Изобретение относится к радиотехнике и связи и может быть использовано в качестве интерфейса для ограничения спектра источника сигнала, например, при его дальнейшей обработке аналого-цифровыми преобразователями различных модификаций. Технический результат заключается в обеспечении расширенного диапазона частот полосового активного фильтра четвертого порядка с недифференциальным входом и парафазным выходом. Фильтр содержит вход (1) устройства, связанный с источником сигнала (2), первый (3) и второй (4) выходы устройства, выходной операционный усилитель (5), причем инвертирующий выход выходного операционного усилителя (5) соединен с первым (3) выходом устройства, неинвертирующий выход выходного операционного усилителя (5) соединен со вторым (4) выходом устройства, неинвертирующий вход выходного операционного усилителя (5) связан с первым (3) выходом устройства через последовательно соединенные первый (6), второй (7) и третий (8) резисторы, неинвертирующий вход выходного операционного усилителя (5) соединен с первым (3) выходом устройства через первый (9) конденсатор, общий узел первого (6) и второго (7) резисторов связан со вторым (4) выходом устройства через второй (10) конденсатор, инвертирующий вход выходного операционного усилителя (5) и источник сигнала (2) согласованы с общей шиной источника питания (11), третий (12) конденсатор, четвертый (13) резистор. В схему устройства введены дополнительный конденсатор (14), причем вход (1) устройства связан с общим узлом второго (7) и третьего (8) резисторов через последовательно соединенные дополнительный конденсатор (14) и третий (12) конденсатор, общий узел дополнительного конденсатора (14) и третьего (12) конденсатора соединен со вторым (4) выходом устройства через четвертый (13) резистор. 3 ил.
Широкополосный полосовой фильтр четвертого порядка с одним входом и парафазным выходом, содержащий вход (1) устройства, связанный с источником сигнала (2), первый (3) и второй (4) выходы устройства, выходной операционный усилитель (5), причём инвертирующий выход выходного операционного усилителя (5) соединён с первым (3) выходом устройства, неинвертирующий выход выходного операционного усилителя (5) соединён со вторым (4) выходом устройства, неинвертирующий вход выходного операционного усилителя (5) связан с первым (3) выходом устройства через последовательно соединённые первый (6), второй (7) и третий (8) резисторы, неинвертирующий вход выходного операционного усилителя (5) соединён с первым (3) выходом устройства через первый (9) конденсатор, общий узел первого (6) и второго (7) резисторов связан со вторым (4) выходом устройства через второй (10) конденсатор, инвертирующий вход выходного операционного усилителя (5) и источник сигнала (2) согласованы с общей шиной источника питания (11), третий (12) конденсатор, четвертый (13) резистор, отличающийся тем, что в схему устройства введены дополнительный конденсатор (14), причём вход (1) устройства связан с общим узлом второго (7) и третьего (8) резисторов через последовательно соединённые дополнительный конденсатор (14) и третий (12) конденсатор, общий узел дополнительного конденсатора (14) и третьего (12) конденсатора соединён со вторым (4) выходом устройства через четвертый (13) резистор.
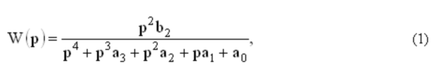
Изобретение относится к радиотехнике и связи и может быть использовано в качестве интерфейса для выделения заданного спектра источника сигнала, например, при его дальнейшей обработке аналого-цифровыми преобразователями различных модификаций. Полосовые АRC-фильтры (ПФ) с недифференциальным входом и парафазным выходом относятся к числу достаточно распространенных аналоговых устройств, определяющих качественные показатели многих радиотехнических систем, в том числе для цифровой обработки сигналов [1-22]. Наличие парафазного выхода является крайне важным качеством ARCФ, например, при его включении на входе АЦП с дифференциальным входом. Ближайшим прототипом заявляемого устройства является фильтр, описанный в патенте RU 2697945 («Активный RC-фильтр нижних частот третьего порядка на базе операционного усилителя с парафазным выходом», МПК H03H 11/12, 2019 г.). Он содержит (фиг. 1) вход 1 устройства, связанный с источником сигнала 2, первый 3 и второй 4 выходы устройства, выходной операционный усилитель 5, причем инвертирующий выход выходного операционного усилителя 5 соединен с первым 3 выходом устройства, неинвертирующий выход выходного операционного усилителя 5 соединен со вторым 4 выходом устройства, неинвертирующий вход выходного операционного усилителя 5 связан с первым 3 выходом устройства через последовательно соединенные первый 6, второй 7 и третий 8 резисторы, неинвертирующий вход выходного операционного усилителя 5 соединен с первым 3 выходом устройства через первый 9 конденсатор, общий узел первого 6 и второго 7 резисторов связан со вторым 4 выходом устройства через второй 10 конденсатор, инвертирующий вход выходного операционного усилителя 5 и источник сигнала 2 согласованы с общей шиной источника питания 11, третий 12 конденсатор, четвертый 13 резистор. Существенный недостаток известного устройства фиг. 1 состоит в том, что он не обладает расширенным диапазоном рабочих частот и не обеспечивает повышенное затухание амплитудно-частотной характеристики АЧХ за его пределами. Это ограничивает области использования данной схемы. Основная задача предполагаемого изобретения состоит в создании полосового фильтра четвертого порядка с недифференциальным входом и парафазным выходом на классическом операционном усилителе, который имеет расширенный диапазон частот. Поставленная задача достигается тем, что в активном RC-фильтре фиг. 1, содержащем вход 1 устройства, связанный с источником сигнала 2, первый 3 и второй 4 выходы устройства, выходной операционный усилитель 5, причем инвертирующий выход выходного операционного усилителя 5 соединен с первым 3 выходом устройства, неинвертирующий выход выходного операционного усилителя 5 соединен со вторым 4 выходом устройства, неинвертирующий вход выходного операционного усилителя 5 связан с первым 3 выходом устройства через последовательно соединенные первый 6, второй 7 и третий 8 резисторы, неинвертирующий вход выходного операционного усилителя 5 соединен с первым 3 выходом устройства через первый 9 конденсатор, общий узел первого 6 и второго 7 резисторов связан со вторым 4 выходом устройства через второй 10 конденсатор, инвертирующий вход выходного операционного усилителя 5 и источник сигнала 2 согласованы с общей шиной источника питания 11, третий 12 конденсатор, четвертый 13 резистор, предусмотрены новые элементы и связи - в схему устройства введены дополнительный конденсатор 14, причем вход 1 устройства связан с общим узлом второго 7 и третьего 8 резисторов через последовательно соединенные дополнительный конденсатор 14 и третий 12 конденсатор, общий узел дополнительного конденсатора 14 и третьего 12 конденсатора соединен со вторым 4 выходом устройства через четвертый 13 резистор. На чертеже фиг. 1 показана схема ПФ-прототипа, а на чертеже фиг. 2 - схема заявляемого полосового активного фильтра четвертого порядка в соответствии с формулой изобретения. На чертеже фиг. 3 представлены результаты компьютерного моделирования схемы ПФ фиг. 2. Широкополосный полосовой фильтр четвертого порядка с одним входом и парафазным выходом фиг. 2 содержит вход 1 устройства, связанный с источником сигнала 2, первый 3 и второй 4 выходы устройства, выходной операционный усилитель 5, причем инвертирующий выход выходного операционного усилителя 5 соединен с первым 3 выходом устройства, неинвертирующий выход выходного операционного усилителя 5 соединен со вторым 4 выходом устройства, неинвертирующий вход выходного операционного усилителя 5 связан с первым 3 выходом устройства через последовательно соединенные первый 6, второй 7 и третий 8 резисторы, неинвертирующий вход выходного операционного усилителя 5 соединен с первым 3 выходом устройства через первый 9 конденсатор, общий узел первого 6 и второго 7 резисторов связан со вторым 4 выходом устройства через второй 10 конденсатор, инвертирующий вход выходного операционного усилителя 5 и источник сигнала 2 согласованы с общей шиной источника питания 11, третий 12 конденсатор, четвертый 13 резистор. В схему устройства введены дополнительный конденсатор 14, причем вход 1 устройства связан с общим узлом второго 7 и третьего 8 резисторов через последовательно соединенные дополнительный конденсатор 14 и третий 12 конденсатор, общий узел дополнительного конденсатора 14 и третьего 12 конденсатора соединен со вторым 4 выходом устройства через четвертый 13 резистор. Рассмотрим работу схемы ПФ фиг. 2. Передаточная функция схемы полосового фильтра четвертого порядка фиг. 2 описывается математическим выражением где Характер изменения АЧХ и ФЧХ фильтра от частоты зависят от численных значений где В результате компьютерного моделирования схемы, приведенной на фиг. 2, в программе схемотехнического моделирования Micro-Cap при выбранных значениях параметров элементов Таким образом, заявляемое устройство имеет существенные преимущества в сравнении с прототипом. БИБЛИОГРАФИЧЕСКИЙ СПИСОК 1. Справочник по расчету и проектированию ARC-схем / Букашкин С.А., Власов В.П., Змий Б.Ф. и др.; Под. ред. А.А. Ланнэ. - М.: Радио и связь, 1984. - 368 с. 2. Патент RU 2697945, 2019 г. 3. Патентная заявка US 2010/0322440, fig. 3, 2010 г. 4. Патент RU 2695981, 2019 г. 5. Патент RU 2694740, fig. 2, 2019 г. 6. Патент US 8872586, fig. 4, 2014 г. 7. Патентная заявка US 2017/0077903, 2017 г. 8. Патентная заявка US 2015/0214925, fig. 9, 2015 г. 9. Патент SU 1187241, 1983 г. 10. Патент SU 813694, 1981 г. 11. Патент JP 63-240114, 1988 г. 12. Патент US 3736517, 1973 г. 13. Патент US 6407627, 2002 г. 14. Патент SU 510778, 1976 г. 15. Патент SU 813695, 1981 г. 16. Патент SU 849449, 1981 г. 17. Патент SU 932597, fig. 1, 1982 г. 18. Патент SU 1062850, 1983 г. 19. Патентная заявка US 2011/0012678, 2011 г. 20. Патент US 3.999.137, 1976 г. 21. Патент US 4.015.224, 1977 г. 22. Патентная заявка US 2017/0033759, 2017 г.
и
- коэффициенты числителя и знаменателя передаточной функции (1).
и
передаточной функции (1). В свою очередь эти коэффициенты определяются топологией схемы и параметрами пассивных элементов - сопротивлений резисторов и емкостей конденсаторов. Так, для схемы, приведенной на фиг. 2, коэффициенты передаточной функции определяются соотношениями
сопротивления резисторов 13, 8, 7 и 6 соответственно,
- емкости конденсаторов 14, 12, 10 и 9 соответственно.
,
,
и
была получена АЧХ полосового фильтра (фиг. 3). Это подтверждает работоспособность предложенного решения, причем передаточная функция фильтра четвертого порядка реализуется путем применения минимального количества пассивных и активных элементов в схеме ARCФ, который имеет расширенный диапазон частот и повышенное ослабление сигнала за его пределами.