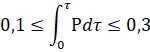
Группа изобретений относится к способам и устройствам регенерации адсорбентов с помощью электромагнитного излучения сверхвысокочастотного диапазона и может быть использована в химической, нефтеперерабатывающей и других отраслях промышленности. Способ регенерации цеолита включает воздействие на цеолит, расположенный в рабочей камере, электромагнитным полем СВЧ-диапазона с помощью источника СВЧ-энергии. СВЧ-воздействие осуществляют в импульсном режиме с энергией, подводимой к сорбенту, определяемой из соотношения:, где Р - мощность источника СВЧ-энергии, Вт, τ - время СВЧ-воздействия, с; при этом мощность Р источника СВЧ энергии для одного цикла нагрева сорбента определяют из соотношения:, где с - теплоемкость воды, m - масса воды, содержащейся в сорбенте. Устройство для регенерации цеолита включает источник СВЧ-энергии, рабочую камеру для размещения цеолита, волновод с согласующим устройством, связывающий источник СВЧ-энергии и рабочую камеру. Изобретение обеспечивает повышение скорости регенерации цеолита при уменьшении содержания влаги в адсорбенте до 3-4 % без его разрушения и при сохранении адсорбирующих свойств. 2 н. и 3 з.п. ф-лы, 2 ил.
1. Способ регенерации цеолита, включающий воздействие на цеолит, расположенный в рабочей камере, электромагнитным полем СВЧ-диапазона с помощью источника СВЧ-энергии, отличающийся тем, что в процессе воздействия осуществляют циркуляцию парогазовой смеси, образующейся в рабочей камере при СВЧ-воздействии на цеолит, через цеолит, а СВЧ-воздействие осуществляют в импульсном режиме с энергией, подводимой к сорбенту, определяемой из соотношения: где Р – мощность источника СВЧ-энергии, Вт, τ – время СВЧ-воздействия, с; при этом мощность Р источника СВЧ энергии для одного цикла нагрева сорбента определяют из соотношения: 2. Устройство для регенерации цеолита, включающее источник СВЧ-энергии, рабочую камеру для размещения цеолита, волновод с согласующим устройством, связывающий источник СВЧ-энергии и рабочую камеру, при этом рабочая камера снабжена входом для подачи природного газа в рабочую камеру и выходом газа к запорной арматуре, отличающееся тем, что содержит замкнутый контур для циркуляции парогазовой смеси, образующейся в рабочей камере при регенерации цеолита, через сорбент, выполненный в виде трубопровода, подключенного к верхней и нижней частям рабочей камеры; насос и запорную арматуру, установленные на трубопроводе; блок управления, подключенный к источнику СВЧ-энергии и обеспечивающий его работу в заданном режиме; при этом согласующее устройство выполнено в виде плавного перехода с прямоугольного сечения на круглое и содержит герметичную вставку из радиопрозрачного материала для защиты источника СВЧ-энергии от изменений давления в рабочей камере. 3. Устройство по п.2, отличающееся тем, что блок управления выполнен в виде реле-регулятора с таймером. 4. Устройство по п.2, отличающееся тем, что содержит датчик точки росы, установленный в замкнутом контуре на выходе парогазовой смеси из рабочей камеры. 5. Устройство по п.2, отличающееся тем, что содержит датчик давления, подключенный к замкнутому контуру на выходе парогазовой смеси из рабочей камеры.
,
Группа изобретений относится к способам и устройствам регенерации адсорбентов с помощью электромагнитного излучения сверхвысокочастотного диапазона и может быть использована в химической, нефтеперерабатывающей и других отраслях промышленности. В частности, изобретение может быть использовано в осушительных колоннах при осушке природного газа для работы пневматических систем управления запорной арматуры. В современной технике и технологии для удаления воды из газов и паров органических соединений большое распространение получили цеолиты. Цеолиты являются наиболее селективными адсорбентами, обладающими упорядоченной кристаллической структурой и определенным размером входных окон. В настоящее время синтезировано более 100 видов цеолитов, в том числе около 25 идентичных природным. В качестве адсорбентов и катализаторов используют, главным образом, синтетические цеолиты, они эффективнее и высококачественнее природных. В связи с тем, что цеолиты являются полярными адсорбентами, на них можно проводить адсорбционное разделение веществ, используя не только разницу в молекулярных размерах, но и различную степень ненасыщенности и полярности. Цеолиты являются хорошими осушителями газов и жидкостей, а также хорошими поглотителями серосодержащих соединений, в связи с чем широко используются при очистке газов и жидкостей от примесей. В настоящее время для работы пневматических систем управления запорной арматуры на газоперерабатывающих предприятиях используется энергия сжатого природного газа. К газу предъявляются высокие требования по содержанию влаги. Излишняя влага в газе приводит к образованиям гидратов в запорной арматуре и выходу последней из строя (особенно в условиях низких температур). Для уменьшения влагосодержания в газе используют сорбенты - цеолиты. Сорбенты со временем набирают много влаги и перестают эффективно забирать влагу из газа, поэтому их необходимо регулярно регенерировать. Традиционные методы тепловой регенерации цеолитов в регенерационной колонне являются малоэффективными, требуют больших энергозатрат и временных затрат из-за низкой теплопроводности цеолитов. Наиболее перспективным является использование СВЧ энергии для регенерации цеолитов. СВЧ-нагрев отличает объемное тепловыделение, что может сократить время воздействия. Из уровня техники на сегодняшний день известны различные решения, связанные с регенерацией адсорбентов, в том числе цеолитов, с использованием СВЧ облучения. Например, из патента РФ №2438774 известен способ регенерации сорбента с помощью электромагнитного излучения высокочастотного диапазона, согласно которому регенерацию осуществляют в условиях резонанса системы, подводя мощность электромагнитного излучения, минимально необходимую и достаточную для разрыва межмолекулярных связей сорбента и сорбата при взаимодействии электромагнитного излучения с этими веществами в резонансной камере. Недостатком известного способа является отсутствие возможности регенерации сорбента непосредственно в осушительной колонне с импульсной подачей газа и необходимость использования резонансной камеры для СВЧ. Из патента РФ №2058183 известно устройство для регенерации адсорбента от газообразных примесей, содержащее вакуумный теплоизоляционный корпус, заполненный жидким азотом, внутри которого размещен сосуд с адсорбентом, который пронизан нагревателем, при этом сосуд соединен с магистралью подачи газовой смеси и вакуумным насосом, в котором нагреватель представляет из себя СВЧ-источник, работающий в диапазоне частот 300 МГц - 300 ГГц, выполненный в виде магнетрона, соединенного через волновод с согласованной нагрузкой. Недостатком является сложность конструкции адсорбера, а также неравномерность распределения СВЧ электромагнитного поля, что приводит к большим градиентам температуры и влагосодержания в сорбенте. Кроме того, заявленный частотный диапазон не соответствует разрешенным к использованию в промышленности. Наиболее близким к предлагаемому способу является способ регенерации адсорбента, известный из патента РФ №2168360. Согласно данному способу регенерацию адсорбента, содержащегося в адсорбере блока осушки сжатого газа, осуществляют при нагреве адсорбента электромагнитным полем СВЧ диапазона и последующим удалением десорбированных компонентов, при этом перед нагревом проводят разгрузку адсорбера до давления, на 2-5 кгс/см2 превышающего атмосферное давление, нагрев адсорбента ведут до 200-250°С в течение 1-5 мин, десорбированные компоненты удаляют в течение 10-30 с при сообщении адсорбера с атмосферой. Недостатком данного способа является отсутствие вакуумирования и непрерывный режим работы СВЧ генератора, что может привести к разрушению и перегреву цеолита. Наиболее близким к предлагаемому устройству является устройство регенерации цеолита, известное из патента РФ №100920, включающее адсорбер, содержащий корпус, выполненный из металла, с патрубками входа, выхода и крышку, адсорбент, теплоизоляционный кожух, по крайней мере, один СВЧ нагреватель адсорбента, закрепленный в крышке, представляющий собой магнетрон, соединенный через волновод с согласованной нагрузкой. Кроме того, на выходе из адсорбера установлен вакуумный насос для удаления из адсорбера продуктов десорбции в емкость для сбора конденсата. При этом магнетрон может работать в диапазоне частот от 300 МГц до 300 ГГц. Недостатком является неравномерность распределения СВЧ электромагнитного поля, что приводит к большим градиентам температуры и влагосодержания в сорбенте. Кроме того, заявленный частотный диапазон не соответствует разрешенным к использованию в промышленности. Технической проблемой группы изобретений является создание эффективного способа и устройства для регенерации цеолита. Технический результат заключается в повышении скорости регенерации цеолита при уменьшении содержания влаги в адсорбенте до 3-4 % без его разрушения и при сохранении адсорбирующих свойств. Технический результат достигается тем, что в способе регенерации цеолита, включающем воздействие на цеолит, расположенный в рабочей камере, электромагнитным полем СВЧ диапазона с помощью источника СВЧ-энергии, согласно предлагаемому решению, в процессе воздействия осуществляют циркуляцию парогазовой смеси, образующейся в рабочей камере при СВЧ-воздействии на цеолит, через цеолит, а СВЧ-воздействие осуществляют в импульсном режиме с энергией, подводимой к сорбенту, определяемой из соотношения: где Р – мощность источника СВЧ-энергии, Вт, τ – время СВЧ-воздействия, с; при этом мощность Р источника СВЧ энергии для одного цикла нагрева сорбента определяют из соотношения: Технический результат также достигается тем, что устройство для регенерации цеолита, включающее источник СВЧ-энергии, рабочую камеру для размещения цеолита, волновод с согласующим устройством, связывающий источник СВЧ-энергии и рабочую камеру, при этом рабочая камера снабжена входом для подачи природного газа и выходом газа к запорной арматуре, согласно предлагаемому решению содержит замкнутый контур для циркуляции парогазовой смеси, образующейся в рабочей камере при регенерации цеолита, через сорбент, выполненный в виде трубопровода, подключенного к верхней и нижней частям рабочей камеры; насос и запорную арматуру, установленные на трубопроводе; блок управления, подключенный к источнику СВЧ-энергии и обеспечивающий его работу в заданном режиме; при этом согласующее устройство выполнено в виде плавного перехода с прямоугольного сечения на круглое и содержит герметичную вставку из радиопрозрачного материала для защиты источника СВЧ-энергии от изменений давления в рабочей камере. Блок управления может быть выполнен в виде реле-регулятора с таймером. Устройство может содержать датчик точки росы и датчик давления, подключенные к замкнутому контуру на выходе парогазовой смеси из рабочей камеры. Изобретение поясняется чертежом и графиком, где на Фиг.1 представлена функциональная схема СВЧ установки для регенерации сорбентов в блоке подготовки импульсного газа ГПМ-БПИГ, на Фиг.2 – примеры графиков зависимостей температуры (Т, °С) и влажности (W, %) цеолита марки NaA от времени (t, сек) его нагрева импульсным СВЧ теплоподводом, где 1-2 соответствует режиму "нагрев", 2-3 – режиму "сушка", 3-4 – режиму "регенерация". Позициями на чертеже обозначены: 1 – генератор СВЧ-энергии с источником питания; 2 – рабочая камера (резонатор цилиндрической формы); 3 – цеолит; 4 – волновод, 5 – согласующее волноводное устройство; 6 – блок управления; 7 – трубопровод подачи газа в рабочую камеру; 8 – замкнутый контур для циркуляции парогазовой смеси; 9 – вакуумный насос; 10 – трубопровод сброса парогазовой смеси на свечу; 11 – герметичная вставка из радиопрозрачного материала; 12 – датчик точки росы; 13 – датчик давления; 14, 15, 16, 17 – запорная арматура (задвижка, кран), 18 – трубопровод подачи газа на датчик росы и к запорной арматуре. Предлагаемый способ регенерации цеолита заключается в воздействии на цеолит, расположенный в рабочей камере, электромагнитным полем СВЧ диапазона с помощью источника СВЧ-энергии. При этом в процессе воздействия осуществляют циркуляцию парогазовой смеси, образующейся в рабочей камере при СВЧ-воздействии на цеолит, через цеолит. СВЧ-воздействие осуществляют в импульсном режиме с энергией, подводимой к сорбенту, определяемой из соотношения: где Р – мощность источника СВЧ-энергии, Вт, τ – время СВЧ-воздействия, с. При этом мощность Р источника СВЧ энергии для одного цикла нагрева сорбента определяют из соотношения: При значениях мощности выше указанного предельного значения, наблюдается перегрев сорбента и его скорое разрушение. При меньших значениях мощности значительно увеличивается время регенерации. Циркуляция парогазовой смеси через рабочую камеру в процессе СВЧ-воздействия обеспечивает выравнивание температуры по объему цеолита в рабочей камере, а импульсный режим воздействия указанной мощности – позволяет разогревать цеолит до температуры, обеспечивающей выход молекул воды из ячеек цеолита, не разрушая его при этом и не перегревая. В процессе обработки цеолита в СВЧ электромагнитном поле осуществляют контроль влажности и давления парогазовой смеси посредством датчика точки росы и датчика давления, соответственно. Предлагаемый способ может быть реализован с помощью устройства, функциональная схема которого представлена на Фиг.1. Устройство для регенерации цеолита включает СВЧ генератор 1 с источником питания, рабочую камеру 2, заполненную цеолитом 3 и связанную с СВЧ-генератором посредством прямоугольного волновода 4 и согласующего волноводного устройства 5. При этом к источнику питания генератора подключен блок управления 6, обеспечивающий включение/выключение СВЧ генератора в заданном режиме. К рабочей камере 2 подключен трубопровод 7 подачи газа в рабочую камеру с запорной арматурой 14, а также замкнутый контур 8 для циркуляции парогазовой смеси, выполненный в виде трубопровода, один конец которого подключен к верхней части рабочей камеры 2, а другой – к ее нижней части. Контур 8 снабжен вакуумным насосом 9, обеспечивающим откачку парогазовой смеси, образующейся в рабочей камере при регенерации сорбента, из верхней части камеры и ее циркуляцию по замкнутому контуру 8 через сорбент в рабочей камере, что дает возможность выравнивания температуры и влагосодержания по высоте рабочей камеры. Такое направление циркуляции позволяет одновременно остужать верхние слои сорбента и подогревать нижнюю часть регенерационной колонны. Замкнутый контур 8 также снабжен запорной арматурой 15, расположенной между вакуумным насосом 9 и входом парогазовой смеси в рабочую камеру 2. Кроме того, устройство содержит трубопровод 10 сброса парогазовой смеси на свечу с запорной арматурой 16, связанный с выходом вакуумного насоса 9 и обеспечивающий сброс парогазовой смеси при отключении (перекрытии) замкнутого контура посредством запорной арматуры 15. В качестве блока управления 6, осуществляющего управлением режимом работы генератора, может быть использовано реле-регулятор с таймером, подключенным к источнику питания генератора. При этом СВЧ-генератор может представлять собой магнетрон, а источник питания магнетрона - преобразователь напряжения на повышенной частоте, который запитывает магнетрон высоким напряжением, а катод магнетрона - низким. Магнетрон может быть установлен в середине широкой стенки прямоугольного волновода 4 на расстоянии не менее 10 мм от короткозамкнутого конца волновода, возбуждая в волноводе СВЧ электромагнитные колебания. Согласующее волноводное устройство 5 предназначено для согласования СВЧ генератора рабочей камерой 2 и представляет собой плавный переход с прямоугольного сечения на круглое, обеспечивающее уменьшение коэффициента стоячей волны по напряжению. При этом длина перехода должна быть не менее длины волны генератора в свободном пространстве. Между согласующим устройством 5 и рабочей камерой 2 расположена герметичная вставка 11 из радиопрозрачного материала, позволяющая проникать СВЧ электромагнитному излучению в рабочую камеру 2 с цеолитом. В одном из вариантов реализации изобретения, герметичная вставка представляет собой радиопрозрачное окно из кварцевого стекла с уплотнениями. В другом варианте, вставка может быть выполнена в виде конической керамической вставки, припаянной к стенкам согласующего устройства. При такой системе уплотнения при избыточном давлении место соединения керамики с металлом будет «работать» на сжатие и позволит обеспечить требуемую герметичность. Герметичная вставка 11 из радиопрозрачного материала обеспечивает защиту магнетрона от избыточного давления газа в процессе адсорбции и включении запорной арматуры. Кроме того, герметизация защищает магнетрон от низкого давления в процессе регенерации и десорбции сорбентов в рабочей камере. Устройство также содержит датчик точки росы 12, подключенный к контуру 8, сигнализирующий о необходимости регенерации. Кроме того, устройство может содержать датчик давления 13, расположенный на выходе парогазовой смеси из рабочей камеры 2. Предлагаемое устройство работает следующим образом. По сигналу с датчика точки росы 12 оператор узнает о необходимости регенерировать сорбент. Перед началом регенерации осуществляют проверку герметичности уплотнений, для чего перекрывают задвижку 14, при этом давление внутри камеры не должно снижаться; а также осуществляют проверку запорной аппаратуры установки (при закрытых задвижках 15, 16 и 17). Для подачи природного газа в рабочую камеру 2 открывают задвижку 14 и наполняют рабочую камеру 2 газом под давлением, после чего задвижку 14 закрывают. С помощью датчика точки росы 9 измеряют температуру точки росы. При этом если температура точки росы выше допустимой, начинают процесс регенерации. Для этого сбрасывают давление в рабочей камере до атмосферного путем открытия задвижки 16 (сброс газа на свечу). Далее закрывают задвижку 16 и открывают задвижку 15, включают вакуумный насос 12, в результате чего образовавшаяся в рабочей камере парогазовая смесь начинает циркулировать по замкнутому контуру 8, и включают СВЧ генератор 1 с источником питания, осуществляя таким образом СВЧ-воздействие на рабочую камеру 2 с цеолитом 3 в процессе циркуляции парогазовой смеси. При этом посредством блока управления 6 устанавливают импульсный режим работы генератора, при котором воздействие СВЧ-энергией осуществляют в импульсном режиме с энергией, подводимой к сорбенту, определяемой соотношением: При этом мощность Р генератора СВЧ энергии для одного цикла нагрева сорбента определяют из соотношения: С помощью генератора СВЧ-энергии осуществляют разогрев цеолита до температуры испарения воды (режим «нагрев» - участок 1-2 на Фиг.2). В результате цеолит нагревается примерно до 100°С. При этом в процессе работы устройства осуществляют контроль давления в рабочей камере 2 с помощью датчика 13. С началом роста давления в рабочей камере (свыше 1,1 атмосферы) режим работы генератора изменяют на «сушка», при котором происходит удаление несвязанной воды. При этом импульсное воздействие осуществляют с энергией, в 2 раза меньшей, чем в режиме «нагрев». Темп нагрева цеолита при этом уменьшается, поскольку наряду с процессом нагрева увеличивается доля испарения, которое приводит к охлаждению цеолита Температуру цеолита в данном режиме поддерживают в диапазоне примерно от 100 до 200°С (участок 2-3 на Фиг.2). При нормализации давления в рабочей камере (давление не меняется), осуществляют сброс парогазовой смеси на свечу через вакуумный насос 9, открывая при этом задвижку 16 и закрывая задвижку 15 (отключая замкнутый контур 8). При этом режим воздействия СВЧ-энергией на рабочую камеру изменяют на режим «регенерация» (участок 3-4 на Фиг.2), при котором происходит удаление связанной воды. Энергия, подводимая в данном режиме в рабочую камеру, составляет 0,3-0,4 от энергии, подводимой в рабочую камеру в режиме «нагрев». Температура цеолита в режиме «регенерация» может превышать 200°С (но не более 350°С). Переключение режимов осуществляется согласно запрограммированному таймеру, который позволяет задавать разные режимы работы генератора и переключать их как по команде оператора, так и в автоматическом режиме. С помощью таймера может быть установлено время работы источника СВЧ-энергии (магнетрона) от 60 до 300 с, время паузы от 10 до 50 с. При этом импульсное воздействие могут осуществлять в течение 3600-7200 с. Время пауз и работы магнетрона подбирается исходя из режима («нагрев», «сушка», «регенерация») и марки цеолита в рабочей камере. При достижении давления минимальных значений, свидетельствующее об испарении влаги и окончании процесса регенерации, генератор 1 СВЧ-энергии с источником питания выключают. По трубопроводу 18 осушенный газ подают на датчик точки росы. Если температура точки росы удовлетворяет требованиям, например, достигает -70°С, то, открыв вентиль 17, газ подают, например, на накопительный бункер, из которого газ подается на открытие/закрытие внешних кранов (запорной арматуры). Это делают в конце регенерации, чтобы убедиться, что свойства цеолита восстановлены. Запрограммированный таймер позволяет задавать разные режимы работы генератора и переключать их как по команде оператора, так и в автоматическом режиме. Паузы в работе СВЧ генератора необходимы для выравнивания температур и влажности в сорбенте, предотвращении локальных перегревов сорбента, а также поддержания заданного темпа нагрева для уменьшения внутренних напряжений в сорбенте. Пример практической реализации Был осуществлен процесс регенерации цеолита марки NaA в предлагаемом устройстве. В качестве источника СВЧ-энергии использовали магнетрон мощностью 850 Вт. Магнетрон был установлен в прямоугольный волновод сечением 90×45 мм в середине его широкой стенки на расстоянии 30 мм от короткозамкнутого конца волновода. Диаметр рабочей камеры составлял 149 мм, высота слоя цеолита 200 мм. Согласующее волноводное устройство представляло собой плавный переход длиной 200 мм с прямоугольного сечения на круглое диаметром 149 мм. Рабочая камера была заполнена цеолитом марки NaA, диаметр гранул цеолита составлял 2 мм. В качестве блока управления использовалось реле-регулятор с таймером марки ОВЕН УТ-24. По трубопроводу в рабочую камеру 2 подводили природный газ. При достижении температуры точки росы -50°C, начинали процесс регенерации, предварительно сбросив давление в рабочей камере до атмосферного. С помощью вакуумного насоса осуществляли циркуляцию парогазовой смеси по замкнутому контуру через объем рабочей камеры в процессе нагрева цеолита. При этом с помощью таймера устанавливали время работы магнетрона 50 с, время паузы 10 с. Импульсное воздействие осуществляли в течение 5400 с. В результате энергия, подводимая к цеолиту, составила 1063 Вт*ч (при мощности СВЧ генератора 850 Вт). С помощью манометра осуществляли контроль давления в рабочей камере. При достижении давления свыше 1,05 атмосферы, режим работы генератора изменяли на «сушка», при этом режиме время пауз в работе генератора составляло 40 % от времени его работы: время работы 25 с, время паузы 10 с, при этом воздействие осуществляли в течение 3600 с. Подводимая энергия составила 607 Вт*ч. При достижении давления 1,1 атмосферного, режим воздействия СВЧ-энергией на рабочую камеру изменяли на режим «регенерация», при этом вакуумный насос начинал откачивать парогазовую среду из рабочей камеры (после переключения кранов открытие 16 и закрытие 15). В режиме «регенерация» время работы генератора составляло 20 с, время паузы 10 с, при этом воздействие осуществляли в течение 1200 с. Подводимая энергия составила 567 кВт*ч. Температура цеолита в данном режиме превысила 200°С. При достижении давления минимальных значений (-1 атм), свидетельствующее об испарении влаги, генератор 1 СВЧ-энергии с источником питания выключали и завершали процесс регенерации. Влагосодержание в цеолите рассчитывали по формуле: где W - влагосодержание в % масс.; mвод+пр – масса воды и примесей в сорбенте; mобщ – масса сухого сорбента. Изменение температуры и влажности цеолита от времени его нагрева представлено на Фиг.2. В соответствии с Фиг.2, на участке 1-2 температура цеолита растет практически линейно, процессов массообмена почти нет, влагосодержание не изменяется. По достижению температуры 100°С (точка 2) начинается испарение несвязанной воды, при этом испарение вызывает охлаждение цеолита, темп нагрева падает. Во время изменения температуры на участке 2-3 кинетику нагрева определяют процессы тепловыделения в цеолите и парах воды, испарение (отрыв молекул воды) с поверхности цеолита, конденсация паров на «холодных» поверхностях рабочей камеры и цеолита. Влагосодержание нелинейно падает. При достижении температуры точки 3 (200°С), в цеолите остается только связанная вода, темп нагрева увеличивается, а массообмен падает. Влагосодержание уменьшается практически линейно. Выше температуры точки 4 (320°С) нагревать цеолит нецелесообразно, поскольку сложно контролировать темп нагрева и цеолит может перегреться и утратить свои сорбционные свойства. В результате реализации вышеописанного способа при термообработке цеолита в рабочей камере с СВЧ энергоподводом была достигнута температура точки росы -70°С, что позволяет безопасно эксплуатировать газовую запорную арматуру. При этом время регенерации сократилось в 1,5 раза относительно сушки цеолита кондуктивно-конвективным методом. Таким образом, предлагаемое изобретение позволяет восстановить адсорбционные свойства цеолита в осушительных колоннах. Импульсный режим СВЧ-воздействия в процессе циркуляции парогазовой смеси позволяет удалять воду из цеолита, не разрушая его.
,
,
, где Р – мощность генератора СВЧ энергии, Вт, τ – время, с. 

