патент
№ RU 2804340
МПК A61B5/0205

Способ оценки эффективности баллонной ангиопластики ветвей легочной артерии при хронической тромбоэмболической легочной гипертензии

Авторы:
Моисеева Ольга Михайловна Горбатых Артем Викторович Зубарев Дмитрий Дмитриевич
Все (5)
Номер заявки
2022125911
Дата подачи заявки
04.10.2022
Опубликовано
28.09.2023
Страна
RU
Как управлять
интеллектуальной собственностью
Чертежи 
2
Реферат

[30]

Изобретение относится к медицине, а именно к рентгенэндоваскулярной хирургии. По полученным снимкам ангиопульмонографии выявляют окклюзированные артерии и сегментарные ветви, кровоток в которых оценивают в соответствии с расчетом индекса «PEPSI» от 0 до 3 баллов. Дополнительно упомянутым окклюзированным артериям и сегментарным ветвям присваивают коэффициенты от 3 до 0 в следующем порядке: окклюзированным сегментарным ветвям легочной артерии, оцененным в 0 баллов, присваивают коэффициент 3; окклюзированным сегментарным ветвям легочной артерии, оцененным в 1 балл, присваивают коэффициент 2; окклюзированным сегментарным ветвям легочной артерии, оцененным в 2 балла, присваивают коэффициент 1; окклюзированным сегментарным ветвям легочной артерии, оцененным в 3 балла, присваивают коэффициент 0. Вычисляют индекс дефицита перфузии путем подсчета окклюзированных сегментарных ветвей легочной артерии, совпадающих по оцененным баллам в соответствии с расчетом индекса «PEPSI». Каждый полученный суммарный результат умножают на соответствующий для каждого оцененного балла присвоенный коэффициент. Результаты после умножения суммируют. При полученной величине индекса дефицита перфузии, равной 30 и более, прогнозируют снижение давления в легочной артерии 50% и более, что свидетельствует об эффективности выполнения баллонной ангиопластики. Способ позволяет повысить информативность способа для отбора пациентов с хронической тромбоэмболической легочной гипертензией и эффективность баллонной ангиопластики ветвей легочной артерии за счет снижения давления в легочной артерии. 2 ил., 3 табл., 1 пр.

Формула изобретения

Способ оценки эффективности баллонной ангиопластики ветвей легочной артерии при хронической тромбоэмболической легочной гипертензии, включающий ангиопульмонографию ветвей легочной артерии, по полученным снимкам ангиопульмонографии выявляют окклюзированные артерии и сегментарные ветви, кровоток в которых оценивают в соответствии с расчетом индекса «PEPSI», от 0 до 3 баллов в следующем порядке: окклюзированные сегментарные ветви легочной артерии с отсутствием кровотока оценивают в 0 баллов, сегментарные ветви легочной артерии со слабым антеградным кровотоком и отсутствием венозной фазы оценивают в 1 балл, сегментарные ветви легочной артерии с сохранным антеградным кровотоком и отсутствием венозной фазы оценивают в 2 балла, и сегментарные ветви легочной артерии с сохранным антеградным кровотоком и сохранной венозной фазой оценивают в 3 балла, отличающийся тем, что упомянутым окклюзированным артериям и сегментарным ветвям дополнительно присваивают коэффициенты от 3 до 0 в следующем порядке: окклюзированным сегментарным ветвям легочной артерии с отсутствием кровотока, оцененным в 0 баллов, присваивают коэффициент 3, окклюзированным сегментарным ветвям легочной артерии со слабым антеградным кровотоком и отсутствием венозной фазы, оцененным в 1 балл, присваивают коэффициент 2, окклюзированным сегментарным ветвям легочной артерии с сохранным антеградным кровотоком и отсутствием венозной фазы, оцененным в 2 балла, присваивают коэффициент 1, окклюзированным сегментарным ветвям легочной артерии с сохранным антеградным кровотоком и сохранной венозной фазой, оцененным в 3 балла, присваивают коэффициент 0, далее вычисляют индекс дефицита перфузии путем подсчета окклюзированных сегментарных ветвей легочной артерии, совпадающих по оцененным баллам в соответствии с расчетом индекса «PEPSI», каждый полученный суммарный результат умножают на соответствующий для каждого оцененного балла присвоенный коэффициент, полученные результаты после умножения суммируют; при полученной величине индекса дефицита перфузии, равной 30 и более, прогнозируют снижение давления в легочной артерии 50% и более, что свидетельствует об эффективности выполнения баллонной ангиопластики.

Описание

[1]

Изобретение относится к медицине, в частности, к рентгенэндоваскулярной хирургии и может быть использовано для оценки ожидаемой эффективности баллонной ангиопластики (БАП) ветвей легочной артерии при хронической тромбоэмболической легочной гипертензии (ХТЭЛГ).

[2]

Известна «Баллонная ангиопластика легких у неоперабельных больных с хронической тромбоэмболической легочной гипертензией» (Refined balloon pulmonary angioplasty for inoperable patients with chronic thromboembolic pulmonary hypertension. Mizoguchi H1, Ogawa A, Munemasa M, Mikouchi H, Ito H, Matsubara H. Circ Cardiovasc Interv. 2012 Dec;5(6):748-55. doi: 10.1161/CIRCINTERVENTIONS.112.971077. Epub 2012 Nov 27),включающая методологию выполнения ангиопластики ветвей легочной артерии, тактику интра- и послеоперационного ведения пациентов и вопрос отбора пациентов на операционное вмешательство.

[3]

Недостатком известного аналога является отсутствие индикаторов, предсказывающих эффективность оперативного вмешательства, что может оптимизировать отбор пациентов с ожидаемым положительным эффектом от баллонной ангиопластики.

[4]

Известен «Прогностический индекс отека легких (PEPSI)» (Pulmonary Edema Predictive Scoring Index (PEPSI), a new index to predict risk of reperfusion pulmonary edema and improvement of hemodynamics in percutaneous transluminal pulmonary angioplasty. Inami T, Kataoka M, Shimura N, Ishiguro H, Yanagisawa R, Taguchi H, Fukuda K, Yoshino H, Satoh T. J Am Coll Cardiol Intv. 2013;(6):725-736.). Новый индекс «PEPSI» предназначенный для прогнозирования риска реперфузионного отека легких, выбран в качестве прототипа к заявляемому способу. Индекс «PEPSI» основан на расчетах легочного сосудистого сопротивления и скоростных показателях кровотока ветвей легочной артерии.

[5]

Однако существенной проблемой является возможность предсказания эффективности оперативного вмешательства в зависимости от объема и характера тромботического поражения ветвей легочной артерии.

[6]

Задача предполагаемого изобретения направлена на создание способа расчета индекса дефицита перфузии сегментарных ветвей легочной артерии у пациентов с хронической тромбоэмболической легочной гипертензией, позволяющего повысить информативность способа для отбора пациентов с хронической тромбоэмболической легочной гипертензией и эффективность баллонной ангиопластики ветвей легочной артерии за счет снижения давления в легочной артерии.

[7]

Техническим результатом изобретения является получение количественной оценки ожидаемой эффективности баллонной ангиопластики (БАП) ветвей легочной артерии при хронической тромбоэмболической легочной гипертензии (ХТЭЛГ).

[8]

Технический результат достигается в способе расчета индекса дефицита перфузии сегментарных ветвей легочной артерии для оценки эффективности баллонной ангиопластики у пациентов с хронической тромбоэмболической легочной гипертензией, за счет того, что после ангиопульмонографии ветвей легочной артерии, по полученным снимкам выявляют окклюзированные артерии и сегментарные ветви, кровоток в которых оценивают, в соответствии с расчетом индекса «PEPSI», от 0 до 3 баллов в следующем порядке: окклюзированные сегментарные ветви легочной артерии с отсутствием кровотока оцениают в 0 баллов, сегментарные ветви легочной артерии со слабым антеградным кровотоком и отсутствием венозной фазы оценивают в 1 балл, сегментарные ветви легочной артерии с сохранным антеградным кровотоком и отсутствием венозной фазы оценивают в 2 балла, и сегментарные ветви легочной артерии с сохранным антеградным кровотоком и сохранной венозной фазой оценивают в 3 балла, далее упомянутым окклюзированным артериям и сегментарным ветвям дополнительно присваивают коэффициенты от 3 до 0 в следующем порядке: окклюзированным сегментарным ветвям легочной артерии с отсутствием кровотока, оцененным в 0 баллов, присваивают коэффициент 3, окклюзированным сегментарным ветвям легочной артерии со слабым антеградным кровотоком и отсутствием венозной фазы, оцененным в 1 балл, присваивают коэффициент 2, окклюзированным сегментарным ветвям легочной артерии с сохранным антеградным кровотоком и отсутствием венозной фазы, оцененным в 2 балла, присваивают коэффициент 1, окклюзированным сегментарным ветвям легочной артерии с сохранным антеградным кровотоком и сохранной венозной фазой, оцененным в 3 балла, присваивают коэффициент 0, вычисляют индекс дефицита перфузии путем подсчета окклюзированных сегментарных ветвей легочной артерии, совпадающих по оцененным баллам по шкале «PEPSI», каждый полученный суммарный результат умножают на соответствующий, для каждого оцененного балла, присвоенный коэффициент, полученные результаты после умножения суммируют; при полученной величине индекса дефицита перфузии, равной 30 и более, прогнозируют снижение давления в легочной артерии 50% и более.

[9]

Изобретение иллюстрируется следующими графическими материалами, где:

[10]

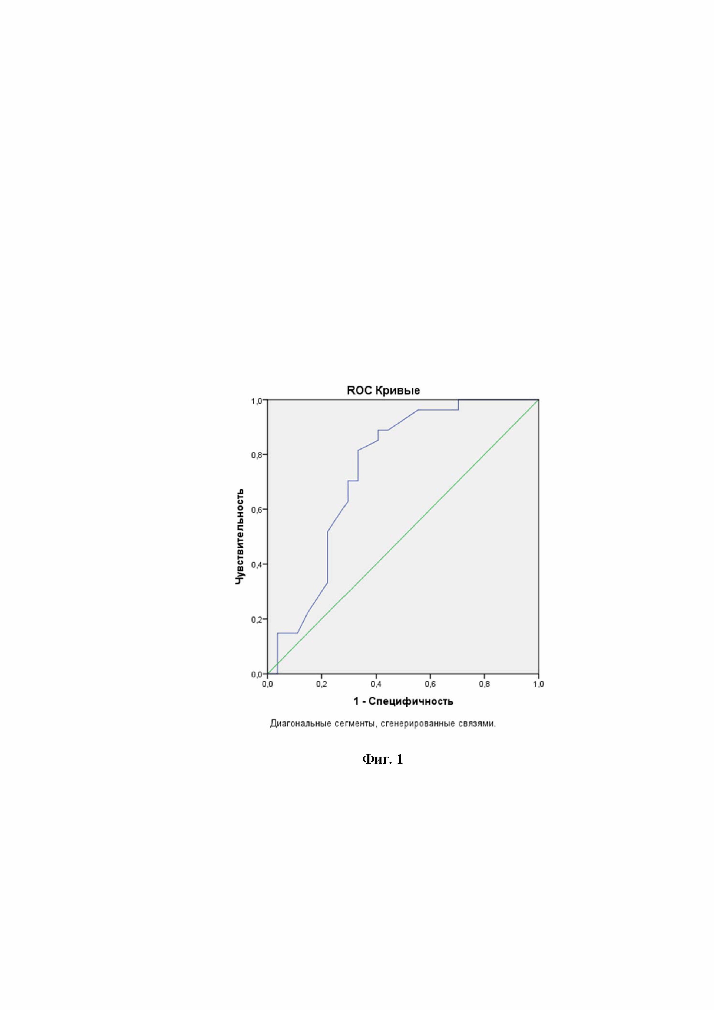
на фиг. 1 - представлена ROC-кривая, позволяющая оценить точность классификации для выявления группы потенциально успешной баллонной ангиопластики и определить дискриминационный порог для индекса дефицита перфузии, который соответствуют величине 30 условных единиц: AUC=0,743 (95% ДИ 0,605-0,881) р=0,002,

[11]

где AUC - площадь под кривой, ДИ - доверительный интервал, р - достоверность оценки;

[12]

на фиг. 2 - представлены снимки инвазивной ангиопульмонографии правого легкого в боковой проекции до (А) и после баллонной ангиопластики (В), поясняющие клинический пример. На фиг. 2А - видны эксцентричные и протяженные стенозы в сегментарных артериях верхней и средней долей и окклюзированные артерии нижней долиправого легкого. На фиг. 2В - представлено восстановленный антеградный ток крови по указанным артериям с восстановлением венозной фазы.

[13]

Способ осуществляется следующим образом.

[14]

Проводится ангиопульмонография ветвей легочной артерии в условиях рентгенэндоваскулярной лаборатории с помощью диагностического катетера, через который вводится рентген-контрастный препарат для визуализации просвета целевых артерий и дальнейшего определения эффективности оперативного вмешательства. По результатам исследования, оценивая снимки ангиопульмонографии, выявляют окклюзированные артерии и сегментарные ветви, кровоток в которых оценивают в баллах от 0 до 3х, в соответствии с расчетом индекса «PEPSI» . Согласно публикации (Pulmonary Edema Predictive Scoring Index (PEPSI), a new index to predict risk of reperfusion pulmonary edema and improvement of hemodynamics in percutaneous transluminal pulmonary angioplasty. Inami T, Kataoka M, Shimura N, Ishiguro H, Yanagisawa R, Taguchi H, Fukuda K, Yoshino H, Satoh T. J Am Coll Cardiol Intv. 2013;(6):725-736.) артериям присваиваются баллы согласно их кровотоку PFG (perfusion flow grade - степень перфузионного потока). Окклюзированным сегментарным ветвям с отсутствием кровотока присваивается 0 баллов, ветвям со слабым (прокрашивание артерии в 3 и более систолы) антеградным кровотоком и отсутствием венозной фазы присваивается 1 балл, артериям с сохранным антеградным кровотоком и отсутствием венозной фазы присваивается 2 балла, и артериям с сохранным антеградным кровотоком и сохранной венозной фазой присваивается 3 балла. Указанным артериям, для определения соответствующего индекса дефицита перфузии, дополнительно присваивается коэффициент 3; 2; 1; 0. Коэффициент равен разнице между максимальным кровотоком (3 балла) и исходным кровотоком в исследуемом сосуде. Формула коэффициента = PFG (макс) - PFG (исх). Окклюзированным артериям с индексом перфузии 0 баллов присваивается максимальный коэффициент 3 (3-0), артериям с кровотоком 1 балл - коэффициент 2 (3-1), артериям с кровотоком 2 балла - коэффициент 1 (3-2) и артериям с кровотоком 3 балла коэффициент - 0 (3-3). Вычисляют индекс дефицита перфузии путем подсчета окклюзированных сегментарных ветвей легочной артерии, совпадающих по оцененным баллам по шкале «PEPSI», каждый полученный суммарный результат умножают на соответствующий, для каждого оцененного балла, присвоенный коэффициент, полученные результаты после умножения суммируют; при полученной величине индекса дефицита перфузии, равной 30 и более, прогнозируют снижение давления в легочной артерии 50% и более, что можно трактовать об эффективности БАП легочной артерии.

[15]

Заявляемый способ позволяет решить вопрос о необходимости операции.

[16]

Заявляемый способ разработан и прошел клинические испытания в ФГБУ «НМИЦ им. В.А. Алмазова» Минздрава России, результаты которого внесены в базу данных пациентов с хронической тромбоэмболической легочной гипертензией и зарегистрированы в Госреестре - Свидетельство о регистрации базы данных №2018620437.

[17]

Анализ регистра больных, завершивших все этапы БАП легочной артерии (n=54) показал, что индекс перфузии варьировал от 10 до 43. Пороговым значением, при котором наблюдалось снижение давления в легочной артерии на 50% и более является индекс дефицита перфузии 30. Оценка эффективности оперативного вмешательства осуществлялась путем анализа гемодинамических параметров, данных ультразвукового исследования и оценки клинического статуса пациентов.

[18]

[19]

По данным Европейского регистра COMPERA развития неблагоприятных событий разработана целевая классификация на основе ожидаемой смертности. Выявлено, что комбинация функционального класса ЛГ, ТШХ, N-концевого фрагмента pro-BNP (NT-proBNP) и гемодинамических показателей (рПП, СИ) имеет сильную прогностическую ценность как на момент постановки диагноза, так и при последующем наблюдении. Возможность использования этой стратегии подтверждена и у больных с ХТЭЛГ.

[20]

Таблица 2. Шкалы риска
РискНизкийПромежуточныйВысокий
ФК ЛГ1-234
ТШХ м>440440-165<165
NT-proBNP нг/л<300300-1100 >1100
Р ПП мм рт.ст.<88-14>14
СИ>2,52-2,4<2
SvO2 %>6560-65<60

[21]

Исходя из таблицы 2, 13 пациентов отнесены к низкому риску, 34 пациентов к промежуточному риску и 7 пациентов к высокому.

[22]

Согласно указанному риску пациенты разделены на 2 группы по функциональному классу легочной гипертензии. Первую группу составляют пациенты низкого риска с 1-2 ФК ЛГ (13 пациентов), а вторую пациенты промежуточно-высокого риска с 3-4 ФК ЛГ (41 пациентов).

[23]

Средний индекс дефицита перфузии пациентов высокого риска с ЛГ 3-4 ФК составил 37.7, индекс дефицита перфузии пациентов низкого риска с ЛГ 1-2 ФК составил 24.4. Указанные данные свидетельствуют о прямой зависимости индекса перфузии и ФК ЛГ.

[24]

Способ иллюстрируется следующим клиническим примером этапной баллонной ангиопластики ветвей легочной артерии у пациентки с ХТЭЛГ.

[25]

Пациентка И., 45 лет, с указанием в анамнезе спленэктомию, считает себя больной с 2015 года, когда на фоне полного благополучия появилась выраженная одышка, головокружение, слабость. Госпитализирована в стационар по месту жительства, верифицирована тромбоэмболия легочной артерии на фоне тромбоза глубоких вен нижних конечностей. Проведен системный тромболизис актилизой. При обследовании по месту жительства выявлен дефицит антитромбина III (55,8-78,5% при норме 83-128%). Назначена антикоагулянтная терапия ривароксабаном в дозе 20 мг в сутки. При выписке по данным эхокардиографии систолическое давление в легочной артерии - 34 мм рт.ст. В дальнейшем пациентка отметила появление и прогрессирование одышки и а также появление давящих болей за грудиной при физической нагрузке. По данным МСКТ органов грудной клетки с контрастным усилением выявлены множественные дефекты контрастирования в виде пристеночных «тяжей» в ветвях легочной артерии от долевого уровня и дистальнее с распространением на субсегментарные ветви. В июне 2018 года пациентка госпитализирована в плановом порядке в НМИЦ им. В.А. Алмазова для дообследования, выполнения коронарографии, катетеризации камер сердца и инвазивной ангиопульмонографии с последующим определением тактики ведения. По данным катетеризации правых камер верифицирована прекапиллярная легочная гипертензия (Табл. Динамика гемодинамических показателей пациента). По данным планарной перфузионной сцинтиграфии легких с 99mTc определяется уменьшение площади перфузируемой поверхности легких и выявлены достоверные признаки субсегментарной тромбоэмболии легочной артерии в обеих легких. При инвазивной ангиопульмонографии подтверждено наличие множественных эксцентричных и протяженных стенозов, а также тотальных окклюзий в сегментарных артериях обеих легких. В соответствии с морфологическими особенностями поражения ветвей легочной артерии пациентка признана неоперабельной. Индекс дефицита перфузии ветвей легочной артерии составил 34.

[26]

После оценки риск/польза ex consilium принято решение о выполнении этапной баллонной ангиопластики легочных артерий. Исходя из данных визуализирующих методов, определена этапность оперативного вмешательства. Пациентке выполнено 3 этапа баллонной ангиопластики, этапность эндоваскулярного вмешательства и динамика гемодинамических показателей отражена в таблице 3.

[27]

Таблица 3
Исходные данные1 этап 26.06.20182 этап 10.08.20183 этап 10.10.2018
Ангиопластика сегментарных артерииСправа- А1, А2, А5 и Слева- А4, А5Слева- А8, А9, А10 Справа- окклюзированные А3, А4Справа А7 и окклюзированные А6, А8, А9, А10
СДЛА/ ДДЛА/ срДЛА в легочной артерии, мм рт.ст.100/32/6186/34/5260/23/3948/19/32
SvO2, %53.254.659
ДЗЛА, мм рт.ст.1515
СИ, л/мин/м21.6322.12.78
ЛСС, ед. Вуда17.511.57.23.8

[28]

Примечание: СДЛА - систолическое давление в легочной артерии, ДДЛА- диастолическое давление в легочной артерии, срДЛА - среднее давление в легочной артерии, SvO2 - сатурация кислорода смешанной венозной крови, ДЗЛА - давление заклинивания легочной артерии, СВ - сердечный выброс, ЛСС - легочное сосудистое сопротивление.

[29]

Таким образом заявляемый способ обладает повышенной информативностью за счет расчетов индексов дефицита перфузии сегментарных ветвей легочных артерий, согласно тромботическому поражению, что в свою очередь позволяет точнее предсказывать финальные результаты оперативного вмешательства пациентов промежуточного и высокого риска.

Как компенсировать расходы
на инновационную разработку
Похожие патенты