Изобретение относится к органической химии, конкретно к синтезу пара-ацетиламинофенола (парацетамола), применяемому в медицине в качестве анальгезирующего и жаропонижающего средства. Способ получения пара-ацетиламинофенола заключается в окислении анилина с последующим ацилированием образующегося пара-аминофенола и выделением целевого продукта, характеризуется тем, что для повышения выхода процесс окисления анилина персульфатом аммония (ПСА), или калия (ПСК), или натрия (ПСН) ведут в присутствии второго окислителя пероксида водорода при мольном соотношении анилин:ПСА (ПСК, ПСН):Н2О2 1:1,5:2 при 40-50°С в течение 10-12 ч при непрерывном барботировании реакционной смеси воздухом. Техническим результатом изобретения является увеличение выхода целевого соединения и упрощение технологии его получения. 3 табл., 2 пр.
Способ получения пара-ацетиламинофенола путем окисления анилина с последующим ацилированием образующегося пара-аминофенола и выделением целевого продукта, отличающийся тем, что для повышения выхода процесс окисления анилина персульфатом аммония (ПСА), или калия (ПСК), или натрия (ПСН) ведут в присутствии второго окислителя пероксида водорода при мольном соотношении Анилин:ПСА (ПСК, ПСН):Н2О2 1:1,5:2 при 40-50°С в течение 10-12 ч при непрерывном барботировании воздухом.
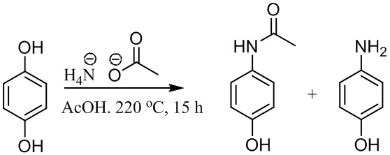
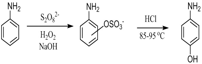
Изобретение относится к органической химии, конкретно к синтезу пара-ацетиламинофенола (парацетамола, ацетаминофена, N-(4-гидроксифенил)ацетамида), который применяется в медицине в качестве анальгезирующего и жаропонижающего средства. Пара-ацетиламинофенол (парацетамол, ацетаминофен) обычно получают ацетилированием пара-аминофенола - ключевого интермедиата в синтезе пара-ацетиламинофенола: Пара-аминофенол в свою очередь может быть получен разными способами: восстановлением пара-нитрофенола, восстановлением пара-нитрозофенола. Промышленный способ получения парацетамола заключается в восстановлении пара-нитрофенола до пара-аминофенола и ацетилировании последнего уксусным ангидридом. При этом пара-нитрофенол получают либо прямым нитрованием фенола [US 3663261 (1973), US 3517075 (1971), US 3510527 (1971)] либо последовательно нитрованием хлорбензола и щелочным гидролизом образующегося пара-нитрохлорбензола [US 3263011 (1966); M. Takasaki, Y. Motoyama, K. Higashi, S.-H.Yoon, I. Mochida, H. Nagashima, Org. Lett. 2008, 10, 1601-1604; M. Li, L. Hu, X. Cao, H. Hong, J. Lu and H. Gu, Chem. Eur. J. 2011, 17, 2763-2768]. Общими недостатками этих способов являются многостадийность, образование большого количества солей, а также неселективность реакции нитрования, приводящая к образованию смеси орто- и пара-нитрофенолов, требующая разделения орто- и пара-изомеров перегонкой с водяным паром. Еще один способ получения пара-аминофенола - гидрирование нитробензола до фенилгидроксиламина, превращающегося в кислых условиях через перегруппировку Бамбергера в ключевой пара-аминофенол [C. V. Rode, M. J. Vaidya, R. Jaganathan and R. V.Chaudhari, Chem. Eng. Sci. 2001, 56, 1299-1304; J. M. Nadgeri, N. S. Biradar, P. B. Patil, S. T. Jadkar, A. C. Garade and C. V. Rode, Ind. Eng. Chem. Res. 2011, 50, 5478-5484.]. Недостатками этого способа являются образование большого количества сульфатных солей, а также побочного продукта - анилина. Пара-аминофенол можно получить восстановлением пара-нитрозофенола в этилацетате в присутствии катализатора Pd/C при давлении водорода 2,0-4,- атм и температуре 20-50°С [RU 2461543 (2012)]. Недостатком способа метода является труднодоступность исходного пара-нитрозофенола, проведение процесса под давлением, использование дорогостоящего катализатора (Pd), а также экологически небезопасных растворов концентрированных кислот (HCl, HNO3) и щелочей. Известен способ получения пара-аминофенола путем фотоокисления ароматических аминов кислородом при облучении видимым светом в водно-органическом растворителе в присутствии активных и стабильных фотосенсибилизаторов, представляющих собой замещенные фталоцианины [RU 2567552 (2015)]. Выход пара-аминофенола составляет 70%. Однако данный способ предполагает использование сложного специального оборудования - лазера или светодиодов. Пара-ацетиламинофенол может быть получен амидированием гидрохинона ацетамидом [R. Joncour, N. Duguet, E. Наиболее близким к заявляемому способом получения орто- и пара-аминофенолов является двухстадийный процесс, на первой стадии которого анилин окисляют персульфатом аммония в щелочной среде при 40-60°С, в присутствии 0,01-0,03 вес% фталоцианинового катализатора окисления (фталоцианина кобальта, железа (II), железа (III), марганца, никеля или цинка), с последующим охлаждением реакционной смеси, выделением промежуточных 4(2)-аминофенилсульфатов. При гидролизе последних в кислой среде при 85-95°С получают смесь орто- и пара-аминофенолов, из которой орто-аминофенол выделяют экстракцией хлороформом. Пара-аминофенол остается в водной фазе. В зависимости от продолжительности окисления анилина выход и соотношение образующихся орто- и пара-изомеров варьируется. Максимальный выход пара-аминофенола (72%) достигается при продолжительности окисления анилина 15 ч, при этом их реакционной смеси выделен также орто-аминофенол (13%) (Заявка на патент РФ №2021130569). Задача, на решение которой направлено настоящее изобретение, заключается в увеличении выхода целевого соединения и упрощении технологии его получения. Поставленная задача решается предлагаемым способом получения пара-аминофенола - ключевого соединения в синтезе пара-ацетиламинофенола. Анилин окисляют двумя окислителями - персульфатом аммония (ПСА) или калия (ПСК) или натрия (ПСН) и пероксидом водорода, в щелочной среде при мольном соотношении Анилин:NaOH:ПСА (ПСК, ПСН):Н2О2 равном 1:5:1,5:2 при 40-50°С в течение 10 ч при непрерывном барботировании воздухом через реакционную массу. Затем реакционную смесь охлаждают до комнатной температуры, гидролизуют соляной кислотой при 85-95°С и получают пара-аминофенол с выходом до 95 %. Оптимальная продолжительность окисления анилина - 10-12 ч. При окислении менее 10 ч наблюдается уменьшение конверсии, образуется смесь орто- и пара-аминофенолов, При увеличении продолжительности окисления больше 12 ч выход пара-аминофенола также снижается, вероятно вследствие протекания побочных процессов. Сущность заявленного технического решения подтверждается примерами конкретного выполнения. Пример 1. Получение пара-аминофенола (табл. 1, п. 5) В трехгорлой колбе, снабженной барботером, капельной воронкой, обратным холодильником и механической мешалкой, перемешивают 5 мл (0,055 моль) анилина в 30 мл дистиллированной воды при 40°С до полного растворения анилина, затем в реакционную смесь приливают раствор 11 г NaOH (0,275 моль) в 70 мл воды и прикапывают раствор 18,7 г (0,082 моль) персульфата аммония в 40 мл воды. После полного прибавления персульфата аммония прикапывают 10 мл 30%-ного пероксида водорода (0,11 моль) и начинают барботаж воздуха. Реакционную смесь перемешивают при температуре 40°С в течение 10 ч при непрерывном барботировании воздухом, охлаждают до комнатной температуры, экстрагируют этилацетатом (2×30 мл) для удаления непрореагировавшего анилина. В водную фракцию прикапывают 3,34 мл (0,11 моль) соляной кислоты, нагревают до 90°С и выдерживают при этой температуре при постоянном перемешивании в течение 3 ч, контролируя по ТСХ (элюент этанол:аммиак 4:1), охлаждают до комнатной температуры, подщелачивают раствором NaHCO3 до рН 7-8, экстрагируют хлороформом (3×20 мл), органический слой сушат MgSO4, после удаления растворителя получают 0% орто-аминофенола. Водную фазу упаривают досуха, остаток растворяют в этиловом спирте, этанольный экстракт упаривают при пониженном давлении и получают 5,7 г (95%) пара-аминофенола в виде светло-коричневых кристаллов. В пересчете на исходный анилин выход пара-аминофенола составляет 95%. Пара-аминофенол. Кристаллы светло-коричневого цвета. Тпл = 185-188оС. Спектр ЯМР1Н (DMSO-d6, δ, м.д.): 4.37 (2Н, уш. с, NH2), 6.37-6.44 (2Н, м, ArH), 6.44-6.50 (2Н, м, ArH), 8.33 (1Н, уш. с, ОН). Спектр ЯМР13С (DMSO-d6, δ, м.д.): 115.90, 116.08 (4 СН, ArH), 140.97 (C-NH2), 148.80 (C-OH). Пример 2. Ацилирование пара-аминофенола. В круглодонную колбу, снабженную обратным холодильником, мешалкой и капельной воронкой, помещают 3,1 г (0,028 моль) пара-аминофенола, 10 мл воды и осторожно прикапывают 4 мл уксусного ангидрида. Реакционную смесь перемешивают до полного растворения пара-аминофенола, затем нагревают в течение 10 мин. Реакционную смесь охлаждают, (внешнее охлаждение, ледяная баня). Образовавшийся кристаллический осадок отфильтровывают, промывают небольшим количеством ледяной воды, сушат на воздухе. Получают 4,08 г (90%) пара-ацетиламинофенола. Пара-ацетиламинофенол. Кристаллы белого цвета. Т пл 169-171°С. Спектр ЯМР1Н (DMSO-d6, δ, м.д.): 1.98 (с, 3Н, СН3), 6.62 (д, 2Н, J=4.5 Гц), 7.30 (д, 2Н, J=4.5 Гц), 8.86 (с, 1Н, NH), 9.47 (с, 1Н, ОН) Спектр ЯМР13С (DMSO-d6, δ, м.д.): 24.0 (СН3), 116.1, 123.0 (4 СН, ArH), 131.1 (C-NH), 154.1 (C-OH), 168.9 (С=О). Суммарный выход пара-ацетиламинофенола (в пересчете на исходный анилин) - 85,5%. Таким образом, предложен удобный способ получения пара-ацетиламинофенола (парацетамола), позволяющий существенно увеличить выход целевого соединения.

, A. Ferreira, M. Lemaire. Amidation of phenol derivatives: a direct synthesis of paracetamol (acetaminophen) from hydroquinone. Green Chemistry, Royal Society of Chemistry, 2014, 16, pp.2997-3002.]. К недостаткам способа можно отнести высокую температуру процесса, длительность реакции, а также образование побочного пара-аминофенола.


Таблица 1. Зависимость выхода орто- и пара-аминофенолов от продолжительности окисления, окислитель - персульфат аммония (мольное соотношение анилин:NaOH:ПСА:Н2О2 1:5:1,5:2; температура 40°С) при барботировании воздухом № п/п Время реакции, ч Выход АФ, % общий о-АФ п-АФ 1 2 38 38 - 2 4 54 41 13 3 6 70 30 40 4 8 87 10 77 5 10 95 - 95 6 12 93 - 93 Таблица 2. Зависимость выхода орто- и пара-аминофенолов от продолжительности окисления, окислитель - персульфат калия (мольное соотношение анилин:NaOH:ПСК:Н2О2 1:5:1,5:2; температура 40°С), при барботировании воздухом № п/п Время реакции, ч Выход АФ, % общий о-АФ п-АФ 1 2 35 35 - 2 4 56 46 10 3 6 59 20 39 4 8 65 10 55 5 10 85 - 85 6 12 83 - 83 Таблица 3. Зависимость выхода орто- и пара-аминофенолов от продолжительности окисления, окислитель - персульфат натрия (мольное соотношение анилин:NaOH:ПСН:Н2О2 1:5:1,5:2; температура 40°С), при барботировании воздухом № п/п Время реакции, ч Выход АФ, % общий о-АФ п-АФ 1 2 30 30 - 2 4 47 40 7 3 6 49 13 36 4 8 57 7 50 5 10 81 - 81 6 12 79 - 79