патент
№ RU 2821513
МПК C09B47/22

ТЕТРА-4-[(2-МЕТОКСИФЕНОКСИ)-5-НИТРО]ФТАЛОЦИАНИН МЕДИ, КОБАЛЬТА ИЛИ ЦИНКА

Авторы:
Абрамов Игорь Геннадьевич Майзлиш Владимир Ефимович Баклагин Вячеслав Леонидович
Все (5)
Номер заявки
2023127839
Дата подачи заявки
30.10.2023
Опубликовано
25.06.2024
Страна
RU
Как управлять
интеллектуальной собственностью
Чертежи 
6
Реферат

[68]

Изобретение относится к химической промышленности. Предложен тетра-4-[(2-метоксифенокси)-5-нитро]фталоцианин меди, кобальта или цинка, обладающий красящей способностью по отношению к полиметилметакрилату, полиэфирным и полиамидным текстильным материалам. Тетра-4-[(2-метоксифенокси)-5-нитро]фталоцианин цинка также проявляет люминесцентные свойства. 12 ил., 6 пр.

[69]

Формула изобретения

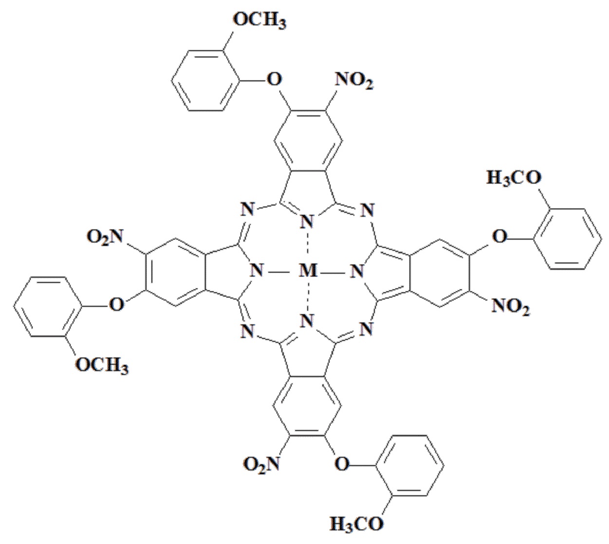
Тетра-4-[(2-метоксифенокси)-5-нитро]фталоцианин меди, кобальта или цинка формулы

M = Co, Cu, Zn.

Описание

[1]

Изобретение относится к химической промышленности, а именно, к получению тетра-4-[(2-метоксифенокси)-5-нитро]фталоцианина с медью, с кобальтом или цинком, обладающих красящей способностью по отношению к полиметилметакрилату, полиэфирным и полиамидным текстильным материалам, и цинком, проявляющим люминесцентные свойства.

[2]

Известен тетра-4-феноксифталоцианин меди [Быкова В.В., Усольцева Н.В., Ананьева Г.А., Майзлиш В.Е., Шапошников Г.П. Мезоморфизм тетра-4-арилоксизамещенных фталоцианина меди // Изв. АН. Серия физическая. 1998. Т. 62. №8. С. 1647-1651.]

[3]

[4]

Однако данное соединение обладает ограниченной растворимостью в органических растворителях и при крашении полимерных материалов не позволяет получить насыщенный цвет и равномерную окраску независимо от количества красителя.

[5]

Известен тетра-4-(4'-метоксифенокси) фталоцианин меди [Смирнова А.И. и др. Тетра-4-(4’-метоксифенокси) фталоцианин меди: синтез, мезоморфизм, спектральные и фотофизические свойства тонких пленок // Жидкие кристаллы и их практическое использование. - 2022. - Т. 22. - №.4. - С. 37-54].

[6]

[7]

При этом в литературе отсутствуют сведения о проявлении тетра-4-(4'-метоксифенокси) фталоцианина меди красящей способностью по отношению к полистиролу, вискозе и капрону.

[8]

Изобретательская задача состояла в поиске нового соединения, обладающего красящей способностью по отношению к полиметилметакрилату, полиэфирным и полиамидным текстильным материалам, а также дополнительно обладающего люминесцентными свойствами.

[9]

Поставленная задача решена синтезом тетра-4-[(2-метоксифенокси)-5-нитро]фталоцианина меди, кобальта или цинка общей формулы:

[10]

[11]

Структура этих соединений доказана данными элементного анализа, ИК и электронной спектроскопии, MALDI-TOF спектрометрии.

[12]

В ИК-спектрах заявляемых соединений присутствуют полосы, характерные для валентных колебаний соответствующих функциональных групп: 1249 (Ar-O-Ar), 1497 (N=O вал.), 1265 (C-O-C вал.) [Дайер Дж.Р. Приложение абсорбционной спектроскопии органических соединений / Пер. с англ. Иванова В.Т. М.: Химия. 1970. 164 с]. В масс-спектрах синтезированных металлокомплексов фталоцианинов с кобальтом, цинком и медью обнаружены сигналы целевых молекулярных ионов с m/z = 1240; 1246, 1245 соответственно.

[13]

Изобретение поясняется чертежами.

[14]

На фиг. 1 изображен хромато-масс-спектр 4-(2-метоксифенокси)-5-нитрофталонитрила; на фиг. 2 - ИК спектр 4-(2-метоксифенокси)-5-нитрофталонитрила; на фиг. 3 -1Н ЯМР спектр 4-(2-метоксифенокси)-5-нитрофталонитрила, на фиг. 4 -13С ЯМР спектр 4-(2-метоксифенокси)-5-нитрофталонитрила, на фиг. 5 - ЭСП тетра-4-[(2-метоксифенокси)-5-нитро]фталоцианина меди в хлороформе; на фиг. 6 - изображен MALDI-TOF масс-спектр тетра-4-[(2-метоксифенокси)-5-нитро]фталоцианина меди; на фиг. 7 - ЭСП тетра-4-[(2-метоксифенокси)-5-нитро]фталоцианина кобальта в хлороформе, на фиг. 8 - MALDI-TOF масс-спектр тетра-4-[(2-метоксифенокси)-5-нитро]фталоцианина кобальта; на фиг. 9 - ЭСП тетра-4-[(2-метоксифенокси)-5-нитро]фталоцианина цинка в хлороформе; на фиг. 10 - MALDI-TOF масс-спектр тетра-4-[(2-метоксифенокси)-5-нитро]фталоцианина цинка; на фиг. 11 - образцы полиметилметакрилата, полученные по примеру 5, окрашенные (а) - тетра-4-[(2-метоксифенокси)-5-нитро]фталоцианином меди, (б) - тетра-4-[(2-метоксифенокси)-5-нитро]фталоцианином цинка, на фиг. 12 - образцы полиэфирных текстильных волокон, полученные по примеру 6, окрашенные тетра-4-[(2-метоксифенокси)-5-нитро]фталоцианином меди, где (а) - образец полиэфирной ткани; (б) - образец капрона, тетра-4-[(2-метоксифенокси)-5-нитро]фталоцианином цинка, где (в) - образец полиэфирной ткани; (г) - образец капрона.

[15]

Для синтеза заявляемых соединений используют следующие вещества:

[16]

- ацетат кобальта - ГОСТ 5861-79;

[17]

- ацетат меди - ГОСТ 5852-79

[18]

- ацетат цинка - ГОСТ 5823-78

[19]

- 4-(2-метоксифенокси)-5-нитрофталонитрил - синтезирован следующим способом:

[20]

Синтез 4-(2-метоксифенокси)-5-нитрофталонитрила:

[21]

[22]

В 10 мл ДМФА растворяют 0,8 г (0,0032 моль) 4-бром-5-нитрофталонитрила и 0,4 г (0,0032 моль) 2-метоксифенола, к полученному раствору прибавляют раствор 1,3 г (0,0094 моль) K2CO3 в 3,3 мл воды и перемешивают при 30 °С в течение 1,5 часов. Полученный осадок отфильтровывают, промывают водой, перекристаллизовывают из ДМФА и высушивают на воздухе при 70-80 °С.

[23]

Выход: 0,49 г (52 %).

[24]

Найдено, %: С - 61,75, H - 3,15, N - 14,04; C15H9N3O4;

[25]

Вычислено: C - 61,02, H - 3,07, N - 14,23.

[26]

Масс-спектр, m/z = 295 [M], вычислено - 295,25 (Фиг. 1).

[27]

ИК спектр, см-1: 2239 (C≡N), 1249 (Ar-O-Ar), 1496 (N=O вал.), 1280 (C-O-C вал.) (Фиг. 2).

[28]

Спектр ЯМР1H (500 MHz; acetone-d6), δ, м.д.: 8,75 (s, 1H), 7,60 (s, Hz, 1H), 7,41 (td, J3 = 7,4 J4 = 2,2 Hz, 1H), 7,34 (dd J3 = 7,4 J4 = 2,0 Hz, 1H), 7,28 (dd J3 = 7,4 J4 = 2,0 Hz, 1H), 7,11 (td, J3 = 7,4 J4 = 2,2 Hz, 1H), 3,83 s (3H) (Фиг. 3).

[29]

Спектр13C NMR (125,77 MHz, Acetone) δ 154,21, 150,97, 141,41, 140,79, 130,93, 128,31, 122,61, 122,36, 121,56, 120,33, 114,20, 114,04, 113,77, 108,85, 55,51 (Фиг. 4).

[30]

Пример 1. Синтез тетра-4-[(2-метоксифенокси)-5-нитро]фталоцианина меди

[31]

[32]

Тщательно растертую смесь 0,32 г (0,0001 моль) 4-(2-метоксифенокси)-5-нитрофталонитрила и 0,011 г (0,000055 моль) (CH3COO)2Cu⋅H2O нагревают при 180 °С в течение 3 часов. По окончании процесса реакционную массу охлаждают, тщательно растирают, промывают концентрированной соляной кислотой, а затем водой до рН 7, высушивают на воздухе при 70 °С. Целевой продукт экстрагируют хлороформом и подвергают колоночной хроматографии на силикагеле М60, элюируя хлороформом. Получено твердое вещество темно-зеленого цвета, не растворимое в воде, хорошо растворимое в хлороформе.

[33]

Выход: 0,023 г (44 %).

[34]

Найдено, %: С - 58,52, H - 3,09, N - 13,02; C60H36CuN12O16;

[35]

Вычислено, %: C - 57,90, H - 2,92, N - 13,51.

[36]

Масс-спектр, m/z = 1244,73 [M]+, вычислено - 1244,56 (Фиг. 6).

[37]

ИК спектр, (KBr)/см-1: 1249 (Ar-O-Ar), 1497 (N=O вал.), 1265 (C-O-C вал.).

[38]

ЭСП в хлороформе, λmax, нм: 699 (Фиг. 5).

[39]

Пример 2. Синтез тетра-4-[(2-метоксифенокси)-5-нитро]фталоцианина кобальта

[40]

[41]

Тщательно растертую смесь 0,32 г (0,0001 моль) 4-(2-метоксифенокси)-5-нитрофталонитрила и 0,013 г (0,000052 моль) (CH3COO)2Co⋅4H2O нагревают при 180 °С в течение 3 часов. По окончании процесса реакционную массу охлаждают, тщательно растирают, промывают концентрированной соляной кислотой, а затем водой до рН 7, высушивают на воздухе при 70 °С. Целевой продукт экстрагируют хлороформом и подвергают колоночной хроматографии на силикагеле М60, элюируя хлороформом. Получено твердое вещество темно-зеленого цвета, не растворимое в воде, хорошо растворимое в хлороформе.

[42]

Выход: 0,013 г (25%).

[43]

Найдено, %: С - 57,95 , H - 3,01, N - 13,22; C60H36CoN12O16;

[44]

Вычислено, %: C - 58,12, H - 2,93, N - 13,56.

[45]

Масс-спектр, m/z = 1240,8 [M]+, вычислено - 1239,95 (Фиг. 8).

[46]

ИК спектр, (KBr)/см-1: 1198 (Ar-O-Ar), 1458 (N=O вал.), 1265 (C-O-C вал.).

[47]

ЭСП в хлороформе, λmax, нм: 687 (Фиг. 7)

[48]

Пример 3. Синтез тетра-4-[(2-метоксифенокси)-5-нитро]фталоцианина цинка

[49]

[50]

Тщательно растертую смесь 0,32 г (0,0001 моль) 4-(2-метоксифенокси)-5-нитрофталонитрила и 0,010 г (0,000045 моль) (CH3COO)2Zn⋅2H2O нагревают при 180 °С в течение 3 часов. По окончании процесса реакционную массу охлаждают, тщательно растирают, промывают концентрированной соляной кислотой, а затем водой до рН 7, высушивают на воздухе при 70 °С. Целевой продукт экстрагируют хлороформом и подвергают колоночной хроматографии на силикагеле М60, элюируя хлороформом. Получено твердое вещество темно-зеленого цвета, не растворимое в воде, хорошо растворимое в хлороформе.

[51]

Выход: 0.026 г (49%).

[52]

Найдено, %: С - 57.21, H - 3.05, N - 13.22; C60H36N12O16Zn;

[53]

Вычислено, %: C - 57.82, H - 2.91, N - 13.49.

[54]

Масс-спектр, m/z = 1247 [M+H]+, вычислено - 1246,40 (Фиг. 9).

[55]

ИК спектр, (KBr)/см-1: 1197 (Ar-O-Ar), 1497 (N=O вал.), 1265 (C-O-C вал.).

[56]

ЭСП в хлороформе, λmax, нм: 699 (Фиг. 10)

[57]

Пример 4. Возможность использования тетра-4-[(2-метоксифенокси)-5-нитро]фталоцианинов меди, цинка или кобальта в качестве жирорастворимого красителя для крашения полиметилметакрилата.

[58]

0,1 г полиметилметакрилата в виде гранул растворяют при нагревании в 1 мл хлороформа и добавляют 1 мл хлороформа, в котором растворено 0,002 г тетра-4-[4-(2-метоксифенокси)-5-нитро]фталоцианина меди, цинка или кобальта. Раствор кипятят в течение 3 минут и полученную массу выливают в форму.

[59]

Образцы прилагаются (Фиг. 11).

[60]

Пример 5. Возможность использования тетра-4-[(2-метоксифенокси)-5-нитро]фталоцианинов меди, цинка или кобальта в качестве красителя для волокон.

[61]

0,002 г тетра-4-[4-(2-метоксифенокси)-5-нитро]фталоцианина меди, цинка или кобальта растворяют при нагревании в 5 мл хлороформа, добавляют 25 мг синтетического волокна (полиэфирное волокно) и 4 мг салициловой кислоты. Раствор кипятят в течение 3 минут, окрашенное волокно отжимают и сушат на воздухе.

[62]

Образцы прилагаются (Фиг. 12).

[63]

Пример 6. Возможность использования тетра-4-[(2-метоксифенокси)-5-нитро]фталоцианина цинка в качестве материала, проявляющего люминесцентные свойства.

[64]

Квантовые выходы флуоресценции соединений оценивали путем сравнения со стандартами известных квантовых выходов с использованием уравнения (1). В качестве стандарта использовали фталоцианин цинка[Ogunsipe A., Maree D., Nyokong T. Solvent effects on the photochemical and fluorescence properties of zinc phthalocyanine derivatives //Journal of Molecular Structure. - 2003. - Т. 650. - №. 1-3. - С. 131-140].

[65]

[66]

Где Φ - квантовый выход флуоресценции, S - интегральная площадь под спектром излучения, A - поглощение на длине волны возбуждения, n - показатель преломления растворителя. Индексы x и st относятся к неизвестному и эталонному решениям соответственно.

[67]

Квантовый выход флуоресценции для тетра-4-[(2-метоксифенокси)-5-нитро]фталоцианина цинка составил 31%.

Как компенсировать расходы
на инновационную разработку
Похожие патенты