Использование: изобретение относится к области вычислительной техники и может быть использовано для аппаратного выявления различий в близких по контексту (по содержанию) графических изображениях. Сущность: устройство сравнения цифровых гиперспектральных астрономических изображений содержит блок ввода сигнала, эквивалентного значению глубины цвета - числу бит выделяемых для кодирования одной спектральной составляющей пикселя изображения; блок ввода сигнала, эквивалентного значению количества пикселей по ширине изображения; блок ввода сигнала, эквивалентного значению количества пикселей по высоте изображения; кнопку подачи положительного уровня сигнала (кнопка включения); блок памяти для одной спектральной составляющей первого изображения; блок памяти для одной спектральной составляющей второго изображения; блок ввода удвоенного единичного уровня сигнала; блок умножения - умножителя; два реле с замыкающим контактом; блок питания; триггерный счетчик; два блока вычитания - вычитателей; блок возведения в степень; блок ввода единичного уровня сигнала; блок сравнения - компаратор; блок возведения в квадрат - квадратор; реле с размыкающим контактом; блок сложения - сумматор; два блока деления - делители; блок вычисления квадратного корня; блок десятичного логарифмирования; блок умножения на 20; блок отображения - вывода численной меры схожести изображений и организации связей между ними позволяет вычислить меру пикового отношения уровня яркости пикселя к средневзвешенной попарной разности яркостей всех пикселей сравниваемых изображений. Технический результат: создание устройства вычисления меры пикового отношения уровня яркости пикселя к средневзвешенной попарной разности яркостей всех пикселей сравниваемых изображений, которая позволяет сравнить два гиперспектральных астрономических изображения с использованием количественной меры. Это позволяет получить не субъективную, а объективную оценку схожести. 1 ил., 1 табл.
Устройство сравнения цифровых гиперспектральных астрономических изображений, содержащее блок ввода сигнала, эквивалентного значению глубины цвета; блок ввода сигнала, эквивалентного значению количества пикселей по ширине изображения; блок ввода сигнала, эквивалентного значению количества пикселей по высоте изображения; кнопку подачи положительного уровня сигнала; блок памяти для одной спектральной составляющей первого изображения; блок памяти для одной спектральной составляющей второго изображения; блок ввода удвоенного единичного уровня сигнала; блок умножения - умножителя; два реле с замыкающим контактом; блок питания; триггерный счетчик; два блока вычитания; блок возведения в степень; блок ввода единичного уровня сигнала; блок сравнения; блок возведения в квадрат; реле с размыкающим контактом; блок сложения; два блока деления; блок вычисления квадратного корня; блок десятичного логарифмирования; блок умножения на 20; блок отображения - вывода численной меры схожести изображений, причем: выход 1 блока 1 ввода сигнала, эквивалентного значению глубины цвета, соединён с входом 2 триггерного счетчика 11 и входом 2 блока 13 возведения в степень; выход 1 блока 2 ввода сигнала, эквивалентного значению количества пикселей по ширине изображения, соединён с входом 1 блока 8 умножения; выход 1 блока 3 ввода сигнала, эквивалентного значению количества пикселей по высоте изображения, соединён с входом 2 блока 8 умножения; выход 1 кнопки 4 подачи положительного уровня сигнала, соединён с входом 1 реле с замыкающим контактом 9, входом 1 реле с замыкающим контактом 17 и с входом 1 реле с размыкающим контактом 19; выход 1 блока 5 памяти для одной спектральной составляющей первого изображения, соединён с входом 1 блока 12 вычитания; выход 1 блока 6 памяти для одной спектральной составляющей второго изображения, соединён с входом 2 блока 12 вычитания; выход 1 блока 7 ввода удвоенного единичного уровня сигнала, соединён с входом 1 блока 13 возведения в степень; выход 1 блока 8 умножения, соединён с входом 1 блока 16 сравнения и входом 1 блока 21 деления; выход 1 реле с замыкающим контактом 9, соединён с входом 1 триггерного счетчика 11; выход 1 блока 10 питания, соединён с входом 2 реле с замыкающим контактом 9; выход 1 триггерного счетчика 11, соединён с входом 2 блока 16 сравнения и входом 2 реле с замыкающим контактом 17; выход 1 блока 12 вычитания, соединён с входом 1 блока 18 возведения в квадрат; выход 1 блока 13 возведения в степень, соединён с входом 1 блока 14 вычитания; выход 1 блока 14 вычитания соединён с входом 2 блока 23 деления; выход 1 блока 15 ввода единичного уровня сигнала соединён с входом 2 блока 14 вычитания; выход 1 блока 16 сравнения соединён с входом 1 реле с замыкающим контактом 9, входом 1 реле с замыкающим контактом 17 и входом 1 реле с размыкающим контактом 19; выход 1 реле с замыкающим контактом 17 соединён с входом 1 блока 5 памяти для одной спектральной составляющей первого изображения и входом 1 блока 6 памяти для одной спектральной составляющей второго изображения; выход 1 блока 18 возведения в квадрат соединён с входом 1 блока 20 сложения; выход 1 реле с размыкающим контактом 19 соединён с входом 2 блока 21 деления; выход 1 блока 20 сложения соединён с входом 2 реле с размыкающим контактом 19; выход 1 блока 21 деления соединён с входом 1 блока 22 вычисления квадратного корня; выход 1 блока 22 вычисления квадратного корня соединён с входом 1 блока 23 деления; выход 1 блока 23 деления соединён с входом 1 блока 24 десятичного логарифмирования; выход 1 блока 24 десятичного логарифмирования соединён с входом 1 блока 25 умножения на 20; выход 1 блока 25 умножения на 20 соединён с входом 1 блока 26 отображения численной меры схожести изображений.
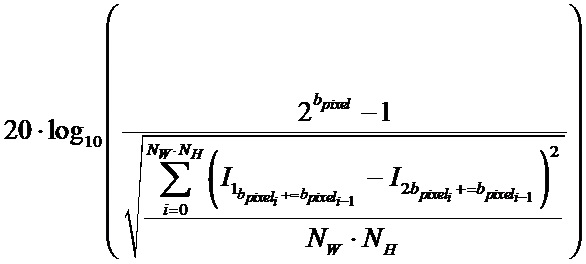
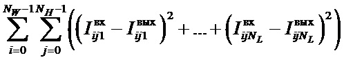
Изобретение относится к области вычислительной техники и может быть использовано для аппаратного выявления различий в близких по контексту (по содержанию) графических изображениях. Основная идея изобретения состоит в создании устройства осуществляющего попиксельно сравнение двух изображений с использованием меры пикового отношения сигнала к шуму [1], реализованное на базе программируемой вентильной матрицы Xilinx серий Kintex-7. Необходимость создания устройства обусловлена повсеместным использованием в технике сравнения изображений для решения широкого круга задач, например, таких как: калибровка оптических измерительных устройств; определение координат движущихся объектов с помощью сравнения радиолокационных карт местности; обнаружение и сопоставление характерных особенностей на паре изображений, с целью выявления общих частей, фрагментов для дальнейшего построения панорамных изображений или реализации трехмерного стереоскопического технического зрения; испытание и оценка работоспособности цифровых гиперспектральных приборов; контроль доступа; распознавание объектов в различных спектральных диапазонах; самонаведение высокоточного оружия и др. Из уровня техники известны способы и устройства аналоги [2 - 7], близкие по предназначению предлагаемого устройства. В большинстве случаем описаны способы сравнения изображений, а не их конкретная аппаратная реализация, при этом в случае аппаратной реализации [6, 7] используется программное сравнение с использованием вычислительных средств или сравнение аналоговых изображений. Такие подходы плохо применимы в современных космических системах из-за высоких требований по надежности и производительности. Известен способ [2] поиска объектов на цифровых изображениях, заключающийся в анализе цифрового представления изображения с целью определения областей расположения объектов. При этом по наличию характерных признаков выявляют области, содержащие объекты, сравнивают с базовым набором типовых изображений объектов и из изображений из базового набора формируют ряд подобия по убыванию степени похожести на предъявленное изображение, который используют в качестве идентификатора для организации процедуры поиска. Недостатком известного способа [2] является трудоемкость, сложность и отсутствие аппаратной реализации сравнения изображений. Известен способ [3] совмещения изображений, заключающийся в том, что для совмещения графической информации и пространственной синхронизации изображений применяется анализ перепадов яркости, полупрозрачное наложение одного изображения на другое. Недостатком данного способа [3] является использование программных алгоритмов. Известен способ [4] сравнения цифровых изображений, заключающийся в том, что получают первое дискретизованное и квантованное изображение сцены, затем получают второе дискретизованное и квантованное изображение той же сцены, после чего поэлементно сравнивают оба изображения и по результатам сравнения получают изображение сравнения, причем каждое из полученных дискретизованных и квантованных изображений преобразуют к многослойной структуре в виде набора слоев бинарных изображений соответственно уровням их квантования, при этом полученные бинарные составляющие одного из изображений инвертируют логической операцией НЕ, а затем оба полученных набора слоев бинарных изображений совмещают в общую структуру, после чего сортируют размещение единиц и нулей по уровням квантования, перемещая в полученном суммарном наборе слоев бинарных изображений значения единиц на нижние уровни, а затем формируют амплитуду сигнала изображения сравнения в соответствии с количеством единиц полученным для каждого элемента этого изображения. Недостатком данного способа [4] является использование программных алгоритмов и отсутствие численной меры, характеризующей схожесть двух изображений в целом. В литературе [5] отмечается, что значительная часть вычислительной мощности процессоров, входящих в системы технического зрения, расходуется на выполнение алгоритмов установления соответствия при обработке последовательностей кадров и стереопар, это делает использование аппаратной реализации процедуры сравнения ещё более востребованной. В части аппаратной реализации известны устройства аналоги [6, 7]. Устройство-аналог [6] формирования эталонной карты местности для навигационных систем, которое содержит память 1, сумматор 2, регистр 3, памяти 4 первой группы, памяти 5 второй группы, блоки 6 сравнения группы, коммутаторы 7 группы, блок 8 элементов ИЛИ, дешифратор 9, элемент 10 задержки, счетчик 11, сумматор 12, элемент И 13, счетчик 14, формирователь 15 оценки коэффициента информативности, блок 16 задержки, память 17, генератор 18 тактовых импульсов, триггер 19, дешифратор 20. Сущность устройства-аналога [6] заключается во введении в систему дополнительного блока оценки информативности, первым входом подключенного к выходу первого ЗУ, а выходом - к второму входу регистра, последовательно соединенных первого вентиля, сигнальным входом подключенного к выходу генератора тактовых импульсов, первого счетчика, первого дешифратора, входом подключенного также к адресному входу канала считывания первого ЗУ, первого блока задержки, входом подключенного также к входам синхронизации сумматора-накопителя и блока оценки информативности, второго счетчика, счетным входом подключенного также к установочному входу регистра, второго дешифратора, входом подключенного также к адресному входу канала записи второго ЗУ, RS-триггера, R-входом подключенного также к обнуляющим входам первого и второго счетчиков, S-входом - к шине "Пуск", а R-выходом - к управляющему входу первого вентиля, во введении N параллельных каналов, каждый из которых содержит последовательно соединенные блок сравнения, первым входом подключенный к выходу регистра, и второй вентиль, выходом подключенный к одному из N входов введенного блока ИЛИ, выход которого подключен к первому входу блока сложения, выход которого подключен к информационному входу второго ЗУ, а также второго блока задержки, входом подключенного к выходу регистра, а выходом - к второму входу блока сложения, N первых блоков памяти, выход каждого из которых подключен к второму входу соответствующего блока сравнения, и N вторых блоков памяти, выход каждого из которых подключен к сигнальному входу соответствующего вентиля. В результате введения в систему указанных блоков и связей оценивают информативность опорных участков местности, сравнивают яркость каждого элемента эталонного радиолокационного изображения (ЭРЛИ) с набором из N значений яркостей, соответствующих разбиению ЭРЛИ на N однородных зон, и присваивают этому элементу код номера однородной зоны, яркость которой совпадает с яркостью указанного элемента. Окончательное формирование ЭРЛИ производят из кодов, содержащих информацию о яркости, информативности и номере однородной зоны опорных участков местности. Устройство-аналог [6] не даёт численного значения меры схожести для всего изображения. Наиболее близким по технической сущности и выбранным в качестве прототипа является устройство [7] ввода и сравнения телевизионных изображений. Устройство-прототип [7] содержит телевизионный датчик 1, аналого-цифровой преобразователь 3, блок 4 управления начальным адресом памяти, блок 6 памяти, адресный блок 7, цифро-аналоговый преобразователь 9, распределитель 10, видеоконтрольный блок 11 и блок 12 управления режимом записи-считывания. Технический результат достигается благодаря введению формирователя 2 видеосигнала, делителя 5 частоты, смесителя 8 и аналогового ключа 13. Для решения поставленной задачи в устройство-прототип [7], содержащее телевизионный датчик, информационный выход которого соединен и информационным входом аналого-цифрового преобразователя, выход которого подключен к информационному входу блока памяти, выход которого соединен с информационным входом цифро-аналогового преобразователя, видеоконтрольный блок, блок управления начальным адресом памяти, выход которого подключен к информационному входу адресного блока, выход которого соединен с адресным входом блока памяти, блок управления режимом записи-считывания блока памяти и к информационному входу распределителя, первый и второй выходы которого соединены с первым и вторым установочными входами адресного блока, синхровыход телевизионного датчика соединен с синхровходами аналого-цифрового преобразователя, распределителя, блока управления режимом запись-считывания, видеоконтрольного блока введены аналоговый ключ, делитель частоты, смеситель и формирователь видеосигнала, выход которого подключен к информационному выходу телевизионного датчика, а выход через делитель частоты соединен с информационным входом аналогового ключа, управляющий вход которого подключен к синхровыходу телевизионного датчика, выходы цифро-аналогового преобразователя и аналогового ключа соединены с первым и вторым входами смесителя, выход которого подключен к информационному входу видеоконтрольного блока. Недостатками устройства-прототипа [7] являются: Использование на входе устройства аналоговых сигналов. Отсутствие логарифмической численной меры, позволяющей оценить схожесть изображений в «разах». Аналоговый принцип сравнения изображений. Устаревшая элементная база. В предлагаемом изобретении устраняются отмеченные недостатки. Цель (технический результат) изобретения – создание устройства вычисления меры пикового отношения уровня яркости пикселя к средневзвешенной попарной разности яркостей всех пикселей сравниваемых изображений, которая позволяет сравнить два гиперспектральных астрономических изображения с использованием количественной меры. Это позволяет получить не субъективную, а объективную оценку схожести. Поставленная цель достигается тем, что данное устройство за счетприменения: блока ввода сигнала эквивалентного значению глубины цвета (числу бит выделяемых для кодирования одной спектральной составляющей пикселя изображения); блока ввода сигнала эквивалентного значению количества пикселей по ширине изображения; блока ввода сигнала эквивалентного значению количества пикселей по высоте изображения; кнопки подачи положительного уровня сигнала (кнопка включения); блока памяти для одной спектральной составляющей первого изображения; блока памяти для одной спектральной составляющей второго изображения; блока ввода удвоенного единичного уровня сигнала; блока умножения (умножителя); двух реле с замыкающим контактом; блока питания; триггерного счетчика; двух блоков вычитания (вычитателей); блока возведения в степень; блока ввода единичного уровня сигнала; блока сравнения (компаратора); блока возведения в квадрат (квадратора); реле с размыкающим контактом; блока сложения (сумматора); двух блоков деления (делителей); блока вычисления квадратного корня; блока десятичного логарифмирования; блока умножения на 20; блока отображения (вывода) численной меры схожести изображений, причем: выход 1 блока 1 ввода сигнала эквивалентного значению глубины цвета, соединён с входом 2 триггерного счетчика 11 и входом 2 блока 13 возведения в степень; выход 1 блока 2 ввода сигнала эквивалентного значению количества пикселей по ширине изображения, соединён с входом 1 блока 8 умножения; выход 1 блока 3 ввода сигнала эквивалентного значению количества пикселей по высоте изображения, соединён с входом 2 блока 8 умножения; выход 1 кнопки 4 подачи положительного уровня сигнала, соединён с входом 1 реле с замыкающим контактом 9, входом 1 реле с замыкающим контактом 17 и с входом 1 реле с размыкающим контактом 19; выход 1 блока 5 памяти для одной спектральной составляющей первого изображения, соединён с входом 1 блока 12 вычитания; выход 1 блока 6 памяти для одной спектральной составляющей второго изображения, соединён с входом 2 блока 12 вычитания; выход 1 блока 7 ввода удвоенного единичного уровня сигнала, соединён с входом 1 блока 13 возведения в степень; выход 1 блока 8 умножения, соединён с входом 1 блока 16 сравнения и входом 1 блока 21 деления; выход 1 реле с замыкающим контактом 9, соединён с входом 1 триггерного счетчика 11; выход 1 блока 10 питания, соединён с входом 2 реле с замыкающим контактом 9; выход 1 триггерного счетчика 11, соединён с входом 2 блока 16 сравнения и входом 2 реле с замыкающим контактом 17; выход 1 блока 12 вычитания, соединён с входом 1 блока 18 возведения в квадрат; выход 1 блока 13 возведения в степень, соединён с входом 1 блока 14 вычитания; выход 1 блока 14 вычитания, соединён с входом 2 блока 23 деления; выход 1 блока 15 ввода единичного уровня сигнала, соединён с входом 2 блока 14 вычитания; выход 1 блока 16 сравнения, соединён с входом 1 реле с замыкающим контактом 9, входом 1 реле с замыкающим контактом 17 и входом 1 реле с размыкающим контактом 19; выход 1 реле с замыкающим контактом 17, соединён с входом 1 блока 5 памяти для одной спектральной составляющей первого изображения и входом 1 блока 6 памяти для одной спектральной составляющей второго изображения; выход 1 блока 18 возведения в квадрат, соединён с входом 1 блока 20 сложения; выход 1 реле с размыкающим контактом 19, соединён с входом 2 блока 21 деления; выход 1 блока 20 сложения, соединён с входом 2 реле с размыкающим контактом 19; выход 1 блока 21 деления, соединён с входом 1 блока 22 вычисления квадратного корня; выход 1 блока 22 вычисления квадратного корня, соединён с входом 1 блока 23 деления; выход 1 блока 23 деления, соединён с входом 1 блока 24 десятичного логарифмирования; выход 1 блока 24 десятичного логарифмирования, соединён с входом 1 блока 25 умножения на 20; выход 1 блока 25 умножения на 20, соединён с входом 1 блока 26 отображения численной меры схожести изображений. Благодаря новой совокупности признаков за счёт дополнительного введения: блока ввода сигнала эквивалентного значению глубины цвета (числу бит выделяемых для кодирования одной спектральной составляющей пикселя изображения); блока ввода сигнала эквивалентного значению количества пикселей по ширине изображения; блока ввода сигнала эквивалентного значению количества пикселей по высоте изображения; блока ввода удвоенного единичного уровня сигнала; блока умножения (умножителя); реле с замыкающим контактом; двух блоков вычитания (вычитателей); блока возведения в степень; блока ввода единичного уровня сигнала; блока сравнения (компаратора); блока возведения в квадрат (квадратора); реле с размыкающим контактом; блока сложения (сумматора); блока деления (делителя); блока вычисления квадратного корня; блока десятичного логарифмирования; блока умножения на 20, и организации связей между ними, производят вычисление меры пикового отношения уровня яркости пикселя к средневзвешенной попарной разности яркостей всех пикселей сравниваемых изображений. Изобретение может найти широкое применение в системах формирования, приёма, обработки и отображения астрономических изображений, в целях определения согласованности работы стереосистем и выхода из строя одной из соседних спектральных составляющих гиперспектрального изображения. Устройство реализует теоретические положения [1], в соответствии с которыми цифровые изображения подвергаются большому количеству разнообразных искажений, которые возникают во время генерации, обработки, сжатия, хранения, передачи и воспроизведения информации. Качество изображения зачастую определяется операторами посредством субъективной оценки. Однако субъективная оценка не может быть использована программно аппаратными комплексами в режиме близком к реальному времени. По этой причине необходимо использовать механизмы объективных качественных оценок, которые могут быть реализованы аппаратно. Объективная качественная оценка изображений выполняет множество функций в обработке изображений: калибровка оптических измерительных устройств; определение координат движущихся объектов с помощью сравнения радиолокационных карт местности; обнаружение и сопоставление характерных особенностей на паре изображений, с целью выявления общих частей, фрагментов для дальнейшего построения панорамных изображений или реализации трехмерного стереоскопического технического зрения; испытание и оценка работоспособности цифровых гиперспектральных приборов; контроль доступа; распознавание объектов в различных спектральных диапазонах; самонаведение высокоточного оружия и др. Существующее многообразие мер и методов сравнения изображений, ставит перед выбором наиболее подходящего математического аппарата. Экспериментальная проверка показала, что наиболее часто применимой для данного класса задач, является мера качества изображения, описанная в [1]. Пиковое отношение сигнала к шуму где Для изображений с цветовой моделью RGB, выражение (1) примет вид: где Наряду с объективной оценкой качества передачи изображений и видео с использованием меры Так как, субъективная оценка качества всегда опирается на впечатление наблюдателя, является дорогостоящей и очень трудоёмкой, то необходимо применение критериев соответствия субъективной Таблица 1 Критерии соответствия оценок Устройство, реализующее указанные теоретические положения, представлено на фиг. 1. Устройство сравнения цифровых гиперспектральных астрономических изображений содержит: блок 1 ввода сигнала эквивалентного значению глубины цвета; блок 2 ввода сигнала эквивалентного значению количества пикселей по ширине изображения; блок 3 ввода сигнала эквивалентного значению количества пикселей по высоте изображения; кнопку подачи положительного уровня сигнала 4; блок 5 памяти для одной спектральной составляющей первого изображения; блок 6 памяти для одной спектральной составляющей второго изображения; блок 7 ввода удвоенного единичного уровня сигнала; блок 8 умножения; реле 9, 17с замыкающим контактом; блок 10 питания; триггерный счетчик 11; блоки 12, 14 вычитания; блок 13 возведения в степень; блок 15 ввода единичного уровня сигнала; блок 16 сравнения; блок 18 возведения в квадрат; реле с размыкающим контактом 19; блок 20 сложения; блоки 21, 23 деления; блок 22 вычисления квадратного корня; блок 24 десятичного логарифмирования; блок 25 умножения на 20; блок 26 отображения численной меры схожести изображений. Функционирование устройства осуществляется следующим образом. В блок 1 вводят сигнал, эквивалентный значению глубины цвета (числу бит выделяемых для кодирования одной спектральной составляющей пикселя изображения) В блок 2 вводят сигнал, эквивалентный значению количества пикселей по ширине изображения В блок 3 вводят сигнал, эквивалентный значению количества пикселей по высоте изображения На выходе кнопки подачи положительного уровня сигнала 4 при нажатии формируют положительный уровень сигнала. В блок 5 вводят битовую матрицу для одного спектра первого изображения В блок 6 вводят битовую матрицу для одного спектра второго изображения В блок 7 вводят сигнал, эквивалентный значению удвоенного единичного уровня сигнала. На вход 1 блока 5 памяти для одной спектральной составляющей первого изображения с выхода 1 реле с замыкающим контактом 17 и на вход 1 блока 6 памяти для одной спектральной составляющей второго изображения с выхода 1 реле с замыкающим контактом 17, подают сигнал, эквивалентный На вход 1 блока 8 умножения с выхода 1 блока 2 ввода сигнала эквивалентного значению количества пикселей по ширине изображения и на вход 2 блока 8 умножения с выхода 1 блока 3 ввода сигнала эквивалентного значению количества пикселей по высоте изображения, подают сигналы эквивалентные В блоке питания 10 формируют питающее напряжения +5В. На вход 1 реле с замыкающим контактом 9 с выхода 1 кнопки подачи положительного уровня сигнала 4 и на вход 2 реле с замыкающим контактом 9 с выхода 1 блока 10 питания, подают сигналы эквивалентные На вход 1 триггерного счетчика 11 с выхода 1 реле с замыкающим контактом 9 и на вход 2 триггерного счетчика 11 с выхода 1 блока 1 ввода сигнала эквивалентного значению глубины цвета, подают сигналы эквивалентные На вход 1 блока 12 вычитания с выхода 1 блока 5 памяти для одной спектральной составляющей первого изображения и на вход 2 блока 12 вычитания с выхода 1 блока 6 памяти для одной спектральной составляющей второго изображения, подают сигналы эквивалентные На вход 1 блока 13 возведения в степень с выхода 1 блока 7 ввода удвоенного единичного уровня сигнала и на вход 2 блока 13 возведения в степень с выхода 1 блока 1 ввода сигнала эквивалентного значению глубины цвета, подают сигналы эквивалентные В блоке 15 формируют сигнал, эквивалентный единичному уровню сигнала. На вход 1 блока 14 вычитания с выхода 1 блока 13 возведения в степень и на вход 2 блока 14 вычитания с выхода 1 блока 15 ввода единичного уровня сигнала, подают сигналы эквивалентные На вход 1 блока 16 сравнения с выхода 1 блока 8 умножения и на вход 2 блока 16 сравнения с выхода 1 триггерного счетчика 11, подают сигналы эквивалентные На вход 1 реле с замыкающим контактом 17 с выхода 1 блока 16 сравнения и на вход 2 реле с замыкающим контактом 17 с выхода 1 триггерного счетчика 11, подают сигналы эквивалентные (0 ИЛИ 1) и На вход 1 блока 18 возведения в квадрат с выхода 1 блока 12 вычитания, подают сигнал, эквивалентный На вход 1 блока 20 сложения с выхода 1 блока 18 возведения в квадрат, подают сигнал, эквивалентный На вход 1 реле с размыкающим контактом 19 с выхода 1 блока 16 сравнения и на вход 2 реле с размыкающим контактом 19 с выхода 1 блока 20 сложения, подают сигналы эквивалентные 1 если На вход 1 блока 21 деления с выхода 1 блока 8 умножения и на вход 2 блока 21 деления с выхода 1 реле с размыкающим контактом 19, подают сигналы эквивалентные На вход 1 блока 22 вычисления квадратного корня с выхода 1 блока 21 деления, подают сигнал, эквивалентный На вход 1 блока 23 деления с выхода 1 блока 22 вычисления квадратного корня и на вход 2 блока 23 деления с выхода 1 блока 14 вычитания, подают сигналы эквивалентные На вход 1 блока 24 десятичного логарифмирования с выхода 1 блока 23 деления, подают сигнал, эквивалентный На вход 1 блока 25 умножения на 20 с выхода 1 блока 24 десятичного логарифмирования, подают сигнал, эквивалентный На вход 1 блока 26 отображения (вывода) численной меры схожести изображений с выхода 1 блока 25 умножения, подают сигнал, эквивалентный Полученный сигнал, эквивалентен мере схожести изображений, определяемой как пиковое отношение максимальной яркости пикселя к средневзвешенной разности уровней яркостей. Таким образом, использование предлагаемого устройства позволит определить численную меру схожести цифровых астрономических изображений и использовать её для выявления неисправностей или ошибок функционирования бинокулярных камер и гиперспектральных камер, а также при поиске избыточности в спектральных каналах и решении задач обнаружения. При этом устраняются недостатки, присутствующие в прототипе [7], а именно: Используют на входе устройства цифровые изображения. Применяют логарифмическую численную меру, позволяющую оценить схожесть изображений в «разах». Используют цифровой принцип сравнения изображений. Используют современную элементную базу. В описании изобретения представлена функциональная схема устройства, которое содержит: блок ввода сигнала эквивалентного значению глубины цвета (числу бит выделяемых для кодирования одной спектральной составляющей пикселя изображения); блок ввода сигнала эквивалентного значению количества пикселей по ширине изображения; блок ввода сигнала эквивалентного значению количества пикселей по высоте изображения; кнопку подачи положительного уровня сигнала; блок памяти для одной спектральной составляющей первого изображения; блок памяти для одной спектральной составляющей второго изображения; блок ввода удвоенного единичного уровня сигнала; блок умножения; два реле с замыкающим контактом; блок питания; триггерный счетчик; два блока вычитания; блок возведения в степень; блок ввода единичного уровня сигнала; блок сравнения; блок возведения в квадрат; реле с размыкающим контактом; блок сложения; два блока деления; блок вычисления квадратного корня; блок десятичного логарифмирования; блок умножения на 20; блок отображения (вывода) численной меры схожести изображений, с организацией связей между ними. Каждый из этих блоков, выполнен конструктивно в составе FPGA (Field-Programmable Gate Array, Программируемая Пользователем Вентильная Матрица, ППВМ). Как известно FPGA – это устройство, изначально содержащее в своём составе множество логических или арифметических блоков с возможностью гибкой коммутации, при этом изменение коммутации в соответствии с фиг. 1 приводит к формированию нового устройства, которое используется для достижения технического результата, который состоит в создании устройства вычисления меры пикового отношения уровня яркости пикселя к средневзвешенной попарной разности яркостей всех пикселей сравниваемых изображений, что позволяет сравнить два гиперспектральных астрономических изображения с использованием количественной меры. Для конструктивного выполнения Устройства сравнения цифровых гиперспектральных астрономических изображений, используется FPGA Xilinx серий Kintex-7. Формирование заявленного устройства осуществляется с использованием среды проектирования Quartus II, где создаётся графическая схема устройства в полном соответствии с фиг. 1. При этом каждый из используемых в устройстве блоков реализуется соответственно делителем, умножителем, вычитателем, сумматором, компаратором, инвертором, реле, логорифматором и т.д. Все входящие в состав заявленного устройства функциональные блоки имеют реализацию в среде Quartus II, в виде элементарных арифметико-логических устройств или их производных, которые размещаются при проектировании на рабочей форме с организацией связей между ними в соответствии с фиг. 1. После прошивки FPGA Kintex-7 получается новое устройство, в котором, каждый из входящих в его состав блоков (фиг. 1) выполнен конструктивно в составе вентильной матрицы. Ввод исходных данных осуществляется посредством передачи сигнала, соответствующего десятичному представлению значения входного параметра, а отображение результата работы устройства производится в десятичном формате на TFT дисплее, подключенном к плате Kintex-7. ИСТОЧНИКИ ИНФОРМАЦИИ Шелухин, О. И. Потоковое видео в системах радиодоступа [Текст] / О. И. Шелухин, А. Н. Руднев ; под ред. профессора О. И. Шелухина. – М.: Горячая линия-Телеком, 2013. – 308 с. Заявка на изобретение №2007130631/09, МПК G06K 9/54, опубл. 10.08.2007 г. Аксенов, О. Ю. Совмещение изображений [Текст] / О. Ю. Аксенов // Цифровая обработка сигналов, №3, 2005 г. RU 2 673 396 С1, 2018. Гришин, В. А. Снижение вычислительных затрат на процесс установления соответствия при обработке последовательностей кадров и стереопар [Текст] / В. А. Гришин // Цифровая обработка сигналов №1, 2010 г. RU 2 022 355 С1, 1994. RU 2 096 922 С1, 1997.
– изображение до передачи (без искажений), в виде множества кортежей
или первое изображение, которые формируют битовую матрицу,
– изображение после передачи (с возможными искажениями) или второе изображение, в виде множества кортежей
, которые формируют битовую матрицу),
– количество пикселей по ширине изображения,
– количество пикселей по высоте изображения,
– количество бит для кодирования одного пикселя слоя изображения. 
– размер изображения,
– значения красной, зеленой и синей составлявших изображения оригинала,
– значения красной, зеленой и синей составлявших восстановленного изображения,
– количество бит для кодирования одного пикселя слоя изображения. В выражениях (1) и (2) числитель ассоциируется как пиковый сигнал (пиковая яркость), получаемый после передачи изображения, а суммарная разность
в знаменателе является шумом или искажением (различием с эталоном).
(1), при обработке изображений операторами может быть применена субъективная оценка с использованием меры
, называемой средним оценочным мнением (MOS – Mean Option Scope).
и объективной
оценок исходя из таблицы 1.
значениям 
, [дБ]
, %Качество по шкале ITU 

5 – прекрасное 

4 – хорошее 

3 – удовлетворительное 

2 – плохое 

1 – очень плохое
.
.
.
.
.
и на выходе 1 блока 5 памяти для одной спектральной составляющей первого изображения и выходе 1 блока 6 памяти для одной спектральной составляющей второго изображения, формируются сигналы эквивалентные соответственно
и
.
и
соответственно, и на выходе 1 блока 8 умножения, формируется сигнал, эквивалентный
.
и
соответственно, и на выходе 1 реле с замыкающим контактом 9, формируется сигнал, эквивалентный
.
и
соответственно, и на выходе 1 триггерного счетчика 11, формируется сигнал, эквивалентный
.
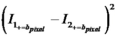
и
соответственно, и на выходе 1 блока 12 вычитания, формируется сигнал, эквивалентный
.
и
соответственно, и на выходе 1 блока 13 возведения в степень, формируется сигнал, эквивалентный
.
и 1 соответственно, и на выходе 1 блока 14 вычитания, формируется сигнал, эквивалентный
.
и
соответственно, и на выходе 1 блока 16 сравнения, формируется сигнал, эквивалентный 1 если
и 0 в противном случае.
соответственно, и на выходе 1 реле с замыкающим контактом 17, формируется сигнал, эквивалентный (0 ИЛИ
).
, и на выходе 1 блока 18 возведения в квадрат, формируется сигнал, эквивалентный
.
, и на выходе 1 блока 20 сложения, формируется сигнал, эквивалентный
.
и 0 в противном случае и
соответственно, и на выходе 1 реле с размыкающим контактом 19, формируется сигнал, эквивалентный 0, если
, или
в противном случае.
и 0 если
или
в противном случае соответственно, и на выходе 1 блока 21 деления, формируется сигнал, эквивалентный 0 если
или
в противном.
, и на выходе 1 блока 22 вычисления квадратного корня, формируется сигнал, эквивалентный
.
и
соответственно, и на выходе 1 блока 23 деления, формируется сигнал, эквивалентный
.
, и на выходе 1 блока 24 десятичного логарифмирования, формируется сигнал, эквивалентный
.
, и на выходе 1 блока 25 умножения на 20, формируется сигнал, эквивалентный
.
и производят его отображение на экране оператора.