строения), ароматических аминов (где арил – фенил или нафтил без заместителей или замещенного по положениям 2,3,4,5,6), гетероцикических аминов (где гетарил азот- и/или серу и/или кислородсодержащий пяти- или шестичленный гетероцикл), циклических аминов (пирролидин, пиперидин, морфолин, пиперазин, гомопиперазин, тетрагидрохинолин, тетрагидроизохинолин, гексаметиленимин)) для получения замещенных 6-аминометил-1,3,5-триазин-2,4-диаминов (Схема 3). Схема 3 Схемы синтеза соединений I, способы их получения, а также спектральные данные, физико-химические характеристики представлены в примерах ниже. ПРИМЕР 1 Синтез N,N’-дифенил-6-гексаметиленимин-1-ил-1,3,5-триазин-2,4-диамина (Ia) проводили по первому варианту (Схема 4), по известной методике [Патент EP1479397, 2004 г] из N,N’-дифенил-6-хлор-1,3,5-триазин-2,4-диамина. Схема 4 Смесь 0,01 моль N,N’-дифенил-6-хлор-1,3,5-триазин-2,4-диамина, 0,0105 моль гексаметилимина и 0,011 моль карбоната калия в 50 мл ацетонитрила нагревали до 80 °С в течение 3 часов. Смесь охлаждали и выливали в 200 мл холодной воды. Осадок отфильтровывали, промывали водой, сушили, перекристаллизовывали из диоксана. Выход 92%. Белый порошок, температура плавления 160-161 °C; 1.50-1.52 (м, 4H, 2CH2(γ)), 1.68-1.72 (м, 4H, 2CH2 (β)), 3.67-3.72 (т, ПРИМЕР 2 Синтез N,N’-нафталин-2-ил-6-гексаметиленимин-1-ил-1,3,5-триазин-2,4-диамина (Ib) проводили по первому варианту (Схема 5), по известной методике [Патент EP1479397, 2004 г] из N,N’-динафталин-2-ил-6-хлор-1,3,5-триазин-2,4-диамина. Схема 5 Синтез проводили аналогично примеру 1, при этом в качестве исходного реагента использовали N,N’-динафталин-2-ил-6-хлор-1,3,5-триазин-2,4-диамин. Выход 93%. Белый порошок, температура плавления 164-165 °C; 1.41-1.49 (м, 4H, 2CH2(γ)), 1.53-1.61 (м, 4H, 2CH2 (β)), 3.52-3.58 (м, 4H, 2CH2(α)), 7.37 (т, ПРИМЕР 3 Синтез N-нафталин-2-ил-6-(4-этилпиперазин-1-ил)-1,3,5-триазин-2,4-диамина (Ic) проводили по второму варианту (Схема 6), по известной методике [Saczewski, Bulakowska / Synthesis of 2,4-diamino-1,3,5-triazine analogues of methotrexate with potential antitumor activity // Polish Journal of Chemistry. – 2005; 79(4), 739] из N-нафталин-2-ил-6-хлорметил-1,3,5-триазин-2,4-диамина. Схема 6 0.01 моль N-нафталин-2-ил-6-хлорметил-1,3,5-триазин-2,4-диамина растворяли в 50 мл диметилформамида, добавляли 0.01 моль 4-этилпиперазина и 3 мл триэтиламина. Нагревали при 60-70оС в течение 2 ч. Смесь охлаждали и выливали в 200 мл холодной воды. Осадок отфильтровывали, промывали водой, сушили, перекристаллизовывали из диоксана. Выход 87%. Белый порошок, температура плавления 180-181 °C; 0.96 (т, Также были синтезированы соединения и с другими вариантами радикалов, приведенных в общей формуле I, которые продемонстрировали схожую активность в ингибировании репликации бета-коронавирусов, включая SARS-Cov-2. ПРИМЕР 4 Исследование активности антивирусных химически синтезированных соединений против коронавируса SARS - CoV- 2 Химически синтезированные соединения растворяли в диметилсульфоксиде (ДМСО) до концентрации 10 мг/мл (исходный раствор) и хранили при -20°C. В этом исследовании был использован штамм коронавируса SARS - CoV- 2 гомологичный вирусному изоляту, выделенному в начале пандемии в г. Ухань (КНР). Исследование противовирусной активности проводили с использованием перевиваемой линии клеток Клетки Во всех экспериментах добавляли в инфицированные вирусом клетки в качестве отрицательного контроля в концентрации, соответствующей разведению исходного раствора соединение-ДМСО. Количество жизнеспособных клеток (защищенных от ЦПД вируса соединением) определяли с помощью 3-(4,5-диметилтиазол-2-ил)-2,5-дифенил-2 Для этого к супернатанту клеток добавляем раствор МТТ (50 мкл, 5 мг/мл). Планшет инкубировали в течение 90 мин при 37 °С. Супернатант полностью удаляли, а клетки фиксировали 4% - ным формальдегидом в течение 30 мин. Кристаллы МТТ растворяли в 1 мл 96 % этанола в течение 10 мин. На многофункциональном спектрофотометре xMark (Bio-Rad, USA) измеряли значения оптической плотности (экстинкцию) в 96-луночных планшетах при длине волны 450 нм. В качестве контроля интактного монослоя клеток использовали лунки, не зараженные вирусом. Эффективность ингибирования вирусной репродукции изучаемым соединением определяли по формуле: где ОП – оптическая плотность На каждое разведение соединения использовали по 3 лунки планшета, по которым определяли среднее значение. В таблице 1 приведены результаты определения активности синтезированных соединений против коронавируса SARS - CoV- 2, а также данные по аналогичным исследованиям для Фавипиравира. Таблица 1. *[ M. Wang, R. Cao, L. Zhang, X. Yang, J. Liu, M. Xu, Z. Shi, Z. Hu, W. Zhong, G. Xiao / Remdesivir and chloroquine effectively inhibit the recently emerged novel coronavirus (2019-nCoV) in vitro // Cell Res. – 2020; 30; 269–271; https://doi.org/10.1038/s41422-020-0282-0; Carmen Gil, Tiziana Ginex, Inés Maestro, Vanesa Nozal, Lucía Barrado-Gil, Miguel Ángel Cuesta-Geijo, Jesús Urquiza, David Ramírez, Covadonga Alonso, Nuria E Campillo, Ana Martinez / COVID-19: Drug targets and potential treatments // J Med Chem. – 2020; 63(21); 12359-12386, doi: 10.1021/acs.jmedchem.0c00606] Из приведенной таблицы видно, что все соединения, существенно превосходят Фавипиравир по эффективности подавления репликации коронавируса SARS-CoV-2 при сравнимых значениях индекса селективности. Все указанные соединения общей формулы I сохраняют стабильность в течение длительного времени (1 года) на воздухе при комнатной температуре. Анализ стабильности осуществляли на основе данных хроматографических и спектральных методов анализа. ПРИМЕР 5. Для получения лекарственного средства в форме таблеток смешивают 1600 мг крахмала, 1600 мг измельченной лактозы, 400 мг талька и 1000 мг соединения Iа, спрессовывают в брусок. Полученный брусок измельчают в гранулы и просеивают через сита, собирая гранулы размером 14-16 меш. Полученные гранулы таблетируют в подходящую форму таблетки весом 560 мг. ПРИМЕР 6. Для получения лекарственного средства в форме капсул тщательно смешивают соединение Iа с порошком лактозы в соотношении 2:1. Полученную порошкообразную смесь упаковывают по 250 мг в желатиновые капсулы подходящего размера. ПРИМЕР 7. Получение лекарственного средства в форме инъекционных композиций для внутримышечного, внутрибрюшинного или подкожного введения. Смешивают 500 мг соединения Iа с 300 мг хлорбутанола, 2 мл пропиленгликоля и 100 мл водя для инъекций. Полученный раствор фильтруют, помещают по 1 мл в ампулы и запаивают.
(I)






Соединение TC50 мкМ SI
(TC50/ EC50)EC50, мкМ N,N’-дифенил-6-гексаметиленимин-1-ил-1,3,5-триазин-2,4-диамин (Ia) 8,87 7,57 1,04 N,N’-нафталин-2-ил-6-гексаметиленимин-1-ил-1,3,5-триазин-2,4-диамин (Ib) >217 >11,94 18,19 N-нафталин-2-ил-6-(4-этилпиперазин-1-ил)-1,3,5-триазин-2,4-диамин (Ic) 32,07 1,14 28,1 Фавипиравир* - 6,46 61,88