Изобретение относится к химико-фармацевтической промышленности, а именно к композиции, подавляющей «чувство кворума» у Chromobacterium violaceum АТСС 31532 бактерий. Композиция, подавляющая «чувство кворума» у Chromobacterium violaceum АТСС 31532 бактерий, содержащая по два высушенных водных экстракта из коры дуба (Quercus cortex), травы зверобоя (Hyperici herba) и листьев березы (Folia Betulae), при следующем соотношении компонентов, при формировании двухкомпонентной композиции, мас. %: высушенный водный экстракт коры дуба (Quercus cortex) - 50,0; высушенный водный экстракт травы зверобоя (Hyperici herba) - 50,0; или высушенный водный экстракт травы зверобоя (Hyperici herba) - 50,0; высушенный водный экстракт листьев березы (Folia Betulae) - 50,0. Вышеописанная композиция эффективно подавляет «чувство кворума» у Chromobacterium violaceum АТСС 31532 бактерий. 3 ил., 1 табл., 2 пр.
Композиция, подавляющая «чувство кворума» у Chromobacterium violaceum АТСС 31532 бактерий, содержащая по два высушенных водных экстракта из коры дуба (Quercus cortex), травы зверобоя (Hyperici herba) и листьев березы (Folia Betulae), при следующем соотношении компонентов, при формировании двухкомпонентной композиции, мас. %: - высушенный водный экстракт коры дуба (Quercus cortex) - 50,0; - высушенный водный экстракт травы зверобоя (Hyperici herba) - 50,0; или - высушенный водный экстракт травы зверобоя (Hyperici herba) - 50,0; - высушенный водный экстракт листьев березы (Folia Betulae) - 50,0.
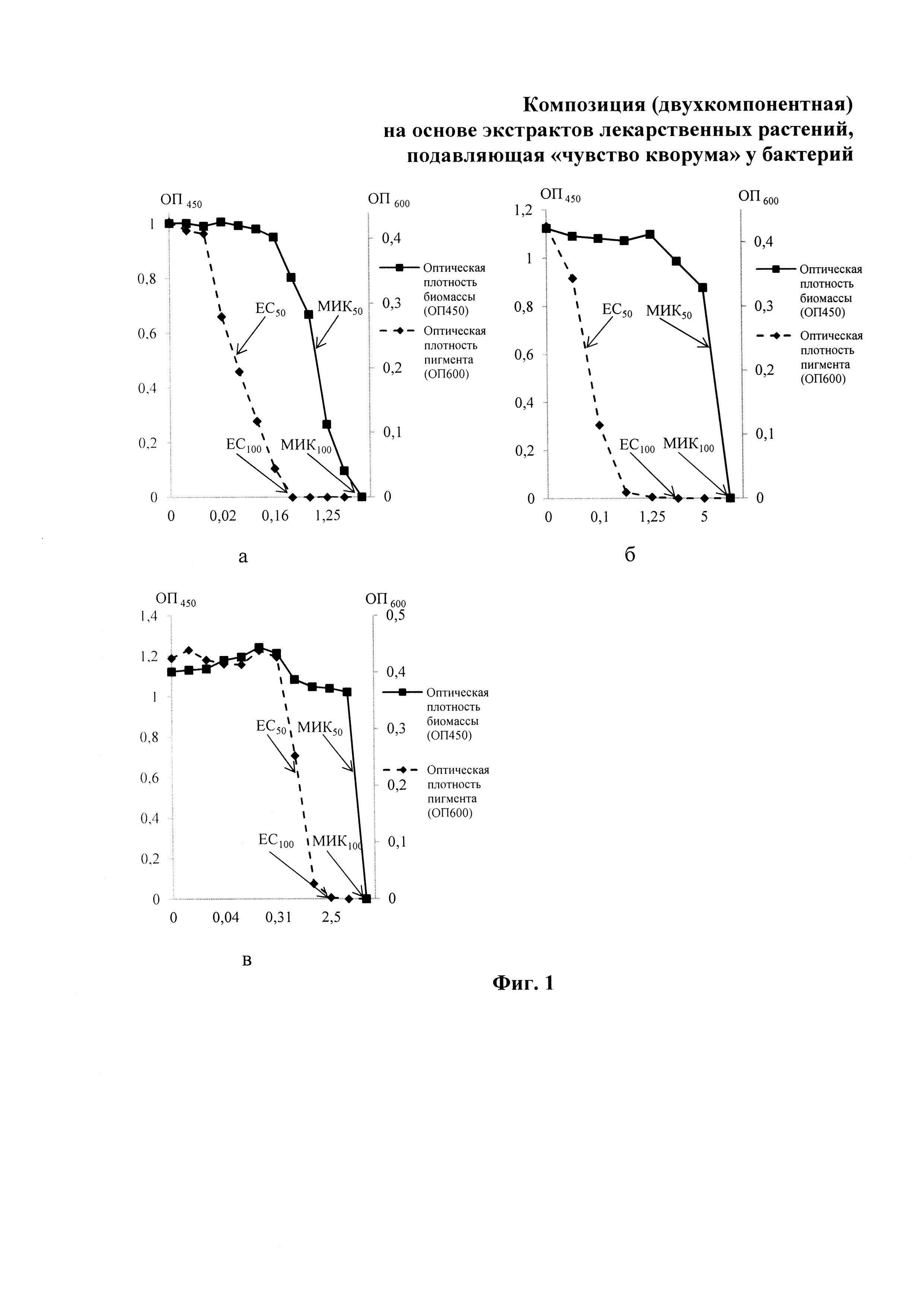
Изобретение относится к химико-фармацевтической промышленности и касается композиций на основе растительных экстрактов, предназначенных для предупреждения, облегчения или лечения патологических состояний живых организмов путем воздействия на физиологию паразитирующего микроорганизма. В частности, изобретение касается биологических составов, способных подавлять коллективное поведение («чувство кворума») у патогенных, условно-патогенных и гнилостных бактерий. Изобретение может найти применение при изготовлении лечебных, профилактических, косметических и санитарно-гигиенических средств контроля бактериальных инфекций человека и животных. Из уровня техники известен ряд растительных композиций с различной лечебно-профилактической направленностью. В частности, известна растительная композиция для профилактики или лечения расстройств метаболизма углеводов и/или жиров [1], для предупреждения или лечения аллергического заболевания [2], в качестве противовоспалительного и иммуностимулирующего средства [3], для предотвращения или лечения нейродегенеративных нарушений [4] и др. При этом основным аргументом для формирования подобных композиций является наличие у каждого из входящих в их состав растительных экстрактов соответствующей биологической активности, а также аддитивный эффект при их совместном использовании. Наиболее близким по технической сущности и достигаемому эффекту к заявляемому изобретению является композиция на основе фитоэкстрактов, подавляющая «чувство кворума» у бактерий [5]. Изобретение относится к химико-фармацевтической промышленности, в частности к композиции, подавляющей «чувство кворума». Композиция, подавляющая «чувство кворума» у бактерий, содержит по меньшей мере два высушенных водных или спиртовых экстракта из коры дуба (Quercus cortex), почек березы (Betulae gemmae), листьев эвкалипта (Eucalyptus folia) при определенном соотношении компонентов. В качестве альтернативы природным и химически синтезируемым бактерицидам прямого действия в настоящее время все чаще рассматривается подход, заключающийся не в уничтожении, но в изменении физиологии микроорганизма в направлении подавления (снижения) его способности к паразитированию и повреждению биологических субстратов. В частности, сказанное относится к поиску и созданию ингибиторов «чувства кворума» (Quorum sensing, QS) у бактерий, оцениваемых как привлекательная альтернатива традиционным средствам борьбы с инфекциями, особенно, вызываемыми полирезистентными штаммами микроорганизмов. Shukla и Bhathena (2016) сообщают, что экстракты, богатые гидролизуемыми танинами Phyllanthus emblica, Terminalia bellirica, Terminalia chebula, Punica granatum, S. cumini и Mangifera indica (цветок), проявляют анти-QS активность широкого спектра действия, которая влияет на активность ацилгомосеринлактонов (АГЛ) в широком диапазоне субингибирующих концентраций [6]. Обнаружено, что дихлорметановый экстракт из корней коры Cordia gilletii гасит выработку пиоцианина, QS-зависимого фактора вирулентности P. aeruginosa и специфически ингибирует экспрессию нескольких QS-регулируемых генов [7]. В этой связи задачей данного изобретения является разработка композиции из экстрактов лекарственных растений, используемых в традиционной медицине и проявляющих аддитивный эффект при регуляции «чувства кворума» патогенных и гнилостных бактерий. В настоящем изобретении эта задача решается совместным применением водных экстрактов или полученных подобным образом и в последующем высушенных извлечений из коры дуба (Quercus cortex), листьев березы (Folia Betulae) и травы зверобоя (Hyperici herba). В соответствии с изобретением регуляторный препарат (композиция) на их основе содержит от 50,0 мас. % каждого из экстрактов, а само подобное соотношение и форма его применения (в виде жидкостей, порошков, аппликаций и т.д.) определяются исходя из особенностей локализации инфекционного процесса и индивидуальных особенностей пациента (организма). В частности, экстракт коры дуба включается в композиции, предназначенные для лечения и профилактики кишечных, раневых инфекций, инфекций полости рта, а также воспалительных заболеваний кожи и женских половых органов. В свою очередь противопоказанием к включению коры дуба в состав композиции является гиперчувствительность к данному препарату. Экстракт березовых листьев включается в состав композиций, предназначенных для лечения инфекционно-воспалительных заболеваний мочеполовой и пищеварительной систем, ЛОР-органов, раневых инфекций, а также воспалительных процессов кожи. Противопоказаниями к использованию данного экстракта являются период беременности и патология мочевыделительной системы (почечная недостаточность и острые заболеваниями мочевыводящих путей). Экстракт травы зверобоя включается в состав композиций, предназначенных для лечения инфекционных заболеваний полости рта, кишечных инфекций. Противопоказаниями к использованию данного экстракта являются гиперчувствительность к данному препарату. Используемые экстракты готовили на основе сухого растительного сырья, осуществляя из него водные извлечения, после чего при необходимости производили дополнительное высушивание полученных извлечений. При приготовлении водных извлечений из грубых частей растений (в частности, коры дуба) 6 грамм измельченного растительного сырья, предварительно стерилизованного в автоклаве при 1 атмосфере в течение 30 минут, заливали стерильной дистиллированной водой в объеме 50 мл. На следующем этапе производилось кипячение на водяной бане в течение 30 минут, охлаждение - 10 минут, после чего полученный отвар процеживали через стерильный ватно-марлевый фильтр в стеклянную посуду. При приготовлении водных извлечений из мягких частей растений (березовых листьев и травы зверобоя) использовали аналогичную последовательность действий за исключением того, что кипячение на водяной бане осуществляли 15 минут, а настаивание - в течение 45 минут. При необходимости полученные вытяжки выпаривались на водяной бане до получения более густой консистенции, после чего подвергались полному высушиванию до получения порошка. Композиции получали путем смешивания водных извлечений в соотношении по 50,0 мас. % при смешивании двух экстрактов. По сравнению с упомянутого выше технического решения [5] заявляемое изобретение имеет ряд существенных отличий, отвечающих требованию новизны. 1) В отличие от композиции фитоэкстрактов в патенте RU 2542464 заявляемая композиция оказывает регуляторное воздействие на физиологию паразитирующего микроорганизма в направлении подавления «чувства кворума» патогенных и гнилостных бактерий в форме двухкомпонентной смеси и без спиртовой основы, что экономически более целесообразно. Экспериментальным обоснованием использования названных экстрактов являются данные о воздействии водных вытяжек на рост и проявление «чувства кворума» у индикаторного штамма Chromobacterium violaceum АТСС 31532. Адекватность использования данного микроорганизма для заявленных целей определяется наличием у него системы QS, которая состоит из гена CviI (функциональный аналог гена luxI), кодирующего синтазу автоиндуктора N-гексаноил-L-ацилгомосеринлактона (С6-АГЛ); а также гена CviR (аналог гена luxR), кодирующего рецепторный регуляторный белок. С.violaceum АТСС 31532 представляет собой дикий штамм с полноценной системой CviI/CviR, контролирующей образование доступного для визуальной и аппаратной регистрации сине-фиолетового пигмента виолацеина с максимумом поглощения при 570-600 нм. При проведении экспериментальной серии исследования в жидкой питательной среде готовили двукратные разведения сухих экстрактов коры дуба, листьев березы и травы зверобоя. В каждое исследование включали дополнительные пробы LB-бульона, не содержащие названных компонентов и используемые в качестве положительного (рост тест-штамма) и отрицательного (стерильного) контролей. Оценку результатов эксперимента проводили с использованием многофункционального микропланшетного ридера «Infinite 200 Pro» («Tecan», Австрия), после чего оценка и архивирование полученных данных проводилась с использованием штатного программного обеспечения magellanTM Software V7.2. Оптическую плотность бактериальной биомассы измеряли при 450±5 нм, а количественное присутствие пигмента виолацеина при 600±5 нм, после его предварительной этанольной экстракции. Значения поглощения отрицательного контроля вычитали. Антибактериальный эффект выражали значениями МИК100 и МИК50 - минимальными ингибирующими концентрациями, вызывающими 100%-ое и 50%-ое подавление роста тест-штамма относительно положительного контроля. В свою очередь интенсивность подавления системы «чувства кворума» выражали величинами ЕС100 и ЕС50, соответствующими аналогичным интенсивностям ингибирования биосинтеза пигмента виолацеина. На фиг. 1, табл. 1 показаны результаты проведенной серии экспериментов по воздействию коры дуба (фиг. 1 «а»), листьев березы (фиг. 1 «б») и травы зверобоя (фиг. 1 «в») на рост и QS-зависимый биосинтез пигмента виолацеина в культуре С. Violaceum АТСС 31532. Установлено, что водные извлечения из лекарственных растений развивают прямую антибактериальную активность в отношении индикаторного штамма С. violaceum АТСС 31532, характеризуемую значениями МИК100=5, 10 и 10 мг/мл сухого вещества для коры дуба, листьев березы и травы зверобоя соответственно. Одновременно было установлено, что все исследуемые экстракты подавляли QS-зависимый биосинтез пигмента виолацеина, хотя выраженность эффекта была различной. Так, соотношение концентраций действующих соединений (мг/мл), обусловливающих полное подавление роста (МИК100) и пигментообразования (ЕС100) составляло 16 для коры дуба, 4 для листьев березы и 2 для травы зверобоя. Соотношение МИК50/ЕС50, наиболее полно характеризующее диапазон концентраций сухих экстрактов, вызывающих подавление QS-зависимого биосинтеза пигмента виолацеина в отсутствие рост-ингибирующего эффекта, было на уровне 22,2 для коры дуба, 13 для листьев березы и 12 для травы зверобоя. 2) В отличие от патента RU 2542464 способность к подавлению «чувства кворума» у бактерий установлена у экстрактов из широко распространенных в умеренном климатическом поясе восточной Европы луба и березы, а также зверобоя, более распространенного в Евразии растения, в отличие от эвкалипта (Eucalyptus folia), что снимает ресурсные (сырьевые) ограничения при производстве основанных на них композиций. Из доступной научной и патентной литературы сведения о выраженном влиянии экстрактов коры дуба (Quercus cortex) и травы зверобоя (Hyperici herba), листьев березы (Folia Betulae) и травы зверобоя (Hyperici herba) на проявления «чувства кворума» у бактерий не известны. Соответственно, наибольшая выраженность подобного эффекта в отсутствие или при минимальном прямом антибактериальном воздействии явилось основанием для рекомендации по их использованию для нового способа воздействия на физиологию паразитирующего микроорганизма в направлении подавления его плотностно-зависимой коммуникации. 3) На фиг. 2 приведены результаты отдельной серии экспериментов и было показано, что экстракты коры дуба и травы зверобоя, листьев березы и травы зверобоя при их комбинировании обладают аддитивным эффектом в отношении системы «чувства кворума» С. violaceum АТСС 31532 (К1 - действие травы зверобоя без коры дуба, К2 - действие коры дуба безтравы зверобоя, К3 - чистая культура). При проведении подобного исследования серии двукратных разведений вещества «а» и вещества «б» вносились в перпендикулярных друг другу направлениях в ячейки 96-луночного планшета, так что в каждой из них формировалось индивидуальное соотношение «кора дуба: листья березы», «кора дуба: трава зверобоя» или «трава зверобоя: листья березы». Контрольными пробами являлись ряды разведений, содержащие только вещество «а» или только вещество «б». Далее ячейки заполнялись жидкой питательной средой, содержащей С. violaceum АТСС 31532 и инкубировались при 27°С в течение 24-48 часов для проявления роста бактериальной культуры с развитием эффекта «чувства кворума», оцениваемого по образованию экстрагируемого из бактериальной биомассы сине-фиолетового пигмента виолацеина. Совместное действие исследуемых экстрактов оценивалось в соответствии с методикой, предложенной Tallarida R.J. [8]. Принцип этого метода заключается в построении изоболограммы, по которой можно определить характер взаимодействия двух веществ путем сравнения экспериментальных точек, координатами которых является концентрация вещества и значение EC50. Комбинация веществ вызывает аддитивный эффект, если точка расположена на изоболе, супераддитивный эффект, если она находится под изоболой и инфрааддитивный эффект, если точка находится над изоболой. На фиг. 3 представлен изоболографический анализ совместного воздействия комбинаций коры дуюа с листьями березы (фиг. 3 «а») и травой зверобоя (фиг. 3 «б»), а также листьев березы с травой зверобоя (фиг. 3 «в») на QS-зависимый биосинтез пигмента виолацеина в культуре С. Violaceum АТСС 31532. Изоболы представлены в виде прямых линий, соединяющих концентрации каждого из соединений, вызывающих одинаковых биологических эффект (50% подавления биосинтеза виолацеина, EC50). Результаты исследований, проведенных в перекрестной матрице концентраций исследуемых экстрактов в растущих культурах С. violaceum АТСС 31532, выявили разную биоактивность в тесте подавления QS-зависимого биосинтеза пигмента виолацеина. Так комбинирование коры дуба с листьями березы и коры дуба с травой зверобоя показало супераддитивный эффект, проявляющийся в расположении большинства расчетных индексов комбинированного воздействия под прямой, соединяющей значения ЕС50. Изоболографический анализ композиции «листья березы : трава зверобоя» свидетельствовал о незначительном аддитивном характере действия подобных композиций. 4) Описанные выше результаты также явились экспериментальным обоснованием формирования композиций экстрактов с содержанием каждого компонента от 50,0 мас. % (двухкомпонентных композиций в случаях отсутствия показаний или наличия противопоказаний к применению одного из экстрактов). В состав патентуемого изобретения входит также применение композиции на основе экстрактов коры дуба, листьев березы и травы зверобоя для подавления «чувства кворума» у патогенной и условно-патогенной бактериальной микрофлоры, вовлеченной в развитие инфекционных заболеваний растений, животных и человека. С этой целью данная композиция может вводиться в организм для обеспечения системного эффекта, а также применяться местно для воздействия на определенные области (например, в составе перевязочных материалов для обработки ран, при обработке операционного поля и т.д.). Композиция экстрактов может использоваться в виде водных или спиртовых растворов, твердых веществ (порошков), а также нанесенными на различные носители. Заявляемое изобретение иллюстрируется, но никак не ограничивается следующими примерами. Пример 1. Композиция, подавляющая «чувство кворума» у бактерий, например, при лечении раневых инфекций и инфекционно-воспалительных заболеваний кожи. Композиция содержит настойки коры дуба (Quercus cortex) и травы зверобоя (Hyperici herba). Настойки приготавливаются по общей схеме: 6 грамм измельченного растительного сырья Quercus cortex, предварительно стерилизованного в автоклаве при 1 атмосфере в течение 30 минут, заливали стерильной дистиллированной водой в объеме 50 мл. На следующем этапе производилось кипячение на водяной бане в течение 30 минут, охлаждение - 10 минут, после чего полученный отвар процеживали через стерильный ватно-марлевый фильтр в стеклянную посуду. При приготовлении водных извлечений из мягких частей растений (травы зверобоя) использовали аналогичную последовательность действий за исключением того, что кипячение на водяной бане осуществляли 15 минут, а настаивание - в течение 45 минут. Полученные настойки смешиваются при следующем соотношении компонентов, мас. %: - настойка коры дуба (Quercus cortex) - 50,0; - настойка травы зверобоя (Hyperici herba) - 50,0; Композиция может использоваться путем примочек, аппликаций или орошений. Пример 2. Композиция, подавляющая «чувство кворума» у бактерий, например, при лечении и профилактике кишечных инфекций. Композиция содержит высушенные извлечения экстрактов листьев березы (Folia Betulae) и травы зверобоя (Hyperici herba). Извлечения листьев березы и травы зверобоя приготовлялся по общей схеме: 6 грамм измельченного растительного сырья, предварительно стерилизованного в автоклаве при 1 атмосфере в течение 30 минут, заливаются стерильной дистиллированной водой в объеме 50 мл. На следующем этапе производится кипячение на водяной бане в течение 15 минут, охлаждение - 45 минут, после чего полученные настои процеживаются через стерильный ватно-марлевый фильтр в стеклянную посуду. На следующем этапе отвар и настои выпариваются на водяной бане до получения более густой консистенции, после чего полностью высушиваются до получения порошка. Полученные сухие фитоэкстракты смешиваются при следующем соотношении компонентов, мас. %: - настойка травы зверобоя (Hyperici herba) - 50,0; - настойка листьев березы (Folia Betulae) - 50,0. Композиция может использоваться в качестве порошков и иных твердых форм для перорального применения, а также нанесенной на различные носители. Список литературы: 1. Патент на изобретение RU №2712625 Композиция, содержащая смесь экстрактов растений или смесь молекул, содержащихся в указанных растениях и применение для контролирования метаболизма углеводов или липидов / С. Пельтье, П. Сирван, Т. Могар: опубликовано 30.01.2020, Бюл. №4. 2. Патент на изобретение RU №2671501 Композиция, содержащая экстракт или фракцию из растений рода Justicia / Ч.Б. Юн, Х.Й. Ли, Ч.Х. Юм, К.Х. Ким, Ч.Х. Чон, Х.П. Чван, Ю.Х. Хван, С.К. Сон, Т.Р. Чхве: опубликовано 01.11.2018, Бюл. №31. 3. Патент на изобретение RU №2637128 Березовый экстракт с отварами лекарственных растений / А.П. Полетаев: опубликовано 30.11.2017, Бюл. №34. 4. Патент на изобретение RU №2575832 Композиция, содержащая экстракт растений для предотвращений или лечения нейродегенеративных нарушений / С-X. Ким, М.-В. Сон, С.-З. Чой, Х.-Д. Ким, Д.-Й. Риу, С.-Й. Ким: опубликовано 20.02.2016, Бюл. №5. 5. Патент на изобретение RU №2542464 Композиция на основе фитоэкстрактов, подавляющая чувство кворума у бактерий / Д.Г. Дерябин, А.А. Толмачева: опубликовано 20.02.2015, Бюл. №5. 6. Shukla V, Bhathena Z. Broad spectrum anti-quorum sensing activity of tannin-rich crude extracts of Indian medicinal plants. Scientifica (Cairo) 2016;2016:5823013. 7. Okusa PN, Rasamiravaka T, Vandeputte O, Stevigny C, Jaziri ME, Duez P. Extracts of Cordia gilletii de wild (Boraginaceae) quench the quorum sensing of Pseudomonas aeruginosa PAO1. J Intercult Ethnopharmacol. 2014; 3:138-43. 8. Tallarida R.J. Statistical analysis of drug combinations for synergism. Pain. 1992; 49: 93-97.