патент
№ RU 2743070
МПК H01P1/203

Волновод с копланарно-волноводной согласующей линией передачи

Авторы:
Корнилов Иван Сергеевич
Номер заявки
2020116692
Дата подачи заявки
24.04.2020
Опубликовано
15.02.2021
Страна
RU
Как управлять
интеллектуальной собственностью
Чертежи 
6
Реферат

Изобретение относится к радиотехнике. Волновод с копланарно-волноводной согласующей линией содержит прямоугольную диэлектрическую подложку со слоем металлизации всех ее поверхностей и с размещенным по ширине на ее верхнем слое в центре проводником, зазоры, выполненные в верхнем слое прямоугольной диэлектрической подложки, с обеих сторон от проводника, сквозные вертикальные переходные металлизированные отверстия для подавления паразитных мод вдоль проводника, выполненные с двух сторон верхнего слоя диэлектрической подложки и расположенные сбоку от зазоров не менее чем в три ряда зеркально по отношению друг другу. Переходные металлизированные отверстия в каждом ряду смещены относительно переходных металлизированных отверстий соседнего ряда на величину, равную половине диаметра переходных металлизированных отверстий. Технический результат - расширение рабочего диапазона СВЧ-устройства, обеспечение сверхширокополосного режима работы, высокой степени интеграции, высокого уровня согласования, низкие потери на высоких частотах. 1 з.п. ф-лы, 6 ил.

Формула изобретения

1. Волновод с копланарно-волноводной согласующей линией, включающий прямоугольную диэлектрическую подложку со слоем металлизации всех ее поверхностей и с размещенным по ширине на ее верхнем слое в центре проводником, зазоры, выполненные в верхнем слое прямоугольной диэлектрической подложки, с обеих сторон от проводника, сквозные вертикальные переходные металлизированные отверстия для подавления паразитных мод вдоль проводника, выполненные с двух сторон верхнего слоя диэлектрической подложки и расположенные сбоку от зазоров не менее чем в три ряда зеркально по отношению друг другу с двух сторон, причем переходные металлизированные отверстия в каждом ряду смещены относительно переходных металлизированных отверстий соседнего ряда на величину, равную половине диаметра переходных металлизированных отверстий.

2. Волновод с копланарно-волноводной согласующей линией по п. 1, отличающийся тем, что дополнительно содержит верхний слой диэлектрика с проводящим слоем металла, который электрически соединен со сквозными вертикальными переходными металлизированными отверстиями для подавления паразитных мод вдоль проводника.

Описание

[1]

Изобретение относится к радиотехнике, и, более конкретно, к волноводу со штырьевыми стенками копланарно-волноводной согласующей линии передачи, реализованной в печатных платах.

[2]

Уровень техники В связи с современными тенденциями развития техники связи требуются устройства, работающие в широкой полосе в миллиметровом диапазоне длин волн. В настоящее время одной из известных технологий являются SIW структуры (технология интегрированного печатного волновода с штырьевыми стенками) играющие важную роль, так как они обладают рядом преимуществ такие как простота конструкции и изготовление, низкие потери и полное экранирование в миллиметровом диапазоне.

[3]

Например, в патенте на изобретение RU 2665335 С1 приводится описание возможности внедрения управляемого переключателя в SIW-структуру, содержащего печатную плату с верхним и нижним слоем металлизации и слой диэлектрика между ними, стенки волновода, образованные двумя рядами переходных металлизированных отверстий, электрически соединенных с проводящими слоями, причем соседние отверстия в ряду расположены друг от дуга на расстоянии менее одной десятой доли длины волны распространяющейся в волноводе, причем расстояние между рядами составляет более половины длины волны.

[4]

Несмотря на все преимущества, управляемый переключатель встроенный в SIW структуру имеет ряд недостатков, такие как:

[5]

- ограниченный частотный диапазон, который определяется сечением геометрии структуры основанной на связи с длиной волны и отсутствием дополнительного ряда металлизированных отверстий. Под геометрией структуры имеется в виду, сечение волновода образованное расстоянием между стенками из двух рядов металлизированных отверстий.

[6]

- технологическая сложность интеграции доступных в настоящее время компонентов коммутации и элементов поверхностного монтажа в SIW-структуры, что увеличивает конечную стоимость изделий мм-диапазона.

[7]

Заявленное изобретение имеет ряд отличий от описанного выше изобретения, встроенной в волноводную структуру копланарной линии, разный принцип распределения отверстий в структуре (соседние отверстия в ряду изобретения RU 2665335 С1 расположены друг от дуга на расстоянии менее одной десятой доли длины волны распространяющейся в волноводе, причем расстояние между рядами составляет более половины длины волны, а в патентуемом нами изобретении сквозные вертикальные переходные металлизированные отверстия, выполненные с двух сторон верхнего слоя диэлектрической подложки и расположенные сбоку от зазоров не менее чем в три ряда зеркально по отношению друг другу, причем переходные металлизированные отверстия в каждом ряду смещены относительно переходных металлизированных отверстий соседнего ряда на величину, равную половине диаметра переходных металлизированных отверстий), наличием дополнительного третьего ряда отверстий.

[8]

Целью заявленного изобретения является расширение рабочего диапазона СВЧ устройств и уменьшение стоимости изделий в уровне техники, и сформировано потребностью в создании волновода с соответствующей линией передачи, удовлетворяющей следующим условиям:

[9]

- сверхширокополосный режим работы,

[10]

- обеспечение высокой степени интеграции на доступной элементной базе (микросхем, кристаллов),

[11]

- обеспечение высокого уровня согласования между СВЧ элементами,

[12]

- низкая стоимость изготовления при использовании классических технологий печатных плат (РСВ).

[13]

- низкие потери на высоких частотах до 100 ГГц.

[14]

На данный момент известные технологии не позволяют одновременно выполнять все вышеперечисленные условия при разработке СВЧ устройств, работающих в сверхширокополосном диапазоне частот.

[15]

С целью расширения возможностей предшествующего уровня техники, настоящее изобретение направлено на создание волновода с копланарно-волноводной согласующей линией, обеспечивающего сверхширокополосный режим работы, высокий уровень согласования между СВЧ элементами и низкие потери на высоких частотах до 100 ГГц.

[16]

Техническим результатом заявленного изобретения является обеспечение сверхширокополосного режима работы, высокого уровня согласования между СВЧ элементами и низких потерь на высоких частотах до 100 ГГц

[17]

Сущность изобретения

[18]

Согласно настоящему изобретению предложен волновод с копланарно-волноводной согласующей линией (КВСЛ), включающий прямоугольную диэлектрическую подложку, со слоем металлизацией всех ее поверхностей и с размещенным по ширине на ее верхнем слое в центре проводником, зазоры, выполненные в верхнем слое прямоугольной диэлектрической подложки, с обеих сторон от проводника, сквозные вертикальные переходные металлизированные отверстия для подавления паразитных мод вдоль проводника, выполненные в двух сторон верхнего слоя диэлектрической подложки и расположенные сбоку от зазоров не менее чем в три ряда зеркально по отношению друг другу с двух сторон, причем переходные металлизированные отверстия в каждом ряду смещены относительно переходных металлизированных отверстий соседнего ряда на величину, равную половине диаметра переходных металлизированных отверстий.

[19]

Во втором варианте осуществления волновод с копланарно-волноводной согласующей линией (КВСЛ) дополнительно содержит верхний слой диэлектрика с проводящим слоем металла, который электрически соединен со сквозными вертикальными переходными металлизированными отверстиями для подавления паразитных мод вдоль проводника.

[20]

Пример реализации заявленного устройства.

[21]

Волновод с копланарно-волноводной согласующей линией (КВСЛ), включающий диэлектрическую подложку толщиной 0.127 мм на Rogers RT/duroid 5880, со слоем металлизацией всех ее поверхностей и с размещенным на ее верхнем слое центральным проводником шириной 0.36 мм, выполненным с зазорами 0.2 мм относительно бортов металлизации, отличающаяся тем, что в каждом из бортов для подавления паразитных мод вдоль центрального проводника выполнена система сквозных вертикальных отверстий диаметром 0.2 мм образующих боковые стенки, состоящая не менее чем из трех рядов, каждый из которых смещен относительно следующего ряда на величину 0.1 мм, при этом отверстия тоже металлизированы. Система сквозных металлизированных отверстий позволяет удерживать поле в определенном объеме. Геометрические размеры линии рассчитаны на волновое сопротивление 50 Ом, что позволяет согласовывать с ней высокочастотные разъемы и любые элементы поверхностного монтажа.

[22]

Материал Rogers RT/duroid 5880 - это PTFE композит, армированный стекловолокном.

[23]

Такой материал идеально малым характеристиками влагопоглощения и идеально подходит для применения в условиях с высокой влажностью.

[24]

Описание чертежей

[25]

На рис. 1 проиллюстрирован заявленный волновод с копланарно-волноводной согласующей линией (КВСЛ).

[26]

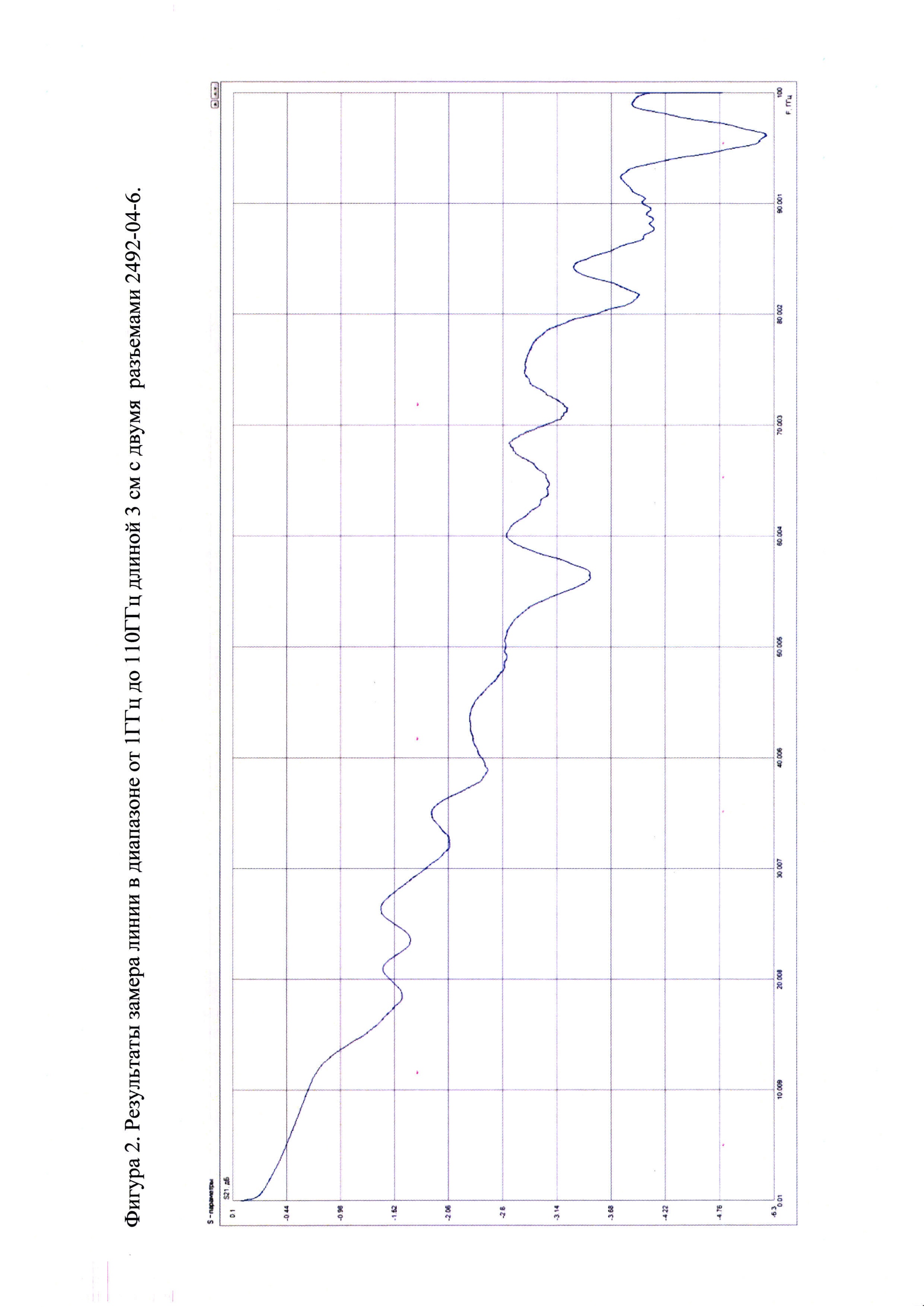
На рис. 2 проиллюстрирован график с результатами замера линии в диапазоне от 0,01 ГГц до 100 ГГц длиной 3 см с двумя разъемами 2492-04-6.

[27]

Из графика видно, следующее: уровень прямых потерь в диапазоне 0,01-100 ГГц составляет 5дБ. В диапазоне 26-30 ГГц уровень прямых потерь 1,8 дБ. В патенте на переключатель RU 2665335 С1 приводится график зависимости прямых потерь S(1.2) от частоты в диапазоне 26-32 ГГц с уровнем прямых потерь 5дБ. На фиг. 3 указано поз. 1 и 2 указано расположение слоев материала Rodgers 4003 и Rodgers 4450 с толщинами 0.203 мм и 0.203 мм соответственно.

[28]

На фиг. 4 показан второй вариант осуществления волновода с копланарно-волноводной согласующей линией с указанием следующих позиций:

[29]

3 - проводник КВСЛ.

[30]

4 - зазор между центральным проводником и бортом металлизации.

[31]

5 - расстояние между центрами металлизированных отверстий.

[32]

6 - диаметр металлизированных отверстий.

[33]

7 - расстояние от верхней стенки до проводника копланарной линии.

[34]

8 - высота волновода с копланарно-волноводной согласующей линией по второму варианту.

[35]

На фиг. 5 показан график соотношения расчетных параметров расчетные параметры S(1.1) до 40 ГГц отрезка по второму варианту осуществления волновода с копланарно-волноводной согласующей линией длиной 28 мм до 40 ГГц.

[36]

Из графика видно, что в диапазоне до 40 ГТц расчетный уровень возвратных потерь составляет меньше чем 40 дБ.

[37]

На фиг. 6 показан график соотношения расчетных параметров расчетные параметры S(1.2) до 40 ГГц отрезка по второму варианту осуществления волновода с копланарно-волноводной согласующей линией длиной 28 мм до 40 ГГц.

[38]

Из графика видно, что уровень прямых потерь в диапазоне до 40 ГТц составляет 0,7 дБ.

[39]

Материал марки Rodgers 4003 является термостойкий материал с керамическим наполнителем, усиленный стекловолокном. Особенности и преимущества таких материалов:

[40]

- Не содержат фторопласт. Технология обработки совпадает с FR4

[41]

- Сверхнизкая возгораемость (RO 4350 ТМ) Более низкие затраты на обработку и сборку

[42]

- Превосходные высокочастотные характеристики в связи с малой диэлектрической проницаемостью и низким уровнем потерь

[43]

- Оптимально для устройств с более высокими рабочими частотами

[44]

- Стабильные электрические свойства в широком диапазоне частот

[45]

- Оптимальны для многослойных и смешанных диэлектрических плат

[46]

- Низкое значение теплового коэффициента диэлектрической проницаемости

[47]

- Оптимально для схем, чувствительных к изменению температуры

[48]

- Малое растяжение по оси Z

[49]

- Гарантия высокого качества металлизированных отверстий

[50]

- Исключительная надежность узлов поверхностного монтажа

[51]

-Подходят для использования в гибридных МПП с эпоксидным стеклотекстолитом

[52]

- Высокая температура стекловании (280 С)

[53]

- Отсутствие деформаций во время сборки пайкой Высокая надежность металлизированных отверстий.

[54]

Материал марки Rodgers 4003 имеет такие же характеристики, что и марки Rodgers 4003 только дополнительно к этому является еще и огнеупорным материалом.

Как компенсировать расходы
на инновационную разработку
Похожие патенты