Изобретение относится к биотехнологии. Заявлена рекомбинантная генетическая конструкция для сверхэкспрессии фермента арилсульфатазы А, содержащая промотор гибридного энхансера CMV/куриного β-актина и кодон-оптимизированную последовательность гена ARSA, представленная SEQ ID NO: 1. Также заявлен аденоассоциированный вирус серотипа Olig001 для терапии метахроматической лейкодистрофии, содержащий рекомбинантную генетическую конструкцию по п. 1. Изобретение позволяет осуществлять терапию метахроматической лейкодистрофии. 2 н.п. ф-лы, 5 ил., 3 пр.
1. Рекомбинантная генетическая конструкция для сверхэкспрессии фермента арилсульфатазы А, содержащая промотор гибридного энхансера CMV/куриного β-актина и кодон-оптимизированную последовательность гена ARSA, представленная SEQ ID NO: 1. 2. Аденоассоциированный вирус серотипа Olig001 для терапии метахроматической лейкодистрофии, содержащий рекомбинантную генетическую конструкцию по п. 1.
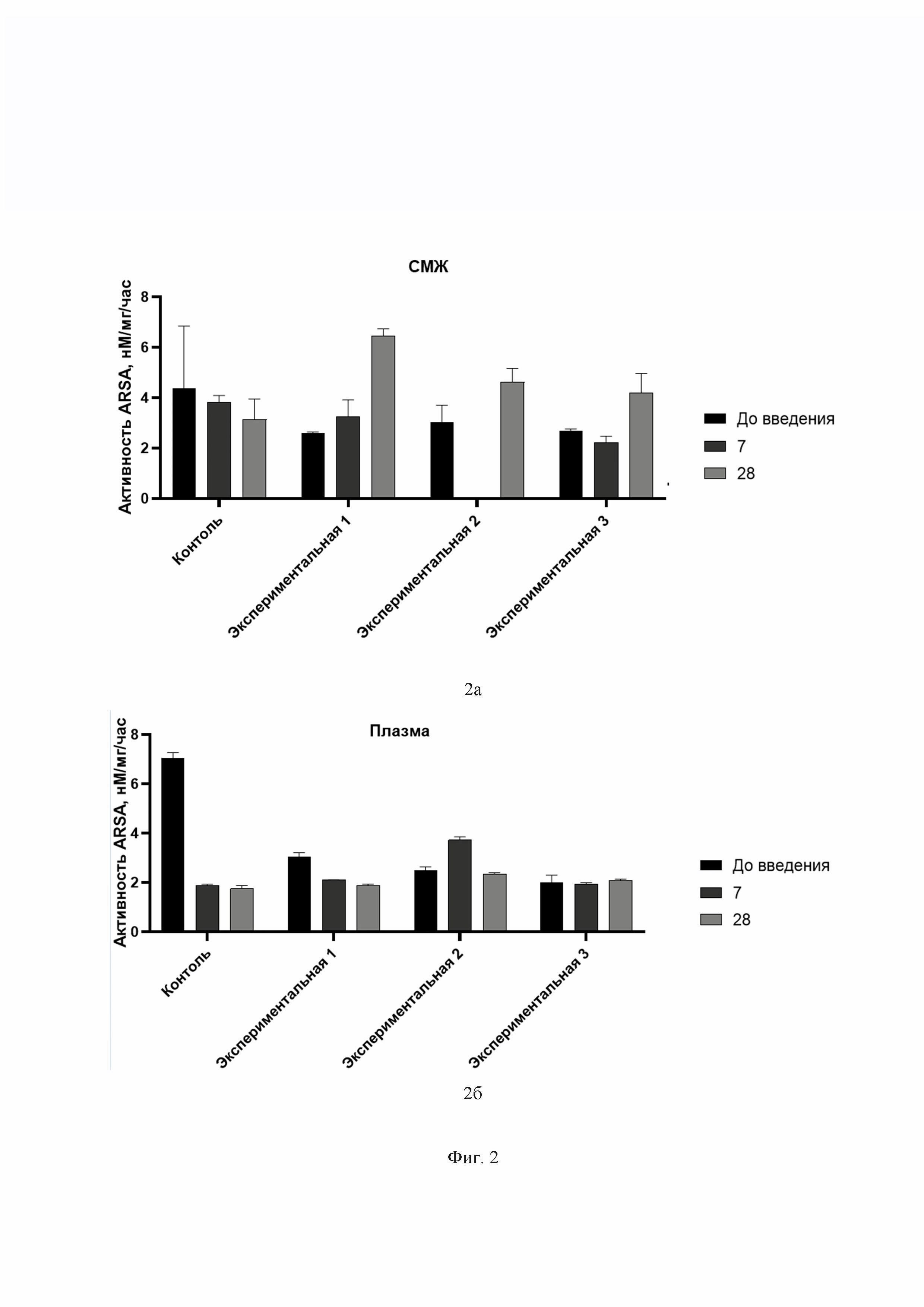
Заявленная группа изобретений в целом относится к области медицины, более точно - к генной терапии болезни, неизлечимой на дату представления заявочных материалов - метахроматической лейкодистрофии (МЛД), представляющей собой тяжелое наследственное нейродегенеративное заболевание, возникающее вследствие дефицита лизосомного фермента арилсульфатазы A (ARSA). В результате дефицит ARSA приводит к поражению миелиновой оболочки нервных волокон центральной (ЦНС) и периферической нервной системы (ПНС), покрывающей большинство нервных волокон центральной (ЦНС) и периферической нервной системы (ПНС). В заявленном техническом решении разработана рекомбинантная генетическая конструкция, содержащая промотор гибридного энхансера CMV/куриного β-актина (CMVenCBh) и кодон-оптимизированную последовательность гена Рекомбинантная генетическая конструкция, содержащая промотор гибридного энхансера CMV/куриного β-актина и кодон-оптимизированную последовательность гена Способ лечения метахроматической лейкодистрофии позволяет восстановить дефицит фермента ARSA в нервной системе пациента с МЛД, способствуя прекращению прогрессии МЛД, вследствие чего наступает излечение от данной болезни. Далее в целях исключения неоднозначного понимания текста заявителем приведены использованные в заявочном материале термины и их расшифровка: ГСК - гемопоэические стволовые клетки; ГЭБ - гемато-энцефалический барьер; кДНК - комплементарная дезоксирибонуклеиновая кислота; КМ - костный мозг; МЛД - метахроматическая лейкодистрофия; мРНК - матричная рибонуклеиновая кислота; ПНС - периферическая нервная система; СМЖ - спинномозговая жидкость; ЦНС - центральная нервная система; pAAV -CMVenCBh-ARSA - плазмидный вектор, кодирующий кодон оптимизированную последовательность гена AAV - аденоассоциированный вирус; AAVOlig001-CMVenCBh-coARSA - аденоассоциированный вирус серотипа Olig001, содержащий уникальную последовательность кодон-оптимизированного гена ARSA - фермент арилсульфаза А; CMVenCBh - промотор гибридного энхансера CMV/куриного β-актина (CBh); ИГХ - иммуногистохимический анализ. Индекс адаптации кодонов (CAI) - это наиболее распространенный метод анализа систематической ошибки использования кодонов. CAI измеряет отклонение кодирования белка, последовательность гена по отношению к эталонному набору генов. CAI используется в качестве количественного метода прогнозирования уровня экспрессии гена на основе его кодоновой последовательности. GC состав - доля гуанина (G) и цитозина (C) среди всех нуклеотидов рассматриваемой нуклеотидной последовательности. Шпилька - нуклеиновые кислоты, которые образуются, когда две последовательности комплементарны друг к другу и соединяются друг с другом, перегибаясь одна к другой и образуя на конце неспаренный участок - петлю. Метахроматическая лейкодистрофия - это редкое наследственное заболевание из группы лизосомных болезней накопления с аутосомно-рецессивным механизмом наследования нарушения обмена веществ. На дату представления заявленного технического решения лекарства для лечения МЛД из исследованного уровня техники не выявлены. Терапия сводится к купированию болевого синдрома и симптомов заболевания. В случае мягких форм болезни, характеризующихся умеренными проявлениями клинической картины, существует возможность трансплантации костного мозга. Однако эти методики только разрабатываются и проходят клинические испытания, в результате которых будет выяснена возможность замедления прогрессирования болезни, а также возможность полной остановки развития патологического процесса на уровне клеток центральной нервной системы. Краткая суть заболевания заключается в накоплении сульфатидов, содержащихся в миелине, а также в различных клетках и тканях организма, но преимущественно в клетках ЦНС и ПНС. Накопление возникает из-за дефицита лизосомного фермента ARSA. Нарушения в функционировании или недостаточность фермента ARSA возникает из-за мутаций генов При МЛД сульфатиды накапливаются в олигодендроцитах, микроглии, некоторых нейронах ЦНС, шванновских клетках, макрофагах ПНС, а также в клетках внутренних органов, например, желчного пузыря, из-за чего повышается вероятность возникновения злокачественных новообразований данного органа [McFadden K., Ranganathan S., Pathology of the gallbladder in a child with metachromatic leukodystrophy. Pediatr Dev Pathol, 2015. 18(3): p. 228-230]. Клинические проявления и степень нейродегенерации при МЛД разнообразны и зависят от типа (вида) мутации и степени дефицита фермента. МЛД подразделяют на позднюю инфантильную, ювенильную и взрослую формы [Brown T.M., et al., Development of the Impact of Juvenile Metachromatic Leukodystrophy on Physical Activities scale, 2017. 2(1): p. 15.]. Клиническая манифестация при поздней инфантильной форме МЛД начинается до 3 лет. Эта форма считается самой тяжелой и характеризуется серьезным дефицитом ARSA, что влечет за собой быструю нейродегенерацию. Кроме поражения ЦНС, выявляется периферическая невропатия. Ювенильная форма развивается в возрасте 3-16 лет и характеризуется менее выраженным клиническим проявлением в сравнении с поздней инфантильной формой. При поздней инфантильной и ранней ювенильной формах наблюдаются быстрая прогрессия заболевания и при отсутствии терапии смерть наступает в течение нескольких лет от начала заболевания. Клиническая манифестация при взрослой форме МЛД начинается обычно после 16 лет. Взрослая форма МЛД прогрессирует медленно, часто ошибочно диагностируется как деменция с ранним началом или шизофрения. Заявленное техническое решение основывается на идее того, что доставка фермента ARSA в ЦНС пациентов с МЛД позволяет остановить прогрессирование заболевания за счет восстановления метаболизма сульфатидов, накопление которых приводит к развитию нейродегенерации у пациентов с МЛД. Заявленное техническое решение заключается в обеспечении возможности доставки ARSA с использованием известных как таковых методов генной терапии. Известно, что AAV используют для терапии ряда генетических заболеваний. При этом серотип Olig001 пользуется преимущественным тропизмом к клеточной поверхности олигодендроцитов, а олигодендроциты особенно сенситивны к патологическому лизосомальному накоплению, что ведет к демиелинизации и прогрессирующей дисфункции нервной системы. Промотор гибридного энхансера CMV/куриного β-актина (CBh) (CMVenCBh) обеспечивает более долгую и сильную экспрессию фермента. Таким образом, для экспрессии трансгена, используя серотип нацеленного на олигодендроциты и сильный промотор, достижение максимального эффекта генной терапии становится возможным. Указанный технический результат становится возможным вследствие интратекального введения AAVOlig001-CMVenCBh-coARSA, который позволяет предотвратить развитие МЛД. Заявленное техническое решение обеспечивает возможность восполнения дефицита фермента ARSA в ЦНС и ПНС и, как следствие, обеспечивает возможность излечения наследственной болезни. Заявленное техническое решение предоставляет возможность решения технической проблемы восстановления ферментативной активности ARSA в организме человека и, как следствие, улучшения качества жизни пациентов с МЛД c помощью AAVOlig001-CMVenCBh-coARSA, что соответствует условиям патентоспособности, предъявляемым к изобретениям, а именно - мировая новизна и изобретательский уровень. Полученный AAV, полученный на основе рекомбинантной генетической конструкции, обеспечивает возможность доставки недостающего фермента ARSA в ЦНС и ПНС, вследствие чего, по мнению заявителя, обеспечивается возможность остановки нейродегенерации и улучшения качества жизни пациентов. Таким образом, из исследованного заявителем уровня техники выявлено, что МЛД представляет собой тяжелое наследственное нейродегенеративное заболевание, обусловленное дефицитом фермента ARSA, вследствие которого происходит накопление сульфатидов содержащихся в миелине, в результате демиелинизации развивается тяжелая нейродегенерация и нейровоспаление нервной системы человека. Решение указанной проблемы представляется актуальной ввиду отсутствия на дату представления заявленного технического решения эффективных способов терапии МЛД. На дату представления заявочных материалов выявлено, что для лечения используется преимущественно симптоматическая терапия, при этом также активно исследуются новые подходы к терапии этих заболеваний. Известно лекарственное средство, а именно - препарат Libmeldy на основе гемопоэтических стволовых клеток, трасдуцированных лентивирусом [https://www.libmeldy.eu/], характеризуется высокой стоимостью - 2,8 млн долларов, однако при лечении указанным препаратом у пациентов, у которых уже были симптомы заболевания на момент терапии, лечение не оказывает благоприятного и эффективного воздействия на двигательную активность человека. Кроме того, выявлены находящиеся на стадии разработки перспективные терапевтические стратегии, которые активно исследуются на дату представления заявочных материалов, а именно: - трансплантация костного мозга или гемопоэтических стволовых клеток [Hematopoietic Stem Cell Transplantation with Mesenchymal Stromal Cells in Children with Metachromatic Leukodystrophy, Karin Melanie Cabanillas Stanchi et al., 2022], - фермент-заместительная терапия [Efficacy of enzyme replacement therapy in an aggravated mouse model of metachromatic leukodystrophy declines with age, Frank Matthes, et al., 2012] - восстановление экспрессии функционального фермента с использованием методов генной терапии [https://www.libmeldy.eu/]. Однако эти методы терапии не показывают необходимого уровня эффективности. По мнению заявителя, недостаточная эффективность известных подходов, таких как фермент-заместительная терапия, связана с тем, что при внутривенном введении лекарственные средства плохо преодолевают ГЭБ. При этом, по мнению заявителя, повышению эффективности лечения может способствовать прямая инъекция в головной мозг рекомбинантного фермента ARSA, в силу отсутствия необходимости преодоления ГЭБ. Однако такие подходы трудно применимы к человеку, поскольку существуют достаточно серьёзные проблемы: - необходимость серьезного хирургического вмешательства, - плохое биораспределение терапевтического препарата и, как следствие, необходимость во множественных инъекциях. Тем не менее, такие подходы активно исследуются и проходят на дату представления заявочных материалов клинические испытания. Таким образом, по мнению заявителя, генная терапия с использованием вирусных векторов, способных преодолевать ГЭБ, может оказаться весьма эффективной для лечения МЛД. Одной из самых безопасных и эффективных стратегий генной терапии, по мнению заявителя, является применение препаратов на основе рекомбинантных AAV, которые являются наиболее эффективными (перспективными) векторами для доставки ARSA в нервную систему человека. При этом следует акцентировать внимание на то, что AAV могут транссинаптически инфицировать нейроны в широком диапазоне от места инъекции через антероградный транспорт [Zingg, B. et al. AAV-Mediated Anterograde Transsynaptic Tagging: Mapping Corticocollicular Input-Defined Neural Pathways for Defense Behaviors. Neuron 2017, 93, 33-47]. Доказательством такого утверждения является то, что введение AAV5-ARSA в мозг мышей с моделью МЛД позволило добиться продолжительной экспрессии гена Перспективные результаты были также получены с использованием AAV9, кодирующего Трансплантация костного мозга (КМ) и гемопоэтических стволовых клеток (ГСК) также часто используется для терапии МЛД и других ЛБН, поскольку клетки здорового донора синтезируют нормальный фермент на физиологическом уровне и в некоторых случаях, как правило при менее агрессивных формах заболевания, данная процедура помогает увеличивать активность фермента и смягчать симптомы заболевания. Однако трансплантация КМ и ГСК без дополнительной генетической модификации не всегда имеет достаточно высокий и стойкий терапевтический эффект при лечении ЛБН в целом. Таким образом, вышеописанные методы лечения МЛД являются недостаточно эффективными, вследствие чего является актуальной проблема поиска новых препаратов и методов лечения. Заявителем проведен анализ выявленного уровня техники по научной и патентной информации в области терапии МЛД и выявлен ряд аналогов, которые используются в настоящее время для облегчения симптомов и для остановки усугубления нейродегенерации. Из исследованного уровня техники выявлен ряд функциональных (по назначению) и структурных аналогов, применяющихся для лечения известных в мире лизосомных болезней накопления, практически неизлечимых на дату представления заявочных материалов. Известно изобретение по патенту WO2023133584 «Композиции, полезные для лечения метахроматической лейкодистрофии». Сущностью является рекомбинантный аденоассоциированный вирус с дефектом репликации (rAAV), который можно использовать для лечения заболевания, связанного с мутацией гена арилсульфатазы А ( Применение вектора, описанного в известном техническом решении, имеет недостаток - нейротропность AAVhu68. ARSA должен быть доставлен в олигодендроциты головного мозга пациентов МЛД, однако AAVhu68 не имеет таких свойств, что уменьшает эффективность препарата при использовании по назначению. Для решения указанной проблемы необходима разработка более эффективного способа - доставка гена недостающего фермента. AAVOlig001-CMVenCBh-coARSA имеет способность трасдуцировать олигодендроциты, что позволит остановить нейродегенерацию и восстановить уровень фермента ARSA. Из исследованного уровня техники выявлено изобретение по патенту RU2692251C2 «Опосредованный аденоассоциированным вирусом перенос генов в центральную нервную систему». Краткой сущностью известного технического решения является способ предотвращения или лечения мукополисахаридоза типа I у человека, заключающийся в интратекальном введении композиции, на основе рекомбинантного аденоассоциированного вируса (rAAV) 9 и rh10 серотипов, содержащего открытую рамку считывания, кодирующую альфа-L-идуронидазу, сущностью является Способ предотвращения, ингибирования или лечения одного или нескольких симптомов мукополисахаридоза типа I (MPS I) у человека, включающий интратекальное введение нуждающемуся в этом человеку композиции, содержащей эффективное количество вектора на основе рекомбинантного аденоассоциированного вируса (rAAV), содержащего открытую рамку считывания, кодирующую альфа-L-идуронидазу для предотвращения, ингибирования или лечения одого или нескольких симптомов MPS I, причем rAAV представляет собой rAAV9 или rAAVrh10. 2. Способ по п. 1, в котором человек представляет собой взрослого человека. 3. Способ по п. 1, дополнительно включающий введение человеку эффективного количества усилителя проницаемости. 4. Способ по п. 3, при котором композиция содержит усилитель проницаемости. 5. Способ по п. 3 или 4, при котором усилитель проницаемости содержит маннитол, гликохолат натрия, таурохолат натрия, дезоксихолат натрия, салицилат натрия, каприлат натрия, капрат натрия, лаурилсульфат натрия, полиоксиэтилен-9-лауриловый эфир или ЭДТА. 6. Способ по п. 1, дополнительно включающий введение человеку иммунносупрессанта. 7. Способ по п. 6, при котором иммунносупрессант содержит циклофосфамид. 8. Способ по п. 6, при котором иммунносупрессант содержит глюкокортикоид, цитостатические средства, включающие в себя алкилирующее средство, антиметаболит, цитотоксический антибиотик, антитело или активное к иммунофилину средство. 9. Способ по п. 7 или 8, при котором иммунносупрессант содержит азотистый иприт, нитрозомочевину, соединение платины, метотрексат, азатиоприн, меркаптопурин, фторурацил, дактиномицин, антрациклин, митомицин С, блеомицин, митрамицин, направленные на рецептор ИЛ-2 (CD25-) или CD3- антитела, антитела к ИЛ-2, циклоспорин, такролимус, сиролимус, IFN-β, IFN-γ, опиоид или связывающее TNF-α (фактор некроза опухоли-альфа) средство. 10. Способ по п. 6, при котором rAAV и иммунносупрессант вводят совместно или иммунносупрессант вводят после введения rAAV. 11. Способ по п. 6, при котором иммунносупрессант вводят интратекально. 12. Способ по п. 6, при котором иммунносупрессант вводят интрацеребровентрикулярно. 13. Способ по п. 1, в котором человек является иммунологически толерантным к альфа-L-идуронидазе. 14. Способ по любому из пп. 1-13, при котором альфа-L-идуронидаза повреждена или находится в дефиците у человека, в результате чего развивается лизосомная болезнь накопления. 15. Способ по любому из пп. 1-13, при котором человек представляет собой иммунокомпетентное взрослое млекопитающее. 16. Способ по любому из пп. 1-13, при котором вектор rAAV представляет собой вектор rAAV-9. 17. Способ по любому из пп. 1-13, при котором вектор rAAV представляет собой вектор rAAV rh10. Таким образом, в известном изобретении описывается интратекальная доставка rAAV9 и вектор rAAVrh10 для предотвращения, ингибирования или лечения одного или нескольких симптомов MPS I, имеющего отсутствие или недостаток связанного с накоплениями лизосомального фермента. Однако не исследовался терапевтический эффект векторов, содержащих эти капсиды конкретно для терапии МЛД. Для решения такой проблемы необходима разработка и исследование специфичных векторов, содержащих именно ген Использование AAVOlig001-CMVenCBh-coARSA позволяет добиться высокого уровня трансдукции клеток нервной системы, за счет способности данных векторов к нейротропизму и эффективно трансдуцировать клетки ЦНС, тем самым обеспечивая доставку фермента и увеличивая его активность. Из исследованного уровня техники выявлено изобретение по патенту RU2671503C2 «Способы и композиции для доставки в ЦНС арилсульфатазы А». Сущностью является способ интратекального введения композиции, содержащего белок арилсульфатазу A (ARSA), полисорбат и фосфат, для лечения болезни метахроматической лейкодистрофии. При этом указанный фосфат содержится в количестве не более 10 мМ. Группа изобретений обеспечивает успешное интратекальное введение состава без возникновения значительной токсичности и иммунного ответа. Сущностью является Стабильный состав для интратекального введения, содержащий белок арилсульфатазу A (ASA) в концентрации от по меньшей мере 5 до 50 мг/мл, полисорбат и фосфат, при этом указанный фосфат содержится в количестве не более 10 мМ. 2. Стабильный состав по п. 1, отличающийся тем, что белок ASA присутствует в концентрации, выбранной из 10, 30 или 50 мг/мл. 3. Стабильный состав по п. 1, отличающийся тем, что указанный стабильный состав дополнительно содержит NaCl. 4. Стабильный состав по п. 1, отличающийся тем, что белок ASA содержит аминокислотную последовательность SEQ ID NO: 1. 5. Стабильный состав по любому из пп. 1-4, отличающийся тем, что белок ASA получен из линии клеток человека. 6. Стабильный состав по любому из пп. 1-4, отличающийся тем, что белок ASA получен из клеток СНО. 7. Стабильный состав по п. 3, отличающийся тем, что NaCl присутствует в концентрации до 300 мМ. 8. Стабильный состав по п. 3, отличающийся тем, что NaCl присутствует в диапазоне концентраций приблизительно 137-154 мМ. 9. Стабильный состав по п. 8, отличающийся тем, что NaCl присутствует в концентрации приблизительно 154 мМ. 10. Стабильный состав по любому из пп. 1-4, отличающийся тем, что указанное полисорбатное поверхностно-активное вещество выбрано из группы, состоящей из полисорбата 20, полисорбата 40, полисорбата 60, полисорбата 80 и их комбинаций. 11. Стабильный состав по п. 10, отличающийся тем, что указанное полисорбатное поверхностно-активное вещество представляет собой полисорбат 20. 12. Стабильный состав по п. 11, отличающийся тем, что полисорбат 20 присутствует в концентрации до 0,2%. 13. Стабильный состав по п. 12, отличающийся тем, что полисорбат 20 присутствует в концентрации приблизительно 0,005%. 14. Стабильный состав по п. 1, дополнительно содержащий буферный агент, выбранный из группы, состоящей из ацетата, гистидина, сукцината, цитрата, «Трис» и их комбинаций. 15. Стабильный состав по любому из пп. 1-4, отличающийся тем, что стабильный состав имеет рН приблизительно 3-8,0. 16. Стабильный состав по п. 15, отличающийся тем, что стабильный состав имеет рН приблизительно 6,0-6,5. 17. Стабильный состав по п. 16, отличающийся тем, что указанный стабильный состав имеет рН приблизительно 6,0. 18. Стабильный состав по любому из пп. 1-4, отличающийся тем, что указанный состав представляет собой жидкий состав. 19. Стабильный состав по любому из пп. 1-4, отличающийся тем, что указанный состав выполнен в форме лиофилизированного сухого порошка. 20. Стабильный состав по п. 1, отличающийся тем, что указанный состав дополнительно содержит стабилизирующий агент. 21. Стабильный состав по п. 20, отличающийся тем, что указанный стабилизирующий агент выбран из группы, состоящей из сахарозы, глюкозы, маннитола, сорбитола, ПЭГ 4000, гистидина, аргинина, лизина, фосфолипидов и их комбинаций. 22. Способ лечения болезни метахроматической лейкодистрофии (МЛД), включающий этап интратекального введения нуждающемуся в этом субъекту состава по любому из пп. 1-21. 23. Способ по п. 22, отличающийся тем, что интратекальное введение осуществляют раз в две недели. 24. Способ по п. 22, отличающийся тем, что интратекальное введение осуществляют раз в месяц. 25. Способ по п. 22, отличающийся тем, что интратекальное введение осуществляют раз в два месяца. 26. Способ по п. 22, отличающийся тем, что интратекальное введение применяют в сочетании с внутривенным введением. 27. Способ по п. 26, отличающийся тем, что внутривенное введение осуществляют не чаще чем один раз в месяц. 28. Способ по п. 26, отличающийся тем, что внутривенное введение осуществляют не чаще чем раз в два месяца. 29. Способ по п. 22, отличающийся тем, что интратекальное введение применяют в отсутствие внутривенного введения. 30. Способ по п. 22, отличающийся тем, что интратекальное введение применяют в отсутствие сопутствующей иммуносупрессорной терапии. Таким образом, в изобретении описывается способ доставки композиции состоящего из белка ARSA, полисорбат и фосфат в ЦНС путем интратекального введения без возникновения значительной токсичности и иммунного ответа. Недостатками известного технического решения является то, что, во-первых, при введении фермента в СМЖ есть риск осложнений. Во-вторых, возникает сложность в достижении равномерного распределения фермента по нервной системе. Также предыдущие клинические испытания подобных препаратов на пациентах с другими ЛБН, затрагивающими ЦНС, не показали ожидаемой эффективности, неврологические нарушения продолжались, что не даёт оснований полагать, что препарат будет эффективен при использовании по назначению. Наиболее близким аналогом по технической сущности и достигаемому техническому результату является изобретение по патенту RU 2769577 «Препарат для лечения метахроматической лейкодистрофии и способ ее лечения». Сущностью является генный и генно-клеточный препарат для терапии МЛД, заключающийся во внутривенном или интратекальном введении препарата, содержащего рекомбинантный аденоассоциированный вирус 9 серотипа, с уникальной последовательностью кодон-оптимизированного гена Недостатком известного технического решения является недолговременная экспрессия трансгена, что приводит в дальнейшем к прогрессированию заболевания. Также 9-ый серотип не нацелен на тансдуцирования олигодендроцитов, что уменьшает эффективность препарата при использовании по назначению. При этом использование AAVOlig001-CMVenCBh-coARSA по заявленному техническому решению позволяет добиться высокого и долгого уровня трансдукции клеток нервной системы человека за счет способности данного вектора к тропизму олигодентроциров, тем самым обеспечивая доставку фермента в ЦНС и увеличивая его активность. Для решения описанных выше технических проблем необходима разработка способа, позволяющего исправить клетки нервной системы, а именно - модифицировать на долговременную экспрессию здорового гена. При интратекальном введении AAVOlig001-CMVenCBh-coARSA будут трансдуцироваться олигодендроциты, промотер CMVenCBh обеспечит сильную и долгую экспрессию. Это позволит достичь долговременной экспрессии ARSA. Техническим результатом заявленного технического решения является: - разработка рекомбинантной генетической конструкции, содержащей промотор гибридного энхансера CMV/куриного β-актина и кодон-оптимизированную последовательность гена – разработкааденоассоциированного вируса – AAVOlig001-CMVenCBh-coARSA, обеспечивающего возможность терапии МЛД. Сущностью заявленного технического решения являютсярекомбинантная генетическая конструкция для сверхэкспрессии фермента арилсульфатазы А, содержащая промотор гибридного энхансера CMV/куриного β-актина и кодон-оптимизированную последовательность гена ARSA, представленная SEQ ID NO:1. Аденоассоциированный вирус серотипа Olig001 для терапии метахроматической лейкодистрофии, содержащий рекомбинантную генетическую конструкцию по п. 1. Заявленное техническое решение иллюстрируется Фиг. 1 – Фиг.5. На Фиг. 1представлены диаграммы, на которыхпоказан уровень ферментативной активности ARSA в гомогенатах органов ЦНС свиней на 35 сутки после введения AAVOlig001-CMVenCBh-coARSA,по оси Х указаны образцы гомогенатов органов группы интактных свиней (обозначение контроль), образцы гомогенатов органов свиней, которым интратекально ввели рекомбинантный AAVOlig001-CMVenCBh-coARSA: 1а –правая лобная доля, 1б – теменная доля, 1в – затылочная доля коры головного мозга, 1г – ствол мозга, 1д – мозжечок, 1е – шейный отдел спинного мозга, 1ж – грудной отдел спинного мозга, 1з – поясничный отдел спинного мозга. На Фиг. 2представлены диаграммы, на которых показана динамика ферментативной активности ARSA до введения, на 7, и 28 сутки. По оси Х указаны образцы СМЖ и плазмы свиней № 1 – №3, которым интратекально ввели рекомбинантный AAVOlig001-CMVenCBh-coARSA.: 2а – в спинномозговой жидкости (СМЖ),2б – в плазме свиней На Фиг. 3представлены диаграммы, на которых показано количество копий мРНК гена На Фиг. 4 представлены диаграммы, на которых показаны данные анализа уровней: 4а - аланинаминотрансферазы (АЛТ), 4б - аспартатаминотрансферазы (АСТ), 4в - креатинина-J, 4г - общего билирубина в сыворотке крови свиней. По оси Х указаны образцы сыворотки экспериментальной группы свиней с интратекальным введением рекомбинантного AAVOlig001-CMVenCBh-coARSA. Данные получены с помощью иммуноферментного анализа (ИФА). На Фиг. 5 представлены изображения срезов органов (полученных методом конфокальной микроскопии), на которых показан анализ экспрессии ARSA путем иммуногистохимического анализа криостатных срезов органов ЦНС - контрольной группы свиней без введения (контроль) и образцы срезов органов экспериментальной группы свиней интратекальным AAVOlig001-CMVenCBh-coARSA: 5а - срез коры мозжечка, срез коры затылочной доли, срез поясничного отдела спинного мозга, 5б - срез спинномозговой ганглии шейного отдела спинного мозга, срез спинномозговой ганглии грудного отдела спинного мозга, срез спинномозговой ганглии поясничного отдела спинного мозга. Далее заявителем приведено описание заявленного технического решения. Выявленная проблема и заявленный технический результат достигаются путем интратекального введения аденоассоциированного вируса с серотипом Olig001, содержащего рекомбинантную генетическую конструкцию с промотором CMVenCBh, с уникальной кодон-оптимизированной последовательностью гена Идея заявленного технического решения в целом основана на том, что благодаря способности серотипа Olig001 эффективно трансдуцировать олигодендроциты, участвующие в патогенезе МЛД, промотр CMVenCBh инициирует долгую и сильную экспрессию трансгена. Это позволяет достичь терапевтического эффекта. В результате разработки получен AAVOlig001-CMVenCBh-coARSA, обладающий неизвестными из исследованного уровня техники терапевтическим эффектом, обеспечивающим возможность лечения ранее неизлечимого заболевания МЛД. Практическая реализация заявленного изобретения осуществляется в 3 этапа в нижеприведённой последовательности, а именно: 1 этап: Получение и анализ рекомбинантной генетической конструкции, содержащей промотор гибридного энхансера CMV/куриного β-актина и кодон-оптимизированную последовательность гена 2 этап: Получение и анализ функциональности аденоассоциированного вируса серотипа Olig001 - AAVOlig001-CMVenCBh-coARSA, содержащего рекомбинантную генетическую конструкцию, полученную на 1 этапе. 3 этап: Изучение эффективности и безопасности AAVOlig001-CMVenCBh-coARSA при интратекальном введении крупным лабораторным животным. Далее заявителем приведено подробное описание этапов осуществления заявленного технического решения. Пример 1. Проведение 1 этапа - получение и анализ рекомбинантной генетической конструкции, содержащей промотор гибридного энхансера CMV/куриного β-актина и кодон-оптимизированную последовательность гена Производят кодонную оптимизацию нуклеотидной последовательности гена. Для оптимизации кодонного состава гена Синтез и клонирование оптимизированной по кодонному составу кДНК гена Для подтверждения функциональности генетической рекомбинантной конструкции, содержащей промотор гибридного энхансера CMV/куриного β-актина и кодон-оптимизированную последовательность гена Эффективность экспрессии рекомбинантного белка Активность фермента ARSA определяют в лизате HEK293T через 24 часа после трансфекции. Концентрацию общего белка в образцах определяют с помощью набора Pierce™ BCA Protein Assay Kit (ThermoFisher Scientific, США). Образцы нормализовывают относительно концентрации общего белка. Для определения активности ARSA 50 мкл образца лизата клеток инкубируют с раствором субстрата нитрокатехол сульфата (0.01М p-Nitrocatechol sulfate dipotassium salt (#N7251, Sigma), 0,5 M ацетат натрия, 0,5 мМ Na4P2O7, 10 % хлорид натрия, pH=5) в течение 1 часа при 37°C, после чего останавливают реакцию добавлением 1 Н гидроксида натрия. В качестве стандартов используют разведения сульфатазы (#S9626, Sigma). Оптическую плотность измеряют при длине волны 515 нм. Вестерн-блот анализ проводят с использованием первичных поликлональных антител кролика к ARSA (Кат. № PAG619Hu01, Cloud-Clone Corp., США) разведение 1:500 в блокирующем буфере. По результатам анализа заявителем в образцах лизатов клеток НЕК293Т, трансфицированных pAAV-CMVenCBh-coARSA, получены ожидаемые размеры около 33 кДа. Пример 2. Проведение 2 этапа - получение и анализ функциональности аденоассоциированного вируса серотипа Olig001 - AAVOlig001-CMVenCBh-coARSA, содержащего рекомбинантную генетическую конструкцию по Примеру 1. На основе рекомбинантной генетической конструкции pAAV-CMVenCBh-coARSA получают AAVOlig001-CMVenCBh-coARSA. Для получения AAVOlig001-CMVenCBh-coARSA используют AAV Helper free system. Клетки AAV293 сеют в количестве 1,5 млн., монослой составляет 70-80%. На следующий день проводят ко-трансфекцию с использованием кальций-фосфатного метода тремя плазмидами (векторная плазмида, pAAV-RC и pHelper). AAVOlig001-CMVenCBh-coARSA собирают через 72 часа после трансфекции. Клетки собирают скребком, проводят криолиз, центрифугируют при 10000 × g в течение 10 минут для избавления от клеточного дебриса. Вирусный сток хранят при минус 80°C. AAVOlig001-CMVenCBh-coARSA концентрируют с использованием AAV Purification Mega Kit (Cell Biolabs, Inc., США) в соответствии с методикой, рекомендуемой производителем. Пример 3. Проведение 3 этапа - изучение эффективности и безопасности AAVOlig001-CMVenCBh-coARSA при интратекальном введении крупным лабораторным животным. Эффективность и безопасность полученного AAVOlig001-CMVenCBh-coARSA проверили на крупных лабораторных животных. В работе использовали свиней в возрасте 4 месяцев (весом 5 кг), которые случайным образом распределяют на 2 группы, в каждой группе по три особи - контрольная группа и экспериментальная группа. Свиньям интратекально (т.е. введением AAVOlig001-CMVenCBh-coARSA в спинной мозг) вводили заявленный AAVOlig001-CMVenCBh-coARSA (n=3) в количестве 2 х 1013 геномных копий/кг, при этом контрольной группе ничего не вводили: 1) Контрольная группа интактных свиней без введения AAVOlig001-CMVenCBh-coARSA. 2) Экспериментальная группа свиней, которым интратекально вводят AAVOlig001-CMVenCBh-coARSA, в дозе 2 х 1013 геномных копий/кг. Животных содержали в специализированных помещениях Казанской государственной академии ветеринарной медицины имени Н.Э. Баумана (КГАВМ) под наблюдением квалифицированного персонала. Все эксперименты проводили в соответствии с этическими стандартами и действующим законодательством. Эксперимент проводили следующим образом. До введения у свиней забирали образцы СМЖ, цельной крови в пробирки, содержащие антикоагулянт NaC и гель, активатор (у всех подопытных животных), далее выделяли плазму и сыворотку из цельной крови с помощью центрифугирования в течение 20 минут при 1900 об/мин, хранили СМЖ, плазму и сыворотку при минус 80°С. Далее у всех экспериментальных животных повторно, т.е. через 7 и 28 суток после введения AAVOlig001-CMVenCBh-coARSA забирали цельную кровь Далее образцы плазмы цельной крови Далее на 35 сутки после введения AAVOlig001-CMVenCBh-coARSA свиней подвергают эвтаназии с использованием методов, которые соответствуют принципам, изложенным в Рекомендациях Европейской комиссии по эвтаназии экспериментальных животных. Далее извлекали спинной мозг (шейный, грудной, поясничные отделы), ганглии задних корешков (шейный, грудной, поясничные отделы), мозжечок, кору затылочной доли, скрытый нерв, мозговой ствол, правую лобную долю, теменную долю. Далее все органы гомогенизировали для проведения теста на активность и ПЦР-РВ или препарировали для проведения ИГХ анализа. Далее на основании полученных экспериментальных данных строили графики. приведенные на Фиг. 1-5, которые иллюстрируют результаты, описанные на Этапах 1-3. Графические материалы на Фиг.1 - Фиг.5, экспериментально доказали возможность достижения заявленных технических результатов. Из данных, приведенных на Фиг. 1, видно, что ферментативная активность ARSA в гомогенатах органов ЦНС увеличивается после введения AAVOlig001-CMVenCBh-coARSA. В гомогенате затылочной доли коры головного мозга активности ARSA увеличивается у 1 свиньи на 150%. В гомогенате мозжечка детектировано увеличение активности у одной свиньи на 318%. В гомогенате ствола мозга детектировано увеличение активности у одной свиньи 117%. В шейном отделе спинного мозга детектировано увеличение активности ARSA у 1 и 3 свиньи на 193% и на 137%, соответственно. В грудном отделе спинного мозга детектировано увеличение активности ARSA у всех свиней на 105%, 127% и 116%, соответственно. В поясничном отделе спинного мозга детектировано увеличение активности ARSA у 1 и 2 свиньи на 176% и на 123%, соответственно. Такие результаты показывают, что после генетической модификации полученным AAVOlig001-CMVenCBh-coARSA клетки нервной системы начинают экспрессировать функционально активный фермент Из данных, приведенных на Фиг. 2, видно, что после интратекального введения AAVOlig001-CMVenCBh-coARSA активность ARSA увеличивается в СМЖ на 28 сутки. В плазме на 7 сутки. Такие результаты показывают, что интратекальное введение AAVOlig001-CMVenCBh-coARSA крупным лабораторным животным приводит к трансдукции клеток, которые после чего начинают экспрессировать и секретировать функционально активный фермент, обнаруживаемый в плазме и СМЖ животных. Из данных, приведенных на Фиг. 3, видно наличие сверхэкспрессии кодон-оптимизированного гена Из данных, приведенных на Фиг. 4, видно, что биохимические показатели в сыворотке крови свиней после интратекального введения AAVOlig001-CMVenCBh-coARSA показали увеличение уровней АСТ, креатинина-J и билирубина на 7 сутки у одного животного. У остальных экспериментальных животных показатели остаются неизменными (АСТ, креатинин-J, общий билирубин). Это доказывает, что интратекальное введение AAVOlig001-CMVenCBh-coARSA не приводит к иммунологическим изменениям в организме испытуемых животных, что в свою очередь подтверждает потенциальную безопасность доставки генетического материала, кодирующего фермент ARSA. Из данных, приведенных на Фиг. 5, видно, что анализ экспрессии ARSA в криостатных срезах органов нервной системы свиней путем иммуногистохимического анализа подтверждает успешную генетическую модификацию клеток нервной системы подопытных животных после интратекального введения AAVOlig001-CMVenCBh-coARSA. В коре мозжечка были обнаружены сверхэкспрессирующие ARSA нейроны Пуркинье, по сравнению с контрольной группой. Анализ затылочной доли головного мозга показал значимое увеличение экспрессии ARSA в нейронах верхних слоев коры головного мозга. Анализ поперечных срезов шейного и грудного отделов спинного мозга не показал достоверных различий в экспрессии ARSA в сером веществе животных экспериментальной и контрольной групп. Однако единичные сверхэкспрессирующие ARSA нейроны в передних и задних рогах поясничного отдела спинного мозга были обнаружены. Анализ спинномозговых ганглиев (СМГ) на уровне шейного, грудного и поясничного отделов спинного мозга выявило сверхэкспрессирующие ARSA нейроны. Анализ корешков спинномозговых нервов и седалищного нерва не выявил различий в экспрессии ARSA у животных экспериментальной и контрольной групп. Из описанного выше можно сделать вывод о том, что заявителем решены выявленные технические проблемы и достигнут заявленный технический результат, а именно: - разработана рекомбинантная генетическая конструкция (см. Пример 1); - разработан аденоассоциированный вирус серотипа Olig001 содержащий указанную рекомбинантную генетическую конструкцию - AAVOlig001-CMVenCBh-coARSA, обеспечивающий возможность терапии МЛД (см. Примеры 2, 3, Фиг. 1-5). Заявленное техническое решение удовлетворяет условию патентоспособности «новизна», предъявляемому к изобретениям, так как из исследованного уровня техники не выявлены источники, в которых описаны признаки, совпадающие по исполняемой ими функции и форме выполнения этих признаков, перечисленные в формуле изобретения, включая характеристику назначения. Заявленное техническое решение удовлетворяет условию патентоспособности «изобретательский уровень», предъявляемому к изобретениям, поскольку из исследованного уровня техники заявителем не выявлены технические решения, характеризующиеся использованием способа терапии МЛД, подразумевающего интратекальное введение рекомбинантного AAVOlig001-CMVenCBh-coARSA. Кроме того, заявленное техническое решение, по мнению заявителя, не является очевидным для специалиста, так как обеспечивает реализацию задачи по остановке нейродегенерации и значительному облегчению симптомов МЛД, практически неизлечимой на дату представления заявочных материалов. Заявленное техническое решение удовлетворяет условию патентоспособности «промышленная применимость», предъявляемому к изобретениям, так как оно может быть использовано в промышленных масштабах для создания препаратов, предназначенных для лечения МЛД. ---> Sequence Listing Information: DTD Version: V1_3 File Name: pAAV-ARSA1.xml Software Name: WIPO Sequence Software Version: 2.3.0 Production Date: 2023-10-24 General Information: Current application / IP Office: RU Current application / Application number: 2023126473/20(058552) Current application / Filing date: 2023-10-16 Current application / Applicant file reference: - Earliest priority application / IP Office: RU Earliest priority application / Application number: 2023126473/20(058552) Earliest priority application / Filing date: 2023-10-16 Applicant name: Федеральное государственное автономное образовательное учреждение высшего образования "Казанский (Приволжский) федеральный университет" (ФГАОУ ВО КФУ), RU Applicant name / Language: ru Applicant name / Name Latin: Federalnoye gosudarstvennoye avtonomnoye obrazovatelnoye uchrezhdeniye vysshego obrazovaniya Kazanskiy (Privolzhskiy) federalnyy universitet (FGAOU VO KFU), RU Inventor name: Муллагулова Айсылу Илдаровна Inventor name / Language: ru Inventor name / Name Latin: Mullagulova Aisylu Ildarovna Invention title: Рекомбинантная генетическая конструкция, аденоассоциированный вирус для терапии метахроматической лейкодистрофии ( ru ) Sequence Total Quantity: 1 Sequences: Sequence Number (ID): 1 Length: 6282 Molecule Type: DNA Features Location/Qualifiers: - source, 1..6282 > mol_type, other DNA > organism, synthetic construct Residues: cctgcaggca gctgcgcgct cgctcgctca ctgaggccgc ccgggcgtcg ggcgaccttt 60 ggtcgcccgg cctcagtgag cgagcgagcg cgcagagagg gagtggccaa ctccatcact 120 aggggttcct gcggccgcac gcgtctagtt attaatagta atcaattacg gggtcattag 180 ttcatagccc atatatggag ttccgcgtta cataacttac ggtaaatggc ccgcctggct 240 gaccgcccaa cgacccccgc ccattgacgt caatagtaac gccaataggg actttccatt 300 gacgtcaatg ggtggagtat ttacggtaaa ctgcccactt ggcagtacat caagtgtatc 360 atatgccaag tacgccccct attgacgtca atgacggtaa atggcccgcc tggcatttgc 420 ccagtacatg accttatggg actttcctac ttggcagtac atctacgtat tagtcatcgc 480 tattaccatg gtcgaggtga gccccacgtt ctgcttcact ctccccatct cccccccctc 540 cccaccccca attttgtatt tatttatttt ttaattattt tgtgcagcga tgggggcggg 600 gggggggggg gggcgcgcgc caggcggggc ggggcggggc gaggggcggg gcggggcgag 660 gcggagaggt gcggcggcag ccaatcagag cggcgcgctc cgaaagtttc cttttatggc 720 gaggcggcgg cggcggcggc cctataaaaa gcgaagcgcg cggcgggcgc gtttagtgaa 780 ccgtcagatc gcctggagac gccatccacg ctgttttgac ctccatagaa gacaccggga 840 ccgatccagc ctccgcggat tcgaatcccg gccgggaacg gtgcattgga acgcggattc 900 cccgtgccaa gagtgacgta agtaccgcct atagagtcta taggcccaca aaaaatgctt 960 tcttctttta atatactttt ttgtttatct tatttctaat actttcccta atctctttct 1020 ttcagggcaa taatgataca atgtatcatg cctctttgca ccattctaaa gaataacagt 1080 gataatttct gggttaaggc aatagcaata tttctgcata taaatatttc tgcatataaa 1140 ttgtaactga tgtaagaggt ttcatattgc taatagcagc tacaatccag ctaccattct 1200 gcttttattt tatggttggg ataaggctgg attattctga gtccaagcta ggcccttttg 1260 ctaatcatgt tcatacctct tatcttcctc ccacagctcc tgggcaacgt gctggtctgt 1320 gtgctggccc atcactttgg caaagaattg ggattcgaac atcgattgaa ttcacaagtt 1380 tgtacaaaaa agcaggctga attcaccatg tccatgggcg ccccccggtc tctgctgctg 1440 gcactggcag caggactggc agtggccaga ccccctaaca tcgtgctgat cttcgcagac 1500 gatctgggat acggcgacct gggctgctat ggccacccaa gctccaccac acccaatctg 1560 gaccagctgg cagcaggagg actgaggttc accgattttt acgtgccagt gagcctgtgt 1620 accccatcca gggcagcact gctgacaggc aggctgccag tgcgcatggg catgtatcct 1680 ggcgtgctgg tgccatctag caggggagga ctgccactgg aggaggtgac cgtggcagag 1740 gtgctggcag ccagaggcta cctgacagga atggccggca agtggcacct gggagtggga 1800 cctgagggcg ccttcctgcc accccaccag ggcttccacc ggtttctggg catcccttat 1860 tcccacgacc agggcccatg ccagaacctg acctgttttc ctccagcaac accatgcgac 1920 ggaggatgtg atcagggact ggtgcctatc ccactgctgg ccaatctgtc tgtggaggca 1980 cagccacctt ggctgcctgg actggaggca aggtacatgg cattcgcaca cgacctgatg 2040 gcagatgcac agcggcagga tagacctttc tttctgtact atgcctccca ccacacccac 2100 tatccacagt tcagcggcca gtcctttgca gagaggagcg gaaggggacc attcggcgac 2160 tccctgatgg agctggatgc cgccgtgggc accctgatga cagcaatcgg cgacctggga 2220 ctgctggagg agaccctggt catcttcacc gccgataacg gccccgagac aatgcggatg 2280 tctagaggag gatgcagcgg actgctgaga tgtggcaagg gaaccacata cgagggaggc 2340 gtgcgcgagc ctgcactggc attttggcca ggacacatcg cacctggagt gacccacgag 2400 ctggcatcct ctctggacct gctgccaaca ctggcagcac tggcaggagc accactgcct 2460 aatgtgaccc tggacggctt cgatctgtct ccactgctgc tgggcaccgg caagtccccc 2520 agacagtctc tgttctttta ccccagctat cctgatgagg tgcggggcgt gtttgccgtg 2580 agaaccggca agtacaaggc ccacttcttt acacagggct ctgcccacag cgacaccaca 2640 gccgatcctg catgccacgc aagctcctct ctgaccgcac acgagccacc actgctgtac 2700 gacctgtcca aggaccccgg cgagaactat aatctgctgg gaggagtggc aggagcaacc 2760 cctgaggtgc tgcaggccct gaagcagctg cagctgctga aggcacagct ggacgcagca 2820 gtgacattcg gaccaagcca ggtggcaagg ggagaggacc ccgcactgca gatctgctgt 2880 caccctggat gcaccccaag gccagcatgc tgtcactgtc ctgatccaca cgcctgagga 2940 tccacccagc tttcttgtac aaagtggtgg atcctctaga gtcgacctgc agaagcttgc 3000 ctcgagcagc gctgctcgag agatctacgg gtggcatccc tgtgacccct ccccagtgcc 3060 tctcctggcc ctggaagttg ccactccagt gcccaccagc cttgtcctaa taaaattaag 3120 ttgcatcatt ttgtctgact aggtgtcctt ctataatatt atggggtgga ggggggtggt 3180 atggagcaag gggcaagttg ggaagacaac ctgtagggcc tgcggggtct attgggaacc 3240 aagctggagt gcagtggcac aatcttggct cactgcaatc tccgcctcct gggttcaagc 3300 gattctcctg cctcagcctc ccgagttgtt gggattccag gcatgcatga ccaggctcag 3360 ctaatttttg tttttttggt agagacgggg tttcaccata ttggccaggc tggtctccaa 3420 ctcctaatct caggtgatct acccaccttg gcctcccaaa ttgctgggat tacaggcgtg 3480 aaccactgct cccttccctg tccttctgat tttgtaggta accacgtgcg gaccgagcgg 3540 ccgcaggaac ccctagtgat ggagttggcc actccctctc tgcgcgctcg ctcgctcact 3600 gaggccgggc gaccaaaggt cgcccgacgc ccgggctttg cccgggcggc ctcagtgagc 3660 gagcgagcgc gcagctgcct gcaggggcgc ctgatgcggt attttctcct tacgcatctg 3720 tgcggtattt cacaccgcat acgtcaaagc aaccatagta cgcgccctgt agcggcgcat 3780 taagcgcggc gggtgtggtg gttacgcgca gcgtgaccgc tacacttgcc agcgccctag 3840 cgcccgctcc tttcgctttc ttcccttcct ttctcgccac gttcgccggc tttccccgtc 3900 aagctctaaa tcgggggctc cctttagggt tccgatttag tgctttacgg cacctcgacc 3960 ccaaaaaact tgatttgggt gatggttcac gtagtgggcc atcgccctga tagacggttt 4020 ttcgcccttt gacgttggag tccacgttct ttaatagtgg actcttgttc caaactggaa 4080 caacactcaa ccctatctcg ggctattctt ttgatttata agggattttg ccgatttcgg 4140 cctattggtt aaaaaatgag ctgatttaac aaaaatttaa cgcgaatttt aacaaaatat 4200 taacgtttac aattttatgg tgcactctca gtacaatctg ctctgatgcc gcatagttaa 4260 gccagccccg acacccgcca acacccgctg acgcgccctg acgggcttgt ctgctcccgg 4320 catccgctta cagacaagct gtgaccgtct ccgggagctg catgtgtcag aggttttcac 4380 cgtcatcacc gaaacgcgcg agacgaaagg gcctcgtgat acgcctattt ttataggtta 4440 atgtcatgat aataatggtt tcttagacgt caggtggcac ttttcgggga aatgtgcgcg 4500 gaacccctat ttgtttattt ttctaaatac attcaaatat gtatccgctc atgagacaat 4560 aaccctgata aatgcttcaa taatattgaa aaaggaagag tatgagtatt caacatttcc 4620 gtgtcgccct tattcccttt tttgcggcat tttgccttcc tgtttttgct cacccagaaa 4680 cgctggtgaa agtaaaagat gctgaagatc agttgggtgc acgagtgggt tacatcgaac 4740 tggatctcaa cagcggtaag atccttgaga gttttcgccc cgaagaacgt tttccaatga 4800 tgagcacttt taaagttctg ctatgtggcg cggtattatc ccgtattgac gccgggcaag 4860 agcaactcgg tcgccgcata cactattctc agaatgactt ggttgagtac tcaccagtca 4920 cagaaaagca tcttacggat ggcatgacag taagagaatt atgcagtgct gccataacca 4980 tgagtgataa cactgcggcc aacttacttc tgacaacgat cggaggaccg aaggagctaa 5040 ccgctttttt gcacaacatg ggggatcatg taactcgcct tgatcgttgg gaaccggagc 5100 tgaatgaagc cataccaaac gacgagcgtg acaccacgat gcctgtagca atggcaacaa 5160 cgttgcgcaa actattaact ggcgaactac ttactctagc ttcccggcaa caattaatag 5220 actggatgga ggcggataaa gttgcaggac cacttctgcg ctcggccctt ccggctggct 5280 ggtttattgc tgataaatct ggagccggtg agcgtgggtc tcgcggtatc attgcagcac 5340 tggggccaga tggtaagccc tcccgtatcg tagttatcta cacgacgggg agtcaggcaa 5400 ctatggatga acgaaataga cagatcgctg agataggtgc ctcactgatt aagcattggt 5460 aactgtcaga ccaagtttac tcatatatac tttagattga tttaaaactt catttttaat 5520 ttaaaaggat ctaggtgaag atcctttttg ataatctcat gaccaaaatc ccttaacgtg 5580 agttttcgtt ccactgagcg tcagaccccg tagaaaagat caaaggatct tcttgagatc 5640 ctttttttct gcgcgtaatc tgctgcttgc aaacaaaaaa accaccgcta ccagcggtgg 5700 tttgtttgcc ggatcaagag ctaccaactc tttttccgaa ggtaactggc ttcagcagag 5760 cgcagatacc aaatactgtc cttctagtgt agccgtagtt aggccaccac ttcaagaact 5820 ctgtagcacc gcctacatac ctcgctctgc taatcctgtt accagtggct gctgccagtg 5880 gcgataagtc gtgtcttacc gggttggact caagacgata gttaccggat aaggcgcagc 5940 ggtcgggctg aacggggggt tcgtgcacac agcccagctt ggagcgaacg acctacaccg 6000 aactgagata cctacagcgt gagctatgag aaagcgccac gcttcccgaa gggagaaagg 6060 cggacaggta tccggtaagc ggcagggtcg gaacaggaga gcgcacgagg gagcttccag 6120 ggggaaacgc ctggtatctt tatagtcctg tcgggtttcg ccacctctga cttgagcgtc 6180 gatttttgtg atgctcgtca ggggggcgga gcctatggaa aaacgccagc aacgcggcct 6240 ttttacggtt cctggccttt tgctggcctt ttgctcacat gt 6282 END <---