Использование: изобретение относится к области антенных измерений, преимущественно к измерениям параметров матрицы рассеяния для контроля характеристик направленности и коэффициента усиления антенн. Сущность: используется известный способ двухпортовой калибровки векторного анализатора цепей (ВАЦ), а повышение точности измерений достигается переходом к динамической коррекции ошибок протяженного подвижного измерительного тракта. Предлагается расширение модели анализатора таким образом, что каждый параметр ошибки становится функцией частоты, а также набора пространственных координат, в зависимости от конструкции и принципа работы измерительного стенда. Динамическая калибровка позволяет определять параметры модели ошибок и вносить уникальную корректировку в полученные данные в зависимости от взаимного расположения измерительной и тестируемой антенн в пространстве. Находится вектор параметров ошибки модели подвижного измерительного стенда, зависящий от вектора частот зондирующего сигнала и обобщенного вектора пространственных координат, куда входит информация о положении измерительных портов измерительной и тестируемой антенн в пространстве. Расчет калибрационных поправок проводится для массива данных, поступающих с ВАЦ в персональный компьютер (ПК), во всей полосе частот для всего набора пространственных координат. Способ особенно полезен в случае серийных измерений характеристик партии антенн, когда динамическая калибровка проводится один раз, а поправки вносятся в результаты всех измерений. Технический результат: повышение точности проведения антенных измерений в широкой полосе частот. 14 ил.
Способ динамической калибровки подвижных измерительных стендов, заключающийся в двухпортовой калибровке векторного анализатора цепей путем измерения сначала коэффициента отражения от калибровочных мер ХХ, КЗ и СН, последовательно подключаемых к измерительным кабелям, а затем всех
Изобретение относится к области антенных измерений, преимущественно к измерениям параметров матрицы рассеяния для контроля характеристик направленности и коэффициента усиления антенн. Характеристики направленности антенны оказывают существенное влияние на дальность действия радиоэлектронных систем, например высокоточных систем навигации и управления беспилотными летательными аппаратами (БЛА), в состав которых она входит. Расчет характеристик осуществляется в процессе разработки антенны, а также при моделировании ее в различных системах автоматизированного проектирования, что позволяет достичь заданных параметров направленности. Испытания уже изготовленных антенн и проверка соответствия полученных характеристик направленности заданным, в широкой полосе частот, является важнейшей частью разработки всей системы. Сегодня основные измерения характеристик антенн проводятся на дорогих, сложных в обслуживании антенных полигонах, где пытаются обеспечить условия работы в дальней зоне даже для больших антенных решеток. Основная трудность при проведении экспериментальных исследований антенн таким способом - многолучевой характер распространения радиоволн, обусловленный влиянием подстилающей поверхности.В результатесвязь между измеряемой и измерительной антеннами осуществляется не только прямым лучом, соединяющим их фазовые центры, но и лучом, отраженным от поверхности земли. Этот фактор обуславливает погрешность, вносимую в результат измерения и как следствие - низкая точность измерений. Альтернативой полигонам выступают специализированные безэховые камеры (БЭК). Однако и в них источниками ошибок при проведении высокоточных испытаний становятся практически все элементы, участвующие в процессе измерения амплитуды и фазы электромагнитного поля в рабочей зоне. Сюда входят неопределенности, связанные со средством измерения, погрешности позиционирования антенн, изменение характеристик кабелей в полосе частот при перемещении в процессе испытаний, зависимость характеристик от параметров окружающей среды (относительной влажности, давления и температуры) и прочее. С увеличением частоты растут потери тракта распространения, меняется коэффициент отражения от элементов тракта, проявляется частотная неравномерность его коэффициента передачи. Все перечисленные явления вносят вклад в погрешность измерений. Для определения составляющих (факторов) погрешности используется процедура калибровки основного измерительного устройства - векторного анализатора цепей (ВАЦ). Для исключения погрешности применяется математическая коррекция результатов измерений. Повышение точности измерения характеристик антенны в широкой полосе частот для подвижных измерительных стендов является актуальной задачей. Известен способ [1] для учета влияния кабелей на промежуточной частоте для подвижного измерительного стенда. В процессе его использования определяется разница между опорным сигналом с измерительного порта неподвижного стенда с сигналом на тестовом выходе движущегося измерительного порта. К недостаткам метода можно отнести сложность адаптации метода к измерительным стендам на основе комбинированных средств измерения (СИ), например векторных анализаторов цепей (ВАЦ), т.е. средств измерения с локальным смешением частот. Метод позволяет учесть лишь дополнительные потери на передачу сигнала, но не учитывают изменение коэффициента отражения на портах кабеля. Метод неприменим для длительных, многочасовых испытаниях. Помимо этого требуется многоканальный измерительный приемник сигнала. Все это приводит к низкой точности способа калибровки, а также сложности и отсутствию автоматизации при его использовании в широкой полосе частот. Известен также способ калибровки [2] основанный на измерении фазовой ошибки в сигнале, проходящем через подвижный протяженный кабель, а затем численном вычитании ее из результатов измерений характеристик антенны. Фазовый набег измеряется методом немодулированного отражения от короткозамкнутой нагрузки, находящейся в одном из плеч направленного ответвителя, который дополнительно вводится в измерительную установку, заставляя сигнал дважды проходить гибкий кабель. Измеренная ошибка поступает на один из портов ВАЦ и затем в компьютер, где собственно и осуществляется ее учет при расчете измеряемых параметров антенны. Основным недостатком способа является наличие направленного ответвителя, который ограничивает динамический диапазон проводимых измерений, как признают сами авторы, а также невозможность проведения измерений в широкой полосе частот. Кроме того, в расчетных соотношениях принимается, что характеристики направленного ответвителя идеальны, а следовательно, использование реального ответвителя будет вносить дополнительные неконтролируемые ошибки, как фазовые, так и амплитудные, а следовательно снижать точность измерений. По технической сущности наиболее близким к предлагаемому изобретению является способ калибровки двухпортового векторного анализатора цепей (ВАЦ), проводимой перед тестированием какого-либо исследуемого устройства (ИУ) с целью высокоточного измерения его параметров рассеяния ( В способе-прототипе предполагается, что модель анализатора цепей представляют в виде набора устройств: идеального измерителя и искажающих адаптеров (ИА). При этом вводится допущение, что именно ИА являются источниками систематической неопределенности измерения, что приводит к ошибкам измерения. Способ основан на Модель ВАЦ основана на представлении графа двухпортового (2 - прямое направление зондирования (фиг. 2), когда возбуждается первый порт ВАЦ, а второй порт нагружен на идеальную СН, чтобы коэффициент отражения от нее был равен нулю; - обратное направление зондирования (фиг. 3), когда первый порт ВАЦ считается нагруженным на идеальную СН, а возбуждается второй порт анализатора. Для описания модели вводятся параметры ошибки: где индексы «пз» и «оз» определяют параметры моделей для прямого и обратного направлений зондирования соответственно. Эти параметры являются комплексными безразмерными величинами, зависящими от частоты зондирующего сигнала и предполагаются неизменными в процессе измерения. Для извлечения неизвестных параметров модели, необходимо провести независимые измерения Для определения неизвестных параметров модели в способе-прототипе осуществляются следующие операции. 1.Проводится однопортовая калибровка для первого и второго портов. На этом этапе определяются параметры где 2.Первый и второй порт соединяются на проход через адаптер-перемычку где 3. При необходимости, подключаются к первому и второму портам меры СН. Напрямую определяется развязка Истинные параметры матрицы рассеяния ИУ для 12-параметрической модели находят по формулам (6); (7); (8); (9): где В современных ВАЦ эта процедура является штатной и проводится автоматически, когда разница между истинными и измеренными значениями сохраняется в самом анализаторе и учитывается при представлении итоговых результатов. Недостаток известного способа заключается в том, что он предполагает статичный измерительный стенд, когда используются короткие соединительные кабели. При антенных измерениях (фиг. 4) приходится располагать измерительную и тестируемую антенны максимально приближенно к ВАЦ. Однако в реальных измерительных установках требуется обеспечивать многократное длительное относительное перемещение указанных антенн. Влияние изменения характеристик соединительного кабеля при его скручивании или изгибах на результаты измерений при калибровке известным способом не учитывается. Как следствие, происходит недопустимое снижение точности проведения антенных измерений в широкой полосе частот. Техническим результатом данного изобретения является создание способа, не требующего дополнительного оборудования и обеспечивающего повышение точности калибровки подвижного измерительного стенда в широкой полосе частот. Заявленный технический результат достигается тем, что в известном способе динамической калибровки подвижных измерительных стендов, заключающемся в двухпортовой калибровке векторного анализатора цепей путем измерения сначала коэффициента отражения от калибровочных мер ХХ, КЗ и СН, последовательно подключаемых к измерительным кабелям, а затем всех Поставленная задача достигается переходом к динамической коррекции ошибок протяженного подвижного измерительного тракта. Предлагается расширение модели ВАЦ, таким образом, что каждый параметр ошибки становится функцией частоты, а также набора пространственных координат, в зависимости от конструкции и принципа работы измерительного стенда. Динамическая калибровка позволяет определять параметры модели ошибок и вносить уникальную корректировку в полученные данные в зависимости от взаимного расположения измерительной и тестируемой антенн в пространстве (фиг. 4). Так как предлагаемый способ подразумевает постобработку данных, то связанные с ней измерения можно проводить как до, так и после основных исследований характеристик ИУ. Положительный эффект по сравнению с прототипом достигается тем, что вектор параметров ошибки модели подвижного измерительного стенда принимает вид где Изобретение поясняется чертежами. На фиг. 1 приведена общая схема статической штатной калибровки двухпортового векторного анализатора цепей; на фиг. 2 - граф двухпортового (2 Предлагаемый способ калибровки динамических измерительных стендов заключается в следующем. Для проведения динамической калибровки сначала исследуется отражение от калибровочных мер из соответствующего набора калибровки (фиг. 7). Измерение проходит так же, как в способе-прототипе, то есть процесс измерений повторяется для имеющихся мер ХХ, КЗ и СН, последовательно подключаемых к измерительному кабелю вместо любой из антенн. Однако отличие заключается в том, что эта процедура повторяется для каждого пространственного положения подвижного кабеля на измерительном стенде в полосе частот зондирующего сигнала. Применение такого подхода предполагает принятие мер к обеспечению повторяемости условий проведения измерений с точки зрения геометрии стенда. Для каждого положения определяются составляющие Проводится 2 Коэффициенты матрицы рассеяния такой сборной перемычки должны быть предварительно измерены отдельно. Описываемый подход аналогичен калибровке с известным адаптером, как в прототипе, однако отличается тем, что калибруемый тракт динамичен в процессе измерения. Отсюда определяются векторы факторов ошибки При необходимости подключить к первому и второму портам меры СН для определения факторов ошибки Для подтверждения повышения точности калибровки подвижного измерительного стенда в широкой полосе частот предлагаемым способом проведен ряд экспериментов с калиброванными измерительными антеннами. Исследования проводились с помощью двух подвижных измерительных стендов в научно-производственном центре радиоинформационной метрологии (НПЦ РИМ) МАИ в аттестованной безэховой камере (БЭК). На фиг. 5 показана схема антенных измерений в дальней зоне на опорно-поворотном устройстве. В качестве тестируемой была выбрана рупорная антенна из состава измерительного комплекса, которая вместе с подвижным кабелем совершала круговые движения по азимуту на опорно-поворотном устройстве (фиг. 8). На фиг. 10 показана зависимость измеренного модуля На фиг. 12 показана разница коэффициента передачи На фиг. 6 показана схема антенных измерений в ближней зоне на планарном подвижном сканере. В качестве тестируемой выбрана та же рупорная антенна из состава измерительного комплекса, которая вместе с подвижным кабелем совершала линейные движения в плоскости сканирования сканера ближнего поля (фиг. 9). На фиг. 14 показана зависимость коэффициента передачи антенны с подвижным трактом Таким образом, сравнение результатов измерений Сущность изобретения заключается в том, что в процессе динамической калибровки осуществляется преобразование модели ВАЦ, таким образом, что каждый параметр ошибки становится функцией частоты, а также набора пространственных координат, в зависимости от конструкции и принципа работы измерительного стенда. Источники информации 1. Rensburg, D.J. Millimeter Wave Near-Field Antenna Testing // Microwave Product Digest (MPD), 2010, pp. 1-6. 2. Tuovinen, J., Lehto, A. and Räisänen A.V. A new method for correcting phase errors caused by flexing of cables in antenna measurements // 3. Henze, A., Tempone, N., Monasterios, G. and Silva, H. Incomplete 2-port vector network analyzer calibration methods // IEEE Biennial Congress of Argentina (ARGENCON), 11-13 June 2014, pp. 810-815.
- направленность;
- согласование источника;
- потери при отражении;
с известными подключаемыми к портам мерами (КЗ, ХХ, СН, А-П). После чего необходимо решать задачу с помощью линейных алгебраических уравнений.
,
и
(индексы для прямого и обратного зондирования опущены) из системы уравнений (1).
- комплексный коэффициент отражения калибровочной меры, причем индекс «изм» указывает на измеренное значение, а «ист» - на истинное, соответствующее ей (1-КЗ, 2-ХХ, 3-СН).
и
, в общем случае по формулам (2); (3); (4); (5):

. Этот шаг требуется при проведении прецизионных измерений для малых коэффициентов передачи. Зачастую данный этап опускают и считают, что параметр развязки портов пренебрежимо мал:
. Тогда 12-параметрическая модель сводится к 10-параметрической.
.
- вектор частот зондирующего сигнала,
- обобщенный вектор пространственных координат, куда входит информация о положении измерительных портов измерительной и тестируемой антенн в пространстве. Для измерений в дальней зоне это могут быть: набор угловых положений тестируемой антенны на опорно-поворотном устройстве (фиг. 5) в сферической системе координат, в зависимости от типа применяемого позиционера, например, по азимуту, крену или углу места. Также сюда входит информация о текущей поляризации измерительной антенны. Для измерений в ближней зоне это могут быть пространственные координаты положения каретки зонда (фиг. 6) в декартовой, цилиндрической или сферической системе координат, в зависимости от применяемого позиционера, а также информация о текущей поляризации зонда. Расчет калибрационных поправок проводится для массива данных, поступающих с ВАЦ в персональный компьютер (ПК), во всей полосе частот для всего набора пространственных координат,с помощью специализированной программы, содержащей вычисления по формулам с (1) по (10). Способ особенно полезен в случае серийных измерений характеритик партии антенн, когда динамическая калибровка проводится один раз, а поправки вносятся в результаты всех измерений.
коэффициента отражения от подвижной антенны в полосе частот; на фиг. 12 - зависимость разницы коэффициентов передачи тестируемой антенны с подвижным кабелем
измеренных после статической и динамической калибровки, от угла поворота по азимуту стенда для измерений в дальней зоне; на фиг. 13 - зависимости коэффициента передачи
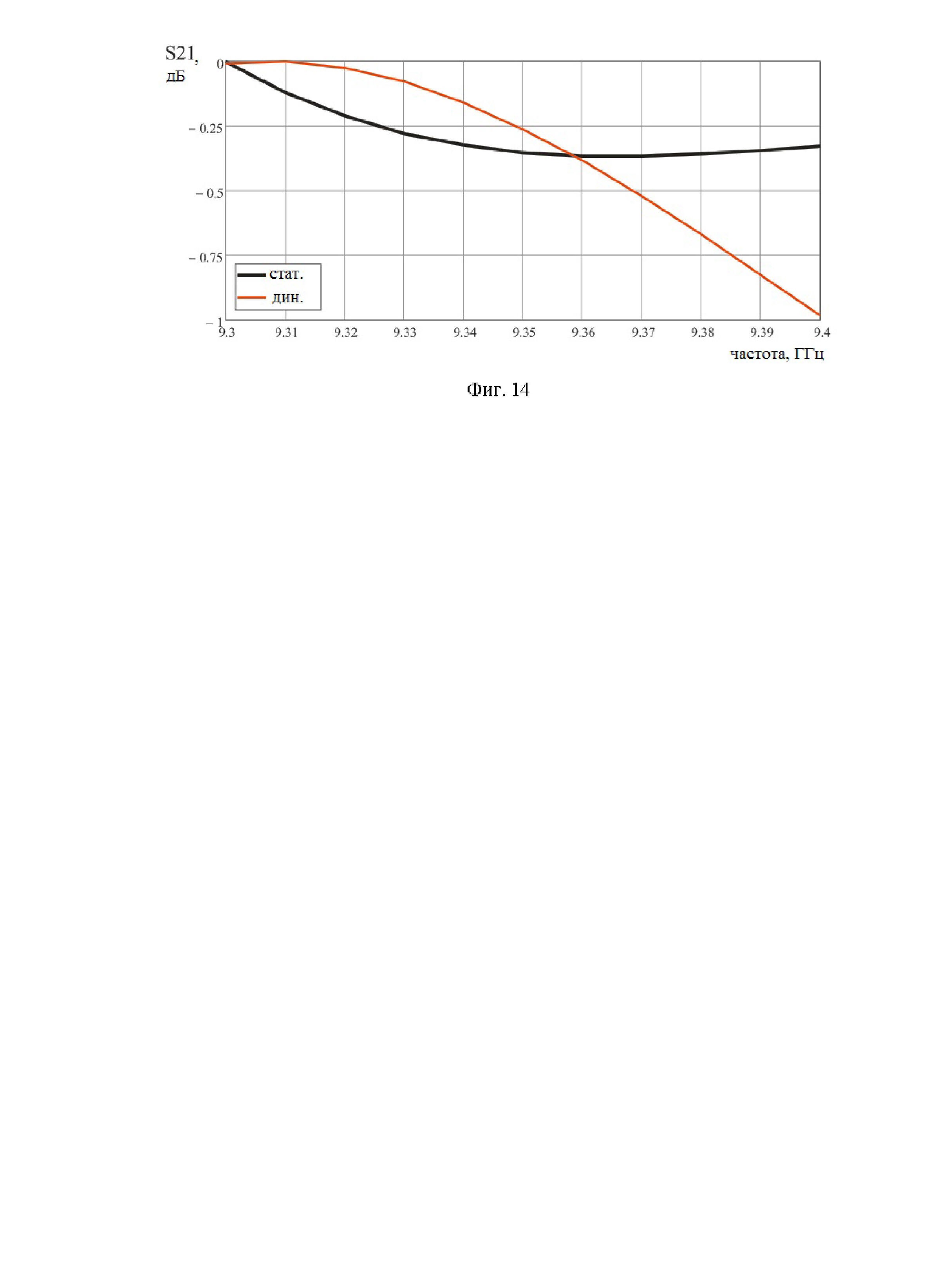
тестируемой антенны с подвижным кабелем от частоты, измеренного после статической и динамической калибровки стенда дальней зоны; на фиг. 14 - зависимость коэффициента передачи тестируемой антенны с подвижным кабелем
от частоты, измеренного после статической и динамической калибровки стенда ближней зоны.
,
и
(индексы для прямого и обратного зондирования опущены) вектора параметров ошибки модели подвижного измерительного стенда для системы уравнений (10).
и
(индексы для прямого и обратного зондирования опущены).
(индексы для прямого и обратного зондирования опущены). В противном случае делают допущение о том, что параметр развязки портов пренебрежимо мал:
. Результирующий вектор факторов ошибки модели измерительного стенда выглядит как: 
, а на фиг. 11 показана зависимость фазы
коэффициента отражения от подвижной антенны в полосе частот от 1 до 6 ГГц. Красная кривая соответствует измерению после статической калибровки, а синяя - после динамической. Стабильность параметра после динамической калибровки подтверждает факт повторяемости условий проведения измерений с точки зрения геометрии стенда. Измеренный с помощью предлагаемой методики комплексный коэффициент отражения соответствует паспортным данным на антенну.
между антеннами, от угла поворота по азимуту стенда для измерений в дальней зоне, когда тестируемая антенна подключалась к анализатору через подвижный тракт (фиг. 5). Измерения сравнивались после статической и динамической калибровки и проводились на частоте 3ГГц. Разница в измеренных значениях доходит до 0,4 дБ, что оказывает существенное влияние на точность антенных испытаний. На фиг. 13 показаны зависимости коэффициента передачи тестовой антенны с подвижным трактом
в полосе частот от 2,5 до 6,5 ГГц, измеренного после статической и динамической калибровки на стенде дальней зоны. Черная кривая соответствует измерению после статической калибровки, а красная - после динамической. Здесь разница достигает величины 4 дБ на отдельных частотах, что позволяет говорить о повышении точности калибровки подвижного измерительного стенда в широкой полосе частот при использовании предлагаемого способа калибровки.
в полосе частот от 9,3 до 9,4 ГГц, измеренного после статической и динамической калибровки. Черная кривая соответствует измерению после статической калибровки, а красная - после динамической. В полосе порядка 10% разница в измерениях достигает величины более 0,5 дБ на верхних частотах, что также подтверждает повышение точности калибровки подвижного планарного сканера.