Изобретение относится к химическим соединениям и их фармацевтически приемлемыем солям, приведенным в формуле изобретения. Также изобретение относится к способу лечения опухоли, фармацевтической композиции и применению соединений или их фармацевтически приемлемых солей по изобретению для лечения опухоли. Технический результат – соединения в качестве агониста стимулятора генов интерферона (STING), который может применяться в лечении опухолей. 5 н. и 1 з.п. ф-лы, 3 табл., 3 пр.
1. Соединение или его фармацевтически приемлемая соль, выбранное из следующей таблицы: 2. Соединение или его фармацевтически приемлемая соль, выбранное из следующей таблицы: 3. Способ лечения опухоли у пациента, включающий в себя введение пациенту эффективной дозы соединения или его фармацевтически приемлемой соли по п. 1 или 2. 4. Способ по п. 3, где введение включает в себя пероральное или интратуморальное введение, или и то и другое. 5. Фармацевтическая композиция для лечения опухоли, содержащая эффективное количество соединения или его фармацевтически приемлемой соли по п. 1 или 2 и фармацевтически приемлемый носитель. 6. Применение соединения или его фармацевтически приемлемой соли по п. 1 или 2 для лечения опухоли у пациента.1 
55 
2 
56 
3 
57 
4 
58 
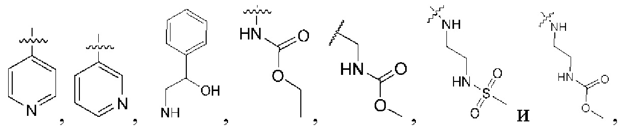
5 
59 
6 
60 
7 
61 
8 
62 
9 
63 
10 
64 
11 
65 
12 
66 
13 
67 
14 
68 
15 
69 
16 
70 
17 
71 
18 
72 
19 
73 
20 
74 
21 
75 
22 
76 
23 
77 
24 
78 
25 
79 
26 
80 
27 
81 
28 
29 
83 
30 
84 
31 
85 
32 
86 
33 
87 
34 
88 
35 
89 
36 
90 
37 
38 
92 
39 
93 
40 
94 
41 
95 
42 
96 
43 
97 
44 
98 
45 
46 
100 
47 
101 
48 
102 
49 
103 
50 
104 
51 
105 
52 
106 
53 
107 
54 
108 
79 
101 
77 
81 
75 
100 
87 
[0001] По данной заявке испрашивается приоритет в соответствии с предварительной заявкой на выдачу патента США №62/889,669, поданной 21 августа 2019 года. Предшествующий уровень техники настоящего изобретения [0002] Сигнальный путь cGAS-STING играет ключевую роль во врожденном иммунном ответе, который формируется клетками млекопитающего-хозяина для элиминации разнообразных ДНК- и РНК-вирусов. STING (стимулятор генов интерферона) представляет собой резидентный сигнальный белок эндоплазматического ретикулума (ER), частично локализованный на митохондриально-ассоциированных мембранах, который широко экспрессируется как в иммунных, так и в неиммунных типах клеток. В ответ на циклические динуклеотиды (CDN), включая 2'-3' цГАМФ, продуцируемый в ответ на цитозольную ДНК посредством циклической ГМФ-АМФ-синтазы (cGAS), STING перемещается в перинуклеарную область, где он быстро индуцирует продукцию интерферона I типа (IFN) и провоспалительного цитокина TBK1-IRF3-зависимым образом. Также было обнаружено, что STING связывается непосредственно с цитозольной ДНК, хотя физиологическая значимость непосредственного обнаружения ДНК пока полностью не охарактеризована. [0003] В недавней работе продемонстрировано, что STING играет ключевые роли в иммунных ответах на опухолевые клетки. Инициированный опухолью эффективный прайминг Т-клеток в границах микроокружения опухоли требует продукции интерферона-бета (IFN-β) резидентными дендритными клетками, и было продемонстрировано, что экспрессия IFN-β зависит от активации пути STING (1). Действительно, было продемонстрировано, что интратуморальная доставка агонистов STING на основе нуклеотидов индуцирует выраженную регрессию развившихся опухолей в моделях на сингенных мышах (1). Кроме того, было продемонстрировано, что активация пути STING вносит существенный вклад в противоопухолевый эффект облучения посредством IFN-β-опосредованного иммунного ответа в облученном микроокружении опухоли. Краткое изложение сущности изобретения [0004] Согласно различным вариантам осуществления, настоящее раскрытие относится к агонисту стимулятора генов интерферона (STING), которые могут применяться в лечении опухолей. [0005] Согласно различным вариантам осуществления, настоящее раскрытие относится к соединению формулы (IA) или формулы (II), или его фармацевтически приемлемой соли где X=S, -N=C(R1)- или -C(R1)=C(R1). [0006] Каждый R1 независимо представляет собой Н, F, Cl, C1-С6-алкил, этенил или этинил (каждый из которых может быть замещенным), циано, алкоксил или галогеналкил. [0007] R2 выбран из группы, состоящей из -C(O)OR, -С(O)NH(С1-С6-алкил) (где алкил является необязательно замещенным), необязательно замещенного С3-С6-циклоалкенила и 3-10-членного гетероциклила. [0008] R выбран из группы, состоящей из Н, алкила, необязательно замещенного - ((С1-С6-алкил)ОС(O)ОС1-С6-алкил) или 3-10-членным гетероциклилом, и бензила, где бензил может быть незамещенным или замещенным метоксилом или изостером кислоты или сложного эфира. [0009] Кольцо А представляет собой 5- или 6-членный гетероарил, содержащий 1, 2 или 3 атома N, незамещенный или замещенный 1, 2 или 3 группами, независимо выбранными из группы, состоящей из NH2, NH-бензила, незамещенного или замещенного метоксилом, циано, алкилнитрилом, галогеналкилом, гидроксиметилом, аминометилом, аминопропилом, карбоксамидо, алкокси, [0010] Согласно различным вариантам осуществления, соединение формулы (IA) представляет собой соединение формулы (I): где X представляет собой S, -N=C(R1)- или -C(R1)=C(R1)-; каждый R1 независимо представляет собой Н, F, Cl, этенил или этинил (каждый из которых может быть замещенным), циано, алкоксил или галогеналкил; и R представляет собой Н, алкил или бензил, где бензил может быть незамещенным или замещенным метоксилом или изостером кислоты или сложного эфира, таким как 1,2,3,4-триазол. [0011] Согласно некоторым вариантам осуществления, необязательно в комбинации с любым другим описанным в настоящем документе вариантом осуществления, кольцо А включает в себя любой из пиридазинила, триазолила, пиримидинила или пиридинила, каждый из которых может быть незамещенным или замещенным. [0012] Более конкретно, согласно иллюстративным вариантам осуществления, соединение согласно настоящему раскрытию включает в себя любое из конкретных соединений, представленных ниже в Таблице 1. [0013] Кроме того, согласно варианту осуществления, настоящее раскрытие относится к способу стимулирования экспрессии генов интерферона, включающему в себя введение пациенту эффективной дозы агониста стимулятора генов интерферона (STING), содержащего описанное в настоящем документе соединение, и к способу лечения опухоли у пациента, включающему в себя введение пациенту эффективной дозы агониста стимулятора генов интерферона (STING), содержащего описанное в настоящем документе соединение. [0014] Дополнительно, способ согласно настоящему раскрытию может быть осуществлен с использованием эффективной дозы любого из конкретных соединений, раскрытых в настоящей заявке (см., например, Таблицу 1). [0015] Согласно различным вариантам осуществления, способ лечения опухоли может дополнительно включать в себя введение эффективной дозы соединения, раскрытого в настоящем документе, посредством перорального или интратуморального введения, или и того и другого. [0016] Согласно различным вариантам осуществления, способ лечения опухоли может дополнительно включать в себя введение эффективной дозы соединения, раскрытого в настоящем документе, причем введение включает в себя введение соединения пациенту в виде конъюгата антитело-лекарство или в липосомальной лекарственной форме. [0017] Согласно различным вариантам осуществления, способ лечения опухоли может дополнительно включать в себя введение эффективной дозы соединения, раскрытого в настоящем документе, дополнительно включая в себя введение эффективной дозы лекарственного средства, нацеленного на контрольную точку иммунного ответа. Например, лекарственное средство, нацеленное на контрольную точку иммунного ответа, может представлять собой анти-PD-L1 антитело, анти-PD-1 антитело, анти-CTLA-4 антитело или анти-4-1ВВ антитело. [0018] Согласно различным вариантам осуществления, способ лечения опухоли может дополнительно включать в себя введение эффективной дозы соединения, раскрытого в настоящем документе, дополнительно включая в себя применение ионизирующего облучения или введение противораковых лекарственных средств. Подробное раскрытие настоящего изобретения [0019] Существует значительный интерес к разработке агонистов пути STING для различных иммуноонкологических применений. Что особенно важно, агонисты пути STING обладают значительным потенциалом применения в качестве части комбинированных видов терапии с использованием лекарственных средств, нацеленных на контрольную точку иммунного ответа, у пациентов, у которых отсутствует ответ на блокаду контрольной точки в отдельности. [0020] Авторы разработали надежную платформу для определения отличных от нуклеотидов низкомолекулярных агонистов STING Платформа была разработана с использованием первичного метода анализа с использованием линии клеток человека ТНР-1, несущую IRF-индуцируемый репортер с 5 копиями элемента, отвечающего на передачу сигнала IFN. Промежуточные скрининговые исследования, включая альтернативные репортерные конструкты, методы анализа на клетках грызунов, а также клеточные линии, нокаутные по cGAS и STING, использовали для устранения артефактов люциферазы и для подтверждения межвидовой перекрестной реактивности у людей и грызунов, а также селективности сигнального пути. Биохимические методы анализа, включая методы анализа ферментативной активности cGAS и связывания белка STFNG, использовали для определения специфических мишеней выявленных соединений. [0021] Термин «проведение лечения» или «лечение» в контексте настоящего документа относится к облегчению симптомов, ассоциированных с нарушением или заболеванием, или к ингибированию дальнейшего прогрессирования или ухудшения таких симптомов, или к предупреждению или профилактике заболевания или нарушения, или к излечению заболевания или нарушения. По аналогии, в контексте настоящего документа «эффективное количество» или «терапевтически эффективное количество» соединения согласно настоящему раскрытию относится к количеству соединения, которое полностью или частично облегчает симптомы, ассоциированные с заболеванием или состоянием, или останавливает или замедляет дальнейшее прогрессирование или ухудшение таких симптомов, или предупреждает или обеспечивает профилактику заболевания или состояния. В частности, термин «терапевтически эффективное количество» относится к количеству, которое при необходимых дозировках и продолжительности эффективно для достижения требуемого терапевтического результата. Терапевтически эффективное количество также представляет собой количество, при котором благоприятные терапевтические эффекты превосходят любые токсичные или неблагоприятные эффекты соединений согласно настоящему раскрытию. [0022] Выражение «эффективное количество», используемое для описания терапии для страдающего от заболевания индивидуума, относится к количеству или концентрации соединения согласно настоящему раскрытию, которая эффективна для ингибирования или иного воздействия на STING в тканях индивидуума, при котором STING вовлечен в нарушение, причем такое ингибирование или иное воздействие происходит в объеме, достаточном для получения благоприятного терапевтического эффекта. [0023] Как правило, начально вводимое терапевтически эффективное количество соединения, описанного в настоящем документе, или его соли, находится в диапазоне приблизительно от 0,01 приблизительно до 200 мг/кг, или приблизительно от 0,1 приблизительно до 20 мг/кг, массы тела пациента в сутки, с обычным начальным диапазоном, составляющим приблизительно от 0,3 приблизительно до 15 мг/кг/сутки. Пероральные стандартные лекарственные формы, такие как таблетки и капсулы, могут содержать приблизительно от 0,1 мг приблизительно до 1000 мг соединения или его фармацевтически приемлемой формы. Согласно другому варианту осуществления, такие лекарственные формы содержат приблизительно от 50 мг приблизительно до 500 мг соединения или его фармацевтически приемлемой формы. Согласно еще одному варианту осуществления, такие лекарственные формы содержат приблизительно от 25 мг приблизительно до 200 мг соединения или его фармацевтически приемлемой формы. Согласно еще одному другому варианту осуществления, такие лекарственные формы содержат приблизительно от 10 мг приблизительно до 100 мг соединения или его фармацевтически приемлемой формы. Согласно дополнительному варианту осуществления, такие лекарственные формы содержат приблизительно от 5 мг приблизительно до 50 мг соединения или его фармацевтически приемлемой формы. Согласно любому их представленных выше вариантов осуществления, лекарственная форма может вводиться один раз в сутки или два раза в сутки. [0024] Термин «фармацевтически приемлемые соли» относится к нетоксичным солям добавления органических или неорганических кислот и/или оснований (см., например, документ Lit, et al., Salt Selection for Basic Drugs (1986), Int J. Pharm., 33, 201-217, включенный в настоящий документ посредством ссылки). Характерные фармацевтически приемлемые соли включают в себя, например, соли щелочных металлов, соли щелочноземельных металлов, соли аммония, растворимые в воде и нерастворимые в воде соли, такие как ацетаты, амсонаты (4,4-диаминостильбен-2,2-дисульфонат), бензолсульфонаты, бензонаты, бикарбонаты, бисульфаты, битартраты, бораты, бромид, бутираты, соли кальция, кальцийэдетаты, камзилаты, карбонаты, хлориды, цитраты, клавулариаты, дигидрохлориды, эдетаты, эдизилаты, эстоляты, эзилаты, fiunarate, глуцептаты, глюконаты, глутаматы, гликоллиларсанилаты, гексафторфосфаты, гексилрезорцинаты, гидрабамины, гидробромиды, гидрохлориды, гидроксинафтоаты, йодиды, изотионаты, лактаты, лактобионаты, лаураты, малаты, малеаты, манделаты, мезилаты, метилбромиды, метилнитраты, метилсульфаты, мукаты, напзилаты, нитраты, соли N-метилглюкамин-аммония, 3-гидрокси-2-нафтоаты, олеаты, оксалаты, пальмитаты, памоаты (1,1-метен-бис-2-гидрокси-3-нафтоаты, эйнбонаты), пантотенаты, фосфаты/дифосфаты, пикраты, полигалактуронаты, пропионаты, пара-толуолсульфонаты, салицилаты, стеараты, субацетаты, сукцинаты, сульфаты, сульфосалицилаты, сураматы, таннаты, тартраты, теоклаты, тозилаты, триэтиодиды и валераты. Фармацевтически приемлемая соль может содержать более одного заряженного атома в своей структуре. В этом случае фармацевтически приемлемая соль может содержать множество противоионов. Таким образом, фармацевтически приемлемая соль может содержать один или несколько заряженных атомов и/или один или несколько противоионов. [0025] Используются стандартные сокращения для химических групп, такие как хорошо известные из уровня техники; например, Me = метил, Et = этил, i-Pr = изопропил, Bu = бутил, t-Bu = трет-бутил, Ph = фенил, Bn = бензил, Ас = ацетил, Bz = бензоил, и т.п. [0026] Термин «алкил» относится к неразветвленному или разветвленному углеводородный радикал, содержащий от 1 приблизительно до 20 атомов углерода. Например, алкил может содержать от 1 до 10 атомов углерода или от 1 до 6 атомов углерода. Иллюстративный алкил включает в себя неразветвленные алкильные группы, такие как метил, этил, пропил, бутил, пентил, гексил, гептил, октил, нонил, децил, ундецил, додецил, и т.п., и также включает в себя разветвленные изомеры неразветвленных алкильных групп, например без ограничения -СН(СН3)2, -CH(СН3)(СН2СН3), -СН(СН2СН3)2, -С(СН3)3, -С(СН2СН3)3, -СН2СН(СН3)2, -CH2CH(СН3)(СН2СН3), -СН2СН(СН2СН3)2, -СН2С(СН3)3, -СН2С(СН2СН3)3, -СН(СН3)СН(СН3)(СН2СН3), -СН2СН2СН(СН3)2, -СН2СН2СН(СН3)(СН2СН3), -СН2СН2СН(СН2СН3)2, -СН2СН2С(СН3)3, -СН2СН2С(СН2СН3)3, -СН(СН3)СН2СН(СН3)2, -СН(СН3)СН(СН3)СН(СН3)2, и т.п.. Таким образом, алкильные группы включают в себя первичные алкильные группы, вторичные алкильные группы и третичные алкильные группы. Алкильная группа может быть незамещенной или необязательно замещена одним или несколькими заместителями, описанными в настоящем документе. [0027] Термин «алкокси» или «алкоксил» относится к -О-алкильной группе, содержащей указанной число атомов углерода. Например, (С1-С6)-алкоксигруппа включает в себя -О-метил, -О-этил, -О-пропил, -О-изопропил, -О-бутил, -О-втор-бутил, -О-трет-бутил, -О-пентил, -О-изопентил, -О-неопентил, -О-гексил, -О-изогексил и -О-неогексил. [0028] Если не указано иное, то термины «галоген-» или «галоген» или «галоид», самостоятельно или как часть другого заместителя, означаю атом фтора, хлора, брома или йода, предпочтительно, фтор, хлор или бром. [0029] «Галогеналкильная» группа включает в себя моногалогеналкильные группы, полигалогеналкильные группы, где все атомы галогенов могут быть одинаковыми или разными, и пергалогеналкильные группы, где все атомы водорода заменены одинаковыми или различающимися атомами галогена, такими как атомы фтора и/или хлора. Примеры галогеналкила включают в себя трифторметил, 1,1-дихлорэтил, 1,2-дихлорэтил, 1,3-дибром-3,3-дифторпропил, перфторбутил, и т.п. [0030] Арильные группы представляют собой циклические ароматические углеводороды, которые не содержат гетероатомов в кольце. Как хорошо известно из уровня техники, ароматическое соединение представляет собой множественно ненасыщенную кольцевую систему, которая содержит 4n+2π электронов, где n равен целому числу. Таким образом, арильные группы включают в себя без ограничения фенильные, азуленильные, гепталенильные, бифенильные, индаценильные, флуоренильные, фенантренильные, трифениленильные, пиренильные, нафтаценильные, хризенильные, бифениленильные, антраценильные и нафтильные группы. Согласно некоторым вариантам осуществления, арильные группы содержат приблизительно от 6 приблизительно до 14 атомов углерода в кольцевых частях групп.Арильные группы могут быть незамещенными или замещенными, как определено выше. Характерные замещенные арильные группы могут быть монозамещенными или могут быть замещены более одного раза, как то без ограничения 2-, 3-, 4-, 5- или 6-замещенные фенильные или 2-8-замещенные нафтильные группы, которые могут быть замещены углеродными или отличными от углеродных группами, таким как группы, перечисленные выше. [0031] Гетероциклильные группы или термин «гетероциклил» включают в себя ароматические и неароматические кольцевые соединения, содержащие 3 или более кольцевых атома, из которых один или несколько кольцевых атомов представляют собой гетероатом, такой как без ограничения N, О и S. Таким образом, гетероциклил может представлять собой циклогетероалкил или гетероарил, или любую их комбинацию в том случае, если он является полициклическим. Согласно некоторым вариантам осуществления, гетероциклильные группы содержат от 3 приблизительно до 20 кольцевых атомов, тогда как другие подобные группы содержат от 3 приблизительно до 15 кольцевых атомов. Гетероциклильная группа, обозначаемая как С2-гетероциклил, может представлять собой 5-кольцо с 2 атомами углерода и тремя гетероатомами, 6-кольцо с 2 атомами углерода и четырьмя гетероатомами, и т.п. По аналогии, С4-гетероциклил может представлять собой 5-кольцо с одним гетероатомом, 6-кольцо с двумя гетероатомами, и т.п. Число атомов углерода и число гетероатомом в сумме равны общему числу кольцевых атомов. Размер колец также может выражаться общим числом атомов в кольце, например, 3-10-членная гетероциклильная группа, содержащая как углеродные, так и отличные от углеродных кольцевые атомы. Гетероциклильное кольцо может также содержать одну или несколько двойных связей. Гетероарильное кольцо представляет собой вариант осуществления гетероциклильной группы. Термин «гетероциклильная группа» включает в себя группы из конденсированных колец, включая группы, содержащие конденсированные ароматические неароматические группы. Например, диоксаланильная кольцевая система и бенздиоксаланильная кольцевая система (метилендиоксифенильная кольцевая система) обе являются гетероциклильными группами в рамках представленного в настоящем документе значения. Указанный термин также включает в себя полициклические, например, бициклические или трициклические кольцевые системы, содержащие один или несколько гетероатомов, такие как без ограничения хинуклидинил. Гетероциклильные группы могут быть незамещенными или могут быть замещенными. [0032] Гетероарильные группы представляют собой гетероциклические ароматические циклические соединения, содержащие 5 или более кольцевых атомов, из которых один или несколько атомов представляют собой гетероатом, такой как без ограничения N, О и S; например, гетероарильные кольца могут содержать от 5 приблизительно до 8-12 кольцевых атомов. Гетероарильная группа представляет собой целый ряд гетероциклильных групп, которые обладают ароматической электронной структурой, которая представляет собой множественно замещенную циклическую систему, которая содержит 4n+2π; электронов, где n равен целому числу. Гетероарильная группа, обозначаемая как С2-гетероарил, может представлять собой 5-кольцо (т.е. 5-членное кольцо) с 2 атомами углерода и тремя гетероатомами, 6-кольцо (т.е. 6-членное кольцо) с 2 атомами углерода и четырьмя гетероатомами, и т.п. По аналогии, С4-гетероарил может представлять собой 5-кольцо с одним гетероатомом, 6-кольцо с двумя гетероатомами, и т.п. Число атомов углерода и число гетероатомом в сумме равны общему числу кольцевых атомов. Подразумевается, что гетероарил включает в себя окисленные атомы S или N, такие как сульфинил, сульфонил и N-оксид третичного кольцевого атома азота. Атом углерода или гетероатом представляют собой точку присоединения гетероарильной кольцевой структуры, вследствие чего получается стабильное соединение. Примеры гетероарильных групп включают в себя без ограничения пиридинил, пиридазинил, пиразинил, хинаоксалинил, индолизинил, бензо[b]тиенил, хиназолинил, пуринил, индолил, хинолинил, пиримидинил, пирролил, пиразолил, оксазолил, тиазолил, тиенил, изоксазолил, оксатиадиазолил, изотиазолил, тетразолил, имидазолил, триазолил, фуранил, бензофурил и индолил. Гетероарильная группа может быть незамещенной или может быть замещенной одним или несколькими заместителями, описанными в настоящем документе. [0033] Примеры гетероарильных кольцевых систем, описанных в настоящем документе, включают в себя структурную единицу формулы: и имидазолил-пиридазин, который также может быть изображен как: [0034] По аналогии, другие арильные (например, фенил) и гетероарильные (например, пир ид ил) кольцевые системы, описанные в настоящем документе, могут быть изображены либо с четко обозначенными двойными связями, либо с «циклической» номенклатурой арилов, но значения являются одними и теми же. [0035] Циклоалкильные группы представляют собой группы, содержащие одно или несколько карбоциклических колец, включая без ограничения циклопропильную, циклобутильную, циклопентильную, циклогексильную, циклогептильную и циклооктильную группы. Согласно некоторым вариантам осуществления, циклоалкильная группа может содержать от 3 приблизительно до 8-12 кольцевых атомов, тогда как согласно другим вариантам осуществления число кольцевых атомов углерода варьирует от 3 до 4, 5, 6 или 7. Циклоалкильные группы дополнительно включают в себя полициклические циклоалкильные группы, такие как без ограничения норборнильная, адамантильная, борнильная, камфенильная, изокамфенильная и каренильная группы, и конденсированные кольца, такие как без исключения декалинил, и т.п. Циклоалкильные группы также включают в себя кольца, которые замещены неразветвленными и разветвленными алкильными группами, определенными выше. [0036] Циклоалкенильные группы включают в себя собой циклоалкильные группы, содержащие по меньшей мере одну двойную связь между 2 атомами углерода. Таким образом, например, Циклоалкенильные группы включают в себя без ограничения циклогексенильную, циклопентенильную и циклогексадиенильную группы. Циклоалкенильные группы могут содержать от 3 приблизительно до 8-12 кольцевых атомов, тогда как согласно другим вариантам осуществления число кольцевых атомов углерода варьирует от 3 до 5, 6 или 7. Циклоалкильные группы дополнительно включают в себя полициклические циклоалкильные группы, такие как без ограничения норборнильная, адамантильная, борнильная, камфенильная, изокамфенильная и каренильная группы, и конденсированные кольца, такие как без исключения декалинил, и т.п., при условии, что они содержат по меньшей мере одну двойную связь в составе кольца. Циклоалкенильные группы также включают в себя кольца, которые замещены неразветвленными и разветвленными алкильными группами, определенными выше. [0037] Один или несколько дополнительных заместителей на любой группе, описанной в настоящем документе, независимо выбраны из группы, состоящей из RA, ORA, галогена, -N=N-RA, NRARB, -(С1-С6-алкил)NRARB, -C(O)ORA, -C(O)NRARB, -OC(O)RA и -CN. RA и RB независимо выбраны из группы, состоящей из Н, -CN, -гидрокси, оксо, C1-С6-алкила, C1-С6-алкокси, С2-С6-алкенила, С2-С6-алкилнила, NH2, -S(O)0-2-(С1-С6-алкил), -S(O)0-2-(С6-С10-арил), -С(O)(С1-С6-алкил), -С(O)(С3-С14-карбоциклил), -С3-С14-карбоциклила, -(С1-С6-алкил)(С3-С14-карбоциклил), С6-С10-арила, 3-14-членного гетероциклоалкила и -(С1-С6-алкил)-(3-14-членный гетероциклоалкил) (где 1-4 атомов гетероциклоалкила независимо выбраны из N, О и S), и 5-10-членного гетероарила (где 1-4 атома гетероарила независимо выбраны из N, О и S). Каждый алкильный, алкокси, алкенильный, алкинильный, арильный, карбоциклильный, гетероциклоалкильный и гетероарильный фрагмент RA и RB необязательно замещен одним или несколькими заместителями, выбранными из группы, состоящей из гидрокси, галогена, -NR'2 (где каждый R' независимо выбран из группы, состоящей из C1-С6-алкила, С2-С6-алкенила, С2-С6-алкинила, С6-С10-арила, 3-14-членного гетероциклоалкила и -(С1-С6-алкил)-(3-14-членный гетероциклоалкил) (где 1-4 атомов кольца независимо выбраны из N, О и S), и 5-10-членного гетероарила (где 1-4 атомов гетероарила независимо выбраны из N, О и S), -NHC(O)(ОС1-С6-алкил), -NO2, -CN, оксо, -С(O)ОН, -С(O)O(С1-С6-алкил), -С1-С6-алкил(С1-С6-алкокси), -C(O)NH2, C1-С6-алкил, -С(O)С1-С6-алкила, -OC1-С6-алкила, -Si(C1-C6-алкил)3, -S(O)0-2-(С1-С6-алкил), С6-С10-арила, -(С1-С6-алкил)(С6-С10-арил), 3-14-членного гетероциклоалкила и -(С1-С6-алкил)-(3-14-членный гетероцикл) (где 1-4 атомов гетероцикла независимо выбраны из N, О и S), и -О(С6-С14-арил). Каждый алкил, алкенил, арил и гетероциклоалкил, описанный выше, необязательно замещены одним или несколькими заместителями, выбранными из группы, состоящей из гидрокси, -OC1-С6-алкила, галогена, -NH2, -(С1-С6-алкил)NH2, -С(O)ОН, CN и оксо. [0038] Соединения, описанные в настоящем документе, могут существовать в различных изомерных формах, включая конфигурационные, геометрические и конформационные изомеры, включая например цис- или транс-конформации. Указанные соединения могут также существовать в одной или нескольких таутомерных формах, включая как отдельные таутомеры, так и смеси таутомеров. Подразумевается, что термин «изомер» охватывает все изомерные формы соединения согласно настоящему раскрытию, включая таутомерные формы указанного соединения. Соединения согласно настоящему раскрытию могут существовать в открытой и циклизованной формах. В некоторых случаях, одна или несколько циклизованных форм могут являться результатом потери води. Конкретная композиция открытой и циклизованной форм может зависеть от того, как соединение выделялось, хранилось и вводилось. Например, соединение может существовать преимущественно в открытой форме в кислых условиях, но циклизоваться в нейтральных условиях. Все формы включены в настоящее раскрытие. [0039] Заместитель -СО2Н может быть заменен биоизостерными заменами, такими как: и т.п., где R имеет то же определение, что и определенный в настоящем документе (см., например, THE PRACTICE OF MEDICINAL CHEMISTRY (Academic Press: New York, 1996), стр. 203). [0040] Некоторые соединения, описанные в настоящем документе, могут содержать асимметрические центры, а потому существовать в различных энантиомерных и диастереоизомерных формах. Описанное в настоящем документе соединение может находиться в форме оптического изомера или диастереоизомера. Соответственно, настоящее раскрытие охватывает соединения и их применения, описанные в настоящем документе, в форме их оптических изомеров, диастереоизомеров и их смесей, включая рацемическую смесь. Оптические изомеры соединений согласно настоящему раскрытию могут быть получены известными методиками, такими как асимметрический синтез, хиральная хроматография, технология псевдодвижущегося слоя, или посредством химического разделения стереоизомеров путем использования оптически активных расщепляющих агентов. [0041] Если не указано иное, то термин «стереоизомер» означает один стереоизомер соединения, который по существу свободен от других стереоизомеров этого соединения. Таким образом, стереоизомерно чистое соединение, содержащее один хиральный центр, будет по существу свободно от противоположного энантиомера этого соединения. Стереоизомерно чистое соединение, содержащее два хиральных центра, будет по существу свободно от других диастереоизомеров этого соединения. Типичное стереоизомерно чистое соединение содержит более чем приблизительно 80 масс.% одного стереоизомер а соединения и менее чем приблизительно 20 масс.% других стереоизомеров соединения, например, более чем приблизительно 90 масс.% одного стереоизомер а соединения и менее чем приблизительно 10 масс.% других стереоизомеров соединения, или более чем приблизительно 95 масс.% одного стереоизомера соединения и менее чем приблизительно 5 масс.% других стереоизомеров соединения, или более чем приблизительно 97 масс.% одного стереоизомера соединения и менее чем приблизительно 3 масс.% других стереоизомеров соединения, или более чем приблизительно 99 масс.% одного стереоизомера соединения и менее чем приблизительно 1 масс.% других стереоизомеров соединения. Описанный выше стереоизомер может рассматриваться как композиция, содержащая два стереоизомера, которые присутствуют в соответствующих массовых долях, описанных в настоящем документе. [0042] Если между изображенной структурой и названием, присвоенным данной структуре, существует расхождение, то изображенная структура имеет преимущественную силу. В дополнение, если стереохимия структуры или части структуры не указана, например, жирными или пунктирными линиями, то структуру или часть структуры следует интерпретировать как охватывающую все ее стереоизомеры. Тем не менее в некоторых случаях, когда существует более одного хирального центра, структуры и названия могут быть представлены как отдельные энантиомеры для помощи в описании относительной стереохимии. Специалистам в области органического синтеза будет известно, если соединения получаются в виде отдельных энантиомеров с применением способов, использованных для их получения. [0043] Если обратное не указано особо, то в контексте настоящего документа термин «соединение» является охватывающим в том смысле, что он охватывает соединение или его фармацевтически приемлемую соль, стереоизомер и/или таутомер. Так, например, соединение формулы (I), формулы (IA) или формулы (II) включает в себя фармацевтически приемлемую соль таутомера указанного соединения. [0044] Соединения [0045] Согласно различным вариантам осуществления, настоящее раскрытие относится к соединению формулы (IA) или формулы (II), или его фармацевтически приемлемой соли: [0046] В формуле (IA) X представляет собой S, -N=C(R1)- или -C(R1)=C(R1)-. [0047] Согласно некоторым вариантам осуществления, соединение представляет собой соединение формулы (IA). Согласно другим вариантам осуществления, соединение представляет собой соединение формулы (II). [0048] Согласно различным вариантам осуществления, необязательно в комбинации с любым другим описанным в настоящем документе вариантом осуществления, настоящее раскрытие относится к соединению формулы (IA), которое представляет собой соединение формулы (I) или его фармацевтически приемлемую соль: [0049] X представляет собой S, -N=C(R1)- или -C(R1)=C(R1)-. Каждый R1 независимо представляет собой Н, F, Cl, C1-С6-алкил, этенил или этинил (каждый из которых может быть замещенным), циано, алкоксил или галогеналкил. [0050] R2 выбран из группы, состоящей из -C(O)OR, -С(O)NH(С1-С6-алкил) (где алкил является необязательно замещенным), необязательно замещенного С3-С6-циклоалкенила и 3-10-членного гетероциклила. Например, согласно некоторым вариантам осуществления, необязательно в комбинации с любым другим описанным в настоящем документе вариантом осуществления, R2 представляет собой -C(O)OR. [0051] R выбран из группы, состоящей из Н, алкила, необязательно замещенного -((C1-С6-алкил)ОС(O)ОС1-С6-алкил) или 3-10-членным гетероциклилом, и бензила, где бензил может быть незамещенным или замещенным метоксилом или изостером кислоты или сложного эфира. Согласно различным вариантам осуществления, R представляет собой Н, алкил или бензил, где бензил может быть незамещенным или замещенным метоксилом или изостером кислоты или сложного эфира. [0052] Кольцо А представляет собой 5- или 6-членный гетероарил, содержащий 1, 2 или 3 атома N, незамещенный или замещенный 1, 2 или 3 группами, независимо выбранными из группы, состоящей из NH2, NH-бензила (где бензил является незамещенным или замещенным метоксилом, циано, алкилнитрилом, галогеналкилом, гидроксиметилом, аминометилом, аминопропилом, карбоксамидо или алкокси), [0053] Согласно различным вариантам осуществления, кольцо А включает в себя один из пиридазинила, триазолила, пиримидинила и пиридинила, каждый из которых может быть незамещенным или замещенным, как описано в настоящем документе. [0054] Согласно дополнительным вариантам осуществления, настоящее раскрытие относится к конкретным примерам соединений и их фармацевтически приемлемым солям, представленным ниже в Таблице 1. Соединения представлены с указанием бальной оценки активности, отчасти полученной на основании данных анализа активации ISG-LUC, описанного в настоящем документе, и физико-химических данных охарактеризации. [0055] [0056] Документы по теме: [1] Corrales L, Glickman LH, McWhirter SM, Kanne DB, Sivick KE, Katibah GE, Woo SR, Lemmens E, Banda T, Leong JJ, Metchette K, Dubensky TW Jr, Gajewski TF. (2015) Direct Activation of STING in the Tumor Microenvironment Leads to Potent and Systemic Tumor Regression and Immunity. Cell Rep. 11: 1018-30. [2] Deng, L. et al. (2014) STING-Dependent Cytosolic DNA Sensing Promotes Radiation-Induced Type I Interferon-Dependent Antitumor Immunity in Immunogenic Tumors, Immunity. 41: 843. [3] Corrales L, Matson V, Flood B, Spranger S, Gajewski TF. (2017) Innate immune signaling and regulation in cancer immunotherapy. Cell Res. 27: 96-108. [4] Corrales L, McWhirter SM, Dubensky TW Jr, Gajewski TF. (2016) The host STING pathway at the interface of cancer and immunity. J Clin Invest 126: 2404-11. [0057] Способы применения [0058] Согласно варианту осуществления, настоящее раскрытие также относится к способу стимулирования экспрессии генов интерферона у пациента-человека. Указанный способ включает в себя введение пациенту эффективной дозы соединения или его фармацевтически приемлемой соли, описанных в настоящем документе. [0059] Согласно другому варианту осуществления, настоящее раскрытие относится к способу лечения опухоли у пациента. Указанный способ включает в себя введение пациенту эффективной дозы соединения или его фармацевтически приемлемой соли. [0060] Применительно к комбинированным видам терапии, включающим в себя введение соединения согласно настоящему раскрытию и лекарственного средства, нацеленного на контрольную точку иммунного ответа, или к комбинированным видам терапии для потенциирования терапевтических подходов на основе применения ионизирующего облучения и существующих видов химиотерапии, таких как химиотерапия на основе повреждения ДНК, агонисты STING согласно настоящему раскрытию могут дополнять и потенциировать эффекты указанных известных терапевтических подходов. Это основывается на недавних документах, указывающих на ключевую роль STING-зависимого опосредованного микроядрами устранения опухоли с использованием указанных подходов (см., например: [5] Mackenzie, K.F., et all, (2017), cGAS surveillance of micronuclei links genome instability to innate immunity, Nature, 548, 461. [6] Wang, W. et al., (2016), Effector T Cells Abrogate Stroma-Mediated Chemoresistance in Ovarian Cancer, Cell, 165, 1092-1105. [7] Charlotte E. Ariyan, et al., January 16, 2018; DOI: 10.1158/2326-6066, Robust antitumor responses result from local chemotherapy and CTLA-4 blockade, cancerimmunolres.aacrjoumals.org on January 31, 2018. [8] Chung Kil Song, et al., www.moleculartherapy.org vol. 15 no. 8 aug. 2007, Chemotherapy Enhances CD8+ T Cell-mediated Antitumor Immunity Induced by Vaccination With Vaccinia Virus). [0061] Соединения согласно настоящему раскрытию могут применяться в терапевтических комбинациях с введением эффективной дозы лекарственного средства, нацеленного на контрольную точку иммунного ответа. Например, лекарственное средство, нацеленное на контрольную точку иммунного ответа, может представлять собой анти-PD-L1 антитело, анти-PD-1 антитело, анти-CTLA-4 антитело или анти-4-1ВВ антитело (см., например: [9] Ager, CR, et al., (2017) Cancer Immunol Res; 5(8), 676. [10] Fu, J. et al. (2015) Sci Transl Med. 2015 April 15; 7(283): 283ra52. doi: 10.1126/scitranslmed.aaa4306. [11] Wang, H., et al. (2017) PNAS, February 14, 2017, vol. 114, no. 7, 1637-1642). [0062] Фармацевтическая композиция [0063] Согласно другому варианту осуществления, настоящее раскрытие относится к фармацевтический композиции, содержащей соединение или его фармацевтически приемлемую соль, описанные в настоящем документе, в сочетании с фармацевтически приемлемым носителем или вспомогательным веществом. [0064] Композиции согласно настоящему раскрытию могут вводиться перорально, местно, парентерально, посредством ингаляции или спрея или ректально в виде стандартных лекарственных форм. В контексте настоящего документа термин «парентерально» включает в себя подкожные инъекции, внутривенные, внутримышечные, интрастернальные инъекции или инфузионные методики. [0065] Подходящие пероральные композиции, описанные в настоящем документе, включают в себя без ограничения таблетки, пастилки, леденцы, водные или масляные суспензии, диспергируемые порошки или гранулы, эмульсию, твердые или мягкие капсулы, сиропы или эликсиры. [0066] Композиции согласно настоящему раскрытию, которые подходят для перорального применения, могут быть приготовлены в соответствии с любым способом, известным в области производства фармацевтических композиций. Например, жидкие лекарственные формы соединений согласно настоящему раскрытию содержат одно или несколько средств, выбранных из группы, состоящей из подсластителей, вкусоароматизаторов, красителей и консервантов, с целью обеспечения фармацевтически приемлемых препаратов соединения или его фармацевтически приемлемой соли. [0067] Для таблетированных композиций, соединение или его фармацевтически приемлемую соль в смеси с нетоксичными фармацевтически приемлемыми вспомогательными веществами используют для производства таблеток. Примеры таких вспомогательных веществ включают в себя без ограничения инертные разбавители, такие как карбонат кальция, карбонат натрия, лактоза, фосфат кальция и фосфат натрия; гранулирующие средства и разрыхлители, например, кукурузный крахмал или альгиновая кислота; связующие вещества, например, крахмал, желатин или акация, и лубриканты, например, стеарат магния, стеариновая кислота или тальк. Таблетки могут не иметь покрытия, или на них может быть нанесено покрытие посредством известных методик нанесения покрытия для отсрочивания разрыхления и всасывания в желудочно-кишечном тракте, а потому для обеспечения замедленного терапевтического действия в течение желаемого периода времени. Например, может быть использовано вещество для задержки во времени, такое как глицерилмоностеарат или глицерилдистеарат. [0068] Составы для перорального применения могут быть представлены в виде твердых желатиновых капсул, в которых активный ингредиент смешан с инертным твердым разбавителем, например, с карбонатом кальция, фосфатом кальция или каолином, или в виде мягких желатиновых капсул, в которых активный ингредиент смешан с водой или масляной средой, например, с арахисовым маслом, жидким парафином или оливковым маслом. [0069] Для водных суспензий соединение или его фармацевтически приемлемую соль смешивают со вспомогательными веществами, подходящими для поддержания стабильной суспензии. Примеры таких вспомогательных веществ включают в себя без ограничения карбоксиметилцеллюлозу натрия, метилцеллюлозу, гидропропилметил-целлюлозу, альгинат натрия, поливинилпирролидон, трагакантовую камедь и камедь акации. [0070] Пероральные суспензии также могут содержать средства, способствующие диспергированию, или увлажнители, такие как встречающийся в природе фосфатид, например, лецитин, или продукты конденсирования алкиленоксида с жирными кислотами, например, полиоксиэтиленстеарат, и продукты конденсирования этиленоксида с длинноцепочечными алифатическими спиртами, например, гептадекаэтиленоксицетанол, или продукты конденсирования этиленоксида с неполными сложными эфирами, полученными из жирных кислот и гексита, такие как полиоксиэтиленсорбитмоноолеат, или продукты конденсирования этиленоксида с неполными сложными эфирами, полученными из жирных кислот и ангидридов гексита, например полиэтиленсорбитанмоноолеат. Водные суспензии также могут содержать один или несколько консервантов, например, этил- или н-пропил- нора-гидроксибензоат, один или несколько красителей, один или несколько вкусоароматизаторов и один или несколько подсластителей, таких как сахароза или сахарин. [0071] Масляные суспензии могут быть составлены путем суспендирования соединения или его фармацевтически приемлемой соли в растительном масле, например, в арахисовом масле, оливковом масле, кунжутном масле или кокосовом масле, или в минеральном масле, таком как жидкий парафин. Масляные суспензии могут содержать загуститель, например, пчелиный воск, твердый парафин или цетиловый спирт. [0072] Для получения приятных на вкус пероральных препаратов могут быть добавлены подсластители, такие как представленные выше, и вкусоароматизаторы. Указанные композиции могут быть сохранены путем добавления антиоксиданта, такого как аскорбиновая кислота. [0073] Диспергируемые порошки и гранулы, подходящие для приготовления водной суспензии путем добавления воды, предоставляют соединение или его фармацевтически приемлемую соль в смеси со средством, способствующим диспергированию, или увлажнителем, средством, способствующим суспендированию, и одним или несколькими консервантами. Подходящие средства, способствующие диспергированию, или увлажнители и средства, способствующие суспендированию, проиллюстрированы средствами, уже упомянутыми выше. Также могут присутствовать дополнительные вспомогательные вещества, например, подсластители, вкусоароматизаторы и красители. [0074] Фармацевтические композиции согласно настоящему раскрытию также могут быть в форме эмульсий типа «масло-в-воде». Масляная фаза может представлять собой растительное масло, например, оливковое масло или арахисовое масло, или минеральное масло, например, жидкий парафин, или их смеси. Подходящие эмульгаторы могут представлять собой встречающиеся в природе камеди, например, камедь акации или трагакантовую камедь, встречающиеся в природе фосфатиды, например, сою, лецитин и сложные эфиры или неполные сложные эфиры, полученные из жирных кислот и гексита, ангидридов, например, сорбитанмоноолеат, и продукты реакции конденсации упомянутых неполных сложных эфиров с этиленоксидом, например, полиоксиэтиленсорбитан-моноолеат. Эмульсии также могут содержать подсластители и вкусоароматизаторы. [0075] Сиропы и эликсиры могут быть составлены с подсластителями, например, с глицерином, пропиленгликолем, сорбитом или сахарозой. Такие составы также могут содержать успокаивающее средство, консерванты и вкусоароматизаторы, и красители. Фармацевтические композиции могут находиться в форме стерильной инъекции, водной суспензии или масляной суспензии. Такая суспензия может быть составлена в соответствии с известным уровнем техники применения подходящих средств, способствующих диспергированию, или увлажнителей и средств, способствующих суспендированию, которые были упомянуты выше. Стерильный инъекционный препарат также может представлять собой стерильный инъекционный раствор или суспензию в нетоксичном парентерально приемлемом разбавителе или растворителе, например, в виде раствора в 1,3-бутандиоле. В числе приемлемых несущих сред и растворителей, которые могут быть использованы, присутствуют вода, раствор Рингера и изотонический раствор хлорида натрия. Кроме того, в качестве растворителя или среды для суспендирования традиционно используются стерильные жирные масла. С этой целью может быть использовано любое легкое жирное масло, включая синтетические моно- или диглицериды. Кроме того, жирные кислоты, такие как олеиновая кислота, находят свое применение в приготовлении инъекционных препаратов. [0076] Соединение или его фармацевтически приемлемую соль также может вводиться в форме суппозиториев для ректального введения. Такие композиции могут быть приготовлены путем смешивания соединения с подходящим не вызывающим раздражения вспомогательным веществом, которое является твердым при обычных температурах, но жидким при ректальной температуре, а потому будет разжижаться в прямой кишке с высвобождением соединения. Иллюстративные вспомогательные вещества включают в себя масло какао и полиэтиленгликоли. [0077] Композиции для парентерального введения вводят в стерильной среде. В зависимости от используемой несущей среды и концентрации соединения или его фармацевтически приемлемой соли в составе, парентеральный состав может находиться как в виде суспензии, так и раствора, содержащего растворенное соединение. В парентеральные композиции также могут быть добавлены адъюванты, такие как местные анестетики, консерванты и буферные средства. [0078] Примеры [0079] Последующие неограничивающие примеры представляют собой дополнительные варианты осуществления с целью иллюстрации настоящего раскрытия. [0080] Культура тканей. Если не указано иное, то клетки THP-1-Lucia ISG дикого типа (кат. № thpl-isg) и STING KO (кат. № thpd-kostg) приобретали у Invivogen и поддерживали в питательной среде, состоящей из RPMI 1640, 2 мМ L-глутамина, 25 мМ HEPES, 10% термоинактивированной фетальной бычьей сыворотки (FBS), 1000 ед/мл пенициллина, 1000 мкг/мл стрептомицина, 0,25 мкг/мл амфотерицина В и 100 мкг/мл зеоцина. [0081] Вещества стимулирующие интерферон 1 типа. Poly(dA:dT) и 2'3'-cGAMP приобретали у Invivogen и ресуспендировали в соответствии с инструкциями производителя. [0082] IRSE-люциферазный метод анализа. Клетки ТНР-1 Lucia ISG ресуспендировали в питательной среде с низким содержанием сыворотки (2% FBS) с плотностью 5×105 клеток на мл, и обрабатывали тестируемым соединением или несущей средой (DMSO). В каждую лунку 384-луночных планшетов производства Greiner высевали 50 мкл клеток, и инкубировали в течение 24 часов. Для оценки экспрессии люциферазного репортера в каждую лунку добавляли 30 мкл реагента для выявления Quanti-luc (Invivogen), и считывали люминесценцию с использованием планшетного ридера Envision (Perkin Elmer) с установленным временем интегрирования в 0,1 секунды. [0083] Анализ жизнеспособности. Клетки ресуспендировали в питательной среде с низким содержанием сыворотки с плотностью 5×105 клеток на мл, и обрабатывали тестируемым соединением или несущей средой (DMSO). В каждую лунку 384-луночных планшетов производства Greiner высевали 50 мкл клеток, и инкубировали в течение 24 часов. Для оценки экспрессии люциферазного репортера в каждую лунку добавляли 30 мкл реагента для выявления CellTiter-Glo (Promega), и определяли люминесценцию с использованием планшетного ридера Envision с установленным временем интегрирования в 0,1 секунды. [0084] Вестерн-блот. Клетки солюбилизировали в 1× протеолитическом буфере (25 мМ HEPES, рН 7,4, 300 мМ NaCl, 1,5 мМ MgCl2, 1 мМ EGTA, 1% Р-40, 1% дезоксихолат натрия, 2,5 мМ пирофосфат натрия, 1 мМ глицерофосфат) со свежедобавленными ингибиторами протеаз и фосфатаз (Cell Signaling). Вестерн-блоттинг проводили с использованием гелей Bolt™ 4-12% Бис-Трис и мини-системы для переноса Bolt™, следуя инструкциям производителя (ThermoFisher Scientific). Антитела к STING и γ-тубулину приобретали у Cell Signaling, разбавляли содержащим 5% BSA 1× буфером TBS-T (Таблица 3). Антитело к HRP кролика разбавляли содержащим 5% обезжиренное сухое молоко 1× буфером TBS-T, и визуализировали сигнал люминесценции с использованием ChemiDoc Imager (BioRad). [0085] Полуколичественная PGR в режиме реального времени (qPCR). Клетки ТНР-1 ресуспендировали в питательной среде с низким содержанием сыворотки с плотностью 5×105 клеток на мл, и обрабатывали тестируемым соединением или несущей средой (DMSO). В каждую лунку 6-луночного планшета высевали 2,5 мл клеток, и инкубировали в течение 24 часов. RNA изолировали с использованием набора RNeasy Plus Mini (Qiagen), и подвергали 1 мкг очищенной RNA обратной транскрипции с получением cDNA (VILO, кат. №11755050, ThermoFisher Scientific). Экспрессию генов оценивали с использованием праймеров Taqman и зондов, перечисленных в Таблице 4, на Taqman Universal Mix II (кат. №4440038, ThermoFisher), следуя инструкциям производителя. Экспрессию генов нормировали с использованием метода дельта-дельта-Ct, и приводили в виде кратности изменения экспрессии. [0086] Анализ теплового сдвига STING (TSA). Экспрессировали c-концевые домены (CTD) STING человека и мыши и очищали их, как подробно описано ранее (Ouyang, S., Song, X., Wang, Y., Ru, H., Shaw, N., Jiang, Y., Niu, F., Zhu, Y., Qiu, W., Parvatiyar, K., et al. (2012). Structural analysis of the STING adaptor protein reveals a hydrophobic dimer interface and mode of cyclic di-GMP binding. Immunity 36, 1073-1086.). К белку STING (0,22 мг/мл), разбавленному 1× буфером Protein Thermal Shift, представленном в наборе Protein Thermal Shift Dye (кат. №4461146, ThermoFisher Scientific), добавляли тестируемое соединение или контроль с несущей средой. Добавляли краситель Thermal Shift, и проводили регистрацию кривой плавления, следуя параметрам, описанным для набора красителя. Температуры плавления (Tm) рассчитывали с использованием метода производных с использованием программного обеспечения Protein Thermal Shift v1.3 (кат. №4466038, ThermoFisher Scientific). [0087] Анализ связывания STING дикого типа (Cisbio, кат. №64RDSTGPEH). Формат метода анализа оптимизировали для демонстрации связывания рекомбинантного 6× His-меченого белка STING человека, меченого криптатом тербия, природным лигандом 2'3'cGAMP, меченым d2 (акцептор). После сближения двух красителей, возбуждение донора импульсной лампой в планшетном ридере PHERAstar FSX инициирует резонансный перенос энергии флуоресценции (FRET) на акцептор, который, в свою очередь, флуоресцирует при 665 нм. Для оценки способности синтетических низкомолекулярных лигандов STING связываться с STING человека проводили анализа в конкурентном формате. Образцы для титрования по 10 точкам для каждого из синтетических лигандов в 5 мкл перемещали в 384-луночный планшет с последующим добавлением 20 мкл аналитического буфера, содержащего 6× His-меченый белка STING человека и меченый 2'3'cGAMP лиганд, и инкубировали в течение 3 часов при комнатной температуре. Исходные значения, полученные на PHERAstar, использовали для расчета полученных значений IC50 (сигнал обратно пропорционален связыванию синтетического лиганда) путем аппроксимации кривой в Genedata. Выраженное в процентах ингибирование рассчитывали, исходя из отношения максимальной величины связывания синтетическим соединением к максимальному связыванию немеченого 2'3' cGAMP, который использовали в качестве контроля при каждом анализе. [0088] [0089] [0090] Соединения, применимые для осуществления способа согласно настоящему раскрытию, могут быть получены в соответствии со следующими методиками в сочетании со средними знаниями и опытом в области органического синтеза, заменяя соответствующие реагенты, очевидные практикующему специалисту. [0091] Экспериментальные методики [0092] Сокращения. Использовали следующие сокращения: тетрагидрофуран (THF), дихлорметан (DCM), N,N-диметилформамид (DMF), диметилацетамид (DMA), диметилсульфоксид (DMSO), трифторуксусная кислота (TFA), триэтиламин (TEA), диизопропилэтиламин (DIPEA), (1-циано-2-этокси-2-оксоэтилиденаминоокси)диметил-аминоморфолинокарбения гексафторфосфат (COMU), 1-[бис(диметиламино)метилен]-1Н-1,2,3-триазоло[4,5-b]пиридиний-3-оксида гексафторфосфат, N-[(диметиламино)-1Н-1,2,3-триазоло[4,5-b]пиридин-1-илметилен]-N-метилметанаминия гексафторфосфата N-оксид (HATU). [0093] Общие примеры для получения соединений согласно настоящему раскрытию. Исходные вещества и промежуточные соединения для получения соединений согласно настоящему раскрытию могут быть получены путем применения или адаптации описанных ниже способов, их очевидных химических эквивалентов, или, например, как описано в литературе, такой как The Science of Synthesis, Volumes 1-8. Editors E.M. Carreira et al. Thieme publishers (2001-2008). Подробности касательно дополнительных реагентов и условий также доступны из поисковых данных по структуре и реакциям с использованием коммерческих компьютерных поисковых систем, таких как Scifinder (www.cas.org) или Reaxys (www.reaxys.com). [0094] Часть I: Получение промежуточных соединений [0095] Схема 1: Синтез промежуточного соединения А: [0096] Стадия 1: Синтез этил-6-(пиридин-4-ил)пиридазин-3-карбоксилата: К продутому аргоном раствору этил-6-хлорпиридазин-3-карбоксилата (4.0 г, 21.4 ммоль) добавляли 4-(трибутилстаннил)пиридин (8.71 г, 23.65 ммоль) в 1,4-диокеане (40 мл), и перемешивали полученную смесь при комнатной температуре в течение 10 мин, после чего добавляли Pd(PPh3)4 (2.48 г, 2.15 ммоль). Реакционную смесь перемешивали при 110°С в течение 16 часов. После завершения реакции, реакционную смесь разбавляли насыщенным водн. раствором NaHCO3 (50 мл) и экстрагировали EtOAc (30 мл × 3), сушили над безводным Na2SO4, фильтровали и концентрировали в условиях пониженного давления. Полученный остаток очищали методом колоночной хроматографии с получением этил-6-(пиридин-4-ил)пиридазин-3-карбоксилата (2.5 г, выход 46%) в виде белого твердого вещества.1Н-ЯМР (400 МГц, DMSO-d6): δ 8.84 (м, 2Н), 8.58 (д, J=8.8 Гц, 1Н), 8.38 (д, J=8.8 Гц, 1Н), 8.21 (м, 2Н), 4.48 (кв, J=7.2 Гц, 2Н), 1.40 (т, J=7.2 Гц, 3Н). LC-MS (ESI+): m/z, 230.14 [М+Н]+. [0097] Стадия 2: Синтез 6-(пиридин-4-ил)пиридазин-3-карбоновой кислоты (А): Водный раствор моногидрата гидроксида лития (0.55 г, 13.1 ммоль) в воде (10 мл) добавляли к раствору этил-6-(пиридин-4-ил)пиридазин-3-карбоксилата (2.5 г, 10.9 ммоль) в THF (10 мл) при 0°С, и перемешивали полученную смесь при комнатной температуре в течение 5 часов. Добавляли МеОН (10 мл), и перемешивали смесь при 60°С в течение 1 ч. После завершения реакции, THF и МеОН удаляли в условиях пониженного давления, и водный слой подкисляли добавлением 2н HCl (pH-4). Полученное твердое вещество фильтровали, промывали водой и сушили. Затем, его растирали с ацетонитрилом, фильтровали и сушили осадок на фильтре с получением соединения А (1.4 г, выход 53%) в виде бледно-коричневого твердого вещества.1Н-ЯМР (400 МГц, DMSO-d6): δ 14.02 (с, 1Н), 8.84 (м, 2Н), 8.56 (д, J=8.8 Гц, 1Н), 8.36 (д, J=8.8 Гц, 1Н), 8.21 (м, 2Н). LC-MS (ESI-): 200.11 [М-Н]-. [0098] Схема 2: Синтез промежуточного соединения В: [0099] Стадия 1: Синтез этил-6-(1Н-пиразоп-4-ил)пиридазин-3-карбоксилата: Аргон продували через раствор пиразол-4-бороновой кислоты (4.51 г, 40.31 ммоль), Na2CO3 (7.1 г, 67.2 ммоль) и этил-6-хлорпиридазин-3-карбоксилата (5 г, 26.88 ммоль) в 1,4-диокеане (175 мл) и воде (25 мл) в течение 10 мин, после чего добавляли Pd(PPh3)4 (1.55 г, 1.34 ммоль). Реакционную смесь перемешивали при 90°С в течение 1 ч. После завершения реакции, реакционную смесь охлаждали до комнатной температуры и разбавляли EtOAc (250 мл). Затем, смесь промывали водой (100 мл), солевым раствором (100 мл), сушили над безводным сульфатом натрия, фильтровали и концентрировали в условиях пониженного давления. Остаток очищали методом колоночной хроматографии на силикагеле с получением 3.2 г этил-6-(1Н-пиразол-4-ил)пиридазин-3-карбоксилата в виде не совсем белого твердого вещества. LC-MS (ESI+): m/z; 219.0 [М+Н]+. [0100] Стадия 2: Синтез этил-6-(1-((2-(триметилсилил)этокси)метил)-1Н-пиразоп-4-ил)пиридазин-3-карбоксилата: [0101] К перемешанному раствору этил-6-(1Н-пиразол-4-ил)пиридазин-3-карбоксилата (3.2 г, 14.67 ммоль) в THF (64 мл) и DMF (30 мл) при 0°С порциями добавляли NaH (60% масс./масс.) (0.422 г, 17.6 ммоль), и перемешивали в течение 10 мин. К смеси добавляли SEM-C1 (2.93 г, 17.61 ммоль), и перемешивали реакционную смесь при 0°С в течение 30 мин. Затем, смесь гасили добавлением 10% раствора лимонной кислоты, полученное тем самым твердое вещество фильтровали, промывали водой (5 мл × 2) и сушили. Остаток очищали методом колоночной хроматографии на силикате л е (с использованием 0-5% метанола в дихлорметане в качестве элюента) с получением 2.65 г этил-6-(1-((2-(триметилсилил)этокси)метил)-1Н-пиразол-4-ил)пиридазин-3-карбоксилата в виде не совсем белого твердого вещества. LC-MS (ESI+): m/z, 349.1 [М-Н]+. [0102] Стадия 3: Синтез 6-(1-((2-(триметилсилил)этокси)метил)-1Н-пиразоп-4-ил)пиридазин-3-карбоновой кислоты (В): [0103] Водный раствор моногидрата гидроксида лития (0.382 г, 9.13 ммоль, в 3 мл воды) при 0°С добавляли к раствору этил-6-(1-((2-(триметилсилил)этокси)метил)-1Н-пиразол-4-ил)пиридазин-3-карбоксилата (2.65 г, 7.61 ммоль) в THF (9 мл), и перемешивали при комнатной температуре в течение 2 ч. После завершения реакции, реакционную смесь разбавляли водой (10 мл) и промывали EtOAc (30 мл × 2). Водный слой подкисляли добавлением 2н раствора HCl (pH-4), полученное тем самым твердое вещество фильтровали, промывали водой (2 мл × 2) и сушили с получением 1.1 г соединения B в виде не совсем белого твердого вещества.1Н-ЯМР (400 МГц, DMSO-d6) δ 13.62 (с, 1Н), 8.78 (с, 1Н), 8.33 (с, 1Н), 8.18-8.13 (м, 2Н), 5.51 (с, 2Н), 3.61 (т, J=8.0 Гц, 2Н), 0.87 (д, J=8.0 Гц, 2Н), 0.04 (с, 9Н). LC-MS (ESI+): m/z 321.0 [М+Н]+. [0104] Схема 3: Синтез промежуточного соединения С: [0105] Стадия 1: Синтез метил-6-((триметилсилил)этанил)пиридазин-3-карбоксилата: К раствору метил-6-хлорпиридазин-3-карбоксилата (1 г, 5.79 ммоль) в THF (10 мл) добавляли этинил(триметил)силан (4.0 мл, 29.0 ммоль), Pd(PPh3)2Cl2 (407 мг, 0.58 ммоль), CuI (221 мг, 1.2 ммоль) и Et3N (0.807 мл, 5.79 ммоль), и перемешивали полученную смесь при 25°С в течение 1 часа. После завершения реакции, смесь фильтровали через слой си лика геля, и концентрировали фильтрат в условиях пониженного давления. Остаток очищали методом колоночной хроматографии (РЕ/EtOAc) с получением метил-6-((триметилсилил)этанил)пиридазин-3-карбоксилата (500 мг, выход 37%) в виде желтого твердого вещества. [0106] Стадия 2: Синтез метил-6-этинилпиридазин-3-карбоксилата: К раствору метил-6-((триметилсилил)этанил)пиридазин-3-карбоксилата (500 мг, 2.13 ммоль) в THF (10 мл) добавляли TBAF (1М в THF, 4.27 мл, 4.27 ммоль), реакционную смесь перемешивали при комнатной температуре в течение 1 часа. После завершения реакции, реакционную смесь вливали в Н2О (50 мл) и экстрагировали DCM (30 мл × 3). Объединенные органические слои промывали солевым раствором (50 мл), сушили над Na2SO4, фильтровали и концентрировали в условиях пониженного давления. Остаток очищали методом колоночной хроматографии (РЕ/EtOAc) с получением метил-6-этинил-пиридазин-3-карбоксилата (260 мг, выход 75%) в виде коричневого твердого вещества. [0107] Стадия 3: Синтез метил-6-(1-(4-метоксибензил)-1Н-1,2,3-триазол-4-ил)пиридазин-3-карбоксилата: К раствору метил-6-этинилпиридазин-3-карбоксилата (500 мг, 3.1 ммоль) и 1-(азидометил)-4-метоксибензопа (1.0 г, 6.2 ммоль) в Н2О (4 мл) и t-BuOH (16 мл) добавляли CuSO4 (98.4 мг, 0.62 ммоль) и аскер бат натрия (489 мг, 2.5 ммоль). Реакционную смесь продували азотом и перемешивали при 40°С в течение 2 ч. После завершения реакции, смесь разбавляли EtOAc (50 мл) и Н2О (20 мл). Осадок фильтровали, и промывали осадок на фильтре DCM/MeOH=10/1 (500 мл). Фильтрат концентрировали в условиях пониженного давления с получением метил-6-(1-(4-метоксибензил)-1Н-1,2,3-триазол-4-ил)пиридазин-3-карбоксилата (600 мг, выход 60%) в виде серого твердого вещества. LCMS (ESI+): m/z 325.9 [М+Н]+. [0108] Стадия 4: Синтез 6-(1-(4-метоксибензил)-1Н-1,2,3-триазол-4-ил)пиридазин-3-карбоксилата лития (С): К раствору метил-6-(1-(4-метоксибензил)-1Н-1,2,3-триазол-4-ил)пиридазин-3-карбоксилата (250 мг, 0.77 ммоль) в THE (2.5 мл) при 0°С добавляли раствор моногидрата гидр оксид а лития (96.7 мг, 2.3 ммоль) в воде (2.5 мл). После перемешивания при комнатной температуре в течение 12 ч, осадок фильтровали, и сушили осадок на фильтре в условиях пониженного давления. Остаток растирали ацетонитрилом и фильтровали с получением кислоты С (70.0 мг, выход 29%) в виде серого твердого вещества. LCMS (ESI+): m/z 312 [М+Н]+. [0109] Часть II: Получение примеров соединений [0110] Все соединения получали с использованием методик, проиллюстрированных ниже. [0111] Пример 1: [0112] Схема 4: Синтез соединения 1: [0113] Стадия 1: Синтез метил-5-фтор-2-(6-(пиридин-4-ил)пиридазин-3-карбоксамидо)-4-((триметилсилил)этинил)бензоата: [0114] К раствору промежуточного соединения С (1.4 г, 7.0 ммоль) и DIPEA (6.17 мл, 34.8 ммоль) в DCE (30 мл) при комнатной температуре добавляли Т3Р (50% в EtOAc) (13.29 мл, 20.89 ммоль), а затем метил-2-амино-5-фтор-4-((триметилсилил)этанил)бензоат (1.8 г, 7.0 ммоль). Реакционную смесь перемешивали при 80°С в течение 7 ч. После завершения реакции, летучие вещества удаляли в условиях пониженного давления, и добавляли насыщенный водн. раствор NaHCO3 (15 мл). Полученное твердое вещество фильтровали, промывали водой и сушили. Остаток очищали методом колоночной хроматографии (РЕ/EtOAc) с получением метил-5-фтор-2-(6-(пиридин-4-ил)пиридазин-3-карбоксамидо)-4-((триметилсилил)этинил)бензоата (2.2 г, выход 70%) в виде бледно-кремового твердого вещества.1Н-ЯМР (400 МГц, DMSO-d6): δ 12.96 (с, 1H), 8.98-8.84 (м, 1Н), 8.69 (д, J=8.8 Гц, 2Н), 8.52 (м, 1Н), 8.26 (м, 1Н), 8.24 (м, 2Н), 7.92 (м, 1Н), 3.97 (с, 3Н), 0.29 (с, 9Н). LC-MS (ESI-): m/z; 447.28 [М-Н]-. [0115] Стадия 2: Синтез метил-4-этинил-5-фтор-2-(6-(пиридин-4-ил)пиридазин-3-карбоксамидо)бензоата: К перемешиваемому раствору 5-фтор-2-(6-(пиридин-4-ил)пиридазин-3-карбоксамидо)-4-((триметилсилил)этинил)бензоата (2.2 г, 4.90 ммоль) в THF (22 мл) при 0°С добавляли TBAF (1М в THF) (4.9 мл, 4.9 ммоль), и перемешивали полученную смесь при комнатной температуре в течение 30 мин. После завершения реакции, добавляли насыщенный водн. раствор NaHCO3 (20 мл). Твердое вещество фильтровали, промывали водой и сушили. Полученный остаток очищали методом колоночной хроматографии (DCM/MeOH) с получением метил-4-этинил-5-фтор-2-(6-(пиридин-4-ил)пиридазин-3-карбоксамидо)бензоата (1.1 г, выход 60%) в виде бледно-оранжевого твердого вещества.1Н-ЯМР (400 МГц, DMSO-d6): δ 12.96 (с, 1Н), 8.97 (д, J=6.8 Гц, 1H), 8.86-8.84 (м, 2Н), 8.68 (д, J=8.8 Гц, 1H), 8.51 (д, J=8.8 Гц, 1Н), 8.26 - 8.24 (м, 2Н), 7.93 (д, J=10.0 Гц, 1H), 4.87 (с, 1H), 3.97 (с, 3Н). LCMS: 377.2 [М+Н]+. [0116] Стадия 3: Синтез 4-этинил-5-фтор-2-(6-(пиридин-4-ил)пиридазин-3-карбоксамидо)бензоата лития (1): Водный раствор моногидрата гидроксида лития (33.4 мг, 0.8 ммоль) в воде (2 мл) при 0°С добавляли к раствору метил-4-этинил-5-фтор-2-(6-(пиридин-4-ил)пиридазин-3-карбоксамидо)бензоата (200 мг, 0.5 ммоль) в THF (4 мл), и перемешивали полученную смесь при комнатной температуре в течение 2 часов. После завершения реакции, полученное твердое вещество фильтровали, промывали водой и сушили. Затем, его растирали с ацетонитрилом, фильтровали и сушили с получением соединения 1 в виде соли лития (99 мг, выход 54%) в виде не совсем белого твердого вещества.1Н-ЯМР (400 МГц, DMSO-d6): δ 8.93 (д, J=6.8 Гц, 1H), 8.85-8.83 (м, 2Н), 8.61 (д, J=8.8 Гц, 1Н), 8.43 (д, J=8.8 Гц, 1Н), 8.25-8.24 (м, 2Н), 7.79 (д, J=10.4 Гц, 1Н),4.52 (с, 1Н). LC-MS (ESI+): m/z 363.2 [М+Н]+. [D117] Методики, аналогичные описанным для синтеза соединения 1, использовали для синтеза соединений 10, 13, 16, 19, 38, 44, 49, 52, 29, 31, 33,46,47, 77, 54, 53, 57, 58, 63, 66, 60, 55, 56, 46, 79, 66, 67, 68, 69, 70, 71, 73, 96, 97, 98, 99, 100, 101, 102, 103, 104, 107, 108, 10, 90, 82, 88 и 81, и т.д. [D118] Пример 2: [D119] Схема 5: Синтез соединения 2: [D120] Стадия 1: Синтез трет-бутил-((3,6-дихлорпиридазин-4-ил)метил)-карбамата: К суспензии Boc-глицин а (20.0 г, 114.2 ммоль) в H2O (100 мл) добавляли 3,6-дихлорпиридазин (10.0 г, 67.1 ммоль) и нитрат серебра (1.1 г, 6.7 ммоль), и нагревали полученную смесь при 80°С. К реакционной смеси при 80°С в течение 30 мин по каплям добавляли раствор сульфата аммония (27.6 г, 120.9 ммоль) в H2O (40 мл). Реакционную смесь затем перемешивали при 80°С дополнительно в течение 30 мин. Затем, реакционную смесь охлаждали до комнатной температуры, подщелачивали конц. гидр оксидом аммония (рН 10) и экстрагировали EtOAc (100 мл × 2). Объединенные органические слои промывали солевым раствором (200 мл), сушили над безводным Na2SO4 и концентрировали в условиях пониженного давления. Остаток очищали методом колоночной хроматографии (гексаны/EtOAc) с получением трет-бутил-((3,6-дихлорпиридазин-4-ил)метил)карбамата (15.0 г, выход 40%) в виде светло-красного густого масла.1Н-ЯМР (400 МГц, CDCl3): δ 7.49 (с, 1Н), 4.38 (д, J=6.0 Гц, 2Н), 1.49 (с, 9Н). LC-MS (ESI-): m/z 278.1 [М-Н]-. [0121] Стадия 2: Синтез трет-бутил-((6-хлор-3-(1Н-имидазол-1-ил)пиридазин-4-ил)-метил)карбамата и трет-бутил-((3-хлор-6-(1Н-имидазол-1-ил)пиридазин-4-ил)метил)-карбамата: К раствору имидазола (5.9 г, 86.2 ммоль) в THF (200 мл) при 0°С добавляли NaH (60% в минеральном масле) (3.5 г, 86.2 ммоль), и перемешивали полученную смесь в течение 15 мин. Добавляли трет-бутил-((3,6-дихлорпиридазин-4-ил)метил)карбамат (20.0 г, 72.1 ммоль), и перемешивали реакционную смесь при 60°С в течение 2 ч. После завершения реакции, реакционную смесь охлаждали до комнатной температуры, разбавляли водой (200 мл) и экстрагировали EtOAc (200 мл × 3). Объединенные органические слои промывали солевым раствором (200 мл), сушили над безводным Na2SO4, фильтровали и концентрировали в условиях пониженного давления. Остаток очищали методом колоночной хроматографии (PE/EtOAc) с получением смеси целевых соединений (8.1 г, выход 36%) в виде светло-коричневого твердого вещества, которое использовали на следующей стадии в виде смеси. LC-MS (ESI+): m/z время удерживания = 1.24 мин, 310.19 [М+Н]+; и 310.15 [М+Н]+ время удерживания = 1.28 мин. [0122] Стадия 3: Синтез этил-5-(((трет-бутоксикарбонил)амино)метил)-6-(1Н-имидазол-1-ил)пиридазин-3-карбоксилата и этил-4-(((трет-бутоксикарбонил)-амино)-метил)-6-(1Н-имидазол-1-ил)пиридазин-3-карбоксилата: К раствору смеси трет-бутил-((6-хлор-3-(1Н-имидазол-1-ил)пиридазин-4-ил)метил)карбамата и трет-бутил-((3-хлор-6-(1Н-имидазол-1-ил)пиридазин-4-ил)метил)карбамата (6.5 г, 21.0 ммоль) в EtOH (97.5 мл) добавляли ацетат натрия (3.4 г, 41.9 ммоль), и продували полученную смесь аргоном в течение 10 мин. Затем, добавляли Pd(dppf)Cl2 (0.77 г, 1.0 ммоль), и перемешивали реакционную смесь под давлением СО (100 фунт./кв. дюйм) при 90°С в течение 24 ч. Затем, реакционную смесь охлаждали до комнатной температуры, и выпаривали летучие вещества в условиях пониженного давления. Добавляли насыщенный водн. раствор NaHCO3 (100 мл), и экстрагировали EtOAc (100 мл × 3). Объединенные органические слои промывали солевым раствором (100 мл), сушили над безводным Na2SO4, фильтровали и концентрировали в условиях пониженного давления. Остаток очищали методом колоночной хроматографии (DCM/MeOH) с получением смеси этил-5-(((трет-бутоксикарбонил)амино)метил)-6-(1Н-имидазол-1-ил)пиридазин-3-карбоксилата и этил-4-(((трет-бутоксикарбонил)амино)метил)-6-(1Н-имидазол-1-ил)пиридазин-3-карбоксилата (6.5 г, выход 89%) в виде коричневого твердого вещества. LC-MS: m/z время удерживания = 1.36 мин, 348.4 [М+Н]+; и время удерживания = 1.29 мин, 348.3 [М+Н]+. [0123] Стадии 4 и 5: Синтез метил-2-(5-(((трет-бутоксикарбонил)амино)метил)-6-(1Н-имидазол-1-ил)пиридазин-3-карбоксамидо)-4,5-дифторбензоата и метил-2-(4-(((трет-бутоксикарбонил)амино)метил)-6-(1Н-имидазол-1-ил)пиридазин-3-карбоксамидо)-4,5-дифторбензоата: Водный раствор моногидрата гидроксида лития (0.32 г, 7.7 ммоль) в воде (12.5 мл) добавляли к раствору этил-5-(((трет-бутоксикарбонил)амино)метил)-6-(1Н-имидазол-1-ил)пиридазин-3-карбоксилата и этил-4-(((трет-бутоксикарбонил)амино)-метил)-6-(1Н-имидазол-1-ил)пиридазин-3-карбоксилата (2.5 г, 7.2 ммоль) в THF (25 мл), и перемешивали полученную смесь при комнатной температуре в течение 30 мин. После завершения реакции, THF удаляли в условиях пониженного давления, и подкисляли водный слой добавлением 3н HCl (рН 4-5). Летучие вещества удаляли путем лиофилизации с получением соответствующих карбоновых кислот. Смесь растворяли в DMF (41 мл), и добавляли метил-4,5-дифторантранилат (3.2 г, 17.1 ммоль) и DIPEA (7.38 мл, 42.40 ммоль). К реакционной смеси добавляли HATU (4.9 г, 12.8 ммоль), и перемешивали реакционную смесь при 80°С в течение 7 часов. После завершения реакции, реакционную смесь охлаждали до комнатной температуры, разбавляли насыщенным водн. раствором NaHCO3 (220 мл) и экстрагировали EtOAc (100 мл × 3). Объединенные органические слои промывали солевым раствором (200 мл), сушили над безводным Na2SO4, фильтровали и концентрировали в условиях пониженного давления. Остаток очищали методом колоночной хроматографии (DCM/MeOH) с получением метил-2-(5-(((трет-бутоксикарбонил)амино)метил)-6-(1Н-имидазол-1-ил)пиридазин-3-карбоксамидо)-4,5-дифторбензоата (0.75 г, выход 21%) в виде желтого твердого вещества и метил-2-(4-(((трет-бутоксикарбонил)амино)метил)-6-(1Н-имидазол-1-ил)пиридазин-3-карбоксамидо)-4,5-дифторбензоата (0.11 г, выход 3%) в виде рыхлого светло-коричневого твердого вещества. 5-замещенное соединение:1Н-ЯМР (400 МГц, DMSO-d6): δ 13.09 (с, 1Н), 8.88-8.81 (м, 1Н), 8.35 (с, 1Н), 8.43 (с, 1Н), 8.14-8.06 (м, 1Н), 7.89-7.84 (м, 2Н), 7.26 (с, 1Н), 4.37 (д, J=6.0 Гц, 2Н), 3.95 (с, 3Н), 1.40 (с, 9Н). LC-MS (ESI+): m/z 489.69 [М+Н]+. 4-замещенное соединение:1Н-ЯМР (400 МГц, DMSO-d6): δ 12.99 (с, 1Н), 8.84-8.77 (м, 2Н), 8.15-8.07 (м, 3Н), 7.36 (с, 1Н), 7.29 (с, 1Н), 4.79 (д, J=5.6 Гц, 2Н), 3.95 (с, 3Н), 1.42 (с, 9Н). LC-MS (ESI+): m/z 487.3 [М-Н]-. [0124] Стадия 6: Синтез метил-2-(4-(аминометил)-6-(1Н-имидазол-1-ил)пиридазин-3-карбоксамидо)-4,5-дифторбензоата 2: К раствору 2-(4-(((трет-бутоксикарбонил)амино)-метил)-6-(1Н-имидазол-1-ил)пиридазин-3-карбоксамидо)-4,5-дифторбензоата (600 мг, 1.2 ммоль) в DCM (0.5 мл) добавляли 4М HCl в диоксане (5 мл), и перемешивали реакционную смесь при комнатной температуре в течение 3 ч. После завершения реакции, летучие вещества удаляли в условиях пониженного давления, и добавляли к остатку диэтиловый эфир (10 мл). Полученное твердое вещество фильтровали и сушили с получением соединения 2 (гидрохлорид) (34 мг, выход 7%) в виде не совсем белого твердого вещества.1Н-ЯМР (400 МГц, DMSO-d6): δ 13.10 (с, 1H), 9.43 (с, 1Н), 8.91 (с, 1H), 8.77-8.83 (м, 4Н), 8.44 (с, 1Н), 8.10-8.15 (м, 1Н), 7.62 (с, 1Н), 4.68 (т, J=5.2 Гц, 2Н), 3.96 (с, 3Н). LC-MS (ESI+): m/z 389.2 [М+Н]+. [0125] Соединения 7, 42, 43 и 74 получали с использованием методик, аналогичных использованным для синтеза соединения 2. [0126] Пример 3: [0127] Схема 5: Синтез соединения 3: [0128] Синтез 7-этинил-6-фтор-2-(6-(пиридин-4-ил)пиридазин-3-ил)-4Н-бензо[d][1,3]оксазин-4-она (3): Суспензию соединения 1 (36 мг, 0.1 ммоль) в 0.5 мл тионилхлорида нагревали с обратным холодильником в течение 2 ч. Затем, избыток тионилхлорида удаляли в условиях вакуума. К твердому веществу добавляли 2 мл безводного ацетонитрила, и добавляли при комнатной температуре раствор DIPEA (35 мкл, 0.2 ммоль) в 2 мл безводного ацетонитрила. После перемешивания в течение 30 минут, полученный осадок выделали и промывали ацетонитрилом с получением продукта (28 мг, выход 80%).1Н-ЯМР (400 МГц, DMSO) δ 8.91-8.82 (м, 2Н), 8.63 (кв, J=9.0 Гц, 2Н), 8.30-8.20 (м, 2Н), 8.13 (д, J=8.6 Гц, 1Н), 8.08 (д, J=6.2 Гц, 1Н), 5.04 (с, 1Н). MS-ESI: m/z 345.46 наблюдали (М+Н)+ [0129] Соединения 75, 80 и 93 получали с использованием методики, аналогичной использованной для синтеза соединения 3. [0130] Хотя настоящее раскрытие было более детально описано и проиллюстрировано на примерах для специалистов в данной области техники с целью его осуществления и применения, различные альтернативы, модификации и улучшения будут очевидны специалистам в данной области техники без отступления от существа и объема формулы изобретения. [0131] Все патенты и публикации, на которые приведены ссылки в настоящем документе, включены в настоящий документ посредством ссылки в равной мере, как если бы каждая отдельная публикация была конкретно и индивидуально определена, как подлежащая включению в настоящий документ посредством ссылки во всей ее полноте.

где волнистая линия указывает на положение связывания.





волнистая линия указывает на положение связывания.


































