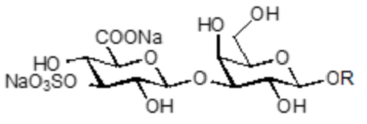
Настоящее изобретение относится к соединению формулы (I-R) или формулы (II-R), где R представляет собой фенил, необязательно замещенный заместителем, выбранным из низшего алкокси, амино-низшего алкила или меркапто-низшего алканкарбониламино-низшего алкила, углеводному лиганду, который связывается с IgM антителами против миелин-ассоциированного гликопротеина (MAG), к полимеру, содержащему данный лиганд, и к их применению в диагностике и лечении анти-MAG нейропатии. 6 н. и 16 з.п. ф-лы, 2 ил., 1 табл.(I-R),(II-R)
1. Соединение формулы (I-R) или формулы (II-R) где R представляет собой фенил, необязательно замещенный заместителем, выбранным из низшего алкокси, амино-низшего алкила или меркапто-низшего алканкарбониламино-низшего алкила. 2. Соединение по п. 1, где R представляет собой п-метоксифенил. 3. Соединение по п. 1, где R представляет собой 4-(2-аминоэтил)фенил или 4-(2-(4-меркаптобутаноиламино)этил)фенил. 4. Соединение по п. 3, где соединение представляет собой соединение формулы (I-R) и R представляет собой 4-(2-аминоэтил)фенил. 5. Соединение по п. 3, где соединение представляет собой соединение формулы (II-R) и R представляет собой 4-(2-аминоэтил)фенил. 6. Соединение по п. 3, где соединение представляет собой соединение формулы (I-R) и R представляет собой 4-(2-(4-меркаптобутаноиламино)этил)фенил. 7. Соединение по п. 3, где соединение представляет собой соединение формулы (II-R) и R представляет собой 4-(2-(4-меркаптобутаноиламино)этил)фенил. 8. Полимер для применения в диагностике или лечении анти-MAG нейропатии, содержащий множество дисахаридных заместителей формулы (I-Z) и/или формулы (II-Z) где Z представляет собой линкер, связывающий указанный дисахаридный заместитель с полимерным остовом, причем линкер Z представляет собой фенил, замещенный алкиленом, содержащим от 3 до 25 атомов углерода, связанным с полимером, причем: (a) один или более атомов углерода алкиленовой группы заменен на азот, несущий атом водорода, и один из соседних атомов углерода замещен оксогруппой, обеспечивая амидную функциональную группу –NH–CO–; (c) один или более атомов углерода алкиленовой группы заменен на серу; (d1) концевой атом углерода, связанный с полимером, замещен оксогруппой или заменен на –NH–; и где полимерный остов представляет собой полимер α-аминокислоты с молекулярной массой от 10000 Да до 100000 Да и нагрузка полимерного остова дисахаридными заместителями составляет от 10% до 80%; и оставшиеся функциональные аминогруппы кэппированы 2,3-дигидроксипропилтиоацетильным остатком; или где линкер Z представляет собой фенил, замещенный алкиленом, содержащим 3 атома углерода, в котором: (d2) концевой атом углерода, связанный с полимером, заменен на –NH-; где полимерный остов выбран из полиакриловой кислоты с молекулярной массой от 30000 до 160000 Да, 50% карбоксильных групп которой соединены с дисахаридным линкером, оставшиеся функциональные группы кэппированы метиламиновым остатком. 9. Полимер по п. 8, где полимерный остов представляет собой полимер α-аминокислоты, содержащий остатки α-аминокислот, выбранных из лизина, орнитина, глутаминовой кислоты или аспарагиновой кислоты. 10. Полимер по п. 8, где полимер α-аминокислоты представляет собой полилизин. 11. Полимер по п. 10, где полимер α-аминокислоты представляет собой поли- 12. Полимер по п. 10, где полимер α-аминокислоты представляет собой поли- 13. Полимер по п. 8, где молекулярная масса указанного полимерного остова составляет от 30000 Да до 70000 Да. 14. Полимер по любому из пп. 8-13, где Z представляет собой фенил, замещенный остатком –(CH2)2NH(C=O)(CH2)3S-CH2-(C=O)–, присоединенным к полимеру α-аминокислоты с аминоалкильными боковыми цепями по функциональной группе C=O. 15. Полимер по любому из пп. 8-14, где нагрузка полимерного остова дисахаридными заместителями формулы (I-Z) и/или (II-Z) составляет 30–60 %. 16. Полимер по п. 8, где: полимерный остов представляет собой полилизин с молекулярной массой от 30000 Да до 70000 Да; от 30% до 60% боковых цепей лизина в полилизиновом полимере присоединены к дисахаридным заместителям формулы (I-Z) и/или (II-Z) и оставшиеся боковые цепи лизина в полилизиновом полимере кэппированы при помощи 2,3-дигидроксипропилтиоацетила; и линкер Z представляет собой фенил, замещенный остатком –(CH2)2NH(C=O)(CH2)3S-CH2-(C=O)–, присоединенным к боковым цепям лизина по функциональной группе C=O. 17. Полимер по п. 16, где большая часть дисахаридных заместителей представляет собой дисахаридные заместители формулы (I-Z). 18. Полимер по п. 16, где большая часть дисахаридных заместителей представляет собой дисахаридные заместители формулы (II-Z). 19. Фармацевтическая композиция для лечения анти-MAG нейропатии, содержащая: эффективное количество полимера по любому из пп. 8-18 и фармацевтически приемлемый носитель. 20. Набор для диагностики анти-MAG нейропатии, содержащий: соединение по любому из пп. 1-7 или полимер по любому из пп. 8-18 и анти-IgM антитела или фрагменты анти-IgM антител, несущие подходящую метку, или анти-IgM антитела и вторые антитела, обнаруживающие конкретный тип анти-IgM антител, несущие такую подходящую метку, и реагенты или оборудование для обнаружения указанной метки. 21. Применение соединения формулы (I-R) или (II-R) по любому из пп. 1-7 или полимера по любому из пп. 8-18 для диагностики анти-MAG нейропатии. 22. Способ лечения анти-MAG нейропатии, включающий введение полимера по любому из пп. 8-18 в количестве, эффективном против указанного заболевания, теплокровному животному, нуждающемуся в таком лечении.
(I-R)
(II-R),
(I-Z),
(II-Z),
ОБЛАСТЬ ИЗОБРЕТЕНИЯ Настоящее изобретение относится к углеводным лигандам, которые связываются с IgM антителами против миелин-ассоциированного гликопротеина (MAG), полимерам, содержащим указанные лиганды, и к их применению в диагностике и лечении анти-MAG нейропатии. УРОВЕНЬ ТЕХНИКИ Нейропатия, связанная с анти-миелин ассоциированным гликопротеином, представляет собой демиелинизирующую периферическую нейропатию, вызванную аутоантителами, распознающими антигенный углеводный эпитоп HNK-1, обнаруживаемый на миелин-ассоциированном гликопротеине (MAG) и других гликоконъюгатах периферической нервной системы (ПНС). Клиническая картина характеризуется медленно прогрессирующей, демиелинизирующей, преимущественно, сенсорной нейропатией. Корреляция между высокими уровнями антител и демиелинизацией хорошо изучена. Таким образом, патологические исследования биопсий нервов, полученных от пациентов, демонстрировали демиелинизацию и расширение миелиновых ламелл, а также накопления анти-MAG IgM на миелине. Кроме того, терапевтическое снижение концентрации антител IgM ведет к клиническому улучшению симптомов нейропатии. (A.J. Steck et al., Current Opinion in Neurology 2006, 19:458-463; M.C. Dalakas, Current Treatment Options in Neurology 2010, 12:71-83). Гликоконъюгаты миелина, содержащие эпитоп HNK-1, включают гликопротеины MAG, белок ноль (protein zero, Р0), периферический миелиновый белок-22 (РМР22), а также гликолипиды: сульфатированный глюкуронил параглобозид (SGPG) и сульфатированный глюкуронил лактозаминил параглобозид (SGLPG). Согласно нескольким исследованиям предполагается, что MAG является основной мишенью для антител IgM: (i) накопления антител пациентов к сайтам ПНС ко-локализуются с MAG, (ii) MAG селективно удаляется из миелина, и (iii) мыши с нервной патологией человека и MAG-нокаутированные мыши демонстрировали схожие характерные признаки (R.H. Quarles, Journal of Neurochemistry 2007, 100:1431-1448). MAG относится к семейству иммуноглобулин-подобных лектинов, связывающих сиаловую кислоту (Siglecs). MAG располагается, в основном, в околоаксональных мембранах олигодендроглиальных клеток в ЦНС и шванновских клеток в ПНС и участвуют в клеточной адгезии и сигнальных процессах на границе аксон-глия (R.H. Quarles, 2007, loc. cit.). MAG является высоко гликозилированным, т.е., 30% его молекулярной массы обеспечивается гетерогенными N-связанными олигосахаридами. Все восемь потенциальных участков N-гликозилирования MAG могут содержать эпитоп HNK-1. Два гликолипида (SGPG, SGLPG), содержащие эпитоп HNK-1, содержат 3-О-сульфоглюкуроновую кислоту (SO3-3GlcA) в качестве специфического идентифицирующего признака (Т. Ariga et al., J Biol Chem 1987, 262:848-853). Интересно, что структура эпитопа HNK-1 бычьего гликопротеина Р0 также содержит указанный характерныйпризнак. Сходство трех изученных структур ограничивается терминальным трисахаридом. Соответственно, эпитоп HNK-1 был определен как SO3-3-GlcA(β1-3)Gal(β1-4)GlcNAc-OH. Остается неясным, какой конкретно углеводный эпитоп распознается IgM антителами. Исследование производных сульфатированного глюкуронил параглобозида (SGPG) показало, что для IgM антител карбоксильная и сульфатная группы имеют различное значение. Тогда как сообщалось, что "интактный" SGPG, содержащий обе отрицательно заряженные группы, представляет собой оптимальный эпитоп для связывания антитела (А.А. Ilyas et al., J Neurochemistry 1990, 55:594-601), другие исследования подчеркивали важность длины углеводной цепочки для распознавания антителом. Кроме того, представляется, что дисахаридный эпитоп SO3-3-GlcA(β1-3)Gal является минимально необходимым для связывания (A. Tokuda et al., J. Carbohydrate Chemistry 1998, 17:535-546). СУЩНОСТЬ ИЗОБРЕТЕНИЯ Настоящее изобретение относится к углеводным лигандам, которые связываются с анти-MAG IgM антителами, и их применению в диагностике, а также лечении анти-MAG нейропатии. В частности, настоящее изобретение относится к дисахаридам формулы (I-R) и формулы (II-R) где R представляет собой необязательно замещенный фенил, гетероарил, арилкарбонил или гетероарил метил. Дополнительно настоящее изобретение относится к терапевтически приемлемым полимерам, содержащим множество заместителей формулы (I-Z) и/или формулы (II-Z), где Z представляет собой линкер, связывающий указанный заместитель с полимерным остовом. Настоящее изобретение также относится к фармацевтическим композициям, содержащим указанные соединения, диагностическим наборам, содержащим их, и к применению указанных: соединений для диагностики и лечения анти-MAG нейропатии. КРАТКОЕ ОПИСАНИЕ ЧЕРТЕЖЕЙ Фигура 1. Схематичное представление конкурентно-связывающего анализа (а) Инкубирование MAG на планшетах с анти-MAG IgM (сыворотка крови пациента) и полимером 25. (b) Стадия промывки. (с) Инкубирование с антителом против IgM человека, сопряженным с пероксидазой хрена, (d) Стадия промывки, (е) Добавление тетраметилбензидинового субстрата (ТМВ). (f) Добавление кислотного стоп-реагента и измерение оптической плотности. Фигура 2. Кривые связывания для соединений 1, 2 и 25 2(a) Лунки, покрытые MAG, инкубировали с соединением 1 (50 мМ максимальная концентрация) совместно с четырьмя образцами сыворотки крови пациентов MK, DP, KH и SJ (%ab означает процент IgM антитела, связывающегося с MAG). 2(b) Совместное инкубирование лунок, покрытых MAG с соединением 2 (50 мМ максимальная концентрация) вместе с образцами сыворотки крови пациента MK и SJ. 2(c) Совместное инкубирование с соединением 25 (15 мкМ максимальная концентрация) вместе с образцами сыворотки крови пациента MK, KH и SJ. Соединение 25 представляет собой полимер полилизин с определенным процентом лизиновых остатков, сопряженных: с минимальным эпитопом HNK-1 (1). Общее используемое обозначение следующее: PL(minHNK-1)x, где х определяет процент нагрузки эпитопом в %. В данном случае полимер представлет собой PL(rninHNK-1)44. 2(d) Совместное инкубирование с сывороткой крови пациента KH вместе с полимерами PL(minHNK-1)x, где х составляет 10, 25, 31 и 44% (0,5 мМ максимальная концентрация). 2(e) Совместное инкубирование с мышиным моноклональным IgM антителом против HNK-1, антителом в качестве положительного контроля, вместе с полимерами PL(minHNK-1)x, где х составляет 10, 25, 31 и 44% (0,5 мМ максимальная концентрация). ПОДРОБНОЕ ОПИСАНИЕ ИЗОБРЕТЕНИЯ Был обнаружен минимальный углеводный эпитоп HNK-1, стабильно распознаваемый IgM антителами против MAG, и получены соответствующие дисахариды как в сульфатированной (формула I-R), так и несульфатированной форме (формула II-R). Настоящее изобретение относится куказанным дисахаридам, характеризующимся формулой (I-R) и формулой (II-R) где R представляет собой необязательно замещенный фенил, гетероарил, арилкарбонил или гетероарил метил. Сульфатная группа в формуле (I-R) расположена в положении 3 глюкуроновой кислоты. Дополнительно настоящее изобретение относится к терапевтически приемлемым полимерам, содержащим множество заместителей формулы (I-Z) и/или формулы (II-Z), где Z представляет собой линкер, соединяющий указанный заместитель с полимерным остовом. В частности, линкер Z представляет собой (бифункциональный) арил, гетероарил, арил-низший алкил, арилкарбонил или гетероарилметил, причем арил или гетероарил замещены алкиленом, содержащим от 3 до 25 атомов углерода, связанным с полимером, причем необязательно (a) один или более атомов углерода алкиленовой группы заменен на азот, несущий атом водорода, и один из соседних атомов углерода замещен оксогруппой, обеспечивая амидную функциональную группу -NH-CO-; и/или (b) один или более атомов углерода алкиленовой группы заменен на кислород; (c) один или более атомов углерода алкиленовой группы заменен на серу; и/или (d1) концевой атомуглерода, связанный с полимером, замещен оксогруппой; или (d2) концевой атомуглерода, связанный с полимером, заменен -NH-. Полимер, содержащий множество заместителей формулы (I-Z) и/или формулы (II-Z), где Z представляет собой линкер, связывающий указанный заместитель с полимерным остовом, предпочтительно представляет собой полимер α-аминокислоты, полимер или сополимер акриловой и метакриловой кислоты, или сополимер N-винил-2-пирролидона и винилового спирта. Конкретными примерами полимеров согласно настоящему изобретению являются (А) поли-α-аминокислота, причем указанная аминокислота содержит аминоалкильную функциональную группу в боковой цепи, такая как поли-лизин, в частности, поли-L-лизин или поли-D-лизин, и указанная аминогруппа присоединена к концевой карбонильной группе бифункционального линкера Z; (B) поли-α- аминокислота, причем указанная аминокислота содержит карбонилалкильную функциональную группу в боковой цепи, такую как в поли-аспарагиновой кислоте или поли-глутаминовой кислоте, и указанная карбонильная группа (соответствующая исходной карбоксильной группе аспарагиновой кислоты и глутаминовой кислоты, соответственно) присоединена к концевой -СН2-группе бифункционального линкера Z; (C) поли-акриловая кислота, поли-метакриловая кислота или сополимер акриловой и метакриловой кислоты, где карбоксильная группа амидирована концевой амино группой бифункционального линкера Z; и (D) сополимер N-винил-2-пирролидона и винилового спирта, где гидроксильная группа винилового спирта, как части сополимера, присоединена к концевой карбонильной группе бифункционального линкера Z. В конкретном варианте реализации настоящего изобретения полимер (А) содержит частичную формулу (III) где R1 представляет собой аминоалкильный заместитель, присоединенный клинкеру Z, причем алкиленовая группа линкера Z содержит оксогруппу в концевом положении, связанную с аминогруппой заместителя R1, R2 представляет собой 2,3-дигидроксипропилтиоацетил-аминоалкил, и соотношение двух заключенных в скобки элементов, содержащих R1 и R2соответственно, в полимере указывает на соотношение нагрузки дисахаридом к кэппированной функциональной амино группе. Например, R1 характеризуется формулой (IIIa) и R2 характеризуется формулой (IIIb) где о представляет собой число от 1 до 6, предпочтительно 3 или 4, р представляет собой число от 1 до 6, предпочтительно от 2 до 4, в частности, 3, и q представляет собой число от 1 до 6, предпочтительно от 1 до 4, в частности, 2. В случае, когда о представляет собой 3, заместитель R1 представляет собой боковую цепь полиорнитина, и в случае, когда о представляет собой 4, заместитель R1 представляет собой боковую цепь полилизина, присоединенную к линкеру Z, содержащему дисахариды формулы (I-R) или (II-R) на свободной валентности, и R2представляет собой 2,3-дигидроксипропилтиоацетиламиноалкил, т.е., кэппированную функциональную аминогруппу, содержащую солюбилизирующий заместитель. Указанная полиаминокислота может быть линейной, гиперразветвленной или дендритной, как описано в работе Z. Kadlecova et al., Biomacromolecules 2012, 13:3127-3137, для поли-лизина следующим образом: Полилизин, используемый для получения полимера (А) формулы (III), предпочтительно характеризуется молекулярной массой от 15000 Да до 300000 Да, в частности, от 30000 Да до 70000 Да, и предпочтительными являются такие полимеры, которые дополнительно с помощью линкера Z соединены с соединениями формулы (I-R) и/или (II-R) и кэппирующим 2,3-дигидроксипропилтиоацетильным остатком. В конкретном варианте реализации изобретения полимер (В) содержит частичную формулу (III) где R1 представляет собой карбонилалкильный заместитель, присоединенный к линкеру Z, причем алкиленовая группа линкера Z годержит -СН2-группу в концевом положении, присоединенную к карбонильной группе R1, R2 представляет собой 2,3-дигидроксипропилтиоацетил-карбонилалкил, и соотношение двух заключенных в скобки элементов, содержащих R1 и R2 соответственно, в полимере указывает на соотношение нагрузки дисахаридом к кэппированной функциональной карбонильной или карбоксильной группе. Например, R1 характеризуется формулой (IIIc) и R2 характеризуется формулой (IIId) где о представляет собой число от 1 до 6, предпочтительно от 1 до 2, р представляет собой число от 1 до 6, предпочтительно от 2 до 4, в частности, 3, и q представляет собой число от 1 до 6, предпочтительно от 1 до 4, в частности, 2. В случае, когда о представляет собой 1, заместитель R1 представляет собой боковую цепь поли-глутаминовой кислоты, и в случае, когда о представляет собой 2, заместитель R1 представляет собой боковую цепь полиаспарагиновой кислоты, присоединенную клинкеру Z, содержащему дисахарид формулы (I-R) или (II-R) на свободной валентности, и R2 представляет собой 2,3-дигидроксипропилтиоацетил-карбонилалкил, т.е., т.е., кэппированную функциональную карбоксильную группу, содержащую солюбилизирующий заместитель. Полиаспарагиновая кислота, используемая для получения полимера (В) формулы (III), предпочтительно характеризуется молекулярной массой от 15000 Да до 300000 Да, в частности, от 30000 Да до 70000 Да, и предпочтительными являются такие полимеры, которые дополнительно вступают в реакцию с линкером Z, связанным с соединениями формулы (I-R) и/или (II-R) и кэппирующим 2,3-дигидроксипропилтиоалкильным остатком. В конкретном варианте реализации изобретения полимер (С) содержит частичную формулу (IV) где R1 представляет собой линкер Z, причем алкиленовая группа линкера Z содержит -NH2- группу в концевом положении, присоединенную к карбонильной группе в (IV), R2 представляет собой 2,3-дигидроксипропилтиоацетиламиноалкиламино или соответствующий амино-заместитель, и R3 представляет собой водород или метил; и соотношение двух заключенных в скобки элементов, содержащих R1 и R2соответственно, в полимере указывает на соотношение нагрузки дисахаридом к кэппированной функциональной карбоксильной группе. Например, R1 характеризуется формулой (IVa) и R2 характеризуется формулой (IVb) где q представляет собой число от 1 до 6, предпочтительно от 4 до 6, и r представляет собой число от 1 до 6, предпочтительно от 1 до 4, в частности, 2. В другом варианте реализации изобретения R1 характеризуется формулой (IVd) и R2 характеризуется формулой (IVe) где р представляет собой число от 1 до 10, предпочтительно от 1 до 4, q представляет собой число от 1 до 6, предпочтительно от 4 до 6, и r представляет собой число от 1 до 6, предпочтительно от 1 до 4, в частности, 2. В другом варианте реализации изобретения R1 характеризуется формулой (IVf) где r представляет собой число от 1 до 6, предпочтительно от 1 до 4, в частности, 2, и R2 характеризуется формулой (IVc) (выше). Полиакриловая кислота, используемая для получения полимера (С) формулы (IV) предпочтительно характеризуется молекулярной массой от 30000 Да до 400000 Да, в частности, от 30000 Да до 160000 Да, и предпочтительными являются такие полимеры, которые дополнительно вступают в реакцию с линкером Z, связанным с соединениями формулы (I-R) и/или (II-R) и кэппирующим 2,3-дигидроксипропилтиоацетильным остатком. В конкретном варианте реализации изобретения полимер (D) содержит частичную формулу (V) где R1 представляет собой линкер Z, причем алкиленовая группа линкера Z содержит - аминокарбонильную группу в концевом положении, присоединенную к гидроксильной группе в (V), R2 представляет собой 2,3-дигидроксипропилтиоацетиламиноалкиламинокарбонил или соответствующий амино карбонильный заместитель, и и соотношение двух заключенных в скобки элементов, содержащих R1 и R2соответственно, в полимере указывает на соотношение нагрузки дисахаридом к кэппированной функциональной гидрокси группе. Например, R1 характеризуется формулой (Va) и R2 характеризуется формулой (Vb) где q представляет собой число от 1 до 6, предпочтительно от 4 до 6, и r представляет собой число от 1 до 6, предпочтительно от 1 до 4, в частности, 2. В другом варианте реализации изобретения R1 характеризуется формулой (Vc) и R2 характеризуется формулой (Vd) где р представляет собой число от 1 до 10, предпочтительно от 1 до 4, q представляет собой число от 1 до 6, предпочтительно от 4 до 6, и r представляет собой число от 1 до 6, предпочтительно от 1 до 4, в частности, 2. В другом варианте реализации изобретения R1 характеризуется формулой (Ve) и R2 характеризуется формулой (Vf) где r представляет собой число от 1 до 6, предпочтительно от 1 до 4, в частности, 2. Сополимер, используемый для получения полимера (D) формулы (V), предпочтительно характеризуется молекулярной массой от 30000 Да до 400000 Да, в частности, от 30000 Да до 160000 Да, и предпочтительными являются такие полимеры, дополнительно вступающие в реакцию с линкером Z, связанным с соединениями формулы (I-R) и/или (II-R) и кэппирующим 2,3-дигидроксипропилтиоацетильным остатком. Общепринятые термины, используемые по тексту настоящей заявки, если не указано иное, предпочтительно в контексте настоящего описания характеризуются следующими значениями: Префикс «низший» означает радикал, содержащий до 7 включительно, в частности, до 4 включительно атомов углерода, указанные радикалы могут быть линейными или разветвленными с одним или множеством ответвлений. Причем формы множественного числа, относящиеся к соединениям, солям и тому подобные, также должны пониматься как обозначающие одно соединение, соль или тому подобное. Двойные связи по существу могут иметь Е- или Z-конфигурацию. Таким образом, соединения согласно настоящему изобретению могут существовать в виде изомерных смесей или отдельных изомеров. Если не указано иное, подразумеваются обе изомерные формы. Любые асимметрические атомы углерода могут быть представлены в (R)-, (S)- или (R,S)-конфигурации, предпочтительно (R)- или (S)-конфигурации. Таким образом, соединения могут быть представлены в виде смеси изомеров или в виде чистых изомеров, предпочтительно в виде диастереомеромеров, не содержащих энантиомеров. Алкил (или бифункциональный алкилен в линкере) содержит от 1 до 25, например, от 1 до 12, предпочтительно от 1 до 7 атомов углерода, и является линейным или разветвленным. Алкил предпочтительно представляет собой низший алкил. Предпочтительно, (бифункциональный) алкилен модержит от 3 до 25, предпочтительно от 4 до 12 атомов углерода. Низший алкил содержит от 1 до 7, предпочтительно от 1 до 4 атомов углерода и представляет собой бутил, такой как н-бутил, втор-бутил, изобутил, трет-бутил, пропил, такой как н-пропил или изопропил, этил или метил. Предпочтительно низший алкил представляет собой метил или этил. Циклоалкил предпочтительно содержит от 3 до 7 атомов углерода в кольце, и может быть незамещенным или замещенным, например, низшим алкилом или низшим алкокси. Циклоалкил представляет собой, например, циклогексил, циклопентил, метилциклопентил или циклопропил, в частности, циклопропил. Арил означает моно- или бициклическую сконденсированную кольцевую ароматическую группу, содержащую от 5 до 10 атомов углерода, необязательно содержащую заместители, такие как фенил, 1-нафтил или 2-нафтил, или также частично насыщенное бициклическое сконденсированное кольцо, содержащее фенильную группу, такое как инданил, индолинил, дигидро- или тетрагидронафтил, каждый из которых может быть наобязательно замещенным. Предпочтительно, арил представляет собой фенил, инданил, индолинил или тетрагидронафтил, в частности, фенил. Термин «арил, содержащий заместители» означает арил, содержащий в качестве заместителя от одной до четырех групп, независимо выбранных из низшего алкила, галоген-низшего алкила, циклоалкил-низшего алкила, карбокси-низшего алкила, низший алкоксикарбонил-низшего алкила; арилалкила или гетероарилалкила, причем арил или гетероарил являются незамещенными или содержать до трех заместителей, выбранных из низшего алкила, циклопропила, галоген-низшего алкила, низшего алкокси, гидроксисульфонила, аминосульфонила, тетразолила, карбокси, галогена, амино, циано и нитро; гидрокси-низшего алкила, низший алкокси-низшего алкила, арилокси-низшего алкила, гетероарилокси-низшего алкила, арил-низший алкокси-низшего алкила, гетероарил-низший алкокси-низшего алкила, низший алкокси-низший алкокси-низшего алкила; аминоалкила, причем амино является незамещенным или содержит один или два заместителя, выбранных из низшего алкила, гидрокси-низшего алкила, алкокси-низшего алкила и амино-низшего алкила, или один заместитель алкилкарбонил или меркаптоалкилкарбонил, алкоксикарбонил, амино-низший алкокси карбон ил, низший алкокси-низший алкоксикарбонил и аминокарбонил, или при этом два заместителя у атома азота совместно с указанным атомом азота образуют гетероциклил; необязательно замещенного алкенила, необязательно замещенного алкинила, циклоалкила, арила, гетероарила, гетероциклила, гидрокси, низшего алкила, галоген-низшего алкокси, низший алкокси-низшего алкокси, циклоалкил-низшего алкокси, арилокси, арил-низшего алкокси, арилокси-низшего алкокси, гетероарилокси, гетероарил-низшего алкокси, гетероарилокси-низшего алкокси, необязательно замещенного алкенилокси, необязательно замещенного алкинилокси, циклоалкилокси, гетероциклилокси, гидроксисульфонилокси; алкилмеркапто, гидроксисульфинил, алкилсульфинил, галоген-низшего алкилсульфинила, гидроксисульфонила, алкилсульфонила, арилсульфонила, гетероарилсульфонила; аминосульфонила, причем амино является незамещенным или содержит один или два заместителя, выбранных из низшего алкила, циклоалкил-низшего алкила, гидрокси-низшего алкила, низший алкокси-низшего алкила, циклоалкила, необязательно замещенного фенила, необязательно замещенного фенил-низшего алкила, необязательно замещенного гетероарила и необязательно замещенного гетероарил-низшего алкила, или при этом два заместителя у атома азота совместно с атомом азота образуют гетероциклил; амино, необязательно замещенный одним или двумя заместителями, выбранными из нзшего алкила, циклоалкил-низшего алкила, гидрокси-низшего алкила, низший алкокси-низшего алкила, ди-низший алкиламино-низшего алкила, циклоалкила, необязательно замещенного фенил-низшего алкила и необязательно замещенного гетероарил-низшего алкила, или одним заместителем необязательно замещенный фенил, необязательно замещенный гетероарил, алкилкарбонил, необязательно замещенный фенилкарбонил, необязательно замещенный пиридилкарбонил, алкоксикарбонил или аминокарбонил, и причем алкил или низший алкил в каждом случае может содержать в качестве земастителя галоген, низший алкокси, арил, гетероарил или необязательно замещенный амино, или при этом два заместителя у атома азота совместно с атомом азота образуют гетероциклил; карбоксиметиламино или низшего алкоксикарбонилметиламино, замещенного по метильной группе таким образом, что полученный в результате заместитель соответствует одной из 20 стандартных встречающихся в природе аминокислот, аминометилкарбониламино, замещенного по метильной группе таким образом, что полученная в результате ацильная группа соответствует одной из 20 стандартных встречающихся в природе аминокислот; низшего алкилкарбонила, галоген-низшего алкилкарбонила, необязательно замещенного фенилкарбонила, необязательно замещенного гетероарилкарбонила, карбокси, низшего алкоксикарбонила, низший алкокси-низшего алкоксикарбонила; аминокарбонила, причем амино является незамещенным или содержит в качестве заместителя одну гидрокси или амино группу, или один или два заместителя, выбранных из низшего алкила, циклоалкил-низшего алкила, гидрокси-низшего алкила, низший алкокси-низшего алкила, циклоалкила, необязательно замещенного фенил-низшего алкила и необязательно замещенного гетероарил-низшего алкила, или при этом два заместителя у атома азота совместно с атомом азота образуют гетероциклил; циано, галогена, и нитро; и при этом два заместителя в орто-положении по отношению друг к другу могут образовывать 5-, 6- или 7-членное карбоциклическое или гетероциклическое кольцо, содержащее один, два или три атома кислорода, один или два атома азота и/или один атом серы, причем указанные атомы азота необязательно замещены нзшим алкилом, низший алкокси-низшим алкилом или низшим алкилкарбонилом. В частности, указанные заместители могут быть независимо выбраны из низшего алкила, галоген-низшего алкила, гидрокси-низшего алкила, низший алкокси-низшего алкила, необязательно замещенного алкенила, необязательно замещенного алкинила, циклогексила, циклопропила, арила, гетероарила, гетероциклила, гидрокси, низшего алкокси, галоген-низшего алкокси, низший алкокси-низшего алкокси, циклоалкилокси, фенокси, гидроксисульфонилокси; алкилмеркапто, гидроксисульфинила, алкилсульфинила, галоген-низшего алкилсульфинила, гидроксисульфонила, алкилсульфонила, арилсульфонила, гетероарилсульфонила; аминосульфонила, причем амино является незамещенным или содержит один или два заместителя, выбранных из низшего алкила, циклоалкил-низшего алкила, гидрокси-низшего алкила, низший алкокси-низшего алкила и необязательно замещенного фенил-низшего алкила, или при этом два заместителя у атома азота совместно с указанным атомом азота образуют гетероциклил; амино, необязательно замещенного одним или двумя заместителями, выбранными из низшего алкила, циклоалкил-низшего алкила, гидрокси-низшего алкила, низший алкокси-низшего алкила, ди-низший алкиламино-низшего алкила, циклоалкила, или одним заместителем необязательно замещенным фенилом, необязательно замещенным гетероарилом, алкилкарбонилом, необязательно замещенным фенилкарбонилом, необязательно замещенным пиридинкарбонилом, алкоксикарбонилом или аминокарбонилом, или при этом два заместителя у атома азота совместно с указанным атомом азота образуют гетероциклил; карбоксиметиламино или низшего алкоксикарбонилметиламино, замещенного по метильной группе таким образом, что полученный заместитель соответствует одной из 20 стандартных аминокислот, встречающихся в природе, аминометилкарбониламино, замещенного по метильной группе таким образом, что полученная ацильная группа соответствует одной из 20 стандартных аминокислот, встречающихся в природе; низшего алкилкарбонила, галоген-низшего алкилкарбонила, карбокси, низшего алкоксикарбонила, низший алкокси-низшего алкоксикарбонила; аминокарбонила, где амино является незамещенным или содержит в качестве заместителя одну гидрокси или амино группу, или один или два заместителя, выбранных из низшего алкила, гидрокси-низшего алкила, низший алкокси-низшего алкила, необязательно замещенного фенил-низшего алкила и необязательно замещенного гетероарил-низшего алкила, и где два заместителя в орто-положении относительно друг друга могут образовывать 5- или 6-членное гетероциклическое кольцо, содержащее один или два атома кислорода и/или один или два атома азота, причем указанные атомы азота являются необязательно замещенными низшим алкилом, низший алкокси-низшим алкилом или низшим алкилкарбонилом. Для необязательно замещенного фенила заместители предпочтительно представляют собой низший алкил, галоген-низший алкил, низший алкокси-низший алкил, амино-низший алкил, ациламино-низший алкил, циклопропил, гидрокси, низший алкокси, гелоген-низший алкокси, низший алкокси-низший алкокси, метилендиокси, гидроксисульфонилокси, карбокси, низший алкоксикарбонил, аминокарбонил, гидроксиламинокарбонил, тетразолил, гидроксисульфонил, аминосульфонил, галоген, циано или нитро, в частности, низший алкокси, амино-низший алкил, ациламино-низший алкил, карбокси, низший алкоксикарбонил, аминокарбонил, гидроксиламинокарбонил, тетразолил или аминосульфонил. Гетероарил представляет собой ароматическую группу, содержащую по меньшей мере один гетероатом, выбранный из азота, кислорода и серы, и является моно- или бициклическим, необязательно содержащим заместители. Моноциклический гетероарил включает 5 или 6 членные гетероарильные группы, содержащие 1, 2, 3 или 4 гетератома, выбранные из азота, серы и кислорода. Бициклический гетероарил в качестве членов включает 9 или 10 сконденсированных кольцевых гетероарильных групп. Примеры гетероарила включают пирролил, тиенил, фурил, пиразолил, имидазолил, триазолил, тетразолил, оксазолил, изоксазолил, оксадиазолил, тиазолил, изотиазолил, тиадиазолил, пиридил, пиридазинил, пиримидинил, пиразинил, и бензо- или пиридазо сконденсированные производные указанных моноциклических гетероарильных групп, таких как индолил, бензимидазолил, бензофурил, хинолинил, изохинолинил, хиназолинил, пирролопиридин, имидазопиридин или пуринил, каждый из которых может быть необязательно замещенным. Предпочтительно, гетероарил представляет собой пиридил, пиримидинил, пиразинил, пиридазинил, тиенил, пиразолил, имидазолил, тиазолил, оксадиазолил, триазолил, оксазолил, изоксазолил, изотиазолил, пирролил, индолил, пирролопиридин или имидазопиридин; в частности, пиридил, пиримидинил, пиразинил, пиридазинил, паризолил, имидазолил, тиазолил, оксадиазолил, тиазолил, индолил, пирролопиридин или имидазопиридин. Термин "гетероарил, содержащий заместители" означает гетероарил, содержащий до трех заместителей, независимо выбранных из низшего алкила, галоген-низшего алкила, циклоалкил-низшего алкила, гидрокси-низшего алкила, низший алкокси-низшего алкила, арилокси-низшего алкила, гетероарилокси-низшего алкила, низший алкокси-низший алкокси-низшего алкила; аминоалкила, в котором амино является незамещенным или замещенным одним или двумя заместителям, выбранными из низшего алкила, гидрокси-низшего алкила, алкокси-низшего алкила, амино-низшего алкила, алкилкарбонила, алкоксикарбонила, амино-низшего алкоксикарбонила, низший алкокси-низшего алкоксикарбонила и аминокарбонила; необязательно замещенного алкенила, необязательно замещенного алкинила, циклоалкила; арила, гетероарила, арилалкила или гетероарилалкила, причем арил или гетероарил являются незамещенными или содержат до трех заместителей, выбранных из низшего алкила, галоген-низшего алкила, низшего алкокси, галогена, амино, циано и нитро; гидрокси, низшего алкокси, гелоген-низшего алкокси, низший алкокси-низшего алкокси, циклоалкокси, циклоалкил-низшего алкокси, арилокси, арил-низшего алкокси, гетероарилокси, гетероарил-низшего алкокси, алкенилокси, алкинилокси, алкилмеркапто, алкилсульфинила, галоген-низшего алкилсульфинила, алкилсульфонила, арилсульфонила, гетероарилсульфонила, аминосульфонила, причем амино является незамещенным или содержит один или два заместителя, выбранных из низшего алкила, циклоалкил-низшего алкила, гидрокси-низшего алкила, низший алкокси-низшего алкила, циклоалкила, необязательно замещенного фенила, необязательно замещенного фенил-низшего алкила, необязательно замещенного гетероарила и необязательно замещенного гетероарил-низшего алкила, или при этом два заместителя у атома азота совместно с указанным атомом азота образуют гетероциклил; амино, необязательно замещенного одним или двумя заместителями, выбранными из низшего алкила, циклоалкил-низшего алкила, гидрокси-низшего алкила, низший алкокси-низшего алкила, ди-низший алкиламино-низшего алкила, циклоалкила, необязательно замещенного фенила, необязательно замещенного фенил-низшего алкила, необязательно замещенного гетероарила, необязательно замещенного гетероарил-низшего алкила, алкилкарбонила, алкоксикарбонила или аминокарбонила, и при этом алкил или низший алкил в каждом случае в качестве заместителя может содержать галоген, низший алкокси, арил, гетероарил или необязательно замещенный амино, или при этом два заместителя у атома азота совместно с указанным атомом азота образуют гетероциклил; низшего алкилкарбонила, галоген-низшего алкилкарбонила, необязательно замещенного фенилкарбонила, карбокси, низшего алкоксикарбонила, низший алкокси-низшего алкоксикарбонила; аминокарбонила, где амино является незамещенным или замещенным одной гидрокси или амино группой, или одним или двумя заместителями, выбранными из низшего алкила, циклоалкил-низшего алкила, гидрокси-низшего алкила, низший алкокси-низшего алкила, циклоалкила, необязательно замещенного фенила, необязательно замещенного фенил-низшего алкила, необязательно замешенного гетероарила и необязательно замещенного гетероарил-низшего алкила, или при этом два заместителя у атома азота совместно с указанным атомом азота образуют гетероциклил; циано, галогена и нитро. В частности, заместители гетероарила могут быть независимо выбраны из низшего алкила, галоген-низшего алкила, циклоалкил-низшего алкила, низший алкокси-низшего алкила, низший алкокси-низший алкокси-низшего алкила, необязательно замещенного алкенила, необязательно замещенного алкинила, циклоалкила, арила, гетероарила, гидрокси, низшего алкокси, циклоалкокси, алкенилокси, алкинилокси, алкилмеркапто, алкилсульфинила, галоген-низшего алкилсульфинила, алкилсульфонила, арилсульфонила, аминосульфонила, где амино является незамещенным или замещенным одним или двумя заместителями, выбранными из низшего алкила, циклоалкил-низшего алкила, гидрокси-низшего алкила, низший алкокси-низшего алкила, циклоалкила, необязательно замещенного фенила, необязательно замещенного фенил-низшего алкила, необязательно замещенного гетероарила и необязательно замещенного гетероарил-низшего алкила, или где два заместителя у атома азота совместно с атомом азота образуют гетероциклил; амино, необязательно замещенного одним или двумя заместителями, выбранными из низшего алкила, циклоалкил-низшего алкила, гидрокси-низшего алкила, низший алкокси-низшего алкила, ди-низший алкиламино-низшего алкила, циклоалкила, алкилкарбонила, алкоксикарбонила или аминокарбонила, и где алкил или низший алкил в каждом случае может быть замещен низшим алкокси или необязательно замещенным амино, или где два заместителя у атома азота совместно с атомом азота образуют гетероциклил; низшего алкилкарбонила, галоген-низшего алкилкарбонила, карбокси, низшего алкоксикарбонила, низший алкокси-низшего алкоксикарбонила; аминокарбонила, где амино является незамещенным или замещенным одной гидрокси или амино группой, или одним или двумя заместителями, выбранными и низшего алкила, циклоалкил-низшего алкила, гидрокси-низшего алкила, низший алкокси-низшего алкила или циклоалкила, или где два заместителя у атома азота совместно с атомом азота образуют гетероциклил; циано, галогена, и нитро. Необязательно замещенный гетероарил в качестве заместителей предпочтительно содержит низший алкил, галоген-низший алкил, низший алкокси-низший алкил, гидрокси, низший алкокси, галоген-низший алкокси, низший алкокси-низший алкокси, метилендиокси, карбокси, низший алкоксикарбонил, аминокарбонил, гидроксиламинокарбонил, тетразолил, аминосульфонил, галоген, циано или нитро. Алкенил содержит одну или более, например, две или три, двойных связи, и предпочтительно представляет собой низший алкенил, такой как 1- или 2-бутенил, 1-пропенил, аллил или винил. Алкинил предпочтительно представляет собой низший алкинил, такой как пропаргил или ацетиленил. В случае необязательно замещенных алкенила или алкинила, заместители предпочтительно представляют собой низший алкил, низший алкокси, галоген, необязательно замещенный арил или необязательно замещенный гетероарил, и связаны с насыщенным или ненасыщенным атомом углерода алкенила или алкинила. Гетероциклил означает предпочтительно насыщенное, частично насыщенное или ненасыщенное моно- или бициклическое кольцо, содержащее 4-10 атомов, содержащих один, два или три гетератома, выбранные из азота, кислорода и серы, которые, если не указано иное, могут быть углерод- или азот-связанными, причем кольцевой атом азота может быть необязательно замещен группой, выбранной из низшего алкила, амино-низшего алкила, арила, арил-низшего алкила и ацила, и кольцевой атом углерода может быть замещен низшим алкилом, амино-низшим алкилом, арилом, арил-низшим алкилом, гетероарилом, низшим алкокси, гидрокси или оксогруппой, или которые могут быть сконденсированы с необязательно замещенным бензо-кольцом. Заместителями, подходящими для замещенного бензо, являются заместители, указанные выше для необязательно замещенного арила. Примеры гетероциклила включают пирролидинил, оксазолидинил, тиазолидинил, пиперидинил, морфолинил, пиперазинил, диоксоланил, тетрагидрофуранил и тетрагидропиранил, и необязательно замещенные бензо-сконденсированные производные такого моноциклического гетероциклила, например, индолинил, бензоксазолидинил, бензотиазолидинил, тетрагидрохинолинил, и бензодигидрофурил. Ацил означает, например, алкилкарбонил, циклоалкилкарбонил, арилкарбонил, арил-низший алкилкарбонил или гетероарилкарбонил. Низший ацил предпочтительно представляет собой низший алкилкарбонил, в частности пропионил или ацетил. Гидроксиалкил, в частности, представляет собой гидрокси-низший алкил, предпочтительно гидроксиметил, 2-гидроксиэтил или 2-гидрокси-2-пропил. Цианоалкил предпочтительно означает цианометил и цианоэтил. Галогеналкил предпочтительно представляет собой фторалкил, в частности, трифторметил, 3,3,3-трифторэтил или пентафторэтил. Галоген представляет собой фтор, хлор, бром или йод. Низший алкокси, в частности, представляет собой метокси, этокси, изопропилокси или трет-бутилокси. Арилалкил включает арил и алкил, описанные выше, и представляет собой, например, бензил, 1-фенэтил или 2-фенэтил. Гетероарилалкил включает гетероарил и алкил, описанные выше, и представляет собой, например, 2-, 3- или 4-пиридилметил, 1- или 2-пирролилметил, 1-пиразолилметил, 1-имидазолилметил, 2-(1-имидазолил)этил или 3-(1-имидазолил)пропил. В замещенном амино заместители предпочтительно представляют собой заместители, описанные ранее в настоящей заявке в качестве заместителей. В частности, замещенный амино представляет собой алкиламино, диалкиламино, необязательно замещенный ариламино, необязательно замещенный арил алкиламино, низший алкилкарбониламино, бензоиламино, пиридилкарбониламино, низший алкоксикарбониламино или необязтельно замещенный аминокарбониламино. Конкретные рассматриваемые соли представляют собой соли, замещающие атомы водорода в сульфатной группе и функциональной группе карбоновой кислоты. Подходящие катионы представляют собой, например, катионы натрия, калия, кальция, магния или аммония, а также катионы, полученные путем протонирования из первичных, вторичных или третичных аминов, содержащих, например, группы низший алкил, гидрокси-низший алкил или гидрокси-низший алкокси-низший алкил, например, 2-гидроксиэтиламмоний, 2-(2-гидроксиэтокси)этилдиметиламмоний, диэтиламмоний, ди(2-гидроксиэтил)аммоний, триметиламмоний, триэтиламмоний, 2-гидроксиэтилдиметиламмоний, или ди(2-гидроксиэтил)метиламмоний, а также из соответствующих замещенных циклических вторичных и третичных аминов, например, N-метилпирролидиний, N-метилпиперидиний, N-метилморфолиний, N-2-гидроксиэтилпирролидиний, N-2-гидроксиэтилпиперидиний или N-2-гидроксиэтилморфолиний и тому подобные. В свете тесной связи, существующей между новыми соединениями в свободной форме и указанными соединениями в форме их солей, включая соли, которые могут быть использованы в качестве промежуточных соединений, например, для очистки или обнаружения новых соединений, любое упоминание о свободных соединениях в тексте настоящей заявки необходимо также понимать как относящееся к соответствующим солям, и наоборот, как будет уместно и целесообразно. Предпочтительно R представляет собой незамещенный или замещенный фенил. В частности, настоящее изобретение относится к соединениям формулы (I-R) или (II-R), где R представляет собой необязательно замещенный фенил. Предпочтительные заместители, подходящие для R, имеющего значения вышеописанных арильных групп, например, фенила, предствляют собой низший алкил, галоген-низший алкил, гидрокси-низший алкил, низший алкокси-низший алкил, амино-низший алкил, низший алканкарбониламино-низший алкил, меркапто-низший алканкарбониламино-низший алкил, необязательно замещенный алкенил, необязательно замещенный алкинил, циклогексил, циклопропил, арил, гетероарил, гетероциклил, гидрокси, низший алкокси, галоген-низший алкокси, низший алкокси-низший алкокси, циклоалкилокси, гидроксисульфонилокси; меркапто, алкилмеркапто, гидроксисульфинил, алкилсульфинил, галоген-низший алкилсульфинил, гидроксисульфинил, алкилсулфонил, арилсульфонил, гетероарилсульфонил, аминосульфонил, где амино является незамещенным или замещенным одним или двумя заместителями, выбранными из низшего алкила, циклоалкил-низшего алкила, гидрокси-низшего алкила, низшего алкокси-низшего алкила, необязательно замещенного фенил-низшего алкила и необязательно замещенного гетероарил-низшего алкила, или где два заместителя у атома азота совместно с атомом азота образуют гетероциклил; амино, необязательно замещенного одним или двумя заместителями, выбранными из низшего алкила, циклоалкил-низшего алкила, гидрокси-низшего алкила, низший алкокси-низшего алкила и ди-низший алкиламино-низшего алкила, или одним заместителем циклоалкил, необязательно замещенный фенил, необязательно замещенный гетероарил, алкилкарбонил, необязательно замещенный фенилкарбонил, необязательно замещенный пиридилкарбонил, алкоксикарбонил или аминокарбонил, или где два заместителя у атома азота совместно с атомом азота образуют гетероциклил; карбоксиметиламино или низшего алкоксикарбонилметиламино, замещенного по метильной группе таким образом, что полученный заместитель соответствует одной из 20 стандартных аминокислот, встречающихся в природе, аминометилкарбониламино, замещенного по метильной группе таким образом, что полученная ацильная группа соответствует одной из 20 стандартных аминокислот, встречающихся в природе; низшего алкилкарбонила, галоген-низшего алкилкарбонила, карбокси, низшего алкоксикарбонила, низший алкокси-низшего алкоксикарбонила; аминокарбонила, где амино является незамещенным или содержит в качестве заместитеоя одну гидрокси или амино группу или один или два заместителя, выбранных из низшего алкила, гидрокси-низшего алкила, низший алкокси-низшего алкила, необязательно замещенного фенил-низшего алкила и необязательно замещенного гетероарил-низшего алкила, или где два заместителя у атома азота совместно с атомом азота образуют гетероциклил; циано, галогена и нитро; и где два заместителя в орто-положении относительно друг друга могут образовывать 5- или 6-членное гетероциклическое кольцо, содержащее один или два атома кислорода и/или один или два атома азота, причем указанные атомы азота являются необязательно замещенными низшим алкилом, низший алкокси-низшим алкилом или низшим алкилкарбонилом. В частности, предпочтительный R представляет собой п-метоксифенил, 4-(2-аминоэтил)фенил или 4-(2-(4-меркаптобутаноиламино)этил)фенил. В полимерах, содержащих множество заместителей формулы (I-Z) и/или формулы (II-Z), конкретный линкер Z представляет собой (бифункциональный) арил, гетероарил, арил-низший алкил, арилкарбонил или гетероарил метил, где арил или гетероарил замещены остатком -(CH2)2NH(C=O)(CH2)3S-CH2-(C=O)-, присоединенным к полимеру с аминоалкильными боковыми цепями по функциональной группе С=O. Более конкретно линкер Z представляет собой фенил, замещенный -остатком (CH2)2NH(C=O)(CH2)3S-CH2-(C=O) присоединенным к полимеру с аминоалкильными боковыми цепями по функциональной группе С=O. Предпочтительный полимер, содержащий множество заместителей формулы (I-Z) и/или формулы (II-Z) представляет собой полилизин, в частности, поли-L-лизин. Предпочтительно молекулярная масса полилизина составляет от 1000 до 300000 Да, предпочтительно, от 10000 до 100000 Да. В частности, предпочтительной является молекулярная масса, составляющая приблизительно 50000 Да, 125000 Да или 200000 Да. Наиболее предпочтительной является молекулярная масса, составляющая приблизительно 50000 Да. В частности, настоящее изобретение относится к таким полимерам, в которых относительная нагрузка полимерного остова дисахаридным заместителем формулы (I-Z) и/или (II-Z) составляет 10-80%, что означает, что 10-80% всех лизиновых боковых цепей в указанном полимере соединены/прореагировали с линкером, содержащим дисахарид, оставшиеся функциональные амино группы кэппированы. Предпочтительно нагрузка полимера сомтавляет 30 - 60%, более предпочтительно 40-50%. В предпочтительном варианте реализации изобретения синтезировали сульфатированный минимальный эпитоп HNK-1 22, содержащий линкер, имеющий концевую сульфгидрильную функциональную группу, который в субстехиометрическом количестве вступал в реакцию с активированным (хлорацетилированным) лизиновым полимером 24. Углеводную нагрузку (40%) определяли с помощью1Н ЯМР. Имходный полимер 23 характеризовался средней молекулярной массой (MW) 50 кДа, тогда как средняя молекулярная масса, высчитанная для конечного полимера (25) с 40% нагрузкой минимальным HNK-1 эпитопом составляла 123 кДа. Синтезированные углеводные мономеры (1 и 2) и полимер 25 исследовали с помощью традиционного анализа ELISA Значения IC50 для соединения 1 определяли для всех образцов сыворотки крови. Для соединения 2 эти значения определяли для образца сыворотки MK, характеризующейся наибольшей афинностью антител к соединению 1, и для сыворотки SJ, характеризующейся наименьшей афинностью антител к соединению 1. Результаты представлены в Таблице ниже. Анализ повторяли четырежды. Из кривых связывания, полученных для каждого образца сыворотки, выбирали три наиболее подходящих и нормализовали для расчета IC50. Кривые связывания показаны на Фигуре 2. Для построения кривой для соединения 2 была добавлена точка завышенной концентрации при 500 мМ с 0% связывния антитела, поскольку даже при наибольшей концентрации соединения 2 (50 мМ) ингибирование связывания антитела не составляло 100%. Таким образом, значения IC50 для соединения 2 необходимо рассматривать как приблизительные значения, хотя они лишь незначительно изменяются при добавлении точки высокой концентрации. В тех же условиях анализа исследовали углеводный полимер с образцами сыворотки крови KH, MK и SJ. Измерения повторяли по меньшей мере три раза. Выбирали три наиболее подходящие кривые для каждого образца сыворотки для расчета IC50. Ненормализованные кривые связывания представлены на Фигуре 2. Данные, полученные при биологической оценке соединений 1 и 2 ясно демонстрирует различную аффинность антител IgM каждого образца сыворотки крови к синтезированным дисахаридам. Дисахарид 1 демонстрирует более высокую аффинность связывания по отношению к антителам IgM по сравнению с дисахаридом 2, у которого отсутствует сульфатный остаток. Предполагается, что сульфатная группа играет важную роль в связывании антитела для синтезируемого минимального эпитопа HNK-1. Несмотря на это, она не одинаково важна для каждого образца сыворотки крови. Сыворотка МК продемонстрировала высокую потребность в сульфате с приблизительно в 230 раз меньшим связыванием с несульфатированным дисахаридом. Сыворотка SJ, напротив, продемонстрировала, что аффинность связывания с несульфатированным дисахаридом меньше только в 12,6 раз. Представляется, что для указанной сыворотки более важное значение имеет карбоксильная группа GlcA. Для всех антител IgM для связывания в диапазоне мкМ необходим сульфатный остаток. Неожиданно было обнаружено, что сульфатированный минимальный эпитоп HNK-1 способен ингибировать связывание антитела с MAG в диапазоне концентраций мкМ. Таким образом, можно предположить, что концевой ароматический остаток дисахарида участвует в связывании, как будто имитируя третий сахар (GlcNAc) эпитопа HNK-1. Ароматическое кольцо может подвергаться тт-катионному взаимодействию или тт-тт стэкингу. Причинно-следственная связь между анти-MAG аутоантителами и развитием нейропатии у пациентов, страдающих нейропатией, в настоящее время является общепризнанной (М.С.Dalakas, Current Treatment Options in Neurology 2010, 12:71-83). Антигенной детерминантой для указанных антител является углеводный эпитоп HNK-1, трисахарид SO4-3-GlcA(β1-3)Gal(β1-4)GlcNAc-OH, который также распознается HNK-1 антителом. Согласно настоящему изобретению показано, что углеводные лиганды, блокирующие сайты связывания антител IgM, предотвращают связывание антител с MAG и другими миелиновыми мишенями. Показано, что дисахаридные лиганды формулы (I-R) и (II-R), минимальные углеводные эпитопы HNK-1, которые могут быть получены гораздо проще, чем более крупные углеводы, сохраняют аффинность к антителам IgM, и применяются для диагностических и терапевтических целей. В области техники известны соединения, относящиеся к соединению 1 и 2, но не известны такие соединения, содержащие арильные агликоны. Ароматические остатки Z участвуют в процессе связывания с анти-MAG IgM антителами и, таким образом, придают значительные преимущества таким соединениям как (I-R) и/или (II-R) с арильными агликонами. В случае сульфатированной структуры (I-R) опубликовано замещенное этиламином производное пентасахарида (A.V. Kornilov, Carbohydrate Research 2000, 329:717-730). В случае структуры (II-R) опубликовано незамещенное производное (R=Н) и производные с традиционными алкильными остатками. В дополнение к заявленному в настоящей заявке арильному замещению, такому как пара-метоксифенил, подход к презентированию указанного эпитопа в нескольких копиях на подходящем полимере является новым. Природные углеводы, как правило, демонстрируют низкую аффинность связывания с их партнерами по связыванию. В биологических системах достаточная аффинность часто достигается путем поливалентного презентирования углеводов, также как и олиговалентного презентирования доменов, распознающих углеводы (CRD), углевод связывающих белков (В. Ernst and J.L. Magnani, Nature Reviews Drug Discovery 2009, 8:661-677). Изложенное выше также справедливо в отношении связывания антител IgM с MAG: MAG презентирует до восьми эпитопов HNK-1 на внеклеточных доменах. В конкретном предпочтительном варианте реализации настоящее изобретение относится к полимерам, содержащим множество заместителей формулы (I-Z) и/или формулы (II-Z), причем указанный полимер представляет собой поли-L-лизин и Z представляет собой бифункциональный линкер, связывающий указанный заместитель с полимерным остовом. Поли-L-лизин является биоразлагаемым, и, следовательно, подходит для терапевтического применения. Представленный в качестве примера минимальный HNK-1 полимер десонстрирует демонстрирует значительное увеличение аффинности связывания по отношению к патогенным антителам IgM. Ингибирующая активность, в настоящее время находящаяся в низком диапазоне нМ, увеличивается на некоторый множитель, составляющий по меньшей мере 34000, по сравнению с мономером (сыворотка KH). Увеличение аффинности, полученное для сыворотки MK и SJ составляло приблизительно 50000 (см. Таблицу выше). Полученные результаты явным образом указывают на поливалентную природу взаимодействия антиген-антитело. Представленный в качестве примера минимальный HNK-1 полимер служит в качестве замещающего антигена для очищенного MAG мозга человека, в настоящее время используемого в диагностическом анализе ELISA для определения анти-MAG антител IgM. Соединения согласно настоящему изобретению обладают важными фармакологическими свойствами. Настоящее изобретение также относится к соединениям, описанным выше, для применения в качестве лекарственных средств. Соединение согласно настоящему изобретению демонстрирует профилактическую и терапевтическую эффективность, в особенности, против анти-MAG нейропатии. Соединение формулы (I-R) или (II-R), или полимеры, содержащие указанные соединения, могут быть введены отдельно или в комбинации с одним или более других терапевтических агентов, причем возможная комбинированная терапия принимает форму комбинированных лекарственных средств, или введения соединения согласно настоящему изобретению и одного или более других терапевтических агентов дифференцировано или независимо друг от друга, или комбинированного введения комбинированных лекарственных средств и одного или более других терапевтических агентов. Терапевтические агенты для возможных комбинаций, в частности, представляют собой иммунодепрессивные вещества. Примеры включают аналоги пурина, такие как флударабин и/или кладрибин, дополнительно химерное моноклональное антитело ритуксимаб (A.J. Steck et al., Current Opinion in Neurology 2006, 19:458-463). В другом конкретном варианте реализации настоящее изобретение относится к применению соединений согласно настоящему изобретению в исследованиях для диагностики анти-MAG нейропатии. В частности, настоящее изобретение относится к наборам, содержащим соединения формулы (I-R) или (II-R), описанные выше, а также полимеры согласно настоящему изобретению, содержащие указанные соединения в качестве заместителей. Настоящее изобретение относится к способу диагностики анти-MAG нейропатии, в котором уровень IgM против MAG определяют в образце биологической жидкости, например, сыворотки крови, и высокий уровень указывает на развитие и степень тяжести анти-MAG нейропатии. Другие биологические жидкости, помимо сыворотки крови, используемые для определения IgM против MAG, представляют собой, например, цельную кровь, цереброспинальную жидкость или экстракты твердой ткани. Для определения уровня IgM против MAG в биологических жидкостях может применяться любой известный способ. Рассматриваемые способы представляют собой, например, анализы ELISA, RIA, EIA, или микроматричный анализ. Предпочтительным способом определения IgM против MAG в биологических жидкостях человека, например, сыворотке крови, является анализ ELISA. В таком варианте реализации изобретения микротитрационные планшеты покрывали соединениями формулы (I-R) или (II-R), или предпочтительно полимерами согласно настоящему изобретению, содержащими такие соединения в качестве заместителей. Затем лунки планшетов блокировали и загружали эталонный раствор. После инкубирования анти-IgM антитело готова к использованию, например, анти-IgM антитело, непосредственно сконъюгированное с подходящей меткой, например, с ферментом для хромогенного обнаружения. В качестве альтернативы добавляли поликлональное анти-IgM антитело кролика (или мыши). Затем добавляли второе антитело, обнаруживающее конкретный тип анти-IgM антитела, напрмер, анти-кроличье (или анти-мышиное) антитело, сконъюгированное с подходящей меткой, например, с ферментом для хромогенного обнаружения, как описано выше. Наконец, планшет содержит субстрат для метки с целью ее обнаружения и количественного определения, причем указанная метка является мерой наличия и количества IgM против MAG. В случае, если метка представляет собой фермент для хромогенного обнаружения, субстрат представляет собой окрашиваемый субстрат конъюгированного фермента. Цветную реакцию затем определяли с помощью считывающего устройства для микропланшетов и сравнивали со стандартными значениями. Также возможно использование фрагментов антител. Подходящие метки представляют собой хромогенные метки, т.е., фенменты, которые могут быть использованы для превращения субстрата в обнаруживаемое окрашенное или флуоресцентное соединение, спектроскопические метки, например, флуоресцентные метки или метки, демонстрирующие видимый цвет, аффинные метки, которые могут быть получены с помощью дополнительного соединения, специфичного для указанной метки, и обеспечивают легкое обнаружение и количественную оценку, или любую другую метку, традиционно используемую в анализе ELISA. Другими предпочтительными способами обнаружения IgM против MAG являются радиоиммунологически анализ или конкурентный иммуноанализ и хемилюминесцентный детекторный анализ с помощью авоматических коммерческ доступных аналитических механических устройств. Также могут быть использованы микрочастицы, усиливающие флуоресценцию, принципы поляризованной флуоресценции или масс-спектрометрия. Устройства для обнаружения, например, микрочипы, являются полезными компонентами в качестве считывающих устройств IgM против MAG. В дополнительном вариенте реализации настоящее изобретение относится к набору, подходящему для исследования, описанного выше, в частности, анализа ELISA, содержащему соединения формулы (I-R) или (II-R), или полимеры, содержащие такие соединения в качестве заместителей. Указанные наборы дооплнительно содержат анти-IgM антитела (или фрагменты анти-IgM антител), несущие подходящую метку, или анти-IgM антитела и вторые антитела, несущие такую подходящую метку, и реагенты или оборудование для обнаружения указанной метки, например, реагенты, вступающие в реакцию с ферментами, используемыми в качестве меток и указывающие на присутствие указанной метки изменением цвета или флуоресценцией, стандартное оборудование, такое как микротитрационные планшеты, пипетки и тому подобные, эталонные растворы и промывные растворы. Анализ ELISA также может быть разработан таким образом, что образцы крови или сыворотки пациента применяют для покрытия микротитрационных планшетов с последующим обнаружением анти-MAG антител с помощью меченых соединений формулы (I-R) или (II-R), или меченных полимеров содержащих такие соединения в качестве заместителей. Метка является либо прямо обнаруживаемой, либо косвенно обнаруживаемой посредством антитела. Полимер, содержащий соединения формулы (I-Z) или (II-Z) согласно настоящему изобретению, связывается с патогенными анти-MAG IgM антителами и, вероятно, понижающее регулирует продукцию анти-MAG IgM антител. Это позволяет проводить антиген-специфическое лечение пациентов, страдающих анти-MAG нейропатией. Дополнительно настоящее изобретение относится к фармацевтической композиции, содержащей соединение формулы (I-R) или (II-R), или полимер, содержащий заместители формулы (I-Z) или (II-Z) согласно настоящему изобретению. Рассматриваются фармацевтические композиции для парентерального введения, такого как подкожное, внутривенное, внутрипеченочное или внутримышечное введение, теплокровным животным, особенно, людям. Указанные композиции содержат активный ингредиент (активные ингредиенты) отдельно или, предпочтительно, совместно с фармацевтически приемлемым носителем. Дозировка активного ингредиента (ингредиентов) зависит от возраста, веса, и индивидуального состояния пациента, индивидуальных фармакокинетических данных, и способа введения. При парентеральном введении предпочтительным является применение суспензий и дисперсий углеводного полимера согласно настоящему изобретению, в частности, изотоническим водным дисперсиям или суспензиям, которые, например, могут быть приготовлены непосредственно перед применением. Указанные фармацевтические композиции могут быть стерилизованными и/или могут содержать вспомогательные вещества, например, консерванты, стабилизаторы, смачивающие агенты и/или эмульгаторы, солюбилизаторы, агенты, повышающие вязкость, соли для регулирования осмотического давления и/или буферы, и получают указанные композиции широко известными способами, например, путем общеизвестных способов растворения и лиофилизации. Носители, подходящие для энтерального введения, такого как назальное, буккальное, ректальное или пероральное введение, в частности, представляют собой наполнители, такие как сахара, например, лактоза, сахароза, манит или сорбит, целлюлозные продукты и/или фосфаты кальция, например, трикальций фосфат или дикальций фосфат, а также связующие агенты, такие как крахмалы, например, кукурузный, пшеничный, рисовый или картофельный крахмалы, метилцеллюлоза, гидроксипропилметилцеллюлоза, карбоксиметилцеллюлоза натрия и/или поливинилпирролидон, и/или, при необходимости дезинтегрирующие агенты, такие как перечисленные выше крахмалы, а также карбоксиметилкрахмал, поперечно сшитый поливинилпирролидон, альгиновая кислота или ее соль, например, альгинат натрия. Дополнительные вспомогательные вещества представляют собой, в частности, стабилизаторы потока и лубриканты, например, кремниевая кислота, тальк, стеариновая кислота или ее соль, например, стеарат магния или кальция, и/или полиэтиленгликоль, или их производные. Ядра таблеток могут быть покрыты подходящими, необязательно кишечнорастворимыми, покрытиями путем применения, в том числе, концентрированных растворов Сахаров, которые могут содержать аравийскую камедь, тальк, поливинилпирролидон, полиэтиленгликоль и/или диоксид титана, или растворов для покрытия в подходящих органических растворителях или смесях растворителей, или, для получения кишечнорастворимых покрытий, растворов подходящих целлюлозных продуктов, таких как фталат ацетилцеллюлозы или фталат гидроксиметилпропилцеллюлозы. К таблеткам или покрытиям для таблеток могут быть добавлены красители или пигменты, например, для целей идентификации или для указания различных дозировок активных ингредиентов. Фармацевтические композиции для перорального введения также включают твердые капсулы, состоящие из желатина, а также мегкие герметичные капсулы, состоящие из желатина и смягчителя, такого как глицерин или сорбит. Твердые капсулы могут содержать активный ингредиент в виде гранул, например, в смеси с наполнителями, такими как кукурузный крахмал, связующие и/или скользящие вещества, такие как тальк или стеарат магния, и, необязательно, стабилизаторы. В мягких капсулах активный ингредиент предпочтительно растворен или суспендирован в подходящих жидких вспомогательных веществах, таких как жирные масла, парафиновое масло или жидкие полиэтиленгликоли или сложные эфиры жирных кислот и этиленгликоля или пропиленгликоля, к которым акже могут быть добавлены стабилизаторы и детергенты, например, типа полиоксиэтиленового эфира сорбита и жирной кислоты. Фармацевические композиции, подходящие для ректального введения, представляют собой, напрмер, суппозитории, содержащие комбинацию активного ингредиента и основы для суппозитория. Подходящие основы для суппозитория представляют собой, например, природные или синтетические триглицериды, углеводороды парафинового ряда, полиэтиленгликоли или высшие алканолы. Указанные фармацевтические композиции согласно настоящему изобретению могут содержать отдельные таблетки, гранулы или другие формы перорально приемлемых лекарственных составов, содержащих указанные активные ингредиенты, или могут содержать смесь активных ингредиентов в одной подходящей лекарственной форме, как описано выше. В частности, отдельные составы, приемлемые для перорального применения, или смесь в одной подходящей фармацевтической дозированной форме могут представлять собой фармацевтические композиции с замедленным высвобождением и с контролируемым высвобождением. Указанные фармацевтические композиции содержат от приблизительно 1% до приблизительно 95% активного ингредиента или смеси активных ингредиентов, причем формы для введения однократной дозы в предпочтительном варианте реализации изобретения содержат от приблизительно 20% до приблизительно 90% активного ингредиента(ов), а формы, которые не предназначены для введения однократной дозы, согласно предпочтительному варианту реализации настоящего изобретения содержат от приблизительно 5% до приблизительно 20% активного ингредиента(ов). Настоящее изобретение также относится к упомянутым фармацевтическим композициям, применяемым в качестве лекарственных средств для лечения анти-MAG нейропатии. Настоящее изобретение дополнительно относится к способу лечения анти-MAG нейропатии, включающему введение композиции согласно настоящему изобретению в количестве, эффективном против указанного заболевания, теплокровному животному, нуждающемуся в таком лечении. Указанные фармацевические композиции могут быть введены в профилактических или лечебных целях, предпочтительно в количестве, эффективном против указанных заболеваний, теплокровному животному, например, человеку, нуждающемуся в таком лечении. В случае, когда вес тела субъекта составляет приблизительно 70 кг, вводимая суточная доза составляет от приблизительно 0,01 г до приблизительно 5 г, предпочтительно от приблизительно 0,25 г до приблизительно 1,5 г активных ингредиентов в композиции согласно настоящему изобретению. Следующие Примеры служат для иллюстрации настоящего изобретения, не ограничивая объем изобретения. ПРИМЕРЫ Общая методика ЯМР-спектры получали с помощью спектрометра Bruker Avance DMX-500 (500 МГц). Распределение спектров1Н и13С ЯМР получали с использованием двумерных (2D) методов (COSY и HSQC). Химические сдвиги выражали в м.д. с использованием остаточного CHCl3, CHD2OD или HDO в качестве эталонных. Оптические вращения измеряли на поляриметре Perkin-Elmer 341. IR спектры регистрировали с использованием спектрометра Perkin-Elmer Spectrum One FT-IR. Спектры масс-спектрометрии с ионизацией электрораспылением (ESI-MS) получали с помощью масс-детектора Waters micromass ZQ. Анализ методом масс-спектрометрии высокого разрешения (HRMS) проводили с использованием Agilent 1100 LC, оборудованного фотодиодным матричным детектором, и Micromass QTOF I, оборудованного 4 ГГц аналого-цифровым преобразователем времени. Контроль за ходом реакции осуществляли с помощью тонкослойной хроматографии (TLC) с использованием стеклянных пластин, покрытых силикагелем 60 F254 (Merck) и визуализируемых с помощью УФ света и/или обработки «mo-stain» (0,02 М раствор дигидрата сульфата аммоний-церия и тетрагидрата молибдата аммония в водн. 10% H2SO4). Колоночную хроматографию выполняли на силикагеле (Fluka С60 40/60) или RP-18 (Merck LiChroprep® RP-18 40/60). Метанол (МеОН) высушивали путем нагревания с обратным холодильником и метоксидом натрия и дистилляции. Пиридин высушивали над активированными молекулярными ситами Три соединения для биологической оценки (1, 2 и 25) синтезировали согласно Схеме 1 и 2. Все реагенты были приобретены в Sigma Aldrich или Acros. Дисахариды GlcA-Gal 5 получали путем проведения реакции между активированным донором GlcA 3 (С. Coutant and J.-C. Jacquinet, J Chem Soc Perkin Trans 1, 1995, 1573-1581) и селективно защищенным акцептором Gal 4 (F. Belot et al., Synlett 2003, 1315-1318) с использованием трметилсилил трифторметансульфоната (TMSOTf) в качестве промотора. В результате снятия защиты сложноэфирных групп с LiOH в тетрагидрофуране (ТНР)/воде (H2O) получали соединение 6. Дисахариды 2 получали путем каталитического гидрирования. 3'-незащищенные дисахариды 7 синтезировали посредством способов лактонизации/метанолиза, опубликованных в работе А.V. Kornilov (Carbohydrate Research 2000, 329:717-730). В результате последующего сульфатирования сульфатно-пиридиновым комплексом (SO3⋅Py) в N,N-диметилформамиде (DMF) получали 3-О-сульфатированный дисахарид 8 (65%). В результате окончательного снятия защиты путем каталитического гидрирования и последующего гидролиза и обработки Na+катионообменной смолой получали желательные сульфатированные дисахариды 1. Для синтеза углеводного полимера 25 получали сульфатированный полимер 21 (Схема 1). Он содержит 4-(2-аминоэтил)фенил агликон вместо лара-метоксифенила, присутствующего в соединении 1. Для присоединения к полилизиновому полимеру была необходима дополнительная первичная амино группа. Для указанного синтеза 4-(2-азидоэтил)фенол (9) галактозилировали с трихлорацетимидатным донором 10 (R. Burkowski et al., Eur J Org Chem 2001, 2697-2705). Акцептор 9 получали путем амино-азидного взаимопревращения (A. Titz et al., Tet. Letters 2006, 47:2383-2385) из тирозина. После деацетилирования в условиях Земплена Для этого ацилировали коммерческий полилизиновый полимер 23 с получением соединения 24 с выходом 96% (G. Thoma et al., J Am Chem Soc 1999, 121:5919-5929) до присоединения к суб-стехиометрическому количеству минимального эпитопа HNK-1 22 (0,4 экв.). Для улучшения растворимости гликозилированного полилизинового полимера в воде оставшиеся хлорацетамидные группы кэппировали избытком тиоглицерина. В результате очистки ультрафильтрацией (Sartorius Stedim Vivaspin 6, отсечение по молекулярной массе, 5000) получали гликополимер 25 с выходом 70%. Схема 1: Синтез минимального эпитопа HNK-1 в сульфатированной (1) и несульфатированной форме (2) Реагенты и условия: a) TMSOTf, молекулярные сита 4-Метоксифенил (метил 2,3,4-три-O-6ензоил-β-D-глюкопирануронат)-(1→3)-4-O-6ензоил-2,6-ди-O-бензил-β-D-галактопиранозид (5). В атмосфере аргона соединения 3 (1,12 г, 1,68 ммоль), 4а (800 мг, 1,40 ммоль) и активированные молекулярные сита [α]D20 +28,4 (с 1,01, CHCl3);1Н ЯМР (500 МГц, CDCl3): δ 3,59 (dd, J=7,2, 10,1 Гц, 1Н, Н-6а), 3,65 (s, 3Н, ОМе), 3,69 (dd, J=4,8, 10,1 Гц, 1Н, Н-6b), 3,74 (s, 3Н, ОМе), 3,93 (dd, J=7,8, 9,5 Гц, 1Н, Н-2), 3,96 (dd, J=5,1, 6,9 Гц, 1Н, Н-5), 4,12 (d, J=9,8 Гц, 1Н, Н-5'), 4,20 (dd, J=3,5, 9,6 Гц, 1Н, Н-3), 4,46 (А, В из АВ, J=11,5 Гц, 2Н, CH2Ph), 4,51, 4,90 (А, В of АВ, J=10,5 Гц, 2Н, CH2Ph), 4,94 (d, J=7,8 Гц, 1Н, Н-1), 5,36 (d, J=7,5 Гц, 1Н, Н-1' ), 5,44 (dd, J=7,5, 9,2 Гц, 1Н, Н-2'), 5,66 (t, J=9,6 Гц, 1Н, Н-4), 5,72-5,79 (m, 2Н, Н-3' , Н-4' ), 6,76, 7,00 (АА', ВВ' из АА'ВВ' , J=9,1 Гц, 4Н, С6Н4), 7,19-7,44, 7,47-7,51, 7,54-7,61, 7,75-7,78, 7,87-7,91, 8,03-8,08 (m, 30Н, 6 С6Н5);13С ЯМР (126 МГц, CDCl3): 552,88, 55,64 (2 ОМе), 69,07 (С-6), 70,01 (С-4), 70,05 (С-4'), 71,76 (С-2'), 72,17 (С-3'), 72,90 (С-5'), 73,54 (С-5), 73,72, 75,23 (2 CH2Ph), 76,16 (С-3), 79,86 (С-2), 100,29 (С-1'), 102,73 (С-1), 114,57, 118,19 (4С, С6Н4), 127,69, 127,78, 128,00, 128,09, 128,30, 128,37, 128,43, 128,59, 128,71, 128,89, 129,05, 129,58, 129,77, 129,82,129,92, 130,11, 132,91, 133,08, 133,27, 133,39, 137,88, 137,90 (36С, 6 С6Н5), 151,33, 155,33 (2С, С6Н4), 164,45, 165,00, 165,52, 165,63, 167,15 (5 СО); ESI-MS: m/z: вычисл. для C62H56NaO17[M+Na]+: 1095,35, найдено: 1095,48. 4-Метоксифенил (β-D-глюкопирануронат)-(1→3)-2,6-ди-O-бензил-β-D-галактопиранозид (6) Соединение 5 (810 мг, 0,76 ммоль) суспендировали в ТГФ (7 мл) и полученную суспензию охлаждали до -10°С. Затем по каплям добавляли 2 М водн. LiOH (5 мл). Реакционную смесь перемешивали в течение ночи и оставляли для нагревания до комнатной температуры. Растворители выпаривали, остаток перемещали в THF/H2O (2:3, 8 мл) и обрабатывали TFA (4 мл) в течение 30 минут. Смесь выпаривали до сухости и остаток очищали с помощью обратно-фазовой хроматографии (RP-18, МеОН/вода, от 0:1 до 2:1) с получением соединения 6 (0,47 г, 0,73 ммоль, 97%) в виде твердого вещества белого цвета. [α]D20 -43,2 (с 1,00, МеОН);1Н ЯМР (500 МГц, CD3OD): δ 3,30-3,41 (m, 2Н, Н-2', Н-3'), 3,49 (t, J=8,9 Гц, 1Н, Н-4'), 3,66 (s, 3Н, ОМе), 3,68 (d, J=5,9 Гц, 2Н, H-6a, Н-6b), 3,72 (d, J=9,7 Гц, 1Н, Н-5'), 3,76 (d, J=5,9 Гц, 1Н, Н-5), 3,79 (dd, J=3,3, 9,9 Гц, 1Н, Н-3), 3,87 (m, 1Н, Н-2), 4,00 (d, J=2,7 Гц, 1Н, Н-4), 4,48 (s, 2Н, CH2Ph), 4,70 (d, J=7,4 Гц, 1Н, Н-1'), 4,84 (d, J=7,7 Гц, 1Н, Н-1), 4,87 (s, 2Н, CH2Ph), 6,73, 6,97 (АА', ВВ' из АА'ВВ', J=9,0 Гц, 4Н, С5Н4), 7,17-7,28 (m, 8Н, 2 С6Н5), 7,38 (d, J=7,1 Гц, 2Н, 2 С6Н5);13С ЯМР (126 МГц, CD3OD): δ 56,10 (ОМе), 70,37 (С-4), 70,72 (С-6), 73,35 (С-4'), 74,37 (CH2Ph), 74,85 (С-2'), 75,00 (С-5), 76,22 (С-5'), 76,46 (CH2Ph), 77,35 (С-3'), 80,11 (С-2), 82,20 (С-3), 103,87 (С-1), 105,59 (С-1'), 115,58, 119,23 (4С, С6Н4), 128,66, 128,76, 128,79, 129,31, 129,41, 129,77, 139,76, 139,96 (12С, 2 С6Н5), 153,05, 156,67 (2С, С6Н4), 173,01 (СО); ESI-MS: m/z: вычисл. для C33H38NaO13[M+Na]+: 665,23, найдено: 665,23. 4-Метоксифенил (натрий β-D-глюкопирануронат)-(1→3)-β-D-галактопиранозид (2) Соединение 6 (205 мг, 0,31 ммоль) и Pd(OH)2/C (42 мг, 20%) суспендировали в МеОН/H2O (10:1, 5 мл) в атмосфере аргона. Смесь перемешивали в течение ночи в атмосфере водорода (1 атм), затем катализатор отфильтровывали через подушку из целита. Целит промывали градиентом МеОН/H2O (6×10 мл, 10:0, 8:2, 6:4, 4:6, 2:8, 0:10). Фильтрат концентрировали и пропускали через ионообменную колонку Dowex® 50X8 (Na+). После концентрирования остаток очищали с помощью обратно-фазовой хроматографии (RP-18, вода), а затем эксклюзионной хроматографии Р2 с получением соединения 2 (148 мг, 0,31 ммоль, 96%) в виде твердого вещества белого цвета. [α]D20 - 40,7 (с 1,00, H2O);1Н ЯМР (500 МГц, D2O): δ 3,43 (t, J=8,3 Гц, 1Н, Н-2'), 3,48-3,56 (m, 2Н, Н-3', Н-5), 3,67-3,81 (m, 7Н, Н-5, Н-6, Н-4', ОМе), 3,83 (dd, J=2,9, 9,8 Гц, 1Н, Н-3), 3,90 (dd, J=8,0 Гц, 1Н, Н-2), 4,22 (d, J=2,5 Гц, 1Н, Н-4), 4,68 (d, J=7,7 Гц, 1Н, Н-1'), 4,95 (d, J=7,9 Гц, 1Н, Н-1), 6,94, 7,09 (АА', ВВ' из АА'ВВ' , J=9,0 Гц, 4Н, С6Н4);13С ЯМР (126 МГц, D2O): δ 55,71 (ОМе), 60,70 (С-6), 67,94 (С-4), 69,63 (С-2), 71,73 (С-3'), 73,09 (С-2'), 75,05 (С-5'), 75,25 (С-5), 76,18 (С-4'), 82,37 (С-3), 101,29 (С-1), 103,61 (С-1'), 114,96, 118,10, 150,84, 154,61 (6С, С6Н4), 175,92 (СО); HRMS (масс-спектрометрия высокого разрешения): m/z: вычисл. для C19H26NaO13 [М+Н]+: 485,1271, найдено: 485,1276. 4-Метоксифенил (метил 2,4-ди-O-аиетил-β-D-глюкопирануронат)-(1→3)-4-O-аиетил-2,6-ди-О-бензил-β-D-галактопиранозид (7) Раствор соединения 6 (470 мг, 0,73 ммоль) в Ac2O (10 мл) перемешивали при 80°С в течение 90 минут, азатем охлаждали до комнатной температуры. Добавляли пиридин (6 мл) и РМАР (15 мг) и реакционную смесь перемешивали в течение 3 дней. Растворители выпаривали совместно с толуолом (5×5 мл). Остаток растворяли в РСМ (50 мл) и экстрагировали соляным раствором (50 мл) и водой (50 мл). Органическую фазу высушивали над Na2SO4 и фильтровали через хлопок. После выпаривания растворителя остаток растворяли в сухом МеОН (14 мл) и добавляли безводный NaOAc (90 мг). Смесь перемешивали в течение ночи, нейтрализовали с помощью ионообменной смолы Amberlyste® 15 (Н+) и фильтровали. Фильтрат концентрировали и остаток очищали с помощью флеш хроматографии (петролейный эфир/EtOAc, от 2:1 до 1:1) с получением соединения 7 (334 мг, 0,43 ммоль, 57%) в виде желтоватого твердого вещества. [α]D20 +34,3 (с 1,00, CHCl3);1Н ЯМР (500 МГц, CDCl3): δ 1,92, 2,01, 2,04 (3s, 9Н, 3 ОАс), 3,48 (dd, J=7,1, 10,1 Гц, 1Н, Н-6а), 3,55 (dd, J=4,8, 10,1 Гц, 1Н, Н-6b), 3,60 (m, 1Н, Н-3'), 3,66, 3,69 (2s, 6Н, 2 ОМе), 3,77 (dd, J=5,4, 7,0 Гц, 1Н, Н-5), 3,80 (d, J=9,8 Гц, 1Н, Н-5'), 3,83 (dd, J=7,6, 9,7 Гц, 1Н, Н-2), 3,89 (dd, J=3,5, 9,7 Гц, 1Н, Н-3), 4,43 (А, В из АВ, J=11,6 Гц, 2Н, CH2Ph), 4,64 (А из АВ, J=11,5 Гц, 1Н, CH2Ph), 4,81 (d, J=7,6 Гц, 1Н, Н-1), 4,83-4,87 (m, Н-1', Н-2'), 4,97 (В из АВ, J=11,5 Гц, 1Н, CH2Ph), 5,06 (t, J=9,5 Гц, 1Н, Н-4'), 5,36 (d, J=3,2 Гц, 1Н, Н-4), 6,72, 6,96 (АА', ВВ' из АА'ВВ', J=9,1 Гц, 4Н, С6Н4), 7,18-7,31 (m, 10Н, 2 С6Н5);13С ЯМР (126 МГц, CDCl3): δ 20,72, 20,76, 20,80 (3 СОСН3), 52,81, 55,63 (2 ОМе), 68,95 (С-6), 69,33 (С-4), 71,87 (С-4'), 72,54 (С-5), 73,04 (С-5'), 73,26 (С-3'), 73,70 (CH2Ph), 73,79 (С-2'), 75,31 (CH2Ph), 77,24 (С-3), 79,26 (С-2), 100,15 (С-1'), 102,65 (С-1), 114,56, 118,24 (4С, С6Н4), 127,76, 127,83, 127,98, 128,04, 128,41, 128,53, 137,87, 138,00 (12С, 2 С6Н5), 151,35, 155,35 (2С, С6Н4), 167,46, 170,15, 170,36, 170,38 (4 СО); ESI-MS: m/z: вычисл. для C40H46NaO16[M+Na]+: 805,28, найдено: 805,34. 4-Метоксифенил (метил 2,4-ди-O-ацетил-3-O-сульфо-β-D-глюкопирануронат)-(1→3)-4-O-ацетил-2,6-ди-O-бензил-β-D-галактопиранозид, натриевая соль (8) Соединение 7 (334 мг, 0,43 ммоль) растворяли в DMF (5 мл) и добавляли SO3⋅Py (370 мг, 2,34 ммоль). Смесь перемешивали в течение 2 часов при комнатной температуре, затем реакцию гасили перемешиванием с NaHCO3 (320 мг, 3,77 ммоль) в течение 2 часов. Твердое вещество отфильтровывали и фильтр промывали МеОН. Фильтрат пропускали через ионообменную колонку Dowex® 50X8 (Na+), концентрировали и остаток очищали с помощью флеш хроматографии (DCM/MeOH, от 1:0 до 9:1) с получением соединения 8 (237 мг, 0,28 ммоль, 65%) в виде желтоватого твердого вещества. При концентрировании после флеш хроматографии добавляли несколько капель 0,1 М водн NaOH. [α]D20 -10,4 (с 1,01, МеОН);1Н ЯМР (500 МГц, CD3OD): δ 1,89, 2,03, 2,06 (3s, 9Н, 3 ОАс), 3,48 (dd, J=7,4, 10,4 Гц, 1Н, Н-6а), 3,59 (dd, J=4,4, 10,5 Гц, 1Н, Н-6b), 3,69, 3,72 (2s, 6Н, 2 ОМе), 3,77 (dd, J=7,8, 9,6 Гц, 1Н, Н-2), 3,98 (dd, J=4,5, 7,4 Гц, 1Н, Н-5), 4,03 (m, 1Н, Н-3), 4,05 (d, J=10,2 Гц, 1Н, Н-5'), 4,46, 4,49 (А, В из АВ, J=11,6 Гц, 2Н, CH2Ph), 4,60 (t, J=9,3 Гц, 1Н, Н-3'), 4,73, 4,92 (А, В из АВ, J=11,8 Гц, 2Н, CH2Ph), 4,94 (d, J=7,5 Гц, 1Н, Н-2'), 4,96 (d, J=7,9 Гц, 1Н, Н-1'), 4,99 (d, J=8,0 Гц, 1Н, Н-1), 5,06 (m, 1Н, Н-4'), 5,40 (d, J=3,6 Гц, 1Н, Н-4), 6,77, 7,00 (АА', ВВ' из АА' ВВ', J=9,1 Гц, 4Н, С6Н4), 7,23-7,35 (m, 8Н, 2 С6Н5), 7,39 (d, J=7,2 Гц, 2Н, 2 С6Н5);13С ЯМР (126 МГц, CD3OD): δ 19,32, 19,23, 19,64 (3 СОСН3), 51,68, 54,52 (2 ОМе), 68,73 (С-6), 69,50 (С-4), 69,80 (С-4'), 71,36 (С-2'), 71,91 (С-5'), 72,52 (С-5), 72,83, 74,69 (2 CH2Ph), 77,50 (С-3'), 78,57 (С-3), 78,59 (С-2), 100,04 (С-1), 102,01 (С-1'), 114,03, 117,64 (4С, С6Н4), 127,14, 127,23, 127,36, 127,57, 127,81, 127,89, 138,02, 138,23 (12С, 2 С6Н5), 151,29, 155,26 (2С, С6Н4), 167,77, 170,07, 170,17, 170,64 (4 СО); ESI-MS: m/z: вычисл. для C40H46O19S [М]+: 862,24, найдено: 862,42. 4-Метоксифенил (динатрий-3-O-сульфо-β-D-глюкопирануронат)-(1→3)-β-D-галактопиранозид (1) Соединение 8 (237 мг, 0,28 ммоль) и Pd(OH)2/C (48 мг, 20%) суспендировали в МеОН/H2O (10:1, 5 мл) в атмосфере аргона. Реакционную смесь перемешивали в течение 9 часов в атмосфере водорода (1 атм). Катализатор отфильтровывали через подушку из целита и подушку промывали градиентом МеОН/H2O (6×10 мл, 10:0, 8:2, 6:4, 4:6, 2:8, 0:10). Фильтрат концентрировали и остаток растворяли в МеОН/H2O (1:1, 8 мл). Затем добавляли 1 М водн. LiOH (6,5 мл) при 10°С и реакционную смесь оставляли для нагревания до комнатной температуры в течение 3 часов, нейтрализовали ионообменной смолой Amberlyste® 15 (Н+), фильтровали и концентрировали. Остаток очищали с помощью обратно-фазовой хроматографии (RP-18, вода) и пропускали через ионообменную колонку Dowex® 50X8 (Na+). После окончательной стадии очистки с помощью эксклюзионной хроматографии Р2 получали соединение 1 (142 мг, 0,24 ммоль, 88%) в виде твердого вещества. [α]D20 19,2 (с 1,00, H2O);1Н ЯМР (500 МГц, D2O): δ 3,63 (dd, J=8,0, 9,2 Гц, 1Н, Н-2'), 3,73 (m, 1Н, Н-4'), 3,75-3,81 (m, 6Н, Н-5, Н-6, ОМе), 3,85 (d, J=10,0 Гц, 1Н, Н-5'), 3,89 (dd, J=3,2, 9,9 Гц, 1Н, Н-3), 3,94 (dd, J=7,7,9,8 Гц, 1Н, Н-2), 4,24 (d, J=3,1 Гц, 1Н, Н-4), 4,40 (t, J=9,2 Гц, 1Н, Н-3' ), 4,81 (d, J=7,9 Гц, 1Н, Н-1' ), 4,97 (d, J=7,7 Гц, 1Н, Н-1), 6,96, 7,11 (АА', ВВ' из АА'ВВ', J=9,2 Гц, 4Н, С6Н4);13С ЯМР (126 МГц, D2O): δ 55,82 (ОМе), 60,62 (С-6), 67,95 (С-4), 69,55 (С-2), 70,42 (С-4'), 71,86 (С-2'), 74,92 (С-5), 75,82 (С-5'), 82,49 (С-3), 83,30 (С-3'), 101,43 (С-1), 103,17 (С-1'), 115,02, 118,14, 150,89, 154,59 (6С, С6Н4), 175,48 (СО); HRMS: m/z: вычисл. для C19H25Na2O16S [М+Н]+: 587,0659, найдено: 587,0665. Схема 2: Синтез минимального HNK-1 полимера 25 Реагенты и условия: a) TMSOTf, молекулярные сита 4-(2-азидоэтил)фенол (9) Тирамин (3,43 г, 25,0 ммоль), NaHCO3 (7,80 г, 92,8 ммоль) и CuSO4⋅5H2O (0,22 г, 0,9 ммоль) растворяли в воде (30 мл). Добавляли исходный раствор азида трифлатной кислоты (40 мл), который получали согласно Titz A. et al., Tetrahedron Letters 47:2383-2385 (2006), и МеОН (190 мл) с получением гомогенной смеси. Смесь перемешивали при комнатной темпертуре в течение ночи, затем разбавляли водой (150 мл) и эксрагировали EtOAc (3×150 мл). Органический слой высушивали над Na2SO4 и растворители выпаривали. Остаток очищали с помощью флеш хроматографии (петролейный эфир/EtOAc, от 1:0 до 4:1) с получением соединения 9 (квант.) в виде бесцветного масла. 1Н ЯМР (500 МГц, CDCl3): δ 2,81 (t, J=7,3 Гц, 2Н, CH2CH2N3), 3,44 (t, J=7,2 Гц, 2H, CH2CH2N3), 6,77, 7,07 (АА', ВВ' из АА'ВВ', J=8,5 Гц, 4Н, С6Н4);13С ЯМР (126 МГц, CDCl3): 534,50 (CH2CH2N3), 52,72 (CH2CH2N3), 115,53, 129,96, 130,22, 154,39 (6С, С6Н4); IR (film): 2105 см-1 (N3). 4-(2-Азидоэтил)фенил 2,3,4,6-тетра-O-ацетил-β-D-галактопиранозид (11) К охлажденной на ледяной бане суспензии соединения 10 (8,30 г, 17,5 ммоль) (Bukowski R et al., European Journal of Organic Chemistry 2001:2697-2705) и молекулярным ситам 4 A (3 г) в DCM (40 мл) добавляли соединение 9 (4,00 г, 24,5 ммоль) в DCM (40 мл) в атмосфере аргона. По каплям добавляли TfOH (0,45 мл, 2,5 ммоль) и реакционную смесь оставляли для нагревания до комнатной температуры в течение ночи. После гашения TEA (0,8 мл) суспензию фильтровали и фильтрат концентрировали. Остаток очищали с помощью флеш-хроматографии (петролейный эфир/EtOAc, от 9:1 до 3:2) с получением соединения 11 (4,58 г, 9,28 ммоль, 53%) в виде масла. [α]D20 +6,1 (с 1,10, CHCl3);1Н ЯМР (500 МГц, CDCl3): δ 1,98, 2,02, 2,06, 2,15 (4s, 12Н, 4 ОАс), 2,82 (t, J=7,2 Гц, 2Н, CH2CH2N3), 3,45 (t, J=7,1 Гц, 2Н, CH2CH2N3), 4,02 (t, J=6,6 Гц, 1Н, Н-5), 4,13 (dd, J=6,3,11,3 Гц, 1Н, Н-6а), 4,20 (dd, J=6,9,11,2 Гц, 1Н, Н-6b), 4,99 (d, J=8,0 Гц, 1Н, Н-1), 5,08 (dd, J=3,4, 10,5 Гц, 1Н, Н-3), 5,40-5,48 (m, 2Н, Н-2, Н-4), 6,93, 7,12 (АА', ВВ' из АА'ВВ', J=8,6 Гц, 4Н, С6Н4);13С ЯМР (126 МГц, CDCl3): δ 20,58, 20,65, 20,65, 20,73 (4 СОСН3), 34,52 (CH2CH2N3), 52,51 (CH2CH2N3), 61,36 (С-6), 66,89 (С-4), 68,67 (С-2), 70,85 (С-3), 71,01 (С-5), 99,78 (С-1), 117,19, 129,87, 133,01, 155,85 (6С, С6Н4), 169,40, 170,13, 170,26, 170,36 (4СО); ESI-MS: m/z: вычисл. для C22H27N3NaO10 [M+Na]+: 516,17, найдено: 516,19; IR (пленка): 2101 см-1(N3). 4-(2-Азидоэтил)фенил β-D-галактопиранозид (12) Раствор соединения 11 (4,58 г, 9,28 ммоль) в МеОН (45 мл) обрабатывали 1 М NaOMe/MeOH (4,5 мл) в атмосфере аргона в течение ночи. После нейтрализации ионообменной смолой Amberlite® IR-120 (Н+) растворитель выпаривали и остаток очищали с помощью флеш-хроматографии (РСМ/МеОН, от 1:0 до 4:1) с получением соединения 12 (2,86 г, 8,79 ммоль, 95%) в виде масла. [α]D20 38,1 (с 1,00, МеОН);1Н ЯМР (500 МГц, CD3OD): δ 2,85 (t, J=7,1 Гц, 2Н, CH2CH2N3), 3,49 (t, J=7,1 Гц, 2Н, CH2CH2N3), 3,60 (dd, J=3,4, 9,7 Гц, 1Н, Н-3), 3,70 (m, 1Н, Н-5), 3,75-3,85 (m, 3Н, Н-2, Н-6), 3,93 (d, J=3,2 Гц, 1Н, Н-4), 4,86 (d, J=7,8 Гц, 1Н, Н-1), 7,09, 7,20 (АА', ВВ' из АА'ВВ', J=8,6 Гц, 4Н, С6Н4);13С ЯМР (126 МГц, CD3OD): δ 35,49 (CH2CH2N3), 53,75 (CH2CH2N3), 62,44 (С-6), 70,25 (С-4), 72,34 (С-2), 74,89 (С-3), 76,96 (С-5), 103,11 (С-1), 118,00, 130,82, 133,65, 158,08 (6С, С6Н4); ESI-MS: m/z: вычисл. для C14H19N3NaO6[M+Na]+: 348,13, найдено: 348,04; IR (film): 2112 см-1 (N3). 4-(2-Азидозтил)фенил 3,4-изопропилиден-β-D-галактопиранозид (13) К раствору соединения 12 (2,86 г, 8,79 ммоль) в DMF (30 мл) добавляли 2,2-диметоксипропан (2,50 мл, 19,3 ммоль) и p-TsOH (37 мг) в атмосфере аргона. После перемешивания в течение ночи при 80°С, реакционную смесь нейтрализовали TEA (0,5 мл) и растворители выпаривали. Остаток очищали с помощью флеш-хроматографии (петролейный эфир + 0,5% ТЕА/EtOAc, от 1:2 до 0:1) с получением соединения 13 (2,39 г, 6,55 ммоль, 75%) в виде масла. [α]D20 -22,4 (с 1,10, CHCl3);1Н ЯМР (500 МГц, CDCl3): δ 1,34, 1,53 (2s, 6Н, Ме2С), 2,42 (s, 2Н, 2 ОН), 2,81 (t, J=7,1 Гц, 2Н, CH2CH2N3), 3,44 (t, J=7,2 Гц, 2Н, CH2CH2N3), 3,78-3,85 (m, 2Н, Н-2, H-6a), 3,93-4,00 (m, 2Н, H-6b, Н-5), 4,14-4,21 (m, 2Н, Н-3, Н-4), 4,78 (d, J=8,2 Гц, 1Н, Н-1), 6,95, 7,12 (АА', ВВ' из АА'ВВ' , J=8,5 Гц, 4Н, С6Н4);13С ЯМР (126 МГц, CDCl3): δ 26,33, 28,10 (С(СН3)2), 34,54 (CH2CH2N3), 52,53 (CH2CH2N3), 62,29 (С-6), 73,31 (С-2), 73,69 (С-5), 73,87 (С-4), 78,89 (С-3), 100,33 (С-1), 110,69 (С(СН3)2), 116,89, 129,95, 132,63, 155,78 (6С, С6Н4); ESI-MS: m/z: вычисл. для C17H23N3NaO6 [M+Na]+: 388,16, найдено: 388,06; IR (film): 2099 см-1 (N3). 4-(2-Азидоэтил)фенил 2.6-ди-O-бензил-3,4-изопропилиден-β-D-галактопиранозид (14) Соединение 13 (1,02 г, 2,78 ммоль) растворяли в DCM (15 мл). Добавляли 15-краун-5 эфир (55 мкл, 0,28 ммоль), 50% водн. NaOH (37,5 мл) и бензилбромид (3,30 мл, 27,8 ммоль) и двухфазную смесь перемешивали в течение ночи с обратным холодильником при 60°С. Реакционную смесь нейтрализовали 4 М водн. HCl. Органический слой отделяли и водную фазу экстрагировали DCM (2×50 мл) и. Объединенные слои концентрировали и остаток очищали с помощью флеш-хроматографии (петролейный эфир + 0,5% ТЕА/EtOAc, от 1:0 до 3:1) с получением соединения 14 (1,26 г, 2,31 ммоль, 83%) в виде твердого вещества белого цвета. [α]D20 +8,4 (с 1,00, CHCl3);1Н ЯМР (500 МГц, CDCl3): δ 1,28, 1,34 (2s, 6Н, Ме2С), 2,76 (t, J=7,3 Гц, 2Н, CH2CH2N3), 3,37 (t, J=7,3 Гц, 2Н, CH2CH2N3), 3,60 (dd, J=6,8, 7,9 Гц, 1H, Н-2), 3,69-3,80 (m, 2Н, Н-6), 3,97 (ddd, J=1,8, 4,7, 6,8 Гц, 1Н, Н-5), 4,13 (dd, J=2,0, 5,7 Гц, 1Н, Н-4), 4,18 (m, 1Н, Н-3), 4,46, 4,54 (А, В из АВ, J=11,8 Гц, 2Н, CH2Ph), 4,78-4,85 (m, 3Н, CH2Ph, Н-1), 6,69, 7,03 (АА', ВВ' из АА'ВВ' , J=8,6 Гц, 4Н, С6Н4), 7,15-7,28 (m, 8Н, 2 С6Н5), 7,34 (d, J=7,4 Гц, 2Н, 2 С6Н5);13С ЯМР (126 МГц, CDCl3): δ 26,41, 27,81 (С(СН3)2), 34,62 (CH2CH2N3), 52,62 (CH2CH2N3), 69,60 (С-6), 72,72 (С-5), 73,67 (С-4), 73,69 (2С, 2 CH2Ph), 79,08 (С-3), 79,26 (С-2), 101,09 (С-1), 110,27 (С(СН3)2), 117,23 (2С, С6Н4), 127,63, 127,69,127,72, 128,26, 128,32, 128,40 (8С, 2 С6Н5), 129,80 (2С, С6Н4), 132,19, 138,14 (2 С6Н5), 138,29, 156,26 (С6Н4); ESI-MS: m/z: вычисл. для C31H35N3NaO6 [M+Na]+: 568,25, найдено: 568,21; IR (KBr): 2096 см-1 (N3).δ 4-(2-азидоэтил)фенил 2,6-ди-О-бензил-β-D-галактопиранозид (15) Раствор соединения 14 (1,26 г, 2,31 ммоль) в 90% водн. АсОН (50 мл) перемешивали при 60°С в течение ночи. Растворители выпаривали и остаток очищали с помощью флеш-хроматографии (DCM/MeOH, от 1:0 до 9:1) с получением соединения 15 (1,17 г, 2,31 ммоль, колич.) в виде масла. [α]D20 -9,9 (с 1,10, CHCl3);1Н ЯМР (500 МГц, CDCl3): δ 2,76 (t, J=7,3 Гц, 2Н, CH2CH2N3), 3,38 (t, J=7,3 Гц, 2H, CH2CH2N3), 3,59 (dd, J=3,3, 9,5 Гц, 1H, Н-3), 3,62-3,76 (m, 4Н, Н-2, Н-5, Н6), 3,92 (d, J=3,2 Гц, 1Н, Н-4), 4,48 (s, 2Н, CH2Ph), 4,69 (А из АВ, J=11,5 Гц, 1Н, CH2Ph), 4,87 (d, J=7,7 Гц, 1Н, Н-1), 4,96 (В of АВ, J=11,5 Гц, 1Н, CH2Ph), 6,97, 7,05 (АА', ВВ' из АА'ВВ' , J=8,5 Гц, 4Н, С6Н4), 7,15-7,31 (m, 10Н, 2 С6Н5);13С ЯМР (126 МГц, CDCl3): δ 34,58 (CH2CH2N3), 52,59 (CH2CH2N3), 68,92 (С-4), 69,41 (С-6), 73,20 (С-3), 73,74 (С-5), 73,81, 74,91 (2 CH2Ph), 78,87 (С-2), 101,86 (С-1), 117,19 (2С, С6Н4), 127,75, 127,83, 128,03, 128,27, 128,47, 128,60 (8С, 2 С5Н5), 129,83 (2С, С6Н4), 132,33, 137,87 (2 С6Н5), 138,14,156,13 (С6Н4); ESI-MS: т/z: вычисл. для C28H31N3NaO6 [M+Na]+: 528,22, найдено: 528,22; IR (film): 2098 см-1 (N3). 4-(2-Азидоэтил)фенил 4-O-бензоил-2,6-ди-O-бензил-β-D-галактопиранозид (16) К раствору соединения 15 (1,17 г, 2,31 ммоль) в толуоле (15 мл) добавляли триметилортобензоат (0,64 мл, 3,72 ммоль) и p-TsOH (118 мг, 0,62 ммоль). Смесь перемешивали при 45°С в течение ночи, затем концентрировали и остаток растворяли в 90% водн. АсОН (15 мл). Раствор перемешивали в течение 2 часов при 60°С, концентрировали и остаток очищали с помощью флеш-хроматографии (петролейный эфир/EtOAc, от 9:1 до 7:3) с получением соединения 16 (1,30 г, 2,14 ммоль, 93%) в виде бесцветного масла. [α]D20 -8,4 (с 1,00, CHCl3);1Н ЯМР (500 МГц, CDCl3): δ 2,83 (t, J=7,3 Гц, 2Н, CH2CH2N3), 3,44 (t, J=7,3 Гц, 2H, CH2CH2N3) 3,60-3,66 (m, 2H, H-6), 3,87 (dd, J=7,4, 9,6 Гц, 1H, Н-2), 3,92 (dd, J=3,5, 9,6 Гц, 1Н, Н-3), 3,96 (t, J=6,2 Гц, 1Н, Н-5), 4,41, 4,48 (А, В из АВ, J=11,7 Гц, 2Н, CH2Ph), 4,78 (А из АВ, J=11,2 Гц, 1Н, CH2Ph), 4,99-5,07 (m, 2H, H-1, CH2Ph), 5,63 (d, J=2,8 Гц, 1H, Н-4), 7,06, 7,12 (АА', ВВ' из АА'ВВ', J=8,5 Гц, 4Н, С6Н4), 7,18-7,35 (m, 10Н, 2 С6Н5), 7,43 (t, J=7,8 Гц, 2Н, С6Н5), 7,56 (t, J=7,4 Гц, 1Н, С6Н5), 8,04-8,09 (m, 2Н, С6Н5);13С ЯМР (126 МГц, CDCl3): δ 34,62 (CH2CH2N3), 52,63 (CH2CH2N3), 68,61 (С-6), 70,25 (С-4), 72,21 (С-3), 73,28 (С-5), 73,71, 75,13 (2 CH2Ph), 79,15 (С-2), 101,89 (С-1), 117,07 (2С, С6Н4), 127,76, 127,78, 128,04, 128,29, 128,39, 128,49, 128,58, 129,57 (12С, 3 С6Н5), 129,93 (2С, С6Н4), 130,10, 132,46, 133,38, 137,79 (6С, 3 С6Н5), 138,06, 156,17 (С6Н4), 166,38 (СО); ESI-MS: m/z: вычисл. для C35H35N3NaO7 [M+Na]+: 532,24, найдено: 532,28; IR (film): 2102 см-1 (N3). 4-(2-Азидоэтил)фенил (метил 2,3,4-три-O-бензоил-β-D-глюкопирануронат)-(1→3)-4-O-6ензоил-2,6-ди-O-6ензил-β-D-галактопиранозид (17) В атмосфере аргона трихлорацетимидат 3 (1,75 г, 2,63 ммоль), соединение 16 (1,30 г, 2,14 ммоль) и активированные молекулярные сита [α]D20+25,2 (с 1,10, CHCl3);1Н ЯМР (500 МГц, CDCl3): δ 2,84 (t, J=7,3 Гц, 2Н, CH2CH2N3), 3,46 (t, J=7,2 Гц, 2H, CH2CH2N3), 3,61 (dd, J=7,3, 10,1 Гц, 1H, H-6a), 3,67 (s, 3Н, ОМе), 3,72 (dd, J=4,7, 10,2 Гц, 1Н, H-6b), 3,98 (dd, J=7,9, 9,5 Гц, 1H, Н-2), 4,02 (dd, J=5,3, 6,5 Гц, 1Н, Н-5), 4,15 (d, J=9,8 Гц, 1Н, Н-5' ), 4,24 (dd, J=3,4, 9,5 Гц, 1Н, Н-3), 4,48 (А, В из АВ, J=11,5 Гц, 2Н, CH2Ph), 4,55, 4,91 (А, В из АВ, J=10,7 Гц, 2Н, CH2Ph), 5,02 (d, J=7,7 Гц, 1Н, Н-1), 5,39 (d, J=7,4 Гц, 1Н, Н-1'), 5,47 (dd, J=7,4, 9,1 Гц, 1Н, Н-2' ), 5,69 (t, J=9,5 Гц, 1Н, Н-4'), 5,77 (t, J=9,3 Гц, 1Н, Н-3'), 5,81 (d, J=3.3 Гц, 1Н, Н-4), 7,02, 7,10 (АА', ВВ' из АА'ВВ' , J=8,7 Гц, 4Н, С6Н4), 7,22-7,46, 7,48-7,53, 7,56-7,66, 7,76-7,81, 7,88-7,93, 8,05-8,10 (m, 30Н, 6 С6Н5);13С ЯМР (126 МГц, CDCl3): 534,60 (CH2CH2N3), 52,59 (CH2CH2N3), 52,86 (ОМе), 69,06 (С-6), 70,01 (С-4), 70,06 (С-4'), 71,83 (С-2'), 72,24 (С-3'), 72,94 (С-5'), 73,67 (С-5), 73,73, 75,25 (2 CH2Ph), 76,26 (С-3), 79,77 (С-2), 100,3 (С-1'), 101,81 (С-1), 117,02 (2С, С6Н4), 127,69, 127,76, 127,98, 128,10, 128,30, 128,37, 128,43, 128,56, 128,75, 128,94, 129,09, 129,60, 129,77, 129,82, 129,87, 129,94, 130,10, 132,39, 132,92, 133,08, 133,26, 133,38, 137,85, 137,92, 156,09 (40С, 6 С6Н5,С6Н4), 164,47, 165,00, 165,51, 165,64, 167,16 (5 СО); ESI-MS: m/z: вычисл. для C63H57N3NaO16 [M+Na]+: 1134,36, найдено: 1134,47; IR (KBr): 2099 см-1(N3). 4-(2-Азидоэтил)фенил (β-D-глюкопирануронат)-(1→3)-2,6-ди-O-бензил-β-D-галактопиранозид (18) Соединение 17 (2,04 г, 1,84 ммоль) суспендировали в THF (14 мл) и суспензию охлаждали до 10°С. Затем по каплям добавляли 2 М водн. LiOH (10 мл). Реакционную смесь перемешивали в течение ночи и оставляли для нагревания до комнатной температуры. После нейтрализации ионообменной смолой Amberlite® IR-120 (Н+) и фильтрования растворители выпаривали, остаток растворяли в THF/H2O (2:3,16 мл) и обрабатывали TFA (8 мл) в течение 30 минут. Смесь выпаривали до сухости и остаток очищали с помощью обратно-фазовой хроматографии (RP-18, МеОН/вода, от 0:1 до 3:1) с получением соединения 18 (1,12 г, 1,64 ммоль, 89%) ав виде твердого вещества. [α]D20 -48,1 (с 1,00, МеОН);1Н ЯМР (500 МГц, CD3OD): δ 2,79 (t, J=7,0 Гц, 2Н, CH2CH2N3), 3,35-3,47 (m, 4Н, Н-2', Н-3', CH2CH2N3), 3,53 (t, J=9,1 Гц, 1Н, Н-4'), 3,73 (m, 2Н, Н-6), 3,77 (d, J=9,8 Гц, 1Н, Н-5'), 3,81-3,89 (m, 2Н, Н-3, Н-5), 3,94 (m, 1Н, Н-2), 4,06 (d, J=2,5 Гц, 1Н, Н-4), 4,53 (s, 2Н, CH2Ph), 4,74 (d, J=7,3 Гц, 1Н, Н-1'), 4,88-4,95 (m, 2Н, CH2Ph), 4,99 (d, J=7,7 Гц, 1Н, Н-1), 7,02, 7,12 (АА', ВВ' из АА'ВВ', J=8,5 Гц, 4Н, С6Н4), 7,20-7,34 (m, 8Н, 2 С6Н5), 7,41 (d, J=7,1 Гц, 2Н, 2 С6Н5);13С ЯМР (126 МГц, CD3OD): 533,97 (CH2CH2N3), 52,19 (CH2CH2N3), 68,85 (С-4), 69,18 (С-6), 71,78 (С-4'), 72,86 (CH2Ph), 73,32 (С-2'), 73,58 (С-5), 74,69 (CH2Ph), 74,93 (С-5'), 75,83 (С-3'), 78,50 (С-2), 80,64 (С-3), 101,39 (С-1), 104,07 (С-1'), 116,43 (2С, С6Н4), 127,12, 127,21, 127,25, 127,75, 127,87, 128,23 (10С, 2 С6Н5), 129,44, 132,31 (3С, С6Н4), 138,22, 138,38 (2 С6Н5), 156,25 (С6Н4), 171,27 (СО); ESI-MS: m/z: вычисл. для C34H39N3NaO12[M+Na]+: 704,24, найдено: 704,30; IR (KBr): 2099 см-1 (N3). 4-(2-Азидоэтил)фенил (метил 2,4-ди-O-ацетил-β-D-глюкопирануронат)-(1→3)-4-O-ацетил-2,6-ди-O-бензил-β-D-галактопиранозид (19) Раствор соединения 18 (900 мг, 1,32 ммоль) в Ac2O (15 мл) перемешивали при 80°С в течение 1 часа и затем охлаждали до комнатной температуры. Добавляли пиридин (9 мл) и DMAP (25 мг) и перемешивали реакционную смесь в течение 3 дней. Растворители соиспаряли с толуолом (5×5 мл). Остаток растворяли в DCM (50 мл) и экстрагировали соляным раствором (50 мл) и водой (50 мл). Органическую фаз высушивали над Na2SO4 и фильтровал через хлопок. После выпаривания растворителя остаток растворяли в сухом МеОН (20 мл) и добавляли безводный NaOAc (100 мг). Смесь перемешивали в течение ночи, нейтрализовали ионообменной смолой Amberlyste® 15 (Н+) и фильтровали. Фильтрат концентрировали и остаток очищали с помощью флеш-хроматографии (петролейный эфир/EtOAc, от 2:1 до 2:3) с получением соединения 19 (794 мг, 0,97 ммоль, 73%) в виде твердого вещества желтоватого цвета. [α]D20 -32,6 (с 1,00, CHCl3);1Н ЯМР (500 МГц, CDCl3): δ 1,92, 2,01, 2,04 (3s, 9Н, 3 ОАс), 2,77 (t, J=7,2 Гц, 2Н, CH2CH2N3), 3,40 (t, J=7,2 Гц, 2Н, CH2CH2N3), 3,48 (dd, J=7,1, 10,1 Гц, 1H, Н-6а), 3,55 (dd, J=4,8, 10,2 Гц, 1Н, H-6b), 3,61 (m, 1Н, Н-3'), 3,67 (s, 3Н, ОМе), 3,78-3,83 (m, 2Н, Н-5, Н-5'), 3,86 (dd, J=7,6, 9,7 Гц, 1Н, Н-2), 3,91 (dd, J=3,3, 9,6 Гц, 1Н, Н-3), 4,43 (А, В из АВ, J=11,7 Гц, 2Н, CH2Ph), 4,64 (А из АВ, J=11,6 Гц, 1Н, CH2Ph), 4,81-4,88 (m, 2Н, Н-1, Н-2), 4,91 (d, J=7,6 Гц, 1Н, Н-1'), 4,95 (В of АВ, J=10,6 Гц, 1Н, CH2Ph), 5,07 (t, J=9,5 Гц, 1Н, Н-4'), 5,38 (d, J=3,0 Гц, 1Н, Н-4), 6,96, 7,04 (АА', ВВ' из АА'ВВ', J=8,5 Гц, 4Н, С6Н4), 7,18-7,31 (m, 10Н, 2 С6Н5);13С ЯМР (126 МГц, CDCl3): δ 20,69, 20,72, 20,76 (3 СОСН3), 34,59 (CH2CH2N3), 52,58 (CH2CH2N3), 52,79 (ОСН3), 68,93 (С-6), 69,30 (С-4), 71,91 (С-4'), 72,53 (С-5), 73,10 (С-5'), 73,38 (С-3'), 73,70 (CH2Ph), 73,87 (С-2'), 75,31 (CH2Ph), 77,24 (С-3), 79,19 (С-2), 100,10 (С-1'), 101,71 (С-1), 117,04 (2С, С6Н4), 127,76, 127,80, 127,96, 128,01, 128,40, 128,49 (10С, 2 С6Н5), 129,85, 132,41 (3С, С6Н4), 137,87, 137,96 (2 С6Н5), 156,08 (С6Н4), 167,42, 170,11, 170,29, 170,32 (4 СО); ESI-MS: т/z: вычисл. для C41H47N3NaO15[M+Na]+: 844,29, найдено: 844,39; IR (KBr): 2101 см-1 (N3). 4-(2-Азидоэтил)фенил (метил 2,4-ди-O-ацетил-3-O-сульфо-β-D-глюкопирануронат)-(1→3)-4-O-ацетил-2,6-ди-O-бензил-β-D-галактопиранозид, натриевая соль (20) Соединение 19 (794 мг, 0,97 ммоль) растворяли в сухом ДМФ (10 мл) и добавляли SO3⋅Py (846 мг, 5,31 ммоль). Смесь перемешивали в течение 2 часов при комнатной температуре и гасили перемешиванием с NaHCO3 (719 мг, 8,56 ммоль) в течение 2 часов. Твердое вещество отфильтровывали и фильтр промывали МеОН. Фильтрат пропускали через ионообменную колонку Dowex 50X8 (Na+). Фильтрат концентрировали и остаток очищали с помощью флеш хроматографии (DCM/MeOH, от 1:0 до 9:1) с получением соединения 20 (808 мг, 0,88 ммоль, 91%) в виде желтоватого твердого вещества. При концентрировании после флеш хроматографии добавляли несколько капель 0,1 М водн NaOH. [α]D20 18,3 (с 1,00, МеОН);1Н ЯМР (500 МГц, CD3OD): δ 1,97, 2,09, 2,11 (3s, 9Н, 3 ОАс), 2,86 (t, J=7,0 Гц, 2Н, CH2CH2N3), 3,50 (t, J=7,0 Гц, 2Н, CH2CH2N3), 3,54 (dd, J=7,4, 10,4 Гц, 1H, H-6a), 3,65 (dd, J=4,4, 10,4 Гц, 1H, H-6b), 3,75 (s, 3Н, ОМе), 3,86 (dd, J=7,9, 9,5 Гц, 1H, Н-2), 4,07 (dd, J=4,6, 7,1 Гц, 1H, Н-5), 4,09-4,14 (m, 2Н, Н-3, Н-5'), 4,49-4,57 (m, 2Н, CH2Ph), 4,66 (t, J=9,2 Гц, 1Н, Н-3' ), 4,80 (А из АВ, J=10,7 Гц, 1Н, CH2Ph), 4,96-5,03 (m, 2Н, CH2Ph, Н-2'), 5,06 (d, J=7,9 Гц, 1Н, Н-1'), 5,11-5,17 (m, 2Н, J=8,2 Гц, Н-1, Н-4') 5,48 (d, J=3,6 Гц, 1Н, Н-4), 7,07, 7,18 (АА', ВВ' из АА'ВВ', J=8,5 Гц, 4Н, С6Н4), 7,29-7,44 (m, 10Н, 2 С6Н5);13С ЯМР (126 МГц, CD3OD): 520,87, 21,20 (3С, 3 СОСН3), 35,50 (CH2CH2N3), 53,24 (CH2CH2N3), 53,71 (ОМе), 70,27 (С-6), 71,08 (С-4), 71,37 (С-4'), 72,95 (С-2'), 73,50 (С-5'), 74,14 (С-5), 74,41, 76,26 (2 CH2Ph), 78,98 (С-3'), 80,02 (С-3), 80,11 (С-2), 101,62 (С-1'), 102,61 (С-1), 117,93 (2С, С6Н4), 128,69, 128,79, 128,90, 129,17, 129,37, 129,43 (10С, 2 С6Н5), 131,02, 134,06 (3С, С6Н4), 139,56, 139,72 (2 С6Н5), 157,58 (С6Н4), 164,89, 169,39, 171,64, 171,75 (4 СО); ESI-MS: m/z: вычисл. для C41H46N3O18S [М-Н]-: 900,25, найдено: 900,42; IR (KBr): 2101 см-1(N3). 4-(2-Аминоэтил)фенил (динатрий 3-O-сульфо-β-D-глюкопирануронат)-(1→3)-β-D-галактопиранозид (21) К раствору соединения 20 (470 мг, 0,51 ммоль) в THF/H2O (10:1,10 мл) добавляли 2 М водн. LiOH (2 мл) при -10°С. Реакционную смесь оставляли для нагревания до комнатной температуры и перемешивали в течение ночи. Смесь нейтрализовали ионообменной смолой Amberlyste 15 (Н+) и фильтровали. Фильтрат пропускали через ионообменную колонку Dowex® 50X8 (Na+) с МеОН и концентрировали. Остаток очищали с помощью флеш-хроматографии (DCM/МеОН/ H2O, 10:3:0,3). Во время концентрирования продукта добавляли несколько капель 0,1 М водн. NaOH, а затем указанный продукт растворяли в МеОН (4,5 мл) и H2O (3,75 мл). Добавляли АсОН (0,2 мл) и Pd(OH)2/C (94 мг, 20%) в атмосфере аргона и реакционную смесь перемешивали в течение ночи в атмосфере водорода (1 атм). Катализатор отфильтровывали через подушку из целита и подушку промывали МеОН и несколькими каплями H2O. Фильтрат концентрировали и остаток очищали эксклюзионной хроматографией Р2 с получением соединения 21 (238 мг, 0,40 ммоль, 78%) в виде бесцветного твердого вещества после лиофилизации. [α]d20 -25,6 (с 1,00, H2O);1Н ЯМР (500 МГц, D2O): δ 2,99 (t, J=7,0 Гц, 2Н, CH2CH2NH2), 3,28 (t, J=7,1 Гц, 2H, CH2CH2NH2), 3,66 (t, J=8,4 Гц, 1H, Н-2'), 3,71-3,88 (m, 5Н, Н5, Н-6, Н-4', Н-5'), 3,92 (dd, J=3,2, 9,9 Гц, 1Н, Н-3), 3,99 (t, J=8,6 Гц, 1Н, Н-2), 4,26 (d, J=3,1 Гц, 1Н, Н-4), 4,39 (t, J=9,0 Гц, 1Н, Н-3'), 4,82 (d, J=7,9 Гц, 1Н, Н-1'), 5,12 (d, J=7,7 Гц, 1Н, Н-1), 7,17, 7,32 (АА', ВВ' из АА'ВВ' , J=8,0 Гц, 4Н, С6Н4);13С ЯМР (126 МГц, D2O): δ 31,97 (CH2CH2NH2), 40,65 (CH2CH2NH2), 60,78 (С-6), 68,05 (С-4), 69,02 (С-2), 70,50 (С-4'), 72,03 (С-2'), 75,10 (2С, С-5, С-5'), 82,43 (С-3), 83,60 (С-3'), 100,46 (С-1), 103,24 (С-1'), 117,01, 130,30, 131,29, 155,75 (6С, С6Н4), 175,45 (СО); ESI-MS: m/z: вычисл. для C20H27NNa2O15S [M-2Na+H]-: 554,12, найдено: 554,07. 4-(2-(4-Меркаптобутанамидо)этил)фенил (динатрий-3-O-сульфо-β-D-глюкопирануронат)-(1→3)-β-D-галактопиранозид (22) К суспензии соединения 21 (238 мг, 0,40 ммоль) в DMF (8 мл) добавляли дитиотреитол (112 мг, 0,72 ммоль), тиобутиролактон (343 мкл, 4 ммоль) и TEA (552 мкл, 4 ммоль). Указанную смесь перемешивали в течение 18 часов при 85°С. Растворители соиспаряли с толуолом (3×5 мл) и остаток очищали с помощью флеш-хроматографии (DCM/MeOH/H2O, 10:5:1). Во время концентрирования продукта добавляли несколько капель 0,1 М водн. NaOH. В результате лиофилизации получали соединение 22 (164 мг, 0,234 ммоль, 59%) в виде бесцветного твердого вещества. [α]D20 -20,2 (с 1,00, H2O);1Н ЯМР (500 МГц, D2O): δ 1,72-1,85 (m, 2Н, CH2CH2CH2SH), 2,28 (t, J=7,2 Гц, 2H, CH2CH2CH2SH), 2,37 (t, J=7,2 Гц, 2H, CH2CH2CH2SH), 2,83 (t, J=6,5 Гц, 2H, CH2CH2NH), 3,49 (t, J=6,5 Гц, 2H, CH2CH2NH), 3,67 (dd, J=8,1, 9,1 Гц, 1H, H-2'), 3,73-3,91 (m, 5H, Н-5, H6, Н-4', H-5'), 3,94-4,02 (m, 2H, Н-2, H-3), 4,29 (d, J=2,7 Гц, 1H, H-4), 4,39 (t, J=9,1 Гц, 1H, H-3'), 4,84 (d, J=7,9 Гц, 1H, Н-1'), 5,13 (d, J=7,4 Гц, 1H, H-1), 7,14, 7,27 (АА', ВВ' из АА'ВВ' , J=8,5 Гц, 4H, C6H4);13С ЯМР (126 МГц, D2O): 522,87 (CH2CH2CH2SH), 29,44 (CH2CH2CH2SH), 33,63 (CH2CH2NH), 34,34 (CH2CH2CH2SH), 40,25 (CH2CH2NH), 60,77 (C-6), 68,04 (C-4), 69,03 (C-2), 70,47 (C-4'), 72,02 (C-2'), 75,10 (C-5), 76,10 (C-5'), 82,48 (C-3), 83,62 (C-3'), 100,67 (C-1), 103,26 (C-1'), 116,72,130,19, 133,93, 155,24 (6C, C6H4), 175,43, 175,79 (2 CO); HRMS: m/z: вычисл. для C24H33NNa2O16S2 [M+H]+: 702,1109, найдено: 702,1104. Хлорацетилированный полилизин (24) Гидроброми полилизина (23) (Sigma Р2636, MW30-70 кДа, 0,50 г, 2,4 ммоль) суспендировали в смеси DMF (5 мл) и 2,6-лутидина (1,25 мл) в атмосфере аргона. Суспензию охлаждали до 0°С и медленно добавляли раствор хлоруксусного ангидрида (513 мг, 3,00 ммоль) в DMF (1 мл). Полученный чистый раствор перемешивали в течение 16 часов при 0°С. Продукт осаждали путем добавления реакционной смеси по каплям к перемешиваемому раствору этанол/простой эфир (1:1, 40 мл). Осадок отфильтровывали, промывали этанолом/простым эфиром (1:1, 20 мл) и концентрировали с получением соединения 24 (449 мг, 96%). Данные1Н ЯМР совпадали со справочными значениями (G. Thoma et al., J Am Chem Soc 1999, 121:5919-5929). Минимальный HNK-1 полимер (25) К раствору соединения 24 (80,2 мг, 0,39 ммоль) в DMF (4 мл) последовательно добавляли соединение 22 (110 мг, 0,16 ммоль), воду (200 мкл) и DBU (88 мкл, 0,59 ммоль) в DMF (0,8 мл). После перемешивания в течение 1 часа добавляли тиоглицерин (102 мкл, 1,18 ммоль) и TEA (164 мкл, 1,18 ммоль) и реакционную смесь перемешивали в течение 18 часов. Продукт осаждали путем добавления реакционной смеси по каплям к перемешиваемому раствору этанол/простой эфир (1:1, 30 мл). Осадок отфильтровывали, промывали этанолом/простым эфиром (1:1, 15 мл) и высушивали. Дальнейшее осаждение достигалось способом ультрафильтрации. Высушенный продукт растворяли в воде (10 мл) и проводили ультрацентрифугирование с использованием двух пробирок центробежного концентратора Sartorius Stedim Vivaspin 6 (объемом 6 мл, диаметром 17 мм, отсечение по молекулярной массе 5000). Ультрафильтрацию повторяли 4 раза от 10 мл до 3 мл, в каждом случе объем дводили водой. В результате лиофилизации получали HNK-1 полимер 25 (139 мг, 70%) Согласно данным1Н ЯМР, продукт содержал приблизительно 44% мономерных углеводных единиц, соединенных с полимером. Схема 3: Синтез минимального HNK-1 полимера 30 Реагенты и условия: a) TEA, CHCl3, 46%; b) AlBN, бензол, 84%; с) i. DMF, DMSO, DBU, TEA; ii. MeNH2/MeOH, 39%. 2,5-диоксопирролидин-1-ил акрилат (28) К охлажденному (на ледяной бане) раствору N-гидроксисукцинимида (27) (6,41 г, 55,8 ммоль) и NEt3 (8,5 мл, 61,0 ммоль) в CHCl3 (100 мл) по каплям в атмосфере аргона добавляли акрилоилхлорид (26). Во время добавления температуру смеси сохраняли ниже 12°С. После перемешивания в течение 2,5 часов реакционную смесь последовательно промывали ледяной водой (100 мл), водой (100 мл), и соляным раствором (100 мл). Органическую фазу высушивали над Na2SO4, фильтровали, концентрировали в вакууме до 15 мл и фльтровали через подушку из целита. Целит промывали CHCl3 (15 мл), фильтрат разбавляли EtOAc (2 мл) и простым петролейным эфиром (11 мл), и выдерживали при -20°С в течение ночи. Образовавшийся осадок отфильтровывали и высушивали е вакууме с получением соединения 28 (4,30 г, 25,4 ммоль, 46%) в виде игольчатых кристаллов белого цвета. Активированный полиакрилат (29) Раствор соединения 28 (2,10 г, 12,4 ммоль) и AlBN (133 мг, 0,81 ммоль) в сухом бензоле (100 мл) нагревали при 60°С в течение одного дня. Образовавшийся осадок отфильтровывали, промывали сухим THF и высушивали е вакууме с полечением соединения 29 (1,70 г, 81%) в виде твердого вещества белого цвета. Молекулярную массу соединения 29 определяли путем гель-проникающей хроматографии (GPC), с применением в качестве эталона комплекта Varian для калибровки с полистиролом S-M2-10. Mn=13,9 кДа, Mw=55,3 кДа, Mz=127,4 кДа, Мр=39,0 кДа, Mw/Mn=3,99. Минимальный HNK-1 полимер (30) Соединение 22 (51 мг, 0,085 ммоль), DBU (10,5 мг, 0,183 ммоль) и полимер 29 (29 мг) растворяли в DMF (0,5 мл) и DMSO (1 мл). Реакционную смесь перемешивали в течение 18 часов. Затем добавляли MeNH2 (0,5 мл, 33% раствор в МеОН) и перемешивание продолжали в течение 19 часов. Смесь последовательно диализировали с использованием отделяющей мембраны 10 кДа в воде (1 л), водн. муравьинокислом аммонии (40 мМ, 1 л), водн. муравьинокислом аммонии (60 мМ, 2×1 л), и воде (2×1 л). В результате финальной лиофилизации получали минимальный HNK-1 полимер 30 (27 мг, 39%) в виде аммониевой соли. Согласно1Н ЯМР, продукт содержал приблизительно 50% мономерных углеводных единиц, соединенных с полимером. Сыворотка крови пациентов Исследовали сыворотку крови четырех пациентов (трех мужчин и одной женщины). У всех указанных пациентов был выявлен положительный результат на моноклональную IgM гаммопатию и диагностирована анти-MAG нейропатия в Университетской клинике Базеля (Basel, Switzerland). Сывороточные титры анти-MAG антител определяли анализом ELISA Конкурентно-связывающий анализ Анти-MAG набор для анализа ELISA 

























Switzerland), применяемого для диагностики анти-MAG нейропатии и контроля лечения в клинике. Указанный способ применяли для определения концентрации анти-MAG IgM аутоантител в сыворотке крови. Анализ был приведен к конкурентно-связывающему анализу. Синтезированные соединения и образцы сыворотки крови, содержащие анти-MAG IgM антитела, помещали в 96-луночные планшеты, покрытые очищенным MAG, полученным из мозга человека. Иммобилизрованные MAG и синтезированные соединения конкурировали за связывание с анти-MAG IgM антителами. После этапа промывки MAG-связанные IgM антитела определяли с помощью антител, меченных пероксидазой хрена, а затем проводили колориметрическую реакцию. Успешное конкурирование соединений с MAG приводило к снижению измеряемой OD450 нм(оптической плотности), поскольку они блокировали сайты связывания IgM антител, предотвращая их связывание с MAG. Общий принцип исследования представлен на Фигуре 1. Для оценки соединений были выбраны четыре образца сыворотки крови различных пациентов (MK, DP, KH, SJ) с зарегистрированными высокими титрами анти-MAG IgM антител. Концентрации IgM антител определяли для каждого образца сыворотки в предварительных опытных исследованиях. Для исследования были выбраны разведения сыворотки с измеренными значениями OD450 нм около 1,0, с тем чтобы сравнить с измеренными значениями IC50 (концентрация полумаксимального ингибирования), которые зависят от концентрации антител. Разведения образцов сыворотки: DP 1:2500, KH 1:3000, SJ 1:7500, MK 1:23000. Два образца сыворотки, которые использовали в качестве отрицательного контроля (разведение 1:1000), не демонстрировали связывания с MAG.
Диметилформамид (DMF) получали от Acros (99,8%, экстра сухой, над молекулярными ситами). Дихлорметан (DCM), толуол и гексан высушивали фильтрацией над Al2O3 (Fluka, тип 5016А основный). Молекулярные сита
активировали под вакуумом при 500°С в течение 1 часа непосредственно перед применением. Центрифугирование выполняли на центрифуге Eppendorf 5804 R. кт = комнатная температура.
(с получением соединения 12), следовало образование 3,4-изопропилиденового производного 13, дибензилирование (в результате получали соединение 14), расщепление ацетонида, катализируемое кислотой (получали соединение 15) и монобензоилирование, в результате чего получали галактозид 16. Для остальных этапов получения моносульфатированного дисахарида 21 применяли последовательность реакций, подобную последовательности реакций, которая была применена для получения дисахарида 1, за исключением бензилирования, которое проводили при межфазном катализе с использованием 50% водного NaOH/DCM и 18-краун-6 эфира. Свободная амино группа соединения 21 затем вступала в реакцию с тиобутиролактоном и триэтиламином (TEA) в DMF с получением соединения 22 с выходом 59%, готового к присоединению к полилизиновому полимеру.
DCM, температуоа от 0°С до комнатной, (81%) b) LiOH, THF/H2O (97%); с) Pd(OH)2/C, Н2, МеОН/H2O (96%); d) Ac2O, 80°С, pyr, DM АР; МеОН, безводн. AcONa (57%); е) SO3⋅Py, DMF (65%); f) Pd(OH)2/C, H2, MeOH/H2O, LiOH, МеОН/H2O (88%).
(1,2 г) суспендировали в DCM (30 мл). Смесь перемешивали в течение одного часа при комнатной температуре и затем охлаждали до 0°С. По каплям добавляли TMSOTf (38,1 мкл, 0,21 ммоль). Реакционную смест оставляли для нагревания до комнатной температуры в течение ночи, и затем нейтрализовали TEA (100 мкл) и концентрировали. Остаток очищали с помощью хроматографии (петролейный эфир/EtOAc, от 9:1 до 7:3) с получением соединения 5 (1,21 г, 1,13 ммоль, 81%) в виде твердого вещества белого цвета.

DCM, от 0°С до комнатной температуры (53%); b) МеОН, NaOMe, комнатная температура, в течение ночи (получали соединение 12, 95%); с) 2,2-диметоксипропан, p-TsOH (Ts: толилсульфонил), DMF, комнатная температура, в течение ночи (75%); d) Краун эфир 15-краун-5 эфир, BnBr, 50% водн. NaOH, DCM, в течение ночи, 60°С (83%); е) АсОН, H2O, 60°С, в течение ночи (колич.); f) триметилортобензоат, p-TsOH, толуол, 45°С, в течение ночи; АсОН, H2O, 60°С, 2 часа (93%); g) TMSOTf, молекулярные сита 4 A, DCM, от 0°С до комнатной температуры, 86%; h) LiOH в THF/H2O (89%); i) Ac2O, DMAP, пиримидин; МеОН, NaOAc МеОН (получали соединение 18, 73%); j) SO3⋅Py, DMF (91%); k) LiOH, THF/H2O; Pd(OH)2/C, H2, MeOH/H2O (78%); I) дитиотреитол, тиобутиролактон, TEA, DMF, 85°C (59%); m) хлоруксусный ангидрид, 2,6-лутидин, DMF (96%); n) DMF, H2O, DBU; тиоглицерин, TEA; ультрацентрифугирование (70%).
(2 г) суспендировали в DCM (25 мл). Смесь перемешивали в течение 1 часа при комнатной температуре и затем охлаждали до 0°С. По каплям добавляли TMSOTf (58,4 мкл, 0,32 ммоль). Реакционную смесь оставляли для нагревания до комнатной температуры в течение ночи и затем нейтрализовали TEA (150 мкл) и концентрировали. Остаток очищали с помощью хроматографии (петролейный эфир/EtOAc, от 9:1 до 7:3) с получением соединения 17 (2,04 г, 1,84 ммоль, 86%) в виде твердого вещества белого цвета.
Switzerland). Сыворотку двух пациентов, страдающих моноклональной IgM гаммопатией и не обнаруживающих анти-MAG активности использовали в качестве контроля. Использование сыворотки крови было одобрено комитетом по этике Университетской клиники Базеля.
Switzerland) применяли для биологической оценки соединений 1, 2 и 25. 96-луночные планшеты, покрытые очищенным MAG из мозга человека, четырежды промывали промывным буфером (300 мкл/лунку) перед добавлением углеводных лигандов в 7 различных концентрациях (0,05 - 50 мМ для мономеров 1 и 2 и 0,05-5000 нМ для полимера 25), 25 мкл/лунку. Добавляли сыворотку крови пациента в подходящих разведениях, содержащую анти-MAG антитела IgM, 25 мкл/лунку. Измерения проводили в двух повторностях. Планшет заклеивали пленкой и инкубировали в течение 2 часов при 5°С. Лунки четырежды промывали промывным буфером (300 мкл/лунку) перед добавлением IgM, меченого ферментом (антитело против IgM человека, конъюгированное с пероксидазой хрена в белковом буфере с консервантами) (100 мкл/лунку). Планшет инкубировали в течение 2 часов при 5°С. После промывания лунок (4×300 мкл/лунку), добавляли субстратный раствор тераметилбензидина (ТМВ в цитратном буфере с пероксидазой хрена) (100 мкл/лунку) и планшет инкубировали в течение 30 дополнительных минут при 800 об/мин и комнатной температуре (rt), в защищенном от света месте. Наконец, а добавляли стоп-раствор (0,25 М серную кислоту) (100 мкл/лунку) и определяли степень колориметрической реакции путем измерения поглощения при 450 нм с помощью считывающего устройства для микропланшетов (Spectramax 190, Molecular Devices, California, USA).