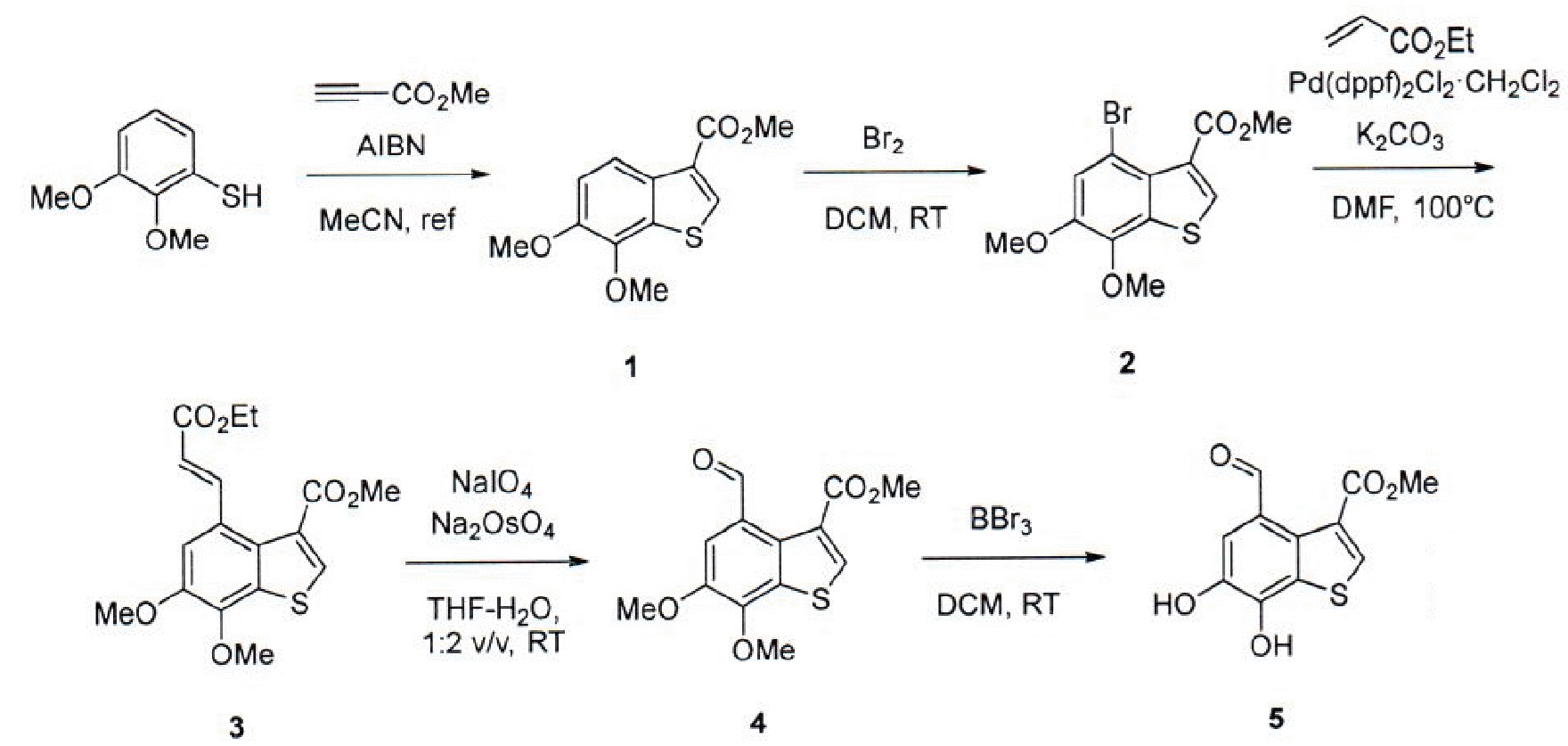
Изобретение относится к области органического синтеза, а именно к способу получения сложного эфира 4-формил-6,7-дигидрокси-бензо[b]тиофен-3-карбоновой кислоты структурной формулы, где R представляет собой C1-C6 алкил. Способ включает взаимодействие 2,3-диалкокситиофенола формулы, где R1 и R2 независимо представляют собой C1-C6 алкил, с алкилпропиолатом формулыв среде ацетонитрила в присутствии инициатора радикальной реакции с получением сложного эфира 6,7-диалкокси-бензо[b]тиофен-3-карбоновой кислоты формулы, с последующим бромированием и получением сложного эфира 4-бром-6,7-диалкокси-бензо[b]тиофен-3-карбоновой кислоты формулы, с последующим кросс-сочетанием с алкиловым эфиром акриловой кислоты формулы, где R3 представляет собой C1-C6 алкил, в присутствии катализатора на основе палладия с получением сложного эфира ()-4-(3-алкокси-3-оксопроп-1-ен-1-ил)-6,7-диалкоксибензо[]тиофен-3-карбоновой кислоты формулы, с последующим окислением смесью осмата щелочного металла и периодата щелочного металла с получением сложного эфира 4-формил-6,7-диалкокси-бензо[b]тиофен-3-карбоновой кислоты формулы, с последующим деалкилированием трихлоридом или трибромидом бора с получением сложного эфира 4-формил-6,7-дигидрокси-бензо[b]тиофен-3-карбоновой кислоты. Технический результат: предложенный способ позволяет синтезировать сложный эфир из доступных исходных веществ с высоким выходом. 5 з.п. ф-лы, 1 табл., 5 пр.
1. Способ получения сложного эфира 4-формил-6,7-дигидрокси-бензо[b]тиофен-3-карбоновой кислоты структурной формулы где R представляет собой C1-C6 алкил, включающий взаимодействие 2,3-диалкокситиофенола формулы где R1 и R2 независимо представляют собой C1-C6 алкил, с алкилпропиолатом формулы где R такой как определено выше, в среде ацетонитрила в присутствии инициатора радикальной реакции с получением сложного эфира 6,7-диалкокси-бензо[b]тиофен-3-карбоновой кислоты формулы где R, R1 и R2 такие, как определено выше, с последующим бромированием и получением сложного эфира 4-бром-6,7-диалкокси-бензо[b]тиофен-3-карбоновой кислоты формулы где R, R1 и R2 такие, как определено выше, с последующим кросс-сочетанием с алкиловым эфиром акриловой кислоты формулы где R3 представляет собой C1-C6 алкил, в присутствии катализатора на основе палладия с получением сложного эфира ( где R, R1, R2 и R3 такие, как определено выше, с последующим окислением смесью осмата щелочного металла и периодата щелочного металла с получением сложного эфира 4-формил-6,7-диалкокси-бензо[b]тиофен-3-карбоновой кислоты формулы где R, R1 и R2 такие, как определено выше, с последующим деалкилированием трихлоридом или трибромидом бора с получением сложного эфира 4-формил-6,7-дигидрокси-бензо[b]тиофен-3-карбоновой кислоты. 2. Способ по п. 1, в котором в качестве инициатора радикальной реакции используют азобисизобутиронитрил. 3. Способ по п. 1, в котором R, R1 и R2 представляют собой метил, а R3 представляет собой этил. 4. Способ по п. 1, в котором взаимодействие 2,3-диалкокситиофенола с алкилпропиолатом в среде ацетонитрила в присутствии инициатора радикальной реакции осуществляют при концентрации 2,3-диалкокситиофенола от 5 до 20 мг/мл. 5. Способ по п. 1, в котором в качестве катализатора на основе палладия используют Pd(dppf)2Cl2·CH2Cl2. 6. Способ по п. 1, в котором смесь осмата щелочного металла и периодата щелочного металла представляет собой смесь осмата натрия и периодата натрия.
,
,
,
,
,
,
,
,
Область техники, к которой относится изобретение Настоящее изобретение относится к области органического синтеза, более конкретно, к синтезу сложного C1-C6 алкилового эфира 4-формил-6,7-дигидрокси-бензо[b]тиофен-3-карбоновой кислоты, являющегося предшественником особо ценного люциферина Odontosyllis undecimdonta. Предложенный способ получения позволяет синтезировать сложный C1-C6 алкиловый эфир 4-формил-6,7-дигидрокси-бензо[b]тиофен-3-карбоновой кислоты из доступных исходных веществ с высоким выходом. Уровень техники Биолюминесценция в настоящее время нашла практическое применение в самых разных областях. Светящиеся метки используют для проведения анализов в медицине и в тест-системах при разработке лекарств. В лаборатории это позволяет визуализировать различные физиологические процессы, а также увидеть работу какого-либо гена. Экологи используют биолюминесценцию для мониторинга окружающей среды. В недавней работе (PNAS, 2019, v.116, n. 38, p.p. 18911-18916) был получен и охарактеризован новый люциферин Odontosyllis undecimdonta. Названный люциферин при взаимодействии с люциферазой Odontosyllis излучает зеленый свет. Ввиду его нетоксичности и достаточной устойчивости, у названного люциферина имеются большие возможности практического применения. Структурная формула люциферина Odontosyllis undecimdonta Для развития направления по практическому применению люциферина Odontosyllis undecimdonta существует потребность в доступных подходах по его химическому синтезу, поскольку существующий способ выделения миллиграммовых количество люциферина предполагает переработку большого количества (килограммовые количества) биомассы Odontosyllis undecimdonta. Ретросинтетический анализ молекулы люциферина Odontosyllis undecimdonta показал, что основным ее предшественником является сложный C1-C6 алкиловый эфир 4-формил-6,7-дигидрокси-бензо[b]тиофен-3-карбоновой кислоты формулы: Однако в патентной литературе отсутствуют сведения о синтезе сложного C1-C6 алкилового эфира 4-формил-6,7-дигидрокси-бензо[b]тиофен-3-карбоновой кислоты. Кроме того, способы синтеза схожих производных бензо[b]тиофен-3-карбоновой кислоты не совершенствовались. В заявке на патент США US20190241583 раскрывается способ получения метилового эфира 5-формил-4,7-диметокси-бензотиофен-3-карбоновой кислоты структурной формулы реакцией 2,5-диметокситиофенола с азобисизобутиронитрилом и метилпропиолатом (выход около 10%), и получение метилового эфира 5-формил-4,7-диметокси-бензотиофен-3-карбоновой кислоты формилированием метилового эфира 4,7-диметокси-бензотиофен-3-карбоновой кислоты (выход около 60%). Несмотря на незначительные отличия положения функциональных групп, синтетические подходы, реализованные в заявке US20190241583, не позволяли получить сложный C1-C6 алкиловый эфир 4-формил-6,7-дигидрокси-бензо[b]тиофен-3-карбоновой кислоты с аналогичными выходами. Основная проблема заключалась в крайне низких выходах (менее 30%) реакции формилирования сложного эфира 6,7-диалкокси-бензо[b]тиофен-3-карбоновой кислоты формулы где R, R1 и R2 = C1-C6 алкил. Таким образом, основная задача изобретения заключается в введении формильной группы в молекулу сложного C1-C6 алкилового эфира 6,7-диалкокси-бензо[b]тиофен-3-карбоновой кислоты с высокими выходами, превышающими 50-60%. Дополнительная задача изобретения заключалась в том, чтобы повысить выход получения сложного C1-C6 алкилового эфира 6,7-диалкокси-бензо[b]тиофен-3-карбоновой кислоты из предшествующего 2,3-дизамещенноготиофенола. Известные подходы из заявки US20190241583 и статьи Phosphorus, Sulfur and Silicon and Related Elements, 2000, 166, p.p. 201-219 не позволяли получить выходы более 30% (по ВЭЖХ). Вышеизложенные задачи решены авторами в настоящем изобретении. Раскрытие изобретение В рамках настоящего изобретения авторы неожиданно обнаружили, что сложный эфир 4-формил-6,7-дигидрокси-бензо[b]тиофен-3-карбоновой кислоты может быть получен с использованием в качестве исходного соединения 2,3-диалкокситиофенола. Причем используемые в настоящем изобретении на каждом этапе синтеза подходы позволяют получить желаемый продукт с наибольшими выходами, чем в известных патентных и литературных источниках. В связи с этим, настоящее изобретение направлено на способ получения сложного эфира 4-формил-6,7-дигидрокси-бензо[b]тиофен-3-карбоновой кислоты структурной формулы где R представляет собой C1-C6 алкил, включающий взаимодействие 2,3-диалкокситиофенола формулы где R1 и R2 независимо представляют собой C1-C6 алкил, с алкилпропиолатом формулы где R такой как определено выше, в среде ацетонитрила в присутствии инициатора радикальной реакции с получением сложного эфира 6,7-диалкокси-бензо[b]тиофен-3-карбоновой кислоты формулы где R, R1 и R2 такие, как определено выше, с последующим бромированием с получением сложного эфира 4-бром-6,7-диалкокси-бензо[b]тиофен-3-карбоновой кислоты формулы где R, R1 и R2 такие, как определено выше, с последующим кросс-сочетанием с алкиловым эфиром акриловой кислоты формулы где R3 представляет собой C1-C6 алкил, в присутствии катализатора на основе палладия с получением сложного эфира ( где R, R1, R2 и R3 такие, как определено выше, с последующим окислением смесью осмата щелочного металла и периодата щелочного металла с получением сложного эфира 4-формил-6,7-диалкокси-бензо[b]тиофен-3-карбоновой кислоты формулы где R, R1 и R2 такие, как определено выше, с последующим деалкилированием трихлоридом или трибромидом бора с получением сложного эфира 4-формил-6,7-дигидрокси-бензо[b]тиофен-3-карбоновой кислоты. В одном варианте изобретения в качестве инициатора радикальной реакции используют азобисизобутиронитрил. В еще одном варианте изобретения R, R1 и R2 представляют собой метил, а R3 представляет собой этил. В предпочтительном варианте изобретения в качестве катализатора на основе палладия используют Pd(dppf)2Cl2·CH2Cl2. В наиболее предпочтительном варианте изобретения взаимодействие 2,3-диалкокситиофенола с алкилпропиолатом в среде ацетонитрила в присутствии инициатора радикальной реакции осуществляют при концентрации 2,3-диалкокситиофенола от 5 до 20 мг/мл. В еще одном варианте изобретения смесь осмата щелочного металла и периодата щелочного металла представляют собой смесь осмата натрия и периодата натрия. Осуществление изобретения В настоящем изобретении предложен пятистадийный способ получения сложного эфира 4-формил-6,7-дигидрокси-бензо[b]тиофен-3-карбоновой кислоты структурной формулы где R представляет собой C1-C6 алкил. Термин «C1-C6 алкил» относится к углеводородной цепи с одинарными связями, которая может быть неразветвленной цепью или разветвленной цепью, содержащей от 1 до 6 атомов углерода. Примерами C1-C6 алкила являются метил, этил, н-пропил, изопропил, н-бутил, изо-бутил, трет-бутил и т.д. На первой стадии осуществляют взаимодействие 2,3-диалкокситиофенола формулы где R1 и R2 независимо представляют собой C1-C6 алкил, с алкилпропиолатом формулы где R такой как определено выше, в среде ацетонитрила в присутствии инициатора радикальной реакции с получением сложного эфира 6,7-диалкокси-бензо[b]тиофен-3-карбоновой кислоты формулы где R, R1 и R2 такие, как определено выше. Термин «инициатор радикальной реакции» относится к различным органическим и неорганическим пероксидам, азосоединениям, N-нитрозоанилидам, триазенам, дибензилам и элементоорганическим соединениям, которые при нагревании или облучении образуют свободные радикалы. Примерами инициаторов радикальной реакции являются азобисизобутиронитрил (АИБН), дибензоилпероксид, трет-бутилгидропероксид, трет-бутилпероксид, кумилгидропероксид, кумилпероксид, ацетилциклогексилсульфонилпероксид, три-(трет-бутилперокси)винилкремний и т.д. Наиболее предпочтительным инициатором радикальной реакции является азобисизобутиронитрил. Авторы настоящего изобретения неожиданно установили, что проведение реакции тиофенола с пропиолатом в растворе ацетонитрила приводит к наибольшим выходам бензотиофена, чем с другими подходящими растворителями. Кроме того, авторы установили, что концентрация тиофенола от 5 до 20 мг/мл является предпочтительной для достижения наибольшего выхода. В таблице ниже представлена оптимизация условий получения бензотиофена на первой стадии в зависимости от растворителя, температуры и концентрации исходного тиофенола. Таблица 1. Оптимизация условий синтеза бензотиофена на первой стадии (0.1 экв. АИБН, 2 экв. метилпропиолата, время 2 часа) a – выход установлен методом ВЭЖХ-МС; б – в – US2019 На второй стадии сложный эфир 6,7-диалкокси-бензо[b]тиофен-3-карбоновой кислоты формулы где R, R1 и R2 такие, как определено выше, бромируют, например, при помощи брома, с получением сложного эфира 4-бром-6,7-диалкокси-бензо[b]тиофен-3-карбоновой кислоты формулы где R, R1 и R2 такие, как определено выше. Поскольку бензольное кольцо бензотиофена активировано двумя алкоксигруппами для реакции замещения, то для осуществления бромирования нет необходимости использовать специфические условия и специальные катализаторы, известные в данной области. На третьей стадии осуществляют кросс-сочетание сложного эфира 4-бром-6,7-диалкокси-бензо[b]тиофен-3-карбоновой кислоты формулы где R, R1 и R2 такие, как определено выше, с алкиловым эфиром акриловой кислоты формулы где R3 представляет собой C1-C6 алкил, в присутствии катализатора на основе палладия с получением сложного эфира ( где R, R1, R2 и R3 такие, как определено выше. Термин «катализатор на основе палладия» относится к соединениям палладия, которые необходимы для осуществления реакции Хека. Подходящими катализаторами могут являться как соли двухвалентного палладия: PdCl2 и Pd(OAc)2, так и комплексные соли Pd(PPh3)4 или Pd(dppf)2Cl2·CH2Cl2. При необходимости в реакцию кросс-сочетания могут добавлять подходящее основание, например, триэтиламин, карбонат натрия, гидрокарбонат натрия, карбонат калия и другие. На четвертой стадии сложный эфир ( где R, R1, R2 и R3 такие, как определено выше, окисляют смесью осмата щелочного металла и периодата щелочного металла с получением сложного эфира 4-формил-6,7-диалкокси-бензо[b]тиофен-3-карбоновой кислоты формулы где R, R1 и R2 такие, как определено выше. Под термином «щелочной металл» подразумевают натрий, калий, литий, рубидий. Наиболее предпочтительно в качестве щелочного металла использовать натрий. Таким образом, предпочтительно, что смесь осмата щелочного металла и периодата щелочного металла представляет собой смесь осмата натрия и периодата натрия. Проведение стадий 2-4 позволяет ввести формильную группу в положение 4 сложного эфира 6,7-диалкокси-бензо[b]тиофен-3-карбоновой кислоты формулы где R, R1 и R2 такие, как определено выше, причем суммарный выход от указанных стадий составляет более 60% (62%). Указанного выхода и близко не удалось добиться при прямом формилировании вышеприведенного сложного эфира 6,7-диалкокси-бензо[b]тиофен-3-карбоновой кислоты. На пятой стадии осуществляют деалкилирование сложного эфира 4-формил-6,7-диалкокси-бензо[b]тиофен-3-карбоновой кислоты формулы где R, R1 и R2 такие, как определено выше, при помощи подходящей кислоты Льюиса, выбранной из трихлорида бора и трибромида бора с получением целевого сложного эфира 4-формил-6,7-дигидрокси-бензо[b]тиофен-3-карбоновой кислоты структурной формулы где R такое, как определено выше. ПРИМЕРЫ Представленные ниже примеры иллюстрируют (без ограничения объема притязаний) наиболее предпочтительные варианты осуществления изобретения, а также подтверждают возможность осуществления заявленного способа получения сложного эфира 4-формил-6,7-дигидрокси-бензо[b]тиофен-3-карбоновой кислоты на примере получения метилового эфира 4-формил-6,7-дигидрокси-бензо[b]тиофен-3-карбоновой кислоты, а также достижение заявленных технических результатов (высокого выхода). Пример 1. Получение метилового эфира 6,7-диметоксибензо[ Смесь 8.13 г (47.8 ммоль) 2,3-диметокситиофенола, 8.5 мл (16.8 ммоль) метилпропиолата и 1.57 г (9.6 ммоль) азобисизобутиронитрила (АИБН) в 500 мл ацетонитрила кипятили в течение 2 часов в атмосфере аргона. Затем растворитель отогнали в вакууме, остаток фильтровали через 5 см. слой силикагеля в системе этилацетат-гексан 1:10. Полученную смесь изомеров перекристаллизовывали из гексана. Получено 4.25 г (35%) игольчатых кристаллов соединения 1.1H NMR δ 8.24 (d, Пример 2. Получение метилового эфира 4-бром-6,7-диметоксибензо[ К раствору 4.00 г (15.8 ммоль) соединения 1 в 25 мл сухого дихлорметана (ДХМ) прибавили по каплям 813 мкл (15.8 ммоль) Br2. Реакционную смесь перемешивали в течение 3 часов при комнатной температуре. Затем промывали 3х12 мл насыщенного водного раствора NaHCO3, 3х12 мл насыщенного водного раствора Na2S2O3, 3х12 мл воды и 3х12 мл насыщенного водного раствора NaCl. Органическую фазу сушили безводным Na2SO4 и упаривали в вакууме. Остаток хроматографировали на силикагеле в толуоле. Получено 4.50 г (85%) бесцветного масла соединения 2.1H NMR δ 7.73 (s, 1H), 7.32 (s, 1H), 4.00 (s, 3H), 3.95 (s, 3H), 3.94 (s, 3H).13C NMR δ 165.28, 148.61, 142.22, 136.47, 130.48, 130.45, 129.91, 118.20, 109.86, 60.70, 57.03, 52.52. HRMS (M+H)+ расч.: 330.9634, найдено: 330.9641. Пример 3. Получение метилового эфира ( Смесь 2.00 г (6.13 ммоль) соединения 2, 1.35 мл (12.26 ммоль) этилакрилата, 0.25 г (0.31 ммоль) Pd(dppf)2Cl2·CH2Cl2 и 2.54 г (18.40 ммоль) K2CO3 в 20 мл абсолютного диметилформамида (ДМФ) перемешивали в течение 3 часов при 100°С в атмосфере аргона. Затем реакционную массу охлаждали и фильтровали через 2 см целита, фильтр промывали 25 мл этилацетата. К фильтрату прибавляли 100 мл воды, затем водную фазу экстрагировали 3х25 мл этилацетата. Органическую фазу промывали 3х25 мл воды и 3х25 мл насыщенного водного раствора NaCl, сушили безводным Na2SO4 и упаривали в вакууме. Остаток хроматографировали на силикагеле в системе этилацетат-гексан 1:3. Получено 1.87 г (87%) желтых кристаллов соединения 3.1H NMR δ 8.45 (d, Пример 4. Получение метилового эфира 4-формил-6,7-диметоксибензо[ К смеси 1.23 г (3.84 ммоль) соединения 3, 58 мг (0.19 ммоль) Na2OsO4, 6 мл ТГФ и 6 мл воды прибавили раствор 1.64 г (7.68 ммоль) NaIO4 в 6 мл воды. Реакционную массу перемешивали в течение 1 ч, затем фильтровали, промывали 3х6 мл воды и сушили в вакууме. Получено 0.87 г (80%) порошка кремового цвета соединения 4.1H NMR δ 10.62 (s, 1H), 8.27 (s, 1H), 7.76 (s, 1H), 4.16 (s, 3H), 4.02 (s, 3H), 3.95 (s, 3H).13C NMR δ 190.90, 164.61, 147.74, 146.83, 137.19, 136.36, 130.62, 128.54, 127.50, 114.91, 61.04, 56.85, 52.40. HRMS (M+H)+ расч.: 281.0439, найдено: 281.0431. Пример 5. Получение метилового эфира 4-формил-6,7-дигидроксибензо[ К раствору 400 мг (1.43 ммоль) соединения 4 в 10 мл сухого ДХМ прибавили 1.43 мл (7.15 ммоль) 5М раствора BBr3 в ДХМ. Реакционную смесь перемешивали в течение 4 часов при комнатной температуре, затем вылили в охлажденный до -78 °С метанол и упарили на холоде. Остаток переупарили еще три раза с 15 мл порциями метанола. Полученное масло растворили в 1 мл ДМФ и прибавили к 10 мл воды. Осадок отфильтровали, промыли водой 3х3 мл и высушили в вакууме. Получено 315 мг (88%) кремового порошка соединения 5.1H NMR (300 MHz, DMSO-d6) δ 10.81 (br.s, 1H), 10.22 (br.s, 1H), 10.20 (br.s, 1H), 8.38 (s, 1H), 7.57 (s, 1H), 3.82 (s, 3H).13C NMR (75 MHz, DMSO) δ 190.60, 165.29, 145.29, 141.37, 136.13, 131.04, 129.62, 129.11, 123.73, 119.00, 52.56. HRMS (M-H)- расч.: 251.2325, найдено: 251.2318. Вышеприведенные примеры подтверждают получение сложного эфира 4-формил-6,7-дигидрокси-бензо[b]тиофен-3-карбоновой кислоты из исходного 2,3-диалкокситиофенола с высокими выходами, чем в известных до уровня техники источниках. Описанные выше превращения можно проиллюстрировать следующей синтетической схемой:
, R=C1-C6 алкил.
,
,
,
,
,
,
,
,
,
,
,
,
,№ Растворитель Температура,°С Концентрация тиофенола, мг/мл Выход, %a 1 PhFб 80 10 30 2 MeCN 80 10 45 3 CCl4 80 10 40 4 PhNO2 80 10 31 5 PhMe 80 10 42 6 PhCF3в 80 10 29 7 MeCN 80 20 41 8 MeCN 80 40 25 9 MeCN 80 80 21 10 MeCN 80 5 44 11 MeCN 50 10 6
,
,
,
,
,
,
,
,
,
,