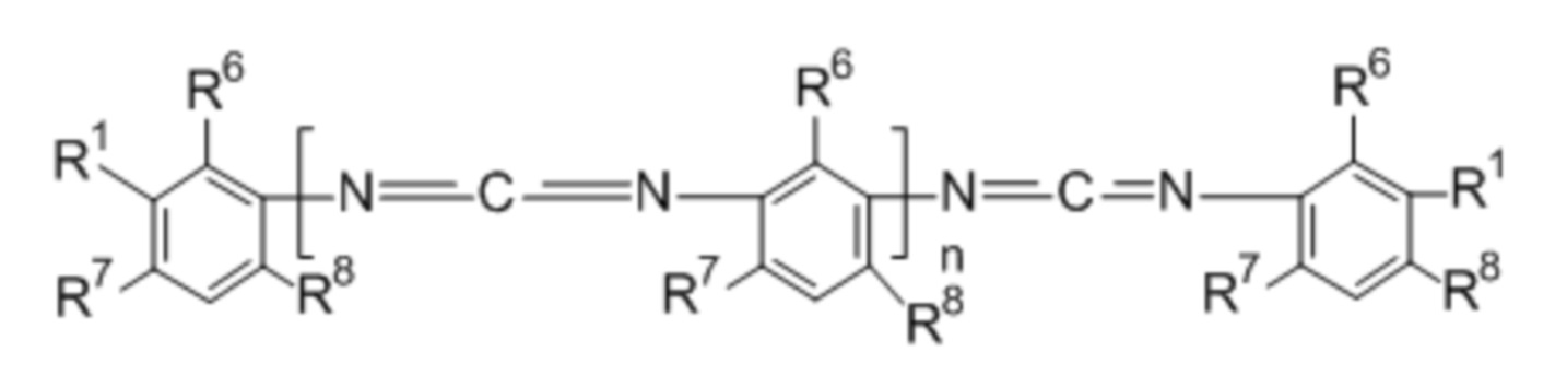
Группа изобретений относится к композиции, содержащей полимеры на основе карбодиимидов, эпоксидов и сложных полиэфиров, их получения и применения для ингибирования гидролиза. Описана композиция для получения формованных изделий, содержащая: (а) 0,2-2 мас.% по меньшей мере одного ароматического карбодиимида; (б) 0,05-4 мас.% по меньшей мере одного эпоксида и (с) 94-99,75 мас.% по меньшей мере одного термопластичного полимера на основе сложного полиэфира. При этом по меньшей мере один ароматический карбодиимид представляет собой карбодиимид формулы
, в котором R1 представляет собой NHCOOR5, R5 представляет собой C1-C22-алкильный, C6-C12-циклоалкильный, C6-C18-арильный или C7-C18-аралкильный радикал, и ненасыщенный алкильный радикал, имеющий 2-22 атома углерода, предпочтительно 12-20, особо предпочтительно 16-18 атомов углерода, или алкоксиполиоксиалкиленовый радикал, и R6, R7 и R8каждый независимо представляет собой метил или этил, где каждое бензольное кольцо несет только одну метильную группу и n имеет значение от 1 до 10. Эпоксид представляет собой соединение
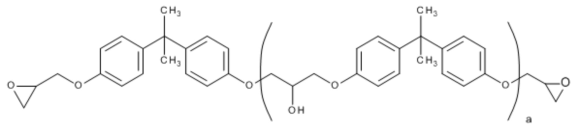
где a равно от 0 до 10, где a представляет собой среднее число или
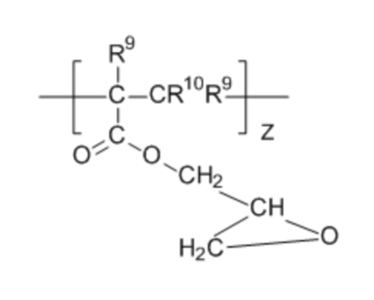
, где R9, R10представляют собой H, C1-C8-алкил, R11 представляет собой C1-C8-алкил, x, y имеют значения 1-20 и z имеет значение 2-20, и R* представляет собой H, C1-C8-алкил. Описан также способ получения композиции, готовое изделие и применение композиции для получения готовых изделий экструзией. Технический результат – обеспечение композиций для формованных изделий, которые устойчивы к гидролизу, демонстрируют пониженную эмиссию газов, и производство их экономически эффективно. 4 н. и 3 з.п. ф-лы, 3 табл., 11 пр.
1. Композиция для получения формованных изделий, содержащая (a) 0,2-2% масс., по меньшей мере, одного полимерного ароматического карбодиимида формулы (II) где R1 представляет собой NHCOOR5, R5 представляет собой C1-C22-алкильный, C6-C12-циклоалкильный, C6-C18-арильный или C7-C18-аралкильный радикал, и ненасыщенный алкильный радикал, имеющий 2-22 атома углерода, предпочтительно 12-20, предпочтительно 16-18 атомов углерода, или алкоксиполиоксиалкиленовый радикал, и R6, R7 и R8каждый независимо представляет собой метил или этил, где каждое бензольное кольцо несет только одну метильную группу, и n имеет значение от 1 до 10, (b) 0,05-4 мас.%, по меньшей мере, одного эпоксида, выбираемого из олигомерного продукта взаимодействия бисфенола А с эпихлоргидрином формулы (III), где a равно от 0 до 10, где a представляет собой среднее число, или соединения формулы (IV) где R9, R10представляют собой H, C1-C8-алкил, R11 представляет собой C1-C8-алкил, x, y имеют значения 1-20 и z имеет значение 2-20, и R* представляет собой H, C1-C8-алкил, и (c) 94-99,75 мас.%, по меньшей мере, один термопластичный полимер на основе сложного полиэфира, выбранный из группы, включающей полиэтилентерефталат (PET), политриметилентерефталат (PTT), термопластичные сложные полиэфирные эластомеры (TPE E), этиленвинилацетат (EVA), полимолочную кислоту (PLA) и/или производные PLA, полибутиленсукцинаты (PBS), полигидроксиалканоаты (PHA) и их смеси, термопластичные полиуретаны, полиуретановые эластомеры, PU-адгезивы и PU герметизирующие смолы. 2. Композиция по п. 1, характеризующаяся тем, что эпоксид представляет собой олигомерный продукт взаимодействия бисфенола A с эпихлоргидрином, имеющим среднюю молекулярную массу (согласно EN ISO 10927) от 900 до 1200г/моль и эпоксидный индекс (согласно ISO 3001) от 450 до 600 г на эквивалент. 3. Композиция по п.1 или 2, характеризующаяся тем, что указанная композиция содержит a), b) и c) в следующих пропорциях: a) 0,4-1,5 мас.%, более предпочтительно 0,5-1,0 мас.%, b) 0,1-2 мас.%, более предпочтительно 0,5-1,5 мас.%, c) 96,5-99,5 мас.%, более предпочтительно 97,5-99,0 мас.% 4. Способ получения композиции по любому из пп. 1-3, характеризующийся тем, что компоненты a) и b) смешивают, по меньшей мере, с одним термопластичным полимером на основе сложного полиэфира c). 5. Способ получения композиции по п. 4, характеризующийся тем, что компоненты a) и b) смешивают, по меньшей мере, с одним термопластичным полимером на основе сложного полиэфира c) при температурах 160-330°C. 6. Готовое изделие, получаемое смешиванием композиций по любому из пп. с 1-3, по меньшей мере, в одном перемешивающем агрегате, и дальнейшей обработкой способом инжекционного формования или экструзии с получением формованных материалов. 7. Применение композиций по любому из пп. 1-3 для получения экструзией готовых изделий.


Настоящее изобретение касается композиций, содержащих полимеры на основе карбодиимидов, эпоксидов и сложных полиэфиров, их получения и применения для ингибирования гидролиза. Доказано, что широко разнообразные карбодиимиды полезны во многих областях применения, например, в качестве ингибиторов гидролиза для термопластов, полиолов на основе сложных эфиров, полиуретанов, триглицеридов, смазочных масел и т.д. Однако у них есть недостатки: эмиссия газов, возможно, вредных для здоровья, и очень высокая стоимость и сложность производства. Производство эпоксидов дешевле, но у них есть недостаток, они не достигают активности по стабилизации в отношении гидролиза карбодиимидов даже при очень высоких концентрациях. Они действуют лишь как поглотители кислот и обеспечивают только недостаточную долговременную стабилизацию при более высоких температурах. В частности, в приложениях с очень высокими требованиями, например, в условиях высокой атмосферной влажности и температуры они имеют недостаточную активность в качестве ингибиторов гидролиза, так как пластмассы на основе сложных эфиров обычно обрабатывают при температурах выше 200°C. В DE 10349168 A1 описан ингибитор гидролиза, составленный из эпоксидированных эфиров жирных кислот и глицеридов и их смеси с мономерным карбодиимидом. Описанные там стабилизаторы действуют как поглотители кислот в маслах. Однако при обработке в указанных выше условиях термопластмасс на основе сложных эфиров они демонстрируют недостаточную активность (если вообще демонстрируют) по долговременной устойчивости к гидролизу. Кроме того, в результате применения мономерных карбодиимидов возрастает эмиссия токсичных газов. Таким образом, целью настоящего изобретения является получение новых, экономически эффективных композиций, которые устойчивы к гидролизу, демонстрируют пониженную эмиссию газов, и производство их экономически эффективно. В настоящее время неожиданно обнаружено, что указанной выше цели можно достичь, используя комбинацию, по меньшей мере, одного полимерного ароматического карбодиимида, по меньшей мере, одного эпоксида, имеющего, по меньшей мере, 2 эпоксидных группы, и, по меньшей мере, одного полимера на основе сложного полиэфира, в частности, полиалкилентерефталата или полилактида. Таким образом, настоящее изобретение касается композиции, содержащей (a) по меньшей мере, один полимерный ароматический карбодиимид формулы (I) R1-R2-(-N=C=N-R2-)m-R1 (I), где m представляет собой целое число от 2 до 500, предпочтительно от 3 до 20, особо предпочтительно от 4 до 10, R2 представляет собой C1-C12-алкил-замещенные арилены, C7-C18-алкиларил-замещенные арилены и необязательно C1-C12-алкил-замещенные C1-C8-алкилен-мостиковые арилены, содержащие всего от 7 до 30 атомов углерода, и арилен, предпочтительно где R6, R7 и R8каждый независимо представляет собой метил или этил, где каждое бензольное кольцо несет только одну метильную группу и n=от 1 до 10, и R1 обозначает -NCO, -NCNR3-NHCONHR3, -NHCONR3R4 или -NHCOOR5, где R3 и R4 одинаковые или разные и представляют собой C1-C12-алкильный, C6-C12-циклоалкильный, C7-C18-аралкильный или арильный радикал, и R5 представляет собой C1-C22-алкильный, C6-C12-циклоалкильный, C6-C18-арильный или C7-C18-аралкильный радикал и ненасыщенный алкильный радикал, имеющий 2-22 атома углерода, или алкоксиполиоксиалкиленовый радикал, (b) по меньшей мере, один эпоксид, предпочтительно имеющий, по меньшей мере, 2 эпоксидные группы, и (c) по меньшей мере, один термопластичный полимер на основе сложного полиэфира. Термин «арилен» включает в частности фениленовые, нафталиновые, антриленовые и/или фенантриленовые радикалы, предпочтительно фениленовые радикалы. Полимерные ароматические карбодиимиды a) предпочтительно представляют собой соединения формулы (II) где R1 выбран из группы -NCO, -NHCONHR3, -NHCONR3R4 или -NHCOOR5, где R3 и R4 одинаковые или разные и представляют собой C1-C12-алкильный, C6-C12-циклоалкильный, C7-C18-аралкильный радикал или арильный радикал, R5 представляет собой C1-C22-алкильный, C6-C12-циклоалкильный, C6-C18-арильный или C7-C18-аралкильный радикал и ненасыщенный алкильный радикал, имеющий 2-22 атома углерода, предпочтительно 12-20, особо предпочтительно 16-18 атомов углерода, или алкоксиполиоксиалкиленовый радикал,и R6, R7 и R8каждый независимо представляет собой метил или этил, где каждое бензольное кольцо несет только одну метильную группу и n=от 1 до 10. Содержание карбодиимида (содержание NCN, определяемое титрованием щавелевой кислотой) для карбодиимидов формулы (II), применяемых по изобретению, предпочтительно составляет 2-14% масс., предпочтительно 4-13% масс., особо предпочтительно 6-12% масс. Кроме того, карбодиимиды, применяемые по изобретению, предпочтительно имеют средние молярные массы (Mw) 1000-5000 г/моль, предпочтительно 1500-4000 г/моль, особо предпочтительно 2000-3000 г/моль, определяемые методом ГПХ-вискозиметрии. Кроме того, предпочтение отдается карбодиимидам формулы (II), имеющим полидисперсность D=Mw/Mn 1,2-2,2, особо предпочтительно 1,4-1,8. Карбодиимиды предпочтительно являются коммерчески доступными соединениями, такими как, например, полимерные карбодиимиды торговой марки Stabaxol® от Lanxess Deutschland GmbH. Однако их также можно получить, например, способами, описанными в EP14191710.4. Предпочтительно, если компонент b) содержит всего, по меньшей мере, две эпоксидные группы на молекулу, где предпочтительно, по меньшей мере, одна эпоксидная группа является терминальной. Получение эпоксидированных соединений также известно специалистам в данной области. Предпочтительными эпоксидированными соединениями являются эфиры полиглицидила или поли(бета-метилглицидила), предпочтительно получаемые взаимодействием соединения, имеющего, по меньшей мере, две свободных спиртовых или фенольных гидроксильных группы, и/или взаимодействием фенольных гидроксильных групп с замещенным эпихлоргидрином. Предпочтительны эфиры полиглицидила или поли(бета-метилглицидила), производные ациклических спиртов, в частности, этиленгликоля, диэтиленгликоля и более высоких поли(оксиэтилен)гликолей, пропан-1,2-диола или поли(оксипропилен)гликолей, пропан-1,3-диола, бутан-1,4-диола, поли(окситетраметилен)гликолей, пентан-1,5-диола, гексан-1,6-диола, гексан-2,4,6-триола, глицерина, 1,1,1-триметилпропана, бистриметилoлпропана, пентаэритрита, сорбита или полиэпихлоргидринов. В альтернативном варианте предпочтительны эфиры полиглицидила или поли(бета-метилглицидила), производные циклоалифатических спиртов, в частности, 1,3- или 1,4-дигидроксициклогексана, бис(4-гидроксициклогексил)метана, 2,2-бис(4-гидроксициклогексил)пропана или 1,1-бис(гидроксиметил)циклогекс-3-ена, или они содержат ароматические ядра на основе N,N-бис(8,2-гидроксиэтил)анилина или p,p'-бис(2-гидроксиэтиламино)дифенилметана. Предпочтительные эпоксидированные соединения также основаны на моноядерных фенолах, на полиядерных фенолах. Предпочтительными моноядерными фенолами являются резорцин или гидрохинон. Предпочтительными полиядерными фенолами являются бис(4-гидроксифенил)метан, 2,2-бис(4-гидроксифенил)пропан, 2,2-бис(3,5-дибром-4-гидроксифенил)пропан или 4,4'-дигидроксидифенилсульфон. Предпочтительными продуктами конденсации фенолов с формальдегидом являются фенольные новолаки. Предпочтительные ароматические эпоксидные соединения имеют 2 терминальных эпоксидных функции. Предпочтительным ароматическим эпоксидным соединением, имеющим 2 терминальных эпоксидных функции, является олигомерный продукт взаимодействия бисфенола A с эпихлоргидрином, имеющим среднюю молекулярную массу (согласно EN ISO 10927) от 900 до 1200 г/моль и эпоксидный индекс (согласно ISO 3001) от 450 до 600 г на эквивалент. Особо предпочтительным компонентом c) является олигомерный продукт взаимодействия бисфенола A с эпихлоргидрином формулы (III). где a равно от 0 до 10, предпочтительно a равно от 1 до 8, еще предпочтительнее a равно от 1 до 6, особо предпочтительно от 2 до 3, где a представляет собой среднее число. Компоненты c) предпочтительно получают способом по US2002/0128428 A1, и они имеют среднюю молекулярную массу согласно EN ISO 10927 от 900 до 1200 г/моль (что соответствует в формуле (III) значению a от 2 до 3) и эпоксидный индекс (согласно ISO 3001) от 450 до 600 г на эквивалент. Эпоксидное соединение, применимое по изобретению, предпочтительно имеет температуру размягчения по Меттлеру согласно DIN 51920 в диапазоне от 0 до 150°C, еще предпочтительнее от 50°C до 120°C, особо предпочтительно от 60°C до 110°C и, в частности, от 75°C до 95°C. Температура размягчения по Меттлеру - это температура, при которой образец вытекает из цилиндрического штуцера, имеющего сливное отверстие диаметром 6,35 мм, прерывая, таким образом, оптический затвор, который располагается на 19 мм ниже. С этой целью образец нагревают на воздухе в постоянных условиях. Предпочтительно применяемые эпоксидные соединения имеют среднюю массу эпоксидного эквивалента (EEW, г смолы, содержащей один моль эпоксидно-связанного кислорода), определяемую титрованием согласно DIN 16945, в диапазоне от 162 до 2000 г/экв., предпочтительно от 250 до 1200 г/экв., еще предпочтительнее от 350 до 1000 г/экв. и особо предпочтительно от 450 до 800 г/экв. Особо предпочтительно применяемым в качестве компонента b) соединением является поли(бисфенол А-коэпихлоргидрин) [CAS No. 25068-38-6], предпочтительно имеющий значение средней молекулярной массы (Mn), определяемое методом MALDI-TOF масс-спектрометрии, матрично-активированной лазерной десорбционной/ ионизационной времяпролетной масс-спектрометрии согласно EN ISO 10927, в диапазоне от 600 до 1800 г/моль, получаемый, например, как Epilox® от Leuna Harze GmbH, Leuna. Еще предпочтительными эпоксидными соединениями, имеющими, по меньшей мере, 2 эпоксидные функции, являются соединения из серии эпоксидов, коммерчески доступных под торговой маркой Joncryl® от BASF AG, например, Joncryl® 4368, которые содержат следующие звенья в любой комбинации. где R9, R10=независимо друг от друга H, C1-C8-алкил, R11=независимо друг от друга C1-C8-алкил, x, y=1-20, z=2-20, где концевые группы R* представляют собой H, C1-C8-алкил. Эпоксид предпочтительно соответствует формуле (IV) где R9, R10=независимо друг от друга H, C1-C8-алкил, R11=независимо друг от друга C1-C8-алкил, x, y=1-20, z=2-20, где концевые группы R* представляют собой H, C1-C8-алкил. Термопластичными полимерами на основе сложных полиэфиров c) предпочтительно являются поли-C1-C8-алкилтерефталаты, особо предпочтительно полиэтилентерефталат (PET), политриметилентерефталат (PTT), и сложные сополиэфиры, термопластичные полиэфирные эластомеры (TPE E), этиленвинилацетат (EVA), полимолочная кислота (PLA) и/или производные PLA, полибутиленсукцинаты (PBS), полигидроксиалканоаты (PHA) и их различные смеси. Полилактиды (PLA) особо предпочтительны. В предпочтительном варианте настоящего изобретения композиция по изобретению содержит: a) от 0,2% до 2% масс., предпочтительно от 0,4% до 1,5% масс., особо предпочтительно от 0,5% до 1,0% масс.; b) от 0,05% до 4% масс., предпочтительно от 0,1% до 2% масс., особо предпочтительно от 0,5% до 1,5% масс.; c) от 94% до 99,75% масс., предпочтительно от 96,5 до 99,5% масс., особо предпочтительно от 97,5 до 99,0% масс. Еще в одном предпочтительном варианте настоящего изобретения композиции не содержат дополнительных компонентов, отличных от компонентов a), b) и c), где сумма долей a), b) и c) равна 100% масс. Кроме того, настоящее изобретение касается способа получения композиции, согласно которому компоненты a) и b) смешивают, по меньшей мере, с одним термопластичный полимер на основе сложного полиэфира c). Здесь отдается предпочтение экструдерам или месильным машинам, особо предпочтительны экструдеры. Это коммерчески доступные смешивающие и перемешивающие агрегаты. В одном предпочтительном варианте настоящего изобретения смешивание компонентов a), b) и c) осуществляют при температурах от 150°C до 300°C. Еще в одном варианте способа по изобретению в смесь компонентов a), b) и c) вводят дополнительные добавки, предпочтительно зародышеобразующие агенты, армирующие волокна, модификаторы ударопрочности, усилители текучести и/или УФ-стабилизаторы. Настоящее изобретение также касается способа получения устойчивых к гидролизу готовых изделий посредством обработки композиции, содержащей компоненты a), b) и c), по меньшей мере, в одном перемешивающем агрегате, предпочтительно компаундере (аппарате интенсивного перемешивания0, до формованных материалов и их дальнейшей обработки предпочтительно способом инжекционного формования или экструзии с получением готовых изделий. Способы по изобретению получения готовых изделий экструзией или инжекционным формованием осуществляют при температурах плавления в диапазоне от 160 до 330°C, предпочтительно от 190 до 300°C и необязательно также при давлениях не выше 2500 бар, предпочтительно при давлениях не выше 2000 бар, еще предпочтительнее при давлениях не выше 1500 бар и особо предпочтительно при давлениях не выше 750 бар. При экструзии предпочтительно различать профиль экструзии и последовательной соэкструзии. Последовательная соэкструзия включает экструдирование двух разных материалов попеременно. Таким образом, формируется заготовка, имеющая разный состав материала по секциям в направлении экструзии. Возможно получить отдельные секции изделия с конкретно требуемыми свойствами на протяжении соответствующей секции материала, например, для изделий с мягкими краями и твердой средней секцией или едиными мягкими нижними областями (Thielen, Hartwig, Gust, "Blasformen von Kunststoffhohlkörpern" [Blow-Mouldingof Hollow Plastics Bodies], Carl Hanser Verlag, Munich 2006, стр. 127-129). Способ инжекционного формования включает плавление (пластификацию) сырья, предпочтительно в виде гранул, в нагретой цилиндрической полости и его заливку в качестве материала для инжекционного формования под давлением в полость с регулируемой температурой. В качестве сырья применяются композиции по изобретению, которые предпочтительно уже обработаны до формованного материала смешиванием, где указанный формованный материал в свою очередь предпочтительно обработан до гранулированного материала. После охлаждения (отверждения) формованного материала, вливаемого в полость с регулируемой температурой, инжекционно формованную часть вынимают из формы. В отличие от инжекционного формования при экструзии используют в экструдере непрерывный пластиковый экструдат формовочной композиции по изобретению, где экструдер представляет собой машину для получения термопластичных формованных/готовых изделий. Используемые аппараты включают: одношнековые экструдеры и двухшнековые экструдеры и соответствующие подгруппы, обычные одношнековые экструдеры, конвейерные одношнековые экструдеры, двухшнековые экструдеры с противоположным и односторонним вращением шнеков. Экструзионные установки предпочтительно состоят из следующих элементов: экструдер, форма, оборудование ниже по течению, экcтрузионно-выдувные формы. Экструзионные установки для производства профилей предпочтительно состоят из следующих элементов: экструдер, профильная форма, калибровочный элемент, зона охлаждения, гусеничный отвод и валковый отвод, отделяющее устройство и спускной желоб. Экструзионные установки для получения пленок состоят из следующих элементов: экструдер, зона охлаждения, зона растяжения и валковый отвод. Готовые изделия, получаемые по изобретению, предпочтительно представляют собой материалы, подвергаемые воздействию водной среды, атмосферной влажности или водных брызг. Такие готовые изделия, устойчивые к гидролизу, можно обнаружить в автомобилях, электронных устройствах, телекоммуникационных средствах, в области информационных технологий или компьютерной промышленности, а также в домашнем хозяйстве, в области спорта, медицины или развлечений. В предпочтительном варианте композиции по изобретению используются для получения устойчивых к гидролизу пленок, например, для упаковки или солнечных батарей. Настоящее изобретение также касается применения композиции по изобретению для получения готовых изделий экструзией, предпочтительно для упаковки или солнечных батарей. Область изобретения охватывает все перечисленные здесь выше и здесь ниже общепринятые или предпочтительные определения радикалов, индексов, параметров и пояснения к ним, в том числе соответствующие диапазоны и предпочтения в любой комбинации. Примеры, которые следуют, служат для разъяснения изобретения, но не являются ограничительными. Типичные варианты. Используемые материалы: 1) Стаб. A: мономерный карбодиимид, имеющий содержание NCN примерно 10,8% масс. в пересчете на 2,6-диизопропилфенил изоцианат, получаемый от Lanxess Deutschland GmbH под названием Stabaxol® I. 2) Стаб. B: полимерный карбодиимид, имеющий содержание NCN примерно 11,8% масс., D=примерно 1,8 и Mw=2300 г/моль формулы (II), где n=примерно 3-4, R6, R7, R8 каждый независимо представляет собой метил или этил, где каждое бензольное кольцо несет только одну метильную группу, R1=-NHCOOR5, и R5=циклогексил. 3) Стаб. C: эпоксид формулы (III), где n равно 2-3 при массе эпоксидного эквивалента (DIN 16945) от 500 до 700 г/экв. и температура размягчения (Меттлер, DIN 51920) от 75 до 90°C [CAS №25068-38-6]. 4) Полиэтилентерефталат (PET), получаемый от Novapet. 5) Полиакриловая кислота (PLA), получаемая от NatureWorks. Ингибирование гидролиза в полиэтилентерефталате (PET) Для оценки эффекта ингибирования гидролиза в PET перед определением диспергируют стабилизаторы, применяемые согласно примеру (Стаб A, B и C), в PET при помощи лабораторного двухшнекового экструдера ZSK 25 от Werner & Pfleiderer при температуре около 280°C, как описано ниже. Затем готовят F3 стандартные тестовые образцы, применяемые для определения прочности на растяжение, из полученных на машине для инжекционного формования Arburg Allrounder 320S 150-500 гранулированных материалов. Для теста на гидролиз эти F3 стандартные тестовые образцы хранят в парах воды при температуре 110°C и измеряют их прочность на растяжение в МПа. Ингибирование гидролиза в полимолочной кислоте (PLA) Для оценки эффекта ингибирования гидролиза в PLA перед определением диспергируют стабилизаторы, применяемые согласно примеру (Стаб B и C), в PLA при помощи лабораторного двухшнекового экструдера ZSK 25 от Werner & Pfleiderer при температуре около 200°C, как описано ниже. Затем готовят F3 стандартные тестовые образцы, применяемые для определения прочности на растяжение, из полученных на машине для инжекционного формования Arburg Allrounder 320S 150-500 гранулированных материалов. Для теста на гидролиз эти F3 стандартные тестовые образцы хранят в воде при температуре 65°C и измеряют их прочность на растяжение в МПа. Используемые количества компонентов смеси и результаты исследований перечислены в таблицах 1 и 2: Таблица 1: сравн.=сравнительный пример из DE10349168, изобр.=по изобретению Таблица 2: сравн.=сравнительный пример, изобр.=по изобретению Таблица 3: сравн.=сравнительный пример из DE 10349168, изобр.=по изобретени Приведенные в таблицах 1 и 2 проценты представляют собой % массовые доли соответствующих стабилизаторов. Результаты тестов на ингибирование гидролиза демонстрируют, что взятые отдельно эпоксиды показывают небольшой стабилизирующий эффект (если вообще показывают), но вместе с полимерными карбодиимидами по изобретению (например, Стаб. B) неожиданно показывают очевидный положительный синергический эффект на устойчивость к гидролизу. В противоположность этому, комбинация мономерных карбодиимидов с эпоксидами не дает такого синергического эффекта.
(II)
(III),
,
и
(IV)Относительная прочность на растяжение (%) Пр. 1 (сравн.)
PETПр. 2 (сравн.) PET, 1% Стаб A Пр. 3 (сравн.) PET, 2% Стаб C Пр. 4 (сравн.) PET, 4% Стаб C Пр. 5 (сравн.) PET, 1% Стаб A, 1,5% Стаб C 0 дней 100 100 100 100 100 1 день 75 86 61 63 86 2 дня 40 80 33 40 81 3 дня 0 64 0 0 65 4 дня 44 47 5 дней 30 38 Относительная прочность на растяжение (%) Пр. 1
(сравн.) PETПр. 6
(сравн.)PET, 1% Stab. BПр. 7
(изобр.)PET, 1% Стаб B, 1,5% Стаб C0 дней 100 100 100 1 день 75 86 89 2 дня 40 83 89 3 дня 0 76 87 4 дня 60 82 5 дней 40 64 6 дней 18 54 7 дней 0 40 Относительная прочность на растяжение (%) Пр. 8 (сравн.) PLA Пр.9
(сравн.) PLA, 4% Стаб CПр. 10
(сравн.) PLA, 0,5% Стаб BПр. 11 (изобр.) PLA, 0,5% Стаб B, 1,5% Стаб C 0 дней 100 100 100 100 1 день 94 96 98 98 2 дня 62 79 96 97 3 дня 22 57 71 97 4 дня 0 0 44 97 5 дней 0 97 6 дней 97 7 дней 97 8 дней 97 9 дней 97 10 дней 97 11 дней 94 12 дней 88 13 дней 67 14 дней 53 15 дней 28 16 дней 0