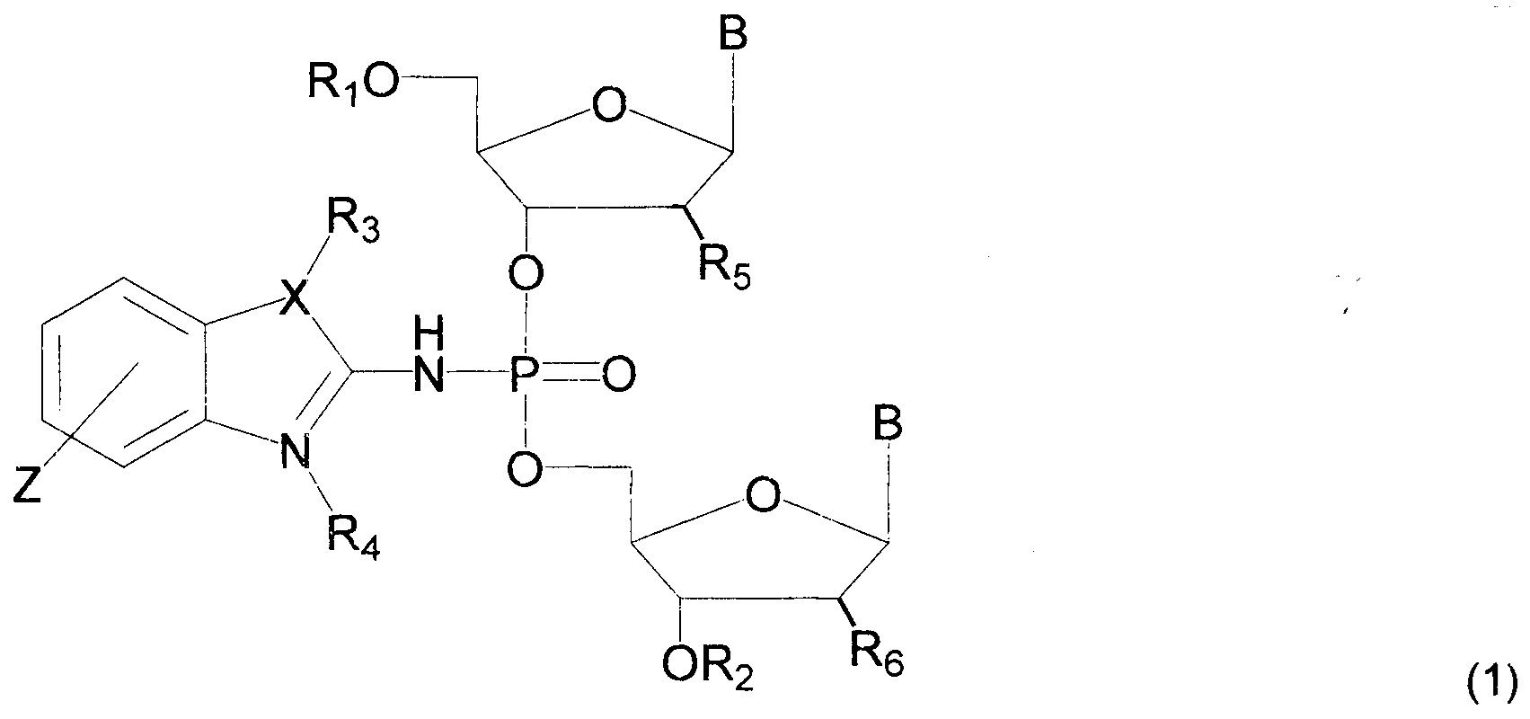
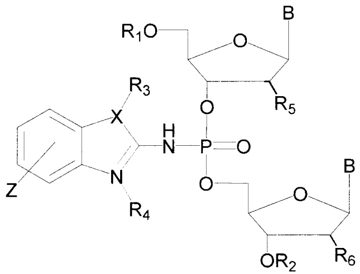
Группа изобретений относится к биоорганической химии, а именно: к фосфорамидному азольному олигонуклеотиду, используемому в качестве праймера при проведении матричного ферментативного синтеза ДНК; к способу его синтеза; а также к способу матричного ферментативного синтеза ДНК с использованием в качестве праймера указанного фосфорамидного азольного олигонуклеотида. Предложенный фосфорамидный азольный олигонуклеотид имеет длину 2-23 нуклеотида, содержит хотя бы одну фосфорамидную бензоазольную группу, в которой по атому фосфора введен остаток амидо-бензоазола, и отвечает формуле где В является азотистым основанием, R1 и R2 каждый независимо представляет собой атом водорода, или флуоресцентную метку, или остаток нуклеотида, или остаток олигонуклеотида, или остаток нуклеотида, содержащий указанную фосфорамидную бензоазольную группу, или остаток олигонуклеотида, содержащий указанную фосфорамидную бензоазольную группу; R3 отсутствует или представляет собой -Н или -С1-10-алкил; R4 отсутствует или представляет собой -С1-10-алкил; R5 и R6 каждый независимо представляет собой -Н или -ОСН3; X представляет собой -N-, -О- или -S-; Z представляет собой -Н. Группа изобретений обеспечивает повышение специфичности выявления анализируемых последовательностей нуклеиновых кислот с сохранением высокой эффективности ПЦР. 3 н. и 3 з.п. ф-лы, 27 ил., 27 пр.
,
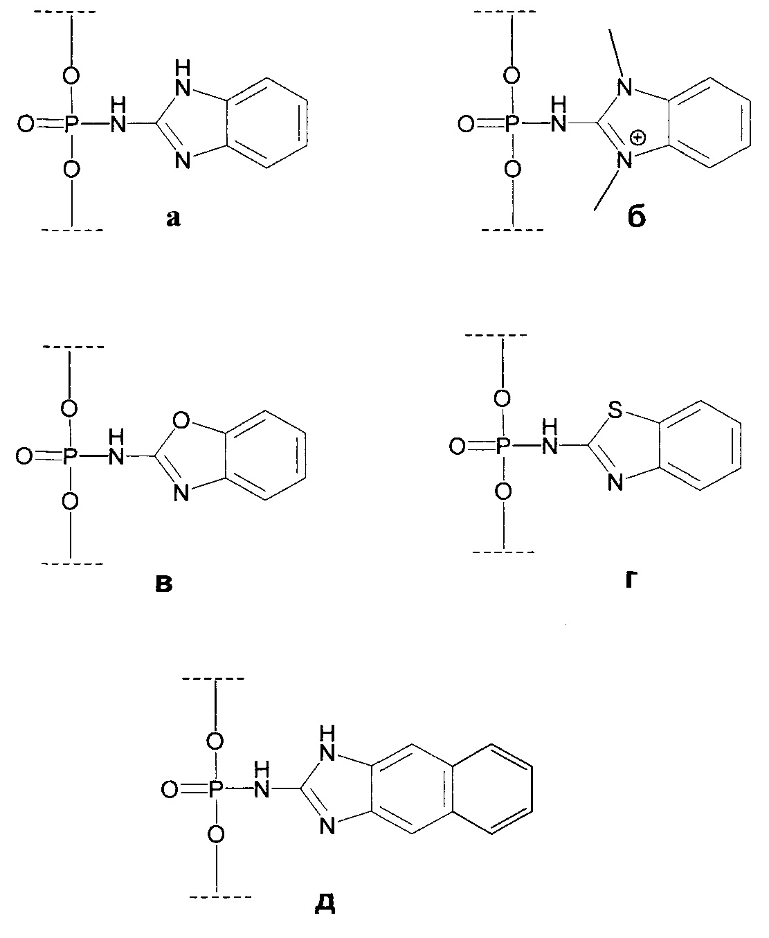
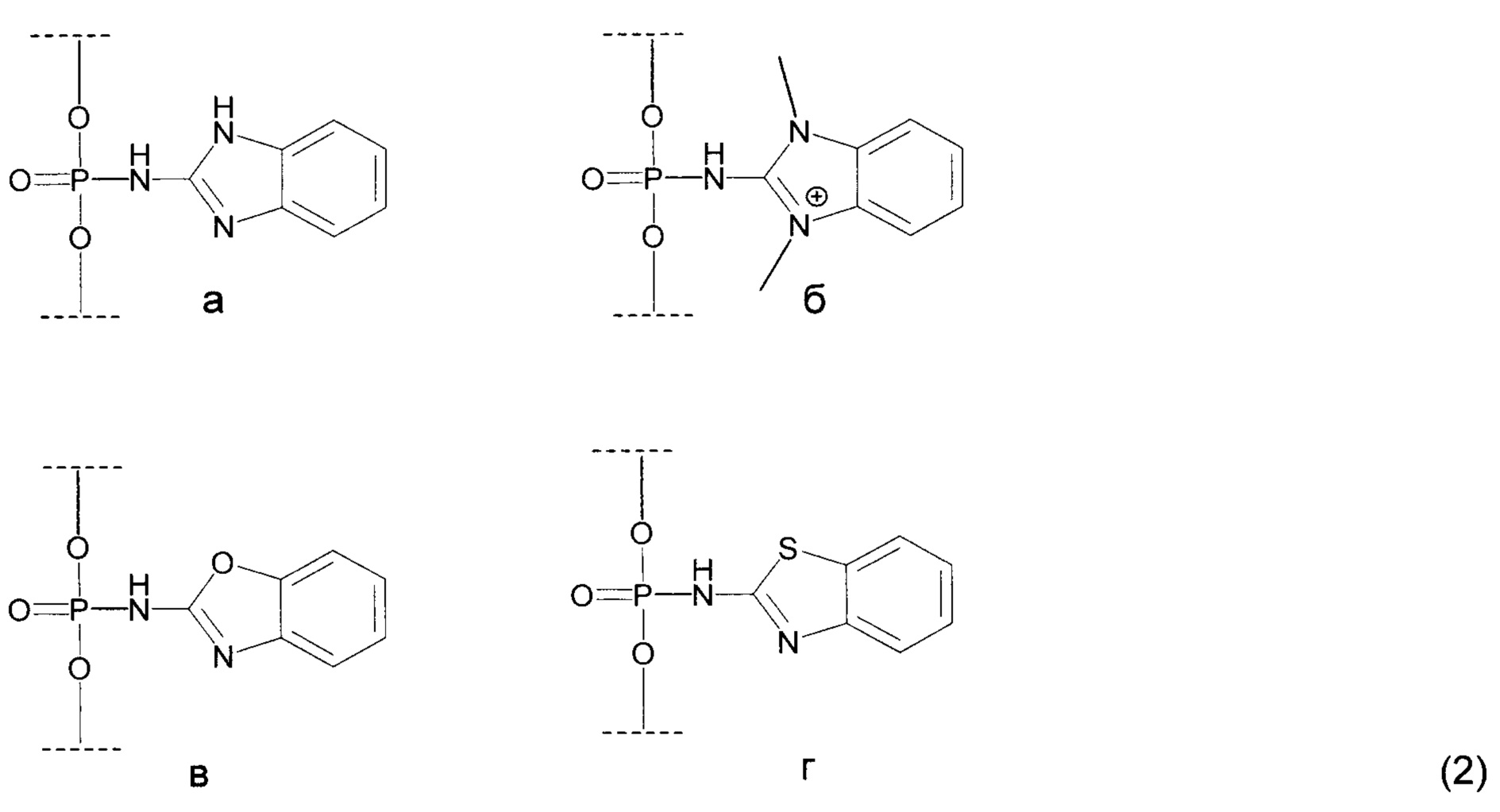
1. Фосфорамидный азольный олигонуклеотид, используемый в качестве праймера при проведении матричного ферментативного синтеза ДНК, характеризующийся тем, что имеет длину 2-23 нуклеотида и содержит хотя бы одну фосфорамидную бензоазольную группу, в которой по атому фосфора введен остаток амидо-бензоазола, и отвечает формуле где В представляет собой азотистое основание, R1 и R2 каждый независимо представляет собой атом водорода, или флуоресцентную метку, или остаток нуклеотида, или остаток олигонуклеотида, или остаток нуклеотида, содержащий указанную фосфорамидную бензоазольную группу, или остаток олигонуклеотида, содержащий указанную фосфорамидную бензоазольную группу; R3 отсутствует или представляет собой -Н или -С1-10-алкил; R4 отсутствует или представляет собой -С1-10-алкил; R5 и R6 каждый независимо представляет собой -Н или -ОСН3; X представляет собой -N-, -О- или -S-; Z представляет собой -Н. 2. Фосфорамидный азольный олигонуклеотид по п.1, характеризующийся тем, что в нем фосфорамидная бензоазольная группа, связывающая остатки соседних нуклеозидов, выбрана из формул где 3. Способ синтеза фосфорамидных азольных олигонуклеотидов по п.1 или 2, включающий амидофосфитный синтез олигонуклеотидов посредством автоматического синтезатора ДНК/РНК, в котором стадию реакции окисления заменяют стадией реакции динуклеозид-β-цианэтилфосфита с органическим азидом, который выбирают из соединений формулы где R3 отсутствует или представляет собой -Н или -С1-10-алкил; R4 отсутствует или представляет собой -С1-10-алкил; X представляет собой -N-, -О- или -S-; Z представляет собой -Н. 4. Способ матричного ферментативного синтеза ДНК, включающий использование ДНК-матрицы, которая содержит участок ДНК, подлежащий амплифицированию, праймеры, которые комплементарны противоположным концам разных цепей участка ДНК, термостабильную ДНК-полимеразу и буферный раствор, характеризующийся тем, что в качестве праймеров используют фосфорамидные азольные олигонуклеотиды по п.1 или 2. 5. Способ матричного ферментативного синтеза ДНК по п.4, применяемый для проведения аллель-специфической полимеразной цепной реакции. 6. Способ матричного ферментативного синтеза ДНК по п.4, применяемый для проведения полимеразной цепной реакции.
,
показывает место присоединения соседних нуклеозидов в фосфорамидном азольном олигонуклеотиде.
,
Настоящее изобретение относится к области биоорганической химии, молекулярной биологии и молекулярной диагностики. Назначением изобретения является синтез и использование новых производных олигонуклеотидов, а именно фосфорамидных азольных олигонуклеотидов, содержащих одну или более фосфатных групп, несущих на атоме фосфора остаток амидо-бензоазола, которые могут использоваться при проведении матричного ферментативного синтеза ДНК (ПЦР) и аллель-специфической ПЦР с повышенной специфичностью с сохранением высокой эффективности ПЦР. В заявляемом техническом решении используются следующие термины, сокращения и условные обозначения: ДНК - дезоксирибонуклеиновая кислота; РНК-рибонуклеиновая кислота; ПЦР - полимеразная цепная реакция; ФГ - фосфорилгуанидиновая группа; ФГ- олигонуклеотиды - производные олигонуклеотидов, содержащие одну или более фосфатных групп, в которых на атоме фосфора введен остаток гуанидина или замещенного гуанидина; ВЭЖХ - высокоэффективная жидкостная хроматография; KRAS - протоонкоген, представитель семейства белков Ras; FFPE-образцов - фиксированные в формалине парафинизированные образцы LNA - «замкнутая» нуклеиновая кислота (от англ. «locked nucleic acid»); ДМФА - диметилфорамид; ЭТТ - этилтиотетразол; TEA - триэтиламин; EDTA - этилендиаминтетрауксусная кислота; Tween-20 - неионогенное поверхностно-активное вещество на основе полисорбата; DTT - дитиотреитол; ТСХ - тонкослойная хроматография - способ анализа смесей жидких или твердых веществ; ЯМР - ЯМР-спектроскопия - спектроскопический метод исследования химических объектов, использующий явление ядерного магнитного резонанса; УФ - УФ-спектроскопия (спектроскопия в УФ и видимой областях электромагнитного спектра); ИК - Амплификация - увеличение числа копий ДНК; Праймер - олигомер, состоящий из звеньев частично или полностью нуклеотидной природы, содержащий фрагменты структуры, обеспечивающие узнавание ДНК-матрицы по принципу комплементарного взаимодействия и начало полимеразной реакции, катализируемой ДНК-полимеразой, и удлиняемый с 3'-конца хотя бы на одно или несколько звеньев; ФГ-праймеры - праймеры, содержащие одну или более фосфатных групп, в которых на атоме фосфора введен остаток гуанидина или замещенного гуанидина; Ст - пороговый цикл, обозначает определенный цикл реакции и представляет собой одно из ключевых значений ПЦР в реальном времени; WT - дикий тип относится к фенотипу типичной формы вида, встречающегося в природе; ΔСт - разность между пороговым циклом, полученным с ДНК дикого типа (Ст(WT)), и образцом ДНК, содержащим ДНК дикого типа и мутантную ДНК в определенном количестве. В данном патенте ΔСт=Ст(WT) - Ст(1%), где Ст(1%) -пороговый цикл с 1% мутантной ДНК в смеси с ДНК дикого типа; Эффективность ПЦР - степень отклонения от теоретического выхода продукта ПЦР. При идеальной кинетике синтеза ДНК, эффективность = 1 (или 100%), в ходе реальной ПЦР эффективность меньше 1. Эффективность ПЦР зависит от последовательностей и структур праймеров и матриц; чистоты матрицы и концентрации используемых реактивов; Специфичность выявления мутации - в данном случае выявление в исследуемом образце мутантной ДНК на фоне избытка ДНК дикого типа. Параметром оценивающим специфичность является ΔСт=Ст(WT) - Ст(1%), показывающий разницу между пороговыми циклами ДНК дикого типа и ДНК дикого типа с примешанным 1% мутантной ДНК. Чем больше значение ΔСт, тем выше специфичность; Ароматические и Гетероароматические заместители - ароматические и гетероароматические органические радикалы со свободной валентностью на атоме углерода или, в некоторых применениях, на гетероатоме. Примеры ароматических радикалов могут включать в себя, в том числе, фенил и нафтил (1-нафтил или 2-нафтил). Ароматические радикалы могут быть моноциклическими, например, как фенил, или полициклическими, например, как 1-пиренил. Гетероароматические радикалы содержат один или несколько (два или более) гетероатомов, в том числе, например, таких как азот, кислород, сера, селен и т.п. Примеры гетероароматических радикалов могут включать в себя, в том числе, пятичленные гетероароматические радикалы на основе фурана, тиофена или пиррола, шестичленные гетероароматические радикалы, например, пиридил (2-пиридил, 3-пиридил или 4-пиридил), а также полициклические (в частности, бициклические) гетероароматические радикалы, например, индолил или бензотриазолил. Обычно, гетероароматические радикалы содержат 5-10-членные циклы с 1, 2, 3 или 4 гетероатомами, которые независимо выбираются из группы, содержащей азот, кислород, серу и селен; Фосфатная группа - остаток фосфорной кислоты H3PO4, в котором один или более атомов водорода замещены органическим радикалом с получением, соответственно, фосфомоноэфира, фосфодиэфира или фосфотриэфира; Модифицированная фосфатная группа - фосфатная группа, в которой любой из атомов кислорода замещен любой химической группой. Примерами заместителей могут быть, в том числе, атомы серы или селена, аминогруппа или остаток борана (ВН3). Предпочтительными примерами модифицированной фосфатной группы являются тиофосфатная группа и фосфорамидная группа. В зависимости от заместителей, фосфатная группа и модифицированная фосфатная группа могут быть хиральными. В случае, если стереохимическая конфигурация не обозначена, структура включает в себя как Rp, так и Sp конфигурацию, как раздельно, так и в виде смеси, например, рацемической смеси (рацемата); Органический радикал - химическая группа, содержащая один или более атомов углерода, соединенных с любыми другими атомами со свободной валентностью на атоме углерода. Примеры других атомов могут включать, в том числе, атомы водорода, азота, кислорода, фтора, кремния, фосфора, серы, хлора, брома, йода и прочие. Олигонуклеотиды широко используют в качестве праймеров для проведения ПЦР, позволяющей увеличивать копийность фрагмента ДНК, границы которого определяются нуклеотидной последовательностью праймеров-затравок (Saiki R.K., Scharf S., Faloona F., Mullis K.B., Horn G.T., Erlich H.A., Arnheim N. Enzymatic amplification of beta-globin genomic sequences and restriction site analysis for diagnosis of sickle cell anemia//Science. - 1985. -V. 230. - P. 1350-1354), (Mullis K.B., Faloona F.A. Specific synthesis of DNA in vitro via a polymerase-catalyzed chain reaction // Methods Enzymol. - 1987. - V. 155. - P. 335-350). Структура праймеров в значительной степени определяет эффективность протекания ПЦР, что заставляет выбирать их последовательность в рамках рационального дизайна и в строгом соответствии с набором установленных критериев. Наиболее часто в качестве праймеров-затравок используют нативные олигодезоксирибонуклеотиды. Помимо нативных олигонуклеотидов в качестве праймеров предложен ряд олигонуклеотидных производных, в состав которых модифицированные фрагменты вводят с целью повышения специфичности выявления мутаций в ПЦР. К числу таких олигонуклеотидных производных относят производные, содержащие нуклеотидные звенья на основе «замкнутых» нуклеиновых кислот (LNA) (Ballantyne K.N., van Oorschot R.A., Mitchell R.J. Locked nucleic acids in PCR primers increase sensitivity and performance // Genomics. - 2008. - V. 91. - P. 301-305.) или фосфодиэфира олигоэтиленгликоля (Brent С.Satterfield cooperative primers: 2.5 million-fold improvement in the reduction of nonspecific amplification // J. Mol. Diagn. - 2014. - V. 16. - P. 163-173) в составе так называемых «кооперативных» праймеров. Наличие указанных модификаций углеводно-фосфатного остова значительно влияет на температуру плавления формируемых комплементарных комплексов между ДНК-матрицей и модифицированным олигонуклеотидом-праймером: LNA-звенья повышают температуру плавления, в то время как гексаэтиленгликоль снижает. Модификации гетероциклических азотистых оснований также могут повышать эффективность ПЦР (WO 2013091835 «Methods and reagents for reducing nonspecific amplification», МПК C12Q 1/68, опубликовано 27.06.2013 г.), а введение группировок ненуклеотидной природы могут повышать стабильность комплексов праймера с амплифицируемой ДНК (Schneider U.V., Mikkelsen N.D., Lindqvist А., Okkels L.M., Jøhnk N., Lisby G. Improved efficiency and robustness in qPCR and multiplex end-point PCR by twisted intercalating nucleic acid modified primers // PLoS One. - 2012. - V. 7. - e38451). Другим способом повышения специфичности ПЦР является использование в качестве праймеров олигонуклеотидных производных с временной защитой 3'-концевого фрагмента, удаляемой под действием химических агентов или физических стимулов - света или температуры (Патент US 2010021970 «Nucleic acid amplification using a reversibly modified oligonucleotide» МПК C07H 21/04; C12P 19/3418, опубликован 28.01.2011; Lebedev A.V., Paul N., Yee J., Timoshchuk V.A., Shum J., Miyagi K., Kellum J., Hogrefe R.I., Zon G. Hot start PCR with heat-activatable primers: a novel approach for improved PCR performance // Nucleic Acids Res. -2008. -V. 36. -e131). Недостатком вышеописанных типов праймеров является то, что для их синтеза необходимо предварительное получение нестандартных мономеров-модификаторов, которые затем должны быть использованы в ходе автоматического олигонуклеотидного синтеза. Это делает процесс длительным и трудоемким, требуются дополнительные реагенты для синтеза мономеров и их очистки. Выходы получаемых олигонуклеотидных праймеров с использованием нестандартных мономеров в процессе автоматического олигонуклеотидного синтеза, как правило, ниже. Полностью незаряженные производные олигонуклеотидов такие, как морфолиновые и пептидилнуклеотидные не используют в качестве праймеров, поскольку их углеводофосфатный остов не узнается ферментами (Summerton J., Stein D., Huang S.B., Matthews P., Weller D., Partridge M. Morpholino and phosphorothioate antisense oligomers compared in cell-free and in-cell systems // Antisense Nucleic Acid Drug Dev. - 1997. - V. 7. - P. 63-70.) При этом частично незаряженные олигонуклеотиды, например, содержащие остатки фосфотриэфиров, то есть несущие остаток алифатического спирта вместо одного из атомов кислорода, могут быть использованы в качестве праймеров при амплификации ДНК, однако их получение, опять же, требует использования специальных фосфороамидных нуклеотидных мономеров, нестандартных условий пост-синтетического деблокирования и выделения синтезированных олигонуклеотидов (Chan H.W.-H., Yang Y.-S., Chen W.-Y. Partially neutral single-stranded oligonucleotide // US 20170015699 «Partially Neutral Single-Stranded Oligonucleotide», МПК C07H 21/04, C12Q 1/68, G01N 27/414, опубликован 19.01.2017). Известно техническое решение, представленное в способе амплификации в присутствии модифицированных праймеров олигонуклеотидов с фосфоротиоатными остатками (Международная заявка WO 2013140107 «Polymerase chain reaction detection system using oligonucleotides comprising a phosphorothioate group», МПК C12Q 1/68, опубликовано 26.09.2013). Праймеры с таким типом модификации сахаро-фосфатного остова могут быть получены с использованием стандартных нуклеотидных мономеров, но специальных окисляющих агентов. Недостатком их является ограниченность условий использования такой системы: фосфоротиоат содержащие праймеры используют только при выявлении ДНК; система рассчитана на полимеразу, лишенную 3'→5' экзонуклеазной активности, т.е. применение полимеразы с корректирующей активностью не будет приводить к уменьшению неспецифической амплификации; полимераза исследованной системы относится к термофильному классу и температурные режимы удлинения лежат в диапазоне 55-61°С; условия проведения реакции амплифицирования термоциклические; необходимо введение 5'-концевой флуоресцентной метки в модифицированный олигонуклеотид, используемой для детекции ДНК-продукта. Известно техническое решение с использованием праймеров с одной или более фосфорилгуанидиновыми (ФГ) группами. (Патент RU 2698134, «Способ амплификации нуклеиновых кислот с использованием фосфорилгуанидиновых олигонуклеотидов», МПК C12Q 1/68, С07Н 19/067, С07Н 19/167, С07Н 21/02 опубликован 22.08.2019). Использование праймеров с фосфорилгуанидиновыми группами сочетает в себе ряд преимуществ, комбинация которых обеспечивает достижение более высокого результата по сравнению с фосфоротиоатными праймерами: Способ отличается тем, что в качестве праймеров при проведении полимеразной цепной реакции (ПЦР) и ПЦР в сочетании с обратной транскрипцией (ОТ-ПЦР), используют нейтральные производные олигонуклеотидов, а именно фосфорилгуанидины. Фосфорилгуанидины содержат одну или более фосфатных групп, в которых на атоме фосфора введен остаток гуанидина или замещенного гуанидина. Недостатком праймеров с фосфорилгуанидиновыми группами является увеличение порогового цикла Ст, уменьшение эффективности и в целом ингибирование реакции ПЦР. При проведении аллель-специфической ПЦР с праймерами с одной фосфорилгуанидиновой группой с использованием ДНК, выделенной из тканей (FFPE-образцов), наблюдалось увеличение количества ложноотрицательных результатов по сравнению с нативными праймерами, т.е снижение достоверности. Для получения праймеров с одной или более фосфорилгуанидиновыми группировками известно техническое решение, представленное в способе получения модифицированных олигонуклеотидов (Патент РФ «2708237 «Модифицированные олигонуклеотиды и способ их получения», МПК А61K 31/712, С07Н 19/10, С07Н 19/20, C07F 9/24, А61Р 31/12, опубликовано 05.12.2019) и выбранное в качестве прототипа. Техническое решение относится к нуклеотидам и олигонуклеотидам, содержащим модифицированную фосфатную группу, и способу их получения, включающий реакцию Н-фосфоната, полученного согласно Н-фосфонатному методу олигонуклеотидного синтеза, или фосфита, полученного согласно амидофосфитному методу олигонуклеотидного синтеза. Их синтез не требует включения в синтетический регламент дополнительных амидофосфитных мономеров предшественников и проводится на стандартном автоматическом ДНК/РНК синтезаторе; наличие ФГ не приводит к значительному изменению температуры плавления ДНК/ДНК комплексов в условиях умеренной ионной силы растворов, но приводит к его химической устойчивости в широком диапазоне рН. Введение гуанидиновой группы вместо одного из атомов кислорода межнуклеотидной фосфатной группы увеличивает объем заместителя при атоме фосфора и делает ФГ незаряженной в физиологических условиях. Недостатком известного технического решения является то, что: 1) Введение гуанидиновой группы вместо одного из атомов кислорода межнуклеотидной фосфатной группы несущественно увеличивает размер заместителя при атоме фосфора; 2) Заряд модифицированной фосфатной группы остается нейтральным в широком диапазоне значений рН и не может быть изменен без значительного преобразования структуры модификации, в то время как полностью незаряженные производные олигонуклеотидов не используют в качестве праймеров, поскольку их углеводо-фосфатный остов не узнается ферментами; 3) Введение только фосфорилгуанидиновых модификаций не позволяет модифицированным олигонуклеотидам проявлять флуоресценцию, поэтому необходимо введение 5'-концевой флуоресцентной метки в модифицированный олигонуклеотид, используемой для детекции ДНК-продукта в ПЦР; 4) Гидрофобность фосфорилгуанидновых олигонуклеотидов может быть изменена только путем введения различного числа фосфорилгуанидновых групп в олигонуклеотид и путем значительного преобразования структуры модификации, в то время как ФГ олигонуклеотиды недостаточно гидрофобны, например, для проникновения в клетку без дополнительных трансфецирующих агентов. 5) Использование олигонуклеотидов с фосфорилгуанидиновой группой приводит к значительному увеличению порогового цикла Ст и приводит к уменьшению эффективности ПЦР и в некоторых случаях в целом к ингибированию реакции ПЦР. Таким образом, недостаточно объемная и недостаточно гидрофобная фосфорилгуанидиновая группа не позволяет решить проблему низкой специфичности при выявлении мутаций в аллель-специфической ПЦР, а также нейтральный заряд группы уменьшает эффективность ПЦР с ФГ-праймерами по сравнению с нативными, т.к. незаряженные фосфаты плохо распознаются ДНК-полимеразой. Также использование олигонуклеотидов с фосфорилгуанидновой модификацией приводит к значительному увеличению порогового цикла Ст. Фосфорилгуанидиновые группы не вызывают флуоресценции при введении в олигонуклеотид. Перед авторами ставилась задача разработать новые фосфорамидные азольные олигонуклеотиды (ФАО), в которых хотя бы одна природная фосфатная группа заменена более объемной и гидрофобной (по сравнению с фосфорилгуанидиновой группой) фосфорамидной бензоазольной группой, которая является частично заряженной при условиях, близких к физиологическим, позволяющая обеспечить разнообразие физико-химических свойств без значительного изменения структуры, устойчивость к кислотному гидролизу в широком диапазоне рН, вызывающая флуоресценцию олигонуклеотида. Синтез фосфорамидных азольных олигонуклеотидов должен проводиться на автоматическом ДНК/РНК синтезаторе с использованием стандартных нуклеотидных мономеров, стандартных условий пост-синтетического деблокирования и выделения, полученных олигонуклеотидов. А также разработать способ матричного ферментативного синтеза ДНК с использованием в качестве праймеров фосфорамидных азольных олигонуклеотидов при проведении полимеразной цепной реакции (ПЦР) и аллель-специфической ПЦР с использованием ДНК-полимеразы. Поставленная задача решается тем, что фосфорамидный азольный олигонуклеотид, используемый в качестве праймера при проведении матричного ферментативного синтеза ДНК, характеризуется тем, что имеет длину 2-23 нуклеотида и содержит хотя бы одну фосфорамидную бензоазольную группу, в которой по атому фосфора введен остаток амидо-бензоазола, и отвечает формуле где В представляет собой азотистое основание, R1 и R2 каждый независимо представляет собой атом водорода, или флуоресцентную метку, или остаток нуклеотида, или остаток олигонуклеотида, или остаток нуклеотида, содержащий указанную фосфорамидную бензоазольную группу, или остаток олигонуклеотида, содержащий указанную фосфорамидную бензоазольную группу; R3 отсутствует или представляет собой -Н или -С1-10-алкил; R4 отсутствует или представляет собой -С1-10-алкил; R5 и R6 каждый независимо представляет собой -Н или -ОСН3; X представляет собой -N-, -О- или -S-; Z представляет собой -Н, при этом в нем фосфорамидная бензоазольная группа, связывающая остатки соседних нуклеозидов, выбрана из формул где Фосфорамидный азольный олигонуклеотид получается за счет реализации способа синтеза фосфорамидных азольных олигонуклеотидов, который включает амидофосфитный синтез олигонуклеотидов посредством автоматического синтезатора ДНК/РНК, в котором стадию реакции окисления заменяют стадией реакции динуклеозид-β-цианэтилфосфита с органическим азидом, а органический азид выбирают из формулы где R3 отсутствует или представляет собой -Н или -С1-10-алкил; R4 отсутствует или представляет собой -С1-10-алкил; X представляет собой -N-, -О- или -S-; Z представляет собой -Н. Способ матричного ферментативного синтеза ДНК, включающий использование ДНК-матрицы, которая содержат участок ДНК, подлежащий амплифицированию, праймеры, которые комплементарны противоположным концам разных цепей участка ДНК, термостабильную ДНК-полимеразу и буферный раствор, реализуется за счет того, что в качестве праймеров используют фосфорамидные азольные олигонуклеотиды, при этом используемый для проведения аллель-специфической полимеразной цепной реакции, либо используемый для проведения полимеразной цепной реакции (ПЦР). Техническим эффектом заявляемого способа матричного синтеза ДНК с использованием в качестве праймеров фосфорамидных азольных олигонуклеотидов является повышение специфичности, с сохранением высокой эффективности полимеразной цепной реакции (ПЦР) и аллель-специфической количественной ПЦР, и циклов Ст анализируемого образца сравнимых с нативным праймером, уменьшение количества ложноотрицательных результатов (повышение достоверности) при проведении аллель-специфической количественной полимеразной цепной реакции. На фиг. 1 Представлены последовательности модифицированных олигонуклеотидов, полученных с использованием азидов из формулы (3), и молекулярные массы по данным ESI LC-MS/MS в режиме отрицательных ионов; обозначениеN- определяет положение фосфорамидных групп бензимидазола,O-бензоксазола,S-бензотиазола иD-1,3-диметил бензимидазола. На фиг. 2 Представлены структуры ФАО и немодифицированных олигодезоксирибонуклеотидов для ПЦР, где * - обозначает положение фосфорамидной азольной группы в олигонуклеотиде. Символ N в конце последовательности и в середине обозначения означает, что в качестве фосфорамидной бензоазольной группы выбрана группа бензимидазола, соответсвенно О-бензоксазола, S-бензотиазола и D-1,3-диметил-бензимидазола. На фиг. 3 Представлены структуры ФАО, флуоресцентного зонда и немодифицированных олигодезоксирибонуклеотидов для аллель-специфической ПЦР, где * - положение фосфорамидной бензоазольной группы в олигонуклеотиде. Нуклеотиды, отмеченные жирным шрифтом, представляют собой несовпадающие нуклеотиды по отношению к последовательности ДНК дикого типа. Символ в конце последовательности и в обозначении показывает, что в качестве фосфорамидной бензоазольной группы выбрана группа N- бензимидазола, О-бензоксазола, S-бензотиазола и D-1,3-диметил-бензимидазола. На фиг. 4 Представлены профили элюции ВЭЖХ реакционных смесей для олигонуклеотида, где 1 - 5-ТТТТТТ-3' без модификации, 2 - 5'-TNTTTTT-3' с бензимидазольной фосфорамидной группой, 3- 5'-TSTTTT-3' с бензотиазольной фосфорамидной группой, 4 - 5'-TOTTTTT-3' - с бензоксазольной фосфорамидной группой и 5 - 5'-TDTTTTT-3' 1,3-диметил-бензимидазольной фосфорамидной группой. На фиг. 5 Представлены ВЭЖХ профили элюции олигонуклеотида, где а) 5'-TNTTTTT-3' с бензимидазольной фосфорамидной группой, б) 5'-ТSТТТТT-3' с бензотиазольной фосфорамидной группой и в) 5'-ТOТТТТТ-3' с бензоксазольной фосфорамидной группой до обработки в 1 н. HCl при (рН=1) при 37°С в течение одного часа и после обработки: г) 5'-TNTTTT-3', д) 5'-TSTTTT-3' и е) 5'-TOTTTTT-3' соответственно. На фиг. 6 Представлен электрофоретический анализ подвижности фосфорамидных азольных олигонуклеотидов в 15% денатурирующем ПААГ при различных гидролитических условиях, где а) рН=4.5, б) рН=8.3, в) рН=10, при этом (линия 1) 5'-ТТТТТТ-3' немодифицированный олигонуклеотид, (линия 2) 5'-TNTTTTT-3' с бензимидазольной фосфорамидной группой с 5'-конца, (линия 3) 5'-TOTTTTT-3' с бензоксазольной фосфорамидной группой с 5'-конца, (линия 4) 5'-TSTTTTT-3' с бензотиазольной фосфорамидной группой с 5'-конца, (линия 5) 5'-TDTTTTT3' с 1,3-диметил-бензимидазольной фосфорамидной группой с 5'-конца, (линия 6) 5'-TTTTTNT-3' с бензимидазольной фосфорамидной группой с 3'-конца, (линия 7) 5'-TTTTTOT-3' с бензоксазольной фосфорамидной группой с 3'-конца, (линия 8) 5'-TTTTTST-3' с бензотиазольной фосфорамидной группой с 3'-конца, и (линия 9) 5'-TSTTTTST-3' с двумя бензотиазольными фосфорамидными группами с 5'- и 3'-концов. На фиг. 7 Представлены спектры испускания флуоресценции гексаолиготимидилатов (а) с одной бензотиазольной фосфорамидной группой, где 6 - по 3'- и 7 - по 5'-фосфату, λЕх=350 нм; (б) с двумя бензотиазольными фосфорамидными группами: 8 - по фосфатам с 5'-конца, 9 - по фосфатам с 5'- и 3'-концов, 10 - по фосфатам с 3'-конца, λЕх=315 нм. Спектры зарегистриованы в 50% EtOH (концентрация 10-4 М). На фиг. 8 Представлены результаты электрофоретического разделения продуктов ПЦР (сканирование сигнала флуоресценции) для матрицы М 30 и праймеров, где а) Zn-O-FAM с бензоксазольными фосфорамидными группами, б) Zn- S-FAM с бензотиазольными фосфорамидными группами, в) Zn-N-FAM с бензимидазольными фосфорамидными группами, г) Zn-D-FAM с 1,3-диметил-бензимидазольными фосфорамидными группами, где n-положение модифицированного фосфата с 3'-конца и в обозначении линий фореза 0-7. На фиг. 9 Представлено относительное содержание основных продуктов удлинения праймеров рассчитанное при помощи программного обеспечения «GelPro Analyzer 4.0» («Media Cybernetics», США). На фиг. 10 Представлена схема синтеза бисизопропил-бензотиазол-2-ил-фосфорамидата. На фиг. 11 Представлены рассчитанные значения эффективности ПЦР для нативных праймеров и праймеров с фосфорамидными бензоазольными группами (ФАО). На фиг. 12 Представлены структуры ФАО, флуоресцентного зонда и немодифицированных олигодезоксирибонуклеотидов, где контроль без матрицы (NTC) не проявляет сигнала для всех праймеров. N/A означает, что Ст не был получен для реакции с 45 циклами, а значения ΔСт рассчитаны приняв Cт (WT)=45.0. На фиг. 13 Представлена термодинамическая стабильность комплекса модифицированных и соответствующих нативных олигонуклеотидов с ДНК/РНК, где * Термическая стабильность для комплексов с комплементарным олигонуклеотидом 5'-TGTTTTGGCGC-3' при концентрации 20 мкМ (0,2 мМ на нуклеотид), ** Термическая стабильность для комплексов с комплементарным олигорибонуклеотидом 5'-UGUUUGGCGC-3' при концентрации 5 мкМ (0,05 мМ/на нуклеотид), и при концентрации 10 мкМ (0,1 мМ/на нуклеотид) для олигонуклеотида No14 с множественной модификацией. На фиг. 14 Представлен масс-спектр ESI LC-MS/MS, который показывает молекулярные ионы m/z гексатимидилата 5'-d(TNTTTTT) с бензимидазольной фосфорамидной группой. На фиг. 15 Представлен масс-спектр ESI LC-MS/MS, который показывает молекулярные ионы m/z гексатимидилата 5'-d(TDTTTTT) с 1,3-диметил-бензимидазольной фосфорамидной группой. На фиг. 16 Представлен масс-спектр ESI LC-MS/MS, который показывает молекулярные ионы m/z гексатимидилата 5'-d(TOTTTTT) с бензоксазольной фосфорамидной группой. На фиг. 17 Представлен масс-спектр ESI LC-MS/MS, который показывает молекулярные ионы m/z гексатимидилата 5'-d(TSTTTTT) с бензотиазольной фосфорамидной группой. На фиг. 18 Представлен масс-спектр ESI LC-MS/MS который показывает молекулярные ионы m/z гексатимидилата 5'-d(TSTSTTTT) с двумя бензотиазольными фосфорамидными группами. На фиг. 19 Представлен масс-спектр ESI LC-MS/MS, который показывает молекулярные ионы m/z гексатимидилата 5'-d(TTTTTST) с бензотиазольной фосфорамидной группой. На фиг. 20 Представлен масс-спектр ESI LC-MS/MS который показывает молекулярные ионы m/z гексатимидилата 5'-d(TTTTSTST) с двумя бензотиазольными фосфорамидными группами. На фиг. 21 Представлен масс-спектр ESI LC-MS/MS который показывает молекулярные ионы m/z гексатимидилата 5'-d(TSTTTTST) с двумя бензотиазольными фосфорамидными группами. На фиг. 22 Представлен масс-спектр ESI LC-MS/MS который показывает молекулярные ионы m/z гексатимидилата 5'-d(TTTTTNT) с бензимидазольной фосфорамидной группой. На фиг. 23 Представлен масс-спектр ESI LC-MS/MS который показывает молекулярные ионы m/z гексатимидилата 5'-d(TTTTTOT) с бензоксазольной фосфорамидной группой. На фиг. 24 Представлен масс-спектр ESI LC-MS/MS который показывает молекулярные ионы m/z дезоксиолигонуклеотида 5'-d(GSCGCCAAACA) с бензотиазольной фосфорамидной группой. На фиг. 25 Представлен масс-спектр ESI LC-MS/MS который показывает молекулярные ионы m/z дезоксиолигонуклеотида 5'-d(GCGCCSAAACA) с бензотиазольной фосфорамидной группой. На фиг. 26 Представлен масс-спектр ESI LC-MS/MS который показывает молекулярные ионы m/z дезоксиолигонуклеотида 5'-d(GCGCCAAACSA) с бензотиазольной фосфорамидной группой. На фиг. 27 Представлен масс-спектр ESI LC-MS/MS который показывает молекулярные ионы m/z дезоксиолигонуклеотида 5'-d(GSCGSCCSAASACSA) с пятью бензотиазольными фосфорамидными группами. В заявляемом техническом решении предложен способ матричного ферментативного синтеза ДНК. Способ включает в себя использование ДНК-матрицы, которая содержат участок ДНК, подлежащий амплифицированию, праймеры, которые комплементарны противоположным концам разных цепей участка ДНК, термостабильную ДНК-полимеразу - фермент, который катализирует синтез ДНК, дезоксирибонуклеозидтрифосфатов, ионов Mg2+, необходимых для работы ДНК-полимеразы и буферный раствор, который обеспечивает условия реакции - рН, ионную силу. В качестве праймеров, при проведении полимеразной цепной реакции (ПЦР) или аллель-специфической ПЦР используют фосфорамидные азольные олигонуклеотиды (ФАО), которые содержат хотя бы одну фосфорамидную бензоазольную группу, которая является объемной и гидрофобной, которая может быть заряженной, незаряженной или частично заряженной при условиях, близких к физиологическим и при ПЦР условиях. Фосфорамидный азольный олигонуклеотид содержит одну или более, вплоть до полного замещения природных фосфатных групп, фосфорамидную бензоазольную группу, в которой по атому фосфора введен остаток амидо-бензоазола и отвечающий формуле где В представляет собой азотистое основание, R1 и R2 каждый независимо представляет собой атом водорода, или флуоресцентную метку, или остаток нуклеотида, или остаток олигонуклеотида, или остаток нуклеотида, содержащий указанную фосфорамидную бензоазольную группу, или остаток олигонуклеотида, содержащий указанную фосфорамидную бензоазольную группу; R3 отсутствует или представляет собой -Н или -С1-10-алкил; R4 отсутствует или представляет собой -С1-10-алкил; R5 и R6 каждый независимо представляет собой -Н или -ОСН3; X представляет собой -N-, -О- или -S-; Z представляет собой -Н. Способ синтеза фосфорамидных азольных олигонуклеотидов, охватываемых настоящим изобретением, включает в себя реакцию между динуклеозид-β-цианэтилфосфитом и соответствующим органическим азидом (реакцию Штаудингера) в процессе амидофосфитного олигонуклеотидного синтеза. Амидофосфитный метод является наиболее эффективным и широко используемым способом синтеза олигонуклеотидов. Протоколы амидофосфитного метода известны специалистам в области получения олигонуклеотидов и в предпочтительном применении осуществляются в твердофазном варианте, в еще более предпочтительном варианте - с использованием автоматического ДНК/РНК-синтезатора. Полимерно-иммобилизованный, при помощи соответствующего линкера, DMTr-нуклеозид подвергается детритилированию, а затем конденсации с соответствующим образом активированным амидофосфитом нуклеозида с образованием фосфиттриэфира. Далее проводят «кэппинг», т.е. ацилирование непрореагировавших гидроксильных групп нуклеозидов на полимере, после чего фосфиттриэфир окисляется в фосфотриэфир при помощи соответствующего окислителя, например, йода. Данный цикл повторяют до окончания наращивания целевой олигонуклеотидной последовательности. Для введения фосфорилгуанидиновой группы стадия окисления фосфиттриэфира йодом заменяется реакцией Штаудингера динуклеозидфосфита с соответствующим органическим азидом. При этом после проведения реакции Штаудингера наращивание последовательности может далее проводиться с использованием окисления йодом до следующего желаемого положения модифицированной фосфатной группы. Таким образом, модифицированные фосфатные группы могут быть введены в любые желаемые положения в пределах целевой олигонуклеотидной последовательности при ее постепенном наращивании. Заявляемый способ подходит для получения олигонуклеотидов с фосфорамидными бензоазольными группами в олигонуклеотидной цепи, включающими множественные варианты заместителей - X, R3, R4, Z в фосфорамидной бензоазольной группе, например, с бензимидазольными где При этом соответствующий органический азид для синтеза фосфорамидных азольных олигонуклеотидов выбирается из формулы где R3 отсутствует или представляет собой -Н или -С1-10-алкил; R4 отсутствует или представляет собой -С1-10-алкил; X представляет собой -N-, -О- или -S-; Z представляет собой -Н. Данные азиды могут быть синтезированы с использованием способов, известных из литературы (Kitamura, М.; Yano, М.; Tashiro, N.; Miyagawa, S.; Sando, M.; Okauchi, Т. Eur. J. Org. Chem., 2011, 3, 458-462; Schmölzer, K.; Weingarten, M.; Baldenius, K.; Nidetzky, B. ACS Catal. 2019, 9(6), 5503-5514; Kitamura, M. Murakami, K. Org. Synth. 2015, 92, 171-181; Zornik, D.; Meudtner, R.M.; Malah, Т.Е.; Thiele, С.М.; Hecht, S. Chemistry-A European Journal, 2011, 17(5), 1473-1484.; Das, J.; Patil, S.N.; Awasthi, R.; Narasimhulu, C.P.; Trehan, S. Synthesis, 2005, 11, 1801-1806; Hendrick, C.E.; Bitting, K.J.; Cho, S.; Wang, Q. J. Am. Chem. Soc. 2017, 139, 33, 11622-11628; Reynolds, G.A.; VanAllan, J.A. J. Org. Chem. 1959, 24, 1478-1486; Avila, В.; Roth, A.; Streets, H.; Dwyer, D.S.; Kurth, M.J. Bioorg Med Chem Lett. 2012, 22(18), 5976-5978). Примеры 1-4 показывают синтез органических азидов. Пример 1. Показывает синтез органических азидов, а именно синтез 2-азидобензимидазола при X=N, R3=H, R4 отсутствует, формула (3). Азид натрия (1,43 экв., 10 ммоль) добавляли к раствору 2-хлорбензимидазола (1 экв., 7 ммоль) в ДМФА (6 мл), реакционную смесь помещали в термостат при перемешивании и инертной атмосфере (60°С, 24 часа). Затем разбавляли хлороформом до 60 мл, органическую фазу промывали насыщенным раствором NaCl (60 мл), затем NaHSO4 (60 мл) и водой (60 мл). Органическую фазу сушили над безводным сульфатом натрия, затем растворитель упаривали на роторном испарителе. При необходимости продукт дополнительно очищали колоночной флэш-хроматографией (силикагель 60, 0,04-0,063 мм; 10% этилацетата в гексане). Получили 386 мг, 2.42 ммоль (37%) 2-азидобензимидазола. ТСХ (гексан: этилацетат = 7.5: 2.5): RfCl=0.2, Rf N3=0.31. Данные ЯМР, УФ и ИК спектроскопии соответствовали литературным и подтверждали структуру азида. ИК (KBr) N3 υ [см-1] 2140. УФ (50% EtOH) λmax 240, 275, 281, 290 нм.1Н ЯМР ((CD3)2SO), 600 МГц, δ, м.д.): 8 (с, 1Н, NH), 7.45-7.43 (м, 2Н, СН-Ar), 7.16-7.15 (м, 2Н, СН-Ar).13С ЯМР ((CD3)2SO), 150 MHz, δ, м.д.): 147.7, 122, 114.2. Пример 2. Показывает синтез органических азидов, а именно синтез 2-азидобензоксазола при Х=O, R3, R4 отсутствуют, формула (3). Азид натрия (1,43 экв., 10 ммоль) добавляли к раствору 2-хлорбензоксазола (1 экв., 7 ммоль) в ДМФА (6 мл), реакционную смесь помещали в термостат при перемешивании и инертной атмосфере (60°С, 24 часа). Затем разбавляли хлороформом до 60 мл, органическую фазу промывали насыщенным раствором NaCl (60 мл), затем NaHSCO4 (60 мл) и водой (60 мл). Органическую фазу сушили над безводным сульфатом натрия, затем растворитель упаривали на роторном испарителе. При необходимости продукт дополнительно очищали колоночной флэш-хроматографией (силикагель 60, 0,04-0,063 мм; 10% этилацетата в гексане). Получили 631 мг, 3,94 ммоль (61%) 2-азидобензоксазола. ТСХ ((гексан:этилацетат = 9,5:0,5): Rf Cl=0,61, Rf N3=0,45. Данные ЯМР, УФ и ИК-спектроскопии соответствуют литературным данным и подтверждали структуру азида. ИК (KBr): N3 υ [см-1] 2150. УФ (50% EtOH) λmax 255, 282 нм. ЯМР1Н (CDCl3, 600 МГц, δ, м.д.): 7,56 (д, 1Н-Ar), 7.40 (д, 1Н-Ar), 7.29 (т, 2Н-Ar). ЯМР13С (CDCl3, 150 МГц, δ, м.д.): 156.9, 149.7, 141.1, 124.9, 124.1, 118.5, 110.2. Пример 3. Показывает синтез органических азидов, а именно синтез 2-азидобензотиазола при X=S, R3, R4 отсутствуют, формула (3). Азид натрия (1,43 экв., 10 ммоль) добавляли к раствору 2-хлорбензоксазола (1 экв., 7 ммоль) в ДМФА (6 мл), реакционную смесь помещали в термостат при перемешивании и инертной атмосфере (60°С, 24 часа). Затем разбавляли хлороформом до 60 мл, органическую фазу промывали насыщенным раствором NaCl (60 мл), затем NaHSO4 (60 мл) и водой (60 мл). Органическую фазу сушили над безводным сульфатом натрия, затем растворитель упаривали на роторном испарителе. При необходимости продукт дополнительно очищали колоночной флэш-хроматографией (силикагель 60, 0,04-0,063 мм; 10% этилацетата в гексане). Получили 788 мг, 4,48 ммоль (76%) 2-азидобензотиазола. ТСХ (гексан:этилацетат = 8,2:1,8): Rf Cl=0,71, Rf N3=0,16 и 0,74. Данные ЯМР, УФ и ИК-спектроскопии соответствовали литературным данным и подтверждали структуру азида. УФ (50% EtOH) λmax 238, 284, 290 нм.1Н ЯМР (CDCl3, 80 МГц, δ, м.д.): 8,20-7,49 (м, 4Н). ИК (KBr): N3 2130-2150. Пример 4. Показывает синтез органических азидов, а именно синтез 2-азидо-1,3-диметил-бензимидазол гексафторфосфата при X=N, R3=CH3, R4=CH3, формула (3), который проходил в три стадии. На первой стадии был получен 1,3-диметил-бензимидазол: к раствору 2-гидроксибензимидазола (1 экв., 2,535 г, 18 ммоль) в 13 мл толуола бромид тетрабутиламмония (0,05 экв., 303,8 мг) и водный раствор (40% масс./масс.) гидроксида калия (4 экв., 4,211 г) были добавлены. Реакционную смесь нагревали на масляной бане до 60°С и порциями в течение часа добавляли йодметан (2,3 экв., 6,08 г, 2,67 мл). Реакционную смесь оставляли на 24 часа при 58°С и перемешивании. Окончание реакции контролировали с помощью ТСХ (этилацетат:гексан = 1:1). Затем к реакционной смеси добавляли 75 мл 1н HCl. Органическую фазу промывали 75 мл NaHCO3 и водой, сушили над сульфатом натрия, затем растворитель упаривали на роторном испарителе. Продукт перекристаллизовывали из смеси ацетон:гексан = 3:2. Было получено 1,4438 г, 8,9 ммоль (50%) 1,3-диметил-бензимидазола. Далее к раствору 1,3-диметил-бензимидазола (1 экв, 1,44 г, 8,9 ммоль) в 11 мл толуола добавляли 2,26 мл оксалилхлорида при 40°С. Реакционную смесь нагревали до 70°С и оставляли на 3 суток при перемешивании, затем добавляли 1,13 мл оксалилхлорида и выдерживали еще 2 суток при 70°С. Нагрев выключали и реакционную смесь охлаждали до комнатной температуры, а затем на льду. Осадок отфильтровывали на стеклянном фильтре, промывали холодным толуолом, сушили в эксикаторе под вакуумом. Было получено 0,47 г, 2,2 ммоль (25%) 2-хлор-1,3-диметил-бензимидазол хлорида. 2-Азидо-1,3-диметил-бензимидазол гексафторфосфат получали по методике, описанной в (Kitamura, М.; Murakami, K. Synthesis of 2-Azido-1,3-dimethylimidazolinium Hexafluorophosphate (ADMP). Org. Synth. 2015, 92, 171-181. DOI: 10.15227/orgsyn.092.0171). Сначала анион хлора заменили анионом гексафторфосфата, так как эта процедура улучшает растворимость продукта в ацетонитриле и способствует большей стабильности при хранении. 2-Хлор-1,3-диметил-бензимидазол хлорид (1 экв., 0,4694 г, 2,2 ммоль) и гексафторфосфат калия (1 экв., 2,2 ммоль, 409,4 мг) помещали в круглодонную колбу с мешалкой и продували аргоном под септой. С помощью шприца добавляли 10 мл сухого ацетонитрила. Перемешивали при комнатной температуре в течение ночи. Реакционную смесь фильтровали на стеклянном фильтре со слоем силикагеля толщиной 0,5 см. Субстрат упаривали на роторном испарителе (нагрев ниже 50°С), растворяли в небольшом количестве ацетонитрила (2 мл) и продукт осаждали диэтиловым эфиром (15 мл × 2). Полученные 584,7 мг продукта растворяли в 5 мл сухого ацетонитрила и добавляли азид натрия (1,5 экв., 2,6 ммоль, 171 мг). Реакционную смесь оставляли перемешиваться в течение ночи при комнатной температуре в атмосфере аргона. Реакционную смесь фильтровали на стеклянном фильтре со слоем силикагеля толщиной 0,5 см. Субстрат упаривали на роторном испарителе (при нагревании ниже 50°С), растворяли в небольшом количестве ацетонитрила (2 мл) и продукт осаждали диэтиловым эфиром (15 мл × 2). Было получено 442,8 мг, 1,3 ммоль (60%) 2-азидо-1,3-диметил-бензимидазол гексафторфосфата. Данные ЯМР, УФ и ИК-спектроскопии соответствовали литературным данным и подтверждали структуру азида. ИК (KBr): N3 υ [см-1] 2140, УФ (вода/ацетонитрил) λmax 200-300, 370÷443 нм.1Н ЯМР (CDCl3, 80 МГц, δ, м.д.): 7,63-7,49 (м, 4Н, 4, 5, 6, 7), 2,64 (с, 6Н, 2СН3). ЯМР31Р (CDCl3, 32 МГц, δ, м.д.): -101,13, -122,916, -144,694, -166,479, -188,263 ЯМР19F (CDCl3, 75 МГц, δ, м. д.): -66,49, -75,86. Реакции введения фосфорамидной бензоазольной группы могут быть проведены вручную с остановкой автоматизированного синтеза. Для этого после прохождения стадий 5'-детритилирования, фосфитамидной конденсации и кэпирования, но перед стадией окисления, полимерный носитель с иммобилизованным фосфиттриэфиром (5 мг), подсушив 1 мин на водоструйном насосе после промывки сухим ацетонитрилом (2×200 мкл), переносили из реактора в пластиковую пробирку и обрабатывали раствором соответствующего органического азида (0.25 М) в органическом растворителе. Предпочтительным растворителем является сухой ацетонитрил. По окончании реакции (30 мин) отбирали супернатант, промывали носитель 2×200 мкл сухого ацетонитрила, и переносили полимерный носитель в реактор для твердофазного синтеза, после чего возобновляли автоматизированный твердофазный синтез согласно β-цианэтильному фосфитамидному протоколу до следующей модификации либо до завершения последовательности. Предпочтительно, реакции введения фосфорамидной бензоазольной группы проводились в режиме непрерывного твердофазного синтеза при использовании автоматического синтезатора ДНК ASM-800 с размещением раствора органического азида (0.25 М) в одной из емкостей синтезатора. По окончании твердофазного синтеза полимерный носитель переносили из реактора в пластиковую пробирку объемом 1,5 мл с завинчивающейся крышкой и резиновым уплотнительным кольцом, прибавляли 200 мкл конц. (ок. 25%) водного раствора аммиака из расчета на 5 мг носителя и отщепляли олигонуклеотид от носителя с одновременным удалением защитных групп в течение 40 мин при комнатной температуре для гомотимидилатов или в течение 5-18 ч при 55°С для олигонуклеотидов, содержащих прочие основания. По окончании деблокирования супернатант упаривали досуха в вакууме на вакуум-концентраторе Savant SpeedVac DNA120OP). К остатку прибавляли 400 мкл 20 мМ раствора ацетата триэтиламмония, рН 7 и отделяли полимерный носитель центрифугированием. Аналитический контроль фосфорамидных азольных олигонуклеотидов и препаративное выделение проводили на хроматографе Agilent 1220 (Agilent Technologies, США) в стандартных условиях. Для контроля чистоты фосфорамидных азольных олигонуклеотидов использовали денатурирующий гель-электрофорез в полиакриламидном геле (ПААГ) с 15% метилен-бис-акриламида с визуализацией полос окрашиванием раствором красителя Stains-All. Молекулярную массу полученного ФА-олигонуклеотида подтверждали методом масс-спектрометрии ESI LC-MS/MS на хромато-масс-спектрометре Agilent G6410A (Agilent Technologies, США) в режиме регистрации отрицательных ионов. Образец готовили, растворяя олигонуклеотид в 20 мМ ТЕАА, содержащем 60% (об.) ацетонитрила до концентрации 0.1 мМ. Объем анализируемого образца составлял 10 мкл. Анализ проводили с использованием 80% водн. ацетонитрила в качестве элюента при скорости потока 0.1 мл/мин. Использовали стандартные параметры настройки масс-спектрометра. Молекулярные массы олигонуклеотидов рассчитывали, используя наборы экспериментальных значений m/z, определенные для каждого анализируемого образца. Количество (концентрацию) полученного фосфорамидного азольного олигонуклеотида определяли по оптической плотности раствора. Для этого использовали УФ-спектрофотометр NanoDrop 2000 с. Коэффициент экстинкции фосфорамидной бензоазольной группы определяли по УФ-спектру бисизопропил-бензотиазол-2-ил-фосфорамидата (С=8×10-5, 50% EtOH-Н2О): ε=7125 (260 нм), который был синтезирован специально как наиболее близкий по структуре фосфорамидной бензотиазольной группе. Пример 5. Показывает синтез бисизопропилбензотиазол-2-илфосфорамидата и его УФ-спектральные характеристики. Схема синтеза бисизопропил-бензотиазол-2-ил-фосфорамидата приведена на Фиг. 10. Реакцию проводили в ампуле под контролем ЯМР. К раствору 0,5 М ЭТТ (4 экв., 0,112 ммоль, 240 мкл) в сухом ацетонитриле добавляли изопропанол (абс.) (100 экв., 2,8 ммоль, 595 мкл) и 2-цианоэтил-N,N,N,N',N'-тетраизопропилдиамидофосфит (1 экв., 0,028 ммоль, 9 мкл). Образование триэфира происходит мгновенно, что было подтверждено31Р ЯМР. После добавления 2-азидобензотиазола (1 экв., 0,028 ммоль, 280 мкл 0,1 М раствора) реакцию проводили в течение часа. Затем добавили 250 мкл TEA для удаления цианэтиловой защиты. Реакционную смесь разбавляли водой (~10 раз). Белый осадок отделяли центрифугированием и, после декантации супернатанта, сушили со-упариванием с ацетонитрилом. Структура соединения была подтверждена спектрами ЯМР31Р и1Н. Коэффициент экстинкции фосфорамидной бензотиазольной группы определяли по УФ-спектру (С=8×10-5 М, 50% EtOH-Н2О): ε=7125 (260 нм). Концентрацию бисизопропил-бензотиазол-2-ил-фосфорамидата рассчитывали по весу образца. Примеры 6-9 показывают синтез шестизвенного тимидиногвого олигонуклеотида (гексатимидилата), с фосфорамидными бензоазольными группами, введенными по 5'-концевому фосфату, выполненный с использованием автоматического синтезатора ДНК в ручном режиме. Здесь и далее в примерах и пр., бензоазольные группы обозначены следующим образом: (N) бензимидазольная группа, (О) - бензоксазольная группа, (S) - бензотиазольная группа и (D) - 1,3-диметил-бензимидазольная группа. Пример 6. Показывает получение гексатимидилата 5'-d(TNTTTTT), с фосфорамидной бензимидазольной группой (Формула (2), а); символ (N) указывает положение модифицированной фосфатной группы в олигонуклеотиде. В реактор для твердофазного синтеза загружали 5 мг полимерного носителя на основе пористого стекла CPG с размером пор 500-1000 Å с иммобилизованным 5'-DMTrdT (загрузка нуклеозида 30-40 мкмоль/г) и запускали протокол автоматизированного твердофазного синтеза ДНК по β-цианэтильной фосфитамидной схеме в масштабе 0.2 мкмоль. Синтез останавливали после прохождения стадий 5'-детритилирования, фосфитамидной конденсации и кэпирования перед стадией окисления, и полимерный носитель с иммобилизованным фосфиттриэфиром, подсушив на водоструйном насосе 1 мин после промывки сухим ацетонитрилом (2×200 мкл), переносили из реактора в пластиковую пробирку объемом 1.5 мл, 0.25 М раствор 2-азидобенимидозола (80 мкл) прибавляли в пластиковую пробирку с полимерным носителем, встряхивали на шейкере в течение 1 мин, центрифугировали в течение 30 сек при 14500 об/мин и встряхивали на шейкере в течение 30 мин при 25°С. По окончании реакции отбирали супернатант, промывали носитель 3×200 мкл сухого ацетонитрила и переносили в реактор для твердофазного синтеза, после чего удаляли 5'-DMTr-группу с использованием автоматического синтезатора ДНК в ручном режиме. Реактор с носителем высушивали в вакуум-концентраторе SpeedVac в течение 15 мин, и носитель переносили в пластиковую пробирку объемом 1.5 мл для последующего деблокирования. Отщепление фосфорамидных азольных олигонуклеотидов от носителя проводили раствором водного аммиака (~28%) в течение 45 мин при температуре 55°С. Профиль элюции ВЭЖХ приведен на Фиг. 4, масс-спектр ESI LC-MS/MS - на Фиг. 14. Молекулярная масса: расчетная 1876.4, полученная 1878.4. Пример 7. Показывает получение гексатимидилата 5'-d(TDTTTTT), с фосфорамидной 1,3-диметил-бензимидазольной группой (Формула (2), б); символ (D) указывает положение модифицированной фосфатной группы в олигонуклеотиде. Синтез проводили аналогично описанному в Примере 6, использовали 0.25 М раствор 2-азидо-1,3-диметил-бензимидазол гексафторфосфата. Профиль элюции ВЭЖХ приведен на Фиг. 1, масс-спектр ESI LC-MS/MS - на Фиг. 15. Молекулярная масса: расчетная 1905.4, полученная 1906.4. Пример 8. Показывает получение гексатимидилата 5'-d(TOTTTTT), с фосфорамидной бензоксазольной группой (Формула (2), в); символ (O) указывает положение модифицированной фосфатной группы в олигонуклеотиде. Синтез проводили аналогично описанному в Примере 6, использовали 0.25 М раствор 2-азидобензоксазола. Профиль элюции ВЭЖХ приведен на Фиг. 4, масс-спектр ESI LC-MS/MS - на Фиг. 16. Молекулярная масса: расчетная 1877.8, полученная 1879.2. Пример 9. Показывает получение гексатимидилата 5'-d(TSTTTTT), с фосфорамидной бензотиазольной группой (Формула (2), г); символ (S) указывает положение модифицированной фосфатной группы в олигонуклеотиде. Синтез проводили аналогично описанному в Примере 6, использовали 0.25 М раствор 2-азидобензотиазола. Профиль элюции ВЭЖХ приведен на Фиг. 1, масс-спектр ESI LC-MS/MS - на Фиг. 17. Молекулярная масса: расчетная 1893.3, полученная 1895.4. Примеры 10-15 показывают синтез шестизвенного тимидинового олигонуклеотида (гексатимидилата), с фосфорамидными бензоазольными: бензимидазольной, бензоксазольной и бензотиазольной группами, введенными по 3'- концевому фосфату, а также с двумя бензотиазольными группами в различных положениях олигонуклеотида, выполненный с использованием автоматического синтезатора ДНК в автоматическом режиме. Пример 10. Показывает получение гексатимидилата 5'-d(TSTSTTTT), дважды модифицированного фосфорамидной бензотиазольной группой; символ (S) указывает положение модифицированных фосфатных групп в олигонуклеотиде. В реактор для твердофазного синтеза загружали ~10 мг полимерного носителя на основе пористого стекла CPG с размером пор 500-1000 Å с иммобилизованным 5'-DMTrdT (загрузка нуклеозида 30-40 мкмоль/г) и запускали протокол автоматизированного твердофазного синтеза ДНК по β-цианэтильной фосфитамидной схеме в масштабе 0.4 мкмоль. Использовали модифицированный регламент синтеза, в котором сочеталось окисление йодом для обычных фосфатных групп и обработка 0.25 М раствором 2-азидобензотиазола в ацетонитриле в течение 15 мин для введения бензотиазольной фосфорамидной группы. По окончании синтеза реактор с носителем высушивали в вакуум-концентраторе SpeedVac в течение 15 мин, и носитель переносили в пластиковую пробирку объемом 1.5 мл для последующего деблокирования. Отщепление олигонуклеотида от носителя проводили раствором аммиака в течение 45 минут при 55°С. Масс-спектр ESI LC-MS/MS приведен на Фиг. 18. Молекулярная масса: расчетная 2026.4, полученная 2027.4. Пример 11. Показывает получение гексатимидилата 5'-d(TTTTTST), фосфорамидной бензотиазольной группой; символ (S) указывает положение модифицированной фосфатной группы в олигонуклеотиде. Синтез проводили аналогично описанному в Примере 10, масс-спектр ESI LC/MS - на Фиг. 19. Молекулярная масса: расчетная 1893.4, полученная 1895.4. Пример 12. Показывает получение гексатимидилата 5'-d(TTTTSTST), дважды модифицированного фосфорамидной бензотиазольной группой; символ (S) указывает положение модифицированных фосфатных групп в олигонуклеотиде. Синтез проводили аналогично описанному в Примере 10, масс-спектр ESI LC-MS/MS - на Фиг. 20. Молекулярная масса: расчетная 2026.4, полученная 2027.4. Пример 13. Показывает получение гексатимидилата 5'-d(TSTTTTST), дважды модифицированного фосфорамидной бензотиазольной группой; символ (S) указывает положение модифицированных фосфатных групп в олигонуклеотиде. Синтез проводили аналогично описанному в Примере 10, масс-спектр ESI LC-MS/MS - на Фиг. 21. Молекулярная масса: расчетная 2026.4, полученная 2027.4. Пример 14. Показывает получение гексатимидилата 5'-d(TTTTTNT), с фосфорамидной бензимидазольной группой; символ (N) указывает положение модифицированной фосфатной группы в олигонуклеотиде. Синтез проводили аналогично описанному в Примере 6, масс-спектр ESI LC-MS/MS - на Фиг. 22. Молекулярная масса: расчетная 1877.4, полученная 1877.4. Пример 15. Показывает получение гексатимидилата 5'-d(TTTTTOT), с фосфорамидной бензоксазольной группой; символ (O) указывает положение модифицированной фосфатной группы в олигонуклеотиде. Синтез проводили аналогично описанному в Примере 8, масс-спектр ESI LC-MS/MS - на Фиг. 23. Молекулярная масса: расчетная 1878.4, полученная 1878.2. Примеры 16-19 показывают синтез десятизвенного олигонуклеотида с гетеропоследовательностью, с фосфорамидными бензотиазольными группами, введенными по 3'- или 5'- концевому, по фосфату в середине олигонуклеотида, а также с множественным введением фосфорамидных бензотиазольных групп (через один немодифицированный фосфат), выполненный с использованием автоматического синтезатора ДНК в автоматическом режиме. Пример 16. Показывает получение олигодезоксинуклеотида 5'-d(GSCGCCAAACA), с фосфорамидной бензотиазольной группой; символ (S) указывает положение модифицированной фосфатной группы в олигонуклеотиде В реактор для твердофазного синтеза загружали ~10 мг полимерного носителя на основе пористого стекла CPG с размером пор 500-1000 Å с иммобилизованным 5'-DMTr-dABz (загрузка нуклеозида 30-40 мкмоль/г) и запускали протокол автоматизированного твердофазного синтеза ДНК по β-цианэтильной фосфитамидной схеме в масштабе 0.4 мкмоль. Использовали модифицированный регламент синтеза, в котором сочеталось окисление иодом для обычных фосфатных групп и обработка 0.25 М раствором 2-азидобензотиазола в ацетонитриле в течение 15 мин для введения фосфорамидной бензотиазольной группы. По окончании синтеза реактор с носителем высушивали в вакуум-концентраторе SpeedVac в течение 15 мин, и носитель переносили в пластиковую пробирку объемом 1.5 мл для последующего деблокирования. Отщепление олигонуклеотида от носителя с одновременным удалением защитных групп проводили раствором аммиака в течение 6-18 ч при 55°С. Масс-спектр ESI LC-MS/MS приведен на Фиг. 24. Молекулярная масса: расчетная 3137.6, полученная 3136.8. Пример 17. Показывает получение олигодезоксинуклеотида 5'-d(GCGCCSAAACA), с фосфорамидной бензотиазольной группой; символ (S) указывает положение модифицированной фосфатной группы в олигонуклеотиде. Синтез проводили аналогично описанному в Примере 16, масс-спектр ESI LC-MS/MS - на Фиг. 25. Молекулярная масса: расчетная 3137.6, полученная 3136.4. Пример 18. Показывает получение олигодезоксинуклеотида 5'-d(GCGCCAAACSA), с фосфорамидной бензотиазольной группой; символ (S) указывает положение модифицированной фосфатной группы в олигонуклеотиде. Синтез проводили аналогично описанному в Примере 16, масс-спектр ESI LC-MS/MS - на Фиг. 26. Молекулярная масса: расчетная 3137.6, полученная 3136.4. Пример 19. Показывает получение олигодезоксинуклеотида 5'-d(GSCGSCCSAASACSA), с фосфорамидной бензотиазольной группой; символ (S) указывает положение модифицированных фосфатных групп в олигонуклеотиде. Синтез проводили аналогично описанному в Примере 16, масс-спектр ESI LC-MS/MS - на Фиг. 27. Молекулярная масса: расчетная 3665.6, полученная 3665.4. Таким образом были получены фосфорамидные азольные олигонуклеотиды как мононуклеотидного так и гетеронуклеотидного состава различной длины и с различным количеством фосфорамидных бензоазольных групп. Последовательности и молекулярные массы фсфорамидных азольных олигонуклеотидов представлены в таблице (Фиг. 1). Аналогично Примерам 16-19 были синтезированы фосфорамидные азольные олигонуклеотиды для исследования возможности использования их в качестве праймеров в ПЦР и представленные на Фиг. 2 и на Фиг. 3. Проводились исследования следующих свойств, полученных фосфорамидных азольных олигонуклеотидов, а именно: 1. Исследование гидрофобности олигонуклеотида, получаемого после введения фосфорамидной бензоазольной группы проводили с помощью вэсокоэффективной жидкостной хроматографии (ВЭЖХ) на колонке с обращенной фазой С18, на хроматографе Милихром А-02, с градиентным элюированием ацетонитрилом (0 - 50%) в 0,02 М ТЕААс (рН 7,0) в течение 30 мин и скорости элюирования 0,15 мл/мин, УФ-детектирование проводили на длине волны 260, 280 и 330 нм. На фиг.4 показаны профили элюции ВЭЖХ нативного гексатимидилата и гексатимидилатов с одной из фосфорамидных бензоазольных групп (Т6, олигонуклеотиды №1-4, Фиг. 1). Время удерживания на колонке для олигонуклеотидов №1-4 на Фиг. 1 значительно выше, что говорит о их значительно большей гидрофобности. 2. Фосфорамидные азольные нуклеотиды обладают химической устойчивостью в широком диапазоне рН, что продемонстрировано на Примерах 20 и 21, а также на Фиг. 5 и Фиг. 6, где показана их устойчивость в 0.1Н HCl при рН=1 (Фиг. 5) и устойчивость при рН=4.5 в условиях гель-электрофореза в полиакриламидном геле (Фиг. 6). 3. Замена природных фосфатных групп фосфорамидными бензоазольными группами происходит с сохранением частичного отрицательного заряда фосфатной группы, что проиллюстрировано Примером 21 и продемонстрировано на Фиг. 6 с помощью электрофоретического анализа подвижности в 15% денатурирующем геле гексатимидилатов с фосфорамидными бензимидазольной, бензоксазольной, бензотиазольной и 1,3-диметил-бензимидазольной группами при различных рН: а) - рН=4.5, б) - рН=8.3, в) - рН=10. Практически нет заряда у 1,3-диметил-бензимидазольной и бензимидазольной групп, в то время как заряд бензоксазольной и бензотиазольной групп в большей степени зависят от рН и в условиях, близких к физиологическим, и щелочных условиях эти группы становятся частично или полностью отрицательно заряженными, а в кислых условиях являются нейтральными. 4. Введение фосфорамидной бензотиазольной группы вместо одного из атомов кислорода может вызывать флуоресценцию олигонуклеотида, что проиллюстрировано Примером 22 и продемонстрировано на Фиг. 7, где представлены спектры испускания флуоресценции олигонуклеотида: (а) с одной фосфорамидной бензотиазольной группой по 3'- и 5'-фосфату, №3, 6 (Фиг. 1), λEx=350 нм; (б) с двумя фосфорамидными бензотиазольными группами по 3'-, 5'- и 3',5'-фосфатам, №5,7,8 (Фиг. 1) λEx=315 нм. Спектры зарегистриованы в 50% EtOH (концентрация 10-4 М). Выявлены следующие закономерности: интенсивность флуоресценции для одиночных групп на 3'-концевом межнуклеотидном фосфате выше, чем на 5'-конце. Введение двух фосфорамидных бензотиазольных групп приводит к увеличению интенсивности, нивелируя влияние их расположения. Результаты показывают перспективность новых флуоресцентных меток на основе фосфорамидных бензоазольных групп.Для этого предлагается вводить соответствующие арильные (или иные) Z заместители в бензольное кольцо бензоазольной группы (формула (1) и формула (2, д)). 5. Исследования устойчивости комплементарного дуплекса олигонуклеотидов, содержащих фосфорамидные бензоазольные группы с ДНК и РНК (Пример 23). Полученные данные указывают на возможность использования ФАО при подавлении свойств гибридизации олигонуклеотидов в различных приложениях, например, в аллель-специфической ПЦР, гибридизационном анализе и др. 6. Олигонуклеотиды (Фиг. 2) были синтезированы для исследования возможности использования их в качестве праймеров в ПЦР. Введение фосфорамидных бензоксазольной и бензотиазольной группы, практически не оказывает влияния на процесс элонгации модифицированных праймеров. как видно из электрофораграмм (Фиг. 8, Пример 24). Было показано, что введение двух модификаций незначительно препятствует протеканию ПЦР. Однако, введение по межнуклеотидному фосфату протонированных в условиях ПЦР и таким образом незаряженных бензимидазольной и 1,3-диметил-бензимидазольной групп затрудняет элонгацию праймера. Наибольшее влияние на получение полноразмерного продукта ПЦР оказывает модификация второго межнуклеотидного фосфата с 3'-конца праймера. Введение двух модификаций еще больше усиливает этот эффект и выход полноразмерного продукта уменьшается до ~45% в случае фосфорамидной бензимидазольной группы и ~30% в случае 1,3-диметил-бензимидазольной группы Фиг. 9). Таким образом, способ матричного ферментативного синтеза ДНК с использованием праймеров с фосфорамидной бензоксазольной или бензотиазольной группами может быть применим для проведения ПЦР без ограничений. Место введения фосфорамидных групп не имеет значения, при необходимости могут быть введены одна или более одной группы. При этом, способ матричного ферментативного синтеза ДНК с использованием праймеров с незаряженными бензимидоазольной и 1,3-диметил-бензимидоазольной группами имеет лишь одно ограничение по месту введения - не рекомендуется вводить группы на второй с 3'-конца фосфат праймера. Способ матричного ферментативного синтеза ДНК с использованием предлагаемых модифицированных олигонуклеотидов был применен для детекции мутантной ДНК с однонуклеотидной заменой на фоне ДНК дикого типа. Данный способ может использоваться для диагностики болезни у пациента, например, для детекции определенного олигонуклеотида, в образце ткани или физиологической жидкости, отобранном у пациента. Известно, что введение более одной фосфорилгуанидиниевой группы по 1-4 фосфатам с 3'-конца праймера приводит к существенному ингибированию ПЦР и увеличению Ст более 35 циклов (Chubarov A.S., Oscorbin I.P., Filipenko M.L., Lomzov A.A., Pyshnyi D.V. Allele-Specific PCR for KRAS Mutation Detection Using Phosphoryl Guanidine Modified Primers // Diagnostics. - 2020. -V. 10. - P. 872.). Введение одной фосфорилгуанидиниевой модификации в 1-4 фосфат с 3'-конца праймера в большинстве случаев приводит к увеличению количества циклов Ст на 2 и более на разных нуклеотидных последовательностях праймеров. Кроме того, наблюдается падение эффективности ПЦР на 10% и более (Chubarov A.S., Oscorbin I.P., Filipenko M.L., Lomzov A.A., Pyshnyi D.V. Allele-Specific PCR for KRAS Mutation Detection Using Phosphoryl Guanidine Modified Primers // Diagnostics. - 2020. -V. 10. - P. 872.; Chubarov A.S., Oscorbin I.P., Novikova L.M., Filipenko M.L., Lomzov A.A., Pyshnyi D.V. Allele-Specific PCR for PIK3CA Mutation Detection Using Phosphoryl Guanidine Modified Primers // Diagnostics. - 2023. - V. 13. - P. 250.). Для выявления мутантной ДНК на фоне ДНК дикого типа была выбраны праймеры содержащие одну фосфорамидную бензоазольную группу на 1-4 межнуклеотидном фосфатном остатке от 3' конца праймера (Фиг. 3). В качестве мишени для выявления были выбраны мутации G12A и G12V в онкогене KRAS. Выявление проводилось методом аллель-специфической ПЦР (Пример 25). Аллель-специфическая ПЦР основана на удлинении праймера с комплементарной парой на 3'-конце праймера в комплексе праймер/матрица и сниженной эффективностью в случае реализации концевой некомплементарной пары (мисматча). Помимо концевого мисматча в структуре праймер/матрица был также дополнительный мисматч. На первом этапе были определены эффективности ПЦР праймеров согласно Примеру 26. Реакцию ПЦР вели согласно Примеру 27. Результаты эффективности ПЦР представлены в таблице (Фиг. 11). Показано, что введение одной фосфорамидной бензоксазольной и бензотиазольной группы, практически не уменьшает эффективность ПЦР по сравнению с нативным праймером вне зависимости от выбранного положения модификации. Эффективность ПЦР остается на уровне более 92% при эффективности ПЦР нативного праймера 100%. В зависимости от положения модификации эффективность ПЦР остается высокой и приемлемой для проведения ПЦР, и варьируется в пределах 92-100% (Фиг. 11). Введение бензимидазольной и 1,3-диметил-бензимидазольной групп, как правило, снижает эффективность ПЦР на 10% и более, что делает невозможным определение низкого процента мутации и в большинстве случаев увеличивает Ст (Фиг. 11,12). Аналогичное снижение эффективности ПЦР для праймеров с бензимидазольной и 1,3-диметил-бензимидазольной группами ранее наблюдались для ФГ- праймеров. Таким образом, эффективность ПЦР праймеров с одной фосфорамидной бензоксазольной или бензотиазольной группами для выявления мутаций G12A и G12V методом аллель-специфической является высокой и оптимальной для проведения ПЦР. Реакции протекают без заметного ингибирования ПЦР, и не происходит значимого увеличения порогового цикла Ст, в отличие от предыдущих результатов для ФГ- праймеров. Изобретение обеспечивает возможность выявления ДНК в реакции ПЦР с повышенной специфичностью. Техническим эффектом изобретения является повышение достоверности и специфичности выявления анализируемых последовательностей НК. Поставленная техническая задача достигается тем, что при амплификации нуклеиновых кислот применяют праймер с одной фосфорамидной бензоазольной группой. Выявление мутаций G12A и G12V в гене KRAS методом аллель-специфической ПЦР проведено согласно Примеру 27 и продемонстрировано в таблице, столбец АСт (Фиг. 12). Показано, что введение бензоксазольной и бензотиазольной модификации значительно увеличивают значение ΔСт по сравнению с нативным праймером, что говорит о существенном повышении специфичности определения мутации. Причем оптимальным местом введения модификации, обеспечивающим наибольшую специфичность, являются 2 и 3 межнуклеотидный фосфат. Значения ΔСт для бензимидазольной и 1.3-диметил-бензимидазольной модификации также в большинстве случаев возрастает. Однако значительно увеличенные значения Ст по сравнению с нативным праймером демонстрирует существенно меньшие перспективы их применения для выявления мутаций G12A и G12V в гене KRAS методом аллель-специфической ПЦР. Это связано с тем, что при меньшем количестве ДНК с мутацией пороговые циклы будут слишком высоки, что затруднит интерпретацию результатов и будет приводить к ложноотрицательным результатам. В данном изобретении раскрыты свойства фосфорамидных азольных олигонуклеотидов, которые могут быть использованы для создания улучшенных систем детекции нуклеиновых кислот, основанных на ПЦР и аллель-специфической ПЦР. Ключевым отличием представленного изобретения от аналогов является то, что в структуру олигонуклеотидного праймера вводится одна фосфорамидная бензоазольная группа. Введение бензоксазольной или бензотиазольной группы не уменьшает эффективность ПЦР праймера, по сравнению с нативным праймером, но в значительной степени увеличивает специфичность определения мутантной ДНК. Изобретение обеспечивает возможность выявления анализируемых последовательностей ДНК в реакции аллель-специфической ПЦР, при этом увеличивается специфичность выявления мутантной ДНК. Изобретение проиллюстрировано примерами конкретного выполнения, которые не ограничивают объем изобретения. Технический эффект достигается за счет следующего: 1) получением новых фосфорамидных азольных олигонуклеотидов (ФАО) длиной в 2-23 нуклеотидов, содержащих хотя бы одну фосфорамидную бензоазольную группу, отвечающих формуле (1), обеспечивающих следующие преимущества: а) замена природных фосфатных групп фосфорамидными бензоазольными группами происходит с сохранением частичного отрицательного заряда (пример 21) б) введение фосфорамидной бензоазольной группы вместо одного из атомов кислорода значительно увеличивает объем заместителя при атоме фосфора (Фиг. 4). в) химическая устойчивость в широком диапазоне рН (пример 20). г) структурное разнообразие, позволяющее варьировать набор заместителей у фосфорамидной группы согласно формуле (2), с контролируемым изменением свойств олигонуклеотида при сохраняющейся простоте химического синтеза, очистки и выделения фосфорамидных азольных олигонуклеотидов (Примеры 6-19); д) опционально, улучшение опосредованного рецепторами (эндоцитотического) проникновения модифицированных олигонуклеотидов в клетки за счет большей гидрофобности ФАО. е) опционально, сохранение остатка дезоксирибозы для поддержания субстратной специфичности, например, РНКазы Н при возможной модификации участков последовательности путем введения модифицированных нуклеотидов или аналогов нуклеотидов. 2) Использованием фосфорамидных азольных олигонуклеотидов (ФАО) в качестве праймеров в полимеразной цепной реакции и в аллель-специфической ПЦР. а) замена природных фосфатных групп фосфорамидными бензоазольными группами происходит с сохранением частичного отрицательного заряда на межнуклеотидной фосфатной группе, что положительно влияет на способность олигонуклеотида удлиняться ДНК- или РНК-зависимыми ДНК-полимеразами. б) введение фосфорамидной бензоазольной группы вместо одного из атомов кислорода значительно увеличивает объем заместителя при атоме фосфора по-сравнению с ФГ-группой, что приводит к высокой специфичности выявления анализируемых последовательностей нуклеиновых кислот. в) применение праймеров с фосфорамидными бензоазольными группами позволяет простой алгоритм дизайна структуры праймера, не требующий дополнительных критериев, кроме положения и числа модификаций, по сравнению со стандартными олигонуклеотидными праймерами. г) Изобретение обеспечивает возможность выявления анализируемых последовательностей ДНК в реакции аллель-специфической ПЦР с повышенной достоверностью и специфичностью. Примеры 20-23 показывают исследования физико-химических свойств ФАО: химической стабильности в кислых гидролитических условиях, заряда фосфорамидных групп в различных условиях рН, флуоресцентных свойств ФАО, термической стабильности комплементарного дуплекса олигонуклеотидов, содержащих фосфорамидные бензоазольные группы с ДНК и РНК. Пример 20. Показывает исследование химической стабильности ФАО в кислых гидролитических условиях. ФАО № 1-3 (Фиг.1) обрабатывали 1Н раствором HCl (рН 1) при 37°С в течение одного часа. ВЭЖХ профили элюции обработанных олигонуклеотидов, представленные на Фиг. 5. показывают, что ФАО практически не подвержены кислотному гидролизу. Пример 21. Показывает исследование заряда фосфорамидных групп в различных рН (при рН=4.5; рН=8.3 и рН=10) с помощью электрофоретического анализа гексатимидилатов с одной и двумя фосфорамидными бензоазольными группами, полученными как описано в примерах 6-9 и 11, 13, 14, 15. Электрофорез проводили в денатурирующем 15% полиакриламидном геле (ПААГ) в следующих условиях: соотношение акриламид: N,N'-метиленбисакриламид (29:1), 8 М мочевина и при различных условиях рН: 4.5, 8.3 и 10. Для получения буфера с рН 8.3 использовали 90 мМ Трис, 90 мМ борную кислоту и 2 мМ Na2EDTA. Для получения буфера с рН 4.5 использовали смесь 74 мМ ацетата натрия и 32 М уксусной кислоты. Для получения буфера с рН 10 использовали смесь 0.4 М борной кислоты и 0.34 М раствор гидроксида калия. Для нанесения олигонуклеотидных образцов на гель использовали денатурирующий буфер следующего состава: 8 М мочевина, 0.25% ксиленцианола FF и 0.25% бромфенолового синего. Визуализацию проводили путем окрашивания геля красителем Stains all. Результаты анализа приведены на Фиг.6. Модифицированные олигонуклеотиды имеют меньший заряд, чем немодифицированный шестизвенный гомотимидилат. Введение фосфорамидной 1,3-диметил-бензимидазольной группы приводит к практически незаряженному нуклеотиду, похожему на аналогичный с фосфорилгуанидиновой (ФГ) группой, в то время как по массе и структуре он ближе к фосфорамидным бензоазольным группам. Фосфорамидная бензимидазольная группа (линия 2) оказывается протонированной при всех исследованных рН (а-в, на Фиг. 6.). Она фактически ведет себя как незаряженная ФГ-группа или как фосфорамидная 1,3-диметил-бензимидазольная группа. Бензоксазольная и бензотиазольная группы также протонируются при рН 4,5. При рН 8,3 бензоксазольная и бензотиазольная группы (линии 3,4,7,8,9, б, на Фиг. 6) протонируются частично. Более того, для одинаковой модификации в некоторых случаях важна ее локализация вблизи 3' или 5' конца (линия 4 и 8, б, на Фиг. 6). При рН 10 бензоксазольная и бензотиазольная группы депротонированы. Пример 22. Показывает исследование флуоресцентных свойств гексатимидилатов с фосфорамидной бензотиазольной группой. Спектры испускания (эмиссионные спектры) для олигонуклеотидов №3 и 6 (Фиг. 1) с одной бензотиазольной группой по 3'- и 5'-фосфату показаны на Фиг. 7(а) и для гексатимидилатов №5,7,8 (Фиг. 1) с двумя бензотиазольными группами по 3'-, 5'- и 3',5'-фосфатам на Фиг. 7(б). Очевидно, что при введении бензотиазольной группы гексатимидилаты проявляют флуоресценцию. Выявлены следующие закономерности: интенсивность флуоресценции для одиночных бензотиазольных групп на 3'-концевом межнуклеотидном фосфате (λЕх=350 нм, λEm=418 нм, I=25 а.е.) выше, чем на 5-концевом. Введение двух бензотиазольных групп приводит к увеличению интенсивности, нивелируя влияние их положения (λЕх=315 нм, λEm=420 нм, I=34 а.е.). Результаты показывают перспективность новых флуоресцентных маркеров на основе фосфорамидных бензоазольных групп. Для этого предлагается вводить соответствующие арильные (или иные) Z заместители в бензольное кольцо бензоазольной группы (Формула 1, Формула 2, д). Пример 23. Показывает исследование устойчивости комплементарного дуплекса олигонуклеотидов, содержащих фосфорамидные бензоазольные группы с ДНК и РНК. Исследования термической денатурации олигонуклеотидных комплексов проводили в кварцевых кюветах с длиной оптического пути 0,2 см на спектрофотометре Cary 300-Bio Melt (Varian, Австралия), оснащенном термостабилизированным мультиячейковым держателем Пельтье (6×6). Каждую кривую плавления регистрировали при скорости нагрева 0,5°С/мин в диапазоне 5-95°С. Компоненты дуплексов ДНК/ДНК в эквимолярных количествах на нуклеотид помещали в буферный раствор при концентрации при концентрации 20 мкМ (0,2 мМ/на нуклеотид) в случае анализа гетеронуклеотидных олигомеров. Термостабильность дуплексов ДНК/РНК с комплементарным олигорибонуклеотидом 5'-UGUUUGGCGC-3' исследовали в концентрации 5 мкМ (0,05 мМ/на нуклеотид), и в концентрации 10 мкМ (0,1 мМ/на нуклеотид) для олигонуклеотида №14 с множественной модификацией. Кривые термической денатурации регистрировали в многоволновом режиме с автоматическим переключением монохроматора между тремя длинами волн (260, 270 и 330 нм) с шириной щели 1 нм. Кривую оптической плотности при 330 нм использовали для коррекции кривых термической денатурации. Значения термодинамических параметров, полученные путем подгонки теоретических кривых термической денатурации рассчитанных с использованием модели с двумя состояниями к экспериментальным кривым на длинах волн 260 и 270 нм были усреднены. Дуплексы додекамеров были изучены для определения термодинамических эффектов, связанных с введением фосфорамидных бензоазольных групп. Исследованы дуплексы с одной бензотиазольной группой на 5'- или 3'-концевых фосфатах и в середине (№11-13, Фиг. 13) и такой же нативный дуплекс. Выявлен эффект зависимости от последовательности, о чем свидетельствует снижение термостабильности дуплекса на 5 градусов в случае введения группы вблизи 5'-конца, на 5,4 градуса в случае введения группы посередине и на 2,8 градуса в случае введения группы вблизи 3'-конца. Изменение свободной энергии Гиббса при формировании модифицированного комплекса отличается от изменения свободной энергии Гиббса формирования нативного комплекса на 1,1, 1,4 и 0,8 ккал/моль в случае 5'-концевого, среднего и 3'-концевого введения, соответственно. Термодинамический эффект имеет как энтальпийный, так и энтропийный вклады (Фиг. 13). Увеличение энтальпии с -77,7 до -35,9 ккал/моль и свободной энергии Гиббса на 6,8 ккал/моль свидетельствует о вероятном весьма существенном изменении структуры. Для определения термодинамических эффектов, связанных со множественными введениями групп, исследовали дуплекс с одной цепью, содержащей пять фосфорамидных бензотиазольных групп (№14, Фиг.13), и такой же нативный дуплекс. Влияние многократного введения фосфорамидных бензоазольных группы (через один фосфат) 10-звенной последовательности на стабильность комплекса было значительным. Происходит снижение термостабильности модифицированного комплекса относительно немодифицированного почти на 30 градусов. Такие же тенденции наблюдаются для комплексов, модифицированных гетеронуклеотидных олигомеров с РНК. Снижение Тпл комплексов с одной группой на 5'-конце, в середине и на 3'-конце составило 3,5, 6,0 и 2,3°С соответственно. Пять модифицирующих групп снижают термостабильность комплекса ФАО с РНК на 30,9 градуса. Увеличение энтальпии от -80,7 до -40,7 ккал/моль и изменение свободной энергии Гиббса на 6,1 ккал/моль практически такие же, как для дуплексов ДНК с ФАО содержащим пять модифицированных фосфатных остатков. В случае введения фосфорилгуанидиновых групп не наблюдали столь существенных изменений даже для полностью модифицированных комплексов. Энтальпия практически не изменялась, а значение свободной энергии Гиббса комплексообразования увеличивалось всего на 1,2 ккал/моль. Полученные данные указывают на возможность использования ФАО для направленного дизайна олигонуклеотидов в различных приложениях (например, ПЦР, гибридизационный анализ и др.). Примеры 24-27 Показывают дизайн флуоресцентных праймеров с фосфорамидными бензоазольными группами и нативных олигодезоксирибонуклеотидов для исследования влияния типа и положения модификации в ПЦР, показанный на Фиг 2, описание используемых при проведении количественной ПЦР систем на Фиг. 3, исследование эффективности ПЦР с использованием ФАО в качестве праймеров (Фиг. 11), исследование специфичности выявления мутации с помощью ФАО как праймера в аллель-специфической ПЦР (Фиг. 12). Пример 24. Показывает структуру флуоресцентного праймера с фосфорамидными бензоазольными группами и нативных олигодезоксирибонуклеотидов для исследования влияния типа и положения модификации в ПЦР, которые представлены на Фиг 2. Праймеры содержали 20 нуклеотидных звеньев. Варьировали как количество фосфорамидных бензоазольных групп в составе праймеров - от одной группы до двух, так и положение групп (обозначены как * в (Фиг 2). Амплификацию проводили в реакционном буфере, содержащем 60 mM Tris-HCl (рН 8 при 25°С); 30 mM KCl; 0,1 mM EDTA; 0.5% Tween-20; 0,5 mg/ml желатин; 1mM DTT; 6 mM MgCl2); содержащем 0.2 mM каждого дезоксинуклеотидтрифосфата; 2.5 Ед Taq ДНК-полимеразы, по 2.5 нМ праймера и матрицы. Режим амплификации 95°С 3 мин, затем 1 цикл: 95°С - 2 мин, 30°С - 1 мин, и 60°С -7 мин. Фермент инактивировали высаживанием в 2% LiClCM в ацетоне. Анализировали с помощью термостатируемого электрофоретического анализа при 40°С в 15% ПААГ (акриламид: N,N'-метиленбисакриламид (29:1), 8 М мочевина) в буфере ТВЕ (89 мМ Tris-борат, рН 8.3, 2 мМ Na2EDTA). Визуализацию проводили сканированием флуоресценции при помощи системы гель-документирования VersaDoc MP 4000 Molecular Imager System («Bio-Rad», США). Относительное содержание основных продуктов удлинения праймеров вычисляли, анализируя сканированный сигнал флуоресценции соответствующих пятен при помощи программного обеспечения «GelPro Analyzer 4.0» («Media Cybernetics», США). Пример 25. Показывает системы, используемые при проведении количественной ПЦР. Структуры ФАО, флуоресцентного зонда и немодифицированных олигодезоксирибонуклеотидов для количественной ПЦР представлены на Фиг. З. Праймеры содержали 23 нуклеотидных звена. Количество ФА-групп в составе праймеров варьировали от одной группы до двух (обозначены как *). Зонд содержал флуоресцентную метку (FAM) и тушитель (BHQ1). Контрольные плазмиды содержали частичную последовательность гена KRAS дикого типа (WT) или гена KRAS с мутации в кодону 12 (p.G12A, p.G12V), служащих в качестве положительных контролей, использовались для оценки чувствительности метода и были сконструированы компанией Shanghai RealGene Bio-tech, Inc. (Шанхай, Китай). KRAS - протоонкоген, представитель семейства белков Ras. Перед использованием все контрольные плазмиды очищали, линеаризовали расщеплением эндонуклеазой рестрикции BamHI и количественно определяли с использованием спектрофотометра NanoDrop Lite А4 (Thermo Fisher Scientific, Уолтем, Массачусетс, США). Для проведения ПЦР использовали Taq ДНК-полимеразу (Биосан, Новосибирск, Россия). Пример 26. Показывает эффективность ПЦР с использованием ФАО в качестве праймеров. Амплификацию фрагмента гена KRAS проводили в реакционном буфере, содержащем 65 мМ Трис-HCl, рН 8,9, 24 мМ (NH4)2SO4, 0,05% Tween-20, 3 мМ MgSO4, в присутствии 0,2 мМ каждого дезоксинуклеозидтрифосфата, по 450 нМ концентрации прямого и обратного праймеров, 1 U Taq ДНК-полимеразы, 100 нМ флуоресцентного зонда, и матрица в указанном числе копий. Режим амплификации 95°С 3 мин, 45 циклов: 95°С - 10 с, 60°С - 40 с, с регистрацией флуоресцентного сигнала в канале FAM. В качестве матрицы использовали частичную последовательность гена KRAS дикого типа (WT) или гена KRAS с мутации в кодону 12 (p.G12A, p.G12V). В качестве праймеров использовали пары (прямого и обратного праймеров), представленные в таблице (Фиг. 3), на основе стандартных нативных олигонуклеотидов и ФАО. ФАО отличались по количеству и расположению модификаций в олигонуклеотидной цепи. Последовательности олигонуклеотидов представлены в таблице (Фиг. 3). Концентрация каждого праймера составляла 300 нМ. Эффективность амплификации определяли методом ПЦР в режиме реального времени в присутствии флуоресцентного расщепляемого зонда, последовательность которого указана на Фиг. 3, на приборе CFX96 Real-Time PCR Detection System (Bio-Rad, США). Для расчета эффективности ПЦР проводили эксперимент ПЦР по измерению порогового цикла Ст от количества 100% матрицы гена KRAS с мутациями в кодоне 12 (p.G12A, p.G12V). Строили зависимость log (числа копий матрицы) по оси абсцисс и Ст по оси ординат. Проводили аппроксимацию полученной линейной зависимости и получали коэффициент угла наклона прямой, который использовали для расчета эффективности ПЦР с помощью доступного онлайн калькулятора компании Thermo Scientific. Значения эффективности ПЦР для праймеров представлены на Фиг. 11, приведены значения эффективности ПЦР в %, полученных по результатам трех или более независимых экспериментов. Видно, что эффективность ПЦР зависит от типа бензоазольной группы, количества мисматчей с матрицей в структуре праймера, а также от положения модификации от 3'-конца праймера. Показано, что эффективность ПЦР уменьшается в ряду бензотиазолы (S) > бензоксазолы (О) > бензимидазолы (N) > 1,3-диметил-бензимидазолы (D) при сохранении остальных параметров одинаковыми. Бензотиазолы и в большинстве случаев бензоксазолы обладают эффективностью ПЦР на уровне нативных праймеров. Влияние модификации определяется их положением в цепи праймеров. В большинстве случаев эффективность ПЦР уменьшается в ряду при введении модификации в 3-й фосфат от 3'-конца праймера, 4-й фосфат, 2-й фосфат. Пример 27. Показывает повышение специфичности выявления мутации с помощью ФАО как праймера в аллель-специфической ПЦР. Амплификацию фрагмента гена KRAS проводили в реакционном буфере, содержащем 65 мМ Трис-HCl, рН 8,9, 24 мМ (NH4)2SO4, 0,05% Tween-20, 3 мМ MgSO4, в присутствии 0,2 мМ каждого дезоксинуклеозидтрифосфата, по 450 нМ концентрации прямого и обратного праймеров, 1 U Taq ДНК-полимеразы, 100 нМ флуоресцентного зонда, и матрица в указанном числе копий. Режим амплификации 95°С 3 мин, 45 циклов: 95°С - 10 с, 60°С - 40 с, с регистрацией флуоресцентного сигнала в канале FAM. В качестве праймеров использовали пары (прямого и обратного праймеров), представленные на Фиг. 3, на основе стандартных нативных олигонуклеотидов и ФАО. ФАО отличались по количеству и расположению модификаций в олигонуклеотидной цепи. Последовательности олигонуклеотидов представлены на Фиг. 3. Концентрация каждого праймера составляла 300 нМ. Селективность выявления мутации определяли методом ПЦР в режиме реального времени на приборе CFX96 Real-Time PCR Detection System (Bio-Rad, США). Эффективность амплификации определяли методом ПЦР в режиме реального времени в присутствии флуоресцентного расщепляемого зонда в реакционной смеси, последовательность которого указана на Фиг. 3, путем регистрации флуоресцентного сигнала в канале FAM. Для каждой пары праймеров рассчитывали среднее значение порогового цикла реакции (Ст) и разницу (ΔСт) между образцом, содержащим 1% мутации (G12V, G12A) и образцом без мутации (матрица дикого типа, WT) (Фиг. 12). Таким образом, можно заключить, что бензотиазольные (S) и бензоксазольные (О), в отличие от двух остальных модификаций обладают высоким значением ΔСт, что говорит о их высокой специфичности при выявлении мутации. При этом значения Ст для этих двух модификаций находятся на уровне нативных праймеров.
спектроскопия (колебательная спектроскопия, средняя инфракрасная спектроскопия);
,
показывает место присоединения соседних нуклеозидов в фосфорамидном азольном олигонуклеотиде.


показывает место присоединения соседних нуклеозидов в фосфорамидном азольном олигонуклеотиде.