Изобретение относится к способам измерения остаточного содержания ингибиторов коррозии в пластовых водах. Способ определения концентрации ингибиторов включает циклическую поляризацию металлических электродов в электрохимической ячейке, регистрацию цикловольтамперограмм, учет в качестве одной из электрохимических характеристик количества электричества, равного площади под пиком анодного тока, либо количества электричества, равного суммарной площади анодного и катодного пиков, либо максимального значения силы тока соответствующего пика, построение калибровочной кривой и нахождение по ней неизвестной концентрации ингибитора в аналитическом растворе. Вариантом предлагаемого решения является способ определения концентрации ингибиторов коррозии в пластовой воде, включающий циклическую поляризацию металлических электродов в электрохимической ячейке, регистрацию цикловольтамперограмм и учет их данных с применением регрессионной модели, полученной в результате машинного обучения глубокой нейронной сети на числовых массивах значений силы тока и числовых массивах, несущих информацию о характерных признаках цикловольтамперограмм, рассчитанных автоматически при статистической обработке. Техническим результатом является упрощение процесса определения концентрации ингибитора коррозии. 2 н. и 1 з.п. ф-лы, 3 ил.
1. Способ определения концентрации ингибиторов коррозии в пластовой воде, включающий циклическую поляризацию металлических электродов в электрохимической ячейке, регистрацию цикловольтамперограммы и учет в качестве одной из электрохимических характеристик количества электричества, равного площади под пиком анодного тока цикловольтамперограммы электрода для построения калибровочной кривой, по которой определяют концентрацию ингибитора коррозии в воде, отличающийся тем, что в качестве электродов используют два медных или стальных электрода, в качестве характеристики для построения калибровочной кривой учитывают количество электричества, равное площади под пиком анодного тока окисления меди или стали или максимальное значение силы тока соответствующего пика, при этом регистрацию цикловольтамперограмм производят от четырех до шести раз с определением и выбором для учета данных при построении калибровочной кривой цикловольтамперограммы с максимальным значением силы тока, а значение неизвестной концентрации ингибитора коррозии находят графическим способом или решают уравнение, описывающее калибровочную кривую. 2. Способ определения концентрации ингибиторов коррозии в пластовой воде по п. 1, отличающийся тем, что для построения калибровочной кривой используют кроме количества электричества, равного площади под пиком анодного тока окисления меди или стали, дополнительно количество электричества, равное суммарной площади анодного и катодного пиков тока окисления меди или стали. 3. Способ определения концентрации ингибиторов коррозии в пластовой воде, включающий циклическую поляризацию металлических электродов в электрохимической ячейке, регистрацию цикловольтамперограммы с учетом анодного тока при оценке концентрации ингибитора, отличающийся тем, что в качестве электродов используют два медных или стальных электрода, при оценке концентрации ингибитора учитывают данные цикловольтамперограмм анодного и катодного токов окисления меди или стали, применяя регрессионную модель, полученную в результате машинного обучения глубокой нейронной сети на числовых массивах значений силы тока в соответствующие моменты времени и числовых массивах, несущих информацию о характерных признаках цикловольтамперограмм, рассчитанных автоматически при статистической обработке, при этом регистрацию цикловольтамперограмм для одного измерения проводят от четырех до шести раз, по каждой концентрации ингибитора для обучения нейронной сети проводят не менее одиннадцати параллельных измерений, а общее число измерений равно произведению числа значений концентраций ингибитора на количество параллельных измерений каждой концентрации.
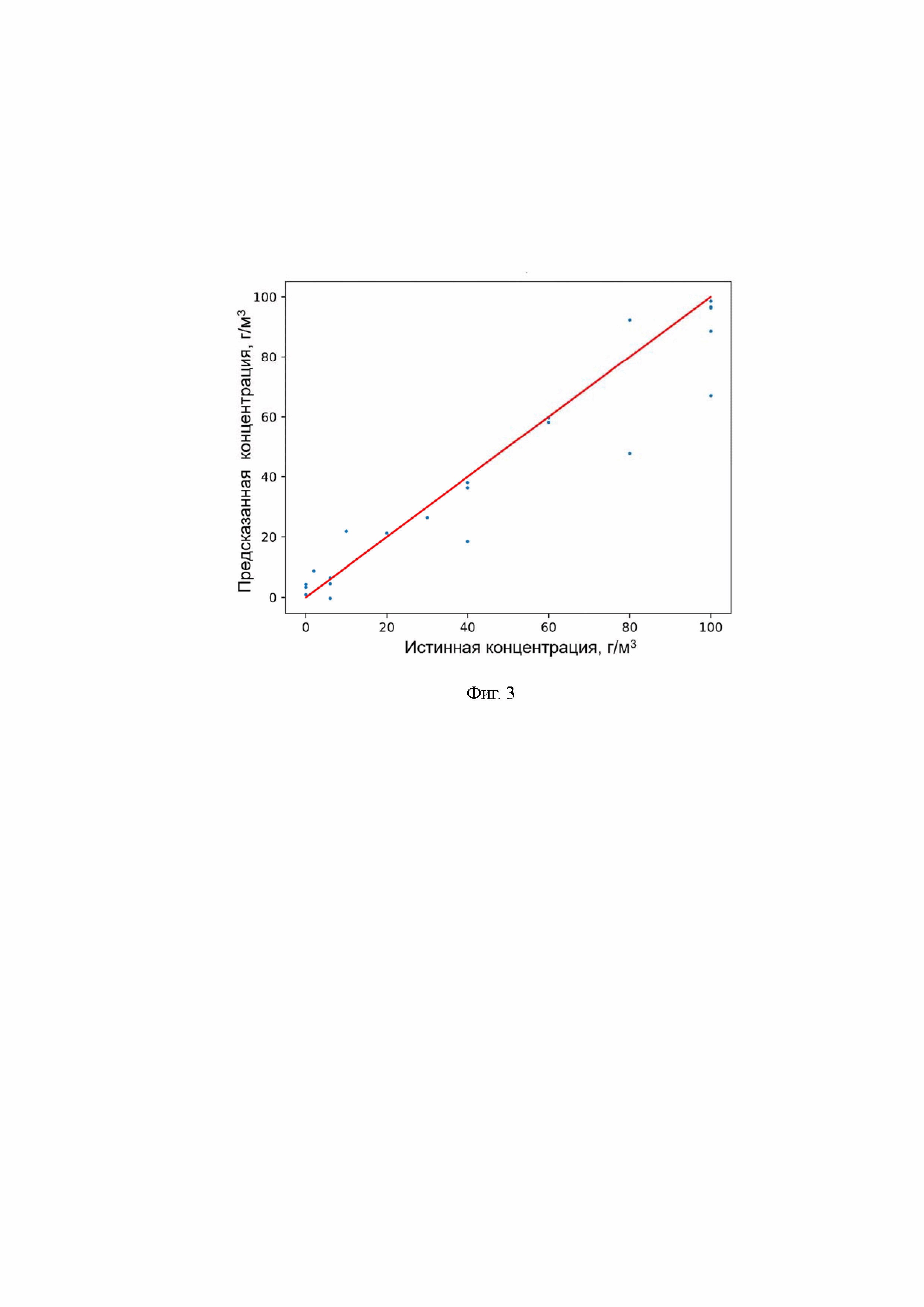
Изобретение относится к нефтегазовой отрасли, в частности к способам измерения остаточного содержания ингибиторов (ОСИ) коррозии в пластовых (попутно добываемых) водах на основе циклической вольтамперометрии, и может быть автоматизировано и использовано непосредственно на технологических объектах по добыче нефти. Ингибиторная защита, наиболее гибкая, универсальная и наименее капиталоёмкая разновидность антикоррозионных мероприятий, позволяет снизить скорость коррозии промысловых трубопроводов. Метод базируется на использовании химических реагентов - ингибиторов коррозии, которые образуют на внутренней поверхности трубопроводов защитную пленку, тем самым, снижая скорость их коррозии. Целостность пленки зависит от поддержания ее в работоспособном состоянии за счет регулярной подпитки ингибитором, т. е. от стабильности поступления ингибитора в поток транспортируемой жидкости при постоянном дозировании. С одной стороны, поддерживаемая дозировка ингибитора должна обеспечивать снижение скорости коррозии металла трубопровода до приемлемого уровня. Она подбирается при опытно-промышленных испытаниях и уточняется в процессе применения на конкретном трубопроводе. С другой стороны, допустимый максимум концентрации ингибитора обуславливается экономическими показателями и его воздействием на окружающую среду. Важнейшим параметром, мониторинг которого позволяет производить оценку соблюдения технологических требований к процессу эксплуатации трубопровода, а также оценивать эффективность ингибирования, является остаточное содержание ингибитора. Известны спектрофотометрические и спектрофлуорометрические способы, а также ряд электрохимических способов определения концентрации ингибиторов коррозии. Большинство из них являются лабораторными методами, и не пригодны к использованию для поточного анализа или анализа в полевых условиях. Базовым подходом к определению ОСИ, в частности на основе алкилимидазолинов, является экстракция хлороформом молекулярных ассоциатов ингибитора с азокрасителем с последующим спектрофотометрическим или фотоколориметрическим детектированием остаточной концентрации азокрасителя по характеристической длине волны [1]. Ограничением данного подхода является многостадийность и трудоемкость пробоподготовки перед измерениями оптической плотности растворов ингибитора. Также известен флуоресцентный (люминесцентный) способ, предусматривающий возможность онлайн мониторинга [2]. Метод основан на определении количественного содержания ароматических азолов, как ингибиторов коррозии в трубопроводах систем охлаждения, посредством измерения интенсивности флуоресценции. Однако метод не может быть распространен на молекулы ингибиторов, релаксация которых после воздействия электромагнитного излучения протекает по безызлучательному механизму. Электрохимические способы определения ОСИ условно разделяются на три группы: вольтамперометрические, хроноамперометрический и импедансометрический. Среди вольтамперометрических известен метод оценки концентрации по величине пика анодного тока от катион-радикалов, образующихся в результате предварительного электрохимического окисления. Построение калибровочных кривых основано на способности ингибиторов кислотной коррозии, таких как "Секангаз - 9Б", "Виско - 904 NIK", "Сепакорр - 5478 AM", "Додиген 4482 - 1", к электрохимическому окислению в неводных средах до соответствующих катион-радикалов при потенциале 1,0 В [3]. Метод предусматривает использование стандартной электрохимической ячейки с платиновым и хлорсеребряным электродами, неводных растворителей ацетонитрила и хлористого метилена, а также добавление фонового электролита и предварительную деаэрацию растворов инертным газом, что существенно затрудняет автоматизацию и применение в полевых условиях. Известен способ [4] определения концентрации ингибиторов коррозии, в том числе на основе алкилимидазолинов, с помощью квадратно-волновой вольтамперометрии или дифференциально-импульсной вольтамперометрии (полярографии) в трехэлектродной системе с рабочим жидким капающим ртутным электродом или печатным угольным электродом с нанесенным слоем ртути, вспомогательным платиновым электродом и хлорсеребряным электродом сравнения. Пики тока сорбции (восстановления) ингибиторов фиксируются в отрицательной области потенциалов. С увеличением концентрации ингибитора наблюдается рост пиков тока. Рассчитывают площадь пика и создают калибровочную кривую. Однако существует ряд сложностей для автоматизации данного способа: для проведения измерений необходима сложная конструкция электрохимической ячейки с использованием ртути, дегазация электрохимической ячейки во избежание самопроизвольного окисления адсорбированных молекул, поддержание pH растворов буферными системами, более того ингибиторы различного типа могут иметь пики тока в различном диапазоне потенциалов, что усложняет процесс регистрации и обработки сигнала. Среди электрохимических способов определения концентрации ингибиторов коррозии также известен способ оценки содержания ингибитора в многоэлектродной системе с использованием методов хроноамперометрии и импедансметрии [5]. Предсказание концентрации ингибитора осуществляется путем обработки множества сигналов - хроноамперометрических кривых и диаграмм Найквиста - и сопоставления с моделью машинного обучения в виде классификации или регрессии. При этом также используется трехэлектродная схема подключения, включающая рабочий электрод (медь, сталь, сплав из металлов, подверженных коррозии), вспомогательный инертный электрод (платина), хлорсеребряный электрод сравнения. Тем не менее трехэлектродная электрохимическая система сложна с точки зрения необходимости очистки многоразово используемых электродов. Электрохимическая ячейка упрощенной конструкции, а именно включающая только рабочий и вспомогательный электроды, используется для оценки концентрации ингибитора в трубах горячего водоснабжения с помощью спектроскопии импеданса [6]. В качестве рабочего электрода используют материал трубопровода, в качестве вспомогательного - инертный материал, в том числе из благородных металлов. Метод основан на сравнении импеданса чистого электрода и электрода, содержащего на поверхности пленку ингибитора. Однако при измерении импеданса в двухэлектродной ячейке большой вклад будет иметь сопротивление электролита, что может не оказывать существенного влияния в очищенной пресной воде постоянного состава, а при измерениях в пластовых водах нефтепромыслового значения вызывать большую погрешность из-за различной минерализации. Известен также наиболее близкий к предлагаемому изобретению и выбранный за прототип способ определения ингибитора коррозии октадециламина в водном теплоносителе [7]. Способ включает циклическую поляризацию металлических электродов в электрохимической ячейке, регистрацию цикловольтамперограммы и учет в качестве одной из электрохимических характеристик для построения калибровочной кривой количества электричества, равного площади под пиком анодного тока цикловольтамперограммы электрода, по которой определяют концентрацию ингибитора коррозии в воде. Способ основан на свойстве октадециламина, обладающего поверхностно-активным действием, хорошо адсорбироваться на поверхности платинового рабочего электрода и препятствовать конкурентной сорбции кислорода, выделяющегося из воды вследствие поляризации электрода в соответствующем диапазоне потенциалов. Измерения проводят в трехэлектродной электрохимической ячейке в режиме вольтамперометрии с линейной разверткой потенциала. В качестве признака, положенного в основу количественной оценки октадециламина, выбрана величина количества электричества, равного площади под пиком тока восстановления кислорода. С увеличением содержания октадециламина площадь пиков тока, связанных с выделением кислорода, уменьшается. В диапазоне концентраций до 7 мг/л зависимость носит линейный характер. Концентрацию октадециламина определяют по разнице в измерениях параметра адсорбции кислорода до и после контакта электрода с водным теплоносителем по калибровочной кривой. Данные способ и устройство, однако, являются трудоемкими и дорогостоящими, в связи с использованием платины в качестве индикаторного электрода и необходимостью проводить очистку его поверхности перед каждым последующим измерением образца воды. Задачей, на решение которой направлено предлагаемое изобретение, является удешевление и обеспечение ускоренного определения концентрации ингибитора коррозии, позволяющими в полевых условиях получить данные об остаточной концентрации ингибитора в пластовой воде. Технический результат, достигаемый при решении поставленной задачи, заключается в упрощении процесса безошибочного определения концентрации ингибитора коррозии. Данный технический результат достигается тем, что способ определения концентрации ингибиторов коррозии в пластовой воде, включающий циклическую поляризацию металлических электродов в электрохимической ячейке, регистрацию цикловольтамперограммы и учет в качестве одной из электрохимических характеристик количества электричества, равного площади под пиком анодного тока цикловольтамперограммы электрода для построения калибровочной кривой, по которой определяют концентрацию ингибитора коррозии в воде, отличается тем, что в качестве электродов используют два медных или стальных электрода, в качестве характеристики для построения калибровочной кривой учитывают количество электричества, равное площади под пиком анодного тока окисления меди или стали или максимальное значение силы тока соответствующего пика, при этом регистрацию цикловольтамперограмм производят от четырех до шести раз с определением и выбором для учета данных для построения калибровочной кривой цикловольтамперограммы с максимальным значением силы тока. Дополнительно используют количество электричества, равное суммарной площади анодного и катодного пиков тока окисления меди или стали. Использование двух медных электродов, которые могут быть выполнены печатным способом, в том числе методом электрохимического травления фольгированного стеклотекстолита, или двух медных или стальных пластин, обеспечивает дешевизну и упрощение способа, исключая очистку платины. Медь или сталь в отличие от платины имеют собственные пики тока окисления, по величине тока которых можно напрямую получать информацию о степени коррозии и концентрации добавленного ингибитора. Кроме того, наличие вариантов в выборе электрохимической характеристики для построения калибровочной кривой в виде силы тока или количества электричества, а также выбор цикловольтамперограммы с максимальным значением силы тока пика окисления меди или стали из проведенных шести измерений увеличивает количество метрик оценки концентрации ингибитора коррозии и ее точность. Предлагаемое решение обеспечивает высокую точность тем, что регистрацию цикловольтамперограмм производят от четырех до шести раз с определением и выбором для учета данных цикловольтамперограммы с максимальным значением силы тока, а также тем, что для построения калибровочной кривой используют кроме количества электричества, равного площади под пиком анодного тока окисления меди или стали, дополнительно количество электричества, равное суммарной площади анодного и катодного пиков тока окисления меди или стали, или тем, что для построения калибровочной кривой используют пиковое значение силы тока. Указанный технический результат достигается также тем, что способ определения концентрации ингибиторов коррозии в пластовой воде, включающий циклическую поляризацию металлических электродов в электрохимической ячейке, регистрацию цикловольтамперограммы с учетом анодного тока при оценке концентрации ингибитора, отличается тем, что в качестве электродов используют два медных или стальных электрода, при оценке концентрации ингибитора учитывают данные цикловольтамперограмм анодного и катодного токов окисления меди или стали, применяя регрессионную модель, полученную в результате машинного обучения глубокой нейронной сети на числовых массивах значений силы тока в соответствующие моменты времени и числовых массивах, несущих информацию о характерных признаках цикловольтамперограмм, рассчитанных автоматически при статистической обработке, при этом регистрацию цикловольтамперограмм для одного измерения проводят от четырех до шести раз, по каждой концентрации ингибитора для обучения нейронной сети проводят не менее одиннадцати параллельных измерений, а общее число измерений равно произведению числа значений концентраций ингибитора на количество параллельных измерений каждой концентрации. Использование массивов информации большого объема и статистическая обработка обеспечивают высокую точность определения концентрации и достоверность результатов. Сущность изобретения заключается в том, что при добавлении ингибитора коррозии пики тока на цикловольтамперограммах, соответствующие окислительным процессам на поверхности меди или стали, уменьшаются пропорционально добавленной концентрации ингибитора. При подаче внешнего периодически линейно изменяющегося напряжения на медные или стальные электроды электрохимической ячейки с пластовой водой в качестве электролита, металл подвергается окислению, что отображается пиками на цикловольтамперограммах. Регистрируют от четырех до шести цикловольтамперограмм электродов в пластовой воде. На фиг. 1 приведены цикловольтамепрограммы для медных электродов в чистой пластовой воде (черная кривая) и пластовой воде, содержащей ингибитор с концентрацией 10 г/м3 (красная кривая), зарегистрированные на пятых циклах изменения напряжения в электрохимической ячейке. Молекулы ингибитора образуют на электроде поверхностную пленку, препятствующую коррозии, вследствие чего величина пиков силы тока окисления меди или стали, а также количества электричества, равного площади под пиками тока окисления, уменьшается. Для выявления зависимости между концентрацией добавленного ингибитора и одной из этих электрохимических характеристик строят калибровочную кривую. Значение силы тока или количества электричества, равного площади под анодным или анодным и катодным пиками тока, выбирают для цикла с максимальной силой тока анодного пика, зарегистрированного для чистой пластовой воды, и затем используют этот цикл для учета значений соответствующих электрохимических характеристик в измерениях с добавлением ингибитора. На фиг. 2 показана калибровочная кривая зависимости количества электричества, равного площади под пиком анодного тока окисления меди от концентрации ингибитора в пластовой воде для пятых циклов измерений. Для определения неизвестной концентрации ингибитора в аналитическом растворе пластовой воды снимают от четырех до шести цикловольтамперограмм электродов, рассчитывают значение электрохимической характеристики и по калибровочной кривой находят соответствующее значение концентрации ингибитора коррозии графическим способом, или решают уравнение, описывающее калибровочную кривую. Во втором варианте предлагаемого способа для выявления зависимости между концентрацией добавленного ингибитора и электрохимическими характеристиками электродов используют регрессионную модель машинного обучения. Цикловольтмперограммы, зарегистрированные при различных концентрациях ингибитора, сохраняют в формате текстовых .txt файлов, содержащих информацию о координатах всех точек цикловольтамперограмм. Каждая точка цикловольтамперограммы представлена тремя координатами - сила тока, напряжение, время (с учетом скорости изменения напряжения). Далее с помощью языка программирования Python и его библиотек производят обработку текстовых файлов в виде их конвертации, извлечения данных, визуализации, статистической обработки и нормализации. Обработанные данные передают в нейронную сеть, созданную с помощью фреймворка PyTorch. В качестве инструмента машинного обучения используют глубокую нейронную сеть NeuralNetwork. В качестве входных данных используют числовые массивы значений силы тока в соответствующие моменты времени и числовые массивы, несущие информацию о характерных признаках цикловольтамперограмм, рассчитанных автоматически при статистической обработке. Многочисленные экспериментальные исследования показали, что по каждой концентрации ингибитора для обучения нейронной сети необходимо проводить не менее одиннадцати параллельных измерений, из них восемьдесят процентов используют для тренировки нейронной сети и двадцать для ее тестирования. В процессе тренировки нейронной сети происходит поиск связей между концентрацией ингибитора и числовыми массивами данных цикловольтамперограмм. Результатом тренировки нейронной сети является модель машинного обучения, которую оценивают по тестовому набору данных. Как показали исследования, полученная регрессионная зависимость (точки на фиг. 3 - определение концентрации ингибитора бензотриазол в пластовой воде по цикловольтамперограммам медных печатных электродов, изготовленных методом электрохимического травления фольгированного стеклотекстолита) коррелирует с высоким значением коэффициента детерминации с прямой идеального совпадения. Регрессионная зависимость предсказанной концентрации от истинной концентрации показывает точность обнаружения концентрации ингибитора по тестовому набору данных. Чем ближе расположение точек к прямой, тем точнее модель машинного обучения. Для регрессионной зависимости на фиг. 3 коэффициент детерминации составляет 0,90. Для определения неизвестной концентрации ингибитора в аналитическом растворе пластовой воды снимают от четырех до шести цикловольтамеперограмм электродов. Полученные цикловольтамперограммы обрабатывают с помощью языка программирования Python и его библиотек идентичным образом. Числовые массивы значений силы тока в соответствующие моменты времени и числовые массивы, несущие информацию о характерных признаках цикловольтамперограмм, рассчитанные автоматически при статистической обработке, используют в качестве входных данных для полученной ранее регрессионной модели. В качестве выходных данных получают предсказанную концентрацию. Пример 1. Два медных электрода общей площадью 32,6 мм2, изготовленные методом электрохимического травления фольгированного стеклотекстолита FR4, погружают в модель пластовой воды с общей минерализацией 18,8 г/дм3. Токосъемники от рабочего и вспомогательного электродов подключают к соответствующим выводам потенциостата. Режим регистрации цикловольтамперограмм: потенциодинамическая развертка со скоростью 50 мВ/с, диапазон потенциалов от -1,5 до +1,5 В, старт с 0,0 В. Регистрируют 5 циклических вольтамперограмм. Рассчитывают количество электричества, равное площади под пиком анодного тока пятой цикловольтамперограммы (фиг. 1). Готовят растворы пластовой воды с различными концентрациями ингибитора (0, 10, 40, 60 г/м3). Такое же измерение с погружением новых электродов в модель пластовой воды, регистрацией пяти цикловольтамперограмм и расчетом количества электричества, равного площади под пиком анодного тока пятой цикловольтамперограммы, проводят для каждой концентрации ингибитора. Строят калибровочную кривую зависимости количества электричества от концентрации ингибитора (фиг. 2). Определение неизвестной концентрации ингибитора проводят по калибровочной кривой. Для этого берут два новых печатных медных электрода, погружают в раствор пластовой воды с неизвестной концентрацией ингибитора и регистрируют пять циклических вольтамперограмм, рассчитывают количество электричества, равное площади под пиком анодного тока, и по калибровочной кривой находят соответствующее значение концентрации. Так, количеству электричества 22 мКл соотвествует концентрация ингибитора 54 г/м3. Пример 2. Два медных электрода общей площадью 18,5 мм2, изготовленные методом электрохимического травления фольгированного стеклотекстолита FR4, погружают в модель пластовой воды с общей минерализацией 18,8 г/дм3. Токосъемники от рабочего и вспомогательного электродов подключают к соответствующим выводам потенциостата. Режим регистрации цикловольтамперограмм: потенциодинамическая развертка со скоростью 50 мВ/c, диапазон потенциалов от -2,0 до +2,0 В, старт с 0,0 В. Регистрируют 5 цикловольтамперограмм, сохраняют файл в текстовом формате .txt. Готовят растворы пластовой воды с пятью различными концентрациями ингибитора (0, 5, 40, 60, 100 г/м3). Регистрацию пяти цикловольтамперограмм новых медных электродов повторяют для каждой концентрации ингибитора, включая нулевую, по двадцать пять раз, т. е. общее число измерений, равное произведению числа значений концентраций ингибитора на количество параллельных измерений каждой концентрации, составляет сто двадцать пять. Пять цикловольтамперограмм каждого эксперимента сохраняют как один текстовый файл. Далее с помощью языка программирования Python и его библиотек производят конвертацию файлов в формат CSV, извлекают данные о времени, напряжении и силе тока, производят статистическую обработку с выявлением ширины, высоты пиков, количества циклов, и нормализуют данные. В качестве инструмента машинного обучения используют глубокую нейронную сеть NeuralNetwork. В качестве входных данных используют числовые массивы значений силы тока в соответствующие моменты времени и числовые массивы, несущие информацию о характерных признаках цикловольтамперограмм, рассчитанные автоматически при статистической обработке. По каждой концентрации ингибитора для тренировки нейронной сети используют данные двадцати параллельных измерений, данные пяти измерений оставляют для тестирования. Получают модель машинного обучения, визуализируют ее в виде графика регрессионной зависимости и оценивают при помощи тестового набора данных (фиг. 3). Для определения неизвестной концентрации ингибитора в аналитическом растворе пластовой воды снимают пять цикловольтамеперограмм новых электродов, полученные цикловольтамперограммы обрабатывают с помощью языка программирования Python и его библиотек идентичным способом. Числовые массивы значений силы тока в соответствующие моменты времени и числовые массивы, несущие информацию о характерных признаках цикловольтамперограмм, рассчитанные автоматически при статистической обработке, используют в качестве входных данных для полученной ранее регрессионной модели. В качестве выходных данных получают предсказанную концентрацию, равную 25 г/м3. Пример 3. Два стальных электрода, выполненные из углеродистой стали марки ст10пс с габаритами (40 мм × 20 мм × 1 мм), на расстоянии друг от друга 10 мм погружают в модель пластовой воды с общей минерализацией 22,0 г/дм3. Токосъемники от рабочего и вспомогательного электродов подключают к соответствующим выводам потенциостата. Режим регистрации цикловольтамперограмм: потенциодинамическая развертка со скоростью 50 мВ/c, диапазон потенциалов от -0,7 до +0,8 В, старт с -0,7 В. Регистрируют 6 циклических вольтамперограмм, сохраняют файл в текстовом формате .txt. Готовят растворы пластовой воды с пятью различными концентрациями ингибитора (0, 20, 40, 60, 100 г/м3). Регистрацию шести цикловольтамперограмм повторяют для каждой концентрации ингибитора, включая нулевую, по одиннадцать раз. Шесть цикловольтамперограмм каждого измерения сохраняют как один текстовый файл. Далее с помощью языка программирования Python и его библиотек производят конвертацию файлов в формат CSV, извлекают данные о времени, напряжении и силе тока, производят статистическую обработку с выявлением характерных признаков цикловольтамперограмм, и нормализуют данные. В качестве инструмента машинного обучения используют глубокую нейронную сеть NeuralNetwork. В качестве входных данных используют числовые массивы значений силы тока в соответствующие моменты времени и числовые массивы, несущие информацию о характерных признаках цикловольтамперограмм, рассчитанные автоматически при статистической обработке. По каждой концентрации ингибитора для тренировки нейронной сети используют данные девяти параллельных измерений и двух - для ее тестирования. Получают модель машинного обучения, визуализируют ее в виде графика регрессионной зависимости и оценивают при помощи тестового набора данных. Для определения неизвестной концентрации ингибитора в аналитическом растворе пластовой воды снимают шесть цикловольтамеперограмм новых электродов, полученные цикловольтамперограммы обрабатывают с помощью языка программирования Python и его библиотек идентичным способом. Числовые массивы значений силы тока в соответствующие моменты времени и числовые массивы, несущие информацию о характерных признаках цикловольтамперограмм, рассчитанные автоматически при статистической обработке, используют в качестве входных данных для полученной ранее регрессионной модели. В качестве выходных данных получают предсказанную концентрацию, равную 47 г/м3. Таким образом, предлагаемые варианты способа обеспечивают достижение технического результата, заключающегося в упрощении процесса безошибочного определения концентрации ингибитора коррозии и позволяют управлять процессами снижения скорости коррозии в трубопроводах нефтегазовой отрасли с возможностью гибкого реагирования на изменение коррозионной ситуации, что дает возможность снизить капитальные затраты и текущие расходы на эксплуатацию. Список использованных источников: 1. ASTM D2327-80. Method of Test for Primary and Secondary Amines in Water, 1989. 2. Заявка US 5278074A. Method of monitoring and controlling corrosion inhibitor dosage in aqueous systems, опубл. 11.01.1994. 3. Патент РФ 2145079 C1. Способ количественного определения ингибиторов кислотной коррозии в неводных средах, опубл. 27.01.2000. 4. Заявка EP 3168 611 A1. Corrosion or scale inhibitor dosage in industrial water, опубл. 17.05.2017. 5. Заявка US 2020/ 0176088 A1. Method and system for estimating corrosion inhibitor concentration using a multi-electrode array sensor, опубл. 04.06.2020. 6. Заявка US 2014/0326340 A1. Corrosion protection performance degradation detection sensor, hot-water supply heating system, and facility apparatus, опубл. 06.11.2014. 7. Патент РФ 2107286 С1. Способ определения концентрации октадециламина в водном теплоносителе и устройство для его осуществления, опубл. 20.03.1998.