патент
№ RU 2777981
МПК C08L23/12

ПОЛИОЛЕФИНОВЫЕ ПОЛИМЕРЫ С ПОВЫШЕННОЙ ПРОЧНОСТЬЮ РАСПЛАВА

Авторы:
ЧЖУН, Цзин (US)
Правообладатель:
Номер заявки
2020117287
Дата подачи заявки
26.10.2018
Опубликовано
12.08.2022
Страна
RU
Дата приоритета
15.12.2025
Номер приоритета
Страна приоритета
Как управлять
интеллектуальной собственностью
Чертежи 
1
Реферат

[110]

Изобретение относится к области полимерных материалов. Описана полимерная композиция с повышенной прочностью расплава, предназначенная для изготовления изделий с помощью процессов термоформования и вспенивания. Полимерная композиция по изобретению содержит по меньшей мере один полипропиленовый полимер не содержащий длинноцепочечных ответвлений, смешанный с модификатором прочности расплава, представляющим собой производное сорбита, причем модификатор прочности расплава присутствует в полимерной композиции в количестве, достаточном для создания проникающей сети, когда полимерную композицию нагревают до расплавленного состояния, причем полимерная композиция содержит по меньшей мере 90% по массе полипропиленового полимера, а модификатор прочности расплава присутствует в полимерной композиции в количестве от около 0,6% по массе до около 10% по массе. Модификатор прочности расплава обеспечивает повышенную прочность расплава полипропиленового полимера, необходимую для процессов термоформования и вспенивания в отсутствие разветвленности в полипропиленовом полимере. 4 н. и 14 з.п. ф-лы, 1 ил., 2 табл.

Формула изобретения

1. Полимерная композиция с повышенной прочностью расплава для процессов термоформования и/или вспенивания, содержащая:

полипропиленовый полимер, смешанный с модификатором прочности расплава, причем модификатор прочности расплава присутствует в полимерной композиции в количестве, достаточном для создания проникающей сети, когда полимерную композицию нагревают до расплавленного состояния,

где полипропиленовый полимер не содержит длинноцепочечных ответвлений, и

где полимерная композиция содержит по меньшей мере 90% по массе полипропиленового полимера,

где модификатор прочности расплава представляет собой производное сорбита, и

где модификатор прочности расплава присутствует в полимерной композиции в количестве от 0,6% по массе до 10% по массе.

2. Полимерная композиция по п. 1, которая имеет температуру перехода в вязкоупругое состояние по меньшей мере 180°C.

3. Полимерная композиция по п. 1, которая имеет показатель деформационного упрочнения более 0,4, коэффициент разжижения при сдвиге более 100 и индекс эластичности более 0,2.

4. Полимерная композиция по п. 1, в которой полипропиленовый полимер содержит гомополимер полипропилена.

5. Полимерная композиция по п. 1, в которой полипропиленовый полимер содержит сополимер полипропилена.

6. Полимерная композиция по п. 1, в которой модификатор прочности расплава содержит производное бензилиденсорбита.

7. Полимерная композиция по п. 1, которая имеет показатель деформационного упрочнения более 0,9.

8. Полимерная композиция по п. 1, которая имеет коэффициент разжижения при сдвиге более 120.

9. Полимерная композиция по п. 1, которая имеет температуру перехода в вязкоупругое состояние от 190°C до 230°C.

10. Полимерная композиция по п. 1, которая имеет индекс эластичности более 0,4.

11. Полимерная композиция по п. 1, в которой модификатор прочности расплава содержит 1,3:2,4-бис(3,4-диметилдибензилиден)сорбит, 1,2,3- тридезокси-4,6:5,7-бис-O-[(4-пропилфенил)метилен]нонитол, 1,3:2,4-бис(п-нитробензилиден)сорбит, (1,3-2,4-дибензилиденсорбит), 1,3-2,4-бис(п-метоксибензилиден)сорбит, 1,3:2,4-бис(м-метоксибензилиден)сорбит, 1,3:2,4-бис(п-хлорбензилиден)сорбит, 1,3:2,4-бис(п-метилбензилиден)сорбит или их смеси.

12. Полимерная композиция по п. 1, которая дополнительно содержит нуклеирующий агент, индуцирующий пенообразование, в дополнение к модификатору прочности расплава.

13. Полимерная композиция по п. 1, которая содержит порообразующее вещество.

14. Полимерная композиция по п. 13, в которой порообразующее вещество содержит азот, двуокись углерода, изобутан, циклопентан, воздух, метилхлорид, этилхлорид, пентан, изопентан, перфторметан, хлортрифторметан, дихлордифторметан, трихлортрифторметан, перфторэтан, 1-хлор-1,1-дифторэтан, хлорпентафторэтан, дихлортетрафторэтан, трихлортрифторэтан, перфторпропан, хлоргептафторпропан, дихлоргексафторпропан, перфторбутан, хлорнонафторбутан, перфторциклобутан, азодикарбонамид (АДКА), азодиизобутиронитрил, бензолсульфонгидразид, 4,4-оксибензол сульфонилсемикарбазид, п-толуол сульфонилсемикарбазид, азодикарбоксилат бария, N, N'-диметил-N, N'-динитрозотерефталамид, тригидразинотриазин, N, N-динитрозопентаметилен, производное лимонной кислоты, тетрамин, 5-фенилтетразол, гидразодикарбонамид, п-толуол сульфонилгидразид или их смеси.

15. Полимерная композиция по п. 1, которая имеет показатель деформационного упрочнения более 0,9, коэффициент разжижения при сдвиге более 50, температуру перехода в вязкоупругое состояние от 180°C до 230°C и индекс эластичности более 0,2.

16. Изделие, изготовленное из полимерной композиции по п. 1.

17. Способ термоформования полипропиленовой полимерной композиции, включающий:

нагревание полимерной композиции по п. 1 до расплавленного состояния; и

преобразование нагретой полимерной композиции в формованное изделие.

18. Способ повышения прочности расплава полипропиленового полимера в процессах термоформования и/или вспенивания, включающий:

смешивание полипропиленового полимера с модификатором прочности расплава с образованием полимерной композиции, причем модификатор прочности расплава присутствует в полимерной композиции в количестве, достаточном для того, чтобы полимерная композиция для создания проникающей сети, когда полимерную композицию нагревают до расплавленного состояния,

где полипропиленовый полимер не содержит длинноцепочечных ответвлений,

где полимерная композиция содержит по меньшей мере 90% по массе полипропиленового полимера,

где модификатор прочности расплава представляет собой производное сорбита

где модификатор прочности расплава присутствует в полимерной композиции в количестве от 0,6% по массе до 10% по массе, и

где полимерная композиция имеет показатель деформационного упрочнения более 0,4 и коэффициент разжижения при сдвиге более 100, индекс эластичности более 0,2 и температуру перехода в вязкоупругое состояние более 180°C.

Описание

[1]

РОДСТВЕННЫЕ ЗАЯВКИ

[2]

[0001] Настоящая заявка основана на и испрашивает приоритет по предварительной заявке на патент США № 62/578,162, поданной 27 октября 2017 г., содержание которой полностью включено в настоящий документ путем ссылки.

[3]

ПРЕДПОСЫЛКИ СОЗДАНИЯ ИЗОБРЕТЕНИЯ

[4]

[0002] Полиолефиновые полимеры используют в многочисленных и разнообразных областях применения. Полиолефиновые полимеры, такие как, например, полипропилен, представляют собой полукристаллические полимеры, обладающие хорошей химической стойкостью, хорошей термостойкостью и хорошей устойчивостью к усталостным нагрузкам. Кроме того, полипропилен является относительно жестким и обладает превосходными термопластичными свойствами, что позволяет получать полимеры с многочисленными и разнообразными формами.

[5]

[0003] В некоторых конкретных сферах применения, таких как процессы термоформования и вспенивания, обычно требуется высокая прочность расплава. Высокая прочность расплава необходима, например, для термоформования композиции до желаемой формы или для формирования пор пеноматериалов. В процессе термоформования, например, полимер нагревают выше определенной температуры, а затем образуют объект с желаемой формой. В случае образования объекта со сложной формой, при формировании толстолицевых крупных деталей, необходима высокая прочность расплава, чтобы сохранить устойчивость формы, а также растяжимость в процессе формирования. Например, полимер должен сохранять достаточную структурную целостность во время вышеупомянутого процесса и до отверждения изделия.

[6]

[0004] Аналогичным образом высокая прочность расплава также необходима в процессах термического вспенивания. Без достаточной прочности расплава тонкие стенки пор могут разрушаться или иным образом формировать пеноматериал с физическими свойствами, которое хуже желаемых.

[7]

[0005] В прошлом для повышения прочности расплава полипропиленовых полимеров применяли различные способы и методики. Например, одним из способов повышения прочности расплава является создание длинноцепочечных ветвей на полипропиленовом полимере. Полипропиленовые полимеры, имеющие длинноцепочечные ветви, можно получать с использованием внутриреакторных способов и послереакторных способов. Для внутриреакторных способов необходимы специальные катализаторы для индуцирования полимеризации макромеров. Внутриреакторные процессы не только являются чрезмерно дорогими, но и дают малый выход продуктов.

[8]

[0006] Послереакторные способы создания длинноцепочечных разветвленных полипропиленовых полимеров включают воздействие на полимер электронного пучка или гамма-излучения. Высокоэнергетическое излучение вызывает деполимеризацию и образование полимерных радикалов, которые, в конечном итоге, рекомбинируют с образованием длинноцепочечной разветвленности в среде с низким/нулевым содержанием кислорода. Однако, к сожалению, воздействие электронных пучков создает послерадиационное разложение. Кроме того, облучение по-прежнему требует дальнейшей обработки полимеров и тем самым приводит к увеличению стоимости.

[9]

[0007] Обеспечить длинноцепочечные разветвленности в полипропилене можно и за счет последующей реакции полипропилена в присутствии совместно применяемых средств или полифункциональных мономеров. Однако, аналогично радиационному способу, стоимость и низкая производительность создают ограничения для дальнейшего коммерческого применения.

[10]

[0008] Другим способом повышения прочности расплава полипропилена является расширение распределения по молекулярным массам. Однако прочность расплава при использовании этого способа ограничена по сравнению с полипропиленом с длинноцепочечными ветвями.

[11]

[0009] Таким образом, существует потребность в способе повышения прочности расплава полипропиленового полимера без обеспечения в полимере длинноцепочечных ветвей. Также существует потребность в полипропиленовой полимерной композиции с повышенной прочностью расплава, которую можно использовать в процессах термоформования и процессах вспенивания.

[12]

ИЗЛОЖЕНИЕ СУЩНОСТИ ИЗОБРЕТЕНИЯ

[13]

[0010] В целом настоящее описание относится к полимерной композиции, содержащей полимер на основе пропилена с повышенной прочностью расплава. В соответствии с настоящим описанием модификатор прочности расплава объединяют с полипропиленовым полимером в количестве, достаточном для повышения прочности расплава полимера. Например, модификатор прочности расплава смешивают с полимером в количестве, достаточном для поддержания полимера в гелеобразной сетке при более высоких температурах, в то время как полимер находится в расплавленном состоянии. Гелеобразная сетка повышает эластичность и резко повышает прочность расплава.

[14]

[0011] Например, в одном варианте осуществления настоящее описание относится к полимерной композиции с повышенной прочностью расплава. Полимерная композиция включает в себя полипропиленовый полимер, который содержит по меньшей мере 60 мольных процентов пропилена. Полипропиленовый полимер, например, может содержать гомополимер полипропилена, сополимер полипропилена или их смеси.

[15]

[0012] В соответствии с настоящим описанием полимерная композиция дополнительно содержит модификатор прочности расплава, присутствующий в полимерной композиции, достаточный для того, чтобы полимерная композиция формировала проникающую сеть, когда полимерная композиция находится в расплавленном состоянии. В настоящем документе проникающая сеть представляет собой физическую сплошную трехмерную сеть через всю полимерную матрицу. Сеть может быть сформирована с помощью ковалентно или физически связанных молекулярных структур. В одном варианте осуществления полимерная сеть образована только в одном полимере и может включать в себя перепутанные полимерные цепи.

[16]

[0013] В одном варианте осуществления модификатор прочности расплава присутствует в полимерной композиции таким образом, что полимерная композиция имеет температуру перехода в вязкоупругое состояние более около 180°C, например более около 185°C.

[17]

[0014] Полимерная композиция настоящего описания может также иметь различные физические свойства. Например, полимерная композиция может иметь показатель деформационного упрочнения более около 0,4.

[18]

[0015] В дополнение к показателю деформационного упрочнения более около 0,4 в одном варианте осуществления полимерная композиция также может иметь коэффициент разжижения при сдвиге более около 50, например, более около 60, например, более около 70, например, более около 80. Коэффициент разжижения при сдвиге, как правило, составляет менее около 300. Кроме того, полимерная композиция может иметь индекс эластичности более около 0,2.

[19]

[0016] В одном варианте осуществления модификатор прочности расплава может содержать производное бензилиденсорбита. Примеры модификаторов прочности расплава включают, например, 1,3:2,4-бис(3,4-диметилдибензилиден)сорбит, 1,2,3- тридезокси-4,6:5,7-бис-O-[(4-пропилфенил)метилен]нонитол, 1,3:2,4-бис(п-нитробензилиден)сорбит, (1,3-2,4-дибензилиденсорбит), 1,3-2,4-бис(п-метоксибензилиден)сорбит, 1,3:2,4-бис(м-метоксибензилиден)сорбит, 1,3:2,4-бис(п-хлорбензилиден)сорбит, 1,3:2,4-бис(п-метилбензилиден)сорбит или их смеси. Модификатор прочности расплава в одном варианте осуществления может присутствовать в полимерной композиции в количестве, по существу превышающем около 0,6% по массе, например, в количестве превышающем около 0,8% по массе, например, в количестве превышающем около 1% по массе, например, в количестве превышающем около 1,2% по массе, например, в количестве превышающем около 1,4% по массе, например, в количестве превышающем около 1,6% по массе, например, в количестве превышающем около 1,8% по массе, например, в количестве превышающем около 2% по массе. Модификатор прочности расплава обычно присутствует в полимерной композиции в количестве менее около 10% по массе, например, в количестве менее около 5% по массе, например, в количестве менее около 4% по массе.

[20]

[0017] Особым преимуществом является то, что полимерная композиция настоящего описания может обладать вышеописанными свойствами прочности расплава без использования полипропиленового полимера с длинноцепочечными ответвлениями. Таким образом, в одном варианте осуществления для образования композиции можно использовать линейный полипропиленовый полимер.

[21]

[0018] В одном варианте осуществления полимерная композиция может быть составлена с образованием полипропиленовой пены. Например, полимерная композиция может содержать нуклеирующий агент и порообразующее вещество. Порообразующее вещество может содержать, например, азот, двуокись углерода, изобутан, циклопентан, воздух, метилхлорид, этилхлорид, пентан, изопентан, перфторметан, хлортрифторметан, дихлордифторметан, трихлортрифторметан, перфторэтан, 1-хлор-1,1-дифторэтан, хлорпентафторэтан, дихлортетрафторэтан, трихлортрифторэтан, перфторпропан, хлоргептафторпропан, дихлоргексафторпропан, перфторбутан, хлорнонафторбутан, перфторциклобутан, азодикарбонамид (АДКА), азодиизобутиронитрил, бензолсульфонгидразид, 4,4-оксибензол сульфонилсемикарбазид, п-толуол сульфонилсемикарбазид, азодикарбоксилат бария, N, N′-диметил-N, N′-динитрозотерефталамид, тригидразинотриазин, N, N-динитрозопентаметилен, производное лимонной кислоты, тетрамин, 5-фенилтетразол, гидразодикарбонамид, п-толуол сульфонилгидразид или их смеси.

[22]

[0019] Таким образом, настоящее описание также относится к способу образования полипропиленовой пены. Способ включает стадию смешивания полипропиленовой композиции, как описано выше, содержащей агент, модифицирующий прочность расплава, и комбинирования полимерной композиции с порообразующим веществом и нуклеирующим агентом. Полимерную композицию нагревают до расплавленного состояния, достаточного для того, чтобы порообразующее вещество индуцировало формирование пор пеноматериала.

[23]

[0020] Например, в одном варианте осуществления полимерную композицию на основе пропилена можно нагревать до расплавленного состояния. Порообразующее вещество можно включить в композицию для формирования дисперсии газообразного материала в полимерной композиции в расплавленном состоянии. После этого расплавленная полимерная композиция может образовать вспененную структуру. Вспененную структуру можно отлить в желаемую форму без сжатия пеноструктуры. Например, вспененное изделие может представлять собой одноразовый питьевой стакан.

[24]

[0021] Настоящее изобретение также относится к способу термоформования полипропиленового полимера. Способ включает смешивание полипропиленового полимера с модификатором прочности расплава, как описано выше. Полимерную композицию нагревают до расплавленного состояния, достаточного для преобразования полимера в изделие в процессе термоформования. Например, полимерное изделие может содержать изделия, применяемые в упаковке для пищевых продуктов, одноразовые изделия, такие как питьевые стаканы, части крупных устройств, такие как внутренние обшивки холодильников, автозапчасти, такие как панели транспортных средств для отдыха, и т. п.

[25]

[0022] Настоящее изобретение также относится к способу повышения прочности расплава полипропиленового полимера. Способ включает стадию смешивания полипропиленового полимера с модификатором прочности расплава, как описано выше.

[26]

[0023] Другие особенности и аспекты настоящего описания более подробно описаны ниже.

[27]

КРАТКОЕ ОПИСАНИЕ ГРАФИЧЕСКИХ МАТЕРИАЛОВ

[28]

[0024] Полное и достаточное описание настоящего изобретения изложено более конкретно в остальной части описания изобретения, включая отсылку к сопроводительным чертежам.

[29]

На Фиг. 1 представлено графическое изображение некоторых результатов, полученных в примере ниже.

[30]

[0025] Повторное использование номеров позиций в настоящем описании изобретения и чертежах предназначено для представления тех же или аналогичных признаков или элементов настоящего изобретения.

[31]

ПОДРОБНОЕ ОПИСАНИЕ

[32]

[0026] Специалисту в данной области следует понимать, что настоящий документ представляет собой только описание примеров осуществления и не предназначено для ограничения более широких аспектов настоящего описания.

[33]

[0027] В целом настоящее описание относится к полимерным композициям, содержащим полиолефиновый полимер, такой как полипропиленовый полимер, который имеет повышенную прочность расплава. Настоящее изобретение также относится к различным способам и процессам получения полимерных изделий, включая изделия из пеноматериала, из полимерной композиции.

[34]

[0028] В одном варианте осуществления полимерная композиция настоящего описания содержит один или более полипропиленовых полимеров в сочетании с модификатором прочности расплава. Модификатор прочности расплава добавляют к полимерной композиции в количестве, достаточном для повышения эластичности полимерной композиции при повышенных температурах, например, при температурах, когда полимерная композиция находится в расплавленном состоянии. Например, в одном варианте осуществления модификатор прочности расплава может содержать гелеобразующий агент, который поддерживает гелеобразную сетку при более высоких температурах. Модификатор прочности расплава также можно добавлять в количествах, недостаточных для повышения вязкости полимерной композиции, в количестве, которое делает расплавленный полимер непригодным для формовочных сфер применения. За счет увеличения эластичности полимерной композиции при повышенных температурах можно значительно увеличить прочность расплава полимерной композиции, что позволяет осуществлять термоформование полимерной композиции во все различные формы, а также позволяет формировать пеноматериал с закрытыми порами с использованием полимерной композиции.

[35]

[0029] В одном варианте осуществления модификатор прочности расплава присутствует в полимерной композиции в количестве, достаточном для образования проникающей сети, как описано выше.

[36]

[0030] В одном варианте осуществления модификатор прочности расплава может содержать производное сорбита. В прошлом конкретные производные сорбита объединяли с полиолефиновыми полимерами для того, чтобы обеспечить функционирование в качестве нуклеирующего агента или осветляющего вещества. В этих сферах применения производное сорбита добавляли в относительно небольших количествах. Однако в соответствии с настоящим описанием производное сорбита добавляют к полимеру в количестве, достаточном для модификации и увеличения прочности расплава, чтобы полимерная композиция при повышенной температуре имела конкретную комбинацию свойств, которые хорошо подходят для процессов термоформования и/или процессов вспенивания. Фактически в некоторых вариантах осуществления на прозрачность полученного полимера практически может быть оказано вредное влияние.

[37]

[0031] Чтобы определить полимерные композиции, изготовленные в соответствии с настоящим описанием, в отношении полимерных композиций проводят различные испытания полимерных композиций, которые связаны с прочностью расплава полимера. Ниже приведено описание различных испытаний.

[38]

Коэффициент разжижения при сдвиге (STF)

[39]

[0032] Коэффициент разжижения при сдвиге представляет собой соотношение вязкости полимерной композиции при низком сдвиге и при высоком сдвиге. Реологические измерения проводятся с использованием усовершенствованной реометрической расширительной системы (ARES-G2) с отдельным двигателем и преобразователем. Комплексная вязкость полимерной композиции измеряется путем качания частоты от 350 до 0,1 при 190 °C. Амплитуда деформации составляет 2%, что указывает на то, что она находится в области линейной вязкоупругости. Полимер в форме пеллет можно сжать с образованием диска диаметром 25 мм и толщиной 2 мм. Модель Карро - Ясуды применяется для аппроксимации вязкости при нулевом сдвиге. Коэффициент разжижения при сдвиге (STF) определяется как отношение вязкости при нулевом сдвиге и вязкости при G* = 100 кПа в соответствии со следующим уравнением:

[40]

STF =η0G*=100кРа

[41]

Коэффициент полидисперсности (PDI)

[42]

[0033] PDI рассчитывали с помощью уравнения , где Gx представляет собой модуль пересечения G’ и G’’, поэтому Gx=G’ = G’’. G’ и G’’ представляют собой модуль накопления и потерь, полученный с помощью описанного выше качания частоты.

[43]

Температура перехода в вязкоупругое состояние

[44]

[0034] Температура перехода в вязкоупругое состояние представляет собой температуру, при которой происходит скачок вязкости при построении графика вязкости в зависимости от температуры. Температуру перехода в вязкоупругое состояние измеряют путем качания температуры с использованием системы ARES-G2. Вязкость измеряют от 170°C до 250°C по 3°C/мин при частоте 1 рад/с (от 250°C до 150°C). Пиковая температура кривой первой производной вязкости в зависимости от температуры обрабатывается как температура перехода.

[45]

Показатель деформационного упрочнения

[46]

[0035] Показатель деформационного упрочнения представляет собой продольную вязкость композиции. Продольную вязкость измеряют с помощью приспособления для измерения продольной вязкости (EVF) в системе ARES-G2. Полимерную композицию, которая может быть представлена в форме пеллет, можно сжать с получением листа размерами 18 мм x 10 мм x 0,7 мм. Применяется коэффициент удлинения 1 с-1. Образец подвергают изотермической обработке в течение 5 мин при температуре 190°C, затем продольную вязкость измеряют при 145/155/160°C. Показатель деформационного упрочнения определяется как наклон хорды между вязкостью при деформации Генки 1 и 3 в логарифмическом масштабе по основанию 10. Показатель деформационного упрочнения вычисляют в соответствии со следующим уравнением:

[47]

SHI=log(ηE(ε=1)) - log(ηE(ε=3))/log(3) - log(1)

[48]

Индекс эластичности

[49]

[0036] Измерения ползучести и восстановления проводили с использованием реометрической системы AR-G2 в сочетании с двигателем и преобразователем. Постоянное напряжение 50 Па прилагается в течение времени ползучести 300 секунд. Напряжение снимают, чтобы образец восстанавливался в течение 600 секунд. Соответствие требованиям восстановления при 600 секундах определяется как равновесное соответствие. Индекс эластичности вычисляли следующим образом:

[50]

EI =

[51]

[0037] Полимерная композиция настоящего описания может быть образована одним или более из перечисленных выше свойств и характеристик.

[52]

[0038] Полимерная композиция может по существу иметь коэффициент разжижения при сдвиге более около 50, например, более около 55, например, более около 60, например, более около 65, например, более около 70, например, более около 75, например, более около 80, например, более около 85, например, более около 90, например, более около 95, например, более около 100. Коэффициент разжижения при сдвиге, как правило, составляет менее около 500, например, менее около 400, например, менее около 300, например, менее около 200, например, менее около 100.

[53]

[0039] Показатель деформационного упрочнения полимерной композиции, как правило, составляет более около 0,4, например, более около 0,8, например, более около 1, например, более около 1,2, например, более около 1,4, например, более около 1,6, например, более около 1,8, например, более около 2. Показатель деформационного упрочнения полимерной композиции, как правило, составляет менее около 5, например, менее около 4, например, менее около 3.

[54]

[0040] Индекс эластичности полимерной композиции, основанный на характеристиках ползучести композиции, как правило, составляет более около 0,2, например, более около 0,4, например, более около 0,6, как правило, менее около 0,8, например, менее около 0,7.

[55]

[0041] Температура перехода в вязкоупругое состояние полимерной композиции, как правило, составляет более около 180°C, например, более около 190°C, например, более около 200°C, например, более около 210°C. Температура перехода в вязкоупругое состояние, как правило, составляет менее около 240°C, например, менее около 230°C, например, менее около 220°C.

[56]

[0042] Как описано выше, полимерная композиция настоящего описания по существу содержит один или более полипропиленовых полимеров в комбинации с одним или более модификаторами прочности расплава. Полимеры на основе пропилена, которые можно использовать в настоящем описании, включают, например, гомополимеры пропилена. В альтернативном варианте осуществления полимер на основе пропилена может представлять собой сополимер пропилена. Такой сополимер пропилена может представлять собой статистический сополимер пропилена. В альтернативном варианте осуществления такой сополимер пропилена может представлять собой гетерофазный пропиленовый полимер.

[57]

[0043] В одном варианте осуществления, например, полимерная композиция настоящего описания содержит гомополимер полипропилена. Гомополимер полипропилена может присутствовать в полимерной композиции в количестве более около 40% по массе, например, в количестве более около 50% по массе, например, в количестве более около 60% по массе, например, в количестве более около 70% по массе, например в количестве более около 80% по массе, например в количестве более около 90% по массе.

[58]

[0044] В одном варианте осуществления полимерная композиция может содержать гомополимер полипропилена в комбинации с сополимером пропилен-α-олефина или может содержать только сополимер пропилен-α-олефина. Сополимер пропилен-α-олефина содержит звенья, полученные из пропилена и одного или более сомономеров альфа-олефина. Примерами сомономеров, используемых для изготовления сополимера пропилена/альфа-олефина, являются альфа-олефины C2 и C4-C10; например альфа-олефины C2, C4, C6 и C8.

[59]

[0045] В еще одном варианте осуществления полимерная композиция может содержать гетерофазную полимерную композицию пропилена. Гетерофазный пропиленовый полимер может, например, содержать матричную фазу и по меньшей мере одну дисперсную фазу. Матричная фаза гетерофазного пропиленового полимера может, например, содержать пропиленовый полимер, такой как гомополимер пропилена или сополимер на основе пропилена. Матричная фаза может, например, содержать гомополимер пропилена. Сополимер на основе пропилена может представлять собой, например, сополимер пропилена и сомономер α-олефина.

[60]

[0046] Дисперсная фаза гетерофазного пропиленового сополимера может, например, содержать этиленпропиленовый эластомер. Этиленпропиленовый эластомер может, например, содержать ≥ 10,0% и ≤ 65,0% по массе, альтернативно ≥ 20,0% и ≤ 50,0% по массе полимерных звеньев, полученных из этилена, относительно общей массы этиленпропиленового эластомера. Дисперсная фаза может, например, присутствовать в количестве ≥ 5,0% и ≤ 40,0% по массе, альтернативно ≥ 15,0% и ≤ 35,0% по массе относительно общей массы гетерофазного пропиленового сополимера.

[61]

[0047] Полимер на основе пропилена можно получить с помощью любого способа получения полимеров на основе пропилена, известных в данной области. Такие процессы могут, например, включать один или более из процессов газофазной полимеризации, процессов суспензионной фазовой полимеризации и процессов полимеризации с использованием раствора. Такие процессы могут представлять собой, например, процессы каталитической полимеризации. Такие процессы каталитической полимеризации можно, например, выполнять в присутствии одного или более из катализатора типа Циглера - Натта, катализатора с единым центром полимеризации, такого как катализатор металлоценового типа, или катализатора любого другого типа, известного в области производства полимеров на основе пропилена. Такие процессы могут включать, например, одну стадию полимеризации или альтернативно множество стадий полимеризации. Такой процесс, включающий множество стадий полимеризации, может, например, включать множество последовательных стадий полимеризации. Такое множество стадий полимеризации может быть выполнено в одном реакторе полимеризации или в множестве реакторов полимеризации. Такой процесс, состоящий из множества стадий полимеризации, может, например, содержать один или более реакторов газофазной полимеризации, один или более реакторов суспензионной фазовой полимеризации и/или один или более реакторов полимеризации с использованием раствора или любую комбинацию таких реакторов в любом порядке.

[62]

[0048] Как описано выше, один или более полипропиленовых полимеров объединяют с модификатором прочности расплава в соответствии с настоящим описанием. Модификатор прочности расплава, например, может содержать производное сорбита, добавленное к полимерной композиции в количестве, достаточном для повышения прочности расплава. В целом в соответствии с настоящим описанием можно использовать любое подходящее производное сорбита, способное повышать прочность расплава в соответствии с настоящим описанием. В одном варианте осуществления, например, производное сорбита может содержать производное дибензилиденсорбита или сорбитацетат.

[63]

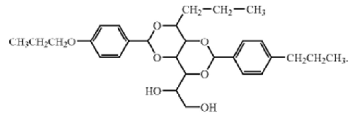
[0049] Примеры производных сорбита, которые можно использовать в соответствии с настоящим описанием, включают 1,3:2,4-бис(3,4-диметилдибензилиден)сорбит; 1,2,3- тридезокси-4,6:5,7-бис-O-[(4-пропилфенил)метилен]нонит; 1,3:2,4-бис(п-нитробензилиден)сорбит; (1,3:2,4-дибензилиденсорбит); 1,3:2,4-бис(п-метоксибензилиден)сорбит; 1,3:2,4-бис(м-метоксибензилиден)сорбит; 1,3:2,4-бис(п-хлорбензилиден)сорбит; 1,3:2,4-бис(п-метилбензилиден)сорбит; 1,3:(4-толилиден)-2,4-(2-тиофенилиден)-D-сорбит; 1,3-(п-метилтиобензилиден)-2,4-(п-толилиден)-D-сорбит; 1,3-(п-н-бутилбензилиден)-2,4-(п-толилиден)-D-сорбит; 1,3:2,4-ди-(2-нафтилиден)-D-сорбит или их смеси.

[64]

[0050] В одном варианте осуществления производное сорбита может содержать двухзамещенное производное дибензилиденсорбита, имеющее аллильную группу или н-пропильную группу, замещенную на первом углероде цепи сорбита (положение C-1). Соединения сорбита могут быть представлены формулой I:

[65]

[66]

причем R1 и R2 независимо выбраны из группы, состоящей из: CH3CH2CH2- (т. е. н-пропил) и CH3CH2CH2O- (т. е. н-пропокси); и при этом R3 независимо выбран из группы, состоящей из: -CH2CH2CH3 (н-пропил) и -CH2-CH=CH2 (аллил).

[67]

[0051] В одном варианте осуществления получают соединение формулы I, где R3 представляет собой н-пропильную группу (-CH2CH2CH3). В альтернативном варианте осуществления R3 представляет собой аллильную группу (-CH2CH=CH2).

[68]

[0052] В одном варианте осуществления R1 и R2 представляют собой н-пропил. В альтернативном варианте осуществления R1 и R2 представляют собой н-пропокси.

[69]

[0053] В другом варианте осуществления каждый из R1 и R2 являются одинаковыми; иными словами, соединение формулы I является симметричным. В другом варианте осуществления R1 и R2 являются различными; иными словами, соединение формулы I асимметрично.

[70]

[0054] В другом варианте осуществления R3 представляет собой аллил, а R1и R2 независимо выбраны из группы, состоящей из н-пропила и н-пропокси.

[71]

[0055] В другом варианте осуществления R3 представляет собой н-пропил, а R1и R2 независимо выбраны из группы, состоящей из н-пропила и н-пропокси.

[72]

[0056] В соответствии с одним вариантом осуществления соединение формулы I является следующим:

[73]

[74]

[0057] В соответствии с другим вариантом осуществления соединение формулы I является следующим:

[75]

[76]

[0058] В соответствии с другим вариантом осуществления соединение формулы I является следующим:

[77]

[78]

[0059] В соответствии с другим вариантом осуществления соединение формулы I является следующим:

[79]

[80]

[0060] Один или более модификаторов прочности расплава присутствуют в полимерной композиции в количестве, достаточном для достижения желаемой прочности расплава, которую можно измерить в соответствии с коэффициентом разжижения при сдвиге, температурой перехода в вязкоупругое состояние, показателем деформационного упрочнения, индексом эластичности или их комбинациями. Как правило, в полимерной композиции присутствуют один или более модификаторов прочности расплава в количестве более около 0,6% по массе, например, в количестве более около 0,8% по массе, например, в количестве более около 1% по массе, например, в количестве более около 1,2% по массе, например, в количестве более около 1,4% по массе, например, в количестве более около 1,6% по массе, например, в количестве более около 1,8% по массе, например, в количестве более около 2% по массе, например, в количестве более около 2,2% по массе, например, в количестве более около 2,4% по массе, например, в количестве более 2,6% по массе. Один или более модификаторов прочности расплава обычно присутствуют в полимерной композиции в количестве менее около 10% по массе, например, в количестве менее около 8% по массе, например, в количестве менее около 6% по массе, например в количестве менее около 4% по массе, например в количестве менее около 3,5% по массе, например в количестве менее около 3% по массе.

[81]

[0061] В дополнение к модификатору прочности расплава полимерная композиция может содержать различные другие добавки и ингредиенты. Например, антиоксиданты могут включать в себя фенольные и фосфитные антиоксиданты, которые можно включить для улучшения обработки и стабильности конечного использования продукта. Например, пентаэритрит тетракис (3 - (3,5-ди-трет-бутил-4-гидроксифенил)пропионат), трис(2,4-ди-трет-бутилфенил)фосфит, каталитический нейтрализатор, такой как стеараты металлов (такой как стеарат кальция), гидротальциты, лактат кальция и оксиды металлов; в композицию могут быть включены и их комбинации. Кроме того, композиция может содержать технологические добавки, пигменты, ультрафиолетовые поглотители, замедлители горения и смазывающие вещества.

[82]

[0062] Благодаря повышению прочности расплава полипропиленового полимера полимерная композиция настоящего описания хорошо подходит для сфер применения, в которых необходима высокая прочность расплава, например, в процессах термоформования и в процессе пенообразования.

[83]

[0063] В процессе экструзионного термоформования, например, модификатор прочности расплава смешивают с одним или более полипропиленовыми полимерами и нагревают до расплавленного состояния. Например, модификатор прочности расплава можно смешать с полипропиленовым полимером или можно добавить к полипропиленовому полимеру после нагревания полимера. После перехода в расплавленное состояние из полимерной композиции можно формировать любое подходящее изделие.

[84]

[0064] Таким образом, полимерная композиция настоящего описания особенно хорошо подходит для формирования таких изделий. Полимерные изделия, которые можно изготовить в соответствии с настоящим описанием, включают, например, изделия, применяемые в упаковке для пищевых продуктов, одноразовые изделия, такие как питьевые стаканы, части крупных устройств, такие как внутренние обшивки холодильников, автозапчасти, такие как панели транспортных средств для отдыха, и т. п.

[85]

[0065] Помимо формирования полимерных изделий посредством термоформования композиция настоящего описания также хорошо подходит для получения пеноструктур. Пеноструктуры могут быть изготовлены любым подходящим способом. В одном варианте осуществления, например, полимерную композицию нагревают до расплавленного состояния. Модификатор прочности расплава можно непосредственно предварительно смешать с одним или более полипропиленовыми полимерами или можно добавить в экструдер в то же время, что и пропиленовые полимеры. Аналогичным образом к полимерной композиции также можно добавлять один или более порообразующих веществ и/или нуклеирующих агентов, выполненных с возможностью индуцирования пенообразования. Например, порообразующее вещество может диспергироваться в расплавленной полимерной композиции с формированием, в конечном итоге, пор пеноматериала. Затем полимерную композицию, содержащую поры пеноматериала, можно отлить в желаемую форму с образованием вспененного изделия. Например, вспененные изделия могут представлять собой одноразовый питьевой стакан.

[86]

[0066] Как описано выше, в дополнение к порообразующему веществу также может быть добавлен нуклеирующий агент. Нуклеирующий агент может содержать, например, тальк, карбонат кальция, амид, такой как амид жирной кислоты, например, стеарамид.

[87]

[0067] Например, в одном варианте осуществления полимерную композицию настоящего описания нагревают до расплавленного состояния на стадии обработки расплава. В одном варианте осуществления, например, стадия обработки расплава может выполняться в экструдере. Порообразующее вещество содержится в полимерной композиции или в комбинации с полимерной композицией в расплавленном состоянии. Порообразующее вещество может представлять собой любое подходящее порообразующее вещество, способное индуцировать формирование пор. Например, порообразующее вещество может представлять собой химическое порообразующее вещество или физическое порообразующее вещество.

[88]

[0068] Количество порообразующего вещества, добавляемого к полимерной композиции, может зависеть от различных факторов, включая тип формируемой пены и тип используемого порообразующего вещества. В общем порообразующее вещество добавляют в количестве более около 0,1% по массе, например, в количестве более около 0,5% по массе, например. в количестве более около 1% по массе, например, в количестве более около 2% по массе, например, в количестве более около 5% по массе. Порообразующее вещество обычно добавляют к полимерной композиции в количестве менее около 15% по массе, например, в количестве менее около 10% по массе, например, в количестве менее около 8% по массе, например, в количестве менее около 6% по массе, например в количестве менее около 4% по массе.

[89]

[0069] Порообразующие вещества (также известные как пенообразующие или расширяющие добавки), которые можно использовать, включают газообразные материалы, летучие жидкости и химические агенты, разлагающиеся с образованием газа и других побочных продуктов. Типичные порообразующие вещества включают, без ограничений, азот, двуокись углерода, изобутан, циклопентан, воздух, метилхлорид, этилхлорид, пентан, изопентан, перфторметан, хлортрифторметан, дихлордифторметан, трихлортрифторметан, перфторэтан, 1-хлор-1,1-дифторэтан, хлорпентафторэтан, дихлортетрафторэтан, трихлортрифторэтан, перфторпропан, хлоргептафторпропан, дихлоргексафторпропан, перфторбутан, хлорнонафторбутан, перфторциклобутан, азодикарбонамид (АДКА), азодиизобутиронитрил, бензолсульфонгидразид, 4,4-оксибензол сульфонилсемикарбазид, п-толуол сульфонилсемикарбазид, азодикарбоксилат бария, N, N′-диметил-N, N′-динитрозотерефталамид, тригидразинотриазин, N, N-динитрозопентаметилен, производное лимонной кислоты, тетрамин, 5-фенилтетразол, гидразодикарбонамид, п-толуол сульфонилгидразид или их смеси. Порообразующее вещество можно использовать отдельно или в комбинации с одним или более другими порообразующими веществами.

[90]

[0070] После примешивания порообразующего вещества и нагрева полимерной композиции в одном варианте осуществления расплавленную полимерную композицию можно экструдировать с образованием желаемой формы.

[91]

[0071] Особым преимуществом является то, что полимерная композиция настоящего описания может быть термоформована с образованием любой подходящей формы или преобразована в пеноструктуру без использования полипропиленового полимера, имеющего длинноцепочечную разветвленность (LCB). Например, полипропиленовый полимер, используемый в настоящем описании, может быть линейным и может иметь относительно небольшую величину разветвленности, например < 0,001 LCB на 1000C.

[92]

[0072] Настоящее описание можно лучше понять со ссылкой на следующие примеры.

[93]

Примеры

[94]

[0073] Различные полимерные композиции были составлены и протестированы на прочность расплава.

[95]

[0074] Образец 3, 4 и 5

[96]

Гомополимер полипропилена с заданным MFR, процентом по массе (мас.) растворимых ксилолов и коэффициентом полидисперсности предварительно смешивали с модификатором прочности расплава в 0,8, 1 и 2 мас.% и дополнительными антиоксидантами и нейтрализатором кислоты и смешивали в двухшнековом экструдере с образованием пеллет.

[97]

[0075] Сравнительные образцы 1 и 2

[98]

Порошки гомополимера полипропилена, использованные для получения образцов 3, 4 и 5, смешивали в соответствии с тем же способом, что и при получении образцов 3, 4 и 5, но без применения модификатора прочности расплава.

[99]

[0076] Образец 6 представляет собой гомополимер, который содержит длинноцепочечную разветвленность в концентрациях приблизительно 0,2/LCB/1000C и не содержит модификатора прочности расплава.

[100]

[0077] Показатель текучести расплава (MFR) измеряли в соответствии со способом испытания, изложенным в стандарте ASTM-D 1238, при 230° C с нагрузкой 2,16 кг.

[101]

[0078] Растворимые ксилолы измеряли в соответствии с ASTM- D5492.

[102]

[0079] В частности, были получены следующие образцы.

[103]

Таблица №1

[104]

ОбразецMFRXSPDIОписание
12,36,85,8
22,32,63,9
32,46,75,81 мас.% производного сорбита
42,56,75,82 мас.% производного сорбита
52,42,63,90,8 мас.% производного сорбита
61,93,6-~ 0,2 LCB/1000C

[105]

[0080] Вышеуказанные составы затем тестировали в соответствии с описанными выше испытаниями. Сначала полимерные композиции испытывали на коэффициент разжижения при сдвиге (STF). Были получены следующие результаты.

[106]

Таблица № 2

[107]

ОбразецВязкость при нулевом сдвигеSHIТемпература перехода в вязкоупругое состояниеSTFИндекс эластичности
CE1430330,39Нет перехода86 0,11
CE2255180,31Нет перехода350,05
32E91,272304.7E40,55
41.2E61,47-2640,33
51.8E71,3122016830,47
CE63.3E63,0Нет перехода3.8E40,50

[108]

[0081] На ФИГ. 1 показана колебательная реология испытуемых образцов.

[109]

[0082] Эти и другие модификации и вариации настоящего изобретения могут быть реализованы специалистами в данной области без отступления от сущности и объема настоящего изобретения, которые более конкретно изложены в прилагаемой формуле изобретения. Кроме того, следует понимать, что аспекты различных вариантов осуществления могут быть как полностью, так и частично взаимозаменяемыми. Более того, специалистам в данной области будет понятно, что приведенное выше описание приводится только в качестве примера и не предназначено для ограничения изобретения, которое дополнительно описано в прилагаемой формуле изобретения.

Как компенсировать расходы
на инновационную разработку
Похожие патенты